Movatterモバイル変換


[0]ホーム

URL:


WO2010143218A1 - Polymeric conjugates of phospholipids - Google Patents

Polymeric conjugates of phospholipids
Download PDF

Info

Publication number
WO2010143218A1
WO2010143218A1PCT/IT2010/000258IT2010000258WWO2010143218A1WO 2010143218 A1WO2010143218 A1WO 2010143218A1IT 2010000258 WIT2010000258 WIT 2010000258WWO 2010143218 A1WO2010143218 A1WO 2010143218A1
Authority
WO
WIPO (PCT)
Prior art keywords
mpeg
acid
cooh
dspe
conjugate according
Prior art date
Application number
PCT/IT2010/000258
Other languages
French (fr)
Inventor
Gianfranco Pasut
Oddone Schiavon
Francesco Veronese
Original Assignee
Università Degli Studi Di Padova
Priority date (The priority date is an assumption and is not a legal conclusion. Google has not performed a legal analysis and makes no representation as to the accuracy of the date listed.)
Filing date
Publication date
Application filed by Università Degli Studi Di PadovafiledCriticalUniversità Degli Studi Di Padova
Publication of WO2010143218A1publicationCriticalpatent/WO2010143218A1/en

Links

Classifications

Definitions

Landscapes

Abstract

The present invention regards new polymeric conjugates of phospholipids comprehending at least a polymer conjugated, through a branched molecule, at least to two phospholipids, and their use, as such or in combination, with other amphypatic substances to deliver biologically active agents. The above reported new polymer-phospholipids conjugates can be used in preparations, 'kits', formulation of liposomes, for diagnostic application or in therapy.

Description

TITLE: "POLYMERIC CONJUGATES OF PHOSPHOLIPIDS"
DESCRIPTION OF INDUSTRIAL INVENTION
FIELD OF INVENTION
The present invention regards new polymeric conjugates of phospholipids comprehending at least a polymer conjugated, through a branched molecule, at least to two phospholipids, and their use, as such or in combination, with other amphypatic substances to deliver biologically active agents. The above reported new polymer-phospholipids conjugates can be used in preparations, 'kits', formulation of liposomes, for diagnostic application or in therapy.
FUNDAMENTALS OF THE INVENTION
For a convenient diagnostic or therapeutic use, many biological agents need to be formulated in aqueous vehicles in order to be suitable for administration to living organisms. Unfortunately many of such agents possess an hydrophobic character and therefore are not soluble in water. In order to overcome this limitation, formulations and/or drug delivery systems were devised, as for instance the use of organic solvents soluble in water, co-solvents, polymeric conjugates, aqueous mixtures containing detergents, nanoparticles, micelles, liposomes etc. As an example Parikh et al . , in U.S. Pat. 5,922,355, describe microparticles with insoluble substances, Greenwald, J. Control. Release 74, 159-171 (2001), describes several polymeric conjugates of water insoluble drugs. Since several years the use of micelles are is considered as a successful drug delivery strategy as well as for a selective targeting (Brodin et al. Acta Pharm. Suec. 19, 267-284, 1982), also in the case of anticancer drugs delivery (Fung et al. Biomater. Art. Cells Artif. Organs 16, 439 end followings, (1991) . Liposomal formulations were studied and developed to increase solubility and residence time not only of hydrophobic drugs but of hydrophilic ones also (see for example U.S. Pat. 4.837.028 and 4.920.016). Liposomes may furthermore be used to selectively target special types of cells or tissues ( see for instance U.S. Pat. 5.527.528 and 5.620.689). Liposomal formulations present further advantages inΛdrug delivery' as for instance for a controlled release of the entrapped active agents .
Although liposomes possess increased plasma residence time, as compared to the same drug but present in the free state, a further increase is often needed to reach wanted tissues, cells or organs that reside far from the administration site. To reach such a result a procedure already established is represented by the covering of the liposomal surface by an hydrophilic agent, as for instance the chains of an hydrophilic polymer such as poly (ethylene glycol) (PEG). This procedure prevents also the adhesion of plasma proteins on the surface of the lip osome itself, a behaviour called opsonization, that ends on agglutinization and increased rate of removal from the blood.
These modified liposomes are also calledλlong circulation' or ^sterically stabilized' liposomes. The most followed of this strategy consists in the coupling of PEG chains of about 1-5 kDa molecular weight. In case in which for such purpose PEG-phospholipids are used in the preparation, they are added at a percentage of about 5% (as phospholipids equivalents) over all of the lipids present in the liposomal formulation ( see for instance, Stealth Liposomes, CRC Press, Lasic, D. and Martin., eds . , Boca Raton, FIa., (1995) and the here reported references). The pharmacokinetics of these liposomes is characterized by a dose dependent captation by liver, spleen, by mononuclear fagocites, on the contrary of the conventional liposomes which are more rapidly removed from blood and accumulated on such organs.
The most common and commercially available PEGylated phospholipids is distearoyl phosphatidil ethanolamine (DSPE), PEG-DSPE (5000 Da), a compound already employed in doxorubicin liposome entrapment (Doxil, Caelix®) . It was demonstrated that PEGylated liposomes undergo unexpected rapid elimination, called decelerated blood clearence' (ABC) , mainly observed following repeated administrations, probably due to the complement activation. As a reason of such a phenomenon it was advocated a premature loss of the protective PEG layer due to the release of the PEG-DSPE chains, (see for instance, Parr M. J., et al Biochim. Biophys. Acta, 1195: 21-30 1994). On this basis it can be useful to develop new phospholipids that remain attached for a longer time to liposome surface in order to avoid a too rapid loss of the protective hydrophilic polymer layer. These new polymer phospholipids conjugates would therefore allow for a further increase of the plasma half life. It would be also useful to develop polymer-phospholipids conjugates able to control and decrease the release of the drug from liposomes, in order to obtain liposomal formulations for those drugs that undergo rapid release from liposomes and therefore to apply also to such drugs the advantages of this drug delivery strategy.
SUMMARY OF THE INVENTION
As a result of a thorough study carried out with the goal to overcome the easy detachment of PEG-DSTE from liposome surface, we discovered that the half life of liposomes, as well as the liposome entrapped drug release time, may be increased by the use of new polymer-phospholipids conjugates able to remain more steadily anchored to the liposome surface. These conjugates, thanks to the more stable hydrophilic layer surrounding liposomes, prevent better the protein absorption on their surface. These new polymer-phospholipids have the ability of a stronger anchorage to the phospholipids double-layer thanks to the increased number of phospholipids linked to each polymer chain. Thanks to a cooperative effect, the phospholipids of one conjugate molecule increase the interactions with other molecules resulting in an overall enhanced stability of the system. Furthermore, the increased dimension of such hydrophobic moiety in the double layer of the membrane will allow for a reduction of release rate of the entrapped drugs. The present invention describes in particular conjugates that comprehend an hydrophilic polymer bound, directly or through other moieties to at least two phospholipids molecules. Furthermore such phospholipids can be bound to the hydrophilic polymer, directly or through one or more then one spacer groups, and/or one or more then one other polymers .
The use of different polymers or of dendrimeric structures allows for the linking of an increased number of phospholipids molecules to the hydrophilic polymer. The spacers are preferentially chosen among alkyl, or aromatic groups, or cleavable peptides or other biodegradable sequences. Furthermore one, or more then one targeting molecule such as antibodies, hormones, sugars, can be bound to the opposite site of the polymer chain with respect to the one where the phospholipids are bound, directly or through suitable spacers and/or other polymers. The amphypatic nature of the conjugates reported in the present invention, allows for a stable localization at the liposome surface. In particular, the hydrophobic phospholipids moiety of such conjugates will intercalate in the phospholipids double layer of the liposome, whereas the hydrophilic polymer will be extended towards the aqueous milieu where the liposomes are dispersed. The polymeric chains will therefore form an hydrophilic cloud that protect the liposomes from opsonization. The novelty and the advantage of such new polymer-phospholipides conjugates resides in the yielding increased stability of the hydrophilic moiety, as compared to the already known long circulating liposomes, where the hydrophilic PEG-DSPE moiety undergoes continuous detachment from the liposome surface.
The liposomes build up with such new polymer-phospholipids conjugates demonstrated increased pharmacokineticsΛin vivo' with regard to the so far described long circulation liposomes.
The inventors have also observed that the liposomes obtained with the phospholipids-polymer conjugates described in the present invention, also release the entrapped therapeutic agents more slowly and at a sufficiently longer time as requested in several diagnostic or therapeutic applications.
DESCRIPTION
The present invention provides new polymer-conjugated phospholipids that can be used in the preparation of liposomes as long circulation carrier for biologically active agents to be used both in diagnostic and therapeutic. The polymer-phospholipids object of this invention (termed here also as "conjugates") include a hydrophilic polymer linked through a branching unit to two or more phospholipids, the hydrophilic polymer may also possibly be linked, directly or through a branching unit to one or more targeting residues. The conjugates preferably have the following formula:
(PL)n-MF-Poll-[Pol2- (BM)nJy wherein: y is 0 or 1, m=l-10, n=2-20 and in some preferred forms of the invention n≥2 or n≥3 or n≥4 or n≥5 or n≥6 or n≥10,
PL is a phospholipid,
MF is a branching unit having functionalizable residues to bind directly or by means of other portions PL and Poll,
Poll is a water-soluble hydrophilic polymer, of synthetic or natural origin,
Pol2 and BM may be present or absent. In particular, when y=0, BM and Pol2 are absent, Pol2, if present, is a branching unit that has functionalizable residues to bind directly or by means of other portions Poll and BM,
BM, if present, is a targeting residue,
and where the different moieties are conjugated, preferably via ester, amide, carbamate, ether, thioether, sulfur, disulphide or other covalent bonds, directly or by means of one or more linkers, the linkers preferably selected among alkyl groups, such as NH2-(CH2)H-NH2 (n=0-12) or HOOC- (CH2)m- COOH (m=0-12), or aromatic groups or biodegradable sequence or peptides (i.e. Gly-Phe-Leu-Gly and Gly-Leu-Phe-Gly) cleavable by specific enzymes, such as lysosomal enzymes.
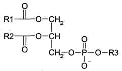
Preferably the phospholipid PL has the following general formula :
RI-O-CH2
R2-O-CH o
I Ii
CHrO-P-O-R3 O" wherein:
Rl and R2 are independently an alkyl group, saturated or unsaturated, preferably comprising from 1 to 22 carbons, eventually substituted with one or more groups, preferably chosen among oxi, hydroxyl, or amino groups, R3 is a bond or any group that allows the coupling of PL with MF, as for example, but not exclusively, ethanolamine, serine and glycerol.
The phospholipids (PL) used for the present invention are amphiphilic molecules containing a phosphoric group; phospholipids can be natural or of synthetic origin (Berg JM, Tymoczko JL, and L. Stryer, Biochemistry. 5th ed. 2002, New York : WH Freeman. VIII, 974, (and following pages), J. Lindberg, et al. J. Org. Chem. 67 (1): 194-199 (2002)). The phospholipids present in the conjugate are capable of interacting with the phospholipid bilayer of liposomes or promote the formation of micelles.
Preferred phospholipids are, but not exclusively, distearoyl-phosphatidylethanolamine (DSPE) , dipalmitoyl- phosphatidylethanolamine (DPPE) , dimyristoyl- phosphatidylethanolamine (DMPE) , dioleoyl- phosphatidylethanolamine (DOPE) , dielaidoyl- phosphatidylethanolamine (DEPE) , distearoyl- phosphatidylethanolamine (DSPS), dipalmitoyl-phosphatidyl- serine (DPPS) , dimyristoyl-phosphatidyl-serine (DMPS) , dioleoyl-phosphatidyl-serine (DOPS) , dimyristoyl- phosphatidylethanolamine (DMPE) , distearoyl-phosphatidyl- glycerol (DSPG) , dipalmitoyl-phosphatidyl-glycerol (DPPG) , dimyristoyl-phosphatidyl-glycerol (DMPG) .
BM may be present or not, and if this is a targeting residue for selective recognition of cancer tissues, inflamed or infected sites and useful for diagnosis or therapy. Among the preferred targeting residues for the invention are peptides, monoclonal antibodies, antibody fragments, biotin, hormones and sugars.
The integer n, indicating the number of molecules of phospholipid coupled via the branching unit to Poll, and it is a number greater than 1, for example, but not exclusively, from 2 to 20, and preferably from 4 to 8, to obtain a compound with a hydrophobic moiety greater than the conjugate PEG-DSPE.
In some preferred embodiments n>2 or n>3 or n>4 or n>5 or n>6, or n>10.
In some preferred embodiments of the invention MF is a tri- or tetra-functional molecule, or a multifunctional polymer or a dendrimeric structure; MF has functional groups useful to bind directly or by means of other portions PL and Poll. Preferred MF molecules are selected among glutamic acid, aspartic acid, beta-glutamic acid, homoglutamic acid, aminoadipic acid, lysine or 3-hydroxyl 2 amine propanol, or any other amino dicarboxylic amino acid or amino tricarboxylic amino acid. Preferred MF multifunctional polymers are selected among polyaspartic acid, polyglutamic acid, poly (hydroxy aspartamide) , poly (hydroxy glutamide) , poly (hydroxy propylmethacrylamide) and polylysine, and in preferred embodiments the polymer has a molecular weight ranging from 500 and 5000 Da. When MF is a dendrimer, this is preferably based on glutamic acid, aspartic acid, beta- glutamic acid, homoglutamic acid, aminoadipic acid, lysine or 3-hydroxyl 2 amine propanol, or any other amino dicarboxylic amino acid or amino tricarboxylic amino acid. Among the preferred functional groups of MF are included amino and carboxyl groups. When MF is linked directly to Poll, the conjugation can be mediated by an ester, amide, carbamate or other covalent bonds.
Pol2, if present, is a branching unit and in some preferred embodiments of the invention Pol2 is tri- or tetra- functional molecule, a multifunctional polymer or a dendrimeric structure. Pol2 has residues functionalized for covalent binding of several BM residues (in this case m≥l, for example, from 1 to 10, and preferably from 1 to 4) to obtain a more selectively targeted conjugate. The branching unit can be preferably represented by glutamic acid, aspartic acid, beta-glutamic acid, homoglutamic acid, aminoadipic acid, 3 hydroxy 2-amino propanol or another bicarboxylic or tricarboxylic amino acid. Pol2 also has a functional group for conjugation to Poll directly or by means of other portions. Among the preferred functional groups of Pol2 are included amino and carboxyl groups. When Pol2 is linked directly to Poll, the conjugation can be mediated by an ester, amide, carbamate or other covalent bonds .
Poll is a water soluble hydrophilic polymer, of natural or synthetic origin, which possesses at least one functional group for conjugation to the MF or at least two functional groups if Pol2 and/or BM are present. Poll is coupled to at least two PL molecule by means of MF. When Poll is a monofunctional polymer the only functional group must be coupled to the block including the PL molecules. Such conjugation may be direct or mediated by other portions. When Poll has two end groups (Poll bifunctional or heterobifunctional) one must be involved in conjugation with PL block, this including at least two molecules of PL (PL molecole can be also different on the same block) , and the other may be either conjugated directly or by means of other portions to Pol2 and/or BM. Among the Poll mono-, bifunctional or heterobifunctional preferred polymers, there are poly (ethylene glycol), polyvinylpirrolidone, poly (2- ethyl-2-oxazolyne) , poly (N-acryloylmorpholine) . The group/groups of Poll can be activated for example according to known procedures (eg as reported for PEG-COOH and PEG- NH2) and others (Sabine Herman, et al. J. of Bioactive and Compatible Polymers, 10: 145-187 (1995)). The polymer Poll has an preferred average molecular weight between 1000 and 40000 Da, preferably at least 1500 Da, more preferably at least 2000 Da, and even more preferably at least 5000 Da. In some preferred embodiments of the invention, Poll is a derivative of poly (ethylene glycol) (PEG), of linear or branched structure, mono-, bi-functional or heterobifunctional, with an average molecular weight between 1000 and 40000 Da. Some preferred Poll are mPEG-OH 2000 Da, mPEG-COOH 2000 Da, mPEG-OH 3400 Da, mPEG-COOH 3400 Da, mPEG-OH 5000 Da and mPEG-COOH 5000 Da.
The different moieties are conjugated, preferably via ester, amide, carbamate, ether, thioether, sulfur, disulphide or other covalent bonds, directly or by means of one or more linkers, the linkers preferably selected among alkyl groups, such as NH2-(CH2)I1-NH2 (n=0-12) or HOOC- (CH2)m- COOH (m=0-12), or aromatic groups or biodegradable sequence or peptides (i.e. Gly-Phe-Leu-Gly and Gly-Leu-Phe-Gly) cleavable by specific enzymes, such as lysosomal enzymes. Among the preferred conjugates according to the present invention there are the conjugates having the following general formula:
(PL)n-MF-PoIl Wherein, y is 0, n=2-20, and I some preferred embodiments of the invention n>2 or n>3 or n>4 or n>5 or n>6, or n>10. Among the preferred Poll for the conjugates having the above formula there are poly (ethylene glycol) (PEG), of linear or branched structure, monofunctional, bifunctional or heterobifunctional, with mean molecular weight between 1000 and 40000 Da, and preferably mPEG-COOH 2000 Da, mPEG- COOH 3400 Da or mPEG-COOH 5000 Da. MF is a branching unit that can be a dendrimer; for example, MF can comprise one or more beta-glutamic acid residues (BG) as branching molecule, or MF can be an homopolymer, based on glutamic acid (AG) . PL is distearoyl-phosphatidylethanolamine and n=2 or 4.
Some of examples of preferred conjugates according to this invention are as follows:
Figure imgf000016_0001
(DSPE)2-BG-mPEG (PEG MW = 2000 Da, 3400 Da or 5000 Da)
Figure imgf000017_0001
(DSPE)4-(BG)2-IQPEG (PEG MW = 2000 Da, 3400 Da or 5000 Da)
Figure imgf000018_0001
(DSPE)2-(AG)2-InPEG (PEG MW = 2000 Da, 3400 Da or 5000 Da)
Figure imgf000019_0001
(DSPE)4- (AG)4-mPEG (PEG MW = 2000 Da, 3400 Da or 5000 Da)
The conjugates according to this invention are suitable either for a direct use, as amphiphilic compounds to solubilize hydrophobic molecules or for the preparation of long circulating liposomes. In any case, the conjugate object of this invention can be used in molar concentration ranging from 1 to 100% of the total lipid composition. The liposomes comprising one of the conjugates here presented can be useful for the delivery, the storage and the formulation of drugs (either hydrophobic or hydrophilic) , peptides, proteins and diagnostic agents.
EXAMPLES
Example 1 : Preparation of (DSPE)2-BG-mPEG 5000 Da
Step 1. Synthesis (COOH)2-BG-mPEG 5000 Da.
Carboxylic group of mPEG-COOH (5000 Da) was activated by
DCCI/NHS and following coupled to amino group of β-glutamic acid, yielding: COOH)2-BG-mPEG 5000 Da.
440 mg of mPEG-COOH (0.088 mmol; MW 5000 Da), solubilized in 10 ml of CH2Cl2, was cooled at 4°C. Then, 15.20 mg of N- hydroxysuccinimide (NHS) (0.132 mmol; MW 115.19 Da) and
54.47 mg di N, N' dicyclohexylcarbodiimide (DDC) (0.264 mmol;
MW 206.33 Da) were added. The mixture was maintained under
Argon atmosphere and left at room temperature. After 5 hours, under stirring, the mixture was filtered on gooch and dropped into 150 ml of diethyl ether under vigorously stirring. The white precipitate was left at 40C for 6 hours and then filtered on gooch and dried under vacuum.
362 mg of mPEG-NHS (0.071 mmol; MW 5100 Da) was added to a solution of 52.50 mg of beta-glutamic acid (0.357 mmol; MW 147.1 Da) in borate buffer 0.2 M pH 8. After 3 hours the solution was brought to pH 3 with HCl 0.1 N, filtered on gooch and then extracted with CHCl3 (6 x 80 ml) . The organic phase, dried over anhydrous Na2SO4, was concentrated to 2-3 ml in rotavapor and dropped into 150 ml of diethyl ether under vigorously stirring. The white precipitate was left at 40C for 6 hours and then recovered by filtration on gooch and dried under vacuum. Molar yield: 82%.
Step 2. Synthesis (DSPE)2-BG-mPEG 5000 Da.
Carboxylic groups of (COOH)2-BG-mPEG were activated by DCCI/NHS and coupled to amino group of DSPE, yielding: (DSPE)2-BG-mPEG 5000 Da.
To 286 mg of (COOH)2-BG-mPEG (0.055 mmol; MW 5200 Da) solubilized in 10 ml of CH2Cl2 and cooled to 40C, 19.00 mg of NHS (0.165 mmol; MW 115.19 Da) and 68.90 mg of DDC (0.330 mmol; MW 206.33 Da), were added. The mixture was maintained under Argon atmosphere and left at room temperature. After 5 hours under stirring, the solution was filtered on gooch and dropped in 150 ml of diethyl ether under vigorously stirring. The precipitate was left at 4°C for 6 hours and then filtered on gooch. The precipitate was dried under vacuum.
To 254 mg of (NHS)2-BG-mPEG (0.047 mmol; MW 5400 Da) was added to a solution of 77.8 mg of DSPE (0.104 mmol; MW 748.06Da) in 15 ml of CHCl3. To this solution 28.98 μl of Et3N (0.208 mmol; MW 101.19 Da) were added. The reaction was left to proceed for 12 hours at 45°C. The reaction mixture was filtered and dried in rotavapor. Step 3. Purification of (DSPE)2-BG-mPEG 5000 Da. The dried residue, as obtained above from step 2, was solubilized in water and dialyzed with a membrane cut-off 100 kDa against water containing 50 mM NaCl. This allowed to remove the unreacted polymer. After 24 hours the purified solution was lyophilized. The lyophilized powder was characterized by1H-NMR. If free DSPE was present in the powder the conjugate was treated as follows. Firstly, the product was solubilized in CHCl3. To this solution an excess of 2 equivalents of lauroyl chloride and of 1.5 equivalents of Et3N with respect of each equivalent of free DSPE. After 3 hours under stirring the solution was filtered on gooch and dropped in 150 ml of diethyl ether under vigorously stirring. The purified precipitate was left at 40C for 6 ore and then filtered and gooch and dried under vacuum. Molar yield: 70%
Example 2 : Preparation of (DSPE)4- (BG)2-BG-mPEG 5000 Da Step 1. Synthesis of (COOH)4- (BG)2-BG-mPEG 5000 Da. The activated carboxylic groups of (NHS)2-BG-mPEG (5400 Da) , obtained as described in step 2 of example 1, were conjugated to the amino group of the β-glutamic acid, yielding the product: (COOH)4- (BG)2-BG-mPEG 5000 Da. To 104.4 mg of beta-glutamic acid (0.71 mmol; MW 147.1Da), solubilized in 5 ml of borate buffer 0.2 M pH 8, 383 mg of (NHS)2-BG-mPEG (0.071 mmol; MW 5400 Da) were added. After 3 hours the solution was brought to pH 3 by HCl 0.1 N, filtered and then extracted with CHCl3 (6 x 80 ml) . The organic phase, dried over anhydrous Na2SO4, was concentrated to 2-3 ml in rotavapor. The residue was dropped in 150 ml of diethyl ether under vigorously stirring. The precipitate was left at 40C for 6 hours and then filtered on gooch and dried under vacuum. Molar yield: 80%.
Step 2. Synthesis and purification of (DSPE)4- (BG)2-BG-mPEG 5000 Da.
The carboxylic groups of (COOH)4- (BG)2-BG-mPEG 5000 Da were activated via DCCI/NHS and reacted with the amino group of DSPE to obtain: (DSPE)4- (BG)2-BG-mPEG 5000 Da. The coupling and the purification of the product were conducted as reported for the step 2 and 3 of example 1. In this case the excesses of DSPE and EtN3 were adjusted to the number of activated carboxylic groups of (NHS)4-(BG)2- BG-mPEG. Overall yield: 65%
Example 3 : Preparation of (DSPE)4- (AG)4-mPEG 5000 Da
The carboxylic groups of (AG)n-mPEG 5000 Da (mean value of n of about 4), termed also PEG-polyglutamic acid copolymer, were activated in situ via EDC/NHS and reacted with the amino group of DSPE to obtain the product: (DSPE)4-(AG)4- mPEG 5000 Da.
To 400 mg of (AG)n-mPEG (0.073 iranol; MW 5500 Da), solubilized in DMSO, 112 mg of N' - (3-dimethylaminopropyl) - N-ethylcarbodiimide-HCl (EDC) (0.584 mmol; MW 191.71 Da) and 50.45 mg of NHS (0.438 mmol; MW 115.19 Da) were added. After three hours this solution was added to a solution of 240.0 mg of DSPE (0.321 mmol; MW 748.06 Da) in CHCl3. The final solution had a DMSO/CHC13 ratio of 3 : 1 (v/v) . To the solution 89.48 μl of Et3N (0.642 mmol; MW 101.19 Da) were added. The reaction was let to react for 12 hours at 450C and then filtered and dried in rotavapor. The residue was solubilized in water and the product was purified as reported in the step 3 of example 1. Molar yield: 85%
Example 4 : Preparation of a liposomal formulation containing one of the conjugate object of the present invention Liposome can be prepared by several methods. Here, as an example, is reported the method of "thin layer evaporation".
Epirubicin, a well known anticancer drug, as been chosen as model drug to be incorporated into the liposomes with the aim to study its kinetic release rate. Furthermore, the pharmacokinetic of these new liposomal formulation of epirubicin were studied in mice.
The below reported method was employed to prepare:
1) conventional liposomes, comprising only phosphatidylcholine / cholesterol,
2) long circulating liposomes, comprising phosphatidylcholine / cholesterol / DSPE-mPEG 5000 Da (commercial conjugate for the preparation of long circulating liposomes) , liposomi
3) new long circulating liposomes, comprising one of the conjugates object of the present invention. In particular two liposomal formulations were prepared, the first comprising phosphatidylcholine / cholesterol / (DSPE)2~BG- mPEG 5000 Da and the second comprising phosphatidylcholine / cholesterol / (DSPE)4- (BG)2- (BG) -mPEG 5000 Da.
The molar concentration and the weights of each component used for the preparation of the above liposomal formulation are reported in table 1. Table 1. Composition of liposomal formulations. Liposomal
Compound Millimols Milligrams formulation phosphatidylcholine 0.08 63
LIPO 1 cholesterol 0.053 21
epirubicin 0.007 4
phosphatidylcholine 0.08 63
DSPE-mPEG 5000 Da 0.0052 31
LIPO 2 cholesterol 0.053 21
epirubicin 0.007 4
phosphatidylcholine 0.08 63
(DSPE)2-BG-mPEG 5000 Da 0.0052 35
LIPO 3 cholesterol 0.053 21
epirubicin 0.007 4
phosphatidylcholine 0.08 63
(DSPE)4- (BG) 2- (BG) -mPEG 0.0052 44
LIPO 4 5000 Da cholesterol 0.053 21
epirubicin 0.007
Each liposomal formulation was separately prepared by dissolving in 3 ml of CHCI3 in round bottom flask the amounts of phosphatidylcholine, cholesterol and, according to the schedule, the amphiphilic conjugate if present. The mixture was dried in rotavapor and if necessary in oven at 1050C. The obtained thin layer was hydrated with 2 ml of PBS containing epirubicin. The mixture was heated at 6O0C (3 min) and mixed (3 min) for 3 times, and then left at 40C for 1 hour. The liposome suspension was sonicated for 5 min in ice-bath and then filtered with a 0.22 μm cut-off filter. The filtered solution was purified by gelpermeation chromatography (GPC) using a sephadex G-50 resin with 15 x 1 cm column; elution was performed with PBS. The purified liposomes suspension was following used for the drug release and pharmacokinetic studies
Example 5 : Study of epirubicin release from liposomes prepared as described in the example 4.
The drug release from each liposomal formulation prepared in the example 4 was performed by adding 2 ml of one formulation in a dialysis tube (cut-off 10000 Da) . The tube was put in 100 ml of PBS. At predetermined times, the amount of released drug in the receiving solution was evaluated by RP-HPLC. The kinetic release half-life are reported in table 2.
As shown, the liposomal formulation LIPO 4 had the slower drug rate release. In particular, there is a inverse relationship between the drug rate release and the number of phospholipids coupled to the PEG chain; the increase of the number of phospholipids decreases the drug release rate. Table 2. Half-life of epirubicin release from the different liposomal formulation prepared in the example 4
Figure imgf000028_0001
Example 6 : Pharmacokinetic study of liposomal formulations prepared as described in the example 4.
The liposomal formulations were tested directly as prepared in the example 4 or after reduction to small volume, to invrease the liposome concentration, by ultracentrifugation using a membrane with 60000 Da cut-off. The pharmacokinetics were evaluated in Balb-c mice weighting about 23 g. The animals were treated with a 3 mg/kg dose (epirubicin equiv. ) injected through the tail vein 180 μl of liposomal formulation. At predetermined times, 150 μl of blood were withdrawn from the rear plexus of the eyeball. The blood was treated to determine the amount of epirubicin. In table 3 are reported the main pharmacokinetic parameters. As shown, the LIPO 4 formulation demonstrated the most prolonged in vivo half- life among the tested formulation.
Table 3. Pharmacokinetic parameters of free epirubicin and of epirubicin liposoma formulation obtained from example 4.
Figure imgf000029_0001

Claims

1. A conjugate comprising at least a hydrophylic polymer coupled by means of a branching unit (MF) to two or more phospholipids.
2. A conjugate as in claim 1 having the following formula:
( PL)n-MF- PoI l - [Pol2 - (BM) J7
wherein : y is 0 or 1, m=l-10, n=2-20 and in some preferred embodiments n>2 or n>3 or n>4 or n>5 or n>6, or n>10
PL is a phospholipid,
MF is a branching unit having functional groups useful to bind directly or by means of other portions PL and
Poll,
Poll is water soluble hydrophilic polymer of synthetic or natural origin,
Pol2 and BM can be present or not,
Pol2, if present, is a branching unit having functional groups useful to bind directly or by means of other portions BM and Poll, BM, if present, is a targeting residue,
and where the different moieties are conjugated, preferably via ester, amide, carbamate, ether, thioether, sulfur, disulphide or other covalent bonds, directly or by means of one or more linkers, the linkers preferably selected among alkyl groups, such as NH2-(CH2)I1-NH2 (n = 0-12) or HOOC- (CH2)m-COOH (m = 0- 12) , or aromatic groups or biodegradable sequence or peptides (i.e. GIy-Phe-Leu-GIy and Gly-Leu-Phe-Gly) cleavable by specific enzymes, such as lysosomal enzymes .
3. A conjugate as in the claims 1 and 2, wherein the said phospholipids (PL) have the following general formula:
Figure imgf000031_0001
Rl and R2 are independently an alkyl group, saturated or unsaturated, preferably comprising from 1 to 22 carbons, eventually substituted with one or more groups, preferably chosen among oxi, hydroxyl, or amino groups,
R3 is a bond or any group that allows the coupling of PL with MF, as for example, but not exclusively, ethanolamine, serine and glycerol.
4. A conjugate as in the claim 3, wherein said phospholipids are preferably, but not exclusively, chosen among distearoyl-phosphatidylethanolamine
(DSPE) , dipalmitoyl-phosphatidylethanolamine (DPPE) , dimyristoyl-phosphatidylethanolamine (DMPE) , dioleoyl- phosphatidylethanolamine (DOPE) , dielaidoyl- phosphatidylethanolamine (DEPE) , distearoyl- phosphatidylethanolamine (DSPS) , dipalmitoyl- phosphatidyl-serine (DPPS) , dimyristoyl-phosphatidyl- serine (DMPS) , dioleoyl-phosphatidyl-serine (DOPS) , dimyristoyl-phosphatidylethanolamine (DMPE) , distearoyl-phosphatidyl-glycerol (DSPG) , dipalmitoyl- phosphatidyl-glycerol (DPPG) , dimyristoyl- phosphatidyl-glycerol (DMPG) .
5. A conjugate according to any of the preceding claims wherein the number (n) of PL molecules is n>l, or n>2 or n>3 or n>4 or n>5 or n>6, or n>10, and where n is preferably between 2 and 20, and more preferably between 2 and 8 and most preferably between 2 and 4 or 3 and 4.
6. A conjugate according to any of the preceding claims wherein Poll is a water soluble hydrophilic polymer or copolymer, of synthetic or natural origin, having at least one functional group for the coupling to MF, being this polymer preferably poly (ethylene glycol) , polyvinylpirrolidone, N-hydroxy-ethyl methacrylamide copolymer, poly (2-ethyl-2-oxazolyne) , poly(N- acryloylmorpholine) , polyglutamic acid, hyaluronic acid, polysyalic acid.
7. A conjugate according to any of the preceding claims wherein at least one of the branching unit MF or Pol2 is a branching tri- or tetra-functional molecule, or a multifunctional polymer or a dendrimeric structure.
8. A conjugate according to any of the preceding claims wherein at least one of the branching unit MF or Pol2 is a molecule preferably selected among glutamic acid, aspartic acid, beta-glutamic acid, homoglutamic acid, aminoadipic acid, lysine or 3-hydroxyl 2 amine propanol, or any other amino dicarboxylic amino acid or amino tricarboxylic amino acid.
9. A conjugate according to any of the preceding claims wherein at least one of the branching unit MF or Pol2 is a multifunctional polymer preferably selected among polyaspartic acid, polyglutamic acid, poly (hydroxy aspartamide) , poly (hydroxy glutamide) , poly (hydroxy propylmethacrylamide) and polylysine, and in preferred embodiments the polymer has a molecular weight ranging from 500 and 5000 Da.
10. A conjugate according to any of the preceding claims wherein at least one of the branching unit MF or Pol2 is a dendrimer based on glutamic acid, aspartic acid, beta-glutamic acid, homoglutamic acid, aminoadipic acid, lysine or 3-hydroxyl 2 amine propanol, or any other amino dicarboxylic amino acid or amino tricarboxylic amino acid.
11. A conjugate according to any of the preceding claims wherein y=l, Pol2 is absent or is a molecule preferably selected among glutamic acid, aspartic acid, beta-glutamic acid, homoglutamic acid, aminoadipic acid, lysine or 3-hydroxyl 2 amine propanol, or any other amino bicarboxylic amino acid or amino tricarboxylic amino acid and wherein BM is chosen among a peptide, a monoclonal antibody, an antibody fragment, biotin, a hormone and a sugar.
12. A conjugate according to any of the preceding claims wherein y=0, having the general formula:
(PL)n-MF-PoIl
13. A conjugate according to the claim 12 wherein Poll is a hydrophilic polymer preferably selected among poly (ethylene glycol), polyvinylpirrolidone, poly(2- ethyl-2-oxazolyne) , poly (N-acryloylmorpholine) , and more preferably Poll is a derivative of poly (ethylene glycol) (PEG) , of linear or branched structure, monofunctional, said polymer has preferably a molecular weight (MW) between 1000 and 40000 Da, more preferably between 2000 and 10000 Da, and wherein the most preferably polymers are mPEG-OH 2000 Da, mPEG- COOH 2000 Da, Da mPEG-OH 3400 Da, mPEG-COOH 3400 Da, mPEG-OH 5000 Da, mPEG-COOH 5000 Da.
14. A conjugate according to the claims 12 or 13 wherein Poll is selected among mPEG-COOH 2000 Da, mPEG-COOH 3400 Da or mPEG-COOH 5000 Da, MF is beta-glutamic acid (BG) , n=2 and PL is DSPE, and having the formula:
Figure imgf000035_0001
(DSPE) 2-BG-mPEG (PEG MW = 2000 Da, 3400 Da or 5000 Da)
15. A conjugate according to the claims 12 or 13 wherein
Poll is selected among mPEG-COOH 2000 Da, mPEG-COOH
3400 Da or mPEG-COOH 5000 Da, MF is a dendrimeric structure based on beta-glutamic acid (BG) , n=4 and PL is DSPE, and having the formula:
Figure imgf000036_0001
(DSPE)4- (BG)2- (BG) -mPEG (PEG MW = 2000 Da, 3400 Da or 5000 Da)
16. A conjugate according to the claims 12 or 13 wherein
Poll is selected among mPEG-COOH 2000 Da, mPEG-COOH 3400 Da or mPEG-COOH 5000 Da, MF is a homopolymer based on glutamic acid (AG) , n=2 or n=4 and PL is
DSPE, and having, respectively, the following formula:
Figure imgf000037_0001
(DSPE)2-(AG)2-IaPEG (PEG MW = 2000 Da, 3400 Da or 5000 Da)
Figure imgf000038_0001
(DSPE)4-(AG)4-InPEG (PEG MW = 2000 Da, 3400 Da or 5000 Da)
17. A pharmaceutical or diagnostic preparation comprising at least a conjugate according to any of the preceding 1-16 claims, preferably in a molar percent between 1 and 100%, more preferably between 1 and 30% and even more preferably between 1 and 10 % of the total amount of lipids, and preferably also comprising a therapeutic or diagnostic agent, and eventually also an pharmaceutical acceptable excipient.
18. A preparation according to the claim 17 comprising liposomes or micelles, and wherein the liposome are present these have a pH gradient, more basic inside, about 7,6-9, and more acidic outside, about 6-7,5.
19. A preparation according to the claims 17 and 18 for oral, parenteral, rectal, topic, vaginal, ophthalmic or inhalation use.
20. The use of a conjugate according to any of the claims 1-16, as additive to stabilize liposomal pharmaceutical formulation and/or to minimize the escape of drug incorporated in a liposomal pharmaceutical preparation and/or to increase the drug half-life in blood.
21. A method for the treatment or diagnosis comprising the administration of formulation according to any of the claims 17-19.
22. A method for the preparation of a therapeutic or diagnostic formulation according to any of the claims 17-19 comprising an therapeutic agent or a diagnostic agent, and the method comprises the following steps: a) solubilization of a phospholipid and of a conjugate according to any of the claims 1-16 in a organic solvent, preferably ethanol ; b) in the case that the therapeutic or diagnostic agent is a molecule soluble in organic solvents, and it is not solubilized in water as reported at the step 2) , addition this agent to the organic solution obtained in the step a) ; c) Eventually, addition under stirring of a viscous agent, preferably glycerol; d) sterilization of the obtained solution by filtration with sterilizing membrane, preferably PTFE membrane with a cut-off of 0.22 micron; e) in the case that the therapeutic or diagnostic agent is a molecule soluble in water, and it has not been added in the organic solution according to the step b) , solubilization of this agent in water, and sterilization by sterilizing membrane, preferably PTFE membrane with a cut-off of 0.22 micron; f) Addition of the solution obtained at the step e) , or where necessary addition of sterile water, to the solution obtained at the step d) and vigorously mixing, preferably for at least 20 minutes and preferably at a temperature between 20 and 250C, to obtain the formation of liposomes; g) homogenization of the mixture obtained at the step f) by a process of extrusion or filtration through membrane, to standardize the liposomes and eventually- then perform purification by dialysis or gel- filtration; h) dilution of the purified liposomal suspension in sterile water for injection to obtain the final desired volume.
PCT/IT2010/0002582009-06-102010-06-09Polymeric conjugates of phospholipidsWO2010143218A1 (en)

Applications Claiming Priority (2)

Application NumberPriority DateFiling DateTitle
ITPD2009A000168AIT1398857B1 (en)2009-06-102009-06-10 FOSPHOLIPID POLYMERIC CONJUGATES
ITPD2009A0001682009-06-10

Publications (1)

Publication NumberPublication Date
WO2010143218A1true WO2010143218A1 (en)2010-12-16

Family

ID=41404059

Family Applications (1)

Application NumberTitlePriority DateFiling Date
PCT/IT2010/000258WO2010143218A1 (en)2009-06-102010-06-09Polymeric conjugates of phospholipids

Country Status (2)

CountryLink
IT (1)IT1398857B1 (en)
WO (1)WO2010143218A1 (en)

Cited By (2)

* Cited by examiner, † Cited by third party
Publication numberPriority datePublication dateAssigneeTitle
US9283279B2 (en)2011-05-112016-03-15Ramot At Tel-Aviv University Ltd.Targeted polymeric conjugates and uses thereof
CN113999399A (en)*2021-10-112022-02-01苏州大学 A bifunctional MOF material and its preparation and application

Citations (7)

* Cited by examiner, † Cited by third party
Publication numberPriority datePublication dateAssigneeTitle
US4837028A (en)1986-12-241989-06-06Liposome Technology, Inc.Liposomes with enhanced circulation time
US4920016A (en)1986-12-241990-04-24Linear Technology, Inc.Liposomes with enhanced circulation time
US5527528A (en)1989-10-201996-06-18Sequus Pharmaceuticals, Inc.Solid-tumor treatment method
US5620689A (en)1989-10-201997-04-15Sequus Pharmaceuuticals, Inc.Liposomes for treatment of B-cell and T-cell disorders
US5922355A (en)1996-08-221999-07-13Research Triangle PharmaceuticalsComposition and method of preparing microparticles of water-insoluble substances
DE19851239A1 (en)*1998-11-062000-05-11Aesculap Ag & Co KgSteam sterilization container has perforated region covered by porous compact sintered PTFE particle filter layer
US20030092655A1 (en)*2001-05-302003-05-15Cheresh David A.Delivery system for nucleic acids

Patent Citations (7)

* Cited by examiner, † Cited by third party
Publication numberPriority datePublication dateAssigneeTitle
US4837028A (en)1986-12-241989-06-06Liposome Technology, Inc.Liposomes with enhanced circulation time
US4920016A (en)1986-12-241990-04-24Linear Technology, Inc.Liposomes with enhanced circulation time
US5527528A (en)1989-10-201996-06-18Sequus Pharmaceuticals, Inc.Solid-tumor treatment method
US5620689A (en)1989-10-201997-04-15Sequus Pharmaceuuticals, Inc.Liposomes for treatment of B-cell and T-cell disorders
US5922355A (en)1996-08-221999-07-13Research Triangle PharmaceuticalsComposition and method of preparing microparticles of water-insoluble substances
DE19851239A1 (en)*1998-11-062000-05-11Aesculap Ag & Co KgSteam sterilization container has perforated region covered by porous compact sintered PTFE particle filter layer
US20030092655A1 (en)*2001-05-302003-05-15Cheresh David A.Delivery system for nucleic acids

Non-Patent Citations (8)

* Cited by examiner, † Cited by third party
Title
BODEN N ET AL: "N,N'-Disuccinimidyl Carbonate as a Coupling Agent in the Synthesis of Thiophospholipids Used for Anchoring Biomembranes to Gold Surfaces", TETRAHEDRON, ELSEVIER SCIENCE PUBLISHERS, AMSTERDAM, NL, vol. 54, no. 38, 17 September 1998 (1998-09-17), pages 11537 - 11548, XP004133393, ISSN: 0040-4020*
BRODIN ET AL., ACTA PHARM. SUEC., vol. 19, 1982, pages 267 - 284
FUNG ET AL., BIOMATER. ART. CELLS ARTIF. ORGANS, vol. 16, 1991, pages 439
GREENWALD, J., CONTROL.RELEASE, vol. 74, 2001, pages 159 - 171
J. LINDBERG ET AL., J. ORG. CHEM., vol. 67, no. 1, 2002, pages 194 - 199
PARR M.J. ET AL., BIOCHIM. BIOPHYS. ACTA, vol. 1195, 1994, pages 21 - 30
PRINCIPE ET AL.: "PEG Branched Polymer for Functionalization of Nanomaterials with Ultralong Blood Circulation", J. AM CHEM. SOC., vol. 131, 27 January 2009 (2009-01-27), pages 4783 - 4787, XP002561286*
SABINE HERMAN ET AL., J. OF BIOACTIVE AND COMPATIBLE POLYMERS, vol. 10, 1995, pages 145 - 187

Cited By (3)

* Cited by examiner, † Cited by third party
Publication numberPriority datePublication dateAssigneeTitle
US9283279B2 (en)2011-05-112016-03-15Ramot At Tel-Aviv University Ltd.Targeted polymeric conjugates and uses thereof
CN113999399A (en)*2021-10-112022-02-01苏州大学 A bifunctional MOF material and its preparation and application
CN113999399B (en)*2021-10-112022-12-16苏州大学Dual-functionalized MOF material and preparation and application thereof

Also Published As

Publication numberPublication date
ITPD20090168A1 (en)2010-12-11
IT1398857B1 (en)2013-03-21

Similar Documents

PublicationPublication DateTitle
KR101444274B1 (en) Block copolymers and pharmaceutical compositions for pharmaceutical complexes
AU2016231567B2 (en)Nano-sized particles comprising multi-headed amphiphiles for targeted drug delivery
Senevirathne et al.PEG based anti-cancer drug conjugated prodrug micelles for the delivery of anti-cancer agents
Lv et al.Well-defined polymer-drug conjugate engineered with redox and pH-sensitive release mechanism for efficient delivery of paclitaxel
Nanjwade et al.Dendrimers: emerging polymers for drug-delivery systems
Van Der Poll et al.Design, synthesis, and biological evaluation of a robust, biodegradable dendrimer
Amirmahani et al.Advances in nanomicelles for sustained drug delivery
JP6144383B2 (en) Tunable biodegradable linker molecule for temporary conjugation of components of a drug delivery system and drug delivery system prepared therewith
US6652886B2 (en)Biodegradable cationic copolymers of poly (alkylenimine) and poly (ethylene glycol) for the delivery of bioactive agents
Pasut et al.PEG-epirubicin conjugates with high drug loading
Bader et al.Polysialic acid-based micelles for encapsulation of hydrophobic drugs
Gheybi et al.Supramolecular anticancer drug delivery systems based on linear–dendritic copolymers
CA2493596A1 (en)Novel targeted delivery system for bioactive agents
CA2539169A1 (en)A novel cationic lipopolymer as a biocompatible gene delivery agent
CN101331173A (en) Biocompatible block copolymers, their uses and methods of manufacture
US20090012027A1 (en)Biodegradable polyphosphoramidates for controlled release of bioactive substances
Li et al.Synthesis of linear polyether polyol derivatives as new materials for bioconjugation
Hegde et al.An update on design and pharmacology of dendritic poly (l-lysine)
JP2018145115A (en)Polymer composite
Uhrich et al.Biodegradable and bioerodible polymers for medical applications
Ling et al.High drug loading, reversible disulfide core-cross-linked multifunctional micelles for triggered release of camptothecin
KR100489197B1 (en)Amphiphilic polymer combined with physiologically active agent, method for producing the same and sustained releasing material using the same
Romani et al.Fluorinated PAMAM-Arginine Carrier Prodrugs for pH-Sensitive Sustained Ibuprofen Delivery
WO2010143218A1 (en)Polymeric conjugates of phospholipids
AU2004241830B2 (en)Antitumor agent and process for producing the same

Legal Events

DateCodeTitleDescription
121Ep: the epo has been informed by wipo that ep was designated in this application

Ref document number:10735355

Country of ref document:EP

Kind code of ref document:A1

NENPNon-entry into the national phase

Ref country code:DE

122Ep: pct application non-entry in european phase

Ref document number:10735355

Country of ref document:EP

Kind code of ref document:A1


[8]ページ先頭

©2009-2025 Movatter.jp