Movatterモバイル変換


[0]ホーム

URL:


WO2008033931A1 - Para-xylylene carboxylic acids and isothiazolones useful as protein tyrosine phosphatases (ptps) in particular ptp-ib - Google Patents

Para-xylylene carboxylic acids and isothiazolones useful as protein tyrosine phosphatases (ptps) in particular ptp-ib
Download PDF

Info

Publication number
WO2008033931A1
WO2008033931A1PCT/US2007/078282US2007078282WWO2008033931A1WO 2008033931 A1WO2008033931 A1WO 2008033931A1US 2007078282 WUS2007078282 WUS 2007078282WWO 2008033931 A1WO2008033931 A1WO 2008033931A1
Authority
WO
WIPO (PCT)
Prior art keywords
alkyl
alkoxy
compound according
independently
alkenyl
Prior art date
Application number
PCT/US2007/078282
Other languages
French (fr)
Inventor
Michael C. Van Zandt
Original Assignee
The Institutes For Pharmaceutical Discovery, Llc
Priority date (The priority date is an assumption and is not a legal conclusion. Google has not performed a legal analysis and makes no representation as to the accuracy of the date listed.)
Filing date
Publication date
Application filed by The Institutes For Pharmaceutical Discovery, LlcfiledCriticalThe Institutes For Pharmaceutical Discovery, Llc
Publication of WO2008033931A1publicationCriticalpatent/WO2008033931A1/en

Links

Classifications

Definitions

Landscapes

Abstract

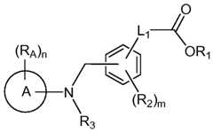
Disclosed are compounds and pharmaceutically acceptable salts of formula (I) : where A, D, L2, RA, RI, R2, m and n are defined herein, related to insulin resistance, leptin resistance, or hyperglycemia. Compounds of the invention include inhibitors of Protein tyrosine phosphatases, in particular Protein tyrosine phosphatase-lB (PTP-IB), that are useful in the treatment of diabetes and other PTP mediated diseases, such as cancer, neurodegenerative diseases and the like. Also disclosed are pharmaceutical compositions comprising compounds of the invention and methods of treating the aforementioned conditions using such compounds.

Description

PARA-XYLYLENE CARBOXYLIC ACIDS AND ISOTHIAZOLONES USEFUL AS PROTEIN TYROSINE PHOSPHATASES (PTPS) IN PARTICULAR PTP-1 B
BACKGROUND OF THE INVENTION
This application claims the benefit of Provisional Application No. 60/825497, filed September 13, 2006, the dislosure of which in incorporated herein in its entirety.
Field of the Invention
The invention relates to para-xylylene carboxylic acids and more specifically to such compounds that are useful in the treatment of syndrome X (consisting of such abnormalities as obesity, dyslipidemia, hypercoagulation, hypertension, insulin resistance and leading to heart disease and diabetes) , obesity, diabetes, immunological disease, bleeding disorders, and/or cancer. More specifically, it relates to such compounds that are capable of inhibiting Protein tyrosine phosphatases PTPs) , in particular Protein tyrosine phosphatase-lB (PTP-IB) which is a negative regulator of the insulin and leptin ignaling pathway and improves insulin-sensitivity.
Description of Related Art
This invention relates to a class of para-xylylene carboxylic acids that are inhibitors of various PTPs, in particular PTP-IB. Protein tyrosine phosphatases are a large family of transmembrane or intracellular enzymes that dephosphorylate ubstrates involved in a variety of regulatory processes Fischer et al . , 1991, Science 253:401-406). Protein tyrosine phosphatase-lB (PTP-IB) is an approximately 50 kd ntracellular protein, which is present in abundant amounts in various human tissues (Charbonneau et al . , 1989, Proc. Natl.
Acad. Sci. USA 86:5252-5256; Goldstein, 1993, Receptor 3:1- 5) . Determining which proteins are substrates of PTP-IB has been of considerable interest. One substrate which has aroused especial interest is the insulin receptor. The binding of insulin to its receptor results in autophosphorylation of the domain. This causes activation of the insulin receptor tyrosine kinase, which phosphorylates the various insulin receptor substrate (IRS) proteins that propagate the insulin ignaling event further downstream to mediate insulin's various biological effects. Seely et al . , 1996, Diabetes 45:1379-1385 ("Seely") tudied the relationship of PTP-IB and the insulin receptor in vitro. Seely constructed a glutathione S-transferase (GST) fusion protein of PTP-IB that had a point mutation in the PTP- B catalytic domain. Although catalytically inactive, this fusion protein was able to bind to the insulin receptor, as demonstrated by its ability to precipitate the insulin receptor from purified receptor preparations and from whole cell lysates derived from cells expressing the insulin receptor . Ahmad et al . , 1995, J. Biol. Chem. 270:20503-20508 used osmotic loading to introduce PTP-IB neutralizing antibodies nto rat KRC-7 hepatoma cells. The presence of the antibody in the cells resulted in an increase of 42% and 38%, respectively, in insulin stimulated DNA synthesis and phosphatidyinositol 3' kinase activity. Insulin receptor autophosphorylation and insulin receptor substrate-1 tyrosine phosphorylation were increased 2.2 and 2.0-fold, respectively, n the antibody-loaded cells. The antibody-loaded cells also howed a 57% increase in insulin stimulated insulin receptor kinase activity toward exogenous peptide substrates.
Kennedy et al . , 1999, Science 283: 1544-1548 showed that protein tyrosine phosphatase PTP-IB is a negative regulator of the insulin si inhibitors of this enzyme are beneficial in the treatment of Type 2 diabetes, which appears to involve a defect in an early process in insulin signal transduction rather than a structural defect in the insulin receptor itself. (J. M. Olefsky, W. T. Garvey, R. R. Henry, D. Brillon, S. Matthai and G. R. Freidenberg, G. R. (1988).) Cellular mechanisms of nsulin resistance in non-insulin-dependent (Type II) diabetes. (Am. J. Med. 85: Suppl . 5A, 86-105.) A drug that mproved insulin sensitivity would have several advantages over traditional therapy of NIDDM using sulfonylureas, which do not alleviate insulin resistance but instead compensate by ncreasing insulin secretion.
Ragab et al (2003, J. Biol. Chem 278(42), 40923-32) howed that PTP-IB is involved in regulating platelet aggregation. Hence, inhibition of PTP-IB can be predicted to have an effect on bleeding disorder, and cardiovascular disease .
Romsicki et al . , (2003, Arch Biochem. Biophys 414(1), 40- 0) showed that TC PTP is structurally and functionally very imilar. A PTP-IB inhibitor is very likely to also inhibit TC PTP. A knockout of the TC PTP gene produces a phenotype with mpaired immune function. (You-Ten et al . , 1997, J. Exp. Med. 86(5), 683-93). Hence, inhibitors of PTP IB can be predict to inhibit TC PTP and modulate immune response. It has also been demonstrated that PTP-IB is a negative regulator of leptin signaling (Kaszua et al . MoI. Cell.
Endocrinology, 195:109-118, 2002). PTP-IB deficient mice show enhanced potency for exogenous leptin to suppress food intake Cheng, et al . Developmental Cell 2:497-503, 2002). Thus, nhibitors of PTP-IB augment the beneficial effects of leptin on food intake, body weight regulation and metabolism, in normal individuals and leptin resistant individuals. Therefore, inhibitors of PTPs, and inhibitors of PTP-IB in particular, are useful in controlling or treating obesity, syndrome X, Type 2 diabetes, in improving glucose tolerance, and in improving insulin sensitivity in patients in need thereof. Such compounds are also useful in treating or controlling other PTP mediated diseases, such as the treatment of cancer, neurodegenerative diseases, immunological disorders, bleeding and cardiovascular disorders, and the ike.
SUMMARY OF THE INVENTION
In a broad aspect, the invention provides compounds of formula (I) shown below, pharmaceutically acceptable salts of the compounds pharmaceutical compositions containing the compounds or salts, and methods employing such compounds or compositions in the treatment of diabetes and/or cancer.
In one aspect, the invention provides compounds of Formula (I) :
D
Figure imgf000006_0001
(D and the pharmaceutically acceptable salts thereof, wherein D is of formula (Ia) or (Ib),
R
Figure imgf000006_0002
.0
/ OR1
(Ib),
wherein R is -H, -OH, - (C1-C6) alkyl, - (C1-C6) alkoxy, -aryl, - heteroaryl, - (C3-C8) cycloalkyl, heterocycloalkyl, -C (0) (C1-C6) alkoxy, -C (0) (C1-C6) alkyl, or -C(O) aryl; R3 is -H, -halo, -amino, -NO2, -CN, -COOH, -C (0) (C1-C6) alkoxy, - (C1-C6) alkyl, -aryl, -heteroaryl, (C3-C8) cycloalkyl, -heterocycloalkyl; q is 0 1 X1 is 0, S, or N(R) ; X2 is S(0)p, wherein p is 0, 1, or 2 ; bond a is a single or double bond, provided that if a is a double bond, then q is 0 or 1 ;
R1 is -H, - (C1-C6) alkyl, - (C1-C6) alkyl-phenyl, or
- (C3-C6) alkenyl;
L1 is a bond, - (C3-C8) cycloalkyl-, -heterocycloalkyl-,
-aryl-, or -heteroaryl-; and Y is -O-, -S-, -S(O)2-, -N(RN1)-, -N (RN1) C (0) -, -C (0) N (RN1) -, -S(O)2N(RN1)-, -N(RN1)S(O)2-, - (C1-C6) alkyl-O-, -0- (C1-C6) alkyl-, - (C1-C6) alkyl-O- (C1-C6) alkyl-,
- (C1-C6) alkyl-S-, -S- (C1-C6) alkyl-,
- (C1-C6) alkyl-S- (C1-C6) alkyl-, - (C1-C6) alkyl-S (O)2-, -S(O)2-(C1-C6)alkyl-, - (C1-C6) alkyl-S (0)2- (C1-C6) alkyl-,
- (C1-C6) alkyl-N (RN1) -, -N (RN1) - (C1-C6) alkyl-,
- (C1-C6) alkyl-N (RN1) - (C1-C6) alkyl-,
- (C1-C6) alkyl-N (RN1) C (0) -, -N (RN1) C (0) - (C1-C6) alkyl-,
- (C1-C6) alkyl-N (RN1) C (0) - (C1-C6) alkyl-, - (C1-C6) alkyl-C (O)N(RN1) -, -C (0) N (RN1) - (C1-C6) alkyl-,
- (C1-C6) alkyl-C (O)N (RN1)- (C1-C6) alkyl-,
- (C1-C6) alkyl-S (0)2N (RN1) -, -S (0)2N (RN1) - (C1-C6) alkyl-,
- (C1-C6) alkyl-S (0)2N (RN1) - (C1-C6) alkyl-,
- (C1-C6) alkyl-N (RN1) S (0)2-, -N (RN1) S (0)2- (C1-C6) alkyl-, - (C1-C6) alkyl-N (RN1) S (0)2- (C1-C6) alkyl-,
-N (RN1) S (0)2N (RN2) - (C1-C6) alkyl-,
- (C1-C6) alkyl-N (RN1) S (0)2N (RN2) - (C1-C6) alkyl-, -N (RN1) C (0) N (RN2) - (C1-C6) alkyl-,
- (C1-C6) alkyl-N (RN1) C (O)N (RN2)- (C1-C6) alkyl-, -N(RN1)C(O)O- (C1-C6) alkyl-, or
- (C1-C6) alkyl-N (RN1) C (0) 0- (C1-C6) alkyl-, wherein the alkyl portion of each of the above is op or 4 substituents that are independently
- (C1-C6) alkoxy, - (C1-C6) alkyl, - (C2-C6) alkenyl,
- (C2-C6) alkynyl, -C(O) (C1-C6JaIkOXy,
-C (0) (C1-C6) alkyl, -C(O)OH, - (C1-C6) alkyl-C (0) OH, - (C1-C6) haloalkoxy, - (C1-C6) haloalkyl, -halogen,
-N(RN3RN4), - (C1-C6) alkyl-N(RN3RN4) , or -C(O)N(RN3RN4), wherein RN1 and RN2 are independently -H or -(C1-C6) alkyl, wherein RN3 and RN4 are each independently -H,
- (C1-C6) alkyl, - (C2-C6) alkenyl, - (C2-C6) alkynyl, -C (0) (C1-C6) alkoxy, -C (0) (C1-C6) alkyl, or -C(O)H; each R2 is independently - (C1-C6) alkoxy, - (C1-C6) alkyl,
- (C2-C6) alkenyl, - (C2-C6) alkynyl, -C (0) (C1-C6) alkoxy, -C(O) (C1-C6) alkyl, -C(O)OH, -CN, - (C1-C6) haloalkoxy,
- (C1-C6) haloalkyl, -halogen, -OH, - (C1-C6) alkyl-OH, -NO2, -N(RN5RN6), - (C1-C6) alkyl-N (RN5RN6) , or -C(O)N(RN5RN6) wherein RN5 and RN6 are each independently -H, - (C1-C6) alkyl, - (C2-C6) alkenyl, - (C2-C6) alkynyl,
-C(O) (C1-C6) alkoxy, -C(O) (C1-C6) alkyl,
-C(O) (C1-C6) alkyl-O- (C1-C6) alkyl, -C(O)H,
-S (O)2- (C1-C6) alkyl, or -S(0)2-aryl; m is O, 1, 2, 3, or 4; L2 is a bond, - (C1-C6) alkyl-N (RN7) -, -N (RN7) - (C1-C6) alkyl-, or
- (C1-C6) alkyl-N (RN7) - (C1-C6) alkyl-, wherein each carbon is independently, and optionally substituted with one group which is - (C1-C6) alkyl, -aryl,
- (C3-C8) cycloalkyl, -heterocycloalkyl, -heteroaryl, -COOH, or -C (0) (C1-C6) alkoxy; and
RN7 is -H, - (C1-C6) alkyl, - (C2-C6) alkenyl,
- (C2-C6) alkynyl, -C(O) (C1-C6) alkoxy, -C ( O) ( C1-C6 ) al kyl ,
-C (0) (C1-C6) alkyl- (C3-C8) cycloalkyl, or -C(O)H, or RN7 and one of RA taken together are - (CH2)q-, (CH)=N-, or -S (0)r-N (RN7' )~/ and connect the nitrogen to which RN7 is attached to A, wherein q is 2, 3 or 4; r is 1 or 2 ; and RN7' is -H or - (C1-C6) alkyl; A is -aryl- or -heteroaryl-; each RA is independently - (C1-C6) alkoxy, - (C1-C6) alkyl,
- (C2-C6) alkenyl, - (C2-C6) alkynyl, -C (0) (C1-C6) alkoxy, -C (0) (C1-C6) alkyl, -C(O)OH, -CN, - (C1-C6) haloalkoxy,
- (C1-C6) haloalkyl, -halogen, -OH, -NO2, -phenyl,
- (C1-C6) alkyl-phenyl, -N(RN8RN9), - (C1-C6) alkyl-N (RN8RN9) , or -C (O)N(RN8RN9) , wherein RN8 and RN9 are each independently -H,
- (C1-C6) alkyl, - (C2-C6) alkenyl, - (C2-C6) alkynyl,
-C (0) (C1-C6) alkoxy, -C (0) (C1-C6) alkyl, or -C(O)H; and n is 0, 1, 2, 3, or 4. Another aspect of the invention provides synthetic ntermediates that are useful in making the compounds of the nvention .
Another aspect of the invention provides methods of preparing the compounds of the invention and the intermediates used in those methods.
Another aspect of the invention provides pharmaceutical compositions comprising a compound of formula (I) or a pharmaceutically acceptable salt thereof and at least one pharmaceutically acceptable carrier, solvent, adjuvant or diluent.
The compounds of formula (I) bind to PTPs, and in particular to PTP-IB The interaction with the enzyme, specifically PTP-IB, preferably results in inhibition of the enzyme .
Another aspect of the invention provides a method for inhibiting protein tyrosine phosphatases, preferably PTP-IB, comprising administering a therapeutically effective amount of a compound of formula (I) or a pharmaceutically acceptable alt thereof, or a pharmaceutical composition comprising a compound of formula (I) or a pharmaceutically acceptable salt thereof . Another aspect of the invention provides methods of treating diseases such as Type I and Type II diabetes, yndrome X, obesity, cancer, neurodegenerative disease, mmunological disease, bleeding disorders, and cardiovascular disease in a patient in need of such treatment, comprising administering to the patient a compound of formula (I) or a pharmaceutically acceptable salt thereof, or a pharmaceutical composition comprising a compound of formula (I) or a pharmaceutically acceptable salt thereof.
Another aspect of the invention provides a method for treating metabolic disorders related to insulin resistance or hyperglycemia, comprising administering to a patient in need of such treatment a therapeutically effective amount of a compound of formula (I) or a pharmaceutically acceptable salt thereof, or a pharmaceutical composition comprising a compound of formula (I) or a pharmaceutically acceptable salt thereof.
Another aspect of the invention provides formulations and pharmaceutical compositions, as well as methods for combination therapy for treating Type I diabetes, Type II diabetes, and Syndrome X with the compounds of formula (I) plus therapeutically-effective amounts additional compounds and medicaments. Treatment methods of the invention for Type diabetes, Type II diabetes, and Syndrome X comprise administration ormula (I) as disclosed herein concomitantly, simultaneously or together with a therapeutically-effective amount of said additional compounds and medicaments.
Another aspect of the invention provides the use of a compound according to formula (I) or a pharmaceutically acceptable salt thereof for the manufacture of a medicament for use in treating diabetes or cancer or other diseases related to PTPs.
DETAILED DESCRIPTION OF THE INVENTION
Another aspect of the invention provides compounds of formula (I) and the pharmaceutically acceptable salts thereof, wherein A is phenyl, naphthyl, furanyl, thienyl, pyridyl, pyrazolyl, pyrimidyl, imidazolyl, furanyl, thiazolyl, benzothiazolyl, isoxazolyl, oxadiazolyl, isothiazolyl, triazolyl, pyrrolyl, or pyrazolyl, and D, L1, L2, RA, Ri/ R2/ in, and n are as defined in formula I) .
Another aspect of the invention provides compounds of formula (I) and the pharmaceutically acceptable salts thereof, wherein,
A is phenyl, naphthyl, furanyl, thienyl, pyridyl, pyrazolyl, pyrimidyl, imidazolyl, furanyl, thiazolyl, benzothiazolyl, isoxazolyl, oxadiazolyl, isothiazolyl, triazolyl, pyrrolyl, or pyrazolyl; L1 is -O-, -S-, -N(RN1)-, - (C1-C6) alkyl-O- (C1-C6) alkyl-,
- (C1-C6) alkyl-S-, -S- (C1-C6) alkyl-, - (C1-C6) alkyl-S- (C1-C6) alkyl-,
- (C1-C6) alkyl-S (O)2- (C1-C6) alkyl-,
- (C1-C6) alkyl-N (RN1) - (C1-C6) alkyl-,
- (C1-C6) alkyl-N (RN1) C (O) - (C1-C6) alkyl-,
- (C1-C6) alkyl-C (O)N(RNi)-(C1-C6) alkyl-, wherein the alkyl portion of each of the above is optionally substituted with 1, 2, 3, or 4 substituents that are independently
- (C1-C6) alkoxy, - (C1-C6) alkyl,
- (C2-C6) alkenyl, - (C2-C6) alkynyl, -C(O) (C1-C6) alkoxy, -C (O) (C1-C6) alkyl,
-C(O)OH, - (C1-C6) alkyl-C (O)OH,
- (C1-C6)haloalkoxy, - (C1-C6) haloalkyl, -hal ogen , -N ( RN3RN4 ) , - ( C1 -C6 ) al kyl -N ( RN3RN4 ) , or -C ( O ) N ( RN3RN4 ) , wherein RN1 is -H or - (C1-C6) alkyl, wherein RN3 and RN4 are each independently -H, - (C1-C6) alkyl,
- (C2-C6) alkenyl, - (C2-C6) alkynyl, -C (0) (C1-C6) alkoxy, -C (0) (C1-C6) alkyl, or -C(O)H; and D, L2, RA, Ri, R2, m, and n are as defined in formula (I) . Another aspect of the invention provides compounds of formula (II) ,
Figure imgf000013_0001
(H) and the pharmaceutically acceptable salts thereof, wherein Ri is -H, - (C1-C6) alkyl, - (C1-C6) alkyl-phenyl, or
- (C3-C6) alkenyl;
Li is -0-, -S-, -S(O)2-, -N(RNi)-, -N (RNi) C (0) -, -C (0) N (RN1) -, -S(O)2N(RNi)-, -N(RNi)S(O)2-, - (C1-C6) alkyl-O-, -0- (C1-C6) alkyl-, - (C1-C6) alkyl-O- (C1-C6) alkyl-, - (C1-C6) alkyl-S-, -S- (C1-C6) alkyl-,
- (C1-C6) alkyl-S- (C1-C6) alkyl-, - (C1-C6) alkyl-S (O)2-,
-S (O)2- (C1-C6) alkyl-, - (C1-C6) alkyl-S (O)2- (C1-C6) alkyl-,
- (C1-C6) alkyl-N (RNi) -, -N (RNi) - (C1-C6) alkyl-,
- (C1-C6) alkyl-N (RNi) - (C1-C6) alkyl-, -(C1-C6) alkyl-N (RNi) C(O)-, -N (RNi) C (0) - (C1-C6) alkyl-,
- (C1-C6) alkyl-N (RN1) C (0) - (C1-C6) alkyl-,
- (C1-C6) alkyl-C (O)N (Rm) -, -C(O)N(Rm) - (C1-C6) alkyl-,
- (C1-C6) alkyl-C (0) N (RN1) - (C1-C6) alkyl-,
- (C1-C6) al alkyl-, - (C1-C6) alkyl-S (0)2N (RN1) - (C1-C6) alkyl-,
- (C1-C6) alkyl-N (RN1) S (0)2-, -N (RN1) S (0)2- (C1-C6) alkyl-,
- (C1-C6) alkyl-N (RN1) S (0)2- (C1-C6) alkyl-, -N (RN1) S (0)2N (RN2) - (C1-C6) alkyl-, - (C1-C6) alkyl-N (RN1) S (0)2N (RN2) - (C1-C6) alkyl-, -N (RN1) C (0) N (RN2) - (C1-C6) alkyl-,
- (C1-C6) alkyl-N (RN1) C (0) N (RN2) - (C1-C6) alkyl-, -N(RN1)C (0)0- (C1-C6) alkyl-, or
- (C1-C6) alkyl-N (RN1) C (0) 0- (C1-C6) alkyl-, wherein the alkyl portion of each of the above is optionally substituted with 1, 2, 3, or 4 substituents that are independently
- (C1-C6) alkoxy, - (C1-C6) alkyl, - (C2-C6) alkenyl,
- (C2-C6) alkynyl, -C(O) (C1-C6) alkoxy, -C(O) (C1-C6) alkyl, -C(O)OH, - (C1-C6) alkyl-C (0) OH,
- (C1-C6) haloalkoxy, - (C1-C6) haloalkyl, -halogen, -N(RN3RN4), - (C1-C6) alkyl-N (RN3RN4) , or -C(O)N(RN3RN4) , wherein RN1 and RN2 are independently -H or - (C1-C6) alkyl, wherein RN3 and RN4 are each independently -H,
- (C1-C6) alkyl, - (C2-C6) alkenyl, - (C2-C6) alkynyl, -C(O) (C1-C6) alkoxy, -C (0) (C1-C6) alkyl, or -C(O)H; each R2 is independently - (C1-C6) alkoxy, - (C1-C6) alkyl, - (C2-C6) alkenyl, - (C2-C6) alkynyl, -C (0) (C1-C6) alkoxy, -C(O) (C1-C6) alkyl, -C(O)OH, -CN, - (C1-C6) haloalkoxy,
- (C1-C6) haloalkyl, -halogen, -OH, - (C1-C6) alkyl-OH, -NO2, -N(RN5RN6), - (C1-C6) alkyl-N (RN5RN6) , or -C(O)N(RN5RN6) wherein RNs and RN6 are each independently -H,
- (C1-C6) alkyl, - (C2-C6) alkenyl, - (C2-C6) alkynyl, -C(O) (C1-C6) alkoxy, -C (0) (C1-C6) alkyl, or -C(O)H; m is O, 1, 2 3 R3 is -H, - (C1-C6) alkyl, - (C2-C6) alkenyl,
- (C2-C6) alkynyl, -C(O) (C1-C6) alkoxy, -C(O) (C1-C6) alkyl,
-C (0) (C1-C6) alkyl- (C3-C8) cycloalkyl, or -C(O)H; A is -aryl- or -heteroaryl-; each RA is independently - (C1-C6) alkoxy, - (C1-C6) alkyl,
- (C2-C6) alkenyl, - (C2-C6) alkynyl, -C (0) (C1-C6) alkoxy, -C (0) (C1-C6) alkyl, -C(O)OH, -CN, - (C1-C6) haloalkoxy,
- (C1-C6) haloalkyl, -halogen, -OH, -NO2, -phenyl, - (C1-C6) alkyl-phenyl, -N(RN8RN9), - (C1-C6) alkyl-N (RN8RN9) , or -C(O)N(RN8RN9) , wherein RN8 and RN9 are each independently -H,
- (C1-C6) alkyl, - (C2-C6) alkenyl, - (C2-C6) alkynyl,
-C (0) (C1-C6) alkoxy, -C (0) (C1-C6) alkyl, or -C(O)H; and n is 0, 1, 2, 3, or 4.
Another aspect of the invention provides compounds of formula (II) and the pharmaceutically acceptable salts thereof, wherein,
A is phenyl, naphthyl, furanyl, thienyl, pyridyl, pyrazolyl, pyrimidyl, imidazolyl, furanyl, thiazolyl, benzothiazolyl, isoxazolyl, oxadiazolyl, isothiazolyl, triazolyl, pyrrolyl, or pyrazolyl, and L1, RA, R1, R2, R3, m, and n are as defined in formula (II) .
Another aspect of the invention provides compounds of formula (II) and the pharmaceutically acceptable salts thereof, wherein,
A is phenyl, naphthyl, furanyl, thienyl, pyridyl, pyrazolyl, pyrimidyl, imidazolyl, furanyl, thiazolyl, benzothiazolyl, isoxazolyl, oxadiazolyl, isothiazolyl, triazolyl, pyrrolyl, or pyrazolyl;
L1 is -0-, -S-, -N(RN1)-, - (C1-C6) alkyl-O- (C1-C6) alkyl-,
- (C1-C6) alkyl-S-, -S- (C1-C6) alkyl-, - (C1-C6) alkyl-S- (C1-C6) alkyl-,
- (C1-C6) alkyl-S (O)2- (C1-C6) alkyl-,
- (C1-C6) alkyl-N (RN1) - (C1-C6) alkyl-,
- (C1-C6) alkyl-N (RN1) C (0) - (C1-C6) alkyl-, - (C1-C6) alkyl-C (O)N (RNi) - (C1-C6) alkyl-, wherein the alkyl portion of each of the above is optionally substituted with 1, 2, 3, or 4 substituents that are independently
- (C1-C6) alkoxy, - (C1-C6) alkyl, - (C2-C6) alkenyl, - (C2-C6) alkynyl,
-C(O) (C1-C6) alkoxy, -C(O) (C1-C6) alkyl, -C(O)OH, - (C1-C6) alkyl-C (O)OH,
- (Ci-CeJhaloalkoxy, - (C1-C6) haloalkyl, -halogen, -N(RN3RN4), - (C1-C6) alkyl-N (RN3RN4) , or -C(O)N(RN3RN4), wherein RN1 is -H or - (C1-C6) alkyl, wherein RN3 and RN4 are each independently -H, - (C1-C6) alkyl, - (C2-C6) alkenyl, - (C2-C6) alkynyl, -C (0) (C1-C6) alkoxy,
-C(O) (C1-C6) alkyl, or -C(O)H; and RA, R1, R2, R3, m, and n are as defined in formula (II) .
Another aspect of the invention provides compounds of formula (II) and the pharmaceutically acceptable salts thereof, wherein,
L1 is -0-, -S-, -N(RNi)-, - (C1-C6) alkyl-0- (C1-C6) alkyl-,
- (C1-C6) alkyl-S-, -S- (C1-C6) alkyl-,
- (C1-C6) alkyl-S- (C1-C6) alkyl-,
- (C1-C6) alkyl-S (O)2- (C1-C6) alkyl-, - (C1-C6) alkyl-N (RN1) - (C1-C6) alkyl-,
- (C1-C6) alkyl-N (RN1) C (0) - (C1-C6) alkyl-,
- (C1-C6) alkyl-C (0)N(RN1) - (C1-C6) alkyl-, wherein the alkyl portion of each of the above is optionally substituted with 1, 2, 3, or 4 substituents that are independently
- (C1-C6) alkoxy, - (C1-C6) alkyl, - (C2-C6) alkenyl, - (C2-C6) alkynyl,
-C(O) (C1-C6) alkoxy, -C(O) (C1-C6) alkyl, -C(O)OH, - (C1-C6) alkyl-C (O)OH,
- (C1-C6)haloalkoxy, - (C1-C6) haloalkyl, -halogen, -N(RN3RN4), - (C1-C6) alkyl-N (RN3RN4) , or -C (O)N(RN3RN4) , wherein RN1 is -H or - (C1-C6) alkyl, wherein RN3 and RN4 are each independently -H, - (C1-C6) alkyl, - (C2-C6) alkenyl, - (C2-C6) alkynyl, -C(O) (C1-C6) alkoxy,
-C (0) (C1-C6) alkyl, or -C(O)H; A is phenyl; and RA, R1, R2, R3, m, and n are as defined in formula (II) .
Another aspect of the invention provides compounds of formula (III),
Figure imgf000017_0001
(III) and the pharmaceutically acceptable salts thereof, wherein R1 is -H, - (C1-C6) alkyl, - (C1-C6) alkyl-phenyl, or - (C3-C6) alkenyl;
L1 is -0-, -S-, -S(O)2-, -N(RN1)-, -N (RN1) C (0) -, -C (0) N (RN1) -, -S(O)2N(RN1)-, -N(RN1)S(O)2-, - (C1-C6) alkyl-0-, -0- (C1-C6) alkyl-, - (C1-C6) alkyl-0- (C1-C6) alkyl-, - (C1-C6) al - (C1-C6) alkyl-S- (C1-C6) alkyl-, - (C1-C6) alkyl-S (O)2-,
-S (O)2- (C1-C6) alkyl-, - (C1-C6) alkyl-S (O)2- (C1-C6) alkyl-,
- (C1-C6) alkyl-N (RN1) -, -N (RN1) - (C1-C6) alkyl-,
- (C1-C6) alkyl-N (RN1) - (C1-C6) alkyl-, - (C1-C6) alkyl-N (RN1)C(0) -, -N (RN1) C (0) - (C1-C6) alkyl-,
- (C1-C6) alkyl-N (RN1) C (0) - (C1-C6) alkyl-,
- (C1-C6) alkyl-C (0) N (RN1) -, -C (0) N (RN1) - (C1-C6) alkyl-,
- (C1-C6) alkyl-C (O)N(RNi)-(C1-C6) alkyl-,
- (C1-C6) alkyl-S (0)2N (RN1) -, -S (0)2N (RN1) - (C1-C6) alkyl-, - (C1-C6) alkyl-S (0)2N (RN1) - (C1-C6) alkyl-,
- (C1-C6) alkyl-N (RN1) S (0)2-, -N (RN1) S (0)2- (C1-C6) alkyl-,
- (C1-C6) alkyl-N (RN1) S (0)2- (C1-C6) alkyl-, -N (RN1) S (0)2N (RN2) - (C1-C6) alkyl-,
- (C1-C6) alkyl-N (RN1) S (0)2N (RN2) - (C1-C6) alkyl-, -N (RN1) C (0) N (RN2) - (C1-C6) alkyl-,
- (C1-C6) alkyl-N (RN1) C (O)N (RN2) - (C1-C6) alkyl-, -N(RN1)C(O)O- (C1-C6) alkyl-, or
- (C1-C6) alkyl-N (RN1) C (0) 0- (C1-C6) alkyl-, wherein the alkyl portion of each of the above is optionally substituted with 1, 2, 3, or 4 substituents that are independently
- (C1-C6) alkoxy, - (C1-C6) alkyl, - (C2-C6) alkenyl,
- (C2-C6) alkynyl, -C(O) (C1-C6) alkoxy,
-C (0) (C1-C6) alkyl, -C(O)OH, - (C1-C6) alkyl-C (0) OH, - (C1-C6) haloalkoxy, - (C1-C6) haloalkyl, -halogen,
-N(RN3RN4) , - (C1-C6) alkyl-N (RN3RN4) , or -C(O)N(RN3RN4) , wherein RN1 and RN2 are independently -H or
- (C1-C6) alkyl, wherein RN3 and RN4 are each independently -H,
- (C1-C6) alkyl, - (C2-C6) alkenyl, - (C2-C6) alkynyl, -C(O) (C1-C6) alkoxy, -C (0) (C1-C6) alkyl, or -C(O)H; each R2 is inde kyl, - (C2-C6) alkenyl, - (C2-C6) alkynyl, -C (0) (C1-C6) alkoxy, -C (0) (C1-C6) alkyl, -C(O)OH, -CN, - (C1-C6) haloalkoxy,
- (C1-C6) haloalkyl, -halogen, -OH, - (C1-C6) alkyl-OH, -NO2, -N(RN5RN6), - (C1-C6) alkyl-N(RN5RN6), or -C(O)N(RN5RN6) wherein RN5 and RN6 are each independently -H,
- (C1-C6) alkyl, - (C2-C6) alkenyl, - (C2-C6) alkynyl, -C (0) (C1-C6) alkoxy, -C (0) (C1-C6) alkyl, or -C(O)H; m is O, 1, 2, 3, or 4; R3 is -H, - (C1-C6) alkyl, - (C2-C6) alkenyl,
- (C2-C6) alkynyl, -C(O) (C1-C6JaIkOXy, -C(O) (C1-C6) alkyl,
-C (0) (C1-C6) alkyl- (C3-C8) cycloalkyl, or -C(O)H; and RA is - (C1-C6) alkoxy, - (C1-C6) alkyl, - (C2-C6) alkenyl, - (C2-C6) alkynyl, -C (0) (C1-C6) alkoxy, -C (0) (C1-C6) alkyl, -C(O)OH, -CN, - (C1-C6) haloalkoxy,
- (C1-C6) haloalkyl, -halogen, -OH, -NO2, -phenyl,
- (C1-C6) alkyl-phenyl, -N(RN8RN9), - (C1-C6) alkyl-N (RN8RN9) , or -C(O)N(RN8RN9) , wherein RN8 and RN9 are each independently -H,
- (C1-C6) alkyl, - (C2-C6) alkenyl, - (C2-C6) alkynyl, -C(O) (C1-C6) alkoxy, -C (0) (C1-C6) alkyl, or -C(O)H.
Another aspect of the invention provides compounds of formula (III) and the pharmaceutically acceptable salts thereof, wherein,
L1 is -0-, -S-, -N(RNi)-, - (C1-C6) alkyl-O- (C1-C6) alkyl-,
- (C1-C6) alkyl-S-, -S- (C1-C6) alkyl-,
- (C1-C6) alkyl-S- (C1-C6) alkyl-,
- (C1-C6) alkyl-S (O)2- (C1-C6) alkyl-, - (C1-C6) alkyl-N (RN1) - (C1-C6) alkyl-,
- (C1-C6) alkyl-N (RN1) C (0) - (C1-C6) alkyl-,
- (C1-C6) alkyl-C (0)N(RN1) - (C1-C6) alkyl-, wherein the alkyl portion of each of the above is optionally substituted with 1, 2, 3, or 4 substituents that are independently
- (C1-C6) alkoxy, - (C1-C6) alkyl, - (C2-C6) alkenyl, - (C2-C6) alkynyl,
-C(O) (C1-C6) alkoxy, -C(O) (C1-C6) alkyl, -C(O)OH, - (C1-C6) alkyl-C (O)OH,
- (C1-C6)haloalkoxy, - (C1-C6) haloalkyl, -halogen, -N(RN3RN4), - (C1-C6) alkyl-N (RN3RN4) , or -C (O)N(RN3RN4) , wherein RN1 is -H or - (C1-C6) alkyl, wherein RN3 and RN4 are each independently -H, - (C1-C6) alkyl, - (C2-C6) alkenyl, - (C2-C6) alkynyl, -C(O) (C1-C6) alkoxy,
-C (0) (C1-C6) alkyl, or -C(O)H, and RA, R1, R2, R3, and m are as defined in formula (III) .
Another aspect of the invention provides compounds of formula ( IV) ,
(R2)m
/~Λ_ rv, O
Figure imgf000020_0001
and the pharmaceutically acceptable salts thereof, wherein R1 is -H, - (C1-C6) alkyl, - (C1-C6) alkyl-phenyl, or
- (C3-C6) alkenyl; L1 is -0-, -S-, -S(O)2-, -N(RN1)-, -N (RN1) C (0) -, -C (0) N (RN1) -, -S(O)2N(RN1)-, -N(RN1)S(O)2-, - (C1-C6) alkyl-0-, -0- (C1-C6) alkyl-, - (C1-C6) alkyl-0- (C1-C6) alkyl-,
- (C1-C6) alkyl-S-, -S- (C1-C6) alkyl-,
- (C1-C6) alkyl-S- (C1-C6) alkyl-, - (C1-C6) alkyl-S (O)2-, -S (O)2- (C1 6) alkyl-, - (C1-C6) alkyl-N (RNi) -, -N (RN1) - (C1-C6) alkyl-,
- (C1-C6) alkyl-N (RN1) - (C1-C6) alkyl-,
- (C1-C6) alkyl-N (RN1) C (0) -, -N (RN1) C (0) - (C1-C6) alkyl-,
- (C1-C6) alkyl-N (RN1) C (0) - (C1-C6) alkyl-, - (C1-C6) alkyl-C (0)N(RN1) -, -C (0) N (RN1) - (C1-C6) alkyl-,
- (C1-C6) alkyl-C (O)N(RNi)-(C1-C6) alkyl-,
- (C1-C6) alkyl-S (0)2N (RN1) -, -S (0)2N (RN1) - (C1-C6) alkyl-,
- (C1-C6) alkyl-S (0)2N (RN1) - (C1-C6) alkyl-,
- (C1-C6) alkyl-N (RN1) S (0)2-, -N (RN1) S (0)2- (C1-C6) alkyl-, - (C1-C6) alkyl-N (RN1) S (0)2- (C1-C6) alkyl-,
-N (RN1) S (0)2N (RN2) - (C1-C6) alkyl-,
- (C1-C6) alkyl-N (RN1) S (0)2N (RN2) - (C1-C6) alkyl-, -N (RN1) C (0) N (RN2) - (C1-C6) alkyl-,
- (C1-C6) alkyl-N (RN1) C (O)N (RN2) - (C1-C6) alkyl-, -N(RN1)C(O)O- (C1-C6) alkyl-, or
- (C1-C6) alkyl-N (RN1) C (0) 0- (C1-C6) alkyl-, wherein the alkyl portion of each of the above is optionally substituted with 1, 2, 3, or 4 substituents that are independently - (C1-C6) alkoxy, - (C1-C6) alkyl, - (C2-C6) alkenyl,
- (C2-C6) alkynyl, -C(O) (C1-C6) alkoxy,
-C (0) (C1-C6) alkyl, -C(O)OH, - (C1-C6) alkyl-C (0) OH,
- (C1-C6) haloalkoxy, - (C1-C6) haloalkyl, -halogen, -N(RN3RN4) , - (C1-C6) alkyl-N (RN3RN4) , or -C(O)N(RN3RN4) , wherein RN1 and RN2 are independently -H or
- (C1-C6) alkyl, wherein RN3 and RN4 are each independently -H,
- (C1-C6) alkyl, - (C2-C6) alkenyl, - (C2-C6) alkynyl, -C(O) (C1-C6) alkoxy, -C (0) (C1-C6) alkyl, or -C(O)H; each R2 is independently -(C1-C6JaIkOXy, - (C1-C6) alkyl,
- (C2-C6) alkenyl, - (C2-C6) alkynyl, -C (0) (C1-C6) alkoxy, -C (0) (C1-C lkoxy, - (C1-C6) haloalkyl, -halogen, -OH, - (C1-C6) alkyl-OH, -NO2, -N(RN5RN6), - (C1-C6) alkyl-N(RN5RN6), or -C(O)N(RN5RN6) wherein RN5 and RN6 are each independently -H, - (C1-C6) alkyl, - (C2-C6) alkenyl, - (C2-C6) alkynyl,
-C(O) (C1-C6) alkoxy, -C (0) (C1-C6) alkyl, or -C(O)H; m is O, 1, 2, 3, or 4; R3 is -H, - (C1-C6) alkyl, - (C2-C6) alkenyl,
- (C2-C6) alkynyl, -C(O) (C1-C6JaIkOXy, -C(O) (C1-C6) alkyl,
-C (0) (C1-C6) alkyl- (C3-C8) cycloalkyl, or -C(O)H; and RA is - (C1-C6) alkoxy, - (C1-C6) alkyl,
- (C2-C6) alkenyl, - (C2-C6) alkynyl, -C (0) (C1-C6) alkoxy, -C (0) (C1-C6) alkyl, -C(O)OH, -CN, - (C1-C6) haloalkoxy, - (C1-C6) haloalkyl, -halogen, -OH, -NO2, -phenyl,
- (C1-C6) alkyl-phenyl, -N(RN8RN9), - (C1-C6) alkyl-N (RN8RN9) , or -C(O)N(RN8RN9) , wherein RN8 and RN9 are each independently -H,
- (C1-C6) alkyl, - (C2-C6) alkenyl, - (C2-C6) alkynyl, -C(O) (C1-C6) alkoxy, -C (0) (C1-C6) alkyl, or -C(O)H.
Another aspect of the invention provides compounds of formula (IV) and the pharmaceutically acceptable salts thereof, wherein,
L1 is -0-, -S-, -N(RN1)-, - (C1-C6) alkyl-O- (C1-C6) alkyl-, - (C1-C6) alkyl-S-, -S- (C1-C6) alkyl-,
- (C1-C6) alkyl-S- (C1-C6) alkyl-,
- (C1-C6) alkyl-S (O)2- (C1-C6) alkyl-,
- (C1-C6) alkyl-N (RN1) - (C1-C6) alkyl-,
- (C1-C6) alkyl-N (RN1) C (0) - (C1-C6) alkyl-, - (C1-C6) alkyl-C (O)N (RNi)- (C1-C6) alkyl-, wherein the alkyl portion of each of the above is optionally substituted with 1, 2, 3, or 4 y - (C1-C6) alkoxy, - (C1-C6) alkyl,
- (C2-C6) alkenyl, - (C2-C6) alkynyl, -C(O) (C1-C6JaIkOXy, -C(O) (C1-C6) alkyl, -C(O)OH, - (C1-C6) alkyl-C (O)OH, - (Ci-CeJhaloalkoxy, - (C1-C6) haloalkyl,
-halogen, -N(RN3RN4), - (C1-C6) alkyl-N (RN3RN4) , or -C(O)N(RN3RN4) , wherein RN1 is -H or - (C1-C6) alkyl, wherein RN3 and RN4 are each independently -H, - (C1-C6) alkyl,
- (C2-C6) alkenyl, - (C2-C6) alkynyl, -C (0) (C1-C6) alkoxy, -C(O) (C1-C6) alkyl, or -C(O)H, and RA, R1, R2, R3, and m are as defined in formula (IV) . Another aspect of the invention provides compounds of formula (IV) and the pharmaceutically acceptable salts thereof, wherein,
L1 is - (C1-C6) alkyl-0- (C1-C6) alkyl- or
- (C1-C6) alkyl-S- (C1-C6) alkyl-, wherein, the alkyl portion of each of the above is optionally substituted with 1, 2, 3, or 4 substituents that are independently -(C1-C6) alkoxy, - (C1-C6) alkyl,
- (C2-C6) alkenyl, - (C2-C6) alkynyl, -C (0) (C1-C6) alkoxy,
-C(O) (C1-C6) alkyl, -C(O)OH,
- (C1-C6) alkyl-C (0) OH,
- (d-C6)haloalkoxy, - (C1-C6) haloalkyl, -halogen, -N(RN3RN4), - (C1-C6) alkyl-N (RN3RN4) , or
-C(O)N(RN3RN4), wherein RN3 and RN4 are each - (C1-C6) alkyl, - (C2-C6) alkenyl, -(C2- C6) alkynyl,
-C(O) (C1-C6) alkoxy, -C (0) (C1-C6) alkyl, or -C(O)H; and RA, R1, R2, R3, and m are as defined in formula (IV) . Another aspect of the invention provides compounds of formula (IV) and the pharmaceutically acceptable salts thereof, wherein,
L1 is - (C1-C6) alkyl-O- (C1-C6) alkyl- or
- (C1-C6) alkyl-S- (C1-C6) alkyl-, wherein, the alkyl portion of each of the above is optionally substituted with 1, 2, 3, or 4 substituents that are independently
- (C1-C6) alkoxy, - (C1-C6) alkyl,
- (C2-C6) alkenyl, - (C2-C6) alkynyl, -C (0) (C1-C6) alkoxy,
-C(O) (C1-C6) alkyl, -C(O)OH,
- (C1-C6) alkyl-C (O)OH,
- (Ci-CeJhaloalkoxy, - (C1-C6) haloalkyl, -halogen, -N(RN3RN4), - (C1-C6) alkyl-N (RN3RN4) , or
-C(O)N(RN3RN4), wherein RN3 and RN4 are each independently -H,
- (C1-C6) alkyl, - (C2-C6) alkenyl, -(C2- C6) alkynyl,
-C(O) (C1-C6JaIkOXy, -C(O) (C1-C6) alkyl, or -C(O)H; R3 is -H, - (C1-C6) alkyl, -C (0) (C1-C6) alkyl, or
-C (0) (C1-C6) alkyl- (C3-C8) cycloalkyl; and RA, R1, R2, and m are as defined in formula (IV) .
Another aspect of the invention provides compounds of formula (IV) and the pharmaceutically acceptable salts thereof, wherei L1 is - (C1-C6) alkyl-0- (C1-C6) alkyl- or
- (C1-C6) alkyl-S- (C1-C6) alkyl-, wherein, the alkyl portion of each of the above is optionally substituted with 1, 2, 3, or 4 substituents that are independently
- (C1-C6) alkoxy, - (C1-C6) alkyl,
- (C2-C6) alkenyl,
- (C2-C6) alkynyl, -C(O) (C1-C6) alkoxy, -C(O) (C1-C6) alkyl, -C(O)OH, - (C1-C6) alkyl-C (O)OH,
- (Ci-CeJhaloalkoxy, - (C1-C6) haloalkyl, -halogen, -N(RN3RN4), - (C1-C6) alkyl-N (RN3RN4) , or
-C(O)N(RN3RN4) , wherein RN3 and RN4 are each independently -H,
- (C1-C6) alkyl, - (C2-C6) alkenyl, -(C2- C6) alkynyl,
-C(O) (C1-C6) alkoxy, -C(O) (C1-C6) alkyl, or -C(O)H;
R3 is -H, - (C1-C6) alkyl, -C (0) (C1-C6) alkyl, or
-C (0) (C1-C6) alkyl- (C3-C8) cycloalkyl; RA is - (C1-C6) alkyl or benzyl; and R1, R2, and m are as defined in formula (IV) . Another aspect of the invention provides compounds of formula (IV) and the pharmaceutically acceptable salts thereof, wherein,
L1 is - (C1-C6) alkyl-O- (C1-C6) alkyl- or
- (C1-C6) alkyl-S- (C1-C6) alkyl-, wherein, the alkyl portion of each of the above is optionally substituted with 1, 2, 3, or 4 substituents that are independently - (C1-C6) alkoxy, - (C1-C6) alkyl,
- (C2-C6) alkenyl,
- (C2-C6) alkynyl, -C(O) (C1-C6JaIkOXy, -C (0) (C1-C6) alkyl, -C(O)OH, - (C1-C6) alkyl-C (O)OH,
- (C1-C6)haloalkoxy, - (C1-C6) haloalkyl, -halogen, -N(RN3RN4), - (C1-C6) alkyl-N (RN3RN4) , or
-C(O)N(RN3RN4), wherein RN3 and RN4 are each independently -H,
- (C1-C6) alkyl, - (C2-C6) alkenyl, -(C2- C6) alkynyl, -C (0) (C1-C6) alkoxy, -C(O) (C1-C6) alkyl, or -C(O)H;
R3 is -H, - (C1-C6) alkyl, -C (0) (C1-C6) alkyl, or
-C (0) (C1-C6) alkyl- (C3-C8) cycloalkyl; RA is - (C1-C6) alkyl or benzyl; R1 is H; and R2 and m are as defined in formula (IV) .
Another aspect of the invention provides compounds of formula (IV) and the pharmaceutically acceptable salts thereof, wherein,
L1 is - (C1-C6) alkyl-0- (C1-C6) alkyl- or - (C1-C6) alkyl-S- (C1-C6) alkyl-, wherein, the alkyl portion of each of the above is optionally substituted with 1, 2, 3, or 4 substituents that are independently
- (C1-C6) alkoxy, - (C1-C6) alkyl, - (C2-C6) alkenyl,
- (C2-C6) alkynyl, -C(O) (C1-C6JaIkOXy, -C(O) (C1-C6) alkyl, -C(O)OH, - (d-C6)haloalkoxy, - (C1-C6) haloalkyl, -halogen, -N(RN3RN4), - (C1-C6) alkyl-N (RN3RN4) , or
-C(O)N(RN3RN4), wherein RN3 and RN4 are each independently -H,
- (C1-C6) alkyl, - (C2-C6) alkenyl, -(C2- C6) alkynyl, -C (0) (C1-C6) alkoxy, -C (0) (C1-C6) alkyl, or -C(O)H;
R3 is -H, - (C1-C6) alkyl, -C (0) (C1-C6) alkyl, or
-C (0) (C1-C6) alkyl- (C3-C8) cycloalkyl; RA is - (C1-C6) alkyl or benzyl; R1 is H; R2 is H; and m is as defined in formula (IV) .
Another aspect of the invention provides compounds of formula (V) ,
(R2)m
Figure imgf000027_0001
O (V) and the pharmaceutically acceptable salt thereof, wherein R1 is -H, - (C1-C6) alkyl, - (C1-C6) alkyl-phenyl, or
- (C3-C6) alkenyl;
L1 is -0-, -S-, -S(O)2-, -N(RNi)-, -N (RN1) C (0) -, -C(O)N(RN1)- -S(O)2N(RN1)-, -N(R111)S(O)2-, - (C1-C6) alkyl-O-,
-0- (C1-C6) alkyl-, - (C1-C6) alkyl-O- (C1-C6) alkyl-,
- (C1-C6) alkyl-S-, -S- (C1-C6) alkyl-,
- (C1-C6) alkyl-S- (C1-C6) alkyl-, - (C1-C6) alkyl-S (O)2-,
-S (O)2- (C1 6) alkyl-, - (C1-C6) alkyl-N (RNi) -, -N (RN1) - (C1-C6) alkyl-,
- (C1-C6) alkyl-N (RN1) - (C1-C6) alkyl-,
- (C1-C6) alkyl-N (RN1) C (0) -, -N (RN1) C (0) - (C1-C6) alkyl-,
- (C1-C6) alkyl-N (RN1) C (0) - (C1-C6) alkyl-, - (C1-C6) alkyl-C (0)N(RN1) -, -C (0) N (RN1) - (C1-C6) alkyl-,
- (C1-C6) alkyl-C (O)N(RNi)-(C1-C6) alkyl-,
- (C1-C6) alkyl-S (0)2N (RN1) -, -S (0)2N (RN1) - (C1-C6) alkyl-,
- (C1-C6) alkyl-S (0)2N (RN1) - (C1-C6) alkyl-,
- (C1-C6) alkyl-N (RN1) S (0)2-, -N (RN1) S (0)2- (C1-C6) alkyl-, - (C1-C6) alkyl-N (RN1) S (0)2- (C1-C6) alkyl-,
-N (RN1) S (0)2N (RN2) - (C1-C6) alkyl-,
- (C1-C6) alkyl-N (RN1) S (0)2N (RN2) - (C1-C6) alkyl-, -N (RN1) C (0) N (RN2) - (C1-C6) alkyl-,
- (C1-C6) alkyl-N (RN1) C (O)N (RN2) - (C1-C6) alkyl-, -N(RN1)C(O)O- (C1-C6) alkyl-, or
- (C1-C6) alkyl-N (RN1) C (0) 0- (C1-C6) alkyl-, wherein the alkyl portion of each of the above are optionally substituted with 1, 2, 3, or 4 substituents that are independently - (C1-C6) alkoxy, - (C1-C6) alkyl, - (C2-C6) alkenyl,
- (C2-C6) alkynyl, -C(O) (C1-C6) alkoxy,
-C (0) (C1-C6) alkyl, -C(O)OH, - (C1-C6) alkyl-C (0) OH,
- (C1-C6) haloalkoxy, - (C1-C6) haloalkyl, -halogen, -N(RN3RN4) , - (C1-C6) alkyl-N (RN3RN4) , or -C(O)N(RN3RN4) , wherein RN1 and RN2 are independently -H or
- (C1-C6) alkyl, wherein RN3 and RN4 are each independently -H,
- (C1-C6) alkyl, - (C2-C6) alkenyl, - (C2-C6) alkynyl, -C(O) (C1-C6) alkoxy, -C (0) (C1-C6) alkyl, or -C(O)H; each R2 is independently -(C1-C6JaIkOXy, - (C1-C6) alkyl,
- (C2-C6) alkenyl, - (C2-C6) alkynyl, -C (0) (C1-C6) alkoxy, -C (0) (C1-C lkoxy, - (C1-C6) haloalkyl, -halogen, -OH, - (C1-C6) alkyl-OH, -NO2, -N(RN5RN6), - (C1-C6) alkyl-N(RN5RN6), or -C(O)N(RN5RN6) wherein RN5 and RN6 are each independently -H, - (C1-C6) alkyl, - (C2-C6) alkenyl, - (C2-C6) alkynyl,
-C(O) (C1-C6) alkoxy, -C (0) (C1-C6) alkyl, or -C(O)H; m is O, 1, 2, 3, or 4; R3 is -H, - (C1-C6) alkyl, - (C2-C6) alkenyl,
- (C2-C6) alkynyl, -C(O) (C1-C6JaIkOXy, -C(O) (C1-C6) alkyl,
-C (0) (C1-C6) alkyl- (C3-C8) cycloalkyl, or -C(O)H; and RA is - (C1-C6) alkoxy, - (C1-C6) alkyl,
- (C2-C6) alkenyl, - (C2-C6) alkynyl, -C (0) (C1-C6) alkoxy, -C (0) (C1-C6) alkyl, -C(O)OH, -CN, - (C1-C6) haloalkoxy, - (C1-C6) haloalkyl, -halogen, -OH, -NO2, -phenyl,
- (C1-C6) alkyl-phenyl, -N(RN8RN9), - (C1-C6) alkyl-N (RN8RN9) , or -C(O)N(RN8RN9) , wherein RN8 and RN9 are each independently -H,
- (C1-C6) alkyl, - (C2-C6) alkenyl, - (C2-C6) alkynyl, -C(O) (C1-C6) alkoxy, -C (0) (C1-C6) alkyl, or -C(O)H.
Another aspect of the invention provides compounds of formula (V) and the pharmaceutically acceptable salts thereof, wherein,
L1 is -0-, -S-, -N(RN1)-, - (C1-C6) alkyl-O- (C1-C6) alkyl-, - (C1-C6) alkyl-S-, -S- (C1-C6) alkyl-,
- (C1-C6) alkyl-S- (C1-C6) alkyl-,
- (C1-C6) alkyl-S (O)2- (C1-C6) alkyl-,
- (C1-C6) alkyl-N (RN1) - (C1-C6) alkyl-,
- (C1-C6) alkyl-N (RN1) C (0) - (C1-C6) alkyl-, - (C1-C6) alkyl-C (O)N (RNi)- (C1-C6) alkyl-, wherein the alkyl portion of each of the above is optionally substituted with 1, 2, 3, or 4 y - (C1-C6) alkoxy, - (C1-C6) alkyl,
- (C2-C6) alkenyl, - (C2-C6) alkynyl, -C(O) (C1-C6JaIkOXy, -C(O) (C1-C6) alkyl, -C(O)OH, - (C1-C6) alkyl-C (O)OH, - (Ci-CeJhaloalkoxy, - (C1-C6) haloalkyl,
-halogen, -N(RN3RN4), - (C1-C6) alkyl-N (RN3RN4) , or -C(O)N(RN3RN4) , wherein RN1 is -H or - (C1-C6) alkyl, wherein RN3 and RN4 are each independently -H, - (C1-C6) alkyl,
- (C2-C6) alkenyl, - (C2-C6) alkynyl, -C (0) (C1-C6) alkoxy, -C(O) (C1-C6) alkyl, or -C(O)H, and RA, R1, R2, R3, and m are as defined in formula (V) . Another aspect of the invention provides compounds of formula (V) and the pharmaceutically acceptable salts thereof, wherein,
L1 is - (C1-C6) alkyl-0- (C1-C6) alkyl- or
- (C1-C6) alkyl-S- (C1-C6) alkyl-, wherein, the alkyl portion of each of the above is optionally substituted with 1, 2, 3, or 4 substituents that are independently -(C1-C6) alkoxy, - (C1-C6) alkyl,
- (C2-C6) alkenyl, - (C2-C6) alkynyl, -C (0) (C1-C6) alkoxy,
-C(O) (C1-C6) alkyl, -C(O)OH,
- (C1-C6) alkyl-C (0) OH,
- (d-C6)haloalkoxy, - (C1-C6) haloalkyl, -halogen, -N(RN3RN4), - (C1-C6) alkyl-N (RN3RN4) , or
-C(O)N(RN3RN4), wherein RN3 and RN4 are each - (C1-C6) alkyl, - (C2-C6) alkenyl, -(C2- C6) alkynyl,
-C(O) (C1-C6) alkoxy, -C(O) (C1-C6) alkyl, or -C(O)H; and RA, R1, R2, R3, and m are as defined in formula (V) .
Another aspect of the invention provides compounds of formula (V) and the pharmaceutically acceptable salts thereof, wherein,
L1 is - (C1-C6) alkyl-O- (C1-C6) alkyl- or - (C1-C6) alkyl-S- (C1-C6) alkyl-, wherein, the alkyl portion of each of the above is optionally substituted with 1, 2, 3, or 4 substituents that are independently
- (C1-C6) alkoxy, - (C1-C6) alkyl, - (C2-C6) alkenyl,
- (C2-C6) alkynyl, -C(O) (C1-C6JaIkOXy, -C(O) (C1-C6) alkyl, -C(O)OH,
- (C1-C6) alkyl-C (0) OH,
- (Ci-CeJhaloalkoxy, - (C1-C6) haloalkyl, -halogen, -N(RN3RN4) , - (C1-C6) alkyl-N (RN3RN4) , or -C(O)N(RN3RN4) , wherein RN3 and RN4 are each independently -H, - (C1-C6) alkyl, - (C2-C6) alkenyl, -(C2-
C6) alkynyl,
-C(O) (C1-C6) alkoxy, -C(O) (C1-C6) alkyl, or -C(O)H;
R3 is -H, - (C1-C6) alkyl, -C (0) (C1-C6) alkyl, or -C(O) (C1-C6) alkyl- (C3-C8) cycloalkyl; and RA, R1, R2, and m are as defined in formula (V) . Another aspect of the invention provides compounds of formula (V) and the pharmaceutically acceptable salts thereof, wherein,
L1 is - (C1-C6) alkyl-O- (C1-C6) alkyl- or - (C1-C6) alkyl-S- (C1-C6) alkyl-, wherein, the alkyl portion of each of the above is optionally substituted with 1, 2, 3, or 4 substituents that are independently
- (C1-C6) alkoxy, - (C1-C6) alkyl, - (C2-C6) alkenyl,
- (C2-C6) alkynyl, -C(O) (C1-C6JaIkOXy, -C(O) (C1-C6) alkyl, -C(O)OH,
- (C1-C6) alkyl-C (O)OH,
- (Ci-CeJhaloalkoxy, - (C1-C6) haloalkyl, -halogen, -N(RN3RN4) , - (C1-C6) alkyl-N (RN3RN4) , or -C(O)N(RN3RN4) , wherein RN3 and RN4 are each independently -H, - (C1-C6) alkyl, - (C2-C6) alkenyl, -(C2-
C6) alkynyl,
-C(O) (C1-C6) alkoxy, -C(O) (C1-C6) alkyl, or -C(O)H;
R3 is -H, - (C1-C6) alkyl, -C (0) (C1-C6) alkyl, or -C(O) (C1-C6) alkyl- (C3-C8) cycloalkyl;
RA is - (C1-C6) alkyl or benzyl; and R1, R2, and m are as defined in formula (V) .
Another aspect of the invention provides compounds of formula (V) and the pharmaceutically acceptable salts thereof, wherein,
L1 is - (C1-C6) alkyl-O- (C1-C6) alkyl- or - (C1-C6) alkyl-S- (C1-C6) alkyl-, wherein, the alkyl portion of each of the above is optionally substituted with 1, 2, 3, or 4 substituents that are independently
- (C1-C6) alkoxy, - (C1-C6) alkyl, - (C2-C6) alkenyl,
- (C2-C6) alkynyl, -C(O) (C1-C6) alkoxy, -C(O) (C1-C6) alkyl, -C(O)OH,
- (C1-C6) alkyl-C (0) OH,
- (Ci-CeJhaloalkoxy, - (C1-C6) haloalkyl, -halogen, -N(RN3RN4) , - (C1-C6) alkyl-N (RN3RN4) , or -C(O)N(RN3RN4) , wherein RN3 and RN4 are each independently -H, - (C1-C6) alkyl, - (C2-C6) alkenyl, -(C2-
C6) alkynyl,
-C(O) (C1-C6) alkoxy, -C(O) (C1-C6) alkyl, or -C(O)H;
R3 is -H, - (C1-C6) alkyl, -C (0) (C1-C6) alkyl, or -C(O) (C1-C6) alkyl- (C3-C8) cycloalkyl;
RA is - (C1-C6) alkyl or benzyl; R1 is H; and R2 and m are as defined in formula (V) .
Another aspect of the invention provides compounds of formula (V) and the pharmaceutically acceptable salts thereof, wherein,
L1 is - (C1-C6) alkyl-O- (C1-C6) alkyl- or - (C1-C6) alkyl-S- (C1-C6) alkyl-, wherein, the alkyl portion of each of the above is optionally substituted with 1, 2, 3, or 4 substituents that are independently
- (C1-C6) alkoxy, - (C1-C6) alkyl, - (C2-C6) alkynyl, -C(O) (C1-C6) alkoxy, -C (0) (C1-C6) alkyl, -C(O)OH,
- (C1-C6) alkyl-C (O)OH,
- (d-C6)haloalkoxy, - (C1-C6) haloalkyl, -halogen, -N(RN3RN4), - (C1-C6) alkyl-N (RN3RN4) , or -C(O)N(RN3RN4), wherein RN3 and RN4 are each independently -H, - (C1-C6) alkyl, - (C2-C6) alkenyl, -(C2-
C6) alkynyl,
-C(O) (C1-C6) alkoxy, -C(O) (C1-C6) alkyl, or -C(O)H;
R3 is -H, - (C1-C6) alkyl, -C (0) (C1-C6) alkyl, or -C(O) (C1-C6) alkyl- (C3-C8) cycloalkyl;
RA is - (C1-C6) alkyl or benzyl; R1 is H; R2 is H; and m is as defined in formula (V) . Another aspect of the invention provides compounds of formula (I) and the pharmaceutically acceptable salts thereof, wherein
L2 is - (C1-C6) alkyl-N (RN7) - (C1-C6) alkyl-, wherein the alkyl portions are each optionally substituted with one group which is - (C1-C6) alkyl, -aryl, -(C3- C8) cycloalkyl, -heterocycloalkyl, -heteroaryl, -COOH, or -C (0) (C1-C6) alkoxy; and RN7 is -H or - (C1-C6) alkyl; and A, D, RA, R1, R2, m and n are as defined in Formula (I) .
Another aspect of the invention provides compounds of Formula (VI) , O N^Ri
Figure imgf000035_0001
(R2)m
(VI) and the pharmaceutically acceptable salts thereof, wherein A, L2, RA, RI, R2, Y, m and n are as defined in Formula (I) . Another aspect of the invention provides compounds of Formula (VI) and the pharmaceutically acceptable salts thereof, wherein L2 is a bond, and A, RA, R1, R2, Y, m and n are as defined in Formula (I) .
Another aspect of the invention provides compounds of Formula (VI) and the pharmaceutically acceptable salts thereof, wherein
Y is - (C1-C6) alkyl-O- (C1-C6) alkyl-,
- (C1-C6) alkyl-S- (C1-C6) alkyl- or
- (C1-C6) alkyl-N (RN1) - (C1-C6) alkyl-, wherein RN1 is -H or - (C1-C6) alkyl, and wherein the alkyl portion of each of the above are optionally substituted with 1, 2, 3, or 4 substituents that are independently
- (C1-C6) alkoxy, - (C1-C6) alkyl, -C (O) (C1-C6) alkoxy, -C (O) (C1-C6) alkyl, -C(O)OH, -halogen,
-N(RN3RN4), or -C(O)N(RN3RN4), wherein RN3 and RN4 are each independently -H,
- (C1-C6) alkyl, -C (0) (C1-C6) alkoxy, or -C (0) (C1-C6) alkyl; and A, L2, RA, R1, R2, m and n are as defined in Formula (I) .
Another aspect of the invention provides compounds of Formula (VI) and the pharmaceutically acceptable salts thereof, wherei A is phenyl, naphthyl, furanyl, thienyl, pyridyl, pyrazolyl, pyrimidyl, imidazolyl, furanyl, thiazolyl, benzothiazolyl, isoxazolyl, oxadiazolyl, isothiazolyl, triazolyl, pyrrolyl, pyrazolyl, or dibenzofuryl; and wherein L2, RA, RI, R2, Y, m and n are as defined in Formula D •
Another aspect of the invention provides compounds of Formula (VII),
Figure imgf000036_0001
(VII), and the pharmaceutically acceptable salts thereof, wherein RA, Ri, R2, Y, m and n are as defined in Formula (I) .
Another aspect of the invention provides compounds of Formula (VII) and the pharmaceutically acceptable salts thereof, wherein
Y is - (C1-C6) alkyl-O- (C1-C6) alkyl-,
- (C1-C6) alkyl-S- (C1-C6) alkyl- or
- (C1-C6) alkyl-N (RNi) - (C1-C6) alkyl-, wherein RN1 is -H or - (C1-C6) alkyl, and wherein the alkyl portion of each of the above is optionally substituted with 1, 2, 3, or 4 substituents that are independently
- (C1-C6) alkoxy, - (C1-C6) alkyl,
-C (O) (C1-C6) alkoxy, -C(O) (C1-C6) alkyl, -C(O)OH, -halogen,
-N(RN3RN4), or -C(O)N(RN3RN4) ; dently -H, - (C1-C6) alkyl, -C (0) (C1-C6) alkoxy, or -C (0) (C1-C6) alkyl; and RA, RI, R2, m and n are as defined in Formula (I) .
Another aspect of the invention provides compounds of Formula (VII) and the pharmaceutically acceptable salts thereof, wherein
R1 is H ;
Y is - (C1-C6) alkyl-O- (C1-C6) alkyl-,
- (C1-C6) alkyl-S- (C1-C6) alkyl- or - (C1-C6) alkyl-N (RN1) - (C1-C6) alkyl-, wherein RN1 is -H or - (C1-C6) alkyl, and wherein the alkyl portion of each of the above is optionally substituted with 1, 2, 3, or 4 substituents that are independently - (C1-C6) alkoxy, - (C1-C6) alkyl,
-C (0) (C1-C6) alkoxy,
-C(O) (C1-C6) alkyl, -C(O)OH, -halogen, -N(RN3RN4), or -C (0) N (RN3RN4) ; wherein RN3 and RN4 are each independently -H, - (C1-C6) alkyl, -C (0) (C1-C6) alkoxy, or
-C(O) (C1-C6) alkyl; and RA, R2, m and n are as defined in Formula (I) .
Another aspect of the invention provides compounds of Formula (VII) and the pharmaceutically acceptable salts thereof,
L2 is - (C1-C6) alkyl-N (RN7) -, -N (RN7) - (C1-C6) alkyl-, or - (C1-C6) alkyl-N (RN7) - (C1-C6) alkyl-, wherein each carbon is independently, and optionally substituted with one group which is - (C1-C6) alkyl, - aryl, - (C3-C8) cycloalkyl, -heterocycloalkyl, heteroaryl, -COOH, or -C (0) (C1-C6) alkoxy; and RN7 is -H, - (C1-C6) alkyl, - (C2-C6) alkenyl,
- (C2- -C ( O) ( C1-C6 ) al kyl ,
-C (0) (C1-C6) alkyl- (C3-C8) cycloalkyl, or -C(O)H, or RN7 and one of RA taken together are - (CH2)q-, (CH)=N-, or -S (0)r-N (RN7' )~/ and connect the nitrogen to which RN7 is attached to A, wherein q is 2, 3 or 4; r is 1 or 2 ; and RN7' is -H or - (C1-C6) alkyl; and
A, RA, R1, R2, Y, in and n are as defined in Formula (I) . Another aspect of the invention provides compounds of Formula (VIII),
Figure imgf000038_0001
(VIII) and the pharmaceutically acceptable salts thereof, wherein RN7, RA, R1, R2, Y, m and n are as defined in Formula (I) .
Another aspect of the invention provides compounds of Formula (VIII) and the pharmaceutically acceptable salts thereof, wherein
Y is - (C1-C6) alkyl-O- (C1-C6) alkyl-, - (C1-C6) alkyl-S- (C1-C6) alkyl- or
- (C1-C6) alkyl-N (RN1) - (C1-C6) alkyl-, wherein RN1 is -H or - (C1-C6) alkyl, and wherein the alkyl portion of each of the above is optionally substituted with 1, 2, 3, or 4 substituents that are independently
- (C1-C6) alkoxy, - (C1-C6) alkyl, -C(O) (C1-C6) alkyl, -C(O)OH, -halogen, -N(RN3RN4), or -C(O)N(RN3RN4) ; wherein RN3 and RN4 are each independently -H, - (C1-C6) alkyl, -C (0) (C1-C6) alkoxy, or -C(O) (C1-C6) alkyl; and RN7, RA, R1, R2, m and n are as defined in Formula (I) .
Another aspect of the invention provides compounds of Formula (VIII) and the pharmaceutically acceptable salts thereof, wherein
RN7 and one of RA taken together are - (CH2)q- and connect the nitrogen to which RN7 is attached to A, wherein q is 2, 3 or 4; and RA, R1, R2, Y, m and n are as defined in Formula (I) .
Another aspect of the invention provides compounds of Formula (VIII) and the pharmaceutically acceptable salts thereof, wherein R1 is H; and RN7, RA, R2, Y, m and n are as defined in Formula (I) .
Another aspect of the invention provides compounds of Formula (I) and the pharmaceutically acceptable salts thereof, wherein
D is of formula,
Figure imgf000039_0001
wherein R is -H, -OH, - (C1-C6) alkyl, - (C1-C6) alkoxy, aryl, - heteroaryl, - (C3-C8) cycloalkyl, heterocycloalkyl,
-C(O) (C1-C6) alkoxy, -C (0) (C1-C6) alkyl, or -C (0) aryl;
R3 is -H, -halo, -amino, -NO2, -CN, -COOH, -C (0) (C1-C6) alkoxy, - (C1-C6) alkyl, -aryl, -heteroaryl, -
(C3-C8) cycloalkyl, -heterocycloalkyl; q is 0, 1 or 2;
X1 is 0, S, or N(R) ;
X2 is S(0)p, wherein p is 0, 1, or 2; bond a is a single or double bond, provided that if a is a double bond, then q is 0 or 1; and A, L2, RA, R1, R2, m and n are as defined in Formula (I) . uch compounds are refered to herein as compounds of Formula IX) .
Another aspect of the invention provides compounds of Formula (IX) and the pharmaceutically acceptable salts thereof, wherein
L2 is a bond; and A, L2, RA, R1, R2, m and n are as defined in Formula (I) .
Another aspect of the invention provides compounds of Formula (X) ,
Figure imgf000040_0001
(R2)m (X) and the pharmaceutically acceptable salts thereof, wherein A, R, R1, R2, X1, X2, m and n are as defined in Formula (I) . Another aspect of the invention provides compounds of Formula (X) and the pharmaceutically acceptable salts thereof, wherein
A is phenyl, naphthyl, furanyl, thienyl, pyridyl, pyrazolyl, pyrimidyl, imidazolyl, furanyl, thiazolyl, benzothiazolyl, isoxazolyl, oxadiazolyl, isothiazolyl, triazolyl, pyrrolyl, pyrazolyl, or dibenzofuryl; and R, Ri, R2, Xi, X2, in and n are as defined in Formula (I) . Another aspect of the invention provides compounds of
Formula (X) and the pharmaceutically acceptable salts thereof, wherein
Xi is O or S; R is -H or - (C1-C6) alkyl; A is phenyl, naphthyl, furanyl, thienyl, pyridyl, pyrazolyl, pyrimidyl, imidazolyl, furanyl, thiazolyl, benzothiazolyl, isoxazolyl, oxadiazolyl, isothiazolyl, triazolyl, pyrrolyl, pyrazolyl, or dibenzofuryl ; and Ri, R2, X2, m and n are as defined in Formula (I) .
Another aspect of the invention provides synthetic ntermediates that are useful in making the compounds of the nvention .
Another aspect of the invention provides methods of preparing the compounds of the invention and the intermediates used in those methods.
Another aspect of the invention provides a pharmaceutical composition comprising a compound of formula (I) or a pharmaceutically acceptable salt thereof and at least one pharmaceutically acceptable solvent, carrier, adjuvant, or excipient .
Another aspect of the invention provides methods of treating T d Syndrome X (consisting of such abnormalities as obesity, dyslipidemia, hypercoagulation, hypertension, insulin resistance and leading to heart disease and diabetes) , comprising administering either a pharmaceutically acceptable amount of a compound of formula (I) or a pharmaceutically acceptable salt thereof, or a pharmaceutical composition comprising a compound of formula I) or a pharmaceutically acceptable salt thereof to a patient n need of such treatment.
The compounds of the present invention inhibit PTP-IB, and therefore, are useful in the treating or controlling other PTP-IB mediated diseases, including controlling or treating Type 2 diabetes, improving glucose tolerance, and in improving nsulin sensitivity in patients in need thereof.
Another aspect of the invention provides a method of nhibiting PTP-IB comprising administering to a patient in need thereof, either a pharmaceutically acceptable amount of a compound of formula (I) or a pharmaceutically acceptable salt thereof, or a pharmaceutical composition comprising a compound of formula (I) or a pharmaceutically acceptable salt thereof. Another aspect of the invention provides a method of treating cancer comprising administering to a patient in need thereof, either a pharmaceutically acceptable amount of a compound of formula (I) or a pharmaceutically acceptable salt thereof, or a pharmaceutical composition comprising a compound of formula (I) or a pharmaceutically acceptable salt thereof.
Another aspect of the invention provides a method of treating neurodegenerative diseases comprising administering to a patient in need thereof, either a pharmaceutically acceptable amount of a compound of formula (I) or a pharmaceutically acceptable salt thereof, or a pharmaceutical composition comprising a compound of formula (I) or a pharmaceutically acceptable salt thereof. Another aspect of the invention provides a method of treating immunological disease comprising administering either a pharmaceutically acceptable amount of a compound of formula (I) or a pharmaceutically acceptable salt thereof, or a pharmaceutical composition comprising a compound of formula I) or a pharmaceutically acceptable salt thereof to a patient n need of such treatment.
Another aspect of the invention provides a method of treating bleeding disorders comprising administering either a pharmaceutically acceptable amount of a compound of formula I) or a pharmaceutically acceptable salt thereof, or a pharmaceutical composition comprising a compound of formula I) or a pharmaceutically acceptable salt thereof to a patient n need of such treatment. The invention also provides methods of using PTP-IB nhibitors of formula (I) for improving the cardiovascular or cerebrovascular risk profile in patients experiencing or ubject to type II diabetes (non-insulin-dependent diabetes mellitus) or Syndrome X, preferably in patients experiencing or subject to human type II diabetes. These methods may also be characterized as the reduction of risk factors for heart disease, stroke, or heart attack in patients experiencing or ubject to type II diabetes or Syndrome X.
As mentioned above, the invention also provides methods and compositions for combination therapy of Type I diabetes, Type II diabetes, and Syndrome X. In the following table, Table 1, methods for using a pharmacological combination of one or more PTP-IB inhibitor and one or more combination agent are described for the treatment of Type II diabetes or yndrome X in a patient in need of such treatment. In this aspect of the invention, such treatments comprise administration of the inventive compounds of formula (I) as disclosed her aneously, or together with a therapeutically-effective amount of said additional compounds and medicaments. In the case of combination therapy methods involving insulins as the associated agent, the methods are for the treatment of Type I or Type II diabetes in a patient in need of such treatment.
Table 1
Figure imgf000044_0001
Figure imgf000045_0001
Figure imgf000046_0001
Figure imgf000047_0001
Insulins useful with the methods and combinations of this invention include rapid acting insulins, intermediate acting nsulins, long acting insulins and combinations of ntermediate and rapid acting insulins.
Rapid acting commercially available insulin products nclude HUMALOG® Brand Lispro Injection (rDNA origin); HUMULIN® Regular Human Injection, USP [rDNA origin]; HUMULIN® Regular U- 00 Concentrated Human Injection, USP [rDNA origin]; REGULAR LETIN® II (insulin injection, USP, purified pork) available from Eli Lilly and Co.; and the NOVALIN® Human Insulin njection and VENOSULIN® BR Buffered Regular Human Injection, each available from Novo Nordisk Pharmaceuticals.
Commercially available intermediate acting insulins useful with this invention include, but are not limited to, the HUMULIN® L brand LENTE® human insulin [rDNA origin] zinc uspension, HUMULIN® N NPH human insulin [rDNA origin] isophane uspension, LENTE® ILETIN. RTM. II insulin zinc suspension, USP, purified pork, and NPH ILETIN® II isophane insulin suspension, USP, purified pork, available from Eli Lilly and Company, LANTUS® insulin glargine [rDNA origin] injection, available from Aventis Pharmaceuticals, and the NOVOLIN L Lente® human nsulin zinc suspension (recombinant DNA origin) , and NOVOLIN® N NPH human insulin isophane suspension (recombinant DNA origin) products available from Novo Nordisk Pharmaceuticals, nc, Princeton N.J.
Also useful with the methods and formulations of this nvention are intermediate and rapid acting insulin combinations, such as the HUMALOG® Mix 75/25 (75% Insulin Lispro Protamin ro Injection), HUMULIN® 50/50 (50% Human Insulin Isophane Suspension and 50% Human Insulin Injection) and HUMULIN® 70/30 (70% Human Insulin Isophane Suspension and 30% Human Insulin Injection), each available from Eli Lilly and Company. Also useful are the NOVALIN® 70/30 (70% NPH, Human Insulin Isophane Suspension and 0% Regular, Human Insulin Injection) line of combination products available from Novo Nordisk Pharmaceuticals.
A commercially available long acting insulin for use with this invention is the HUMULIN® U Ultralente® human insulin rDNA origin] extended zinc suspension, available from Eli Lilly and Company.
Also useful in the methods of this invention are inhaled nsulin products, such as the EXUBERA® inhaled insulin product developed by Pfizer Inc. and Aventis SA. Each of these insulin products can be administered as directed by a medical professional using administrations, dosages and regimens known in the art, such as those published for each product in the Physicians' Desk Reference, 55 Edition, 2001, published by Medical Economics Company, Inc. at Montvale, N.J., the relevant sections of which are incorporated herein by reference.
Pharamaceutical Formulations
The compounds of general Formula (I) may be administered orally, topically, parenterally, by inhalation or spray or rectally in dosage unit formulations containing conventional non-toxic pharmaceutically acceptable carriers, adjuvants and vehicles. The term parenteral as used herein includes percutaneous, subcutaneous, intravascular (e.g., intravenous), ntramuscular, or intrathecal injection or infusion techniques and the like. In addition, there is provided a pharmaceutical formulation com ula (I) and a pharmaceutically acceptable carrier. One or more compounds of general Formula (I) may be present in association with one or more non-toxic pharmaceutically acceptable carriers and/or diluents and/or adjuvants, and if desired other active ingredients. The pharmaceutical compositions containing compounds of general Formula (I) may be in a form suitable for oral use, for example, as tablets, troches, lozenges, aqueous or oily suspensions, dispersible powders or granules, emulsion, hard or soft capsules, or syrups or elixirs. Compositions intended for oral use may be prepared according to any method known to the art for the manufacture of pharmaceutical compositions and such compositions may contain one or more agents selected from the group consisting of sweetening agents, flavoring agents, coloring agents and preservative agents in order to provide pharmaceutically elegant and palatable preparations. Tablets contain the active ingredient in admixture with non-toxic pharmaceutically acceptable excipients that are suitable for the manufacture of tablets. These excipients may be for example, inert diluents, uch as calcium carbonate, sodium carbonate, lactose, calcium phosphate or sodium phosphate; granulating and disintegrating agents, for example, corn starch, or alginic acid; binding agents, for example starch, gelatin or acacia, and lubricating agents, for example magnesium stearate, stearic acid or talc. The tablets may be uncoated or they may be coated by known techniques. In some cases such coatings may be prepared by known techniques to delay disintegration and absorption in the gastrointestinal tract and thereby provide a sustained action over a longer period. For example, a time delay material such as glyceryl monosterate or glyceryl distearate may be employed.
Formulations for oral use may also be presented as hard gelatin ca is mixed with an inert solid diluent, for example, calcium carbonate, calcium phosphate or kaolin, or as soft gelatin capsules wherein the active ingredient is mixed with water or an oil medium, for example peanut oil, liquid paraffin or olive oil. Formulations for oral use may also be presented as ozenges .
Aqueous suspensions contain the active materials in admixture with excipients suitable for the manufacture of aqueous suspensions. Such excipients are suspending agents, for example sodium carboxymethylcellulose, methylcellulose, hydropropyl-methylcellulose, sodium alginate, polyvinylpyrrolidone, gum tragacanth and gum acacia; dispersing or wetting agents may be a naturally-occurring phosphatide, for example, lecithin, or condensation products of an alkylene oxide with fatty acids, for example polyoxyethylene stearate, or condensation products of ethylene oxide with long chain aliphatic alcohols, for example heptadecaethyleneoxycetanol, or condensation products of ethylene oxide with partial esters derived from fatty acids and a hexitol such as polyoxyethylene sorbitol monooleate, or condensation products of ethylene oxide with partial esters derived from fatty acids and hexitol anhydrides, for example polyethylene sorbitan monooleate. The aqueous suspensions may also contain one or more preservatives, for example ethyl, or n-propyl p-hydroxybenzoate, one or more coloring agents, one or more flavoring agents, and one or more sweetening agents, uch as sucrose or saccharin.
Oily suspensions may be formulated by suspending the active ingredients in a vegetable oil, for example arachis oil, olive oil, sesame oil or coconut oil, or in a mineral oil uch as liquid paraffin. The oily suspensions may contain a thickening agent, for example beeswax, hard paraffin or cetyl alcohol. Swee may be added to provide palatable oral preparations. These compositions may be preserved by the addition of an anti-oxidant such as ascorbic acid.
Dispersible powders and granules suitable for preparation of an aqueous suspension by the addition of water provide the active ingredient in admixture with a dispersing or wetting agent, suspending agent and one or more preservatives. uitable dispersing or wetting agents or suspending agents are exemplified by those already mentioned above. Additional excipients, for example sweetening, flavoring and coloring agents, may also be present.
Pharmaceutical compositions of the invention may also be n the form of oil-in-water emulsions. The oily phase may be a vegetable oil or a mineral oil or mixtures of these. uitable emulsifying agents may be naturally-occurring gums, for example gum acacia or gum tragacanth, naturally-occurring phosphatides, for example soy bean, lecithin, and esters or partial esters derived from fatty acids and hexitol, anhydrides, for example sorbitan monooleate, and condensation products of the said partial esters with ethylene oxide, for example polyoxyethylene sorbitan monooleate. The emulsions may also contain sweetening and flavoring agents.
Syrups and elixirs may be formulated with sweetening agents, for example glycerol, propylene glycol, sorbitol, glucose or sucrose. Such formulations may also contain a demulcent, a preservative, flavoring, and coloring agents. The pharmaceutical compositions may be in the form of a terile injectable aqueous or oleaginous suspension. This uspension may be formulated according to the known art using those suitable dispersing or wetting agents and suspending agents that have been mentioned above. The sterile injectable preparation may also be a sterile injectable solution or uspension in e diluent or solvent, for example as a solution in 1, 3-butanediol . Among the acceptable vehicles and solvents that may be employed are water, Ringer's solution and isotonic sodium chloride solution. In addition, sterile, fixed oils are conventionally employed as a solvent or suspending medium. For this purpose any bland fixed oil may be employed including synthetic mono- or diglycerides . In addition, fatty acids such as oleic acid find use in the preparation of injectables.
The compounds of the present invention may also be administered in the form of suppositories, e.g., for rectal administration of the drug. These compositions can be prepared by mixing the drug with a suitable non-irritating excipient that is solid at ordinary temperatures but liquid at the rectal temperature and will therefore melt in the rectum to release the drug. Such materials include cocoa butter and polyethylene glycols.
Compounds of the present invention may be administered parenterally in a sterile medium. The drug, depending on the vehicle and concentration used, can either be suspended or dissolved in the vehicle. Advantageously, adjuvants such as ocal anesthetics, preservatives and buffering agents can be dissolved in the vehicle.
For disorders of the eye or other external tissues, e.g., mouth and skin, the formulations are preferably applied as a topical gel, spray, ointment or cream, or as a suppository, containing the active ingredients in a total amount of, for example, 0.075 to 30% w/w, preferably 0.2 to 20% w/w and most preferably 0.4 to 15% w/w. When formulated in an ointment, the active ingredients may be employed with either paraffinic or a water-miscible ointment base.
Alternatively, the active ingredients may be formulated n a cream with an oil-in-water cream base If desired, the aqueous ph or example at least 30% w/w of a polyhydric alcohol such as propylene glycol, butane-1, 3-diol, mannitol, sorbitol, glycerol, polyethylene glycol and mixtures thereof. The topical formulation may desirably include a compound which enhances absorption or penetration of the active ingredient through the kin or other affected areas. Examples of such dermal penetration enhancers include dimethylsulfoxide and related analogs. The compounds of this invention can also be administered by a transdermal device. Preferably topical administration will be accomplished using a patch either of the reservoir and porous membrane type or of a solid matrix variety. In either case, the active agent is delivered continuously from the reservoir or microcapsules through a membrane into the active agent permeable adhesive, which is in contact with the skin or mucosa of the recipient. If the active agent is absorbed through the skin, a controlled and predetermined flow of the active agent is administered to the recipient. In the case of microcapsules, the encapsulating agent may also function as the membrane. The transdermal patch may include the compound in a suitable solvent system with an adhesive system, such as an acrylic emulsion, and a polyester patch. The oily phase of the emulsions of this invention may be constituted from known ingredients in a known manner. While the phase may comprise merely an emulsifier, it may comprise a mixture of at least one emulsifier with a fat or an oil or with both a fat and an oil. Preferably, a hydrophilic emulsifier is included together with a lipophilic emulsifier which acts as a stabilizer. It is also preferred to include both an oil and a fat. Together, the emulsifier (s) with or without stabilizer (s) make-up the so-called emulsifying wax, and the wax together with the oil and fat make up the so- called emulsifying ointment base which forms the oily dispersed phas ulsifiers and emulsion stabilizers suitable for use in the formulation of the present invention include Tween 60, Span 80, cetostearyl alcohol, myristyl alcohol, glyceryl monostearate, and sodium lauryl sulfate, among others. The choice of suitable oils or fats for the formulation is based on achieving the desired cosmetic properties, since the solubility of the active compound in most oils likely to be used in pharmaceutical emulsion formulations is very low. Thus, the cream should preferably be a non-greasy, non-staining and washable product with suitable consistency to avoid leakage from tubes or other containers. Straight or branched chain, mono- or dibasic alkyl esters such as di-isoadipate, isocetyl stearate, propylene glycol diester of coconut fatty acids, isopropyl myristate, decyl oleate, isopropyl palmitate, butyl stearate, 2- ethylhexyl palmitate or a blend of branched chain esters may be used. These may be used alone or in combination depending on the properties required. Alternatively, high melting point ipids such as white soft paraffin and/or liquid paraffin or other mineral oils can be used. Formulations suitable for topical administration to the eye also include eye drops wherein the active ingredients are dissolved or suspended in suitable carrier, especially an aqueous solvent for the active ingredients. The antiinflammatory active ingredients are preferably present in uch formulations in a concentration of 0.5 to 20%, advantageously 0.5 to 10% and particularly about 1.5% w/w. For therapeutic purposes, the active compounds of this combination nvention are ordinarily combined with one or more adjuvants appropriate to the indicated route of administration. If administered per os, the compounds may be admixed with actose, sucrose, starch powder, cellulose esters of alkanoic acids, cellulose alkyl esters, talc, stearic acid, magnesium tearate, mag um salts of phosphoric and sulfuric acids, gelatin, acacia gum, sodium alginate, polyvinylpyrrolidone, and/or polyvinyl alcohol, and then tableted or encapsulated for convenient administration. Such capsules or tablets may contain a controlled-release formulation as may be provided in a dispersion of active compound in hydroxypropylmethyl cellulose. Formulations for parenteral administration may be in the form of aqueous or non-aqueous isotonic sterile injection solutions or uspensions. These solutions and suspensions may be prepared from sterile powders or granules having one or more of the carriers or diluents mentioned for use in the formulations for oral administration. The compounds may be dissolved in water, polyethylene glycol, propylene glycol, ethanol, corn oil, cottonseed oil, peanut oil, sesame oil, benzyl alcohol, sodium chloride, and/or various buffers. Other adjuvants and modes of administration are well and widely known in the pharmaceutical art .
Dosage levels of the order of from about 0.1 mg to about 40 mg per kilogram of body weight per day are useful in the treatment of the above-indicated conditions (about 0.5 mg to about 7 g per patient per day) . The amount of active ngredient that may be combined with the carrier materials to produce a single dosage form will vary depending upon the host treated and the particular mode of administration. Dosage unit forms will generally contain between from about 1 mg to about 500 mg of an active ingredient. The daily dose can be administered in one to four doses per day. In the case of skin conditions, it may be preferable to apply a topical preparation of compounds of this invention to the affected area two to four times a day.
It will be understood, however, that the specific dose evel for any particular patient will depend upon a variety of factors includ fic compound employed, the age, body weight, general health, sex, diet, time of administration, route of administration, and rate of excretion, drug combination and the severity of the particular disease undergoing therapy. For administration to non-human animals, the composition may also be added to the animal feed or drinking water. It may be convenient to formulate the animal feed and drinking water compositions so that the animal takes in a therapeutically appropriate quantity of the composition along with its diet. t may also be convenient to present the composition as a premix for addition to the feed or drinking water. Preferred non-human animals include domesticated animals.
Definitions
The term "alkoxy" represents an alkyl group of indicated number of carbon atoms attached to the parent molecular moiety through an oxygen bridge. Examples of alkoxy groups include, for example, methoxy, ethoxy, propoxy and isopropoxy. The term "alkyl" as used herein, means a straight or branched chain hydrocarbon containing from 1 to 10 carbon atoms. Representative examples of alkyl include, but are not imited to, methyl, ethyl, n-propyl, iso-propyl, n-butyl, sec- butyl, iso-butyl, tert-butyl, n-pentyl, isopentyl, neopentyl, n-hexyl, 3-methylhexyl, 2, 2-dimethylpentyl, 2,3- dimethylpentyl, n-heptyl, n-octyl, n-nonyl, and n-decyl .
The term "alkenyl" as used herein, means a straight or branched chain hydrocarbon containing the designated number of carbon atoms and containing at least one carbon-carbon double bond. Representative examples of alkenyl include, but are not imited to, ethenyl, 2-propenyl, 2-methyl-2-propenyl, 3- butenyl, 4-pe 2-methyl-1- heptenyl, a The term "alkynyl" as used herein, means a straight or branched chain hydrocarbon group containing the designated number of carbon atoms and containing at least one carbon- carbon triple bond. Representative examples of alkynyl include, but are not limited, to acetylenyl, 1-propynyl, 2- propynyl, 3-butynyl, 2-pentynyl, and 1-butynyl.
The term "aryl" refers to an aromatic hydrocarbon ring ystem containing at least one aromatic ring. The aromatic ring may optionally be fused or otherwise attached to other aromatic hydrocarbon rings or non-aromatic hydrocarbon rings. Examples of aryl groups include, for example, phenyl, naphthyl, 1, 2, 3, 4-tetrahydronaphthalene and biphenyl . Preferred examples of aryl groups include phenyl, naphthyl, and anthracenyl . More preferred aryl groups are phenyl and naphthyl. Most preferred is phenyl.
The term "cycloalkyl" refers to a cyclic hydrocarbon. Examples of cycloalkyl include cyclopropyl, cyclobutyl, cyclopentyl, cyclohexyl, cycloheptyl and cyclooctyl.
The terms "halogen" or "halo" indicate fluorine, chlorine, bromine, and iodine.
The term "haloalkoxy" as used herein, means at least one halogen, as defined herein, appended to the parent molecular moiety through an alkoxy group, as defined herein. Representative examples of haloalkoxy include, but are not imited to, chloromethoxy, 2-fluoroethoxy, trifluoromethoxy, and pentafluoroethoxy .
The term "haloalkyl" as used herein, means at least one halogen, as defined herein, appended to the parent molecular moiety through an alkyl group, as defined herein. Representative examples of haloalkyl include, but are not imited to, chloromethyl, 2-fluoroethyl, trifluoromethyl, pentafluoroethyl and 2-chloro-3-fluoropentyl The term "heterocycloalkyl" refers to a ring or ring system containing at least one heteroatom selected from nitrogen, oxygen, and sulfur, wherein said heteroatom is in a non-aromatic ring. The heterocycloalkyl ring is optionally fused to or otherwise attached to other heterocycloalkyl rings and/or non-aromatic hydrocarbon rings and/or phenyl rings. Preferred heterocycloalkyl groups have from 3 to 7 members. Examples of heterocycloalkyl groups include, for example, , 2 , 3, 4-tetrahydroisoquinolinyl, piperazinyl, morpholinyl, piperidinyl, tetrahydrofuranyl, pyrrolidinyl, pyridinonyl, and pyrazolidinyl . Preferred heterocycloalkyl groups include piperidinyl, piperazinyl, morpholinyl, pyrrolidinyl, pyridinonyl, dihydropyrrolidinyl, and pyrrolidinonyl .
The term "heteroaryl" refers to an aromatic ring system containing at least one heteroatom selected from nitrogen, oxygen, and sulfur. The heteroaryl ring may be fused or otherwise attached to one or more heteroaryl rings, aromatic or non-aromatic hydrocarbon rings or heterocycloalkyl rings. Examples of heteroaryl groups include, for example, pyridine, furan, thienyl, 5, 6, 7, 8-tetrahydroisoquinoline and pyrimidine. Preferred examples of heteroaryl groups include thienyl, benzothienyl, pyridyl, quinolyl, pyrazolyl, pyrimidyl, midazolyl, benzimidazolyl, furanyl, benzofuranyl, dibenzofuranyl, thiazolyl, benzothiazolyl, isoxazolyl, oxadiazolyl, isothiazolyl, benzisothiazolyl, triazolyl, pyrrolyl, indolyl, pyrazolyl, and benzopyrazolyl .
The compounds of this invention may contain one or more asymmetric carbon atoms, so that the compounds can exist in different stereoisomeric forms. These compounds can be, for example, racemates, chiral non-racemic or diastereomers . In these situations, the single enantiomers, i.e., optically active forms, can be obtained by asymmetric synthesis or by resolution f racemates can be accomplished, for example, by conventional methods such as crystallization in the presence of a resolving agent; chromatography, using, for example a chiral HPLC column; or derivatizing the racemic mixture with a resolving reagent to generate diastereomers, separating the diastereomers via chromatography, and removing the resolving agent to generate the original compound in enantiomerically enriched form. Any of the above procedures can be repeated to increase the enantiomeric purity of a compound. When the compounds described herein contain olefinic double bonds or other centers of geometric asymmetry, and unless otherwise specified, it is intended that the compounds nclude the cis, trans, Z- and E- configurations. Likewise, all tautomeric forms are also intended to be included. Compounds of the present invention were named according to IUPAC conventions by ACD/ChemSketch version 8.17 (developed by Advanced Chemistry Development, Inc., Toronto, ON, Canada) or were given names which appeared to be consistent with IUPAC nomenclature .
Methods of Preparation
The compounds and processes of the present invention will be better understood in connection with the following ynthetic schemes which illustrate the methods by which the compounds of the invention may be prepared. Starting materials can be obtained from commercial sources or prepared by well-established literature methods known to those of ordinary skill in the art. The reactions are performed in a solvent appropriate to the reagents and materials employed and suitable for the transformations tood by those skilled in the art of organic synthesis that the functionality present on the molecule should be consistent with the transformations proposed. This will sometimes require a judgment to modify the order of the synthetic steps or to elect one particular process scheme over another in order to obtain a desired compound of the invention.
It will also be recognized that another major consideration in the planning of any synthetic route in this field is the judicious choice of the protecting group used for protection of the reactive functional groups present in the compounds described in this invention. An authoritative account describing the many alternatives to the trained practitioner is Greene and Wuts (Protective Groups In Organic ynthesis, Wiley and Sons, 1999). Compounds of the present invention can be generally prepared according to the methods outlined in Schemes A and B below. In the following schemes, variables RB is as defined in formula (I) and R3 is as defined in formula (II) . In schemes A and B, X and X' independently represent halogens or leaving groups such as tosylate, triflate, mesylate and the like, which are familiar to those skilled in the art. In schemes A and B, protecting groups are designated by P, L represents a inker, and Z represents O, S, or NR, where R is H or any functionality which does not interfere with the required reactivity outlined below.
RF R3NH2 R
Figure imgf000061_0001
Figure imgf000061_0002
Br Pd2(dba)3
Al A2 NaOtBu
Figure imgf000061_0003
A3
Figure imgf000061_0004
A4
1. HZ^ ^COOP
A4
2. DeprotectionH00C\ιr.
Figure imgf000061_0005
A5
Scheme A
In this method, starting with a benzene substituted with a para-directing group, as known to those skilled in the art, as in compound Al, generally alkyl, alkoxy, aryloxy, amino, alkylamino, or dialkylamino, and the like, can be brominated to give the bromobenzene compound as in structure A2. Appropriate brominating agents include elemental bromine, N- bromosuccinimide, DBU complex with hydrogen tribromide, or ,4,4, 6-tetrabromo-2, 5-cyclohexadienone . Amination of A2 with a primary amine to yield the econdary amine, A3, may be performed under palladium- catalyzed conditions according to Buchwald-Hartwig methodology, with Pd2(dba)3, a ligand, and a base. Representative primary amines include, but are not limited to, alkyl and cyclic amines such as, methylamine, ethylamine, propylamine, isopropylamine, butylamine, isoamylamine, cyclopropylamine, cyclobutylamine, cyclopentylamine, cyclohexylamine, and aniline, any of which are readily commercially available or prepared by those skilled in the art. The primary amine may be functionalized with any group which does n ic amination reaction. The palladium source may be, for example, Pd (PPh3)4,
Pd2(dba)3, Pd(OAc)2, PdCl2 (PPh3)2, PdCl2 (MeCN) 2, PdCl2(PhCN)2,
PdCl2 (dppf), PdCl2 (dppp), PdCl2 (dppe) , PdCl2(COD), Pd (PCy3)2, or
Pd(tBu3P)2, all of which are available commercially from either Aldrich Chemical (Milwaukee, WI) or Strem Chemical Newburyport, MA) . Ligands can include tBu3P, BINAP,
P (tBu3) 2 (biphenyl) , P(2-furyl)3, dppe, dppp, dppf, and N- heterocyclic carbenes, such as Arduengo's carbene, N, N' - bis (2 , 6-diisopropylphenyl) imidazol-2-ylidene, or N, N' - bis (2, 4, 6-trimethylphenyl) imidazolidin-2-ylidene, and the ike. Bases that may be utilized include NaOtBu, K3PO4, Cs2CO3,
Na2CO3, K2CO3, NaOAc, CsOAc, NaOMe, KOMe, KOH, NaOH, and the ike.
Alternately, amination of a haloarene, such as A2, with a primary amine may be achieved through copper catalysis, utilizing a copper (I) source, such as CuI or CuOAc, in the presence of K3PO4 and a ligand. Appropriate ligands include, for example, N, N-diethylsalicylamide or ethylene glycol.
A3 may be alkylated with a p- (bis (halomethyl) benzene) under Williamson ether synthesis conditions, involving an appropriate base to give the tertiary amine, A4. Such bases nclude, but are not limited to, Na2CO3, K2CO3, Cs2CO3, triethylamine, diethylisopropylamine, NaOH, and KOH. Catalysts may be added to facilitate the reaction, including KI, n-Bu4NI, and the like. Due to the reactivity of p- bis (halomethyl) benzene) s, this reaction may produce a mixture of the desired product, A4, with a dimeric compound consisting of the addition of two equivalents of A3 to the p- bis (halomethyl) benzene) . However, this mixture can be readily separated according to methods known to those skilled n the art. A4 may be alkylated with a thiol, alcohol, or amine under conditions similar to conversion of A3 to A4 discussed previously. For the purposes of the present invention, the thiol, alcohol, or amine necessarily includes an appropriately protected carboxylic acid. Those skilled in the art will recognize that any of a number of protecting groups may be used for protection of the carboxylic acid. Appropriate groups include, but are not limited to, benzylic (CBZ) , trityl, 2-nitrobenzyl, t-butyl, tetrahydropyranyl (THP) , trimethylsilyl (TMS), triisopropylsilyl (TIPS), t- butyldimethylsilane (TBDMS), and the like. An authoritative account describing the many alternatives to the trained practitioner is Greene and Wuts (Protective Groups In Organic ynthesis, Wiley and Sons, 1999. Such bases include, but are not limited to, Na2CO3, K2CO3, CS2CO3, triethylamine, diethylisopropylamine, NaOH, and KOH. Finally, deprotection of the carboxylic acid reveals compounds of structure A5, wherein Z may consist of S, 0, or NR, where R is H or any ubstitution with does not interfere with the preceding alkylation reaction. For example, an ester protecting group may be hydrolyzed under basic conditions to yield the carboxylic acid. Appropriate thiols, alcohols, and amines for preparation of compounds of the present invention include, but are not limited to, BOC-protected amino acid esters, such as, alkyl N-BOC-Cys, alkyl N-BOC-Ser, alkyl N-BOC-Thr, alkyl N- BOC-His, alkyl N-BOC-Lys, alkyl N-BOC-Tyr, alkyl N-BOC Homoserine, alkyl N-BOC Homocysteine; straight and branched alkyl thiols, alcohols, and amines such as alkyl mercaptoacetates, alkyl 2-mercaptopropanoates, alkyl 3- mercaptopropanoates, alkyl hydroxyacetates, alkyl 2- hydroxypropanoates, alkyl 3-hydroxypropanoates, alkyl glycinates, alkyl beta-alaninates, alkyl alinates, alkyl ω- aminoalkanoates, alkyl ω-mercaptoalkanoates, alkyl ω- hydroxyalkanoates, and the like.
I I I
X
Figure imgf000064_0001
HZ^^COOP _
Figure imgf000064_0002
Bl
1. A3
Bl
2. DeprotectionH00C\l/
Figure imgf000064_0003
A5
Scheme B
The order of the steps to convert A3 to A5 may be reversed, as illustrated in Scheme B. Initially, thiol, alcohol, or amine, including an appropriately protected carboxylic acid, may be alkylated with a p- bis (halomethyl) benzene) under conditions similar to those discussed previously, to give compounds of structure Bl. econd, Bl may be conversed to compounds of structure A5 by a two step process. Alkylation of Bl with A3, yields a tertiary amine intermediate, and which may deprotected to give the desired carboxylic acid product, A5.
A3
A4
Figure imgf000064_0004
Figure imgf000064_0005
An alternative preparation of A4, which would avoid eparation of e C. In this route, met from Aldrich Chemical, Milwaukee, WI, cat. No. 348155) is used as the starting material; amination of A3 with methyl (4- bromomethyl) benzoate under conditions previously described, yields compounds of structure Cl . The methyl ester can be reduced to the benzyl alcohol with lithium aluminum hydride and then converted to the benzyl halide according to conditions previously described to yield compounds of A4.
Example 1 The following compounds are prepared essentially as outlined above in Schemes A-C:
5-(4-{ [ (4- benzylphenyl) (3- cyclopentylpropanoyl) am ino] methyl jbenzyl) -N-
(tert- butoxycarbonyl) cysteine
Figure imgf000065_0001
N- (tert- butoxycarbonyl) -5- (4-
{ [ (3- cyclopentylpropanoyl) (4
isopropylphenyl) amino] m
Figure imgf000065_0002
ethyl } benzyl) cysteine
N- (tert- butoxycarbonyl) -5- [4-
({ [4-(l- ethylpropyl) phenyl] (iso propyl) amino } methyl) ben
Figure imgf000065_0003
zyl] cysteine (S) -3- (4- ( (N- (4- benzylphenyl) -3- cyclopentylpropanamido) methyl) benzylthio) -2-
Figure imgf000066_0001
O '
(tert- butoxycarbonylamino) pro panoic acid
(S) -6- ( (4- (3-tert- butoxy-2- (dibenzo [b, d] furan-4- ylmethylamino) -3- O oxopropyl) phenoxy) methy
Figure imgf000066_0002
l)picolinic acid
2-((l-(4-
OH (dibenzo [b, d] furan-4-
N^ O yi)-2- nitrophenyl) piperidin-
Figure imgf000066_0003
4-yl) methylthio) acetic acid
2- ( (1- (2-amino-4-
(dibenzo [b, d] furan-4- yl) phenyl) piperidin-4- yl) methylthio) acetic
Figure imgf000066_0004
acid
2-((l-(4- (dibenzo [b, d] furan-4- OH yl)-2-(2- N^ O
8 methoxyacetamido) phenyl
) piperidin-4-
Figure imgf000066_0005
yl) methylthio) acetic a 2-( (l-(4- (dibenzo [b, d] furan-4- yl)-2- (methylsulfonamido) phen yl) piperidin-4-
Figure imgf000067_0001
yl) methylthio) acetic acid
2-tert-butyl-5- (4- dibenzo [b, d] furan-4-0 ylphenyl) isothiazol-
3 (2H) -one 1-oxide
Figure imgf000067_0002
2-tert-butyl-5- (4- dibenzo [b, d] furan-4-1 ylphenyl) isothiazol-
3 (2H) -one 1,1-dioxide
Figure imgf000067_0003
5- (4-dibenzo [b, d] furan-2 4-ylphenyl) isothiazol-
3 (2H) -one 1,1-dioxide
Figure imgf000067_0004
2- ( (1- (2-nitro-4- ( (7-
OH
(trifluoromethyl) -3, 4-
N^ O dihydroquinolin-1 (2H) -3 yl) methyl) phenyl) piperi din-4-
Figure imgf000067_0005
yl) methylthio) acetic a
Figure imgf000068_0001
BIOLOGY EXAMPLES Example 2
Method for measuring PTP-IB activity
The test compounds are evaluated for their in vitro nhibitory activity against recombinant human PTP-IB with phosphotyrosyl dodecapeptide TRDI(P)YETD(P)Y(P)YRK. This corresponds to the 1142-1153 insulin receptor kinase regulatory domain, phosphorylated on the 1146, 1150 and 1151 tyrosine residues; IR-triphosphopeptide as a source of ubstrate. Enzyme reaction progression is monitored via the release of inorganic phosphate as detected by the malachite green - ammonium molybdate method for the phosphopeptide .
Preferred compounds of the invention exhibit IC50 values of less than 10 μM; more preferred compounds of the invention exhibit IC50 values of less than 1 μM. Particularly preferred compounds exhibit IC50 values of less than 300 nM.
Example 3
Results of PTP-IB activity testing
Figure imgf000069_0001
It is understood that the foregoing detailed description and accompanying Examples are merely illustrative and are not to be taken as limitations upon the scope of the invention, which is defined by the appended claims. Various changes and modifications to the disclosed embodiments will be apparent to those skilled in the art. Such changes and modifications, ncluding without limitation those relating to the chemical tructures, substituents, derivatives, intermediates, yntheses, formulations and/or methods of use of the nvention, may be made without departing from the spirit and cope thereof.

Claims

What is claimed is:
1. A compound of the formula,
Figure imgf000071_0001
or a pharmaceutically acceptable salt thereof, wherein D is of formula (Ia) or (Ib),
R
Figure imgf000071_0002
(Ia),
/ OR1
(Ib),
wherein
R is -H, -OH, - (C1-C6) alkyl, - (C1-C6) alkoxy, -aryl, - heteroaryl, - (C3-C8) cycloalkyl, heterocycloalkyl,
-C (0) (C1-C6) alkoxy, -C (0) (C1-C6) alkyl, or -C(O) aryl; R3 is -H, -halo, -amino, -NO2, -CN, -COOH,
-C (0) (C1-C6) alkoxy, - (C1-C6) alkyl, -aryl, -heteroaryl, -
(C3-C8) cycloalkyl, -heterocycloalkyl; q is 0, 1 or 2;
Xi is 0, S, or N(R) ; X2 is S (0)p, wherein p is 0, 1, or 2; bond a is a single or double bond, provided that if a is a double bond, then q is 0 or 1;
Ri is -H, - (C1-C6) alkyl, - (C1-C6) alkyl-phenyl, or - (C3-C6) alkenyl;
Li is b loalkyl-, -aryl-, or -heteroaryl-; and
Y is -0-, -S-, -S(O)2-, -N(RN1)-, -N (RN1)C(0)-, -C (0)N(RN1) -S(O)2N(RN1)-, -N(RN1)S(O)2-, - (C1-C6) alkyl-0-, -0- (C1-C6) alkyl-, - (C1-C6) alkyl-0- (C1-C6) alkyl-, - (C1-C6) alkyl-S-, -S- (C1-C6) alkyl-,
- (C1-C6) alkyl-S- (C1-C6) alkyl-, - (C1-C6) alkyl-S (O)2-,
-S (O)2- (C1-C6) alkyl-, - (C1-C6) alkyl-S (O)2- (C1-C6) alkyl-,
- (C1-C6) alkyl-N (RN1) -, -N (RN1) - (C1-C6) alkyl-,
- (C1-C6) alkyl-N (RN1) - (C1-C6) alkyl-, - (C1-C6) alkyl-N (RN1) C (0) -, -N (RN1) C (0) - (C1-C6) alkyl-,
- (C1-C6) alkyl-N (RN1) C (0) - (C1-C6) alkyl-,
- (C1-C6) alkyl-C (0)N(RN1) -, -C (0) N (RN1) - (C1-C6) alkyl-,
- (C1-C6) alkyl-C (O)N (RN1)- (C1-C6) alkyl-,
- (C1-C6) alkyl-S (0)2N (RN1) -, -S (0)2N (RN1) - (C1-C6) alkyl-, - (C1-C6) alkyl-S (0)2N (RN1) - (C1-C6) alkyl-,
- (C1-C6) alkyl-N (RN1) S (0)2-, -N (RN1) S (0)2- (C1-C6) alkyl-,
- (C1-C6) alkyl-N (RN1) S (0)2- (C1-C6) alkyl-, -N (RN1) S (0)2N (RN2) - (C1-C6) alkyl-,
- (C1-C6) alkyl-N (RN1) S (0)2N (RN2) - (C1-C6) alkyl-, -N (RN1) C (O)N (RN2) - (C1-C6) alkyl-,
- (C1-C6) alkyl-N (RN1) C (0) N (RN2) - (C1-C6) alkyl-, -N(RN1)C (0)0- (C1-C6) alkyl-, or
- (C1-C6) alkyl-N (RN1) C (0) 0- (C1-C6) alkyl-, wherein the alkyl portion of each of the above are optionally substituted with 1, 2, 3, or 4 substituents that are independently
- (C1-C6) alkoxy, - (C1-C6) alkyl, - (C2-C6) alkenyl,
- (C2-C6) alkynyl, -C(O) (C1-C6) alkoxy,
-C (0) (C1-C6) alkyl, -C(O)OH, - (C1-C6) alkyl-C (0) OH, - (C1-C6) haloalkoxy, - (C1-C6) haloalkyl, -halogen,
-N(RN3RN4) , - (C1-C6) alkyl-N (RN3RN4) , or -C(O)N(RN3RN4) , wherein RN - ( C1-C6 ) al kyl , wherein RN3 and RN4 are each independently -H,
- (C1-C6) alkyl, - (C2-C6) alkenyl, - (C2-C6) alkynyl, -C (0) (C1-C6) alkoxy, -C (0) (C1-C6) alkyl, or -C(O)H; each R2 is independently -(C1-C6JaIkOXy, - (C1-C6) alkyl,
- (C2-C6) alkenyl, - (C2-C6) alkynyl, -C (0) (C1-C6) alkoxy, -C(O) (C1-C6) alkyl, -C(O)OH, -CN, - (C1-C6) haloalkoxy,
- (C1-C6) haloalkyl, -halogen, -OH, - (C1-C6) alkyl-OH, -NO2, -N(RN5RN6), - (C1-C6) alkyl-N (RN5RN6) , or -C (O)N(RN5RN6) wherein RNs and RN6 are each independently -H,
- (C1-C6) alkyl, - (C2-C6) alkenyl, - (C2-C6) alkynyl, -C(O) (C1-C6) alkoxy, -C(O) (C1-C6) alkyl,
-C(O) (C1-C6) alkyl-O- (C1-C6) alkyl, -C(O)H, -S (O)2- (C1-C6) alkyl, or -S(0)2-aryl; m is O, 1, 2, 3, or 4; L2 is a bond, - (C1-C6) alkyl-N (RN7) -, -N (RN7) - (C1-C6) alkyl-, or
- (C1-C6) alkyl-N (RN7) - (C1-C6) alkyl-, wherein each carbon is independently, and optionally substituted with one group which is - (C1-C6) alkyl, -aryl, - (C3-C8) cycloalkyl, -heterocycloalkyl, -heteroaryl, -COOH, or -C (0) (C1-C6) alkoxy; and RN7 is -H, - (C1-C6) alkyl, - (C2-C6) alkenyl,
- (C2-C6) alkynyl, -C(O) (C1-C6) alkoxy, -C(O) (C1-C6) alkyl,
-C(O) (C1-C6) alkyl- (C3-C8) cycloalkyl, or -C(O)H, or RN7 and one of RA taken together are - (CH2)q-, (CH)=N-, or -S (0)r-N (RNV ) -, and connect the nitrogen to which RN7 is attached to A, wherein q is 2, 3 or 4; r is 1 or 2; and RNV is -H or - (C1-C6) alkyl; A is -aryl- or each RA is independently - (C1-C6) alkoxy, - (C1-C6) alkyl,
- (C2-C6) alkenyl, - (C2-C6) alkynyl, -C (0) (C1-C6) alkoxy, -C(O) (C1-C6) alkyl, -C(O)OH, -CN, - (C1-C6) haloalkoxy,
- (C1-C6) haloalkyl, -halogen, -OH, -NO2, -phenyl, - (C1-C6) alkyl-phenyl, -N(RN8RN9), - (C1-C6) alkyl-N (RN8RN9) , or -C(O)N(RN8RN9) , wherein RN8 and RN9 are each independently -H,
- (C1-C6) alkyl, - (C2-C6) alkenyl, - (C2-C6) alkynyl, -C(O) (C1-C6) alkoxy, -C (0) (C1-C6) alkyl, or -C(O)H; and n is 0, 1, 2, 3, or 4. . A compound according to claim 1, wherein,
A is phenyl, naphthyl, furanyl, thienyl, pyridyl, pyrazolyl, pyrimidyl, imidazolyl, furanyl, thiazolyl, benzothiazolyl, isoxazolyl, oxadiazolyl, isothiazolyl, triazolyl, pyrrolyl, or pyrazolyl. . A compound according to claim 2, wherein,
Li is -0-, -S-, -N(RNi)-, - (C1-C6) alkyl-O- (C1-C6) alkyl-, - (C1-C6) alkyl-S-, -S- (C1-C6) alkyl-,
- (C1-C6) alkyl-S- (C1-C6) alkyl-,
- (C1-C6) alkyl-S (O)2-(C1-C6) alkyl-,
- (C1-C6) alkyl-N (RN1) - (C1-C6) alkyl-,
- (C1-C6) alkyl-N (RNi) C (0) - (C1-C6) alkyl-, - (C1-C6) alkyl-C(O) N(RNi) - (C1-C6) alkyl-, wherein the alkyl portion of each of the above is optionally substituted with 1, 2, 3, or 4 substituents that are independently
- (C1-C6) alkoxy, - (C1-C6) alkyl, - (C2-C6) alkenyl, - (C2-C6) alkynyl,
-C(O) (C1-C6) alkoxy, -C(O) (C1-C6) alkyl, -C(O)OH, - (C1-C6) alkyl-C (O)OH, oalkyl, -halogen, -N(RN3RN4) , - (C1-C6) alkyl-N (RN3RN4) , or -C(O)N(RN3RN4) , wherein RN1 is -H or - (C1-C6) alkyl, wherein RN3 and RN4 are each independently -H, - (C1-C6) alkyl,
- (C2-C6) alkenyl, - (C2-C6) alkynyl, -C (0) (C1-C6) alkoxy, -C (0) (C1-C6) alkyl, or -C(O)H. . A compound according to claim 3, of the formula,
(RA)n 3 OR1
Figure imgf000075_0001
R3 or a pharmaceutically acceptable salt thereof, wherein,
R3 is -H, - (C1-C6) alkyl, - (C2-C6) alkenyl, - (C2-C6) alkynyl, -C (0) (C1-C6) alkoxy,
-C(O) (C1-C6) alkyl, -C (0) (C1-C6) alkyl- (C3-C8) cycloalkyl, or -C(O)H. . A compound according to claim 4, wherein A is phenyl
6. A compound according to claim 5, of the formula,
W (R2X,
Figure imgf000075_0002
or a pharmaceutically acceptable salt thereof
7. A compound according to claim 6, of the formula,
Figure imgf000076_0001
or a pharmaceutically acceptable salt thereof. . A compound according to claim 7, wherein
L1 is - (C1-C6) alkyl-O- (C1-C6) alkyl- or - (C1-C6) alkyl-S- (C1-C6) alkyl-, wherein, the alkyl portion of each of the above is optionally substituted with 1, 2, 3, or 4 substituents that are independently
- (C1-C6) alkoxy, - (C1-C6) alkyl,
- (C2-C6) alkenyl,
- (C2-C6) alkynyl, -C(O) (C1-C6) alkoxy, -C(O) (C1-C6) alkyl, -C(O)OH,
- (C1-C6) alkyl-C (0) OH,
- (C1-C6)haloalkoxy, - (C1-C6) haloalkyl, -halogen, -N(RN3RN4), - (C1-C6) alkyl-N (RN3RN4) , or -C(O)N(RN3RN4), wherein RN3 and RN4 are each independently -H,
- (C1-C6) alkyl, - (C2-C6) alkenyl, -(C2-
C6) alkynyl, -C(O) (C1-C6) alkoxy, -C (0) (C1-C6) alkyl, or -C(O)H.
9. A compound according to claim 8, wherein
R3 is -H, - (C1-C6) alkyl, -C (0) (C1-C6) alkyl, or -C(O)
10. A compound according to claim 9, wherein RA is - (C1-C6) alkyl or benzyl.
11. A compound according to claim 10, wherein R1 is H. 2. A compound according to claim 6, of the formula,
Figure imgf000077_0001
or a pharmaceutically acceptable salt thereof. 3. A compound according to claim 12, wherein
L1 is - (C1-C6) alkyl-O- (C1-C6) alkyl- or - (C1-C6) alkyl-S- (C1-C6) alkyl-, wherein, the alkyl portion of each of the above is optionally substituted with 1, 2, 3, or 4 substituents that are independently
- (C1-C6) alkoxy, - (C1-C6) alkyl, - (C2-C6) alkenyl,
- (C2-C6) alkynyl, -C(O) (C1-C6) alkoxy, -C (O) (C1-C6) alkyl, -C(O)OH,
- (C1-C6) alkyl-C (O)OH,
- (C1-C6)haloalkoxy, - (C1-C6) haloalkyl, -halogen, -N(RN3RN4), - (C1-C6) alkyl-N (RN3RN4) , or -C(O)N(RN3RN4), wherein RN3 and RN4 are each - (C1-C6) alkyl, - (C2-C6) alkenyl, -(C2- C6) alkynyl,
-C(O) (C1-C6) alkoxy, -C(O) (C1-C6) alkyl, or -C(O)H. 4. A compound according to claim 13, wherein
R3 is -H, - (C1-C6) alkyl, -C (0) (C1-C6) alkyl, or -C (0) (C1-C6) alkyl- (C3-C8) cycloalkyl. 5. A compound according to claim 14, wherein RA is - (C1-C6) alkyl or benzyl. 6. A compound according to claim 15, wherein
R1 is H. 7. A compound according to claim 1, wherein,
L2 is - (C1-C6) alkyl-N (RN7)- (C1-C6) alkyl-, wherein the alkyl portions are each optionally substituted with one group which is - (C1-C6) alkyl, -aryl, -(C3-
Cs) cycloalkyl, -heterocycloalkyl, -heteroaryl, -COOH, or -C (0) (C1-C6) alkoxy; and RN7 is -H or - (C1-C6) alkyl. 8. A compound according to claim 1, which is
(S) -6- ( (4- (3-tert-butoxy-2- (dibenzo [b,d] furan-4- ylmethylamino) -3-oxopropyl) phenoxy) methyl) picolinic acid. 9. A compound according to claim 1, of the formula, -Y^OR1
M- n
Figure imgf000079_0001
0. A compound according to claim 19, wherein L2 is a bond. 1. A compound according to claim 19, wherein Y is - (C1-C6) alkyl-O- (C1-C6) alkyl-,
- (C1-C6) alkyl-S- (C1-C6) alkyl- or
- (C1-C6) alkyl-N (RN1) - (C1-C6) alkyl-, wherein RN1 is -H or - (C1-C6) alkyl, and wherein the alkyl portion of each of the above are optionally substituted with 1, 2, 3, or 4 substituents that are independently
- (C1-C6) alkoxy, - (C1-C6) alkyl, -C (O) (C1-C6) alkoxy, -C(O) (C1-C6) alkyl, -C(O)OH, -halogen, -N(RN3RN4), or -C(O)N(RN3RN4),
wherein RN3 and RN4 are each independently -H,
- (C1-C6) alkyl, -C (0) (C1-C6) alkoxy, or -C (0) (C1-C6) alkyl. 2. A compound according to claim 19, wherein
A is phenyl, naphthyl, furanyl, thienyl, pyridyl, pyrazolyl, pyrimidyl, imidazolyl, furanyl, thiazolyl, benzothiazolyl, isoxazolyl, oxadiazolyl, isothiazolyl, triazolyl, pyrrolyl, pyrazolyl, or dibenzofuryl . 3. A compound according to claim 19, of the formula,
Figure imgf000080_0001
24. A compound according to claim 23, wherein
Y is - (C1-C6) alkyl-O-(C1-C6)alkyl-, - (C1-C6) alkyl-S-(C1-C6) alkyl- or
- (C1-C6) alkyl-N(RN1) - (C1-C6) alkyl-, wherein RN1 is -H or - (C1-C6) alkyl, and wherein the alkyl portion of each of the above is optionally substituted with 1, 2, 3, or 4 substituents that are independently
- (C1-C6) alkoxy, -(C1-C6) alkyl, -C(O) (C1-C6) alkoxy,
-C(O) (C1-C6) alkyl, -C(O)OH, -halogen, -N(RN3RN4), Or -C(O)N(RN3RN4); wherein RN3 and RN4 are each independently -H,
-(C1-C6) alkyl, -C(O) (C1-C6) alkoxy, or -C(O) (C1-C6) alkyl.
25. A compound according to claim 23, wherein Ri is H1
26. A compound according to claim 1, which is
2- ( (1- (4- (dibenzo.b, d] furan-4-yl) -2- nitrophenyl)piperidin-4-yl)methylthio)acetic acid; 2- ( (1- (2-amino-4- (dibenzo[b,d] furan-4- yl) phenyl) piperidin-4-yl)methylthio)acetic acid; 2- ( (1- (4- (dibenzo [b, d] furan-4-yl) -2- (2- methoxyacetamido) phenyl) piperidin-4-yl )methylthio) acetic acid; or
2-( (1- (4- (dibenzo [b,α]f-uran-4-yl) -2- (methylsulfonamide)) phenyl ) piperidin-4- yl)methylthio) acetic acid.
27. A compound according to claim 19, wherein
L2 is - (C1-C6) alkyl-N(RN7)-, -N(RN7) - (C1-C6) alkyl-, or - (C1-C6) alkyl-N(RN7) - (C1-C6) alkyl-, wherein each carbon is independently, and optionally substituted with one group which is - (C1-C6) alkyl, - aryl, - (C3-C8) cycloalkyl, -heterocycloalkyl, heteroaryl, -COOH, or -C(O) (C1-C6) alkoxy; and RN7 is -H, - (C1-C6) alkyl, - (C2-C6) alkenyl ,
- (C2-C6) alkynyl, -C (O) (C1-C6) alkoxy, -C(O) (C1-C6) alkyl,
-C(O) (C1-C6) alkyl- (C3-C8) cycloalkyl, or -C(O)H, or RN7 and one of RA taken together are -(CH2)q-, - (CH)=N-, or -S (O)r-N(RN7' )-, and connect the nitrogen to which RN7 is attached to A, wherein q is 2, 3 or 4; r is 1 or 2; and RN7- is -H Or - (C1-C6) alkyl.
28. A compound according to claim 27, of the formula,
Figure imgf000081_0001
29. A compound according to claim 28, wherein Y is - (C1-C6) alkyl-O- (C1-C6) alkyl-,
- (C1-C6) alkyl-s-(C1-C6) alkyl- or
- (C1-C6) alkyl-N(RN1) - (C1-C6) alkyl- , wherein RN1 is -H or -(C1-C6) alkyl, and wherein the alkyl portion of each of the above is optionally substituted with 1, 2, 3, or 4 substituents that are independently
- (C1-C6) alkoxy, -(C1-C6) alkyl, -C(O) (C1-C6) alkoxy,
-C(O) (C1-C6 )alkγl, -C(O)OH, -halogen, -N(RN3RN4), or -C(O)N(RN3RN4) wherein RN3 and RN4 are each independently -H,
- (C1-C6)aIkyl, -C(O) (C1-C6) alkoxy, or -C(O) (C1-C6) alkyl.
30. A compound according to claim 28, wherein
RN7 and one of RA taken together are -(CH2)q- and connect the nitrogen to which RN7 is attached to A, wherein q is 2, 3 or 4.
31. A compound according to claim 28, wherein
R1 is H.
32. A compound according to claim 1, which is
2-( (1-(2-nitro-4-( (7-(trifluoromethyl) -3,4- dihydroquinolin-1 (2H) -yl)methyl)phenyl)piperidin-4- γl )methylthio) acetic acid; 2-( (l-(2-amino-4-( (7- (trifluoromethyl) -3 , 4- dihydroquinolin-1 (2H) -yl ) methyl) phenyl)piperidin-4- yl) methylthio) acetic acid; 2-( (l-(2-acetamido-4-{ (7- (trifluoromethyl) -3,4- dihydroquinolin-1 (2H) -yl)methyl) phenyl) piperidin-4- yl)methylthio) acetic acid;
2- { (l-(2-butyramido-4-( (7- (trifluoromethyl) -3,4- dihydroquinolin-1 (2H) -yl)methyl) phenyl) piperidin-4- yl)methylthio) acetic acid; or
2- ( (l-(2-(methylsulfonamido) -4- ( (7- (trifluoromethyl) -3, 4- dihydroquinolin-1(2H)-yl)methyl)phenyl)piperidin-4- yl)methylthio) acetic acid.
33. A compound according to claim 1, wherein D is of formula,
Figure imgf000083_0001
R is -H, -OH, - (C1-C6) alkyl, - (C1-C6) alkoxy, aryl, - heteroaryl, - (C3-C8) cycloalkyl, heterocycloalkyl,
-C(O) (C1-C6) alkoxy, -C (0) (C1-C6) alkyl, or -C (O) aryl;
R3 is -H, -halo, -amino, -NO2, -CN, -COOH,
-C(O) (C1-C6) alkoxy, -(C1-C6) alkyl, -aryl, - heteroaryl, - (C3-Ca) cycloalkyl, -heterocycloalkyl; Q is 0, 1 or 2;
X1 is 0, S, or N(R) ;
X2 is S(O)1,, wherein p is 0, 1, or 2,- bond a is a single or double bond, provided that if a is a double bond, then q is 0 or 1.
34. A compound according to claim 33, wherein L2 is a bond.
35. A compound according to claim 34, of the formula,
Figure imgf000084_0001
36. A compound according to claim 35, wherein
A is phenyl, naphthyl, furanyl, thienyl, pyridyl, pyrazolyl, pyrimidyl, imidazolyl, furanyl, thiazolyl, benzothiazolyl, isoxazolyl, oxadiazolyl, isothiazolyl, triazolyl, pyrrolyl, pyrazolyl, or dibenzofuryl.
37. A compound according to claim 36, wherein Xi is 0 or S; and R is -H or - (C1-C6) alkyl.
38. A compound according to claim 1 that is 2-tert-butyl-5- (4-dibenzo[b,d] furan-4- ylphenyl) isothiazol-3 (2H) -one 1-oxide; 2-tert-butyl-5- (4-dibenzo[b,d] furan-4- ylphenyl)isothiazol-3 (2H) -one 1,1-dioxide; or 5- (4-dibenzo[b,d] furan-4-ylphenyl) isothiazol-3 (2H) -one l,1-dioxide.
39. A compound according to claim 1 that is S- (4-{ [ (4-benzylphenyl) (3- cyclopentylpropanoyl) amino]methyl}benzyl) -N- ( tert- butoxycarbonyl) cysteine;
N- ( tert-butoxycarbonyl)-S-(4-{[(3- cyclopentylpropanoyl) (4- isopropylphenyl) amino]methyl}benzyl) cysteine; N- ( tert-butoxycarbonyl) -S-[4-({[4-(l- ethylpropyl)phenyl] (isopropyl) amino}methyl )benzyl] cystein e; or
(S) -3- (4- ( (N- (4-benzylphenyl) -3- cyclopentylpropanamido)methyl)benzylthio) -2- (tert- butoxycarbonylamino) propanoic acid.
40. A pharmaceutical composition comprising a compound of claim 1 and at least one pharmaceutically acceptable solvent, carrier, adjuvant or excipient.
41. A method of treating syndrome X, obesity, diabetes, immunological disease, cancer, or bleeding disorders comprising administering a pharmaceutically acceptable amount of a compound of claim 1 to a patient in need of such treatment .
42. A method of treating syndrome X, obesity, diabetes, immunological disease, cancer, or bleeding disorders comprising administering a pharmaceutical composition of claim 40 to a patient in need of such treatment. 3. A method of treating Type II diabetes comprising administering a pharmaceutically acceptable amount of a ompound of claim 1 to a patient in need of such treatment. 4. A method of treating Type II diabetes comprising dministering a pharmaceutical composition of claim 40 to a atient in need of such treatment.
PCT/US2007/0782822006-09-132007-09-12Para-xylylene carboxylic acids and isothiazolones useful as protein tyrosine phosphatases (ptps) in particular ptp-ibWO2008033931A1 (en)

Applications Claiming Priority (2)

Application NumberPriority DateFiling DateTitle
US82549706P2006-09-132006-09-13
US60/825,4972006-09-13

Publications (1)

Publication NumberPublication Date
WO2008033931A1true WO2008033931A1 (en)2008-03-20

Family

ID=38956378

Family Applications (1)

Application NumberTitlePriority DateFiling Date
PCT/US2007/078282WO2008033931A1 (en)2006-09-132007-09-12Para-xylylene carboxylic acids and isothiazolones useful as protein tyrosine phosphatases (ptps) in particular ptp-ib

Country Status (1)

CountryLink
WO (1)WO2008033931A1 (en)

Cited By (14)

* Cited by examiner, † Cited by third party
Publication numberPriority datePublication dateAssigneeTitle
WO2009021740A2 (en)2007-08-152009-02-19Sanofis-AventisSubstituted tetrahydronaphthalenes, process for the preparation thereof and the use thereof as medicaments
WO2011107494A1 (en)2010-03-032011-09-09SanofiNovel aromatic glycoside derivatives, medicaments containing said compounds, and the use thereof
WO2011157827A1 (en)2010-06-182011-12-22SanofiAzolopyridin-3-one derivatives as inhibitors of lipases and phospholipases
WO2011161030A1 (en)2010-06-212011-12-29SanofiHeterocyclic substituted methoxyphenyl derivatives having an oxo group, method for producing same, and use thereof as gpr40 receptor modulators
WO2012004269A1 (en)2010-07-052012-01-12Sanofi(2-aryloxy-acetylamino)-phenyl-propionic acid derivatives, method for producing same and use thereof as pharmaceuticals
WO2012004270A1 (en)2010-07-052012-01-12SanofiSpirocyclically substituted 1,3-propane dioxide derivatives, methods for the production thereof and use of the same as medicament
WO2012010413A1 (en)2010-07-052012-01-26SanofiAryloxy-alkylene substituted hydroxyphenyl hexynoic acids, methods for the production thereof and use of the same as medicament
WO2012046869A1 (en)2010-10-082012-04-12持田製薬株式会社Cyclic amide derivative
WO2012147516A1 (en)2011-04-282012-11-01持田製薬株式会社Cyclic amide derivative
WO2013037390A1 (en)2011-09-122013-03-21Sanofi6-(4-hydroxy-phenyl)-3-styryl-1h-pyrazolo[3,4-b]pyridine-4-carboxylic acid amide derivatives as kinase inhibitors
WO2013045413A1 (en)2011-09-272013-04-04Sanofi6-(4-hydroxy-phenyl)-3-alkyl-1h-pyrazolo[3,4-b]pyridine-4-carboxylic acid amide derivatives as kinase inhibitors
US8455500B2 (en)2009-10-302013-06-04Mochida Pharmaceutical Co., Ltd.3-hydroxy-5-arylisoxazole derivative
US8476287B2 (en)2009-12-252013-07-02Mochida Pharmaceutical Co., Ltd.3-hydroxy-5-arylisothiazole derivative
US8557766B2 (en)2011-04-272013-10-15Mochida Pharmaceutical Co., Ltd.3-hydroxyisothiazole 1-oxide derivatives

Citations (10)

* Cited by examiner, † Cited by third party
Publication numberPriority datePublication dateAssigneeTitle
GB1249492A (en)*1967-10-061971-10-13Geigy Ag J RNew aryloxyalkanoic acid and salts thereof
WO1997038986A1 (en)*1996-04-121997-10-23G.D. Searle & Co.Substituted benzenesulfonamide derivatives as prodrugs of cox-2 inhibitors
US5968980A (en)*1994-12-141999-10-19Santen Pharmaceutical Co., Ltd.1,3-dialkylurea derivative
WO1999058518A2 (en)*1998-05-121999-11-18American Home Products CorporationBiphenyl oxo-acetic acids useful in the treatment of insulin resistance and hyperglycemia
DE10150172A1 (en)*2001-10-112003-04-30Morphochem AgNew 5-amino-4-phenyl-1H-imidazole derivatives useful as protein tyrosine phosphatase 1B inhibitors, for treating e.g. diabetes and obesity
WO2004099170A2 (en)*2003-04-302004-11-18The Institutes For Pharmaceutical Discovery, LlcPhenyl substituted carboxylic acids as inhibitors of protein tyrosine phosphatase-1b
WO2004099171A2 (en)*2003-04-302004-11-18The Institutes For Pharmaceutical Discovery, LlcSubstituted amino carboxylic acids as inhibitors of protein tyrosine phosphatase-1b
WO2005035551A2 (en)*2003-10-082005-04-21Incyte CorporationInhibitors of proteins that bind phosphorylated molecules
WO2006055625A2 (en)*2004-11-182006-05-26The Institutes For Pharmaceutical Discovery, LlcHeterocyclylbiphenyl derivates as protein tyrosine phosphatase inhibitors
WO2006055725A2 (en)*2004-11-182006-05-26The Institutes For Pharmaceutical Discovery, LlcSubstituted amino acids as protein tyrosine phosphatase inhibitors

Patent Citations (10)

* Cited by examiner, † Cited by third party
Publication numberPriority datePublication dateAssigneeTitle
GB1249492A (en)*1967-10-061971-10-13Geigy Ag J RNew aryloxyalkanoic acid and salts thereof
US5968980A (en)*1994-12-141999-10-19Santen Pharmaceutical Co., Ltd.1,3-dialkylurea derivative
WO1997038986A1 (en)*1996-04-121997-10-23G.D. Searle & Co.Substituted benzenesulfonamide derivatives as prodrugs of cox-2 inhibitors
WO1999058518A2 (en)*1998-05-121999-11-18American Home Products CorporationBiphenyl oxo-acetic acids useful in the treatment of insulin resistance and hyperglycemia
DE10150172A1 (en)*2001-10-112003-04-30Morphochem AgNew 5-amino-4-phenyl-1H-imidazole derivatives useful as protein tyrosine phosphatase 1B inhibitors, for treating e.g. diabetes and obesity
WO2004099170A2 (en)*2003-04-302004-11-18The Institutes For Pharmaceutical Discovery, LlcPhenyl substituted carboxylic acids as inhibitors of protein tyrosine phosphatase-1b
WO2004099171A2 (en)*2003-04-302004-11-18The Institutes For Pharmaceutical Discovery, LlcSubstituted amino carboxylic acids as inhibitors of protein tyrosine phosphatase-1b
WO2005035551A2 (en)*2003-10-082005-04-21Incyte CorporationInhibitors of proteins that bind phosphorylated molecules
WO2006055625A2 (en)*2004-11-182006-05-26The Institutes For Pharmaceutical Discovery, LlcHeterocyclylbiphenyl derivates as protein tyrosine phosphatase inhibitors
WO2006055725A2 (en)*2004-11-182006-05-26The Institutes For Pharmaceutical Discovery, LlcSubstituted amino acids as protein tyrosine phosphatase inhibitors

Non-Patent Citations (1)

* Cited by examiner, † Cited by third party
Title
MALAMAS M S ET AL: "Novel Benzofuran and Benzothiophene Biphenyls as Inhibitors of Protein Tyrosine Phosphatase 1B with Antihyperglycemic Properties", JOURNAL OF MEDICINAL CHEMISTRY, AMERICAN CHEMICAL SOCIETY. WASHINGTON, US, vol. 43, 2000, pages 1293 - 1310, XP002216395, ISSN: 0022-2623*

Cited By (21)

* Cited by examiner, † Cited by third party
Publication numberPriority datePublication dateAssigneeTitle
WO2009021740A2 (en)2007-08-152009-02-19Sanofis-AventisSubstituted tetrahydronaphthalenes, process for the preparation thereof and the use thereof as medicaments
US8455500B2 (en)2009-10-302013-06-04Mochida Pharmaceutical Co., Ltd.3-hydroxy-5-arylisoxazole derivative
US8476287B2 (en)2009-12-252013-07-02Mochida Pharmaceutical Co., Ltd.3-hydroxy-5-arylisothiazole derivative
WO2011107494A1 (en)2010-03-032011-09-09SanofiNovel aromatic glycoside derivatives, medicaments containing said compounds, and the use thereof
WO2011157827A1 (en)2010-06-182011-12-22SanofiAzolopyridin-3-one derivatives as inhibitors of lipases and phospholipases
WO2011161030A1 (en)2010-06-212011-12-29SanofiHeterocyclic substituted methoxyphenyl derivatives having an oxo group, method for producing same, and use thereof as gpr40 receptor modulators
WO2012010413A1 (en)2010-07-052012-01-26SanofiAryloxy-alkylene substituted hydroxyphenyl hexynoic acids, methods for the production thereof and use of the same as medicament
WO2012004270A1 (en)2010-07-052012-01-12SanofiSpirocyclically substituted 1,3-propane dioxide derivatives, methods for the production thereof and use of the same as medicament
WO2012004269A1 (en)2010-07-052012-01-12Sanofi(2-aryloxy-acetylamino)-phenyl-propionic acid derivatives, method for producing same and use thereof as pharmaceuticals
WO2012046869A1 (en)2010-10-082012-04-12持田製薬株式会社Cyclic amide derivative
JP2016028072A (en)*2010-10-082016-02-25持田製薬株式会社 Cyclic amide derivative
JP5809157B2 (en)*2010-10-082015-11-10持田製薬株式会社 Cyclic amide derivative
US9040525B2 (en)2010-10-082015-05-26Mochida Pharmaceutical Co., Ltd.Cyclic amide derivative
US8765752B2 (en)2011-04-272014-07-01Mochida Pharmaceutical Co., Ltd.3-hydroxyisothiazole 1-oxide derivatives
US8629102B2 (en)2011-04-272014-01-14Mochida Pharmaceutical Co., Ltd.3-hydroxyisothiazole 1-oxide derivatives
US8557766B2 (en)2011-04-272013-10-15Mochida Pharmaceutical Co., Ltd.3-hydroxyisothiazole 1-oxide derivatives
JPWO2012147516A1 (en)*2011-04-282014-07-28持田製薬株式会社 Cyclic amide derivative
US9072758B2 (en)2011-04-282015-07-07Mochida Pharmaceutical Co., Ltd.Cyclic amide derivative
WO2012147516A1 (en)2011-04-282012-11-01持田製薬株式会社Cyclic amide derivative
WO2013037390A1 (en)2011-09-122013-03-21Sanofi6-(4-hydroxy-phenyl)-3-styryl-1h-pyrazolo[3,4-b]pyridine-4-carboxylic acid amide derivatives as kinase inhibitors
WO2013045413A1 (en)2011-09-272013-04-04Sanofi6-(4-hydroxy-phenyl)-3-alkyl-1h-pyrazolo[3,4-b]pyridine-4-carboxylic acid amide derivatives as kinase inhibitors

Similar Documents

PublicationPublication DateTitle
WO2008033931A1 (en)Para-xylylene carboxylic acids and isothiazolones useful as protein tyrosine phosphatases (ptps) in particular ptp-ib
WO2008033932A2 (en)Biarylthiazole carboxylic acid derivatives as protein tyrosine phosphatase-ib inhibitors
AU2004236247B2 (en)Substituted amino carboxylic acids as inhibitors of protein tyrosine phosphatase-1 B
WO2008033455A2 (en)Biphenyl and heteroaryl phenyl derivatives as protein tyrosine phosphatases inhibitors
EP1633354B1 (en)N-(((((1,3-thiazol-2-yl)amino)carbonyl)phenyl)sulfonyl)phenylalanine derivatives and related compounds for the treatment of diabetes
AU2004236173B2 (en)Substituted carboxylic acids
WO2008033934A1 (en)Substituted heteroaryl carboxylic acid derivatives as ptb-1b inhibitors
US7465825B2 (en)Phenyl substituted carboxylic acids
US20060100251A1 (en)Substituted phenylalkanoic acids
EP1210339A1 (en)Benzoic acid derivatives for the treatment of diabetes mellitus
AU2004236248A1 (en)Phenyl substituted carboxylic acids
US7498356B2 (en)Substituted amino carboxylic acids
US20060094747A1 (en)Substituted carboxylic acids

Legal Events

DateCodeTitleDescription
121Ep: the epo has been informed by wipo that ep was designated in this application

Ref document number:07842339

Country of ref document:EP

Kind code of ref document:A1

NENPNon-entry into the national phase

Ref country code:DE

122Ep: pct application non-entry in european phase

Ref document number:07842339

Country of ref document:EP

Kind code of ref document:A1


[8]ページ先頭

©2009-2025 Movatter.jp