COMPOUNDS USEFUL AS CARBONIC ANHYDRASE MODULATORS AND USES THEREOF
PRIORITY APPLICATIONS
GOVERNMENT RIGHTS
(0001] This invention was made with government support under Grant Nos. 5POl CA33049 and
5P50 CA086438 awarded by the National Institutes of Health. Accordingly, the United States Government has certain rights in the invention.
FIELD OF THE INVENTION
[0002] This invention relates to novel compounds that are capable of modulating Carbonic
Anhydrase activity, and to pharmaceutical compositions containing such compounds. The invention further relates to preparation of such compounds. This invention also relates to methods and use of these compounds or Carbonic anhydrase ligands as imaging agents for detection of tumors.
BACKGROUND OF THE INVENTION
[0003] Solid tumors which have regions of very low oxygen concentrations are said to be hypoxic. Hypoxia is a natural phenomenon of solid tumors and results from an insufficient vascular network. Tumour hypoxia results in resistance to ionizing radiation, resistance to chemotherapy and the magnification of mutated p53. In addition tissue hypoxia has been regarded as a key factor for tumour aggressiveness and metastasis by activation of signal transduction pathways and gene regulatory mechanisms. It is clear that hypoxia in solid tumors promotes a strong oncogenic phenotype and is a phenomenon that occurs in all solid tumors.
[0004] Tumor hypoxia usually occurs at a distance of 100-200μm from blood vessels [1,2] and seems to be strongly associated with tumor propagation, malignant progression and resistance to chemo- and radiotherapy [2] Hypoxia regulates the expression of several genes, including of Hypoxia- Inducible Factor lα. (HIF- lα). HIF- lα can activate a large number of genes including many of those responsible for cell proliferation and apoptosis, glucose metabolism, pH regulation, erythropoiesis, iron metabolism, extracellular matrix metabolism, inflammation, angiogenesis and control of vascular tone [3]. However, carbonic anhydrase isoform CAIX is one of the most inducible and most uniformly HlF- lα induced genes [4]. Moreover because of its longer half-life (around 38 hours compared to minutes to HIF- lα [5]) and membrane location, it has become a reliable histological marker of hypoxia [6-8]. [0005] The expression of CAIX, as evaluated by immunohistochemical techniques in several human cancers, has revealed a prognostic significance in renal [9], breast [10], bladder [11] head and neck [12, 13], cervix carcinomas [14], soft tissue sarcoma [15] and in non-small cell lung carcinoma [16, 17]. In the gastrointestinal tract, its expression has been demonstrated in esophageal, gastric, colorectal, biliary, and pancreatic adenocarcinomas (range, 34%-80%) [18-20]. High CAIX expression has been observed to correlate with poor prognosis in both esophageal and gastric adenocarcinoma [21]. Despite elevated expression in malignancies, it is generally absent from the normal tissues from which these tumors develop. Expression of CAIX in normal human tissues is restricted to epithelia of the gastrointestinal tract, namely those lining the stomach, small intestine and gallbladder [22]. [0006] Initial investigations using xenograft models demonstrated that the intratumoral expression of CAIX co-localized closely with the exogenous hypoxia marker pimonidazole, suggesting that expression of CAIX may act as an endogenous marker of tumor hypoxia [23]. Using immunohistochemical methods, the positive correlation of CAIX expression with uptake of exogenous hypoxia markers has been demonstrated in tumors of the cervix, nasophaynx and lung [24-26]. In addition, positive correlations have also been observed between CAIX expression and other indicators of tumor hypoxia, such as HIF [13], GLUT-I [27] and pθ2 probe measurements[9, 28]. [0007] Fifteen different isoforms of Carbonic anhydrase are know to exist and the 12 catalytically active isoforms, which play important physiological functions are strongly inhibited by aromatic/heterocyclic sulfonamides, Only four of these isoforms (CAIV, CAIX, CAXII and CAXIV) exist as membrane bound forms. The catalytic site of these enzymes is a Zn(II) located at the bottom of a 15 A deep active cleft and is coordinated with three histidine residues as well as a water molecule/hydroxide ion. Sulfonamide CA inhibitors work by binding to the Zn(II) ion in tetrahedral geometry via the nitrogen of the sulfonamide (31 , 32).
[0008] Much of the early work on structure activity relationships has been performed with the isoform CAII and there are seven CA inhibitors in clinical use. A comparison of the inhibitory properties of a number of sulfonamides with CA I, CAII, CAIV and CAIX has been reported (Vullo et al., [33], cf Figure 1). The data show that aromatic and heterocyclic sulfonamides can be derivatised to show selectivity for CAIX over plasma membrane bound CAIV and the cytosolic CAI and CAII.
Vullo et al., Figure 1. Structure of aromatic and heterocyclic sulfonamide anlogs
|0009] Other data from the Supuran group ([34]-[36], cf Figure 2) has shown that various fluorescein-benzylsulfonamide conjugates have retained affinity for CAIX over CAI and that the spacer has little effect on these affinities (for compound E, Ki of 29, 26 and 24 nM ofr CAIX with n=0, l and 2). However the uptake of compound E3 by hypoxic cells showed intense staining in the cytoplasm whereas the CAIX is known to be membrane bound.
[0010] Since CAIX is an endogenous marker of hypoxia at the tumor level and HlFl transcriptional activity at the cellular level, it is a good molecular target for imaging therapeutic interventions. The non-invasive assessment of CAIX expression has the potential to indicate disease prognosis, provide information relating to tumor biology at both the regional and molecular level, and also serve to indicate the efficacy of various radio- and chemotherapeutic strategies.
[0011] Since HIF- lα, has been shown to orchestrate a large number of molecular events required for the adaptation of tumor cells to hypoxia, it has become an attractive target for the development of anticancer drugs. Heat shock protein 90 (Hsp90) is a molecular chaperone whose association is required for stability and function of multiple mutated, chimeric, and over-expressed signaling proteins that promote cancer cell growth and/or survival [44]. Hsp90 client proteins include telomerase, mutated p53, Bcr-Abl, Raf-1, Akt, HER2/Neu (ErbB2), mutated B-Raf, mutated EGF receptor, and HIF-l α [44]. Treatment of a number of tumor types with HSP90 inhibitors has resulted in degradation of HIF lα and CAIX [45-47]. In SiHa cervical carcinomas xenografts the proteasome inhibitor bortezomib has been shown to up regulate HIF-lα in non hypoxic tissue and a decrease CAIX levels [48]. In a clinical trial of bortezomib, the same groups were able to demonstrate a decrease in CAIX levels in colorectal tumors patients [48]. CAIX expression seems to be an important predictor of outcome in renal cell carcinoma patients receiving IL-2- based therapy and may enhance prognostic information obtained from pathology specimens [49]. HIV protease inhibitors such as Nelfϊnavir and amprenavir have been shown to decrease HIF- lα expression [50].
[0012] Histone deacetylase inhibitors (HDAIs) are among the promising anti -cancer compounds currently in clinical trials. In addition to inducing hyperacetylation of histones, HDAIs have been found to repress HIF function, which has been construed as an important pharmacological mechanism underlying the HDAI -mediated repression of tumor growth and angiogenesis. While HDAIs are potent inhibitors of HIF function and thus may be useful in the prevention and treatment of cancers, a major dilemma is that they may induce hyperacetylation of nonspecific targets thus causing side effects. A better understanding is now required of the molecular and biochemical mechanisms underlying the anti -HIF effects of these compounds [51].
[0013] Recently there has been a renewed interest in direct targeting of CA IX in cancer therapy
[52]. Antiproliferative effects of sulfonamides are mediated by inhibition of CAIX [53, 54]. Indisulam is a sulfonamide derivative (originally called E7070, [55]) has demonstrated powerful anticancer activity and has recently been shown to have a nanomolar inhibitor of CA IX [56, 57] and has progressed to Phase I and Phase II clinical trials for treatment of solid tumors. Its mechanism of action is not clear, however, because the drug has a wide range of activity including: perturbation of the cell cycle in the G 1 and/or G2 phases, down-regulation of cyclins, reduction of CDK2 activity, inhibition of phosphorylation of the retinoblastoma protein and in differential expression of molecules known to participate in cell adhesion, signaling and immune response, in addition to its inhibitory properties against CAIX. Indisulam shows in vivo efficacy against human tumor xenografts in nude mice, where it exhibits significant antitumor effects ' [56]. Other CAIX inhibitors [58-60] strongly inhibit CAIX, with K1 values in the range 7.3-89 nM [59]. A broad-spectrum inhibitor acetazolamide, which can also inhibit intracellular carbonic anhydrases, has show synergy with several anti-cancer drugs in vivo [61].
[0014] Consequently, there are a number of drugs in preclinical and clinical development which directly and indirectly target CAIX, but other than invasive biopsy sampling, these is no effective method to determine the effect of the drug on its target and that is where non-invasive functional imaging methods such as Positron Emission Tomography (PET) could play a stronger role in drug development and clinical testing. PET is an emerging functional imaging technology, which is now broadly applied for imaging human tumors [62]. High resolution animal PET scanners are available for small animal imaging. An advantage of PET over conventional nuclear medicine imaging is that PET provides quantitative information about radiotracer accumulation.
[0015] As presented above, hypoxia is an important element of various tumor types and can impact on patient treatment and planning. Various tracers have been produced for non-invasive imaging of hypoxia, but they all rely on passive diffusion of the radiotracers into cells and their selective reduction and trapping in hypoxic cells as well as the release of the radiotracer from non hypoxic cells. Even with these small imaging agents the whole process can take a considerable amount of time before excess radioligand has cleared from the tissues and sufficient contrast between hypoxic and normal tumor allows for PET imaging. In addition conventional hypoxia tracers can redistribute over time and it is unclear if this is reflecting true hypoxic changes in the tumor microenvironment or some other effect. Since CAIX has a slow degradation rate in vivo (Un around 38 hours), this indicator of hypoxia will give a time averaged picture of the tumor hypoxia rather than a snapshot image of when the tumor is being imaged. [0016] Conventional hypoxia tracers (i.e.18F-FMIZO,64Cu-ATSM and124I-IAZGP) can redistribute over short periods of time and it is unclear if this is reflecting true hypoxic changes in the tumor microenvironment or some other effect. Since CAIX has a slow degradation rate in vivo (Un around 38 hours), this indicator of hypoxia will enable an average picture of the tumor hypoxia over the preceding 24-48 hours to be imaged rather than a single frame in the movie showing the varying hypoxic status of the tumor.
[0017] A variety of new cancer therapies are based direct or indirect targeting of such cellular targets as HIF l α and CAIX. Currently the only way iυ asses the efficacy of these agents is wait lengthy follow up periods or to perform biopsies. In practice only a fraction of study patients have biopsies because they are invasive. Moreover, a majority of patients have tumors that cannot be sampled without significant risk to the patient.
[0018] Accordingly, a need therefore exists for the development of agents, i.e. compounds, that are effective to serve as monitors or tracers of Carbonic anhydrase activity in contemporary imaging testing systems and procedures, and it is toward the fulfillment of that need, that the present invention is directed. SUMMARY OF THE INVENTION
|0019] Compounds, and pharmaceutical compositions thereof, useful as probes and tracers for use in imaging systems, for indentifying hypoxic tumors are described herein.
[0020) In particular, compounds, pharmaceutical compositions and methods provided are used for indentifying hypoxic tumors in mammals.
[0021] In certain aspects, the present invention provides compounds useful as probes and racers for indentifying hypoxic tumors, wherein the the hypoxic tumor is Carbonic anhydrase IX-positive.
[0022] In one aspect, the present invention provides compounds according to formula I':
wherein
W is a group selected from:
each CyI and Cy2 are independently substituted or unsubstituted aryl or substituted or unsubstituted heteroaryl;
A is selectected from -(CH2)n-NH-C(=O)-, -<CH2)n-C(=O)NH-, -(CH2)n-NHC(=O)-NH-, and -(CH2)n-NH-C(=S)-NH-; n is 0, 1, or 2;
L1 is a single bond, substituted or unsubstituted CpC4 alkylene; or -(CH2)m-NH-C(=O)-; m is 2 or 3;
L2 is a single bond, or substituted or unsubstituted C1-C4 alkylene;
R' is a metal chelator group or a fluorescent ligand; provided the metal chelator group or the fluorescent ligand contains at least 2 or more N; and each N atom is substituted with at least one CH2COOH group; and
R2 is H, substituted or unsubstituted alkyl, substituted or unsubstituted cycloalkyl, substituted or unsubstituted heterocycloalkyl, substituted or unsubstituted aryl, substituted or unsubstituted heteroaryl, substituted or unsubstituted CH2-cycloalkyl, substituted or unsubstituted CH2-heterocycloalkyl, substituted or unsubstituted CH2-aryl, substituted or unsubstituted CH2- heteroaryl, substituted or unsubstituted CH2-SH; or a pharmaceutically acceptable salt, solvate, prodrug, stereoisomer, tautomer or isotopic variant thereof; provided that the compound is other than H-^-CaminosulfonyOphenyn-S^^-trisCcarboxymethyO-l l-oxo-S.o^. lI- tetraazatetradecanoic acid
J0023] In one particular embodiment of the invention, with respective to compounds of formula
I', W is Cy2
[0024] In another particular embodiment of the invention, with respective to compounds of formula I', W is
[0025] In one embodiment of the invention, with respective to compounds of formula I', W is
R
2 and L
2 is a single bond
[0026] In one particular embodiment of the invention, with respective to compounds of formula
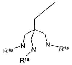
I', R' IS
wherein R
la is CH
2COOH and R
lb is COOH
[0027] In another aspect, pharmaceutical compositions are provided comprising a compound of the invention, and a pharmaceutical carrier, excipient or diluent The pharmaceutical composition can comprise one or more of the compounds described herein In a further embodiment, the pharmaceutical compositions of the invention can comprise a compound in combination with one or more other compounds and/or compositions having a like therapeutic effect.
[0028] It will be understood that compounds of the present invention useful in the pharmaceutical compositions and treatment methods disclosed herein, can be pharmaceutically acceptable as prepared and used.
[0029] In further aspect of the invention, the compounds of the invention may be generated and employed as e.g. specific positron emission tomography (PET) or single photon emission tomography (SPECT) radioligands against CAIX, which can be used repeatedly to determine the expression of this(Oncoprotein before and during therapy. As such, the invention extends to the use of the compounds and compositions of the invention as imaging agents to analyze and measure the status and activity of hypoxic tumors. More particularly, the invention includes a method for monitoring the progress and status of a cancer therapy, including the administration of medicaments or the performance of therapeutic procedures such as surgical procedures, the monitoring method comprising diagnostic imaging with the use and assistance of compounds of the invention, as well as the administration of therapeutic agents also comprising compounds of the invention, for the treatment of such hypoxic (solid) tumors. [0030] With respect to the imaging technology useful in the present invention, positron emission tomography (PET) is an emerging functional imaging technology, which is now broadly applied for imaging human tumors. High resolution animal PET scanners are available for small animal imaging. An advantage of PET over conventional nuclear medicine imaging is that PET provides quantitative information about radiotracer accumulation. Consequently, the present invention extends to methods for the diagnosis and prognosis of the onset or presence of cancers associated with the presence and increased growth and malignancy of hypoxic tumors.
[0031] One of the advantages of combining such an imaging technique with a systemic administration of a radioligand is that it allows for the whole body to be analyzed at once for both the primary tumor as well as any metastases. Imaging also reports on the average expression of CAIX by whole tumors and not just that of a section which may or may not be representative of the whole tumor. As a result, this method is believed to facilitate very rapid and non invasive quantification of CAIX expression both before and during therapy, so that therapies that target these receptors could be individually optimized for a particular patient.
[0032] Sulfonamide ligands have been shown to bind to virtually all CA isoforms.
Consequently, the present inventors hypothesized that the use of hydrophilic chelators and heavily sulfonated fluorophores (e.g. Alexa 680, Cy 5.5), would reduce the passive internalization of the ligand and preferentially target the CA isoforms expressed on the cell surface. Accordingly, the present invention includes the identification and production of first generation sulfonamide based agents which bind to CAIX in vitro and in vivo. More particularly, the invention includes the optimization of the binding to CAIX by probing the binding pocket with contains the active Zn(II). Certain of the compounds of the invention have been determined to have nM affinities to CAIX expressed by three different tumor models. [0033] In further aspects, the invention extends to the identification of compounds having the activities sought herein, by measuring the binding of such compounds to CAIX to identify compounds having favorable binding affinities, and then further testing such compounds by contact with the CAIX
Zn(II) binding pocket. The invention further extends to the structural optimization of active compounds, and may include various structural modifications to the molecule to enhance the uptake of the ligand as well as enhance desirable biodistribution. Those compounds identified and developed in accordance with these methods may then be used in accordance with the diagnostic and prognostic aspects of the invention, to monitor the effects of various drug therapies on CAIX upregulation and downregulation in vivo.
[0034] In another aspect, methods are provided for preventing, treating or ameliorating a condition from among those listed herein, and particularly, such condition as may be associated with, e.g., hypoxic (solid) malignant tumors.
[0035] In yet another aspect, methods are provided for preventing, treating or ameliorating a variety of disease states, including the diseases associated with hypoxic (solid) malignant tumors by administration of a compound from among those provided herein.
[0036] In a further aspect, methods are provided for preventing, treating or ameliorating a disease or condition as may be associated with, e.g., hypoxic (solid) malignant tumors in a mammal.
Typically, the methods comprise administering an effective condition-treating or condition-preventing amount of one or more of the compounds as provided herein, or pharmaceutical composition thereof, to the mammal in need thereof.
[0037] In addition to the methods of treatment set forth above, the present invention extends to the use of any of the compounds of the invention for the preparation of medicaments that may be administered for such treatments, as well as to such compounds for the treatments disclosed and specified.
[0038] In additional aspects, methods are provided for synthesizing the compounds described herein, with representative synthetic protocols and pathways described below.
[0039] Accordingly, it is a principal object of the invention to provide a novel series of compounds, which can assist in the diagnostic imaging of hypoxic tumors, via the measurement of CAIX presence and expression.
[0040] A still further object of the invention is to provide pharmaceutical compositions that are effective in the diagnosis and/or prognosis or monitoring of disease states, including the diseases associated with the development, growth and malignancy of hypoxic tumors.
[0041] A still further object of the invention is to provide a method for the treatment of the disease states recited above, by the administration of a therapeutically effective amount of the compounds of the invention, and/or the pharmaceutical compositions of the invention, either alone, or in conjunction with known anti-tumor therapies and agents, to enhance or facilitate the therapeutic effectiveness of the latter.
[0042] A yet further object of the invention is to provide formulations for the treatment of the diseases as aforesaid, by the combination of at least one of the compounds of the invention, a pharmaceutical composition of the invention, combinations thereof with other compounds and compositions having a like therapeutic effect.
[0043] Other objects and advantages will become apparent to those skilled in the art from a consideration of the ensuing detailed description, which proceeds with reference to the following illustrative drawings.
BRIEF DESCRIPTION OF THE DRAWINGS
[0044] FIGURE 1 is a preparative HPLC elution profile of1 1 1In-CM. "1In-CH elutes at 22.1 minutes.
[0045] FIGURES 2A and 2B are graphs presenting the results of experiments with saturation binding "1 In-Cl 5 and131I-cG250 to SKRC38 cells. The calculated Bmax values are 930 000 sites/cell for
In-CH and 1 130 000 sites for131I-cG250.
[0046] FIGURE 3 is a graph presenting the results of experiments with displacement binding ofmIn-C15 to SKRC38 cells.
[0047] FIGURES 4A and 4B graphically depict macroscopic biodistribution of ' '1In-C 15 in mice with SKRC38 tumors (LHS) and of either "ln-C15 or64CuZ111In-ClS in mice with HT29 rumors
(RHS).
DETAILED DESCRIPTION OF THE INVENTION
Definitions
[0048] The following terms are intended to have the meanings presented therewith below and are useful in understanding the description and intended scope of the present invention.
[0049] When describing the invention, which may include compounds, pharmaceutical compositions containing such compounds and methods of using such compounds and compositions, the following terms, if present, have the following meanings unless otherwise indicated. It should also be understood that when described herein any of the moieties defined forth below may be substituted with a variety of substiruents, and that the respective definitions are intended to include such substituted moieties within their scope as set out below. Unless otherwise stated, the term "substituted" is to be defined as set out below. It should be further understood that the terms "groups" and "radicals" can be considered interchangeable when used herein.
[0050] The articles "a" and "an" may be used herein to refer to one or to more than one (i.e. at least one) of the grammatical objects of the article. By way of example "an analogue" means one analogue or more than one analogue.
[0051)■ 'Acyl' or 'AlkanoyP refers to a radical -C(O)R20, where R20 is hydrogen, CrC8 alkyl, C3-
Cιo cycloalkyl, C3-C10 cycloalkylmethyl, 4-10 membered heterocycloalkyl, aryl, arylalkyl, 5-10 membered heteroaryl or heteroarylalkyl as defined herein. Representative examples include, but are not limited to, formyl, acetyl, cyclohexylcarbonyl, cyclohexylmethylcarbonyl, benzoyl and benzylcarbonyl. Exemplary
'acyl' groups are -C(O)H, -C(O)-C1-C8 alkyl, -C(O)-(CH2)t(C6-C10 aryl), -C(O)-(CH2)t(5-10 membered heteroaryl), -C(O)-(CH2X(C3-Ci0 cycloalkyl), and -C(O)-(CH2),(4-10 membered heterocycloalkyl), wherein t is an integer from 0 to 4.
[0052] 'Substituted AcyP or 'Substituted Alkanoyl' refers to a radical -C(O)R21, wherein R21 is independently
• Ci-C8 alkyl, substituted with halo or hydroxy; or
• C3-Ci0 cycloalkyl, 4-10 membered heterocycloalkyl, C6-Co aryl, arylalkyl, 5-10 membered heteroaryl or heteroarylalkyl, each of which is substituted with unsubstituted C1-C4 alkyl, halo, unsubstituted Ci-C4 alkoxy, unsubstituted CpC4 haloalkyl, unsubstituted Ci-C4 hydroxyalkyl, or unsubstituted Ci-C4 haloalkoxy or hydroxy.
[0053] 'Acylamino' refers to a radical -NR22C(O)R23, where R22 is hydrogen, Ci-C8 alkyl, C3-Ci0 cycloalkyl, 4-10 membered heterocycloalkyl, C6-C10 aryl, arylalkyl, 5-10 memberd heteroaryl or heteroarylalkyl and R23 is hydrogen, CrC8 alkyl, C3-CiO cycloalkyl, 4-10 membered heterocycloalkyl, C6- Cio aryl, arylalkyl, 5-10 membered heteroaryl or heteroarylalkyl, as defined herein. Exemplary 'acylamino' include, but are not limited to, formylamino, acetylamino, cyclohexylcarbonylamino, cyclohexylmethyl-carbonylamino, benzoylamino and benzylcarbonylamino. Particular exemplary 'acylamino' groups are -NR24C(O)-C-C8 alkyl, -NR24C(O)-(CH2X(C6-C0 aryl), -NR24C(O)-(CH2)t(5-10 membered heteroaryl), -NR24C(O)-(CHj)1(C3-Ci0 cycloalkyl), and -NR24C(O)-(CH2),(4-10 membered heterocycloalkyl), wherein t is an integer from 0 to 4, and each R24 independently represents H or C-Cs alkyl.
[0054] 'Substituted Acylamino' refers to a radical -NR25C(O)R26, wherein:
R25 is independently
• H, C-C8 alkyl, substituted with halo or hydroxy; or
• C3-Ci0 cycloalkyl, 4-10 membered heterocycloalkyl, C6-Cj0 aryl, arylalkyl, 5-10 membered heteroaryl or heteroarylalkyl, each of which is substituted with unsubstituted CpC4 alkyl, halo, unsubstituted CpC4 alkoxy, unsubstituted CpC4 haloalkyl, unsubstituted CpC4 hydroxyalkyl, or unsubstituted C-C4 haloalkoxy or hydroxy; and
R26 is independently
• H, C-C8 alkyl, substituted with halo or hydroxy; or
• C3-C0 cycloalkyl, 4-10 membered heterocycloalkyl, C6-Cj0 aryl, arylalkyl, 5-10 membered heteroaryl or heteroarylalkyl, each of which is substituted with unsubstituted CpC4 alkyl, halo, unsubstituted Cj-C4 alkoxy, unsubstituted C1-C4 haloalkyl, unsubstituted Cj-C4 hydroxyalkyl, or unsubstituted CpC4 haloalkoxy or hydroxyl; provided at least one of R25 and R26 is other than H.
[0055] 'Acyloxy' refers to a radical -OC(O)R27, where R27 is hydrogen, C-C8 alkyl, C3-C0 cycloalkyl, C3-Ci0 cycloalkylmethyl, 4-10 membered heterocycloalkyl, aryl, arylalkyl, 5-10 membered heteroaryl or heteroarylalkyl as defined herein. Representative examples include, but are not limited to, formyl, acetyl, cyclohexylcarbonyl, cyclohexylmethylcarbonyl, benzoyl and benzylcarbonyl. Exemplary 'acyl' groups are -C(O)H, -C(O)-C1-C8 alkyl, -C(O)-(CHz)1(C6-C10 aryl), -C(O)-(CH2),(5-10 membered heteroaryl), -C(0)-(CH2),(C3-Cιo cycloalkyl), and -C(O)-(CH2)t(4-10 membered heterocycloalkyl), wherein t is an integer from O to 4. 10056] 'Substituted Acyloxy' refers to a radical -OC(O)R28, wherein R28 is independently
• CpC8 alkyl, substituted with halo or hydroxy; or
• C3-Ci0 cycloalkyl, 4-10 membered heterocycloalkyl, Cn-Ci0 aryl, arylalkyl, 5-10 membered heteroaryl or heteroarylalkyl, each of which is substituted with unsubstituted Ci-C4 alkyl, halo, unsubstituted Ci-C4 alkoxy, unsubstituted CrC4 haloalkyl, unsubstituted CpC4 hydroxyalkyl, or unsubstituted CpC4 haloalkoxy or hydroxy.
|0057] 'Alkoxy' refers to the group -OR29 where R29 is CpC8 alkyl. Particular alkoxy groups are methoxy, ethoxy, n-propoxy, isopropoxy, n-butoxy, tert-butoxy, sec-butoxy, n-pentoxy, n-hexoxy, and 1,2-dimethylbutoxy. Particular alkoxy groups are lower alkoxy, i.e. with between 1 and 6 carbon atoms. Further particular alkoxy groups have between 1 and 4 carbon atoms.
[0058] 'Substituted alkoxy' refers to an alkoxy group substituted with one or more of those groups recited in the definition of "substituted" herein, and particularly refers to an alkoxy group having 1 or more substituents, for instance from 1 to 5 substituents, and particularly from 1 to 3 substituents, in particular 1 substituent, selected from the group consisting of amino, substituted amino, C6-CiO aryl, aryloxy, carboxyl, cyano, C3-Ci0 cycloalkyl, 4-10 membered heterocycloalkyl, halogen, 5-10 membered heteroaryl, hydroxyl, nitro, thioalkoxy, thioaryloxy, thiol, alkyl-S(O)-, aryl-S(O)-, alkyl-S(O)2- and aryl- S(O)2-. Exemplary 'substituted alkoxy' groups are -O-(CH2)t(C6-Ci0 aryl), -O-(CH2),(5-10 membered heteroaryl), -O-(CH2)t(C3-Ci0 cycloalkyl), and -O-(CH2)t(4-10 membered heterocycloalkyl), wherein t is an integer from 0 to 4 and any aryl, heteroaryl, cycloalkyl or heterocycloalkyl groups present, may themselves be substituted by unsubstituted CpC4 alkyl, halo, unsubstituted CpC4 alkoxy, unsubstituted CpC4 haloalkyl, unsubstituted CpC4 hydroxyalkyl, or unsubstituted CpC4 haloalkoxy or hydroxy. Particular exemplary 'substituted alkoxy' groups are OCF3, OCH2CF3, OCH2Ph, OCH2-cyclopropyl, OCH2CH2OH, and OCH2CH2NMe2.
[0059] 'Alkoxycarbonyl' refers to a radical -C(O)-OR30 where R30 represents an CpC8 alkyl, C3-
Cιo cycloalkyl, C3-Ci0 cycloalkylalkyl, 4-10 membered heterocycloalkylalkyl, aralkyl, or 5-10 membered heteroarylalkyl as defined herein. Exemplary "alkoxycarbonyl" groups are C(O)O-CpC8 alkyl, -C(O)O- aryl), -C(O)O-(CH2)t(5-10 membered heteroaryl), -C(O)O-(CH2)t(C3-Ci0 cycloalkyl), and - C(O)O-(CH2),(4-10 membered heterocycloalkyl), wherein t is an integer from 1 to 4. [0060] 'Substituted Alkoxycarbonyl' refers to a radical -C(O)-OR31 where R31 represents:
• CpC8 alkyl, C3-Ci0 cycloalkyl, C3-Ci0 cycloalkylalkyl, or 4-10 membered heterocycloalkylalkyl, each of which is substituted with halo, substituted or unsubstituted amino, or hydroxy; or • C6-Ci0 aralkyl, or 5-10 membered heteroarylalkyl, each of which is substituted with unsubstituted Ci -C4 alkyl, halo, unsubstituted Ci -C4 alkoxy, unsubstituted Ci -C4 haloalkyl, unsubstituted CrC4 hydroxyalkyl, or unsubstituted CpC4 haloalkoxy or hydroxyl.
[0061] 'Aryloxycarbonyl' refers to a radical -C(O)-OR32 where R32 represents an C6-Ci0 aryl, as defined herein. Exemplary "aryloxycarbonyl" groups is -C(O)O-(C6-Ci0 aryl).
[0062] 'Substituted Aryloxycarbonyl' refers to a radical -C(O)-OR33 where R33 represents
• C6-Ci0 aryl, substituted with unsubstituted CpC4 alkyl, halo, unsubstituted Ci-C4 alkoxy, unsubstituted CpC4 haloalkyl, unsubstituted Ci-C4 hydroxyalkyl, or unsubstituted CrC4 haloalkoxy or hydroxyl.
[0063] 'HeteroaryloxycarbonyP refers to a radical -C(O)-OR34 where R34 represents a 5-10 membered heteroaryl, as defined herein. An exemplary "aryloxycarbonyl" group is -C(O)O-(5-10 membered heteroaryl). [0064] 'Substituted HeteroaryloxycarbonyP refers to a radical -C(O)-OR35 where R35 represents:
• 5-10 membered heteroaryl, substituted with unsubstituted Ci-C4 alkyl, halo, unsubstituted Cp C4 alkoxy, unsubstituted CpC4 haloalkyl, unsubstituted CpC4 hydroxyalkyl, or unsubstituted CpC4 haloalkoxy or hydroxyl.
[0065] 'Alkoxycarbonylamino' refers to the group -NR36C(O)OR37, where R36 is hydrogen, C,-
C8 alkyl, C3-C10 cycloalkyl, C3-Ci0 cycloalkylmethyl, 4-10 membered heterocycloalkyl, aryl, arylalkyl, 5- 10 membered heteroaryl or heteroarylalkyl as defined herein, and R37 is CpCg alkyl, C3-Ci0 cycloalkyl, C3-CiO cycloalkylmethyl, 4-10 membered heterocycloalkyl, aryl, arylalkyl, 5-10 membered heteroaryl or heteroarylalkyl as defined herein.
[0066] 'Alkyl' means straight or branched aliphatic hydrocarbon having 1 to 20 carbon atoms.
Particular alkyl has 1 to 12 carbon atoms. More particular is lower alkyl which has 1 to 6 carbon atoms. A further particular group has 1 to 4 carbon atoms. Exemplary straight chained groups include methyl, ethyl n-propyl, and n-butyl. Branched means that one or more lower alkyl groups such as methyl, ethyl, propyl or butyl is attached to a linear alkyl chain, exemplary branched chain groups include isopropyl, iso- butyl, t-butyl and isoamyl.
[0067] 'Substituted alkyl' refers to an alkyl group as defined above substituted with one or more of those groups recited in the definition of "substituted" herein, and particularly refers to an alkyl group having 1 or more substituents, for instance from 1 to 5 substituents, and particularly from 1 to 3 substituents, in particular 1 substituent, selected from the group consisting of acyl, acylamino, acyloxy (- O-acyl or -OC(O)R20), alkoxy, alkoxycarbonyl, alkoxycarbonylamino (-NR -alkoxycarbonyl or -NH- C(O)-OR27), amino, substituted amino, aminocarbonyl (carbamoyl or amido or -C(O)-NR2), aminocarbonylamino (-NR -C(O)-NR 2), aminocarbonyloxy (-0-C(O)-NR2), aminosulfonyl, sulfonylamino, aryl, aryloxy, azido, carboxyl, cyano, cycloalkyl, halogen, hydroxy, heteroaryl, nitro, thiol, -S-alkyl, -S-aryl, -S(O)-alkyl,-S(O)-aryl, -S(O)2-alkyl, and -S(O)2-aryl. In a particular embodiment 'substituted alkyl' refers to a CpC8 alkyl group substituted with halo, cyano, nitro, trifluoromethyl, trifluoromethoxy, azido, -NR"SO2R", -SO2NR"R", -C(O)R", -C(O)OR", -OC(O)R", -NR"'C(O)R", - C(O)NR R", -NR'R", or -(CR'"R"")mOR"; wherein each R" is independently selected from H, Ci-C8 alkyl, -(CHj)1(C6-Ci0 aryl), -(CH2),(5-10 membered heteroaryl), -(CHa)1(C3-Ci0 cycloalkyl), and -(CH2),(4-10 membered heterocycloalkyl), wherein t is an integer from 0 to 4 and any aryl, heteroaryl, cycloalkyl or heterocycloalkyl groups present, may themselves be substituted by unsubstituted CpC4 alkyl, halo, unsubstituted CpC4 alkoxy, unsubstituted CpC4 haloalkyl, unsubstituted CpC4 hydroxyalkyl, or unsubstituted CpC4 haloalkoxy or hydroxy. Each of R and R independently represents H or CpCg alkyl.
[0068] 'Alkylene' refers to divalent saturated alkene radical groups having 1 to 1 1 carbon atoms and more particularly 1 to 6 carbon atoms which can be straight-chained or branched. This term is exemplified by groups such as methylene (-CH2-), ethylene (-CH2CH2-), the propylene isomers (e.g., - CH2CH2CH2- and -CH(CH3)CH2-) and the like.
[0069] 'Substituted alkylene' refers to those groups recited in the definition of "substituted" herein, and particularly refers to an alkylene group having 1 or more substituents, for instance from 1 to 5 substituents, and particularly from 1 to 3 substituents, selected from the group consisting of acyl, acylamino, acyloxy, alkoxy, substituted alkoxy, alkoxycarbonyl, alkoxycarbonylamino, amino, substituted amino, aminocarbonyl, amino-carbonylamino, aminocarbonyloxy, aryl, aryloxy, azido, carboxyl, cyano, halogen, hydroxyl, keto, nitro, thioalkoxy, substituted thioalkoxy, thioaryloxy, thioketo, thiol, alkyl-S(O)-, aryl-S(O)-, alkyl-S(O)2- and aryl-S(O)2-.
[0070] 'Alkenyl' refers to monovalent olefinically unsaturated hydrocarbyl groups preferably having 2 to 11 carbon atoms, particularly, from 2 to 8 carbon atoms, and more particularly, from 2 to 6 carbon atoms, which can be straight-chained or branched and having at least 1 and particularly from 1 to 2 sites of olefinic unsaturation. Particular alkenyl groups include ethenyl (-CH=CH
2), /z-propenyl (- CH
2CH=CH
2), isopropenyl (-C(CH
3)=CH
2), vinyl and substituted vinyl, and the like. [0071] 'Substituted alkenyl' refers to those groups recited in the definition of "substituted" herein, and particularly refers to an alkenyl group having 1 or more substituents, for instance from 1 to 5 substituents, and particularly from 1 to 3 substituents, selected from the group consisting of acyl, acylamino, acyloxy, alkoxy, substituted alkoxy, alkoxycarbonyl, alkoxycarbonylamino, amino, substituted amino, aminocarbonyl, aminocarbonylamino, aminocarbonyloxy, aryl, aryloxy, azido, carboxyl, cyano, cycloalkyl, substituted cycloalkyl, halogen, hydroxyl, keto, nitro, thioalkoxy, substituted thioalkoxy, thioaryloxy, thioketo, thiol, alkyl-S(O)-, aryl-S(O)-, alkyl-S(O)
2- and aryl-S(O)
2-. [0072] 'Alkenylene' refers to divalent olefinically unsaturated hydrocarbyl groups particularly having up to about 1 1 carbon atoms and more particularly 2 to 6 carbon atoms which can be straight- chained or branched and having at least 1 and particularly from 1 to 2 sites of olefinic unsaturation. This term is exemplified by groups such as ethenylene (-CH=CH-), the propenylene isomers (e.g., - CH=CHCH
2- and
and -CH=C(CH
3)-) and the like.
[0073] 'Alkynyl' refers to acetylenically or alkynically unsaturated hydrocarbyl groups particularly having 2 to 1 1 carbon atoms, and more particularly 2 to 6 carbon atoms which can be straight- chained or branched and having at least 1 and particularly from 1 to 2 sites of alkynyl unsaturation. Particular non-limiting examples of alkynyl groups include acetylenic, ethynyl (-C≡CH), propargyl (- CH2OCH), and the like.
[0074] 'Substituted alkynyl' refers to those groups recited in the definition of "substituted" herein, and particularly refers to an alkynyl group having 1 or more substituents, for instance from 1 to 5 substituents, and particularly from 1 to 3 substituents, selected from the group consisting of acyl, acylamino, acyloxy, alkoxy, substituted alkoxy, alkoxycarbonyl, alkoxycarbonylamino, amino, substituted amino, aminocarbonyl, aminocarbonylamino, aminocarbonyloxy, aryl, aryloxy, azido, carboxyl, cyano, cycloalkyl, substituted cycloalkyl, halogen, hydroxyl, keto, nitro, thioalkoxy, substituted thioalkoxy, thioaryloxy, thioketo, thiol, alkyl-S(O)-, aryl-S(O)-, alkyl-S(O)2- and aryl-S(O)2-. [0075] 'Amino' refers to the radical -NH2.
[0076] 'Substituted amino' refers to an amino group substituted with one or more of those groups recited in the definition of 'substituted' herein, and particularly refers to the group -N(R38)2 where each R38 is independently selected from:
• hydrogen, Ci-C8 alkyl, C6-CiO aryl, 5-10 membered heteroaryl, 4-10 membered heterocycloalkyl, or C3-C10 cycloalkyl; or
• Ci-Cg alkyl, substituted with halo or hydroxy; or
• -(CHz)1(C6-Ci0 aryl), -(CH2)t(5-10 membered heteroaryl), -(CH2)t(C3-Cio cycloalkyl) or - (CH2)((4-10 membered heterocycloalkyl) wherein t is an integer between 0 and 8, each of which is substituted by unsubstituted Ci-C4 alkyl, halo, unsubstituted CrC4 alkoxy, unsubstituted Ci-C4 haloalkyl, unsubstituted CpC4 hydroxyalkyl, or unsubstituted CpC4 haloalkoxy or hydroxy; or
• both R38 groups are joined to form an alkylene group.
When both R38 groups are hydrogen, -N(R38)2 is an amino group. Exemplary ' substituted amino' groups are -NR39-C,-C8 alkyl, -NR39-(CH2)t(C6-C,0 aryl), -NR39-(CH2),(5-10 membered heteroaryl), -NR39- (CH2),(C3-Cio cycloalkyl), and -NR39-(CH2),(4-10 membered heterocycloalkyl), wherein t is an integer from 0 to 4, each R39 independently represents H or Ci-Cs alkyl; and any alkyl groups present, may themselves be substituted by halo, substituted or unsubstituted amino, or hydroxy; and any aryl, heteroaryl, cycloalkyl or heterocycloalkyl groups present, may themselves be substituted by unsubstituted Ci-C4 alkyl, halo, unsubstituted CpC4 alkoxy, unsubstituted CpC4 haloalkyl, unsubstituted Cj-C4 hydroxyalkyl, or unsubstituted CpC4 haloalkoxy or hydroxy. For the avoidance of doubt the term "substituted amino" includes the groups alkylamino, substituted alkylamino, alkylarylamino, substituted alkylarylamino, arylamino, substituted arylamino, dialkylamino and substituted dialkylamino as defined below.
|0077] 'Alkylamino' refers to the group -NHR40, wherein R40 is CpC8 alkyl;
[0078] 'Substituted Alkylamino' refers to the group -NHR41, wherein R41 is CpC8 alkyl; and the alkyl group is substituted with halo, substituted or unsubstituted amino, hydroxy, C3-Ci0 cycloalkyl, 4-10 membered heterocycloalkyl, C6-CiO aryl, 5- 10 membered heteroaryl, aralkyl or heteroaralkyl; and any aryl, heteroaryl, cycloalkyl or heterocycloalkyl groups present, may themselves be substituted by unsubstituted Ci-C4 alkyl, halo, unsubstituted CpC4 alkoxy, unsubstituted Ci-C4 haloalkyl, unsubstituted
CpC4 hydroxyalkyl, or unsubstituted CpC4 haloalkoxy or hydroxy.
|0079] 'Alkylarylamino' refers to the group -NR42R43, wherein R42 is aryl and R43 is CrC8 alkyl.
|0080] 'Substituted Alkylarylamino' refers to the group -NR44R45, wherein R44 is aryl and R45 is
Ci-Cg alkyl; and the alkyl group is substituted with halo, substituted or unsubstituted amino, hydroxy, C3-
Cio cycloalkyl, 4-10 membered heterocycloalkyl, C6-Ci0 aryl, 5-10 membered heteroaryl, aralkyl or heteroaralkyl; and any aryl, heteroaryl, cycloalkyl or heterocycloalkyl groups present, may themselves be substituted by unsubstituted CrC4 alkyl, halo, cyano, unsubstituted Ci-C4 alkoxy, unsubstituted Ci-C4 haloalkyl, unsubstituted CpC4 hydroxyalkyl, or unsubstituted Ci-C4 haloalkoxy or hydroxy.
[0081] 'Arylamino' means a radical -NHR46 where R46 is selected from C6-Ci0 aryl and 5-10 membered heteroaryl as defined herein.
[0082] 'Substituted Arylamino' refers to the group -NHR47, wherein R47 is independently selected from C6-CiO aryl and 5-10 membered heteroaryl; and any aryl or heteroaryl groups present, may themselves be substituted by unsubstituted CpC4 alkyl, halo, cyano, unsubstituted CpC4 alkoxy, unsubstituted CpC4 haloalkyl, unsubstituted CpC4 hydroxyalkyl, or unsubstituted CpC4 haloalkoxy or hydroxy.
[0083] 'Dialkylamino' refers to the group -NR48R49, wherein each of R48 and R49 are independently selected from CpC8 alkyl.
[0084] 'Substituted Dialkylamino' refers to the group -NR
50R
51, wherein each of R
59 and R
51 are independently selected from CpC
8 alkyl; and at least one of the alkyl groups is independently substituted with halo, hydroxy, C
3-Ci
0 cycloalkyl, 4-10 membered heterocycloalkyl, C
6-Ci
0 aryl, 5-10 membered heteroaryl, aralkyl or heteroaralkyl; and any aryl, heteroaryl, cycloalkyl or heterocycloalkyl groups present, may themselves be substituted by unsubstituted CpC
4 alkyl, halo, unsubstituted CpC
4 alkoxy, unsubstituted
haloalkyl, unsubstituted CpC
4 hydroxyalkyl, or unsubstituted CpC
4 haloalkoxy or hydroxy.
[0085] 'Diarylamino' refers to the group -NR52R53, wherein each of R52 and R53 are independently selected from C6-Ci0 aryl.
[0086] 'AminosulfonyP or 'Sulfonamide' refers to the radical -S(O2)NH2.
[0087| 'Substituted aminosulfonyl' or 'substituted sulfonamide' refers to a radical such as -
S(O2)N(R54)2 wherein each R548 is independently selected from:
• H, CpC8 alkyl, C3-Ci0 cycloalkyl, 4-10 membered heterocycloalkyl, C6-Ci0 aryl, aralkyl, 5-10 membered heteroaryl, and heteroaralkyl; or
• C i -C8 alkyl substituted with halo or hydroxy; or
• C3-Ci0 cycloalkyl, 4-10 membered heterocycloalkyl, C6-Ci0 aryl, aralkyl, 5-10 membered heteroaryl, or heteroaralkyl, each of which is substituted by unsubstituted CpC4 alkyl, halo, unsubstituted CpC4 alkoxy, unsubstituted CpC4 haloalkyl, unsubstituted CpC4 hydroxyalkyl, or unsubstituted CpC4 haloalkoxy or hydroxy; provided that at least one R54 is other than H. [0088] Exemplary 'substituted aminosulfonyl' or 'substituted sulfonamide' groups are -
S(O2)N(R55)-C,-C8 alkyl, -S(02)N(R55)-(CH2)I(C6-C1o aryl), -S(O2)N(R55)-(CH2)t(5-10 membered heteroaryl), -S(02)N(R55)-(CH2)1(C3-C,o cycloalkyl), and -S(O2)N(R55)-(CH2),(4-10 membered heterocycloalkyl), wherein t is an integer from 0 to 4; each R55 independently represents H or CpC8 alkyl; and any aryl, heteroaryl, cycloalkyl or heterocycloalkyl groups present, may themselves be substituted by unsubstituted Ci-C4 alkyl, halo, unsubstituted Ci-C4 alkoxy, unsubstituted CrC4 haloalkyl, unsubstituted CpC4 hydroxyalkyl, or unsubstituted Ci-C4 haloalkoxy or hydroxy.
[0089] 'Aralkyl' or 'arylalkyl' refers to an alkyl group, as defined above, substituted with one or more aryl groups, as defined above. Particular aralkyl or arylalkyl groups are alkyl groups substituted with one aryl group.
[0090] 'Substituted Aralkyl' or 'substituted arylalkyl' refers to an alkyl group, as defined above, substituted with one or more aryl groups; and at least one of the aryl groups present, may themselves be substituted by unsubstituted CpC4 alkyl, halo, cyano, unsubstituted CrC4 alkoxy, unsubstituted CpC4 haloalkyl, unsubstituted CrC4 hydroxyalkyl, or unsubstituted CpC4 haloalkoxy or hydroxy. [0091] 'Aryl' refers to a monovalent aromatic hydrocarbon group derived by the removal of one hydrogen atom from a single carbon atom of a parent aromatic ring system. In particular aryl refers to an aromatic ring structure, mono-cyclic or poly-cyclic that includes from 5 to 12 ring members, more usually 6 to 10. Where the aryl group is a monocyclic ring system it preferentially contains 6 carbon atoms. Typical aryl groups include, but are not limited to, groups derived from aceanthrylene, acenaphthylene, acephenanthrylene, anthracene, azulene, benzene, chrysene, coronene, fluoranthene, fluorene, hexacene, hexaphene, hexalene, as-indacene, s-indacene, indane, indene, naphthalene, octacene, octaphene, octalene, ovalene, penta-2,4-diene, pentacene, pentalene, pentaphene, perylene, phenalene, phenanthrene, picene, pleiadene, pyrene, pyranthrene, rubicene, triphenylene and trinaphthalene. Particularly aryl groups include phenyl, naphthyl, indenyl, and tetrahydronaphthyl.
[0092J 'Substituted Aryl' refers to an aryl group substituted with one or more of those groups recited in the definition of 'substituted' herein, and particularly refers to an aryl group that may optionally be substituted with 1 or more substituents, for instance from 1 to 5 substituents, particularly 1 to 3 substituents, in particular 1 substituent. Particularly, 'Substituted Aryl' refers to an aryl group substituted with one or more of groups selected from halo, CpC8 alkyl, Ci-C8 haloalkyl, cyano, hydroxy, CpC8 alkoxy, and amino. [0093] Examples of representative substituted aryls include the following
[0094] In these formulae one of R56 and R57 may be hydrogen and at least one of R56 and R57 is each independently selected from CpC8 alkyl, CpCg haloalkyl, 4-10 membered heterocycloalkyl, alkanoyl, CpC8 alkoxy, heteroaryloxy, alkylamino, arylamino, heteroarylamino, NR58COR59, NR58SOR59* NR58SO2R59, COOalkyl, COOaryl, CONR58R59, CONR58OR59, NR58R59, SO2NR58R59, S-alkyl, SOalkyl, S02alkyl, Saryl, SOaryl, S02aryl; or R56 and R57 may be joined to form a cyclic ring (saturated or unsaturated) from 5 to 8 atoms, optionally containing one or more heteroatoms selected from the group N, O or S. R60, and R61 are independently hydrogen, C1-C8 alkyl, d-C haloalkyl, C3-Ci0 cycloalkyl, 4-10 membered heterocycloalkyl, C6-C|0 aryl, substituted aryl, 5-10 membered heteroaryl. |0095] 'Fused Aryl' refers to an aryl having two of its ring carbon in common with a second aryl ring or with an aliphatic ring.
[0096] 'Arylalkyloxy' refers to an -O-alkylaryl radical where alkylaryl is as defined herein.
[0097] 'Substituted Arylalkyloxy' refers to an -O-alkylaryl radical where alkylaryl is as defined herein; and any aryl groups present, may themselves be substituted by unsubstituted CrC4 alkyl, halo, cyano, unsubstituted Ci-C4 alkoxy, unsubstituted Cr4 haloalkyl, unsubstituted CrC4 hydroxyalkyl, or unsubstituted CpC4 haloalkoxy or hydroxy. [0098] 'Azido' refers to the radical -N3.
[0099] 'Carbamoyl or amido' refers to the radical -C(O)NH2.
[00100] 'Substituted Carbamoyl or substituted amido' refers to the radical -C(O)N(R62)2 wherein each R62 is independently
• H, CrC8 alkyl, C3-CiO cycloalkyl, 4-10 membered heterocycloalkyl, C6-C10 aryl, aralkyl, 5-10 membered heteroaryl, and heteroaralkyl; or
• Ci-C8 alkyl substituted with halo or hydroxy; or
• C3-Ci0 cycloalkyl, 4-10 membered heterocycloalkyl, C6-Ci0 aryl, aralkyl, 5-10 membered heteroaryl, or heteroaralkyl, each of which is substituted by unsubstituted Ci-C4 alkyl, halo, unsubstituted CpC4 alkoxy, unsubstituted CpC4 haloalkyl, unsubstituted CrC4 hydroxyalkyl, or unsubstituted Ci -C4 haloalkoxy or hydroxy; provided that at least one R62 is other than H.
Exemplary 'Substituted Carbamoyl' groups are -C(O) NR6^C-C8 alkyl, -C(O)NR64-(CH2)l(C6-C,0 aryl),
-C(O)N64-(CH2)t(5-10 membered heteroaryl), -C(O)NR64-(CH2),(C3-C10 cycloalkyl), and -C(O)NR64-
(CH2)t(4- 10 membered heterocycloalkyl), wherein t is an integer from 0 to 4, each R64 independently represents H or CrC8 alkyl and any aryl, heteroaryl, cycloalkyl or heterocycloalkyl groups present, may themselves be substituted by unsubstituted C1-C4 alkyl, halo, unsubstituted C1-C4 alkoxy, unsubstituted
Ci-C4 haloalkyl, unsubstituted CpC4 hydroxyalkyl, or unsubstituted C1-C4 haloalkoxy or hydroxy.
[00101] 'Carboxy' refers to the radical -C(O)OH.
[00102] 'Cycloalkyl' refers to cyclic non-aromatic hydrocarbyl groups having from 3 to 10 carbon atoms. Such cycloalkyl groups include, by way of example, single ring structures such as cyclopropyl, cyclobutyl, cyclopentyl, and cyclooctyl.
[00103] 'Substituted cycloalkyl' refers to a cycloalkyl group as defined above substituted with one or more of those groups recited in the definition of 'substituted' herein, and particularly refers to a cycloalkyl group having 1 or more substituents, for instance from 1 to 5 substituents, and particularly from 1 to 3 substituents, in particular 1 substituent [00104| 'Cyano' refers to the radical -CN
(00105] 'Halo' or 'halogen' refers to fluoro (F), chloro (Cl), bromo (Br) and iodo (I) Particular halo groups are either fluoro or chloro
|00106) 'Hetero' when used to describe a compound or a group present on a compound means that one or more carbon atoms in the compound or group have been replaced by a nitrogen, oxygen, or sulfur heteroatom Hetero may be applied to any of the hydrocarbyl groups described above such as alkyl, e g heteroalkyl, cycloalkyl, e g heterocycloalkyl, aryl, e g heteroaryl, cycloalkenyl, e g cycloheteroalkenyl, and the like having from 1 to 5, and particularly from 1 to 3 heteroatoms |00107] 'Heteroaryl' means an aromatic ring structure, mono-cyclic or polycyclic, that includes one or more heteroatoms and 5 to 12 ring members, more usually 5 to 10 ring members The heteroaryl group can be, for example, a five membered or six membered monocyclic ring or a bicyclic structure formed from fused five and six membered rings or two fused six membered rings or, by way of a further example, two fused five membered rings Each ring may contain up to four heteroatoms typically selected from nitrogen, sulphur and oxygen Typically the heteroaryl ring will contain up to 4 heteroatoms, more typically up to 3 heteroatoms, more usually up to 2, for example a single heteroatom In one embodiment, the heteroaryl ring contains at least one ring nitrogen atom The nitrogen atoms in the heteroaryl rings can be basic, as in the case of an imidazole or pyridine, or essentially non-basic as in the case of an indole or pyrrole nitrogen In general the number of basic nitrogen atoms present in the heteroaryl group, including any amino group substituents of the ring, will be less than five Examples of five membered monocyclic heteroaryl groups include but are not limited to pyrrole, furan, thiophene, imidazole, furazan, oxazole, oxadiazole, oxatπazole, isoxazole, thiazole, isothiazole, pyrazole, tπazole and tetrazole groups Examples of six membered monocyclic heteroaryl groups include but are not limited to pyridine, pyrazme, pyπdazine, pyπmidine and tπazine Particular examples of bicyclic heteroaryl groups containing a five membered ring fused to another five membered ring include but are not limited to imidazothiazole and imidazoimidazole Particular examples of bicyclic heteroaryl groups containing a six membered ring fused to a five membered ring include but are not limited to benzfuran, benzthiophene, benzimidazole, benzoxazole, isobenzoxazole, benzisoxazole, benzthiazole, benzisothiazole, lsobenzofuran, indole, isoindole, isoindolone, indolizine, lndohne, lsomdoline, purine (e g , adenine, guanine), indazole, pyrazolopyπmidine, tπazolopyπmidine, benzodioxole and pyrazolopyπdine groups Particular examples of bicyclic heteroaryl groups containing two fused six membered rings include but are not limited to quinohne, lsoquinohne, chroman, thiochroman, chromene, isochromene, chroman, isochroman, benzodioxan, quinolizme, benzoxazine, benzodiazine, pyπdopyπdine, quinoxahne, quinazohne, cinnohne, phthalazine, naphthyπdine and pteπdine groups Particular heteroaryl groups are those derived from thiophene, pyrrole, benzothiophene, benzofiiran, indole, pyridine, quinohne, imidazole, oxazole and pyrazine [00108] Examples of representative heteroaryls include the following

wherein each Y is selected from carbonyl, N, NR
65, O and S; and R
65 is independently hydrogen, C)-C
8 alkyl, C
3-C
10 cycloalkyl, 4- 10 membered heterocycloalkyl, C
O-C
I0 aryl, and 5-10 membered heteroaryl. [00109] Examples of representative aryl having hetero atoms containing substitution include the following:
wherein each W is selected from C(R
66)
2, NR
66, O and S; and each Y is selected from carbonyl, NR
66, O and S; and R
66 is independently hydrogen, CpC
8 alkyl, C
3-Ci
0 cycloalkyl, 4-10 membered heterocycloalkyl, Cβ-Cio aryl, and 5-10 membered heteroaryl.
[00110] As used herein, the term 'heterocycloalkyl' refers to a 4-10 membered, stable heterocyclic non-aromatic ring and/or including rings containing one or more heteroatoms independently selected from N, O and S, fused thereto. A fused heterocyclic ring system may include carbocyclic rings and need only include one heterocyclic ring. Examples of heterocyclic rings include, but are not limited to, morpholine, piperidine (e.g. 1-piperidinyl, 2-piperidinyl, 3-piperidinyl and 4-piperidinyl), pyrrolidine (e.g. 1- pyrrolidinyl, 2-pyrrolidinyl and 3-pyrrolidinyl), pyrrolidone, pyran (2H-pyran or 4H-pyran), dihydrothiophene, dihydropyran, dihydrofuran, dihydrothiazole, tetrahydrofuran, tetrahydrothiophene, dioxane, tetrahydropyran (e.g. 4-tetrahydro pyranyl), imidazoline, imidazolidinone, oxazoline, thiazoline, 2-pyrazoline, pyrazolidine, piperazine, and N-alkyl piperazines such as N-methyl piperazine. Further examples include thiomorpholine and its S-oxide and S,S-dioxide (particularly thiomorpholine). Still further examples include azetidine, piperidone, piperazone, and N-alkyl piperidines such as N-methyl piperidine. Particular examples of heterocycloalkyl groups are shown in the following illustrative examples:

wherein each W is selected from CR
67, C(R
67)
2, NR
67, O and S; and each Y is selected from NR
67, O and
S; and R67 is independently hydrogen, CpCs alkyl, C3-Ci0 cycloalkyl, 4-10 membered heterocycloalkyl,
C6-CiO aryl, 5-10 membered heteroaryl, These heterocycloalkyl rings may be optionally substituted with one or more groups selected from the group consisting of acyl, acylamino, acyloxy, alkoxy, alkoxycarbonyl, alkoxycarbonylamino, amino, substituted amino, aminocarbonyl (carbamoyl or amido), aminocarbonylamino, aminosulfonyl, sulfonylamino, aryl, aryloxy, azido, carboxyl, cyano, cycloalkyl, halogen, hydroxy, keto, nitro, thiol, -S-alkyl, -S-aryl, -S(O)-alkyl ,-S(O)-aryl, -S(O)2-alkyl, and -S(O)2- aryl. Substituting groups include carbonyl or thiocarbonyl which provide, for example, lactam and urea derivatives.
[00111] 'Hydroxy' refers to the radical -OH.
[00112] 'Nitro' refers to the radical -NO2.
[00113] 'Substituted' refers to a group in which one or more hydrogen atoms are each independently replaced with the same or different substituent(s). Typical substituents may be selected from the group consisting of: halogen, -R68, -O", =0, -OR68, -SR6S, -S\ =S, -NR68R69, =NR68, -CCl3, -CF3, -CN, -OCN, -SCN, -NO, -
NO2, =N2, -N3, -S(O)2O", -S(O)2OH, -S(O)2R68, -OS(O2)O-, -OS(O)2R68, -P(O)(O )2, -P(O)(OR68)(O-),
-OP(O)(OR68XOR69), -C(O)R68, -C(S)R68, -C(O)OR68, -C(O)NR68R69, -C(O)O", -C(S)OR68, -
NR70C(O)NR68R69, -NR70C(S)NR68R69, -NR71C(NR70)NR68R69 and -C(NR70)NR68R69; wherein each R68, R69, R70 and R71 are independently:
• hydrogen, Ci-C8 alkyl, C6-Ci0 aryl, arylalkyl, C3-Ci0 cycloalkyl, 4-10 membered helerυcycloalkyl, 5- 10 membered heteroaryl, heteroaryialkyi; or
• Ci-C8 alkyl substituted with halo or hydroxy; or
• C6-Ci0 aryl, 5-10 membered heteroaryl, C6-Ci0 cycloalkyl or 4-10 membered heterocycloalkyl each of which is substituted by unsubstituted CpC4 alkyl, halo, unsubstituted Ci -C4 alkoxy, unsubstituted Ci-C4 haloalkyl, unsubstituted CrC4 hydroxyalkyl, or unsubstituted CrC4 haloalkoxy or hydroxy.
In a particular embodiment, substituted groups are substituted with one or more substituents, particularly with 1 to 3 substituents, in particular with one substituent group.
In a further particular embodiment the substituent group or groups are selected from halo, cyano, nitro, trifluoromethyl, trifluoromethoxy, azido, -NR72SO2R73, -SO2NR73R72, -C(O)R73, -C(O)OR73, -OC(O)R73, - NR72C(O)R73, -C(O)NR73R72, -NR73R72, -(CR72R72)mOR72, wherein, each R73 is independently selected from H, C1-C8 alkyl, -(CH2)^C6-C10 aryl), -(CH2),(5-10 membered heteroaryl), -(CH2),(C3-Cιo cycloalkyl), and -(CH2)i(4- 10 membered heterocycloalkyl), wherein t is an integer from 0 to 4; and
• any alkyl groups present, may themselves be substituted by halo or hydroxy; and
• any aryl, heteroaryl, cycloalkyl or heterocycloalkyl groups present, may themselves be substituted by unsubstituted CrC4 alkyl, halo, unsubstituted CpC4 alkoxy, unsubstituted Cp C4 haloalkyl, unsubstituted CpC4 hydroxyalkyl, or unsubstituted CpC4 haloalkoxy or hydroxy. Each R independently represents H or d-C6alkyl.
[00114] 'Substituted sulfanyl' refers to the group -SR74, wherein R74 is selected from:
• CpC8 alkyl, C3-C10 cycloalkyl, 4-10 membered heterocycloalkyl, C6-Ci0 aryl, aralkyl, 5-10 membered heteroaryl, and heteroaralkyl; or
• CpCg alkyl substituted with halo, substituted or unsubstituted amino, or hydroxy; or
• C3-C|0 cycloalkyl, 4-10 membered heterocycloalkyl, C6-Ci0 aryl, aralkyl, 5-10 membered heteroaryl, or heteroaralkyl, each of which is substituted by unsubstituted Cj-C4 alkyl, halo, unsubstituted CpC4 alkoxy, unsubstituted CpC4 haloalkyl, unsubstituted CpC4 hydroxyalkyl, or unsubstituted CpC4 haloalkoxy or hydroxy.
[00115] Exemplary 'substituted sulfanyl' groups are -S-(CpC8 alkyl) and -S-(C3-Cj0 cycloalkyl),
-S-(CH2X(C6-Cj0 aryl), -S-(CH2)t(5-10 membered heteroaryl), -S-(CH2),(C3-CJ O cycloalkyl), and -S-
(CH2)t(4- 10 membered heterocycloalkyl), wherein t is an integer from 0 to 4 and any aryl, heteroaryl, cycloalkyl or heterocycloalkyl groups present, may themselves be substituted by unsubstituted CpC4 alkyl, halo, unsubstituted CpC4 alkoxy, unsubstituted CpC4 haloalkyl, unsubstituted Cj-C4 hydroxyalkyl, or unsubstituted Cj-C4 haloalkoxy or hydroxy. The term 'substituted sulfanyl' includes the groups
'alkylsulfanyl' or 'alkylthio', 'substituted alkylthio' or 'substituted alkylsulfanyl', 'cycloalkylsulfanyl' or
'cycloalkylthio', 'substituted cycloalkylsulfanyl' or 'substituted cycloalkylthio', 'arylsulfanyl' or
'arylthio' and 'heteroarylsulfanyl' or 'heteroarylthio' as defined below.
[00116] 'Alkylthio' or 'Alkylsulfanyl' refers to a radical -SR75 where R75 is a C-C8 alkyl or group as defined herein. Representative examples include, but are not limited to, methylthio, ethylthio, propylthio and butylthio.
[00117] 'Substituted Alkylthio'or 'substituted alkylsulfanyl' refers to the group -SR76 where R76 is a CpC8 alkyl, substituted with halo, substituted or unsubstituted amino, or hydroxy.
[00118[ 'Cycloalkylthio' or 'Cycloalkylsulfanyl' refers to a radical -SR77 where R77 is a C3-C10 cycloalkyl or group as defined herein. Representative examples include, but are not limited to, cyclopropylthio, cyclohexylthio, and cyclopentylthio.
[00119] 'Substituted cycloalkylthio' or 'substituted cycloalkylsulfanyl' refers to the group -SR78 where R78 is a C3-Ci0 cycloalkyl, substituted with halo, substituted or unsubstituted amino, or hydroxy.
[00120) 'Arylthio' or 'Arylsulfanyl' refers to a radical -SR79 where R79 is a C6-Qo aryl group as defined herein.
100121] 'Heteroarylthio' or 'Heteroarylsulfanyl' refers to a radical -SR80 where R80 is a 5-10 membered heteroaryl group as defined herein. [00122] 'Substituted sulfinyF refers to the group -S(O)R81, wherein R81 is selected from:
• CpC8 alkyl, C3-Ci0 cycloalkyl, 4-10 membered heterocycloalkyl, C6-Ci0 aryl, aralkyl, 5-10 membered heteroaryl, and heteroaralkyl; or
• CpC8 alkyl substituted with halo, substituted or unsubstituted amino, or hydroxy; or
• C3-Ci0 cycloalkyl, 4-10 membered heterocycloalkyl, C6-Ci0 aryl, aralkyl, 5-10 membered heteroaryl, or heteroaralkyl, each of which is substituted by unsubstituted C1-C4 alkyl, halo, unsubstituted CpC4 alkoxy, unsubstituted CpC4 haloalkyl, unsubstituted Q-C4 hydroxyalkyl, or unsubstituted Ci -C4 haloalkoxy or hydroxy.
100123] Exemplary 'substituted sulfinyl' groups are -S(O)-(C1-C8 alkyl) and -S(O)-(C3-C0 cycloalkyl), -S(O)-(CHz)1(C6-C10 aryl), -S(O)-(CH2),(5-10 membered heteroaryl), -S(O)-(CHz)1(C3-Ci0 cycloalkyl), and -S(O)-(CH2)t(4- 10 membered heterocycloalkyl), wherein t is an integer from 0 to 4 and any aryl, heteroaryl, cycloalkyl or heterocycloalkyl groups present, may themselves be substituted by unsubstituted Ci-C4 alkyl, halo, unsubstituted CpC4 alkoxy, unsubstituted CpC4 haloalkyl, unsubstituted
CpC4 hydroxyalkyl, or unsubstituted CpC4 haloalkoxy or hydroxy. The term substituted sulfinyl includes the groups 'alkylsulfinyP, 'substituted alkylsulfϊnyP, 'cycloalkylsulfinyl', 'substituted cycloalkylsulfinyl',
'arylsulfinyl' and 'heteroarylsulfinyl' as defined herein.
100124] 'Alkylsulfinyl' refers to a radical -S(O)R82 where R82 is a C1-C8 alkyl group as defined herein. Representative examples include, but are not limited to, methylsulfinyl, ethylsulfinyl, propylsulfinyl and butylsulfinyl.
|00125] 'Substituted Alkylsulfinyl' refers to a radical -S(O)R83 where R83 is a CpC8 alkyl group as defined herein, substituted with halo, substituted or unsubstituted amino, or hydroxy.
[00126] 'Cycloalkylsulfinyl' refers to a radical -S(O)R84 where R84 is a C3-C10 cycloalkyl or group as defined herein. Representative examples include, but are not limited to, cyclopropylsulfinyl, cyclohexylsulfinyl, and cyclopentylsulfinyl. Exemplary 'cycloalkylsulfinyl' groups are S(O)-C3-Ci0 cycloalkyl.
[00127] 'Substituted cycloalkylsulfinyl' refers to the group -S(O)R85 where R85 is a C3-Ci0 cycloalkyl, substituted with halo, substituted or unsubstituted amino, or hydroxy.
[00128] 'Arylsulfinyl' refers to a radical -S(O)R86 where R86 is a C6-Ci0 aryl group as defined herein.
[00129] 'Heteroarylsulfinyl' refers to a radical -S(O)R87 where R87 is a 5-10 membered heteroaryl group as defined herein.
[00130] 'Substituted sulfonyl' refers to the group -S(O)2R88, wherein R88 is selected from:
• CpC8 alkyl, C3-Ci0 cycloalkyl, 4-10 membered heterocycloalkyl, C6-C10 aryl, aralkyl, 5-10 membered heteroaryl, and heteroaralkyl; or
• CpC8 alkyl substituted with halo, substituted or unsubstituted amino, or hydroxy; or
• C3-Ci0 cycloalkyl, 4-10 membered heterocycloalkyl, C6-C)0 aryl, aralkyl, 5-10 membered heteroaryl, or heteroaralkyl, each of which is substituted by unsubstituted CpC4 alkyl, halo, unsubstituted Ci-C4 alkoxy, unsubstituted Ci-C4 haloalkyl, unsubstituted CpC4 hydroxyalkyl, or unsubstituted Ci-C4 haloalkoxy or hydroxy.
100131] Exemplary 'substituted sulfonyP groups are -S(O)2-(Ci-C8 alkyl) and -S(O)2-(C3-Ci0 cycloalkyl), -S(O)2-(CH2),(C6-Ci0 aryl), -S(O)2-(CH2)t(5-10 membered heteroaryl), -S(0)2-(CH2)t(C3-Cio cycloalkyl), and -S(O)2-(CH2),(4-10 membered heterocycloalkyl), wherein t is an integer from 0 to 4 and any aryl, heteroaryl, cycloalkyl or heterocycloalkyl groups present, may themselves be substituted by unsubstituted CrC4 alkyl, halo, unsubstituted CpC4 alkoxy, unsubstituted Ci-C4 haloalkyl, unsubstituted CrC4 hydroxyalkyl, or unsubstituted CpC4 haloalkoxy or hydroxy. The term substituted sulfonyl includes the groups alkylsulfonyl, substituted alkylsulfonyl, cycloalkylsulfonyl, substituted cycloalkylsulfonyl, arylsulfonyl and heteroarylsulfonyl.
[00132] 'Alkylsulfonyl' refers to a radical -S(O)2R89 where R89 is an C,-C8 alkyl group as defined herein. Representative examples include, but are not limited to, methylsulfonyl, ethylsulfonyl, propylsulfonyl and butylsulfonyl.
|00133] 'Substituted Alkylsulfonyl' refers to a radical -S(O)2R90 where R90 is an C,-C8 alkyl group as defined herein, substituted with halo, substituted or unsubstituted amino, or hydroxy. [00134] 'Cycloalkylsulfonyl' refers to a radical -S(O)2R91 where R91 is a C3-Ci0 cycloalkyl or group as defined herein. Representative examples include, but are not limited to, cyclopropylsulfonyl, cyclohexylsulfonyl, and cyclopentylsulfonyl.
[00135] 'Substituted cycloalkylsulfonyl' refers to the group -S(O)2R92 where R92 is a C3-Ci0 cycloalkyl, substituted with halo, substituted or unsubstituted amino, or hydroxy. [00136] 'Arylsulfonyl' refers to a radical -S(O)2R93 where R93 is an C6-Ci0 aryl group as defined herein.
[00137] 'Heteroarylsulfonyl' refers to a radical -S(O)2R94 where R94 is an 5-10 membered heteroaryl group as defined herein.
[00138] 'Sulfo' or 'sulfonic acid' refers to a radical such as -SO3H.
[00139] 'Substituted sulfo' or 'sulfonic acid ester' refers to the group -S(O)2OR95, wherein R95 is selected from:
• Ci-C8 alkyl, C3-Ci0 cycloalkyl, 4-10 membered heterocycloalkyl, C6-Ci0 aryl, aralkyl, 5-10 membered heteroaryl, and heteroaralkyl; or
• Ci-C8 alkyl substituted with halo, substituted or unsubstituted amino, or hydroxy; or
• C3-Ci0 cycloalkyl, 4-10 membered heterocycloalkyl, C6-Ci0 aryl, aralkyl, 5-10 membered heteroaryl, or heteroaralkyl, each of which is substituted by unsubstituted CpC4 alkyl, halo, unsubstituted CrC4 alkoxy, unsubstituted Ci-C4 haloalkyl, unsubstituted CrC4 hydroxyalkyl, or unsubstituted CpC4 haloalkoxy or hydroxy.
[00140] Exemplary 'Substituted sulfo' or 'sulfonic acid ester' groups are -S(O)2-O-(CrC8 alkyl) and -S(O)2-O-(C3-C,0 cycloalkyl), -S(O)2-O-(CH2),(C6-C,0 aryl), -S(O)2-O-(CH2),(5-10 membered heteroaryl), -S(O)2-O-(CH2)t(C3-C,0 cycloalkyl), and -S(O)2-O-(CH2)t(4-10 membered heterocycloalkyl), wherein t is an integer from 0 to 4 and any aryl, heteroaryl, cycloalkyl or heterocycloalkyl groups present, may themselves be substituted by unsubstituted CrC4 alkyl, halo, unsubstituted Ci-C4 alkoxy, unsubstituted Ci-C4 haloalkyl, unsubstituted CrC4 hydroxyalkyl, or unsubstituted CpC4 haloalkoxy or hydroxy.
|00141] 'Thiol' refers to the group -SH.
100142) 'Aminocarbonylamino' refers to the group -NR96C(O)NR96R96 where each R96 is independently hydrogen Ci-C8 alkyl, C3-C)O cycloalkyl, 4-10 membered heterocycloalkyl, C6-CiO aryl, aralkyl, 5-10 membered heteroaryl, and heteroaralkyl, as defined herein; or where two R96 groups, when attached to the same N, are joined to form an alkylene group.
|00143] 'Bicycloaryl' refers to a monovalent aromatic hydrocarbon group derived by the removal of one hydrogen atom from a single carbon atom of a parent bicycloaromatic ring system. Typical bicycloaryl groups include, but are not limited to, groups derived from indane, indene, naphthalene, tetrahydronaphthalene, and the like. Particularly, an aryl group comprises from 8 to 11 carbon atoms. [00144] 'BicycloheteroaryF refers to a monovalent bicycloheteroaromatic group derived by the removal of one hydrogen atom from a single atom of a parent bicycloheteroaromatic ring system. Typical bicycloheteroaryl groups include, but are not limited to, groups derived from benzofuran, benzimidazole, benzindazole, benzdioxane, chromene, chromane, cinnoline, phthalazine, indole, indoline, indolizine, isobenzofuran, isochromene, isoindole, isoindoline, isoquinoline, benzothiazole, benzoxazole, naphthyridine, benzoxadiazole, pteridine, purine, benzopyran, benzpyrazine, pyridopyrimidine, quinazoline, quinoline, quinolizine, quinoxaline, benzomorphan, tetrahydroisoquinoline, tetrahydroquinoline, and the like. Preferably, the bicycloheteroaryl group is between 9-1 1 membered bicycloheteroaryl, with 5-10 membered heteroaryl being particularly preferred. Particular bicycloheteroaryl groups are those derived from benzothiophene, benzofuran, benzothiazole, indole, quinoline, isoquinoline, benzimidazole, benzoxazole and benzdioxane.
[00145] 'Compounds of the present invention', and equivalent expressions, are meant to embrace the compounds as hereinbefore described, in particular compounds according to any of the formulae herein recited and/or described, which expression includes the prodrugs, the pharmaceutically acceptable salts, and the solvates, e.g., hydrates, where the context so permits. Similarly, reference to intermediates, whether or not they themselves are claimed, is meant to embrace their salts, and solvates, where the context so permits.
[00146] 'CycloalkylalkyP refers to a radical in which a cycloalkyl group is substituted for a hydrogen atom of an alkyl group. Typical cycloalkylalkyl groups include, but are not limited to, cyclopropylmethyl, cyclobutylmethyl, cyclopentylmethyl, cyclohexylmethyl, cycloheptylmethyl, cyclooctylmethyl, cyclopropylethyl, cyclobutylethyl, cyclopentylethyl, cyclohexylethyl, cycloheptylethyl, and cyclooctylethyl, and the like.
[00147] 'Heterocycloalkylalkyl' refers to a radical in which a heterocycloalkyl group is substituted for a hydrogen atom of an alkyl group. Typical heterocycloalkylalkyl groups include, but are not limited to, pyrrolidinylmethyl, piperidinylmethyl, piperazinylmethyl, morpholinylmethyl, pyrrolidinylethyl, piperidinylethyl, piperazinylethyl, morpholinylethyl, and the like. [00148] 'Cycloalkenyl' refers to cyclic hydrocarbyl groups having from 3 to 10 carbon atoms and having a single cyclic ring or multiple condensed rings, including fused and bridged ring systems and having at least one and particularly from 1 to 2 sites of olefinic unsaturation. Such cycloalkenyl groups include, by way of example, single ring structures such as cyclohexenyl, cyclopentenyl, cyclopropenyl, and the like.
[00149| 'Substituted cycloalkenyl' refers to those groups recited in the definition of "substituted" herein, and particularly refers to a cycloalkenyl group having 1 or more substituents, for instance from 1 to 5 substituents, and particularly from 1 to 3 substituents, selected from the group consisting of acyl, acylamino, acyloxy, alkoxy, substituted alkoxy, alkoxycarbonyl, alkoxycarbonylamino, amino, substituted amino, aminocarbonyl, aminocarbonylamino, aminocarbonyloxy, aryl, aryloxy, azido, carboxyl, cyano, cycloalkyl, substituted cycloalkyl, halogen, hydroxyl, keto, nitro, thioalkoxy, substituted thioalkoxy, thioaryloxy, thioketo, thiol, alkyl-S(O)-, aryl-S(O)-, alkyl-S(O)2- and aryl-S(O)2-.
[00150] 'Fused Cycloalkenyl' refers to a cycloalkenyl having two of its ring carbon atoms in common with a second aliphatic or aromatic ring and having its olefinic unsaturation located to impart aromaticity to the cycloalkenyl ring.
[00151] 'EthenyP refers to substituted or unsubstituted -(C=C)-.
[00152] 'Ethylene' refers to substituted or unsubstituted -(C-C)-.
100153] 'Ethynyl' refers to -(CsC)-.
[00154] 'Hydrogen bond donor' group refers to a group containg O-H, or N-H functionality.
Examples of 'hydrogen bond donor' groups include -OH, -NH2, and -NH-R97 and wherein R97 is alkyl, acyl, cycloalkyl, aryl, or heteroaryl.
[00155] 'Dihydroxyphosphoryl' refers to the radical -PO(OH)2.
[00156] 'Substituted dihydroxyphosphoryl' refers to those groups recited in the definition of
"substituted" herein, and particularly refers to a dihydroxyphosphoryl radical wherein one or both of the hydroxyl groups are substituted. Suitable substituents are described in detail below.
|00157] 'AminohydroxyphosphoryP refers to the radical -PO(OH)NH2.
|00158] 'Substituted aminohydroxyphosphoryl' refers to those groups recited in the definition of
"substituted" herein, and particularly refers to an aminohydroxyphosphoryl wherein the amino group is substituted with one or two substituents. Suitable substituents are described in detail below. In certain embodiments, the hydroxyl group can also be substituted.
[00159] 'Nitrogen-Containing HeterocycloalkyF group means a 4 to 7 membered non-aromatic cyclic group containing at least one nitrogen atom, for example, but without limitation, morpholine, piperidine (e.g. 2-piperidinyl, 3-piperidinyl and 4-piperidinyl), pyrrolidine (e.g. 2-pyrrolidinyl and 3- pyrrolidinyl), azetidine, pyrrolidone, imidazoline, imidazolidinone, 2-pyrazoline, pyrazolidine, piperazine, and N-alkyl piperazines such as N-methyl piperazine. Particular examples include azetidine, piperidone and piperazone.
[00160] 'Thioketo' refers to the group =S.
|00161 ] One having ordinary skill in the art of organic synthesis will recognize that the maximum number of heteroatoms in a stable, chemically feasible heterocyclic ring, whether it is aromatic or non aromatic, is determined by the size of the ring, the degree of unsaturation and the valence of the heteroatoms. In general, a heterocyclic ring may have one to four heteroatoms so long as the heteroaromatic ring is chemically feasible and stable.
[00162] 'Pharmaceutically acceptable' means approved or approvable by a regulatory agency of the Federal or a state government or the corresponding agency in countries other than the United States, or that is listed in the U.S. Pharmacopoeia or other generally recognized pharmacopoeia for use in animals, and more particularly, in humans.
|00163] 'Pharmaceutically acceptable salt' refers to a salt of a compound of the invention that is pharmaceutically acceptable and that possesses the desired pharmacological activity of the parent compound. In particular, such salts are non-toxic may be inorganic or organic acid addition salts and base addition salts. Specifically, such salts include: (1) acid addition salts, formed with inorganic acids such as hydrochloric acid, hydrobromic acid, sulfuric acid, nitric acid, phosphoric acid, and the like; or formed with organic acids such as acetic acid, propionic acid, hexanoic acid, cyclopentanepropionic acid, glycolic acid, pyruvic acid, lactic acid, malonic acid, succinic acid, malic acid, maleic acid, fumaric acid, tartaric acid, citric acid, benzoic acid, 3-(4-hydroxybenzoyl) benzoic acid, cinnamic acid, mandelic acid, methanesulfonic acid, ethanesulfonic acid, 1 ,2-ethane-disulfonic acid, 2-hydroxyethanesulfonic acid, benzenesulfonic acid, 4-chlorobenzenesulfonic acid, 2-naphthalenesulfonic acid, 4-toluenesulfonic acid, camphorsulfonic acid, 4-methylbicyclo[2.2.2]-oct-2-ene-l-carboxylic acid, glucoheptonic acid, 3- phenylpropionic acid, trimethylacetic acid, tertiary butylacetic acid, lauryl sulfuric acid, gluconic acid, glutamic acid, hydroxynaphthoic acid, salicylic acid, stearic acid, muconic acid, and the like; or (2) salts formed when an acidic proton present in the parent compound either is replaced by a metal ion, e.g., an alkali metal ion, an alkaline earth ion, or an aluminum ion; or coordinates with an organic base such as ethanolamine, diethanolamine, triethanolamine, N-methylglucamine and the like. Salts further include, by way of example only, sodium, potassium, calcium, magnesium, ammonium, tetraalkylammonium, and the like; and when the compound contains a basic functionality, salts of non toxic organic or inorganic acids, such as hydrochloride, hydrobromide, tartrate, mesylate, acetate, maleate, oxalate and the like. The term "pharmaceutically acceptable cation" refers to an acceptable cationic counter-ion of an acidic functional group. Such cations are exemplified by sodium, potassium, calcium, magnesium, ammonium, tetraalkylammonium cations, and the like.
(00164] 'Pharmaceutically acceptable vehicle' refers to a diluent, adjuvant, excipient or carrier with which a compound of the invention is administered.
[00165] 'Prodrugs' refers to compounds, including derivatives of the compounds of the invention,which have cleavable groups and become by solvolysis or under physiological conditions the compounds of the invention which are pharmaceutically active in vivo. Such examples include, but are not limited to, choline ester derivatives and the like, N-alkylmorpholine esters and the like. [00166] 'Solvate' refers to forms of the compound that are associated with a solvent, usually by a solvolysis reaction. This physical association includes hydrogen bonding. Conventional solvents include water, ethanol, acetic acid and the like. The compounds of the invention may be prepared e.g. in crystalline form and may be solvated or hydrated. Suitable solvates include pharmaceutically acceptable solvates, such as hydrates, and further include both stoichiometric solvates and non-stoichiometric solvates. In certain instances the solvate will be capable of isolation, for example when one or more solvent molecules are incorporated in the crystal lattice of the crystalline solid. 'Solvate' encompasses both solution-phase and isolable solvates. Representative solvates include hydrates, ethanolates and methanolates.
[00167] 'Subject' includes humans. The terms 'human', 'patient' and 'subject' are used interchangeably herein.
|00168] 'Therapeutically effective amount' means the amount of a compound that, when administered to a subject for treating a disease, is sufficient to effect such treatment for the disease. The
"therapeutically effective amount" can vary depending on the compound, the disease and its severity, and the age, weight, etc., of the subject to be treated.
|00169] 'Preventing' or 'prevention' refers to a reduction in risk of acquiring or developing a disease or disorder (i.e., causing at least one of the clinical symptoms of the disease not to develop in a subject that may be exposed to a disease-causing agent, or predisposed to the disease in advance of disease onset.
|00170] The term 'prophylaxis' is related to 'prevention', and refers to a measure or procedure the purpose of which is to prevent, rather than to treat or cure a disease. Non-limiting examples of prophylactic measures may include the administration of vaccines; the administration of low molecular weight heparin to hospital patients at risk for thrombosis due, for example, to immobilization; and the administration of an anti-malarial agent such as chloroquine, in advance of a visit to a geographical region where malaria is endemic or the risk of contracting malaria is high.
[00171] 'Treating' or 'treatment' of any disease or disorder refers, in one embodiment, to ameliorating the disease or disorder (i.e., arresting the disease or reducing the manifestation, extent or severity of at least one of the clinical symptoms thereof). In another embodiment 'treating' or 'treatment' refers to ameliorating at least one physical parameter, which may not be discernible by the subject. In yet another embodiment, 'treating' or 'treatment' refers to modulating the disease or disorder, either physically, (e.g., stabilization of a discernible symptom), physiologically, (e.g., stabilization of a physical parameter), or both. In a further embodiment, "treating" or "treatment" relates to slowing the progression of the disease.
[00172] 'Compounds of the present invention', and equivalent expressions, are meant to embrace compounds of the Formula(e) as hereinbefore described, which expression includes the prodrugs, the pharmaceutically acceptable salts, and the solvates, e.g., hydrates, where the context so permits.
Similarly, reference to intermediates, whether or not they themselves are claimed, is meant to embrace their salts, and solvates, where the context so permits.
[00173] When ranges are referred to herein, for example but without limitation, CpC8 alkyl, the citation of a range should be considered a representation of each member of said range.
[00174] Other derivatives of the compounds of this invention have activity in both their acid and acid derivative forms, but in the acid sensitive form often offers advantages of solubility, tissue compatibility, or delayed release in the mammalian organism (see, Bundgard, H., Design of Prodrugs, pp. 7-9, 21-24, Elsevier, Amsterdam 1985) Prodrugs include acid deπvatives well know to practitioners of the art, such as, for example, esters prepared by reaction of the parent acid with a suitable alcohol, or amides prepared by reaction of the parent acid compound with a substituted or unsubstituted amine, or acid anhydrides, or mixed anhydrides Simple aliphatic or aromatic esters, amides and anhydrides derived from acidic groups pendant on the compounds of this invention are particular prodrugs In some cases it is desirable to prepare double ester type prodrugs such as (acyloxy)alkyl esters or ((alkoxycarbonyl)oxy)alkylesters Particularly the Ci to C8 alkyl, C2-C8 alkenyl, aryl, C7-Ci2 substituted aryl, and C7-Ci2 arylalkyl esters of the compounds of the invention
[00175] As used herein, the term 'isotopic variant' refers to a compound that contains unnatural proportions of isotopes at one or more of the atoms that constitute such compound For example, an 'isotopic variant' of a compound can contain one or more non-radioactive isotopes, such as for example, deuterium (2H or D), carbon-13 (13C), nitrogen-15 (15N), or the like It will be understood that, in a compound where such isotopic substitution is made, the following atoms, where present, may vary, so that for example, any hydrogen may be2H/D, any carbon may be13C, or any nitrogen may be15N, and that the presence and placement of such atoms may be determined within the skill of the art Likewise, the invention may include the preparation of isotopic variants with radioisotopes, in the instance for example, where the resulting compounds may be used for drug and/or substrate tissue distribution studies The radioactive isotopes tritium, i e3H, and carbon- 14, i e14C, are particularly useful for this purpose in view of their ease of incorporation and ready means of detection Further, compounds may be prepared that are substituted with positron emitting isotopes, such as11C,18F,15O and '3N, and would be useful in Positron Emission Topography (PET) studies, or Single Photon Emission Tomography (SPECT), for examining substrate receptor occupancy
[00176] Known radionuclides useful in the imaging systems and procedures of the present invention may include the isotopes3H,14C,18F,32P,35S,36Cl,51Cr,57Co,58Co,59Fe,81mKr,82Rb,86Y,89Zr,90Y,99mTc,125I,1311,61Cu,64Cu,67Ga,68Ga,86Y,89Zr,1 1 1In,123I,131I,133Xe,186Re and201Tl It should also be noted and included herein, that certain radionuclides may be used for therapeutic purposes, and these include, for example,90Y and131I
[00177] All isotopic variants of the compounds provided herein, radioactive or not, are intended to be encompassed within the scope of the invention
[00178] It is also to be understood that compounds that have the same molecular formula but differ in the nature or sequence of bonding of their atoms or the arrangement of their atoms in space are termed 'isomers' Isomers that differ in the arrangement of their atoms in space are termed 'stereoisomers'
[00179] Stereoisomers that are not mirror images of one another are termed 'diastereomers' and those that are non-supeπmposable mirror images of each other are termed 'enantiomers' When a compound has an asymmetric center, for example, it is bonded to four different groups, a pair of enantiomers is possible An enantiomer can be characteπzed by the absolute configuration of its asymmetric center and is described by the R- and S-sequencing rules of Cahn and Prelog, or by the manner in which the molecule rotates the plane of polaπzed light and designated as dextrorotatory or levorotatory (i.e., as (+) or (-)-isomers respectively). A chiral compound can exist as either individual enantiomer or as a mixture thereof. A mixture containing equal proportions of the enantiomers is called a 'racemic mixture'.
(00180] 'Tautomers' refer to compounds that are interchangeable forms of a particular compound structure, and that vary in the displacement of hydrogen atoms and electrons. Thus, two structures may be in equilibrium through the movement of π electrons and an atom (usually H). For example, enols and ketones are tautomers because they are rapidly interconverted by treatment with either acid or base. Another example of tautomerism is the aci- and nitro- forms of phenylnitromethane, that are likewise formed by treatment with acid or base.
[00181] Tautomeric forms may be relevant to the attainment of the optimal chemical reactivity and biological activity of a compound of interest.
]00182] As used herein a pure enantiomeric compound is substantially free from other enantiomers or stereoisomers of the compound (i.e., in enantiomeric excess). In other words, an "S" form of the compound is substantially free from the "R" form of the compound and is, thus, in enantiomeric excess of the "R" form. The term "enantiomerically pure" or "pure enantiomer" denotes that the compound comprises more than 75% by weight, more than 80% by weight, more than 85% by weight, more than 90% by weight, more than 91% by weight, more than 92% by weight, more than 93% by weight, more than 94% by weight, more than 95% by weight, more than 96% by weight, more than 97% by weight, more than 98% by weight, more than 98.5% by weight, more than 99% by weight, more than 99.2% by weight, more than 99.5% by weight, more than 99.6% by weight, more than 99.7% by weight, more than 99.8% by weight or more than 99.9% by weight, of the enantiomer. In certain embodiments, the weights are based upon total weight of all enantiomers or stereoisomers of the compound. [00183] As used herein and unless otherwise indicated, the term "enantiomerically pure R- compound" refers to at least about 80% by weight R-compound and at most about 20% by weight S- compound, at least about 90% by weight R-compound and at most about 10% by weight S-compound, at least about 95% by weight R-compound and at most about 5% by weight S-compound, at least about 99% by weight R-compound and at most about 1% by weight S-compound, at least about 99.9% by weight R- compound or at most about 0.1% by weight S-compound. In certain embodiments, the weights are based upon total weight of compound.
[00184] As used herein and unless otherwise indicated, the term "enantiomerically pure S- compound" or "S-compound" refers to at least about 80% by weight S-compound and at most about 20% by weight R-compound, at least about 90% by weight S-compound and at most about 10% by weight R- compound, at least about 95% by weight S-compound and at most about 5% by weight R-compound, at least about 99% by weight S-compound and at most about 1 % by weight R-compound or at least about 99.9% by weight S-compound and at most about 0.1% by weight R-compound. In certain embodiments, the weights are based upon total weight of compound.
[00185] In the compositions provided herein, an enantiomerically pure compound or a pharmaceutically acceptable salt, solvate, hydrate or prodrug thereof can be present with other active or inactive ingredients. For example, a pharmaceutical composition comprising enantiomerically pure R- compound can comprise, for example, about 90% excipient and about 10% enantiomerically pure R- compound. In certain embodiments, the enantiomerically pure R-compound in such compositions can, for example, comprise, at least about 95% by weight R-compound and at most about 5% by weight S- compound, by total weight of the compound. For example, a pharmaceutical composition comprising enantiomerically pure S-compound can comprise, for example, about 90% excipient and about 10% enantiomerically pure S-compound. In certain embodiments, the enantiomerically pure S-compound in such compositions can, for example, comprise, at least about 95% by weight S-compound and at most about 5% by weight R-compound, by total weight of the compound. In certain embodiments, the active ingredient can be formulated with little or no excipient or carrier.
[00186] The compounds of this invention may possess one or more asymmetric centers; such compounds can therefore be produced as individual (R)- or (S)- stereoisomers or as mixtures thereof. |00187] Unless indicated otherwise, the description or naming of a particular compound in the specification and claims is intended to include both individual enantiomers and mixtures, racemic or otherwise, thereof. The methods for the determination of stereochemistry and the separation of stereoisomers are well-known in the art.
THE COMPOUNDS
[00188] In certain aspects, the present invention provides compounds useful as probes and imaging agents, for indentifying and assisting with the monitoring and measurement of the growth and movement of hypoxic tumors. [00189] In one aspect, the present invention provides compounds according to formula I':
R1 W A L1 -f- Cy1 j-|_2-S-NH2 r wherein
W is a group selected from:
each CyI and Cy2 are independently substituted or unsubstituted aryl or substituted or unsubstituted heteroaryl;
A is selectected from -<CH2)n-NH-C(=O)-, -(CH2)n-C(=O)NH-, -(CH2)n-NHC(=O)-NH-, and -(CH2)n-NH-C(=S)-NH-; n is 0, 1, or 2;
L' is a single bond, substituted or unsubstituted C,-C4 alkylene; or -(CH2)m-NH-C(=O)-; m is 2 or 3;
L2 is a single bond, or substituted or unsubstituted C1-C4 alkylene; R1 is a metal chelator group or a fluorescent ligand; provided the metal chelator group or the fluorescent ligand contains at least 2 or more N; and each N atom is substituted with at least one CH2COOH group; and
R2 is H, substituted or unsubstituted alkyl, substituted or unsubstituted cycloalkyl, substituted or unsubstituted heterocycloalkyl, substituted or unsubstituted aryl, substituted or unsubstituted heteroaryl, substituted or unsubstituted CH2-cycloalkyl, substituted or unsubstituted CH2-heterocycloalkyl, substituted or unsubstituted CH2-aryl, substituted or unsubstituted CH2- heteroaryl, substituted or unsubstituted CH2-SH; or a pharmaceutically acceptable salt, solvate, prodrug, stereoisomer, tautomer or isotopic variant thereof; provided that the compound is other than
14-[4-(aminosulfonyl)phenyl]-3,6,9-tris(carboxymethyl)-l l-oxo-3,6,9,12- tetraazatetradecanoic acid
[00190] In one particular embodiment of the invention, with respective to compounds of formula
I', W is Cy2.
|00191] In another particular embodiment of the invention, with respective to compounds of formula I', W is
[00192] In one embodiment of the invention, with respective to compounds of formula I', W is
R2
and L
2 is a single bond.
[00193] In one embodiment of the invention, with respective to compounds of formula I', the compound is according to formula Ia or Ib:
R2 O
Il
R1 — N- —A L1 Cy1 -L.2-S-NH H
H O
Ib and wherein A, CyI , Cy2, L1, L2, R1, and R2 are as described for formula F; or a pharmaceutically acceptable salt, solvate, prodrug, stereoisomer, tautomer or isotopic variant thereof; provided that the compound is other than
14-[4-(aminosulfonyl)phenyl]-3,6,9-tris(carboxyrnethyl)- 1 1 -oxo-3,6,9, 12- tetraazatetradecanoic acid.
[00194] In one embodiment, with respect to compounds of formula I', the compound is according to formula Ia.
[00195] In another embodiment, with respect to compounds of formula I', the compound is according to formula Ib.
[00196] In another embodiment, with respect to compounds of formula F, the compound is according to formula Ib; and L2 is a single bond.
[00197] In another embodiment, with respect to compounds of formula F, the compound is according to formula Ic:
Ic and wherein A, CyI , L1, R1, and R2 are as described for formula F; or a pharmaceutically acceptable salt, solvate, prodrug, stereoisomer, tautomer or isotopic variant thereof; provided that the compound is other than
14-[4-(aminosulfonyl)phenyl]-3,6,9-tris(carboxymethyl)-l l-oxo-3,6,9, 12-tetraazatetradecanoic acid. [00198] In one embodiment, with respect to compounds of formulae F, Ia-Ic, A is selectected from -(CH2)n-NH-C(=O)-, -(CH2)n-C(=O)NH-, -(CH2)n-NHC(=0)-NH-, and -(CH2)n-NH-C(=S)-NH-; and n is 0. In another embodiment, A is 1 or 2..
[00199] In one particular embodiment, with respect to compounds of formula I, A is -(CH2)n-NH-
C(=O)-; and n is 0. [00200] In one particular embodiment, with respect to compounds of formulae I', Ia-Ic, A is-
(CH2)n-C(=O)NH-; and n is 0.
[00201] In one particular embodiment, with respect to compounds of formulae I', Ia-Ic, A is -
(CH2)n-NHC(=O)-NH-; and n is 0.
[00202) In one particular embodiment, with respect to compounds of formulae I', Ia-Ic, A is -
(CH2)n-NH-C(=S)-NH-; and n is 0.
[00203] In one particular embodiment, with respect to compounds of formulae I', Ia-Ic, A is —
(CH2)n-NH-C(=O)-; and n is 1.
[00204] In one particular embodiment, with respect to compounds of formulae I', Ia-Ic, A is-
(CH2)n-C(=O)NH-; and n is 1.
[00205] In one particular embodiment, with respect to compounds of formulae I', Ia-Ic, A is -
(CH2)n-NHC(=O)-NH-; and n is 1.
[00206] In one particular embodiment, with respect to compounds of formulae V, Ia-Ic, A is -
(CH2)n-NH-C(=S)-NH-; and n is 1.
[00207] In one particular embodiment, with respect to compounds of formulae I', Ia-Ic, n is 0.
[00208] In one particular embodiment, with respect to compounds of formulae I', Ia-Ic, R1 is a metal chelator group containing at least 2 or more N; and each N atom is substituted with a CH2COOH group.
[00209] In one particular embodiment, with respect to compounds of formulae I', Ia-Ic, R1 is a heterocycloalkylmethyl group; and the heterocycle contains 2 or more N atoms.
[00210] In one particular embodiment, with respect to compounds of formulae I', Ia-Ic, R1 is as described above; and each N atom is substituted with a CH2COOH group.
[00211] In one particular embodiment, with respect to compounds of formulae I', Ia-Ic, R1 is triazacyclononanemethyl, tetrazacyclododecanemethyl, or tetraazacyclotetradecanemethyl; and each N atom is substituted with CH2COOH.
[00212] In a more particular embodiment, with respect to compounds of formulae I', the compound is according to formula Ia-Ic; and R1 is
and each R
la is CH
2CO
2H; and R
lb is CO
2H.
[00213] In one particular embodiment, with respect to compounds of formula I', the compound is according to formula Ha, lib, lie, Hd, He, Hf, Hg, or Hh:
Ha lib
Me iif
N-C-N-L
1 ■£
■ Cylj-L
2— S-NH
2Hg or lih
wherein CyI, Cy2, L', L2 and R1 are as described for formula I'; and R1 is selected from substituted or unsubstituted
and each R
la is CH
2CO
2H; and R
lb is CO
2H. [00214) In one embodiment, with respect to compounds of formula I', the compound is according to formula Ha, lib, Hc, or Ud. In another embodiment, the compound is according to formula He, Hf, Hg, or Hh.
[00215] In one particular embodiment, with respect to compounds of formula He-IIh, L2 is a single bond.
[00216] In one particular embodiment, with respect to compounds of formula I' the compound is according to formula He', Hf, Hg', or Hh':
He' Mf
[00217] In one particular embodiment, with respect to compounds of formula I', Ia, or Ha-IId,
Cy 2 is substituted or unsubstituted phenyl.
[00218] In one particular embodiment, with respect to compounds of formula I', Ia, or Ha-IId,
Cy2 is phenyl, unsubstituted or substituted with one or more groups selected from halo, alkyl, alkoxy, and trihaloalkyl.
[00219] In one particular embodiment, with respect to compounds of formula I', the compound is according to formula HIa or IHb:
and wherein CyI is independently substituted or unsubstituted aryl or substituted or unsubstituted heteroaryl; each L
1 and L
2 is a single bond or substituted or unsubstituted C
rC
4 alkylene; R
1 is as described for formula Ila-d; R
2 is H, alkyl, halo, haloalkyl, or alkoxy. .
|00220] In one particular embodiment, with respect to compounds of formula IIIa-HIb, R2 is H or alkoxy.
[00221] In one particular embodiment, with respect to compounds of formula F, Ia-Ib, Ha-IIh,
Ile'-IIh', or Hla-IIIb, L1 is a single bond. [00222] In one particular embodiment, with respect to compounds of formula I', Ia-Ib, Ha-IIh,
Ile'-IIh', or Ma-IIIb, L1 is -CH2-, -CH2-CH2-, or -CH2CH2CH2-.
(00223] In one particular embodiment, with respect to compounds of formula I', Ia-Ib, Ha-IIh,
Ile'-IIh', or IHa-IIIb, L1 is -CH2-CH2-.
|00224] In one particular embodiment, with respect to compounds of formula I', Ia-Ib, Ha-IIh,
Ile'-IIh', or IUa-IIIb, L1 is -CH2-.
[00225] In one particular embodiment, with respect to compounds of formula I', Ia-Ib, Ha-IIh,
Ile'-IIh', or Illa-lIIb, L1 is -CH2-CH2-NH-C(O)-.
[00226] In one particular embodiment, with respect to compounds of formula V, Ia-Ib, Ha-IIh,
Ile'-IIh', or HIa-IIIb, L2 is -CH2-.
[00227] In one particular embodiment, with respect to compounds of formula I', Ia-Ib, Ha-IIh,
Ile'-IIh', or IHa-IIIb, L2 is a single bond.
[00228] In one particular embodiment, with respect to compounds of formula I', Ia-Ib, Ha-IIh,
Ile'-IIh', or Illa-lIIb, CyI is substituted or unsubstituted phenyl.
[00229] In one particular embodiment, with respect to compounds of formula F, Ia-Ib, Ha-IIh,
Ile'-IIh', or HIa-IIIb, CyI is phenyl, unsubstituted or substituted with one or more groups selected from halo, alkyl, alkoxy, sulfonamido, and trihaloalkyl.
[00230] In one particular embodiment, with respect to compounds of formula I', Ia-Ib, Ha-IIh,
Ile'-IIh', or IHa-IIIb, CyI is phenyl, unsubstituted or substituted with one or more groups selected from
Cl, F, Br, I, CF3, SO2NH2, and Me.
[00231] In one particular embodiment, with respect to compounds of formula I', Ia-Ib, Ha-IIh,
Ile'-IIh', or IHa-IIIb, CyI is substituted or unsubstituted thiadiazolyl.
[00232] In one particular embodiment, with respect to compounds of formula IP, Ia-Ib, Ha-IIh,
Ile'-IIh', or HIa-IIIb, CyI is substituted or unsubstituted pyrimidinyl.
[00233] In one particular embodiment, with respect to compounds of formula II', Ia-Ib, Ha-IIh,
Ile'-IIh', or IIIa-IHb, CyI is substituted or unsubstituted benzothiazolyl.
[00234] In one particular embodiment, with respect to compounds of formula I', the compound is according to formula IVa, IVb, IVc, IVd, IVe, IVf, IVg or IVh:
IVa IVb
IVc IVd
IVe IVf
IVg or ivh and wherein R1 and R2 are as described for formulae I', Ia, Ib, or Ha-IIh; and R2 is H, alkyl, halo, haloalkyl, or alkoxy.
100235] Jn one particular embodiment, with respect to compounds of formula I', the compound is according to formula IVa, IVb, IVc, or IVd.
[00236] In one particular embodiment, with respect to compounds of formula I', the compound is according to formula IVe, IVf, IVg or IVh.
100237] In one particular embodiment, with respect to compounds of formula I, the compound is according to formula Va, Vb, Vc Vd, Ve, Vf, Vg or Vh:
Va Vb
Vc Vd
Ve Vf
Vg orVh and wherein R' and R2 are as described for formulae V, Ia, Ib, or Ha-IIh; and R2 is H, alkyl, halo, haloalkyl, or alkoxy.
100238] In one particular embodiment, with respect to compounds of formula I', the compound is according to formula Va, Vb, Vc, or Vd. |00239] In one particular embodiment, with respect to compounds of formula I', the compound is according to formula Ve, Vf, Vg or Vh.
(00240] In one particular embodiment, with respect to compounds of formula I, the compound is according to formula Via, VIb, VIc or VId:
Via VIb
VIc or vid and wherein R' is as described for formula F, Ia, Ib, or Ha-IIh; and R2 is H, alkyl, halo, haloalkyl, or alkoxy.
[00241] In one particular embodiment, with respect to compounds of formula I, the compound is according to formula Vila, VIIb, VlIc or VIId:
Vila VIIb
VIIc or VIId and wherein R1 is as described for formula I', Ia, Ib, or Ha-IIh; and R2 is H, alkyl, halo, haloalkyl, or alkoxy.
(00242] In one embodiment, with respect to compounds of formula IHa-IIIb, IVa-IVd, Va-Vd, or
VIa-VIId, R2' is H, Me, CF3, Cl, F, or OMe.
[00243J In one embodiment, with respect to compounds of formula I', the compound is according to formula IVe, IVf, IVg, IVh, Ve, Vf, Vg, or Vh.
[00244] In another embodiment, with respect to compounds of formula I', the compound is according to formula IVe, IVf, IVg, IVh, Ve, Vf, Vg, or Vh; and the group -[NH-C(R2)-C(O)-]- represents an amino acid residue.
[00245] In another embodiment, with respect to compounds of formula I', the compound is according to formula IVe, IVf, IVg, IVh, Ve, Vf, Vg, or Vh; wherein the group -[NH-C(R2)-C(O)-]- represents an amino acid residue; and the amino acid residue is selected from -AIa-, -Arg-, -Asn-, -Asp-, - Cis-, -GIu-, -GIn-, -GIy-, -His-, -Ue-, -Leu-, -Lys-, -Met-, -Phe-, -Ser-, -Thr-, -Trp-, -Tyr-, and -VaI-. [00246] In another embodiment, with respect to compounds of formula I', the compound is according to formula IVe, IVf, IVg, IVh, Ve, Vf, Vg, or Vh; wherein the group -[NH-C(R2)-C(O)-]- represents an amino acid residue; and the amino acid residue is selected from -Phe-, -Trp-, and -Tyr-. [00247] In one embodiment, with respect to compounds of formula I', Ib, He-IIf, Ile'-IIf , IVe-
IVh, or Ve-Vh, R2 is H, CH2Ph, CH2-naphthyl, CH2-dihydronaphthyl, CH2-indol-3-yl, CH2-imidazolyl, CH2-(4-hydroxy)phenyl, CH2-cyclohexyl, or CH2-[4-(CO2H)2-CH-O-]phenyl;
[00248] In one embodiment, with respect to compounds of formula I', Ib, He-IIf, Ile'-IIf , IVe-
IVh, or Ve-Vh, R2 is H.
[00249] In one embodiment, with respect to compounds of formula I', Ib, He-IIf, Ile'-IIf, IVe-
IVh, or Ve-Vh, R2 is substituted or unsubstituted alkyl.
[00250] In one embodiment, with respect to compounds of formula I', Ib, He-IIf, Ile'-IIf, IVe-
IVh, or Ve-Vh, R2 is Me, i-Pr, i-Bu, or sec-Bu.
[00251] In one embodiment, with respect to compounds of formula I', Ib, He-IIf, Ile'-IIf, IVe-
IVh, or Ve-Vh, R2 is alkyl substituted with SH, or amino.
[00252] In one embodiment, with respect to compounds of formula I', Ib, He-IIf, Ile'-IIf, IVe-
IVh, or Ve-Vh, R
2 is CH
2Ph, CH
2-naphthyl, CH
2-indol-3-yl, or CH
2-(4-hydroxy)phenyl. [00253] In one embodiment, with respect to compounds of formula I', the compound is according to formula Villa, VIIIb, VIIIc, VIIId or VIIIe:
Villa VIIIb
VIIIc VIIId
VIIIe and wherein R' is as for formula F, Ia-Ib, or Ha-IIh.
[00254] In one embodiment, with respect to compounds of formula I', the compound is according to formula IXa, IXb, IXc, IXd, or IXe:
IXa IXb
IXd
IXc
IXe and wherein R1 is as for formula F, Ia-Ib, or Ha-IIh. [00255] In one particular embodiment, with respect to compounds of formula I- IXe, R1 is
and wherein R
la is as described for formula Ua-IIh.
|00256] In one particular embodiment, with respect to compounds of formula I-IXe, R1 is
and wherein R
la is as described for formula Ha-IIh. [00257] In one particular embodiment, with respect to compounds of formula I-IXe, R' is
and wherein R
la and R
lb are as described for formula Ha-IIh.
[00258J In one particular embodiment, with respect to compounds of formula 1', the compound is according to formula Xa, Xb, Xc or Xd:
and wherein R
la is as in formula Ha-IIh; and R
2 is H or alkoxy.
[00259] In one particular embodiment, with respect to compounds of formula I, the compound is according to formula Xa. In another particular embodiment, the compound is according to formula Xb. In a further particular embodiment, the compound is according to formula Xc. In a yet further particular embodiment the compound is according to formula Xd.
[00260J In one particular embodiment, with respect to compounds of formula I, the compound is according to formula XI:
and wherein R
la and R
lb are as in formula 1; and R
2 is H or alkoxy.
[00261] In one particular embodiment, with respect to compounds of the invention, R2 , when present, is H.
[00262] In one particular embodiment, with respect to compounds of the invention, R2 , when present, is methoxy.
[00263] In one particular embodiment, with respect to compounds of formula Ha-XI, Rla when present, is CH2COOH.
[00264] In one particular embodiment, with respect to compounds of formula Ha-XI, Rlb when present, is COOH.
[00265] In one particular embodiment, with respect to compounds of formula I', the compound is according to formula XIIa, XIIb, XIIc, XIId or XIIe:
XIIe each Rla is CH2CO2H.
[00266| In one particular embodiment, with respect to compounds of formula F, the compound is according to formula XIIIa, XIlIb, XIIIc, XIIId or XIIIe:
XIIIa XIIIb
XIIIe
each Rla is CH2CO2H.
|00267] In one particular embodiment, with respect to compounds of formula F, the compound is according to formula XIVa, XIVb, XIVc, XIVd or XIVe:
[00268] In one particular embodiment, with respect to compounds of formula I', the compound is according to formula XVa, XVb, XVc, XVd or XVe:
|00269j In one particular embodiment, with respect to compounds of formula I', the compound is selected from the compounds exemplified in Table 1 ; or a pharmaceutically acceptable salt, solvate or prodrug thereof; and stereoisomers, isotopic variants and tautomers thereof.
[00270] In another particular embodiment, with respect to compounds of formula I', the compound is selected from the compounds exemplified in Table 2; or a pharmaceutically acceptable salt, solvate or prodrug thereof; and stereoisomers, isotopic variants and tautomers thereof.
[00271] In one particular embodiment, with respect to compounds of formula I', the compound is selected from the compounds exemplified in Table 3; or a pharmaceutically acceptable salt, solvate or prodrug thereof; and stereoisomers, isotopic variants and tautomers thereof.
[00272] In another particular embodiment, with respect to compounds of formula V, the compound is selected from the compounds exemplified in Table 4; or a pharmaceutically acceptable salt, solvate or prodrug thereof; and stereoisomers, isotopic variants and tautomers thereof.
[00273] In another particular embodiment, with respect to compounds of formula I', the compound is:
Rj ' = alkyl, aminoalkyl, hydroxyalkyl, benzyl, phenyl, napthyl, or other amino acid side chain; R2' alkyl, aminoalkyl, hydroxyalkyl, benzyl, phenyl napthyl, or other amino acid side chain.
R1 ' = alkyl, aminoaikyl, hydroxyalkyl, benzyl, phenyl, napthyl, or other amino acid side chain; PEG - polyethyleneglycol; or a pharmaceutically acceptable salt, solvate or prodrug thereof; and stereoisomers, isotopic variants and tautomers thereof.
100274] In one particular embodiment, the invention provides a pharmaceutical composition comprising a pharmaceutically acceptable carrier and a pharmaceutically effective amount of a compound of formula I, for use as a diagnostic and/ or therapeutic agent.
[00275] In another particular embodiment, the compounds of the invention function as imaging agents and the invention extends to a method for identifying or detecting hypoxic tumors in a subject or patient, which comprises administering to the subject or patient an effective amount of a compound of formula I, for example, as an imaging agent and in conjunction with the performance of an imaging protocol.
[00276] In another particular embodiment, the invention provides a compound according to formula 1, for use as a probe for the identification of hypoxic tumors.
100277] In one embodiment, the hypoxic tumor is Carbonic anhydrase IX-positive.
100278] In one embodiment, the method for the measurement or examination of the subject for the presence or activity of a hypoxic tumor, may be carried out by radiographic imaging with one of many radionuclides known for this purpose. Suitable radionuclides may be selected from3H,14C,18F,32P,35S,
36Cl,51Cr,57Co,58Co,59Fe,61Cu,64Cu,67Ga,68Ga,81mKr,82Rb,86Y,89Zr,90Y,99mTc,1 1 1In,123I,125I,131I,
1311,133Xe,186Re and201Tl, with particular radionuclides including "1In,68Ga or64Cu. Exemplary diagnostic doses may range from about 2-2OmCi of e.g.61Cu,64Cu,67Ga,68Ga,86Y,89Zr or111In, per patient. A particular dose would range from 5-1OmCi Of64Cu168Ga or1 1 1In. Further, the mass of the substance may be approximately 0.01-1 mg per patient, and the time period within which imaging is generally performed can range from 1 hour to about 24 hours following injection with the imaging agent.
The imaging methods useful in the invention are as recited above, and include positron-emission tomography (PET) and single photon emission tomography (SPECT). [00279] In one embodiment, the method for the measurement or examination of the subject for the presence or activity of a hypoxic tumor is carried out by positron-emission tomography, and the radionuclides that are used may comprise64Cu and68Ga.
[00280| In one embodiment, the method for the measurement or examination of the subject for the presence or activity of a hypoxic tumor is carried out by single photon emission tomography, and the radionuclides that are used may comprise1 1 1In.
[00281] In one embodiment, the method for the measurement or examination of the subject for the presence or activity of a hypoxic tumor is carried out by gamma scintigraphy.
[00282] In another particular embodiment, the invention provides a method for defining CAIX positive tumors which comprises administering to the mammal an effective amount of a compound according to formula I.
|00283] In another particular embodiment, the invention provides a method for defining tumor hypoxia for dose painting in radiation planning which comprises administering to the mammal an effective amount of a compound according to formula I.
[00284] In one embodiment, the tumor is selected from: head, breast, neck, kidney, gliomas, mesotheliomas; and stomach, colon, pancreatic, biliary, cervix, endometrial, and squamal or basal cell carcinomas.
[00285] In one particular embodiment, the tumor is a head tumor.
[00286] In another particular embodiment, the tumor is a breast tumor.
[00287] In another particular embodiment, the tumor is a colon tumor.
[00288] In another particular embodiment, the tumor is a kidney tumor.
[00289] In another particular embodiment, the invention provides a compound according to formula I, for use as a pharmaceutical.
[00290] In another particular embodiment, the invention provides a compound according to formula I, use as a pharmaceutical or medicament.
[00291] In another particular embodiment, the invention provides a use of a compound according to formula I, in the manufacture of a medicament for the use in combination therapy.
[00292] In one embodiment, the therapy is antitumor therapy, wherein the tumors are hypoxic.
[00293] Additional embodiments within the scope of the present invention are set forth in non-limiting fashion elsewhere herein and in the examples. It should be understood that these examples are for illustrative purposes only and are not to be construed as limiting this invention in any manner.
[00294] In certain aspects, the present invention provides prodrugs and derivatives of the compounds according to the formulae above. Prodrugs are derivatives of the compounds of the invention, which have metabolically cleavable groups and become by solvolysis or under physiological conditions the compounds of the invention, which are pharmaceutically active, in vivo. Such examples include, but are not limited to, choline ester derivatives and the like, N-alkylmorpholinyl esters and the like.
|00295] Certain compounds of this invention have activity in both their acid and acid derivative forms, but the acid sensitive form often offers advantages of solubility, tissue compatibility, or delayed release in the mammalian organism (see, Bundgard, H., Design of Prodrugs, pp. 7-9, 21-24, Elsevier, Amsterdam 1985). Prodrugs include acid derivatives well know to practitioners of the art, such as, for example, esters prepared by reaction of the parent acid with a suitable alcohol, or amides prepared by reaction of the parent acid compound with a substituted or unsubstituted amine, or acid anhydrides, or mixed anhydrides. Simple aliphatic or aromatic esters, amides and anhydrides derived from acidic groups pendant on the compounds of this invention are preferred prodrugs. In some cases it is desirable to prepare double ester type prodrugs such as (acyloxy)alkyl esters or ((alkoxycarbonyl)oxy)alkylesters. Preferred are the Ci to Cg or Ci-Cβalkyl, C2-C8 alkenyl, aryl, substituted aryl, and arylalkyl esters of the compounds of the invention.
PHARMACEUTICAL COMPOSITIONS
|00296] When employed as pharmaceuticals, the compounds of this invention are typically administered in the form of a pharmaceutical composition. Such compositions can be prepared in a manner well known in the pharmaceutical art and comprise at least one active compound. In certain embodiments, the pharmaceutical composition may comprise a compound of the invention in combination with one or more compounds or compositions of like therapeutic utility and effect. [00297] Generally, the compounds of this invention are administered in a pharmaceutically effective amount. The amount of the compound actually administered will typically be determined by a physician, in the light of the relevant circumstances, including the condition to be treated, the chosen route of administration, the actual compound administered, the age, weight, and response of the individual patient, the severity of the patient's symptoms, and the like.
[00298] The pharmaceutical compositions of this invention can be administered by a variety of routes including oral, rectal, transdermal, subcutaneous, intravenous, intramuscular, and intranasal. Depending on the intended route of delivery, the compounds of this invention are preferably formulated as either injectable or oral compositions or as salves, as lotions or as patches all for transdermal administration.
[00299] The compositions for oral administration can take the form of bulk liquid solutions or suspensions, or bulk powders. More commonly, however, the compositions are presented in unit dosage forms to facilitate accurate dosing. The term "unit dosage forms" refers to physically discrete units suitable as unitary dosages for human subjects and other mammals, each unit containing a predetermined quantity of active material calculated to produce the desired therapeutic effect, in association with a suitable pharmaceutical excipient. Typical unit dosage forms include prefilled, premeasured ampules or syringes of the liquid compositions or pills, tablets, capsules or the like in the case of solid compositions. In such compositions, the furansulfonic acid compound is usually a minor component (from about 0.1 to about 50% by weight or preferably from about 1 to about 40% by weight) with the remainder being various vehicles or carriers and processing aids helpful for forming the desired dosing form. [00300] Liquid forms suitable for oral administration may include a suitable aqueous or nonaqueous vehicle with buffers, suspending and dispensing agents, colorants, flavors and the like. Solid forms may include, for example, any of the following ingredients, or compounds of a similar nature: a binder such as microcrystalline cellulose, gum tragacanth or gelatin; an excipient such as starch or lactose, a disintegrating agent such as alginic acid, Primogel, or corn starch; a lubricant such as magnesium stearate; a glidant such as colloidal silicon dioxide; a sweetening agent such as sucrose or saccharin; or a flavoring agent such as peppermint, methyl salicylate, or orange flavoring.
100301) Injectable compositions are typically based upon injectable sterile saline or phosphate- buffered saline or other injectable carriers known in the art. As before, the active compound in such compositions is typically a minor component, often being from about 0.05 to 10% by weight with the remainder being the injectable carrier and the like.
|00302] Transdermal compositions are typically formulated as a topical ointment or cream containing the active ingredient(s), generally in an amount ranging from about 0.01 to about 20% by weight, preferably from about 0.1 to about 20% by weight, preferably from about 0.1 to about 10% by weight, and more preferably from about 0.5 to about 15% by weight. When formulated as a ointment, the active ingredients will typically be combined with either a paraffinic or a water-miscible ointment base. Alternatively, the active ingredients may be formulated in a cream with, for example an oil-in-water cream base. Such transdermal formulations are well-known in the art and generally include additional ingredients to enhance the dermal penetration of stability of the active ingredients or the formulation. All such known transdermal formulations and ingredients are included within the scope of this invention. [00303] The compounds of this invention can also be administered by a transdermal device.
Accordingly, transdermal administration can be accomplished using a patch either of the reservoir or porous membrane type, or of a solid matrix variety.
[00304] The above-described components for orally administrable, injectable or topically administrable compositions are merely representative. Other materials as well as processing techniques and the like are set forth in Part 8 of Remington's The Science and Practice of Pharmacy. 21st edition, 2005, Publisher: Lippincott Williams & Wilkins, which is incorporated herein by reference. [00305] The compounds of this invention can also be administered in sustained release forms or from sustained release drug delivery systems. A description of representative sustained release materials can be found in Remington's Pharmaceutical Sciences.
[00306] The following formulation examples illustrate representative pharmaceutical compositions that may be prepared in accordance with this invention. The present invention, however, is not limited to the following pharmaceutical compositions.
Formulation 1 - Tablets
[00307] A compound of the invention may be admixed as a dry powder with a dry gelatin binder in an approximate 1 :2 weight ratio. A minor amount of magnesium stearate is added as a lubricant. The mixture is formed into 240-270 mg tablets (80-90 mg of active compound per tablet) in a tablet press.
Formulation 2 - Capsules
[00308] A compound of the invention may be admixed as a dry powder with a starch diluent in an approximate 1 : 1 weight ratio. The mixture is filled into 250 mg capsules (125 mg of active compound per capsule).
Formulation 3 - Liquid (00309) A compound of the invention (125 mg) may be admixed with sucrose (1.75 g) and xanthan gum (4 mg) and the resultant mixture may be blended, passed through a No. 10 mesh U.S. sieve, and then mixed with a previously made solution of microcrystalline cellulose and sodium carboxymethyl cellulose (1 1 :89, 50 mg) in water. Sodium benzoate (10 mg), flavor, and color are diluted with water and added with stirring. Sufficient water may then be added to produce a total volume of 5 mL.
Formulation 4 - Tablets
100310] A compound of the invention may be admixed as a dry powder with a dry gelatin binder in an approximate 1 :2 weight ratio. A minor amount of magnesium stearate is added as a lubricant. The mixture is formed into 450-900 mg tablets (150-300 mg of active compound) in a tablet press.
Formulation 5 - Injection
100311] A compound of the invention may be dissolved or suspended in a buffered sterile saline injectable aqueous medium to a concentration of approximately 5 mg/mL.
Formulation 6 - Topical
[00312] Stearyl alcohol (250 g) and a white petrolatum (250 g) may be melted at about 75°C and then a mixture of a compound of the invention (50 g) methylparaben (0.25 g), propylparaben (0.15 g), sodium lauryl sulfate (10 g), and propylene glycol (120 g) dissolved in water (about 370 g) is added and the resulting mixture is stirred until it congeals.
METHODS OF TREATMENT
[00313] The present compounds may be used as therapeutic agents for the treatment of conditions in mammals characterized by aberrant activity associated with carbonic anhydrase, as described herein. Accordingly, the compounds and pharmaceutical compositions of this invention find use as therapeutics for diagnosing, monitoring, preventing and/or treating cancer conditions in mammals including humans, which conditions exist or result from the growth and malignancy of hypoxic tumors. Thus, and as stated earlier, the present invention includes within its scope, and extends tothe use of the compounds for the recited methods of diagnosis, prognosis, monitoring or treatment, as well as to the compounds for such methods, and for the preparation of medicaments useful for such methods.
[00314] In a method of treatment aspect, this invention provides a method of treating a mammal susceptible to or afflicted with a condition associated with cancer resulting from or associated with the growth and presence of a hypoxic tumor, which method comprises administering an effective amount of one or more of the pharmaceutical compositions just described.
[00315] In additional method of treatment aspects, this invention provides methods of treating a mammal sμsceptible to or afflicted with cancer resulting from or associated with the growth and presence of a hypoxic tumor, which method comprises administering an effective condition-treating or condition- preventing amount of one or more of the pharmaceutical compositions just described. [00316] As a further aspect of the invention there is provided the present compounds for use as a pharmaceutical especially in the treatment or prevention of the aforementioned conditions and diseases. We also provide the use of the present compounds in the manufacture of a medicament for the treatment or prevention of one of the aforementioned conditions and diseases. 100317] Injection dose levels range from about 0.1 mg/kg/hour to at least 10 mg/kg/hour, all for from about 1 to about 120 hours and especially 24 to 96 hours. A preloading bolus of from about 0.1 mg/kg to about 10 mg/kg or more may also be administered to achieve adequate steady state levels. The maximum total dose is not expected to exceed about 2 g/day for a 40 to 80 kg human patient.
100318] For the prevention and/or treatment of long-term conditions, the regimen for treatment usually stretches over many months or years so oral dosing is preferred for patient convenience and tolerance. With oral dosing, one to five and especially two to four and typically three oral doses per day are representative regimens. Using these dosing patterns, each dose provides from about 0.01 to about 20 mg/kg of the compound of the invention, with preferred doses each providing from about 0.1 to about 10 mg/kg and especially about 1 to about 5 mg/kg.
[00319] Transdermal doses are generally selected to provide similar or lower blood levels than are achieved using injection doses.
[00320] When used to prevent or treat conditions contemplated herein, the compounds of this invention will be administered to a patient at risk for developing the condition, typically on the advice and under the supervision of a physician, at the dosage levels described above. Patients at risk for developing a particular condition generally include those that have a family history of the condition, or those who have been identified by genetic testing or screening to be particularly susceptible to developing the condition.
|00321] The compounds of this invention can be administered as the sole active agent or they can be administered in combination with other agents, including other active amines and derivatives.
GENERAL SYNTHETIC PROCEDURES
[00322] The compounds of this invention can be prepared from readily available starting materials using the following general methods and procedures. See, e.g., Synthetic Scheme, below. It will be appreciated that where typical or preferred process conditions {i.e., reaction temperatures, times, mole ratios of reactants, solvents, pressures, etc.) are given, other process conditions can also be used unless otherwise stated. Optimum reaction conditions may vary with the particular reactants or solvent used, but such conditions can be determined by one skilled in the art by routine optimization procedures. [00323] Additionally, as will be apparent to those skilled in the art, conventional protecting groups may be necessary to prevent certain functional groups from undergoing undesired reactions. The choice of a suitable protecting group for a particular functional group as well as suitable conditions for protection and deprotection are well known in the art. For example, numerous protecting groups, and their introduction and removal, are described in T. W. Greene and P. G. M. Wuts, Protecting Groups in Organic Synthesis, Second Edition, Wiley, New York, 1991, and references cited therein. [00324] The compounds of this invention, for example, may be prepared by the reaction of a chloro derivative with an appropriately substituted amine and the product isolated and purified by known standard procedures. Such procedures include (but are not limited to) recrystallization, column chromatography or HPLC. The following schemes are presented with details as to the preparation of representative fused heterocyclics that have been listed hereinabove. The compounds of the invention may be prepared from known or commercially available starting materials and reagents by one skilled in the art of organic synthesis.
(00325] The compounds of the present invention may be prepared by a variety of processes well known for the preparation of compounds of this type, for example reaction schemes, and general procedures as described below.
(00326] The syntheses of representative compounds of this invention are carried out in accordance with the methods set forth above and using the appropriate reagents, starting materials, and purification methods known to those skilled in the art. All starting materials in the following general syntheses may be commercially available or obtained by conventional methods known to those skilled in the art.
[00327] In this specification, especially in "Representative Synthetic Methods", the following abbreviations can be used:
BEP 2-bromo-l-ethylpyridinium tetrafluoroborate
BOP benzotriazol- 1 -y loxy-tris(dimethy lamino)phosphonium hexafluorophosphate
CDI 2-chloro-l,3-dimethylimidazolinium chloride
DCC dicyclohexylcarbodiimide
DCM dichloromethane
DME 1 ,2-dimethoxyethane, dimethoxyethane
DMF N,N-dimethylformamide
DMSO dimethyl sulfoxide
EDC l-ethyl-3-(3'-dimethylaminopropyl)carbodiimide hydrogen chloride
EtOAc ethyl acetate
EtOH ethanol
HOBt 1 -hydroxybenzotriazole
MBq megabecquerels
MeOH methanol mCi millicuries
NMP N-methyl-2-pyrroliidone
THF tetrahydrofuran
TFA trifluoroacetic acid uM μM uL μL
[00328] Synthesized compounds are characterized with Waters LC-MS system (Waters system fluidics organizer, photodiode array detector 2298, mass detector 3100 and binary gradient module 2545) using XBridge™ C18 5μm column (4.6x 150mm, Waters, USA) (eluents: A=0.05% TFA in water and B=0.05% TFA in acetonitrile; flow rate: 1.2mL/min; gradient: 0-2 min, 2% A; 2-10 min, 2% A-30% A, 10-14minl00% B; 14-15 min, 2% A)
SYNTHESIS OF INTERMEDIATES Intermediate 1 (S)-2-Amino-3-phenyl-N-[2-(4-suIfamoyl-phenyl)-ethyl]-propionamide
Method A (General Procedure)
[00329] Boc-Phe-OH (300mg, 1.13mmol) and HATU ( 1.2mmol) were weighted and dissolved in
5mL anhydrous DMF for 15min; then 4-(2-aminoethyl)benzenesulfonamide (1.13mmol, 226mg) and DIPEA (3.4mmol) were added subsequently. After the mixture was stirring for 2 hour under room temperature, it was extracted with ethylacetate/saturated NaCl solution three times. The crude Boc- protected intermediate was purified with normal phase column, and then deprotected using TFA/H2O (5ml, 95%TFA). After evaporation of solvents gave the intermediate (S)-2-amino-3-phenyl-N-[2-(4- sulfamoyl-phenyl)-ethyl]-propionamide, which was characterized with LC-MS and [1H]NMR for its purity and molecular weight, and was used for the next step without further purification. Method B (Alternate General Procedure)
[00330] The appropriate Boc- protected amino acid (1.0 mmol), EDC (1.1 mmol) and HoBt (1.1 mmol) were weighted and dissolved in 3 mL anhydrous DMF for 15min; then 4-(2- aminoethyl)benzenesulfonamide (1.0 mmol, 200 mg) and DIPEA (1.0 mmol) were added subsequently. After the mixture was stirring for 2.5 hours under room temperature, it was extracted with ethylacetate/saturated NaCl solution three times. Crude Boc-protected product was purified with normal phase column (DCM/MeOH), then pure Boc-protected intermediate was obtained after evaporation of solvents, which was characterized with LC-MS system and [IH]NMR for its purity and molecular weight. After 30 min incubation with TFA/H2O (3 ml, 95%TFA) for removal of Boc, pure amino compound was obtained after evaporation without further purification.
Intermediate 2 (S)-2-Amino-3-naphthalen-l-yl-N-[2-(4-sulfamoyl-phenyl)-ethyl]-propionamide
{00331] This intermediate was prepared following the method described for Intermediate 1 and using Boc protected (S)-2-Amino-3-naphthalen-l-yl-propionic acid. The intermediate 2 was characterized with LC-MS and [1H]NMR for its purity and molecular weight, and was used for the next step without further purification.
Intermediate 3 (S)-2-Amino-3-(4-hydroxyphenyl)-N-[2-(4-sulfamoyl-phenyl)-ethyl]-ρropionamide
100332] This intermediate was prepared following the method described for Intermediate 1 and using Boc protected Tyr-OH. The intermediate 3 was characterized with LC-MS and [1H]NMR for its purity and molecular weight, and was used for the next step without further purification.
Intermediate 4 (S)-2-Amino-3-(5,8-dihydro-naphthalen-2-yl)-N-[2-(4-sulfamoyl-phenyl)-ethyl]-propionamide
|00333] This intermediate was prepared following the method described for Intermediate 1 and using Boc protected (S)-2-Amino-3-(5,8-dihydro-naphthalen-2-yl)-propionic acid. The intermediate 4 was characterized with LC-MS and [1H]NMR for its purity and molecular weight, and was used for the next step without further purification.
Intermediate 5 (S)-2-Amino-3-(lH-indol-3-yI)-N-[2-(4-sulfamoyl-phenyl)-ethyl]-propionamide
[00334| This intermediate was prepared following the method described for Intermediate 1 and using Boc Trp-OH. The intermediate 5 was characterized with LC-MS and [
1H]NMR for its purity and molecular weight, and was used for the next step without further purification.
Intermediate 6 5-amino-l,3,4-thiadiazol-2-sulfonamide
[00335] N-(5-Sulfamoyl-l,3,4-thiadiazol-2-yl)acetamide (0.78g, 3.5mmol) is added to a solution of HCl/EtOH (v/v=0.85mL/3.0mL), and sealed into microwave-reaction vial. Then reaction mixture is maintained for 1 hour under 1500C. After the reaction, solvents are evaporated away under vacuum, the residue is dissolved into 3-5mL of MeOH/DCM (v/v=l/9) and purified with silica gel column to afford 5- amino-l ,3,4-thiadiazole-2-sulfonamide. Calculated MW: 180.2, MS-ES(+): 180.8 [M+H]+, 361.5 [2M+H]+; purity: >98% (UV=254nm
Intermediate 7 2-Amino-N-(5-sulfamoyl-[l,3,4]thiadiazol-2-yl)-acetamide
[00336] This intermediate was prepared following the method described for Intermediate 1 and using Boc protected Trp-OH and 5-amino-l,3,4-thiadiazol-2-sulfonarnide. The intermediate 7 was characterized with LC-MS and [1H]NMR for its purity and molecular weight, and was used for the next step without further purification.
Intermediate 8 N-(2-Aminoethyl)-4-sulfamoylbenzamide (C2)
[00337] 4-Carboxybenzenesulfonamide (1.16g, 5.76mmol) and N,N'-diisopropylcarbodiimide
(2.9mmol, 0.45mL) are dissolved in 12 mL anhydrous DMF. Fifteen minutes later, N-Boc- ethylenediamine (0.35g, 2.2mmol) is added together with a traceable amount of DMAP. The reaction mixture is stirred for 3 hours. The volatiles are evaporated under reduced pressure, and the residue is dissolved into 3-5mL of MeOH/DCM (v/v=l/9). The crude product is purified with normal phase column to afford 0.56 g of pure Λ^-(2-(Boc-amino)ethyl)-4-sulfamoylbenzamide.
Calculated MW: 343.4, MS-ES(+): 344.3 [M+H]+, 366.1 [M+Na]+, 709.4 [2M+Na]+; purity: >98%
(UV=254nm).
[1H]NMR [MeOD]: δ 1.41 (s, 9H, C(CHj)3); 3.45-3.47(t, 2H, CH2CH2NHCO); 3.29-3.3 l(t, 2H,
BOCNHCH2CH2NHCO); 7.96 (s, 4H, C6H4);
[13C]NMR [MeOD]: δ 28.78 (C(CHj)3); 80.25 (s, C(CH3)3); 40.77(CH7CH2NHCO);
41.63(BocNHCH2CH2NHCO); 127.3, 129.1 (C4H4); 147.7 (CSO2NH2); 139.0 (NHCOC); 169.0
(NHCOC); 158.8 (tBuOCNH).
[00338] The Boc protected N-(2-aminoethyl)-4-sulfamoylbenzamide (0.5Og, 5.76mmol) is dissolved in HCl/EtOH (v/v=O.85mL/3.OmL) and sealed in a microwave-reaction vial. The reaction mixture is reacted for 0.5 hour in microwave under 1000C. After the reaction, solvents are evaporated away under reduced pressure, the residue is dissolved into 3-5mL of MeOH/DCM (v/v=l/9) and the mixture purified with normal phase column to afford pure desired N-(2-aminoethyl)-4- sulfamoylbenzamide.
Calculated MW: 243.3, MS-ES(+): 244.2 [M+H]+, 487.5 [2M+H]+; purity: >98% (UV=254nm).
Bifunctional DTPA/DOTA-conjugated sulfonamides
Scheme 1
C15
Scheme 3
C16
Scheme 4
C17 wherein in Schemes 1-4 above, Rla is CH2COOH; and Rlb is COOH.
DTPA anhydride
R2
O
DTPA — N- -C-N-L1 -(- Cyij-L2-S-NH2 H H
O wherein CyI , L', L2, and R2 are as described herein.
Scheme 6
DOTA
wherein CyI , L
; L . and R
2 are as described herein.
Representative Synthetic Method for Preparation of the Compounds of Invention
|00339] 2,2'-(2-((2-(Bis(carboxymethyl)amino)-3-(4-isothiocyanatophenyl)propyl)-
(carboxymethyl)amino)cyclohexylazanediyl)diacetic acid (CHXA'-DTPA benzylisothiocyanate, 0.1 mmole) or 2,2',2"-( 10-(carboxy(4-isothiocyanato-2-methoxyphenyl)methyl)- 1 ,4,7, 10- tetraazacyclododecane- 1 ,4,7-triyl)triacetic acid (DOTA-benzyl isothiocyanate, 0.1 mmole) and the appropriate sulfonamide (0.1 mmol) are dissolved in 1.0 mL water, and then a traceable amount of sodium carbonate is used to adjust pH value to 9. The mixture is stirring for 18 hour under room temperature. After the reaction, the solution is diluted with 3.0 mL water and purified with LC-MS system (all are same with analytical LC-MS system except that flow rate for purification is 20.0 mL/min and column is
19x 150mm, Xbridge PreCi8 OBD™) to afford pure desired compounds.
C14 calculated MW: 794.9, MS-ES(+): 795.9 [M+H]+; purity: >98% (UV=254nm).
C15 calculated MW: 767.9, MS-ES(+): 767.9 [M+H]+; purity: >98% (UV=254nm).
C16 calculated MW: 753.8, MS-ES(+): 754.9 [M+H]+; purity: >98% (UV=254nm).
C17 calculated MW: 853.8, MS-ES(+): 854.9 [M+H]+; purity: >98% (UV=254nm).
C18B
C18B
Scheme 7
DTPA anhydride
Rla is CH2COOH
[00340] 4-(Boc-aminomethyl)phenyl isothiocyanate (400mg, 1.51mmol) and sulfanilamide.
(1.51mmol) were weighted and dissolved in 5mL anhydrous DMF1 and a traceable amount of TEA was added till pH value was greater than 9. The mixture was stirred for 3 hour under room temperature. The volatiles were evaporated away under reduced pressure, the residue was dissolved into 2-3mL of MeOH/DCM (v/v=l/9) and purified with normal phase column to afford the pure desired compound, which was characterized with same LC-MS system (same as first section) for its purity and molecular weight. Then TFA/H2O (5ml, 95%TFA) was used for removal of Boc, pure C18A was obtained after evaporation without further purification, which was characterized with LC-MS system and [1H]NMR. [00341] DTPA anhydride (O.βOmmol) and C18A (0.15mmol, 50mg) were weighted and dissolved in 1.OmL water, and then a traceable amount of sodium carbonate was used to adjust pH value to 9. The mixture was stirred for 2-4 hour at room temperature. The reaction solution was diluted with 3.0 mL acidic water and purified with LC-MS system (all are same with analytical LC-MS system except that flow rate for purification is 20.0 mL/min and column is 19x 150mm, Xbridge PreC]8 OBD™) to afford pure C18B, which was characterized with LC-MS system for its purity and molecular weight after lyophilization.
Compound 6
[(2-{12-(Bis-carboxymethyl-amino)-ethyl]-carboxymethyI-amino}-ethyl)-({(S)-2-(lH-indol-3-yl)-l-[2- (4-sulfamoyl-phenyl)-ethylcarbamoyl]-ethylcarbamoyl}-methyl)-amino]-acetic acid
100342] DTPA anhydride (0.60mmol) and (S)-2-amino-3-(lH-indol-3-yl)-N-[2-(4-sulfamoyl- phenyl)-ethyl]-propionamide (Intermediate 5, 0.15mmol) were weighted and dissolved in 1.OmL water, and then a traceable amount of sodium carbonate was used to adjust pH value to 9. The mixture was stirring for 2-4 hour under room temperature. After the reaction solution was diluted with 3.0 mL acidic water and purified with LC-MS system (all are same with analytical LC-MS system except that flow rate for purification is 20.0 mL/min and column is 19x 150mm, Xbridge PreC(g OBD™) to afford pure title compound, which were characterized with LC-MS system for its purity and molecular weight after lyophilization. Calculated MW: 761.8, MS-ES(+): 762.7 [M+H]+; purity: >98% (UV=254nm). Compound 7
{Carboxymethyl-II^carboxymethyl-fl-lcarboxymethyl-dKS-sulfamoyl-ll^^lthiadiazol-l- ylcarbamoyl)-methylj-carbamoyl}-methyl)-ainino]-ethyl}-amino)-ethyl]-amino}-acetic acid
[00343] DTPA anhydride (O.όOmmol) and 2-amino-N-(5-sulfamoyl-[ 1 ,3,4]thiadiazol-2-yl)- acetamide (Intermediate 7, 0.15mmol) were weighted and dissolved in 1.OmL water, and then a traceable amount of sodium carbonate was used to adjust pH value to 9. The mixture was stirring for 2-4 hour under room temperature. After the reaction solution was diluted with 3.0 mL acidic water and purified with LC- MS system (all are same with analytical LC-MS system except that flow rate for purification is 20.0 mL/min and column is 19x l50mm, Xbridge PreCis OBD™) to afford pure title compound, which were characterized with LC-MS system for its purity and molecular weight after lyophilization.
Radiolabeling
[00344] Ten microliters of a solution of C 14 or Cl 5 is dissolved in 1 M NH4OAc (1 mg/mL) and added to 1 mCi of "1In. After incubating for 1 hour at 600C, the reactions are quenched with 50 uL of 20 mM DTPA and the mixture purified with HPLC (Shimadzu LClO system, Partisil 10 ODS-2 4.6 x 250 mm column, 1 mL/min 0-90% acetonitrile 50 mM NH4OAc, over 30 mins). Retention times 22.1 and 18.5 mins. Radioactive peak fraction is evaporated to dryness under nitrogen and redissolved in 1% BSA/PBS.
ASSAYS Biological Testing
Example 1 Saturation binding
[00345] SKRC38 cells are grown in RPMI media supplemented with, 1% glutamine, 50 units/ml penicillin, 50 units/ml streptomycin, and 10% heat-inactivated fetal bovine serum a temperature of 370C in an environment containing 5% CO2. The cells are trypsinized, washed and resuspended in phosphate buffered saline. A suspension fo 200,000 cells, and increasing concentrations of "1In-C 15, either with or without 1000 nM Cl 5 are shaken at room temperature for one hour. The cells are then isolated and washed with ice cold Tris buffered saline using a Brandel cell harvester (Gaithersburg, MD). The specific uptake of " ' In-C 15 is determined by counting all the isolated cell samples, appropriate standards of total activity and blank controls with a gamma counter. Saturation binding curves are plotted and the K<j and Bmax values are determined using a one site model and a least squares curve fitting routine (Origin, OriginLab, Northampton, MA). The number of CAIX sites expressed by this cell line is also determined usingl31I-cG250, an antibody specific for CAIX.
Example 2
Displacement binding — screening studies
[00346] A suspension of 200 000 cells, 20 000 cpm of "1In-Cl 5, and increasing concentrations of cold competitor (1 pM to l μM), are shaken at room temperature for one hour. The cells are then isolated and washed with ice cold Tris buffered saline using a Brandel cell harvester (Gaithersburg, MD). The specific uptake of ' " In-C 15 is determined by counting all the isolated cell samples, appropriate standards of total activity and blank controls with a gamma counter. Displacement binding curves are plotted and the IC50 values are determined using a one site model and a least squares curve fitting routine (Origin, OriginLab, Northampton, MA).
Example 3 Biological testing
[003471 Prior to use, SKRC 38 or HT29 cells are trypsinized, counted and suspended in with 50%
Matrigel for tumor implantation. Six- to eight-week old nu/nu athymic male mice are maintained in ventilated cages and fed/watered ad libitum. The experiments are be carried out under an IACUC approved protocol as well as following institutional guidelines for the proper and humane use of animals in research. 5 x 106 tumor cells are injected sc into the flanks of the animals and after 14-21 days tumors (200-500 mg) are present.
[00348] Within 24 h of birth, Ntv-a/Ink4a~/~Arf/~ mice are injected intracranially with 104 DF-I cells infected with and producing RCAS-PDGF retroviral vectors. Mice are monitored daily for symptoms of rumor development. All imaging experiments are performed on mice at 4-6 wk of age. Non-tumor- bearing mice serve as controls.
[00349] The tumor bearing mice are injected, via the tail vein, with either 1.6 MBq ofu lIn-C14,
1.6 MBq "1In-C 15, or 14 MBq Of64Cu -C 15 in 200 μL of PBS (pH 7.4, 0.2% BSA). Animals injected with64Cu-ClS are imaged with a MicroPET camera (Concorde) up to 24 hours post injection. Coincident data are collected for the 511 KeV gamma rays with a 250-750 KeV window for ten minutes. The images are reconstructed and ROIs drawn around the tumors and major organs.
[00350] Selected animals are also injected with Pimomidazole (60 mg/kg) one hour pre sacrifice to assess tumor hypoxia, and Hoechst 33342 (40 mg/kg) at 5 minutes pre sacrifice to assess tumor perfusion. At either 1 or 24 hours post injection, CO2 euthanasia is used to kill groups of animals. [00351] Radioactive, tumor and tissue samples are collected, weighed and counted, with appropriate standards, in an automatic NaI(Tl) counter. These measured relative activity data (cpm) are background corrected and expressed as a percentage of the injected dose per gram (%ID/g). These data are also fitted with a least squares regression analysis to determine the biological clearance of the different forms of antibody. The tumors are immediately frozen at -80°C and sections processed for immunohistochemistry and / or digital autoradiography.
[00352] For CAIX staining, tumor sections are fixed for 20 min in 4% paraformaldehyde solution, air-dried and blocked (Superblock blocking buffer in PBS, Pierce) at room temperature for lhr. Sections are then incubated with primary antibody (cG250, a murine Fv grafted human IgG lK - kindly supplied by Ludwig Institute of Cancer Research) applied in blocking solution at a concentration of 25μg/ml. Slides are incubated for lhr at room temperature, washed X3 with PBS and incubated with secondary fluorescent Alex-568 goat anti-human antibody in blocking solution at a concentration of 40μg/ml. Negative controls consisted of tumor sections exposed to fluorescent anti-human antibody alone.
[00353] Tumor sections are imaged with a Zeiss Axioplan2 fluorescence microscope connected to a CCD camera in RGB mode. Fluorescence images are obtained using appropriate filter cubes for each fluorochrome. DAB-stained sections are imaged using standard bright field illumination settings. The microscope has a computer controlled motorized stage that enables images of whole sections to be generated as a mosaic at any given magnification with identical exposure time per frame. [00354] Tumor sections are placed on a phosphor-imaging plate (Fujifilm BAS-MS2325, Fuji
Photo Film, Japan) for an appropriate length of time at -200C. Upon the completion of an exposure, the imaging plates are removed from the cassette and placed in a BAS-1800II Bio-Imaging Analyzer (Fujifilm Medical Systems, USA) to readout the image. The image reader creates 16-bit grayscale digital images with pixel size of 50μm. These images are then converted to .tiff image format files for subsequent analysis.
Activity of Exemplary Compounds of the Invention
[00355] The following compounds (Tables 1-4) have been or can be prepared according to the methods of the invention. An displacement binding assay is performed as described above in Example 2. The IC50 data for some of the representative compounds are given in Tables 1 and 3 below.
[00356] Table 1: IC50 values for the displacement of1HIn-C15 binding to SKRC38 cells
*RIa = CH2COOH : Additional Representative Compounds of the Invention
8] Table 3: IC
50 values for the displacement of " In-C15 binding to SKRC38 cells
[00359] Table 4: Additional Representative Compounds of the Invention
[00360] , In addition to the examples listed above, the following compounds of invention can be prepared using the procedures described herein:
Ri ' = alkyl, aminoalkyl, hydroxyalkyl, benzyl, phenyl, napthyl, or other amino acid side chain; R
2' alkyl, aminoalkyl, hydroxyalkyl, benzyl, phenyl, napthyl, or other amino acid side chain.
Ri' = alkyl, aminoalkyl, hydroxyalkyl, benzyl, phenyl, napthyl, or other amino acid side chain; PEG - polyethyleneglycol.
[00361] From the foregoing description, various modifications and changes in the compositions and methods of this invention will occur to those skilled in the art. All such modifications coming within the scope of the appended claims are intended to be included therein.
[00362] All publications, including but not limited to patents and patent applications, cited in this specification are herein incorporated by reference as if each individual publication were specifically and individually indicated to be incorporated by reference herein as though fully set forth.
[00363] At least some of the chemical names of compounds of the invention as given and set forth in this application, may have been generated on an automated basis by use of a commercially available chemical naming software program, and have not been independently verified. Representative programs performing this function include the Lexichem naming tool sold by Open Eye Software, Inc. and the
Autonom Software tool sold by MDL, Inc. In the instance where the indicated chemical name and the depicted structure differ, the depicted structure will control.
[00364] Chemical structures shown herein were prepared using ISIS® /DRAW. Any open valency appearing on a carbon, oxygen or nitrogen atom in the structures herein indicates the presence of a hydrogen atom. Where a chiral center exists in a structure but no specific stereochemistry is shown for the chiral center, both enantiomers associated with the chiral structure are encompassed by the structure.
REFERENCES
[00365] 1. Hockel M and Vaupel P, Tumor hypoxia: definitions and current clinical, biologic, and molecular aspects, J. Natl. Cancer Inst. 93, pp 266-76 (2001).
[00366] 2. Wykoff CC, Beasley NJ, Watson PH, Turner KJ, Pastorek J, Sibtain A, Wilson
GD, Turley H, Talks KL, Maxwell PH, Pugh CW, Ratcliffe PJ, Harris AL. Hypoxia-inducible expression of tumor-associated carbonic anhydrases, Cancer Res. 60(24), pp 7075-83 (2000).
[00367] 3. Semenza, G.L., Targeting HIF-I for cancer therapy. Nat Rev Cancer, 3(10): pp
721-32 (2003). [00368] 4. Potter C, Harris AL. Hypoxia inducible carbonic anhydrase IX, marker of tumour hypoxia, survival pathway and therapy target. Cell Cycle. 3(2), pp 164-7 (2004).
[00369] 5. Turner KJ, Crew JP, Wykoff CC, Watson PH, Poulsom R, Pastorek J, Ratcliffe
PJ, Cranston D, Harris AL. The hypoxia-inducible genes VEGF and CA9 are differentially regulated in superficial vs invasive bladder cancer. Br J Cancer.;86(8), ppl276-82 (2002).
[00370] 6. Pastorekova S, Parkkila S, Pastorek J, Supuran CT. Carbonic anhydrases: current state of the art, therapeutic applications and future prospects, J. Enzyme Inhib. Med. Chem. 19 (3), pp
199-229 (2004).
[00371] 7. Loncaster JA, Harris AL, Davidson SE, Logue JP, Hunter RD, Wycoff CC,
Pastorek J, Ratcliffe PJ, Stratford IJ, West CM. Carbonic anhydrase (CA IX) expression, a potential new intrinsic marker of hypoxia: correlations with tumor oxygen measurements and prognosis in locally advanced carcinoma of the cervix, Cancer Res. 61(17), pp 6394-9 (2001).
[00372] 8. Harris, A.L., Hypoxia—a key regulatory factor in tumour growth. Nat Rev
Cancer, 2(1): pp 38-47. (2002).
[00373] 9. Bui MH, Seligson D, Han KR, Pantuck AJ, Dorey FJ, Huang Y, Horvath S,
Leibovich BC, Chopra S, Liao SY, Stanbridge E, Lerman MI, Palotie A, Figlin RA, Belldegrun AS.., et al., Carbonic anhydrase IX is an independent predictor of survival in advanced renal clear cell carcinoma: implications for prognosis and therapy. Clin Cancer Res, 9(2), pp 802-11 (2003).
[00374] 10. Chia SK, Wykoff CC, Watson PH, Han C, Leek RD, Pastorek J, Gatter KC,
Ratcliffe P, Harris AL., et al., Prognostic significance of a novel hypoxia-regulated marker, carbonic anhydrase IX, in invasive breast carcinoma. J Clin Oncol, 19(16), pp 3660-8 (2001).
[00375] 11. Hussain SA, Palmer DH, Ganesan R, Hiller L, Gregory J, Murray PG, Pastorek J,
Young L, James ND. Carbonic anhydrase IX, a marker of hypoxia: correlation with clinical outcome in transitional cell carcinoma of the bladder. Oncol Rep., 11(5), pp 1005-10 (2004).
[00376] 12. Koukourakis MI, Giatromanolaki A, Sivridis E, Simopoulos K, Pastorek J,
Wykoff CC, Gatter KC, Harris AL.. Hypoxia-regulated carbonic anhydrase-9 (C A9) relates to poor vascularization and resistance of squamous cell head and neck cancer to chemoradiotherapy. Clin Cancer
Res, 7(1 1), pp 3399-403 (2001).
[00377] 13. Koukourakis MI, Bentzen SM, Giatromanolaki A, Wilson GD, Daley FM,
Saunders MI, Dische S, Sivridis E, Harris AL. Endogenous markers of two separate hypoxia response pathways (hypoxia inducible factor 2 alpha and carbonic anhydrase 9) are associated with radiotherapy failure in head and neck cancer patients recruited in the CHART randomized trial. J Clin Oncol, 24(5), pp
727-35 (2006).
[00378] 14. Loncaster JA, Harris AL, Davidson SE, Logue JP, Hunter RD, Wycoff CC,
Pastorek J, Ratcliffe PJ, Stratford IJ, West CM. Carbonic anhydrase (CA IX) expression, a potential new intrinsic marker of hypoxia: correlations with tumor oxygen measurements and prognosis in locally advanced carcinoma of the cervix. Cancer Res,. 61(17), p. 6394-9 (2001). 1003791 15. Maseide K, Kandel RA, Bell RS, Catton CN, O'Sullivan B, Wunder JS, Pintilie
M, Hedley D, Hill RP.1., Carbonic anhydrase IX as a marker for poor prognosis in soft tissue sarcoma.
Clin Cancer Res, 10( 13), pp 4464-71 (2004).
[003801 16. Simi L, Venturini G, Malentacchi F, Gelmini S, Andreani M, Janni A,
Pastorekova S, Supuran CT, Pazzagli M, Orlando C. Quantitative analysis of carbonic anhydrase IX mRNA in human non-small cell lung cancer. Lung Cancer, 52(1), pp. 59-66 (2006).
1003811 17. Swinson DE, Jones JL, Richardson D, Wykoff C, Turley H, Pastorek J, Taub N,
Harris AL, O'Byrne KJ. Carbonic anhydrase IX expression, a novel surrogate marker of tumor hypoxia, is associated with a poor prognosis in nonsmall lung cancer J. Clini Oncol, 21 , pp473-82 (2003).
(00382) 18. Kivela AJ, Parkkila S, Saarnio J, Karttunen TJ, Kivela J, Parkkila AK,
Pastorekova S, Pastorek J, Waheed A, Sly WS, Rajaniemi H. Expression of transmembrane carbonic anhydrase isoenzymes IX and XII in normal human pancreas and pancreatic tumours. Histochem Cell
Biol, 1 14(3), pp 197-204 (2000).
[00383] 19. Saarnio J, Parkkila S, Parkkila AK, Haukipuro K, Pastorekova S, Pastorek J,
Kairaluoma MI, Karttunen TJ. Immunohistochemical study of colorectal tumors for expression of a novel transmembrane carbonic anhydrase, MN/CA IX, with potential value as a marker of cell proliferation. Am
J Pathol, 153(1), pp 279-85 (1998).
[00384] 20. Saarnio J, Parkkila S, Parkkila AK, Pastorekova S, Haukipuro K, Pastorek J,
Juvonen T, Karttunen TJ.Transmembrane carbonic anhydrase, MN/CA IX, is a potential biomarker for biliary tumours. J Hepatol, 35(5), pp. 643-9 (2001).
[00385] 21. Driessen A, Landuyt W, Pastorekova S, Moons J, Goethals L, Haustermans K,
Nafteux P, Penninckx F, Geboes K, Lerut T, Ectors N. Expression of carbonic anhydrase IX (CA IX), a hypoxia-related protein, rather than vascular-endothelial growth factor (VEGF), a pro-angiogenic factor, correlates with an extremely poor prognosis in esophageal and gastric adenocarcinomas. Ann Surg,
243(3), pp 334-40 (2006.).
[00386] 22. Chrastina A, Zavada J, Parkkila S, Kaluz S, Kaluzova M, Rajcani J, Pastorek J,
Pastorekova S. Biodistribution and pharmacokinetics of 1251-labeled monoclonal antibody M75 specific for carbonic anhydrase IX, an intrinsic marker of hypoxia, in nude mice xenografted with human colorectal carcinoma. Int J Cancer, 105(6), pp. 873-81 (2003).
[00387] 23 . Olive PL, Aquino-Parsons C, MacPhail SH, Liao SY, Raleigh JA, Lerman MI,
Stanbridge EJ. Carbonic anhydrase 9 as an endogenous marker for hypoxic cells in cervical cancer.
Cancer Res, 61 (24), pp 8924-9 (2001).
[00388] 24 . Hui EP, Chan AT, Pezzella F, Turley H, To KF, Poon TC, Zee B, Mo F, Teo PM,
Huang DP, Gatter KC, Johnson PJ, Harris AL.Coexpression of hypoxia- inducible factors 1 alpha and
2alpha, carbonic anhydrase IX, and vascular endothelial growth factor in nasopharyngeal carcinoma and relationship to survival. Clin Cancer Res, 8(8), pp. 2595-604 (2002).
[00389] 25 . Giatromanolaki A, Koukourakis MI, Sivridis E, Pastorek J, Wykoff CC, Gatter
KC, Harris AL. Expression of hypoxia-inducible carbonic anhydrase-9 relates to angiogenic pathways and independently to poor outcome in non-small cell lung cancer. Cancer Res, 61(21), pp 7992-8 (2001). [00390] 26 . Hutchison GJ, Valentine HR, Loncaster JA, Davidson SE, Hunter RD, Roberts
SA, Harris AL, Stratford IJ, Price PM, West CM. Hypoxia-inducible factor 1 alpha expression as an intrinsic marker of hypoxia: correlation with tumor oxygen, pimonidazole measurements, and outcome in locally advanced carcinoma of the cervix. Clin Cancer Res, 10(24), pp 8405-12 (2004).
[00391] 27 . Airley R, Loncaster J, Davidson S, Bromley M, Roberts S, Patterson A, Hunter
R, Stratford I, West C. Glucose transporter glut-1 expression correlates with tumor hypoxia and predicts metastasis-free survival in advanced carcinoma of the cervix. Clin Cancer Res, 7(4), pp 928-34 (2001).
[00392] 28 . Swinson DE, Jones JL, Richardson D, Wykoff C, Turley H, Pastorek J, Taub N,
Harris AL, O'Byrne KJ. Carbonic anhydrase IX expression, a novel surrogate marker of tumor hypoxia, is associated with a poor prognosis in non-small-cell lung cancer. J Clin Oncol, 21(3), pp 473-82 (2003).
[00393] 29 . Lam JS, Leppert JT, Figlin RA, Belldegrun AS. Role of molecular markers in the diagnosis and therapy of renal cell carcinoma. Urology, 66(5 Suppl), pp 1-9 (2005).
[00394] 30 . Opavsky R, Pastorekova S, Zelnik V, Gibadulinova A, Stanbridge EJ, Zavada J,
Kettmann R, Pastorek J. Human MN/CA9 gene, a novel member of the carbonic anhydrase family: structure and exon to protein domain relationships. Genomics, 33(3), pp 480-7 (1996).
[00395] 31. Clare B. W. and Supuran CT. A perspective on quantitative structure-activity relationships and carbonic anhydride inhibitors. Expert Opin. Drug Metab. Toxicol., 2(1), pp 113-137
(2006).
[00396] 32 . Supuran CT. and Scozzafava A.. Carbonic anhydride as targets for medicinal chemistry. Bioorg. Med Chem. Lett., 15, pp4336-4350 (2007).
[00397] 33. Vullo D., Franchi M., Gallori E., Pastorek J., Scozzafava A., Partorekova S. and
Supuran CT.. Carbonic anhydrase inhibitors: Inhibition of the tumor-associated isozyme IX with aromatic and heterocyclic Sulfonamides. Bioorg. Med Chem. Lett., 13, ppl005-1009 (2003).
[00398] 34. Cecchi A., Hulikova A., Pastorek J., Partorekova S., Scozzafava A., Winum J-Y,
Montero J-L and Supuran CT.. Carbonic anhydrase inhibitors. Design of fluorescent sulfonamides as probes of tumor associated carbonic anhydrase IX thet inhibit isozyme IX mediated acidification of hypoxic tumors. J.Med. Chem., 48, pp4834-4841 (2005).
[00399] 35. Alterio V., Vitale R.M., Monti S.M., Pedone C, Scozzafava A., Cecchi A., De
Simone G and Supuran CT. Carbonic anhydrase inhibitors: X-ray and molecular modeling study for the interaction of a fluorescent antitumor sulfonamide with isozyme II and IX. J. Am. Chem. Soc, 128, pp8329-8335 (2006).
[00400] 36. Dubois L., Douma K., Supuran CT., Chiu R.K., van Zandvoort M.A.M.J.,
Partorekova S., Scozzafava A., Wouters B.G. and Lambin P.. Imaging the hypoxia surrogate marker CA
IX requires expression and catalytic activity for binding fluorescent sulfonamide inhibitors. Radiotherapy
Oncology, 83, pp367-373 (2007).
[00401] 37. Shvarts O, Han KR, Seltzer M, Pantuck AJ, Belldegrun AS.. Positron emission tomography in urologic oncology. Cancer Control, 9(4), pp 335-42 (2002).
[00402] 38. Rasey JS, Koh WJ, Evans ML, Peterson LM, Lewellen TK, Graham MM, Krohn
KA Quantifying regional hypoxia in human tumors with positron emission tomography of [18F]fluoromisonidazole: a pretherapy study of 37 patients. Int J Radiat Oncol Biol Phys. 36(2), pp 417-
28 (1996).
[00403] 39. O'Donoghue JA, Zanzonico P, Pugachev A, Wen B, Smith- Jones P, Cai S1
Burnazi E, Finn RD, Burgman P, Ruan S, Lewis JS, Welch MJ, Ling CC, Humm JL. Assessment of regional tumor hypoxia using ( 18)F-fluoromisonidazole and (64)Cu(II)-diacetyl-bis(N4- methylthiosemicarbazone) positron emission tomography: Comparative study featuring microPET imaging, Po(2) probe measurement, autoradiography, and fluorescent microscopy in the R3327-AT and
FaDu rat tumor models. Int J Radiat Oncol Biol Phys. 61(5), pp 1493-502 (2005).
[00404] 40. Lehtio K, Eskola O, Viljanen T, Oikonen V, Gronroos T, Sillanmaki L, Grenman
R, Minn H. Imaging perfusion and hypoxia with PET to predict radiotherapy response in head-and-neck cancer. Int J Radiat Oncol Biol Phys. 59(4), pp 971-82 (2004)..
[00405] 41. Ziemer LS, Evans SM, Kachur AV, Shuman AL, Cardi CA, Jenkins WT, Karp
JS, Alavi A, Dolbier WR Jr, Koch CJ. Noninvasive imaging of tumor hypoxia in rats using the 2- nitroimidazole 18F-EF5. Eur J Nucl Med MoI Imaging. 30(2), pp 259-66 (2003).
[00406] 42. Zanzonico P, O'Donoghue J, Chapman JD, Schneider R, Cai S, Larson S, Wen B,
Chen Y, Finn R, Ruan S, Gerweck L, Humm J, Ling C. Iodine- 124-labeled iodo-azomycin-galactoside imaging of tumor hypoxia in mice with serial MicroPET scanning. Eur J Nucl Med MoI Imaging. 31(1), pp 117-28 (2004).
[00407] 43. Lewis JS, Sharp TL. Laforest R, Fuiibayashi Y, Welch MJ. Tumor uptake of copper-diacetyl-bis(N(4)-methylthiosemicarbazone): effect of changes in tissue oxygenation.
J Nucl Med. 42(4):655-61 (2001).
[00408] 44. Neckers L. Heat shock protein 90 inhibition by 17-allylamino-17- demethoxygeldanamycin: a novel therapeutic approach for treating hormone-refractory prostate cancer.
Clin. Cancer Res., 8(5), pp962-6 (2002).
[00409] 45. Neckers L. Using natural product inhibitors to validate Hsp90 as a molecular target in cancer. Curr Top Med Chem.6(l 1), pp 1 163-71. (2006)
[00410] 46. Benezra R, Henke E, Ciarrocchi A, Ruzinova M, Solit D, Rosen N, Nolan D,
Mittal V, de Candia P. Induction of complete regressions of oncogene-induced breast tumors in mice.
Cold Spring Harb Symp Quant Biol.;70, pp 375-81 (2005).
[00411] 47. Mabjeesh NJ, Post DE, Willard MT, Kaur B, Van Meir EG, Simons JW, Zhong
H. Geldanamycin induces degradation of hypoxia-inducible factor 1 alpha protein via the proteosome pathway in prostate cancer cells. Cancer Res. 62(9), pp 2478-82 (2002).
[00412] 48. Mackay H, Hedley D, Major P, Townsley C, Mackenzie M, Vincent M,
Degendorfer P, Tsao MS, Nicklee T, Birle D, Wright J, Siu L, Moore M, Oza A. A phase II trial with pharmacodynamic endpoints of the proteasome inhibitor bortezomib in patients with metastatic colorectal cancer. Clin Cancer Res. 1 1(15), pp 5526-33 (2005).
[00413] 49. Atkins M, Regan M, McDermott D, Mier J, Stanbridge E, Youmans A, Febbo P,
Upton M, Lechpammer M, Signoretti S. Carbonic anhydrase IX expression predicts outcome of interleukin 2 therapy for renal cancer. Clin Cancer Res. 11(10), pp 3714-21 (2005). [00414] 50. Pore N, Gupta AK, Cerniglia GJ, Maity A. HIV protease inhibitors decrease
VEGF/HlF-1 alpha expression and angiogenesis in glioblastoma cells. Neoplasia. 8(1 1), pp 889-95
(2006).
[00415] 51. Liang D, Kong X, Sang N. Effects of Histone Deacetylase Inhibitors on HIF- 1.
Cell Cycle. 5(21), pp 2430-6 (2006).
[00416] 52. Thiry A, Dogne JM, Masereel B, Supuran CT. Targeting tumor-associated carbonic anhydrase IX in cancer therapy. Trends Pharmacol Sci. 27(1 1), pp 566-73 (2006).
[00417] 53. Vullo D, Innocenti A, Nishimori I, Pastorek J, Scozzafava A, Pastorekova S,
Supuran CT. Carbonic anhydrase inhibitors. Inhibition of the transmembrane isozyme XII with sulfonamides - a new target for the design of antitumor and antiglaucoma drugs?, Bioorg. Med. Chem.
Lett. 15(4), pp. 963-9 (2005).
[00418] 54. Supuran CT, Brigand F, Tilli S, Chegwidden WR, Scozzafava A. Carbonic anhydrase inhibitors: sulfonamides as antitumor agents?, Bioorg. Med. Chem. 9(3), pp. 703-14 (2001).
[00419] 55. Yokoi A, Kuromitsu J, Kawai T, Nagasu T, Sugi NH, Yoshimatsu K, Yoshino H,
Owa T. Profiling novel sulfonamide antitumor agents with cell-based phenotypic screens and array-based gene expression analysis, MoI. Cancer There. 1(4), pp. 275-86 (2002).
[00420] 56. Abbate F, Casini A, Owa T, Scozzafava A, Supuran CT. Carbonic anhydrase inhibitors: E7070, a sulfonamide anticancer agent, potently inhibits cytosolic isozymes I and II, and transmembrane, tumor-associated isozyme IX, Bioorg. Med. Chem. Lett. 14, pp. 217-23, (2004).
[00421] 57. Ozawa Y, Sugi NH, Nagasu T, Owa T, Watanabe T, Koyanagi N, Yoshino H,
Kitoh K, Yoshimatsu K.. E7070, a novel sulphonamide agent with potent antitumour activity in vitro and in vivo, Eur. J. Cancer 37(17), pp. 2275-82 (2001).
[00422] 58. Winum JY, Cecchi A, Montero JL, Innocenti A, Scozzafava A, Supuran CT..
Carbonic anhydrase inhibitors. Synthesis and inhibition of cytosolic/tumor-associated carbonic anhydrase isozymes I, II, and IX with boron-containing sulfonamides, sulfamides, and sulfamates: toward agents for boron neutron capture therapy of hypoxic tumors, Bioorg. Med. Chem. Lett. 15(13), pp. 3302-6 (2005).
[00423] 59. Alterio V, Vitale RM, Monti SM, Pedone C, Scozzafava A, Cecchi A, De Simone
G, Supuran CT., Carbonic anhydrase inhibitors: X-ray and molecular modeling study for the interaction of a fluorescent antitumor sulfonamide with isozyme II and IX, J. Am. Chem. Soc. 128(25), pp. 8329-35
(2006).
[00424] 60. Menchise V, De Simone G, Alterio V, Di Fiore A, Pedone C, Scozzafava A,
Supuran CT. Carbonic anhydrase inhibitors: stacking with Phel31 determines active site binding region of inhibitors as exemplified by the X-ray crystal structure of a membrane-impermeant antitumor sulfonamide complexed with isozyme II, J. Med. Chem. 48(18), pp. 5721-27 (2005).
[00425] 61. Teicher BA, Liu SD, Liu JT, Holden SA, Herman TS. A carbonic anhydrase inhibitor as a potential modulator of cancer therapies. Anticancer Res. 13(5A), pp 1549-56 (1993).
[00426] 62. Shvarts O, Han KR, Seltzer M, Pantuck AJ, Belldegrun AS.. Positron emission tomography in urologic oncology. Cancer Control, 9(4):335-42 (2002).