Movatterモバイル変換


[0]ホーム

URL:


WO2008014341A1 - Methods and systems for detecting deviation of a process variable from expected values - Google Patents

Methods and systems for detecting deviation of a process variable from expected values
Download PDF

Info

Publication number
WO2008014341A1
WO2008014341A1PCT/US2007/074355US2007074355WWO2008014341A1WO 2008014341 A1WO2008014341 A1WO 2008014341A1US 2007074355 WUS2007074355 WUS 2007074355WWO 2008014341 A1WO2008014341 A1WO 2008014341A1
Authority
WO
WIPO (PCT)
Prior art keywords
region
process variable
variable data
model
values
Prior art date
Application number
PCT/US2007/074355
Other languages
French (fr)
Inventor
John P. Miller
Ravi Kant
Original Assignee
Fisher-Rosemount Systems, Inc.
Priority date (The priority date is an assumption and is not a legal conclusion. Google has not performed a legal analysis and makes no representation as to the accuracy of the date listed.)
Filing date
Publication date
Priority claimed from US11/492,467external-prioritypatent/US7912676B2/en
Priority claimed from US11/492,460external-prioritypatent/US8606544B2/en
Application filed by Fisher-Rosemount Systems, Inc.filedCriticalFisher-Rosemount Systems, Inc.
Publication of WO2008014341A1publicationCriticalpatent/WO2008014341A1/en

Links

Classifications

Definitions

Landscapes

Abstract

In methods and systems that may facilitate detecting abnormal operation in a process plant, values of a process variable are analyzed to determine whether they significantly deviate from expected values. If there is a significant deviation, an indicator may be generated. Analyzing the process variable may include, for example, utilizing a plurality of thresholds determined based on statistics of the process variable. Analyzing the process variable may also include, for example, determining whether a first number of values of the process variable are in a first region, and whether a second number of values are in a second region.

Description

METHODS AND SYSTEMS FOR DETECTING DEVIATION OF A PROCESS VARIABLE FROM EXPECTED VALUES
CROSS-REFERENCES TO RELATED APPLICATIONS
[0001] This application is related to the following commonly-owned, co-pending patent application: U.S. Patent Application No. 11/492,347, entitled "METHODS AND SYSTEMS FOR DETECTING DEVIATION OF A PROCESS VARIABLE FROM EXPECTED VALUES," filed on the same day as the present application. The above-referenced patent application is hereby incorporated by reference herein, in its entirety.
Technical Field
[0002] This disclosure relates generally to process control systems and, more particularly, to systems for monitoring and/or modeling processes.
Description of the Related Art
[0003] Process control systems, such as distributed or scalable process control systems like those used in chemical, petroleum or other processes, typically include one or more process controllers communicatively coupled to each other, to at least one host or operator workstation and to one or more field devices via analog, digital or combined analog/digital buses. The field devices, which may be, for example valves, valve positioners, switches and transmitters (e.g., temperature, pressure and flow rate sensors), perform functions within the process such as opening or closing valves and measuring process parameters. The process controller receives signals indicative of process measurements made by the field devices and/or other of information pertaining to the field devices, uses this information to implement a control routine and then generates control signals which are sent over the buses to the field devices to control the operation of the process. Information from the field devices and the controller is typically made available to one or more applications executed by the operator workstation to enable an operator to perform any desired function with respect to the process, such as viewing the current state of the process, modifying the operation of the process, etc.
[0004] In the past, conventional field devices were used to send and receive analog (e.g., 4 to 20 milliamps) signals to and from the process controller via an analog bus or analog lines. These 4 to 20 rnA signals were limited in nature in that they were indicative of measurements made by the device or of control signals generated by the controller required to control the operation of the device. However, in the past decade or so, smart field devices including a microprocessor and a memory have become prevalent in the process control industry. In addition to performing a primary function within the process, smart field devices store data pertaining to the device, communicate with the controller and/or other devices in a digital or combined digital and analog format, and perform secondary tasks such as self calibration, identification, diagnostics, etc. A number of standard and open smart device communication protocols such as the HART®, PROFIBUS®, WORLDFIP®, Device Net®, and CAN protocols, have been developed to enable smart field devices made by different manufacturers to be used together within the same process control network. Moreover, the all digital, two wire bus protocol promulgated by the Fieldbus Foundation, known as the FOUNDATION™ Fieldbus (hereinafter "Fieldbus") protocol uses function blocks located in different field devices to perform control operations previously performed within a centralized controller. In this case, the Fieldbus field devices are capable of storing and executing one or more function blocks, each of which receives inputs from and/or provides outputs to other function blocks (either within the same device or within different devices), and performs some process control operation, such as measuring or detecting a process parameter, controlling a device or performing a control operation, like implementing a proportional-integral-derivative (PID) control routine. The different function blocks within a process control system are configured to communicate with each other (e.g., over a bus) to form one or more process control loops, the individual operations of which are spread throughout the process and are, thus, decentralized.
[0005] Information from the field devices and the process controllers is typically made available to one or more other hardware devices such as operator workstations, maintenance workstations, personal computers, handheld devices, data historians, report generators, centralized databases, etc., to enable an operator or a maintenance person to perform desired functions with respect to the process such as, for example, changing settings of the process control routine, modifying the operation of the control modules within the process controllers or the smart field devices, viewing the current state of the process or of particular devices within the process plant, viewing alarms generated by field devices and process controllers, simulating the operation of the process for the purpose of training personnel or testing the process control software, diagnosing problems or hardware failures within the process plant, etc. [0006] While a typical process plant has many process control and instrumentation devices such as valves, transmitters, sensors, etc. connected to one or more process controllers, there are many other supporting devices that are also necessary for or related to process operation. These additional devices include, for example, power supply equipment, power generation and distribution equipment, rotating equipment such as turbines, motors, etc., which are located at numerous places in a typical plant. While this additional equipment does not necessarily create or use process variables and, in many instances, is not controlled or even coupled to a process controller for the purpose of affecting the process operation, this equipment is nevertheless important to, and ultimately necessary for proper operation of the process.
[0007] As is known, problems frequently arise within a process plant environment, especially a process plant having a large number of field devices and supporting equipment. These problems may take the form of broken or malfunctioning devices, logic elements, such as software routines, being in improper modes, process control loops being improperly tuned, one or more failures in communications between devices within the process plant, etc. These and other problems, while numerous in nature, generally result in the process operating in an abnormal state (i.e., the process plant being in an abnormal situation) which is usually associated with sub optimal performance of the process plant. Many diagnostic tools and applications have been developed to detect and determine the cause of problems within a process plant and to assist an operator or a maintenance person to diagnose and correct the problems, once the problems have occurred and been detected. For example, operator workstations, which are typically connected to the process controllers through communication connections such as a direct or wireless bus, Ethernet, modem, phone line, and the like, have processors and memories that are adapted to run software or firmware, such as the DeltaV™ and Ovation control systems, sold by Emerson Process Management which includes numerous control module and control loop diagnostic tools. Likewise, maintenance workstations, which may be connected to the process control devices, such as field devices, via the same communication connections as the controller applications, or via different communication connections, such as OPC connections, handheld connections, etc., typically include one or more applications designed to view maintenance alarms and alerts generated by field devices within the process plant, to test devices within the process plant and to perform maintenance activities on the field devices and other devices within the process plant. Similar diagnostic applications have been developed to diagnose problems within the supporting equipment within the process plant.
[0008] Thus, for example, the AMS™ Suite: Intelligent Device Manager application (at least partially disclosed in U.S. Patent Number 5,960,214 entitled "Integrated Communication Network for use in a Field Device Management System") sold by Emerson Process Management, enables communication with and stores data pertaining to field devices to ascertain and track the operating state of the field devices. In some instances, the AMS™ application may be used to communicate with a field device to change parameters within the field device, to cause the field device to run applications on itself such as, for example, self- calibration routines or self-diagnostic routines, to obtain information about the status or health of the field device, etc. This information may include, for example, status information (e.g., whether an alarm or other similar event has occurred), device configuration information (e.g., the manner in which the field device is currently or may be configured and the type of measuring units used by the field device), device parameters (e.g., the field device range values and other parameters), etc. Of course, this information may be used by a maintenance person to monitor, maintain, and/or diagnose problems with field devices.
[0009] Similarly, many process plants include equipment monitoring and diagnostic applications such as, for example, RBMware provided by CSI Systems, or any other known applications used to monitor, diagnose, and optimize the operating state of various rotating equipment. Maintenance personnel usually use these applications to maintain and oversee the performance of rotating equipment in the plant, to determine problems with the rotating equipment, and to determine when and if the rotating equipment must be repaired or replaced. Similarly, many process plants include power control and diagnostic applications such as those provided by, for example, the Liebert and ASCO companies, to control and maintain the power generation and distribution equipment. It is also known to run control optimization applications such as, for example, real-time optimizers (RTO+), within a process plant to optimize the control activities of the process plant. Such optimization applications typically use complex algorithms and/or models of the process plant to predict how inputs may be changed to optimize operation of the process plant with respect to some desired optimization variable such as, for example, profit.
[0010] These and other diagnostic and optimization applications are typically implemented on a system- wide basis in one or more of the operator or maintenance workstations, and may provide preconfigured displays to the operator or maintenance personnel regarding the operating state of the process plant, or the devices and equipment within the process plant. Typical displays include alarming displays that receive alarms generated by the process controllers or other devices within the process plant, control displays indicating the operating state of the process controllers and other devices within the process plant, maintenance displays indicating the operating state of the devices within the process plant, etc. Likewise, these and other diagnostic applications may enable an operator or a maintenance person to retune a control loop or to reset other control parameters, to run a test on one or more field devices to determine the current status of those field devices, to calibrate field devices or other equipment, or to perform other problem detection and correction activities on devices and equipment within the process plant.
[0011] While these various applications and tools are very helpful in identifying and correcting problems within a process plant, these diagnostic applications are generally configured to be used only after a problem has already occurred within a process plant and, therefore, after an abnormal situation already exists within the plant. Unfortunately, an abnormal situation may exist for some time before it is detected, identified and corrected using these tools, resulting in the suboptimal performance of the process plant for the period of time during which the problem is detected, identified and corrected. In many cases, a control operator will first detect that some problem exists based on alarms, alerts or poor performance of the process plant. The operator will then notify the maintenance personnel of the potential problem. The maintenance personnel may or may not detect an actual problem and may need further prompting before actually running tests or other diagnostic applications, or performing other activities needed to identify the actual problem. Once the problem is identified, the maintenance personnel may need to order parts and schedule a maintenance procedure, all of which may result in a significant period of time between the occurrence of a problem and the correction of that problem, during which time the process plant runs in an abnormal situation generally associated with the sub-optimal operation of the plant.
[0012] Additionally, many process plants can experience an abnormal situation which results in significant costs or damage within the plant in a relatively short amount of time. For example, some abnormal situations can cause significant damage to equipment, the loss of raw materials, or significant unexpected downtime within the process plant if these abnormal situations exist for even a short amount of time. Thus, merely detecting a problem within the plant after the problem has occurred, no matter how quickly the problem is corrected, may still result in significant loss or damage within the process plant. As a result, it is desirable to try to prevent abnormal situations from arising in the first place, instead of simply trying to react to and correct problems within the process plant after an abnormal situation arises.
[0013] One technique that may be used to collect data that enables a user to predict the occurrence of certain abnormal situations within a process plant before these abnormal situations actually arise, with the purpose of taking steps to prevent the predicted abnormal situation before any significant loss within the process plant takes place. This procedure is disclosed in U.S. Patent Application Serial No. 09/972,078, entitled "Root Cause Diagnostics" (based in part on U.S. Patent Application Serial No. 08/623,569, now U.S. Patent No. 6,017,143). The entire disclosures of both of these applications are hereby incorporated by reference herein. Generally speaking, this technique places statistical data collection and processing blocks or statistical processing monitoring (SPM) blocks, in each of a number of devices, such as field devices, within a process plant. The statistical data collection and processing blocks collect, for example, process variable data and determine certain statistical measures associated with the collected data, such as a mean, a median, a standard deviation, etc. These statistical measures may then be sent to a user and analyzed to recognize patterns suggesting the future occurrence of a known abnormal situation. Once a particular suspected future abnormal situation is detected, steps may be taken to correct the underlying problem, thereby avoiding the abnormal situation in the first place.
[0014] Other techniques have been developed to monitor and detect problems in a process plant. One such technique is referred to as Statistical Process Control (SPC). SPC has been used to monitor variables, such as quality variables, associated with a process and flag an operator when the quality variable is detected to have moved from its "statistical" norm. With SPC, a small sample of a variable, such as a key quality variable, is used to generate statistical data for the small sample. The statistical data for the small sample is then compared to statistical data corresponding to a much larger sample of the variable. The variable may be generated by a laboratory or analyzer, or retrieved from a data historian. SPC alarms are generated when the small sample's average or standard deviation deviates from the large sample's average or standard deviation, respectively, by some predetermined amount. An intent of SPC is to avoid making process adjustments based on normal statistical variation of the small samples. Charts of the average or standard deviation of the small samples may be displayed to the operator on a console separate from a control console.
[0015] Another technique analyzes multiple variables and is referred to as multivariable statistical process control (MSPC). This technique uses algorithms such as principal component analysis (PCA) and projections to latent structures (PLS) which analyze historical data to create a statistical model of the process. In particular, samples of variables corresponding to normal operation and samples of variables corresponding to abnormal operation are analyzed to generate a model to determine when an alarm should be generated. Once the model has been defined, variables corresponding to a current process may be provided to the model, which may generate an alarm if the variables indicate an abnormal operation.
[0016] With model-based performance monitoring system techniques, a model is utilized, such as a correlation-based model or a first-principles model, that relates process inputs to process outputs. The model may be calibrated to the actual plant operation by adjusting internal tuning constants or bias terms. The model can be used to predict when the process is moving into an abnormal region and alert the operator to take action. An alarm may be generated when there is a significant deviation in actual versus predicted behavior or when there is a big change in a calculated efficiency parameter. Model-based performance monitoring systems typically cover as small as a single unit operation (e.g. a pump, a compressor, a heater, a column, etc.) or a combination of operations that make up a process unit (e.g. crude unit, fluid catalytic cracking unit (FCCU), reformer, etc.)
Summary of the Disclosure
[0017] Example methods and systems are disclosed that may facilitate detecting abnormal operation in a process plant. Generally speaking, values of a process variable are analyzed to determine whether they significantly deviate from expected values. If there is a significant deviation, an indicator may be generated. A significant deviation may indicate abnormal operation. The process variable may be, for example, a measured process variable or a signal generated by processing a measured variable. For example, the process variable could be a mean signal or some other statistical signal generated by processing a measured process variable. As another example, the process variable could be a signal generated by filtering a measured process variable. The expected values could comprise one or more nominal values of the process variable, an output of a model of the process variable, etc. [0018] In one aspect, example methods and systems are disclosed in which statistics of the process variable are used to generate thresholds for determining whether the process variable significantly deviates from expected values. In one example implementation, an expected standard deviation of the process variable is used to generate a plurality of thresholds at different multiples of the standard deviation. In other implementations, other statistics may be used. Different numbers of values may be associated with the different thresholds. For example, if thresholds of integer multiples of the standard deviation are generated, a first number of values exceeding a one-standard deviation threshold would indicate a significant deviation, but a smaller second number of values exceeding a two-standard deviation threshold would indicate a significant deviation.
[0019] In another aspect, example methods and systems are disclosed in which a process variable may be analyzed to determine if a first number of values is within a first region. Additionally, it may be determined whether a second number of values is within a second region, wherein the second number is greater than the first number, and wherein the first region is different than the second region. If it is determined that the first number of values is within the first region or the second number of values is within the second region, an indicator of significant deviation may be generated.
Brief Description of the Drawings
[0020] Fig. 1 is a block diagram of an example process plant having a distributed control and maintenance network including one or more operator and maintenance workstations, controllers, field devices and supporting equipment;
[0021] Fig. 2 is a block diagram of a portion of the process plant of Fig. 1 , illustrating communication interconnections between various components of an abnormal situation prevention system located within different elements of the process plant;
[0022] Fig. 3 is a block diagram of an example abnormal operation detection (AOD) system that may determine whether a process variable significantly deviates from a predicted value;
[0023] Fig. 4 is a flow diagram of an example method for detecting a trend that values of a process variable are moving away from corresponding predicted values;
[0024] Fig. 5 is a flow diagram of another example method for detecting a trend that values of a process variable are moving away from corresponding predicted values; [0025] Fig. 6 is a flow diagram of an example method for detecting cycling of a process variable;
[0026] Fig. 7 is a block diagram of an example cycling detection system;
[0027] Fig. 8 is a block diagram of an example threshold system that may determine whether a process variable significantly deviates from a predicted value based on one or more thresholds;
[0028] Fig. 9 is a flow diagram of an example method for determining whether a process variable significantly deviates from a predicted value;
[0029] Fig. 10 is a block diagram of an example system for determining whether a process variable significantly deviates from a predicted value;
[0030] Fig. 11 is a flow diagram of another example method for determining whether a process variable significantly deviates, in a positive direction, from a predicted value;
[0031] Fig. 12 is a block diagram of yet another example AOD system implemented on a Fieldbus segment of a process plant;
[0032] Fig. 13 is a depiction of an interface device connected within a further process plant to facilitate implementation of one or more AOD systems; and
[0033] Fig. 14 is a depiction of an interface device connected within still another process plant to facilitate implementation of one or more AOD systems;
[0034] Fig. 15 is an example abnormal operation detection (AOD) system that utilizes one or more regression models;
[0035] Fig. 16 is flow diagram of an example method that may be implemented using the example AOD system of Fig. 15;
[0036] Fig. 17 is a flow diagram of an example method for initially training the model of Fig. 15;
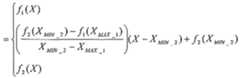
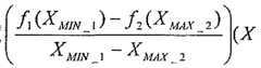
[0037] Fig. 18A is a graph showing a plurality of data sets that may be used by the model of Fig. 15 to develop a regression model;
[0038] Fig. 18B is a graph showing a regression model developed using the plurality of data sets of Fig. 18 A; [0039] Fig. 18C is graph showing the regression model of Fig, 18B and its range of validity;
[0040] Fig. 19 is flow diagram of an example method that may be implemented using the example abnormal operation detection system of Fig. 15;
[0041] Fig. 2OA is a graph showing a received data set and a corresponding predicted value generated by the model of Fig. 15;
[0042] Fig. 2OB is a graph showing another received data set and another corresponding predicted value generated by the model of Fig. 15;
[0043] Fig. 21 A is a graph showing a plurality of data sets that may be used by the model of Fig. 15 to develop a second regression model in a different operating region;
[0044] Fig. 21B is a graph showing a second regression model developed using the plurality of data sets of Fig. 21 A;
[0045] Fig. 21C is a graph showing an updated model and its range of validity;
[0046] Fig. 22 is a flow diagram of an example method for updating the model of Fig. 15;
[0047] Fig. 23 A is a graph showing a plurality of data sets that may be used by the model of Fig. 15 to develop further regression models in different operating regions;
[0048] Fig. 23B is a graph showing a further regression models developed using the plurality of data sets of Fig. 23A;
[0049] Fig. 23C is a graph showing a further updated model and its range of validity;
[0050] Fig. 24 is another example AOD system that utilizes one or more regression models;
[0051] Fig. 25 is a block diagram of an example control system for regulating the level of material in a tank;
[0052] Fig. 26 is a block diagram of an example system that may be used to detect an abnormal condition associated with the control system of Fig. 25;
[0053] Fig. 27 is an example state transition diagram corresponding to an alternative operation of an AOD system such as the AOD systems of Figs. 3 and 12; [0054] Fig. 28 is a flow diagram of an example method of operation in a LEARNING state of an AOD system; f 0055] Fig. 29 is a flow diagram of an example method for updating a model of an AOD system;
[0056] Fig. 30 is a flow diagram of an example method of operation in a MONITORING state of an AOD system;
[0057] Fig. 31 A is a graph showing a plurality of data sets collected during a LEARNING state an AOD system;
[0058] Fig. 3 IB is a graph showing an initial regression model corresponding to the plurality of data sets of Fig. 31 A;
[0059] Fig. 31C is a graph showing a received data set and a corresponding predicted value generated during a MONITORING state of an AOD system;
[0060] Fig. 3 ID is a graph showing a received data set that is out of a validity range of a model;
[0061] Fig. 31E is a graph showing a plurality of data sets in different operating region collected during a LEARNING state an AOD system;
[0062] Fig. 3 IF is a graph showing a second regression model developed using the plurality of data sets of Fig. 3 IE;
[0063] Fig. 3 IG is a graph showing an updated model and also showing a received data set and a corresponding predicted value generated during a MONITORING state of an AOD system;
[0064] Fig. 3 IH is a graph showing a plurality of data sets collected during a LEARNING state an AOD system; and
[0065] Fig. 311 is a graph showing an updated model developed using the plurality of data sets of Fig. 3 IH.
Detailed Description
[0066] Referring now to Fig. 1, an example process plant 10 in which an abnormal situation prevention system may be implemented includes a number of control and maintenance systems interconnected together with supporting equipment via one or more communication networks. In particular, the process plant 10 of Fig. 1 includes one or more process control systems 12 and 14. The process control system 12 maybe a traditional process control system such as a PROVOX or RS 3 system or any other control system which includes an operator interface 12A coupled to a controller 12B and to input/output (I/O) cards 12C which, in turn, are coupled to various field devices such as analog and Highway Addressable Remote Transmitter (HART) field devices 15. The process control system 14, which may be a distributed process control system, includes one or more operator interfaces 14A coupled to one or more distributed controllers 14B via a bus, such as an Ethernet bus. The controllers 14B may be, for example, DeltaV™ controllers sold by Emerson Process Management of Austin, Texas or any other desired type of controllers. The controllers 14B are connected via I/O devices to one or more field devices 16, such as for example, HART or Fieldbus field devices or any other smart or non-smart field devices including, for example, those that use any of the PROFIBUS®, WORLDFIP®, Device-Net®, AS-Interface and CAN protocols. As is known, the field devices 16 may provide analog or digital information to the controllers 14B related to process variables as well as to other device information. The operator interfaces 14A may store and execute tools 17, 19 available to the process control operator for controlling the operation of the process including, for example, control optimizers, diagnostic experts, neural networks, tuners, etc.
[0067] Still further, maintenance systems, such as computers executing the AMS™ Suite: Intelligent Device Manager application or any other device monitoring and communication applications may be connected to the process control systems 12 and 14 or to the individual devices therein to perform maintenance and monitoring activities. For example, a maintenance computer 18 may be connected to the controller 12B and/or to the devices 15 via any desired communication lines or networks (including wireless or handheld device networks) to communicate with and, in some instances, reconfigure or perform other maintenance activities on the devices 15. Similarly, maintenance applications such as the AMS application may be installed in and executed by one or more of the user interfaces 14A associated with the distributed process control system 14 to perform maintenance and monitoring functions, including data collection related to the operating status of the devices 16.
[0068] The process plant 10 also includes various rotating equipment 20, such as turbines, motors, etc. which are connected to a maintenance computer 22 via some permanent or temporary communication link (such as a bus, a wireless communication system or hand held devices which are connected to the equipment 20 to take readings and are then removed). The maintenance computer 22 may store and execute known monitoring and diagnostic applications 23 provided by, for example, CSI (an Emerson Process Management Company) or other any other known applications used to diagnose, monitor and optimize the operating state of the rotating equipment 20. Maintenance personnel usually use the applications 23 to maintain and oversee the performance of rotating equipment 20 in the plant 10, to determine problems with the rotating equipment 20 and to determine when and if the rotating equipment 20 must be repaired or replaced. In some cases, outside consultants or service organizations may temporarily acquire or measure data pertaining to the equipment 20 and use this data to perform analyses for the equipment 20 to detect problems, poor performance or other issues effecting the equipment 20. In these cases, the computers running the analyses may not be connected to the rest of the system 10 via any communication line or may be connected only temporarily.
[0069] Similarly, a power generation and distribution system 24 having power generating and distribution equipment 25 associated with the plant 10 is connected via, for example, a bus, to another computer 26 which runs and oversees the operation of the power generating and distribution equipment 25 within the plant 10. The computer 26 may execute known power control and diagnostics applications 27 such a as those provided by, for example, Liebert and ASCO or other companies to control and maintain the power generation and distribution equipment 25. Again, in many cases, outside consultants or service organizations may use service applications that temporarily acquire or measure data pertaining to the equipment 25 and use this data to perform analyses for the equipment 25 to detect problems, poor performance or other issues effecting the equipment 25. In these cases, the computers (such as the computer 26) running the analyses may not be connected to the rest of the system 10 via any communication line or may be connected only temporarily.
[0070] As illustrated in Fig. 1 , a computer system 30 implements at least a portion of an abnormal situation prevention system 35, and in particular, the computer system 30 stores and implements a configuration application 38 and, optionally, an abnormal operation detection system 42, which will be described in more detail below. Additionally, the computer system 30 may implement an alert/alarm application 43. [0071] Generally speaking, the abnormal situation prevention system 35 may communicate with abnormal operation detection systems (not shown in Fig. 1) optionally located in the field devices 15, 16, the controllers 12B, 14B, the rotating equipment 20 or its supporting computer 22, the power generation equipment 25 or its supporting computer 26, and any other desired devices and equipment within the process plant 10, and/or the abnormal operation detection system 42 in the computer system 30, to configure each of these abnormal operation detection systems and to receive information regarding the operation of the devices or subsystems that they are monitoring. The abnormal situation prevention system 35 may be communicatively connected via a hardwired bus 45 to each of at least some of the computers or devices within the plant 10 or, alternatively, may be connected via any other desired communication connection including, for example, wireless connections, dedicated connections which use OPC, intermittent connections, such as ones which rely on handheld devices to collect data, etc. Likewise, the abnormal situation prevention system 35 may obtain data pertaining to the field devices and equipment within the process plant 10 via a LAN or a public connection, such as the Internet, a telephone connection, etc. (illustrated in Fig. 1 as an Internet connection 46) with such data being collected by, for example, a third party service provider. Further, the abnormal situation prevention system 35 may be communicatively coupled to computers/devices in the plant 10 via a variety of techniques and/or protocols including, for example, Ethernet, Modbus, HTML, XML, proprietary techniques/protocols, etc. Thus, although particular examples using OPC to communicatively couple the abnormal situation prevention system 35 to computers/devices in the plant 10 are described herein, one of ordinary skill in the art will recognize that a variety of other methods of coupling the abnormal situation prevention system 35 to computers/devices in the plant 10 can be used as well.
[0072] Fig. 2 illustrates a portion 50 of the example process plant 10 of Fig. 1 for the purpose of describing one manner in which the abnormal situation prevention system 35 and/or the alert/alarm application 43 may communicate with various devices in the portion 50 of the example process plant 10. While Fig. 2 illustrates communications between the abnormal situation prevention system 35 and one or more abnormal operation detection systems within HART and Fieldbus field devices, it will be understood that similar communications can occur between the abnormal situation prevention system 35 and other devices and equipment within the process plant 10, including any of the devices and equipment illustrated in Fig. 1. [0073] The portion 50 of the process plant 10 illustrated in Fig. 2 includes a distributed process control system 54 having one or more process controllers 60 connected to one or more field devices 64 and 66 via input/output (I/O) cards or devices 68 and 70, which may be any desired types of I/O devices conforming to any desired communication or controller protocol. The field devices 64 are illustrated as HART field devices and the field devices 66 are illustrated as Fieldbus field devices, although these field devices could use any other desired communication protocols. Additionally, each of the field devices 64 and 66 may be any type of device such as, for example, a sensor, a valve, a transmitter, a positioner, etc., and may conform to any desired open, proprietary or other communication or programming protocol, it being understood that the I/O devices 68 and 70 must be compatible with the desired protocol used by the field devices 64 and 66.
[0074] In any event, one or more user interfaces or computers 72 and 74 (which may be any types of personal computers, workstations, etc.) accessible by plant personnel such as configuration engineers, process control operators, maintenance personnel, plant managers, supervisors, etc. are coupled to the process controllers 60 via a communication line or bus 76 which may be implemented using any desired hardwired or wireless communication structure, and using any desired or suitable communication protocol such as, for example, an Ethernet protocol. In addition, a database 78 may be connected to the communication bus 76 to operate as a data historian that collects and stores configuration information as well as online process variable data, parameter data, status data, and other data associated with the process controllers 60 and field devices 64 and 66 within the process plant 10. Thus, the database 78 may operate as a configuration database to store the current configuration, including process configuration modules, as well as control configuration information for the process control system 54 as downloaded to and stored within the process controllers 60 and the field devices 64 and 66. Likewise, the database 78 may store historical abnormal situation prevention data, including statistical data collected by the field devices 64 and 66 within the process plant 10, statistical data determined from process variables collected by the field devices 64 and 66, and other types of data that will be described below.
[0075] While the process controllers 60, I/O devices 68 and 70, and field devices 64 and 66 are typically located down within and distributed throughout the sometimes harsh plant environment, the workstations 72 and 74, and the database 78 are usually located in control rooms, maintenance rooms or other less harsh environments easily accessible by operators, maintenance personnel, etc. [0076] Generally speaking, the process controllers 60 store and execute one or more controller applications that implement control strategies using a number of different, independently executed, control modules or blocks. The control modules may each be made up of what are commonly referred to as function blocks, wherein each function block is a part or a subroutine of an overall control routine and operates in conjunction with other function blocks (via communications called links) to implement process control loops within the process plant 10. As is well known, function blocks, which may be objects in an object- oriented programming protocol, typically perform one of an input function, such as that associated with a transmitter, a sensor or other process parameter measurement device, a control function, such as that associated with a control routine that performs PID, fuzzy logic, etc. control, or an output function, which controls the operation of some device, such as a valve, to perform some physical function within the process plant 10. Of course, hybrid and other types of complex function blocks exist, such as model predictive controllers (MPCs), optimizers, etc. It is to be understood that while the Fieldbus protocol and the DeltaV™ system protocol use control modules and function blocks designed and implemented in an object-oriented programming protocol, the control modules maybe designed using any desired control programming scheme including, for example, sequential function blocks, ladder logic, etc., and are not limited to being designed using function blocks or any other particular programming technique.
[0077] As illustrated in Fig. 2, the maintenance workstation 74 includes a processor 74A, a memory 74B and a display device 74C. The memory 74B stores the abnormal situation prevention application 35 and the alert/alarm application 43 discussed with respect to Fig. 1 in a manner that these applications can be implemented on the processor 74A to provide information to a user via the display 74C (or any other display device, such as a printer).
[0078] Each of one or more of the field devices 64 and 66 may include a memory (not shown) for storing routines such as routines for implementing statistical data collection pertaining to one or more process variables sensed by sensing device and/or routines for abnormal operation detection, which will be described below. Each of one or more of the field devices 64 and 66 may also include a processor (not shown) that executes routines such as routines for implementing statistical data collection and/or routines for abnormal operation detection. Statistical data collection and/or abnormal operation detection need not be implemented by software. Rather, one of ordinary skill in the art will recognize that such systems may be implemented by any combination of software, firmware, and/or hardware within one or more field devices and/or other devices.
[0079] As shown in Fig. 2, some (and potentially all) of the field devices 64 and 66 include abnormal operation detection blocks 80 and 82, which will be described in more detail below. While the blocks 80 and 82 of Fig. 2 are illustrated as being located in one of the devices 64 and in one of the devices 66, these or similar blocks could be located in any number of the field devices 64 and 66, could be located in other devices, such as the controller 60, the I/O devices 68, 70 or any of the devices illustrated in Fig. 1. Additionally, the blocks 80 and 82 could be in any subset of the devices 64 and 66.
[0080] Generally speaking, the blocks 80 and 82 or sub-elements of these blocks, collect data, such a process variable data, from the device in which they are located and/or from other devices. Additionally, the blocks 80 and 82 or sub-elements of these blocks may process the variable data and perform an analysis on the data for any number of reasons. For example, the block 80, which is illustrated as being associated with a valve, may have a stuck valve detection routine which analyzes the valve process variable data to determine if the valve is in a stuck condition. In addition, the block 80 may include a set of one or more statistical process monitoring (SPM) blocks or units such as blocks SPMl - SPM4 which may collect process variable or other data within the valve and perform one or more statistical calculations on the collected data to determine, for example, a mean, a median, a standard deviation, a root-mean-square (RMS), a rate of change, a range, a minimum, a maximum, etc. of the collected data and/or to detect events such as drift, bias, noise, spikes, etc., in the collected data. The specific statistical data generated, nor the method in which it is generated is not critical. Thus, different types of statistical data can be generated in addition to, or instead of, the specific types described above. Additionally, a variety of techniques, including known techniques, can be used to generate such data. The term statistical process monitoring (SPM) block is used herein to describe functionality that performs statistical process monitoring on at least one process variable or other process parameter, and may be performed by any desired software, firmware or hardware within the device or even outside of a device for which data is collected. It will be understood that, because the SPMs are generally located in the devices where the device data is collected, the SPMs can acquire quantitatively more and qualitatively more accurate process variable data. As a result, the SPM blocks are generally capable of determining better statistical calculations with respect to the collected process variable data than a block located outside of the device in which the process variable data is collected.
[0081] It is to be understood that although the blocks 80 and 82 are shown to include SPM blocks in Fig. 2, the SPM blocks may instead be stand-alone blocks separate from the blocks 80 and 82, and maybe located in the same device as the corresponding block 80 or 82 or may be in a different device. The SPM blocks discussed herein may comprise known Foundation Fieldbus SPM blocks, or SPM blocks that have different or additional capabilities as compared with known Foundation Fieldbus SPM blocks. The term statistical process monitoring (SPM) block is used herein to refer to any type of block or element that collects data, such as process variable data, and performs some statistical processing on this data to determine a statistical measure, such as a mean, a standard deviation, etc. As a result, this term is intended to cover software, firmware, hardware and/or other elements that perform this function, whether these elements are in the form of function blocks, or other types of blocks, programs, routines or elements and whether or not these elements conform to the Foundation Fieldbus protocol, or some other protocol, such as Profibus, HART, CAN, etc. protocol. If desired, the underlying operation of blocks 50 may be performed or implemented at least partially as described in U.S. Patent No. 6,017,143, which is hereby incorporated by reference herein.
[0082] It is to be understood that although the blocks 80 and 82 are shown to include SPM blocks in Fig. 2, SPM blocks are not required of the blocks 80 and 82. For example, abnormal operation detection routines of the blocks 80 and 82 could operate using process variable data not processed by an SPM block. As another example, the blocks 80 and 82 could each receive and operate on data provided by one or more SPM block located in other devices. As yet another example, the process variable data could be processed in a manner that is not provided by many typical SPM blocks. As just one example, the process variable data could be filtered by a finite impulse response (FIR) or infinite impulse response (IIR) filter such as a bandpass filter or some other type of filter. As another example, the process variable data could be trimmed so that it remained in a particular range. Of course, known SPM blocks could be modified to provide such different or additional processing capabilities.
[0083] The block 82 of Fig. 2, which is illustrated as being associated with a transmitter, may have a plugged line detection unit that analyzes the process variable data collected by the transmitter to determine if a line within the plant is plugged. In addition, the block 82 may includes one or more SPM blocks or units such as blocks SPMl - SPM4 which may collect process variable or other data within the transmitter and perform one or more statistical calculations on the collected data to determine, for example, a mean, a median, a standard deviation, etc. of the collected data. While the blocks 80 and 82 are illustrated as including four SPM blocks each, the blocks 80 and 82 could have any other number of SPM blocks therein for collecting and determining statistical data.
[0084] Overview of an Abnormal Operation Detection ("AOD) System
[0085] Fig. 3 is a block diagram of example abnormal operation detection (AOD) system 100 that could be utilized in the abnormal operation detection blocks 80 and 82 of Fig. 2. The AOD system 100 may include a model 112 and a deviation detector 116. Generally, the model 112 generates a predicted value YP of a first process variable Y. The model 112 may comprise any of a variety of models suitable for use in a process plant such as a regression model, a high fidelity model, a neural network, a fuzzy logic-based model, etc. The model 112 may generate the predicted value Yp based on a second process variable X and zero or more additional process variables (not shown in Fig. 3). In one particular implementation, the model 112 may comprise a model as described in U.S. Patent Application No. 11/492,467, entitled "METHOD AND SYSTEM FOR DETECTING ABNORMAL OPERATION IN A PROCESS PLANT," filed on the same day as the present application, which is hereby incorporated by reference herein in its entirety. For example, the model 112 may comprise a model including multiple regression models corresponding to different regions of operation. Such a model will be described in more detail below.
[0086J Generally, the deviation detector 116 receives the first process variable Y and the predicted value YP, and determines whether the first process variable Y significantly deviates from the predicted value YP using a technique such as one of more of the techniques to be described below. If the deviation detector 116 determines that the first process variable Y significantly deviates from the predicted value Yp, it may generate an indicator of significant deviation. The indicator of significant deviation may also be an indicator of abnormal operation.
[0087] Each of the first process variable Y, the second process variable X, and any other additional process variable that may be utilized by the AOD system 100 may be, for example, a process variable, a process variable that has been processed in some way, an output of an SPM block, etc. For instance, a process variable utilized by the AOD system 100 could be a measured process signal such as an output of a transmitter or some other field device. As another example, a process variable utilized by the AOD system 100 could be a measured process signal that has been filtered by a high pass filter, a low pass filter, a bandpass filter, etc. As yet another example, a process variable utilized by the AOD system 100 could be a measured process signal that has been trimmed to cap values of the signal to a maximum and/or minimum value. In still another example, a process variable utilized by the AOD system 100 could be an output of an SPM block, such as a mean signal, a standard deviation signal, etc. As a further example, a process variable utilized by the AOD system 100 could be some combination of the examples above. For instance, a process variable could be a mean signal or a standard deviation signal generated from a measured process signal that was filtered and/or trimmed. As still a further example, the process variable could be some mathematical combination of a plurality of process variables.
[0088] The AOD system 100 could be implemented wholly or partially in a field device. As just one example, the model 112 could be implemented in a field device 66 and the deviation detector 116 could be implemented in the controller 60 or some other device, such as a different field device. As another example, the model 112 could be implemented in the controller 60 and the deviation detector 116 could be implemented in a field device 66. As yet another example, the AOD system 100 could be implemented in a controller or in a field device interface module (e.g., the Rosemount 3420 device), or by both the controller and the field device interface module. In one particular implementation, the AOD system 100 could be implemented as a function block, such as a function block to be used in system that implements a Fieldbus protocol. Such a function block may or may not include one or more SPM blocks, hi another implementation, the model 112 and the deviation detector 116 could be implemented as separate function blocks.
[0089] The AOD system 100 may be in communication with the abnormal situation prevention system 35 (Figs. 1 and 2). For example, the AOD system 100 may be in communication with the configuration application 38 to permit a user to configure the AOD system 100. For instance, the model 112 and the deviation detector 116 may have user configurable parameters that may be modified via the configuration application 38.
[0090] Additionally, the AOD system 100 may provide information to the abnormal situation prevention system 35 and/or other systems in the process plant. For example, deviation indicators generated by the deviation detector 116 could be provided to the abnormal situation prevention system 35 and/or the alert/alarm application 43 to notify an operator of the abnormal condition. As just one example, deviation indicators generated by the deviation detector 116 may include alerts or alarms that may be sent to the alert/alarm application 43. As yet another example, the AOD system 100 may provide Y and/or YP values to the abnormal situation prevention system 35 so that an operator can view the values, for instance, when a deviation has been detected.
[0091] Although the predicted value Yp is generated by a model in the example AOD system 100 of Fig. 3, in other implementations, the model may be omitted. For example, the predicted value YP could be a value such as a desired value (e.g., a desired level in a reactor, a desired temperature, a desired pressure, etc.), a nominal value (e.g., a mean value calculated while the process is known or thought to be in a steady state), etc.
[0092] Detecting a Significant Deviation
[0093] Various example techniques that may be utilized by the deviation detector 116 to detect whether the first process variable Y significantly deviates from the predicted value Yp will now be described.
[0094] One example technique that may be utilized by the deviation detector 116 includes detecting a trend that the first process variable Y is moving away from the predicted value Yp. Such a trend may indicate, for example, a deterioration or wear of equipment, deterioration of a control technique, etc., and may indicate an abnormal situation is has occurred, is occurring, or will likely occur.
[0095] Fig. 4 is a flow diagram of an example method for detecting a trend that the first process variable Y is moving away from the predicted value Yp. At a block 154, values of the first process variable Y and corresponding values of the predicted value Yp maybe received. At a block 158, corresponding difference values maybe generated. For example, for each received value of Y, a corresponding value of the predicted value Yp may be used to generate a value Yp - Y, or a value Y - YP.
[0096] At a block 162, it may be determined whether a number A of consecutive difference values is greater than 0 and is increasing. For instance, it may be determined whether Zk > Zk-ι > Z^ > ... > Zk-Λ_! > 0, where Zk is a difference value corresponding to the k value of Y. Generally, the value of A may be a positive integer greater than 2, and an appropriate value may depend on the particular implementation and the particular process variable being monitored. For instance, a relatively small number A may be appropriate for some implementations and/or process variables, while a much larger value of A may be more appropriate for other implementations and/or process variables. If at the block 162 it is determined that the A consecutive difference values are greater than 0 and are increasing, an indicator of a significant deviation maybe generated at a block 166.
[0097] At a block 170, it may be determined whether a number B of consecutive difference values is less than 0 and is decreasing. For instance, it may be determined whether Zk < Zk-] < Zk-2 < ... < Zk-B-I < 0. If at the block 170 it is determined that the B consecutive difference values are less than 0 and are decreasing, an indicator of a significant deviation may be generated at a block 174. Similar to the number A, the value of B may be a positive integer greater than 2, and an appropriate value may depend on the particular implementation and the particular process variable being monitored. Typically, the number B may be the same as the number A, but may also be different. The values of A and/or B may be configured using the configuration application 38 (Figs. 1, 2), for example. IfA is to be the same as B, then both A and B can be configured by configuring only one of A or B, for example.
[0098] The indicators generated at the blocks 166 and 174 may optionally include an indicator of the direction of the trend. For example, the indicator generated at the block 166 may indicate a positive trend in the difference values, and the indicator generated at the block 166 may indicate a negative trend in the difference values.
[0099] One of ordinary skill in the art will recognize variations in the flow of Fig. 4. As just one example, at the block 162, instead of determining whether the difference values are greater than zero, it may be determined if the difference values are greater than some first non-zero threshold. Similarly, at the block 170, instead of determining whether the difference values are less than zero, it may be determined if the difference values are less than some second non-zero threshold. In one implementation, the first non-zero threshold and the second non-zero threshold may have the same magnitude, but in other implementations, the magnitudes may be different.
[0100j Fig. 5 is a flow diagram of another specific example of a variation of the method 150 of Fig. 4. in a method 180, after receiving values of the first process variable Y and corresponding values of the predicted value YP at the block 154, corresponding absolute difference values may be generated at a block 184. For example, for each received value of Y, an absolute value of the difference between Y and a corresponding value of the predicted value Yp may be generated. [0101] At a block 188, it may be determined whether a number A of consecutive absolute difference values is increasing. For instance, it may be determined whether Zk > Zk-] > Z[J-2 > ... > Zk-Λ-i, where Zk is an absolute difference value (e.g., an absolute value of a difference between Y and a corresponding Yp) corresponding to the klh value of Y. The value of A may be selected as described above with respect to Fig. 4. If at the block 188 it is determined that the A consecutive absolute difference values are increasing, an indicator of a significant deviation may be generated at a block 192.
[0102] In yet another implementation, it may be determined whether, within a set of A difference values Z^1, Zk-2, Zk-3, ..., Zk-A-!, some subset of B difference values, where B < A, are increasing, increasing beyond some threshold, decreasing, decreasing beyond some threshold, etc. For example, it may be determined whether there is some subset of difference values Zki, Z^2, Zk3, ..., ZkB, where kl > k2 > k3 > ... > kB, and where Zki > Zk2 > Zk3 > ... > ZkB- hi still another implementation, a trend may be detected by analyzing rate of change (ROC) information, first derivative information, second derivative information, etc. For instance, if a particular number of consecutive ROC values, or if at least a minimum number of ROC values in a set of ROC values were above some threshold, this may indicate a positive trend. As another example, a line could be fit to a certain number of difference values, and its slope could be analyzed to determine if it exceeds some threshold.
[0103] Additionally, different techniques such as the techniques described above could be combined. For example, determining whether there is a trend could comprise determining if there are certain number of consecutively increasing values, and also determining whether the slope of a line that best fits the values exceeds a threshold. As another example, it may be determined within a set of A difference values there is some subset of B difference values Zki , Zk2, Zk3, ..., ZkB, where B < A, where kl > k2 > k3 > ... > kB, where Zki > Zk2 > Zk3 > ... > ZkB; in addition, a trend may be indicated if at least some of the ROC values corresponding to these difference values exceed some threshold. One of ordinary skill in the art will recognize many other variations.
[0104] Detecting Cycling
[0105] Another example technique that may be utilized by the deviation detector 116 includes detecting a cycling of the first process variable Y about the predicted value YP. Such cycling may indicate, for example, temperature changes or other recurring changes in the environment, differences between operators and/or operator techniques, regular rotation of machines, a poorly tuned control loop, etc., and may indicate an abnormal situation has occurred, is occurring, or will likely occur, hi some applications, if the first process variable Y is cycling about the predicted value Yp, but the magnitude of the difference between Y and Yp is not relatively large, Y may nevertheless be considered as significantly deviating from
Yp.
[0106] Fig. 6 is a flow diagram of an example method 200 for detecting cycling. At a block 204, values of the first process variable Y and corresponding values of the predicted value Yp may be received. At a block 208, corresponding difference values may be generated. For example, for each received value of Y, a corresponding value of the predicted value Yp may be used to generate a value YP - Y, or a value Y - Yp.
[0107] At a block 212, estimates of the power spectral density (PSD) of the difference values may be generated. Any number of techniques, including known techniques, may be used to generate the estimates of PSD. For example, nonparametric estimators such as periodogram estimators, Blackman-Tukey estimators, minimum variance estimators, etc., may be utilized. As another example, parametric estimators such as those based on time series models may be utilized. As yet another example, a plurality of band-pass filters tuned to respective frequencies could be utilized.
[0108] Then, at a block 216, it may be determined whether any peaks in the estimated PSD exceed a threshold. The threshold may be chosen in a variety of ways. For example, the threshold may be based on an average PSD of the difference signal. For instance, the threshold could be chosen to be some percentage of the average PSD. The threshold percentage could be selected based on the particular application. As another example, the threshold may be based on the magnitude of the PSD at one or more other frequencies and/or one or more other peaks. For instance, the threshold could be chosen to be some percentage of the next highest peak, some percentage of the lowest peak, etc. Additionally, the threshold could be chosen based on a maximum PSD value, hi determining whether any peaks exceed a threshold, the PSD at zero frequency (and optionally other frequencies near zero) may be ignored and/or the difference values (e.g., YP - Y or Y - YP) may be processed to remove a DC component prior to generating the PSD estimates. Other factors optionally may be utilized to determine whether any peaks exist in the estimated PSD. As just one example, the peaks first may be identified based on analyzing the widths of potential peaks. For instance, a feature in the PSD that is spread relatively widely over several frequencies may not be considered a peak. Parameters, such as thresholds, for detecting whether peaks exist in the estimated PSD, maybe configurable using the configuration application 38, for example.
[0109] The deviation detector 116 may comprise a cycling detection system that implements the method 200 of Fig. 6 or some other cycling detection method. Fig. 7 is a block diagram of an example cycling detection system 240 that the deviation detector 116 may include. The cycling detection system 240 may comprise a difference generator 244, a frequency domain analyzer 248, and a peak detector 252. The difference generator 244 may receive the first process variable Y and the predicted value Yp and generate a difference signal (e.g., Y - YP). Referring to Fig. 6, the difference generator 244 may implement the blocks 204 and 208, for example.
[0110] The difference signal may be provided to the frequency domain analyzer 248, which generates a plurality of signals indicative of the spectral content of the difference signal at different frequencies. The signals generated by the frequency domain analyzer 248 may be provided to a peak detector 252. The peak detector 252 generally may operate to detect energy peaks and to determine if one or more of any detected peaks exceeds a threshold. Additionally, the peak detector 252 may, if it determines that one or more peaks have exceeded the threshold, generate an indicator of a significant deviation. Referring to Fig. 6, the peak detector 252 may implement the blocks 216 and 220, for example.
[0111] hi one implementation, the frequency domain analyzer 248 may comprise a power spectral density (PSD) generator that generates a plurality of PSD estimates corresponding to different frequencies. The plurality of PSD estimates may or may not include a PSD estimate corresponding to frequency zero. Optionally, the PSD estimate generator may generate additional information as well such as an average PSD. The PSD estimate generator may comprise any of a variety of PSD estimators, including known PSD estimators such as those described with respect to Fig. 6. Referring to Fig. 6, the PSD estimate generator 248 may implement the block 212, for example.
[0112] In this implementation, the plurality of PSD estimates, and optionally other information generated by the PSD estimate generator 248 such as the average PSD, may be provided to a peak detector 252. The peak detector 252 generally may operate to detect PSD peaks and to determine if one or more of any detected peaks exceeds a threshold.
[0113] The PSD generator may be implemented using a variety of techniques. Optionally, the frequency domain analyzer 248 may comprise a Fourier transform generator such as a fast Fourier transform (FFT) generator. The frequency domain analyzer 248 could also comprise an envelope generator that smoothes the generated Fourier transform or that fits a spectral envelope to the Fourier transform using any of a variety of techniques, such as known techniques like linear predictive coding, cepstrum, discrete cepstrum, utilizing a non-linear frequency scale, etc.
[0114] In yet another implementation, the frequency domain analyzer 248 may comprise a plurality of bandpass filters tuned to different frequencies.
[0115] Many variations to the example cycling detection system 240 will become apparent to those of ordinary skill in the art. As just one example, a signal processing device maybe utilized between the difference generator 244 and the frequency domain analyzer 248, the signal processing device configured to remove or reduce a DC component from the difference signal. Such a signal processing device could comprise, for instance, a subtractor that subtracts a mean value from the difference signal, a high pass filter, etc.
[0116] Statistical-Based Thresholds
[0117] Yet another example technique that may be utilized by the deviation detector 116 includes comparing the first process variable Y to the predicted value Yp and to one or more thresholds generated based on statistical data computed by one or more SPM blocks. As described previously, SPM blocks may generate statistical information regarding process variables analyzed by the SPM blocks. Such statistical information may comprise, for example, means, standard deviations, variances, rates of change, range, etc., and such statistical information may be used to generate thresholds. Additionally, SPM blocks may store nominal values of statistical data. Such nominal values may be computed by the SPM blocks (i.e., during a normal operation of the process), programmed into the SPM blocks during manufacture and/or during operation of the process, etc. Of course, some block or device different from the SPM block could receive statistical data from the SPM block, generate nominal values of the statistical data, and then store the nominal value in a block or device different from the SPM block. Utilizing thresholds generated based on statistical data received from an SPM block may optionally eliminate the need for thresholds to be set by an operator, thus reducing the amount of operator configuration needed to use the system.
[0118] As just one example, a standard deviation σ may be used to generate one or more thresholds. For instance, one or more of the following thresholds could be generated: σ above a predicted value, σ below the predicted value, 2σ above the predicted value, 2σ below the predicted value, 3σ above the predicted value, 3σ below the predicted value, etc. In some implementations, the standard deviation σ may be received from a SPM block that monitors the first process variable Y, for example. The standard deviation σ received from the SPM block could be a nominal standard deviation stored in the SPM block or in another block or device. In other implementations (e.g., in implementations in which a standard deviation σ of a first process variable is known to vary based on the first process variable and/or at least a second process variable), the standard deviation σ generated by the SPM block could be used to train a model of the standard deviation σ. As just one specific example, the model could model the standard deviation σ of the first process variable as a function of the mean of the first process variable or the mean of a second process variable. Such a model may comprise any of a variety of models suitable for use in a process plant such as a regression model, a high fidelity mode], a neural network, a fuzzy logic-based model, etc. In one particular implementation, a model may be utilized such as described in U.S. Patent Application No. 11/492,467, entitled "METHOD AND SYSTEM FOR DETECTING ABNORMAL OPERATION IN A PROCESS PLANT," filed on same day as the present application. For example, the model may include multiple regression models corresponding to different regions of operation. Such a model is described below.
[0119] Fig. 8 is a block diagram of an example threshold system 260 that the deviation detector 116 (Fig. 3) may include. The threshold system 260 may comprise a threshold generator 264 and a comparator 268. The threshold generator 264 may receive one or more statistics of the first process variable, and generate one or more thresholds based on the received statistics. As just one specific example, the threshold generator 264 may receive a standard deviation σ and may generate one or more of the following thresholds: a +σ threshold, a -σ threshold, a +2σ threshold, a -2σ threshold, a +3σ threshold, a -3σ threshold, etc. As described above, the one or more statistics may be received from an SPM block or a model, for example.
[0120] In some implementations, the threshold generator 264 may be omitted. For example, if only a +σ threshold is desired, a received standard deviation σ may be used as the threshold.
[0121] The comparator 268 receives the thresholds generated by the threshold generator 264, and also receives the first process variable Y and the predicted value Yp. Generally, the comparator 268 determines whether values of Y fall within one or more regions defined by the predicted value Yp and the thresholds received from the threshold generator 264. More specifically, for a given threshold +M, the comparator 268 determines whether values of Y fall within the region Y > YP + M. As another specific example, if +3σ and -3σ thresholds are utilized, the comparator 268 may determine whether values of Y fall within the region Y > Yp + 3σ, and whether values of Y fall within the region Y < Yp - 3σ. As another example, the comparator 268 may determine whether values of Y fall within a region Y > YP, and may determiner whether values of Y fall within a region Y < YP.
[0122] The comparator 268 may also determine whether a particular number of consecutive values of Y fall within a region defined by the predicted value YP and the thresholds received from the threshold generator 264. As a specific example, if +2σ -2σ thresholds are utilized, the comparator 268 may determine whether a number A of consecutive values of Y fall within the region Y > Yp + 2σ, and whether a number B of consecutive values of Y fall within the region Y < Yp - 2σ. The number A may be the same as the number B, or the numbers A and B may be different. Optionally, the numbers A and/or B may be configurable. For example, an operator may be able to configure the numbers A and B separately, or the operator may be able to configure the number A, but the number B is constrained to equal the number B.
[0123] As just one example, a standard deviation σ may be used to generate one or more thresholds. For instance, one or more of the following thresholds could be generated: +σ, -σ, +2σ, -2σ, +3σ, -3σ, etc. In one specific example, the following thresholds are generated: +σ, -σ, +2σ, -2σ, +3σ, -3σ. In another specific example, the following thresholds are generated: +σ, -σ, +2σ, -2σ. In yet another specific example, the following thresholds are generated: +σ, -σ, +3σ, -3σ. In yet another specific example, the following thresholds are generated: +2σ, -2σ, +3σ, -3σ. In still other specific examples, +σ and -σ are generated, +2σ and -2σ are generated, or +3σ and -3σ are generated.
[0124] In the example in which one or more of +σ, -σ, +2σ, -2σ, +3σ, -3σ, etc., thresholds are generated, the comparator 268 may also determine whether values of Y fall within one or more of the following regions: Y > YP, Y < YP, Y > YP + σ, Y < YP - σ, Y > YP + 2σ, Y < YP - 2σ, Y > Yp + 3σ, Y < Yp - 3σ, etc. In this example, the comparator 268 may further determine whether certain consecutive numbers of values of Y fall within the one or more regions. As a specific example, the comparator 268 may determine whether a number C of consecutive values fall within the region Y > YP, and whether C consecutive values fall within the region Y < Yp. As another example, the comparator 268 may determine whether a number D of consecutive values fall within the region Y > Yp + σ, and whether D consecutive values fall within the region Y < Yp - σ. Similarly, the comparator 268 may determine whether a number E of consecutive values fall within the region Y > Yp + 2σ, and whether E consecutive values fall within the region Y < Yp - 2σ. Also, the comparator 268 may determine whether a number F of consecutive values fall within the region Y > Yp + 3σ, and whether F consecutive values fall within the region Y < Yp - 3σ. Table 1 provides example values of the numbers C, D, E and F that may be utilized. Of course different values could also be used. For example, the number C could be chosen as something other than 8, such as 5, 6, 7, 9, 10, 11, 12, etc. Similarly, values of D, E, and F other than those in Table 1 could be utilized.
Table 1
Figure imgf000031_0001
[0125] Generally, selection of appropriate numbers may depend on the specific implementation, the specific process being monitored, etc., and the numbers typically will be chosen so that C> D > E > F. Further, different numbers for positive and negative thresholds could be used. As just one example, the comparator 268 may determine whether a number Dl of consecutive values fall within the region Y > YP + σ, and whether a number D2 consecutive values fall within the region Y < Yp - σ, where Dl and D2 could be different numbers.
[0126] In one variation, the comparator 268 may determine whether C consecutive values fall within the region Y > Yp, Y < YP, whether D consecutive values fall within the region Y > Yp + σ, Y < Yp - σ, whether E consecutive values fall within the region Y > YP + 2σ, Y < Yp - 2σ, and whether F consecutive values fall within the region Y > Yp + 3σ, Y < Yp - 3σ.
[0127] If the comparator 268 determines that one or more consecutive values of Y fall within a particular region, it may then generate an indicator of a significant deviation. For instance, in the example in which the comparator 268 determines whether E consecutive values of Y fall within the region Y > Yp + 2σ, and if it determines that E consecutive values of Y fall within the region Y > YP + 2σ, then the comparator 268 may generate an indicator of a significant deviation. As another example, if the comparator 268 is configured to determine whether F consecutive values of Y fall within the region Y < YP - 3σ, and if it determines that F consecutive values of Y fall within the region Y < Yp - 3σ, then the comparator 268 may generate an indicator of a significant deviation.
[0128] To configure a system such as the system 260, an operator may be permitted to select regions and respective numbers of consecutive values of the first process variable Y that must fall within that region in order to indicate a significant deviation. One way in which the operator may select regions is to permit the operator to select statistical-based thresholds. In one particular example, the operator is permitted to select a plurality of pairs of values [mi, U1], [m2, IT2], [1113, n3], [In4, ru], ..., where nil , ra2, m3, ..., are real numbers indicative of statistical-based thresholds and rii, n2, n3, ..., are integers specifying corresponding consecutive numbers of values of Y in the corresponding regions that indicate a significant deviation. For instance, the operator may select mi = 3 and ni = 1 to indicate thresholds of +3σ and -3σ, and to indicate that only one value of Y need exceed the threshold in order to generate a significant deviation indicator. In other words, selecting mi = 3 and ni = 1 would configure the system 260 to generate a significant deviation indicator if one or more values of Y fall in the region Y < YP - 3σ or in the region Y > YP + 3σ. Alternatively, the selection of mi = 3 and ni = 1 may indicate a threshold of +3σ, and indicate mat only one value of Y need exceed the threshold in order to generate a significant deviation indicator. In other words, selecting mi = 3 and ni = 1 would configure the system 260 to generate a significant deviation indicator if one or more values of Y fall in the region Y > Yp + 3σ. In this implementation, the operator would need to select m2 = -3 and n2 = 1 to configure the system 260 to generate a significant deviation indicator if one or more values of Y fall in the region Y < Yp - 3σ.
[0129] As another example, if the operator selects a value of mi = 0 and ni — 8, this could configure the system 260 to generate a significant deviation indicator if eight consecutive values of Y fall in the region Y < YP or if eight consecutive values of Y fall in the region Y > Yp. As still another example, the operator may select nij = 2.5 and ni = 2 to indicate thresholds of +2.5σ and -2.5σ, and to indicate that two consecutive values of Y need must exceed the threshold in order to generate a significant deviation indicator. In other words, selecting mi = 2.5 and nj = 2 would configure the system 260 to generate a significant deviation indicator if two consecutive values of Y fall in the region Y < Yp - 2.5σ or if two consecutive values fall in the region Y > Yp + 2.5σ. Alternatively, the selection of mi = 2.5 and 1I1 = 2 may indicate a threshold of +2.5 σ, and indicate that only two consecutive values of Y must exceed the threshold in order to generate a significant deviation indicator. In other words, selecting mi = 2.5 and nt = 2 would configure the system 260 to generate a significant deviation indicator if two consecutive values of Y fall in the region Y > Yp + 2.5σ. In this implementation, the operator would need to select ni2 = -2.5 and n2 = 2 to configure the system 260 to generate a significant deviation indicator if two consecutive values of Y fall in the region Y < YP - 2.5σ.
[0130] As yet another example, if the operator would like to select the thresholds -3σ and +3σ, with only one value in each region to cause generation of a significant deviation, the thresholds -2σ and +2σ, with two consecutive values exceeding Yp + 2σ or two consecutive values less than Yp - 2σ needed to cause generation of a significant deviation, the thresholds -σ and +σ, with four consecutive values exceeding Yp + σ or four consecutive values less than Yp - σ needed to cause generation of a significant deviation, and eight consecutive values exceeding YP or eight consecutive values less than YP needed to cause generation of a significant deviation, the operator could select the following: [mi = 3, ni = 1], [m2 = 2, n2 = 2], [m3 = 1, n3 = 4], and [m4 = 0, U4 = S].
[0131] In at least some of the examples described above, the system 260 may generate a significant deviation indicator if a specified number of consecutive values fall within a region. In other implementations, the system 260 may generate a significant deviation indicator if each value of a specified number of consecutive values falls within one of a plurality of regions. As just one example, the system 260 may generate a significant deviation indicator if each value of N consecutive values of Y fall in either of the regions Y < Yp - 2σ or Y > Yp + 2σ, where N is some positive integer.
[0132] Although the above-described examples involved standard deviation-based thresholds and regions, the thresholds/regions could be based on other statistics such as mean, variance, range, etc. Additionally, the type of statistics used could be configurable by the operator. The statistic to be used could selected for each region/threshold, for a pair of regions/thresholds (e.g., Y < YP - 3σ and Y > Yp + 3σ), or for all of the regions/thresholds.
[0133] Although the above-described examples involved determining whether a consecutive number of values fall within a region, other implementations may determine whether some number of values, which may be non-consecutive, fall within the region. For example, it may be determined whether at least a first number of values, out of a second number of consecutive values, are within the region, where the second number is greater than the first number.
[0134] Parameters, such as the pairs of values [In1, m], [m2) n2], [m3j n3], [In4, U4], utilized by the system 260 may be configurable using the configuration application 38, for example.
[0135] Sequential Testing
[0136] Still another example technique that may be utilized by the deviation detector 116 (Fig. 3) generally includes making determinations that that the process is in one of several states. The several states may include a normal state, at least one abnormal state, and at least one indeterminate state. Fig, 9 is a flow diagram of an example method 300 for determining whether a process variable Y significantly deviates, in a positive direction, from a predicted value Yp. A similar method can be utilized to determine whether Y significantly deviates, in a negative direction, from Yp. Also, the method 300 can be modified to determine whether Y significantly deviates, in either direction, from YP.
[0137] Generally speaking, the flow 300 may be implemented for each value of Y that is received by the deviation detector 116. The flow may begin at a block 304, at which one or more variables that are to be used in the method 300 may be initialized. At a block 308, a value of Y and a value of Yp may be received. Then, at a block 312, a difference value may be generated. For example, a value YP - Y or a value Y - Yp may be generated.
[0138] At a block 316, the difference value may be processed to facilitate a determination of whether the process is in a normal state or an abnormal state. For instance, the difference value may be mathematically combined with zero, one or more previously processed difference values. A specific example of a technique for processing the difference value will be described subsequently. At a block 320, the processed difference value may be analyzed to determine whether the process is in a normal state, an abnormal state, or an indeterminate state. This may comprise comparing the processed difference value to one or more thresholds. Examples of thresholds that may be utilized will be described subsequently.
[0139] At a block 324, if it is determined that the process is in a normal state, the flow may proceed back to the block 304. Otherwise the flow may proceed to a block 328. If the flow proceeds back to the block 304, a variable that stores information related to previously processed difference values may be cleared, for example. [0140] At the block 328, if it is determined that the process is in an abnormal state, the flow may proceed to a block 332. Otherwise, if it is determined that the process is in an indeterminate state, the flow may proceed back to the block 308 to receive the next Y and YP values. At the block 332, an indicator of an abnormal condition may be generated. Alternatively, an indicator of an abnormal condition may be generated if it is determined that the process is in an abnormal state some particular number of consecutive times. As yet another example, the indicator maybe generated if it is determined that the process is in an abnormal state some particular number of times during some particular length of time.
[0141] Fig. 10 is a block diagram of one example system 350 that may be utilized to implement the method 300 of Fig. 9, and will be describe with reference to Fig. 9. Of course, other systems could also implement the method 300. Similarly, the system 350 may implemented other methods besides the method 300. The deviation detector 116 (Fig. 3) may include the system 350.
[0142] The system 350 may include a difference generator 354, a difference processor 358, and a comparator 362. The difference generator 354 may receive the first process variable Y and the predicted value Yp and generate a difference signal (e.g., Y - YP). Referring to Fig. 6, the difference generator 354 may implement the blocks 308 and 312, for example.
[0143] The difference signal may be provided to the difference processor 358. The difference processor 358 generally processes the difference values to facilitate a determination of whether the process is in a normal state or an abnormal state. For instance, the difference processor 358 may mathematically combine a current difference value with zero, one or more previously processed difference values. Additionally, the difference processor 358 may receive a signal from the comparator 362 that indicates whether one or more variables utilized by the difference processor 358 should be cleared. The difference processor 358 may implement the blocks 304 and 316, for example.
[0144] The comparator 362 receives the processed difference values from the difference processor 358, analyzes the processed difference values, and determines whether the process is in a normal state, an abnormal state, or an indeterminate state. This may comprise comparing the processed difference value to one or more thresholds. Examples of thresholds that may be utilized with be described subsequently. For example, a received processed difference value may be analyzed to determine whether it is less than a threshold A or if it is greater than a threshold B. If it is less than the threshold A, this may indicate that the process is in a normal state. If the received processed difference value is less than the threshold A, the comparator 362 may signal the difference processor 358 to clear the one or more variables it utilizes.
[0145] If the comparator 362 determines that the received processed difference value is greater than the threshold B, this may indicate that the process is in an abnormal state. Thus, the comparator 362 may generate a significant deviation indicator. Additionally, the comparator 362 may signal the difference processor 358 to clear the one or more variables it utilizes.
[0146] If the comparator 362 determines that the received processed difference value is greater than or equal to the threshold A and is less than or equal to the threshold B, this may indicate that the process is in an indeterminate state.
[0147] The comparator 362 may implement the blocks 320, 324, 328 and 332.
[0148] Fig. 11 is a flow diagram of an example method 400 that may be utilized to implement the method 300 of Fig. 9. Generally speaking, the flow 400 may be implemented for each value of Y that is received by the deviation detector 116. The flow may begin at a block 404, at which a variable ΛOLD may be initialized to zero. At a block 408, a value of Y and a value of Yp may be received. Then, at a block 412, a difference value Z may be generated. For example, a value Z = Yp - Y or Z - Y - YP may be generated.
[0149] At a block 416, the difference value generated at the block 412 is processed to generate a value ANEW according to the equation:
Aw = A060 + Hr Z __j .(EqiL l) σ2 l 2
where σ2 is a variance of Z and θ] is a parameter that will be described in more detail subsequently.
[0150] The variance σ2 can be determined ahead of time by, for example, calculating it based on a plurality of values of Y and Yp. For example, if a plurality of values Yj, for i = 1 to n, are used to train a model of Y, the variance of Z can be calculated as:
Figure imgf000036_0001
where YPj is the predicted value, generated by the model, of Y1-. As another example, a plurality of values Y;, and YP;j, for i = 1 to n, could be collected during a time period in which the process is known or thought to be stable.
[0151] In other implementations (e.g., in implementations in which a variance σ2 of a first process variable Y is known to vary based on the first process variable Y and/or at least a second process variable X), the variance σ2 could be modeled as a function of Y or a second process variable X, for example. As just one specific example, a model could model the variance σ2 of Z as a function of the mean of the first process variable Y or the mean of a second process variable X. Such a model may comprise any of a variety of models suitable for use in a process plant such as a regression model, a high fidelity model, a neural network, a fuzzy logic-based model, etc. In one particular implementation, a model may be utilized such as described in U.S. Patent Application No. 11/492,467, entitled "METHOD AND SYSTEM FOR DETECTING ABNORMAL OPERATION IN A PROCESS PLANT," filed on the same day as the present application. For example, the model may include multiple regression models corresponding to different regions of operation. Such a model is described below.
[0152] With regard to the parameter θx , generally, as this parameter is made larger, the method becomes less sensitive. Thus, if the parameter θ{ is made larger, the method will generally take longer to detect that a problem is likely to occur, is occurring, will occur, etc., but the method will also be less susceptible to false alarms. Similarly, as the parameter 6> is made smaller, it may take less time to detect that a problem is likely to occur, is occurring, will occur, etc., but the method will also likely be more susceptible to false alarms.
[0153] The parameter θx can be selected in a variety of ways. For example, an operator could choose a suitable value. Also, the parameter <9, could be based on the predicted value Yp. For example, it could be selected as some percentage of YPs such as 1% of YP, 2% of Yp, 3% of Yp, 4% of Yp, 5% of Yp, etc. Additionally, the value of the parameter θx could be based on statistics of Z. For example, the value of the parameter θλ could be based on a mean of Z, a standard deviation of Z, a variance of Z, a range of Z, etc. As a specific example, the value of the parameter θλ could be selected Cσ, where C is some real number. In this example, the equation 1 can be rewritten as: C ( Cσλ CZ C2
ANEW = ^OLD + —\Z τ- \ =AOLD +~ (βφ. 3) σ \ 2 ) σ 2
Suitable values of C may depend on the particular implementation and/or the particular process being monitored. Possible values of C may include 3 or 6, for example.
[0154] Referring again to Fig. 11, at a block 420, it is determined whether the value ANEW is less than a threshold B. If the value ANEW is less than the threshold B, it is determined that the process is in a normal state at a block 424. Then, the flow proceeds back to the block 404, where the variable ΛOLD is cleared to zero. Selection of the threshold B will be described subsequently.
[0155] If at the block 420, it is determined that the value ANEW is not less than the threshold B, the flow may proceed to a block 428, at which it is determined whether the value ANEW is greater than a threshold A. If the value ANEW is greater than the threshold A, it is determined that the process is in an abnormal state at a block 432. Then, a significant deviation indicator is generated at a block 436. Next, the flow proceeds back to the block 404, where the variable ΛOLD is cleared to zero. Selection of the threshold A will be described subsequently.
[0156] If at the block 428, it is determined that the value ΛNEw is not greater than the threshold A, the flow may proceed to a block 440, at which it is determined that the state is indeterminate. Then, at a block 444, the variable ΛOLD is set to the value ANEW determined at the block 416. Next, the flow proceeds back to the block 408 at which the next values of Y and Yp are received.
[0157] The threshold A may chosen as:
Λ = ln| — ^ j (Equ. 4)
where α is a false alarm probability and β is a missed alarm probability. Similarly, the threshold B maybe chosen as:
Figure imgf000038_0001
[0158] With regard to the false alarm probability α and the missed alarm probability β, it is generally preferable to favor missed alarms over false alarms when performing diagnostics for industrial processes. For instance, if an alarm is missed by the deviation detector 116 (Fig. 3), the plant personnel are no worse off than if the deviation detector 116 was not being used. However, if the deviation detector 116 generates false alarms, an operator may be tempted to deactivate the deviation detector 116 and cease using it. Thus, the false alarm probability α typically should be much smaller than the missed alarm probability β. Of course, this need not be the case in all applications. For instance, there may be particular implementations in which false alarms are preferable to missed alarms.
[0159] With the typical situation in which missed alarms are preferable to false alarms, reasonable values for the false alarm probability α may be, for example, 0.00005, 0.0001, 0.00015, 0.0002, 0.00025, etc., and reasonable values for the missed alarm probability β may be, for example, 0.05, 0.06, 0.07, 0.08,. 0.09, 0.1, 0.11, etc. Of course, other values of the false alarm probability α and the missed alarm probability β may be utilized.
[0160] A system such as the system 350 of Fig. 10 may be used to implement the method 400 of Fig. 11. Parameters, such as θx , the false alarm probability α, and the missed alarm probability β, may be configurable using the configuration application 38, for example.
[0161] Examples of Implementing AOD Systems in One or More Process Plant Devices
{0162] As described previously, AOD systems such as those described herein, may be implemented in a variety of devices within a process plant. Fig. 12 is a block diagram showing one possible way in which an AOD system may be implemented in a process plant. In Fig. 12, a Fieldbus system 900 includes a flow transmitter 904 and a temperature transmitter 908 on a same Fieldbus segment 912. The flow transmitter 904 may implement an analog input function block 914 and an SPM block 916. Additionally, the flow transmitter 904 may implement an abnormal operation detection function block 918. The function block 918 may include a deviation detector that functions in a manner similar to that described above with respect to any of Figs. 3-11, for example. The temperature transmitter 908 may implement an analog input function block 922 and an SPM block 924.
[0163] In operation, the analog input function block 914 may provide a process variable signal to the SPM block 916. In turn, the SPM block 916 may generate one or more statistical signals based on the process variable signal, and may provide the statistical signals to the abnormal operation detection function block 918. Similarly, the analog input function block 922 may provide a process variable signal to the SPM block 924. In turn, the SPM block 924 may generate one or more statistical signals based on the process variable signal, and may provide the statistical signals to the abnormal operation detection function block 918 via the Fieldbus segment 912.
[0164] In another implementation, the SPM blocks 916 and 924 may be incorporated within the abnormal operation detection function block 918. In this implementation, the analog input function block 914 may provide its process variable signal to the abnormal operation detection function block 918. Similarly, the analog input function block 922 may provide its process variable signal to the abnormal operation detection function block 918 via the Fieldbus segment 912. Of course, as described above, SPM blocks may not always be utilized in connection with abnormal operation detection function block 918, and thus may be omitted in some implementations.
[0165] As is known, some field devices are capable of making sensing of two or more process variables. Such a field device maybe capable of implementing all of blocks 914, 916, 918, 922, and 924.
[0166] Fig. 13 illustrates another manner of implementing AOD systems in a process plant. In the system 940 of Fig. 13, some or all of the abnormal situation prevention application 35, the configuration application 38, and/or the alert/alarm application 43 may be stored in a device other than a host workstation or personal computer. The example system 940 of Fig. 13 includes a set of field devices 945 (illustrated as Fieldbus field devices, but they could be other types of devices as well) connected to an interface device 950, which maybe, for example, the Rosemount 3420 device. In this case, the interface device 950, which is not a personal computer, may include some or all of the functionality of the abnormal situation prevention system 35 described above. In particular, the interface device 950 may include a server application 952 to receive and organize data delivered from the field devices 945 (which may be various different types of field devices). If desired, this server application 952 may include an OPC server. The configuration application 38 (or a portion of it) may also be stored in a memory of, and executed on a processor of, the interface device 950 to allow configuration of AOD blocks, SPM blocks, detection logic, models, etc., as described above. Additionally, the interface device 950 may include one or more SPM blocks 954 therein to collect process variable data directly from one or more of the field devices (such as field devices which do not include SPM blocks or functionality) and to generate SPM parameters, as discussed above. Further, the interface device 950 may include one or more AOD blocks 956 therein to receive the SPM parameters and/or process variable data from field devices and to generate indicators of deviation, as discussed above. In this manner, the SPM blocks 954 and/or the AOD blocks 956 stored in and executed in the interface device 950 are able to compensate for the lack of SPM blocks and/or AOD blocks within certain ones of the field devices 945 and may be used to provide SPM data for field devices which do not themselves support SPM blocks or SPM functionality and/or models and deviation detectors for field devices which do not themselves support AOD blocks or AOD functionality. Also, because the interface device 950 may typically have more memory and more processing power than a field device, implementing SPM blocks and/or AOD blocks in the interface device 950 may permit more complex AOD analysis to be performed.
[0167] The interface device 950 may communicate with other devices such as a host workstation 958 via a hardwired connection, such as a 2-wire, a 3-wire, a 4-wire, etc. connection, to provide SPM data, or data developed therefrom, such as alerts, data plots, etc. to those devices for viewing by a user. Additionally, as illustrated in Fig. 13, the interface device 950 may be connected via one or more wireless communication connections to a web browser 960 and to a handheld computing device 962, such as a telephone, a personal data assistant (PDA), a laptop computer, etc. In this example, an application may be stored in and executed in other devices, such as the host workstation 958, in the web browser 960 or in the handheld computing device 962 and these applications may communicate with the interface device 950 to obtain data for the application. If desired, the devices 958, 960 and 962 may include the configuration application 38 to enable a user to configure AOD blocks and/or SPM blocks implemented in the interface device 950. Likewise, as illustrated in Fig. 13, the data from the interface device 950 may be accessed indirectly from the host 958 by a web browser 964 and provided to other users via any desired web connection. Of course, the interface device 950 may include a web server therein and may communicate with any other device, such as the devices 958, 960, 962, and 964 using any desired protocol, such as OPC, Modbus, Ethernet, HTML, XML, etc.
[0168] Fig. 14 illustrates a further process plant system 970 in which an interface device 950, which may be similar to or the same as that of Fig. 13, is connected between a set of field devices 974 (forming part of a heat exchanger 978) and a process controller system 980. Here, the interface device 950, which may include all of the applications and functionality of the device 950 of Fig. 13, may provide data for viewing to a host 984, and may provide alerts or alarms generated by AOD systems or other systems to the controller system 980. The controller system 980 may integrate these alerts or alarms with other controller type alerts and alarms for viewing by, for example, a control operator at an operator workstation 988. Of course, if desired, the host workstation 984 may include any desired viewing application to view the data collected in and provided by the interface device 950 in any desired manner, including any of those discussed herein. Likewise, this data may be made available for viewing by other users via a web browser 990. Thus, as will be understood, the various applications discussed herein as being associated with the abnormal situation prevention system 35, the SPM blocks (if used), and the AOD systems maybe distributed in different devices. For instance, data (such as SPM data) may be collected in one device, such as a field device 974, and sent to another device, such as in the interface device 950, that implements an AOD system. Alerts, alarms, or other indicators generated by the AOD system maybe sent to yet another device, such as the workstation 988, for presentation to a user. Likewise, configuration information may be input via a user interface device, such as a host, a web browser, a PDA, etc. and sent to a different device, such as the interface device 950, for configuring an AOD system.
[0169] Fig. 15 is a block diagram of another example abnormal operation detection (AOD) system 1100 that could be utilized in the abnormal operation detection blocks 80 and 82 of Fig. 2. The AOD system 1100 includes a first SPM block 1104 and a second SPM block 1108 coupled to a model 1112. The first SPM block 1104 receives a first process variable and generates first statistical data from the first process variable. The first statistical data could be any of various kinds of statistical data such as mean data, median data, standard deviation data, rate of change data, range data, etc., calculated from the first process variable. Such data could be calculated based on a sliding window of first process variable data or based on non-overlapping windows of first process variable data. As one example, the first SPM block 1104 may generate mean data using a most recent first process variable sample and 49 previous samples of the first process variable. In this example, a mean variable value may be generated for each new first process variable sample received by the first SPM block 1104. As another example, the first SPM block 1104 may generate mean data using non- overlapping time periods. In this example, a window of five minutes (or some other suitable time period) could be used, and a mean variable value would thus be generated every five minutes. In a similar manner, the second SPM block 1108 receives a second process variable and generates second statistical data from the second process variable in a manner similar to the SPM block 1104. [0170] The model 1112 includes an independent variable X input and a dependent variable Y. As will be described in more detail below, the model 1112 may be trained using a plurality of data sets (X, Y), to model Y (dependent variable) as a function of X (independent variable). As will be described in more detail below, the model 1112 may include one or more regression models, each regression model for a different operating region. Each regression model may utilize a function to model the dependent variable Y as a function of the independent variable X over some range of X. The regression model may comprise be a linear regression model, for example, or some other regression model. Generally, a linear regression model comprises some linear combination of functions f(X), g(X), h(X), ... For modeling an industrial process, a typically adequate linear regression model may comprise a first order function of X (e.g., Y = m*X + b) or a second order function of X (e.g., Y = a*X2 + b*X + c). Of course, other types of functions may be utilized as well such as higher order polynomials, sinusoidal functions, logarithmic functions, exponential functions, power functions, etc.
[0171] After it has been trained, the model 1112 may be used to generate a predicted value (Yp) of a dependent variable Y based on a given independent variable X input. The output YP of the model 1112 is provided to a deviation detector 11 16. The deviation detector 1116 receives the output Yp of the regression model 1112 as well as the dependent variable input Y to the model 1112. Generally speaking, the deviation detector 1116 compares the dependent variable Y to the value Yp generated by the model 1112 to determine if the dependent variable Y is significantly deviating from the predicted value YP. If the dependent variable Y is significantly deviating from the predicted value Yp, this may indicate that an abnormal situation has occurred, is occurring, or may occur in the near future, and thus the deviation detector 1116 may generate an indicator of the deviation. In some implementations, the indicator may comprise an alert or alarm. The deviation detector 1116 may employ any of the techniques described above.
[0172] One of ordinary skill in the art will recognize that the AOD system 1100 can be modified in various ways. For example, the SPM blocks 1104 and 1108 could be omitted. As another example, other types of processing in addition to or instead of the SPM blocks 1104 and 1108 could be utilized. For example, the process variable data could be filtered, trimmed, etc., prior to the SPM blocks 1104 and 1108, or rather than utilizing the SPM blocks 1104 and 1 108. [0173] Additionally, although the model 1112 is illustrated as having a single independent variable input X, a single dependent variable input Y, and a single predicted value YP, the model 1112 could include a regression model that models multiple variables Y as a function of multiple variables X. For example, the model 1112 could comprise a multiple linear regression (MLR) model, a principal component regression (PCR) model, a partial least squares (PLS) model, a ridge regression (RR) model, a variable subset selection (VSS) model, a support vector machine (SVM) model, etc.
[0174] The AOD system 1100 could be implemented wholly or partially in a field device. As just one example, the SPM blocks 1104 and 1108 could be implemented in a field device 66 and the model 11 12 and/or the deviation detector 1116 could be implemented in the controller 60 or some other device. In one particular implementation, the AOD system 1100 could be implemented as a function block, such as a function block to be used in system that implements a Fieldbus protocol. Such a function block may or may not include the SPM blocks 1104 and 1108. In another implementation, each of at least some of the blocks 1104, 1108, 1112, and 1116 may be implemented as a function block.
[0175] The AOD system 1100 may be in communication with the abnormal situation prevention system 35 (Figs. 1 and 2). For example, the AOD system 1100 may be in communication with the configuration application 38 to permit a user to configure the AOD system HOO. For instance, one or more of the SPM blocks 1104 and 1108, the model 1112, and the deviation detector 1116 may have user configurable parameters that may be modified via the configuration application 38.
[0176] Additionally, the AOD system 1100 may provide information to the abnormal situation prevention system 35 and/or other systems in the process plant. For example, the deviation indicator generated by the deviation detector 1116 could be provided to the abnormal situation prevention system 35 and/or the alert/alarm application 43 to notify an operator of the abnormal condition. As another example, after the model 1112 has been trained, parameters of the model could be provided to the abnormal situation prevention system 35 and/or other systems in the process plant so that an operator can examine the model and/or so that the model parameters can be stored in a database. As yet another example, the AOD system 1100 may provide X, Y, and/or Yp values to the abnormal situation prevention system 35 so that an operator can view the values, for instance, when a deviation has been detected. [0177] Fig. 16 is a flow diagram of an example method 1150 for detecting an abnormal operation in a process plant. The method 1150 could be implemented using the example AOD system 100 of Fig. 15 and will be used to explain the operation of the AOD system 100. However, one of ordinary skill in the art will recognize that the method 1150 could be implemented by a system different than the AOD system 100. At a block 1154, a model, such as the model 1112, is trained. For example, the model could be trained using independent variable X and dependent variable Y data sets to configure it to model Y as a function of X. The model could include multiple regression models that each model Y as a function of X for a different range of X.
[0178] Then, at a block 1158, the trained model generates predicted values (Yp) of the dependent variable Y using values of the independent variable X that it receives. Next, at a block 1162, the actual values of Y are compared to the corresponding predicted values Yp to determine if Y is significantly deviating from YP. For example, the deviation detector 1116 receives the output YP of the model 1112 and compares it to the dependent variable Y. If it is determined that Y has significantly deviated from Y? an indicator of the deviation maybe generated at a block 1166. In the AOD system 100, for example, the deviation detector 1116 may generate the indicator. The indicator may be an alert or alarm, for example, or any other type of signal, flag, message, etc., indicating that a significant deviation has been detected.
[0179] As will be discussed in more detail below, the block 1154 may be repeated after the model has been initially trained and after it has generated predicted values Yp of the dependent variable Y. For example, the model could be retrained if a set point in the process has been changed.
[0180] Overview of the Model
[0181] Fig. 17 is a flow diagram of an example method 1200 for initially training a model such as the model 1112 of Fig. 15. At a block 1204, at least an adequate number of data sets (X, Y) for the independent variable X and the dependent variable Y may be received in order to train a model. As described above, the data sets (X, Y) may comprise process variable data, process variable data that has been filtered or otherwise processed, statistical data generated from the process variable data, etc. In the AOD system of Fig. 15, the model 1112 may receive data sets (X, Y) from the SPM blocks 1104 and 1108. Referring now to Fig. 18A, a graph 1220 shows an example of a plurality of data sets (X5Y) received by a model. [0182] Referring again to Fig. 17, at a block 1208, a validity range [XMIN, XMAX] for the model may be generated. The validity range may indicate a range of the independent variable X for which the model is valid. For instance, the validity range may indicate that the model is valid only for X values in which X is greater than or equal to XMIN and less than or equal to XMAX- AS just one example, XMIN could be set as the smallest value of X in the data sets (X, Y) received at the block 1204, and XMAX could be set as the largest value of X in the data sets (X, Y) received at the block 1204. Referring again to Fig. 18 A, XMIN could be set to the X value of the leftmost data set, and XMAX could be set as the X value of the rightmost data set, for example. Of course, the determination of validity range could be implemented in other ways as well. In the AOD system 100 of Fig. 15, the model block 1112 could generate the validity range.
[0183] At a block 1212, a regression model for the range [XMIN, XMAX] may be generated based on the data sets (X, Y) received at the block 1204. Any of a variety of techniques, including known techniques, may be used to generate the regression model, and any of a variety of functions could be used as the model. For example, the model of could comprise a linear equation, a quadratic equation, a higher order equation, etc. In Fig. 18B, a curve 1224 superimposed on the data sets (X, Y) received at the block 1204 illustrates a regression model that has been generated to model the data sets (X, Y). In Fig. 18C, the curve 1224 is illustrated without the data sets (X, Y). The regression model corresponding to the curve 1224 is valid in the range [XMIN, XMAX]. In the AOD system 100 of Fig. 15, the model block 1112 could generate the regression model for the range [XMIN, XMAX]-
[0184] Utilizing the Model through Operating Region Changes
[0185] It may be that, after the model has been initially trained, the system that it models may move into a different, but normal operating region. For example, a set point may be changed. Fig. 19 is a flow diagram of an example method 1240 for using a model to determine whether abnormal operation is occurring, has occurred, or may occur, wherein the model may be updated if the modeled process moves into a different operating region. The method 1240 may be implemented by an AOD system such as the AOD system 100 of Fig. 15. Of course, the method 1240 could be implemented by other types of AOD systems as well. The method 1240 may be implemented after an initial model has been generated. The method 1200 of Fig. 17, for example, could be used to generate the initial model. [0186] At a block 1244, a data set (X, Y) is received. In the AOD system 100 of Fig. 15, the model 1112 could receive a data set (X, Y) from the SPM blocks 1104 and 1108, for example. Then, at a block 1248, it may be determined whether the data set (X, Y) received at the block 1244 is in a validity range. The validity range may indicate a range in which the model is valid, hi the AOD system 100 of Fig. 15, the model 1112 could examine the value X received at the block 1244 to determine if it is within the validity range [XMIN, XMAX]. If it is determined that the data set (X, Y) received at the block 1244 is in the validity range, the flow may proceed to a block 1252.
[0187] At the block 1252, a predicted value Yp of the dependent variable Y may be generated using the model. In particular, the model generates the predicted value YP from the value X received at the block 1244. In the AOD system 100 of Fig. 15, the model 1112 generates the predicted value YP from the value X received from the SPM block 1104.
[0188] Then, at a block 1256, the value Y received at the block 1244 may be compared with the predicted value Yp. The comparison may be implemented in a variety of ways. For example, a difference or a percentage difference could be generated. Other types of comparisons could be used as well. Referring now to Fig. 2OA, an example received data set is illustrated in the graph 1220 as a dot, and the corresponding predicted value, Yp, is illustrated as an "x". As illustrated in Fig. 2OA, it has been calculated that the difference between Y received at the block 1244 and the predicted value YP is -1.9808%. Referring now to Fig. 2OB, another example received data set is illustrated in the graph 1220 as a dot, and the corresponding predicted value, YP, is illustrated as an "x". As illustrated in Fig. 2OB, it has been calculated that the difference between Y received at the block 1244 and the predicted value YP is -28.957%. In the AOD system 100 of Fig. 15, the deviation detector 1116 may perform the comparison.
[0189] Referring again to Fig. 19, at a block 1260, it may be determined whether the value Y received at the block 1244 significantly deviates from the predicted value YP based on the comparison of the block 1256. The determination at the block 1260 maybe implemented in a variety of ways and may depend upon how the comparison of the block 1256 was implemented. For example, if a difference value was generated at the block 1256, it may be determined whether this difference value exceeds some threshold. The threshold may be a predetermined or configurable value. Also, the threshold may be constant or may vary. For example, the threshold may vary depending upon the value of the independent variable X value received at the block 1244. As another example, if a percentage difference value was generated at the block 1256, it maybe determined whether this percentage value exceeds some threshold percentage. As yet another example, a significant deviation may be determined only if two or some other number of consecutive comparisons exceed a threshold. Referring again to Fig. 2OA, the difference between Y received at the block 1244 and the predicted value YP is -1.9808%. If, for example, a threshold of 10% is to be used to determine whether a deviation is significant, the absolute value of the difference illustrated in Fig. 2OA is below that threshold Referring again to Fig. 2OB on the other hand, the difference between Y received at the block 1244 and the predicted value YP is -28.957%. The absolute value of the difference illustrated in Fig. 2OB is above the threshold value 10% so an abnormal condition indicator may be generated as will be discussed below. In the AOD system 100 of Fig. 15, the deviation detector 1116 may implement the block 1260.
[0190] Determining i f the value Y significantly deviates from the predicted value Yp may be implemented using any of the systems, methods, techniques, etc. described above for determining if a process variable significantly deviates from an expected or predicted value may be utilized.
[0191] Optionally, blocks 1256 and 1260 maybe combined.
[0192] Some or all of criteria to be used in the comparing Y to YP (block 1256) and/or the criteria to be used in determining if Y significantly deviates from YP (block 1260) may be configurable by a user via the configuration application 38 (Figs. 1 and 2) for example. For instance, the type of comparison (e.g., generate difference, generate absolute value of difference, generate percentage difference, etc.) may be configurable. Also, the threshold or thresholds to be used in determining whether the deviation is significant may be configurable. Alternatively, such criteria may not be readily configurable by an operator.
[0193] Referring again to Fig. 19, if it is determined that the value Y received at the block 1244 does not significantly deviate from the predicted value Yp, the flow may return to the block 1244 to receive the next data set (X, Y). If however, it is determined that the value Y does significantly deviate from the predicted value Yp5 the flow may proceed to the block 1264. At the block 1264, an indicator of a deviation may be generated. The indicator may be an alert or alarm, for example. The generated indicator may include additional information such as whether the value Y received at the block 1244 was higher than expected or lower than expected, for example. Referring to Fig. 2OA, because the difference between Y received al the block 1244 and the predicted value Yp is -1.9808%, which is below the threshold 10%, no indicator is generated. On the other hand, referring to Fig. 2OB, the difference between Y received at the block 1244 and the predicted value YP is -28.957%, which is above the threshold 10%. Therefore, an indicator is generated. In the AOD system 100 of Fig. 15, the deviation detector 1116 may generate the indicator.
[01941 Referring again to the block 1248 of Fig. 19, if it is determined that the data set (X, Y) received at the block 1244 is not in the validity range, the flow may proceed to a block 1268. Referring now to Fig. 21 A, it shows a graph illustrating a received data set 1290 that is not in the validity range. Referring again to Fig. 19, at the block 1268, the data set (X, Y) received at the block 1244 may be added to an appropriate group of data sets that may be used to train the model at a subsequent time. For example, if the value of X received at the block 1244 is less than XMIN, the data set (X, Y) received at the block 1244 may be added to a data group corresponding to other received data sets in which the value of X is less than XMIN- Similarly, if the value of X received at the block 1244 is greater than XMAX, the data set (X, Y) received at the block 1244 may be added to a data group corresponding to other received data sets in which the value of X is greater than XMAX- Referring to Fig. 21A, the data set 1290 has been added to a group of data sets 1294 corresponding to data sets in which the value of X is less than XMIN- In the AOD system 100 of Fig. 15, the model block 1112 may implement the block 1268.
[0195] Then, at a block 1272, it may be determined if enough data sets are in the data group to which the data set was added at the block 1268 in order to generate a regression model corresponding to the data in that group. This determination may be implemented using a variety of techniques. For example, the number of data sets in the group may be compared to a minimum number, and if the number of data sets in the group is at least this minimum number, it may be determined that there are enough data sets in order to generate a regression model. The minimum number may be selected using a variety of techniques, including techniques known to those of ordinary skill in the art. If it is determined that there are enough data sets in order to generate a regression model, the model may be updated at a block 1276, as will be described below with reference to Fig. 22. If it is determined, however, that there are not enough data sets in order to generate a regression model, the flow may return to the block 1244 to receive the next data set (X, Y). [0196] Fig. 22 is a flow diagram of an example method 1276 for updating the model after it is determined that there are enough data sets in a group in order to generate a regression model for data sets outside the current validity range [XMIN, XMAX]- At a block 1304, a range [X'MIN, X'MAX] for a new regression model may be determined. The validity range may indicate a range of the independent variable X for which the new regression model will be valid. For instance, the validity range may indicate that the model is valid only for X values in which X is greater than or equal to X'MIN and less than or equal to X'MAX- As just one example, X'MIN could be set as the smallest value of X in the group of data sets (X5Y), and X'MAX could be set as the largest value of X in the group of data sets (X5Y). Referring again to Fig. 21A, X'MIN could be set to the X value of the leftmost data set in the group 1294, and X'MAX could be set as the X value of the rightmost data set in the group 1294, for example. In the AOD system 100 of Fig. 15, the model block 1112 could generate the validity range.
[0197] At a block 1308, a regression model for the range [X'MIN, X'MAX] may be generated based on the data sets (X, Y) in the group. Any of a variety of techniques, including known techniques, may be used to generate the regression model, and any of a variety of functions could be used as the model. For example, the model could comprise a linear equation, a quadratic equation, etc. In Fig, 21B, a curve 1312 superimposed on the group 1294 illustrates a regression model that has been generated to model the data sets in the group 1294. The regression model corresponding to the curve 1312 is valid in the range [X'MIN, X'MAX], and the regression model corresponding to the curve 1224 is valid in the range [XMIN, XMAX]. In the AOD system 100 of Fig. 15, the model 1112 could generate the regression model for the range [X'MIN, X'MAX].
[0198] For ease of explanation, the range [XMIN, XMAX] will now be referred to as [XMJNJ , XMAXJ], and the range [X'MIN, X'MAX] will now be referred to as [XMIN_2, XMAX_2]. Additionally, the regression model corresponding to the range [XMINJ, XMAXJ] will be referred to as f[(x), and regression model corresponding to the range [XMIN_2, XMAX_2_ will be referred to as f2(x). Thus, the model may now be represented as:
MX) for XMMIINN11 < — X 'v < " XJVMAX I
AX) = (Equ. 6)
Z2(JO for XMIN 2 < X < X MAX 2
[0199] Referring again to Fig. 22, at a block 1316, an interpolation model may be generated between the regression models corresponding to the ranges [XMENJ, XMAX I] and [XMIN_2, XMAX_2]. The interpolation model described below comprises a linear function, but in other implementations, other types of functions, such as a quadratic function, can be used. If XiviAxj is less than XMIN_2, then the interpolation model may be calculated as:
Figure imgf000051_0001
W - XM1N i) + Z2 (XMJN 2 ) (Equ. 7)
Λ MIN 2Λ MAX 1
Similarly, if XMAX_2 is less than XMINJ , then the interpolation model may be calculated as:
Figure imgf000051_0002
[0200] Thus, the model may now be represented as:
for X MIN I — <Λ Ύ < -Λ YMAX ]
f(X) for XMAX ] < X < X MIN 2
Figure imgf000051_0003
r XMIN 2≤ X ≤ XiMAX 2
(Equ. 9)
if XMAXJ is less than XMIN_2- And, if XMAX_2 is less than XMINJ, the interpolation model may be represented as:
If2(X) forXMIN 2 < X < XMΛX 2
f(X) = — X MIN ] )+ /] (X MIN I ) for X MAX 2 <x <x MlN 1
Figure imgf000051_0004
MX)r XMIN 1 X≤ XMAX 1
(Equ. 10)
[0201] As can be seen from equations 6, 9 and 10, the model may comprise a plurality of regression models. In particular, a first regression model (i.e., fi(X)) may be used to model the dependent variable Y in a first operating region (i.e., XMIN , < X < XMAX , ), and a second regression model (i.e., f2(X)) may be used to model the dependent variable Y in a second operating region (i.e., XM[N 2 < X < XMAX , ). Additionally, as can be seen from equations 9 and 10, the model may also comprise an interpolation model to model the dependent variable Y in between operating regions corresponding to the regression models. [0202] Referring again to Fig. 22, at a block 1320, the validity range may be updated. For example, if XMAX_I is less than XMIN_> then XMEN may be set to XMIN_I and XMAX may be set to XMAχ_2- Similarly, if XMAXJΪ is less than XM]NJ, then XMiN may be set to XMiN_2 and XMAX may be set to XMAXJ - Fig- 21C illustrates the new model with the new validity range.
[0203] Referring now to Figs. 19 and 22, the model may be updated a plurality of times using a method such as the method 1276. For example, Fig. 23 A illustrates a first group 1354 of data sets and a second group 1358 of data sets outside of the validity region corresponding to the model illustrated in Fig. 21C, and Fig. 23B illustrates corresponding to regression models generated for the first group 1354 of data sets and the second group 1358 of data sets. Additionally, Fig. 23C illustrates a new updated model that includes the regression models generated for the first group 1354 of data sets and the second group 1358 of data sets as well as new interpolation models. Further, 11C illustrates a new validity range for the model.
[0204] The abnormal situation prevention system 35 (Figs. 1 and 2) may cause, for example, graphs similar to some or all of the graphs illustrated in Figs. 18 A, 18B, 18C, 2OA, 2OB, 2 IA, 2 IB, 21 C, 23 A, 23B and 23C to be displayed on a display device. For instance, if the AOD system 1100 provides model criteria data to the abnormal situation prevention system 35 or a database, for example, the abnormal situation prevention system 35 may use this data to generate a display illustrating how the model 1112 is modeling the dependent variable Y as a function of the independent variable X. For example, the display may include a graph similar to one or more of the graphs of Figs. 18C, 2OC and 23C. Optionally, the AOD system 1100 may also provide the abnormal situation prevention system 35 or a database, for example, with some or all of the data sets used to generate the model 1112. hi this case, the abnormal situation prevention system 35 may use this data to generate a display having a graph similar to one or more of the graphs of Figs. 18A, 18B, 21A, 21B, 23A and 23 B. Optionally, the AOD system 100 may also provide the abnormal situation prevention system 35 or a database, for example, with some or all of the data sets that the AOD system 1100 is evaluating during its monitoring phase. Additionally, the AOD system 1100 may also provide the abnormal situation prevention system 35 or a database, for example, with the comparison data for some or all of the data sets. In this case, as just one example, the abnormal situation prevention system 35 may use this data to generate a display having a graph similar to one or more of the graphs of Figs. 2OA and 2OB. [0205] Fig. 24 is a block diagram of another example AOD system 1400 that could be used for the abnormal operation detection blocks 80 and 82 of Fig, 2. The AOD system 1400 includes a first SPM block 1404 and a second SPM block 1408. The SPM block 1404 receives a load variable associated with a process and generates a mean signal corresponding to the load variable. Similarly, the SPM block 1408 receives a monitored variable associated with the process and generates a mean signal based on the monitored variable. Additionally, the SPM block 1408 generates a standard deviation signal based on the monitored variable. The mean signals from the SPM block 1404 and the SPM block 1408, as well as the standard deviation signal from the SPM block 1408 may be generated using a variety of techniques, including known techniques. For example, the SPM block 1404 could generate mean values by calculating the means of non-overlapping blocks of load variable samples. The blocks could have a fixed length such as a particular number of samples or a time period. As a particular example used for illustrative purposes, if the block was five minutes in length, the SPM block 1404 would generate a mean value every five minutes. The configuration application 38, for example, could be used to configure the SPM blocks 1404 and 1408. Optionally, the SPM blocks 1404 and 1408 may not be readily configurable by an operator.
[0206] The mean output of the SPM block 1404 is provided as an independent variable (X) input of a model 1412, and the mean output of the SPM block 1408 is provided as a dependent variable (Y) input of the model 1412. The model 1412 may comprise a model such as the model 1112 of Fig. 15, for example. The mean output of the SPM block 1404 is also provided as an independent variable (X) input of a model 1416, and the standard deviation output of the SPM block 1408 is provided as a dependent variable (Y) input of the model 1416. The model 1416 may comprise a model such as the model 1112 of Fig. 15, for example.
[0207] hi the AOD system 1400, the model 1412 generally models the mean of the monitored variable as a function of the mean of the load variable. The model 1416 generally models the standard deviation of the monitored variable as a function of the mean of the load variable. This may be useful in situations where the standard deviation of the monitored variable tends to change as the load variable changes.
[0208] The YP outputs of the models 1412 and 1416 are provided to a deviation detector 1420. Additionally, the mean output of the SPM block 1408 is provided to the deviation detector 1420. The deviation detector 1420 generally compares the mean (μmv) of the monitored variable to the predicted mean (μpmv) generated by the model 1412. Additionally, the deviation detector 1420 utilizes this comparison as well as the predicted standard deviation (σpmv) generated by the mode] 1416 to determine if a significant deviation has occurred. More specifically, the deviation detector 1420 generates a status signal as follows: if μmv > μpmv + mσPmv), then generate the status signal indicating that the mean μmv appears to be too high ("UP"); if μmv < μpmv - mσpmv), then generate the status signal indicating that the mean μmv appears to be too low ("DOWN"); otherwise, generate the status signal indicating that the mean μmv appears to be in a normal range ("NO CHANGE"). where m is a real number that may be fixed or may be modifiable by a user. As a default, m could be set to 3, for example. Of course, any other suitable default value could be used. The value of m could be configured using the configuration application 38, for example. In some implementations, the status signal may be in the form of an alert or alarm. More generally, the deviation detector 1420 may utilize any of the above-described techniques for determining if there is a significant deviation.
[0209] In one particular implementation, the AOD system 1400 could be implemented as a function block, such as a function block to be used in system that implements a Fieldbus protocol. In another implementation, each of some or all of blocks 1404, 1408, 1412, 1416 and 1420 may be implemented as a separate function block,
[0210] Using AOD System in a Level Regulatory Control Loop
[0211] AOD systems such as those described above can be used in various ways in a process plant to facilitate abnormal situation prevention. An example of using AOD systems to prevent an abnormal situation in a process plant will be described with reference to Figs. 25 and 26. Fig. 25 is a block diagram of an example control system 1450 for regulating the level of material in a tank 1454. A control system such as the control system 1450 is often referred to in the process control industry as a Level Regulatory Control Loop. The control system 1450 includes a flow sensor 1458 to sense the flow of material into the tank 1454, and a flow sensor 1462 to sense the flow of material exiting the tank 1454. The flow sensor 1458 may generate a signal IF indicative of the flow rate of material entering the tank 1454, for example, and the flow sensor 1462 may generate a signal OF indicative of the flow rate of material exiting the tank 1454, for example. The control system 1450 may also include a level sensor 1466 to sense the level of material in the tank 1454. The level sensor 1466 may generate a signal LVL indicative of the level of material in the tank 1454, for example.
[0212] A pump 1470 may facilitate draining material from the tank 1454, and a valve 1474 may be used to regulate the flow rate of material exiting the tank. A position of the valve may be altered using a control demand (CD) signal in a manner well known to those of ordinary skill in the art. The valve 1474 may include a sensor that generates a signal VP indicative of the position of the valve.
[0213] A PID control routine 1478 may be used to control the valve 1474 in order to regulate the level of material in the tank 1454 according to a set point (SP). Any of a variety of suitable control routines may be utilized for the PID control routine 1478. hi general, such a routine may utilize one or more of the following signals to generate a control demand (CD) signal to appropriately control the valve 1454: SP, LVL, VP, IF and/or OF.
[0214] In control systems such as the control system 1450, two typical abnormal conditions are encountered: a measurement drift and a valve problem. The measurement drift condition maybe indicative of a problem with a sensor, such as the level sensor 1466. For example, a measurement drift condition may result in the signal LVL not accurately indicating the actual level in the tank 1454. The valve problem condition may indicate a problem with the valve 1474. This may result, for example, in the VP signal indicating a different valve position than that indicated by the CD signal With prior art techniques, such underlying problems may cause another problem to occur, such as the level in the tank becoming too high or too low. This may lead to an alert or alarm being generated. But it may take an operator some time to determine the underlying problem that led to the alert/alarm.
[0215] Fig. 26 is a block diagram of an example system 1500 that may be used to detect an abnormal condition associated with the control system 1450 of Fig. 25. It is to be understood, however, that the system 1500 could be used with other control systems as well. It is believed that a system such as the system 1500 may help to detect a measurement drift or valve problem before such underlying conditions lead to a more serious problem such as a tank level being too high or too low. Thus, the system 1500 may help to limit down time because, for example, replacement parts could be ordered in advance of a shut down. Similarly, economic loss may be reduced because a shut down could be scheduled in advance, as opposed to the system being shut down immediately in response to tank level alarm. Alternatively, a faulty sensor or valve could be replaced without shutting the process down.
[0216J The system 1500 includes a first AOD block 1504 and a second AOD block 1508. Each of the AOD blocks 1504 and 1508 may comprise an AOD system such as the AOD system 1400 of Fig. 24. Thus, each of the AOD blocks 1504 and 1508 may include a load variable (LV) input, a monitored variable (MV) input, and a status (S) output as in the AOD system 1400 of Fig. 24.
[0217] Referring now to Figs. 25 and 26, the LVL signal may be provided to the LV input of the AOD block 1504 and also to the LV input of the AOD block 1508. The CD signal may be provided to the MV input of the AOD block 1504. The CD signal may also be provided to a subtraction block 1512, along with the VP signal. The subtraction block 1512 may generate an output signal VP - CD, which may be provided to the MV input of the AOD block 1508. In the system 1500, the AOD block 1504 generally models the mean of the CD signal as a function of the mean of the LVL signal. Similarly, the AOD block 1508 generally models the mean of the signal VP - CD as a function of the mean of the LVL signal.
[0218] A status signal Sl generated by the AOD block 1504 and a status signal S2 generated by the AOD block 1508 maybe provided to a logic block 1516. The signals Sl and S2 may be generated in the manner described with respect to Fig. 24. The logic block 1516 may generate a control system status signal that generally indicates whether an abnormal condition has been detected and provides information as to the type of abnormal condition. For example, the logic block 1516 may generate an indicator of a valve problem if the status signal S2 has a value of either "UP" or "DOWN". Also, the logic block 1516 may generate an indicator of a measurement drift problem if the status signal S2 has a value of "NO CHANGE" and the status signal Sl has a value of either "UP" or "DOWN". If the status signals Sl and S2 both have values of "NO CHANGE," the logic block 1516 may generate an indicator that no abnormal condition has been detected.
[0219] One of ordinary skill in the art will recognize that a system similar to the system 1500 of Fig. 26 could be utilized to detect other types of abnormal conditions associated with a control system such as the control system 1450 of Fig. 25. For example, a similar system could be used to detect a liquid leak condition, ahead loss condition, etc. [0220] In one particular implementation, the system 1500 could be a function block, such as a function block to be used in system that implements a Fieldbus protocol. In another implementation, each of at least some of the blocks 1504, 1508, 1512, and 1516 may be implemented as a function block.
[0221] Manual Control of AOD System
[0222] In the AOD systems described with respect to Figs. 17, 19 and 22, the model may automatically update itself when enough data sets have been obtained in a particular operating region. However, it may be desired that such updates do not occur unless a human operator permits it. Additionally, it may be desired to allow a human operator to cause the model to update even when received data sets are in the validity region.
[0223] Fig. 27 is an example state transition diagram 1550 corresponding to an alternative operation of an AOD system such as the AOD system 100 of Fig. 27 and AOD system 1400 of Fig. 24. The operation corresponding to the state diagram 1550 allows a human operator more control over the AOD system. For example, as will be described in more detail below, an operator may cause a LEARN command to be sent to the AOD system when the operator desires that the model of the AOD system be forced into a LEARNING state 1554. Generally speaking, in the LEARNING state 1554, which will be described in more detail below, the AOD system obtains data sets for generating a regression model. Similarly, when the operator desires that the AOD system create a regression model and begin monitoring incoming data sets, the operator may cause a MONITOR command to be sent to the AOD system. Generally speaking, in response to the MONITOR command, the AOD system may transition to a MONITORING state 1558.
[0224] An initial state of the AOD system may be an UNTRAINED state 1560, for example. The AOD system may transition from the UNTRAINED state 1560 to the LEARNING state 1554 when a LEARN command is received. If a MONITOR command is received, the AOD system may remain in the UNTRAINED state 1560. Optionally, an indication may be displayed on a display device to notify the operator that the AOD system has not yet been trained.
[0225] In an OUT OF RANGE state 1562, each received data set may be analyzed to determine if it is in the validity range. If the received data set is not in the validity range, the AOD system may remain in the OUT OF RANGE state 1562. If, however, a received data set is within the validity range, the AOD system may transition to the MONITORING state 1558. Additionally, if a LEARN command is received, the AOD system may transition to the
LEARNING state 1554.
[0226J In the LEARNING state 1554, the AOD system may collect data sets so that a regression model may be generated in one or more operating regions corresponding to the collected data sets. Additionally, the AOD system optionally may check to see if a maximum number of data sets has been received. The maximum number may be governed by storage available to the AOD system, for example. Thus, if the maximum number of data sets has been received, this may indicate that the AOD system is, or is in danger of, running low on available memory for storing data sets, for example. In general, if it is determined that the maximum number of data sets has been received, or if a MONITOR command is received, the model of the AOD system may be updated and the AOD system may transition to the MONITORING state 1558.
[0227] Fig. 28 is a flow diagram of an example method 1600 of operation in the LEARNING state 1554. At a block 1604, it may be determined if a MONITOR command was received. If a MONITOR command was received, the flow may proceed to a block 1608. At the block 1608, it may be determined if a minimum number of data sets has been collected in order to generate a regression model. If the minimum number of data sets has not been collected, the AOD system may remain in the LEARNING state 1554. Optionally, an indication may be displayed on a display device to notify the operator that the AOD system is still in the LEARNING state because the minimum number of data sets has not yet been collected.
[0228] If, on the other hand, the minimum number of data sets has been collected, the flow may proceed to a block 1612. At the block 1612, the model of the AOD system may be updated as will be described in more detail with reference to Fig. 17. Next, at a block 1616, the AOD system may transition to the MONITORING state 1558.
[0229] If, at the block 1604 it has been determined that a MONITOR command was not received, the flow may proceed to a block 1620, at which a new data set may be received. Next, at a block 1624, the received data set may be added to an appropriate training group. An appropriate training group may be determined based on the X value of the data set, for instance. As an illustrative example, if the X value is less than XMIN of the model's validity range, the data set could be added to a first training group. And, if the X value is greater than XMAX of the model's validity range, the data set could be added to a second training group. [0230] At a block 1628, it may be determined if a maximum number of data sets has been received. If the maximum number has been received, the flow may proceed to the block 1612, and the AOD system will eventually transition to the MONITORING state 1558 as described above. On the other hand, if the maximum number has not been received, the AOD system will remain in the LEARNING state 1554. One of ordinary skill in the art will recognize that the method 1600 can be modified in various ways. As just one example, if it is determined that the maximum number of data sets has been received at the block 1628, the AOD system could merely stop adding data sets to a training group. Additionally or alternatively, the AOD system could cause a user to be prompted to give authorization to update the model. In this implementation, the model would not be updated, even if the maximum number of data sets had been obtained, unless a user authorized the update.
[0231] Fig. 29 is a flow diagram of an example method 1650 that may be used to implement the block 1612 of Fig. 28. At a block 1654, a range [X'MIN, X'MAX] may be determined for the regression model to be generated using the newly collected data sets. The range [X'MIN, X'MAX] may be implemented using a variety of techniques, including known techniques. At a block 1658, the regression model corresponding to the range [X'MIN> X'MAX] may be generated using some or all of the data sets collected and added to the training group as described with reference to Fig. 28. The regression model may be generated using a variety of techniques, including known techniques.
[0232] At a block 1662, it may be determined if this is the initial training of the model. As just one example, it may be determined if the validity range [XMIN, XMAX] is some predetermined range that indicates that the model has not yet been trained. If it is the initial training of the model, the flow may proceed to a block 1665, at which the validity range [XMIN, XMAX] will be set to the range determined at the block 1654.
[0233] If at the block 1662 it is determined that this is not the initial training of the model, the flow may proceed to a block 1670. At the block 1670, it may be determined whether the range [X'MIN, X'MAX] overlaps with the validity range [XMIN, XMAX]- If there is overlap, the flow may proceed to a block 1674, at which the ranges of one or more other regression models or interpolation models may be updated in light of the overlap. Optionally, if a range of one of the other regression models or interpolation models is completely within the range [X'MIN, X'MAX], the other regression model or interpolation model may be discarded. This may help to conserve memory resources, for example. At a block 1678, the validity range may be updated, if needed. For example, if X'MJN is less than XMIN of the validity range, XMIN of the validity range may be set to the X'MIN-
[0234] If at the block 1670 it is determined whether the range [X'MIN, X'MAX] does not overlap with the validity range [XMIN> XMAX], the flow may proceed to a block 1682. At the block 1682, an interpolation model may be generated, if needed. At the block 1686, the validity range may be updated. The blocks 1682 and 1686 may be implemented in a manner similar to that described with respect to blocks 1316 and 1320 of Fig. 22.
[0235] One of ordinary skill in the art will recognize that the method 1650 can be modified in various ways. As just one example, if it is determined that the range [X'MIN, X'MAX] overlaps with the validity range [XMJN, XMAX], one or more of the range [X'MIN, X'MAX] and the operating ranges for the other regression models and interpolation models could be modified so that none of these ranges overlap.
[0236] Fig. 30 is a flow diagram of an example method 1700 of operation in the MONITORING state 1558. At a block 1704, it may be determined if a LEARN command was received. If a LEARN command was received, the flow may proceed to a block 1708. At the block 1708, the AOD system may transition to the LEARNING state 1554. If a LEARN command was not received, the flow may proceed to a block 1712.
[0237] At the block 1712, a data set (X, Y) may be received as described previously. Then, at a block 1716, it may be determined whether the received data set (X3Y) is within the validity range [XMIN, XMAX]- If the data set is outside of the validity range [XMIN, XMAX], the flow may proceed to a block 1720, at which the AOD system may transition to the OUT OF RANGE state 1562. But if it is determined at the block 1716 that the data set is within the validity range [XMIN, XMAX], the flow may proceed to blocks 1724, 1728 and 1732. The blocks 1724, 1728 and 1732 may be implemented similarly to the blocks 1158, 1162 and 1166, respectively, as described with reference to Fig. 28.
[0238] To help further explain state transition diagram 1550 of Fig. 27, the flow diagram 1600 of Fig. 28, the flow diagram 1650 of Fig. 29, and the flow diagram 1700 of Fig. 30, reference is now made to Figs. 31A-31I, which are graphs to help illustrate an example of how an AOD system could operate . Fig. 31 A shows a graph 1800 illustrating the AOD system in the LEARNING state 1554 while its model is being initially trained. In particular, the graph 1800 of Fig. 31 A includes a group 1804 of data sets that have been collected. After an operator has caused a MONITOR command to be issued, or if a maximum number of data sets has been collected, a regression model corresponding to the group 1804 of data sets may be generated. The graph 1800 of Fig. 3 IB includes a curve 1808 indicative of the regression model corresponding to the group 1804 of data sets. Then, the AOD system may transition to the MONITORING state 1558.
[0239] The graph 1800 of Fig. 31 C illustrates operation of the AOD system in the MONITORING state 1558. In particular, the AOD system receives a data set 1812 that is within the validity range. The model generates a prediction Yp (indicated by an x in the graph of Fig. 31C) using the regression model indicated by the curve 1808. In Fig. 3 ID, the AOD system receives a data set 1816 that is not within the validity range. This may cause the AOD system to transition to the OUT OF RANGE state 1562.
[0240] If the operator subsequently causes a LEARN command to be issued, the AOD system will transition again to the LEARNING state 1554. The graph 1800 of Fig. 3 IE illustrates operation of the AOD system after it has transitioned back to the LEARNING state 1554. In particular, the graph of Fig. 31 E includes a group 1820 of data sets that have been collected. After an operator has caused a MONITOR command to be issued, or if a maximum number of data sets has been collected, a regression model corresponding to the group 1820 of data sets may be generated. The graph 1800 of Fig. 31F includes a curve 1824 indicative of the regression model corresponding to the group 1820 of data sets. Next, an interpolation model may be generated for the operating region between the curves 1808 and 1824.
[0241] Then, the AOD system may transition back to the MONITORING state 1558. The graph of Fig. 3 IG illustrates the AOD system again operating in the MONITORING state 1558. hi particular, the AOD system receives a data set 1828 that is within the validity range. The model generates a prediction YP (indicated by an x in the graph of Fig. 33 G) using the regression model indicated by the curve 1824 of Fig. 3 IF.
[0242] If the operator again causes a LEARN command to be issued, the AOD system will again transition to the LEARNING state 1554. The graph 1800 of Fig. 3 IH illustrates operation of the AOD system after it has again transitioned to the LEARNING state 1554. In particular, the graph of Fig. 31H includes a group 1832 of data sets that have been collected. After an operator has caused a MONITOR command to be issued, or if a maximum number of data sets has been collected, a regression model corresponding to the group 1832 of data sets may be generated. The graph 1800 of Fig. 311 includes a curve 1836 indicative of the regression model corresponding to the group 1832 of data sets.
[0243] Next, ranges of the other regression models may be updated. For example, referring to Figs. 3 IF and 311, the ranges of the regression models corresponding to the curves 1808 and 1824 have been shortened as a result of adding the regression model corresponding to the curve 1836. Additionally, the interpolation model for the operating region between the regression models corresponding to the curves 1808 and 1824 has been overridden by the regression model corresponding to curve 1836. Thus, the interpolation model maybe deleted from a memory associated with the AOD system if desired.
[0244] After transitioning to the MONITORING state 1558, the AOD system may operate as described previously. For example, the graph of Fig. 311 shows a received data set 1840 that is within the validity range. The model generates a prediction Yp (indicated by an x in the graph of Fig. 311) using the regression model indicated by the curve 1836.
[0245] Referring again to Fig. 12, the function block 918 may include at least one model and a deviation detector that function in a manner similar to that described above with respect to Figs. 15 and/or 24, for example.
[0246] One of ordinary skill in the art will recognize that the example systems and methods described above may be modified in various ways. For example, blocks may be omitted, reordered, or combined, additional blocks may be added, etc. As just one specific example, with regard to Fig. 28, the block 1604 could be implemented at a different point in the flow. Similarly, the block 1604 could be implemented as an interrupt routine, and thus it could actually occur at various points with the flow of Fig. 28 depending upon when the MONITOR command is received.
[0247] Although examples were described in which a regression model comprised a linear regression model of a single dependent variable as a function of a single independent variable, one of ordinary skill in the art will recognize that other linear regression models and non-linear regression models may be utilized. One of ordinary skill in the art will also recognize that the linear or non-linear regression models may model multiple dependent variables as functions of multiple independent variables.
[0248] One of ordinary skill in the art will recognize that the example systems and methods described above may be modified in various ways. For example, blocks may be omitted, reordered, or combined, additional blocks may be added, etc. The AOD systems, models, deviation detectors, logic blocks, system blocks, method blocks, etc., described herein may be implemented using any combination of hardware, firmware, and software. Thus, systems and techniques described herein may be implemented in a standard multipurpose processor or using specifically designed hardware or firmware as desired. When implemented in software, the software may be stored in any computer readable memory such as on a magnetic disk, a laser disk, or other storage medium, in a RAM or ROM or flash memory of a computer, processor, I/O device, field device, interface device, etc. Likewise, the software may be delivered to a user or a process control system via any known or desired delivery method including, for example, on a computer readable disk or other transportable computer storage mechanism or via communication media. Communication media typically embodies computer readable instructions, data structures, program modules or other data in a modulated data signal such as a carrier wave or other transport mechanism. The term "modulated data signal" means a signal that has one or more of its characteristics set or changed in such a manner as to encode information in the signal. By way of example, and not limitation, communication media includes wired media such as a wired network or direct- wired connection, and wireless media such as acoustic, radio frequency, infrared and other wireless media. Thus, the software may be delivered to a user or a process control system via a communication channel such as a telephone line, the Internet, etc. (which are viewed as being the same as or interchangeable with providing such software via a transportable storage medium).
[0249] Thus, while the present invention has been described with reference to specific examples, which are intended to be illustrative only and not to be limiting of the invention, it will be apparent to those of ordinary skill in the art that changes, additions or deletions may be made to the disclosed embodiments without departing from the spirit and scope of the invention.

Claims

ClaimsWhat is claimed is:
1. A method for facilitating detection of abnormal operation of a process in a process plant, comprising: collecting first data sets for the process while the process is in a first operating region, the first data sets generated from process variables of the process in the first operating region; generating a first regression model of the process in the first operating region using the first data sets; determining a first range in which the first regression model is valid; generating a model of the process to include the first regression model; collecting second data sets for the process while the process is in a second operating region, the second data sets generated from process variables of the process in the second operating region; generating a second regression model of the process in the second operating region using the second data sets; determining a second range in which the second regression model is valid; revising the model of the process to include the first regression model for the first range and the second regression model for the second range; receiving process variable data, the process variable data generated by a device in a process plant; receiving statistical data regarding the process variable data; receiving at least one parameter associated with at least one threshold based on the received statistical data; determining at least one threshold based on the received statistical data and the received at least one parameter; generating predicted process variable data using the model of the process; analyzing the received process variable data, the predicted process variable data, and the at least one threshold to determine if the received process variable data significantly deviates from the predicted process variable data; and generating an indicator of abnormal operation if it is determined that the received process variable data significantly deviates from the predicted process variable data.
2. A method according to claim 1, wherein determining the at least one threshold includes determining a first threshold; wherein analyzing the received process variable data, predicted process variable data, and the at least one threshold comprises determining whether a first number of consecutive values of the received process variable data lie within a first region defined based on the first threshold, the first number greater than one.
3. A method according to claim 2, wherein determining the at least one threshold includes determining a second threshold; wherein analyzing the received process variable data, predicted process variable data, and the at least one threshold comprises determining whether a second number of consecutive values of the received process variable data lie within a second region defined based on the second threshold, the second number greater than one.
4. A method according to claim 2, wherein determining the at least one threshold includes determining a second threshold; wherein analyzing the received process variable data, predicted process variable data, and the at least one threshold comprises determining whether the first number of consecutive values of the received process variable data lie within a second region defined based on the second threshold or the first region.
5. A method according to claim 2, wherein receiving statistical data regarding the process variable data comprises receiving a standard deviation regarding the process variable data; where receiving the at least one parameter comprises receiving an indication of a real number from a configuration application, the real number associated with the first threshold; wherein determining the at least one threshold comprises determining the first threshold by multiplying the standard deviation with the real number.
6. A method according to claim 5, wherein receiving the at least one parameter comprises receiving the first number from the configuration application.
7. A method according to claim 1, wherein receiving statistical data regarding the process variable data comprises receiving at least one of a standard deviation regarding the process variable data, a variance regarding the process variable data, or a mean regarding the process variable data.
8. A method according to claim 1, further comprising: collecting at least third data sets for the process while the process is in at least a third operating region, the at least third data sets generated from process variables of the process in the at least the third operating region; generating at least a third regression model of the process in the at least the third operating region using the at least third data sets; determining at least a third range in which the at least the third regression model is valid; and revising the model of the process to include the first regression model for the first range, the second regression model for the second range and the at least the third regression model for at least the third range.
9. A method according to claim 1, further comprising: generating an interpolated model between the first range and the second range; and revising the model of the process to include the first regression model for the first range, the second regression model for the second range and the interpolated model between the first range and the second range.
10. A tangible medium storing machine readable instructions, the machine readable instructions capable of causing one or more machines to: collect first data sets for the process while the process is in a first operating region, the first data sets generated from process variables of the process in the first operating region; generate a first regression model of the process in the first operating region using the first data sets; determine a first range in which the first regression model is valid; generate a model of the process to include the first regression model; collect second data sets for the process while the process is in a second operating region, the second data sets generated from process variables of the process in the second operating region; generate a second regression model of the process in the second operating region using the second data sets; determine a second range in which the second regression model is valid; revise the model of the process to include the first regression model for the first range and the second regression model for the second range; receive process variable data, the process variable data generated by a device in a process plant; receive statistical data regarding the process variable data; receive at least one parameter associated with at least one threshold based on the received statistical data; determine at least one threshold based on the received statistical data and the received at least one parameter; generate predicted process variable data using the model of the process; analyze the received process variable data, the predicted process variable data, and the at least one threshold to determine if the received process variable data significantly deviates from the predicted process variable data; and generate an indicator of abnormal operation if it is determined that the received process variable data significantly deviates from the predicted process variable data.
11. A method for facilitating detection of abnormal operation of a process in a process plant, comprising: collecting first data sets for the process while the process is in a first operating region, the first data sets generated from process variables of the process in the first operating region; generating a first regression model of the process in the first operating region using the first data sets; determining a first range in which the first regression model is valid; generating a model of the process to include the first regression model; collecting second data sets for the process while the process is in a second operating region, the second data sets generated from process variables of the process in the second operating region; generating a second regression model of the process in the second operating region using the second data sets; determining a second range in which the second regression model is valid; revising the model of the process to include the first regression model for the first range and the second regression model for the second range; receiving process variable data associated with a process plant; generating expected process variable data using the model of the process; determining whether a first number of values of the received process variable data are within a first region based on the expected process variable data; generating an indicator of significant deviation if it is determined that the first number of values of the received process variable data is within the first region; determining whether a second number of values of the received process variable data is within a second region based on the expected process variable data, wherein the second number is greater than the first number, wherein the second region is different than the first region; and generating the indicator of significant deviation if it is determined that the second number of values of the received process variable data is within the second region.
12. A method according to claim 11, wherein determining whether the first number of values of the received process variable data is within the first region comprises determining if at least the first number of values out of a third number of consecutive values of the received process variable data is within the first region, wherein the third number is greater than the first number; and wherein determining whether the second number of values of the received process variable data is within the second region comprises determining if at least the second number of values out of a fourth number of consecutive values of the received process variable data is within the second region, wherein the fourth number is greater than the second number.
13. A method according to claim 11, wherein determining whether the first number of values of the received process variable data is within the first region comprises determining whether the first number of consecutive values of the received process variable data is within the first region; and wherein determining whether the second number of values of the received process variable data is within the second region comprises determining whether the second number of consecutive values of the received process variable data is within the second region.
14. A method according to claim 11, further comprising: determining whether a third number of values of the received process variable data is within a third region based on the expected process variable data, wherein the third number is greater than the second number, wherein the third region is different than the first region and different than the second region; and generating the indicator of significant deviation if it is determined that the third number of values of the received process variable data is within the third region.
15. A method according to claim 14, wherein the first region comprises values greater than expected values of the received process variable data by at least three standard deviations; wherein the second region comprises values greater than expected values of the received process variable data by at least two standard deviations; and wherein the third region comprises values greater than expected values of the received process variable data by at least one standard deviation.
16. A method according to claim 15, wherein the first number is at least one; wherein the second number is at least two; and wherein the third number is at least three.
17. A method according to claim 15, further comprising: determining whether a fourth number of values of the received process variable data is within a fourth region based on the expected process variable data, wherein the fourth number is greater than the third number, wherein the fourth region is different than the first region, the second region, and the third region; generating the indicator of significant deviation if it is determined that the fourth number of consecutive values of the received data is within the fourth region; determining whether a fifth number of values of the received process variable data is within a fifth region based on the expected process variable data, wherein the fifth number is greater than the third number, wherein the fifth region is different than the first region, the second region, the third region, and the fourth region; and generating the indicator of significant deviation if it is determined that the fifth number of consecutive values of the received data is within the fifth region.
18. A method according to claim 17, wherein the fourth region comprises a region including values greater than expected values of the received process variable data; wherein the fl fth region comprises a region including values less than expected values of the received process variable data.
19. A method according to claim 14, wherein the first region comprises values less than expected values of the received process variable data by at least three standard deviations; wherein the second region comprises values less than expected values of the received process variable data by at least two standard deviations; and wherein the third region comprises values less than expected values of the received process variable data by at least one standard deviation.
20. A method according to claim 11, further comprising receiving model process variable data generated by a model; wherein determining whether the first number of values of the received process variable data is within the first region is based on the model process variable data; and wherein determining whether the second number of values of the received process variable data is within the second region is based on the model process variable data.
21. A tangible medium storing machine readable instructions, the machine readable instructions capable of causing one or more machines to: collect first data sets for the process while the process is in a first operating region, the first data sets generated from process variables of the process in the first operating region; generate a first regression model of the process in the first operating region using the first data sets; determine a first range in which the first regression model is valid; generate a model of the process to include the first regression model; collect second data sets for the process while the process is in a second operating region, the second data sets generated from process variables of the process in the second operating region; generate a second regression model of the process in the second operating region using the second data sets; determine a second range in which the second regression model is valid; revise the model of the process to include the first regression model for the first range and the second regression model for the second range; receive process variable data associated with a process plant; generate expected process variable data using the model of the process; determine whether a first number of values of the received process variable data are within a first region based on the expected process variable data; generate an indicator of significant deviation if it is determined that the first number of consecutive values of the received process variable data is within the first region; determine whether a second number of values of the received process variable data is within a second region based on the expected process variable data, wherein the second number is greater than the first number, wherein the second region is different than the first region; and generate the indicator of significant deviation if it is determined that the second number of consecutive values of the received process variable data is within the second region.
22 A system for facilitating detection of abnormal operation of a process in a process plant, comprising: a configurable model of the process in the process plant, the configurable model including a first regression model in a first range corresponding to a first operating region of the process, the configurable model capable of being subsequently configured to include a second regression model in a second range corresponding to a second operating region different than the first operating region; a threshold generator to receive process variable statistical data and to generate a plurality of thresholds based on the process variable statistical data; a comparator coupled to the configurable model, the comparator configured to receive process variable data and the plurality of thresholds, determine whether a first number of values of the received process variable data are within a first region based on a first threshold of the plurality of thresholds and based on an output of the configurable model, generate an indicator of significant deviation if it is determined that the first number of values of the received process variable data is within the first region, determine whether a second number of values of the received process variable data is within a second region based on a second threshold of the plurality of thresholds and based on the output of the configurable model, wherein the second number is greater than the first number, wherein the second region is different than the first region, and generate the indicator of significant deviation if it is determined that the second number of values of the received process variable data is within the second region.
23. A system according to claim 22, wherein the process variable statistical data includes a standard deviation; wherein the first threshold is a first multiple of the standard deviation and wherein the second threshold is a second multiple of the standard deviation; wherein the first region comprises values greater than corresponding values of the output of the configurable model plus the first threshold; and wherein the second region comprises values greater than corresponding values of the output of the configurable model plus the second threshold.
24. A system according to claim 23, wherein the comparator is further configured to: determine whether a third number of values of the received process variable data is within a third region based on a third threshold of the plurality of thresholds and based on the output of the configurable model, wherein the third threshold is a third multiple of the standard deviation, wherein the third number is greater than the second number, wherein the third region is different than the first region and different than the second region; and generate the indicator of significant deviation if it is determined that the third number of values of the received process variable data is within the third region.
25. A system according to claim 24, wherein the first number is at least one; wherein the second number is at least two; wherein the third number is at least three; wherein the second multiple is greater than the first multiple; and wherein the third multiple is greater than the second multiple.
26. A system according to claim 22, wherein the configurable model is capable of being configured, after being configured to include the second regression model, to include at least a third regression model in at least a third range corresponding to at least a third operating region different than the first operating region and the second operating region.
27. A system according to claim 22, wherein the configurable model is capable of generating an interpolated model between the first range and the second range.
28. (New) A system according to claim 27, wherein the configurable model is capable of generating a prediction of a Y value as a function of an X value, wherein the Y value is generated from a dependent process variable and the X value is generated from an independent process variable; wherein, after the configuration model is configured to include the second regression model and after generating the interpolation model, the configurable model is capable of: generating the prediction of the Y value using the first regression model if the X value is in the first range, generating the prediction of the Y value using the second regression model if the X value is in the second range, and generating the prediction of the Y value using the interpolation model if the X value is between the first range and the second range.
PCT/US2007/0743552006-07-252007-07-25Methods and systems for detecting deviation of a process variable from expected valuesWO2008014341A1 (en)

Applications Claiming Priority (4)

Application NumberPriority DateFiling DateTitle
US11/492,467US7912676B2 (en)2006-07-252006-07-25Method and system for detecting abnormal operation in a process plant
US11/492,4602006-07-25
US11/492,460US8606544B2 (en)2006-07-252006-07-25Methods and systems for detecting deviation of a process variable from expected values
US11/492,4672006-07-25

Publications (1)

Publication NumberPublication Date
WO2008014341A1true WO2008014341A1 (en)2008-01-31

Family

ID=38787642

Family Applications (1)

Application NumberTitlePriority DateFiling Date
PCT/US2007/074355WO2008014341A1 (en)2006-07-252007-07-25Methods and systems for detecting deviation of a process variable from expected values

Country Status (1)

CountryLink
WO (1)WO2008014341A1 (en)

Cited By (2)

* Cited by examiner, † Cited by third party
Publication numberPriority datePublication dateAssigneeTitle
WO2016116896A1 (en)*2015-01-242016-07-28Abb Technology Ltd.A method for controlling a process plant using transition data
CN118468935A (en)*2024-05-142024-08-09国家卫星气象中心(国家空间天气监测预警中心) A fast simulation method and system for key parameters of space weather

Citations (2)

* Cited by examiner, † Cited by third party
Publication numberPriority datePublication dateAssigneeTitle
US20050256601A1 (en)*2004-05-132005-11-17Lee Seung JSystem to and method of monitoring condition of process tool
US20060074598A1 (en)*2004-09-102006-04-06Emigholz Kenneth FApplication of abnormal event detection technology to hydrocracking units

Patent Citations (2)

* Cited by examiner, † Cited by third party
Publication numberPriority datePublication dateAssigneeTitle
US20050256601A1 (en)*2004-05-132005-11-17Lee Seung JSystem to and method of monitoring condition of process tool
US20060074598A1 (en)*2004-09-102006-04-06Emigholz Kenneth FApplication of abnormal event detection technology to hydrocracking units

Cited By (3)

* Cited by examiner, † Cited by third party
Publication numberPriority datePublication dateAssigneeTitle
WO2016116896A1 (en)*2015-01-242016-07-28Abb Technology Ltd.A method for controlling a process plant using transition data
US10606251B2 (en)2015-01-242020-03-31Abb Schweiz AgMethod for controlling a process plant using transition data
CN118468935A (en)*2024-05-142024-08-09国家卫星气象中心(国家空间天气监测预警中心) A fast simulation method and system for key parameters of space weather

Similar Documents

PublicationPublication DateTitle
US8606544B2 (en)Methods and systems for detecting deviation of a process variable from expected values
US7657399B2 (en)Methods and systems for detecting deviation of a process variable from expected values
US7912676B2 (en)Method and system for detecting abnormal operation in a process plant
US8032340B2 (en)Method and system for modeling a process variable in a process plant
US8032341B2 (en)Modeling a process using a composite model comprising a plurality of regression models
US8762106B2 (en)Abnormal situation prevention in a heat exchanger
US8239134B2 (en)Method and system for detecting abnormal operation in a hydrocracker
US7660701B2 (en)System and method for detecting an abnormal situation associated with a process gain of a control loop
US8145358B2 (en)Method and system for detecting abnormal operation of a level regulatory control loop
EP2115608B1 (en)Heat exchanger fouling detection
US20080188972A1 (en)Method and System for Detecting Faults in a Process Plant
US20090093892A1 (en)Automatic determination of the order of a polynomial regression model applied to abnormal situation prevention in a process plant
US20080082295A1 (en)Abnormal situation prevention in a coker heater
US20090093893A1 (en)System and method for recognizing and compensating for invalid regression model applied to abnormal situation prevention
WO2008014341A1 (en)Methods and systems for detecting deviation of a process variable from expected values

Legal Events

DateCodeTitleDescription
121Ep: the epo has been informed by wipo that ep was designated in this application

Ref document number:07799812

Country of ref document:EP

Kind code of ref document:A1

NENPNon-entry into the national phase

Ref country code:DE

NENPNon-entry into the national phase

Ref country code:RU

122Ep: pct application non-entry in european phase

Ref document number:07799812

Country of ref document:EP

Kind code of ref document:A1


[8]ページ先頭

©2009-2025 Movatter.jp