Movatterモバイル変換


[0]ホーム

URL:


WO2009104145A2 - Orthogonal frequency division multiplexing timing synchronization - Google Patents

Orthogonal frequency division multiplexing timing synchronization
Download PDF

Info

Publication number
WO2009104145A2
WO2009104145A2PCT/IB2009/050669IB2009050669WWO2009104145A2WO 2009104145 A2WO2009104145 A2WO 2009104145A2IB 2009050669 WIB2009050669 WIB 2009050669WWO 2009104145 A2WO2009104145 A2WO 2009104145A2
Authority
WO
WIPO (PCT)
Prior art keywords
synchronization
ofdm
symbol
receiver
timing synchronization
Prior art date
Application number
PCT/IB2009/050669
Other languages
French (fr)
Other versions
WO2009104145A3 (en
Inventor
Yushan Li
Yan Li
Original Assignee
Nxp B.V.
Priority date (The priority date is an assumption and is not a legal conclusion. Google has not performed a legal analysis and makes no representation as to the accuracy of the date listed.)
Filing date
Publication date
Application filed by Nxp B.V.filedCriticalNxp B.V.
Publication of WO2009104145A2publicationCriticalpatent/WO2009104145A2/en
Publication of WO2009104145A3publicationCriticalpatent/WO2009104145A3/en

Links

Classifications

Definitions

Landscapes

Abstract

STiMi is a mobile multimedia broadcasting trade standard that is released by the Chinese State Administration of Radio Film and Television (SARFT). An efficient timing synchronization strategy for STiMi based on its special frame structure is disclosed. Such scheme consists of two stages, time slot detection and fine timing synchronization. The time slot detection has an important purpose of acquiring a coarse position for one time slot. The second stage is to finely adjust the FFT window based on the estimated time domain CIR. The effectiveness of the disclosed scheme is verified by simulation results. It is demonstrated that this approach can effectively handle channels with long delay spread as well as small pre-echoes.

Description

ORTHOGONAL FREQUENCY DIVISION MULTIPLEXING TIMING SYNCHRONIZATION
The present invention relates to orthogonal frequency division multiplexing, and in particular to timing synchronization techniques in which two synchronizing symbols are the same symbol.
There are three different variations of wireless local area networks (WLAN) defined by IEEE standards, e.g., (1) 802.1 Ia, (2) 802.1 Ib, and 802.1 Ig. The IEEE-802.1 Ia operates in the 5-GHz ISM band, while 802.1 Ib and 802.1 Ig operate in the 2.4-GHz ISM band. A variety of data rates and modulation techniques are used to encode data rates varying from lMb/s to 54Mb/s. All of these systems use time division duplexing, and the data is transmitted in variable-length frames. Each IEEE standard also specifies several test modes with fixed times and duty cycle rates.
An 802.1 Ib WLAN transmitter can use either binary phase shift keying (BPSK) or quadrature phase shift keying (QPSK). The modulation in the power envelope has an effect on the peak to average power ratio. Both 802.11a and 802.1 Ig WLAN transmitters can use orthogonal frequency division multiplexing (OFDM) that uses forty-eight separate data sub- carriers, and four pilot carriers. A correspondingly lower data rate is used on each carrier. The advantage of this system is that it can reduce errors introduced by multi-path propagation at high data rates. Systems based on OFDM have higher data rates and longer range compared with conventional single carrier systems. A variety of modulation schemes are used to convey the data, e.g., ranging from the lowest data rate with BPSK to 54Mb/s with 64-state quadrature amplitude modulation (64QAM).
The China Multimedia Mobile Broadcasting (CMMB) standard is based on the satellite and terrestrial interactive multiservice infrastructure (STiMi), CMMB STiMi is the technology developed in China and selected by the State Administration for Radio, Film and Television as the main platform for delivering mobile DTV services to mobile devices. The CMMB network uses both satellite and terrestrial signals to obtain effective indoor reception coverage in densely populated cities and sparsely populated rural areas. The commercial launch of mobile DTV in China is anticipated to coincide with the Beijing Olympic Games in the coming summer. CMB Satellite, the Hong Kong-based affiliate of EchoStar Communications Corp., is the primary provider of S-band satellite capacity for China's CMMB mobile video system. The STiMi mobile multimedia broadcasting trade standard is published by the
Chinese State Administration of Radio Film and Television (SARFT) GY/T 220.1-2006, Mobile Multimedia Broadcasting, Part 1 : Framing Structure, Channel Coding and Modulation for Broadcasting Channel. Such standard applies to broadcasting systems which transmit multimedia signals, such as television, radio and data information. The wireless STiMi physical layer uses Orthogonal Frequency Division Multiplexing (OFDM), and as such is capable of supporting high rate transmissions.
Fig. 1 represents a time slot (TS) structure 100 used by STiMi (e.g., 8 MHz mode). A transmit ID (TXID) 101 precedes a reference time 102 that starts with two identical sync symbols 104 and 106. OFDM symbols 0-52, reference numerals 110-162, follow in their respective time slots. Such frame then repeats. The two synchronization symbols 104 and 106 are the same and inserted in every time slot. Here, the sampling rate used is 10 MHz. The FFT size for the synchronization symbols 104 and 106, and the OFDM symbols 110-162, are set to 2048-chips and 4096-chips, respectively. The particular synchronization symbol used is a preselected pseudo-noise (PN) sequence in the frequency domain. The cyclic prefix (CP) length for each OFDM symbol 110-162 is 512-chips. A windowing cosine shape time waveform is inserted in between two consecutive symbols as a guard interval (GI), e.g., 2.4 microseconds, to reduce adjacent sub-carrier interference and make the transmitted spectrum more compact. There is no cyclic prefix, and no guard interval between synchronization symbols 104 and 106. Each of synchronization symbols 104 and 106 are 204.8 microseconds long. The initial step in any OFDM synchronization process is acquisition, which includes coarse timing synchronization and frequency synchronization. Timing synchronization estimates the present position in the cyclic prefix using the samples then being received, and then a coarse estimate of the reference time 102 starting position cyclic prefix can be deduced. Such information is used to remove redundant information so a Fast Fourier transform (FFT) can proceed. There are a variety of conventional time synchronization technologies. A coarse timing synchronization with a non-data aided approach depends on the repetition/correlation structure of the cyclic prefix in OFDM symbols. The position of the peak in the correlation output is used to indicate where in time the starting point for an OFDM symbol should be. But, the special time slot structure of STiMi and its broadcasting environment makes depending on finding the correlation peak positions not a very reliable way to synchronize.
Conventional slot timing and synchronization devices, or frame detection and timing synchronization units estimate the position of the peak in a correlator output to indirectly identify an FFT window starting point. Long and strong echoes in the channel impulse response cause the timing metric to reach a plateau, and is problematic in multi-path channels, especially for channels with long delay spreads. There is a relatively high probability that the peak value appears in between the plateau edges. Prior art algorithms perform badly, especially in channels with long and strong echoes. Information from the next symbol will be involved into the FFT window, and this may cause ISI and ICI as well. A poor estimate will further adversely affect successive operations like tracking.
A two-stage timing synchronization technique for an orthogonal frequency division multiplexing (OFDM) receiver includes detecting the arrival of a time slot, and then fine tuning synchronization to determine a position of a first path in a time domain channel impulse response (CIR). The timing synchronization can be obtained in OFDM channels with long spread, and small pre-echoes, and does not depend on multi-window averaging.
In an embodiment, the two-stage timing synchronization technique provides timing synchronization for the special case of STiMi OFDM transmissions. The above summary of the present invention is not intended to represent each disclosed embodiment, or every aspect, of the present invention. Other aspects and example embodiments are provided in the figures and the detailed description that follow.
Fig. 1 is a timing diagram of an OFDM transmission with two identical synchronization symbols used in embodiments of the present invention;
Fig. 2 is a functional block diagram of one type of OFDM receiver that incorporates the special two step timing synchronization of the invention; Fig. 3 is a functional block diagram of another type of OFDM receiver that incorporates the special two step timing synchronization of the invention; Fig. 4 is a timing diagram of an OFDM transmission subjected to the special two step timing synchronization of the invention; and
Fig. 5 is a flowchart diagram of a two-step timing synchronization method in accordance with an embodiment of the invention. In the following detailed description of the preferred embodiments, reference is made to the accompanying drawings, which form a part hereof, and within which are shown by way of illustration specific embodiments by which the invention may be practiced. It is to be understood that other embodiments may be utilized and structural changes may be made without departing from the scope of the invention. Orthogonal Frequency-Division Multiplexing (OFDM) is a digital multi-carrier modulation scheme, which uses a large number of closely-spaced orthogonal sub-carriers to carry data. These sub-carriers can overlap in frequency, but do not interfere with each other. The sub-carriers can be efficiently separated using a Fast Fourier Transform (FFT) algorithm. Each sub-carrier is modulated with, e.g., quadrature amplitude modulation, at a low symbol rate, maintaining data rates similar to conventional single-carrier modulation schemes in the same bandwidth.
The OFDM signal can be generated by taking the Inverse Discrete Fourier Transform (IDFT ) of QAM or PSK symbols. In the IEEE 802.1 Ia specification, each OFDM symbol includes forty-eight data carriers, four pilot carriers and twelve null carriers. The IDFT size is 64-point, and can be implemented using an efficient IFFT algorithm. The output of IFFT becomes one OFDM symbol, with a duration of Ts (3.2ms). Each OFDM symbol is cyclically extended with sixteen samples of duration Tg (0.8 ms), and are removed in the receiver. The cyclic prefix length chosen is longer than the channel impulse response, e.g., to control inter symbol interference (ISI). The cyclic prefix in an OFDM symbol is a repeat of the end of the symbol at the beginning. The length of the cyclic prefix is often equal to the guard interval. The purpose of including a cyclic prefix is to allow multipath to settle before the main data arrives at the receiver. The receiver decodes the signals after they have settled and the frequencies become orthogonal to one another. Fig. 2 represents an OFDM receiver embodiment of the invention used to receive and demodulate signals constructed as shown in Fig. 1, and is referred to herein by the general reference numeral 200. The OFDM receiver 200 includes a radio frequency (RF) antenna 202, an automatic gain control (AGC) mixer 204, a superheterodyne mixer 206, a sampler 208, a coarse offset mixer 210, a slot timing and synchronization device 212, a Fast Fourier Transform (FFT) device 214, a frequency offset estimation unit 216, a voltage controlled oscillator 218 for fine frequency offset control, a parallel-to-serial converter and matched filtering detection unit 220, and an error recovery unit 222.
Fig. 3 represents another OFDM receiver 300, in an embodiment of the invention. OFDM receiver 300 includes an antenna 302, a radio frequency (RF) receiver 304, a frame detection and timing synchronization unit 306, a cyclic prefix removal unit 308, a Fast Fourier Transform (FFT) device 310, a channel equalizer 312, a channel estimator 314, and a decoding and de-interleaving stage 316.
The frame detection and timing synchronization unit 306 includes a first stage for detecting the arrival of a time slot, and a second stage for fine timing synchronization to determine a position of a first path in a time domain channel impulse response (CIR). This provides timing synchronization which can be obtained in OFDM channels with long spread, and small pre-echoes, and does not depend on multi-window averaging.
At the receiver 200 or 300, the received signal in the slot timing and synchronization device 212, or frame detection and timing synchronization unit 306, is correlated with itself with a delay of one short symbol, given by,
N A(n) = ∑r(k + n)r*(k + n + L) k=0
Where r(n) is the received sequence, A(n) is the correlation output and L is the length of the short symbol. The incoming frame at the receiver can be detected by comparing the magnitude of an auto -correlation result with some threshold. It is advisable to have a dynamic threshold based on incoming signal power. The initial 2-3 short symbols are assumed to be non- reliable, as Automatic Gain Control (AGC) logic requires some time to finalize the gain setting.
The OFDM symbol boundary can be detected using auto-correlation and cross correlation of a short preamble. The value of TV should be in the range of 16-144, and a multiple of 16. For any particular value of N, plotting the auto -correlation magnitude values, produces a curve. The curve rises to some value, remains flat for about N-CP samples duration and then falls down. The index of the (N-CP+1)Λ sample is detected, when counted from the start of the preamble. The auto-correlation magnitude values are passed through a moving average filter to smooth the curve. For example, the moving average filter is defined by ,
1 ' Y(n) = V A(n + k) + A{n)
Where A(n) is the auto-correlation magnitude, and / is the size of the moving average filter, and it is chosen as 3. The falling edge of the curve corresponds to the (N-CP)th sample. The falling edge can be detected by observing the slope of the curve. However, at low SNRs and high delay spread situations, exact detection of such an edge is difficult. The edge can be localized with the help of cross correlation of the received sequence. Cross correlation of the received sequence with the local copy of the short symbol, will provide peaks at the end of each short symbol. The frequency offset of the local oscillator can significantly disturb the magnitude of these cross correlation peaks. Instead of averaging the cross correlation for one short symbol, an average over more short symbols is used to detect the peak.
The technique described herein is different from, and improves over the coarse timing synchronization algorithm proposed by T. Schmidl and D. Cox, "Robust frequency and timing synchronization for OFDM", IEEE Trans, on Comm., Vol. 45, No. 12, Dec. 1997, pp. 1613- 1621. Such describes a rapid synchronization method for an orthogonal frequency-division multiplexing (OFDM) system that works with either a continuous transmission, or a burst operation over a frequency-selective channel. The presence of a signal is detected on receipt of just one time slot of two symbols. The start of the frame, and the beginning of the symbol are found, and carrier frequency offsets of many subchannels spacings is corrected. The algorithms operate near the Cramer-Rao lower bound for the variance of the frequency offset estimate, and the inherent averaging over many subcarriers allows acquisition at very low signal-to-noise ratios (SNRs). Referring to Fig. 4, in a two-stage timing synchronization embodiment of the invention, a first stage detects the time slot arrival, and a second stage uses fine timing synchronization to determine the position of a first path in a time domain channel impulse response (CIR). Such technique works well in channels with long spread, and small pre-echoes, and has been verified by computer simulations. It further does not require multi-window averaging, and has a small latency. STiMi uses a transmission mode which is a combination of a continuous mode and a burst mode, as shown in Fig. 1. The TxID 101 and the SYN 104 and 106 pieces interrupt an otherwise regular continuous structure. In other OFDM situations, the OFDM cyclic prefix can be used for correlation, and multiple windows averaging can improve performance. But multiple window averaging is not practical in STiMi applications.
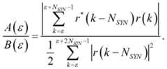
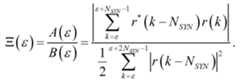
So, instead of using the cyclic prefix in the OFDM symbols, the correlation between the first and second synchronization symbol 104 and 106 is calculated, the symbols should be identical. The correlator window in this case is set to 2048, e.g., the length of one such synchronization symbol. The received time domain discrete time signal is represented herein by r(k) , and the normalized correlation is,
Figure imgf000008_0001
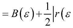
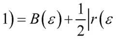
Such can be implemented with an iterative formula, A(ε + \) = A(ε) + r (ε)r(ε + Nsm)-r (ε -Nsm)r(ε) ; and (2)
B(ε + l) + Nsm)\2 -Nsmf . (3)
Figure imgf000008_0002
Figure imgf000008_0003
In contrast to conventional methods that identify the peak value in the correlation output, this technique focuses on a position kB , in which the correlation output crosses a preset threshold, TH . A normalized correlation output, Ξ(<?) , reaches its maxima at position A, while position B is where Ξ(ε) > TH , and is of more interest.
The FFT is then applied to the data block,
Figure imgf000008_0004
-NSYN + l),...,r(£B )] , which is a cyclic replica of the received synchronization symbol. The first synchronization symbol can be considered to be a special cyclic prefix to the second synchronization symbol. Position kB is far
Figure imgf000009_0001
Figure imgf000009_0002
As evidenced in Table-I, the threshold in the range 0.2-0.45 provides 100% correct detection. If the threshold is set to be too large, i.e. 0.5, the detector may fail to detect the arrival of a time slot since the correlation output will not exceed the threshold.
TABLE-II Correct Detection Probability of TS, SNR = 0 dB, Threshold = 0.3
Figure imgf000009_0003
The selection of kB results in a pre-advancement of the FFT window. It can be concluded, from the example in Table-II, that the detector can correctly report the arrival of the synchronization symbol, and it is not sensitive to the CFO.
The FFT window is pre-advanced approximately 400-1475 samples in different scenarios. Here, τε is used to reflect the amount of this pre-advancement. From Fig. 1 it is clear that such processing will not introduce any inter symbol interference (ISI). Since the synchronization symbol is known to the receiver, it can be used for estimating the channel transfer function (CTF) in the frequency domain. An estimate of the effective CIR (the CIR seen by the receiver) can then be obtained by applying an IFFT to the CTF. The CIR is therefore effectively offset by the same amount as the FFT window offset,
H(l;τε) . (4)
Figure imgf000010_0001
To finely adjust the FFT window, the channel power delay profile is estimated based on the estimated CIR. Then a search for the peak in the channel power delay profile and the peak value and the peak position are identified as well. The first path which value is -10 dB below the peak value from the beginning position to the peak position is searched. The position of the first path is the timing offset that should be adjusted. Simulation results demonstrated the good performance of the fine timing synchronization.
The techniques described herein provide a timing synchronization solution to STiMi or other OFDM systems with two identical synchronization symbols in the preamble. Conventional coarse timing synchronization is not used, since it fails to deliver satisfactory results in channels with long delay spreads. Instead of using the position of peak in the correlator output, the crossing of the correlation output over a predefined threshold is used as an indication. The associated position is used to supervise the FFT window positioning for the successive fine timing synchronization.
Fig. 5 represents a two-stage timing synchronization method of the invention, and is referred to herein by the general reference numeral 500. In a step 502, a first stage detects the time slot arrival. In a second step 504, a second stage uses fine timing synchronization to determine the position of a first path in a time domain channel impulse response (CIR). While the present invention has been described with reference to several particular example embodiments, those skilled in the art will recognize that many changes may be made thereto without departing from the spirit and scope of the present invention, which is set forth in the following claims.

Claims

What is claimed is:
1. An orthogonal frequency division multiplexing (OFDM) receiver, comprising: a radio frequency (RF) receiver for receiving wireless OFDM transmissions that include a transmitter identification (TxID) symbol immediately followed by two identical synchronization symbols; a frame detection and timing synchronization circuit in which a correlation between said two identical synchronization symbols provided by the RF receiver is calculated to establish OFDM symbol synchronization and eventual decoding for output; wherein, the OFDM cyclic prefix cannot be used for multiple windows averaging for correlation because the TxID and SYN parts interrupt an otherwise regular continuous structure of the transmission mode.
2. The OFDM receiver of Claim 1, further comprising: an implementation where received time domain discrete time signal is r (A:) and a
normalized correlation is calculated as, Ξyε) =
Figure imgf000011_0001
3. The OFDM receiver of Claim 2, further comprising: an iterative process is included that can be represented by, A(ε + l) = A(ε) + r (ε)r(ε + NSYN)-r (ε - NSYN)r(ε) , and
B(ε + + Nsmf -Nsmf .
Figure imgf000011_0002
Figure imgf000011_0003
4. The OFDM receiver of Claim 2, further comprising: a device to find a synchronization position kB in which the correlation output crosses a preset threshold, TH , as represented by, Ξ(s) > TH .
5. The OFDM receiver of Claim 2, further comprising: a Fast Fourier Transform (FFT) unit for receiving, from the frame detection and timing synchronization circuit, a data block \ r{kB -Nsm + l),...,r(£5 )l which is a cyclic replica of the received synchronization symbol, wherein, a first synchronization symbol is considered to be a special cyclic prefix to a second synchronization symbol.
6. The OFDM receiver of Claim 1, wherein: a synchronization position kB is found that is substantially far away from a desired timing point kΛ , and a pre-advancement ensures that data in each block will be free of inter symbol interference (ISI).
7. The OFDM receiver of Claim 5, wherein: a fractional carrier frequency offset (CFO) is estimated as a by-product of a time slot (TS) detection and compensated before being passed to the FFT unit.
8. A two-stage timing synchronization device for an orthogonal frequency division multiplexing (OFDM) receiver, comprising a first stage for detecting the arrival of a time slot; a second stage for fine timing synchronization to determine a position of a first path in a time domain channel impulse response (CIR); wherein timing synchronization can be obtained in OFDM channels with long spread, and small pre-echoes, and does not depend on multi-window averaging.
9. The device of Claim 8, further comprising: a frame detection and timing synchronization circuit in which a correlation between said two identical synchronization symbols provided by the RF receiver is calculated to establish OFDM symbol synchronization and eventual decoding for output.
10. An orthogonal frequency division multiplexing (OFDM) receiving method, comprising: receiving wireless OFDM transmissions that include a transmitter identification (TxID) symbol immediately followed by two identical synchronization symbols; calculating a correlation between said two identical synchronization symbols to establish OFDM symbol synchronization and eventual decoding for output; wherein, the OFDM cyclic prefix is not used for multiple windows averaging for correlation.
11. The OFDM receiving method of Claim 10, further comprising: calculating a normalized correlation where received time domain discrete time
signal is r (k) , as represented by,
Figure imgf000013_0001
12. The OFDM receiving method of Claim 11, further comprising: using an iterative process is included that can be represented by, A(ε + l) = A(ε) + r* (ε)r(ε + Nsw)- r* (ε - Nsw)r(ε) , and
B(ε + \) + Nsm)\2 -Nsmf .
Figure imgf000013_0002
Figure imgf000013_0003
13. The OFDM receiving method of Claim 10, further comprising: finding a synchronization position kB in which the correlation output crosses a preset threshold, TH , as represented by, Ξ(^) > TH .
14. The OFDM receiving method of Claim 10, further comprising: using a Fast Fourier Transform (FFT) on a data block -NSYN +l),...,r(£B )] which is a cyclic replica of the received synchronization symbol, wherein, a first synchronization symbol is considered to be a special cyclic prefix to a second synchronization symbol.
15. The OFDM receiving method of Claim 10, further comprising: finding a synchronization position kB that is substantially far away from a desired timing point kA , and a pre-advancement ensures that data in each block will be free of inter symbol interference (ISI).
16. The OFDM receiving method of Claim 10, further comprising: estimating a fractional carrier frequency offset (CFO) as a by-product of a time slot (TS) detection and compensated before being passed to the FFT unit.
17. The OFDM receiving method of Claim 10, further comprising: employing a two-stage timing synchronization method for an orthogonal frequency division multiplexing (OFDM) receiver, including detecting the arrival of a time slot, and fine timing synchronization to determine a position of a first path in a time domain channel impulse response (CIR); wherein timing synchronization can be obtained in OFDM channels with long spread, and small pre-echoes, and does not depend on multi-window averaging.
18. The method of Claim 17, further comprising: correlating between said two identical synchronization symbols provided by an RF receiver to establish OFDM symbol synchronization and eventual decoding for output.
19. The OFDM receiving method of Claim 10, further comprising: finding a synchronization position kB in which the correlation output crosses a preset threshold, TH , as represented by, Ξ(^) > TH ; using a Fast Fourier Transform (FFT) on a data block -Nsm +l),...,r(£B )] which is a cyclic replica of the received synchronization symbol, wherein, a first synchronization symbol is considered to be a special cyclic prefix to a second synchronization symbol; and finding a synchronization position kB that is substantially far away from a desired timing point kΛ , and a pre-advancement ensures that data in each block will be free of inter symbol interference (ISI).
20. The OFDM receiving method of Claim 19, further comprising: estimating a fractional carrier frequency offset (CFO) as a by-product of a time slot (TS) detection and compensated before being passed to the FFT unit; employing a two-stage timing synchronization method for an orthogonal frequency division multiplexing (OFDM) receiver, including detecting the arrival of a time slot, and fine timing synchronization to determine a position of a first path in a time domain channel impulse response (CIR); and correlating between said two identical synchronization symbols provided by an RF receiver to establish OFDM symbol synchronization and eventual decoding for output. wherein timing synchronization can be obtained in OFDM channels with long spread, and small pre-echoes, and does not depend on multi-window averaging.
PCT/IB2009/0506692008-02-192009-02-18Orthogonal frequency division multiplexing timing synchronizationWO2009104145A2 (en)

Applications Claiming Priority (2)

Application NumberPriority DateFiling DateTitle
US2989908P2008-02-192008-02-19
US61/029,8992008-02-19

Publications (2)

Publication NumberPublication Date
WO2009104145A2true WO2009104145A2 (en)2009-08-27
WO2009104145A3 WO2009104145A3 (en)2009-11-19

Family

ID=40751219

Family Applications (1)

Application NumberTitlePriority DateFiling Date
PCT/IB2009/050669WO2009104145A2 (en)2008-02-192009-02-18Orthogonal frequency division multiplexing timing synchronization

Country Status (1)

CountryLink
WO (1)WO2009104145A2 (en)

Cited By (3)

* Cited by examiner, † Cited by third party
Publication numberPriority datePublication dateAssigneeTitle
WO2017096506A1 (en)2015-12-072017-06-15Telefonaktiebolaget Lm Ericsson (Publ)Wireless communication device and method therein for time synchronization in a wireless communication network
CN111277524A (en)*2020-01-202020-06-12广州全盛威信息技术有限公司Adaptive frequency offset compensation method and device applied to ISM frequency band
CN118869423A (en)*2024-09-252024-10-29华诺星空技术股份有限公司 Unmanned aerial vehicle signal blind timing synchronization method, device, storage medium and product

Family Cites Families (1)

* Cited by examiner, † Cited by third party
Publication numberPriority datePublication dateAssigneeTitle
US20050063298A1 (en)*2003-09-022005-03-24Qualcomm IncorporatedSynchronization in a broadcast OFDM system using time division multiplexed pilots

Cited By (6)

* Cited by examiner, † Cited by third party
Publication numberPriority datePublication dateAssigneeTitle
WO2017096506A1 (en)2015-12-072017-06-15Telefonaktiebolaget Lm Ericsson (Publ)Wireless communication device and method therein for time synchronization in a wireless communication network
CN108370356A (en)*2015-12-072018-08-03瑞典爱立信有限公司 Wireless communication device for time synchronization in a wireless communication network and method therein
EP3387754A4 (en)*2015-12-072019-08-21Telefonaktiebolaget LM Ericsson (publ)Wireless communication device and method therein for time synchronization in a wireless communication network
CN108370356B (en)*2015-12-072021-03-26瑞典爱立信有限公司 Wireless communication device and method therefor for time synchronization in a wireless communication network
CN111277524A (en)*2020-01-202020-06-12广州全盛威信息技术有限公司Adaptive frequency offset compensation method and device applied to ISM frequency band
CN118869423A (en)*2024-09-252024-10-29华诺星空技术股份有限公司 Unmanned aerial vehicle signal blind timing synchronization method, device, storage medium and product

Also Published As

Publication numberPublication date
WO2009104145A3 (en)2009-11-19

Similar Documents

PublicationPublication DateTitle
US7236554B2 (en)Timing estimation in an OFDM receiver
US8433005B2 (en)Frame synchronization and initial symbol timing acquisition system and method
KR101163898B1 (en)Methods and apparatus for synchronization and detection in wireless communication systems
CN1802832B (en)Faster fine timing operation in multi-carrier systems
US7627059B2 (en)Method of robust timing detection and carrier frequency offset estimation for OFDM systems
US20100157833A1 (en)Methods and systems for improved timing acquisition for varying channel conditions
US8576869B2 (en)Simultaneous cell group and cyclic prefix detection method, apparatus and system
US8724447B2 (en)Timing estimation in an OFDM receiver
EP1895780A2 (en)Frame synchronization for a video receiver
WO2009045245A1 (en)Time-frequency synchronization and frame number detection for dmb-t systems
Zou et al.An integrated OFDM receiver for high-speed mobile data communications
WO2009104145A2 (en)Orthogonal frequency division multiplexing timing synchronization
CN101674280B (en)When detecting OFDM symbol partially and the method for frequency deviation
EP2245814B1 (en)Frame timing and carrier frequency recovery for frequency selective signals
Al-Dweik et al.Joint symbol timing and frequency offset estimation for wireless OFDM systems
WO2006107135A1 (en)Method for inserting postfix into ofdma symbol and method for constructing frame of portable internet using the same
Rathkanthiwar et al.Methods of frequency offset estimation in OFDM based system
Wang et al.Novel OFDM Symbol Timing Recovery Method Based on ICS Correlation
ZhengRobust frame synchronization scheme for the Chinese TDS-OFDM-based DTTB systems
Min et al.Coarse frequency offset estimation for digital audio broadcasting
Wang et al.A Novel Time and Frequency Synchronization Estimator for CMMB Systems
HK1099442A (en)Timing estimation in an ofdm receiver

Legal Events

DateCodeTitleDescription
121Ep: the epo has been informed by wipo that ep was designated in this application

Ref document number:09712715

Country of ref document:EP

Kind code of ref document:A2

NENPNon-entry into the national phase

Ref country code:DE

122Ep: pct application non-entry in european phase

Ref document number:09712715

Country of ref document:EP

Kind code of ref document:A2


[8]ページ先頭

©2009-2025 Movatter.jp