Movatterモバイル変換


[0]ホーム

URL:


WO2010054408A1 - Method and system for providing dropout detection in analyte sensors - Google Patents

Method and system for providing dropout detection in analyte sensors
Download PDF

Info

Publication number
WO2010054408A1
WO2010054408A1PCT/US2009/063936US2009063936WWO2010054408A1WO 2010054408 A1WO2010054408 A1WO 2010054408A1US 2009063936 WUS2009063936 WUS 2009063936WWO 2010054408 A1WO2010054408 A1WO 2010054408A1
Authority
WO
WIPO (PCT)
Prior art keywords
processors
analyte
signal
dropout
data stream
Prior art date
Application number
PCT/US2009/063936
Other languages
French (fr)
Inventor
Marc Barry Taub
Kenneth J. Doniger
Quan SHEN
Si-zhao QIN
Original Assignee
Abbott Diabetes Care Inc.
Priority date (The priority date is an assumption and is not a legal conclusion. Google has not performed a legal analysis and makes no representation as to the accuracy of the date listed.)
Filing date
Publication date
Application filed by Abbott Diabetes Care Inc.filedCriticalAbbott Diabetes Care Inc.
Publication of WO2010054408A1publicationCriticalpatent/WO2010054408A1/en

Links

Classifications

Definitions

Landscapes

Abstract

A method including receiving a data stream including a plurality of monitored analyte signals from an analyte monitoring device, performing a recursive signal processing routine on the received data stream to detect a signal dropout condition in the data stream, generating a signal dropout condition notification when the signal dropout condition is detected, applying one or more dropout confirmation routines to the data stream to confirm the detected dropout condition, outputting a notification associated with the confirmed dropout condition, and modifying one or more operational parameters of the analyte monitoring device when the detected dropout condition is confirmed is disclosed. Devices, systems and kits incorporating the method are also disclosed.

Description

METHOD AND SYSTEM FOR PROVIDING DROPOUT DETECTION IN
ANALYTE SENSORS
PRIORITY
The present application claims priority to U.S. provisional application no. 61/113,223 filed November 10, 2008, entitled "Dropout Detection in Analyte Sensors", and to U.S. provisional application no. 61/243,989 filed September 18, 2009, entitled "Online Dropout Detection in Analyte Sensors", the disclosures of each of which are incorporated herein by reference for all purposes.
BACKGROUND
Diabetes Mellitus is chronic, costly, increasingly prevalent, and emerges as an alarming public health challenge because of its burden of microvascular complications and contribution to cardiovascular disease. Diabetes occurs due to inadequate control of blood glucose level or glycemia. High blood glucose levels, or hyperglycemia, may cause damage to the retina, kidneys, nerves, and circulatory system, resulting in, among others, blindness, renal disease, and limb amputations. On the other hand, low blood glucose levels, or hypoglycemia, may have acute effects such as fainting, coma, and even death.
Controlling blood glucose levels within tight limits near the normal blood glucose levels can drastically reduce the health complications associated with diabetes. Commercially available testing kits and systems exist to control glucose levels including discrete in vitro blood glucose testing using blood glucose meters, or periodic or continuous in vivo monitoring of glucose levels using continuous glucose monitoring systems (CGM) that use subcutaneously or transcutaneously positioned analyte sensors, such as glucose sensors, over a predetermined time period such as five days.
Such CGM systems which allow the user or the patient to continuously monitor the fluctuation in the level of glucose, inform the user or the patient of such fluctuation or variation including, providing warnings of actual or impending hyperglycemia or hypoglycemia. Certain in vivo analyte sensors experience signal dropout conditions or false indications of the detected signal level, where the signal output indication does not correlate with the actual monitored or detected analyte level. In experiments and clinical tests, signal dropouts (for example, a dropout of a sequence or series of points) were observed in the measurements from subcutaneously or transcutaneously implanted glucose sensors. These signal dropouts may be caused by extraordinary changes, such as extra pressure which may reduce the capillary blood transportation around the location where the sensor is implanted. As such, these changes in the measurements of the analyte sensors do not reflect the actual glucose level and may result in significant challenges in real time glucose level calculation, including sensor calibration and/or lag correction.
SUMMARY
In view of the foregoing, in aspects of the present disclosure, method, system, apparatus and kits are provided for the detection of signal dropouts in analyte sensor measurements such as, for example, continuous glucose sensor measurements or readings. More specifically, in particular aspects of the present disclosure, the signal dropout detector may be configured to provide a notification or a warning to the user or the patient, and further, in substantially real time upon detection of the signal dropout condition, such that proper control actions or therapy decisions may be made to maintain the patient's glucose level within acceptable or desired limits.
BRIEF DESCRIPTION OF THE DRAWINGS
A detailed description of various aspects, features and embodiments of the present disclosure is provided herein with reference to the accompanying drawings, which are briefly described below. The drawings are illustrative and are not necessarily drawn to scale, with some components and features being exaggerated for clarity. The drawings illustrate various aspects or features of the present disclosure and may illustrate one or more embodiment(s) or example(s) of the present disclosure in whole or in part. A reference numeral, letter, and/or symbol that is used in one drawing to refer to a particular element or feature maybe used in another drawing to refer to a like element or feature. Included in the drawings are the following: FIG. 1 shows a block diagram of an embodiment of a data monitoring and management system with which a sensor according to the present disclosure is usable;
FIG. 2 shows a block diagram of an embodiment of the data processing unit of the data monitoring and management system of FIG. 1; FIG. 3 shows a block diagram of an embodiment of the receiver/monitor unit of the data monitoring and management system of FIG. 1;
FIG. 4 is a diagram illustrating discrete wavelet decomposition;
FIG. 5 is a diagram illustrating frequencies of components at different levels in discrete wavelet transform; FIG. 6A illustrates a Haar wavelet for use with a discrete wavelet transform based signal dropout detector in one aspect of the present disclosure;
FIG. 6B illustrates examples of various wavelets for use with a discrete wavelet transform based signal dropout detector in various embodiments of the present disclosure; FIG. 7 is a flow chart illustrating a recursive algorithm for detecting signal dropouts with discrete wavelet transform in one embodiment of the present disclosure;
FIG. 8 illustrates a moving window of the recursive algorithm of FIG. 7 in one embodiment; FIG. 9 A illustrates a signal drop which activates a warning trigger of a possible/potential signal dropout condition in one embodiment;
FIG. 9B illustrates a confirmation of a detected signal dropout in one embodiment;
FIG. 9C illustrates the complete signal dropout detected in FIG. 9B; FIG. 10 illustrates a distribution of the mean glucose variation compared to the mean (dG) of the signal dropouts in one embodiment of the present disclosure;
FIG. 11 illustrates an example of an exponential-shape dropout in one embodiment;
FIGS. 12 and 13 are graphical illustrations of signal dropout detections in one embodiment;
FIG. 14 illustrates a determination of true (or confirmed) signal dropouts in sensor signals in one embodiment; FIG. 15 illustrates a wavelet decomposition of analyte sensor measurements in one embodiment of the present disclosure;
FIG. 16 illustrates a comparison between a sum of details of analyte sensor signals and a single detail level of the analyte sensor signals in one embodiment; FIG. 17 is a graphical illustration of a valley of an analyte sensor signals in one aspect of the present disclosure;
FIGS. 18 and 19 illustrate derivatives of analyte sensor signals for use in refining boundaries of a valley of the analyte sensor signals in one embodiment;
FIG. 20 illustrates the effect of "back searching" in dropout detection in one embodiment;
FIGS. 21A and 21B are graphical and tabular illustrations, respectively of the results obtained from the signal dropout detector in accordance with one aspect;
FIGS. 22-26 graphically illustrate a pattern of signal dropouts preceded by a small, fast peak in the signal; FIGS. 27 and 28 are graphical illustrations of signal dropout detection in one embodiment;
FIGS. 29 and 30 are graphical illustrations of the signal dropout detector in another embodiment;
FIG. 31 illustrates monitored signal levels from an analyte sensor in embodiment of the present disclosure;
FIG. 32 illustrates the corresponding detected signal dropouts in the monitored analyte sensor signals of FIG. 31; and
FIGS 33-35 illustrate the relationship between signal-noise ratio (SNR), drop variation-noise variation ratio (DNR) and detected signal dropouts in one embodiment of the present disclosure.
INCORPORATION BY REFERENCE
The following patents, applications and/or publications are incorporated herein by reference for all purposes: U.S. Patent Nos. 4,545,382; 4,711,245; 5,262,035; 5,262,305; 5,264,104; 5,320,715; 5,509,410; 5,543,326; 5,593,852; 5,601,435;
5,628,890; 5,820,551; 5,822,715; 5,899,855; 5,918,603; 6,071,391; 6,103,033; 6,120,676; 6,121,009; 6,134,461; 6,143,164; 6,144,837; 6,161,095; 6,175,752; 6,270,455; 6,284,478; 6,299,757; 6,338,790; 6,377,894; 6,461,496; 6,503,381; 6,514,460; 6,514,718; 6,540,891; 6,560,471 ; 6,579,690; 6,591,125; 6,592,745; 6,600,997; 6,605,200; 6,605,201; 6,616,819; 6,618,934; 6,650,471; 6,654,625; 6,676,816; 6,676,819; 6,730,200; 6,736,957; 6,746,582; . 6,749,740; 6,764,581; 6,773,671; 6,881,551; 6,893,545; 6,932,892; 6,932,894; 6,942,518; 7,167,818; and 7,299,082; U.S. Published Application Nos. 2004/0186365; 2005/0182306;
2007/0056858; 2007/0068807; 2007/0227911; 2007/0233013; 2008/0081977; 2008/0161666; and 2009/0054748; U.S. Patent Application Serial Nos. 11/396,135, 11/537,984, 12/131,012; 12/242,823; and 12/363,712; and U.S. Provisional Application Serial Nos. 61/149,639; 61/155,889; 61/155,891; 61/155,893; 61/165,499; 61/230,686; 61/227,967 and 61/238,461.
DETAILED DESCRIPTION
Before the present disclosure is described, it is to be understood that this disclosure is not limited to particular embodiments described, as such may, of course, vary. It is also to be understood that the terminology used herein is for the purpose of describing particular embodiments only, and is not intended to be limiting, since the scope of the present disclosure will be limited only by the appended claims.
Where a range of values is provided, it is understood that each intervening value, to the tenth of the unit of the lower limit unless the context clearly dictates otherwise, between the upper and lower limit of that range and any other stated or intervening value in that stated range, is encompassed within the disclosure. The upper and lower limits of these smaller ranges may independently be included in the smaller ranges is also encompassed within the disclosure, subject to any specifically excluded limit in the stated range. Where the stated range includes one or both of the limits, ranges excluding either or both of those included limits are also included in the disclosure.
It must be noted that as used herein and in the appended claims, the singular forms "a", "an", and "the" include plural referents unless the context clearly dictates otherwise. As will be apparent to those of skill in the art upon reading this disclosure, each of the individual embodiments described and illustrated herein has discrete components and features which may be readily separated from or combined with the features of any of the other several embodiments without departing from the scope or spirit of the present disclosure.
Generally, embodiments of the present disclosure relate to methods and devices for detecting at least one analyte, such as glucose, in body fluid. Embodiments relate to the continuous and/or automatic in vivo monitoring of the level of one or more analytes using a continuous analyte monitoring system that includes an analyte sensor for the in vivo detection, of an analyte, such as glucose, lactate, and the like, in a body fluid. Embodiments include wholly implantable analyte sensors and analyte sensors in which only a portion of the sensor is positioned under the skin and a portion of the sensor resides above the skin, e.g., for contact to a control unit, transmitter, receiver, transceiver, processor, etc. At least a portion of a sensor may be, for example, subcutaneously positionable in a patient for the continuous or semi-continuous monitoring of a level of an analyte in a patient's interstitial fluid. For the purposes of this description, semi-continuous monitoring and continuous monitoring will be used interchangeably, unless noted otherwise.
The sensor response may be correlated and/or converted to analyte levels in blood or other fluids. In certain embodiments, an analyte sensor may be positioned in contact with interstitial fluid to detect the level of glucose, which detected glucose may be used to infer the glucose level in the patient's bloodstream. Analyte sensors may be insertable into a vein, artery, or other portion of the body containing fluid.
Embodiments of the analyte sensors of the subject disclosure may be configured for monitoring the level of the analyte over a time period which may range from minutes, hours, days, weeks, or longer.
In aspects of the present disclosure, temperature, perspiration or other characteristics of a patient such as, for example, other measurable characteristics are monitored concurrently with the monitored analyte level, and used to, in one embodiment, either confirm or reject notifications associated with the medically significant condition such as the onset or impending hypoglycemic condition initially detected based on the monitored analyte level. In one aspect, the hypoglycemic condition may be associated with a low blood glucose level such as, for example, 40-50 mg/dL or less (depending upon, for example, age, gender, and the like). Accordingly, alarms or notifications may be configured, as a default setting or programmed specific to each patient, to be triggered when the monitored glucose level decreases at a rate that approaches the hypoglycemic condition within a defined time period to enable the patient or the user (or the healthcare provider) to timely take corrective actions. For example, each alarm or notification may be programmed to be asserted or triggered when the monitored glucose level reaches approximately 80 to 100 mg/dL, and decreasing at a rate of 2 mg/dL/minute or more. Referring now to the Figures, an exemplary overall analyte monitoring system including the various components is described below. FIG. 1 illustrates a data monitoring and management system such as, for example, an analyte (e.g., glucose) monitoring system 100 in accordance with certain embodiments. Embodiments of the subject disclosure are further described primarily with respect to glucose monitoring devices and systems, and methods of glucose detection, for convenience only and such description is in no way intended to limit the scope of the disclosure. It is to be understood that the analyte monitoring system may be configured to monitor a variety of analytes instead of or in addition to glucose, e.g., at the same time or at different times.
Analytes that may be monitored include, but are not limited to, acetyl choline, amylase, bilirubin, cholesterol, chorionic gonadotropin, creatine kinase (e.g., CK- MB), creatine, creatinine, DNA, fructosamine, glucose, glutamine, growth hormones, hormones, ketone bodies, lactate, oxygen, peroxide, prostate-specific antigen, prothrombin, RNA, thyroid stimulating hormone, and troponin. The concentration of drugs, such as, for example, antibiotics (e.g., gentamicin, vancomycin, and the like), digitoxin, digoxin, drugs of abuse, theophylline, and warfarin, may also be monitored. In those embodiments that monitor more than one analyte, the analytes may be monitored at the same or different times. The analyte monitoring system 100 includes a sensor 101, a data processing unit 102 connectable to the sensor 101, and a primary receiver unit 104 which is configured to communicate with the data processing unit 102 via a communication link 103. In certain embodiments, the primary receiver unit 104 may be further configured to transmit data to a data processing terminal 105 to evaluate or otherwise process or format data received by the primary receiver unit 104. The data processing terminal 105 may be configured to receive data directly from the data processing unit 102 via a communication link which may optionally be configured for bi-directional communication. Further, the data processing unit 102 may include a transmitter or a transceiver to transmit and/or receive data to and/or from the primary receiver unit
104 and/or the data processing terminal 105 and/or optionally the secondary receiver unit 106.
The electrochemical sensors of the present disclosure may employ any suitable measurement technique, e.g., may detect current, may employ potentiometry, etc.
Techniques may include, but are not limited to amperometry, coulometry, and voltammetry. In some embodiments, sensing systems may be optical, colorimetric, and the like.
Also shown in FIG. 1 is an optional secondary receiver unit 106 which is operatively coupled to the communication link 103 and configured to receive data transmitted from the data processing unit 102. The secondary receiver unit 106 may be configured to communicate with the primary receiver unit 104, as well as the data processing terminal 105. The secondary receiver unit 106 may be configured for bidirectional wireless communication with each of the primary receiver unit 104 and the data processing terminal 105. As discussed in further detail below, in certain embodiments the secondary receiver unit 106 may be a de-featured receiver as compared to the primary receiver 104, i.e., the secondary receiver 106 may include a limited or minimal number of functions and features as compared with the primary receiver unit 104. As such, the secondary receiver unit 106 may include a smaller (in one or more, including all, dimensions), compact housing or embodied in a device such as a wrist watch, arm band, etc., for example.
Alternatively, the secondary receiver unit 106 may be configured with the same or substantially similar functions and features as the primary receiver unit 104. The secondary receiver unit 106 may include a docking portion to be mated with a docking cradle unit for placement by, e.g., the bedside for nighttime monitoring, and/or a bi-directional communication device. A docking cradle may recharge a powers supply.
Only one sensor 101, data processing unit 102 and data processing terminal
105 are shown in the embodiment of the analyte monitoring system 100 illustrated in FIG. 1. However, it will be appreciated by one of ordinary skill in the art that the analyte monitoring system 100 may include more than one sensor 101 and/or more than one data processing unit 102, and/or more than one data processing terminal 105. Multiple sensors may be positioned in a patient for analyte monitoring at the same or different times. In certain embodiments, analyte information obtained by a first positioned sensor may be employed as a comparison to analyte information obtained by a second sensor. This may be useful to confirm or validate analyte information obtained from one or both of the sensors. Such redundancy may be useful if analyte information is contemplated in critical therapy-related decisions.
The analyte monitoring system 100 may be a continuous monitoring system or semi-continuous. In a multi-component environment, each component may be configured to be uniquely identified by one or more of the other components in the system so that communication conflict may be readily resolved between the various components within the analyte monitoring system 100. For example, unique identification codes (IDs), communication channels, and the like, may be used.
In certain embodiments, the sensor 101 is physically positioned in and/or on the body of a user whose analyte level is being monitored. The sensor 101 may be configured to continuously or semi-continuously sample the analyte level of the user automatically (without the user initiating the sampling), based on a programmed intervals such as, for example, but not limited to, once every minute, once every five minutes and so on, and convert the sampled analyte level into a corresponding signal for transmission by the data processing unit 102. The data processing unit 102 is coupleable to the sensor 101 so that both devices are positioned in or on the user's body, with at least a portion of the analyte sensor 101 positioned transcutaneous Iy.
The data processing unit may include a fixation element such as adhesive or the like to secure it to the user's body. A mount (not shown) attachable to the user and mateable with the unit 102 may be used. For example, a mount may include an adhesive surface. The data processing unit 102 performs data processing functions, where such functions may include but are not limited to, filtering and encoding of data signals, each of which corresponds to a sampled analyte level of the user, for transmission to the primary receiver unit 104 via the communication link 103. In one embodiment, the sensor 101 or the data processing unit 102 or a combined sensor/data processing unit may be wholly implantable under the skin layer of the user. In certain embodiments, the primary receiver unit 104 may include a signal interface section including and RF receiver and an antenna that is configured to communicate with the data processing unit 102 via the communication link 103, and a data processing section for processing the received data from the data processing unit 102 such as data decoding, error detection and correction, data clock generation, data bit recovery, etc., or any combination thereof.
In operation, the primary receiver unit 104 in certain embodiments is configured to synchronize with the data processing unit 102 to uniquely identify the data processing unit 102, based on, for example, an identification information of the data processing unit 102, and thereafter, to continuously or semi-continuously receive signals transmitted from the data processing unit 102 associated with the monitored analyte levels detected by the sensor 101. Referring again to FIG. 1, the data processing terminal 105 may include a personal computer, a portable computer such as a laptop or a handheld device (e.g., personal digital assistants (PDAs), telephone such as a cellular phone (e.g., a multimedia and Internet-enabled mobile phone such as an iPhone, Blackberry device or similar phone), mp3 player, pager, global position system (GPS), drug delivery device, each of which may be configured for data communication with the receiver via a wired or a wireless connection. Additionally, the data processing terminal 105 may further be connected to a data network (not shown) for storing, retrieving, updating, and/or analyzing data corresponding to the detected analyte level of the user.
The data processing terminal 105 may include an infusion device such as an insulin infusion pump or the like, which may be configured to administer insulin to patients, and which may be configured to communicate with the primary receiver unit
104 for receiving, among others, the measured analyte level. Alternatively, the primary receiver unit 104 may be configured to integrate an infusion device therein so that the primary receiver unit 104 is configured to administer insulin (or other appropriate drug) therapy to patients, for example, for administering and modifying basal profiles, as well as for determining appropriate boluses for administration based on, among others, the detected analyte levels received from the data processing unit 102. An infusion device may be an external device or an internal device (wholly implantable in a user).
In certain embodiments, the data processing terminal 105, which may include an insulin pump, may be configured to receive the analyte signals from the data processing unit 102, and thus, incorporate the functions of the primary receiver unit 104 including data processing for managing the patient's insulin therapy and analyte monitoring. In certain embodiments, the communication link 103 as well as one or more of the other communication interfaces shown in FIG. 1, may use one or more of: an RF communication protocol, an infrared communication protocol, a Bluetooth enabled communication protocol, an 802.1 Ix wireless communication protocol, or an equivalent wireless communication protocol which would allow secure, wireless communication of several units (for example, per HIPPA requirements), while avoiding potential data collision and interference.
FIG. 2 shows a block diagram of an embodiment of a data processing unit of the data monitoring and detection system shown in FIG. 1. The data processing unit 102 thus may include one or more of an analog interface 201 configured to communicate with the sensor 101 (FIG. 1), a user input 202, and a temperature measurement section 203, each of which is operatively coupled to a processor 204 such as a central processing unit (CPU). User input and/or interface components may be included or a data processing unit may be free of user input and/or interface components. In certain embodiments, one or more application-specific integrated circuits (ASIC) may be used to implement one or more functions or routines associated with the operations of the data processing unit (and/or receiver unit) using for example one or more state machines and buffers.
Further shown in FIG. 2 are a transmitter serial communication section 205 and an RF transmitter 206, each of which is also operatively coupled to the processor 204. The RF transmitter 206, in some embodiments, may be configured as an RF receiver or an RF transmitter/receiver, such as a transceiver, to transmit and/or receive data signals. Moreover, a power supply 207, such as a battery, may also be provided in the data processing unit 102 to provide the necessary power for the data processing unit 102. Additionally, as can be seen from the Figure, clock 208 may be provided to, among others, supply real time information to the processor 204.
As can be seen in the embodiment of FIG. 2, the sensor unit 101 (FIG. 1) includes four contacts, three of which are electrodes - working electrode (W) 210, guard contact (G) 211, reference electrode (R) 212, and counter electrode (C) 213, each operatively coupled to the analog interface 201 of the data processing unit 102. In certain embodiments, each of the working electrode (W) 210, guard contact (G)
211, reference electrode (R) 212, and counter electrode (C) 213 may be made using a non-corroding conductive material that may be applied by, e.g., chemical vapor deposition (CVD), physical vapor deposition, sputtering, reactive sputtering, printing, coating, ablating (e.g., laser ablation), painting, dip coating, etching, and the like. Materials include, but are not limited to, carbon (such as graphite), gold, iridium, ruthenium, palladium, platinum, rhenium, rhodium, silver, mixtures thereof, and alloys thereof, and metallic oxides, like ruthenium dioxide or iridium dioxide, of these elements.
In certain embodiments, a unidirectional input path is established from the sensor 101 (FIG. 1) and/or manufacturing and testing equipment to the analog interface 201 of the data processing unit 102, while a unidirectional output is established from the output of the RF transmitter 206 of the data processing unit 102 for transmission to the primary receiver unit 104. In this manner, a data path is shown in FIG. 2 between the aforementioned unidirectional input and output via a dedicated link 209 from the analog interface 201 to serial communication section 205, thereafter to the processor 204, and then to the RF transmitter 206. As such, in certain embodiments, via the data path described above, the data processing unit 102 is configured to transmit to the primary receiver unit 104 (FIG. 1), via the communication link 103 (FIG. 1), processed and encoded data signals received from the sensor 101 (FIG. 1). Additionally, the unidirectional communication data path between the analog interface 201 and the RF transmitter 206 discussed above allows for the configuration of the data processing unit 102 for operation upon completion of the manufacturing process as well as for direct communication for diagnostic and testing purposes.
The processor 204 may be configured to transmit control signals to the various sections of the data processing unit 102 during the operation of the data processing unit 102. In certain embodiments, the processor 204 also includes memory (not shown) for storing data such as the identification information for the data processing unit 102, as well as the data signals received from the sensor 101. The stored information may be retrieved and processed for transmission to the primary receiver unit 104 under the control of the processor 204. Furthermore, the power supply 207 may include a commercially available battery. The data processing unit 102 is also configured such that the power supply section 207 is capable of providing power to the data processing unit 102 for a minimum period of time, e.g., at least about one month, e.g., at least about three months or more, of continuous operation. The minimum time period may be after (i.e., in addition to), a period of time, e.g., up to about eighteen months, of being stored in a low- or no- power (non-operating) mode. In certain embodiments, this may be achieved by the processor 204 operating in low power modes in the non- operating state, for example, drawing no more than minimal current, e.g., approximately 1 μA of current or less. In certain embodiments, a manufacturing process of the data processing unit 102 may place the data processing unit 102 in the lower power, non-operating state (i.e., post-manufacture sleep mode). In this manner, the shelf life of the data processing unit 102 may be significantly improved. Moreover, as shown in FIG. 2, while the power supply unit 207 is shown as coupled to the processor 204, and as such, the processor 204 is configured to provide control of the power supply unit 207, it should be noted that within the scope of the present disclosure, the power supply unit 207 is configured to provide the necessary power to each of the components of the data processing unit 102 shown in FIG. 2.
Referring back to FIG. 2, the power supply section 207 of the data processing unit 102 in one embodiment may include a rechargeable battery unit that may be recharged by a separate power supply recharging unit (for example, provided in the receiver unit 104) so that the data processing unit 102 may be powered for a longer period of usage time. In certain embodiments, the data processing unit 102 may be configured without a battery in the power supply section 207, in which case the data processing unit 102 may be configured to receive power from an external power supply source (for example, a battery, electrical outlet, etc.) as discussed in further detail below.
Referring yet again to FIG. 2, a temperature detection section 203 of the data processing unit 102 is configured to monitor the temperature of the skin near the sensor insertion site. The temperature reading may be used to adjust the analyte readings obtained from the analog interface 201. In a further aspect, the temperature measurement or reading generated from the temperature detection section 203 may be used in conjunction with the received analyte data to determine or confirm a monitored condition such as an impending or onset of hypoglycemic condition as discussed in further detail below. For example, the temperature measurement section may include a thermistor to monitor the on-skin (or ambient) temperature in direct or indirect contact with the patient's skin. Example embodiments of temperature measurement section are provided in, for example, US Patent No. 6,175,752, and application no. 11/026,766 entitled Method and Apparatus for Providing Temperature Sensor Module in a Data Communication System, each assigned to the assignee of the present application, and the disclosure of each of which are incorporated herein by reference for all purposes. In a further embodiment, the temperature measurement or reading may be generated or determined from a different area of the body such as the ear canal, rectum, mouth, other body cavity, or forehead using a suitable temperature measuring device or components which incorporate the temperature measurement functionalities and capable of transmitting (wirelessly or via wired connection) the determined temperature information to the receiver unit 104/106 (FIG.1) and/or data processing terminal/infusion section 105 (FIG. 1) for further processing.
Referring back to FIG. 2, the data processing unit 102 may also include a condition monitoring unit 215 in signal communication with the processor 204, and configured to monitor one or more physiological or other characteristics of the patient or the user of the data processing unit 102. For example, the perspiration level may be monitored by the condition monitoring unit 215 in one embodiment by detecting or determining conductance signal levels that vary depending upon the presence or absence of perspiration on skin, for example, using electrodes or probes or contacts on the skin of the patient. In one aspect, the electrodes, probes or contacts to determine or monitor the one or more physiological characteristics such as level of perspiration may be provided on the housing the data processing unit 102, or alternatively, may be provided as a separate unit that is configured to provide or transfer the monitored characteristics information or data to the processor 204 of the data processing unit 102. Accordingly, in one aspect, the microprocessor based logic provided to the processor 204 may be configured to process the detected conductance signal levels to determine the presence of absence of perspiration and/or, to determine the level of and change in perspiration based on, for example, monitored or detected conductance signal level.
Referring back to FIG. 2, the RF transmitter 206 of the data processing unit 102 may be configured for operation in a certain frequency band, e.g., the frequency band of 315 MHz to 322 MHz, for example, in the United States. The operating frequency band may vary depending upon the location of use, communication protocol used, components used to implement the RF communication, and accordingly, the present disclosure contemplates varying ranges of operating frequency bands. Further, in certain embodiments, the RF transmitter 206 is configured to modulate the carrier frequency by performing, e.g., Frequency Shift Keying and Manchester encoding, and/or other protocol(s). In certain embodiments, the data transmission rate is set for efficient and effective transmission. For example, in certain embodiments the data transmission rate may be about 19,200 symbols per second, with a minimum transmission range for communication with the primary receiver unit 104.
Also shown is a leak detection circuit 214 coupled to the guard electrode (G) 211 and the processor 204 in the data processing unit 102 of the data monitoring and management system 100. The leak detection circuit 214 may be configured to detect leakage current in the sensor 101 to determine whether the measured sensor data are corrupt or whether the measured data from the sensor 101 is accurate. Such detection may trigger a notification to the user. FIG. 3 shows a block diagram of an embodiment of a receiver/monitor unit such as the primary receiver unit 104 of the data monitoring and management system shown in FIG. 1. The primary receiver unit 104 may include one or more of: a blood glucose test strip interface 301 for in vitro testing, an RF receiver 302, an input 303, a temperature detection section 304, and a clock 305, each of which is operatively coupled to a processing and storage section 307. The primary receiver unit 104 also includes a power supply 306 operatively coupled to a power conversion and monitoring section 308. Further, the power conversion and monitoring section 308 is also coupled to the receiver processor 307. Moreover, also shown are a receiver serial communication section 309, and an output 310, each operatively coupled to the processing and storage unit 307. The receiver may include user input and/or interface components or may be free of user input and/or interface components.
In certain embodiments having a test strip interface 301, the interface includes a glucose level testing portion to receive a blood (or other body fluid sample) glucose test or information related thereto. For example, the interface may include a test strip port to receive an in vitro glucose test strip. The device may determine the glucose level of the test strip, and optionally display (or otherwise report or output) the glucose level on the output 310 of the primary receiver unit 104. Any suitable test strip may be employed, e.g., test strips that only require a very small amount (e.g., one microliter or less, e.g., 0.5 microliter or less, e.g., 0.1 microliter or less), of applied sample to the strip in order to obtain accurate glucose information, e.g. FreeStyle® and Precision® blood glucose test strips from Abbott Diabetes Care Inc. Glucose information obtained by the in vitro glucose testing device may be used for a variety of purposes, computations, etc. For example, the information may be used to calibrate sensor 101 (however, calibration of the subject sensors may not be necessary), confirm results of the sensor 101 to increase the confidence thereof (e.g., in instances in which information obtained by sensor 101 is employed in therapy related decisions), etc. Exemplary blood glucose monitoring systems are described, e.g., in U.S. Patent Nos. 6,071,391; 6,120,676; 6,338,790; and 6,616,819; and in U.S.
Application Serial Nos. 11/282,001; and 11/225,659, the disclosures of which are herein incorporated by reference.
The RF receiver 302 is configured to communicate, via the communication link 103 (FIG. 1) with the RF transmitter 206 of the data processing unit 102, to receive encoded data signals from the data processing unit 102 for, among others, signal mixing, demodulation, and other data processing. The input 303 of the primary receiver unit 104 is configured to allow the user to enter information into the primary receiver unit 104 as needed. In one aspect, the input 303 may include keys of a keypad, a touch-sensitive screen, and/or a voice-activated input command unit, and the like. The temperature monitor section 304 is configured to provide temperature information of the primary receiver unit 104 to the receiver processing and storage unit 307, while the clock 305 provides, among others, real time information to the receiver processing and storage unit 307.
Each of the various components of the primary receiver unit 104 shown in FIG. 3 is powered by the power supply 306 (and/or other power supply) which, in certain embodiments, includes a battery. Furthermore, the power conversion and monitoring section 308 is configured to monitor the power usage by the various components in the primary receiver unit 104 for effective power management and may alert the user, for example, in the event of power usage which renders the primary receiver unit 104 in sub-optimal operating conditions. An example of such sub-optimal operating condition may include, for example, operating the vibration output mode (as discussed below) for a period of time thus substantially draining the power supply 306 while the processing and storage unit 307 (thus, the primary receiver unit 104) is turned on. Moreover, the power conversion and monitoring section 308 may additionally be configured to include a reverse polarity protection circuit such as a field effect transistor (FET) configured as a battery activated switch.
The serial communication section 309 in the primary receiver unit 104 is configured to provide a bi-directional communication path from the testing and/or manufacturing equipment for, among others, initialization, testing, and configuration of the primary receiver unit 104. Serial communication section 309 can also be used to upload data to a computer, such as time-stamped blood glucose data. The communication link with an external device (not shown) can be made, for example, by cable, infrared (IR) or RF link. The output 310 of the primary receiver unit 104 is configured to provide, among others, a graphical user interface (GUI) such as a liquid crystal display (LCD) for displaying information. Additionally, the output 310 may also include an integrated speaker for outputting audible signals as well as to provide vibration output as commonly found in handheld electronic devices, such as mobile telephones, pagers, etc. In certain embodiments, the primary receiver unit 104 also includes an electro-luminescent lamp configured to provide backlighting to the output 310 for output visual display in dark ambient surroundings.
Referring back to FIG. 3, the primary receiver unit 104 may also include a storage section such as a programmable, non- volatile memory device as part of the processing and storage unit 307, or provided separately in the primary receiver unit
104, operatively coupled to the processor. The processing and storage unit 307 may be configured to perform Manchester decoding (or other protocol(s)) as well as error detection and correction upon the encoded data signals received from the data processing unit 102 via the communication link 103. In further embodiments, the data processing unit 102 and/or the primary receiver unit 104 and/or the secondary receiver unit 106, and/or the data processing terminal/infusion section 105 may be configured to receive the blood glucose value from a wired connection or wirelessly over a communication link from, for example, a blood glucose meter. In further embodiments, a user manipulating or using the analyte monitoring system 100 (FIG. 1) may manually input the blood glucose value using, for example, a user interface (for example, a keyboard, keypad, voice commands, and the like) incorporated in the one or more of the data processing unit 102, the primary receiver unit 104, secondary receiver unit 106, or the data processing terminal/infusion section 105.
In certain embodiments, the data processing unit 102 (FIG. 1) is configured to detect the current signal from the sensor unit 101 (FIG. 1) and optionally the skin and/or ambient temperature near the sensor unit 101, which may be preprocessed by, for example, the data processing unit processor 204 (FIG. 2) and transmitted to the receiver unit (for example, the primary receiver unit 104 (FIG. I)) at least at a predetermined time interval, such as for example, but not limited to, once per minute, once every two minutes, once every five minutes, or once every ten minutes. Additionally, the data processing unit 102 may be configured to perform sensor insertion detection and data quality analysis, information pertaining to which may also transmitted to the receiver unit 104 periodically at the predetermined time interval. In turn, the receiver unit 104 may be configured to perform, for example, skin temperature compensation as well as calibration of the sensor data received from the data processing unit 102.
Additional detailed descriptions are provided in U.S. Patent Nos. 5,262,035; 5,262,035; 5,264,104; 5,262,305; 5,320,715; 5,593,852; 6,103,033; 6,134,461; 6,175,752; 6,560,471; 6,579,690; 6,605,200; 6,654,625; 6,746,582; and 6,932,894; and in U.S. Published Patent Application Nos. 2004/0186365 and 2004/0186365, the disclosures of which are herein incorporated by reference. Description of exemplary methods for forming the sensor is provided in U.S. patents and applications noted herein, including U.S. Patent Nos. 5,262,035; 6,103,033; 6,175,752; and 6,284,478, the disclosures of which are herein incorporated by reference. Examples of sensing layers that may be employed are described in U.S. patents and applications noted herein, including, e.g., in U.S. Patent Nos. 5,262,035; 5,264,104; 5,543,326;
6,605,200; 6,605,201; 6,676,819; and 7,299,082; the disclosures of which are herein incorporated by reference.
The subject analyte measurement systems may include an alarm system that, e.g., based on information from a processor, warns the patient of a potentially detrimental condition of the analyte. For example, if glucose is the analyte, an alarm system may warn a user of conditions such as hypoglycemia and/or hyperglycemia and/or impending hypoglycemia, and/or impending hyperglycemia. An alarm system may be triggered when analyte levels approach, reach or exceed a threshold value. An alarm system may also, or alternatively, be activated when the rate of change, or the acceleration of the rate of change in the analyte level increase or decrease approaches, reaches or exceeds a threshold rate or acceleration. A system may also include system alarms that notify a user of system information such as battery condition, calibration, sensor dislodgment, sensor malfunction, etc. Alarms may be, for example, auditory and/or visual. Other sensory-stimulating alarm systems may be used including alarm systems which heat, cool, vibrate, or produce a mild electrical shock when activated.
The subject disclosure also includes sensors used in sensor-based drug delivery systems. The system may provide a drug to counteract the high or low level of the analyte in response to the signals from one or more sensors. Alternatively, the system may monitor the drug concentration to ensure that the drug remains within a desired therapeutic range. The drug delivery system may include one or more (e.g., two or more) sensors, a processing unit such as a transmitter, a receiver/display unit, and a drug administration system. In some cases, some or all components may be integrated in a single unit. A sensor-based drug delivery system may use data from the one or more sensors to provide necessary input for a control algorithm/mechanism to adjust the administration of drugs, e.g., automatically or semi-automatically. As an example, a glucose sensor may be used to control and adjust the administration of insulin from an external or implanted insulin pump. In aspects of the present disclosure, analyte sensor signal dropout detection routine, technique and/or devices embodying software algorithms for executing the signal dropout detections for execution and/or implementation are provided. For example, the signal dropout detector may include a software algorithm executed by the processor of either the data processing unit 102 (FIG. 1) or the receiver unit 104, 106. In one aspect, the signal dropout detector may be configured to monitor the data received from the sensor 101 to detect presence of one or more signal dropout conditions in the sensor data. The processor unit 102 or the receiver unit 104, 106 may further be configured to confirm, store, and/or report the detection of a signal dropout. One embodiment of a signal dropout detector includes a discrete wavelet transform (DWT) signal dropout detector. Typically, signal dropouts occur abruptly at higher frequencies, and as such, wavelet transform methods can capture changes at different locations and scales with scaled and shifted wavelet functions. All wavelet transforms may be considered forms of time-frequency representation and so are related to harmonic analysis. In one aspect, discrete wavelet transform can be formulated as:
as 2- *<=£
Figure imgf000022_0001
where <,> is the inner product, a is the scaling parameter (to capture different frequency), b is the shifting parameter (in time domain, to capture local changes), ^(t) is the mother wavelet and ψa,b(t) are baby wavelets. Different levels of baby wavelets can capture local changes or discontinuities at different scales.
In one aspect, discrete wavelet transform (DWT) may be performed with multi-stages. With discrete wavelet transform (DWT), an analyte sensor signal may be decomposed into details at different scales or frequencies, as shown in FIGS. 4 and 5. More specifically, FIG. 4 illustrates discrete wavelet decomposition in one aspect, and FIG. 5 illustrates frequencies of components at different levels in discrete wavelet transform (DWT). Referring to the Figures, a higher level detail (e.g. D3) is coarser than a lower level detail, where Di is the finest level detail. Applications for the wavelet analysis include, but are not limited to, denoising, data compression, signal analysis, image processing, multi-fractal analysis, as well as the signal dropout detector of the present disclosure.
Other wavelet functions are available for signal dropout detection such as, for example, a Haar wavelet, illustrated in FIG. 6A. Moreover, FIG. 6B further illustrates examples of wavelets that may be implemented in a discrete wavelet transform signal dropout detector in aspects of the present disclosure.
In one embodiment, the signal dropout detector implements or executes an algorithm or a routine using the five finest levels of discrete wavelet transform (DWT). Data observation has shown that signal dropouts can be captured by the details of the five finest levels. Referring back to the figures, FIG. 7 is a flow chart illustrating a recursive algorithm for implementing discrete wavelet transforms for detecting signal dropouts in one embodiment of the present disclosure. Referring to FIG. 7, before the signal dropout detection starts, the detector is initialized based on training data (710), which includes data associated with the normal glucose level. During the initialization process, the confidence interval (CI) of cumulative details Dc that is defined to include a sum of the give levels of details Di to D5 (e.g., Dc = 5Mm(Di : D5)), and the initial wavelet threshold are determined. Upon completion of the initialization process (710), the dropout detection process begins. During the dropout detection process, when a new data point is received, a moving window is constructed with dyadic width and an end at the current data point (720). FIG. 8 illustrates an example of a moving window described above in conjunction with step 720 of FIG. 7.
Referring back to FIG. 7, in one embodiment, discrete wavelet transform (DWT) is applied inside the moving window using a Haar wavelet (730) to extract the details of the signal. Once the details are extracted, wavelet thresholding is applied to the coefficients of the wavelet (740). In one aspect, the signal includes a Gaussian noise component, whose effects are minimized by the application of the wavelet thresholding. In this case, the same thresholds may be applied for details at different levels as the Gaussian noise has a flat spectrum. The wavelet threshold is calculated as shown in the following expression:
Figure imgf000023_0001
where N is the length of the signal and dp is the wavelet coefficients. In one aspect, the threshold is updated with an exponentially weighted moving average (EWMA) technique based on the following expression:
Wp ∞ aWp + il - «)HV- , 0 < ft < 1
Referring back to FIG. 7, once the noise effects are minimized by the application of the wavelet thresholding (740), the five finest levels are reconstructed (750) and a new value of cumulative details Dc (where Dc = sum(O\ : D5)) is determined. If the new value for cumulative details Dc exceeds the confidence interval (CI), the resulting dropout could be a signal dropout and a corresponding warning may be triggered. Upon detection of the warning trigger, the detector in one embodiment determines the left boundary L of the signal drop, as shown in FIG. 9A. In one aspect, a warning delay may be defined as the difference in time between the current time and the left boundary L as can be seen in FIG. 9A. In one aspect, the warning trigger stays active until the dropout completes. Referring to the Figures, in one embodiment, a right boundary R is moved forward as new data points are received until it is determined to be the boundary where the signal dropout completes, as can be seen in FIGS. 9B and 9C. Once the complete dropout has been determined, and a dropout bottom B is determined, confirmation rules are applied to the detected dropout to determine if the dropout is a signal dropout (760).
In one aspect, the confirmation rules may be applied to the signal to determine whether the signal decline is a signal dropout (760) or in fact is a normal, but possibly fast, change in glucose level, such as after events including meals (carbohydrate intake), exercise, or administration of medication such as insulin. The rules for determining if a signal decline is a signal dropout, in one embodiment, may include, among others, rule-based evaluators that are Boolean valued composite measures based on the boundaries, nadir, width of the possible signal dropout, and normal signal variations prior to the dropout. One or more of the following rules may be applied for the confirmation of a signal dropout, where L, R, and B are the left boundary, right boundary, and bottom of a dropout, respectively:
Rule #1 A signal dropout is confirmed if min < -dGm.Υ , where it is assumed
that the glucose rate of change cannot be infinitely fast and has an upper boundary dGmax, which is a constant value. For example, based on an experimental study, the normal rate of change of glucose levels was determined to be Gaussian dGnormal ~ N if), 1.5) . By comparison, the dropouts had a standard deviation of 37, much larger than 7.5. If a large upper boundary dGmax value is chosen such as 60, the signal dropout detection rule may result in minimal number of false alarms or indications associated with signal dropout conditions. RuIe #2
A signal dropout is confirmed when the following expression holds:
L < B < R am! min f ytj £ IdG(I)I φB ∑ \dG{ι)\ ) > dC
This rule #2 is a constraint upon the glucose rate of change inside the signal drop. If the average glucose rate of change for both the dropping and rising regions are larger than a cut-off value dGc estimated from the training data, it is determined the dropout is a signal dropout. In one experimental process, the horizon (h) set to be 17 based on averaged experimental data. Thus, main{dG)^G euh/2 i+h/2i is found to be approximately Gaussian N(0,2.36). Meanwhile, the averages of dG of the dropouts are calculated for the dropping side and recovering side, and it is determined that -5 is a dividing line of negative dG of the normal variations and dropouts, as can be seen in the distribution charts of FIG. 10. A conservative value of dGc=% is chosen to reduce the possibility of false alarm occurrences.
Rule #3
A signal dropout is confirmed if G(L,B) can be fit well by a first order
exponential function and This rule is for the category of
Figure imgf000025_0001
dropouts which have exponential-like drop in the signal profile. FIG. 11 illustrates an example of an exponential-shaped dropout.
Rule #4
A signal dropout is confirmed based on the following expression:
an o ( Gil) - C(S)1 G(B) G (B) J σ((l,,
Rule #4 is based on the assumption that the depth of a signal dropout is larger than the normal glucose variations. In one embodiment, each of the four rules may be sequentially applied, and if any of the rules are satisfied, the detected or suspected signal dropout may be confirmed to be a signal dropout.
A confirmation delay, as shown in FIG. 9B, in one aspect may be defined as the time between when a signal decline starts and the time in which the signal decline is confirmed to be a signal dropout. Smaller confirmation delays and warning delays may be preferable in certain embodiments, as smaller delays allow for faster control actions in response to the detected dropouts. If a signal decline is confirmed as a signal dropout, as shown in FIGS. 9B and 9C, the signal dropout may be recorded/stored and/or reported to the patient, and/or a notification to the user or the patient may be generated and output. After confirmation of the presence, or lack thereof, of a signal dropout, the detector in one embodiment is configured to measure a next data point (770) and the signal dropout detection process as described above is repeated. In certain embodiments, the detector continues to measure and detect signal dropouts until the moving window reaches the end of the sensor lifetime (which may be, for example, approximately three days, five days or seven days, or more), at which point a new sensor may be implanted or transcutaneously positioned in the patient, and the signal dropout detector is reinitialized for continued detection of signal dropouts.
Experimental Study #1
FIGS. 12 and 13 and the Table 1 below illustrate the results of a signal dropout detector applied to one of three analyte sensors in one embodiment. Referring to FIG. 12, the signal dropout detector was applied to sensor 3, and sensors 1 and 5 were for visual comparison check. As illustrated in FIG. 12, signal dropouts were detected as marked. Referring to FIG. 13, as illustrated, data region spanning a time period of [650,1800] min was used for training and data after £=1800 were used for the signal dropout detection routine.
The confirmed detected signal dropouts are illustrated in FIG. 13 and reproduced in data format in Table 1 below: Table 1; Detection, delays υf pig t,;xpenim!SH
Figure imgf000027_0001
As can be seen in FIGS. 12 and 13 and Table 1 above, the evident or readily discernible signal dropouts were detected as well as some relatively smaller signal dropouts, such as those at Drop L/Drop R: [3110,3113] and [4776,4782] shown in Table 1 above. Furthermore, as illustrated in Table 1 above, average warning delay was 4.1 min and the average confirmation delay was 8.3 min.
Experimental Study #2
In order to verify the signal dropouts, the true dropouts of the sensor data from sensor 3 was compared with the sensor data from the other sensors in the experiment as shown in FIG. 14. The true dropouts of the sensor data are displayed in FIG. 14 by the indicator D. Furthermore, FIG. 15 illustrates the wavelet decomposition of the measurements of sensor 3, wherein S is the raw data, D 7 are the details (higher frequency parts), and A 7 are the approximations (lower frequency parts).
Analysis or evaluation of the wavelet details compared with the true dropouts of the sensor data in one embodiment indicates that the wavelet details D3, D4, and in particular wavelet detail D5 captures the dropouts, while lower level details Dl and D2 may be regarded as noise. Furthermore, as illustrated in FIG. 16, the accumulated details Dc = sumφi : D5) in one embodiment captures or encompasses a wider frequency than wavelet detail D5 alone, and therefore may provide more accurate information.
In particular embodiments, when a valley (or peak) is detected, the signal dropout detection rules may be implemented, such that for a given signal dropout: 2G(B)+ G(L)+ G(R) . f_ _
where L and R are the left and right boundaries of the valley, B is the bottom;
[lowG left, highG left] and mG left are the confidence interval and mean for the data left of the valley, and similarly
[lowG right, highG right] and mG right are the confidence interval and mean for the data right of the valley, as illustrated in FIG. 17.
With this constraint, in one embodiment, the peaks will be excluded from the dropout set. Further, another rule for the dropout detection routine is G(i) < G(R) if
B < i < R and G(i) < G(L) if L < i < B , which may useful when the signal's variation is increased and the signal has an abnormal amount of fluctuations, such as when the sensor is at or near the end of the sensor lifetime.
In some instances, the wavelet details accumulation Dc does not provide adequate estimation of the boundaries of a valley. To account for this, in one aspect, derivatives may be used to refine the boundaries, such as using the second derivatives to refine the boundaries as the dropouts start or end at where changes fastest, i.e. dt where the second derivative reaches it local minimum or maximum, as shown in FIG.
18.
FIG. 19 illustrates using derivatives to refine the boundaries. Referring to
FIG. 19, the first and second derivative of the measurement may be used to refine the left and right boundaries of a valley as follows:
a) Given the initially determined left boundary Lo, search to the left to find the closest point Li that = 0 at t = L], and then search to the right to L] dt d2C to find L2 that — — has local minimum at t = L2. Then let L2 be the left dt boundary of the valley.
b) Determine the right boundary via a similar but symmetrical process from the refinement of the left boundary. Furthermore, if for the recovering side,
Figure imgf000028_0001
then perform or execute a routine to "back search" for the recent dropout left boundary L, and make the current point as right boundary R. The variance OdGnormai is from the normal glucose variation.
As shown in FIG. 20, the "back search" detection routine may improve the dropout detection for some signal dropouts standing together. FIGS. 21 A and 2 IB illustrate the success rate of the signal dropout detector in the experimental studies. As can be seen in FIG. 21A and the table of FIG. 21B, it was determined that a correct detection was made 78% of the time and misidentifϊcation was made 5% of the time. Furthermore experimental observations indicated that many dropouts were lead by a small but fast peak, as illustrated in the table of FIG. 2 IB and in FIGS. 22- 26. Such patterns may be implemented in the detection of dropouts.
Experimental Study #3
FIGS. 27 and 28 and Table 2 below illustrate the results of a signal dropout detector applied to a glucose sensor measuring blood glucose levels in a human body. Referring to FIG. 27, as illustrated, obvious dropouts (signal or not) were observed around time t = 1200 and t = 2600 and an abrupt drop at time t = 4340.
Referring now to FIG. 28, data region spanning the time period of [100,400]min was used for training and data after time t = 401 used the signal dropout detector. As illustrated in FIG. 28 and the below Table 2, obvious signal dropouts were detected around time t = 1200, t = 2600, and t = 4340. Furthermore, small signal dropouts were also detected at [2335,2338]. Average warning delay for the clinical trial was about 4 min and average confirmation delay was about 20 min.
Table 2; Detection delays of dimctU data
Drøp(L) DropfB.) Warning delay (mm) Confu' m at irm ή? lav (m in)
1126 1187
2? .19 2 4.1
Figure imgf000029_0001
In one aspect, two situations were found where accuracy of the signal dropout detector was lower. Referring to FIG. 29, in one case, as shown, abnormal amounts of noise appeared in the sensor data on the last day of the sensor lifetime (illustrated by the circled region of FIG. 29). Accordingly, warnings for signal dropouts were triggered frequently by the signal dropout detector. The abnormal frequency of warning triggers resulted in the signal dropout detector determining some of the signal drops as signal dropouts and others as not. Referring now to FIG. 30, in another case, as shown, normal glucose variations around the dropouts were hardly noticeable. As such, the signal dropout detector was unable to estimate normal glucose variation parameters accurately and therefore, the signal dropout detector detected some of the signal dropouts, but possibly missed others. The abnormal data from both special cases can be regarded as the breaking down of the sensor because of the extended periods of time of abnormal measurements.
Accuracy Factors
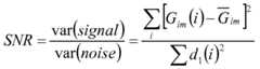
Factors, including signal-noise ratio (SNR), drop variation-noise variation ratio (DNR), and glucose rate of change dG, were verified or confirmed to determine effects on accuracy of the glucose sensor measurements. a) Noise variance
Noise covariance may be determined using the first level discrete wavelet transform (DWT) details within the moving window such that , where di is the first level discrete wavelet transform
Figure imgf000030_0001
(DWT) details within the moving window with width W
b) Signal variance
Signal variance may be determined in an adaptive manner, such that it is updated with each moving window wherein var(signαl) = — ^ [G11n (i) - Gm \ , where G11n
is the measurement of the interstitial glucose level within the moving window of width W
c) Drop variance
Drop variance may be determined based on the glucose measurement inside the drop, such that vax(drop) = ^ [Gim (i) - G11n (drop)\ , where the width of the
W d,rop window is Wdrop =R-L
d) The ratio between signal variance and noise variance may be determined based on the following expression:
Figure imgf000031_0001
e) The ratio between drop variance and noise variance may be determined based on the following expression:
Figure imgf000031_0002
Experimental Study #4
In this experimental study, certain aspects of the signal dropout detection routine described above were applied to data from 11 glucose sensors. FIG. 31 illustrates the sensor data from one of the sensors in the experiment and FIG. 32 illustrates the detected dropouts in the sensor data of FIG. 31. The results of the experimental data indicated a detection of both confirmed signal dropouts as well as warned, but unconfirmed, dropouts. Both the confirmed dropouts and the unconfirmed dropouts give warnings, thus the number of total detected dropouts is equal to the number of confirmed dropouts added to the number of warned but unconfirmed dropouts. The end result of the experiment was successful detection of 76 dropouts and missed detection of 6 dropouts.
Moreover, there were five dropout detection associated with false alarms. Based on this result, the successful detection rate was shown to be approximately 92% as shown below:B M/, -■ cielic.t.e:5!il?E2H!!x 100% =• detected dropoutsχ 1 m% ail dropouts detected droρo«tsHnissed dropouis
76 -x l00% = 92%
76 + 6
. missed ύτopmis missed dropoutsmψ/ all dropouts detected dropoutά+rmssed dropouts
6 -x 100% = 8%
76 + 6
Furthermore, the percentage of false dropout detection alarm rate was defined by the expression shown below:
Λ , ,a, points of fake alarm ,ΛΛ0 , fralse a!arro% -■■■■■■• < 100% ail measurement posπts
which is determined to be approximately 0.14%.
Referring back to the Figures, FIGS. 33-35 illustrate the relationship between SNR and DNR and detected signal dropouts. As can be seen in FIG. 33, the majority of the false alarms and missed dropouts occurred at lower DNR and SNR values.
Referring now to FIG. 34, as can be seen in the figure, the majority of the false alarms have
Figure imgf000032_0001
lower than those of most of the true dropouts, but have a mean variance larger or around 3, which is larger than the variance σ(mean(dG))=2.36. These variances of the false alarms are larger than most normal glucose variations, but are not large enough to be dropouts. The missed dropouts, as can be seen in FIG. 34, have either lower DNR or small
Figure imgf000032_0002
indicating that the missed dropouts have either a small magnitude or change slowly compared with most other signal dropouts.
Referring to FIG. 35, as can be seen in the figure, all four rules discussed were effective in the detection of signal dropouts. In one embodiment, based on the rules referenced above, for the false alarms, one signal drop was warned but unconfirmed, and two drops were confirmed by each of rules 3 and 4. There were no false alarms confirmed by rules 1 and 2. As discussed above, in signals generated by subcutaneously positioned analyte sensors, some signal dropouts may not be associated with a corresponding actual drop in the glucose level, which may cause problems in subsequent sensor calibration and/or lag correction. These signal dropouts typically occur quickly and abruptly. Accordingly, in aspects of the present disclosure, there are provided methods, devices, systems and/or kits that (1) detect signal dropouts online for a transcutaneously positioned analyte sensor, (2) detect different sizes of signal dropouts; and (3) detect signal dropouts as quickly as possible contemporaneous to the occurrence of the dropout condition. More specifically, embodiment include an online signal dropout detection routine based on the discrete wavelet transform
(DWT), a signal processing technique which can effectively extract the signal component at a specific frequency range and a specific time region with scaled and shifted wavelets.
Because of its multi-scale feature, signal dropout detection techniques in accordance with the present disclosure based on discrete wavelet transform (DWT) accurately detects singularities of each sensor signal. In certain embodiments, the finest five level wavelet details (Di-Ds) may capture the signal dropouts in the glucose signal. The online detection routine may be recursively implemented such that at each new time point, a moving window is reconstructed. Then the discrete wavelet transform (DWT) may be applied on the glucose data within the window to extract the finest five level wavelet details and determine cumulative detail Dc=sum(Di : D5). As described above, in one aspect, if the cumulative detail Dc exceeds its confidence interval (CI), an abrupt dropout is warned, which will be confirmed as a signal dropout or otherwise by a rule-based evaluator. The rule-based evaluator may be a Boolean valued composite measure based on the boundaries, minimum, width of the signal dropout, normal signal variations around the signal dropout, and the like. In one aspect, the evaluator may be configured to exclude normal changes or variations in the glucose level such as a real but fast rise in glucose level after a meal. One embodiment may comprise receiving a data stream including a plurality of monitored analyte signals from an analyte monitoring device, performing a recursive signal processing routine on the received data stream to detect a signal dropout condition in the data stream, generating a signal dropout condition notifϊcation when the signal dropout condition is detected, applying one or more dropout confirmation routines to the data stream to confirm the detected dropout condition, outputting a notification associated with the confirmed dropout condition, and modifying one or more operational parameters of the analyte monitoring device when the detected dropout condition is confirmed.
The modified one or more operational parameters may include temporarily disabling an output unit of the analyte monitoring device.
Modifying the one or more operational parameters may include suppressing output of data associated with the monitored analyte signals. Modifying the one or more operational parameters may include temporarily disabling one or more functions of the analyte monitoring device.
In one aspect, one or more functions may include calibration of an analyte sensor.
The output notification associated with the confirmed dropout condition may include an error message associated with the monitored analyte signals.
The generated signal dropout condition notification or the notification associated with the confirmed dropout condition may include one or more of an audible output, a visual output, a graphical output, a vibratory output, or one or more combinations thereof. Performing the recursive signal processing routine may include applying discrete wavelet transform on the received data stream.
The recursive signal processing routine may be performed retrospectively on the received data stream.
The recursive signal processing routine may be performed substantially in real time when the data stream is received.
The analyte signals may include glucose signals.
A further embodiment may include detecting an analyte sensor calibration routine initiation, temporarily suspending the calibration routine for a predetermined time period, and reinitiating the calibration routine when the confirmed dropout condition is no longer present.
Calibration routine initiation may include requesting a reference glucose measurement data. The reference glucose measurement data may include a blood glucose measurement data.
In another embodiment, an apparatus may comprise an analyte sensor, and an analyte monitoring device operatively coupled to the analyte sensor to receive a data stream including a plurality of monitored analyte signals, the analyte monitoring device including one or more processors, and a memory operatively coupled to the one or more processors for storing instructions which, when executed by the one or more processors, causes the one or more processors to perform a recursive signal processing routine on the received data stream to detect a signal dropout condition in the data stream, generate a signal dropout condition notification when the signal dropout condition is detected, apply one or more dropout confirmation routines to the data stream to confirm the detected dropout condition, output a notification associated with the confirmed dropout condition, and modify one or more operational parameters of the analyte monitoring device when the detected dropout condition is confirmed. The memory operatively coupled to the one or more processors for storing instructions which, when executed by the one or more processors, may cause the one or more processors to temporarily disable an output unit operatively coupled to the one or more processors of the analyte monitoring device.
The memory operatively coupled to the one or more processors for storing instructions which, when executed by the one or more processors, may cause the one or more processors to suppress output of data associated with the monitored analyte signals.
The memory operatively coupled to the one or more processors for storing instructions which, when executed by the one or more processors, may cause the one or more processors to temporarily disable one or more functions of the analyte monitoring device.
In a further aspect, one or more functions may include calibration of the analyte sensor.
The output notification associated with the confirmed dropout condition may include an error message associated with the monitored analyte signals.
The generated signal dropout condition notification or the notification associated with the confirmed dropout condition may include one or more of an audible output, a visual output, a graphical output, a vibratory output, or one or more combinations thereof.
The memory operatively coupled to the one or more processors for storing instructions which, when executed by the one or more processors, may cause the one or more processors to apply discrete wavelet transform function on the received data stream.
The recursive signal processing routine may be performed retrospectively on the received data stream.
The recursive signal processing routine may be performed substantially in real time when the data stream is received.
The analyte signals may include glucose signals.
The memory operatively coupled to the one or more processors for storing instructions which, when executed by the one or more processors, may cause the one or more processors to detect an analyte sensor calibration routine initiation, temporarily suspend the calibration routine for a predetermined time period, and reinitiate the calibration routine when the confirmed dropout condition is no longer present.
The memory operatively coupled to the one or more processors for storing instructions which, when executed by the one or more processors, may cause the one or more processors to request a reference glucose measurement data.
The reference glucose measurement data may include a blood glucose measurement data.
The various processes described above including the processes performed by the processor 204 (FIG. 2) in the software application execution environment in the analyte monitoring system 100 (FIG. 1) as well as any other suitable or similar processing units embodied in the processing and storage unit 307 (FIG. 3) of the primary/secondary receiver unit 104/106, and/or the data processing terminal/infusion section 105, including the processes and routines described hereinabove, may be embodied as computer programs developed using an object oriented language that allows the modeling of complex systems with modular objects to create abstractions that are representative of real world, physical objects and their interrelationships. The software required to carry out the inventive process, which may be stored in a memory or storage unit (or similar storage devices in the one or more components of the system 100 and executed by the processor, may be developed by a person of ordinary skill in the art and may include one or more computer program products. Various other modifications and alterations in the structure and method of operation of this invention will be apparent to those skilled in the art without departing from the scope and spirit of the invention. Although the invention has been described in connection with specific preferred embodiments, it should be understood that the invention as claimed should not be unduly limited to such specific embodiments. It is intended that the following claims define the scope of the present invention and that structures and methods within the scope of these claims and their equivalents be covered thereby.

Claims

WHAT IS CLAIMED IS:
1. A method, comprising: receiving a data stream including a plurality of monitored analyte signals from an analyte monitoring device; performing a recursive signal processing routine on the received data stream to detect a signal dropout condition in the data stream; generating a signal dropout condition notification when the signal dropout condition is detected; applying one or more dropout confirmation routines to the data stream to confirm the detected dropout condition; outputting a notification associated with the confirmed dropout condition; and modifying one or more operational parameters of the analyte monitoring device when the detected dropout condition is confirmed.
2. The method of claim 1 wherein the modified one or more operational parameters includes temporarily disabling an output unit of the analyte monitoring device.
3. The method of claim 1 wherein modifying the one or more operational parameters includes suppressing output of data associated with the monitored analyte signals.
4. The method of claim 1 wherein modifying the one or more operational parameters includes temporarily disabling one or more functions of the analyte monitoring device.
5. The method of claim 4 wherein the one or more functions includes calibration of an analyte sensor.
6. The method of claim 1 wherein the output notification associated with the confirmed dropout condition includes an error message associated with the monitored analyte signals.
7. The method of claim 1 wherein the generated signal dropout condition notification or the notification associated with the confirmed dropout condition includes one or more of an audible output, a visual output, a graphical output, a vibratory output, or one or more combinations thereof.
8. The method of claim 1 wherein performing the recursive signal processing routine includes applying discrete wavelet transform on the received data stream.
9. The method of claim 1 wherein the recursive signal processing routine is performed retrospectively on the received data stream.
10. The method of claim 1 wherein the recursive signal processing routine is performed substantially in real time when the data stream is received.
11. The method of claim 1 wherein the analyte signals include glucose signals.
12. The method of claim 1 including: detecting an analyte sensor calibration routine initiation; temporarily suspending the calibration routine for a predetermined time period; and reinitiating the calibration routine when the confirmed dropout condition is no longer present.
13. The method of claim 12 wherein calibration routine initiation includes requesting a reference glucose measurement data.
14. The method of claim 13 wherein the reference glucose measurement data includes a blood glucose measurement data.
15. An apparatus, comprising : an analyte sensor; and an analyte monitoring device operatively coupled to the analyte sensor to receive a data stream including a plurality of monitored analyte signals, the analyte monitoring device including one or more processors, and a memory operatively coupled to the one or more processors for storing instructions which, when executed by the one or more processors, causes the one or more processors to perform a recursive signal processing routine on the received data stream to detect a signal dropout condition in the data stream, generate a signal dropout condition notification when the signal dropout condition is detected, apply one or more dropout confirmation routines to the data stream to confirm the detected dropout condition, output a notification associated with the confirmed dropout condition, and modify one or more operational parameters of the analyte monitoring device when the detected dropout condition is confirmed.
16. The apparatus of claim 15 wherein the memory operatively coupled to the one or more processors for storing instructions which, when executed by the one or more processors, causes the one or more processors to temporarily disable an output unit operatively coupled to the one or more processors of the analyte monitoring device.
17. The apparatus of claim 15 wherein the memory operatively coupled to the one or more processors for storing instructions which, when executed by the one or more processors, causes the one or more processors to suppress output of data associated with the monitored analyte signals.
18. The apparatus of claim 15 wherein the memory operatively coupled to the one or more processors for storing instructions which, when executed by the one or more processors, causes the one or more processors to temporarily disable one or more functions of the analyte monitoring device.
19. The apparatus of claim 18 wherein the one or more functions includes calibration of the analyte sensor.
20. The apparatus of claim 15 wherein the output notification associated with the confirmed dropout condition includes an error message associated with the monitored analyte signals.
21. The apparatus of claim 15 wherein the generated signal dropout condition notification or the notification associated with the confirmed dropout condition includes one or more of an audible output, a visual output, a graphical output, a vibratory output, or one or more combinations thereof.
22. The apparatus of claim 15 wherein the memory operatively coupled to the one or more processors for storing instructions which, when executed by the one or more processors, causes the one or more processors to apply discrete wavelet transform function on the received data stream.
23. The apparatus of claim 15 wherein the recursive signal processing routine is performed retrospectively on the received data stream.
24. The method of claim 15 wherein the recursive signal processing routine is performed substantially in real time when the data stream is received.
25. The apparatus of claim 15 wherein the analyte signals include glucose signals.
26. The apparatus of claim 15 wherein the memory operatively coupled to the one or more processors for storing instructions which, when executed by the one or more processors, causes the one or more processors to detect an analyte sensor calibration routine initiation, temporarily suspend the calibration routine for a predetermined time period, and reinitiate the calibration routine when the confirmed dropout condition is no longer present.
27. The apparatus of claim 26 the memory operatively coupled to the one or more processors for storing instructions which, when executed by the one or more processors, causes the one or more processors to request a reference glucose measurement data.
28. The apparatus of claim 27 wherein the reference glucose measurement data includes a blood glucose measurement data.
PCT/US2009/0639362008-11-102009-11-10Method and system for providing dropout detection in analyte sensorsWO2010054408A1 (en)

Applications Claiming Priority (4)

Application NumberPriority DateFiling DateTitle
US11322308P2008-11-102008-11-10
US61/113,2232008-11-10
US24398909P2009-09-182009-09-18
US61/243,9892009-09-18

Publications (1)

Publication NumberPublication Date
WO2010054408A1true WO2010054408A1 (en)2010-05-14

Family

ID=42153322

Family Applications (1)

Application NumberTitlePriority DateFiling Date
PCT/US2009/063936WO2010054408A1 (en)2008-11-102009-11-10Method and system for providing dropout detection in analyte sensors

Country Status (1)

CountryLink
WO (1)WO2010054408A1 (en)

Cited By (2)

* Cited by examiner, † Cited by third party
Publication numberPriority datePublication dateAssigneeTitle
EP2890297A4 (en)*2012-08-302016-04-13Abbott Diabetes Care IncDropout detection in continuous analyte monitoring data during data excursions
EP3174461A4 (en)*2014-08-012018-04-04Edwards Lifesciences CorporationMeasurement of a patient analyte using wavelet transform analysis

Citations (3)

* Cited by examiner, † Cited by third party
Publication numberPriority datePublication dateAssigneeTitle
US20070032706A1 (en)*2003-08-222007-02-08Apurv KamathSystems and methods for replacing signal artifacts in a glucose sensor data stream
US20080033254A1 (en)*2003-07-252008-02-07Dexcom, Inc.Systems and methods for replacing signal data artifacts in a glucose sensor data stream
US20080119708A1 (en)*2006-10-252008-05-22Abbott Diabetes Care, Inc.Method and System for Providing Analyte Monitoring

Patent Citations (3)

* Cited by examiner, † Cited by third party
Publication numberPriority datePublication dateAssigneeTitle
US20080033254A1 (en)*2003-07-252008-02-07Dexcom, Inc.Systems and methods for replacing signal data artifacts in a glucose sensor data stream
US20070032706A1 (en)*2003-08-222007-02-08Apurv KamathSystems and methods for replacing signal artifacts in a glucose sensor data stream
US20080119708A1 (en)*2006-10-252008-05-22Abbott Diabetes Care, Inc.Method and System for Providing Analyte Monitoring

Cited By (7)

* Cited by examiner, † Cited by third party
Publication numberPriority datePublication dateAssigneeTitle
EP2890297A4 (en)*2012-08-302016-04-13Abbott Diabetes Care IncDropout detection in continuous analyte monitoring data during data excursions
EP3395252A1 (en)*2012-08-302018-10-31Abbott Diabetes Care, Inc.Dropout detection in continuous analyte monitoring data during data excursions
US10132793B2 (en)2012-08-302018-11-20Abbott Diabetes Care Inc.Dropout detection in continuous analyte monitoring data during data excursions
US10345291B2 (en)2012-08-302019-07-09Abbott Diabetes Care Inc.Dropout detection in continuous analyte monitoring data during data excursions
US10656139B2 (en)2012-08-302020-05-19Abbott Diabetes Care Inc.Dropout detection in continuous analyte monitoring data during data excursions
US10942164B2 (en)2012-08-302021-03-09Abbott Diabetes Care Inc.Dropout detection in continuous analyte monitoring data during data excursions
EP3174461A4 (en)*2014-08-012018-04-04Edwards Lifesciences CorporationMeasurement of a patient analyte using wavelet transform analysis

Similar Documents

PublicationPublication DateTitle
US12048530B2 (en)Method and apparatus for detecting false hypoglycemic conditions
US9743865B2 (en)Assessing measures of glycemic variability
US10194868B2 (en)Method and system for providing analyte monitoring
US8583205B2 (en)Analyte sensor calibration management
US9913619B2 (en)Model based variable risk false glucose threshold alarm prevention mechanism
US20170042456A1 (en)Analyte Sensor Calibration Management
US9804148B2 (en)Analyte sensor with lag compensation
US9320468B2 (en)Analyte sensor with time lag compensation
US20100274515A1 (en)Dynamic Analyte Sensor Calibration Based On Sensor Stability Profile
US20170086718A1 (en)Methods and Apparatuses for Providing Adverse Condition Notification in Analyte Monitoring Systems
CA2667639A1 (en)Method, system and computer program product for real-time detection of sensitivity decline in analyte sensors
US20230181065A1 (en)End-of-life detection for analyte sensors experiencing progressive sensor decline
WO2010054408A1 (en)Method and system for providing dropout detection in analyte sensors
US20240099612A1 (en)Systems, devices, and methods for dual analyte sensor

Legal Events

DateCodeTitleDescription
121Ep: the epo has been informed by wipo that ep was designated in this application

Ref document number:09825615

Country of ref document:EP

Kind code of ref document:A1

122Ep: pct application non-entry in european phase

Ref document number:09825615

Country of ref document:EP

Kind code of ref document:A1

NENPNon-entry into the national phase

Ref country code:DE


[8]ページ先頭

©2009-2025 Movatter.jp