Movatterモバイル変換


[0]ホーム

URL:


WO2008106732A1 - Thermoelectric material - Google Patents

Thermoelectric material
Download PDF

Info

Publication number
WO2008106732A1
WO2008106732A1PCT/AU2008/000300AU2008000300WWO2008106732A1WO 2008106732 A1WO2008106732 A1WO 2008106732A1AU 2008000300 WAU2008000300 WAU 2008000300WWO 2008106732 A1WO2008106732 A1WO 2008106732A1
Authority
WO
WIPO (PCT)
Prior art keywords
group
thermoelectric material
nanoparticles
semiconducting
molecules
Prior art date
Application number
PCT/AU2008/000300
Other languages
French (fr)
Inventor
Karl-Heinz Muller
Burkhard Raguse
Original Assignee
Commonwealth Scientifc And Industrial Research Organisation
Priority date (The priority date is an assumption and is not a legal conclusion. Google has not performed a legal analysis and makes no representation as to the accuracy of the date listed.)
Filing date
Publication date
Priority claimed from AU2007901123Aexternal-prioritypatent/AU2007901123A0/en
Application filed by Commonwealth Scientifc And Industrial Research OrganisationfiledCriticalCommonwealth Scientifc And Industrial Research Organisation
Publication of WO2008106732A1publicationCriticalpatent/WO2008106732A1/en

Links

Classifications

Definitions

Landscapes

Abstract

The present invention relates broadly to a matrix of semi-conducting nanoparticles (1) whose surfaces have been functionalised by polar molecules (3) and wherein the semi-conductor nanoparticles are further linked to each other by bridging molecules (2). It has been found that high efficiency thermoelectric materials may be made that have ZT values exceeding those previously obtained by those skilled in the art.

Description

THERMOELECTRIC MATERIAL
FIELD OF THE INVENTION
The present invention relates to thermoelectric materials that may be used for the interconversioπ of thermal energy to electrical energy and, in reverse, to for example perform refrigeration.
BACKGROUND OF THE INVENTION
During the last 50 years a great deal of research effort has gone into the development of thermoelectric materials with high efficiency and their application in devices to convert thermal energy into electrical energy and in reverse to perform refrigeration (HJ. Goldsmid in Thermoelectric Refrigeration (Temple Press, London, 1964); G. Chen et al, International Materials Reviews 4&, 45, (2003)}. The efficiency η of a thermoelectric material is described by the relationship given in Equation 1 (R.R Heikes and R.W. lire, Thermoelectricity: Science and Engineering (Interscience, New York, 1961).
Figure imgf000002_0001
In Equation 1 , /Jc is the Carnot efficiency which is defined as ηc - 1 - Tc /TH where Tc and TH are the cold and hot reservoir temperatures respectively, with average temperature T, and ZT is the important thermoelectric figure of merit which is defined in Equation 2.
Figure imgf000002_0002
In Equation 2 the quantity S is the Seebeck coefficient (thermopower), G the electrical conductance, K,, the electronic thermal conductance and Kph the phononic thermal conductance. It can be seen from Equation 1 , the larger the figure of merit ZT , the more efficient a thermoelectric material becomes. Thus, a good thermoelectric material must have a large ZT which can be achieved with a high Seebeck coefficient S1 a high electrical conductance G and low thermal conductances Ke and K^.
In the late 1950's bismuth telluride alloys were developed that showed ZT values around 0.5. Between the years of 1960 to 2000 the field of thermoelectric research was quite stagnant with ZT of approximately 1 being developed, and efficiencies of about 10% of the Carnot limit were achieved in some commercial devices using bismuth telluride based alloys. In the early 1990's Hicks and Dresselhaus (Phys. Rev. BVT, 12727 (1993) and Phys. Rev. B47, R16631 (1993)) pointed out in theoretical papers that reducing the dimensionality of a semiconducting material (i.e. in the form of superlattices and nanowires) can enhance the electronic density of states near the Fermi-level which is predicted to enhance ZT . In these low dimensional materials, the increase in phonon surface-scattering decreases the phonoπic thermal conductance which further enhances ZT. These calculations were refined later by Sun et al. (Appl. Phys. Lett. 74, 4005 <1999)) and it was predicted that Bi nanowires could reach a ZT of 1.5 at a wire thickness of 10 nm and that the ZT increases further as the wire gets thinner. Lin et al. (Phys. Rev. B 68, 075304 (2003)) predicted ZT values of about 4 for 5-nm-diameter PbSe/PbS and ZT values of 6 for PbTe/PbSe superlattice nanowires at 77 K.
The theoretical work on nanostructured materials inspired experimentalist to search for nanostructured materials with high ZT values. Thus Harman et al. (Science 297, 2229 (2002)) found ZT - 1.6 in a PbSeTe based quantum dot superlattice, Venkatasubramanian et al. {Nature 413, 597 (2001)) found ZT -2.4 in a p-type Bi2Te3/Sb2Te3 superlattice, and Hsu βt al. (Science 303, 818 (2004)) reported a ZT -2.2 in synthesized alloys containing nanometer sized metallic grains embedded in a semiconducting matrix. Most of these ZT enhancements were attributed to lowering the phononic thermal conductance K,*.
Although the above materials show a significant improvement in ZT compared to bismuth telluride alloys, for industrial purposes higher ZT are desirable in order to further improve the efficiency of thermoelectric devices.
SUMMARY OF THE INVENTION
The present invention provides a thermoelectric material for inter-converting thermal and electrical energy, said thermoelectric material comprising a plurality of nanoparticles wherein each of said nanoparticles is linked to at least one other of said nanoparticles by one or more bridging molecules and wherein each of said nanoparticles comprises a semiconducting material and the surface of each of said nanoparticles is functioπalised with one or more polar molecules.
tn its preferred form it has been determined that by providing a matrix of semiconducting nanoparticles whose surfaces have been functionalized by polar molecules and wherein the semiconductor nanoparticles are further linked to each other via bridging molecules, high efficiency thermoelectric materials may be made that have ZT values exceeding those previously obtained by those skilled in the art.
BRIEF DESCRIPTION OF THE FIGURES
FIG.1 schematically shows a two-dimensional cross section of a three-dimensional thermoelectric material according to an embodiment of the present.
FIG. 2 schematic shows the electronic energy levels of an N = 20 trans-polyacetylene molecule sandwiched between two n-doped Si nanoparticles. FIG 3. is a schematic view of a portion of the hybrid material composed of n-doped semiconductor nanoparticles linked by organic bridging molecules.
FIG. 4 is a schematic view of a single organic bridging molecule in a molecular junction consisting of a chain of N carbon atoms and close-by polar surface molecules.
FIG. 5 is the calculated phononic thermal conductance K^ versus the stretching force coupling constant Kc of a single trans-polyacetylene (TPA) molecule sandwiched between two (100) PbTe surfaces where the ends of the molecule are connected to Pb surface atoms.
FIG. 6 is the calculated figure of merit ZT of the hybrid material which consists of n-doped PbTe nanoparticles linked byjrans-polyacetylene (TPA) bridging molecules versus Ihe Ferml-energy ε relative to the PbTe conduction band edge ε . The coupling parameter /c is varied from -1eV to -5eV while K^ ,. is kept constant at κph i = 4.6x10"" w/K .
FIG. 7 is the calculated figure of merit ZT and the power factor S^1 σ^ of the hybrid material which consists of n-doped PbTe nanoparticles linked by trans-polyacetylene (TPA) bridging molecules versus the Fermi-level εt relative to the PbTe conduction band θάgeεa . Values for the coupling parameters ϊcand Kc are taken from the literature.
DETAILED DESCRIPTION OF THE INVEMTION
Much progress has been made in an area called "molecular electronics" where recently a better understanding has been gained of the thermoelectric properties of single molecules sandwiched between macroscopic electrodes and nanoparticles. [1 ,2] In this specification the inventors disclose a novel hybrid material comprising doped semiconductor nanoparticles connected by molecular junctions where they demonstrate, using a model calculation, that a high ZT value can be achieved by exploiting the thermoelectric properties of single organic molecules.
The present invention provides a thermoelectric material for inter-converting thermal and electrical energy, said thermoelectric material comprising a plurality of nanoparticles wherein each of said nanoparticles is linked to at least one other of said nanoparticles by one or more bridging molecules and wherein each of said nanopartictes comprises a semiconducting material and the surface of each of said nanoparticles is functionalised with one or more polar molecules.
As shown in Figure 1 the three-dimensional thermoelectric material includes the semiconducting nanoparticles 1 , the bridging molecules 2 and the polar molecules 3. Although only a single bridging molecule is shown to link two nanoparticles in the schematic shown in FIG. 1, it will be appreciated that a plurality of bridging molecules may be used to link any two πanoparticles. Furthermore a single bridging molecule of suitable structure may be used to link two or more nanoparticles.
Preferably, the plurality of nanoparticles linked by bridging molecules forms a three-dimensional network.
The term "nanoparticle" as used herein comprises a particle that has at least 1 dimension that is less than 1 micron and larger than 1 πm. More preferably the nanoparticle has at least one dimension that is between 100 nm and 10 nm in length. The nanoparticle may have a spherical shape, or may be in the form of oblongs, rods, hollow spheres or parts of hollow spheres, triangles, prisms, cubes or an irregular shape. The nanoparticle may be in the form of a core-shell nanoparticle wherein one material forms a core that is coated by a shell of another material.
Whilst not wishing to be bound by scientific theory, it is preferred that the nanoparticles are sufficiently large such that the electronic energy level spacing as well as the Coulomb charging energy are small compared to kT, where k is the Boltzmann constant and T is the temperature.
Preferred semiconductor materials include but are not limited to single substance materials such as silicon, germanium; mixed material semiconductors such as H-V semiconductors such as metal sulfides, CdS, CsSe, CdTe, Bi2S3, Bi2Te3, PbS, PbTe, Sb2S3, ZnS1 WS2; UI-IV semiconductors such as GaAs, InP, InAs, GaP; metal oxide materials, mixed metal oxides, and semiconducting polymers.
More particularly, preferred semiconductor materials are single substance materials such as silicon, germanium.
It is preferred that the semiconductor material is a doped semiconductor material. The material used may be doped by commonly available dopants and doping methods known to those skilled in the art, in order to render the semiconductor highly conductive. Doping may render the semiconducting material to be either n-doped or p-doped.
It is further preferred that the semiconducting material is n-doped silicon or p-doped silicon.
The surface of the semiconducting nanoparticles are further functionalised, at least in part, by one or more polar molecules that first, function to control the band-bending at the surface of the semiconductor nanoparticle, and, secondly, function to produce an electrostatic potential along the bridging molecule in order to cause the energy levels of the bridging molecules to shift upwards such that some of the upper HOMO levels shift above the conduction band edge of the semiconductor nanoparticles. Band-bending is the energy difference between the semiconductor conduction band at the surface and in the bulk. A non-limiting example of a method to control the band-bending is taught by R. Cohen et al. (Chem. Phys. Lett.279, 270 (1997» who have shown that polar molecules assembled on an n-doped (100) silicon surface are able to modulate the band-bending.
The modulation and the shifting of the HOMO levels of the bridging molecules is shown schematically in FIG. 2 (a) and 2(b). In (a) no polar molecules are present on the surface of the Si nanoparticles and the Fermi-level is assumed to be located in the middle of the HOMO-LUMO gap and in (b) polar molecules on the surface of the Si nanoparticles shift the electronic levels of the bridging molecule upwards (arrow) such that some HOMO resonances are above the Si conduction band edge. The amount of level shifting depends on the strength of the dipσle moment of the polar molecule as well as on the actual structure of the surface/molecule interface between the semiconductor and the polar molecules. In the case of p-doped semiconducting nanoparticles, the polar molecules control the band-bending and shift some of the lower LUMO levels below the valence band edge of the nanoparticles. Other non-limiting examples of methods to control the band-bending of semiconductors are taught by S. Bastide et al. (J. Phys. Chem. B 101 , 2678 (1997)), R. Cohen et al. {Adv. Mat. 12, 33 (2000)), A. Vilan et ai. (Nature 404, 166 (2000)), R. Cohen βt al. (J. Am. Chem. Soc. 121, 10545 (1999)), A. Vilan et al. (Trends in Biotechnology 20, 22 (2002)). Particular reference is made to Figure 1 of A. Vilan et al. {Trends in Biotechnology 20, 22 (2002)), which describes the basic concepts of modulating the band-bending of semiconductors by functionaJizing the surfaces using polar molecules, that is molecules that possess suitable dipole moments.
It is preferred that the one or more polar molecules have the structure X-Y wherein the group X is a functional group used to attach the polar molecule to the surface of the nanoparticle and the group Y is a polar group comprising an electron donating or electron withdrawing or a positively charged or a negatively charged moiety. The exact nature of the polar group Y will depend on the nature of the semiconductor nanoparticle and whether an electron donating or electron withdrawing or a positively charged or a negatively charged moiety is required in order to reduce or eliminate the band-bending. For instance, in the case of an n-doped silicon nanoparticle, a negatively charged polar group is preferred in order to reduce or eliminate band-bending, whereas for a p-doped silicon nanoparticle a positively charge polar group is preferred in order to reduce or eliminate band-bending.
Group Y may include, but is not limited to, a substituted aromatic group such as chlorophenyl, bromophenyl, iodophenyl, nitrophenyl, methoxyphenyl, phenoxyphenyl, hydroxyphenyl, methylphenyl, aminophenyl, dialkylaminophenyl, carboxyphenyl, a quaternary salt of an aromatic amine, a fluorinated aromatic compound, a fluoriπated alky) chain, a quinoliήe and a substituted quinoline.
In the case of the nanoparticles being made from n-doped silicon, it is preferred that the polar group Y is electron donating or negatively charged. In the case of the nanoparticles being made from p-doped silicon, it is preferred that the polar group Y is electron withdrawing or positively charged.
It is preferred that the group X is a thiol or phosphine group for the case where the semiconducting nanoparticles are made from CdS, CsSe, CdTe, Bi2S3, Bi2Te3, PbS, PbTe1 Sb2S3, ZnS, WS2; III- IV semiconductors such as GaAs, InP, InAs, GaP.
It is preferred that the group X is a carboxylic acid, phosphonic acid, phosphinic acid, sulfonic acid or sulfintc acid for the case where the semiconducting nanoparticles are made from metal oxide materials and mixed metal oxides.
It is preferred that the group X is a carbon group for the case where the semiconducting nanoparticles are made from silicon, germanium.
In another embodiment, the group X is a chlorosilane such as a monochlorosilane or a trichlorosilane, or a trialkoxysilane such as triethoxysilane.
The bridging molecule are molecules that connect two or more nanoparticles and that have the property of having a separation of between 0.5 and 5 eV between the highest occupied molecular orbital (HOMO) and the lowest unoccupied molecular orbital (LUMO).
More preferably, the separation between the HOMO and LUMO is between 0.5 and 3 eV.
Most preferably, the separation between the HOMO and LUMO is between 1 and 2 eV.
Preferred bridging molecules have the structure P-Q-R, wherein the groups P and R are used to attach the bridging molecule to the semiconductor nanoparticte and groups P and R may be the same or different, and the group Q is a group capable of transferring electrons between the nanoparticles to which the bridging molecule is attached.
Groups P and R may be selected from a thiol or phosphine group for the case where the semiconducting nanoparticles are made from CdS, CsSe, CdTe1 Bi2S3, Bi2Te3, PbS, PbTe, Sb2S3, ZnS, WS2; IJI-IV semiconductors such as GaAs1 InP, InAs, GaP.
Groups P and R may be selected from a carboxylic acid, phosphonic acid, phosphinic acid, sulfonic acid or sulfinic acid for the case where the semiconducting nanoparticles are made from metal oxide materials and mixed metal oxides.
In another embodiment, the groups P and R may be carbon groups for the case where the semiconducting nanoparticles are made from silicon, germanium.
In a further embodiment, the groups P and R may be selected from a chlorosilane such as a monochlorosilane or a trichlorosilane, or a trialkoxysilane such as triethoxysilane. In a preferred embodiment the group Q is a conjugated carbon moiety such as a polyacetylene, phenyl group, biphenyl group, triphenyi group, oligophenyl group; an aromatic group with two or more fused rings such as a naphthalene, anthracene, phenanthrene group; an aromatic group with two or more fused ring structures wherein one or more carbon atoms are substituted with a heteroatom such as oxygen, nitrogen, sulphur or phosphorous; quinoline or substituted quhnofine, oligomers of pyrrole, thiophene, aniline; oligomers of substituted pyrrole, thiophene, aniline; helicenβs.
In a further preferred embodiment the group Q as described above may be further substituted or functionalised with non-polar groups such as hydrocarbon moieties or polar or charged groups in order to modify their processing properties, such as solubility in the appropriate solvent for formation of the thermoelectric material as known to those skilled in the art.
In a preferred embodiment the group Q as described above may be functionalised with electron- donating or electron-withdrawing, or positively or negatively charged groups in order to modulate the separation between the HOMO and LUMO levels of the bridging molecule.
The distance between semiconductor nanoparticles will, in part, be determined by the size of the bridging molecule. It is preferred that the bridging molecule, in the conformation that it adopts when situated between two semiconductor nanoparticles, is between 0.5 nm and 100 nm in size. More preferably, the bridging molecule, in the conformation that it adopts when situated between two semiconductor nanoparticles, is between 0.5 nm and 10 nm in size, and most preferably that the bridging molecule, in the conformation that it adopts when situated between two semiconductor nanoparticles, is between 1 nm and 5 nm in size.
In a further preferred embodiment the bridging molecule is further functionalised with a polar group Y such that when the bridging molecule bridges two or more semiconductor nanoparticles, the group Y is in close proximity to both the surface of the nanoparticie and the group Q.
Preferably, the ZT value of the material is greater than 1. More preferably, the ZT value is greater than 2, even more preferably greater than 5, yet even more preferably greater than 10, yet even more preferably greater than 20 and, most preferably, greater than 30.
In order that the nature of the present invention may be more clearly understood preferred forms thereof will now be described with reference to the following non-limiting Examples.
EXAMPLE 1
A thermoelectric material according to the present invention may be prepared in the following manner. Highly n-doped silicon nanoparticlβs (50 nm diameter), that are partially oxidised to form at least a partial coating of silicon dioxide on the nanoparticles, are added to a 1% vΛ/ solution of a mixture of alkanetrichlorosilanes in a suitable solvent such as hexane or toluene, constituting the polar molecules and the bridging molecules. The ratio of the polar and bridging molecules are adjusted empirically to yield the desired ratio of the two molecules on the surface of the silicon nanoparticles, whilst the nature of the bridging molecules will cause the silicon nanoparticles to cross-link and to aggregate. The nanoparticle aggregates are isolated, washed with copious amounts of solvent and compressed into a thin film and dried at 110° C for 10 minutes to yield the thermoelectric material.
EXAMPLE 2
The thermoelectric figure of merit ZT of a hybrid material made of n-doped PbTe nanoparticles bridged by trans-polyacetylene molecules is investigated theoretically using the non-equilibrium Green's function approach. Shifting narrow molecular resonances above the conduction band edge of the nanoparticles by using polar surface molecules, results in a ZT value of about 10. It is shown that the value of ZT is mainly determined by the thermoelectric properties of single bridging molecules sandwiched between the nanoparticles.
The hybrid material whose thermoelectric properties are investigated theoretically is shown schematically in Fig. 3. The material consists of n-doped semiconductor nanoparticles in the shape of cubes. The temperature gradient and the electronic current flow are along the x-direction (Fig. 3). The nanoparticles (-100 nm wide) are held together by bridging organic molecules (~2nm long) which form molecular junctions between adjacent nanoparticlβs. Neighboring bridging molecules are sufficiently far apart such that electron or phonon transfer between molecules cannot take place. In addition to the bridging molecules there are short polar molecules (not indicated in Fig. 3) that partially cover the surfaces of the nanoparticles as shown in Fig. 4. The role of the polar molecules is to suppress any band-bending [3] in the n-doped semiconductor nanoparticles and to shift the HOMO (highest occupied molecular orbital) resonances of the bridging molecules upwards such that some narrow molecular resonances lie slightly above the conduction band edge of the semiconductor nanoparticles.
The figure of merit ZT of the hybrid material is given by
Figure imgf000009_0001
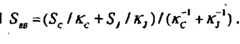
where S^, (X^ , K4- are the material's Seebeck coefficient, and the electrical and thermal conductivities, respectively, and T is the average temperature. As the material is made up of equal building-blocks (BB), each consisting of a nanoparticle and a junction in series (along the x- direction), it is understood that
Figure imgf000010_0002
where GBB and κBg are the building-block conductances, where the index C refers to the nanoparticle
Figure imgf000010_0006
and J to the molecular junction and . In the case that
Figure imgf000010_0007
Gj □ Gc and κs D A"c the figure of merit only depends on the properties of the molecular junction, and it is understood that
Figure imgf000010_0003
Here κcJphJ = κ: where κe l is the electronic thermal conductance and K^j the phononic thermal conductance of a molecular junction. Assuming that a molecular junction contains n bridging molecules in parallel, one obtains
Figure imgf000010_0004
and
Figure imgf000010_0001
where the index i refers to a single ridging molecule in a junction. Equations (4) and (5) were derived relying on a classical treatment, neglecting possible electron quantum interference effects of neighboring bridging molecules.
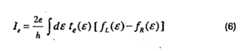
In order to calculate the thermoelectric properties of a single bridging molecule of index i , the non- equilibrium Green's function theory was employed from which expressions for the electrical current It of a molecule as well as its electronic and phononic heat currents /t ρ and Iph Q were obtained. Using a ballistic approach and assuming non-interacting electrons in the nanoparticles and non- interacting electrons in the bridging molecule and it is understood that [4]
Figure imgf000010_0005
and
Figure imgf000011_0001
Here eis the electron charge (e<0 ), h is the Planck constant, £, trrø Fermi energy, te(ε)tine electron transmission coefficient which is a function of the single electron energy ε , and /1/jeare the Fermi distributions in the nanoparticlβs to the left{L) and right(R) of the junction (Fig. 4). Introducing the functions
Figure imgf000011_0002
the quantities S1 , G1 and κt , can be expressed in terms of the Ln 's in the usual way. [5,6]
The phononic heat current Ipll Q along a single bridging molecule can be expressed as [7]
Figure imgf000011_0003
where th(co) is the phonon transmission coefficient which is a function of the phonon frequency ω, and nLIR{ω) are the Bosa-Einstein distributions of phonons in the nanoparticlβs to the left(L) and right(R) of the junction. From Eq. (9) one obtains an expression for the phononic thermal conductance, , of a single bridging molecule where AT is a small temperature
Figure imgf000011_0004
drop across the molecular junction ,
Figure imgf000011_0005
The remaining task was to calculate the electronic and phononic transmission coefficients te (ε) and tph(ω) .
According to the non-equilibrium Green's function formalism, the transmission coefficients are given by
Figure imgf000011_0006
where Tr is the trace,
Figure imgf000011_0007
s the electron (phonon) self-energy operator of the left(L) or right(R) nanoparticle and Ge<^} is the electron (phonon) Green's function operator, which describes the electron (phonon) propagation along a bridging molecule. The electron and phonon Green's function operators are given by
Figure imgf000012_0004
and
Figure imgf000012_0001
Here H is the single electron Hamiltonian describing the bridging molecule, M is a diagonal matrix with elements corresponding to the masses of the constituent atoms, and D is the dynamical matrix containing the stretching force constants between atoms of the bridging molecule.
By choosing a simple electron tight-binding description [8] one finds that only the (1,1) and (N1N) matrix elements of ∑1 are needed where 1 denotes the most left atom and N the most right atom of the bridging molecule (Fig. 4). Assuming symmetric coupling of the bridging molecule to the left and right nanoparticles one finds
Im
Figure imgf000012_0003
Here the coupling parameter fc is the tight-binding transfer integral between the end atom of the bridging molecule and a surface atom of the nanoparticle (Fig. 4), and DOS(f)is the electron density of states of the nanoparticle.
In the phonon case, choosing a simple Deybβ model for the phonons in the nanoparticles, one obtains [T]
Im
Figure imgf000012_0002
Here Kc is the stretching force constant of the bond that connects the end atoms of the bridging molecule with the nanoparticle surfaces (Fig. 4), g(ω) is the Debye spectrum of the nanoparticle and ma is the mass of an atom on the surface of a nanoparticle.
The electron Hamiltonian H in Eq. (12) contains the electrostatic interaction eΦ(r) of the electrons in the bridging molecule with the dipolβ charges of the polar molecules that partially cover the surface of the nanoparticles. This interaction is important to the model as it shifts molecular resonances slightly above the conduction band edge of the nanoparticles resulting in large conductance values G. for the bridging molecules. A single polar molecule at position r on a nanoparticle surface contributes to eΦ(r)the fraction
Figure imgf000013_0001
where p is the dipole moment oi a polar molecule, d the length of the dipole crthe
Figure imgf000013_0002
5 relative permittivity of the polar molecules, and -T0 the vacuum permittivity.
All calculations were done for T = 300K (room temperature). For the bridging molecule undimerized trans-polyacetylene (TPA) was chosen with N = 20 carbon atoms along the chain (Fig. 4) which has a relatively small HOMO-LUMO (lowest unoccupied molecular orbital) gap of 2 eV. The transfer-integral of the tight-binding Hamiltonian H was chosen to reproduce the measured 0 HOMO π -valence band width, and the on-site energy was determined by assuming that the Fermi- level in the absence of polar molecules was located in the middle of the TPA HOMO-LUMO gap. For the n-doped semiconductor nanoparticles PbTe was chosen because of its low Debye temperature of T0 = 136 K which results in a rather small phononic thermal conductance of the bridging TPA molecule. It is important to note that PbTe was not chosen because of its excellent5 thermoelectric bulk properties as it was found that the properties of the hybrid material are mainly determined by those of the molecular junctions (see Eq. (3)). Each bridging molecule is assumed to bind to a Pb atom of the (100) PbTe nanoparticle surface. Furthermore, each bridging molecule is assumed to be exposed to a different polar molecule environment due to the randomness in site- occupational configurations of the polar molecules. Using a polar molecule coverage of 7=0.7 and0 a dipoie moment of pi er =4D (D = Debye unit) with a dipole length of d =0.3nm , it was found that several of the 20 (because N = 20) π -valence band resonances are tying above the conduction band edge of the PbTe nanoparticles. The exact positions of these narrow resonances are different for each molecule in a junction because each molecule is exposed to a different set ofk Φ/s (Eq. (16). 5 Figure 5 shows the longitudinal part of the calculated phononic thermal conductance /cph l (Eqs. (10), (11), (13) and (15)) of a single TPA bridging molecule (N = 20) connected to Pb surface atoms as a function of the stretching force coupling constant Kc . Due to the low Debye temperature of PbTe and its large atomic masses, the phononic thermal conductance of a single TPA bridging molecule is quite small and according to Fig. 5, K^1 ≤ 4.6x10"" W/K for all possible0 stretching force constants Kc . Figure 6 shows the calculated figure of merit ZT of the hybrid material as a function of the Fermi- energy εF (doping level) relative to the conduction band edge ε of PbTe for different choices of the tight-binding coupling parameter tc where the most conservative value of κ^t =4.6x10"" W/K was used for the phononic thermal conductance of the TPA bridging molecule. Generally, for covalent bonds between the bridging molecule and the nanoparticle surfaces, values of tc between -1eV and -5eV can be expected. Since for xr^- the largest possible value was used , Rg. 6 reveals that a ZT value greater than 9 should be achievable. As shown in Fig. 7, using for the C- Pb bond the values of fc =-1.35eVand Kc =148.2 N/m [9], one finds that for optimal doping a value of ZT = 9.5 is predicted while the power-factor S^σa (n = 104 , 100 nm nanoparticle size) reaches a maximum value of 1.25x10"' W/ κJm .
The hybrid material that is investigated by model calculations in this example shows great promise as a high ZT material as it exploits some superior thermoelectric properties of single molecules sandwiched between doped semiconductor nanoparticles. The main reasons for the high ZT value are: 1) the electrical conductance of the molecular junctions is large which is achieved by eliminating band-bending and shifting the molecular resonances into the conduction band of the nanoparticles by using polar surface molecules, 2) the electronic thermal conductance is very small because the contributing molecular resonances are quite narrow, and 3) the phononic thermal conductance of a single bridging molecule is very low provided the stretching force constants between the chain atoms are large and the Debye temperature of the nanoparticles is low. It is expected that the type of hybrid materia) discussed in this paper can be fabricated by a self- assembly method [10].
Throughout this specification the word "comprise", or variations such as "comprises" or "comprising", will be understood to imply the inclusion of a stated element, integer or step, or group of elements, integers or steps, but not the exclusion of any other element, integer or step, or group of elements, integers or steps.
All publications mentioned in this specification are herein incorporated by reference. Any discussion of documents, acts, materials, devices, articles or the like which has been included in the present specification is solely for the purpose of providing a context for the present invention. It is not to be taken as an admission that any or all of these matters form part of the prior art base or were common general knowledge in the field relevant to the present invention as it existed in Australia or elsewhere before the priority date of each claim of this application.
It will be appreciated by persons skilled in the art that numerous variations and/or modifications may be made to the invention as shown in the specific embodiments without departing from the spirit or scope oi the invention as broadly described. The present embodiments are, therefore, to be considered in all respects as illustrative and not restrictive.
References 1. Heath, J.R. and Ratrter, M. A., "Molecular Electronics", Physics Today 56 (2003), pp. 43- 49.
2. Reddy, P., Jang, S.-Y., Segalman, R. and Majumdar, A., Thermoelectricity in Molecular Junctions", Science 315 (2007), pp. 1568-1571.
3. Vilan, A. and Cahen, D., "How Organic Molecules Can Control Electronic Devices", Trend in Biotech. 20 (2002) , pp. 22-29.
4. Meir, Y. and Wingreen, N. S., "Landauer Formula for the Current Through an Interacting Electron Region", Phys. Rev. Lett. 68 (1992), pp. 2512-2515.
5. Ashcroft, N. W. and Mermin, N. D., Solid Sate Physics (Holt, Rinehart and Winston, New York, 1995). 6. Esfarjani, K., Zebarjadi, M. and Kawazoe, Y., Thermoelectric Properties of a Nanocoπtact Made of Two-Capped Single-Wall Carbon Nanotubes within the Tight-Binding Approximation", Phys. Rev. B 73 (2006), pp. 085406 - 1-6.
7. Ozpineci, A. and Ciraci, S., "Quantum Effects of Thermal Conductance Through Atomic Chains", Phys. Rev. S 63 (2001), pp. 125415 - 1-5. 8. Asai.Y. and Fukuyama, H., Theory of Length-Dependence Conductance in One- Dimensional Chains", Phys. Rev. B 72 (2005), pp. 085431 - 1-14. 9. Schwβrdtfeger, P., X)n the Anomaly of the Metal-Carbon Bond Strength in (CH3)2M Compounds of the Heavy Elements M=Au", Hg1 Tl+, and Pb2+", Am. Chem. Soc. 112 (1990), pp. 281B-2820. 10. Raguse, B., Herrmann, J., Stevens, G., Myers, J., Baxter G., Mϋller, K.-H., Reda, T., Molodyk, A. and Braach-Maksvytis, V., "Hybrid Nanoparticle Film Material", J. Naπoparticle Res. 4 (2002), pp. 137-143.

Claims

Claims
1. A thermoelectric material for inter-converting thermal and electrical energy, said thermoelectric material comprising a plurality of nanoparticles wherein each of said nanoparticlβs is linked to at least one other of said nanoparticles by one or more bridging molecules and wherein each of said nanoparticles comprises a semiconducting material and the surface of each of said nanoparticles is functionalised with one or more polar molecules.
2. A thermoelectric material as defined in claim 1 wherein , the plurality of nanoparticles linked by bridging molecules forms a three-dimensional network.
3. A thermoelectric material as defined in either of claims 1 or 2 wherein the semiconducting material includes single substance materials including silicon, germanium; mixed material semiconductors including H-V semiconductors including metal sulfides, CdS, CsSe, CdTe, Bi2S3, Bi2Te3, PbS, PbTe1 Sb2S3, ZnS, WS2; JM-IV semiconductors including GaAs, InP. InAs, GaP; metal oxide materials, mixed metal oxides, and semiconducting polymers.
4. A thermoelectric material as defined in any on of the preceding claims wherein the semiconducting material is a doped semiconducting material.
5. A thermoelectric material as defined in claim 4 wherein the doped semiconducting material is highly conductive.
6. A thermoelectric material as defined in claim 5 wherein the doped semiconducting material is n-doped silicon or p-doped silicon.
7. A thermoelectric material as defined in any one of the preceding claims wherein the surface of the semiconducting nanoparticles are further functionalised, at least in part, by one or more polar molecules that first, function to control the band-bending at the surface of the semiconductor nanoparticle, and, secondly, function to produce an electrostatic potential along the bridging molecule in order to cause the energy levels of the bridging molecules to shift upwards.
8. A thermoelectric material as defined in any one of the preceding claims wherein the one or more polar molecules have the structure X-Y wherein the group X is' a functional group used to attach the polar molecule to the surface of the nanoparticle and the group Y is a polar group comprising an electron donating or electron withdrawing or a positively charged or a negatively charged moiety.
9. A thermoelectric material as defined in claim 8 wherein the group Y includes a substituted aromatic group including chlorophβnyl, bromophβnyl, iodopheπyl, nitrophenyl, methoxyphenyl, phenoxyphenyl, hydroxyphenyl, methylphenyl, aminophenyl, dialkylaminophenyl, carboxyphenyl, a quaternary salt of an aromatic amine, a f luorinatθd aromatic compound, a (luorinated alkyl chain, a quinoline and a substituted quinoline.
10. A thermoelectric material as defined in either of claims 8 or 9 where, in the case of the nanoparticles being made from n-doped silicon, the polar group Y is electron donating or negatively charged.
11. A thermoelectric material as defined in either of claims 8 or 9 where, in the case of the nanoparticles being made from p-doped silicon, the polar group Y is electron withdrawing or positively charged.
12. A thermoelectric material as defined in any one of claims 8 to 11 wherein the group X is a thiol or phosphine group for the case where the semiconducting nanoparticles are made from CdS, CsSe, CdTe, Bi2S3, Bi2Te3, PbS, PbTe, Sb2S3, ZnS, WS2; III-IV semiconductors including GaAs, InP, InAs, GaP.
13. A thermoelectric material as defined in any one of claims 8 to 11 wherein the group X is a carboxylic acid, phosphonic acid, phosphinic acid, sulfonic acid or sulfinic acid for the case where the semiconducting nanoparticles are made from metal oxide materials and mixed metal oxides.
14. A thermoelectric material as defined in any one of claims β to 11 wherein the group X is a carbon group for the case where the semiconducting nanoparticles are made from silicon, germanium.
15. A thermoelectric material as defined in any one of claims 8 to 11 wherein the group X is a chlorosilane including a monochlorosilane or a trichlorosilane, or a trialkoxysilane including triethoxysilane.
16. A thermoelectric material as defined in any one of the preceding claims wherein the bridging molecules are molecules that connect two or more of the nanoparticles and that have the property of having a separation of between 0.5 and 5 eV between the highest occupied molecular orbital (HOMO) and the lowest unoccupied molecular orbital (LUMO).
17. A thermoelectric material as defined in any one of the preceding claims wherein the bridging molecules have the structure P-OR, wherein the groups P and R are used to attach the bridging molecule to the semiconductor nanoparticle and groups P and R may be the same or different, and the group Q is a group capable of transferring electrons between the nanoparticles to which the bridging molecule is attached.
18. A thermoelectric material as defined in claim 17 wherein the groups P and R are selected from a thiol or phosphine group for the case where the semiconducting nanoparticles are made from CdS, CsSe, CdTe, BΪ2S3. Bi2Te3, PbS, PbTe, Sb2S3, ZnS, WS2; III-IV semiconductors including GaAs, InP, InAs, GaP.
19. A thermoelectric material as defined in claim 17 wherein the groups P and R are selected from a carboxylic acid, phosphonic acid, phosphinic acid, sulfonic acid or sulfinic acid for the case where the semiconducting nanoparticles are made from metal oxide materials and mixed metal oxides.
20. A thermoelectric material as defined in claim 17 wherein the groups P and R are carbon groups for the case where the semiconducting nanoparticles are made from silicon, germanium.
21. A thermoelectric material as defined in claim 17 wherein the groups P and R are selected from a chlorosilane such as a moπochlorosilane or a trichlorosilane, or a trialkoxysilaπβ including triethoxysilane.
22. A thermoelectric material as defined in any one of claims 17 to 21 wherein the group Q is a conjugated carbon moiety including a polyacetylene, phenyl group, biphenyl group, triphenyl group, oligopheπyl group; an aromatic group with two or more fused rings including a naphthalene, anthracene, phenanthrene group; an aromatic group with two or more fused ring structures wherein one or more carbon atoms are substituted with a heteroatom such as oxygen, nitrogen, sulphur or phosphorous; quinoline or substituted quinolinβ, oligomers of pyrrole, thiophene, aniline; oligomers of substituted pyrrole, thiophene, anilrne; helicenes.
23. A thermoelectric material as defined in claim 22 wherein the group Q is further substituted or functionalised with non-polar groups including hydrocarbon moieties or polar or charged groups.
24. A thermoelectric material as defined in claim 22 wherein the group Q is functionalised with electron-donating or electron-withdrawing, or positively or negatively charged groups.
25. A thermoelectric material as defined in any one of the preceding claims wherein the distance between semiconductor nanoparticles is, in part, determined by the size of the bridging molecule.
26. A thermoelectric material as defined in claim 25 wherein the bridging molecule, in the conformation that it adopts when situated between two semiconductor nanoparticles, is between 0.5 nm and 50 nm in size.
27. A thermoelectric material as defined in any one of claims 17 to 24 wherein the bridging molecule is further functionalised with a polar group Y such that when the bridging molecule bridges two or more semiconductor nanoparticles, the group Y is in close proximity to both the surface of the nanoparticle and the group Q.
28. A thermoelectric material as defined in any one of the preceding claims wherein the ZT value of the material is greater than 1.
PCT/AU2008/0003002007-03-052008-03-05Thermoelectric materialWO2008106732A1 (en)

Applications Claiming Priority (2)

Application NumberPriority DateFiling DateTitle
AU20079011232007-03-05
AU2007901123AAU2007901123A0 (en)2007-03-05Thermoelectric material

Publications (1)

Publication NumberPublication Date
WO2008106732A1true WO2008106732A1 (en)2008-09-12

Family

ID=39737696

Family Applications (1)

Application NumberTitlePriority DateFiling Date
PCT/AU2008/000300WO2008106732A1 (en)2007-03-052008-03-05Thermoelectric material

Country Status (1)

CountryLink
WO (1)WO2008106732A1 (en)

Cited By (2)

* Cited by examiner, † Cited by third party
Publication numberPriority datePublication dateAssigneeTitle
WO2012154200A3 (en)*2010-10-192013-03-21California Institute Of TechnologySelf-tuning of carrier concentration for high thermoelectric performance
JP2018010917A (en)*2016-07-122018-01-18国立研究開発法人理化学研究所 Thermoelectric element material and manufacturing method thereof

Citations (6)

* Cited by examiner, † Cited by third party
Publication numberPriority datePublication dateAssigneeTitle
US5973050A (en)*1996-07-011999-10-26Integrated Cryoelectronic Inc.Composite thermoelectric material
EP1215485A1 (en)*2000-12-122002-06-19Sony International (Europe) GmbHSelective chemical sensors based on interlinked nanoparticle assemblies
WO2004060791A1 (en)*2003-01-072004-07-22Ramot At Tel Aviv University Ltd.Peptide nanostructures encapsulating a foreign material and method of manufacturing same
US20050022726A1 (en)*2003-01-132005-02-03Stanislaus WongCarbon nanotube-nanocrystal heterostructures and methods of making the same
US20050040370A1 (en)*2003-08-182005-02-24Gurin Michael H.Quantum lilypads and amplifiers and methods of use
WO2006005126A1 (en)*2004-07-122006-01-19Newsouth Innovations Pty LimitedReversible thermoelectric nanomaterials

Patent Citations (6)

* Cited by examiner, † Cited by third party
Publication numberPriority datePublication dateAssigneeTitle
US5973050A (en)*1996-07-011999-10-26Integrated Cryoelectronic Inc.Composite thermoelectric material
EP1215485A1 (en)*2000-12-122002-06-19Sony International (Europe) GmbHSelective chemical sensors based on interlinked nanoparticle assemblies
WO2004060791A1 (en)*2003-01-072004-07-22Ramot At Tel Aviv University Ltd.Peptide nanostructures encapsulating a foreign material and method of manufacturing same
US20050022726A1 (en)*2003-01-132005-02-03Stanislaus WongCarbon nanotube-nanocrystal heterostructures and methods of making the same
US20050040370A1 (en)*2003-08-182005-02-24Gurin Michael H.Quantum lilypads and amplifiers and methods of use
WO2006005126A1 (en)*2004-07-122006-01-19Newsouth Innovations Pty LimitedReversible thermoelectric nanomaterials

Cited By (4)

* Cited by examiner, † Cited by third party
Publication numberPriority datePublication dateAssigneeTitle
WO2012154200A3 (en)*2010-10-192013-03-21California Institute Of TechnologySelf-tuning of carrier concentration for high thermoelectric performance
JP2018010917A (en)*2016-07-122018-01-18国立研究開発法人理化学研究所 Thermoelectric element material and manufacturing method thereof
WO2018012009A1 (en)*2016-07-122018-01-18国立研究開発法人理化学研究所Thermoelectric element material and method for manufacturing same
US10957838B2 (en)2016-07-122021-03-23RikenThermoelectric element material and method for manufacturing the same

Similar Documents

PublicationPublication DateTitle
Yue et al.Poly (3, 4-ethylenedioxythiophene) as promising organic thermoelectric materials: A mini-review
Zong et al.Graphene-based thermoelectrics
Lindorf et al.Organic-based thermoelectrics
Peng et al.A review on organic polymer-based thermoelectric materials
Culebras et al.Enhanced thermoelectric performance of PEDOT with different counter-ions optimized by chemical reduction
EP1812974B1 (en)Nanocomposites with high thermoelectric figures of merit
Hershfield et al.Nonlinear thermoelectric transport: A class of nanodevices for high efficiency and large power output
Wang et al.Flexible thermopower generation over broad temperature range by PANI/nanorod hybrid-based p–n couples
Xu et al.Synergistic role of Ni-doping in electrical and phonon transport properties of Cu2Sn1-xNixS3
Wang et al.One-pot fabrication and enhanced thermoelectric properties of poly (3, 4-ethylenedioxythiophene)-Bi2S3 nanocomposites
Tan et al.Oriented growth of A2Te3 (A= Sb, Bi) films and their devices with enhanced thermoelectric performance
Guo et al.Effectively enhanced thermopower in polyaniline/Bi0. 5Sb1. 5Te3 nanoplate composites via carrier energy scattering
Nugraha et al.Recent progress in colloidal quantum dot thermoelectrics
EP3195327A2 (en)Organic thermoelectric composites and their uses
Kshirsagar et al.Band engineered I/III/V–VI binary metal selenide/MWCNT/PANI nanocomposites for potential room temperature thermoelectric applications
NandihalliImprints of interfaces in thermoelectric materials
Kim et al.Energy level modulation of small molecules enhances thermoelectric performances of carbon nanotube-based organic hybrid materials
Bhagade et al.Thermoelectric composite material of CuBO2 incorporated PANI powders with enhanced Seebeck coefficient
WO2008106732A1 (en)Thermoelectric material
Mani et al.Enhancing the thermoelectric performance of Cu2S/CuO nanocomposites through energy-filtering effect and phonon scattering
Kim et al.Self-healing boron-doped Sb2Se3 thermoelectric materials prepared using liquid metallic Ga–Sn alloys
Sanduleac et al.Thermoelectric properties improvement in quasi-one-dimensional organic crystals
Ashfaq et al.Effect of Al-doping on the thermoelectric properties of CZTS thin film grown by sol-gel method
Kishore et al.Thermoelectric energy harvesters and applications
JP6785402B2 (en) Thermoelectric conversion element and its manufacturing method

Legal Events

DateCodeTitleDescription
121Ep: the epo has been informed by wipo that ep was designated in this application

Ref document number:08714348

Country of ref document:EP

Kind code of ref document:A1

NENPNon-entry into the national phase

Ref country code:DE

122Ep: pct application non-entry in european phase

Ref document number:08714348

Country of ref document:EP

Kind code of ref document:A1


[8]ページ先頭

©2009-2025 Movatter.jp