Movatterモバイル変換


[0]ホーム

URL:


WO2009143369A2 - Method of preparing nucleosides and analogs thereof without using chromatography - Google Patents

Method of preparing nucleosides and analogs thereof without using chromatography
Download PDF

Info

Publication number
WO2009143369A2
WO2009143369A2PCT/US2009/044887US2009044887WWO2009143369A2WO 2009143369 A2WO2009143369 A2WO 2009143369A2US 2009044887 WUS2009044887 WUS 2009044887WWO 2009143369 A2WO2009143369 A2WO 2009143369A2
Authority
WO
WIPO (PCT)
Prior art keywords
substituted
mixture
alkyl
organic solvent
group
Prior art date
Application number
PCT/US2009/044887
Other languages
French (fr)
Other versions
WO2009143369A3 (en
Inventor
Gillermo Vasquez
Original Assignee
Isis Pharmaceuticals, Inc.
Priority date (The priority date is an assumption and is not a legal conclusion. Google has not performed a legal analysis and makes no representation as to the accuracy of the date listed.)
Filing date
Publication date
Application filed by Isis Pharmaceuticals, Inc.filedCriticalIsis Pharmaceuticals, Inc.
Publication of WO2009143369A2publicationCriticalpatent/WO2009143369A2/en
Publication of WO2009143369A3publicationCriticalpatent/WO2009143369A3/en

Links

Classifications

Definitions

Landscapes

Abstract

Provided herein are methods for preparing purified modified nucleosides from reaction mixtures using precipitation as opposed to traditional chromatographic methods. The methods are particularly amenable to protected nucleosides and nucleoside phosphoramidites wherein the nucleosides can be modified.

Description

METHOD OF PREPARING NUCLEOSIDES AND ANALOGS THEREOF WITHOUT
USING CHROMATOGRAPHY
CROSS-REFERENCE TO RELATED APPLICATIONS This application claims benefit under 35 USC 1 19(e) to U.S. Provisional Application No.
61/055,257, filed May 22, 2008, which is incorporated herein by reference.
FIELD OF THE INVENTION
Provided herein are methods for the preparation of nucleosides and analogs thereof without using chromatography. More particularly, the present disclosure provides methods of purifying intermediates at different steps by precipitation which is more cost effective and less time intensive than traditional chromatography at these steps.
BACKGROUND OF THE INVENTION Oligonucleotides have been used in various biological and biochemical applications. They have been used as primers and probes for the polymerase chain reaction (PCR), as antisense agents used in target validation, drug discovery and development, as ribozymes, as aptamers, and as general stimulators of the immune system. This widespread use of oligonucleotides has led to an increasing demand for rapid, inexpensive and efficient methods for their synthesis. Synthetic oligonucleotides are generally prepared through the repeated coupling reactions of nucleoside phosphoramidites to the 5'-hydroxyl group of a nucleoside monomer or the free 5'- hydroxyl group of a growing oligomer. The most commonly used method to perform oligomer synthesis is the phosphoramidite approach which is largely based on developments reported in the literature (see for example: Beaucage and Caruthers (1981) Tetrahedron Letters 22:1859-1862; McBride and Caruthers (1983) Tetrahedron Letters 24:245-248; Sinha et al. (1984) Nucleic Acids Res. 12:4539-4557 and Beaucage and Iyer (1992) Tetrahedron 48:2223-2311, each of which is incorporated herein by reference in its entirety).
Oligomer synthesis can be performed using solution or solid phase chemistries. Solid phase oligonucleotide synthesis (SPOS) is the preferred method. In SPOS, oligonucleotides are assembled in a cyclical manner, each cycle consisting of a series of three chemical reactions. The first reaction is a deblocking reaction, i.e. the removal of a hydroxyl protecting group from a nucleoside monomer or an oligomer bound to a support. Generally, this requires the removal of a dimethoxytrityl protecting group to provide a free hydroxyl group. The second reaction is the coupling reaction, normally performed in the presence of an activator, wherein the free hydroxyl group is reacted with a nucleoside phosphoramidite to provide a phosphite triester in the presence of an activator. The third reaction is the oxidation of the phosphite triester to a phosphate triester.
5 Optionally, a capping step is included either directly before or after each oxidation reaction in order to block support bound nucleoside monomers or oligomers which failed to react in the coupling reaction and to prevent them from further chain elongation in subsequent coupling steps.
A major limiting factor for cost efficient synthesis of oligonucleotides is the time and cost required to purify phosphoramidites and the intermediates formed during their synthesis. The
[ 0 standard method used in the industry for purifying nucleoside phosphoramidites and the intermediates formed during their synthesis column chromatography, especially flash column chromatography which primarily uses silica gel. Regardless of which particular type of column chromatography is used, purification by column chromatography requires large amounts of support material (silica gel for example) and large volumes of high purity solvents. The process also
5 requires a lot of time as its labor-intensive nature requires precise monitoring to make the fraction cuts at the appropriate times to maximize the yield of purified product. During the purification of purine nucleoside phosphoramidites using column chromatography, one of the major challenges is the determination of the ideal chromatography solvent gradient to elute the nucleosides of interest. Purine nucleosides tend to precipitate or otherwise interact with the support of the chromatographic
10 column, leading to rapid loss of column efficiency and a large increase in column back-pressure. Increasing the polarity of the eluant can lead to deprotection of the 5'-dimethoxytrity (DMT) group. Due to the difficulties inherent in the methods currently being used, there exists a need in the art for more efficient methods for the synthesis and purification phosphoramidites especially purine phosphoramidites. Provided herein are methods that fulfill this need and provide purified monomers
15 (nucleosides and modified nucleosides) in high yields.
SUMMARY OF THE INVENTION
Provided herein are methods of purifying monomers used in the synthesis of oligomeric compounds. Such methods are particularly amenable to the final hydroxyl protected (0 phosphoramidite monomer and the hydroxyl protected monomer precursor to this final monomer. The methods provide the monomers in good yields having good purity using precipitation as opposed to chromatography. Such methods reduce purification time and have economic advantages over the expense of having to do chromatography.
The variables are defined individually in further detail herein. It is to be understood that the monomers described herein include all combinations of the embodiments disclosed and variables defined herein.
In certain embodiments, methods are provided for purifying a modified nucleoside phosphoramidite from a reaction mixture comprising the steps of: forming a biphasic mixture comprising the reaction mixture which is optionally concentrated, at least one polar organic solvent and water; washing the biphasic mixture one or more times with a non-polar organic solvent; adding one or more organic solvents to the washed biphasic mixture to form a first mixture; washing the first mixture one or more times with a mixture comprising a polar organic solvent and water thereby providing an organic phase; concentrating the organic phase, dissolving the resulting residue in an organic solvent to provide a first solution wherein the organic phase or the first solution is optionally washed, dried and filtered; combining the first solution with a non-polar organic solvent to precipitate the modified nucleoside phosphoramidite, optionally decanting the non-polar solvent and repeating the combination step one or more times and isolating the modified nucleoside phosphoramidite; wherein said modified nucleoside phosphoramidite comprises a protected hydroxyl group.
In certain embodiments, the reaction mixture is concentrated prior to forming a biphasic mixture. In certain embodiments, the polar organic solvent added to the reaction mixture is DMF. In certain embodiments, the non-polar organic solvent used to wash the biphasic mixture is hexane.
In certain embodiments, the one or more organic solvents added to the washed biphasic mixture comprise a mixture of polar and non-polar organic solvents. In certain embodiments, the mixture comprises a polar organic solvent and a non-polar organic solvent in a ratio of from about 65:35 to about 85:15. In certain embodiments, the mixture of polar and non-polar organic solvents is water immiscible. In certain embodiments, the mixture comprises an aromatic solvent and a hydrocarbon solvent. In certain embodiments, the mixture comprises toluene and hexane. In certain embodiments, the first mixture is washed with a mixture of DMF and water in a ratio of from about 50:50 to about 70:30. In certain embodiments, the first mixture is washed from about 2 to about 6 times. In certain embodiments, the organic phase is concentrated and the resulting residue dissolved in an organic solvent to provide the first solution. In certain embodiments, the organic phase is washed, dried and filtered prior to concentration. In certain embodiments, the first solution is washed, dried and filtered. In certain embodiments, the washing is performed with a solution OfNaHCO3 and the drying is over Na2SO4.
In certain embodiments, the organic solvent used to dissolve the organic phase is ethyl acetate, dichloromethane, chloroform or toluene. In certain embodiments, the non-polar solvent used to precipitate the modified nucleoside phosphoramidite is hexane or petroleum ether.
In certain embodiments, the methods provided herein are used to purify modified nucleoside phosphoramidites having formula II:
Figure imgf000005_0001
II wherein:
Bx is a heterocyclic base moiety;
R1 is -H, -OH, -F, -0-CH3, -0-CH2CH2-O-CH3, -0-CH2-CH=CH2, N3, NH2, NHOH, -O-(CH2)2-O-N(E,)2, -O-CH2C(O)-N(E,)2, -0-CH2-CH2-CH2-NH2, -O-(CH2)2-O-(CH2)2-N(Ei)2 and and -O-CH2-N(H)-C(=NE,)[N(E1)2]; each Ei is, independently, H, Ci-Ci2 alkyl, a protecting group or substituted or unsubstituted Ci-Ci2 alkyl, C2-C12 alkenyl, or C2-Ci2 alkynyl;
Pg is a hydroxyl protecting group;
Zi and Z2 are each, independently, H, Ci-C6 alkyl, substituted CpC6 alkyl, C2-C6 alkenyl, substituted C2-C6 alkenyl, C2-C6 alkynyl or substituted C2-C6 alkynyl; each substituted group is mono or poly substituted with substituent groups independently selected from halogen, OJ,, SJ,, NJiJ2, N3, COOJ1, CN, O-C(=O)NJiJ2, N(H)C(=NH)NJ,J2, N(H)C(=0)N(H)J2 or N(H)C(=S)N(H)J2; and each Ji and J2 is, independently, H, C1-C6 alkyl, C2-C6 alkenyl, C2-C6 alkynyl, C1-C6 aminoalkyl or a protecting group. In certain embodiments, Pg is a trityl group.
In certain embodiments, the methods provided herein are used to purify modified nucleoside phosphoramidites having formula III:
Figure imgf000006_0001
III wherein:
Bx is a heterocyclic base moiety;
Pg is a hydroxyl protecting group;
Zi and Z2 are each, independently, H, Ci-C6 alkyl, substituted Ci-C6 alkyl, C2-C6 alkenyl, substituted C2-C6 alkenyl, C2-C6 alkynyl or substituted C2-C6 alkynyl;
Qi and Q2 are each, independently, H, Ci-C6 alkyl, substituted Ci-C6 alkyl, C2-C6 alkenyl, substituted C2-C6 alkenyl, C2-C6 alkynyl, substituted C2-C6 alkynyl, thiol or substituted thiol; or Qi and Q2 together are methylene (=CH2); each substituted group is mono or poly substituted with substituent groups independently selected from halogen, OJ1, SJU NJjJ2, N3, COOJi, CN, 0-Q=O)NJiJ2, N(H)C(=NH)NJ,J2, N(H)C(=O)N(H)J2 or N(H)C(=S)N(H)J2; and each Ji and J2 is, independently, H, Cj-C6 alkyl, C2-C6 alkenyl, C2-C6 alkynyl, Ci-C6 aminoalkyl or a protecting group.
In certain embodiments, Pg is a trityl group.
In certain embodiments, the modified nucleoside phosphoramidite comprises a sugar surrogate group. In certain embodiments, the sugar surrogate group is a morpholino, cyclohexenyl or a cyclohexitol group.
In certain embodiments, the hydroxyl protecting group is a trityl group. In certain embodiments, the trityl group is 4,4'-dimethoxytrityl.
In certain embodiments, methods of purifying a modified nucleoside from a reaction mixture are provided comprising the steps of: concentrating the reaction mixture, dissolving the resultant residue in a polar organic solvent and optionally adding water to provide a first mixture; washing the first mixture one or more times with one or more aqueous solutions, separating the organic phase and drying, filtering and concentrating the organic phase to an oil; dissolving the oil into a polar organic solvent optionally containing about 1 % organic base and combining the resulting solution with a non-polar organic solvent to precipitate the modified nucleoside, optionally washing the modified nucleoside with a non-polar solvent one or more times and isolating the modified nucleoside; and wherein the modified nucleoside comprises a protected hydroxyl group. In certain embodiments, the residue is dissolved in a polar organic solvent that is water immiscible to provide the first mixture. In certain embodiments, In certain embodiments, the polar organic solvent is water immiscible. In certain embodiments, the polar organic solvent is ethyl acetate.
In certain embodiments, the first mixture further comprises water. In certain embodiments, the first mixture is washed one or more times with an aqueous solution OfNaHCO3. In certain embodiments, the first mixture is also washed with an aqueous brine solution. In certain embodiments, the separated organic phase is dried over Na2SO4.
In certain embodiments, the oil is dissolved into a polar organic solvent and a solution of an organic base is added to provide about 1% organic base wherein the organic base is an aliphatic amine, piperidine or pyridine. In certain embodiments, the organic base is triethylamine.
In certain embodiments, the oil is dissolved into a polar organic solvent optionally containing about 1 % organic base and the non-polar organic solvent is added slowly with vigorous stirring to provide a precipitate. In certain embodiments, the precipitate is stirred for about 30 additional minutes at ice bath temperatures. In certain embodiments, the precipitate is filtered, washed with additional non-polar organic solvent and suspended in additional non-polar organic solvent with stirring for about 30 minutes and isolating the precipitate. In certain embodiments, the polar organic solvent is methanol and the non-polar organic solvent is ether.
In certain embodiments, the methods provided herein are used to purify modified nucleosides having formula IV:
Figure imgf000008_0001
IV wherein:
Bx is a heterocyclic base moiety;
Pg is a 5'-protecting group;
Ri is -H, -OH, -F, -0-CH3, -0-CH2CH2-O-CH3, -0-CH2-CH=CH2, N3, NH2, NHOH, -O-(CH2)2-O-N(Ei)2, -0-CH2C(O)-N(EO2, -0-CH2-CH2-CH2-NH2, -O-(CH2)2-O-(CH2)2-N(E1)2 and and -O-CH2-N(H)-C(=NE1)[N(E1)2]; each Ei is, independently, H, Ci-Ci2 alkyl, a protecting group or substituted or unsubstituted Ci-Ci2 alkyl, C2-Ci2 alkenyl, or C2-Ci2 alkynyl;
Zi and Z2 are each, independently, H, CpC6 alkyl, substituted Cj-C6 alkyl, C2-C6 alkenyl, substituted C2-C6 alkenyl, C2-C6 alkynyl or substituted C2-C6 alkynyl; each substituted group is mono or poly substituted with substituent groups independently selected from halogen, 0Jb SJi, NJiJ2, N3, COOJ,, CN, O-C(=O)NJ,J2, N(H)C(=NH)NJiJ2, N(H)C(=0)N(H)J2 or N(H)C(=S)N(H)J2; and each Ji and J2 is, independently, H, Ci-C6 alkyl, C2-C6 alkenyl, C2-C6 alkynyl, CpC6 aminoalkyl or a protecting group.
In certain embodiments, the methods provided herein are used to purify modified nucleosides having formula V:
Figure imgf000008_0002
V wherein:
Bx is a heterocyclic base moiety; Pg is a 5 '-protecting group;
Zi and Z2 are each, independently, H, Ci-C6 alkyl, substituted Cj-C6 alkyl, C2-C6 alkenyl, substituted C2-C6 alkenyl, C2-C6 alkynyl or substituted C2-C6 alkynyl; Qi and Q2 are each, independently, H, C]-C6 alkyl, substituted Ci-C6 alkyl, C2-C6 alkenyl, substituted C2-C6 alkenyl, C2-C6 alkynyl, substituted C2-C6 alkynyl, thiol or substituted thiol; or Qi and Q2 together are methylene (=CH2); each substituted group is mono or poly substituted with substituent groups independently selected from halogen, OJ,, SJ], NJ,J2, N3, COOJ1, CN, O-C(=O)NJ,J2, N(H)C(=NH)NJ,J2, N(H)C(=0)N(H)J2 or N(H)C(=S)N(H)J2; and each Ji and J2 is, independently, H, Ci-C6 alkyl, C2-C6 alkenyl, C2-C6 alkynyl, Ci-C6 aminoalkyl or a protecting group.
In certain embodiments, the modified nucleoside comprises a sugar surrogate group. In certain embodiments, the sugar surrogate group is a morpholino, cyclohexenyl or a cyclohexitol group.
In certain embodiments, the hydroxyl protecting group is a trityl group. In certain 5 embodiments, the hydroxyl protecting group is 4,4'-dimethoxytrityl.
In certain embodiments, provided herein are methods for isolating a purine nucleoside phosphoramidite from a crude phosphoramidite solution comprising impurities, said method comprising the steps of: adding an organic base and water to the crude phosphoramidite solution to form a first solution; washing the first solution with a first solvent to obtain a washed first solution; .0 adding a second solvent to the washed first solution with mixing to form a mixture; adding a third solvent to the mixture with stirring and separating the organic phase; washing the organic phase with additional third solvent; concentrating the organic phase to obtain a residue; and dissolving the residue in a fourth solvent, adding a fifth solvent to precipitate the purine nucleoside phosphoramidite and isolating the purine nucleoside phosphoramidite.
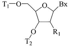
5 In certain embodiments, provided herein is a process for isolating the purine nucleoside phosphoramidite of Formula I:
Figure imgf000009_0001
I wherein Bx is a purine heterocyclic base moiety that is optionally substituted and/or optionally '.O protected; Ti is a hydroxyl protecting group; T2 is a phosphoramidite group; and Ri is H or a T- substituent group. In certain embodiments, the purine heterocyclic base moiety is an optionally protected adenine or guanine. In certain embodiments, the adenine or guanine heterocyclic base moiety comprises an amino protecting group on the exocyclic amino group. In certain embodiments, the amino protecting group is selected from benzoyl and isobutyryl. In certain embodiments, the hydroxyl protecting group is, independently, acetyl, t-butyl, t- butoxymethyl, methoxymethyl, tetrahydropyranyl, 1 -ethoxyethyl, 1 -(2-chloroethoxy)ethyl, 2- trimethylsilylethyl, p-chlorophenyl, 2,4-dinitrophenyl, benzyl, benzoyl, p-phenylbenzoyl, 2,6- dichlorobenzyl, diphenylmethyl, p-nitrobenzyl, triphenylmethyl (trityl), 4,4'-dimethoxytrityl, trimethylsilyl, triethylsilyl, t-butyldimethylsilyl, t-butyldiphenylsilyl, triphenylsilyl, triisopropylsilyl, benzoylformate, chloroacetyl, trichloroacetyl, trifluoroacetyl, pivaloyl, 9-fluorenylmethyl carbonate, mesylate, tosylate, triflate, trityl, monomethoxytrityl, dimethoxytrityl, trimethoxytrityl or substituted pixyl. In certain embodiments, the hydroxyl protecting group is, independently, acetyl, benzyl, t- butyldimethylsilyl, t-butyldiphenylsilyl or 4,4'-dimethoxytrityl.
In certain embodiments, Tj is 4,4'-dimethoxytrityl and T2 is diisopropylcyanoethoxy phosphoramidite.
In certain embodiments, the 2'-substituent group is hydroxyl, a protected hydroxyl, halogen, substituted or unsubstituted 0-Ci-C6 alkyl, substituted or unsubstituted 0-C2-C6 alkenyl, or substituted or unsubstituted 0-C2-C6 alkynyl; wherein each substituted group, independently, comprises one or more substituent groups independently selected from halogen, OJi, SJi, NJjJ2, N3, CN, Ci-C6 alkyl, C2-C6 alkenyl, C2-C6 alkynyl, C(=O)OJ,, C(=O)NJ,J2, C(=O)Jb 0-CC=O)NJ1J2, N(H)C(=O)NJ,J2 andN(H)C(=S)NJiJ2; and each Ji and J2 is, independently, H, Cj-C6 alkyl, C2-C6 alkenyl, C2-C6 alkynyl, Cj-C6 aminoalkyl or a protecting group. In certain embodiments, Ri is fluoro.
In certain embodiments, the crude phosphoramidite solution comprises dimethylformamide. In certain embodiments, the organic base is an amine. In certain embodiments, the amine is an aliphatic amine, piperidine or pyridine. In certain embodiments, the aliphatic amine is triethylamine.
In certain embodiments, the first solvent is an alkane. In certain embodiments, the alkane is pentane, hexane, heptane, octane or cyclohexane. In certain embodiments, the alkane is hexane. In certain embodiments, the second solvent is a water-immiscible organic solvent or a water- immiscible organic solvent mixture. In certain embodiments, the water-immiscible organic solvent is an aromatic solvent. In certain embodiments, the water-immiscible organic solvent mixture comprises a mixture of solvents in a volume ratio of from about 60:40 to about 80:20 of an aromatic solvent to a hydrocarbon solvent. In certain embodiments, the aromatic solvent is toluene. In certain embodiments, the hydrocarbon solvent is hexane.
In certain embodiments, the third solvent is a water miscible organic solvent mixture. In 5 certain embodiments, the water miscible organic solvent mixture comprises water miscible solvent and water in a volume ratio of from about 40:60 to about 80:20 of water miscible solvent to water. In certain embodiments, the water-miscible organic solvent is dimethylformamide or N-methyl-2- pyrrolidineone.
In certain embodiments, the fourth solvent is toluene, ethyl acetate, methanol or ethanol. In .0 certain embodiments, the fourth solvent is ethyl acetate.
In certain embodiments, the fifth solvent is n-pentane, n-heptane, hexane, cyclohexane or octane.
In certain embodiments, provided herein are methods for preparing a purified purine nucleoside phosphoramidite, and the method comprising the steps of: contacting a purine nucleoside 5 with a phosphitylating reagent to form the purine nucleoside phosphoramidite; solvating the purine nucleoside phosphoramidite in a sixth solvent to form a crude phosphoramidite solution; adding an organic base and water to the crude phosphoramidite solution to form a first solution; washing the first solution with a first solvent to obtain a washed first solution; adding a second solvent to the washed first solution with mixing to form a mixture; adding a third solvent to the mixture with !0 stirring and separating the organic phase; washing the organic phase with additional third solvent; concentrating the organic phase to obtain a residue; and dissolving the residue in a fourth solvent, adding a fifth solvent to precipitate the purine nucleoside phosphoramidite and isolating the purine nucleoside phosphoramidite.
In certain embodiments, the phosphitylating reagent comprises 2-cyanoethyl N,N,N',N'- 15 tetraisopropylphosphoramidite. In certain embodiments, the phosphitylating reagent further includes tetrazole and 1-methylimidazole.
In certain embodiments, the sixth solvent is dimethylformamide, N-methylpyrrolid-2-one, tetrahydrofuran or toluene. In certain embodiments, the sixth solvent is dimethylformamide.
In certain embodiments, provided herein is a process for isolating the purine nucleoside i0 phosphoramidite of Formula I:
Figure imgf000012_0001
I wherein Bx is a purine heterocyclic base moiety that is optionally substituted and/or optionally protected; Ti is a hydroxyl protecting group; T2 is a phosphoramidite group; and Ri is H or a T- substituent group.
In certain embodiments, the purine heterocyclic base moiety is an optionally protected adenine or guanine. In certain embodiments, the adenine or guanine heterocyclic base moiety comprises an amino protecting group on the exocyclic amino group. In certain embodiments, the amino protecting group is selected from benzoyl and isobutyryl. In certain embodiments, the hydroxyl protecting group is, independently, acetyl, t-butyl, t- butoxymethyl, methoxymethyl, tetrahydropyranyl, 1 -ethoxyethyl, l-(2-chloroethoxy)ethyl, 2- trimethylsilylethyl, p-chlorophenyl, 2,4-dinitrophenyl, benzyl, benzoyl, p-phenylbenzoyl, 2,6- dichlorobenzyl, diphenylmethyl, p-nitrobenzyl, triphenylmethyl (trityl), 4,4'-dimethoxytrityl, trimethylsilyl, triethylsilyl, t-butyldimethylsilyl, t-butyldiphenylsilyl, triphenylsilyl, triisopropylsilyl, benzoylformate, chloroacetyl, trichloroacetyl, trifluoroacetyl, pivaloyl, 9-fluorenylmethyl carbonate, mesylate, tosylate, triflate, trityl, monomethoxytrityl, dimethoxytrityl, trimethoxytrityl or substituted pixyl. In certain embodiments, the hydroxyl protecting group is, independently, acetyl, benzyl, t- butyldimethylsilyl, t-butyldiphenylsilyl or 4,4'-dimethoxytrityl.
In certain embodiments, Ti is 4,4'-dimethoxytrityl and T2 is diisopropylcyanoethoxy phosphoramidite.
In certain embodiments, the 2 '-substituent group is hydroxyl, a protected hydroxyl, halogen, substituted or unsubstituted 0-C]-C6 alkyl, substituted or unsubstituted 0-C2-C6 alkenyl, or substituted or unsubstituted 0-C2-C6 alkynyl; wherein each substituted group, independently, comprises one or more substituent groups independently selected from halogen, OJi, SJi, NJiJ2, N3, CN, Ci-C6 alkyl, C2-C6 alkenyl, C2-C6 alkynyl, C(=O)OJ,, C(=O)NJ,J2, C(=O)J,, O-C(=O)NJ,J2, N(H)C(=O)NJiJ2andN(H)C(=S)NJ)J2; and each Ji and J2 is, independently, H, Ci-C6 alkyl, C2-C6 alkenyl, C2-C6 alkynyl, Ci-C6 aminoalkyl or a protecting group. In certain embodiments, Ri is fluoro.
In certain embodiments, the crude phosphoramidite solution comprises dimethylformamide. In certain embodiments, the organic base is an amine. In certain embodiments, the amine is an aliphatic amine, piperidine or pyridine. In certain embodiments, the aliphatic amine is triethylamine.
In certain embodiments, the first solvent is an alkane. In certain embodiments, the alkane is pentane, hexane, heptane, octane or cyclohexane. In certain embodiments, the alkane is hexane.
In certain embodiments, the second solvent is a water-immiscible organic solvent or a water- immiscible organic solvent mixture. In certain embodiments, the water-immiscible organic solvent is an aromatic solvent. In certain embodiments, the water-immiscible organic solvent mixture comprises a mixture of solvents in a volume ratio of from about 60:40 to about 80:20 of an aromatic solvent to a hydrocarbon solvent. In certain embodiments, the aromatic solvent is toluene. In certain embodiments, the hydrocarbon solvent is hexane.
In certain embodiments, the third solvent is a water miscible organic solvent mixture. In certain embodiments, the water miscible organic solvent mixture comprises water miscible solvent and water in a volume ratio of from about 40:60 to about 80:20 of water miscible solvent to water. In certain embodiments, the water-miscible organic solvent is dimethylformamide or N-methyl-2- pyrrolidineone.
In certain embodiments, the fourth solvent is toluene, ethyl acetate, methanol or ethanol. In certain embodiments, the fourth solvent is ethyl acetate.
In certain embodiments, the fifth solvent is n-pentane, n-heptane, hexane, cyclohexane or octane.
DETAILED DESCRIPTION OF THE INVENTION
Provided herein are methods useful for purification of modified nucleosides that are used in the synthesis of oligomeric compounds. In particular, the methods provided herein include purification and isolation of modified nucleosides having one of the coupling sites protected (for example a 5'-0-DMT) or having one of the coupling sites protected and the other functionalized with a reactive phosphorous group (e.g. a phosphoramidite group). The methods provide for purification by precipitation without using column chromatography. Such methods are useful for a number of reasons including lowered cost, improved yield and reduced overall synthesis and isolation times.
In general, the modified nucleoside phosphoramidites used in the synthesis of oligomeric compounds include two coupling sites which are associated with the sugar moiety. These sites are used in an iterative process in conjunction with orthogonal protection for incorporation into an oligomeric compound at a selected position. The protected hydroxyl coupling site (normally 5'-O- DMT) provides a free hydroxyl after incorporation and deprotection for further elongation steps and the reactive phosphorous site forms an internucleoside linkage upon reaction with a free hydroxyl group. As shown in the examples, the methods provided herein are applicable to nucleosides and modified nucleosides "monomers" having a variety of different sugar groups including substituted sugars, modified sugars and sugar surrogate groups. It is expected that the methods provided herein would also be applicable to native (2'-H and 2'-OH) type ribonucleosides.
Provided herein are methods of purifying modified nucleoside phosphoramidites from a reaction mixture comprising the steps of: forming a biphasic mixture comprising the reaction mixture which is optionally concentrated, at least one polar organic solvent and water; washing the biphasic mixture one or more times with a non-polar organic solvent; adding one or more organic solvents to the washed biphasic mixture to form a first mixture; washing the first mixture one or more times with a mixture comprising a polar organic solvent and water thereby providing an organic phase; concentrating the organic phase, dissolving the resulting residue in an organic solvent to provide a first solution wherein the organic phase or the first solution is optionally washed, dried and filtered; combining the first solution with a non-polar organic solvent to precipitate the modified nucleoside phosphoramidite, optionally decanting the non-polar solvent and repeating the combination step one or more times and isolating the modified nucleoside phosphoramidite; wherein the modified nucleoside phosphoramidite comprises a protected hydroxyl group.
In certain embodiments, the methods are used for purification and isolation of modified nucleoside phosphoramidites having formula II:
Figure imgf000014_0001
II wherein:
Bx is a heterocyclic base moiety; R1 is -H, -OH, -F, -0-CH3, -0-CH2CH2-O-CH3, -0-CH2-CH=CH2, N3, NH2, NHOH, -O-(CH2)2-O-N(E,)2, -0-CH2C(O)-N(Ei)2, -0-CH2-CH2-CH2-NH2, -O-(CH2)2-O-(CH2)2-N(Ei)2 and and -0-CH2-N(H)-C(=NEi)[N(Eθ2]; each Ei is, independently, H, Ci-Ci2 alkyl, a protecting group or substituted or unsubstituted Ci-Ci2 alkyl, C2-Ci2 alkenyl, or C2-C]2 alkynyl;
Pg is a hydroxyl protecting group;
Zi and Z2 are each, independently, H, CpC6 alkyl, substituted Ci-C6 alkyl, C2-C6 alkenyl, substituted C2-C6 alkenyl, C2-C6 alkynyl or substituted C2-C6 alkynyl; each substituted group is mono or poly substituted with substituent groups independently selected from halogen, OJ1, SJ1, NJ1J2, N3, COOJi, CN, 0-Q=O)NJ1J2, N(H)Q=NH)NJ1J2, N(H)C(=O)N(H)J2 or N(H)C(=S)N(H)J2; and each J1 and J2 is, independently, H, Cj-C6 alkyl, C2-C6 alkenyl, C2-C6 alkynyl, CpC6 aminoalkyl or a protecting group.
In certain embodiments, the methods are used for purification and isolation of modified nucleoside phosphoramidites having formula III:
Figure imgf000015_0001
III wherein:
Bx is a heterocyclic base moiety;
Pg is a hydroxyl protecting group;
Z1 and Z2 are each, independently, H, C1-C6 alkyl, substituted Ci-C6 alkyl, C2-C6 alkenyl, substituted C2-C6 alkenyl, C2-C6 alkynyl or substituted C2-C6 alkynyl;
Q1 and Q2 are each, independently, H, C1-C6 alkyl, substituted C1-C6 alkyl, C2-C6 alkenyl, substituted C2-C6 alkenyl, C2-C6 alkynyl, substituted C2-C6 alkynyl, thiol or substituted thiol; or Qi and Q2 together are methylene (=CH2); each substituted group is mono or poly substituted with substituent groups independently selected from halogen, OJ,, SJi, NJ,J2, N3, COOJ1, CN, O-C(=O)NJ,J2, N(H)C(=NH)NJiJ2, N(H)C(=O)N(H)J2 or N(H)C(=S)N(H)J2; and each Ji and J2 is, independently, H, Ci-C6 alkyl, C2-C6 alkenyl, C2-C6 alkynyl, Ci-C6 aminoalkyl or a protecting group.
In certain embodiments, the methods provided herein are used for purification and isolation of modified nucleoside phosphoramidites comprising sugar surrogate groups. Such monomers include a non-ribose sugar such as a morpholino, cyclohexenyl or a cyclohexitol group.
In certain embodiments, the modified nucleoside phosphoramidites each comprise a DMT (preferably 4,4'-dimethoxytrityl) protected hydroxyl group and a phosphoramidite group having the formula OPO(CH2)2CN(N(CH(CH3)2)2.
In certain embodiments, methods of purifying a modified nucleoside from a reaction mixture are provided herein comprising the steps of: concentrating the reaction mixture, dissolving the resultant residue in a polar organic solvent and optionally adding water to provide a first mixture; washing the first mixture one or more times with one or more aqueous solutions, separating the organic phase and drying, filtering and concentrating the organic phase to an oil; dissolving the oil into a polar organic solvent optionally containing about 1 % organic base and combining the resulting solution with a non-polar organic solvent to precipitate the modified nucleoside, optionally washing the modified nucleoside with a non-polar solvent one or more times and isolating the modified nucleoside; and wherein the modified nucleoside comprises a protected hydroxyl group.
In certain embodiments, the methods are used for purification and isolation of modified nucleosides having formula IV:
Figure imgf000016_0001
IV wherein:
Bx is a heterocyclic base moiety; Pg is a 5'-protecting group; »5 R, is -H, -OH, -F, -0-CH3, -0-CH2CH2-O-CH3, -0-CH2-CH=CH2, N3, NH2, NHOH, -O-(CH2)2-O-N(Ei)2, -O-CH2C(O)-N(E,)2, -0-CH2-CH2-CH2-NH2, -O-(CH2)2-O-(CH2)2-N(E,)2 and and -O-CH2-N(H)-C(=NE1)[N(E,)2]; each Ei is, independently, H, Ci-Ci2 alkyl, a protecting group or substituted or unsubstituted Ci-Ci2 alkyl, C2-Ci2 alkenyl, or C2-Ci2 alkynyl;
Zi and Z2 are each, independently, H, Cj-C6 alkyl, substituted Ci-C6 alkyl, C2-C6 alkenyl, substituted C2-C6 alkenyl, C2-C6 alkynyl or substituted C2-C6 alkynyl; each substituted group is mono or poly substituted with substituent groups independently selected from halogen, OJ1, SJ,, NJ,J2, N3, COOJ1, CN, O-C(=O)NJiJ2, N(H)C(=NH)NJiJ2, N(H)C(O)N(H)J2 or N(H)C(=S)N(H)J2; and each Ji and J2 is, independently, H, Cj-C6 alkyl, C2-C6 alkenyl, C2-C6 alkynyl, C1-C6 aminoalkyl or a protecting group.
In certain embodiments, the methods are used for purification and isolation of modified nucleosides having formula V:
Figure imgf000017_0001
V wherein: Bx is a heterocyclic base moiety;
Pg is a 5'-protecting group;
Zi and Z2 are each, independently, H, Ci-C6 alkyl, substituted Ci-C6 alkyl, C2-C6 alkenyl, substituted C2-C6 alkenyl, C2-C6 alkynyl or substituted C2-C6 alkynyl;
Qi and Q2 are each, independently, H, Ci-C6 alkyl, substituted CpC6 alkyl, C2-C6 alkenyl, substituted C2-C6 alkenyl, C2-C6 alkynyl, substituted C2-C6 alkynyl, thiol or substituted thiol; or Qi and Q2 together are methylene (=CH2); each substituted group is mono or poly substituted with substituent groups independently selected from halogen, OJj, SJi, NJiJ2, N3, COOJb CN, 0-Q=O)NJ1J2, N(H)C(=NH)NJiJ2, N(H)C(=O)N(H)J2 or N(H)C(=S)N(H)J2; and each Ji and J2 is, independently, H, Cj-C6 alkyl, C2-C6 alkenyl, C2-C6 alkynyl, Cj-C6 aminoalkyl or a protecting group. In certain embodiments, the methods provided herein are used for purification and isolation of modified nucleosides comprising sugar surrogate groups. Such monomers include a non-ribose sugar such as a morpholino, cyclohexenyl or a cyclohexitol group.
In certain embodiments, the modified nucleosides each comprise a DMT (preferably 4,4'- dimethoxytrityl) protected hydroxyl group and a free hydroxyl group.
In certain embodiments polar organic solvents are selected from DMF, ethyl acetate, toluene, and chloroform. In certain embodiments, non-polar organic solvents are selected from dichloro- methane, an ether, pentane, hexane, heptane, octane or cyclohexane. In certain embodiments, aromatic solvents are selected from toluene, benzene, alkylbenzene, xylene and combinations thereof.
In certain embodiments the methods are used for purification and isolation of purine nucleoside phosphoramidites of Formula I that are synthesized starting with unprotected purine nucleosides. The initial step of the synthesis involves the protection of the exocyclic amino group(s) of the purine heterocyclic base moiety. Generally, the protection is achieved by acylation with an acylating reagent such as, for example, benzoylchloride or isobutyrylchloride. The exocyclic amino protected purine nucleosides are purified and treated with a hydroxyl protecting group to give the 5'- O-protected purine nucleosides. The 5'-O-protected purine nucleosides are purified and phosphitylated to give 5'-0 -protected purine nucleoside phosphoramidites. Purification is achieved by precipitation and/or crystallization and without the use of column chromatography in each of the synthetic steps.
In certain embodiments, the methods are used for purification and isolation of purine nucleoside phosphoramidites comprising Formula I is shown below:
Figure imgf000018_0001
I Wherein Bx is an optionally protected and/or optionally substituted purine heterocyclic base moiety. Ti is a hydroxyl protecting group with preferred hydroxyl protecting groups including substituted or unsubstituted trityl groups. A particularly preferred hydroxyl protecting group is 4,4'- dimethoxytrityl (DMT). T2 is a phosphoramidite group wherein one preferred phosphoramidite group has the formula -P(NR2R3)(OR4), wherein R2 and R3 are each Cj-C6 straight or branched alkyl, which include but not limited to, methyl, ethyl, n-propyl, 2-prophyl, n-butyl, iso-butyl, and the like; and R4 is any group that is compatible with oligonucleotide synthesis that may be removed after synthesis is complete. Preferably, R4 is a substituted Ci-C6 alkyl including at least one heteroatom. Most preferably, R4 is -CH2CH2CN. A preferred phosphoramidite group is
5 diisopropylcyanoethoxy phosphoramidite (-P(N[(CH)CH3]2)(O(CH2)2CN)). R, is H or a 2'- substituent group. Representative 2'-substituent groups include but are not limited to halogen, substituted or unsubstituted 0-Ci-C6 alkyl, substituted or unsubstituted 0-C2-C6 alkenyl, or substituted or unsubstituted 0-C2-C6 alkynyl; wherein each substituted group, independently, comprises one or more substituent groups independently selected from halogen, OJi, SJi, NJ]J2, N3,
10 CN, C1-C6 alkyl, C2-C6 alkenyl, C2-C6 alkynyl, C(=O)OJ1? CC=O)NJ1J2, C(=O)JI, O-C(=O)NJ,J2, N(H)C(=O)NJiJ2 andN(H)C(=S)NJiJ2; and each Ji and J2 is, independently, H, CrC6 alkyl, C2-C6 alkenyl, C2-C6 alkynyl, Ci-C6 aminoalkyl or a protecting group. Preferred 2 '-substituent groups include halogen, alkoxy (2'-0-alkyl), alkoxyalkoxy (2'-O-alkyl-alkoxy) and derivatives thereof. Particularly preferred 2'-substituent groups include fluoro, methoxy, methoxyethoxy (MOE),
15 dimethylaminoethyloxyethoxy (DMAEOE), i.e. a O(CH2)2-O(CH2)2-N(CH3)2, aminooxyethoxy (AOE) and dimethylaminooxyethoxy (DMAOE), i.e. a O(CH2)2ON(CH3)2 group.
In certain embodiments, a crude phosphoramidite solution is obtained from the last step of nucleoside phosphoramidite synthesis comprising a purine nucleoside phosphoramidite of Formula I. In certain embodiment, the crude phosphoramidite solution comprises dimethylformamide or N-
>0 methylpyrrolidinone. The crude phosphoramidite solution cooled to a temperature between about O °C and about 10 °C, preferably at about 50C. An organic base is added to the crude phosphoramidite solution with stirring at room temperature for a period of time, preferably for about 15 minutes. The organic base is used to increase the pH of the aqueous solution in order to prevent deprotection of the 5' hydroxyl protecting group. Preferably, the organic base is an amine including aliphatic or
>5 aromatic amines. More preferably, the organic base is a hindered amine including but not limited to piperidine, pyridine, triethylamine and diisopropylethylamine.
The crude phosphoramidite solution containing the organic base is cooled to a temperature between about O0C and about 10 °C and water is added (exothermic) to form a first solution, which is generally a cloudy or milky solution. Applicants have found it desirable to maintain the
SO temperature at 25 °C or below. The first solution is washed with a first solvent which is an aliphatic hydrocarbon to obtain a washed first solution. An aliphatic hydrocarbon solvent is used to extract and remove some of the side products or reagents from the reaction mixture, for example, 2- cyanoethyl-N,N,N',N'-tetraisopropyl phosphoramidite. Suitable second solvents include aliphatic hydrocarbons such as alkanes with preferred alkanes including pentane, hexane, heptane, octane, cyclohexane and the like.
As described herein the step of washing a solution with a solvent can be carried out in
5 various ways as long as the solution is contacted with the washing solvent and the washing solvent is eventually removed. Following addition of the wash solvent the resulting mixture is stirred, shaken or otherwise mixed using any method including but not limited to manual mixing, mechanical or magnetic stirring or a combination thereof. Following mixing the wash solvent is removed, preferably by separation of the two phases. Separation occurs due to the immiscibility of
[0 the two phases and the differences in the specific gravity of the two phases. The washing may be carried out in multiple times, for example, dividing the solvent in multiple portions and contacting the solution with each portion of the solvent one at a time, and then discarding each portion of the solvent after each wash. Generally, the washing is conducted at a temperature in a range of about 0 0C to about 40 °C. i 5 The washed first solution is then contacted and mixed with a second solvent thereby forming a mixture, wherein the 5'-O-protected purine nucleoside phosphoramidite dissolves into the second solvent. In certain embodiments, the second solvent is a water-immiscible organic solvent mixture. The water-immiscible organic solvent mixture contains two organic solvents that are both immiscible with water. One of the water-immiscible organic solvents is an aromatic solvent and the
!0 other is a hydrocarbon solvent. Exemplary aromatic solvents include but are not limited to benzene, alkylbenzene, toluene, xylene and combinations thereof. Toluene is a preferred aromatic solvent as it is less toxic than benzene and has a lower boiling point than xylene. Exemplary hydrocarbon solvents include but are not limited to n-pentane, n-heptane, hexane, cyclohexane, octane and the like or mixtures thereof. The 5'-O-protected purine nucleoside phosphoramidite is soluble in the
!5 aromatic solvent, and substantially insoluble in the hydrocarbon solvent. Any ratio of aromatic solvent and hydrocarbon solvent may be used, provided the 5'-O-protected purine nucleoside phosphoramidite is soluble in the mixture. Preferably the ratio of aromatic solvent and hydrocarbon solvent is within the range of about 60:40 to about 80:20 respectively, by volume, and more preferable from about 50:50 to about 80:20 respectively.
10 The mixture is washed with a third solvent. In certain embodiments, the third solvent is a water-miscible organic solvent mixture. The water-miscible organic solvent mixture is a mixture of a water-miscible solvent with water. Exemplary water-miscible solvents include dimethylformamide, dimethyl acetamide, dimethylsulfoxide, N-methylpyrrolid-2-one, acetonitrile, and the like or mixtures thereof. Preferably the ratio of the water miscible organic solvent and water is within the range of about 40:60 to about 80:20 respectively, by volume, and more preferable from about 50:50 to about 80:20 respectively. As the third solvent is water-miscible, the water
5 layer/portion from the biphasic mixture joins together with the third solvent. The remaining unwanted side products and/or reagents from the reaction are extracted into the aqueous layer (mixture of third solvent and water layer/portion of the biphasic mixture) and the aqueous layer is discarded after washing. The 5'-O-protected purine nucleoside phosphoramidite remains in the second solvent of the mixture, which is the organic phase.
10 The organic phase containing the 5'-O-protected purine nucleoside phosphoramidite is further washed with a solution of saturated bicarbonate/carbonate and ethyl acetate may be added to the layer during the bicarbonate/carbonate wash to help facilitate a better separation. The organic phase is further washed with brine and dried over a suitable drying agent such as sodium or magnesium sulfate, filtered and concentrated to obtain a residue.
[ 5 The residue is dissolved in a fourth solvent with the aid of stirring and/or shaking (manual and/or mechanical). Suitable fourth solvents are aromatic solvents such as benzene, toluene and xylene or mixtures thereof, hydrocarbons or mixtures of hydrocarbons, esters of aliphatic carboxylic acids, e.g. ethyl acetate, ethers such as tert-butyl methyl ether, tert-butyl ethyl ether and tetrahydrofuran, likewise alcohols such as methanol, ethanol, n-propanol, isopropanol, n-butanol,
!0 isobutanol, tert-butanol, pentanol and also ketones such as acetone or methyl ethyl ketone. A preferred fourth solvent is ethyl acetate.
To obtain a precipitate of 5'-O-protected purine nucleoside phosphoramidite, a fifth solvent is slowly added to the fourth solvent containing the dissolved residue. Suitable fifth solvents includes n-pentane, n-heptane, hexane, cyclohexane, octane and the like or mixture thereof. The
!5 precipitate of 5'-O-protected purine nucleoside phosphoramidite is isolated and re-dissolved into the fourth solvent. The fourth solvent is evaporated and the solid precipitate of 5'-O-protected purine nucleoside phosphoramidite is dried under reduced pressure over a drying agent with strong hygroscopic properties, such as, but not limit to, phosphorus pentoxide, P2O5.
In one embodiment, the precipitation methods disclosed herein have provided higher relative
10 yields than chromatography for the same monomers. The
The term "alkyl," as used herein, refers to a saturated straight or branched hydrocarbon radical containing up to twenty four carbon atoms. Examples of alkyl groups include, but are not limited to, methyl, ethyl, propyl, butyl, isopropyl, n-hexyl, octyl, decyl, dodecyl and the like. Alkyl groups typically include from 1 to about 24 carbon atoms, more typically from 1 to about 12 carbon atoms (Ci-Ci2 alkyl) with from 1 to about 6 carbon atoms (Ci-C6 alkyl) being more preferred. Alkyl groups as used herein may optionally include one or more further substitutent groups. The term "substituted alkyl," as used herein refers to an alkyl group as described above including a halo- substituent selected from F, Br, Cl or I or CF3, an alkoxy substituent, an alkyl-aryl substituent, a haloaryl substituent, a cycloalkyl substituent, an alkylcycloalkyl substituent, hydroxy, an alkylamino substituent, an alkanoylamino substituent, an arylcarbonylamino substituent, a nitro substituent, a cyano substituent, a thiol substituent or an alkylthio substituent. The term "alkenyl," as used herein, refers to a straight or branched hydrocarbon chain radical containing up to twenty four carbon atoms and having at least one carbon-carbon double bond. Examples of alkenyl groups include, but are not limited to, ethenyl, propenyl, butenyl, l-methyl-2- buten-1-yl, dienes such as 1,3 -butadiene and the like. Alkenyl groups typically include from 2 to about 24 carbon atoms, more typically from 2 to about 12 carbon atoms with from 2 to about 6 carbon atoms being more preferred. Alkenyl groups as used herein may optionally include one or more further substitutent groups.
The term "alkynyl," as used herein, refers to a straight or branched hydrocarbon radical containing up to twenty four carbon atoms and having at least one carbon-carbon triple bond. Examples of alkynyl groups include, but are not limited to, ethynyl, 1-propynyl, 1-butynyl, and the like. Alkynyl groups typically include from 2 to about 24 carbon atoms, more typically from 2 to about 12 carbon atoms with from 2 to about 6 carbon atoms being more preferred. Alkynyl groups as used herein may optionally include one or more further substitutent groups.
The term "alkoxy," as used herein, refers to a radical formed between an alkyl group and an oxygen atom wherein the oxygen atom is used to attach the alkoxy group to a parent molecule. Examples of alkoxy groups include, but are not limited to, methoxy, ethoxy, propoxy, isopropoxy, «-butoxy, sec-butoxy, tert-butoxy, n-pentoxy, neopentoxy, n-hexoxy and the like. Alkoxy groups as used herein may optionally include further substitutent groups.
The terms "halo" and "halogen," as used herein, refer to an atom selected from fluorine, chlorine, bromine and iodine. The terms "aryl" and "aromatic," as used herein, refer to a mono- or polycyclic carbocyclic ring system radicals having one or more aromatic rings. Examples of aryl groups include, but are not limited to, phenyl, naphthalenyl (also referred to herein as naphthyl), tetrahydronaphthyl, indanyl, idenyl and the like. Preferred aryl ring systems have from about 5 to about 20 carbon atoms in one or more rings. Aryl groups as used herein may optionally include further substitutent groups.
The term "hexane" as used herein is intended to include a single hexane and any mixture of hexanes.
The term "heterocyclic radical" as used herein, refers to a radical mono-, or poly-cyclic ring system that includes at least one heteroatom and is unsaturated, partially saturated or fully saturated, thereby including heteroaryl groups. Heterocyclic is also meant to include fused ring systems wherein one or more of the fused rings contain at least one heteroatom and the other rings can contain one or more heteroatoms or optionally contain no heteroatoms. A heterocyclic group typically includes at least one atom selected from sulfur, nitrogen or oxygen. Examples of heterocyclic groups include, [l,3]dioxolane, pyrrolidinyl, pyrazolinyl, pyrazolidinyl, imidazolinyl, imidazolidinyl, piperidinyl, piperazinyl, oxazolidinyl, isoxazolidinyl, morpholinyl, thiazolidinyl, isothiazolidinyl, quinoxalinyl, pyridazinonyl, tetrahydrofuryl and the like. Heterocyclic groups as used herein may optionally include further substitutent groups.
The terms "heteroaryl," and "heteroaromatic," as used herein, refer to a radical comprising a mono- or poly-cyclic aromatic ring, ring system or fused ring system wherein at least one of the rings is aromatic and includes one or more heteroatom. Heteroaryl is also meant to include fused ring systems including systems where one or more of the fused rings contain no heteroatoms. Heteroaryl groups typically include one ring atom selected from sulfur, nitrogen or oxygen.
Examples of heteroaryl groups include, but are not limited to, pyridinyl, pyrazinyl, pyrimidinyl, pyrrolyl, pyrazolyl, imidazolyl, thiazolyl, oxazolyl, isooxazolyl, thiadiazolyl, oxadiazolyl, thiophenyl, furanyl, quinolinyl, isoquinolinyl, benzimidazolyl, benzooxazolyl, quinoxalinyl, and the like. Heteroaryl radicals can be attached to a parent molecule directly or through a linking moiety such as an aliphatic group or hetero atom. Heteroaryl groups as used herein may optionally include further substitutent groups.
The terms "substituent" and "substituent group," as used herein, are meant to include groups that are typically added to other groups or parent compounds to enhance desired properties or provide other desired effects. Groups that are substituted comprise one or more substituent groups. Substituent groups can be protected or unprotected and can be added to one available site or to many available sites in a parent compound. Substituent groups may also be further substituted with other substituent groups and may be attached directly or via a linking group such as an alkyl or hydro- carbyl group to a parent compound.
Substituent groups amenable herein include without limitation, halogen, hydroxyl, alkyl, alkenyl, alkynyl, acyl (-C(O)Raa), carboxyl (-C(O)O-Raa), aliphatic groups, alicyclic groups, alkoxy, substituted oxy (-O-Raa), aryl, aralkyl, heterocyclic radical, heteroaryl, heteroarylalkyl, amino (-N(Rbb)(Rcc)), imino(=NRbb), amido (-C(O)N(Rbb)(RCc) or -N(Rbb)C(O)Raa), azido (-N3), nitro (-NO2), cyano (-CN), carbamido (-OC(O)N(Rbb)(Rcc) or -N(Rbb)C(0)0Raa), ureido (-N(Rbb)C(O)- N(Rbb)(Rcc)), thioureido (-N(Rbb)C(S)N(Rbb)(Rcc)), guanidinyl (-N(Rbb)C(=NRbb)N(Rbb)(Rcc)), amidinyl (-C(=NRbb)N(Rbb)(Rcc) or -N(Rbb)C(=NRbb)(Raa)), thiol (-SRbb), sulfinyl (-S(O)Rbb), sulfonyl (-S(O)2Rbb) and sulfonamidyl (-S(O)2N(Rbb)(Rcc) or -N(Rbb)S(O)2Rbb). Wherein each Raa, Rbb and Rcc is, independently, H, an optionally linked chemical functional group or a further substituent group with a preferred list including without limitation, H, alkyl, alkenyl, alkynyl, aliphatic, alkoxy, acyl, aryl, aralkyl, heteroaryl, alicyclic, heterocyclic and heteroarylalkyl. Selected substituents within the compounds described herein are present to a recursive degree. In this context, "recursive substituent" means that a substituent may recite another instance of itself. Because of the recursive nature of such substituents, theoretically, a large number may be present in any given claim. One of ordinary skill in the art of medicinal chemistry and organic chemistry understands that the total number of such substituents is reasonably limited by the desired properties of the compound intended. Such properties include, by way of example and not limitation, physical properties such as molecular weight, solubility or log P, application properties such as activity against the intended target and practical properties such as ease of synthesis.
Recursive substituents are an intended aspect of the invention. One of ordinary skill in the art of medicinal and organic chemistry understands the versatility of such substituents. To the degree that recursive substituents are present in a claim of the invention, the total number will be determined as set forth above.
The terms "stable compound" and "stable structure" as used herein are meant to indicate a compound that is sufficiently robust to survive isolation to a useful degree of purity from a reaction mixture, and formulation into an efficacious therapeutic agent. Only stable compounds are contemplated herein. The term "protecting group," as used herein, refers to a labile chemical moiety which is known in the art to protect reactive groups including without limitation, hydroxyl, amino and thiol groups, against undesired reactions during synthetic procedures. Protecting groups are typically used selectively and/or orthogonally to protect sites during reactions at other reactive sites and can then be removed to leave the unprotected group as is or available for further reactions. Protecting groups as known in the art are described generally in Greene and Wuts, Protective Groups in Organic Synthesis, 3rd edition, John Wiley & Sons, New York (1999).
5 Groups can be selectively incorporated into oligomeric compounds of the invention as precursors. For example an amino group can be placed into a compound of the invention as an azido group that can be chemically converted to the amino group at a desired point in the synthesis. Generally, groups are protected or present as precursor that will be inert to reactions that modify other areas of the parent molecule for conversion into their final groups at an appropriate time.
0 Further representative protecting or precursor groups are discussed in Agrawal, et al., Protocols for Oligonucleotide Conjugates, Eds, Humana Press; New Jersey, 1994; Vol. 26 pp. 1-72. Examples of hydroxy 1 protecting groups include, but are not limited to, acetyl, t-butyl, t- butoxymethyl, methoxymethyl, tetrahydropyranyl, 1-ethoxy ethyl, 1 -(2-chloroethoxy)ethyl, p- chlorophenyl, 2,4-dinitrophenyl, benzyl, 2,6-dichlorobenzyl, diphenylmethyl, p-nitrobenzyl, bis(2-
5 acetoxyethoxy)methyl (ACE), 2-trimethylsilylethyl, trimethylsilyl, triethylsilyl, t-butyldimethylsilyl, t-butyldiphenylsilyl, triphenylsilyl, [(triisopropylsilyl)oxy]methyl (TOM), benzoylformate, chloroacetyl, trichloroacetyl, trifluoroacetyl, pivaloyl, benzoyl, p-phenylbenzoyl, 9-fluorenylmethyl carbonate, mesylate, tosylate, triphenylmethyl (trityl), monomethoxytrityl, dimethoxytrityl (DMT), trimethoxytrityl, 1 (2-fluorophenyl)-4-methoxypiperidin-4-yl (FPMP), 9-phenylxanthine-9-yl (Pixyl)
!0 and 9-(p-methoxyphenyl)xanthine-9-yl (MOX). Where more preferred hydroxyl protecting groups include, but are not limited to, benzyl, 2,6-dichlorobenzyl, t-butyldimethylsilyl, t-butyldiphenylsilyl, benzoyl, mesylate, tosylate, dimethoxytrityl (DMT), 9-phenylxanthine-9-yl (Pixyl) and 9-(p- methoxyphenyl)xanthine-9-yl (MOX).
The term "orthogonally protected" refers to functional groups which are protected with
Ϊ5 different classes of protecting groups, wherein each class of protecting group can be removed in any order and in the presence of all other classes (see, Barany et al, J. Am. Chem. Soc, 1977, 99, 7363- 7365; Barany et al, J. Am. Chem. Soc, 1980, 102, 3084-3095). Orthogonal protection is widely used in for example automated oligonucleotide synthesis. A functional group is deblocked in the presence of one or more other protected functional groups which is not affected by the deblocking
10 procedure. This deblocked functional group is reacted in some manner and at some point a further orthogonal protecting group is removed under a different set of reaction conditions. This allows for selective chemistry to arrive at a desired compound or oligomeric compound. Examples of amino protecting groups include, but are not limited to, carbamate-protecting groups, such as 2-trimethylsilylethoxycarbonyl (Teoc), 1 -methyl- l-(4-biphenylyl)ethoxycarbonyl (Bpoc), t-butoxycarbonyl (BOC), allyloxycarbonyl (Alloc), 9-fluorenylmethyloxycarbonyl (Fmoc), and benzyloxycarbonyl (Cbz); amide-protecting groups, such as formyl, isobutyryl, acetyl, phenoxyacetyl, trihaloacetyl, benzoyl, and nitrophenylacetyl; sulfonamide-protecting groups, such as 2-nitrobenzenesulfonyl; and imine- and cyclic imide-protecting groups, such as phthalimido and dithiasuccinoyl. Preferred amino protective group is benzoyl.
Wherein an amino group is described as "unprotected," this means that the amino group has not been blocked by an amino protecting group. The use and types of amino protecting functionalities are well known in the art. Examples are described in Greene and Wuts, Protective Groups in Organic Synthesis, 2d edition, John Wiley & Sons, New York, 1991. In certain embodiment oligomeric compounds are prepared by connecting nucleosides with optionally protected phosphorus containing internucleoside linkages. Representative protecting groups for phosphorus containing internucleoside linkages such as phosphodiester and phosphorothioate linkages include β-cyanoethyl, diphenylsilylethyl, δ-cyanobutenyl, cyano p-xylyl (CPX), N-methyl-N-trifluoroacetyl ethyl (META), acetoxy phenoxy ethyl (APE) and butene-4-yl groups. See for example U.S. Patents Nos. 4,725,677 and Re. 34,069 (β-cyanoethyl); Beaucage, S.L. and Iyer, R.P., Tetrahedron, 49 No. 10, pp. 1925-1963 (1993); Beaucage, S.L. and Iyer, R.P., Tetrahedron, 49 No. 46, pp. 10441-10488 (1993); Beaucage, S.L. and Iyer, R.P., Tetrahedron, 48 No. 12, pp. 2223-231 1 (1992).
In certain embodiments, compounds having reactive phosphorus groups are provided that are useful for forming internucleoside linkages including for example phosphodiester and phosphorothioate internucleoside linkages. Such reactive phosphorus groups are known in the art and contain phosphorus atoms in P111 or Pv valence state including, but not limited to, phosphoramidite, H- phosphonate, phosphate triesters and phosphorus containing chiral auxiliaries. In certain embodiments, reactive phosphorus groups are selected from diisopropylcyanoethoxy phosphoramidite (-O*-P[N[(CH(CH3)2]2]O(CH2)2CN) and H-phosphonate (-O*-P(=O)(H)OH), wherein the O* is provided from the Markush group for the monomer. A preferred synthetic solid phase synthesis utilizes phosphoramidites (P111 chemistry) as reactive phosphites. The intermediate phosphite compounds are subsequently oxidized to the phosphate or thiophosphate (Pv chemistry) using known methods to yield, phosphodiester or phosphorothioate internucleoside linkages. Additional reactive phosphates and phosphites are disclosed in Tetrahedron Report Number 309 (Beaucage and Iyer, Tetrahedron, 1992, 48, 2223-231 1).
The term "oligomeric compound," as used herein, refers to a polymer having at least a region that is capable of hybridizing to a nucleic acid molecule. The term "oligomeric compound" includes oligonucleotides, oligonucleotide analogs and oligonucleosides as well as nucleotide mimetics and/or mixed polymers comprising nucleic acid and non-nucleic acid components. Oligomeric compounds are routinely prepared linearly but can be joined or otherwise prepared to be circular and may also include branching. Oligomeric compounds can form double stranded constructs such as for example two strands hybridized to form double stranded compositions. The double stranded compositions can be linked or separate and can include overhangs on the ends. In general, an oligomeric compound comprises a backbone of linked monomeric subunits where each linked monomeric subunit is directly or indirectly attached to a heterocyclic base moiety. Oligomeric compounds may also include monomeric subunits that are not linked to a heterocyclic base moiety thereby providing abasic sites. The linkages joining the monomeric subunits, the sugar moieties or surrogates and the heterocyclic base moieties can be independently modified. The linkage-sugar unit, which may or may not include a heterocyclic base, may be substituted with a mimetic such as the monomers in peptide nucleic acids. The ability to modify or substitute portions or entire monomers at each position of an oligomeric compound gives rise to a large number of possible motifs. As is known in the art, a nucleoside is a base-sugar combination. The base portion of the nucleoside is normally a heterocyclic base moiety. The two most common classes of such heterocyclic bases are purines and pyrimidines. Nucleotides are nucleosides that further include a phosphate group covalently linked to the sugar portion of the nucleoside. For those nucleosides that include a pentofuranosyl sugar, the phosphate group can be linked to either the 2', 3' or 5' hydroxyl moiety of the sugar. In forming oligonucleotides, the phosphate groups covalently link adjacent nucleosides to one another to form a linear polymeric compound. The respective ends of this linear polymeric structure can be joined to form a circular structure by hybridization or by formation of a covalent bond. However, open linear structures are generally desired. Within the oligonucleotide structure, the phosphate groups are commonly referred to as forming the internucleoside linkages of the oligonucleotide. The normal internucleoside linkage of RNA and DNA is a 3' to 5' phospho- diester linkage. As used herein the term "modified nucleoside" is meant to include all manner of modified nucleosides that can be incorporated into an oligomeric compound using oligomer synthesis. The term is intended to include modifications made to a nucleoside such as modified stereochemical configurations, one or more substitutions, and deletion of groups and replacement of the furanose ring with another ring system or open system e.g. a "sugar surrogate". The term includes nucleosides having a furanose sugar (or 4'-S analog) portion and can include a heterocyclic base or can include an abasic site. One group of representative modified nucleosides includes without limitation, substituted nucleosides (such as 2', 5', and/or 4' substituted nucleosides) 4'-S- modified nucleosides, (such as 4'-S-ribonucleosides, 4'-S-2'-deoxyribonucleosides and 4'-S-2'- substituted ribonucleosides), bicyclic modified nucleosides (such as for example, bicyclic nucleosides wherein the sugar group has a 2'-O-CHRa-4' bridging group, wherein R3 is H, alkyl or substituted alkyl) and base modified nucleosides. The sugar can be modified with more than one of these modifications listed such as for example a bicyclic modified nucleoside further including a 5'- substitution or a 5' or 4' substituted nucleoside further including a 2' substitutent. The term modified nucleoside also includes combinations of these modifications such as a base and sugar modified nucleosides. These modifications are meant to be illustrative and not exhaustive as other modifications are known in the art and are also envisioned as possible modifications for the modified nucleosides described herein.
As used herein the term "monomer subunit" or "monomer" is meant to include all manner of monomer units that are amenable to oligomer synthesis with one preferred list including monomer subunits such as β-D-ribonucleosides, β-D-2'-deoxyribnucleosides, modified nucleosides, including substituted nucleosides (such as 2', 5' and bis substituted nucleosides), 4'-S-modified nucleosides, (such as 4'-S-ribonucleosides, 4'-S-2'-deoxyribonucleosides and 4'-S-2'-substituted ribonucleosides), bicyclic modified nucleosides (such as bicyclic nucleosides wherein the sugar group has a 2'-O- CHRa-4' bridging group, wherein Ra is H, alkyl or substituted alkyl), other modified nucleosides, nucleoside mimetics and nucleosides having sugar surrogates.
Examples of substituent groups useful for modifying sugar moieties of nucleosides include without limitation 2'-F, 2'-allyl, 2'-amino, 2'-azido, 2'-thio, 2'-OaIIyI, 2'-OCF3, 2'-0-Ci-C10 alkyl, 2'- 0-CH3, OCF3, 2'-0-CH2CH3, 2'-O-(CH2)2CH3, 2'-O-(CH2)2-O-CH3, 2'-O(CH2)2SCH3, 2'-0-CH2- CH=CH2 (MOE), 2'-O-(CH2)3-N(Rm)(Rn), 2'-O-(CH2)2-O-N(Rm)(Rn), 2'-O-(CH2)2-O-(CH2)2- N(R1n)(Rn), 2'-O-CH2C(=O)-N(Rm)(Rn), 2'-O-CH2C(=O)-N(H)-(CH2)2-N(Rm)(Rn) and 2'-0-CH2- N(H)-C(=NRm)[N(Rm)(Rn)], 5'-vinyl, 5'-methyl (R or S) and 4'-S wherein each Rm and Rn is, independently, H, substituted or unsubstituted Ci-Ci0 alkyl or a protecting group. Further examples of modified sugar moieties include without limitation bicyclic sugars (e.g. bicyclic nucleic acids or bicyclic nucleosides discussed below).
As used herein the term "sugar surrogate" refers to replacement of the nucleoside furanose ring with a non-furanose (or 4'-substituted furanose) group with another structure such as another ring system or open system. Such structures can be as simple as a six membered ring as opposed to the five membered furanose ring or can be more complicated as is the case with the non-ring system used in peptide nucleic acid. The term is meant to include replacement of the sugar group with all manner of sugar surrogates know in the art and includes without limitation sugar surrogate groups such as morpholinos, cyclohexenyls and cyclohexitols. In most monomer subunits having a sugar surrogate group the heterocyclic base moiety is generally maintained to permit hybridization.
In certain embodiments, nucleosides having sugar surrogate groups include without limitation, replacement of the ribosyl ring with a surrogate ring system such as a cyclohexitol (e.g. tetrahydropyranyl) ring system (also referred to as hexitol) as illustrated below:
Figure imgf000029_0001
Many other monocyclic, bicyclic and tricyclic ring systems are known in the art and are suitable as sugar surrogates that can be used to modify nucleosides for incorporation into oligomeric compounds as provided herein (see for example review article: Leumann, Christian J.). Such ring systems can undergo various additional substitutions to further enhance their activity. Some representative U.S. patents that teach the preparation of such modified sugars include without limitation, U.S.: 4,981,957; 5,118,800; 5,319,080; 5,359,044; 5,393,878; 5,446,137; 5,466,786; 5,514,785; 5,519,134; 5,567,811 ; 5,576,427; 5,591,722; 5,597,909; 5,610,300; 5,627,053; 5,639,873; 5,646,265; 5,670,633; 5,700,920; 5,792,847 and 6,600,032 and International Application PCT/US2005/019219, filed June 2, 2005 and published as WO 2005/121371 on December 22, 2005 certain of which are commonly owned with the instant application, and each of which is herein incorporated by reference in its entirety.
The modified nucleosides described herein contain multiple asymmetric centers and thus give rise to enantiomers, diastereomers, and other stereoisomeric forms that may be defined, in terms of absolute stereochemistry, as (R)- or (S)-, α or β, or as (D)- or (L)- such as for amino acids and nucleic acids. Included herein are all such possible isomers, as well as their racemic and optically pure forms. Optical isomers may be prepared from their respective optically active precursors by the procedures described above, or by resolving the racemic mixtures. The resolution can be carried out in the presence of a resolving agent, by chromatography or by repeated
5 crystallization or by some combination of these techniques which are known to those skilled in the art. Further details regarding resolutions can be found in Jacques, et ai, Enantiomers, Racemates, and Resolutions, John Wiley & Sons, 1981. When the compounds described herein contain olefinic double bonds, other unsaturation, or other centers of geometric asymmetry, and unless specified otherwise, it is intended that the compounds include both E and Z geometric isomers or cis- and
[ 0 trans-isomers. Likewise, all tautomeric forms are also intended to be included. The configuration of any carbon-carbon double bond appearing herein is selected for convenience only and is not intended to limit a particular configuration unless the text so states.
The terms "heterocyclic base moiety" and "nucleobase" as used herein, include unmodified or naturally occurring nucleobases, modified or non-naturally occurring nucleobases as well as
[ 5 synthetic mimetics thereof (such as for example phenoxazines). In general, a heterocyclic base moiety is heterocyclic system that contains one or more atoms or groups of atoms capable of hydrogen bonding to a base of a nucleic acid.
As used herein the terms, "unmodified nucleobase" and "naturally occurring nucleobase" include the purine bases adenine (A) and guanine (G), and the pyrimidine bases thymine (T),
>0 cytosine (C) and uracil (U). Modified nucleobases include other synthetic and natural nucleobases such as 5-methylcytosine (5-me-C), 5-hydroxymethyl cytosine, xanthine, hypoxanthine, 2- aminoadenine, 6-methyl and other alkyl derivatives of adenine and guanine, 2-propyl and other alkyl derivatives of adenine and guanine, 2-thiouracil, 2-thiothymine and 2-thiocytosine, 5-halouracil and cytosine, 5-propynyl (-C≡C-CH3) uracil and cytosine and other alkynyl derivatives of pyrimidine
>5 bases, 6-azo uracil, cytosine and thymine, 5-uracil (pseudouracil), 4-thiouracil, 8-halo, 8-amino, 8- thiol, 8-thioalkyl, 8-hydroxyl and other 8-substituted adenines and guanines, 5-halo particularly 5- bromo, 5-trifluoromethyl and other 5-substituted uracils and cytosines, 7-methylguanine and 7- methyladenine, 2-F-adenine, 2-amino-adenine, 8-azaguanine and 8-azaadenine, 7-deazaguanine and 7-deazaadenine, 3-deazaguanine and 3-deazaadenine, universal bases, hydrophobic bases,
SO promiscuous bases, size-expanded bases, and fluorinated bases as defined herein. Further modified nucleobases include tricyclic pyrimidines such as phenoxazine cytidine(lH-pyrimido[5,4- b][l,4]benzoxazin-2(3H)-one), phenothiazine cytidine (lH-pyrimido[5,4-b][l,4]benzothiazin-2(3H)- one), G-clamps such as a substituted phenoxazine cytidine (e.g. 9-(2-aminoethoxy)-H-pyrimido[5,4- b][l,4]benzoxazin-2(3H)-one), carbazole cytidine (2H-pyrimido[4,5-b]indol-2-one), pyridoindole cytidine (H-pyrido[3',2':4,5]pyrrolo[2,3-d]pyrimidin-2-one). Modified nucleobases may also include those in which the purine or pyrimidine base is replaced with other heterocycles, for example 7-deaza-adenine, 7-deazaguanosine, 2-aminopyridine and 2-pyridone. Further nucleobases include those disclosed in United States Patent No. 3,687,808, those disclosed in The Concise Encyclopedia Of Polymer Science And Engineering, Kroschwitz, J. L, Ed., John Wiley & Sons, 1990, 858-859; those disclosed by Englisch et al., Angewandte Chemie, International Edition, 1991, 30, 613; and those disclosed by Sanghvi, Y.S., Chapter 15, Antisense Research and Applications, Crooke, S.T. and Lebleu, B., Eds., CRC Press, 1993, 273-288.
The heterocyclic base moiety of each of the modified nucleosides provided herein can be modified with one or more substituent groups to enhance one or more properties such as affinity for a target strand or affect some other property in an advantageous manner. Modified nucleobases include without limitation, universal bases, hydrophobic bases, promiscuous bases, size-expanded bases, and fluorinated bases as defined herein. Certain of these nucleobases are particularly useful for increasing the binding affinity of the oligomeric compounds as provided herein. These include 5 -substituted pyrimidines, 6-azapyrimidines and N-2, N-6 and O-6 substituted purines, including 2- aminopropyladenine, 5-propynyluracil and 5-propynylcytosine. 5 -methyl cytosine substitutions have been shown to increase nucleic acid duplex stability by 0.6-1.20C {Antisense Research and Applications, Sanghvi, Y.S., Crooke, S.T. and Lebleu, B., Eds., CRC Press, Boca Raton, 1993, 276- 278).
Representative United States patents that teach the preparation of certain of the above noted modified nucleobases as well as other modified nucleobases include without limitation, U.S. 3,687,808; 4,845,205; 5,130,302; 5,134,066; 5,175,273; 5,367,066; 5,432,272; 5,457,187; 5,459,255; 5,484,908; 5,502,177; 5,525,711 ; 5,552,540; 5,587,469; 5,594,121; 5,596,091; 5,614,617; 5,645,985; 5,681,941 ; 5,750,692; 5,763,588; 5,830,653 and 6,005,096, certain of which are commonly owned with the instant application, and each of which is herein incorporated by reference in its entirety.
As used herein the terms "bicyclic nucleic acid" and "bicyclic nucleoside" refer to nucleosides wherein the sugar portion of the nucleoside is bicyclic (e.g. bicyclic sugar). In certain embodiments, a bicyclic nucleic acid comprises a nucleoside wherein the furanose ring comprises a bridge between two non-geminal ring carbon atoms. Examples of bicyclic nucleosides include without limitation nucleosides comprising a bridge between the 4' and the 2' ribosyl ring atoms. In certain embodiments, oligomeric compounds provided herein include one or more bicyclic nucleosides wherein the bridge comprises one of the formulae: 4'-(CH2)-O-2' (LNA); 4'-(CH2)-S-2'; 4'-(CH2)2-O- 2' (ENA); 4'-CH(CH3)-O-2' and 4'-CH(CH2OCH3)-O-2' (and analogs thereof see U.S. Patent 7,399,845, issued on July 15, 2008); 4'-C(CH3)(CH3)-O-2T (and analogs thereof see published
International Application WO/2009/006478, published January 8, 2009); 4r-CH2-N(OCH3)-2' (and analogs thereof see published International Application WO/2008/150729, published December 11, 2008); 4'-CH2-O-N(CH3)-2' (see published U.S. Patent Application US2004-0171570, published September 2, 2004 ); 4'-CH2-N(R)-O-2', wherein R is H, Ci-Ci2 alkyl, or a protecting group (see U.S. Patent 7,427,672, issued on September 23, 2008); 4'-CH2-C(H)(CH3)^1 (see Chattopadhyaya, et al, J. Org. Chem.,2009, 74, 118-134); and 4'-CH2-C(=CH2)-2' (and analogs thereof see published International Application WO 2008/154401, published on December 8, 2008). Each of the foregoing bicyclic nucleosides can be prepared having one or more stereochemical sugar configurations including for example α-L-ribofuranose and β-D-ribofuranose (see PCT international application PCT/DK98/00393, published on March 25, 1999 as WO 99/14226).
The term "phosphitylating reagent," as used herein, refers generally to any reagent compound capable of reacting with a hydroxyl-containing compound in the presence of a phosphitylation activator to form a bond between the oxygen atom of a hydroxyl group of the nucleoside and a phosphorus atom of the phosphitylating agent to form a phosphitylated nucleoside. Suitable phosphitylating agents include, for example, phosphines, such as bis-substituted phosphines, including, alkoxy-bis (dialkylamino) phosphines, such as bis-diisopropylamino-2- cyanoethoxyphosphine; dialkoxy (dialkylamino) phosphines; alkoxy-alkyl (dialkylamino) phosphines, bis (N, N- diisopropylamino)-2-methyltrifluoroacetylaminoethoxyphosphine; bis (N, N- diisopropylamino)-2-diphenyl-methylsilylethoxyphosphine; (allyloxy) bis (N, N-dimethylamino)- phosphine; and the like; as well as, phosphoramidites, such as, hydroxyl-protected-N, N, N', N'- phosphoramidites, including, 2-cyanoethyl-N, N, N', N- tetraisopropylphosphorodiamidite; methoxy-N, N, N', N'-tetraisopropylphosphorodiamidite; methyl-N, N, N', N'- tetraisopropylphosphorodiamidite, and the like, and 3'-O- phosphoramidites, such as, 5'-O- Dimethoxytrityl-2'-deoxy Adenosine (N6-Benzoyl)-3'-N, N- diisopropylamino-0- (2-cyanoethyl) phosphoramidite, 5'-O-Dimethoxytrityl-2'-(N4-Benzoyl)- 3'-N, N-diisopropylamino-Q- (2- cyanoethyl) phosphoramidite, 5'-O-Dimethoxytrityl-2'- deoxyguanosine (N2-isobutyroyl)-3'-N, N- diisopropylamino-O- (2- cyanoethyl) phosphoramidite, 5'-O-Dimethoxytrityl-thymidine-3'-N, N- diisopropylamino-0-(2- cyanoethyl) phosphoramidite, and the like; and mixtures of two or more thereof. Preferred phosphitylating agents include hydroxyl-protected-N, N, N', N'- phosphoramidites, such as, 2- cyanoethyl-N, N, N', N'-tetraisopropylphosphorodiamidite, methoxy- N, N, N', N'- tetraisopropylphosphorodiamidite, 5'-O-Dimethoxytrityl-2'-deoxy Adenosine (N-
5 Benzoyl)-3'- N, N-diisopropylamino-O-(2-cyanoethyl) phosphoramidite, 5'-O-Dimethoxytrityl-2'- (N4-<BR> Benzoyl)-3'-N, N-diisopropylamino-O- (2-cyanoethyl) phosphoramidite, 5'-O- Dimethoxytrityl- 2'-deoxyGuanosine (N2-isobutyroyl)-3'-N, N-diisopropylamino-0-(2- cyanoethyl) phosphoramidite, and S'-O-Dimethoxytrityl-thymidine-S'-N, N-diisopropylamino-0-(2-cyanoethyl) phosphoramidite. In certain embodiments, the phosphitylating agent is 2-cyanoethyl-N, N, N', N'-
[ 0 tetraisopropylphosphorodiamidite.
The term "phosphitylation activator," or simply "activator or activating agent" as used herein, refers generally to a compound that promotes the reaction of a hydroxyl-containing compound with a phosphitylating reagent to produce a phosphitylated compound. Examples of activators generally used during phosphitylating reactions include, but are not limited to, tetrazole,
.5 imidazole (e.g. 1 -methylimidazole) and 2,4,6-collidine trifluoroacetate (COLT).
While in certain embodiments, methods of purifying phosphoramidites from crude mixtures have been described with specificity, the following examples serve only to illustrate and are not intended to be limiting.
>0 Example 1
Preparation of 5'-O-DMT-N2-isobutyryl-2'-F-guanosine phosphoramidite (8)
DMTrCl
Pyridine
Figure imgf000034_0001
Figure imgf000034_0002
a) Preparation of N2-isobutyryl-2'-F-guanosine, Compound 6
Compound 5 (100.0 g, 0.350 mol, prepared as per Example 1, U.S. Patent 5,670,633) was dried under reduced pressure over P2O5 overnight at 40 °C and then suspended in anhydrous
5 pyridine (1.0 L) under N2. The suspension was cooled to 50C in an ice bath. Trimethylsilyl chloride (TMSCl, 222.47 mL, 1.752 mol) was added dropwise over 30 minutes into the suspension which resulted in the formation of a precipitate. The reaction mixture was removed from the ice- bath and the stirring was continued at room temperature for two hours under N2. The reaction mixture was cooled in an ice-bath and isobutyryl chloride (184.70 mL, 1.752 mol) was added
10 dropwise into the reaction mixture over 30 minutes. The reaction mixture was allowed to stir overnight at room temperature. The resulting reaction mixture was cooled to 5 °C and quenched by the addition of water (626.0 mL) dropwise over a period of 45 minutes. After stirring at room temperature for 1 hour the reaction mixture was cooled in an ice-bath, concentrated and NH4OH (626.0 mL) was added dropwise over a period of 45 minutes. After stirring the reaction mixture at
[ 5 room temperature for 2 hours the solvent was evaporated under reduced pressure to yield a solid.
The solid was dissolved in wateπacetone (1.4 L, 1 :1) at room temperature and washed with ether (3 x 2 L). The ether layer was decanted after each wash. Precipitation occurred after the first washing. The flask was then cooled in an ice bath for 40 minutes. The precipitate was filtered and rinsed with cold water (300 mL). The collected solid precipitate was suspended in ether (2 L) and
10 acetone (200 mL) was added. The solid was collected by filtration and rinsed with fresh ether and dried under reduced pressure over P2O5 overnight at 40 °C to give Compound 6 (88.0 g, 71%) as a white solid.
b) Preparation of 5'-0-DMT-N2-isobutyryl-2'-F-guanosine, Compound 7
5 To a solution of Compound 6 (88.0 g, 0.272 mol) in anhydrous pyridine (500.0 mL) was added DMTCl in four portions, (3 x 25.0 g, 1 x 17.0 g; total 92 g, 0.272 mol) over 20 minutes. The reaction mixture was stirred under N2 at room temperature for 4 hours. The resulting reaction mixture was cooled in an ice-bath and quenched with MeOH (50 mL). After stirring the mixture for 15 minutes at room temperature, the solvent was evaporated under reduced pressure to obtain an oil.
10 The oil was partitioned between ethyl acetate (1.0 L) and water (500 mL), and washed successively with saturated NaHCO3 (500 mL) and brine (500 mL). The organic layer was dried over Na2SO4, filtered and evaporated to an oil.
The oil was dissolved in MeOHiEt3N (180 mL with 1% Et3N added), and the solution was stirred rapidly with a mechanical stirrer while adding ether (1.5 L) to obtain a pink colored
.5 precipitate. The mixture was cooled in an ice-bath for 30 minutes, and the solid was collected by filtration and rinsed with fresh ether. The solid was then suspended in ether (1.0 L) and stirred vigorously for 30 minutes. The resulting solid was collected by filtration, rinsed with fresh ether and dried under high reduced pressure over P2O5 for 16 hours at 400C to give Compound 7 (138.0 g, 85 %) as a light pink solid.
>0 c) Preparation of 5'-0-DMT-N2-isobutyryl-2'-F-guanosine phosphoramidite, Compound 8
To a solution of Compound 7 (138.0 g, 0.209 mol) in anhydrous DMF (500 ml) was added tetrazole (1 1.0 g, 0.167 mol, dried thoroughly over P2O5 at 35 °C) followed by 1 -methylimidazole !5 (4.16 mL, 0.052 mol) and 2-cyanoethyl N,N,N'-N'-tetraisopropylphosphoramidite (99.82 mL, 0.314 mol). The mixture was stirred at room temperature for 2 hours under N2 and then cooled in an ice- bath to 50C and Et3N (80.0 mL) was added. The mixture was allowed to warm to room temperature with stirring continued for an additional 15 minutes under N2.
The mixture was cooled in an ice-bath and water (300.0 mL) was added to provide a 10 cloudy :milky solution. The biphasic mixture was removed from ice-bath and washed 4 times with hexane (500 mL). The hexane layer was decanted after each washing leaving an oil at the bottom of the flask. A mixture of toluene:hexane (3:1, 2 L) were added to the aqueous layer and stirred vigorously to completely dissolve the oil. The resulting solution was vigorously shaken with DMF:water (3:2, 1 x 200 niL and 4 x 500 mL). The DMF:water was decanted after each wash. The organic layer was washed with saturated NaHCO3 solution (500 mL), brine (500 mL), dried over Na2SO4, filtered and concentrated to give a white foam. The foam was dissolved in ethyl acetate (150 mL) and the solution was stirred vigorously with an overhead stirrer. Hexane (1.5 L) were added slowly to the solution to obtain a white precipitate and then the hexane layer was decanted. To the solution was added slowly hexane (1.5 L) and then the hexane layer was decanted. The ethyl acetate was evaporated under reduced pressure and dried over P2O5 for 16 hours at 30 °C to give Compound 8 (163.0 g, 90 %) as a crisp white foam.
NMR spectra of each of compounds 5 through 8 was consistent with structure.
Example 2
Preparation of 5'-0-DMT-N6-BenzoyI-2'-F-Adenosine Amidite, Compound 12
DMTrCl
Pyridine
Figure imgf000036_0001
Figure imgf000036_0002
a) Preparation of N6-benzoyl-2'-F-adenosine , Compound 10
Compound 9 (100.0 g, 0.371 mol, prepared as per Example 1, U.S. Patent 5,670,633) was dried under reduced pressure over P2O5 overnight at 40 °C and then suspended in anhydrous pyridine (1.0 L) under N2 with cooling in an ice-bath to 5 °C. Trimethylsilyl chloride (TMSCl, 187.9 mL, 1.480 mol) was added dropwise over 30 minutes to the suspension and a precipitate formed. The reaction mixture was removed from the ice-bath and stirring was continued at room temperature for two hours under N2. The mixture was cooled in an ice-bath and benzoyl chloride (86.22 mL, 0.742 mol) was added dropwise over 30 minutes. The mixture was allowed to stir overnight at room temperature, cooled to 5 °C and then quenched by the dropwise addition of water (626.0 mL) over a period of 45 minutes. After stirring at room temperature for an additional hour the reaction mixture was again cooled in an ice-bath and concentrated. NH4OH (626.0 mL) was added dropwise over a period of 45 minutes, the mixture was stirred at room temperature for an additional 2 hours and the solvent was evaporated under reduced pressure to yield a solid.
The solid was dissolved in water (700 mL) at room temperature and washed with ether (700 mL) by vigorously stirring the solution mixture for 40 minutes. Precipitation occurred and the flask was then cooled in an ice bath for 30 minutes. The precipitate was filtered and rinsed with cold water (300 mL). The precipitate was suspended in ether (1 L) and the suspension was stirred vigorously for 30 minutes. The precipitate was filtered again and rinsed with ether to obtain 114.0 g of solid. The solid was then dissolved in DCM:MeOH (3 : 1 , 2.0 L) and water was added to the solution. The DCM:MeOH layer was slowly evaporated under reduced pressure at 250C until the product was fully precipitated from solution and then the mixture was cooled in an ice bath. The solid was filtered, rinsed with cold water (300 mL) and dried over P2O5 over night to obtain Compound 10 (93.0 g, 67 %). Another 7.2 g of solid, Compound 10, was obtained by slowly evaporating the filtrate. The total amount of Compound 10 obtained was 100.2 g.
b) Preparation of 5'-O-DMT-N6-benzoyl-2'-F-Adenosine, Compound 11 To a solution of Compound 10 (92.4 g, 0.247 mol) in anhydrous pyridine (500.0 mL) was added DMTCl in four portions, (3 x 25.0 g, 1 x 17.2 g; total 92 g, 0.272 mol) over 20 minutes. The reaction mixture was stirred under N2 at room temperature for 4 hours. The mixture was cooled in an ice-bath and quenched with MeOH (50 mL). After stirring for 15 minutes at room temperature, the solvent was evaporated under reduced pressure to an oil.
The oil was partitioned between ethyl acetate (1.0 L) and water (500 mL), and washed successively with sat. NaHCO3 (1 x 500 mL) and brine (1 x 500 mL). The organic layer was dried over Na2SO4, filtered and evaporated to an oil. The oil was dissolved in MeOH:Et3N (100 mL with 1 % Et3N added), and stirred rapidly with a mechanical stirrer while adding ether (1.5 L) to obtain a pink colored precipitate. The mixture was cooled in an ice bath for 30 minutes, and the solid was collected by filtration and rinsed with fresh ether. The solid was suspended in ether (1.0 L) and stirred vigorously for 30 minutes. The resultant solid was collected by filtration, rinsed with fresh ether and dried under high reduced pressure over P2O5 for 16 hours at 400C to give Compound 11 as a light pink solid (150.6 g, 90).
5 c) Preparation of 5'-0-DMT-N6-Benzoyl-2'-F-Adenosine Amidite, Compound 12
To a solution of Compound 11 (150.0 g, 0.221 mol) in anhydrous DMF (500 mL) was added tetrazole (dried over P2O5 at 35 °C, 12.43 g, 0.177 mol), 1 -methylimidazole (4.40 mL, 0.055 mol) and 2-cyanoethyl N,N,N'-N'-tetraisopropylphosphorodiamidite (105.61 mL, 0.332 mol). The reaction mixture was stirred at room temperature for 2 hours under N2, cooled in an ice-bath to 50C i 0 and Et3N (80.0 mL) was added. The mixture was allowed to warm to room temperature and stirred for an additional 15 minutes under N2.
The mixture was cooled in an ice-bath, and water (300.0 mL) was added to give a cloudy- :milky solution. The reaction flask was removed from the ice-bath and the biphasic mixture was washed 4 times by stirring with hexane (500.0 mL). The hexane layer was decanted after each wash
.5 leaving an oil at the bottom of the flask. A mixture of toluene :hexane (3:1; 2 L) were added to the aqueous layer and stirred vigorously to completely dissolve the oil. The resulting solution was vigorously shaken with DMF:water (3:2, 1 x 200 mL and 4 x 500 mL). The DMF:water layer was decanted after each wash. The organic layer was washed with a saturated NaHCO3 solution (500 mL), brine (500 mL), dried over Na2SO4, filtered and concentrated to provide a white foam. The
!0 foam was dissolved in ethyl acetate (150 mL) and stirred vigorously with a mechanical stirrer.
Hexane (1.5 L) were added slowly to the solution to obtain a white precipitate and then the hexane layer was decanted. Hexane (1.5 L) were added slowly and then the hexane layer was decanted. The resulting ethyl acetate phase was evaporated under reduced pressure and the remaining material dried over P2O5 for 16 hours at 30 °C to give Compound 12 as a crisp white foam, the foam (163.0
!5 g, 90 %)
NMR spectra of each of compounds 9 through 12 was consistent with structure.
Example 3
Preparation of Compound 17
Figure imgf000039_0001
a) Preparation of Compound 14
Into a 3000 niL 3 -necked round-bottom flask, was placed a solution of Compound 13 (230 g, prepared as per the procedures illustrated in U.S. Patent 7,399,845, issued on July 15, 2008) in MeCN (1400 rnL). To this was added uracil (44 g) and BSA (267 mL) and the mixture was heated at 40 °C for 15 minutes to provide a clear solution. TMSOTf (74 mL) was added dropwise with stirring at 40 °C. The solution was heated to reflux in an oil bath with stirring for 3 hours with monitoring by TLC (PE:EA; 1 :1). The resulting mixture was concentrated under reduced pressure and the residue was diluted with of EtOAc (3000 mL). The resulting mixture was washed with saturated NaHCO3 (1000 mL) and brine (1000 mL). The mixture was dried over anhydrous Na2SO4 and the solids were filtered out. The resulting mixture was concentrated under reduced pressure to provide 180 g of crude Compound 14 as light yellow oil.
b) Preparation of Compound 15 To a 3L 3-necked round-bottom flask, was placed a solution of Compound 14 (180 g) in MeOH (2000 mL). To this mixture was added K2CO3 (135 g) with stirring overnight with the temperature maintained at 25 °C and monitoring by TLC (PE:EA; 1 :1). The solids were filtered out and the mixture was concentrated under reduced pressure. The residue was diluted with of EtOAc 5 (150O mL). The resulting mixture was washed twice with brine (500 mL). The organic phase was dried over anhydrous Na2SO4, filtered and concentrated under reduced pressure. The residue was purified by silica gel column chromatography eluting with ethyl acetate :petroleum ether (3:1). After concentration and drying, 140 g of crude Compound 15 was provided as light yellow oil.
[0 c) Preparation of Compound 16
To 5L 4-necked round-bottom flask was added a solution of Compound 15 (14O g, 220 mmol) in DCM (2000 mL), DDQ (100 g, 440 mmol) and H2O (114 mL). The resulting solution was stirred at 300C in a water bath for 18 hours with monitoring by TLC (PE:EA; 1 :1). The resulting mixture was concentrated under reduced pressure and the residue was diluted with EtOAc (3000
15 mL). The resulting mixture was washed twice with saturated Na2SO4 (1000 mL), once with saturated NaCl (1000 mL) (sat.) and dried over anhydrous Na2SO4. The resulting mixture was concentrated under reduced pressure. The residue was purified by silica gel column chromatography eluting with ethyl acetate :petroleum ether (3:1). After concentration and drying, 70 g of crude Compound 16 was provided as an off-white solid.
>0 d) Preparation of Compound 17
To a 5000 mL plastic bottle was added a solution of Compound 16 in THF (1000 mL), TEA(HF)3 (191 mL) and TEA (78 mL). The resulting solution was heated to 30 °C with stirring for 24 hours with monitoring by TLC (DCM:MeOH; 10:1). The resulting mixture was concentrated
15 under reduced pressure and the residue was diluted with DCM (300 mL). The solution adjusted to a pH value of 9-10 by dropwise addition of aqueous saturated Na2CO3 resulting in the formation of a precipitate. The precipitate was filtered and the filtrate was extracted with THF (4 x 200 mL). The combined extracts were concentrated and the residue was dissolved in hot pyridine (300 mL) and filtered to remove unsolved salt. The resulting mixture was concentrated under reduced pressure to
50 provide 20 g of Compound 17 as an off-white solid. NMR spectra of each of compounds 14 through 17 was consistent with structure. The (R) and (S) diastereomers of Compound 17 were also prepared as per the procedures illustrated in U.S. Patent 7,399,845, issued on July 15, 2008.
Example 4
Preparation of Compound 21
Figure imgf000041_0001
a) Preparation of Compound 18
To a 5000 raL 3 -necked round-bottom flask, was placed a solution of Compound 13 (630 g, prepared as per the procedures illustrated in U.S. Patent 7,399,845, issued on July 15, 2008) in MeCN (4200 mL). To this was added 5-methyl-uracil (135 g), BSA (725 mL) with heating to 40 °C for 15 minutes to provide a clear solution. TMSOTf (200 mL) was added dropwise with stirring over 50 minutes at 40 °C. The resulting solution was refluxed in an oil bath for 3 hours with monitoring by TLC (PE:EA; 1:1). The resulting mixture was concentrated under reduced pressure and diluted with EtOAc (3500 mL). The resulting mixture was washed twice with saturated NaHCO3 (1000 mL) and once with brine (1000 mL). The mixture was dried over anhydrous sodium sulfate, filtered and concentrated under reduced pressure to provide crude Compound 18 (675 g) as light yellow oil.
b) Preparation of Compound 19
To a 10 L 4-necked round-bottom flask was added a solution of Compound 18 (675 g ) in MeOH (9450 mL) and K2CO3 (506 g ). The resulting solution was stirred in a water bath overnight at 25 °C with monitoring by TLC (PE:EA; 1 :1). The mixture was filtered and concentrated under reduced pressure and the residue was diluted with EtOAc (3500 mL). The resulting mixture was washed with brine (1000 mL). The organic phase was dried over anhydrous Na2SO4, filtered and concentrated under reduced pressure. The residue was purified by silica gel flash column chromatography (EA:PE; 3:1) to provide 530 g of Compound 19 as light yellow oil.
c) Preparation of Compound 20
To 10 L 4-necked round-bottom flask was added a solution of Compound 19 (530 g, 799 mmol) in DCM (7000 mL), DDQ (369 g, 1620 mmol) and H2O (360 mL). The resulting solution was stirred at 300C in a water bath for 18 hours with monitoring by TLC (PE:EA; 1 :1). The resulting mixture was concentrated under reduced pressure and the residue was diluted with EtOAc (3000 mL). The resulting mixture was washed twice with saturated Na2SO4 (1000 mL) and once water (1000 mL) then dried over anhydrous Na2SO4 and concentrated under reduced pressure to provide Compound 20 (HOg, 95%) as a light yellow solid.
d) Preparation of Compound 21
To a 5 L plastic bottle was added a solution of Compound 20 (1 10 g) in THF (1100 mL), TEA(HF)3 (209 mL) and TEA (87 mL ). The resulting solution was heated to 300C and stirred for 24 hours with monitoring by TLC (DCM:MeOH; 10:1). The pH was adjusted to 9-10 by dropwise addition of aqueous saturated NaHCO3. The two phases were separated, the aqueous phase was extracted five times with ethyl acetate (200 mL) and the organic phase was combined with the extracts, dried over anhydrous Na2SO4, filtered and concentrated under reduced pressure. The crude material was stirred with hexane and the hexane was decanted. The resulting extracted material was dried, filtered and concentrated to provide Compound 21 (40 g) as off-white solid.
NMR spectra of each of compounds 18 through 21 was consistent with structure.
Example 5 Preparation of Compound 26
K2CO3/MeOH
Figure imgf000043_0001
13 22
Figure imgf000043_0002
a) Preparation of Compound 22 BSA (170 mL) was added to a suspension of Compound 13 (18O g, prepared as per the procedures illustrated in U.S. Patent 7,399,845, issued on July 15, 2008) and cytosine (44 g) in MeCN (1200 mL). A clear solution was obtained after heating at 80 °C for 75 minutes at which point the temperature was lowered to 0-10 °C. Trimethylsily triflate (88 mL) was added and the mixture was refluxed for 5 hours with monitoring by TLC (PE:EA; 2: 1). The mixture was then cooled to 150C and TEA (100 mL) was added. The resulting mixture was concentrated under reduced pressure and diluted with EtOAc (1000 mL). The mixture was washed twice with saturated 5 NaHCO3 (800 mL), once with brine (500 mL) then dried over Na2SO4, filtered and concentrated under reduced pressure to provide crude Compound 22 (175 g, 83%) which was used without any purification.
b) Preparation of Compound 23
10 To a 2 L 3 -necked round-bottom flask was added a solution of Compound 22 (160 g) in
MeOH (1200 mL) and K2CO3 (62 g) with the temperature at 150C. The mixture was stirred at room temperature for 16 hours with monitoring by LCMS. The mixture was concentrated under reduced pressure and the resulting residue was dissolved in EtOAc (1000 mL) and washed with brine, dried (Na2SO4), filtered and concentrated under reduced pressure to provide the crude
[5 product. The crude product was re-crystallized from DCMiEt2O to provide Compound 23 (158 g, 98%) as a white solid.
c) Preparation of Compound 24
To a 5 L 3-necked round-bottom flask was added a solution of Compound 23 (300 g, 416.77 W mmol), (PhCO)2O (312 g, 1.38 mol) and TEA (319 mL) in DCM (2000 mL). The resulting solution was heated to reflux and stirred overnight with monitoring by TLC (DCMiMeOH; 10:1). The resulting solution was diluted with DCM (1500 mL). The organic layer was washed twice with saturated aqueous NaHCO3 (1000 mL), once with brine (1000 mL), dried over anhydrous Na2SO4, filtered and concentrated under reduced pressure to provide the crude product. The crude product 15 was re-crystallized from ethyl ether to provide Compound 24 (321 g, 92%) as a white solid.
d) Preparation of Compound 25
To 5 L 3-necked round-bottom flask was added a solution of Compound 24 (180 g, 227.41 mmol), DDQ (108 g, 475.76 mmol) and water (180 mL) in DCM (2000 mL). The resulting solution )0 was stirred at 30 °C in a water bath for 18 hours with monitoring by TLC (DCM:MeOH; 10:1). The mixture was filtered and the filtrate washed with saturated Na2SO3 (1000 mL). The aqueous phase was separated, diluted with H2O (500 mL) and extracted four times with DCM (1000 mL). The extracts and the organic phase were combined, washed with saturated NaCl (1500 mL), dried over anhydrous Na2SO4, filtered and concentrated under reduced pressure. The crude material was purified by silica gel column chromatography (eluting with 5% MeOH:DCM) to provide Compound 25 (121 g, 78%) as a white solid.
e) Preparation of Compound 26
To a 5 L plastic bottle was added a solution of Compound 25 (210 g), TEA.3HF (335 mL) and TEA (140 mL) in THF (2.5 L). The resulting solution was stirred for 38 hours at 30 °C with monitoring by TLC (DCM:MeOH; 10:1). The reaction was quenched by the addition OfNaHCO3 (s, 90 g), dried over anhydrous Na2SO4, filtered and concentrated under reduced pressure. The crude product was re-crystallized from MeOH to provide Compound 26 (100 g, 93%) as a white solid.
NMR spectra of each of compounds 22 through 26 was consistent with structure. The (R) and (S) diastereomers of Compound 26 were also prepared as per the procedures illustrated in U.S. Patent 7,399,845, issued on July 15, 2008.
Example 6
Preparation of Compound 31
1 BSA, 5-methylcytosine K2CO3MeOH 2 TMSOTf
Figure imgf000046_0002
13
Figure imgf000046_0001
27
DDQ
Figure imgf000046_0003
a) Preparation of Compound 27
BSA (220 mL) was added to a suspension of Compound 13 (191 g, prepared as per the procedures illustrated in U.S. Patent 7,399,845, issued on July 15, 2008) and 5-methylcytosine (56 g) in MeCN (1500 mL). The mixture was heated for 2 hours at 80 °C to provide a clear solution which was then cooled to 0-100C and trimethylsily triflate (110 mL) was added. The mixture was refluxed for 3.5 hours with monitoring by TLC (PE:EA; 2:1). The mixture was cooled to room temperature, TEA (150 mL) was added and the mixture was concentrated under reduced pressure. The residue was diluted with EtOAc (1000 mL), and the organic layer was washed twice with saturated NaHCO3 (800 mL) and then once with brine (500 mL). The organic phase was dried over Na2SO4, filtered and concentrated under reduced pressure to provide crude Compound 27 (180 g, 86%) which was used without any purification. b) Preparation of Compound 28
To a 3 L 3 -necked round-bottom flask was added a solution of Compound 27 (210 g) in MeOH (2000 mL) and K2CO3 (100 g). The mixture was stirred at 250C with monitoring by LCMS. 5 After 16 hours the reaction was concentrated under reduced pressure and the residue was dissolved in EtOAc (2000 mL), washed with brine, dried over Na2SO4, filtered and concentrated under reduced pressure to provide Compound 28 (144 g, 83%) as a yellow syrup which was used without any purification.
[0 c) Preparation of Compound 29
To a 2 L 3-necked round-bottom flask was added a solution of Compound 28 (110 g), (PhCO)2O (110 g) and TEA (116 mL ) in DCM (1000 mL). The resulting solution was refluxed overnight with monitoring by TLC (DCM:MeOH; 10:1). The resulting solution was diluted with DCM (1 100 mL). The organic layer was washed twice with saturated NaHCO3 (800 mL), once with .5 brine (800 mL), dried over anhydrous Na2SO4, filtered and concentrated under reduced pressure. The resulting material was re-crystallized from ethyl acetate:petroleum ether to provide Compound 29 (105 g, 82%) as a white solid.
d) Preparation of Compound 30
>0 To 2000 mL 3-necked round-bottom flask was added a solution of Compound 30 (105 g),
DDQ (74 mL) and H2O (110 g) in DCM (1000 mL). The resulting solution was stirred at 30 °C in a water bath for 18 hours with monitoring by TLC (PErEA; 2:1). The mixture was filtered and washed with saturated Na2SO3 (700 mL). The layers were separated and the aqueous phase was diluted with H2O (400 mL) and extracted four times with DCM (800 mL). The organic layers were
>5 combined, washed with saturated NaCl (1000 mL), dried over anhydrous Na2SO4, filtered and concentrated under reduced pressure. The residue was purified by silica gel flash column chromatography (eluting with 5% MeOH:DCM) to provide Compound 30 (80 g, 88%) as a white solid.
SO e) Preparation of Compound 31
To a 2 L plastic bottle was added a solution of Compound 30 (80 g), TEA.3HF (120 mL) and TEA (55 mL) in THF (1.0 L). The mixture was stirred for 38 hours at 300C with monitoring by TLC (PE:EA; 2:1). The reaction was then quenched by the addition OfNaHCO3 (s, 10 g), dried over anhydrous Na2SO4, filtered and concentrated under reduced pressure. The crude produce was purified by re-crystallization from DCMrwater to provide Compound 31 (24 g, 49%) as a white solid.
NMR spectra of each of compounds 27 through 31 was consistent with structure.
Example 7
Preparation of Compound 36
Figure imgf000048_0001
a) Preparation of Compound 32
N,O-Bis(trimethylsilyi)acetamide (815 mL, 3.17 mol) was added to a suspension of Compound 13 (730 g, 0.99 mol, prepared as per the procedures illustrated in U.S. Patent 7,399,845, issued on July 15, 2008) and 6-iV-benzoyladenine (307 g, 1.28 mol) in dichloroethane (8 L). The reaction mixture was refluxed for 45 minutes at which time it became clear. The mixture was cooled in an ice bath and trimethylsilyl triflate (362 mL, 1.88 mol) was added dropwise. When TLC showed that the starting material had been consumed with the formation of a new product spot, the reaction was stopped. The pH was adjusted to 7 with Et3N and the mixture was concentrated under 5 reduced pressure. The residue was diluted with EtOAc (5 L). The resulting mixture was washed twice with H2O (1 L), once with brine (1 L), dried over Na2SO4 and filtered. Concentration under reduced pressure provided Compound 32 (850 g, crude) as a yellow oil.
b) Preparation of Compound 33
0 To a 10 L vessel was added Compound 32 (850 g, crude), methanol (6 L), and potassium carbonate (280 g, 2.03 mol). The mixture was stirred at 250C for 24 hours with monitoring by TLC. The mixture was filtered and the filtered solid material was dissolved in ethyl acetate:H2O (5:3). The organic layer was separated and washed twice with brine (1 L). The mixture was dried over anhydrous Na2SO4, filtered and concentrated under reduced pressure to provide Compound 33
5 (350 g) as a white solid.
c) Preparation of Compound 34
To a 5 L vessel was added Compound 33 (350 g, 0.52 mol), pyridine (1.6 L) followed by the dropwise addition of benzoyl chloride (159 mL, 1.36 mol). The resulting solution was stirred at 25
!00C for 1 hour with monitoring by TLC. EtOAc (1.6 L) was added followed by the dropwise addition of H2O with the temperature maintained at about 0 degrees C until the unused reagent was quenched. NH3-H2O (650 mL) was added and the mixture was stirred at 250C for 3 hours with monitoring by TLC. The organic layer was separated and washed three times with 1% HCl (500 mL) then three times with brine (500 mL). The organic layer was dried over Na2SO4, filtered and
\5 concentrated under reduced pressure to provide Compound 34 (400 g, crude) as yellow oil.
d) Preparation of Compound 35
To a 5 L vessel was added Compound 34 (400 g, crude), dichloromethane (4 L), 4,5- dichloro-3, ό-dioxocyclohexa-l^-diene-l^-dicarbonitrile (290 g, 1.28 mol) and water (200 mL). iO The mixture was stirred at 250C for 24 hours with monitoring by TLC. The mixture was concentrated under reduced pressure and the residue diluted with ethyl acetate (5 L). The resulting mixture was washed four times with saturated aqueous Na2SO3 (2 L), dried over anhydrous Na2SO4, filtered and concentrated under reduced pressure. The resulting residue was purified by silica gel column chromatography, eluting with ethyl acetate:petroleum ether (2:1) to provide Compound 35 (230 g) as a light yellow solid.
e) Preparation of Compound 36
To a 5 L plastic vessel was added Compound 35 (230 g, 361.64 mmol), tetrahydrofuran (3450 mL), triethylamine (146 mL, 1.08 mol) and triethylamine trihydro fluoride (346 rnL, 2.16 mol). The mixture was stirred at 250C for 12 hours with monitoring by TLC. The mixture was concentrated under reduced pressure and diluted with ethyl acetate (400 mL). The pH was adjusted to 7 with saturated aqueous sodium bicarbonate. The mixture was filtered and the solid material was dissolved in pyridine (600 mL) with insoluble material removed by filtration. The pyridine solution concentrated under reduced pressure and the resulting residue was purified by re-crystallization from MeOH to provide Compound 36 (HO g, 77%) as a white solid.
NMR spectra of each of compounds 32 through 36 was consistent with structure.
Example 8
Preparation of Compound 41
Figure imgf000051_0001
Figure imgf000052_0001
a) Preparation of Compound 37
To a 10 L 3 -necked round-bottom flask was added a solution of Compound 13 (15O g, prepared as per the procedures illustrated in U.S. Patent 7,399,845, issued on July 15, 2008) in CH2CH2Cl2 (1500 mL) followed by 6-chloro-9H-purin-2-amine (51.5 g) and BSA (166 mL). Refluxing for 45 minutes provided a clear solution which was cooled with stirring to 0-15 °C in an ice bath. TMSOTf (74 mL) was added dropwise at 0-10 °C and stirring was continued for an additional 8 hours at reflux in an oil bath with monitoring by TLC. The resulting mixture was concentrated under reduced pressure and EtOAc (3 L) was added. The pH was adjusted to 7-8 with saturated NaHCO3. The mixture was filtered and the filtrate washed with brine (1 L). The mixture was dried over anhydrous sodium sulfate and filtered. The resulting solution was concentrated under reduced pressure to provide Compound 37 (145 g, crude) as a brown oil.
5 b) Preparation of Compound 38
Into a 10 L 4-necked round-bottom flask was added a solution of sodium hydride (93 g, 2.33 mol, 6.9 equiv) in tetrahydrofuran (2000 mL). To this mixture 3-hydroxypropanenitrile (144 mL) was added dropwise with stirring at 0-10 °C. After stirring for 30 minutes, a solution of Compound 37 (300 g, 0.34 mol, 1.00 equiv) in tetrahydrofuran (2000 mL) was added with stirring at 0-100C
10 and the stirring continued for 3 additional hours at room temperature. Saturated aqueous NH4Cl (600 mL) was added to quench the reaction, the mixture was concentrated under reduced pressure and EtOAc (3 L) was added to the resulting residue. The mixture was washed twice with brine (500 mL), dried over anhydrous Na2SO4, filtered and concentrated under reduced pressure to provide Compound 38 (260 g, crude) as brown oil.
15 c) Preparation of Compound 39
Into a 5 L 4-necked round-bottom flask was added a solution of Compound 38 (520 g, 600 mmol, 1.00 equiv) in DMF (3000 mL), DMAP (17.8 g, 140 mmol,0.24 equiv) followed by the addition of isobutyric anhydride (243 mL) dropwise with stirring at 15-200C. The resulting
.0 solution was stirred for 6 hours at 70 °C in a oil bath. The resulting mixture was concentrated under reduced pressure. The residue was dissolved in 3000 mL of EtOAc and the pH was adjusted to 7-8 with saturated aqueous NaHCO3. The resulting mixture was washed with brine (1000 mL), water (1000 mL), dried over anhydrous sodium sulfate, filtered and concentrated under reduced pressure. The crude product was purified by silica gel column chromatography (EtOAc:PE; 1 :3). After
.5 workup from chromatography, Compound 39 (300 g) was obtained as a yellow solid.
d) Preparation of Compound 40
Into a 3 L 4-necked round-bottom flask was added a solution of Compound 39 (300 g, 360 mmol, 1.00 equiv) in DCM (3 L), 4,5-dichloro-3,6-dioxocyclohexa-l,4-diene-l,2-dicarbonitrile (254 )0 g, 1140 mmol, 3.34 equiv) and water (75 mL) with stirring at 150C overnight. Saturated aqueous Na2SO3 was added to quench the reaction, the resulting mixture was concentrated under reduced pressure and the residue was dissolved in EtOAc (1500 mL). The resulting mixture was washed with brine (750 niL). The mixture was dried over anhydrous sodium sulfate, filtered and concentrated under reduced pressure. The crude product was purified by silica gel flash column chromatography (EA:PE; 1.5:1). After workup from chromatography Compound 40 (160 g) was obtained as a yellow solid.
5 e) Preparation of Compound 41
To a 2 L plastic bottle was added a solution of Compound 40 (160 g) in THF (1600 mL), TEA(HF)3 (253 mL) and TEA (110 mL) with stirring at 15 °C overnight. The resulting mixture was concentrated under reduced pressure and diluted with dichloromethane (200 mL). The pH was
.0 adjusted to 7-8 with saturated aqueous Na2CO3. The solution was filtered and the filtrate was extracted five times with tetrahydrofuran (500 mL). The organic layers were combined and concentrated under reduced pressure. The crude product was purified by silica gel flash column chromatography (dichloromethane :methanol; 20:1) and the purified material was further re- crystallized from tetrahydrofuran:Et2O in the ratio of 1 :5 to provide Compound 41 (80 g, 91%) as a
5 light yellow solid.
NMR spectra of each of compounds 37 through 41 was consistent with structure.
Example 9
General procedure for preparation of bicyclic nucleoside DMT phosphoramidites !0 Preparation Compound 44
Figure imgf000054_0001
R1 = A, G , C, T , U or 5-methyl C a) Preparation of Compound 43 4,4'-Dimethoxytrityl chloride (DMTCl, 111.84 g, 0.330 mol) was added to a solution of bicyclic nucleoside 42 (Ri = C(4NBz), Compound 26, 102.0 g, 0.275 mol, prepared as per the procedures illustrated in Example 5) in pyridine (600 mL). After stirring for 4 hours at room temperature the mixture was cooled with an ice bath and quenched with MeOH (60.0 mL). The resulting residue was evaporated to remove the solvent and provide a crude oil.
The crude oil was dissolved in ethyl acetate (1.0 L) and washed with saturated NaHCO3 solution (I x 1000 mL) and brine (1 x 1000 mL). The resulting organic layer was dried over Na2SO4 filtered and evaporated to an oil. The oil was dissolved into toluene (500 mL) and the toluene solution was slowly added to 2.5 L of hexane with vigorous stirring to provide a white precipitate. The precipitate was isolated and rinsed with fresh hexane. The resulting solid was dried over P2O5 over night under high reduced pressure to provide Compound 43 (184.0 g, 99 %).
b) Preparation of Compound 44
To a solution of Compound 43 (184.0 g, 0.291 mol) in DMF (700 mL) was added tetrazole (16.31 g, 0.232 mol), 1 -methylimidazole (5.77 mL, 0.072 mol) and 2-cyanoethyl N,N,N'-N'-tetra- isopropylphosphane (138.61 mL, 0.437 mol). The reaction was completed after stirring at room temperature for 4 hours under argon. The mixture was cooled in an ice-bath and quenched with Et3N (100.0 mL) followed with water (150 mL). The solution warms and becomes cloudy:milky. The cloudy :milky solution was then washed 4 times with hexane (1000 mL) leaving some oil in the bottom of the flask.
Toluene:hexane (1.5 L, 3:1) were added to the mixture and the resulting solution was transferred to a 3 L separatory funnel. DMF:water (500 mL, 3:2) was added and the separatory funnel with vigorous shaking which provided two layers. The bottom layer (DMF: water) was removed and the top layer was washed 4 times with DMF:water (400 mL, 3:2). The organic layer was evaporated to an oil and redissolved in DCM (1.0 L). The resulting organic layer was washed with saturated NaHCO3 solution (500 mL) and brine (500 mL) and then dried over Na2SO4, filtered and concentrated to about 500 mL. This solution was added slowly to hexane (2.5 L) while stirring vigorously to provide a white precipitate. The precipitate was filtered and rinsed with fresh hexane then dried over P2O5 for 32 hours to provide Compound 44 as a white solid (237.83 g, 99%).
Example 10
Preparation of 5-Me-cytosine DMT phosphoramidite, Compound 46
Figure imgf000056_0001
Compound 46 was prepared following the general procedure of Example 9. Compound 46 was obtained at a purity of 96.9% as measured by UV.
Example 11
Preparation of adenosine DMT phosphoramidite, Compound 48
Figure imgf000057_0001
Compound 48 was prepared following the general procedure of Example 9. Compound 48 was obtained at a purity of 92.8% as measured by UV.
Example 12
Preparation of guanidine DMT phosphoramidite, Compound 50
Figure imgf000058_0001
Compound 50 was prepared following the general procedure of Example 9. Compound 50 was obtained at a purity of 96.5% as measured by UV.
Example 13
Preparation of thymidine DMT phosphoramidite, Compound 52
Figure imgf000059_0001
Compound 52 was prepared following the general procedure of Example 9. Compound 52 was obtained at a purity of 96.5% as measured by UV.
Example 14
Comparison of purification methods, chromatography versus precipitation
The precipitation methods described in examples 1 and 2 and the general methods described in Example 9 are currently being used to prepare modified nucleosides on large scale with good results. The relative % yield is shown below for relative yields using the precipitation methods disclosed herein as compared to using silica gel flash column chromatography. For each of the comparisons, the yield is the same or higher using the disclosed precipitation methods compared to chromatography with the exception of Compound 48 which is within a few percent. The yields for compounds that were purified by column chromatography was from smaller scale syntheses (from .76 g to 15 g of starting material) and the yields for the compounds that were purified by the precipitation methods disclosed here were from larger scale syntheses (88 g to 181 g). Compound # Step % Yield Precipitation/% Yield Chromatography
7, 2'-F-G DMT 85/80
8, 2'-F-G Amidite 90/63 11, 2'-F-A DMT 91/63
12, 2'-F-A Amidite 99/78
47, cEt-A DMT 97/92
48, cEt-A Amidite 90/95
49, cEt-G DMT 85/85
50, cEt-G Amidite 90/83
These data show the advantage of using the precipitation methods described herein over more traditional, column chromatography methods.
Example 15
Preparation of guanidine DMT phosphoramidite, Compound 65
Figure imgf000060_0001
Figure imgf000060_0002
58 59
Figure imgf000061_0001
1. iBu-Cl, pyridine
2. NH4OH, 00C
Figure imgf000061_0002
62
Figure imgf000061_0003
a) Preparation of Compound 54
Pivaloyl chloride (5.5 mmol, 0.67 mL) was added to a solution of commercially available l,5-anhydro-4,6-O-benzylidene-D-glucitol (Carbosynth Limited, UK.) Compound 53 (5 mmol, 1.25 g), triethylamine (5.5 mmol, 0.77 mL) and dimethylaminopyridine (20 mg) in dichloromethane (25 mL). After stirring at room temperature for 24 hours, the reaction was diluted with dichloromethane and washed with 5% HCl, saturated sodium bicarbonate and brine then dried (Na2SO4) and concentrated. Purification by column chromatography (silica gel, eluting with 10 to 30% ethyl acetate in hexane) provided Compound 54 (1.06 g) and Compound 55 (0.64 g) as white solids. Compound 54:1H NMR (300MHz, chloroform-d) δ = 7.56 - 7.44 (m, 2 H), 7.36 (m, 3 H), 5.49 (s, 1 H), 4.98 - 4.81 (m, 1 H), 4.40 - 4.22 (m, 1 H), 4.16 - 3.99 (m, 1 H), 3.82 (s, 1 H), 3.65 (s, 1 H), 3.46 (s, 1 H), 3.41 - 3.27 (m, 1 H), 3.27 - 3.15 (m, 1 H), 3.04 - 2.80 (m, 1 H), 1.29 - 1.16 (m, 9 H). Compound 55:1H NMR (300MHz, chloroform-d) δ = 7.49 - 7.40 (m, 2 H), 7.39 - 7.32 (m, 3 H), 5.53 (s, 1 H), 5.08 - 4.91 (m, 1 H), 4.42 - 4.29 (m, 1 H), 4.19 - 4.04 (m, 1 H), 3.92 - 3.76 (m, 1 H), 3.76 - 3.55 (m, 2 H), 3.50 - 3.30 (m, 2 H), 1.24 (s, 9 H). 5 b) Preparation of Compound 57
Trifluoromethanesulfonic anhydride (4.8 mmol, 0.8 niL) was added to a cold (00C) solution of Compound 54 (3.2 mmol, 1.07 g) and pyridine (0.5 mL). After stirring for one hour the reaction was quenched by adding water and the organic layer was washed with water and brine then dried 0 (Na2SO4) and concentrated to provide crude Compound 56 which was used without any further purification.1H NMR (300MHz, chloroform-d) δ = 7.53 - 7.42 (m, 2 H), 7.42 - 7.32 (m, 3 H), 5.59 (s, 1 H), 5.10 (s, 2 H), 4.48 - 4.33 (m, 1 H), 4.32 - 4.15 (m, 1 H), 3.90 - 3.69 (m, 2 H), 3.57 - 3.42 (m, 1 H), 3.40 - 3.22 (m, 1 H), 1.24 (s, 9 H).
A solution of Compound 56 and cesium fluoride (10 mmol, 1.5 g) in /-BuOH (10 mL) was 5 heated at 700C for 2 hours. The reaction was then cooled to room temperature, diluted with ethyl acetate and the organic layer was washed with water and brine then dried (Na2SO4) and concentrated. Purification by column chromatography (silica gel, eluting with 10 to 20% ethyl acetate in hexane) provided Compound 57 (0.94 g, 90% from 53).1H NMR (300MHz, chloroform- d) δ = 7.49 (m, 2 H), 7.37 (m, 3 H), 5.56 (s, 1 H), 5.29 - 5.02 (m, 1 H), 5.02 - 4.81 (m, 1 H), 4.49 - >0 4.32 (m, 1 H), 4.22 - 4.04 (m, 1 H), 3.99 - 3.54 (m, 7 H), 1.23 (s, 9 H).
c) Preparation of Compound 59
Potassium carbonate (3.2 mmol, 0.44 g) was added to a solution of compound 57 (1.18 mmol, 0.4 g) in methanol (10 mL). After stirring at room temperature for 3 hours, the solvent was
>5 evaporated under reduced pressure and the residue was partitioned between ethyl acetate and water. The organic layer was dried (Na2SO4) and concentrated to provide Compound 58 which was used without any further purification.1H NMR (300MHz, chloroform-d) δ = 7.58 - 7.30 (m, 5 H), 5.54 (s, 1 H), 5.23 - 4.94 (m, 1 H), 4.39 (dd, J= 4.7, 10.0 Hz, 1 H), 4.02 - 3.43 (m, 6 H), 2.25 - 2.08 (m, 1 H).
50 Trifluoromethanesulfonic anhydride (0.45 mmol, 0.08 mL) was added to a cold (00C) solution of compound 58 (0.3 mmol, 0.08 g) and pyridine (0.05 mL). After stirring for one hour, the reaction was quenched by adding water and the organic layer was washed with water and brine then dried (Na2SO4) and concentrated to provide Compound 59 which was used without any further purification.1H NMR (300MHz, chloroform-d) δ = 7.58 - 7.32 (m, 5 H), 5.55 (s, 1 H), 5.28 (IH, d, J= 55 Hz), 5.02-4.85 (m, IH), 4.42 (dd, J= 4.9, 10.4 Hz, 1 H), 4.09 (dd, J= 5.7, 10.8 Hz, 1 H), 4.01 - 3.80 (m, 2 H), 3.78 - 3.50 (m, 2 H); MS (e/z), 387 (m+1). 5 d) Preparation of Compound 60
Compound 59 (7.51 mmol, 2.9 g) and 6-iodo-2-aminopurine tetrabutylammonium salt (17.6 mmol, 8.5 g, prepared as described in J Org. Chem. 1995, 60, 2902-2905), were dissolved in anhydrous HMPA (26 mL). The mixture was stirred at room temperature for 18 hours, poured into 10 ethyl acetate, washed with water and saturated NaCl, dried over anhydrous Na2SO4, filtered and evaporated. Purification by silica gel chromatography (1:1 hexane:ethyl acetate) provided Compound 60 (2.78 g, 75%). NMR (1H and19F) and LCMS analyses were consistent with structure.
15 e) Preparation of Compound 61
Compound 60 (0.64 mmol, 0.32 g) was dissolved in 1,4-dioxane (9 mL) and 9 mL of IM aqueous NaOH was added with heating at 55 °C for 18 hours. The mixture was cooled then neutralized with IN HCl. The mixture was concentrated in vacuo and the residue purified by silica gel chromatography (5% methanol in dichloromethane) to provide Compound 61 (0.22 g, 88%). -0 NMR (1H and19F) and LCMS analyses were consistent with structure.
f) Preparation of Compound 62
Compound 61 (3.23 mmol, 1.25 g) was dissolved in anhydrous pyridine (13.6 mL), cooled to 0 °C, then treated with isobutyryl chloride (4.85 mmol, 0.51 mL). The mixture was warmed to room
.5 temperature and stirred for 6 hours. The mixture was cooled to 0 °C and treated with concentrated aqueous NH4OH (3.2 mL) with stirring for 30 minutes. The mixture was poured into ethyl acetate (100 mL), washed with water (200 mL) and brine (200 mL), dried over anhydrous Na2SO4, filtered, and evaporated. Purification by silica gel chromatography (gradient of 0 to 5% methanol in dichloromethane) provided Compound 62 (1.21 g, 82%). NMR (1H and19F) and LCMS analyses
30 were consistent with structure.
g) Preparation of Compound 63 Compound 62 (0.219 mmol, 0.103 g) was dissolved in methanol (10 mL) and acetic acid (0.2 mL) and Pd(OH)2/C (0.44 g) were added with stirring under an atmosphere (balloon pressure) of hydrogen for 14 hours. The catalyst was removed by filtration, and the resulting filtrate was concentrated and triturated with acetonitrile to provide Compound 63 as a white solid. NMR (1H and '9F) and LCMS analyses were consistent with structure.
h) Preparation of Compound 64
4,4'-Dimethoxytrityl chloride (DMTCl) (14.09 g, 0.041 mol) was added to Compound 63 (12.11 g, 0.032 mol) in pyridine (100 mL). After stirring for 4 hours at room temperature the reaction mixture was cooled in an ice bath and quenched by addition of MeOH (10.0 mL). The mixture was evaporated and the resulting residue was dissolved in ethyl acetate 1.0 L and washed once with aqueous saturated NaHCO3 (100 mL) and then brine (100 mL). The organic phase was dried over Na2SO4, filtered and evaporated. The resulting residue was dissolved in toluene (100 mL) and the resulting solution was added slowly to hexane (500 mL) with vigorous stirring to provide a white precipitate. The precipitate was filtered and rinsed with fresh hexane. The solid material was isolated and dried over P2O5 overnight to provide Compound 64 (20.5 g, 95%).
i) Preparation of Compound 65
Tetrazole (1.36 g, 0.0194 mol), 1 -methylimidazole (.48 mL, 0.006 mol) and 2-cyanoethyl N,N,N'-N'-tetraisopropylphosphane (11.58 mL, 0.035 mol) were added to a solution of Compound 64 (16 g, 0.024 mol) in DMF (715 mL). The mixture was stirred at room temperature under an atmosphere of argon for 4 hours at which time the reaction was complete by TLC. The mixture was cooled in an ice bath, quenched with Et3N (10.0 mL) and diluted with water (97 mL. The resulting cloudy/milky mixture was then washed with 4 times with hexane (200 mL). A mixture of toluene: hexane (3 : 1 , 300 mL) was added to provide a solution. The solution was then transferred to a 1 L separatory funnel and DMF:water (200 mL, 3:2) was added with vigorous shaking to provide two phases. The bottom phase (DMF/water) was removed and the top organic phase (toluene/hexane) was washed 4 times with a mixture of with DMF:water (3:2, 300 mL). The organic phase was evaporated to an oil and dissolved in DCM (400.0 mL), washed with saturated NaHCO3 solution (500 mL) and brine (500 mL) then dried over Na2SO4, filtered and concentrated to a volume of about 100 mL. The resulting solution was added slowly to hexane (500 mL) with vigorous stirring to give a precipitate. The precipitate was filtered, rinsed with fresh hexane and dried over P2O5 for 32 hours to provide Compound 65 (21.0 g, 96%) as a white solid.
All publications, patents, and patent applications referenced herein are incorporated herein by reference. While in the foregoing specification this invention has been described in relation to certain embodiments thereof, and many details have been set forth for purposes of illustration, it will be apparent to those skilled in the art that the invention is susceptible to additional embodiments and that certain of the details described herein may be varied considerably without departing from the basic principles of the invention.

Claims

What is Claimed is:
1. A method of purifying a modified nucleoside phosphoramidite from a reaction mixture comprising the steps of: forming a biphasic mixture comprising the reaction mixture which is optionally concentrated, at least one polar organic solvent and water; washing the biphasic mixture with a non-polar organic solvent; adding one or more organic solvents to the washed biphasic mixture to form a first mixture; washing the first mixture with a mixture comprising a polar organic solvent and water thereby providing an organic phase; concentrating the organic phase, dissolving the resulting residue in an organic solvent to provide a first solution wherein the organic phase or the first solution is optionally washed, dried and filtered; combining the first solution with a non-polar organic solvent that is insoluble with the organic solvent used to dissolve the concentrated organic phase to precipitate the modified nucleoside phosphoramidite, optionally decanting the non-polar solvent and repeating the combination step one or more times and isolating the modified nucleoside phosphoramidite; wherein said modified nucleoside phosphoramidite comprises a protected hydroxyl group.
2. The method of claim 1 wherein the reaction mixture is concentrated prior to forming a biphasic mixture.
3. The method of any one of claims 1 or 2 wherein the polar organic solvent added to the reaction mixture is DMF.
4. The method of any one of claims 1 to 3 wherein the non-polar organic solvent used to wash the biphasic mixture is hexane.
5. The method of any one of claims 1 to 4 wherein the one or more organic solvents added to the washed biphasic mixture comprise a mixture of polar and non-polar organic solvents.
6. The method of claim 5 wherein said mixture comprises a polar organic solvent and a non- polar organic solvent in a ratio of from about 65:35 to about 85:15.
7. The method of any one of claims 5 to 6 wherein said mixture of polar and non-polar organic solvents is water immiscible.
8. The method of any one of claims 5 to 7 wherein said mixture comprises an aromatic solvent and a hydrocarbon solvent.
9. The method of any one of claims 5 to 8 wherein said mixture comprises toluene and hexane.
10. The method of any one of claims 1 to 9 wherein the first mixture is washed with a mixture of DMF and water in a ratio of from about 50:50 to about 70:30.
11. The method of any one of claims 1 to 10 wherein the first mixture is washed from about 2 to about 6 times.
12. The method of any one of claims 1 to 11 wherein the organic phase is concentrated and the resulting residue dissolved in a polar organic solvent to provide the first solution.
13. The method of claim 12 wherein the organic phase is washed, dried and filtered prior to concentration.
14. The method of claim 12 wherein the first solution is washed, dried and filtered.
15. The method of any one of claims 13 or 14 wherein the washing is performed with a solution OfNaHCO3 and the drying is over Na2SO4 or MgSO4.
16. The method of any one of claims 1 to 15 wherein the organic solvent used to dissolve the organic phase is ethyl acetate, dichloromethane, chloroform or toluene.
17. The method of any one of claims 1 to 16 wherein the non-polar solvent used to precipitate the modified nucleoside phosphoramidite is hexane or petroleum ether.
18. The method of any one of claims 1-17 wherein the modified nucleoside phosphoramidite has formula II:
Figure imgf000068_0001
II wherein:
Bx is a heterocyclic base moiety;
R, is -H, -OH, -F, -0-CH3, -0-CH2CH2-O-CH3, -0-CH2-CH=CH25N3, NH2, NHOH, -O-(CH2)2-O-N(E02, -0-CH2C(O)-N(Ei)2, -0-CH2-CH2-CH2-NH2, -O-(CH2)2-O-(CH2)2-N(Ei)2 and and -O-CH2-N(H)-C(=NE1)[N(E,)2]; each Ei is, independently, H, C1-C12 alkyl, a protecting group or substituted or unsubstituted Ci-Ci2 alkyl, C2-Cj2 alkenyl, or C2-Cj2 alkynyl;
Pg is a hydroxyl protecting group;
Zi and Z2 are each, independently, H, Ci-C6 alkyl, substituted Ci-C6 alkyl, C2-C6 alkenyl, substituted C2-C6 alkenyl, C2-C6 alkynyl or substituted C2-C6 alkynyl; each substituted group is mono or poly substituted with substituent groups independently selected from halogen, 0Jh SJb NJiJ2, N3, COOJ,, CN, O-C(=O)NJ,J2, N(H)C(=NH)NJ,J2, N(H)C(=0)N(H)J2 or N(H)C(=S)N(H)J2; and each Ji and J2 is, independently, H, Ci-C6 alkyl, C2-C6 alkenyl, C2-C6 alkynyl, Ci-C6 aminoalkyl or a protecting group.
19. The method of any one of claims 1-17 wherein the modified nucleoside phosphoramidite has formula III:
Figure imgf000069_0001
III wherein:
Bx is a heterocyclic base moiety;
Pg is a hydroxyl protecting group;
Zi and Z2 are each, independently, H, CpC6 alkyl, substituted Cj-C6 alkyl, C2-C6 alkenyl, substituted C2-C6 alkenyl, C2-C6 alkynyl or substituted C2-C6 alkynyl;
Qi and Q2 are each, independently, H, CpC6 alkyl, substituted Cj-C6 alkyl, C2-C6 alkenyl, substituted C2-C6 alkenyl, C2-C6 alkynyl, substituted C2-C6 alkynyl, thiol or substituted thiol; or Qi and Q2 together are methylene C=CH2); each substituted group is mono or poly substituted with substituent groups independently selected from halogen, OJ,, SJ,, NJjJ2, N3, COOJ,, CN, O-C(=O)NJjJ2, N(H)C(=NH)NJ,J2, N(H)C(=0)N(H)J2 or N(H)C(=S)N(H)J2; and each Jj and J2 is, independently, H, Cj-C6 alkyl, C2-C6 alkenyl, C2-C6 alkynyl, Ci-C6 aminoalkyl or a protecting group.
20. The method of any one of claims 1-17 wherein the modified nucleoside phosphoramidite comprises a sugar surrogate group.
21. The method of claim 20 wherein the sugar surrogate group is a tetrahydropyranyl, morpholino, cyclohexenyl or a cyclohexitol group.
22. The method of any one of claims 1 to 21 wherein the hydroxyl protecting group is a trityl group.
23. The method of claim 22 wherein the trityl group is 4,4'-dimethoxytrityl.
24. A method of purifying a modified nucleoside from a reaction mixture comprising the steps of: concentrating the reaction mixture, dissolving the resultant residue in a polar organic solvent and optionally adding water to provide a first mixture; washing the first mixture with one or more aqueous solutions, separating the organic phase and drying, filtering and concentrating the organic phase to an oil; dissolving the oil into a polar organic solvent and combining the resulting solution with a non-polar organic solvent to precipitate the modified nucleoside, optionally washing the modified nucleoside with a non-polar solvent and isolating the modified nucleoside; and wherein the modified nucleoside comprises a protected hydroxyl group.
25. The method of claim 24 wherein the residue is dissolved in a polar organic solvent that is water immiscible to provide the first mixture.
26. The method of claim 25 wherein the polar organic solvent is water immiscible.
27. The method of any one of claims 25 or 26 wherein the polar organic solvent is ethyl acetate.
28. The method of any one of claims 25 to 27 wherein the first mixture further comprises water.
29. The method of any one of claims 26 to 28 wherein the first mixture is washed with an aqueous solution OfNaHCO3.
30. The method of claim 29 further comprising washing with an aqueous brine solution.
31. The method of any one of claims 24 to 30 wherein the separated organic phase is dried over Na2SO4.
32. The method of any one of claims 24 to 31 comprising 1% organic base wherein the organic base is an aliphatic amine, piperidine or pyridine.
33. The method of claim 32 wherein the organic base is triethylamine.
34. The method of any one of claims 24 to 33 wherein the oil is dissolved into a polar organic solvent and the non-polar organic solvent is added slowly with vigorous stirring to provide a precipitate.
35. The method of claim 34 wherein the precipitate is stirred for about 30 additional minutes at ice bath temperatures.
36. The method of any one of claims 35 or 36 further comprising filtering the precipitate, washing the precipitate with additional non-polar organic solvent, suspending the precipitate in additional non-polar organic solvent with stirring for about 30 minutes and isolating the precipitate.
37. The method of any one of claims 34 to 36 wherein the polar organic solvent is methanol and the non-polar organic solvent is ether.
38. The method of any one of claims 24 to 37 wherein the modified nucleoside has formula IV:
Figure imgf000071_0001
IV wherein:
Bx is a heterocyclic base moiety;
Pg is a 5'-protecting group;
R1 is -H, -OH, -F, -0-CH3, -0-CH2CH2-O-CH3, -0-CH2-CH=CH2, N3, NH2, NHOH, -O-(CH2)2-O-N(E,)2, -0-CH2C(O)-N(Ei)2, -0-CH2-CH2-CH2-NH2, -O-(CH2)2-O-(CH2)2-N(E,)2 and and -0-CH2-N(H)-CC=NEi)[N(Ei)2]; each Ei is, independently, H, Ci-Ci2 alkyl, a protecting group or substituted or unsubstituted Ci-Ci2 alkyl, C2-Ci2 alkenyl, or C2-C]2 alkynyl;
Zi and Z2 are each, independently, H, Ci-C6 alkyl, substituted C]-C6 alkyl, C2-C6 alkenyl, substituted C2-C6 alkenyl, C2-C6 alkynyl or substituted C2-C6 alkynyl; each substituted group is mono or poly substituted with substituent groups independently selected from halogen, OJ1, SJi, NJiJ2, N3, COOJ1, CN, O-C(=O)NJ,J2, N(H)C(=NH)NJ,J2, N(H)C(=O)N(H)J2 or N(H)C(=S)N(H)J2; and each Ji and J2 is, independently, H, Ci-C6 alkyl, C2-C6 alkenyl, C2-C6 alkynyl, C1-C6 aminoalkyl or a protecting group.
39. The method of any one of claims 24 to 37 wherein the modified nucleoside has formula V:
Figure imgf000072_0001
V wherein:
Bx is a heterocyclic base moiety;
Pg is a 5'-protecting group;
Zi and Z2 are each, independently, H, Ci-C6 alkyl, substituted Ci-C6 alkyl, C2-C6 alkenyl, substituted C2-C6 alkenyl, C2-C6 alkynyl or substituted C2-C6 alkynyl;
Qi and Q2 are each, independently, H, Ci-C6 alkyl, substituted Ci-C6 alkyl, C2-C6 alkenyl, substituted C2-C6 alkenyl, C2-C6 alkynyl, substituted C2-C6 alkynyl, thiol or substituted thiol; or Qi and Q2 together are methylene (=CH2); each substituted group is mono or poly substituted with substituent groups independently selected from halogen, OJi, SJ1, NJ1J2, N3, COOJ1, CN, 0-C(O)NJiJ2, N(H)CC=NH)NJ1J2, N(H)C(=O)N(H)J2 or N(H)Q=S)N(H)J2; and each J1 and J2 is, independently, H, C1-C6 alkyl, C2-C6 alkenyl, C2-C6 alkynyl, C1-C6 aminoalkyl or a protecting group.
40. The method of any one of claims 24 to 37 wherein the modified nucleoside comprises a sugar surrogate group.
41. The method of claim 40 wherein the sugar surrogate group is a tetrahydropyranyl, morpholino, cyclohexenyl or a cyclohexitol group. DVCM0029WO PATENT
42. The method of any one of claims 24 to 41 wherein the hydroxyl protecting group is a trityl group.
43. The method of any one of claims 24 to 41 wherein the hydroxyl protecting group is 4,4'- dimethoxytrityl.
PCT/US2009/0448872008-05-222009-05-21Method of preparing nucleosides and analogs thereof without using chromatographyWO2009143369A2 (en)

Applications Claiming Priority (2)

Application NumberPriority DateFiling DateTitle
US5525708P2008-05-222008-05-22
US61/055,2572008-05-22

Publications (2)

Publication NumberPublication Date
WO2009143369A2true WO2009143369A2 (en)2009-11-26
WO2009143369A3 WO2009143369A3 (en)2010-04-15

Family

ID=41279375

Family Applications (1)

Application NumberTitlePriority DateFiling Date
PCT/US2009/044887WO2009143369A2 (en)2008-05-222009-05-21Method of preparing nucleosides and analogs thereof without using chromatography

Country Status (1)

CountryLink
WO (1)WO2009143369A2 (en)

Cited By (16)

* Cited by examiner, † Cited by third party
Publication numberPriority datePublication dateAssigneeTitle
WO2013022966A1 (en)2011-08-112013-02-14Isis Pharmaceuticals, Inc.Linkage modified gapped oligomeric compounds and uses thereof
WO2014179629A2 (en)2013-05-012014-11-06Isis Pharmaceuticals, Inc.Compositions and methods
WO2015164693A1 (en)2014-04-242015-10-29Isis Pharmaceuticals, Inc.Oligomeric compounds comprising alpha-beta-constrained nucleic acid
WO2015168618A2 (en)2014-05-012015-11-05Isis Pharmaceuticals, Inc.Compositions and methods for modulating growth hormone receptor expression
WO2015168589A2 (en)2014-05-012015-11-05Isis Pharmaceuticals, Inc.Compositions and methods for modulating angiopoietin-like 3 expression
CN107556355A (en)*2016-06-302018-01-09上海兆维科技发展有限公司Double phosphoramidites of a kind of nucleosides and preparation method thereof
US9943604B2 (en)2013-09-202018-04-17Ionis Pharmaceuticals, Inc.Targeted therapeutic nucleosides and their use
CN108779132A (en)*2016-03-132018-11-09波涛生命科学有限公司 Compositions and methods for phosphoramidite and oligonucleotide synthesis
US10280423B2 (en)2014-05-012019-05-07Ionis Pharmaceuticals, Inc.Compositions and methods for modulating complement factor B expression
EP3564374A1 (en)2013-06-212019-11-06Ionis Pharmaceuticals, Inc.Compositions and methods for modulation of target nucleic acids
US10557137B2 (en)2015-11-062020-02-11Ionis Pharmaceuticals, Inc.Modulating apolipoprotein (a) expression
EP3862362A2 (en)2014-05-012021-08-11Ionis Pharmaceuticals, Inc.Conjugates of modified antisense oligonucleotides and their use for modulating pkk expression
US11098077B2 (en)2016-07-052021-08-24Chinook Therapeutics, Inc.Locked nucleic acid cyclic dinucleotide compounds and uses thereof
US11400161B2 (en)2016-10-062022-08-02Ionis Pharmaceuticals, Inc.Method of conjugating oligomeric compounds
US11873316B2 (en)2016-11-232024-01-16Wave Life Sciences Ltd.Compositions and methods for phosphoramidite and oligonucleotide synthesis
CN119264195A (en)*2024-12-122025-01-07天津奥瑞芙生物医药有限公司 A method for purifying phosphoramidite monomer

Family Cites Families (2)

* Cited by examiner, † Cited by third party
Publication numberPriority datePublication dateAssigneeTitle
US4668777A (en)*1981-03-271987-05-26University Patents, Inc.Phosphoramidite nucleoside compounds
US7030230B2 (en)*2002-10-252006-04-18Isis Pharmaceuticals, Inc.Process of purifying phosphoramidites

Cited By (62)

* Cited by examiner, † Cited by third party
Publication numberPriority datePublication dateAssigneeTitle
US9752142B2 (en)2011-08-112017-09-05Ionis Pharmaceuticals, Inc.Gapped oligomeric compounds comprising 5′-modified deoxyribonucleosides in the gap and uses thereof
WO2013022967A1 (en)2011-08-112013-02-14Isis Pharmaceuticals, Inc.Gapped oligomeric compounds comprising 5'-modified deoxyribonucleosides in the gap and uses thereof
WO2013022966A1 (en)2011-08-112013-02-14Isis Pharmaceuticals, Inc.Linkage modified gapped oligomeric compounds and uses thereof
US10683499B2 (en)2013-05-012020-06-16Ionis Pharmaceuticals, Inc.Compositions and methods for modulating TTR expression
US9932581B2 (en)2013-05-012018-04-03Ionis Pharmaceuticals, Inc.Compositions and methods for modulating apolipoprotein C-III expression
WO2014179627A2 (en)2013-05-012014-11-06Isis Pharmaceuticals, Inc.Compositions and methods for modulating hbv and ttr expression
US9127276B2 (en)2013-05-012015-09-08Isis Pharmaceuticals, Inc.Conjugated antisense compounds and their use
US9145558B2 (en)2013-05-012015-09-29Isis Pharmaceuticals, Inc.Compositions and methods for modulating HBV expression
EP3633039A1 (en)2013-05-012020-04-08Ionis Pharmaceuticals, Inc.Compositions and methods
US12291709B2 (en)2013-05-012025-05-06Ionis Pharmaceuticals, Inc.Compositions and methods for modulating apolipoprotein (a) expression
EP4529927A2 (en)2013-05-012025-04-02Ionis Pharmaceuticals, Inc.Compositions and methods for modulating hbv and ttr expression
US9181549B2 (en)2013-05-012015-11-10Isis Pharmaceuticals, Inc.Conjugated antisense compounds and their use
EP4438129A2 (en)2013-05-012024-10-02Ionis Pharmaceuticals, Inc.Compositions and methods for modulating apolipoprotein c-iii expression
US9714421B2 (en)2013-05-012017-07-25Ionis Pharmaceuticals, Inc.Compositions and methods
WO2014179626A2 (en)2013-05-012014-11-06Isis Pharmaceuticals, Inc.Compositions and methods for modulating apolipoprotein c-iii expression
US11851655B2 (en)2013-05-012023-12-26Ionis Pharmaceuticals, Inc.Compositions and methods for modulating apolipoprotein (a) expression
WO2014179629A2 (en)2013-05-012014-11-06Isis Pharmaceuticals, Inc.Compositions and methods
US9932580B2 (en)2013-05-012018-04-03Ionis Pharmaceuticals, Inc.Compositions and methods for modulating HBV expression
WO2014179625A1 (en)2013-05-012014-11-06Isis Pharmaceuticals, Inc.COMPOSITIONS AND METHODS FOR MODULATING APOLIPOPROTEIN (a) EXPRESSION
US9957504B2 (en)2013-05-012018-05-01Ionis Pharmaceuticals, Inc.Compositions and methods for modulating apolipoprotein (a) expression
EP3690049A1 (en)2013-05-012020-08-05Ionis Pharmaceuticals, Inc.Compositions and methods for modulating apolipoprotein c-iii expression
US11299736B1 (en)2013-05-012022-04-12Ionis Pharmaceuticals, Inc.Conjugated antisense compounds and their use
US10883104B2 (en)2013-05-012021-01-05Ionis Pharmaceuticals, Inc.Compositions and methods for modulating apolipoprotein (a) expression
EP3828275A1 (en)2013-05-012021-06-02Ionis Pharmaceuticals, Inc.Compositions and methods for modulating ttr expression
EP3524680A1 (en)2013-05-012019-08-14Ionis Pharmaceuticals, Inc.Compositions and methods for modulating ttr expression
EP3564374A1 (en)2013-06-212019-11-06Ionis Pharmaceuticals, Inc.Compositions and methods for modulation of target nucleic acids
EP3730619A1 (en)2013-06-212020-10-28Ionis Pharmaceuticals, Inc.Compositions and methods for modulation of target nucleic acids
US9943604B2 (en)2013-09-202018-04-17Ionis Pharmaceuticals, Inc.Targeted therapeutic nucleosides and their use
US10221416B2 (en)2014-04-242019-03-05Ionis Pharmaceuticals, Inc.Oligomeric compounds comprising alpha-beta-constrained nucleic acid
WO2015164693A1 (en)2014-04-242015-10-29Isis Pharmaceuticals, Inc.Oligomeric compounds comprising alpha-beta-constrained nucleic acid
EP3974534A1 (en)2014-05-012022-03-30Ionis Pharmaceuticals, Inc.Compositions and methods for modulating growth hormone receptor expression
EP3862362A2 (en)2014-05-012021-08-11Ionis Pharmaceuticals, Inc.Conjugates of modified antisense oligonucleotides and their use for modulating pkk expression
US11732265B2 (en)2014-05-012023-08-22Ionis Pharmaceuticals, Inc.Compositions and methods for modulating complement factor B expression
US11312964B2 (en)2014-05-012022-04-26Ionis Pharmaceuticals, Inc.Compositions and methods for modulating growth hormone receptor expression
US10875884B2 (en)2014-05-012020-12-29Isis Pharmaceuticals, Inc.Compositions and methods for modulating angiopoietin-like 3 expression
EP3757215A2 (en)2014-05-012020-12-30Ionis Pharmaceuticals, Inc.Compositions and methods for modulating growth hormone receptor expression
US9994855B2 (en)2014-05-012018-06-12Ionis Pharmaceuticals, Inc.Compositions and methods for modulating growth hormone receptor expression
US10280423B2 (en)2014-05-012019-05-07Ionis Pharmaceuticals, Inc.Compositions and methods for modulating complement factor B expression
EP3845547A1 (en)2014-05-012021-07-07Ionis Pharmaceuticals, Inc.Galnac3 conjugated modified oligonucleotide for modulating angiopoietin-like 3 expression
EP4219718A2 (en)2014-05-012023-08-02Ionis Pharmaceuticals, Inc.Compositions and methods for modulating complement factor b expression
WO2015168618A2 (en)2014-05-012015-11-05Isis Pharmaceuticals, Inc.Compositions and methods for modulating growth hormone receptor expression
EP4534092A2 (en)2014-05-012025-04-09Ionis Pharmaceuticals, Inc.Compositions and methods for modulating pkk expression
WO2015168589A2 (en)2014-05-012015-11-05Isis Pharmaceuticals, Inc.Compositions and methods for modulating angiopoietin-like 3 expression
US10793862B2 (en)2014-05-012020-10-06Ionis Pharmaceuticals, Inc.Compositions and methods for modulating growth hormone receptor expression
US9382540B2 (en)2014-05-012016-07-05Isis Pharmaceuticals, IncCompositions and methods for modulating angiopoietin-like 3 expression
EP3608406A1 (en)2014-05-012020-02-12Ionis Pharmaceuticals, Inc.Compositions and methods for modulating complement factor b expression
US12410430B2 (en)2015-11-062025-09-09Ionis Pharmaceuticals, Inc.Modulating apolipoprotein (A) expression
US11319536B2 (en)2015-11-062022-05-03Ionis Pharmacueticals, Inc.Modulating apolipoprotein (a) expression
US10557137B2 (en)2015-11-062020-02-11Ionis Pharmaceuticals, Inc.Modulating apolipoprotein (a) expression
CN108779132B (en)*2016-03-132022-04-15波涛生命科学有限公司Compositions and methods for phosphoramidite and oligonucleotide synthesis
US11407775B2 (en)2016-03-132022-08-09Wave Life Sciences Ltd.Compositions and methods for phosphoramidite and oligonucleotide synthesis
AU2021286276B2 (en)*2016-03-132024-01-18Wave Life Sciences Ltd.Compositions and methods for phosphoramidite and oligonucleotide synthesis
CN108779132A (en)*2016-03-132018-11-09波涛生命科学有限公司 Compositions and methods for phosphoramidite and oligonucleotide synthesis
AU2017234150B2 (en)*2016-03-132021-09-16Wave Life Sciences Ltd.Compositions and methods for phosphoramidite and oligonucleotide synthesis
EP3430019A4 (en)*2016-03-132019-10-30Wave Life Sciences Ltd. COMPOSITIONS AND METHODS FOR SYNTHESIZING PHOSPHORAMIDITY AND OLIGONUCLEOTIDES
CN107556355A (en)*2016-06-302018-01-09上海兆维科技发展有限公司Double phosphoramidites of a kind of nucleosides and preparation method thereof
CN107556355B (en)*2016-06-302021-10-22上海兆维科技发展有限公司Nucleoside diphosphite amide and preparation method thereof
US11098077B2 (en)2016-07-052021-08-24Chinook Therapeutics, Inc.Locked nucleic acid cyclic dinucleotide compounds and uses thereof
US11400161B2 (en)2016-10-062022-08-02Ionis Pharmaceuticals, Inc.Method of conjugating oligomeric compounds
US11873316B2 (en)2016-11-232024-01-16Wave Life Sciences Ltd.Compositions and methods for phosphoramidite and oligonucleotide synthesis
CN119264195A (en)*2024-12-122025-01-07天津奥瑞芙生物医药有限公司 A method for purifying phosphoramidite monomer
CN119264195B (en)*2024-12-122025-04-08天津奥瑞芙生物医药有限公司Purification method of phosphoramidite monomer

Also Published As

Publication numberPublication date
WO2009143369A3 (en)2010-04-15

Similar Documents

PublicationPublication DateTitle
WO2009143369A2 (en)Method of preparing nucleosides and analogs thereof without using chromatography
US7569686B1 (en)Compounds and methods for synthesis of bicyclic nucleic acid analogs
CA2372085C (en)L-ribo-lna analogues
EP1161439B1 (en)Xylo-lna analogues
AU2007211080B2 (en)6-modified bicyclic nucleic acid analogs
Koshkin et al.LNA (Locked Nucleic Acids): Synthesis of the adenine, cytosine, guanine, 5-methylcytosine, thymine and uracil bicyclonucleoside monomers, oligomerisation, and unprecedented nucleic acid recognition
KR101995521B1 (en)Phosphoramidites for synthetic rna in the reverse direction
US20030082807A1 (en)Xylo-LNA analogues
US11400161B2 (en)Method of conjugating oligomeric compounds
IE74706B1 (en)A method of linking nucleosides with a siloxane bridge
EP2951191B1 (en)Method of preparing oligomeric compounds using modified coupling protocols
WO1997030064A1 (en)Hexitol containing oligonucleotides and their use in antisense strategies
US5998604A (en)Polynucleotide purification method
KR20180116312A (en) Compounds and methods for the synthesis of 5- (N-protected-tryptaminocarboxamido) -2&#39;-deoxy free phosphoramidates for incorporation into nucleic acid sequences
EP0611075A1 (en)Modified oligodeoxyribonucleotides, their preparation and their therapeutic use
TW202128704A (en)Method for producing bicyclic phosphoramidite
WO2004072234A2 (en)Protection of nucleosides
WO2011115817A1 (en)Methods of preparing 2&#39;-o-substituted purine nucleosides
KR20250122396A (en)An improved process for oligonucleotide synthesis
WO2014114326A1 (en)Method for the solid-phase based synthesis of phosphate-bridged nucleoside conjugates
AU2012201664A1 (en)6-modified bicyclic nucleic acid analogs
HK1184164B (en)Phosphoramidites for synthetic rna in the reverse direction
MXPA97001111A (en)Specific oligomeros of sequence union nucleic paraacidos and its use in antisent strategies

Legal Events

DateCodeTitleDescription
121Ep: the epo has been informed by wipo that ep was designated in this application

Ref document number:09751597

Country of ref document:EP

Kind code of ref document:A2

NENPNon-entry into the national phase

Ref country code:DE

122Ep: pct application non-entry in european phase

Ref document number:09751597

Country of ref document:EP

Kind code of ref document:A2


[8]ページ先頭

©2009-2025 Movatter.jp