Movatterモバイル変換


[0]ホーム

URL:


WO2007136875A2 - Acetamide derivatives as modulators of the 5-ht2a serotonin receptor useful for the treatment of disorders related thereto - Google Patents

Acetamide derivatives as modulators of the 5-ht2a serotonin receptor useful for the treatment of disorders related thereto
Download PDF

Info

Publication number
WO2007136875A2
WO2007136875A2PCT/US2007/012230US2007012230WWO2007136875A2WO 2007136875 A2WO2007136875 A2WO 2007136875A2US 2007012230 WUS2007012230 WUS 2007012230WWO 2007136875 A2WO2007136875 A2WO 2007136875A2
Authority
WO
WIPO (PCT)
Prior art keywords
phenyl
methyl
pyrazol
acetamide
ethoxy
Prior art date
Application number
PCT/US2007/012230
Other languages
French (fr)
Other versions
WO2007136875A3 (en
Inventor
Bradley Teegarden
Konrad Feichtinger
Sonja Strah-Pleynet
Brett Ulmann
Yifeng Xiong
Original Assignee
Arena Pharmaceuticals, Inc.
Priority date (The priority date is an assumption and is not a legal conclusion. Google has not performed a legal analysis and makes no representation as to the accuracy of the date listed.)
Filing date
Publication date
Application filed by Arena Pharmaceuticals, Inc.filedCriticalArena Pharmaceuticals, Inc.
Priority to JP2009511117ApriorityCriticalpatent/JP2009537556A/en
Priority to EP07809149Aprioritypatent/EP2051978A2/en
Publication of WO2007136875A2publicationCriticalpatent/WO2007136875A2/en
Publication of WO2007136875A3publicationCriticalpatent/WO2007136875A3/en

Links

Classifications

Definitions

Landscapes

Abstract

The present invention pertains to certain compounds of Formula (Ia) and pharmaceutical compositions thereof that modulate the activity of the 5-HT2A serotonin receptor. Compounds and pharmaceutical compositions thereof are directed to methods useful in the treatment of platelet aggreagation, coronary artery disease, myocardial infarction, transient ischemic attack, angina, stroke, atrial fibrillation, blood clot formation, asthma or symptoms thereof, agitation or a symptom thereof, behavioral disorders, drug induced psychosis, excitative psychosis, Gilles de la Tourette's syndrome, manic disorder, organic or NOS psychosis, psychotic disorder, psychosis, acute schizophrenia, chronic schizophrenia, NOS schizophrenia and related disorders, and sleep disorders, sleep disorders, diabetic-related disorders, progressive multifocal leukoencephalopathy and the like. The present invention also relates to the methods for the treatment of 5-HT2A serotonin receptor associated disorders in combination with other pharmaceutical agents administered separately or together.

Description

ACETAMIDE DERIVATIVES AS MODULATORS OF THE 5-HT2A SEROTONIN RECEPTOR USEFUL FOR THE TREATMENT OF DISORDERS RELATED
THERETO
FIELD OF THE INVENTION
The present invention pertains to certain compounds of Formula (Ia) and pharmaceutical compositions thereof that modulate the activity of the 5-HT2A serotonin receptor. Compounds and pharmaceutical compositions thereof are directed to methods useful in the treatment of platelet aggregation, coronary artery disease, myocardial infarction, transient ischemic attack, angina, stroke, atrial fibrillation, blood clot formation, asthma or symptoms thereof, agitation or a symptom thereof, behavioral disorders, drug induced psychosis, excitative psychosis, Gilles de Ia Tourette's syndrome, manic disorder, organic or NOS psychosis, psychotic disorder, psychosis, acute schizophrenia, chronic schizophrenia, NOS schizophrenia and related disorders, sleep disorders, diabetic-related disorders, progressive multifocal leukoencephalopathy and the like.
The present invention also relates to the methods for the treatment of 5-HT2A serotonin receptor associated disorders in combination with other pharmaceutical agents administered separately or together.
BACKGROUND OF THE INVENTION
G Protein coupled receptors
G Protein coupled receptors share a common structural motif. All these receptors have seven sequences of between 22 to 24 hydrophobic amino acids that form seven alpha helices, each of which spans the membrane. The transmembrane helices are joined by strands of amino acids having a larger loop between the fourth and fifth transmembrane helix on the extracellular side of the membrane. Another larger loop, composed primarily of hydrophilic amino acids, joins transmembrane helices five and six on the intracellular side of the membrane. The carboxy terminus of the receptor lies intracellularly with the amino terminus in the extracellular space. It is thought that the loop joining helices five and six, as well as, the carboxy terminus, interact with the G protein. Currently, Gq, Gs, Gi and Go are G proteins that have been identified.
Under physiological conditions, G protein coupled receptors exist in the cell membrane in equilibrium between two different states or conformations: an "inactive" state and an "active" state. A receptor in an inactive state is unable to link to the intracellular transduction pathway to produce a biological response. Changing the receptor conformation to the active state allows linkage to the transduction pathway and produces a biological response.
A receptor may be stabilized in an active state by an endogenous ligand or an exogenous agonist ligand. Recent discoveries such as, including but not exclusively limited to, modifications to the amino acid sequence of the receptor provide means other than ligands to stabilize the active state conformation. These means effectively stabilize the receptor in an active state by simulating the effect of a ligand binding to the receptor. Stabilization by such ligand-independent means is termed "constitutive receptor activation." Serotonin receptors
Receptors for serotonin (5-hydroxytryptamine, 5-HT) are an important class of G protein coupled receptors. Serotonin is thought to play a role in processes related to learning and memory, sleep, thermoregulation, mood, motor activity, pain, sexual and aggressive behaviors, appetite, neurodegenerative regulation, and biological rhythms. Not surprisingly, serotonin is linked to pathophysiological conditions such as anxiety, depression, obsessive compulsive disorders, schizophrenia, suicide, autism, migraine, emesis, alcoholism, and neurodegenerative disorders. With respect to anti-psychotic treatment approaches focused on the serotonin receptors, these types of therapeutics can generally be divided into two classes, the "typical" and the "atypical." Both have anti-psychotic effects, but the typicals also include concomitant motor-related side effects (extra pyramidal syndromes, e.g., lip-smacking, tongue darting, locomotor movement, etc). Such side effects are thought to be associated with the compounds interacting with other receptors, such as the human dopamine D2 receptor in the nigro-striatal pathway. Therefore, an atypical treatment is preferred. Haloperidol is considered a typical anti-psychotic, and clozapine is considered an atypical anti-psychotic. Serotonin receptors are divided into seven subfamilies, referred to as 5-HTi through 5-
HT7, inclusive. These subfamilies are further divided into subtypes. For example, the 5-HT2 subfamily is divided into three receptor subtypes: 5-HT2A, 5-HT2B, and 5-HT2C- The human 5- HT2C receptor was first isolated and cloned in 1987, and the human 5-HT2A receptor was first isolated and cloned in 1990. These two receptors are thought to be the site of action of hallucinogenic drugs. Additionally, antagonists to the 5-HT2A and 5-HT2C receptors are believed to be useful in treating depression, anxiety, psychosis, and eating disorders.
U.S. Patent Number 4,985,352 describes the isolation, characterization, and expression of a functional cDNA clone encoding the entire human 5-HTlc receptor (now known as the 5- HT2C receptor). U.S. Patent Numbers 5,661,024 and 6,541,209 describe the isolation, characterization, and expression of a functional cDNA clone encoding the entire human 5-HT2A receptor.
Mutations of the endogenous forms of the rat 5-HT2A and rat 5-HT2c receptors have been reported to lead to constitutive activation of these receptors (5-HT2A: Casey, C. et al. (1996) Society for Neuroscience Abstracts, 22:699.10, hereinafter "Casey"; 5-HT2C: Herrick- Davis, K., and Teitler, M. (1996^ Society for Neuroscience Abstracts, 22:699.18, hereinafter "Herrick-Davis 1"; and Herrick-Davis, K. et al. (1997) J. Neurochemistry 69(3): 1138, hereinafter "Herrick-Davis-2"). Casey describes a mutation of the cysteine residue at position which reportedly led to constitutive activation. Herrick-Davis 1 and Herrick-Davis 2 describe mutations of the serine residue at position 312 of the rat 5-HT2c receptor to phenylalanine (S312F) and lysine (S312K), which reportedly led to constitutive activation.
SUMMARY OF THE INVENTION
One aspect of the present invention pertains to certain compounds as shown in Formula (Ia):
Figure imgf000005_0001
or a pharmaceutically acceptable salt, hydrate or solvate thereof; wherein: V is O or NH;
W is CM alkylene optionally substituted with 1, 2, 3, 4, 5, 6, 7, or 8 substituents selected independently from the group consisting OfC]-3 alkyl, Q _4 alkoxy, carboxy, cyano, C3-7 cycloalkyl, Ci-3 haloalkyl, halogen, and oxo, or W is absent;
Z is -NR10R11, -NR!0-( X )-Rn, -OR11, -O-( X )-Rn; -SR11, -S-( X )-R11, -S(O)R11,
-s(oκ x )-R' ', -S(O)2R11, or -S(OM x )-Ru;
X is CM alkylene optionally substituted with I5 2, 3, 4, 5, 6, 7, or 8 substituents selected independently from the group consisting Of C1-3 alkyl, Ci-4 alkoxy, carboxy, cyano, Q-3 haloalkyl, halogen and oxo;
R1 is selected from the group consisting of H, Ci-S alkyl, C2-6 alkenyl, C2-6 alkynyl and C3-7 cycloalkyl;
R2 is selected from the group consisting of H, Ci-6 acyl, Ci-6 acyloxy, C2-6 alkenyl, Ci-6 alkoxy, Ci-6 alkyl, Ci-6 alkylcarboxamide, C2-6 alkynyl, Ci-6 alkylsulfonamide, Ci-6 alkylsulfinyl, Ci-6 alkylsulfonyl, Ci-6 alkylthio, Ci-6 alkylureyl, amino, Cμe alkylamino, C2-8 dialkylamino, carbo-Ci_6-alkoxy, carboxamide, carboxy, cyano, C3J7 cycloalkyl, C2-8 dialkylcarboxamide, C2-S dialkylsulfonamide, halogen, Ci-6 haloalkoxy, Q-6 haloalkyl, C)-6 haloalkylsulfϊnyl, Ci-6 haloalkylsulfonyl, Ci-6 haloalkylthio, hydroxyl, thiol, nitro and sulfonamide;
R3 is selected from the group consisting of H, C2-6 alkenyl, Ci-6 alkoxy, Ci-6 alkyl, Ci-6 alkylcarboxamide, C2.g alkynyl, C1.6 alkylsulfonamide, carbo-Cl-6-alkoxy, carboxamide, carboxy, cyano, C3-7 cycloalkyl, C2-8 dialkylcarboxamide, halogen, heteroaryl and phenyl; and wherein each of said C2-6 alkenyl, Ci-6 alkyl, C2-6 alkynyl, Ci-6 alkylsulfonamide, C3-7 cycloalkyl, heteroaryl and phenyl groups are optionally substituted with 1, 2, 3, 4, or 5 substituents selected independently from the group consisting of Ci-5 acyl, Q-5 acyloxy, C2-6 alkenyl, Ci-4 alkoxy, Ci-8 alkyl, Ci-6 alkylamino, C2.s dialkylamino, Ci-4 alkylcarboxamide, C2-6 alkynyl, Ci-4 alkylsulfonamide, Q-4 alkylsulfinyl, Ci-4 alkylsulfonyl, Ci-4 alkylthio, C1-4 alkylureyl, amino, carbo-Ci-6-alkoxy, carboxamide, carboxy, cyano, C3-6 cycloalkyl, C2-s dialkylcarboxamide, halogen, Ci-4 haloalkoxy, Cj-4 haloalkyl, Ci^ haloalkylsulfinyl, Q-4 haloalkylsulfonyl, C1-4 haloalkylthio, hydroxyl, nitro and sulfonamide;
R4 is H, amino, Ci-6 alkylamino, C2-8 dialkylaxnino, heterobicyclic, heterocyclyl, or heteroaryl, wherein said amino, Ci-6 alkylamino, C2-S dialkylamino, heterobicyclic, heterocyclyl, and heteroaryl are each optionally substituted with 1 , 2, 3, 4, or 5 substituents selected independently from the group consisting of Ci-6 acyl, Ci-I2 acyloxy, C2-6 alkenyl, Ci-4 alkoxy, Cx.6 alkoxycarbonylamino, Ci-6 alkyl, Q-6 alkylamino, C2-8 dialkylamino, Ci-4 alkylcarboxamide, C2.6 alkynyl, Ci-4 alkylsulfonamide, Q-4 alkylsulfinyl, C1-4 alkylsulfonyl, Ci-4 alkylthio, Ci-4 alkylureyl, amino, carbo-Ci ^-alkoxy, carboxamide, carboxy, cyano, C3-6 cycloalkyl, C3-7 cycloalkylcarbonyl, C2-6 dialkylcarboxamide, formyl, halogen, Ci-4 haloalkoxy, Ci-4 haloalkyl, Ci_4 haloalkylsulfinyl, Q-4 haloalkylsulfonyl, CM haloalkylthio, heteroaryl, hydroxyl, nitro, phenyl and sulfonamide; wherein said Ci-5 acyl, Q-5 acyloxy, Ci-4 alkoxy, C1-6 alkyl, C]-4 alkylcarboxamide, amino, carbo-Ci-6-alkoxy, and heteroaryl are each optionally substituted with 1, 2, 3, 4, or 5 substituents selected independently from the group consisting of C1-6 alkyl, C)-5 acyl, C]-4 alkoxy, C1-6 alkylamino, C2-8 dialkylamino, Ci-4 alkylcarboxamide, Ct-4 alkylsulfonyl, amino, carbo-Ci-6-alkoxy, carboxamide, carboxy, cyano, C3-6 cycloalkyl, halogen, Q-4 haloalkoxy, Ci-4 haloalkyl, hydroxyl, and phenyl;
R5, R6 and R7 are each selected independently from the group consisting of H, C1-6 acyl, Ci-6 acyloxy, C2-6 alkenyl, Ci-6 alkoxy, Ci-6 alkyl, Ci-6 alkylcarboxamide, C2-6 alkynyl, Ci-6 alkylsulfonamide, Ci-6 alkylsulfinyl, Cj.6 alkylsulfonyl, Ci.6 alkylthio, Cj-6 alkylureyl, amino, Ci-
6 alkylamino, C2-8 dialkylamino, Ci-6 alkylimino, carbo-Ci_6-alkoxy, carboxamide, carboxy, cyano, C3-7 cycloalkyl, C2-β dialkylcarboxamide, C2-8 dialkyϊsulfonamide, halogen, Ci-6 haloalkoxy, Ci-6 haloalkyl, Ci.6 haloalkylsulfinyl, Ci-6 haloalkylsulfonyl, Ci-6 haloalkylthio, heterocyclyl, hydroxyl, thiol, and nitro; R8 and R9 are each selected independently from the group consisting of H3 Ci.j alkyl, Ci-4 alkoxy, carboxy, cyano, Cu haloalkyl, and halogen, or
R8 and R9 together with the carbon to which they are both bonded form a carbonyl or C3-7 cycloalkyl group;
R10 is H or C,-5-alkyl; and Rπ is H, Ci-8-alkyl, aryl, C3-I0 cycloalkyl, heteroaryl, or heterocyclyl each optionally substituted with 1, 2, 3, 4, or 5 substituents selected independently from the group consisting of Ci-6 acyl, C1-6 acyloxy, C2-6 alkenyl, Ci-6 alkoxy, C!-6 alkyl, Ci-6 alkylcarboxamide, C2-6 alkynyl, Cue alkylsulfonamide, Ci-6 alkylsulfinyl, Ci-6 alkylsulfonyl, Ci.6 alkylthio, Cj-6 alkylureyl, amino, Ci-6 alkylamino, C2-s dialkylamino, Ci-β alkylimino, carbo-Ci-6-alkoxy, carboxamide, carboxy, cyano, C3-7 cycloalkyl, C3-7 cycloalkyloxy, C2-s dialkylcarboxamide, C2-8 dialkylsulfonamide, halogen, Q-6 haloalkoxy, Ci-6 haloalkyl, Ci-6 haloalkylsulfinyl, Q-6 haloalkylsulfonyl, Cj-6 haloalkylthio, heteroaryl, heterocyclyl, hydroxyl, thiol, nitro, phenoxy and phenyl, wherein said Q-β alkyl is optionally substituted with 1, 2, 3, 4, or 5 substituents selected independently from the group consisting of Q-6 acyl, Ci-6 acyloxy, C2-6 alkenyl, Ci-6 alkoxy, Ci-6 alkyl, Ci-6 alkylcarboxamide, C2-6 alkynyl, Ci-6 alkylsulfonamide, Q-6 alkylsulfinyl, Ci-6 alkylsulfonyl, Ci-6 alkylthio, C]-6 alkylureyl, amino, Ci-6 alkylamino, C2-8 dialkylamino, carbo-Ci-6-alkoxy, carboxamide, carboxy, cyano, Ca-7 cycloalkyl, C2-S dialkylcarboxamide, halogen, Ci-6 haloalkoxy, Q.6 haloalkyl, Ci-6 haloalkylsulfinyl, C]-6 haloalkylsulfonyl, Ci-6 haloalkylthio, heterocyclyl, hydroxyl, thiol, nitro, and phenyl; or
R10 and Rπ together with the nitrogen to which they are both bonded form a heterocyclyl group or a heteroaryl group each optionally substituted with Ci.6-alkyl, aryl, heteroaryl, aryl-Ci-3-alkyl, or heteroaryl -Cu3-alkyl, wherein said Q-e-alkyl, aryl, heteroaryl, aryl-Q-3-alkyl, and heteroaryl-C1-3-alkyl are each optionally substituted with 1, 2, 3, 4, or 5 substituents selected independently from the group consisting OfCi-6 acyl, C1-6 acyloxy, C2-6 alkenyl, C1-6 alkoxy, Cj.6 alkyl, Ci-6 alkylcarboxamide, C2.6 alkynyl, Ci-6 alkylsulfonamide, C]-6 alkylsulfinyl, C]-6 alkylsulfonyl, C1-6 alkylthio, Ci-6 alkylureyl, amino, Q-6 alkylamino, C2-8 dialkylamino, carbo-C1-6-alkoxy, carboxamide, carboxy, cyano, C3-7 cycloalkyl, C2-8 dialkylcarboxamide, halogen, C1-6 haloalkoxy, Ci-6 haloalkyl, C1-6 haloalkylsulfinyl, C!-6 haloalkylsulfonyl, Ci-6 haloalkylthio, heterocyclyl, hydroxyl, thiol and nitro.
One aspect of the present invention encompasses pharmaceutical compositions comprising a compound of the present invention and a pharmaceutically acceptable carrier. One aspect of the present invention pertains to methods for modulating the activity of a
5-HT2A serotonin receptor by contacting the receptor with a compound according to any of the embodiments described herein or a pharmaceutical composition thereof.
One aspect of the present invention pertains to methods for treating a 5-HT2A associated disorder in an individual comprising administering to said individual in need thereof a therapeutically effective amount of a compound according to any of the embodiments described herein or a pharmaceutical composition thereof.
One aspect of the present invention pertains to processes for preparing a composition comprising admixing a compound according to any of the embodiments described herein and a pharmaceutically acceptable carrier. One aspect of the present invention pertains to the use of a compound of the present invention for the production of a medicament for use in the treatment of a 5-HT2A associated disorder. One aspect of the present invention pertains to compounds according to any of the embodiments described herein for use in a method of treatment of the human or animal body by therapy.
One aspect of the present invention pertains to compounds according to any of the embodiments described herein for use in a method for the treatment of a 5-HT2A associated disorder, as described herein, in the human or animal body by therapy.
These and other aspects of the invention disclosed herein will be set forth in greater detail as the patent disclosure proceeds.
BRIEF DESCRIPTION OF THE DRAWINGS
Figure 1 shows the general synthetic scheme for the preparation of intermediate compounds of the present invention. Figure 1 shows a general coupling method between a pyrazole boronic acid and an aryl triflate, it is understood that similar coupling methods known in the art can also be used, and a halide, such as, I, Br or Cl, can be used in place of the triflate. Figure 2 shows the general synthetic scheme for the preparation of intermediate compounds of the present invention wherein "V" is oxygen. Figure 2 shows a general coupling method between a pyrazole boronic acid and a phenyl halide using coupling methods known in the art, such as a Suzuki coupling, and the like. Figure 2 further shows the use of orthogonal protecting. groups for the oxygen (V = O) and the nitrogen. After the coupling reaction the phenol protecting group is removed and a variety of -W-R* groups can be introduced.
Subsequently, the alkyl amide protecting group can be hydrolyzed to provide the amine intermediate of the present invention.
Figure 3 shows the general synthetic scheme for the preparation of intermediate compounds of the present invention. Figure 3 illustrates general methods for introducing a variety of halogens to compounds of the invention. It is understood that these halogenation reactions can also be conducted later in the synthesis, for example as the last step.
Figure 4 shows the general synthetic scheme for the preparation of intermediate compounds of the' present invention. Figure 4 shows the general reactions, such as, alkylation and Mitsunobu-like reactions, for introducing the -W-R4 group. Figure 5 shows the general synthetic scheme for the preparation of compounds of the present invention. Figure 5 shows the general coupling reactions of the amino-intermediate with carboxylic acids, acyl halides, and the like.
Figure 6 shows the general synthetic scheme for the preparation of intermediates and compounds of the present invention. Figure 6 illustrates the general methods for preparing pyrazoles of the present invention using substituted and unsubstituted hydrazines. Figure 7 shows the general synthetic scheme for the preparation of compounds of the present invention wherein the -W-R4 group is introduced in the last steρ(s). Figure 7 shows the general reactions, such as, alkylation and Mitsunobu-like reactions, for introducing the -W-R4 group. Figure 8 shows the general synthetic scheme for the preparation of compounds of the invention wherein V is NH in Formula (Ia) and the -W-R4 group is introduced in the last step(s). Figure 8 shows the general reactions, such as, alkylation reactions, for introducing the -W-R4 group wherein V is NH.
Figure 9 shows the general synthetic scheme for the preparation of intermediates and compounds of the present invention. Figure 9 illustrates the coupling of the a carboxylic acid containing an as-leaving group (LG) and subsequent displacement with an alcohol, amine or thiol to provide compounds of Formula (Ia) wherein Z is -NR10R11, -NR10-( X )-RH, -OR11, -O-( X )-Rn; -SR1', and -S-( X )-Ru. Figure 9 also illustrates the oxidation of thioethers into compounds of Formula (Ia) wherein Z is -S(O)R1', -S(O)-( X )-R", -S(O)2R11, and -S(O)2-( X )-R11.
DEFINITIONS
For clarity and consistency, the following definitions will be used throughout this patent document. The term "agonists" shall mean moieties that interact and activate the receptor, such as the
5-HT2A receptor, and initiates a physiological or pharmacological response characteristic of that receptor. For example, when moieties activate the intracellular response upon binding to the receptor, or enhance GTP binding to membranes.
The term "antagonist" is intended to mean moieties that competitively bind to the receptor at the same site as agonists (for example, the endogenous ligand), but which do not activate the intracellular response initiated by the active form of the receptor, and can thereby inhibit the intracellular responses by agonists or partial agonists. Antagonists do not diminish the baseline intracellular response in the absence of an agonist or partial agonist.
The term "contact or contacting" is intended to mean bringing the indicated moieties together, whether in an in vitro system or an in vivo system. Thus, "contacting" a 5HT2A receptor with a compound of the invention includes the administration of a compound of the present invention to an individual, preferably a human, having a 5HT2A receptor, as well as, for example, introducing a compound of the invention into a sample containing a cellular or more purified preparation containing a 5HT2A receptor. The term "in need of treatment" is intended to mean a judgment made by a caregiver
(e.g. physician, nurse, nurse practitioner, etc. in the case of humans; veterinarian in the case of animals, including non-human mammals) that an individual or animal requires or will benefit from treatment. This judgment is made based on a variety of factors that are in the realm of a caregiver's expertise, but that includes the knowledge that the individual or animal is ill, or will become ill, as the result of a disease, condition or disorder that is treatable by the compounds of the invention. Accordingly, the compounds of the invention can be used in a protective or preventive manner; or compounds of the invention can be used to alleviate, inhibit or ameliorate the disease, condition or disorder.
The term "individual" is intended to mean any animal, including mammals, preferably mice, rats, other rodents, rabbits, dogs, cats, swine, cattle, sheep, horses, or primates, and most preferably humans. The term "inverse agonists" is intended to mean moieties that bind the endogenous form of the receptor or to the constitutively activated form of the receptor, and which inhibit the baseline intracellular response initiated by the active form of the receptor below the normal base level of activity which is observed in the absence of agonists or partial agonists, or decrease GTP binding to membranes. Preferably, the baseline intracellular response is inhibited in the presence of the inverse agonist by at least 30%, more preferably by at least 50%, and most preferably by at least 75%, as compared with the baseline response in the absence of the inverse agonist.
The term "isolated" refers to material that is removed from its original environment (e.g., the natural environment if it is naturally occurring). For example, a metabolite that is formed from a parent compound present in a natural system (e.g. individual) is not isolated, but the same metabolite, separated from some or all of the coexisting materials in the natural system is considered isolated. In addition, the metabolite that is prepared by synthetic means is also considered isolated.
The term "modulate or modulating" is intended to mean an increase or decrease in the amount, quality, response or effect of a particular activity, function or molecule. The term "pharmaceutical composition" is intended to mean a composition comprising at least one active ingredient; including but not limited to, salts, solvates and hydrates of compounds of Formula (Ia); whereby the composition is amenable to investigation for a specified, efficacious outcome in a mammal (for example, without limitation, a human). Those of ordinary skill in the art will understand and appreciate the techniques appropriate for determining whether an active ingredient has a desired efficacious outcome based upon the needs of the artisan.
The term "therapeutically effective amount" is intended to mean the amount of active compound or pharmaceutical agent that elicits the biological or medicinal response in a tissue, system, animal, individual or human that is being sought by a researcher, veterinarian, medical doctor or other clinician, which includes one or more of the following: (1) Preventing the disease; for example, preventing a disease, condition or disorder in an individual that may be predisposed to the disease, condition or disorder but does not yet experience or display the pathology or symptomatology of the disease, (2) Inhibiting the disease; for example, inhibiting a disease, condition or disorder in an individual that is experiencing or displaying the pathology or symptomatology of the disease, condition or disorder (i.e., arresting further development of the pathology and/or symptomatology), and (3) Ameliorating the disease; for example, ameliorating a disease, condition or disorder in an individual that is experiencing or displaying the pathology or symptomatology of the disease, condition or disorder (i.e., reversing the pathology and/or symptomatology).
CHEMICAL GROUP, MOIETY OR RADICAL: The term directly preceeding the chemical group beginning with "C" followed directly by a subscript number or a subscript range of numbers refers to the number of carbons associated with the chemical group. For example, the term "Ci-β" in the chemical group "Ci_6 alkyl" refers to an alkyl group containing one, two, three, four, five, or six carbons, and all possible isomers.
The term "Ci-12 acyl" denotes a C1-I2 alkyl radical attached to a carbonyl wherein alkyl has the same definition as described herein, some embodiments are when acyl is C1-6 acyl, some embodiments are when acyl is Ci-S acyl; some examples include, but are not limited to, acetyl, propionyl, n-butanoyl, iso-butanoyl, sec-butanoyl, f-butanoyl (i.e., pivaloyl), pentanoyl and the like.
The term "C1-J2 acyloxy" denotes an acyl radical attached to an oxygen atom wherein acyl has the same definition has described herein; some embodiments are when acyloxy is Ci-M acyloxy, some embodiments are when acyloxy is Ci-1O acyloxy, some embodiments are when acyloxy is C]-8 acyloxy, some embodiments are when acyloxy is Q-s acyloxy, some embodiments are when acyloxy is C1.5 acyloxy, some embodiments are when acyloxy is d.4 acyloxy, some embodiments are when acyloxy is C10.12 acyloxy, some embodiments are when acyloxy is CS.1O acyloxy. Some examples include, but are not limited to, acetyloxy, propionyloxy, butanoyloxy, tso-butanoyloxy, sec-butanoyloxy, /-butanoyloxy, pentanoyloxy, hexanoyloxy, heptanoyloxy, octanoyloxy, nonanoyloxy, decanoyloxy, undecanoyloxy, dodecanoyloxy, and the like.
The term "C2-6 alkenyl" denotes a radical containing 2 to 6 carbons wherein at least one carbon-carbon double bond is present, some embodiments are 2 to 4 carbons, some embodiments are 2 to 3 carbons, and some embodiments have 2 carbons. Both E and Z isomers are embraced by the term "alkenyl." Furthermore, the term "alkenyl" includes di- and tri- alkenyls. Accordingly, if more than one double bond is present then the bonds may be all E or Z or a mixtures of E and Z. Examples of an alkenyl include vinyl, allyl, 2-butenyl, 3-butenyl, 2- pentenyl, 3-pentenyl, 4-pentenyl, 2-hexenyl, 3-hexenyl, 4-hexenyl, 5-hexanyl, 2,4-hexadienyl and the like. The term "C1^ alkoxy" as used herein denotes an alkyl radical, as defined herein, attached directly to an oxygen atom. Examples include methoxy, ethoxy, n-propoxy, iso- propoxy, π-butoxy, t-butoxy, irø-butoxy, .sec-butoxy and the like.
The term "Ci.β alkoxycarbonylamino" denotes the group represented by the formula:
Figure imgf000012_0001
wherein Ci-6 alkyl has the same definition as found herein. Examples of Ci-6 alkoxycarbonylamino include methoxycarbonylamino, ethoxycarbonylamino, isopropoxycarbonylamino, propoxycarbonylamino, tert-butoxycarbonylamino, butoxycarbonylamino, and the like. The term "Cj_8 alkyl" denotes a straight or branched carbon radical containing 1 to 8 carbons, some embodiments are 1 to 6 carbons, some embodiments are 1 to 4 carbons, some embodiments are 1 to 3 carbons, and some embodiments are 1 or 2 carbons. Examples of an alkyl include, but are not limited to, methyl, ethyl, «-propyl, iϊø-propyl, n-butyl, sec-butyl, iso- butyl, /-butyl, pentyl, iso-pentyl, t-pentyl, neo-pentyl, 1-methylbutyl [i.e., -CH(CH3)CH2CH2CH3], 2-methylbutyl [i.e., -CH2CH(CH3)CH2CH3], n-hexyl and the like.
The term "C1^ alkylcarboxamido" or "Cj-6 alkylcarboxamide" denotes a single Ci-6 alkyl group attached to the nitrogen of an amide group, wherein alkyl has the same definition as found herein. The Ci-6 alkylcarboxamido may be represented by the following:
Figure imgf000012_0002
Examples include, but are not limited to, N-methylcarboxamide, N-ethylcarboxamide, N-n- propylcarboxamide, JV- wo-propylcarboxamide, N-n-butylcarboxamide, N-sec- butylcarboxamide, N- wo-butylcarboxamide, iV-f-butylcarboxamide and the like.
The term "C1-4 alkylene" refers to a C]-4 divalent straight carbon group containing 1 to 4 carbons, some embodiments are 1 to 3 caτbons, some embodiments are 1 to 2 carbons. In some embodiments alkylene refers to, for example, -CHz-, -CH2CH2-, -CH2CH2CH2-, -CH2CH2CH2CH2-, and the like.
The term "Cj^ alkylsulfinyl" denotes a Ci-6 alkyl radical attached to a sulfoxide radical of the formula: -S(O)- wherein the alkyl radical has the same definition as described herein. Examples include, but are not limited to, methylsulfinyl, ethylsulfmyl, ra-propylsulfinyl, iso- propylsulfmyl, n-butylsulfinyl, .sec-butylsulfϊnyl, iso-butylsulfinyl, t-butylsulfϊnyl, and the like. The term "Ci-6 alkylsulfonamide" refers to the groups shown below:
Figure imgf000013_0002
Figure imgf000013_0001
wherein Ci.6 alkyl has the same definition as described herein.
The term "Ci-β alkylsulfonyl" denotes a Q.6 alkyl radical attached to a sulfone radical of the formula: -S(O)2- wherein the alkyl radical has the same definition as described herein. Examples include, but are not limited to, methylsulfonyl, ethylsulfonyl, «-propylsulfonyl, iso- propylsulfonyl, n-butylsulfonyl, sec-butylsulfonyl, isø-butylsulfonyl, /-butylsulfonyl, and the like.
The term "Ci-β alkylthio" denotes a Ci-6 alkyl radical attached to a sulfide of the formula: -S- wherein the alkyl radical has the same definition as described herein. Examples include, but are not limited to, methylsulfanyl (i.e., CH3S-), ethylsulfanyl, w-propylsulfanyl, iso- propylsulfanyl, n-butylsulfanyl, sec-butylsulfanyl, iso-butylsulfanyl, .-butylsulfanyl, and the like.
The term "Ci-β alkylthiocarboxam.de" denotes a thioamide of the following formulae:
Figure imgf000013_0003
wherein Ci-4 alkyl has the same definition as described herein.
The term "Ci-β alkylureyl" denotes the group of the formula: -NC(O)N- wherein one or both of the nitrogens are substituted with the same or different Ci-6 alkyl group wherein alkyl has the same definition as described herein. Examples of an alkylureyl include, but are not limited to, CH3NHC(O)NH-, NH2C(O)NCH3-, (CH3)2NC(O)NH-, (CH3)2NC(O)NH-, (CHs)2NC(O)NCH3-, CH3CH2NHC(O)NH-, CH3CH2NHC(O)NCH3-, and the like.
The term "C2-6 alkynyl" denotes a radical containing 2 to 6 carbons and at least one carbon-carbon triple bond, some embodiments are 2 to 4 carbons, some embodiments are 2 to 3 carbons, and some embodiments have 2 carbons. Examples of an alkynyl include, but are not limited to, ethynyl, 1-propynyl, 2-propynyl, 1-butynyl, 2-butynyl, 3-butynyl, 1-pentynyl, 2- pentynyl, 3-ρentynyl, 4-pentynyl, 1-hexynyl, 2-hexynyI, 3-hexynyl, 4-hexynyl, 5-hexynyl and the like. The term "alkynyl" includes di- and tri-ynes.
The term "amino" denotes the group -NH2.
The term "Cj-6 alkylamino" denotes one alkyl radical attached to an amino radical wherein the alkyl radical has the same meaning as described herein. Some examples include, but are not limited to, methylamino, ethylamino, jj-propylamino, fso-propylamino, n- butylamino, ^ec-butylamino, jjo-butylamino, /-butylamino, and the like. Some embodiments are "Ci-2 alkylamino."
The term "aryl" denotes a 6- to 12-membered mono- or bicyclic ring system containing only ring carbons wherein at least one ring is aromatic. Examples include phenyl, 1,2,3,4- tetrahydro-naphthalen-1 -yl, l,2,3,4-tetrahydro-naphthalen-2-yl, 5,6/7,8-tetrahydro-naphthalen- 1-yl, 5,6,7,8-tetrahydro-naphthalen-2-yl, indan-4-yl, naphtha-1-yl, naphtha-2-yl, and the like.
The term "arylalkyl" defines a CrC4 alkylene, such as -CH2-, -CH2CH2- and the like, which is further substituted with an aryl group. Examples of an "arylalkyl" include benzyl, phenethylene and the like.
The term "arylcarboxamido" denotes a single aryl group attached to the nitrogen of an amide group, wherein aryl has the same definition as found herein. The example is N- phenylcarboxamide.
The term "arylureyl" denotes the group -NC(O)N- where one of the nitrogens are substituted with an aryl.
The term "benzyl" denotes the group -CH2C6H5.
The term "bicyclic" refers to two Gj-7 cyclalkyl groups that share two ring carbons thus forming either a fused or bridged ring. Bicyclic examples include, but not limited to, bicyclo[l.l.l]pentyl, bicyclo[2.1.1]hexyl, bicyclo[2.2.1]heptyl, bicyclo[2.2.2]octyl, bicyclo[3.1.l]heptyl, bicyclo[3.2.1]octyl, and the like.
The term "carbo-d-e-alkoxy" refers to a Cj-6 alkyl ester of a carboxylic acid, wherein the alkyl group is as defined herein. Examples include, but are not limited to, carbomethoxy, carboethoxy, carbopropoxy, carboisopropoxy, carbobutoxy, carbo-sec-butoxy, carbo-iso-butoxy, carbo-f-butoxy, carbo-n-pentoxy, carbo-iso-pentoxy, carbo-£-pentoxy, carbo-neo-pentoxy, carbo-n-hexyloxy, and the like.
The term "carboxamide" refers to the group -CONH2.
The term "carboxy" or "carboxyl" denotes the group -CO2H; also referred to as a carboxylic acid group.
The term "cyano" denotes the group -CN. The term "C4J7 cydoalkenyl" denotes a non-aromatic ring radical containing 4 to 7 ring carbons and at least one double bond; some embodiments contain 4 to 6 carbons; some embodiments contain 4 to 5 carbons; some embodiments contain 4 carbons. Examples include cyclobutenyl, cyclopentenyl, cyclopentenyl, cyclohexenyl, and the like.
The term "C3-I0 cycloalkyl" denotes a saturated monocyclic, bicyclic, or tricyclic ring radical containing 3 to 8 carbons; some embodiments contain 3 to 7 carbons; some embodiments contain 3 to 6 carbons; some embodiments contain 3 to 5 carbons; some embodiments contain 5 to 7 carbons; some embodiments contain 3 to 4 carbons. Examples include cyclopropyl, cyclobutyl, cyclopentyl, cyclohexyl, cycloheptyl, adamantyl, bicyclo[2.2.1]heptyl, and the like.
The term "C3-7 cycloalkylcarbonyl"denotes a C3-7 cycloalkyl group, as described herein, bonded to the carbon of a carbonyl group (i.e., -C(=O)-). Examples of the C3-7 cycloalkylcarbonyl group include, but not limited to, cyclopropylcarbonyl, cyclobutylcarbonyl, cyclopentylcarbonyl, and the like. The term "C3^ cycloalkylene" refers to a divalent cycloalkyl radical, where cycloalkyl is as defined herein, containing 3 to 6 carbons; some embodiments contain 3 to 5 carbons; some embodiments contain 3 to 4 carbons. In some embodiments, the C3.6 cycloalkylene group has the two bonding groups on the same ring carbon, for example:
Figure imgf000015_0001
In some embodiments, the C3_6 cycloalkylene group has the two bonding groups on different ring carbons. It is understood that "when the two groups of the C3-6 cycloalkylene group are on different ring carbons they may be cis or trans or mixtures thereof with respect to each other. The term "C2-8 dialkylamino" denotes an amino substituted with two of the same or different C1-4 alkyl radicals wherein alkyl radical has the same definition as described herein.
Some examples include, but are not limited to, dimethylamino, methylethylamino, diethylamino, rnethylpropylamino, methylisopropylamino, ethylpropylamino, ethylisopropylamino, dipropylamino, propylisopropylamino and the like. Some embodiments are "Cz^ dialkylamino." The term "C2-8 dialkylcarboxamido" or "Cz-S dialkylcarboxamide"denotes two alkyl radicals, that are the same or different, attached to an amide group, wherein alkyl has the same definition as described herein. A C2.$ dialkylcarboxamido may be represented by the following groups:
Figure imgf000015_0003
wherein Ci-4 has t same definition as described herein. Examples of a dialkylcarboxamide include, but are not limited to, N,N-dirnethylcarboxamide, N-methyl-N-ethylcarboxamide, N,N- diethylcarboxamide, N-methyl-N-isopropylcarboxamide, and the like.
The term "C2-8 dialkylsulfonamide" refers to one of the following groups shown below:
Figure imgf000015_0002
wherein C1-4 has the same definition as described herein, for example but are not limited to, methyl, ethyl, w-propyl, isopropyl, and the like.
The term "C2-8 dialkylthiocarboxamido" or "C2-8 dialkylthiocarbox-amide"denotes two alkyl radicals, that are the same or different, attached to a thioamide group, wherein alkyl has the same definition as described herein. A C2-8 dialkylthiocarboxamido or C2-B dialkylthiocarboxamide may be represented by the following groups:
Figure imgf000016_0001
Examples of a dialkylthiocarboxamide include, but are not limited to, N//- dimethylthiocarboxamide, N-methyl-N-ethylthiocarboxamide and the like.
The term "formyl" refers to the group -CHO. The term "Ct^ haloalkoxy" denotes a Cj.6 haloalkyl, as defined herein, which is directly attached to an oxygen atom. Examples include, but are not limited to, difluoromethoxy, trifluoromethoxy, 2,2,2-trifluoroethoxy, pentafluoroethoxy and the like.
The term "d.6 haloalkyl" denotes an Ci.6 alkyl group, defined herein, wherein the alkyl is substituted with one halogen up to fully substituted and a fully substituted C|-(s haloalkyl can be represented by the formula CnL2n-H wherein L is a halogen and "n" is 1, 2, 3, 4, 5 or 6; when more than one halogen is present then they may be the same or different and selected from the group consisting of F, Cl, Br and I, in some embodiments, the halogen is F. Examples of haloalkyl groups include, but are not limited to, fluoromethyl, difluoromethyl., trifluoromethyl, chlorodifluoromethyl, 2,2,2-trifluoroethyl, pentafluoroethyl and the like. The term "Ci-6 haloalkylcarboxamide" denotes an C1-6 alkylcarboxamide group, defined herein, wherein the alkyl is substituted with one halogen up to fully substituted represented by the formula CnL2n+! wherein L is a halogen and "n" is 1, 2, 3, 4, 5 or 6. When more than one halogen is present they may be the same or different and selected from the group consisting of F, Cl5 Br and I, preferably F. The term "Cj-6 haloalkylsulfϊnyl" denotes a C)-6 haloalkyl radical attached to a sulfoxide group of the formula: -S(O)- wherein the haloalkyl radical has the same definition as described herein. Examples include, but are not limited to, trifluoromethylsulfinyl, 2,2,2- trifluoroethylsulfϊnyl, 2,2-difluoroethylsulfinyl and the like.
The term "Ci_« haloalkylsulfonyl" denotes a Ci-6 haloalkyl radical attached to a sulfone group of the formula: -S(O)2- wherein haloalkyl has the same definition as described herein. Examples include, but are not limited to, trifluoromethylsulfonyl, 2,2,2-trifluoroethylsulfonyl, 2,2-difluoroethylsulfonyl and the like.
The term "Q-6 haloalkylthio" denotes a C1-6 haloalkyl radical directly attached to a sulftαr wherein the haloalkyl has the same meaning as described herein. Examples include, but are not limited to, trifluoromethylthio (i.e., CF3S-, also referred to as trifluoromethylsulfanyl),
1,1-difluoroethylthio, 2,2,2-trifluoroethylthio and the like.The term "halogen" or "halo" denotes to a fluoro, chloro, bromo or iodo group.
The term "heteroaryl" denotes a 6- to 12-membered mono- or bicyclic ring system wherein at least one ring atom is a heteroatom and at least one ring is aromatic. Examples of a heteroatom include, O, S, Ν and the the like. In some embodiments, Ν is optionally substituted, for example, H, or Ci_4 alkyl. Examples of heteroaryl groups include, but are not limited to, pyridyl, benzofuranyl, pyrazinyl, pyridazinyl, pyrimidinyl, triazinyl, quinolinyl, benzoxazolyl, benzothiazolyl, lH-benzimidazolyl, isoquinolinyl, quinazolinyl, quinoxalinyl, pyrrolyl, indolyl, lϋf-benzoimidazol-2-yl, benzo[l,3]dioxoI-5-yI, 3,4-dihydro-2Η-benzo[l,4]oxazin-7-yl, 2,3- dihydro-benzofurn-7-yl, 2,3-dihydrb-indoI-l -yl, and the like. Other examples include, but are not limited to, those in TABLE 1, TABLE 2, and the like.
The term "heterobicyclic" denotes a non-aromatic bicyclic ring, as described herein, wherein 1, 2, or 3 ring carbons are replaced with a heteroatom selected from, but are not limited to, the group consisting of O, S, S(~O), S(=O)2, and NH, wherein the nitrogen can be optionally substituted, and 1 or 2 ring carbons can be optionally substituted with oxo or thiooxo thus together form a carbonyl or thiocarbonyl group respectively. Examples of a heterobicyclic group include, but are not limited to, 2,5-diaza-bicyclo[2.2.1]hept-2-yl, 7-aza- bicyclo[2.2.1]hept-7-yl, and the like.
The term "heterocyclic" denotes a 3- to 12-menibered mono- or bicyclic non-aromatic ring system wherein at least one ring atom is a heteroatom. In some embodiments, heteroatom is selected from, but are not limited to, the group consisting of O, S, S(=O), S(=O)2, NH, wherein the N of the heterocyclic can be optionally substituted as described herein, in some embodiments, the nitrogen is optionally substituted with Cι_4 acyl or CM alkyl, and ring carbon atoms optionally substituted with oxo or a thiooxo thus forming a carbonyl or thiocarbonyl group. The heterocyclic group can be bonded at any available ring atom, for example, ring carbon, ring nitrogen, and the like. In some embodiments, the heterocyclic group is a 3-, 4-, 5-, 6- or 7-membered containing ring. Examples of a heterocyclic group include, but are not limited to, aziridin-1-yl, aziridin-2-yl, azetidin-1-yl, azetidin-2-yl, azetidin-3-yl, piperidin-1-yl, piperidin-2-yl, piperidin-3-yl, piperidin-4-yl, morpholin-2-yl, morpholin-3-yl, morpholin-4-yl, piperzin-1-yl, ρiρerzin-2-yl, piperzin-3-yl, piperzin-4-yl, pyrrolidin-1-yl, ρyrrolidin-2-yl, pyrrolidin-3-yl, [l,3]-dioxolan-2-yl, thiomorpholin-4-yl, [1 ^oxazepan^-yl, 1,1-dioxo-lλ6- thiomorpholin-4-yl, azepan-1-yl, azepan-2-yl, azeρan-3-yl7 azeρan-4-yl, octahydro-quinolin-1- yl, octahydro-isoquinolin-2-yl, and the like.
The term "hydroxyl" refers to the group -OH. The term "nitro" refers to the group -NO2.
As used herein, the term "oxo" refers to the substituent =O, accordingly, when a carbon is substituted by an oxo group the new group resulting from the carbon and oxo together is a carbonyl group.
The term "phenoxy" refers to the group C6HsO-. The term "phenyl" refers to the group CgH5-.
The term"sulfonic acid" refers to the group -SO3H. The term "thiol" denotes the group -SH. COMPOUNDS OF THE INVENTION:
One aspect of the present invention pertains to certain compounds as shown in Formula (Ia):
Figure imgf000018_0001
or a pharmaceutically acceptable salt, hydrate or solvate thereof; wherein R1, R2, R3, R4, R5, R6, R7, R8, R9, V, W, and Z have the same definitions as described herein, supra and infra.
In some embodiments, the present invention pertains to compounds of Formula (Ia), as described herein, that are isolated. In some embodiments, the present invention pertains to compounds of Formula (Ia), as described herein, that are isolated outside the body of an individual.
In some embodiments, isolated compounds of Formula (Ia) have a purity of greater than about 0.1%, about 1%, about 5%, about 10%, about 15%, about 20%, about 25%, about 30%, about 40%, about 45%, about 50%, about 55%, about 60%, about 65%, about 70%, about 75%, about 80%, about 85%, about 90%, about 95%, about 98%, or about 99%.
In some embodiments, the present invention pertains to compounds of Formula (Ia), as described herein, or a pharmaceutically acceptable salt, hydrate, solvate, or N-oxide thereof.
It is appreciated that certain features of the invention, which are, for clarity, described in the context of separate embodiments, may also be provided in combination in a single embodiment. Conversely, various features of the invention, which are, for brevity, described in the context of a single embodiment, may also be provided separately or in any suitable subcombination. All combinations of the embodiments pertaining to the chemical groups represented by the variables (e.g., R1, R2, R3, R4, Rs, R6, R7, R8, R9, V, W, Z etc.) contained within the generic chemical formulae described herein [e.g. (Ia), (Ic), (Ie), etc.] are specifically embraced by the present invention just as if they were explicitly disclosed, to the extent that such combinations embrace compounds that are stable compounds (ie., compounds that can be isolated, characterized and tested for biological activity). In addition, all subcombinations of the chemical groups listed in the embodiments describing such variables, as well as all subcombinations of uses and medical indications described herein, are also specifically embraced by the present invention just as if each of such subcombination of chemical groups and subcombination of uses and medical indications were explicitly disclosed herein. As used herein, "substituted" indicates that at least one hydrogen atom of the chemical group is replaced by a non-hydrogen substituent or group, the non-hydrogen substituent or group can be monovalent or divalent. When the substituent or group is divalent, then it is understood that this group is further substituted with another substituent or group. When a chemical group herein is "substituted" it may have up to the full valance of substitution; for example, a methyl group can be substituted by 1, 2, or 3 substituents, a methylene group can be substituted by 1 or 2 substituents, a phenyl group can be substituted by 1, 2, 3, 4, or 5 substituents, a naphthyl group can be substituted by 1 , 2, 3, 4, 5, 6, or 7 substituents and the like. Likewise, "substituted with one or more substituents" refers to the substitution of a group with one substituent up to the total number of substituents physically allowed by the group. Further, when a group is substituted with more than one group they can be identical or they can be different.
Compounds of the invention can also include tautomeric forms, such as keto-enol tautomers, and the like. Tautomeric forms can be in equilibrium or sterically locked into one form by appropriate substitution. It is understood that the various tautomeric forms are within the scope of the compounds of the present invention.
Compounds of the invention can also include all isotopes of atoms occurring in the intermediates and/or final compounds. Isotopes include those atoms having the same atomic number but different mass numbers. For example, isotopes of hydrogen include deuterium and tritium.
It is understood and appreciated that compounds of the present invention may have one or more chiral centers, and therefore can exist as enantiomers and/or diastereomers. The invention is understood to extend to and embrace all such enantiomers, diastereomers and mixtures thereof, including but not limited, to racemates. Accordingly, some embodiments of the present invention pertain to compounds of the present invention that are R enantiomers. Further, some embodiments of the present invention pertain to compounds of the present invention that are S enantiomers. In examples where more than one chiral center is present, then, some embodiments of the present invention include compounds that are RS or SR enantiomers. In further embodiments, compounds of the present invention are RR or SS enantiomers. It is understood that compounds of the present invention are intended to represent all possible individual enantiomers and mixtures thereof just as if each had been individually named with the structure provided, unless stated or shown otherwise.
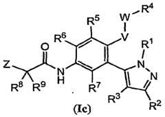
Some embodiments of the present invention pertain to certain compounds as shown in the following Formula (Ic):
Figure imgf000020_0001
wherein each variable in Formula (Ic) has the same meaning as described herein, supra and infra.
Some embodiments of the present invention pertain to certain compounds as shown in Formula (Ie):
Figure imgf000020_0002
wherein each variable in Formula (Ie) has the same meaning as described herein, supra and infra.
In some embodiments, V is O.
Some embodiments of the present invention pertain to certain compounds as shown in Formula (Ig):
Figure imgf000020_0003
wherein each variable in Formula (Ig) has the same meaning as described herein, supra and infra.
In some embodiments, V is NH.
Some embodiments of the present invention pertain to certain compounds as shown in Formula (Ii):
Figure imgf000021_0001
wherein each variable in Formula (Ii) has the same meaning as described herein, supra and infra.
In some embodiments, W is -CH2- or -CH2CH2- optionally substituted with Cu alkyl.
In some embodiments, W is -CH2-, -CH2CH2-, or -CH2C(CH3)2-.
In some embodiments, W is -CHjCH2-.
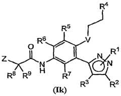
Some embodiments of the present invention pertain to certain compounds as shown in Formula (Ik):
Figure imgf000021_0002
wherein each variable in Formula (Ik) has the same meaning as described herein, supra and infra.
In some embodiments, Z is -NR10R11.
Some embodiments of the present invention pertain to certain compounds as shown in Formula (Im):
Figure imgf000021_0003
wherein each variable in Formula (Im) has the same meaning as described herein, supra and infra.
In some embodiments, Z is -NR'°-( X )-Ru.
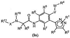
Some embodiments of the present invention pertain to certain compounds as shown in Formula (Io):
Figure imgf000022_0001
wherein each variable in Formula (Io) has the same meaning as described herein, supra and infra.
In some embodiments, Z is -OR11.
Some embodiments of the present invention pertain to certain compounds as shown in Formula (Iq):
Figure imgf000022_0002
wherein each variable in Formula (Iq) has the same meaning as described herein, supra and infra.
In some embodiments, Z is -O-( X )-Rn.
Some embodiments of the present invention pertain to certain compounds as shown in Formula (Is):
Figure imgf000022_0003
wherein each variable in Formula (Is) has the same meaning as described herein, supra and infra.
In some embodiments, Z is -SR1 ' .
Some embodiments of the present invention pertain to certain compounds as shown in Formula (Iu):
Figure imgf000023_0001
wherein each variable in Formula (Iu) has the same meaning as described herein, supra and infra.
In some embodiments, Z is -S-( X )-Rn.
In some embodiments, Z is -S(O)R11.
In some embodiments, Z is -S(O)-( X )-R'1.
In some embodiments, Z is -S(O)2R".
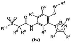
Some embodiments of the present invention pertain to certain compounds as shown in Formula (Iw):
Figure imgf000023_0002
wherein each variable in Formula (Iw) has the same meaning as described herein, supra and infra.
In some embodiments, Z is -S(O)2-( X )-Rn.
In some embodiments, X is C1-4 alkylene. In some embodiments, X is -CH2-, or -CH2CH2-.
In some embodiments, R1 is C1-6 alkyl.
In some embodiments, R1 is -CH3.
In some embodiments, Ri is H.
It is understood when R) is H that tautomers are possible. It is well understood and appreciated in the art that pyrazoles can exist in various tautomeric forms. Two possible tautomeric forms are illustrated below:
Figure imgf000023_0003
It is further understood that tautomeric forms can also have corresponding nomenclature for each represented tautomer, for example, the pyrazol-3-yl groups in Formula (Io) and Formula (Iq) can be represented by the general chemical names lH-pyrazol-3-yl and 2H-pyrazol-3-yI respectively. Therefore, the present invention includes all tautomers and the various nomenclature designations.
In some embodiments, R2 is Η.
In some embodiments, R3 is Η, Ci-6 alkoxy, Cj.6 alkyl, or halogen.
In some embodiments, R3 is Η, -OCH3, -CH3, Cl, or Br.
In some embodiments, R4 is H. In some embodiments, R4 is amino.
In some embodiments, R4 is heterocyclyl optionally substituted with Ci.6 acyl.
In some embodiments, R4 is morpholin-4-yl, 4-acetyl-piperazin-l-yl, pyrrolidin-1-yl, or piperidin-1-yl.
In some embodiments, R5 is H. In some embodiments, R6 is H.
In some embodiments, R7 is H.
In some embodiments, R5, R6, and R7 are each H.
In some embodiments, R8 and R9 are each selected independently from H and Ci-3 alkyl.
In some embodiments, R8 and R9 are each selected independently from H and -CH3. In some embodiments, R8 and R9 together with the carbon to which they are both bonded form a carbonyl.
In some embodiments, R8 and R9 together with the carbon to which they are both bonded form a carbonyl or C3.7 cycloalkyl group.
In some embodiments, R10 is H. In some embodiments, R10 is Ci^-alkyl.
In some embodiments, R10 is -CH3.
In some embodiments, R1 ' is H.
In some embodiments, R11 is Ci-s-alkyl optionally substituted with carboxy.
In some embodiments, R11 is -CH3, -CH2CH3, -C(CH3)3, or -CH2CO2H, In some embodiments, R11 is aryl optionally substituted with 1, 2, 3, 4, or 5 substituents selected independently from the group consisting of Ci .6 acyl, C)-6 alkoxy, Ci-6 alkyl, cyano, halogen, Ci-β haloalkoxy, and Ci-6 haloalkyl.
In some embodiments, Ru is phenyl optionally substituted with 1, 2, 3, 4, or 5 substituents selected independently from the group consisting of -C(=O)CH3, -OCH3, -CH3, cyano, F, Cl, -OCF3, and -CF3.
In some embodiments, Ru is selected from the group consisting of 3,4-difluoro-phenyl, 4-fluoro-phenyl, 3-methoxy-phenyl, 3,5-difluoro-phenyI, 3-fluoro-phenyl, 2,4-difluoro-phenyI, phenyl, 2-fluoro-phenyl, 4-methoxy-phenyl, 2,5-difiuoro-phenyl, 4-chloro-2-fluoro-phenyl, 4- chloro-phenyl, 4-methoxy-phenyl, 4-methyl-phenyl, 2-methyl-phenyl, 4-trifluoromethyl-phenyl, 4-cyano-phenyl, 4-trifluoromethoxy-phenyl, 3-chloro-phenyl, 3-trifluoromethyl-phenyl, 2- cyano-phenyl, 3-methyl-phenyl, 2-cMoro-phenyl, 2-trifluoromethyl-phenyl, 4-acetyl-phenyl, and 3,4-diτnethoxy-phenyl.
In some embodiments, R11 is C3-I0 cycloalkyl. In some embodiments, R11 is cyclopropyl.
In some embodiments, R11 is heteroaryl optionally substituted with 1, 2, 3, 4, or 5 substituents selected independently from the group consisting of Cue acyl, C1-6 alkoxy, Q-6 alkyl, cyano, halogen, Cj-6 haloalkoxy, and Cj-6 haloalkyl.
In some embodiments, R11 is heteroaryl optionally substituted with 1, 2, 3, 4, or 5 substituents selected independently from the group consisting of -C(=O)CH3, -OCH3, -CH3, cyano, F, Cl, -OCF3, and -CF3.
In some embodiments, heteroaryl is a 5-membered heteroaryl, for example, a 5- membered heteroaryl as shown in TABLE 1:
TABLE 1
Figure imgf000025_0001
wherein the 5-membered heteroaryl is bonded at any available position of the ring, for example, a imidazolyl ring can be bonded at one of the ring nitrogens (i.e., imidazol-1-yl group) or at one of the ring carbons (i.e., imidazol-2-yl, imidazol-4-yl or imiadazol-5-yl group).
In some embodiments, heteroaryl is a 6-membered heteroaryl, for example, a 6- membered heteroaryl as shown in TABLE 2: TABLE 2
Figure imgf000025_0002
wherein the heteroaryl group is bonded at any ring carbon.
In some embodiments, Rπ is pyridin-3-yl, pyridin-2-yl, pyridin-4-yl, or benzo[l ,3]dioxol-5-yl. In some embodiments, R1 ' is heteroeyclyl optionally substituted with C].6 alkyl oτ phenyl, wherein said
Figure imgf000026_0001
alkyl is optionally substituted with phenyl.
Li some embodiments, R11 is l-phenyl-piperidin-4-yl, l-benzyl-piperidin-4-yl, or tetrahydro-pyran-4-yl. In some embodiments, R10 and R11 together with the nitrogen to which they are both bonded form a heteroeyclyl group optionally substituted with aryl, heteroaryl, aryl-Ci-3-alkyl, or heteroaryl-CI-3-alkyl, wherein said aryl, heteroaryl, aryl-Ci_3-alkyl, and heteroaryl-Ci-3-alkyl are each optionally substituted with 1, 2, 3, 4, or 5 substituents selected independently from the group consisting of Ci-s alkoxy, Ci-6 alkyl, cyano, halogen, and C1-6 haloalkyl. In some embodiments, R10 and R1 ' together with the nitrogen to which they are both bonded form a piperazin-lyl or ρiperidin-1-yl group optionally substituted with C]-6 alkyl, aryl, heteroaryl, aryl-Ci-3-alkyl, or heteroaryl-Ci.3-alkyl, wherein said aryl, heteroaryl, aryl-Ci-3-alkyl, and heteroaryl-Ci-3-alkyl are each optionally substituted with I, 2, 3, 4, or 5 substituents selected independently from the group consisting of Cj-6 alkoxy, C1-6 alkyl, cyano, halogen, and C1^ haloalkyl.
In some embodiments, R10 and R1 ' together with the nitrogen to which they are both bonded form a piperazin-lyl or piperidin-1-yl group optionally substituted with phenyl, pyridin- 4-yl, thiazol-2-yl, pyridin-3-yl, pyridin-2-yl, phenethyl, or benzo[l,3]dioxol-5-yl wherein each is optionally substituted with 1, 2, 3, 4, or 5 substituents selected independently from the group consisting of -C(=O)CH3, -OCH3, -CH3, cyano, F, Cl, -OCF3, and -CF3.
In some embodiments, R10 and R11 together with the nitrogen to which they are both bonded form a 4-[2-(4-fluoro-phenyV)-ethyl]-piperazin-l-yl, 4-(2-fiuoro-phenyl)-piperazin-l-yl, 4-ρyridin-4-yl-piperazin-l -yl, 4-(4-fluoro-phenyl)-piperazin-l-yl, 4-benzo[l ,3]dioxol-5- ylmethyl-piperazin-1-yl, 4-(2-cyano-phenyl)-piperazin-l-yl, 4-p-tolyl-piperazin-l-yl, 4-methyl- ρiperazin-1 -yl, 4-thiazoI-2-yl-piperazin-l-yl, 4-phenyl-piperazin-l-yl, 4-m-tolyl-piperazin-l-yl, 4-(4-chloro-phenyl)-piperazin-l-yl, 4-(3-fluoro-phenyl)-piperazin-l-yl, 4-(4-chloro-2-fluoro- phenyl)-piperazin-l-yl, 4-(2-chIoro-phenyl)-piperazin-l-yl, 4-(4-fluoro-benzyl)-piperazin-l-yl, 4-o-toIyl-ρiperazin-l-yl, 4-(4-methoxy-phenyl)-piρerazin-l-yl, piperidin-1-yl, 4-(3-Methoxy- phenyl)-piperazin-l-yl, 4-(2,4-difiuoro-phenyl)-piperazin-l-yl, 4-(2-fluoro-phenyl)-piperazin-l- yl, 4-(2-methoxy-phenyl)-piperazin-l-yl, 4-pyridin-3-yl-piperazin-l-yl, 4-pyridiπ-2-yl- piperazin-1-yl, 4-(3,4-difiuoro-phenyl)-piperazin-l-yl, or 4-(3-trifluoromethyl-phenyl)- piperazin-1-yl.
In some embodiments, R10 and R1 ' together with the nitrogen to which they are both bonded form a heteroaryl group optionally substituted with 1, 2, 3, 4, or 5 substituents selected independently from the group consisting of Q-6 alkoxy, C1-6 alkyl, cyano, halogen, and Ci-6 haloallςyl. Some embodiments of the present invention pertain to certain compounds of Formula (Ha):
Figure imgf000027_0001
wherein: W is -CH2- or -CH2CH2- optionally substituted with Ci-3 alkyl;
Z is -NR10R11, -NR10-( X )-R", -OR11, -O-( X )-Rn, -SR11, or -S(O)2R11; X is -CH2- or -CH2CH2-; R3 is H, Ci-6 alkoxy, Ci-6 alkyl, or halogen;
R4 is H, amino, or heterocyclyl, wherein said heterocyclyl is optionally substituted with C1-6 acyl;
R8 and R9 are each selected independently from H and Ci-3 alkyl, or R8 and R9 together with the carbon to which they are both bonded form a carbonyl or C3- 7 cycloalkyl group;
R10 is H or Ci-6-alkyl; and R11 is H, Ci-8~alkyl, aryl, C3-I0 cycloalkyl, heteroaryl, or heterocyclyl, wherein said Ci-8- alkyl, aryl, C3.i0 cycloalkyl, heteroaryl, and heterocyclyl are each optionally substituted with substituents selected independently from the group consisting Of C)-6 acyl, Ci-6 alkoxy, Ci-6 alkyl, carboxy, cyano, halogen, Ci.6 haloalkoxy, and C]-6 haloalkyl; or
R10 and R1 ' together with the nitrogen to which they are both bonded form a heterocyclyl group or a heteroaryl group each optionally substituted with aryl, heteroaryl, aryl- Cio-alkyl, or heteroaryl-Ci_3-alkyl., wherein said aryl, heteroaryl, aryl-C|.3-alkyl, and heteroaryl- Ci-3-alkyl are each optionally substituted with 1, 2, 3, 4, or 5 substituents selected independently from the group consisting of Ci-6 alkoxy, Ci-S alkyl, cyano, halogen, and Ci-6 haloalkyl.
Some embodiments of the present invention pertain to certain compounds of Formula (Ha):
Figure imgf000027_0002
wherein:
W is -CH2-, -CH2CH2- or -CH2C(CHj)2-;
Z is -NR10R", -NR'°-( X )-Rn, -OR1 ', -O-( X )-Rπ, -SR11, Or -S(O)2R1'; X is -CH2- or -CH2CH2-; R3 is H, -OCH3, -CH3, Cl, or Br;
R4 is H, amino, morpholin-4-yl, 4-acetyl-piperazin-l-yl, pyrrolidin-1-yl, or piperidin-1- yi;
R8 and R9 are each selected independently from H and -CH3, or R8 and R9 together with the carbon to which they are both bonded form a carbonyl or cyclohexyl group;
R10 is H or -CH3; and
R11 is selected from the group consisting of H5 -CH3, -CH2CH3, -C(CH3)3, -CH2CO2H, 3,4-difiuoro-ρhenyl, 4-fluoro-phenyl, 3-methoxy-phenyl, 3,5-difiuoro-phenyl, 3-fluoro-ρhenyl, 2,4-difluoro-phenyl, phenyl, 2-fluoro-phenyl, 4-methoxy-phenyl, 2,5-difluoro-phenyl, 4-chloro- 2-fluoro-phenyl, 4-chloro-phenyl, 4-methoxy-phenyl, 4-methyl-phenyl, 2-methyl-phenyl, 4- trifluoromethyl-phenyl, 4-cyano-phenyl, 4-trifluoromethoxy-phenyl, 3-chloro-ρhenyl, 3- trifluoromethyl-phenyl, 2-cyano-phenyl, 3-methyl-phenyl, 2-chloro-phenyl, 2-trifluoromethyI- phenyl, 4-acetyl-phenyl, 3,4-dimethoxy-phenyl, cyclopropyl, pyridin-3-yl, pyridin-2-yl, pyridin- 4-yl, benzo[l,3]dioxol-5-yl, 1 -ρhenyl-piperidin-4-yl, l-benzyl-piperidin-4-yl, and tetrahydro- pyran-4-yϊ; or
R10 and Rπ together with the nitrogen to which they are both bonded form a 4-[2-(4- fluoro-phenyl)-ethyl]-piperazin-l -yl, 4-(2-fluoro-phenyl)-piperazin-l-yl, 4-pyridin-4-yl- piperazin- 1 -yl, 4-(4-fluoro-phenyl)-piperazin- 1 -yl, 4-benzo[ 1 ,3 ]dioxol-5-ylmethyl-piperazin- 1 - yl, 4-(2-cyano-phenyl)-piperazin-l-yl, 4-p-tolyl-piperazin-l-yl, 4-methyl-piperazin-l-yl, 4- thiazol~2-y]-piperazin-l-yl, 4-phenyl-piperazin-l-yl, 4-m-tolyl-piperazin-l-yl, 4-(4-chloro- phenyl)-piperazin-l-yl, 4-(3-fluoro-phenyl)-piperazin-l -yl, 4-(4-chloro-2-fluoro-phenyl)- piperazin-I-yl, 4-(2-chloro-phenyl)-piperazin-l-yl, 4-(4-fluoro-benzyl)-piperazin-l-yl, 4-o- tolyl-pipeτazin-1-yl, 4-(4-methoxy-phenyl)-piperazin-l-yl, piperidin-1-yl, 4-(3-methoxy- phenyl)-piperazin-l-yl, 4-(2,4-difluoro-phenyl)-piperazin-l-yl, 4-(2-fluoro-phenyl)-piperazin-l- yl, 4-(2-methoxy-phenyl)-piρerazin-l -yl, 4-pyridin-3-yl-piperazin-l -yl, 4-pyridin-2-yl- piperazin-1 -yl, 4-(3,4-difluoro-phenyl)-piperazin-l-yl, or 4-(3-trifluoromethyl-phenyl)- piperazin- l-yl.
Some embodiments of the present invention pertain to certain compounds of Formula (Ha):
Figure imgf000029_0001
wherein:
W is -CH2-, -CH2CH2- or -CH2C(CHs)2-;
Z is -NR1V1, -NR10-( X )-R'\ -OR11, -0-( X )-R11, -SR11, or -S(O)2R11; X is -CH2- or -CH2CH2-;
R3 is H, -OCH3, -CH3, Cl, or Br;
R4 is H, amino, morpholin-4-yl, 4-acetyl-piperazin-l-yI, pyrrolidin-l-yl, or piperidin-1- yi;
Rs and R9 are each selected independently from H and -CH3, or R8 and R9 together with the carbon to which they are both bonded form a carbonyl or cyclohexyl group;
R10 is H or -CH3; and
R11 is selected from the group consisting of 3,4-difluoro-phenyl, 4-fluoro-ρhenyl, 3- methoxy-phenyl, 3,5-difluoro-phenyl, 3-fluoro-phenyl, 2,4-difluoro-phenyl, phenyl, 2-fluoro- phenyl, 4-methoxy-phenyl, 2,5-difluoro-phenyl, 4-chloro-2-fluoro-phenyl, 4-chloro-ρhenyl, 4- methoxy-phenyl, 4-methyl-phenyl, 2-methyl-phenyl, 4-trifluoromethyl-phenyl, 4-cyano-phenyl, 4-trifluoromethoxy-phenyl, 3-chloro-phenyl, 3 -trifluoromethyl -phenyl, 2-cyano-phenyl, 3- methyl-phenyl, 2-chloro-phenyl, 2-trifluoromethyl-phenyl, 4-acetyl-phenyl, and 3,4-dimethoxy- phenyl. Some embodiments of the present invention pertain to certain compounds of Formula
(Ha):
Figure imgf000029_0002
wherein:
W is -CH2-, -CH2CH2- or -CH2C(CH3)2-; Z is -NR10R11, -NR10-( X )-Rπ, -OR11, or -O-( X )-Ru;
X is -CH2- or -CH2CH2-; R3 is H, -OCH3, -CH3, Cl, or Br;
R4 is H, amino, morpholin-4-yl, 4-acetyl-piperazin-l-yI, pyrrol idin-1-yl, or piperidin-1-yl;
R8 and R9 are each selected independently from H and -CH3, or
R8 and R9 together with the carbon to which they are both bonded form a carbonyl;
R10 is H or -CH3; and
Rn is pyridin-3-yl, pyridin-2-yl, pyridin-4-yl, or benzo[l,3]dioxol-5-yl.
Some embodiments of the present invention pertain to certain compounds of Formula (Ha):
Figure imgf000030_0001
wherein:
W is -CH2-, -CH2CH2- or -CH2C(CHa)2-; Z is -NR10R11, -NR10-( X )-R", -OR11, or -O-( X )-Ru; X is -CH2- or -CH2CH2-; R3 is H, -OCH3, -CH3, Cl, or Br;
R4 is H, amino, morρholin-4-yl, 4-acetyl-piperazin-l-yl, pyrrolidin-1-yl, or piperidin-1-yl;
R8 and R9 are each selected independently from H and -CH3, or
R8 and R9 together with the carbon to which they are both bonded form a carbonyl; and R10 and Rn together with the nitrogen to which they are both bonded form a 4-[2-(4- fluoro-phenyl)-ethyl]-piperazin-l-yl, 4-(2-fluoro-phenyl)-piperazin-l -yl, 4-pyridm-4-yl- piperazin- 1 -y 1, 4-(4-fluoro-phenyl)-piperazin- 1 -yl, 4-benzo [ 1 ,3]dioxol-5 -ylmethyl-piperazin- 1 - yl, 4-(2-cyano-ρhenyl)-piperazin-l-yl, 4-p-tolyl-piperazin-l-yl, 4-methyl-ρiρerazm-l-yl, 4- thiazol-2-yl-piperazin-l-yl, 4-phenyl-piperazin-l-yl, 4-m-tolyl-piperazin-l-yl, 4-(4-chloro- phenyl)-piperazin- 1 -yl, 4-(3-fluoro-phenyl)-piperazin- 1-yl, 4-(4-chloro-2-fJuoro-ρhenyl)- piperazin-1 -yl, 4-(2-chloro-ρhenyl)-piperazin-l-yl, 4-(4-fluoro-benzyl)-piperazin-l-yl, 4-o-tolyl- piperazin-1-yl, 4-(4-methoxy-phenyl)-piperazin-l-yl, piperidin-1-yl, 4-(3-Methoxy-phenyl)- piperazin-1-yl, 4-(2,4-difluoro-phenyl)-piperazin-l-yl, 4-(2-fluoro-phenyl)-piperazin-l-yl, 4-(2- methoxy-phenyl)-piperazin-l-yl, 4-pyridin-3-yl-piperazin-l-yl, 4-pyridin-2-yl-piperazin-l-yl, 4- (3,4-difluoro-phenyl)-piperazin-l-yl, or4-(3-trifluoromethyl-phenyl)-piperazin-l-yl.
Some embodiments of the present invention include every combination of one or more compounds selected from the following tables:
Figure imgf000031_0001
Figure imgf000032_0001
Figure imgf000033_0001
Figure imgf000034_0001
Figure imgf000035_0001
Figure imgf000036_0001
Figure imgf000037_0001
Figure imgf000038_0001
Figure imgf000039_0001
Figure imgf000040_0001
Figure imgf000041_0001
Figure imgf000042_0001
Figure imgf000043_0001
Figure imgf000044_0001
Figure imgf000045_0001
Figure imgf000046_0001
Figure imgf000046_0002
Figure imgf000047_0001
Figure imgf000048_0001
Figure imgf000049_0001
Figure imgf000050_0001
Figure imgf000051_0001
Figure imgf000052_0001
Figure imgf000053_0001
Figure imgf000054_0001
Figure imgf000055_0001
Figure imgf000056_0001
Figure imgf000057_0001
Figure imgf000058_0001
Figure imgf000059_0001
Figure imgf000060_0001
Figure imgf000061_0001
Figure imgf000062_0001
Figure imgf000063_0001
Figure imgf000064_0001
Figure imgf000065_0001
Figure imgf000067_0001
Figure imgf000068_0001
Figure imgf000069_0001
Figure imgf000070_0001
Figure imgf000071_0001
Figure imgf000072_0001
Figure imgf000073_0001
Figure imgf000074_0001
Additionally, individual compounds and chemical genera of the present invention, such as Formula (Ia) and related Formulae therefrom, encompass all pharmaceutically acceptable salts, solvates, and particularly hydrates, thereof.
It is understood that the present invention embraces each diastereomer, each enantiomer and mixtures thereof of each compound and generic Formulae disclosed herein just as if they were each individually disclosed with the specific stereochemical designation for each chiral atom, for example carbon.
The compounds of the Formula (Ia) of the present invention can be prepared according to the general synthetic schemes in Figures 1 through 9 as well as relevant published literature procedures that are used by one skilled in the art. Exemplary reagents and procedures for these reactions appear hereinafter in the working Examples. Protection and deprotection may be carried out by procedures generally known in the art (see, for example, Greene, T. W. and Wuts, P. G. M., Protecting Groups in Organic Synthesis, 3rd Edition, 1999 [Wiley]; incorporated herein by reference in its entirity). The present invention also encompasses diastereomers as well as optical isomers, e.g. mixtures of enantiomers including racemic mixtures, as well as individual enantiomers and diastereomers, which arise as a consequence of structural asymmetry in certain compounds of the invention. Separation of the individual isomers (such as, chiral HPLC, recrystallization of diastereomeric mixture, and the like) or selective synthesis (such as, enantiomeric selective synthesis, and the like) of the individual isomers is accomplished by application of various methods which are well known to practitioners in the art.
INDICATIONS AND METHODS OF TREATMENT
In addition to the foregoing beneficial uses for the modulators of 5-HT2A receptor activity disclosed herein, the compounds disclosed herein are believed to be useful in the treatment of several additional diseases and disorders, and in the amelioration of symptoms thereof. Without limitation, these include the following:
1. Antiplatelet Therapies (Conditions related to platelet aggregation): Antiplatelet agents (antiplatelets) are prescribed for a variety of conditions. For example, in coronary artery disease they are used to help prevent myocardial infarction or stroke in patients who are at risk of developing obstructive blood clots (e.g., coronary thrombosis).
Ih a myocardial infarction (heart attack), the heart muscle does not receive enough oxygen- rich blood as a result of a blockage in the coronary blood vessels. If taken while an attack is in progress or immediately afterward (preferably within 30 minutes), antiplatelets can reduce the damage to the heart.
A transient ischemic attack ("TIA" or "mini-stroke") is a brief interruption of oxygen flow to the brain due to decreased blood flow through arteries, usually due to an obstructing blood clot. Antiplatelet drugs have been found to be effective in preventing TIAs.
Angina is a temporary and often recurring chest pain, pressure or discomfort caused by inadequate oxygen-rich blood flow (ischemia) to some parts of the heart. In patients with angina, antiplatelet therapy can reduce the effects of angina and the risk of myocardial infarction.
Stroke is an event in which the brain does not receive enough oxygen-rich blood, usually due to blockage of a cerebral blood vessel by a blood clot. In high-risk patients, taking antiplatelets regularly has been found to prevent the formation of blood clots that cause first or second strokes. Angioplasty is a catheter based technique used to open arteries obstructed by a blood clot.
Whether or not stenting is performed immediately after this procedure to keep the artery open, antiplatelets can reduce the risk of forming additional blood clots following the procedure(s). Coronary bypass surgery is a surgical procedure in which an artery or vein is taken from elsewhere in the body and grafted to a blocked coronary artery, rerouting blood around the blockage and through the newly attached vessel. After the procedure, antiplatelets can reduce the risk of secondary blood clots. Atrial fibrillation is the most common type of sustained irregular heart rhythm (arrythmia).
Atrial fibrillation affects about two million Americans every year. Ih atrial fibrillation, the atria (the heart's upper chambers) rapidly fire electrical signals that cause them to quiver rather than contract normally. The result is an abnormally fast and highly irregular heartbeat. When given after an episode of atrial fibrillation, antiplatelets can reduce the risk of blood clots forming in the heart and traveling to the brain (embolism).
5-HT2A receptors are expressed on smooth muscle of blood vessels and S-ETT secreted by activated platelets causes vasoconstriction as well as activation of additional platelets during clotting. There is evidence that a 5-HT2A inverse agonist will inhibit platelet aggregation and thus be a potential treatment as an antiplatelet therapy (see Satimura, K, et al., Clin Cardiol 2002 Jan. 25 (l):28-32; and Wilson, H.C et al., Thromb Haemost 1991 Sep 2;66(3):355-60).
5-HT2A inverse agonists can be used to treat, for example, claudication or peripheral artery disease as well as cardiovascular complications (see Br- Med. J. 298: 424 - 430, 1989), Arterial thrombosis (see, Pawlak, D. et al. Thrombosis Research 90: 259 - 270, 1998), atherosclerosis (see, Hayashi, T. et al. Atherosclerosis 168: 23 — 31, 2003), vasoconstriction, caused by serotonin (see, Fujiwara, T. and Chiba, S. Journal of Cardiovascular Pharmacology
26: 503 — 510, 1995), restenosis of arteries following angioplasty or stent placement (see, Fujita, M. et al. Am Heart J. 145:el6 2003). It can also be used alone or in combination with thrombolytic therapy, for example, tPA (see, Yamashita, T. et al. Haemostasis 30:321 — 332, 2000), to provide cardioprotection following MI or postischemic myocardial dysfunction (see, Muto, T. et al. MoI. Cell. Biochem. 272: 119-132, 2005) or protection from ischemic injury during percutaneous coronary intervention (see, Horibe, E. Circulation Research 68: 68 — 72, 2004), and the like, including complications resulting therefrom.
5-HT2A inverse antagonists can increase circulating adiponectin in patients, suggesting that they would also be useful in protecting patients against indications that are linked to adiponectin, for example, myocardial ischemia reperfusion injury and artherosclerosis (see Nomura, Shosaku, et al. Blood Coagulation and Fibrinolysis 2005, 16, 423-428).
The 5-HT2A inverse agonists disclosed herein provide beneficial improvement in microcirculation to patients in need of antiplatelet therapy by antagonizing the vasoconstrictive products of the aggregating platelets in, for example and not limited to the indications described above. Accordingly, in some embodiments, the present invention provides methods for reducing platelet aggregation in a patient in need thereof comprising administering to the patient a composition comprising a 5-HT2A inverse agonist disclosed herein. In further embodiments, the present invention provides methods for treating coronary artery disease, myocardial infarction, transient ischemic attack, angina, stroke, atrial fibrillation, or a symptom of any of the foregoing in a patient in need of the treatment, comprising administering to the patient a composition comprising a 5-HT2A inverse agonist disclosed herein. In further embodiments, the present invention provides methods for reducing risk of blood clot formation in an angioplasty or coronary bypass surgery patient, or a patient suffering from atrial fibrillation, comprising administering to the patient a composition comprising a 5-HT2A inverse agonist disclosed herein at a time where such risk exists.
One aspect of the present invention provides a therapeutic agent for treating indications associated with the pathophysiology of platelet aggregation used in combination with compounds of the present invention as disclosed herein. Accordingly, compounds of the present invention can be used alone or in combination with other therapeutic agent(s), such as, thromboxane A2 blocker (aspirin and the like), and ADP-mediated platelet aggregation inhibitor (ticlopidine, clopidogrel, and the like) either administered together or separately. 2. Asthma
5-HT (5-hydroxytryptamine) has been linked to the pathophysiology of acute asthma (see Cazzola, M. and Matera, M.G., TCPS, 2000, 21, 13; and De Bie, JJ. et al., British J. Pharra, 1998, 124, 857-864). The compounds of the present invention disclosed herein are useful in the treatment of asthma, and the treatment of the symptoms thereof. Accordingly, in some embodiments, the present invention provides methods for treating asthma in a patient in need of the treatment, comprising administering to the patient a composition comprising a 5-HT2A inverse agonist disclosed herein. In further embodiments, methods are provided for treating a symptom of asthma in a patient in need of the treatment, comprising administering to the patient a composition comprising a 5-HT2A inverse agonist disclosed herein. 3. Agitation
Agitation is a wel]-recognized behavioral syndrome with a range of symptoms, including hostility, extreme excitement, poor impulse control, tension and uncooperativeness (See Cohen- Mansfield J, and Billig, N., (1986), Agitated Behaviors in the Elderly. I. A Conceptual Review. J Am Geriatr Soc 34(10): 711-721). Agitation is a common occurrence in the elderly and often associated with dementia such as those caused by Alzheimer's disease, Lewy body, Parkinson's, and Huntington's, which are degenerative diseases of the nervous system and by diseases that affect blood vessels, such as stroke, or multi-infarct dementia, which is caused by multiple strokes in the brain can also induce dementia. Alzheimer's disease accounts for approximately 50 to 70% of all dementias (See Koss E, et al., (1997), Assessing patterns of agitation in Alzheimer's disease patients with the Cohen- Mansfield Agitation Inventory. The Alzheimer's Disease Cooperative Study. Alzheimer Dis Assoc Disord ll(suppl 2):S45-S50). An estimated five percent of people aged 65 and older and up to 20 percent of those aged 80 and older are affected by dementia; of these sufferers, nearly half exhibit behavioral disturbances, such as agitation, wandering and violent outbursts.
Agitated behaviors can also be manifested in cognitively intact elderly people and by those with psychiatric disorders other than dementia.
Agitation is often, treated with antipsychotic medications such as haloperidol in nursing home and other assisted care settings. There is emerging evidence that agents acting at the 5-HT2A receptors in the brain have the effects of reducing agitation in patients, including Alzheimer's dementia (See Kate, IJR., et al.3 J Clin Psychiatry 1999 Feb., 60(2): 107-115; and Street, J.S., et al., Arch Gen Psychiatry 2000 Oct., 57(10):968-976).
The compounds of the invention disclosed herein are useful for treating agitation and symptoms thereof. Thus, in some embodiments, the present invention provides methods for treating agitation in a patient in need of such treatment comprising administering to the patient a composition comprising a 5-HT2A inverse agonist disclosed herein. In some embodiments, the agitation is due to a psychiatric disorder other than dementia. In some embodiments, the present invention provides methods for treatment of agitation or a symptom thereof in a patient suffering from dementia comprising administering to the patient a composition comprising a 5-HT2A inverse agonist disclosed herein. In some embodiments of such methods, the dementia is due to a degenerative disease of the nervous system, for example and without limitation, Alzheimers disease, Lewy body, Parkinson's disease, and Huntington's disease, or dementia due to diseases that affect blood vessels, including, without limitation, stroke and multi-infarct dementia. In some embodiments, methods are provided for treating agitation or a symptom thereof in a patient in need of such treatment, where the patient is a cognitively intact elderly patient, comprising administering to the patient a composition comprising a 5-HT2A inverse agonist disclosed herein. 4. Add-On therapy to haloperidol in the treatment of schizophrenia and other disorders:
Schizophrenia is a psychopathic disorder of unknown origin, which usually appears for the first time in early adulthood and is marked by a number of characteristics, psychotic symptoms, progression, phasic development and deterioration in social behavior and professional capability in the region below the highest level ever attained. Characteristic psychotic symptoms are disorders of thought content (multiple, fragmentary, incoherent, implausible or simply delusional contents or ideas of persecution) and of mentality (loss of association, flight of imagination, incoherence up to incomprehensibility), as well as disorders of perceptibility (hallucinations), of emotions (superficial or inadequate emotions), of self-perception, of intentions and impulses, of interhuman relationships, and finally psychomotoric disorders (such as catatonia). Other symptoms are also associated with this disorder. (See, American Statistical and Diagnostic Handbook). Haloperidol (Haldol) is a potent dopamine D2 receptor antagonist. It is widely prescribed for acute schizophrenic symptoms, and is very effective for the positive symptoms of schizophrenia. In accordance with some methods of the invention, adding a 5-HT2A inverse agonist concomitantly with Haldol will provide benefits including Hie ability to use a lower dose of Haldol without losing its effects on positive symptoms, while reducing or eliminating its inductive effects on negative symptoms, and prolonging relapse to the patient's next schizophrenic event.
5. Sleep disorders
It is reported in the National Sleep Foundation's 2002 Sleep Ih America Poll, more than one-half of the adults surveyed (58%) report having experienced one or more symptoms of insomnia at least a few nights a week in the past year. Additionally, about three in ten (35%) say they have experienced insomnia-like symptoms every night or almost every night.
The normal sleep cycle and sleep architecture can be disrupted by a variety of organic causes as well as environmental influences. According to the International Classification of Sleep Disorders, there are over 80 recognized sleep disorders. Of these, compounds of the present invention are effective, for example, in any one or more of the following sleep disorders (ICSD — International Classification of Sleep Disorders: Diagnostic and Coding Manual. Diagnostic Classification Steering Committee, American Sleep Disorders Association, 1990):
A. DYSSOMNIAS a. Intrinsic Sleep Disorders: Psychophysiological insomnia, Sleep state misperception, Idiopathic insomnia, Obstructive sleep apnea syndrome, Central sleep apnea syndrome, Central alveolar hypoventilation syndrome, Periodic limb movement disorder, Restless leg syndrome and Intrinsic sleep disorder NOS. b. Extrinsic Sleep Disorders:
Inadequate sleep hygiene, Environmental sleep disorder, Altitude insomnia, Adjustment sleep disorder, Insufficient sleep syndrome, Limit-setting sleep disorder, SleepOnset association disorder, Nocturnal eating (drinking) syndrome, Hypnotic dependent sleep disorder, Stimulant- dependent sleep disorder, Alcohol-dependent sleep disorder, Toxin-induced sleep disorder and Extrinsic sleep disorder NOS. c. Orcadian Rhythm Sleep Disorders: Time zone change (jet lag) syndrome, Shift work sleep disorder, Irregular sleep-wake pattern, Delayed sleep phase syndrome, Advanced sleep phase syndrome, Non-24-hour sleep-wake disorder and Orcadian rhythm sleep disorder NOS.
B. PARASOMNIAS a. Arousal Disorders: Confusional arousals, Sleepwalking and Sleep terrors. b. Sleep-Wake Transition Disorders:
Rhythmic movement disorder, Sleep starts, Sleep talking and Nocturnal leg cramps. C. SLEEP DISORDERS ASSOCIATED WITH MEDICAL/PSYCHIATRIC DISORDERS a. Associated with Mental Disorders:
Psychoses, Mood disorders, Anxiety disorders, Panic disorders and Alcoholism. b. Associated with Neurological Disorders:
Cerebral degenerative disorders, Dementia, Parkinsonism, Fatal familial insomnia, Sleep- related epilepsy, Electrical status epilepticus of sleep and Sleep-related headaches, c. Associated with Other Medical Disorders:
Sleeping sickness, Nocturnal cardiac ischemia, Chronic obstructive pulmonary disease, Sleep-related asthma, Sleep-related gastroesophageal reflux, Peptic ulcer disease, Fibrositis syndrome, Osteoarthritis, Rheumatoid arthritis, Fibromyalgia and Post-surgical.
The effects of sleep deprivation are more than excessive daytime sleepiness. Chronic insomniacs report elevated levels of stress, anxiety, depression and medical illnesses (National Institutes of Health, National Heart, Lung, and Blood Institute, Insomnia Facts Sheet, Oct. 1995). Preliminary evidence suggests that having a sleep disorder that causes significant loss of sleep may contribute to increased susceptibility to infections due to immunosuppression, cardiovascular complications such as hypertension, cardiac arrhythmias, stroke, and myocardial infarction, comprimised glucose tolerance, increased obesity and metabolic syndrome. Compounds of the present invention are useful to prevent or alleviate these complications by improving sleep quality. The most common class of medications for the majority of sleep disorders are the benzodiazepines, but the adverse effect profile of benzodiazepines include daytime sedation, diminished motor coordination, and cognitive impairments. Furthermore, the National Institutes of Health Consensus conference on Sleeping Pills and Insomnia in 1984 have developed guidelines discouraging the use of such sedative-hypnotics beyond 4-6 weeks because of concerns raised over drug misuse, dependency, withdrawal and rebound insomnia. Therefore, it is desirable to have a pharmacological agent for the treatment of insomnia, which is more effective and/or has fewer side effects than those currently used. In addition, benzodiazepines are used to induce sleep, but have little to no effect on the maintenance of sleep, sleep consolidation or slow wave sleep. Therefore, sleep maintenance disorders are not currently well treated. Clinical studies with agents of a similar mechanism of action as are compounds of the present invention have demonstrated significant improvements on objective and subjective sleep parameters in normal, healthy volunteers as well as patients with sleep disorders and mood disorders [Sharpley AL, et al. Slow Wave Sleep in Humans: Role of 5 -HT2A and 5HT2C Receptors. Neuropharmacology, 1994, Vol. 33(3/4):467-71; Winokur A, et al. Acute Effects of Mirtazapine on Sleep Continuity and Sleep Architecture in Depressed Patients: A Pilot Study. Soc of Biol Psych, 2000, Vol.48:75-78; and Landolt HP, et al. Serotonin-2 Receptors and Human Sleep: Effect of Selective Antagonist on EEG Power Spectra. Neuropsychopharmacology, 1999, Vol. 21(3):455-66].
Some sleep disorders are sometimes found in conjunction with other conditions and accordingly those conditions are treatable by compounds of Formula (Ia). For example, but not limited to, patients suffering from mood disorders typically suffer from a sleep disorder that can be treatable by compounds of Formula (Ia). Having one pharmacological agent which treats two or more existing or potential conditions, as does the present invention, is more cost effective, leads to better compliance and has fewer side effects than taking two or more agents.
It is an object of the present invention to provide a therapeutic agent for the use in treating Sleep Disorders. It is another object of the present invention to provide one pharmaceutical agent, which may be useful in treating two or more conditions wherein one of the conditions is a sleep disorder. Compounds of the present invention described herein may be used alone or in combination with a mild sleep inducer , such as, a sedating antihistamine (diphenhydramine, chloropheniramine, bromopheniramine and the like), GABA-A receptor modulators (Ambien, Sonata, Indiplon, Gaboxadol, and the like), melatonin agonists (MLl receptor agonist, such as Ramelteon and the like), sedating antidepressants (such as a tricyclic antidepressant, doxepine and the like), and benzodiazepines (diazepam and the like) and either administered together or separately.
Sleep Architecture:
Sleep comprises two physiological states: Non rapid eye movement (NREM) and rapid eye movement (REM) sleep. NREM sleep consists of four stages, each of which is characterized by progressively slower brain wave patterns, with the slower patterns indicating deeper sleep. So called delta sleep, stages 3 and 4 of NREM sleep, is the deepest and most refreshing type of sleep. Many patients with sleep disorders are unable to adequately achieve the restorative sleep of stages 3 and 4. In clinical terms, patients' sleep patterns are described as fragmented, meaning the patient spends a lot of time alternating between stages 1 and 2 (semi- wakefulness) and being awake and very little time in deep sleep. As used herein, the term "fragmented sleep architecture" means an individual, such as a sleep disorder patient, spends the majority of their sleep time in NR-EM sleep stages 1 and 2, lighter periods of sleep from which the individual can be easily aroused to a waking state by limited external stimuli. As a result, the individual cycles through frequent bouts of light sleep interrupted by frequent awakenings throughout the sleep period. Many sleep disorders are characterized by a fragmented sleep architecture. For example, many elderly patients with sleep complaints have difficulty achieving long bouts of deep refreshing sleep (NREM stages 3 and 4) and instead spend the majority of their sleep time in NREM sleep stages 1 and 2.
In contrast to fragmented sleep architecture, as used herein the term "sleep consolidation" means a state in which the number of NREM sleep bouts, particularly Stages 3 and 4, and the length of those sleep bouts are increased, while the number and length of waking bouts are decreased. In essence, the architecture of the sleep disorder patient is consolidated to a sleeping state with increased periods of sleep and fewer awakenings during the night and more time is spent in slow wave sleep (Stages 3 and 4) with fewer oscillation Stage 1 and 2 sleep. Compounds of the present invention can be effective in consolidating sleep patterns so that the patient with previously fragmented sleep can now achieve restorative, delta-wave sleep for longer, more consistent periods of time.
As sleep moves from stage 1 into later stages, heart rate and blood pressure drop, metabolic rate and glucose consumption fall, and muscles relax. In normal sleep architecture, NREM sleep makes up about 75% of total sleep time; stage 1 accounting for 5-10% of total sleep time, stage 2 for about 45-50%, stage 3 approximately 12%, and stage 4 13-15%. About 90 minutes after sleep onset, NREM sleep gives way to the first REM sleep episode of the night. REM makes up approximately 25% of total sleep time. Ih contrast to NREM sleep, REM sleep is characterized by high pulse, respiration, and blood pressure, as well as other physiological patterns similar to those seen in the active waking stage. Hence, REM sleep is also known as "paradoxical sleep." Sleep onset occurs during NREM sleep and takes 10-20 minutes in healthy young adults. The four stages of NREM sleep together with a REM phase form one complete sleep cycle that is repeated throughout the duration of sleep, usually four or five times. The cyclical nature of sleep is regular and reliable; a REM period occurs about every 90 minutes during the night. However, the first REM period tends to be the shortest, often lasting less than 10 minutes, whereas the later REM periods may last up to 40 minutes. With aging, the time between retiring and sleep onset increases and the total amount of night-time sleep decreases because of changes in sleep architecture that impair sleep maintenance as well as sleep quality. Both NREM (particularly stages 3 and 4) and REM sleep are reduced. However, stage 1 NREM sleep, which is the lightest sleep, increases with age.
As used herein, the term "delta power" means a measure of the duration of EEG activity in the 0.5 to 3.5 Hz range during NREM sleep and is thought to be a measure of deeper, more refreshing sleep. Delta power is hypothesized to be a measure of a theoretical process called Process S and is thought to be inversely related to the amount of sleep an individual experiences during a given sleep period. Sleep is controlled by homeostatic mechanisms; therefore, the less one sleeps the greater the drive to sleep. It is believed that Process S builds throughout the wake period and is discharged most efficiently during delta power sleep. Delta power is a measure of the magnitude of Process S prior to the sleep period. The longer one stays awake, the greater Process S or drive to sleep and thus the greater the delta power during NREM sleep. However, individuals with sleep disorders have difficulty achieving and maintaining delta wave sleep, and thus have a large build-up of Process S with limited ability to discharge this buildup during sleep. 5-HT2A agonists tested preclinically and clinically mimic the effect of sleep deprivation on delta power, suggesting that subjects with sleep disorders treated with a 5-HT2A inverse agonist or antagonist will be able to achieve deeper more refreshing sleep. These same effects have not been observed with currently marketed pharmacotherapies. In addition, currently marketed pharmacotherapies for sleep have side effects such as hangover effects or addiction that are associated with the GABA receptor. 5-HTZA inverse agonists do not target the GABA receptor and so these side effects are not a concern. Subjective and objective determinations of sleep disorders:
There are a number of ways to determine whether the onset, duration or quality of sleep (e.g. non-restorative or restorative sleep) is impaired or improved. One method is a subjective determination of the patient, e.g., do they feel drowsy or rested upon waking. Other methods involve the observation of the patient by another during sleep, e.g., how long it takes the patient to fall asleep, how many times does the patient wake up during the night, how restless is the patient during sleep, etc. Another method is to objectively measure the stages of sleep using polysomnography. Polysomnography is the monitoring of multiple electrophysiological parameters during sleep and generally includes measurement of EEG activity, electroculographic activity and electromyographic activity, as well as other measurements. These results, along with observations, can measure not only sleep latency (the amount of time required to fall asleep), but also sleep continuity (overall balance of sleep and wakefulness) and sleep consolidation (percent of sleeping time spent in delta-wave or restorative sleep) which may be an indication of the quality of sleep.
There are five distinct sleep stages, which can be measured by polysomnography: rapid eye movement (REM) sleep and four stages of non-rapid eye movement (NREM) sleep (stages 1, 2, 3 and 4). Stage 1 NRJEM sleep is a transition from wakefulness to sleep and occupies about 5% of time spent asleep in healthy adults. Stage 2 NREM sleep, which is characterized by specific EEG waveforms (sleep spindles and K complexes), occupies about 50% of time spent asleep. Stages 3 and 4 NREM sleep (also known collectively as slow-wave sleep and delta-wave sleep) are the deepest levels of sleep and occupy about 10-20% of sleep time. REM sleep, during which the majority of vivid dreams occur, occupies about 20-25% of total sleep.
These sleep stages have a characteristic temporal organization across the night. NREM stages 3 and 4 tend to occur in the first one-third to one-half of the night and increase in duration in response to sleep deprivation. REM sleep occurs cyclically through the night. Alternating with NREM sleep about every 80-100 minutes. REM sleep periods increase in duration toward the morning. Human sleep also varies characteristically across the life span. After relative stability with large amounts of slow-wave sleep in childhood and early adolescence, sleep continuity and depth deteriorate across the adult age range. This deterioration is reflected by increased wakefulness and stage 1 sleep and decreased stages 3 and 4 sleep. In addition, the compounds of the invention can be useful for the treatment of the sleep disorders characterized by excessive daytime sleepiness such as narcolepsy. Inverse agonists at the serotonin 5-HT2A receptor improve the quality of sleep at nightime which can decrease excessive daytime sleepiness. Accordingly, another aspect of the present invention relates to the therapeutic use of compounds of the present invention for the treatment of Sleep Disorders. Compounds of the present invention are potent inverse agonists at the serotonin 5-HT2A receptor and can be effective in the treatment of Sleep Disorders by promoting one or more of the following: reducing the sleep onset latency period (measure of sleep induction), reducing the number of nighttime awakenings, and prolonging the amount of time in delta-wave sleep (measure of sleep quality enhancement and sleep consolidation) without effecting REM sleep. In addition, compounds of the present invention can be effective either as a monotherapy or in combination with sleep inducing agents, for example but not limited to, antihistamines.
6. Diabetic-Related Pathologies: Although hyperglycemia is the major cause for the pathogenesis of diabetic complications such as diabetic peripheral neuropathy (DPN), diabetic nephropathy (DN) and diabetic retinopathy (DR), increased plasma serotonin concentration in diabetic patients has also been implicated to play a role in disease progression (Pietraszek, M.H., et al. Thrombosis Res. 1992, 66(6), 765-74; and Andrzejewska-Buczko J, et al., Klin Oczna. 1996; 98(2), 101-4). Serotonin is believed to play a role in vasospasm and increased platelet aggregability. Improving microvascular blood flow is able to benefit diabetic complications.
A recent study by Cameron and Cotter in Naunyn Schmiedebergs Arch Pharmacol. 2003 Jun; 367(6):607-14, used a 5-HT2A antagonist experimental drug AT-1015, and other nonspecific 5-HT2A antagonists including ritanserin and sarpogrelate. These studies found that all three drugs were able to produce a marked correction (82.6-99.7%) of a 19.8% sciatic motor conduction deficit in diabetic rats. Similarly, 44.7% and 14.9% reductions in sciatic endoneurial blood flow and saphenous sensory conduction velocity were completely reversed.
In a separate patient study, sarpogrelate was evaluated for the prevention of the development or progression of diabetic nephropathy (Takahashi, T., et al., Diabetes Res CHn Pract. 2002 Nov; 58(2): 123-9). In the trial of 24 months of treatment, sarpogrelate significantly Teduced urinary albumin excretion level.
7. Glaucoma
Topical ocular administration of 5-HT2 receptor antagonists result in a decrease in intra ocular pressure (IOP) in monkeys (Chang et al., J. Ocul Pharmacol 1 :137-147 (1985)) and humans (Mastropasqua et al., Acta Ophthalmol Scand Suppl 224:24-25 (1997)) indicating utility for similar compounds such as 5-HT2A inverse agonists in the treatment of ocular hypertension associated with glaucoma. The 5-HT2 receptor antagonist ketanserin (Mastropasqua supra) and sarpogrelate (Takenaka et al., Investig Ophthalmol Vis Sci 36:S734 (1995)) have been shown to significantly lower IOP in glaucoma patients.
8. Progressive Multifocal Leukoencephalopathy
Progressive multifocal leukoencephalopathy (PML) is a lethal demyelinating disease caused by an opportunistic viral infection of oligodendrocytes in immunocompromised patients.
The causative agent is JC virus, a ubiquitous papovavirus that infects the majority of the population before adulthood and establishes a latent infection in the kidney. In immunocompromised hosts, the virus can reactivate and productively infect oligodendrocytes. This previously rare condition, until 1984 reported primarily in persons with underlying lymphoproliferative disorders, is now more common because it occurs in 4% of patients with AIDS. Patients usually present with relentlessly progressive focal neurologic defects, such as herniparesis or visual field deficits, or with alterations in mental status. On brain MRI, one or more white matter lesions are present; they are hyperintense on T2-weighted images and hypointense on Tl -weighted images. There is no mass effect, and contrast enhancement is rare. Diagnosis can be confirmed by brain biopsy, with demonstration of virus by in situ hybridization or immunocytochemistry. Polymerase chain reaction amplification of JC virus sequences from the CSF can confirm diagnosis without the need for biopsy [see, e.g., Antinori et al., Neurology (1997) 48:687-694; Berger and Major, Seminars in Neurology (1999) 19:193-200; α«rf Portegies, et al., £wr. /. Neurol. (2004) 11:297-304]. Currently, there is no effective therapy. Survival after diagnosis is about 3 to 5 months in AIDS patients.
JC virus enters cells by receptor-mediated clathrin-dependent endocytosis. Binding of JC virus to human glial cells (e.g., oligodendrocytes) induces an intracellular signal that is critical for entry and infection by a ligand-inducible clathrin-dependent mechanism [Querbes et al., J Virology (2004) 78:250-256]. Recently, 5-HT2A was shown to be the receptor on human glial cells mediating infectious entry of JC virus by clathrin-dependent endocytosis [Elphick et al., Science (2004) 306:1380-1383]. 5-HT2A antagonists, including ketanserin and ritanserin, inhibited JC virus infection of human glial cells. Ketanserin and ritanserin have inverse agonist activity at 5- HT2A.
5-HT2A antagonists including inverse agonists have been contemplated to be useful in the treatment of PML [Elphick et al., Science (2004) 306:1380-1383]. Prophylactic treatment of HIV-infected patients with 5-HT2A antagonists is envisioned to prevent the spread of JC virus to the central nervous system and the development of PML. Aggressive therapeutic treatment of patients with PML is envisioned to reduce viral spread within the central nervous system and prevent additional episodes of demyelination. In some embodiments, methods are provided for treating progressive multifocal leukoencephalopathy in a patient in need of such treatment, comprising administering to the patient a composition comprising a 5-HT2A inverse agonist disclosed herein. 9. Hypertension
Serotonin has been observed to play an important role in the regulation of vascular tone, vasoconstriction, and pulmonary hypertension (see, Deuchar, G. et al. PuIm. Pharmacol. Ther. 18(1):23-31. 2005; and Marcos, E. et al. Circ. Res. 94(9):1263-70 2004). Ketanserin, a 5-HT2A inverse agonist, have been demonstrated to protect against circulatory shocks, intracranial hypertension, and cerebral ischemia during heatstroke (see, Chang, C. et al. Shock 24(4): 336- 340 2005); and to stabilize blood pressure in spontaneously hypertensive rats (see, Miao, C. Clin. Exp. Pharmacol. Physiol. 30(3): 189-193). Mainserin, a 5-HT2A inverse agonist, has been shown to prevent DOCA-salt induced hypertension in rats (see, Silva, A. Eur, J. Pharmacol. 518(2-3): 152-7 2005).
10. Pain
5-HT2A inverse agonists are also effective for the treatment of pain. Sarpogrelate has been observed to provide a significant analgesic effect both on thermal induced pain in rats after intraperitoneal administration and on inflammatory pain in rats after either intrathecal or intraperitoneal administration (see, Nishiyama, T. Eur. J. Pharmacol. 516:18-22 2005). This same 5-HT2A inverse agonist in humans has been shown to be an effective treatment for lower back pain, leg pain and numbness associated with sciatica brought on by lumbar disc herniation (see, Kanayama, M. et al. J. Neurosurg: Spine 2:441-4462005).
Representative Methods of the Invention:
One aspect of the present invention pertains to methods for modulating the activity of a 5-HTJA serotonin receptor by contacting the receptor with a compound according to any of the embodiments described herein or a pharmaceutical composition.
One aspect of the present invention pertains to methods for the treatment of platelet aggregation in an individual comprising administering to the individual in need thereof a therapeutically effective amount of a compound according to any of the embodiments described herein or a pharmaceutical composition.
One aspect of the present invention pertains to methods for the treatment of an indication selected from the group consisting of coronary artery disease, myocardial infarction, transient ischemic attack, angina, stroke, and atrial fibrillation in an individual comprising administering to the individual in need thereof a therapeutically effective amount of a compound according to any of the embodiments described herein or a pharmaceutical composition. One aspect of the present invention pertains to methods for reducing blood clot formation in an angioplasty or coronary bypass surgery individual comprising administering to the individual in need thereof a therapeutically effective amount of a compound according to any of the embodiments described herein or a pharmaceutical composition. One aspect of the present invention pertains to methods for reducing blood clot formation in an individual suffering from atrial fibrillation, comprising administering to the individual in need thereof a therapeutically effective amount of a compound according to any of the embodiments described herein or a pharmaceutical composition. One aspect of the present invention pertains to methods for the treatment of asthma in an individual comprising administering to the individual in need thereof a therapeutically effective amount of a compound according to any of the embodiments described herein or a pharmaceutical composition.
One aspect of the present invention pertains to methods for the treatment of a symptom of asthma in an individual comprising administering to the individual in need thereof a therapeutically effective amount of a compound according to any of the embodiments described herein or a pharmaceutical composition.
One aspect of the present invention pertains to methods for the treatment of agitation or a symptom thereof in an individual comprising administering to the individual in need thereof a therapeutically effective amount of a compound according to any of the embodiments described herein or a pharmaceutical composition. In some embodiments, the individual is a cognitively intact elderly individual.
One aspect of the present invention pertains to methods for the treatment of agitation or a symptom thereof in an individual suffering from dementia comprising administering to the individual in need thereof a therapeutically effective amount of a compound according to any of the embodiments described herein or a pharmaceutical composition. In some embodiments, the dementia is due to a degenerative disease of the nervous system. In some embodiments, the dementia is Alzheimers disease, Lewy body, Parkinson's disease or Huntington's disease. In some embodiments, the dementia is due to diseases that affect blood vessels. In some embodiments, the dementia is due to stroke or multi-infarct dementia.
One aspect of the present invention pertains to methods for the treatment of an individual suffering from at least one of the indications selected from the group consisting of behavioral disorder, drug induced psychosis, excitative psychosis, Gilles de Ia Tourette's syndrome, manic disorder, organic or NOS psychosis, psychotic disorder, psychosis, acute schizophrenia, chronic schizophrenia and NOS schizophrenia comprising administering to the individual in need thereof a therapeutically effective amount of a dopamine D2 receptor antagonist and a compound according to any of the embodiments described herein or a pharmaceutical composition. In some embodiments, the dopamine D2 receptor antagonist is haloperidol. One aspect of the present invention pertains to methods for the treatment of an individual with infantile autism, Huntington's chorea, or nausea and vomiting from chemotherapy or chemotherapeutic antibodies comprising administering to the individual in need thereof a therapeutically effective amount of a dopamine D2 receptor antagonist and a compound according to any of the embodiments described herein or a pharmaceutical composition. In some embodiments, the dopamine D2 receptor antagonist is haloperidol.
One aspect of the present invention pertains to methods for the treatment of schizophrenia in an individual comprising administering to the individual in need thereof a therapeutically effective amount of a dopamine D2 receptor antagonist and a compound according to any of the embodiments described herein or a pharmaceutical composition. In some embodiments, the dopamine D2 receptor antagonist is haloperidol.
One aspect of the present invention pertains to methods for the treatment of alleviating negative symptoms of schizophrenia induced by the administration of haloperidol to an individual suffering from the schizophrenia, comprising administering to the individual in need thereof a therapeutically effective amount of a compound according to any of the embodiments described herein or a pharmaceutical composition. In some embodiments, the haloperidol and the compound or pharmaceutical composition are administered in separate dosage forms. In some embodiments, the haloperidol and the compound or pharmaceutical composition are administered in a single dosage form.
One aspect of the present invention pertains to methods for the treatment of a sleep disorder in an individual comprising administering to the individual in need thereof a therapeutically effective amount of a compound according to any of the embodiments described herein or a pharmaceutical composition.
In some embodiments, the sleep disorder is a dyssomnia. In some embodiments, the dyssomnia is selected from the group consisting of psychophysiological insomnia, sleep state misperception, idiopathic insomnia, obstructive sleep apnea syndrome, central sleep apnea syndrome, central alveolar hypoventilation syndrome, periodic limb movement disorder, restless leg syndrome, inadequate sleep hygiene, environmental sleep disorder, altitude insomnia, adjustment sleep disorder, insufficient sleep syndrome, limit-setting sleep disorder, sleep-onset association disorder, nocturnal eating or drinking syndrome, hypnotic dependent sleep disorder, stimulant-dependent sleep disorder, alcohol-dependent sleep disorder, toxin-induced sleep disorder, time zone change (jet lag) syndrome, shift work sleep disorder, irregular sleep-wake pattern, delayed sleep phase syndrome, advanced sleep phase syndrome, and non-24-hour sleep- wake disorder.
In some embodiments, the sleep disorder is a parasomnia. In some embodiments, the parasomnia is selected from the group consisting of confusional arousals, sleepwalking and sleep terrors, rhythmic movement disorder, sleep starts, sleep talking and nocturnal leg cramps. In some embodiments, the sleep disorder is characterized by excessive daytime sleepiness such as narcolepsy. In some embodiments, the sleep disorder is associated with a medical or psychiatric disorder. Li some embodiments, the medical or psychiatric disorder is selected from the group consisting of psychoses, mood disorders, anxiety disorders, panic disorders, alcoholism, cerebral degenerative disorders, dementia, parkinsonism, fatal familial insomnia, sleep-related epilepsy, electrical status epilepticus of sleep, sleep-related headaches, sleeping sickness, nocturnal cardiac ischemia, chronic obstructive pulmonary disease, sleep-related asthma, sleep-related gastroesophageal reflux, peptic ulcer disease, fibrositis syndrome, osteoarthritis, rheumatoid arthritis, fibromyalgia and post-surgical sleep disorder.
One aspect of the present invention pertains to methods for the treatment of a diabetic- related disorder in an individual comprising administering to the individual in need thereof a therapeutically effective amount of a compound according to any of the embodiments described herein or a pharmaceutical composition.
In some embodiments, the diabetic-related disorder is diabetic peripheral neuropathy.
In some embodiments, the diabetic-related disorder is diabetic nephropathy. In some embodiments, the diabetic-related disorder is diabetic retinopathy.
One aspect of the present invention pertains to methods for the treatment of glaucoma or other diseases of the eye with abnormal intraocular pressure.
One aspect of the present invention pertains to methods for the treatment of progressive multifocal leukoencephalopathy in an individual comprising administering to the individual in need thereof a therapeutically effective amount of a compound according to any of the embodiments described herein or a pharmaceutical composition.
In some embodiments, the individual in need thereof has a lymphoproliferative disorder. In some embodiments, the lymphoproliferative disorder is leukemia or lymphoma. In some embodiments, the leukemia or lymphoma is chronic lymphocytic leukemia, Hodgkin's disease, or the like.
In some embodiments, the individual in need thereof has a myeloproliferative disorder.
In some embodiments, the individual in need thereof has carcinomatosis.
In some embodiments, the individual in need thereof has a granulomatous or inflammatory disease. In some embodiments, the granulomatous or inflammatory disease is tuberculosis or sarcoidosis.
In some embodiments, the individual in need thereof is immunocompromised. In some embodiments, the immunocompromised individual has impaired cellular immunity. In some embodiments, the impaired cellular immunity comprises impaired T-cell immunity.
In some embodiments, the individual in need thereof is infected with HIV. In some embodiments, the HIV-infected individual has a CD4+ cell count of < 200/mm3. In some embodiments, the HIV-infected individual has AIDS. In some embodiments, the HIV-infected individual has ADDS-related complex (ARC). In certain embodiments, ARC is defined as the presence of two successive CD4+ cell counts below 200/mm3 and at least two of the following signs or symptoms: oral hairy leukoplakia, recurrent oral candidiasis, weight loss of at least 2.5 kg or 10% of body weight within last six months, multidermatomal herpes zoster, temperature above 38.5°C for more than 14 consecutive days or more than 15 days in a 30-day period, or diarrhea with more than three liquid stools per day for at least 30 days [see, e.g., Yamada et al., Clin. Diagn. Virol. (1993) 1:245-256].
In some embodiments, the individual in need thereof is undergoing immunosuppressive therapy. In some embodiments, the immunosuppressive therapy comprises administering an immunosuppressive agent [see, e.g., Mueller, Ann Thorac Surg (2004) 77:354-362; and Krieger and Emre, Pediatr Transplantation (2004) 8:594-599]. In some embodiments, the immunosuppressive therapy comprises administering an immunosuppressive agent selected from the group consisting of: corticosteroids (for example, prednisone and the like), calcineurin inhibitors (for example, cyclosporine, tacrolimus, and the like), antiproliferative agents (for example, azathioprine, mycophenolate mofetil, sirolimus, everolimus, and the like), T-cell depleting agents (for example, OKT®3 monoclonal antibody (mAb), anti-CD3 immunotoxin
FN18-CRM9, Campath-1H (anti-CD52) mAb, anti-CD4 mAb, anti-T cell receptor mAb, and the like), anti-IL-2 receptor (CD25) mAb (for example, basiliximab, daclizumab, and the like), inhibitors of co-stimulation (for example, CTLA4-Ig, anti-CD 154 (CD40 ligand) mAb, and the like), deoxyspergualin and analogs thereof (for example, 15-DSG, LF-08-0299, LF14-0195, and the like), leflunomide and analogs thereof (for example, leflunomide, FK778, FK779, and the like), FTY720, anti-alpha-4-integrin monoclonal antibody, and anti-CD45 RB monoclonal antibody. In some embodiments, the immunosuppressive agent and said compound or pharmaceutical composition are administered in separate doseage forms. In some embodiments, the immunosuppressive agent and said compound or pharmaceutical composition are administered in a single doseage form.
In some embodiments, the individual in need thereof is undergoing immunosuppressive therapy after organ transplantation. In some embodiments, the organ is liver, kidney, lung, heart, or the like [see, e.g., Singh et al., Transplantation (2000) 69:467-472].
In some embodiments, the individual in need thereof is undergoing treatment for a rheumatic disease. In some embodiments, the rheumatic disease is systemic lupus erythematosus or the like.
In some embodiments, the compound or the pharmaceutical composition inhibits JC virus infection of human glial cells.
One aspect of the present invention encompasses processes for preparing a composition comprising admixing a compound according any embodiments described herein and a pharmaceutically acceptable carrier. One aspect of the present invention is the use of a compound for the production of a medicament for use in the treatment of a 5-HT2A associated disorder.
One embodiment of the present invention is the use of a compound for the production of a medicament for use in the treatment of a 5-HT2A associated disorder wherein the disorder is platelet aggregation.
One embodiment of the present invention is the use of a compound for the production of a medicament for use in the treatment of a 5-HT2A associated disorder wherein the disorder is selected from the group consisting of coronary artery disease, myocardial infarction, transient ischemic attack, angina, stroke, and atrial fibrillation. One embodiment of the present invention is the use of a compound for the production of a medicament for use in the treatment of a 5-HT2A associated disorder wherein the disorder is a blood clot formation in an angioplasty or coronary bypass surgery individual.
One embodiment of the present invention is the use of a compound for the production of a medicament for use in the treatment of a 5-HT2A associated disorder wherein the disorder is a blood clot formation in an individual suffering from atrial fibrillation.
One embodiment of the present invention is the use of a compound for the production of a medicament for use in the treatment of a 5-HT2A associated disorder wherein the disorder is asthma.
One embodiment of the present invention is the use of a compound for the production of a medicament for use in the treatment of a 5-HT2A associated disorder wherein the disorder is a symptom of asthma.
One embodiment of the present invention is the use of a compound for the production of a medicament for use in the treatment of a 5-HT2A associated disorder wherein the disorder is agitation or a symptom thereof in an individual. In some embodiments the individual is a cognitively intact elderly individual.
One embodiment of the present invention is the use of a compound for the production of a medicament for use in the treatment of a 5-HT2A associated disorder wherein the disorder is agitation or a symptom thereof in an individual suffering from dementia. In some embodiments the dementia is due to a degenerative disease of the nervous system. In some embodiment the dementia is Alzheimers disease, Lewy body, Parkinson's disease, or Huntington's disease. In some embodiments the dementia is due to diseases that affect blood vessels. In some embodiments the dementia is due to stroke or multi-infract dementia.
One embodiment of the present invention is the use of a compound for the production of a medicament for use in the treatment of a 5-HT2A associated disorder further comprising a dopamine D2 receptor antagonist wherein the disorder is selected from the group consisting of a behavioral disorder, drug induced psychosis, excitative psychosis, Gilles de Ia Tourette's syndrome, manic disorder, organic or NOS psychosis, psychotic disorder, psychosis, acute schizophrenia, chronic schizophrenia and NOS schizophrenia. In some embodiments the dopamine D2 receptor antagonist is haloperidol.
One embodiment of the present invention is the use of a compound for the production of a medicament for use in the treatment of a 5-HT2A associated disorder further comprising a dopamine D2 receptor antagonist wherein the disorder is infantile autism, Huntington's chorea, or nausea and vomiting from chemotherapy or chemotherapeutic antibodies. In some embodiments the dopamine D2 receptor antagonist is haloperidol.
One embodiment of the present invention is the use of a compound for the production of a medicament for use in the treatment of a 5-HT2A associated disorder further comprising a dopamine D2 receptor antagonist wherein the disorder is schizophrenia. In some embodiments the dopamine D2 receptor antagonist is haloperidol.
One embodiment of the present invention is the use of a compound for the production of a medicament for use in the treatment of a 5-HT2A associated disorder wherein the disorder is a negative symptom or symptoms of schizophrenia induced by the administration of haloperidol. One embodiment of the present invention is the use of a compound for the production of a medicament for use in the treatment of a 5-HT2A associated disorder wherein the haloperidol and the compound or pharmaceutical composition are administered in separate dosage forms.
One embodiment of the present invention is the use of a compound for the production of a medicament for use in the treatment of a 5-HT2A associated disorder wherein the haloperidol and the compound or pharmaceutical composition are administered in a single dosage form.
One embodiment of the present invention is the use of a compound for the production of a medicament for use in the treatment of a 5-HT2A associated disorder wherein the disorder is progressive multifocal leukoencephalopathy.
One aspect of the present invention are compounds according to any of the embodiments described herein for use in a method of treatment of the human or animal body by therapy.
One aspect of the present invention are compounds according to any of the embodiments described herein for use in a method for the treatment of a 5-HT2A associated disorder, as described herein, in the human or animal body by therapy. One aspect of the present invention are compounds according to any of the embodiments described herein for use in a method for the treatment of a sleep disorder, as .described herein, in the human or animal body by therapy.
One aspect of the present invention are compounds according to any of the embodiments described herein for use in a method for the treatment of platelet aggregation in the human or animal body by therapy. One aspect of the present invention are compounds according to any of the embodiments described herein for use in a method for the treatment of progressive multifocal leukoencephalopathy in the human or animal body by therapy.
PHARMACEUTICAL COMPOSITIONS
A further aspect of the present invention pertains to pharmaceutical compositions comprising one or more compounds as described herein and one or more pharmaceutically acceptable carriers. Some embodiments pertain to pharmaceutical compositions comprising a compound of the present invention and a pharmaceutically acceptable carrier. Some embodiments of the present invention include a method of producing a pharmaceutical composition comprising admixing at least one compound according to any of the compound embodiments disclosed herein and a pharmaceutically acceptable carrier.
Formulations may be prepared by any suitable method, typically by uniformly mixing the active compound(s) with liquids or finely divided solid carriers, or both, in the required proportions, and then, if necessary, forming the resulting mixture into a desired shape.
Conventional excipients, such as binding agents, fillers, acceptable wetting agents, tabletting lubricants, and disintegrants may be used in tablets and capsules for oral administration. Liquid preparations for oral administration may be in the form of solutions, emulsions, aqueous or oily suspensions, and syrups. Alternatively, the oral preparations may be in the form of dry powder that can be reconstituted with water or another suitable liquid vehicle before use. Additional additives such as suspending or emulsifying agents, non-aqueous vehicles (including edible oils), preservatives, and flavorings and colorants may be added to the liquid preparations. Parenteral dosage forms may be prepared by dissolving the compound of the invention in a suitable liquid vehicle and filter sterilizing the solution before filling and sealing an appropriate vial or ampoule. These are just a few examples of the many appropriate methods well known in the art for preparing dosage forms.
A compound of the present invention can be formulated into pharmaceutical compositions using techniques well known to those in the art. Suitable pharmaceutically- acceptable carriers, outside those mentioned herein, are known in the art; for example, see Remington, The Science and Practice of Pharmacy, 20th Edition, 2000, Lippincott Williams & Wilkins, (Editors: Gennaro, A. R., et al.).
While it is possible that, for use in the treatment, a compound of the invention may, in an alternative use, be administered as a raw or pure chemical, it is preferable however to present the compound or active ingredient as a pharmaceutical formulation or composition further comprising a pharmaceutically acceptable carrier.
The invention thus further provides pharmaceutical formulations comprising a compound of the invention or a pharmaceutically acceptable salt or derivative thereof together with one or more pharmaceutically acceptable carriers thereof and/or prophylactic ingredients. The carrier(s) must be "acceptable" in the sense of being compatible with the other ingredients of the formulation and not overly deleterious to the recipient thereof.
Pharmaceutical formulations include those suitable for oral, rectal, nasal, topical (including buccal and sub-lingual), vaginal or parenteral (including intramuscular, subcutaneous and intravenous) administration or in a form suitable for administration by inhalation, insufflation or by a transdermal patch. Transdermal patches dispense a drug at a controlled rate by presenting the drug for absorption in an efficient manner with a minimum of degradation of the drug. Typically, transdermal patches comprise an impermeable backing layer, a single pressure sensitive adhesive and a removable protective layer with a release liner. One of ordinary skill in the art will understand and appreciate the techniques appropriate for manufacturing a desired efficacious transdermal patch based upon the needs of the artisan. The compounds of the invention, together with a conventional adjuvant, carrier, or diluent, may thus be placed into the form of pharmaceutical formulations and unit dosages thereof, and in such form may be employed as solids, such as tablets or filled capsules, or liquids such as solutions, suspensions, emulsions, elixirs, gels or capsules filled with the same, all for oral use, in the form of suppositories for rectal administration; or in the form of sterile injectable solutions for parenteral (including subcutaneous) use. Such pharmaceutical compositions and unit dosage forms thereof may comprise conventional ingredients in conventional proportions, with or without additional active compounds or principles, and such unit dosage forms may contain any suitable effective amount of the active ingredient commensurate with the intended daily dosage range to be employed.
For oral administration, the pharmaceutical composition may be in the form of, for example, a tablet, capsule, suspension or liquid. The pharmaceutical composition is preferably made in the form of a dosage unit containing a particular amount of the active ingredient.
Examples of such dosage units are capsules, tablets, powders, granules or a suspension, with conventional additives such as lactose, mannitol, corn starch or potato starch; with binders such as crystalline cellulose, cellulose derivatives, acacia, corn starch or gelatins; with disintegrators such as com starch, potato starch or sodium carboxymethyl-cellulose; and with lubricants such as talc or magnesium stearate. The active ingredient may also be administered by injection as a composition wherein, for example, saline, dextrose or water may be used as a suitable pharmaceutically acceptable carrier.
Compounds of the present invention or a solvate or physiologically functional derivative thereof can be used as active ingredients in pharmaceutical compositions, specifically as 5-HT2 A receptor modulators. By the term "active ingredient" is defined in the context of a
"pharmaceutical composition" and shall mean a component of a pharmaceutical composition that provides the primary pharmacological effect, as opposed to an "inactive ingredient" which would generally be recognized as providing no pharmaceutical benefit.
The dose when using the compounds of the present invention can vary within wide limits, as is customary and is known to the physician, it is to be tailored to the individual conditions in each individual case. It depends, for example, on the nature and severity of the illness to be treated, on the condition of the patient, on the compound employed or on whether an acute or chronic disease state is treated or prophylaxis is conducted or on whether further active compounds are administered in addition to the compounds of the present invention. Representative doses of the present invention include, but are not limited to, about 0.001 mg to about 5000 mg, about 0.001 mg to about 2500 mg, about 0.001 mg to about 1000 mg, 0.001 mg to about 500 mg, 0.001 mg to about 250 mg, about 0.001 mg to 100 mg, about 0.001 mg to about 50 mg, and about 0.001 mg to about 25 mg. Multiple doses may be administered during the day, especially when relatively large amounts are deemed to be needed, for example 2, 3 or 4, doses. Depending on the individual and as deemed appropriate from the patient's physician or care-giver it may be necessary to deviate upward or downward from the doses described herein.
The amount of active ingredient, or an active salt or derivative thereof, required for use in treatment will vary not only with the particular salt selected but also with the route of administration, the nature of the condition being treated and the age and condition of the patient and will ultimately be at the discretion of the attendant physician or clinician. In general, one skilled in the art understands how to extrapolate in vivo data obtained in a model system, typically an animal model, to another, such as a human. In some circumstances, these extrapolations may merely be based on the weight of the animal model in comparison to another, such as a mammal, preferably a human, however, more often, these extrapolations are not simply based on weights, but rather incorporate a variety of factors. Representative factors include the type, age, weight, sex, diet and medical condition of the patient, the severity of the disease, the route of administration, pharmacological considerations such as the activity, efficacy, pharmacokinetic and toxicology profiles of the particular compound employed, whether a drug delivery system is utilized, or whether an acute or chronic disease state is being treated or prophylaxis is conducted or on whether further active compounds are administered in addition to the compounds of the present invention and as part of a drug combination. The dosage regimen for treating a disease condition with the compounds and/or compositions of this invention is selected in accordance with a variety factors as cited above. Thus, the actual dosage regimen employed may vary widely and therefore may deviate from a preferred dosage regimen and one skilled in the art will recognize that dosage and dosage regimen outside these typical ranges can be tested and, where appropriate, may be used in the methods of this invention. The desired dose may conveniently be presented in a single dose or as divided doses administered at appropriate intervals, for example, as two, three, four or more sub-doses per day.
The sub-dose itself may be further divided, e.g., into a number of discrete loosely spaced administrations. The daily dose can be divided, especially when relatively large amounts are administered as deemed appropriate, into several, for example 2, 3 or 4, part administrations. If appropriate, depending on individual behavior, it may be necessary to deviate upward or downward from the daily dose indicated.
The compounds of the present invention can be administrated in a wide variety of oral and parenteral dosage forms. It will be obvious to those skilled in the art that the following dosage forms may comprise, as the active component, either a compound of the invention or a pharmaceutically acceptable salt of a compound of the invention.
For preparing pharmaceutical compositions from the compounds of the present invention, the selection of a suitable pharmaceutically acceptable carrier can be either solid, liquid or a mixture of both. Solid form preparations include powders, tablets, pills, capsules, cachets, suppositories, and dispersible granules. A solid carrier can be one or more substances which may also act as diluents, flavouring agents, solubilizers, lubricants, suspending agents, binders, preservatives, tablet disintegrating agents, or an encapsulating material.
In powders, the carrier is a finely divided solid which is in a mixture with the finely divided active component. In tablets, the active component is mixed with the carrier having the necessary binding capacity in suitable proportions and compacted to the desire shape and size.
The powders and tablets may contain varying percentage amounts of the active compound. A representative amount in a powder or tablet may contain from 0.5 to about 90 percent of the active compound; however, an artisan would know when amounts outside of this range are necessary. Suitable carriers for powders and tablets are magnesium carbonate, magnesium stearate, talc, sugar, lactose, pectin, dextrin, starch, gelatin, tragacanth, methylcellulose, sodium carboxymethylcellulose, a low melting wax, cocoa butter, and the like.
The term "preparation" is intended to include the formulation of the active compound with encapsulating material as carrier providing a capsule in which the active component, with or without carriers, is surrounded by a carrier, which is thus in association with it. Similarly, cachets and lozenges are included. Tablets, powders, capsules, pills, cachets, and lozenges can be used as solid forms suitable for oral administration.
For preparing suppositories, a low melting wax, such as an admixture of fatty acid glycerides or cocoa butter, is first melted and the active component is dispersed homogeneously therein, as by stirring. The molten homogenous mixture is then poured into convenient sized molds, allowed to cool, and thereby to solidify. Formulations suitable for vaginal administration may be presented as pessaries, tampons, creams, gels, pastes, foams or sprays containing in addition to the active ingredient such carriers as are known in the art to be appropriate.
Liquid form preparations include solutions, suspensions, and emulsions, for example, water or water-propylene glycol solutions. For example, parenteral injection liquid preparations can be formulated as solutions in aqueous polyethylene glycol solution. Injectable preparations, for example, sterile injectable aqueous or oleaginous suspensions maybe formulated according to the known art using suitable dispersing or wetting agents and suspending agents. The sterile ■ injectable preparation may also be a sterile injectable solution or suspension in a nontoxic parenterally acceptable diluent or solvent, for example, as a solution in 1,3-butanediol. Among the acceptable vehicles and solvents that may be employed are water, Ringer's solution, and isotonic sodium chloride solution. In addition, sterile, fixed oils are conventionally employed as a solvent or suspending medium. For this purpose any bland fixed oil may be employed including synthetic mono- or diglycerides. In addition, fatty acids such as oleic acid find use in the preparation of inj ectables .
The compounds according to the present invention may thus be formulated for parenteral administration (e.g. by injection, for example bolus injection or continuous infusion) and may be presented in unit dose form in ampoules, pre-fϊlled syringes, small volume infusion or in multi-dose containers with an added preservative. The pharmaceutical compositions may take such forms as suspensions, solutions, or emulsions in oily or aqueous vehicles, and may contain formulatory agents such as suspending, stabilizing and/or dispersing agents. Alternatively, the active ingredient may be in powder form, obtained by aseptic isolation of sterile solid or by lyophilization from solution, for constitution with a suitable vehicle, e.g. sterile, pyrogen-free water, before use. Aqueous formulations suitable for oral use can be prepared by dissolving or suspending the active component in water and adding suitable colorants, flavours, stabilizing and thickening agents, as desired.
Aqueous suspensions suitable for oral use can be made by dispersing the finely divided active component in water with viscous material, such as natural or synthetic gums, resins, methylcellulose, sodium carboxymethylcellulose, or other well known suspending agents.
Also included are solid form preparations which are intended to be converted, shortly before use, to liquid form preparations for oral administration. Such liquid forms include solutions, suspensions, and emulsions. These preparations may contain, in addition to the active component, colorants, flavors, stabilizers, buffers, artificial and natural sweeteners, dispersants, thickeners, solubilizing agents, and the like.
For topical administration to the epidermis the compounds according to the invention may be formulated as ointments, creams or lotions, or as a transdermal patch. Ointments and creams may, for example, be formulated with an aqueous or oily base with the addition of suitable thickening and/or gelling agents. Lotions may be formulated with an aqueous or oily base and will in general also contain one or more emulsifying agents, stabilizing agents, dispersing agents, suspending agents, thickening agents, or coloring agents. Formulations suitable for topical administration in the mouth include lozenges comprising active agent in a flavored base, usually sucrose and acacia or tragacanth; pastilles comprising the active ingredient in an inert base such as gelatin and glycerin or sucrose and acacia; and mouthwashes comprising the active ingredient in a suitable liquid carrier.
Solutions or suspensions are applied directly to the nasal cavity by conventional means, for example with a dropper, pipette or spray. The formulations may be provided in single or multi-dose form. In the latter case of a dropper or pipette, this may be achieved by the patient administering an appropriate, predetermined volume of the solution or suspension. In the case of a spray, this may be achieved for example by means of a metering atomizing spray pump. Administration to the respiratory tract may also be achieved by means of an aerosol formulation in which the active ingredient is provided in a pressurized pack with a suitable propellant. If the compounds of the present invention or pharmaceutical compositions comprising them are administered as aerosols, for example as nasal aerosols or by inhalation, this can be carried out, for example, using a spray, a nebulizer, a pump nebulizer, an inhalation apparatus, a metered inhaler or a dry powder inhaler. Pharmaceutical forms for administration of the compounds of the present invention as an aerosol can be prepared by processes well- known to the person skilled in the art. For their preparation, for example, solutions or dispersions of the compounds of the present invention in water, water/alcohol mixtures or suitable saline solutions can be employed using customary additives, for example benzyl alcohol or other suitable preservatives, absorption enhancers for increasing the bioavailability, solubilizers, dispersants and others, and, if appropriate, customary propellants, for example include carbon dioxide, CFCs, such as, dichlorodifluoromethane, trichlorofluoromethane, or dichlorotetrafluoroethane; and the like. The aerosol may conveniently also contain a surfactant such as lecithin. The dose of drug may be controlled by provision of a metered valve.
In formulations intended for administration to the respiratory tract, including intranasal formulations, the compound will generally have a small particle size for example of the order of 10 microns or less. Such a particle size may be obtained by means known in the art, for example by micronization. When desired, formulations adapted to give sustained release of the active ingredient may be employed.
Alternatively the active ingredients may be provided in the form of a dry powder, for example, a powder mix of the compound in a suitable powder base such as lactose, starch, starch derivatives such as hydroxypropylmethyl cellulose and polyvinylpyrrolidone (PVP). Conveniently the powder carrier will form a gel in the nasal cavity. The powder composition may be presented in unit dose form for example in capsules or cartridges of, e.g., gelatin, or blister packs from which the powder may be administered by means of an inhaler.
The pharmaceutical preparations are preferably in unit dosage forms. In such form, the preparation is subdivided into unit doses containing appropriate quantities of the active component. The unit dosage form can be a packaged preparation, the package containing discrete quantities of preparation, such as packeted tablets, capsules, and powders in vials or ampoules. Also, the unit dosage form can be a capsule, tablet, cachet, or lozenge itself, or it can be the appropriate number of any of these in packaged form.
Tablets or capsules for oral administration and liquids for intravenous administration are preferred compositions.
The compounds according to the invention may optionally exist as pharmaceutically acceptable salts including pharmaceutically acceptable acid addition salts prepared from pharmaceutically acceptable non-toxic acids including inorganic and organic acids. Representative acids include, but are not limited to, acetic, benzenesulfonic, benzoic, camphoTsulfonic, citric, ethenesulfonic, dichloroacetic, formic, fumaric, gluconic, glutamic, hippuric, hydrobromic, hydrochloric, isethionic, lactic, maleic, malic, mandelic, methanesulfonic, mucic, nitric, oxalic, pamoic, pantothenic, phosphoric, succinic, sulfiric, tartaric, oxalic, p-toluenesulfonic and the like, such as those pharmaceutically acceptable salts listed in Journal of Pharmaceutical Science, 66, 2 (1977); incorporated herein by reference in its entirety.
The acid addition salts may be obtained as the direct products of compound synthesis. In the alternative, the free base may be dissolved in a suitable solvent containing the appropriate acid, and the salt isolated by evaporating the solvent or otherwise separating the salt and solvent. The compounds of this invention may form solvates with standard low molecular weight solvents using methods known to the skilled artisan.
Compounds of the present invention can be converted to "pro-drugs." The term "prodrugs" refers to compounds that have been modified with specific chemical groups known in the art and when administered into an individual these groups undergo biotransformation to give the parent compound. Pro-drugs can thus be viewed as compounds of the invention containing one or more specialized non-toxic protective groups used in a transient manner to alter or to eliminate a property of the compound. In one general aspect, the "pro-drug" approach is utilized to facilitate oral absorption. A thorough discussion is provided in T. Higuchi and V. Stella, "Pro-drugs as Novel Delivery Systems," Vol. 14 of the A.C.S. Symposium Series; and in Bioreversible Carriers in Drug Design, ed. Edward B. Roche, American Pharmaceutical Association and Pergamon Press, 1987, both of which are hereby incorporated by reference in their entirety. Some embodiments of the present invention include a method of producing a pharmaceutical composition for "combination-therapy" comprising admixing at least one compound according to any of the compound embodiments disclosed herein, together with at least one known pharmaceutical agent as described herein and a pharmaceutically acceptable carrier.
It is noted that when the 5-HT2A receptor modulators are utilized as active ingredients in a pharmaceutical composition, these are not intended for use only in humans, but in other non- human mammals as well. Indeed, recent advances in the area of animal health-care mandate that consideration be given for the use of active agents, such as 5-HT2A receptor modulators, for the treatment of a 5-HT2A mediated disease or disorder in domestic animals {e.g., cats and dogs) and in other domestic animals (e.g., such as cows, chickens, fish, etc.). Those of ordinary skill in the art are readily credited with understanding the utility of such compounds in such settings.
COMBINATION THERAPY: While the compounds of the present invention can be administered as the sole active pharmaceutical agent (i.e., mono-therapy), they can also be used in combination with other pharmaceutical agents (i.e., combination-therapy) for the treatment of the diseases/conditions/disorders described herein. Accordingly, another aspect of the present invention includes methods of treatment of 5-HT2A serotonin receptor associated disorders diseases comprising administering to an individual in need of such treatment a therapeutically- effective amount of a compound of the present invention in combination with one or more additional pharmaceutical agent as described herein.
Suitable pharmaceutical agents that can be used in combination with the compounds of the present invention include other antiplatelet, antithrombotic or anticoagulant drugs, anti- arrhythmic agents, Cholesteryl ester transfer protein (CETP) inhibitors, Niacin or niacin analogs, Adenosine or adenosine analogs, Nitroglycerin or nitrates, prothrombolytic agents, and the like. Other pharmaceutical agents, including the agents set forth infra, are well known or will be readily apparent in light of the instant disclosure, to one of ordinary skill in the art. The compounds of the present invention can also be used in combination with other antiplatelet, antithrombotic or anticoagulant drugs such as thrombin inhibitors, platelet aggregation inhibitors such as aspirin, clopidogrel (Plavix®), ticlopidine or CS-747 {i.e., acetic acid 5-[2-cyclopropyl-l-(2-fluorophenyl)-2-oxoethyl]-4,5,6,7-tetrahydrothieno[3,2-c]pyridin-2- yl ester and its active metabolite Λ-99224, (Z)-2-[l-[2-cyclopropyl-l(S)-(2-fluorophenyl)-2- oxoethyl]-4(i?)-sulfanylpiperidin-3-ylidene]acetic acid}, abciximab (ReoPro®), eptifibatide (Integrilin®), tirofiban (Aggrastat®), warfarin, low molecular weight heparins (such as LOVENOX), GPϋb/GPIIIa blockers, PAI-I inhibitors such as XR-330 [i.e., (3Z,6Z)-3- Benzylidene-6-(4-methoxybenzylidene)-l-methylpiperazine-2,5-dione] and T-686 [i.e., 3(E)- Ben2ylidene-4(£)-(3,4,5-trimethoxybenzylidene)pyrrolidine-2,5-dione], inhibitors of α-2- antiplasmin such as anti-α-2-antiplasmin antibody and thromboxane receptor antagonists (such as ifetroban), prostacyclin mimetics, phosphodiesterase (PDE) inhibitors, such as dipyridamole (Persantine®) or cilostazol, PDE inhibitors in combination with thromboxane receptor antagonists/thromboxane A synthetase inhibitors (such as picotamide), serotonin-2-receptor antagonists (such as ketanserin), fibrinogen receptor antagonists, hypolipidemic agents, such as HMG-CoA reductase inhibitors, e.g., pravastatin, simvastatin, atorvastatin, fluvastatin, cerivastatin, AZ4522, and itavastatin (Nissan/Kowa); microsomal triglyceride transport protein inhibitors (such as disclosed in U.S. Pat. Nos. 5,739,135, 5,712,279 and 5,760,246), antihypertensive agents such as angiotensin-converting enzyme inhibitors (e.g., captopril, lisinopril or fosinopril); angiotensin-II receptor antagonists (e.g., irbesartan, losartan or valsartan); and/or ACE/NEP inhibitors (e.g., omapatrilat and gemopatrilat); β-blockers (such as propranolol, nadolol and carvedilol), PDE inhibitors in combination with aspirin, ifetroban, picotamide, ketanserin, or clopidogrel (Plavix®) and the like. The compound of the present invention can also be used in combination with antiarrhythmic agents such as for atrial fibrillation, for example, amiodarone or dofetilide. The compound of the present invention can also be used in combination with Cholesteryl ester transfer protein (CETP) inhibitors for dislipidemia and atherosclerosis, Niacin or niacin analogs for dislipidemia and atherosclerosis, Adenosine or adenosine analogs for vasodilation, Nitroglycerin or nitrates for vasodilation.
The compounds of the present invention can be used in combination with prothrombolytic agents, such as tissue plasminogen activator (natural or recombinant), streptokinase, reteplase, activase, lanoteplase, urokinase, prourσkmase, anisolated streptokinase plasminogen activator complex (ASPAC), animal salivary gland plasminogen activators, and the like. The compounds of the present invention may also be used in combination with β- adrenergic agonists such as albuterol, terbutaline, formoterol, salmeterol, bitolterol, pilbuterol, or fenoterol; anticholinergics such as ipratropium bromide; anti-inflammatory cortiocosteroids such as beclomethasone, triamcinolone, budesonide, fluticasone, flunisolide or dexamethasone; and anti-inflammatory agents such as cromolyn, nedocromil, theophylline, zileuton, zafirlukast, monteleukast and pranleukast.
Suitable pharmaceutical agents that can be used in combination with compounds of the present invention include antiretrovirals [see, e.g., Turpin, Expert Rev Anti Infect Ther (2003) 1 :97-128]. Some embodiments of the present invention include methods of treatment of progressive multifocal leukoencephalopathy as described herein comprising administering to an individual in need of such treatment a therapeutically effective amount or dose of a compound of the present invention in combination with at least one pharmaceutical agent selected from the group consisting of: nucleoside reverse transcriptase inhibitors (for example, Retrovir®, Epivir®, Combivir®, Hivid®, Videx®, Trizvir®, Zerit®, Ziagen®, Vired®, Emtricitabine, DAPD, and the like), non-nucleoside reverse transcriptase inhibitors (for example, Virammune®, Rescriptor®, Sustiva®, GW687, DPC083, TMC 125, Emivirine, Capravirine, BMS 561390, UC-781 and other oxathiin carboxyanilides, SJ-3366, Alkenyldiarylmethane (ADAM)3 Tivirapine, Calanolide A, HBY097, Loviride, HEPT Family Derivatives, TDBO Derivatives, and the like), protease inhibitors (for example, Fortovase®, Invirase®, Novir®, Crixivan®, Viracep®, Ageberase®, Kaletra®, Atazanavir, Tipranavir, DMP450, and the like), inhibitors of HlV-cell interaction (for example, soluble CD4, toxin-conjugated CD4, monoclonal antibodies to CD4 or gpl20, PRO 542, dextran sulfate, Rersobene, FP-23199, Cyanovirin-N, Zintevir (T30177, ARl 77), L-chicoric acid and derivatives, and the like), coreceptor inhibitors ligands (for example, R5, X4, modified ligands (R5), modified ligands (X4), and the like), coreceptor inhibitors X4 (for example, T22, T 134, ALX40-4C, AMD3100, bycyclam derivatives, and the like), coreceptor inhibitors R5 (for example, TAK-779, SCH-C (SCH-351125), SCH-D (SCH- 350634), NSC 651016, ONO Pharmaceutical, Merck, and the like), fusion inhibitors (for example, Fuzeon® (T-20, DP 178, enfuvritide) trimeris, T-1249, TMC125, and the like), integrase inhibitors (for example, 5CITEP, L731,988, L708,906, L-870,812, S-1360, and the like), NCp7 nucleocapsid Zn finger inhibitors (for example, NOBA, DIBA, dithianes, PD- 161374, pyridinioalkanoyl thioesters (PATES), azodicarbonamide (ADA), cyclic 2,2 dithio bisbenzamide, and the like), RNase H inhibitors (for example, BBHN, CPHM PD-26388, and the like), Tat inhibitors (for example, dominant negative mutants, Ro24-7429, Ro5-3335, and the like), Rev inhibitors (for example, dominant negative mutants, Leptomycin B, PKF050-638, and the like), transcriptional inhibitors (for example, Temacrazine, K-12 and K-37, EM2487, and the like), inhibitors of HTV assembly/maturation (for example, CAP-I and CAP-2, and the like), and pharmaceutical agents directed to cellular anti-HF/ targets (for example, LB6-B275 and HRM1275, Cdk9 inhibitors, and the like).
In a certain embodiment, a compound of the invention can be used in conjunction with highly active antiretroviral therapy (HAART). When antiretroviral drugs are used in combinations of three or four drugs, this treatment is called HAART [see, e.g., Portegies, et al., Eur. J. Neurol. (2004) 11:297-304]. In accordance with the present invention, the combination of a compound of the present invention and pharmaceutical agent can be prepared by mixing the respective active components either all together or independently with a pharmaceutically acceptable carrier, excipient, binder, diluent, etc. as described herein, and administering the mixture or mixtures either orally or non- orally as a pharmaceutical composition(s). When a compound or a mixture of compounds of Formula (Ia) are administered as a combination therapy with another active compound each can be formulated as separate pharmaceutical compositions given at the same time or at different times. Alternatively, in some embodiments, pharmaceutical compositions of the present invention comprise a compound or a mixture of compounds of Formula (Ia) and the pharmaceutical agent(s) as a single pharmaceutical composition.
OTHER UTILITIES Another object of the present invention relates to radio-labeled compounds of the present invention that would be useful not only in radio-imaging but also in assays, both in vitro and in vivo, for localizing and quantitating the 5-HT2A receptor in tissue samples, including human, and for identifying 5-HT2A receptor ligands by inhibition binding of a radio-labeled compound. It is a further object of this invention to develop novel 5-HT2A receptor assays of which comprise such radio-labeled compounds.
The present invention embraces isotopically-labeled compounds of the present invention. An "isotopically" or "radio-labeled" compounds are those which are identical to compounds disclosed herein, but for the fact that one or more atoms are replaced or substituted by an atom having an atomic mass or mass number different from the atomic mass or mass number typically found in nature (i.e., naturally occurring). Suitable radionuclides that may be incorporated in compounds of the present invention include, but are not limited to,2H (also written as D for deuterium),3H (also written as T for tritium),11C,13C,14C,13N,15N,150,17O,180,18F,35S336Cl,82Br,75Br,76Br,77Br,1231,124I, '25I and131I. The radionuclide that is incorporated in the instant radio-labeled compounds will depend on the specific application of that radio-labeled compound. For example, for in vitro 5-HT2A receptor labeling and competition assays, compounds that incorporate3H,14C,82Br,1251 ,131I,35S or will generally be most useful. For radio-imaging applications11C,18F,1251,123I,1241,131I,75Br,76Br or77Br will generally be most useful.
It is understood that a "radio-labeled " or "labeled compound" is a compound of Formula (Ia) that has incorporated at least one radionuclide; in some embodiments the radionuclide is selected from the group consisting Of3H,14C,1251 ,35S and82Br. Certain isotopically-labeled compounds of the present invention are useful in compound and/or substrate tissue distribution assays. In some embodiments the radionuclide3H and/or14C isotopes are useful in these studies. Further, substitution with heavier isotopes such as deuterium (i.e.,2H) may afford certain therapeutic advantages resulting from greater metabolic stability (e.g., increased in vivo half-life or reduced dosage requirements) and hence may be preferred in some circumstances. Isotopically labeled compounds of the present invention can generally be prepared by following procedures analogous to those disclosed in the Schemes supra and Examples infra, by substituting an isotopically labeled reagent for a non-isotopically labeled reagent. Other synthetic methods that are useful are discussed infra. Moreover, it should be understood that all of the atoms represented in the compounds of the invention can be either the most commonly occurring isotope of such atoms or the more scarce radio-isotope or nonradio-active isotope.
Synthetic methods for incorporating radio-isotopes into organic compounds are applicable to compounds of the invention and are well known in the art. These synthetic methods, for example, incorporating activity levels of tritium into target molecules, are as follows:
A. Catalytic Reduction with Tritium Gas - This procedure normally yields high specific activity products and requires halogenated or unsaturated precursors.
B. Reduction with Sodium Borohydride [3H] - This procedure is rather inexpensive and requires precursors containing reducible functional groups such as aldehydes, ketones, lactones, esters, and the like.
C. Reduction with Lithium Aluminum Hydride [3H ] - This procedure offers products at almost theoretical specific activities. It also requires precursors containing reducible functional groups such as aldehydes, ketones, lactones, esters, and the like. D. Tritium Gas Exposure Labeling - This procedure involves exposing precursors containing exchangeable protons to tritium gas in the presence of a suitable catalyst.
E. N-Methylation using Methyl Iodide [3H] - This procedure is usually employed to prepare O-methyl or N-methyl (3H) products by treating appropriate precursors with high specific activity methyl iodide (3H). This method in general allows for higher specific activity, such as for example, about 70-90 Ci/mmol.
Synthetic methods for incorporating activity levels of125I into target molecules include:
A. Sandmeyer and like reactions — This procedure transforms an aryl or heteroaryl amine into a diazonium salt, such as a tetrafluoroborate salt, and subsequently to12SI labeled compound using Na125I. A represented procedure was reported by Zhu, D.-G. and co-workers in J. Org. Chem. 2002, 67, 943-948.
B. Ortho125Iodination of phenols — This procedure allows for the incorporation of125I at the ortho position of a phenol as reported by Collier, T. L. and co-workers in J. Labeled Compd Radiopharm. 1999, 42, S264-S266.
C. Aryl and heteroaryl bromide exchange with125I — This method is generally a two step process. The first step is the conversion of the aryl or heteroaryl bromide to the corresponding tri-alkyltin intermediate using for example, a Pd catalyzed reaction [i.e. Pd(Ph3P)4] or through an aryl or heteroaryl lithium, in the presence of a tri-alkyltinhalide or hexaalkylditin [e.g., (CH3)3SnSn(CH3)3]. A represented procedure was reported by Bas, M.-D. and co-workers in J. Labeled Compd Radiopharm. 2001, 44, S280-S282. A radio-labeled 5-HT2A receptor compound of Formula (Ia) can be used in a screening assay to identify/evaluate compounds. In general terms, a newly synthesized or identified compound (i.e., test compound) can be evaluated for its ability to reduce binding of the "radio- labeled compound of Formula (Ia)" to the 5-HT2A receptor. Accordingly, the ability of a test compound to compete with the "radio-labeled compound of Formula (Ia)" for the binding to the 5-HT2A receptor directly correlates to its binding affinity.
The labeled compounds of the present invention bind to the 5-HT2A receptor. In one embodiment the labeled compound has an IC50 less than about 500 μM, in another embodiment the labeled compound has an IC50 less than about 100 μM, in yet another embodiment the labeled compound has an ICs0 less than about 10 μM, in yet another embodiment the labeled compound has an IC50 less than about 1 μM, and in still yet another embodiment the labeled inhibitor has an IC50 less than about 0.1 μM. Other uses of the disclosed receptors and methods will become apparent to those in the art based upon, inter alia, a review of this disclosure.
As will be recognized, the steps of the methods of the present invention need not be performed any particular number of times or in any particular sequence. Additional objects, advantages, and novel features of this invention will become apparent to those skilled in the art upon examination of the following examples thereof, which are intended to be illustrative and not intended to be limiting.
EXAMPLES EXAMPLE 1: Syntheses of compounds of the present invention. Illustrated syntheses for compounds of the present invention are shown in Figures 1 through 9 where the symbols have the same definitions as used throughout this disclosure.
The compounds of the invention and their synthesis are further illustrated by the following examples. The following examples are provided to further define the invention without, however, limiting the invention to the particulars of these examples. The compounds described herein, supra and infra, are named according to CS Chem Draw Ultra Version 7.0.1 or AutoNom 2000. In certain instances common names are used and it is understood that these common names would be recognized by those skilled in the art.
Chemistry: Proton nuclear magnetic resonance (1H NMR) spectra were recorded on a Varian Mercury Vx-400 equipped with a 4 nucleus auto switchable probe and z-gradient or a Bruker Avance-400 or 500 MHz equipped with a QNP (Quad Nucleus Probe) or a BBI (Broad Band Inverse) and z-gradient. Chemical shifts are given in parts per million (ppm) with the residual solvent signal used as reference. NMR abbreviations are used as follows: s = singlet, d = doublet, dd = doublet of doublet, ddd = doublet of doublet of doublet, dt = doublet of triplet, t = triplet, q = quartet, m = multiplet, br = broad. Microwave irradiations were carried out using the Emrys Synthesizer (Personal Chemistry). Thin-layer chromatography (TLC) was performed on silica gel 60 F2S4 (Merck), preparatory thin-layer chromatography (prep TLC) was preformed on PK6F silica gel 60 A 1 mm plates (Whatman), and column chromatography was carried out on a silica gel column using Kieselgel 60, 0.063-0.200 mm (Merck). Evaporation was done under reduced pressure on a Buchi rotary evaporator. Celite 545® was used during palladium filtrations.
LCMS specs: 1) PC: HPLC-pumps: LC-IOAD VP, Shimadzu Inc.; HPLC system controller: SCL-IOA VP, Shimadzu Inc; UV-Detector: SPD-IOA VP, Shimadzu Inc;
Autosampler: CTC HTS, PAL, Leap Scientific; Mass spectrometer: API 150EX with Turbo Ion Spray source, AB/MDS Sciex; Software: Analyst 1.2. 2) Mac: HPLC-pumps: LC-8A VP, Shimadzu Inc; HPLC system controller: SCL-IOA VP, Shimadzu Inc.
UV-Detector: SPD-IOA VP, Shimadzu Inc; Autosampler: 215 Liquid Handler, Gilson Inc; Mass spectrometer: API 150EX with Turbo Ion Spray source, AB/MDS Sciex Software: Masschrom 1.5.2.
Example 1.1: Preparation of N-[3-(2-Methyl-2H-pyrazol-3-yI)-4-(2-morpholin-4-yl- ethoxy)-phenyl]-2-phenoxy-acetamide (Compound B15). Chloroacetyl chloride (0.00876 mL, 0.110 mmol) was added to a solution of 3-(2- methyl-2H-pyrazol-3-yl)-4-(2-morpholin-4-yl-ethoxy)-aniline (30.2 mg, 0.100 mmol) in DMF (0.2 mL), and the mixture was stirred at 230C. After 0.5 hours phenol (14.1 mg, 0.150 mmol), sodium iodide (0.000749 g, 0.00500 mmol) and cesium carbonate (65.2 mg, 0.200 mmol) were added, and the mixture was stirred at 750C for 1 hour. After cooling to room temperature, the reaction was quenched with saturated sodium bicarbonate, and the product was extracted with DCM. The extract dried with sodium sulfate, filtered, and evaporated to dryness. The crude product was purified by preparative LCMS and lyophilized to give the TFA salt (31.1 mg, 57%). LCMS m/z (%) = 437.4 (M+H, 100%).
Example 1.2: Preparation of 2-(2-Fluoro-phenoxy)-N-[3-(2-methyl-2H-pyrazol-3-yl)-4-(2- piperidin-l-yl-ethoxy)-phenyl]-acetamide (Compound B46).
A solution of 2-fluorophenol (8.41 mg, 0.07500 mmol), 2-chloro-N-(3-(2-methyl-2H- pyrazol-3-yl)-4-(2-(piperidin-l-yl)-ethoxy)-phenyl)-acetamide (18.84 mg, 0.05 mmol) and 1 M potassium hydroxide (70 μL, 0.07 mmol) in 2-propanol (0.4 mL) was stirred at 600C. After 16 hours the solution was applied to an SCX-cartridge (Phenomenex) conditioned with methanol, the cartridge was washed with methanol, and the product was eluted with 2 M ammonia in methanol. The solution was evaporated to dryness, and the crude product was purified by preparative LCMS. Product containing fractions were lyophilized, and the resulting TFA salt was converted into the free base as follows: The TFA salt was taken up in DCM, Argonaut MP- carbonate ion exchange resin (2.73 mmol/g, 3 eq.) was added, and the mixture was agitated on a mechanical shaker for 1 hour. The resin was removed by filtration, and the filtrate was evaporated to dryness and dried under reduced pressure. Yield (7.9 mg, 35%). LCMS m/z (%) = 453.2 (M+H, 100%).1H-MMR (400 MHz, CDCl3) δ ppm 1.36-1.46 (m, 2H), 1.51-1.62 (m, 4H), 2.41 (S, 4H), 2.71 (t, J = 5.81 Hz, 2H), 3.76 (s, 3H), 4.12 (t,7 = 5.81 Hz, 2H), 4.66 (s, 2H), 6.25 (d, J = 1.77 Hz, IH), 6.98 (d, J = 8.84 Hz, IH), 7.00-7.07 (m, 2H), 7.08-7.20 (m, 2H), 7.46 (d, J = 2.53 Hz3 IH), 7.49 (d, J = \.ll Hz, IH), 7.66 (dd, J = 8.97, 2.65 Hz, IH), 8.41 (s, IH).
Example 1.3: Preparation of 2-(2-Fluoro-phenoxy)-N-[3-(2-methyl-2H-pyrazol-3-yI)-4-(2- pyrrolidin-l-yl-ethoxy)-phenyl]-acetamide (Compound B41).
2-(2-Fluorophenoxy)acetic acid (12.8 mg, 75.0 μmol) was dissolved in a solution of HBTU (1 M in DMF) (0.0750 mL, 75.0 μmol) and N,N-diisopropylethylamine (0.0174 mL, 100.0 μmol), and the mixture was stirred at 230C. After 15 minutes, a solution of 3-(l-methyl- lH-pyτazol-5-yl)-4-(2-(pyrrolidin-l-yl)ethoxy)aniline (14.31 mg, 50.0 μmol) in DMF, (0.100 mL) was added, and the solution was stirred for 20 hours at room temperature. The solution was applied to an SCX-cartridge (Phenomenex) conditioned with methanol, the cartridge was washed with methanol, and the product was eluted with 2 M ammonia in methanol. The crude product was purified by preparative LCMS and lyophilized. The TFA salt was converted into the free base. Yield (16.6 mg, 76%). LCMS m/z (%) = 439.4 (M+H, 100%).1H-NMR (400 MHz, CDCl3) δ ppm 1.63-1.82 (m, 4H), 2.37-2.56 (m, 4H), 2.79 (t, J = 6.19 Hz, 2H), 3.76 (s, 3H), 4.09 (t, J = 6.19 Hz, 2H), 4.66 (s, 2H), 6.26 (d, J = 1.77 Hz, IH), 6.99 (d, J = 8.84 Hz, IH), 7.00-7.07 (m, 2H), 7.08-7.21 (m, 2H), 7.46 (d, J = 2.78 Hz, IH), 7.50 (d, J= 1.77 Hz, IH)5 7.67 (dd, J = 8.97, 2.65 Hz, IH), 8.41 (s, IH).
Example 1.4: Preparation of 2-(3-Fluoro-phenoxy)-N-[4-methoxy-3-(4-methoxy-2-methyl- 2H-pyrazol-3-yl)-phenyl]-acetamide (Compound B102).
Propylphoshonic anhydride (50% in ethyl acetate, 0.0688 mL, 117 μmol) was added to a solution of 2-(3-fluorophenoxy)acetic acid (13.2 mg, 77.9 μmol), 4-methoxy-3-(4-methoxy-2- methyl-2H-pyrazol-3-yl)aniline (0.085 mL, 38.9 μmol) and N,N-diisopropylethylamine (0.0678 mL, 389 μmol) in DMF (O.OS mL). After 30 minutes, the ethyl acetate was evaporated, and the remaining solution was diluted with DMF to 0.5 mL and injected directly onto an LCMS- system. Product containing fractions were pooled and lyophilized. Yield (12.1 mg, 81%). LCMS m/z (%) = 386.1 (M+H, 100%).
Example 1.5: Preparation of 2-(2-Fluoro-phenoxy)-N-[3-(2-methyl-2H-pyrazol-3-yl)-4-(2- morpholin-4-yl-ethoxy)-phenyl]-acetamide (Compound B21).
The title compound was prepared in a similar manner as described in Example 1.1 to give the TFA salt (44.9 mg, 79%). LCMS m/z (%) = 455.4 (M+H, 100%). Example 1.6: Preparation of 2-(3-Fluoro-phenoxy)-N-[3-(2-methyl-2H-pyrazoI-3-yI)-4-(2- morpholin-4-yl-ethoxy)-phenyI]-acetamide (Compound B27).
The title compound was prepared in a similar manner as described in Example 1.1 to give the (33.6 mg, 74%). LCMS m/z (%) = 455.5 (M+H, 100%).1H-NMR (400 MHz5 CDCl3) δ ppm 2.33-2.47 (m, 4H), 2.67 (t, J = 5.56 Hz, 2H), 3.58-3.69 (m, 4H), 3.75 (s, 3H), 4.08 (t, / = 5.56 Hz, 2H), 4.59 (s, 2H), 6.22 (d, J = 2.02 Hz, IH), 6.71 (dt, J = 10.23, 2.53 Hz, IH), 6.73- 6.81 (m, 2H), 6.96 (d, J = 9.09 Hz, IH), 7.24-7.35 (m, IH)3 7.41 (d, J = 2.78 Hz, IH), 7.47 (d, J = 1.77 Hz, IH), 7.67 (dd, J = 8.84, 2.78 Hz, IH), 8.23 (s, IH).
Example 1.7: Preparation of 2-(2-Chloro-phenoxy)-N-[3-(2-methyl-2H-pyrazol-3-yl)-4-(2- morpholin-4-yl-ethoxy)-phenyl]-acetamide (Compound B35).
The title compound was prepared in a similar manner as described in Example 1.1 to give the TFA salt (30.8 mg, 64%). LCMS m/z (%) = 471.4 (M+H, 100%).1H-NMR (400 MHz, CDCl3) δ ppm 2.37-2.47 (m, 4H), 2.68 (t, J = 5.56 Hz, 2H), 3.59-3.68 (m, 4H), 3.76 (s, 3H), 4.08 (t, J = 5.56 Hz, 2H), 4.65 (s, 2H), 6.25 (d, J = 1.77 Hz, IH), 6.96 (dd, J = 8.21, 1.39 Hz, IH), 6.97 (d, /= 8.84 Hz, IH), 7.01 (dt, J = 7.71, 1.26 Hz, IH), 7.27 (dt, J= 7.83, 1.52 Hz, IH), 7.42 (dd, J = 8.08, 1.52 Hz, IH), 7.46 (d, J = 2.78 Hz, IH), 7.48 (d, J = 2.02 Hz, IH), 7.69 (dd,7 = 8.84, 2.78 Hz, IH), 8.62 (s, IH).
Example 1.8: Preparation of 2-(3-Chloro-phenoxy)-N-[3-(2-methyl-2H-pyrazoI-3-yl)-4-(2- morpho]in-4-yI-ethoxy)-phenyl]-acetamide (Compound B44).
The title compound was prepared in a similar manner as described in Example 1.1 to give the TFA salt (42.4 mg, 75%). LCMS m/z (%) = 471.3 (M+H, 100%).1H-NMR (500 MHz, MeOH-^) δ ppm 2.90-3.26 (m, 4H), 3.51-3.57 (m, 2H), 3.58-3.96 (m, 4H), 3.72 (s, 3H), 4.39- 4.45 (m, 2H), 4.68 (s, 2H), 6.33 (d, J = 1.89 Hz, IH), 6.98 (dd, J = 8.20, 2.52 Hz, IH), 7.01 (dd, J = 8.20, 1.26 Hz, IH), 7.08-7.10 (m, IH), 7.18 (d, J = 8.83 Hz, IH), 7.28 (t, J = 7.88 Hz, IH), 7.54 (d, J = 1.89 Hz, IH), 7.61 (d, / = 2.52 Hz, IH), 7.74 (dd, / = 8.83, 2.52 Hz, IH).
Example 1.9: Preparation of 2-(4-Chloro-phenoxy)-N-[3-(2-methyl-2H-pyrazol-3-yl)-4-(2- morpholin-4-yI-ethoxy)-phenyl]-acetamide (Compound B55).
The title compound was prepared in a similar manner as described in Example 1.1 and converted into the free base (29.3 mg, 62%). LCMS m/z (%) = 471.4 (M+H, 100%).1H-NMR (500 MHz, MeOH-tf,) δ ppm 2.35-2.43 (m, 4H), 2.67 (t, J = 5.66 Hz) 3.59-3.66 (m, 4H), 3.74 (s, 3H), 4.07 (t, J = 5.56 Hz, 2H), 4.57 (s, 2H), 6.22 (d, J = 1.77 Hz, IH), 6.88-6.93 (m, 2H), 6.96 (d, J = 8.84 Hz, IH), 7.26-7.31 (m, 2H), 7.40 (d, J = 2.78 Hz, IH), 7.47 (d, J = 1.77 Hz, IH), 7.66 (dd, J = 8.84, 2.53Hz, IH), 8.22 (s, IH). Example 1.10: Preparation of N-[3-(2-Methyl-2H-pyrazol-3-yl)-4-(2-morpholin-4-yl- ethoxy)-phenyl]-2-(2-trifluoromethyl-phenoxy)-acetamide (Compound B65).
The title compound was prepared in a similar manner as described in Example 1.1 to give the TFA salt (42.7 mg, 69%). LCMS m/z (%) = 505.4 (M+H, 100%).1H-NMR (500 MHz3 MeOH-^) δ ppm 2.89-3.26 (m, 4H), 3.52-3.58 (m, 2H), 3.59-4.02 (m, 4H)5 3.72 (s, 3H), 4.38- 4.50 (m, 2H), 4.80 (s, 2H), 6.34 (d, J = 1.89 Hz, IH), 7.15 (t, J = 7.57 Hz, IH), 7.18-7.24 (m, 2H), 7.53 (d, J = 1.89 Hz, IH), 7.57-7.61 (m, IH), 7.62 (d, J = 2.52 Hz, IH)5 7.64 (d, J= 7.57 Hz, IH), 7.68 (dd, J = 8.83, 2.52 Hz, IH).
Example 1.11: Preparation of N-[3-(2-Methyl^2H-pyrazol-3-yl)-4-(2-morpholin-4-yl- ethoxy)-phenyl]-2-(3-trifluoromethyl-phenoxy)-acetamide (Compound B74).
The title compound was prepared in a similar manner as described in Example 1.1 to give the TFA salt (47.7 mg, 77%). LCMS m/z (%) = 505.3 (M+H, 100%).1H-NMR (500 MHz, MeOH-C^) δ ppm 2.96-3.26 (m, 3H), 3.51-3.56 (m, 2H), 3.57-3.97 (m, 4H), 3.71 (s, 3H), 3.78 (s, 2H), 4.38-4.42 (m, 2H), 6.32 (d, J = 1.89 Hz, IH), 7.16 (d, J = 9.14 Hz, IH), 7.49-7.59 (m, 4H), 7.61 (d, J= 7.57 Hz, IH), 7.65-7.70 (m, 2H).
Example 1.12: Preparation of N-[3-(2-Methyl-2H-pyrazol-3-yl)-4-(2-morpholin-4-yl- ethoxy)-phenyl]-2-(4-trifluoromεthyI-phenoxy)-acetamide (Compound B80). The title compound was prepared in a similar manner as described in Example 1.1 to give the TFA salt (51.6 mg, 83%). LCMS m/z (%) = 505.4 (M+H, 100%).1H-NMR (500 MHz, MeOH-rf,) δ ppm 2.97-3.29 (m, 4H)5 3.54-3.59 (m, 2H), 3.61-4.02 (m, 4H), 3.75 (s, 3H), 4.42- 4.48 (m, 2H), 4.78 (s, 2H), 6.36 (d, J = 1.89 Hz, IH), 7.21 (dd, J= 8.83, 3.15 Hz5 3H), 7.56 (d, J = 1.89 Hz, IH), 7.61-7.68 (m, 3H), 7.76 (dd, J = 8.83, 2.52 Hz, IH).
Example 1.13: Preparation of 2-(2-Methoxy-phenoxy)-N-[3-(2-methyl-2H-pyrazol-3-yl)-4- (2-morpholin-4-yl-ethoxy)-phenyl]-acetamide (Compound B8S).
The title compound was prepared in a similar manner as described in Example 1.1 and converted into the free base to give the title compound as a colorless oil (33.0 mg, 71%). LCMS m/z (%) = 467.6 (M+H, 100%).
Example 1.14: Preparation of 2-(3-Methoxy-phenoxy)-N-[3-(2-methyl-2H-pyrazol-3-yI)-4- (2-morpholin-4-yl-ethoxy)-phenyl]-acetamide (Compound B90).
The title compound was prepared in a similar manner as described in Example 1.1 to give the TFA salt (36.8 mg, 63%). LCMS m/z (%) = 467.6 (M+H, 100%).1H-NMR (500 MHz, MeOH-^4) δ ppm 2.99-3.25 (m, 4H), 3.51-3.57 (m, 2H), 3.74 (d, J = 23.96 Hz, 4H), 3.72 (s, 3H), 3.77 (s, 3H), 4.38-4.46 (m, 2H), 4.63 (s, 2H), 6.33 (d, J= 1.89 Hz, IH), 6.54-6.66 (m, 3H), 7.17 (d, J = 8.83 Hz, IH), 7.20 (d, J = 8.20 Hz, IH), 7.53 (d, J = 1.89 Hz, IH), 7.61 (d, J = 2.52 Hz5 IH), 7.74 (dd, J = 8.83, 2.52 Hz, IH).
Example 1.15: Preparation of 2-(4-Methoxy-phenoxy)-N-[3-(2-methyI-2H-pyrazol-3-yl)-4- (2-morpholin-4-yl-ethoxy)-phenyI]-acetamide (Compound B104).
The title compound was prepared in a similar manner as described in Example 1.1 to give the TFA salt (36.8 mg, 63%). LCMS m/z (%) = 467.5 (M+H, 100%).
Example 1.16: Preparation of N-[3-(2-MethyI-2H-pyrazoI-3-yl)-4-(2-morpholin-4~yl- ethoxy)-phenyl]-2-o-tolyloxy-acetamide (Compound B39).
The title compound was prepared in a similar manner as described in Example 1.1 and converted into the free base to give a colorless oil (33.4 mg, 74%). LCMS m/z (%) = 451.3 (M+H, 100%).1H-NMR (400 MHz, CDCl3) δ ppm 2.34 (s, 3H), 2.37-2.44 (m, 4H), 2.68 (t, J = 5.56 Hz, 2H), 3.60-3.66 (m, 4H), 3.76 (s, 3H), 4.08 (t, J = 5.56 Hz, 2H), 4.61 (s, 2H), 6.24 (d, J = 1.77 Hz, IH), 6.83 (d, J = 8.08 Hz, IH), 6.93-7.01 (m, 2H), 7.14-7.23 (m, 2H), 7.40 (d, J = 2.53 Hz, IH), 7.48 (d, J = 1.77 Hz, IH), 7.68 (dd, J = 8.84, 2.78 Hz, IH), 8.30 (s, IH).
Example 1.17: Preparation of N-[3-(2-Methyl-2H-pyrazol-3-yI)-4-(2-morpholin-4-yl- ethoxy)-phenyl]-2-m-tolyloxy-acetamide (Compound BS8). The title compound was prepared in a similar manner as described in Example 1.1 and converted into the free base (34.8 mg, 72%). LCMS m/z (%) = 451.2 (M+H, 100%).1H-NMR (400 MHz, CDCl3) δ ppm 2.34 (s, 3H), 2.37-2.47 (m, 4H), 2.68 (t, J = 5.56 Hz, 2H), 3.59-3.67 (m, 4H), 3.75 (s, 3H), 4.08 (t, J = 5.56 Hz, 2H), 4.59 (s, 2H), 6.23 (d, J= 1.77 Hz, IH), 6.79 (d, J = 6.32 Hz, 2H), 6.87 (d, J = 7.58 Hz, IH), 6.96 (d, J = 9.09 Hz, IH), 7.16-7.29 (m, IH), 7.41 (d, J = 2.78 Hz, IH), 7.47 (d, J = 1.77 Hz, IH), 7.68 (dd, J = 8.97, 2.65 Hz, IH), 8.28 (s, IH).
Example 1.18: Preparation of N-[3-(2-Methyl-2H-pyrazol-3-yl)-4-(2-morpholin-4-yl- ethoxy)-phenyl]-2~p-tolyloxy-acetamide (Compound B2).
The title compound was prepared in a similar manner as described in Example 1.1 and converted into the free base to give a colorless oil (31.1 mg, 69%). LCMS m/z (%) = 451.4
(M+H, 100%).1H-NMR (400 MHz, CDCl3) δ ppm 2.30 (s, 3H), 2.36-2.46 (m, 4H), 2.68 (t, J = 5.68 Hz, 2H), 3.58-3.70 (m, 4H), 3.75 (s, 3H), 4.08 (t, J = 5.68 Hz, 2H), 4.57 (s, 2H), 6.23 (d, J = 2.02 Hz, IH), 6.87 (d, J = 8.59 Hz, 2H), 6.96 (d, J = 8.84 Hz, IH), 7.13 (d, J = 8.34 Hz, 2H), 7.41 (d, J = 2.53 Hz, IH), 7.47 (d, J = 1.77 Hz, IH), 7.68 (dd, J = 8.97, 2.65 Hz, IH), 8.27 (s, IH). Example 1.19: Preparation of N-[3-(2-Methyl-2H-pyrazol-3-yl)-4-(2-morpholin-4-yl- ethoxy)-phenyl]-2-(4-trifluoromethoxy-phenoxy)-acetamide (Compound B12).
The title compound was prepared in a similar manner as described in Example 1.1 to give the TFA salt (50.3 mg, 79%). LCMS m/z (%) = 521.6 (M+H, 100%).1H-NMR (400 MHz, OMSO-d6) δ ppm 2.90-3.24 (m, 4H), 3.66 (s, 4H), 3.66 (s, 3H), 3.81 (s, 2H), 4.27-4.38 (m, 2H), 4.73 (s, 2H), 6.26 (d, J= 2.02 Hz, IH), 7.06-7.14 (m, 2H), 7.21 (d, J = 9.09 Hz, IH), 7.28-7.37 (m, 2H), 7.48 (d, J = 1.77 Hz, IH), 7.59 (d, J = 2.53 Hz, IH), 7.75 (dd, J = 8.97, 2.65 Hz, IH), 9.78 (s, IH), 10.14 (s, IH).
Example 1.20: Preparation of 2-(2-Cyano-phenoxy)-N-[3-(2-methyl-2H-pyrazol-3-yl)-4-(2- morpholin-4-yl-ethoxy)-phenyl]-acetamide (Compound B22).
The title compound was prepared in a similar manner as described in Example 1.1 and converted into the free base to give a colorless oil (21.1 mg, 46%). LCMS m/z (%) = 462.4 (M+H, 100%).
Example 1.21: Preparation of 2-(4-Cyano-phenoxy)-N-[3-(2-methyl-2H-pyrazol-3-yl)-4-(2- morpholin-4-yl-ethoxy)-phenyl]-acetamide (Compound B112).
The title compound was prepared in a similar manner as described in Example 1.1 and converted into the free base to give a colorless oil (24.1 mg, 52%). LCMS m/z (%) = 462.4(M+H, 100%).
Example 1.22: Preparation of 2-(Benzo[lβ]dioxol-5-yloxy)-N-[3-(2-methyl-2H-pyrazol-3- yl)-4-(2-morphoIin-4-y_-ethoxy)-phenyl]-acetamϊde (Compound B49).
The title compound was prepared in a similar manner as described in Example 1.1 to give the TFA salt (44.5 mg, 75%). LCMS m/z (%) = 481.5 (M+H, 100%).1H-NMR (500 MHz, MeOH-^) δ ppm 3-00-3.26 (m, 4H), 3.52-3.57 (m, 2H), 3.57-3.96 (m, 4H), 3.72 (s, 3H), 4.39- 4.44 (m, 2H), 4.57 (s, 2H), 5.89 (s, 2H), 6.33 (d, J = 1.89 Hz, IH), 6.45 (dd, J = 8.20, 2.52 Hz, IH), 6.66 (d, J = 2.52 Hz, IH), 6.72 (d, J = 8.20 Hz, IH), 7.17 (d, J = 8.83 Hz, IH), 7.53 (d, / = 1.89 Hz, IH), 7.61 (d, J = 3.15 Hz, IH), 7.74 (dd, J = 8.83, 2.52 Hz, IH).
Example 1.23: Preparation of 2-(2,4-Difluoro-phenoxy)-N-[3-(2-methyl-2H-pyrazol-3-yl)- 4-(2-morpholin-4-yl-ethoxy)-phenyl]-acetamide (Compound B67).
The title compound was prepared in a similar manner as described in Example 1.1 to give the TFA salt (48.5 mg, 83%). LCMS m/z (%) = 473.3 (M+H, 100%).1H-NMR (500 MHz, MeOH-^) δ ppm 2.96-3.31 (m, 4H), 3.54-3.61 (m, 2H), 3.63-4.02 (m, 4H), 3.75 (s, 3H), 4.38- 4.51 (m, 2H), 4.73 (s, 2H), 6.36 (d, J = 1.89 Hz, IH), 6.88-6.96 (m, IH), 7.01-7.09 (m, IH), 7.15-7.25 (m, 2H), 7.56 (d, J = 1.89 Hz, IH), 7.63 (d, J = 3.15 Hz, IH), 7.75 (dd, J = 9.14, 2.84 Hz, IH).
Example 1.24: Preparation of 2-(4-Fluoro-phenoxy)-N-[3-(2-methyI-2H-pyrazol-3-yl)-4-(2- morpholin-4-yl-ethoxy)-phenyl]-acetamide (Compound B82).
The title compound was prepared in a similar manner as described in Example 1.1 and converted into the free base to give a colorless oil (23.9 mg, 53%). LCMS m/z (%) = 455.3 (M+H, 100%).1H-ISiMR (400 MHz, CDCl3) δ ppm 235-2.45 (m, 4H), 2.67 (t5 J = 5.56 Hz, 2H), 3.58-3.69 (m, 4H), 3.75 (s, 3H), 4.08 (t, J = 5.56 Hz, 2H), 4.56 (s, 2H), 6.22 (d, J = 2.02 Hz, IH), 6.88-7.07 (m, 5H), 7.41 (d, J = 2.78 Hz, IH), 7.47 (d, / = 1.77 Hz, IH), 7.67 (dd, J = 8.84, 2.78 Hz, IH), 8.25 (s, IH).
Example 1.25: Preparation of 2-(4-Chloro-phenoxy)-N-[3-(2-methyl-2H-pyrazoI-3-yl)-4- (2-pyrrolidϊn-l-yl-ethoxy)-phenyl]-acetamide (Compound Bl 9). 4-Chlorophenoxy-acetylchloride (12.8 mg, 0.0625 mmol) was added to a solution of 3-
(2-methyl-2H-pyrazol-3-yl)-4-(2-pyrrolodin-l-yl-ethoxy)-aniline (21.5 mg, 0.075 mmol) and N,N-diisopropylethylamine (16.3 μL, 0.0938 mmol) in DMF (0.4 mL), and the mixture was stirred at 230C. After 1 hour the reaction was quenched with 1 M HCl (0.1 mL), and the product was isolated by RP-HPLC and lyophilized. The TFA salt was converted into the free base to give the title compound as a colorless oil (13.6 mg, 48%). LCMS m/z (%) = 455.1
(M+H, 100%).1H-NMR (400 MHz, CDCl3) 5 ppm 1.70-1.76 (m, 4H)5 2.43-2.51 (m, 4H), 2.80 (t, J = 5.94 Hz, 2H), 3.74 (s, 3H), 4.10 (t, J = 6.06 Hz, 2H), 4.58 (s, 2H), 6.23 (d, J = 1.77 Hz, IH), 6.87-6.94 (m, 2H), 6.97 (d, J = 8.84 Hz, IH), 7.27-7.33 (m, 2H), 7.41 (d, J = 2.78 Hz, IH), 7.49 (d, J - 2.02 Hz, IH), 7.65 (dd, J = 8.84, 2.78 Hz, IH), 8.19 (s, IH).
Example 1.26: Preparation 2-Chloro-N-(3-(2-methyI-2H-pyrazol-3-yl)-4-(2-(piperidin-l- yl)ethoxy)phenyl)acetamide.
Chloroacetyl chloride (111 μL, 1381 μmol) was added to a solution of 3-(2-methyl-2H- pyrazol-3-yl)-4-(2-piperidin-l-yl-ethoxy)-aniline (332 mg, 1105 μmol) and triethylamine (193 μL, 1381 μmol) in DCM (5 mL), and the mixture was stirred at 210C. After 45 minutes, the mixture was diluted with DCM, washed with saturated sodium bicarbonate, dried with sodium sulfate, filtered, and evaporated to dryness. The crude product was dissolved in 2-propanol, treated with charcoal, filtered over Celite, and evaporated to dryness to give the title compound as a dark oil (372 mg, 89%) which was used without further purification. LCMS m/z (%) = 377.3 (M+H, 100%). Example 1.27: Preparation of N-[3-(2-Methyl-2H-pyrazol-3-yl)-4-(2-piperidin-l-yl- ethoxy)-phenyl]-2-ρhenoxy-acetamide (Compound B37).
A solution of phenol (16.9 mg, 0.180 mmol), 1.0 N potassium hydroxide (168 μL, 0.168 mmol), and 2-chloro-N-(3-(2-methyl-2H-pyrazol-3-yl)-4-(2-(piρeridin-l -yl)ethoxy)phenyl)- acetamide (45.2 mg, 0.12 mmol) in 2-propanol (0.4 mL) was stirred at 600C. After 16 hours the solution was applied to an SCX-cartridge (Phenomenex) conditioned with methanol, the cartridge was washed with methanol, and the product was eluted with 2 M ammonia in methanol. The solution was evaporated to dryness, and the crude product was purified by preparative LCMS. The TFA salt was converted into the free base. Yield (26.2 mg, 50%). LCMS m/z (%) = 435.4 (M+H, 100%).1H-NMR (400 MHz, CDCl3) δ ppm 1.33-1.44 (m, 2H), 1.46-1.59 (m, 4H), 2.28-2.43 (m, 4H), 2.65 (t, J = 5.94 Hz, 2H), 3.75 (s, 3H), 4.08 (t, J = 5.94 Hz, 2H), 4.61 (s, 2H), 6.24 (d, J = 1.77 Hz, IH), 6.94-7.00 (m, 3H), 7.05 (t, J = 7.45 Hz, IH), 7.31-7.37 (m, 2H), 7.41 (d, J = 2.53 Hz, IH), 7.48 (d, J = 1.77 Hz, IH)5 7.66 (dd, J = 8.84, 2.78 Hz, IH), 8.26 (s, IH).
Example 1.28: Preparation of 2-(2-Chloro-pheαoxy)-N-J3-(2-methyl-2H-pyrazol-3-yI)-4- (2-piperidin-l-yl-ethoxy)-phenyl]-acetamide (Compound B57).
The title compound was prepared in a similar manner as described in Example 1.2. Yield (7.2 mg, 31%). LCMS m/z (%) = 469.5 (M+H, 100%).1H-NMR (400 MHz, CDCl3) δ ppm 1.35-1.46 (m, 2H), 1.50-1.61 (m, 4H), 2.32-2.48 (m, 4H), 2.70 (t, J = 5.81 Hz, 2H), 3.76 (s, 3H), 4.12 (t, J = 5.94 Hz, 2H), 4.66 (s, 2H), 6.26 (d, J = 1.77 Hz, IH), 6.92-7.07 (m, 3H), 7.24- 7.32 (m, IH), 7.44 (dd, J = 7.96, 1.64 Hz, IH), 7.47 (d, J = 2.78 Hz, IH), 7.50 (d, J = 1.77 Hz, IH), 7.68 (dd, J = 8.84, 2.78 Hz, IH), 8.61 (s, IH).
Example 1.29: Preparation of N-[3-(2-Methyl-2H-pyrazol-3-yl)-4-(2-piperidin-l-yl- ethoxy)-phenyl]-2~o-tolyloxy-acetamide (Compound B66).
The title compound was prepared in a similar manner as described in Example 1.2. Yield (6.6 mg, 29%). LCMS m/z (%) = 449.3 (M+H, 100%).1H-NMR (400 MHz, CDCl3) δ ppm 1.35-1.46 (m, 2H), 1.51-1.63 (m, 4H), 2.35 (s, 3H), 2.37-2.51 (m, 4H), 2.71 (t> J = 5.68 Hz, 2H), 3.76 (s, 3H), 4.12 (t, J = 5.81 Hz, 2H), 4.62 (s, 2H), 6.25 (d, J = 1.77 Hz, IH), 6.84 (d, J = 7.83 Hz, IH), 6.93-7.02 (m, 2H), 7.16-7.24 (m, 2H), 7.41 (d, J= 2.78 Hz, IH), 7.50 (d, J= 1.77 Hz, IH), 7.67 (dd, J = 8.84, 2.78 Hz, IH), 8.28 (s, IH). . .
Example 1.30: Preparation of N-[3-(2-Methyl-2H-pyrazol-3-yl)-4-(2-piperidin-l-yl- ethoxy)-phenyl]-2-(3-trifluoromethyl-phenoxy)-acetamide (Compound B75).
The title compound was prepared in a similar manner as described in Example 1.2. Yield (8.3 mg, 33%). LCMS m/z (%) = 503.4 (M+H, 100%).1H-NMR (400 MHz, CDCl3) δ ppm 1.35-1.45 (m, 2H)5 1.51-1.61 (m, 4H), 2.32-2.48 (tn, 4H), 2.70 (t, J = 5.81 Hz, 2H), 3.76 (s, 3H), 4.12 (t, J = 5.81 Hz, 2H), 4.65 (s, 2H), 6.24 (d, J = 2.02 Hz, IH), 6.98 (d, J = 8.84 Hz, IH), 7.16 (dd, J = 8-34, 2.53 Hz, IH), 7.23-7.25 (m, IH), 7.33 (d, J = 7.58 Hz, IH), 7.44 (d, J = 2.78 Hz, IH), 7.45-7.52 (m, 2H), 7.66 (dd, J = 8.97, 2.65 Hz, IH), 8.19 (s, IH).
Example 1.31: Preparation of 2-(3-FIuoro-phenoxy)-N-[3-(2-methyl-2H-pyrazol-3-yl)-4-(2- piperidin-l-yl-ethoxy)-phenyl]-acetamide (Compound B81).
The title compound was prepared in a similar manner as described in Example 1.2. Yield (7.3 mg, 32%). LCMS m/z (%) = 453.4 (M+H, 100%).1H-NMR (400 MHz, CDCl3) δ ppm 1.35-1.45 (m, 2H), 1.50-1.62 (m, 4H), 2.28-2.52 (m, 4H), 2.71 (t, J = 5.81 Hz, 2H), 3.75 (s, 3H), 4.12 (t, J = 5.94 Hz, 2H), 4.60 (s, 2H), 6.24 (d, J = 1.77 Hz, IH), 6.72 (dt, J = 10.23, 2.53 Hz, IH), 6.75-6.81 (m, 2H), 6.98 (d, J = 8.84 Hz, IH), 7.27-7.34 (m, IH), 7.43 (d, J = 2.78 Hz, IH), 7.49 (d, J = 2.02 Hz, IH), 7.65 (dd, J = 8.84, 2.78 Hz, IH), 8.17 (s, IH).
Example 1.32: Preparation of 2-(3-ChIoro-phenoxy)-N-[3-(2-methyl-2H-pyrazol-3-yl)-4- (2-piperidin-l-yI-ethoxy)-phenyl]-acetamide (Compound B86).
The title compound was prepared in a similar manner as described in Example 1.2. Yield (7.9 mg, 33%). LCMS m/z (%) = 469.4 (M+H, 100%).1H-NMR (400 MHz, CDCl3) δ ppm 1.36-1.46 (m, 2H), 1.51-1.61 (m, 4H), 2.33-2.46 (m, 4H), 2.70 (t, J = 5.94 Hz, 2H), 3.76 (s, 3H), 4.12 (t, J = 5.94 Hz, 2H), 4.60 (s, 2H), 6.24 (d, J = 2.02 Hz, IH), 6.87 (dd, J = 8.34, 1.77 Hz, IH), 6.98 (d, J = 9.09 Hz, IH), 7.00-7.03 (m, IH), 7.03-7.08 (m, IH), 7.27 (X, J = 8.21 Hz, IH), 7.43 (d, J = 2.53 Hz, IH), 7.49 (d, J = 2.02 Hz, IH), 7.65 (dd, J = 8.97, 2.65 Hz, IH), 8.16 (s, IH).
Example 1.33: Preparation of N-[3-(2-Methyl-2H-pyrazol-3-yl)-4-(2-piperidin-l-yl- ethoxy)-phenyl]-2-m-toIyloxy-acetamide (Compound B92).
The title compound was prepared in a similar manner as described in Example 1.2. Yield (6.2 mg, 28%). LCMS m/z (%) = 449.3 (M+H, 100%).1H-NMR (400 MHz, CDCl3) δ ppm 1.36-1.45 (m, 2H), 1.50-1.62 (m, 4H), 2.36 (s, 3H), 2.37-2.50 (m, 4H), 2.70 (t, J = 5.81 Hz, 2H), 3.76 (s, 3H), 4.12 (t, J = 5.81 Hz, 2H), 4.60 (s, 2H), 6.24 (d, J = 2.02 Hz, IH), 6.78 (dd, J = 8.34, 2.53 Hz, IH), 6.80-6.83 (m, IH), 6.88 (d, J = 7.58 Hz, IH), 6.97 (d, J = 9.09 Hz, IH), 7.22 (t, J => 7.83 Hz, IH), 7.43 (d, J = 2.53 Hz, IH)3 7.49 (d, J = 1.77 Hz, IH)7 7.66 (dd, J = 8.97, 2.65 Hz, IH), 8.24 (s, IH).
Example 1.34: Preparation of 2-(3-Methoxy-phenoxy)-N-[3-(2-methyl-2H-pyrazoI-3-yl)-4- (2-piperidin-l-yl-ethoxy)-phenyl]-acetamide (Compound B98). The title compound was prepared in a similar manner as described in Example 1.2. Yield (7.1 mg, 31%). LCMS m/z (%) = 465.2 (M+H, 100%).
Example 1.35: Preparation of 2-(4-Fluoro-phenoxy)-N-[3-(2-methyl-2H-pyrazol-3-yl)-4-(2- piperidin-l-yl-ethoxy)-phenyl]-acetamide (Compound Bl 06).
The title compound was prepared in a similar manner as described in Example 1.2. Yield (7.0 mg, 31%). LCMS m/z (%) = 453.3 (M+H, 100%).1H-NMR (400 MHz5 CDCl3) δ ppm 1.34-1.46 (m, 2H), 1.48-1.65 (m, 4H), 2.24-2.55 (m, 4H), 2.71 (t, J = 5.81 Hz, 2H), 3.75 (s, 3H), 4.12 (t, J = 5.81 Hz, 2H), 4.58 (s, 2H), 6.24 (d, J = 2.02 Hz, IH), 6.90-7.08 (m, 5H), 7.43 (d, J = 2.78 Hz, IH)5 7.49 (d, J = 1.77 Hz, IH), 7.65 (dd, J = 8.84, 2.78 Hz, IH), 8.21 (s, IH).
Example 1.36: Preparation of 2-(4-Chloro-phenoxy)-N-[3-(2-methyl-2H-pyrazol-3-yl)-4- (2-piperidin-l-yl-ethoxy)-phenyl]-acetamide (Compound BlOl).
The title compound was prepared in a similar manner as described in Example 1.2. Yield (7.6 mg, 32%). LCMS m/z (%) = 469.4 (M+H, 100%).1H-NMR (400 MHz, CDCl3) δ ppm 1.52-1.65 (m, 2H), 1.70-1.78 (m, 4H), 2.41-2.51 (m, 4H), 2.80 (t, J = 6.06 Hz5 2H), 3.76 (s,
3H), 4.10 (t, J = 6.06 Hz, 2H), 4.66 (s, 2H), 6.24 (d, J = 1.77 Hz, IH), 6.99 (d, J = 8.84 Hz3
IH), 7.07 (d, J = 8.59 Hz, 2H), 7.42 (d, J = 2.78 Hz, IH), 7.50 (d, J = 1.77 Hz, IH), 7.63 (d, J
= 9.09 Hz, 2H), 7.67 (dd, J = 8.84, 2.53 Hz, IH), 8.18 (s, IH).
Example 1.37: Preparation of N-[3-(2-MethyI-2H-pyrazol-3-yl)-4-(2-piperidin-l-yl- ethoxy)-phenyl]-2-p-tolyloxy-acetamide (Compound B34).
The title compound was prepared in a similar manner as described in Example 1.2.
Yield (7.2 mg, 32%). LCMS m/z (%) = 449.3 (M+H, 100%).1H-NMR (400 MHz, CDCl3) δ ppm 1.35-1.46 (m, 2H)5 1.49-1.63 (m, 4H), 2.31 (s, 3H)5 2.34-2.51 (m5 4H), 2.70 (t, J = 5.81 Hz,
2H), 3.75 (s, 3H), 4.11 (t, J = 5.81 Hz, 2H), 4.58 (s, 2H), 6.24 (d, 7= 1.77 Hz, IH), 6.83-6.91
(m, 2H)5 6.97 (d, J = 8.84 Hz, IH), 7.14 (d, J = 8.34 Hz5 2H), 7.42 (d, J = 2.53 Hz5 IH)5 7.49
(d, J = 2.02 Hz5 IH), 7.66 (dd, J = 8.84, 2.78 Hz, IH), 8.24 (s, IH).
Example 1.38: Preparation of 2-(4-Methoxy-phenoxy)-N-[3-(2-methyl-2H-pyrazol-3-yl)-4- (2-piperidin-l-yl-ethoxy)-phenyl]-acetamide (Compound B54).
The title compound was prepared in a similar manner as described in Example 1.2. Yield (8.1 mg5 35%). LCMS m/z (%) = 465.3 (M+H5 100%).
Example 1.39: Preparation of N-[3-(2-Methyl-2H-pyrazol-3-yl)-4-(2-piperidin-l-yl- ethoxy)-phenyl]-2-(4-trifluoromethoxy-phenoxy)-acetamide (Compound B73). The title compound was prepared in a similar manner as described in Example 1.2. Yield (8.1 mg, 31%). LCMS m/z (%) = 519.4 (M+H, 100%).1H-NMR (400 MHz, CDCl3) δ ppm 1.36-1.45 (m, 2H), 1.50-1.62 (m, 4H), 2.31-2.48 (m, 4H), 2.70 (t, J = 5.81 Hz, 2H), 3.75 (s, 3H), 4.12 (t, J = 5.81 Hz, 2H), 4.61 (s, 2H), 6.24 (d, J = 1.77 Hz, IH), 6.94-7.03 (m, 3H), 7.17- 7.24 (m, 2H), 7.43 (d, J = 2.78 Hz, IH), 7.49 (d, J = 1.77 Hz, IH), 7.66 (dd, J = 8.84, 2.78 Hz, IH), 8.18 (s, IH).
Example 1.40: Preparation of 2-(4-Cyano-phenoxy)-N-[3-(2-methyl-2H-pyrazol-3-yl)-4-(2- piperidin-l-yl-ethoxy)-phenyl]-acetamide (Compound BlO). The title compound was prepared in a similar manner as described in Example 1.2.
Yield (5.6 mg, 24%). LCMS m/z (%) = 460.4 (M+H, 100%).
Example 1.41: Preparation of 2-(Benzo[l53]dioxoI-5-yloxy)-N-[3-(2-methyl-2H-pyrazol-3- yl)-4-(2-piperidin-l-yl-ethoxy)-phenyl]-acetamide (Compound B20). The title compound was prepared in a similar manner as described in Example 1.2.
.Yield (6.5 mg, 27%). LCMS m/z (%) = 479.3 (M+H, 100%).1H-NMR (400 MHz, CDCl3) δ ppm 1.35-1.44 (m, 2H), 1.48-1.59 (m, 4H), 2.31-2.43 (m, 4H), 2.67 (t, J = 5.81 Hz, 2H), 3.76 (s, 3H), 4.09 (t, J = 5.94 Hz, 2H), 4.53 (s, 2H), 5.96 (s, 2H), 6.24 (d, J = 1.77 Hz, IH), 6.39 (dd, J = 8.59, 2.53 Hz, IH), 6.57 (d, J = 2.53 Hz, IH), 6.74 (d, J = 8.34 Hz, IH), 6.97 (d, J = 8.84 Hz, IH), 7.41 (d, J = 2.78 Hz, IH), 7.49 (d, J = 1.77 Hz, IH), 7.66 (dd, J = 8.97, 2.65 Hz, IH), 8.19 (S, IH).
Example 1.42: Preparation of 2-(2,4-Difluoro-phenoxy)-N-[3-(2-methyl-2H-pyrazol-3-yl)- 4-(2-piperidin-l-yl-ethoxy)-phenyl]-acetamide (Compound Bill). The title compound was prepared in a similar manner as described in Example 1.2.
Yield (8.2 mg, 35%). LCMS m/z (%) = 471.6 (M+H, 100%).1H-NMR (400 MHz, CDCl3) δ ppm 1.35-1.45 (m, 2H), 1.49-1.60 (m, 4H), 2.30-2.46 (m, 4H), 2.67 (t, J = 5.94 Hz, 2H), 3.77 (s, 3H), 4.10 (t, J = 5.94 Hz, 2H), 4.62 (s, 2H), 6.25 (d, / = 1.77 Hz, IH), 6.81-6.90 (m, IH), 6.90- 7.07 (m, 3H), 7.45 (d, J = 2.53 Hz, IH), 7.50 (d, J = 2.02 Hz, IH), 7.67 (dd, J = 8.97, 2.65 Hz, IH), 8.36 (s, IH).
Example 1.43: Preparation of 2-(3,4-Difluoro-phenoxy)-N-[3-(2-methyl-2H-pyrazol-3-yI)- 4-(2-piperidin-l-yl-ethoxy)-phenyl]-acetamide (Compound B47).
The title compound was prepared in a similar manner as described in Example 1.2. Yield (8.0 mg, 34%). LCMS m/z (%) = 471.6 (M+H, 100%).1H-NMR (400 MHz, CDCl3) δ ppm 1.41 (s, 2H), 1.50-1.58 (m, 4H), 2.30-2.47 (m, 4H), 2.67 (t, J = 5.94 Hz, 2H), 3.76 (s, 3H), 4.10 (t, J = 5.94 Hz, 2H), 4.57 (s, 2H), 6.24 (d, J = 1.77 Hz, IH), 6.67-6.74 (m, IH), 6.80-6.88 (m, IH), 6.98 (d, J = 8.84 Hz, IH), 7.14 (q, J = 9.09 Hz, IH), 7.42 (d, J = 2.78 Hz, IH), 7.50 (d, J = 1.77 Hz, IH), 7.66 (dd, J = 8.97; 2.65 Hz, IH), 8:14 (s, IH).
Example 1.44: Preparation of N-[4-[2-(4-Acetyl-piperazin-l-yl)-ethoxy]-3-(2-methyI-2H- pyrazol-3-yl)-phenyl]-2-(4-chloro-phenoxy)-acetamide (Compound B45).
A solution of the 4-chloroρhenyloxyacetyl chloride (12.3 mg, 0.060 mmol), 3-(2- methyl-2H-pyrazol-3-yl)-4-(2-(4-acetylpiperazin-l-yl)-ethoxy)-aniline (17.2 mg, 0.050 mmol), and triethylamine (9.06 μL, 0.0650 mmol) in DMF (0.1 mL) was stirred at 23 °C. After 1 hour the solution was applied to an SCX-cartridge (Phenomenex) conditioned with methanol, the cartridge was washed with methanol, and the product was ehited with 2 M ammonia in methanol. The solution was evaporated to dryness, and the crude product was purified by preparative LCMS. The TFA salt obtained after lyophilization was converted into the free base (11.2 mg, 44%). LCMS m/z (%) = 512.6 (M+H, 100%).1H-NMR (400 MHz, CDCl3) δ ppm 2.07 (s, 3H), 2.31-2.43 (m3 4H), 2.72 (t, / = 5.43 Hz, 2H), 3.32-3.39 (m, 2H), 3.51-3.61 (m, 2H), 3.76 (s, 3H), 4.08 (t, J = 5.31 Hz, 2H), 4.59 (s, 2H), 6.24 (d, J = 2.02 Hz, IH), 6.83-6.96 (m, 2H), 6.98 (d, J = 8.84 Hz3 IH), 7.27-7.36 (m, 2H)3 7.42 (d, J = 2.78 Hz, IH)3 7.50 (d, J = 1.77 Hz, IH), 7.69 (dd, J = 8.84, 2.78 Hz, IH), 8.20 (s, IH).
Example 1.45: Preparation of N-[4-[2-(4-AcetyI-piperazin-l-yI)-ethoxy]-3-(2-methy--2H- pyrazol-3-yl)-phenyl]-2-benzyloxy-acetamide (Compound B59).
A solution of the benzyloxyacetyl chloride (9.316 μL, 0.06000 mmol), 3-(2-methyl-2H- pyrazol-3-yl)-4-(2-(4-acetylpiperazin-l-yl)-ethoxy)-aniline (17.17 mg, 0.050 mmol), and triethylamine (9.060 μL, 0.06500 mmol) in DMF (0.1 mL) was stirred at 230C. After 1 hour the solution was applied to an SCX-cartridge (Phenomenex) conditioned with methanol, the cartridge was washed with methanol, and the product was eluted with 2 M ammonia in methanol. The solution was evaporated to dryness, and the crude product was purified by preparative LCMS. The TFA salt obtained after lyophilization was converted into the free base (10.3 mg, 42%). LCMS m/z (%) = 492.2 (M+H, 100%).
Example 1.46: Preparation of N-[3-(2-Methyl-2H-pyrazoI-3-yl)-4-(2-pyrrolidin-l-yl- ethoxy)-phenyI]-2-phenoxy-acetamide (Compound B70).
A solution of the phenyloxyacetyl chloride (0.008288 mL, 0.06000 mmol), 3-(2-methyl- 2H-pyrazol-3-yl)-4-(2-pyrrolidin-l-yl-ethoxy)-aniline (0.01432 g, 0.050 mmol), and triethylamine (0.01045 mL, 0.07500 mmol) in DMF (0.4 mL) was stirred at 230C. After 1 hour the solution was applied to an SCX-cartridge (Phenomenex) conditioned with methanol, the cartridge was washed with methanol, and the product was eluted with 2 M ammonia in methanol. The solution was evaporated to dryness, and the crude product was purified by preparative LCMS. The TFA salt obtained after lyophilization was converted into the free base (14.7 mg5 70%). LCMS m/z (%) = 512.6 (M+H, 100%).1H-NMR (400 MHz, CDCl3) δ ppm 1.67-1.78 (m, 4H), 2.41-2.51 (m, 4H), 2.79 (t, J = 6.06 Hz, 2H), 3.76 (s, 3H), 4.09 (t, J = 6.06 Hz, 2H), 4.62 (s, 2H), 6.24 (d, J = 1.77 Hz, IH), 6.94-7.02 (m, 3H), 7.03-7.11 (m, IH)5 7.31- 7.39 (m, 2H), 7.42 (d, J = 2.78 Hz, IH), 7.50 (d, / = 1.77 Hz, IH), 7.67 (dd, J = 8.84, 2.78 Hz, IH), 8.25 (s, IH).
Example 1.47: Preparation of 2-Benzyloxy-N-l3-(2-methyl-2H-pyrazol-3-yϊ)-4-(2- pyrrolidin-l-yl-etboxy)-phenyl]-acetamide (Compound B5). A solution of benzyloxyacetyl chloride (9.316 μL, 0.06000 mmol), 3-(2-methyl-2H- pyrazol-3-yl)-4-(2-pyrrolidin-l-yl-ethoxy)-aniline (14.3 mg, 0.050 mmol), and triethylamine (10.5 μL50.0750 mmol) in DMF (0.4 mL) was stirred at 230C. After 1 hour the solution was applied to an SCX-cartridge (Phenomenex) conditioned with methanol, the cartridge was washed with methanol, and the product was eluted with 2 M ammonia in methanol. The solution was evaporated to dryness, and the crude product was purified by preparative LCMS. The TFA salt obtained after lyophilization was converted into the free base (15.1 mg, 70%). LCMS m/z (%) = 435.4 (M+H, 100%).1H-NMR (400 MHz, CDCl3) δ ppm 1.66-1.79 (m, 4H), 2.42-2.53 (m, 4H), 2.79 (t, J = 6.06 Hz5 2H), 3.75 (s, 3H), 4.08 (t, / = 6.19 Hz, 2H), 4.10 (s, 2H), 4.66 (s, 2H), 6.23 (d, J = 2.02 Hz, IH), 6.96 (d, J = 8.84 Hz, IH), 7.31-7.45 (m, 6H)5 7.49 (d, J = 1.77 Hz5 IH)5 7.63 (dd, J = 8.84, 2.78 Hz, IH)5 8.25 (s, IH).
Example 1.48: Preparation of 2-(2-Chloro-phenoxy)-N-l3-(2-methyI-2H-pyrazol-3-yl)-4- (2-pyrrolidin-l-yl*ethoxy)-phenyl]-acetamide (Compound B51).
The title compound was prepared in a similar manner as described in Example 1.3. Yield (14.3 mg, 63%). LCMS m/z (%) = 455.1 (M+H, 100%).1H-NMR (400 MHz, CDCl3) δ ppm 1.64-1.81 (m, 4H)5 2.38-2.56 (m, 4H), 2.80 (t, J = 6.06 Hz, 2H), 3.77 (s, 3H)54.10 (t5 J - 6.06 Hz, 2H), 4.66 (s, 2H)56.26 (d, J = 1.77 Hz, IH), 6.94-7.07 (m, 3H)5 7.25-7.32 (m, IH)5 7.44 (dd, J = 7.96, 1.64 Hz5 IH), 7.47 (d, J = 2.78 Hz5 IH), 7.51 (d, J = 1.77 Hz5 IH)5 7.69 (dd, J = 8.97, 2.65 Hz, IH), 8.61 (s, IH).
Example 1.49: Preparation of N-l3-(2-MethyI-2H-pyrazol-3-yI)-4-(2-pyrrolidin-l-yI- ethoxy)-phenyl]-2-(2-trifluoromethyl-pheπoxy)-acetamide (Compound B61).
The title compound was prepared in a similar manner as described in Example 1.3. Yield (16.9 mg, 69%). LCMS m/z (%) = 489.2 (M+H, 100%).1H-NMR (400 MHz5 CDCl3) δ ppm 1.69-1.78 (m, 4H), 2.43-2.52 (m, 4H), 2.80 (t, J= 6.06 Hz5 2H), 3.77 (s, 3H)54.10 (t, 7 = 6.19 Hz5 2H), 4.69 (s5 2H), 6.27 (d, J = 2.02 Hz, IH)5 6.99 (d, J = 8.84 Hz5 IH), 7.02 (d, J = 8.59 Hz, IH)5 7.15 (t,J = 7.58 Hz, IH), 7.48 (d, J = 2.78 Hz, IH), 7.51 (d, / = 2.02 Hz3 IH), 7.55-7.61 (m, IH), 7.61-7.69 (m5 2H)5 8.44 (s, IH).
Example 1.50: Preparation of N-[3-(2-Methyl-2H-pyrazol-3-yl)-4-(2-pyrrolidin-l-yI- ethoxy)-phenyl]-2-o-tolyIoxy-acetamide (Compound B69).
The title compound was prepared in a similar manner as described in Example 1.3. Yield (19.3 mg, 89%). LCMS m/z (%) = 435.4 (M+H, 100%).1H-NMR (400 MHz, CDCl3) δ ppm 1.60-1.83 (m54H), 2.35 (s, 3H), 2.41-2.54 (m, 4H)5 2.79 (t, J = 6.19 Hz, 2H)5 3.76 (s, 3H)5 4.09 (t, J = 6.06 Hz, 2H), 4.62 (s. 2H), 6.25 (d, / == 1.77 Hz, IH), 6.85 (d, J = 7.83 Hz, IH), 6.99 (d, J = 9.09 Hz5 2H), 7.16-7.25 (m, 2H), 7.40 (d, J = 2.78 Hz5 IH), 7.50 (d, J = 1.77 Hz, IH)5 7.68 (dd, J = 8.84, 2.78 Hz5 IH), 8.28 (s, IH).
Example 1.51: Preparation of 2-(2-Methoxy-phenoxy)-N-[3-(2-methyl-2H-pyrazol-3-yl)-4- (2-pyrroIidin-l-yl-ethoxy)-phenyl]-acetamide (Compound B77). The title compound was prepared in a similar manner as described in Example 1.3.
Yield (16.9 mg5 75%). LCMS m/z (%) = 451.3 (M+H5 100%).
Example 1.52: Preparation of 2-(3-Fluoro-phenoxy)-N-[3-(2-methyl-2H-pyrazol-3-yl)-4-(2- pyrrolidin-l-yl-ethoxy)-phenyl]-acetamide (Compound B83). The title compound was prepared in a similar manner as described in Example 1.3.
Yield (14.3 mg, 65%). LCMS m/z (%) = 439.4 (M+H, 100%).1H-NMR (400 MHz, CDCl3) δ ppm 1.65-1.81 (m, 4H), 2.38-2.53 (m, 4H), 2.79 (t, J = 6.06 Hz5 2H), 3.76 (s, 3H)5 4.09 (t5 J - 6.19 Hz, 2H), 4.61 (s, 2H), 6.24 (d, J = 1.77 Hz, IH)5 6.72 (dt, / = 10.29, 2.31 Hz, IH), 6.75- 6.82 (m, 2H), 6.99 (d, J = 8.84 Hz, IH), 7.27-7.34 (m, IH)5 7.42 (d, J = 2.78 Hz5 IH), 7.50 (d, J = 1.77 Hz5 IH)5 7.67 (dd, J = 8.84, 2.78 Hz, IH), 8.18 (s, IH).
Example 1.53: Preparation of 2-(3-Chloro-phenoxy)-N-[3-(2-methyl-2H-pyrazol-3-yl)-4- (2-pyrrolidin-l-yl-ethoxy)-phenyl]-acetamide (Compound B87).
The title compound was prepared in a similar manner as described in Example 1.3. Yield (17.9 mg, 78%). LCMS m/z (%) = 455.1 (M+H, 100%).1H-NMR (400 MHz, CDCl3) δ ppm 1.69-1.79 (m, 4H), 2.43-2.50 (m, 4H), 2.79 (t, J = 6.06 Hz5 2H), 3.76 (s, 3H), 4.09 (t, J = 6.06 Hz5 2H)5 4.60 (s5 2H), 6.24 (d5 J = 1.77 Hz, IH)5 6.85-6.90 (m, IH), 6.99 (d, J = 8.84 Hz5 IH)5 7.00-7.03 (m, IH), 7.03-7.08 (m, IH)5 7.23-7.31 (m5 IH)5 7.42 (d, J = 2.78 Hz5 IH)5 7.50 (d, J = 2.02 Hz5 IH), 7.66 (dd5 J = 8.84, 2.78 Hz, IH)5 8.18 (s5 IH).
Example 1.54: Preparation of N-[3-(2-Methyl-2H-pyrazol-3-yl)-4-(2-pyrrolidin-l-yl- ethoxy)-phenyl]-2-(3-trifluoromethyl-pheπoxy)-acetamide (Compound B99). The title compound was prepared in a similar manner as described in Example 1.3. Yield (18.0 mg, 74%). LCMS m/z (%) = 489.2 (M+H, 100%).1H-NMR (400 MHz, CDCl3) δ ppm 1.69-1.77 (m, 4H), 2.43-2.51 (m, 4H), 2.80 (t, J = 6.06 Hz, 2H), 3.76 (s, 3H), 4.10 (t, J = 6.06 Hz, 2H), 4.66 (s, 2H), 6.25 (d, J = 1.77 Hz, IH), 6.99 (d, J = 8.84 Hz, IH)3 7.16 (dd, J = 8.21, 2.15 Hz, IH), 7.25 (s, IH), 7.34 (d, J= 7.83 Hz, IH), 7.41-7.53 (m, 3H), 7.67 (dd, J = 8.84, 2.78 Hz, IH), 8.21 (s, IH).
Example 1.55: Preparation of N-I3-(2-Methyl-2H-pyrazol-3-yl)-4-(2-pyrrolidin-l-yl- ethoxy)-phenyl]-2-m-tolyIoxy-acetamide (Compound B30). The title compound was prepared in a similar manner as described in Example 1.3.
Yield (12.9 mg, 59%). LCMS m/z (%) = 435.3 (M+H, 100%).1H-NMR (400 MHz, CDCl3) δ ppm 1.66-1.79 (m, 4H), 2.36 (s, 3H), 2.43-2.51 (m, 4H), 2.79 (t, / = 6.06 Hz, 2H), 3.76 (s, 3H), 4.09 (t, J = 6.19 Hz, 2H), 4.60 (s, 2H), 6.24 (d, J = 1.77 Hz, IH), 6.74-6.83 (m, 2H)3 6.88 (d, J = 7.58 Hz, IH), 6.98 (d, J = 9.09 Hz, IH), 7.17-7.28 (m, IH), 7.42 (d, J = 2.78 Hz, IH), 7.49 (d, J = 2.02 Hz, IH), 7.67 (dd, J = 8.84, 2.78 Hz, IH), 8.24 (s, IH).
Example 1.56: Preparation of 2-(3-Methoxy-phenoxy)-N-[3-(2-methyl-2H-pyrazoI-3-y.)-4- (2-pyrrolidin-l-yl-ethoxy)-phenyl]-acetamide (Compound B50).
The title compound was prepared in a similar manner as described in Example 1.3. Yield ( 16.0 mg, 71 %). LCMS m/z (%) = 451.3 (M+H, 100%).1H-NMR (400 MHz, CDCl3) δ ppm 1.65-1.80 (m, 4H), 2.47 (t, J = 5.94 Hz, 4H), 2.79 (t, J = 6.06 Hz, 2H), 3.76 (s, 3H), 3.81 (s, 3H), 4.09 (t, J = 6.19 Hz, 2H), 4.60 (s, 2H), 6.24 (d, J = 1.77 Hz, IH), 6.51-6.66 (m, 3H), 6.98 (d, J = 8.84 Hz, IH), 7.20-7.30 (m, IH), 7.42 (d, J = 2.78 Hz, IH), 7.49 (d, J = 1.77 Hz, IH), 7.67 (dd, J = 8.84, 2.53 Hz, IH)5 8.22 (s, IH).
Example 1.57: Preparation of 2-(4-Fluoro-phenoxy)-N-[3-(2-methyl-2H-pyrazol-3-yl)-4-(2- pyrrolidin-l-yl-ethoxy)-phenyl]-acetamide (Compound B68).
The title compound was prepared in a similar manner as described in Example 1.3. Yield (16.6 mg, 76%). LCMS m/z (%) =439.4 (M+H, 100%).1H-NMR (400 MHz, CDCl3) δ ppm 1.67-1.82 (m, 4H), 2.38-2.57 (m, 4H), 2.79 (t, J = 6.06 Hz, 2H), 3.76 (s, 3H), 4.09 (t, J = 6.06 Hz, 2H), 4.58 (s, 2H), 6.24 (ά,J = 1.52 Hz, IH), 6.89-7.08 (rn, 5H), 7.42 (d,7 = 2.78 Hz, IH), 7.49 (d, J= 1.26 Hz, IH), 7.67 (dd, ./ = 8.84, 2.53 Hz, IH), 8.21 (s, IH).
Example 1.58: Preparation of N-[3-(2-Methyl-2H-pyrazol-3-yl)-4-(2-pyrrolidin-l-yl- ethoxy)-phenyl]-2-(4-trifluoromethyl-phenoxy)~acetamide (Compound B8).
The title compound was prepared in a similar manner as described in Example 1.3. Yield (16.0 mg, 66%). LCMS m/z (%) = 489.3 (M+H, 100%).1H-NMR (400 MHz, CDCl3) δ ppm 1.67-1.78 (m, 4H), 2.41-2.52 (m, 4H), 2.80 (t, J = 6.06 Hz, 2H), 3.76 (s, 3H), 4.10 (t, J =
6.06 Hz, 2H), 4.66 (s, 2H), 6=24 (d, J = 1.77 Hz, IH), 6.99 (d, J = 8.84 Hz, IH)5 7.07 (d, J =
8.59 Hz, 2H), 7.42 (d, J = 2.78 Hz, IH), 7.50 (d, J = 1.77 Hz, IH)5 7.63 (d, J = 9.09 Hz, 2H),
7.67 (dd, J = 8.84, 2.53 Hz, IH)5 8.18 (s, IH).
Example 1.59: Preparation of N-[3-(2-Methyl-2H-pyrazoI-3-yl)-4-(2-pyrrolidin-l-yl- ethoxy)-phenyl]-2-p-tolyloxy-acetamide (Compound B18).
The title compound was prepared in a similar manner as described in Example 1.3.
Yield (13.9 mg, 64%). LCMS m/z (%) = 435.4 (M+H, 100%).1H-NMR (400 MHz, CDCl3) δ ppm 1.58-1.84 (m, 4H)5 2.31 (s, 3H), 2.37-2.54 (m, 4H), 2.79 (t, J = 6.06 Hz, 2H)5 3.75 (s, 3H),
4.09 (t, J = 6.06 Hz, 2H), 4.58 (s, 2H), 6.24 (d, J = 1.77 Hz, IH)5 6.88 (d, J = 8.59 Hz, 2H),
6.98 (d, J = 8.84 Hz, IH), 7.14 (d, J = 8.59 Hz5 2H), 7.42 (d, J = 2.78 Hz, IH), 7.49 (d, J = 1.77
Hz, IH), 7.67 (dd, J = 8.84, 2.78 Hz, IH), 8.24 (s, IH).
Example 1.60: Preparation of 2-(4-Methoxy-phenoxy)-N-[3-(2-methyl-2H-pyrazol-3-yl)-4- (2-pyrrolidin-l-yl-ethoxy)-phenyl]-acetamide (Compound BIlO).
The title compound was prepared in a similar manner as described in Example 1.3. Yield (17.3 mg, 77%). LCMS m/z (%) = 451.3 (M+H, 100%).1H-NMR (400 MHz5 CDCl3) 5 ppm 1.67-1.79 (m, 4H), 2.40-2.52 (m, 4H), 2.79 (t, J = 6.06 Hz, 2H), 3.76 (s, 3H), 3.78 (s, 3H), 4.09 (t, J = 6.19 Hz, 2H), 4.56 (s, 2H), 6.24 (d, J = 1.77 Hz, IH)5 6.84-6.95 (m, 4H)5 6.98 (d5 J = 8.84 Hz, IH), 7.42 (d, J = 2.78 Hz, IH), 7.49 (d, J = 2.02 Hz, IH)5 7.67 (dd, J = 8.84, 2.78 Hz5 IH)5 8.26 (s, IH).
Example 1.61: Preparation of N-[3-(2-Methyl-2H-pyrazol-3-yl)-4-(2-pyrrolidin-l-yl- ethoxy)-phenyl]-2-(4-trifluoromethoxy-phenoxy)-acetamide (Compound B64).
The title compound was prepared in a similar manner as described in Example 1.3. Yield (8.6 mg, 34%). LCMS m/z (%) = 505.3 (M+H, 100%).1H-NMR (400 MHz, CDCl3) δ ppm 1.70-1.78 (m, 4H)5 2.42-2.51 (m, 4H), 2.80 (t, J= 6.06 Hz, 2H), 3.76 (s, 3H), 4.10 (t, J = 6.19 Hz5 2H), 4.61 (s, 2H), 6.24 (d, J= 2.02 Hz, IH), 6.94-7.04 (m, 3H), 7.15-7.25 (m, 2H), 7.42 (d, J = 2.78 Hz, IH)5 7.50 (d, J = 2.02 Hz5 IH), 7.67 (dd, J = 8.84, 2.78 Hz, IH), 8.17 (s, IH).
Example 1.62: Preparation of 2-(4-AcetyI-phenoxy)-N-[3-(2-methyI-2H-pyrazol-3-yl)-4-(2- pyrrolidin-l-yl-etboxy)-phenyl]-acetamide (Compound B79). The title compound was prepared in a similar manner as described in Example 1.3.
Yield (13.8 mg, 60%). LCMS m/z (%) = 463.3 (M+H, 100%). Example 1.63: Preparation of 2-(4-Cyano-phenoxy)-N-[3-(2-methyI-2H-pyrazol-3-yl)-4-(2- pyrrolidin-l-yl-ethoxy)-phenyl]-acetamide (Compound B89).
The title compound was prepared in a similar manner as described in Example 1.3. Yield (6.4 mg, 29%). LCMS m/z (%) = 446.5 (M+H, 100%).
Example 1.64: Preparation of 2-(2,4-Difluoro-phenoxy)-N-[3-(2-methyl-2H-pyrazol-3-yl)- 4-(2-pyrrolidin-l-yI-ethoxy)-phenyl]-acetamide (Compound Bl 03).
The title compound was prepared in a similar manner as described in Example 1.3. Yield (7.9 mg, 35%). LCMS m/z (%) = 457.3 (M+H, 100%).1H-NMR (400 MHz, CDCl3) δ ppm 1.64-1.79 (m, 4H), 2.38-2.54 (m, 4H), 2.80 (t, J = 6.06 Hz, 2H), 3.76 (s, 3H), 4.10 (t, J = 6.19 Hz5 2H), 4.62 (s, 2H), 6.25 (d, J = 1.77 Hz, IH), 6.81-6.90 (m, IH), 6.90-7.07 (m, 3H), 7.45 (d, J = 2.78 Hz, IH), 7.50 (d, / = 1.77 Hz, IH), 7.67 (dd, J = 8.84, 2.78 Hz, IH), 8.35 (s, IH).
Example 1.65: Preparation of 2-(Benzo[13]dioxol-5-yloxy)-N-[3-(2-methyl-2H-pyrazol-3- yl)-4-(2-pyrrolidin-l-yI-ethoxy)-phenyl]-acetainide (Compound B38).
The title compound was prepared in a similar manner as described in Example 1.3. Yield (12.4 mg, 53%). LCMS m/z (%) = 465.3 (M+H, 100%).1H-NME. (400 MHz, CDCl3) 5 ppm 1.66-1.78 (m, 4H), 2.40-2.54 (m, 4H), 2.79 (t, J = 6.06 Hz, 2H), 3.76 (s, 3H), 4.09 (t, J = 6.19 Hz, 2H), 4.54 (s, 2H)3 5.96 (s, 2H), 6.24 (d, J = 2.02 Hz, IH), 6.39 (dd, J = 8.34, 2.53 Hz, IH), 6.57 (d, J = 2.78 Hz, IH), 6.74 (d, J = 8.34 Hz, IH), 6.98 (d, J = 8.84 Hz, IH)5 7.42 (d, J = 2.78 Hz, IH), 7.49 (d, J = 1.77 Hz, IH), 7.67 (dd, J = 8.84, 2.78 Hz, IH), 8.20 (s, IH).
Example 1.66: Preparation of 2-(4-Chloro-phenoxy)-2-methyl-N-[3-(2-methyl-2H-pyrazol- 3-yl)-4-(2-pyrrolidin-l-yl-ethoxy)-phenyl]-propionamide (Compound B91).
The title compound was prepared in a similar manner as described in Example 1.3. Yield (18.1 mg, 75%). LCMS m/z (%) = 483.3 (M+H, 100%).1H-NMR (400 MHz, CDCl3) δ ppm 1.57 (s, 6H), 1.68-1.79 (m, 4H), 2.41-2.51 (m, 4H), 2.79 (t, 7 = 6.06 Hz, 2H), 3.76 (s5 3H), 4.08 (t, J = 6.06 Hz, 2H), 6.24 (d, J = 2.02 Hz5 IH), 6.89-6.95 (m, 2H), 6.97 (d, J = 9.09 Hz, IH), 7.23-7.30 (m, 2H)3 7.45 (d, J = 2.78 Hz, IH), 7.48 (d, J = 2.02 Hz, IH), 7.62 (dd, J = 8.84, 2.78 Hz, IH), 8.46 (s, IH).
Example 1.67: Preparation of N-[4-[2-(4-Acetyl-piperazin-l-yl)-ethoxy]-3-(2-methyl-2H- pyrazol-3-yl)-phenyl]-2-(2-chloro-phenoxy)-acetamide (Compound B97). The title compound was prepared in a similar manner as described in Example 1.3.
Yield (4.1 mg, 16%). LCMS m/z (%) = 512.6 (M+H, 100%). Example 1.68: Preparation of N-[4-[2-(4-Acetyl-piperazin-l~yl)-ethoxy]-3-(2-methyl-2H- pyrazol-3-yl)-phenyl]-2-(2-trifluoromethyl-phenoxy)-acetamide (Compound B105).
The title compound was prepared in a similar manner as described in Example 1.3. Yield (21.1 mg, 77%). LCMS m/z (%) = 546.4 (M+H, 100%).1H-NMR (400 MHz, CDCl3) δ ppm 2.07 (s, 3H)3 2.31-2.44 (m, 4H), 2.71 (t, J = 5.31 Hz, 2H), 3.31-3.40 (m, 2H), 3.50-3.61 (m, 2H), 3.77 (s, 3H), 4.08 (t, J = 5.31 Hz, 2H), 4.69 (s, 2H), 6.27 (d, J = 2.02 Hz, IH), 6.99 (d, J = 8.84 Hz, IH), 7.03 (d, J = 8.34 Hz, IH), 7.15 (t, J = 7.58 Hz, IH), 7.49 (d, / = 2.78 Hz, IH)3 7.51 (d, J = 2.02 Hz, IH), 7.58 (t, J - 7.96 Hz, IH), 7.62-7.70 (m, 2H), 8.45 (s, IH).
Example 1.69: Preparation of N-[4-[2-(4-Aceryl-piperazin-l-yl)-ethoxy]-3-(2-methyl-2H- pyrazol-3-yl)-phenyl]-2-o-tolyloxy-acetamide (Compound B3).
The title compound was prepared in a similar manner as described in Example 1.3. Yield (18.5 mg, 75%). LCMS m/z (%) = 492.2 (M+H, 100%).1H-NMR (400 MHz, CDCl3) 5 ppm 2.06 (s, 3H), 2.22-2.47 (m, 7H), 2.71 (t, J = 5.43 Hz, 2H), 3.28-3.41 (m, 2H), 3.47-3.61 (m, 2H), 3.76 (s, 3H)3 4.08 (t, J = 5.43 Hz, 2H), 4.62 (s, 2H)3 6.25 (d, J = Ul Hz3 IH)3 6.85 (d, J = 8.08 Hz3 IH), 6.94-7.03 (m, 2H)3 7.16-7.24 (m3 2H)5 7.41 (d, J = 2.78 Hz, IH), 7.50 (d, J = 1.77 Hz3 IH), 7.70 (dd, J = 8.84, 2.78 Hz, IH), 8.30 (s, IH).
Example 1.70: Preparation of N-[4-[2-(4-Acetyl-piperazin-l-yl)-ethoxy]-3-(2-methyl-2H- pyrazoI-3-yI)-phenyl]-2-(3-fluoro-phenoxy)-acetamide (Compound B7).
The title compound was prepared in a similar manner as described in Example 1.3. Yield (18.5 mg, 75%). LCMS m/z (%) = 496.4 (M+H, 100%).
Example 1.71: Preparation of N-[4-[2-(4-AcetyI-pϊperazin-l-yl)-ethoxy]-3-(2-methyl-2H- pyrazol-3-yl)-phenyl]-2-(3-chloro-phenoxy)-acetamide (Compound B14).
The title compound was prepared in a similar manner as described in Example 1.3. Yield (24.1 mg, 94%). LCMS m/z (%) = 512.5 (M+H, 100%).1H-NMR (400 MHz, CDCl3) δ ppm 2.06 (s, 3H), 2.30-2.45 (m, 4H), 2.71 (t, J = 5.43 Hz, 2H), 3.27-3.40 (m, 2H), 3.50-3.61 (m, 2H), 3.76 (s, 3H), 4.08 (t, J = 5.43 Hz, 2H), 4.61 (s, 2H), 6.24 (d, J = 2.02 Hz3 IH), 6.86-6.90 (m, IH), 6.98 (d, J = 8.84 Hz, IH), 7.01 (t, J = 2.15 Hz, IH), 7.03-7.08 (m, IH), 7.27 (t, J =
8.08 Hz, IH), 7.43 (d, J = 2.78 Hz, IH), 7.49 (d, J = 2.02 Hz, IH)3 7.69 (dd, J = 8.97, 2.65 Hz, IH), 8.22 (s, IH).
Example 1.72: Preparation of N-[4-[2-(4-AcetyI-piperazin-l-yl)-ethoxyJ-3-(2-methyI-2H- pyrazol-3-yI)-phenyl]-2-(3-trifluoromethyl-phenoxy)-acetamide (Compound B17).
The title compound was prepared in a similar manner as described in Example 1.3. Yield (21.0 mg, 77%). LCMS m/z (%) = 546.4 (M+H, 100%).1H-NMR (400 MHz, CDCl3) δ ppm 2.06 (s, 3H), 2.30-2.43 (m, 4H), 2.71 (t, / = 5.43 Hz, 2H), 3.30-3.39 (m, 2H), 3.51-3.58 (m, 2H), 3.76 (s, 3H), 4.08 (t, J = 5.43 Hz, 2H), 4.66 (s, 2H), 6.24 (d, J = 1.77 Hz, IH), 6.99 (d, J = 9.09 Hz, IH), 7.16 (dd, J = 8.34, 2.53 Hz, IH), 7.22-7.26 (m, IH), 7.33 (d, J = 7.83 Hz, IH), 7.44 (d, J = 2.53 Hz, IH), 7.45-7.51 (m, IH), 7.49 (d, J = 2.02 Hz, IH), 7.70 (dd, J = 8.84, 2.78 Hz, IH), 8.28 (s, IH).
Example 1.73: Preparation of N-[4-[2-(4-Acetyl-piperazin-l-yI)-ethoxy]-3-(2-methyl-2H- pyrazol-3-yl)-phenyl]-2-m-tolyloxy-acetamide (Compound B23).
The title compound was prepared in a similar manner as described in Example 1.3. Yield (24 mg, 98%). LCMS m/z (%) = 492.2 (M+H, 100%).1H-NMR (400 MHz, CDCl3) δ ppm 2.06 (s, 3H), 2.28-2.47 (m, 7H), 2.71 (t, J = 5.43 Hz, 2H), 3.30-3.41 (m, 2H), 3.51-3.62 (m, 2H), 3.76 (s, 3H), 4.07 (t, J = 5.43 Hz, 2H), 4.60 (s, 2H), 6.24 (d, J = 2.02 Hz, IH), 6.78 (dd, J = 8.08, 2.53 Hz, IH), 6.80-6.83 (m, IH), 6.88 (d, J = 7.58 Hz, IH), 6.97 (d, J = 8.84 Hz, IH), 7.22 (t, J = 7.83 Hz, IH), 7.43 (d, J = 2.78 Hz, IH), 7.49 (d, J = 2.02 Hz, IH), 7.70 (dd, J = 8.84, 2.78 Hz, IH), 8.28 (s, IH).
Example 1.74: Preparation of N-[4-[2-(4-Acetyl-piperazin-l-yl)-ethoxy]-3-(2-methyl-2H- pyrazol-3-yl)-phenyl]-2-(3-methoxy-phenoxy)-acetamide (Compound B109).
The title compound was prepared in a similar manner as described in Example 1.3. Yield (23.7 mg, 93%). LCMS m/z (%) = 508.2 (M+H, 100%).
Example 1.75: Preparation of N-[4-[2-(4-Acetyl-piperazin-l-yl)-ethoxy]-3-(2-methyl-2H- pyr azol-3-yl)-phenyl] -2-(4-fluoro-phenoxy)-acetamide (Co mpound B32).
The title compound was prepared in a similar manner as described in Example 1.3. Yield (23.3 mg, 94%). LCMS m/z (%) = 496.4 (M+H, 100%).
Example 1.76: Preparation of N-[4-[2-(4-Acetyl-piperazm-l-yl)-ethoxyj-3-(2-methyl-2H- pyrazol-3-yl)-phenyl]-2-(4-trifluoromethyl-ρhenoxy)-acetamide (Compound B42).
The title compound was prepared in a similar manner as described in Example 1.3. Yield (25.5 mg, 94%). LCMS m/z (%) = 546.3 (M+H, 100%).1H-NMR (400 MHz, CDCl3) δ ppm 2.06 (s, 3H), 2.30-2.43 (m, 4H), 2.71 (t, J - 5.43 Hz, 2H), 3.31-3.38 (m, 2H), 3.50-3.59 (m, 2H), 3.71-3.78 (m, 3H), 4.08 (t, J = 5.31 Hz, 2H), 4.67 (s, 2H), 6.24 (d, J = 1.77 Hz, IH), 6.98 (d, J = 8.84 Hz, IH), 7.07 (d, J = 8.34 Hz, 2H), 7.43 (d, J = 2.78 Hz, IH), 7.49 (d, J = 1.77 Hz, IH), 7.62 (d, J= 8.59 Hz, 2H), 7.69 (dd, J = 8.84, 2.78 Hz, IH), 8.23 (s, IH).
Example 1.77: Preparation of N-[4-l2-(4-Acetyl-piperazin-l-yl)-ethoxy]-3-(2-methyl-2H- pyrazol-3-yl)-phenyl]-2-p-tolyloxy-acetamide (Compound B52). The title compound was prepared in a similar manner as described in Example 1.3. Yield (23.6 mg, 96%). LCMS m/z (%) = 492.2 (M+H, 100%).
Example 1.78: Preparation of N-[4-[2-(4-Acetyl-piperazin-l-yl)-ethoxy]-3-(2-methyl-2H- pyrazol-3-yl)-phenyl]-2-(4-methoxy-phenoxy)-acetamide (Compound B62).
The title compound was prepared in a similar manner as described in Example 1.3. Yield (25.5 mg, 100%). LCMS m/z (%) = 508.1 (M+H, 100%).
Example 1.79: Preparation of N-[4-[2-(4-Acetyl-piperazin-l-yl)-ethoxy]-3-(2-methyl-2H- pyrazol-3-yl)-phenyl]-2-(4-trifluoromethoxy-phenoxy)-acetamide (Compound B26).
The title compound was prepared in a similar manner as described in Example 1.3. Yield (18.3 mg, 82%). LCMS m/z (%) = 562.3 (M+H, 100%).1H-NMR (400 MHz, CDCI3) δ ppm 2.07 (s, 3H), 2.29-2.44 (m, 4H), 2.72 (t, J = 5.43 Hz, 2H), 3.31-3.41 (m, 2H), 3.51-3.59 (m, 2H), 3.76 (s, 3H), 4.08 (t, J = 5.43 Hz, 2H), 4.62 (s, 2H), 6.24 (d, / = 2.02 Hz, IH), 6.95-7.04 (m, 3H)57.22 (d, J = 8.34 Hz, 2H), 7.43 (d, J = 2.78 Hz, IH), 7.50 (d, J = 1.77 Hz, IH), 7.70 (dd, J = 8.84, 2.53 Hz3 IH), 8.22 (s, IH).
Example 1.80: Preparation of N-[4-[2-(4-Acetyl-piperazin-l-yl)-ethoxyJ-3-(2-methyl-2H- pyrazol-3-yl)-phenyl]-2-(benzo [1,3] dioxol-5-yloxy)-acetamide (Compound B40). The title compound was prepared in a similar manner as described in Example 1.3.
Yield (16.9 mg, 81%). LCMS m/z (%) = 522.4 (M+H, 100%).
Example 1.81: Preparation of N-[4-[2-(4-Acetyl-piperazin-l-yI)-ethoxy]-3-(2-methyl-2H- pyrazol-3-yl)-phenyl]-2-(2,4-difluoro-phenoxy)-acetamϊde (Compound B60). The title compound was prepared in a similar manner as described in Example 1.3.
Yield (13.6 mg, 66%). LCMS m/z (%) = 514.5 (M+H, 100%).
Example 1.82: Preparation of 2-(4-Acetyl-phenoxy)-N-[4-[2-(4-acetyl-piperazin-l-yI)- ethoxy]-3-(2-methyl-2H-pyrazol-3-yl)-phenyl]-acetamide (Compound B76). The title compound was prepared in a similar manner as described in Example 1.3.
Yield (18.6 mg, 90%). LCMS m/z (%) = 520.4 (M+H, 100%).
Example 1.83: Preparation of N-(3-(2-Methyl-2H-pyrazol-3-yl)-4-(2-methyI-2- nitropropoxy)phenyl)acetamide. Cesium carbonate (7.04 g, 21.6 mmol) was added to a solution of 2-methyl-2- nitropropyl methanesulfonate (2.39 g, 12.1 mmol) andN-(4-hydroxy-3-(2-methyl-2H-pyrazol-3- yl)phenyl)acetamide (2.00 g, 8.65 mmol) in DMA (15 mL), and the mixture was stirred at 1600C. After 2 hours the solvent was evaporated, and the residue was triturated with water. The precipitate was isolated by filtration, washed with water and dried under reduced pressure to afford the title compound (2.38 g, 83%) as a tan solid. LCMS m/z (%) = 333.4 (M+H, 100%).1H-NMR (400 MHz, DMSO--/S) δ ppm 1.47 (s, 6H), 2.02 (s, 3H), 3.53 (s, 3H), 4.32 (s, 2H), 6.15 (d, J = 2.02 Hz, IH), 7.14 (d, J = 8.84 Hz, IH), 7.44 (d, J = 1.77 Hz, IH), 7.49 (d, J = 2.78 Hz, IH), 7.62 (dd, J = 8.97, 2.65 Hz, IH), 9.94 (s, IH).
Example 1.84: Preparation of N-[4-(2-Amino-2-methyl-propoxy)-3-(4-bromo-2-methyl- 2H-pyrazol-3-yl)-phenyI]-2-(4-chloro-phenoxy)-acetamide (Compound B48). 2-(4-Chlorophenoxy)acetyl chloride (11 mg, 0.06 mmol) was added to a solution of 3-
(4-bromo-2-methyl-2H-pyrazol-3-yl)-4-(2-methyl-2-nitropropoxy)aniline (18 mg, 0.05 mmol) and N,N-diisopropylethylamine (10 μL, 0.06 mmol) in DCM (0.5 mL), and the mixture was stirred at room temperature. After 1 hour the solution was diluted with DCM, washed with 1 M hydrochloric acid and saturated sodium bicarbonate, dried with sodium sulfate, filtered, and evaporated to dryness. The residue was dissolved in methanol (0.5 mL), acetic acid (0.1 mL) was added followed by zinc dust (33 mg), and the mixture was stirred at room temperature. After 4 hours the suspension was made basic with ammonium hydroxide and extracted twice with ethyl acetate. The combined extracts were evaporated to dryness, purified by preparative LCMS and lyophilized to give the title compound (18.4 mg, 0.0293 mmol, 59%) as a white powder. LCMS m/z (%) = 507.3 (M+H81Br 50%), 509.2 (M+H79Br 46%).1H-NMR (400
MHz, DMSCW6) δ ppm 1.16 (d, J = 6.32 Hz, 6H), 3.64 (s, 3H), 3.80 (d, J= 9.85 Hz, IH), 3.96 (d, J = 9.60 Hz, IH), 4.66-4.75 (m, 2H), 6.99-7.08 (m, 2H), 7.25 (d, J = 8.84 Hz, IH), 7.33-7.41 (m, 2H), 7.55 (d, J = 2.78 Hz, IH), 7.66 (s, IH), 7.82 (dd, J = 8.97, 2.65 Hz, IH), 7.89 (s, 3H).
Example 1.85: Preparation of N-[4-[2-(4-Acetyl-piperazin-l-yl)-ethoxy]-3-(2-methyl-2H- pyrazoI-3-yl)-phenyl]-2-phenyIsulfanyl-acetamide (Compound C5).
A solution of the 2-(phenylthio)acetyl chloride (8.903 μL, 0.06000 mmol), 3-(2-methyl- 2H-pyrazol-3-yl)-4-(2-(4-acetylpiperazin-l-yl)-ethoxy)-aniline (17.17 mg, 0.050 mmol), and triethylamine (9.060 μL, 0.06500 mmol) in DMF (0.1 mL) was stirred at 230C. After 1 hour the solution was applied to an SCX-cartridge (Phenomenex) conditioned with methanol, the cartridge was washed with methanol, and the product was eluted with 2 M ammonia in methanol. The solution was evaporated to dryness, and the crude product was purified by preparative LCMS. The TFA salt obtained after lyophilization was converted into the free base ( 10.6 mg, 44%). LCMS m/z (%) = 494.4 (M+H, 100%).
Example 1.86: Preparation of N-[3-(2-Methyl-2H-pyrazol-3-yl)-4-(2-pyrrolidin-l-yl- ethoxy)-phenyl]-2-p-tolylsuIfanyI-acetamide (Compound ClO). The title compound was prepared in a similar manner as described in Example 1.3. Yield (7.9 mg, 35%). LCMS m/z (%) = 451.2 (M+H, 100%).1H-NMR (400 MHz, CDCl3) δ ppm 1.66-1.78 (m, 4H), 2.31 (s, 3H), 2.39-2.53 (m, 4H), 2.78 (t, J= 6.06 Hz, 2H), 3.73 (s, 2H), 3.73 (s, 3H), 4.07 (W = 6.06 Hz, 2H)3 6.22 (d, J = 1.77 Hz, IH), 6.94 (d, J= 8.84 Hz, IH), 7.13 (d, J = 7.83 Hz, 2H), 7.25 (d, J = 7.58 Hz, 2H), 7.29 (d,y = 2.78 Hz, IH), 7.49 (d, J = 1.77 Hz, IH), 7.54 (dd, J = 8.84, 2.53 Hz, IH), 8.56 (s, IH).
Example 1.87: Preparation of 2-(4-Fluoro-ptaenylsmfanyl)-N-l3-(2-methyl-2H-pyrazol-3- yl)-4-(2-pyrrolidin-l-yl-ethoxy)-phenyl]-acetamide (Compound C2). The title compound was prepared in a similar manner as described in Example 1.3.
Yield (14.5 mg, 64%). LCMS m/z (%) = 455.1 (M+H, 100%).1H-NMR (400 MHz, CDCl3) δ ppm 1.65-1.77 (m, 4H), 2.39-2.53 (m, 4H), 2.78 (t, /= 6.19 Hz, 2H), 3.72 (s, 2H), 3.74 (s, 3H), 4.07 (t, J = 6.06 Hz, 2H), 6.22 (d, J = 2.02 Hz, IH), 6.95 (d, J = 8.84 Hz, IH), 7.03 (t, J = 8.72 Hz, 2H), 7.30 (d, J = 2.53 Hz, IH), 7.33-7.39 (m, 2H), 7.49 (d, J = 1.77 Hz, IH), 7.55 (dd, J = 8.97, 2.65 Hz, IH), 8.51 (s, IH).
Example 1.88: Preparation of 2-(4-Chloro-phenylsulfanyl)-N-[3-(2-methyl-2H-pyrazol-3- yl)-4-(2-pyrrolidin-l-yl-ethoxy)-phenyl]-acetamide (Compound C7).
The title compound was prepared in a similar manner as described in Example 1.3. Yield (13.8 mg, 59%). LCMS m/z (%) = 471.4 (M+H, 100%). Η-NMR(400 MHZ, CDCl3) δ ppm 1.66-1.78 (m, 4H), 2.42-2.50 (m, 4H), 2.78 (t, J = 6.06 Hz, 2H), 3.73 (s, 3H), 3.75 (s, 2H), 4.07 (t, / = 6.06 Hz, 2H), 6.22 (d, J = 2.02 Hz, IH), 6.94 (d, J = 9.09 Hz, IH), 7.24-7.32 (m, 5H), 7.49 (ά, J= 2.02 Hz, IH), 7.54 (dd, J = 8.84, 2.78 Hz, IH), 8.48 (s, IH).
Example 1.89: Preparation of 2-(3,4-Dimethoxy-pnenylsulfanyl)-N-l3-(2-methyl-2H- pyrazol-3-yI)-4-(2-pyrrolidin-l-yl-ethoxy)-phenyl]-acetamide (Compound Cl 1).
The title compound was prepared in a similar manner as described in Example 1.3. Yield (18.4 mg, 74%). LCMS m/z (%) = 497.4 (M+H, 100%).
Example 1.90: Preparation of N-[4-[2-(4-Acetyl-piperazin-l-yl)-ethoxy]-3-(2-methyl-2H- pyrazol-3-yl)-phenyi]-2-(4-fluoro-phenylsulfanyl)-acetamide (Compound C8).
The title compound was prepared in a similar manner as described in Example 1.3. Yield (18.1 mg, 88%). LCMS m/z (%) = 512.4 (M+H, 100%).
Example 1.91: Preparation of l-(2-(benzyloxy)phenyl)-2-methoxyethanone.
Magnesium (0.729 g, 30.0 mmol) was placed into a flame-dried, 250 mL, three-neck flask under an argon atmosphere and covered with ether (5 mL). A solution of 2- benzyloxybromobenzene (0.789 g) in dry ether (5 mL) was added without stirring. After 15 minutes, the reaction had not started and a crystal of iodine was added. After 1 hour when the reaction had still not started, the rest of 2-benzyIoxybromobenzene (7.1 g) in ether (20 mL) was added, and the mixture was heated on a water bath to a light reflux. After 2 hours the mixture had become cloudy, and almost all the magnesium had dissolved. The mixture was cooled to - 200C, and a solution of methoxyacetonitrile (1.88 mL, 25.0 mmol) in ether (10 mL) was added dropwise. Large amounts of a yellow precipitate formed during the addition. The ice bath was removed, and the mixture was stirred at room temperature for 2 hours. The suspension was cooled again to -200C, and the reaction was quenched by addition of 50 mL of cracked ice and water. Dilute sulfuric acid (10 mL, cooled to -20°C, one part concentrated sulfuric acid and two parts water) was added, and the mixture was allowed to warm to room temperature. A clear two-phase mixture was obtained. The layers were separated, and the aqueous layer was extracted with ethyl acetate. The combined organic layers were washed with saturated sodium bicarbonate and brine, dried with sodium sulfate, filtered, and evaporated to dryness. The crude product was purified by flash chromatography (ethyl acetate.hexanes, 1:4) to give the title compound (3.95 g, 62%) as a yellow liquid. LCMS m/z (%) 257.4 (M+H 38%) 225.2 (12%) 197.1 (100%).1H-NMR (400 MHz, CDCl3) 6 ppm 3.38 (s, 3H), 4.60 (s, 2H), 5.17 (s, 2H), 7.01- 7.10 (m, 2H), 7.32-7.55 (m, 6H), 7.92 (dd, J = 7.71, 1.89 Hz, IH).
Example 1.92: Preparation of l-(2-(benzyloxy)-5-nitrophenyl)-2-methoxyethanone. l-(2-(benzyloxy)phenyl)-2-methoxyethanone (2.68 g, 10.5 mmol) was dissolved in acetic anhydride (1.50 mL, 15.9 mmol) and the solution was cooled to -200C. Nitrating acid was prepared by adding fuming nitric acid (1.10 mL, 27.0 mmol) to a mixture of acetic anhydride (1.50 mL, 15.9 mmol) and acetic acid (1.50 mL, 26.2 mmol). The nitrating acid was cooled to -200C, and added slowly to the substrate solution. Precipitation of the product during the reaction made stirring difficult and a mixture of acetic acid (1 mL) and acetic anhydride (1 mL) was added after ~ 30 minutes to facilitate stirring. The reaction mixture was allowed to warm to room temperature and stirred for 2 hours. The solution was quenched by adding crushed ice, and a yellow precipitate was isolated by filtration, washed with water, and dried under reduced pressure. The crude product was crystallized from ethanol to give the title compound (2.03 g, 64%) as a pale yellow solid. LCMS m/z (%) = 302.1 (M+H, 100%).1H- NMR (400 MHz, CDCl3) δ ppm 3.38 (s, 3H), 4.56 (s, 2H), 5.28 (s, 2H), 7.15 (d, J = 9.35 Hz, IH), 7.40-7.48 (m, 5H), 8.36 (dd, J = 9.09, 3.03 Hz, IH), 8.76 (d, /= 2.78 Hz9 IH).
Example 1.93: l-(2-(benzyIoxy)-5-nitrophenyl)-3-(dimethylamino)-2-methoxyprop-2-en-l- one. l-(2-(Benzyloxy)-5-nitrophenyl)-2-methoxyethanone (1.52 g, 5045 μmol) and N5N- dimethylformamide dimethyl acetal (1013 μL, 7567 μmol) in 10 mL of DMF were heated to 1200C for 1 hour in a microwave oven. The dark brown solution was evaporated to dryness, and the residue was dissolved in DCM and filtered over a short silica gel column using ethyl acetate:hexanes 1:1 as the eluent. The crude product was purified by crystallization from ethyl acetaterhexanes to give the title compound (877 mg, 48.8% yield) as yellow needles. LCMS m/z (%) = 357.3 (M+H, 100%).1H-NMR (400 MHz, CDCl3) δ ppm 3.08 (br s, 6H), 3.70 (br s, 3H), 5.22 (s, 2H), 6.27 (br s, IH), 7.00 (d, J = 9.09 Hz, IH), 7.28-7.45 (m, 5H), 8.10 (br s, IH), 8.20 (dd, J = 9.09, 2.78 Hz, IH).
Example 1.94: 3-(2-benzyloxy-5-nitrophenyI)-4-methoxy-2-methyI-2H-pyrazole.
Hydrochloric acid (37%, 0.81 mL, 9.82 mmol) was added to a solution of methylhydrazine (209 μL, 3.93 mmol) in methanol (5 mL), and the mixture was cooled in an ice bath. Solid (Z)- 1 -(2-(benzyloxy)-5-nitrophenyl)-3 -(dimethylamino)-2-methoxyprop-2-en- 1 -one (1.17 g, 3.28 mmol) was added, and the mixture was allowed to warm to room temperature. During the reaction all the bright yellow starting material dissolved, and the product formed a fine, pale-yellow precipitate. After 22 hours, the suspension was placed in an ice bath for 1 hour and the product was isolated by filtration, washed with cold methanol and dried under reduced pressure to give the title compound (975 mg, 87.74% yield) as a pale yellow powder. LCMS m/z (%) = 340.3 (M+H, 100%).1H-NMR (400 MHz, DMSCW6) 6 ppm 3.56 (s, 3H), 3.68 (s, 3H), 5.33 (s, 2H), 7.30-7.42 (m, 6H), 7.49 (d, J = 9.35 Hz, IH), 8.09 (d, J = 3.03 Hz, IH), 8.36 (dd, J = 9.22, 2.91 Hz, IH).
Example 1.95: 4-amino-2-(4-methoxy-2-methyI-2H-pyrazoI-3-yl)phenol Palladium on carbon (15 mg, 141 μmol) was added to a solution of 3-(2-(benzyloxy)-5- nitrophenyl)-4-methoxy-2-methyl-2H-pyrazole (975 mg, 2873 μmol) in THF (6 mL), and the mixture was stirred under hydrogen. After 30 minutes, large amounts of the intermediate nitrophenol had precipitated, and the reaction flask was placed in a 400C water bath. After 8 hours, the mixture was filtered over a pad of Celite, and the filtrate was evaporated to dryness and dried under reduced pressure to give the title compound (626 mg, 99%) as brown solid. LCMS m/z (%) = 220.2 (M+H, 100%).1H-NMR (400 MHz, CDCl3) δ ppm 3.32-3.70 (br s, IH), 3.80 (s, 3H), 3.84 (s, 3H), 5.44-6.16 (br s, IH), 6.55 (d, J = 2.78 Hz, IH), 6.71 (dd, J = 8.59, 2.78 Hz, IH), 6.90 (d, J = 8.59 Hz, IH), 7.36 (s, IH).
Example 1.96: tert-Butyl 4-hydroxy-3-(4-methoxy-2-methyl-2H-pyrazol-3- yl)phenylcarbamate. Di-tert-butyl dicarbonate (685 mg, 3141 μmol) was added to a solution of 4-amino-2-(4- methoxy-2-methyl-2H-pyrazol-3-yl)phenol (626 mg, 2855 μmol) in DMF (5 mL), and the mixture was stirred at 400C. After 1 hour, the solvent was evaporated under reduced pressure, and the residue was taken up in ethyl acetate and washed with 1 M citric acid, water, and brine. The solution was dried with sodium sulfate, filtered, and evaporated to dryness to give a light brown oil (936 mg, 103%) that was used for the next step without further purification. LCMS m/z (%) = 319.9 (M+H 71%), 264.0 (100%), 220.0 (55%).1H-NMR (400 MHz, MeOKW,) δ ppm 1.50 (s, 9H), 3.65 (s, 3H), 3.72 (s, 3H), 6.85 (d, J = 8.59 Hz3 IH), 7.18 (s, IH), 7.30 (d, J = 7.83 Hz, IH), 7.34 (s, IH), 8.79 (br s, IH).
Example 1.97: tert-butyl 4-methoxy-3-(4-methoxy-2-methyl-2H-pyrazoI-3- yl)phenylcarb amate.
Methyl iodide (229 μL, 3664 μmol) was added to a mixture of tert-butyl 4-hydroxy-3- (4-methoxy-2-methyl-2H-pyrazol-3-yl)phenylcarbamate (936 mg, 2931 μmol) and potassium carbonate (1013 mg, 7327 μmol) in acetone (10 mL), and the mixture was stirred at 900C in a microwave oven. After 1 hour the mixture was cooled to room temperature, filtered and evaporated to dryness. The residue was taken up in ethyl acetate and washed with 1 M citric acid, saturated sodium bicarbonate and brine, dried with sodium sulfate, filtered, and evaporated to dryness. The crude product was purified by flash chromatography on silica gel (ethyl acetate:hexanes, 1 : 1) to give a white solid (596 mg, 61.0% yield). LCMS m/z (%) = 334.2
(M+H 21%), 278.1 (100%), 234.0 (34%).1H-NMR (400 MHz, CDCl3) δ ppm 1.51 (s, 9H), 3.64 (s, 3H), 3.74 (s, 3H), 3.78 (s, 3H), 6.38 (s, IH), 6.93 (d, J = 8.84 Hz, IH), 7.16 (d, J = 2.78 Hz, IH), 7.31 (s, IH), 7.50 (d, J = 7.83 Hz, IH).
Example 1.98: 4-Methoxy-3-(4-methoxy-2-methyI-2H-pyrazol-3-yl)aniIine.
A solution of tert-butyl 4-methoxy-3-(4-methoxy-2-methyl-2H-pyrazol-3- yl)phenylcarbamate (596 mg, 1788 μmol) in a mixture of DCM (10 mL), trifluoroacetic acid (5 mL, 64899 μmol), and water (0.03 mL, 1665 μmol) was stirred at room temperature. After 0.5 hours, the solution was evaporated to dryness, and the residue was taken up in saturated sodium bicarbonate and extracted twice with DCM. The combined extracts were dried with sodium sulfate, filtered, and evaporated to dryness to give a pale yellow oil (402 mg, 96.4% yield) that crystallized under reduced pressure. LCMS m/z (%) = 234.0 (M+H, 100%).1H-NMR (400 MHz, CDCl3) δ ppm 3.40-3.58 (m, 2H), 3.65 (s, 3H), 3.73 (s, 3H), 3.74 (s, 3H), 6.64 (d, J = 2.78 Hz, IH), 6.75 (dd, J = 8.59, 3.03 Hz, IH), 6.84 (d, J= 8.59 Hz, IH), 7.32 (s, IH).
Example 1.99: Preparation of N-[4-Methoxy-3-(4-methoxy-2-methyl-2H-pyrazol-3-yl)- phenyI]-2-(3-πiethoxy-phenoxy)-acetamide (Compound Bl). The title compound was prepared in a similar manner as described in Example 1.4. Yield (11.9 mg, 77%). LCMS m/z (%) = 398.2 (M+H, 100%).
Example 1.100: Preparation of 2-(4-Fluoro-phenoxy)-N-[4-methoxy-3-(4-methoxy-2- methyI-2H-pyrazoI-3-yl)-phenyI]-acetamide (Compound B6).
The title compound was prepared in a similar manner as described in Example 1.4. Yield (8.6 mg, 57%). LCMS m/z (%) = 386.2 (M+H, 100%).
Example 1.101: Preparation of 2-Amino-N-[3-(4-bromo-2-methyl-2H-pyrazol-3-yl)-4- methoxy-phenyl]-acetamide (Compound A49).
A solution of Boc-glycine (13 mg, 0.08 mmol), 3-(4-bromo-2-methyl-2H-pyrazol-3-yl)- 4-methoxyanilme (14 mg, 0.05 mmol), triethylamine (21 μL, 0.2 mmol), and HATU (29 mg, 0.08 mmol) in DCM (0.5 mL) was stirred at room temperature. After 20 hours the mixture was diluted with DCM (2 mL) and washed with 1 M hydrochloric acid and saturated sodium bicarbonate, dried with sodium sulfate, filtered, and evaporated to dryness. The residue was dissolved in a mixture of TFA, DCM, triisopropylsilane, and water (1 mL, 20:20:1:1) and stirred at room temperature. After 0.5 hours the solvent was evaporated under reduced pressure, the residue was dissolved in DMF, and the product was isolated by RP-HPLC and lyophilized to give the title compound (23.7 mg, 100%). LCMS m/z (%) = 341.2 (M+H81Br 50%), 339.1 (M+H79Br 59%).
Example 1.102: Preparation of {[3-(4-Chloro-2-methyl-2H-ρyrazol-3-yl)-4-methoxy- pheπylcarbamoyl]-methy]sulfanyl}-acetic acid (Compound C3). l,4-Oxathiane-2,6-dione (0.0218 g, 0.165 mmol) was added to a solution of 3-(4-chloro- 2-methyl-2H-pyrazol-3-yl)-4-methoxyaniline (0.0357 g, 0.150 mmol) and triethylamine (0.0314 mL, 0.225 mmol) in DMF (0.5 mL), and the solution was stirred at room temperature for 2 hours. The title compound was isolated by RP-HPLC and lyophilized. Yield (3.7 mg, 7%). LCMS m/z (%) = 370.2 (M+H , 100%).
Example 1.103: Preparation of {[3-(4-Bromo-2-methyI-2H-pyrazol-3-yl)-4-methoxy- phenylcarbamoyl]-metboxy}-acetic acid (Compound B94).
Diglycolic anhydride (17 mg, 0.15 mmol) was added to a solution of 3-(4-bromo-2- methyl-2H-pyrazol-3-yl)-4-methoxyaniline (28 mg, 0.10 mmol) and triethylamine (21 μL, 0.15 mmol), and the mixture was stirred at room temperature. After 2 hours the product was isolated by RP-HPLC and lyophilized. Yield (28.6 mg, 72%). LCMS m/z (%) = 400.1 (M+H81Br 100%), (M+H79Br 98%). Example 1.104: Preparation of N-[4-Methoxy-3-(4-methoxy-2-methyl-2H-pyrazol-3-yl)- pheny]]-N'-phenyI-oxalamide (Compound A92).
The title compound was prepared in a similar manner as described in Example 1.4. Yield (5.7 mg, 39%). LCMS m/z (%) = 381.0 (M+H, 100%).
Example 1.105: Preparation of N-[4-Methoxy-3-(4-methoxy-2-methyl-2H-pyrazoI-3-yl)- phenyI]-N'-methyI-N'-phenyl-oxalamide (Compound A90).
The title compound was prepared in a similar manner as described in Example 1.4. Yield (14.2 mg, 93%). LCMS m/z (%) = 395.2 (M+H, 100%).
Example 1.106: Preparation of N-[4-Methoxy-3-(4-methoxy-2-methyl-2H-pyrazol-3-yl)- pbenyl]-N'-(2-methoxy-phenyl)-oxalamide (Compound A93).
The title compound was prepared in a similar manner as described in Example 1.4. Yield (6.6 mg, 41%). LCMS m/z (%) = 411.1 (M+H, 100%).1H-NMR (400 MHz, CDCl3) δ ppm 3.68 (s, 3H), 3.77 (s, 3H), 3.84 (s, 3H), 3.93 (s, 3H), 6.94 (d, J = 8.08 Hz, IH), 6.98-7.07 (m, 2H), 7.15 (dt, J = 7.83, 1.52 Hz, IH), 7.35 (s, IH), 7.56 (d, / = 2.78 Hz, IH), 7.82 (dd, J = 8.97, 2.65 Hz, IH), 8.39 (dd, J = 8.08, 1.52 Hz, IH), 9.33 (s, IH), 9.95 (s, IH)
Example 1.107: Preparation of N-(2-Chloro-phenyl)-N'-[4-methoxy-3-(4-methoxy-2- methyI-2H-pyrazol-3-y.)-phenyI]-oxalamide (Compound A91).
The title compound was prepared in a similar manner as described in Example 1.4. Yield (1.9 mg, 12%). LCMS m/z (%) = 415.2 (M+H, 100%).
Example 1.108: Preparation of N-[4-Methoxy-3-(4-methoxy-2-methyl-2H-pyrazol-3-yl)- phenyl]-N'-(2-trifluoromethyl-phenyl)-oxalamide (Compound A94).
The title compound was prepared in a similar manner as described in Example 1.4. Yield (10.3 mg, 59%). LCMS m/z (%) = 449.2 (M+H, 100%).
Example 1.109: Preparation of N-[3-(2-Methyl-2H-pyrazol-3-yl)-4-(2-pyrrolidin-l-yl- ethoxy)-phenyI]-2-phenylsιiIfanyl-acetaniide (Compound C6).
A solution of the phenylthioacetyl chloride (8.90 μL, 0.060 mmol), ), 3-(2-methyl-2H- pyrazol-3-yl)-4-piperidin-l-yl-ethoxy)-aniline (14.3 mg, 0.050 mmol), and triethylamine (10.45 μL, 0.07500 mmol) in DMF (0.4 mL) was stirred at 230C. After 1 hour the solution was applied to an SCX-cartridge (Phenomenex) conditioned with methanol, the cartridge was washed with methanol, and the product was eluted with 2 M ammonia in methanol. The solution was evaporated to dryness, and the crude product was purified by preparative LCMS. Product containing fractions were lyophilized, and the TFA salt was taken up in DCM. MP- carbonate anion exchange resin was added, and the mixture was agitated on a mechanical shaker. After 1 hour the resin was removed by filtration, and the filtrate was evaporated to dryness to afford the free base.1H-NMR (400 MHz, CDCl3) δ ppm 1.62-1.79 (m, 4H), 2.36- 2.60 (m, 4H)3 2.78 (t, J = 6.06 Hz, 2H)3 3.73 (s, 3H), 3.77 (s, 2H), 4.06 (t, J = 6.06 Hz, 2H), 6.21 (d, J = 1.77 Hz, IH), 6.94 (d, J= 8.84 Hz5 IH), 7.20-7.26 (m, IH), 7.27-7.38 (m, 5H), 7.48 (d, J = 1.52 Hz, IH)3 7.54 (dd, J = 8.84, 2.53 Hz, IH), 8.56 (s, IH).
Example 1.110: Preparation of N-l3-(4-Chloro-2-methyl-2H-pyrazol-3-yl)-4-(2-morphoHn- 4-yI-ethoxy)-phenyl]-2-(4-chloro-phenoxy)-acetamide (Compound B28). To a solution of 3-(4-chloro-l -methyl-lH-pyrazol-5-yl)-4-(2- morpholinoethoxy)benzenarnine (0.03368 g, 0.100 mmol) in EtOAc (1 mL) was added 4- chlorophenoxyacetyl chloride (0.01560 mL, 0.1000 mmol). The solution was stirred for 30 minutes. Diluted with EtOAc; washed with NaHCO3 (3x) and Brine; dried (MgSO4); and reduced under reduced pressure to give a white solid (42.4 mg, 83.9%). LCMS m/z (%) = 505 (M+H35Cl2, 100), 507 (M+H35Cl,37Cl, 80).1H NMR (400 MHz3 CDCl3) δ ppm 2.36-2.51 (m, 4H), 2.64-2.77 (m, 2H), 3.63-3.68 (m, 4H), 3.72 (s, 3H), 4.02-4.12 (m, IH), 4.12-4.22 (m, IH), 4.60 (s, 2H), 6.93 (d, J = 8.84 Hz, 2H), 7.02 (d, J = 9.09 Hz, IH), 7.31 (d, J = 8.84 Hz, 2H), 7.41 (d, J = 2.53 Hz, IH), 7.48 (s, IH), 7.76 (dd, J = 8.97, 2.65 Hz, IH), 8.21 (s, IH).
Example 1.111: Preparation of N-[3-(4-Chloro-2-methyl-2H-pyrazoI-3-yl)-4-(2-morpholin- 4-yl-ethoxy)-phenyl]-2-(4-methoxy-phenoxy)-acetamide (Compound B43).
The title compound was prepared in a similar manner as described in Example 1.110 to give a clear waxy solid (47.0 ing, 93.8%). LCMS m/z (%) = 501 (M+H35Cl, 100), 503 (M+H37Cl, 30).1H NMR (400 MHz, CDCl3) δ ppm 2.49-2.74 (m, 4H), 2.80-3.07 (m, 2H), 3.72 (s, 3H), 3.72-3.77 (m, 4H)3 3.79 (s, 3H), 4.12-4.35 (m, 2H), 4.57 (s, 2H), 6.85-6.91 (m, 2H), 6.91- 6.96 (m, 2H), 7.01 (d, J = 9.09 Hz, IH), 7.48 (s, 2H), 7.74 (dd, J = 8.97, 2.65 Hz, IH), 8.32 (s, IH).
Example 1.112: Preparation of N-l3-(4-Chloro-2-methyl-2H-pyrazol-3-yl)-4-(2-morpholin- 4-yl-ethoxy)-phenyl]-2-(4-trifluoromethoxy-phenoxy)-acetamide (Compound B93).
To a solution of 3-(4-chloro-l-methyl-lH-pyrazol-5-yl)-4-(2- morpholinoethoxy)benzenamine (0.0337 g, 0.100 mmol), 4-(trifluoromethoxy)phenoxyacetic acid (0.0236 g, 0.100 mmol), and triethylamine (0.139 mL, 1.00 mmol) in EtOAc (1 mL) was added n-propylphosphonic acid anhydride cyclic trimer (50% in EtOAc) (0.122 mL, 0.200 mmol). The resultant solution was stirred for 30 minutes. Diluted with EtOAc; washed with NaHCO3 (x 3) and brine; dried (MgSO4); and reduced under reduced pressure to give a white solid (23.9 mg, 43.1%). LCMS m/z (%) = 555 (M+H35Cl, 100), 557 (M+H37Cl, 30).1H NMR (400 MHz, CDCl3) δ ppm 2.33-2.49 (m, 4H), 2.63-2.75 (m, 2H), 3.65 (t, J = 4.67 Hz, 4H), 3.73 (s, 3H), 4.01-4.10 (m, IH), 4.11-4.21 (m, IH), 4.62 (s, 2H), 6.96-7.05 (m, 3H), 7.22 (d, J= 8.34 Hz, 2H), 7.41 (d, J = 2.78 Hz, IH), 7.48 (s, IH), 7.77 (dd, J = 8.97, 2.65 Hz, IH), 8.21 (s, IH).
Example 1.113: Preparation of N-[3-(4-Chloro-2-methyl-2H-pyrazoI-3-yl)-4-(2-morpholin- 4-yl-ethoxy)-phenyl]-2-(3-methoxy-phenoxy)-acetamide (Compound BlOO).
The title compound was prepared in a similar manner as described in Example 1.1; purified by preparative HPLC/MS and appropriate fractions were tyophilized to give the TFA salt. The TFA salt was dissolved in DCM (5 mL) and the solution was treated with MP- Carbonate resin (100 mg) and stirred for.15 minutes to scavenge the TFA. The mixture was filtered to remove the resin and the filtrate was concentrated under reduced pressure to give a waxy, white solid (15.2 mg, 30.3%). LCMS m/z (%) = 501 (M+H35Cl, 100), 503 (M+H37Cl, 30).1H NMR (400 MHz, CDCl3) 8 ppm 2.33-2.47 (m, 4H), 2.63-2.72 (m, 2H), 3.65 (t, J = 4.55 Hz, 4H), 3.72 (s, 3H), 3.82 (s, 3H), 4.00-4.09 (m, IH), 4.11-4.19 (m, IH), 4.61 (s, 2H), 6.52- 6.65 (m, 3H), 6.98-7.04 (m, IH), 7.21-7.25 (m, IH), 7.40 (d, J^ 2.53 Hz, IH), 7.45-7.49 (m, IH), 7.73-7.80 (m, IH), 8.25 (s, IH).
Example 1.114: Preparation of N-[3-(4-ChIoro-2-methyl-2H-pyrazol-3-yl)-4-(2-morphoJin- 4-yl-ethoxy)-phenyl]-2-hydroxy-acetamide (Compound BIOS). The title compound was prepared (as a by-product from the synthesis of Example 1.113) in a similar manner as described in Example 1.1; purified by preparative HPLCVMS and appropriate fractions were lyophilized to give the TFA salt. The TFA salt was dissolved in DCM (5 rnL) and the solution was treated with MP-Carbonate resin (100 mg) and stirred for 15 minutes to scavenge the TFA. The mixture was filtered to remove the resin and the filtrate was concentrated under reduced pressure to give an oily solid (4.4 mg, 11.1%). LCMS m/z (%) = 395 (M+H35Cl, 100), 397 (M+H37Cl, 30).1H NMR (400 MHz, CDCl3) δ ppm 2.33-2.49 (m, 4H), 2.64-2.72 (m, 2H), 3.65 (t, J = 4.42 Hz, 4H), 3.69-3.75 (m, 3H), 3.98-4.0S (m, IH), 4.09- 4.19 (m, IH), 4.27 (s, 2H), 6.96-7.04 (m, IH), 7.23-7.27 (m, IH)- 7.40 (d, J = 2.53 Hz, IH), 7.44-7.50 (m, IH), 7.70-7.79 (m, IH), 8.32 (s, IH).
Example 1.115: Preparation of N-[3-(4-Chloro-2-methyl-2H-pyrazol-3-yl)-4-(2-morpholin- 4-yl-ethoxy)-phenyl]-2-methoxy-acetamide (Compound B4).
The title compound was prepared in a similar manner as described in Example 1.110 to give a waxy white solid (35.0 mg, 85.6%). LCMS m/z (%) = 409 (M+H35Cl, 100), 4411 (M+H ,37Cl, 30).1H NMR (400 MHz, CDCl3) δ ppm.2.33-2.48 (m, 4H), 2.61 -2.73 (m, 2H), 3.51 (s, 3H), 3.65 (t, J = 4.67 Hz, 4H), 3.72 (s, 3H), 3.99-4.08 (m, IH), 4.03 (s, 2H), 4.11-4.18 (m, IH), 7.00 (d, J = 8.84 Hz5 IH), 7.38 (d, / = 2.53 Hz, IH), 7.47 (s, IH), 7.76 (dd, J = 8.97, 2.65 Hz, IH), 8.24 (s, IH).
Example 1.116: Preparation of N-(3-(4-Chloro-2-methyl-2H-pyrazol-3-yl)-4-(2-morphoIin- 4-yl-ethoxy)-phenyl]-2-phenoxy-acetamide (Compound B9).
The title compound was prepared in a similar manner as described in Example 1.110 to give a waxy white solid (27.6 mg, 58.6%). LCMS m/z (%) = 471 (M+H35Cl, 100), 473 (M+H ,37Cl, 30).1HNMR (400 MHz, CDCl3) δ ppm2.34-2.47 (m, 4H), 2.60-2.74 (m, 2H), 3.65 (t, J = 4.67 Hz, 4H), 3.72 (s, 3H), 4.00-4.09 (m, IH), 4.10-4.21 (m, IH), 4.63 (s, 2H), 6.97-7.04 (m, 3H), 7.07 (t, J = 7.33 Hz3 IH), 7.32-7.39 (m, 2H), 7.41 (d, J = 2.78 Hz, IH), 7.48 (s, IH), 7.77 (dd, J = 8.84, 2.78 Hz, IH), 8.28 (s, IH).
Example 1.117: Preparation of 2-BenzyIoxy-N-[3-(4-chloro-2-methyl-2H-pyrazol-3-yl)-4- (2-morpholin-4-yl-ethoxy)-phenyl]-acetamide (Compound Bl 6). The title compound was prepared in a similar manner as described in Example 1.110 to give a waxy white solid (27.6 mg, 58.6%). LCMS m/z (%) = 485 (M+H35Cl, 100), 487 (M+H ,37Cl, 30).1H NMR (400 MHz, CDCl3) δ ppm 2.32-2.47 (m, 4H)3 2.60-2.74 (m, 2H), 3.65 (t, J = 4.67 Hz, 4H), 3.71 (s, 3H)3 3.99-4.09 (m, IH), 4.08-4.19 (m, IH), 4.11 (s, 2H), 4.66 (s, 2H), 6.99 (d, J= 9.09 Hz, IH), 7.32-7.43 (m, 6H), 7.47 (s, IH), 7.73 (dd, J = 8.97, 2.65 Hz, IH), 8.29 (s, IH).
Example 1.118: Preparation of N-t3-(4-Chloro-2-methyl-2H-pyrazol-3-yl)-4-(2-morpholin- 4-yl-ethoxy)-phenyl]-2-(3-fluoro-phenoxy)-acetamide (Compound B25).
The title compound was prepared in a similar manner as described in Example 1.1, purified by preparative HPLC/MS to give a waxy solid (25.5 mg, 42.3%). LCMS m/z (%) = 489 (M+H35Cl, 100), 491 (M+H37Cl, 50).1H NMR (400 MHz, DMSO-^6) δ ppm 2.89-3.14 (m, 4H), 3.16-3.34 (m, 2H), 3.64 (s, 3H), 3.64-4.03 (tn, 4H), 4.25-4.38 (m, IH), 4.37-4.50 (m, IH)3 4.74 (s, 2H)3 6.50-6.63 (m, IH), 6.77-6.92 (m, 2H), 7.27 (d, J = 9.09 Hz, IH), 7.31-7.39 (m, IH), 7.59 (d, J = 2.53 Hz, IH), 7.66 (s, IH), 7.83 (dd, J = 8.84, 2.78 Hz, IH), 10.20 (s, IH).
Example 1.119: Preparation of N-[3-(4-Chloro-2-methyl-2B-pyrazol-3-yl)-4-(2-morpholin- 4-yl-ethoxy)-phenyl]-2-(4-chloro-phenoxy)-2-methyl-propionamide (Compound B107).
The title compound was prepared in a similar manner as described in Example 1.112 to give a white solid (49.3 mg, 92.4%). LCMS m/z (%) = 533 (M+H35Cl, 100), 535 (M+H37Cl, 50).1H NMR (400 MHz, CDCl3) δ ppm 2.47-2.69 (m, 4H), 2.79-2.99 (m, 2H)3 3.06-3.16 (m, 4H)33.71 (s, 9H), 4.11-4.36 (m, 2H), 6.90-6.96 (m, 2H), 6.99-7.08 (m, IH), 7.25-7.30 (m, 2H), 7.46 (s, 2H), 7.69 (dd, J = 8.84, 2.27 Hz, IH), 8.51 (s, IH). Example 1.120: Preparation of 2-(Benzo[l,3]dioxoI-5-yloxy)-N-[3-(4-chloro-2-methyl-2H- pyrazol-3-yl)-4-(2-morpholin-4-yl-ethoxy)-phenyI]-acetamide (Compound B53).
The title compound was prepared in a similar manner as described in Example 1.112 and recrystaϊlized from ACN to give a white solid (18.6 mg, 36.1 %). LCMS m/z (%) = 515 (M+H35Cl, 100), 517 (M+H37Cl, 50).1H NMR (400 MHz, CDCl3) δ ppm 2.33-2.48 (m, 4H), 2.61-2.75 (m, 2H), 3.65 (t, J = 4.67 Hz, 4H), 3.72 (s, 3H), 4.01-4.10 (m, IH), 4.11-4.20 (m, IH), 4.55 (s, 2H), 5.96 (s, 2H), 6.40 (dd, J = 8.34, 2.53 Hz, IH), 6.58 (d, J = 2.53 Hz, IH), 6.75 (d, J = 8.59 Hz, IH), 7.02 (d, J = 8.84 Hz3 IH), 7.40 (d, J = 2.78 Hz, IH), 7.47 (s, IH), 7.77 (dd, J = 8.97, 2.65 Hz, IH), 8.23 (s, IH).
Example 1.121: Preparation of N-[3-(4-Chloro-2-methyl-2H-pyrazol-3-yl)-4-(2-morpholin- 4-yl-ethoxy)-phenyl]-2-m-tolyloxy-acetamide (Compound B63).
The title compound was prepared in a similar manner as described in Example 1.112 to give a white solid (29.7 mg, 97.3%). LCMS m/z (%) = 485 (M+H35Cl, 100), 487 (M+H37Cl, 30).1H NMR (400 MHz, CDCl3) δ ppm 2.36 (s, 3H), 2.38-2.51 (m, 4H), 2.61-2.74 (m, 2H), 3.61-3.70 (m, 4H), 3.72 (s, 3H), 3.99-4.25 (m, 2H), 4.61 (s, 2H), 6.79 (d, J = 8.34 Hz, IH), 6.82 (s, IH), 6.88 (d, J = 7.58 Hz, IH), 7.02 (d, J = 9.09 Hz, IH), 7.19-7.24 (m, IH), 7.39-7.44 (m, IH), 7.48 (s, IH), 7.73-7.80 (m, IH), 8.28 (s, IH).
Example 1.122: Preparation of N-[3-(4-Chloro-2-methyl-2H-pyrazol-3-yl)-4-(2-morphoIin- 4-yl-ethoxy)-phenyl]-2-(2-fluoro-phenoxy)-acetamide (Compound B72).
The title compound was prepared in a similar manner as described in Example 1.112 and purified by column chromatography (MeOH:EtOAc, 1 :9) to give a white solid (18.1 mg, 58.8%). LCMS m/z (%) = 489 (M+H35Cl, 100), 491 (M+H37Cl, 60).1H NMR (400 MHz, CDCl3) δ ppm 2.33-2.48 (m, 4H), 2.60-2.74 (m, 2H), 3.65 (t, J= 4.80 Hz, 4H), 3.73 (s, 3H)5 4.00-4.09 (m, IH), 4.11-4.20 (m, IH), 4.67 (s, 2H), 6.98-7.08 (m, 3H), 7.10-7.20 (m, 2H), 7.46 (d, J = 2.53 Hz, IH), 7.48 (s, IH), 7.75 (dd, J = 8.84, 2.78 Hz, IH), 8.44 (s, IH).
Example 1.123: Preparation of N- [3-(4-Chloro-2-methyI-2H-pyrazol-3-yl)-4-(2-morpholin- 4-yI-ethoxy)-phenylJ-2-(2,4-difluoro-phenoxy)-acetamide (Compound B31).
The title compound was prepared in a similar manner as described in Example 1.112 and purified by column chromatography (MeOHrEtOAc, 1 :9) to give a white solid (17.0 mg, 53.3%). LCMS m/z (%) = 507 (M+H35Cl, 100), 509 (M+H37Cl, 30).1H NMR (400 MHz, CDCl3) δ ppm 2.35-2.47 (m, 4H), 2.60-2.75 (m, 2H), 3.65 (t, J = 4.67 Hz, 4H), 3.73 (s, 3H)3
4.01-4.09 (m, IH), 4.11-4.19 (m, IH), 4.63 (s, 2H), 6.82-6.90 (in, IH), 6.91-7.06 (m, 3H), 7.45 (d, J = 2.53 Hz, IH), 7.48 (s, IH), 7.75 (dd, J = 8.97, 2.65 Hz, IH), 8.39 (s, IH). Example 1.124: Preparation of N-[4-[2-(4-Acetyl-piperazin-l-yl)-ethoxy]-3-(4-chloro-2- methyI-2H-pyrazol-3-yl)-phenyI]-2-(4-methoxy-phenoxy)-acetamide (Compound B71).
The title compound was prepared in a similar manner as described in Example Ll 12 and purified by preparative HPLC to give a white solid (4.5 mg, 14.4%). LCMS m/z (%) = 542 (M+H35Cl, 100), 544 (M+H37Cl, 30).1H NMR (400 MHz, CDCl3) δ ppm 2.07 (s, 3H), 2.28- 2.45 (m, 4H), 2.63-2.78 (m, 2H), 3.36 (t, J = 5.05 Hz, 2H)7 3.51-3.60 (m, 2H), 3.71 (s, 3H), 3.79 (B, 3H), 3.99-4.09 (m, IH), 4.10-4.18 (m, IH), 4.57 (s, 2H), 6.85-6.90 (m, 2H), 6.91-6.95 (m, 2H), 7.01 (d, J = 9.09 Hz, IH), 7.42 (d, J = 2.53 Hz, IH), 7.48 (s, IH), 7.77 (dd, J = 8.84, 2.78 Hz, IH), 8.29 (s, IH).
Example 1.125: Preparation of N-[4-[2-(4-Acetyl-piperazin-l-yl)-ethoxy]-3-(4-chloro-2- methyl-2H-pyrazol-3-yl)-phenyl]-2-(benzo[l,3]dioxol-5-yloxy)-acetamide (Compound B78). The title compound was prepared in a similar manner as described in Example 1.112 and purified by preparative HPLC to give a white solid (2.1 mg, 6.6%). LCMS m/z (%) = 556 (M+H35Cl, 100), 558 (M+H37Cl, 30).1H NMR (400 MHz, CDCl3) δ ppm 2.07 (s, 3H), 2.29-
2.44 (m, 4H), 2.63-2.78 (m, 2H), 3.36 (t, J = 5.05 Hz, 2H), 3.52-3.59 (m, 2H), 3.71 (s, 3H), 4.00-4.08 (m, IH), 4.10-4.18 (m, IH), 4.55 (s, 2H), 5.96 (s, 2H), 6.40 (dd, J = 8.46, 2.65 Hz, IH), 6.58 (d, / = 2.78 Hz, IH), 6.74 (d, J = 8.34 Hz, IH), 7.01 (d, J = 8.84 Hz, IH), 7.41 (d, J = 2.78 Hz, IH), 7.48 (s, IH), 7.76 (dd, J = 8.97, 2.65 Hz, IH), 8.23 (s, IH).
Example 1.126: Preparation of N-[4-[2-(4-Acetyl-piperazin-l-yl)-ethoxy]-3-(4-chloro-2- methyl-2H-pyrazol-3-yl)-phenyI]-2-(2,4-difluoro-phenoxy)-acetamide (Compound B84). The title compound was prepared in a similar manner as described in Example 1.112 and purified by preparative HPLC to give a white solid (8.0 mg, 25.3%). LCMS m/z (%) = 548 (M+H35Cl, 100), 550 (M+H37Cl, 30).1H NMR (400 MHz, CDCl3) δ ppm 2.07 (s, 3H), 2.28- 2.46 (m, 4H), 2.64-2.79 (m, 2H), 3.37 (t, J = 5.05 Hz, 2H), 3.51-3.62 (m, 2H), 3.72 (s, 3H), 4.00-4.08 (m, IH), 4.10-4.20 (m, IH), 4.63 (s, 2H), 6.83-6.89 (m, IH), 6.94 (m, IH), 6.98-7.05 (m, 2H), 7.46 (d, J = 2.78 Hz, IH), 7.49 (s, IH), 7.76 (dd, J = 8.84, 2.78 Hz, IH), 8.40 (s, IH).
Example 1.127: Preparation of N-[4-[2-(4-Acetyl-piperazin-l-yl)-ethoxy]-3-(4-chloro-2- methyl-2H-pyrazol-3-yl)-phenyI]-2-m-toIyloxy-acetamide (Compound BS8).
The title compound was prepared in a similar manner as described in Example 1.112 and purified by preparative HPLC to give a white solid (5.0 mg, 16.4%). LCMS m/z (%) = 526 (M+H35Cl, 100), 528 (M+H37Cl, 30).1H NMR (400 MHz, CDCl3) δ ppm 2.07 (s, 3H), 2.27-
2.45 (m, 4H), 2.36 (s, 3H), 2.62-2.79 (m, 2H)3 3.36 (t, J = 5.05 Hz, 2H), 3.51-3.60 (m, 2H), 3.71 (s, 3H), 4.00-4.08 (m, IH), 4.09-4.18 (m, IH), 4.61 (s, 2H), 6.77-6.81 (m, IH), 6.82 (s, IH), 6.88 (d, J = 7.58 Hz, IH), 7.01 (d, J = 9.09 Hz, IH), 7.23 (t, J « 7.83 Hz, IH), 7.41 (d, J = 2.53 Hz, IH)5 7.48 (s, IH), 7.77 (dd, J = 8.84, 2.78 Hz, IH), 8.28 (s, IH).
Example 1.128: Preparation of N-[4-[2-(4-Acetyl-piperazin-l-yl)-ethoxy]-3-(4-chloro-2- methyI-2H-pyrazol-3-yI)-phenyl]-2-(3-methoxy-phenoxy)-acetamide (Compound B95).
The title compound was prepared in a similar manner as described in Example 1.112 and purified by preparative HPLC to give a white solid (3.1 mg, 9.9%). LCMS m/z (%) = 542 (M+H35Cl, 100), 544 (M+H37Cl, 30).1H NMR (400 MHz, CDCl3) δ ppm 2.07 (s, 3H), 2.28- 2.45 (m, 4H), 2.63-2.78 (m, 2H), 3.36 (t, J = 5.05 Hz, 2H), 3.51-3.60 (m, 2H)5 3.71 (s, 3H), 3.82 (s, 3H), 4.00-4.08 (m, IH), 4.09-4.18 (m, IH), 4.61 (s, 2H), 6.53-6.60 (m, 2H), 6.62 (dd, / = 7.96, 1.89 Hz, IH)5 7.01 (d, J = 8.84 Hz, IH), 7.22-7.29 (m, IH), 7.41 (d, J = 2.53 Hz, IH), 7.48 (S, IH), 7.77 (dd, J = 8.97, 2.65 Hz, IH), 8.24 (s, IH).
Example 1.129: Preparation of 2-(Benzo[lβ]dioxol-5-yloxy)-N-[3-(2,4-dimethyI-2H- pyrazol-3-yl)-4-(2-morphoIin-4-yI-ethoxy)-phenyl]-acetamide (Compound B96).
The title compound was prepared in a similar manner as described in Example 1.112 to give a light yellow solid (31.9 mg, 88.7%). LCMS m/z (%) = 495 (M+H , 100).1H NMR (400 MHz, CDCl3) δ ppm 1.94 (s, 3H), 2.31-2.52 (m, 4H), 2.61-2.77 (m, 2H), 3.56-3.77 (m, 4H), 3.67 (s, 3H), 3.98-4.21 (m, 2H), 4.53-4.55 (m, 2H), 5.96 (s, 2H), 6.40 (dd, J = 8.59, 2.53 Hz, IH), 6.58 (d, J = 2.53 Hz, IH), 6.74 (d5 J = 8.59 Hz, IH), 6.99 (d, J = 8.84 Hz, IH), 7.33 (s, IH), 7.36 (s, IH), 7.67 (dd, J = 8.84, 2.78 Hz, IH), 8.20 (s, IH).
Example 1.130: Preparation of 2-(2,4-Difiuoro-phenoxy)-N-[3-(2,4-dimethyl-2H-pyrazol- 3-yl)-4-(2-morpholin-4-yl-ethoxy)-plienyl]-acetamide (Compound B29).
The title compound was prepared in a similar manner as described in Example 1.112 to give a yellow solid (28.0 mg, 79.2%). LCMS mh (%) = 487 (M+H , 100).1H NMR (400 MHz, CDCl3) δ ppm 1.94 (s, 3H), 2.42-2.57 (m, 4H), 2.72-2.92 (m, 2H), 3.63-3.73 (m, 4H), 3.67 (s, 3H), 4.05-4.27 (m, 2H)54.63 (s, 2H), 6.82-6.89 (m, IH)5 6.94 (m, IH)5 6.99-7.05 (m, 2H), 7.33 (s, IH), 7.40 (d, J = 2.53 Hz, IH), 7.67 (dd, J = 8.84, 2.78 Hz, IH), 8.38 (s, IH).
Example 1.131: Preparation of N-[3-(2,4-DimethyI-2H-pyrazol-3-yl)-4-(2-morpholin-4-yl- ethoxy)-phenyl]-2-m-tolyloxy-acetamide (Compound B56).
The title compound was prepared in a similar manner as described in Example 1.112 to give a white solid (22.3 mg, 66.0%). LCMS m/z (%) = 465 (M+H , 100).1H NMR (400 MHz, CDCl3) δ ppm 1.94 (s, 3H), 2.36 (s, 3H), 2.37-2.41 (m, 4H), 2.66 (t, J = 5.56 Hz, 2H), 3.62-3.66 (m, 4H), 3.68 (s, 3H), 3.97-4.06 (m, IH), 4.06-4.14 (m, IH), 4.61 (s, 2H), 6.76-6.81 (m, IH), 6.82 (s, IH), 6.88 (d, J = 7.33 Hz, IH), 6.99 (d, J = 8.84 Hz, IH), 7.23 (t, J = 7.71 Hz, IH), 7.32-7.36 (m, 2H), 7.69 (dd, J = 8.84, 2.78 Hz, IH), 8.24 (s, IH).
Example 1.132: Preparation of 2-(Benzo[l,3]dioxol-5-yloxy)-N-[3-(2,4-dimethyl-2H- pyrazol-3-yl)-4-methoxy-phenyl]-acetamide (Compound B24).
The title compound was prepared in a similar manner as described in Example 1.112 to give a light yellow solid (41.3 mg, 97.0%). LCMS m/z (%) = 396 (M+H , 100).1H NMR (400 MHz, CDCl3) δ ppm 1.96 (s, 3H), 3.67 (s, 3H), 3.80 (s, 3H), 4.55 (s, 2H), 5.96 (s, 2H), 6.40 (dd, J = 8.46, 2.65 Hz, IH), 6.58 (d, J = 2.78 Hz, IH), 6.75 (d, J = 8.59 Hz, IH), 7.00 (d, J = 8.84 Hz, IH)5 7.34 (d, J <= 2.78 Hz, IH), 7.37 (s, IH), 7.69 (dd, J = 8.84, 2.78 Hz, IH), 8.20 (s, IH).
Example 1.133: Preparation of N-l3-(4-Chloro-2-methyl-2H-pyrazol-3-yl)-4-(2-morpholin- 4-yl-ethoxy)-phenyl]-2-phenylsulfanyl-acetamide (Compound C9).
The title compound was prepared in a similar manner as described in Example 1.110 to give a waxy beige solid (27.3 mg, 56.1%). LCMS m/z (%) = 487 (M+H3SC1, 100), 489 (M+H37Cl, 60).1H NMR (400 MHz, DMSO-^6) δ ppm 2.24-2.37 (m, 4H), 2.53-2.64 (m, 2H), 3.49 (t, J = 4.42 Hz, 4H), 3.65 (s, 3H), 3.85 (s, 2H), 3.98-4.07 (m, IH), 4.11-4.19 (m, IH), 7.16-7.23 (m, 2H)5 7.32 (t, J = 7.71 Hz5 2H), 7.39 (d, J = 1.01 Hz, IH), 7.41 (t, J = 1.64 Hz, IH), 7.47 (d, J = 2.78 Hz, IH), 7.60 (s, IH), 7.66 (dd, J = 9.09, 2.53 Hz, IH), 10.25 (s, IH).
Example 1.134: Preparation of 2-Benzenesulfonyl-N-[3-(4-chIoro-2-methyl-2H-pyrazol-3- yl)-4-(2-morpholin-4-yI-ethoxy)-pheny.l-acetamide (Compound C4).
The title compound was prepared in a similar manner as described in Example 1.112 and purified by preparative HPLC/MS; the appropriate fractions were pooled and lyophilized to give the TFA salt. The TFA salt was dissolved in DCM (5 mL) and the solution was treated with MP-Carbonate resin (100 mg) and stirred for 15 minutes to scavenge the TFA. The mixture was filtered to remove the resin and the filtrate was concentrated under reduced pressure to give a white solid (25.0 mg, 54.6%). LCMS m/z (%) = 519 (M+H35Cl, 100), 521 (M+H37Cl, 50).1H NMR (400 MHz, CDCl3) δ ppm 2.33-2.47 (m, 4H), 2.65-2.73 (m, 2H)5 3.65 (t, J = 4.67 Hz, 4H), 3.72 (s, 3H), 4.00-4.O8 (m, IH), 4.11-4.18 (m, IH), 4.15 (s, 2H), 7.00 (d, J = 8.84 Hz, IH), 7.37 (d, J = 2.78 Hz, IH), 7.48 (s, IH), 7.57-7.63 (m, 3H), 7.72 (t, J = 7.58 Hz5 IH), 7.94 (dd, J = 8.34, 1.26 Hz, IH), 8.46 (s, IH).
Example 1.135: Preparation of N-[3-(4-ChIoro-2-methyl-2H-pyrazoI-3-yl)-4-(2-morpholin- 4-yl-ethoxy)-phenyl]-2-(3,4-dimethoxy-phenylsuIfanyl)-acetamide (Compound Cl).
The title compound was prepared in a similar manner as described in Example 1.112 and purified by column chromatography (MeOH:EtOAc, 1:9) to give a clear solid (33.9 mg, 62.0%). LCMS m/z (%) = 547 (M+H3SC1, 100), 549 (M+H37Cl, 68).1H NMR (400 MHz, CDCl3) S ppm 2.32-2.47 (m, 4H), 2.59-2.73 (m, 2H), 3.64 (t, J = 4.67 Hz, 4H), 3.70 (s, 2H), 3.71 (s, 3H), 3.83 (s, 3H), 3.85 (s, 3H), 3.98-4.07 (m, IH), 4.10-4.17 (m, IH), 6.82 (ά, J = 8.34 Hz, IH), 6.93 (d, J = 2.27 Hz, IH), 6.96-7.02 (m, 2H), 7.29 (cl, J = 2.78 Hz, IH), 7.47 (s, IH), 7.65 (dd, J = 8.97, 2.65 Hz, IH), 8.48 (s, IH).
Example 1.136: Preparation of 2-Oxo-2-(phenylamino)acetic Acid.
To a cooled (00C) solution of aniline (0.457 mL, 5.00 mmol)' and N3N- diisopropylethylamine (0.961 mL, 5.50 mmol) in DCM (25 mL) was added methyl oxalyl chloride (0.461 mL, 5.00 mmol). The resulting solution was stirred for 1 hour while allowing to warm to room temperature. Diluted with EtOAc and washed with water, 1 M HCl (x 3), NaHCO3, and brine. Dried (MgSO4) and concentrated. Purified by column chromatography (EtOAc :hexane, 1:3) to give methyl 2-oxo-2-(phenylamino)acetate as a white solid (0.449 g, 50.1%). To a solution of methyl 2-oxo-2-(phenylamino)acetate (0.449 g, 2.51 mmol) in 1:1 dioxane/water (5 mL) was added NaOH (2.51 mL, 2.51 mmol). The resulting solution was stirred for 1 hour. Diluted with H2O. Washed with ether (x 3). The pH was adjusted to ~3 with cone. HCl and extracted with EtOAc (x 3). Combined extracts were washed with brine, dried (MgSO4) and concentrated to give the title compound as a white solid (0.389 g, 94.0%).1H NMR (400 MHz, DMSO-^6) δ ppm 7.14 (t, J = 7.33 Hz, IH), 7.35 (t, J = 7.83 Hz, 2H), 7.76 (d, J = 7.83 Hz, 2H), 10.71 (s, IH), 14.15 (s, IH).
Example 1.137: Preparation of N-l3-(4-Chloro-2-methyl-2H-pyrazol-3-yI)-4-(2-morpholin- 4-yl-ethoxy)-phenyl]-N'-phenyl-oxaIamide (Compound A53). To a solution of 2-oxo-2-(phenylamino)acetic acid and N,N-diisopropylethylamine
(0.348 mL, 0.200 mmol) in DCM (1 mL) was added HBTU (0.0569 g, 0.150 mmol) followed by 3-(4-chloro-l-methyl-lH-pyrazol-5-yl)-4-(2-mθφholinoethoxy)benzenamine (0.0337 g, 0.100 mmol). The resulting mixture was stirred for 1 hour. Diluted with EtOAc; washed with H2O, NaHCO3 (x 3), and brine; dried (MgSO4); and concentrated under reduced pressure. Purified by preparative HPLC/MS and purified by preparative HPLC/MS; the appropriate fractions were pooled and lyophilized to give the TFA salt. The TFA salt was dissolved in DCM (5 mL) and the solution was treated with MP-Carbonate resin (100 mg) and stirred for 15 minutes to scavenge the TFA. The mixture was filtered to remove the resin and the filtrate was concentrated under reduced pressure to give a waxy white solid (21.0 mg, 43.4%). LCMS m/z (%) = 484 (M+H35Cl, 100), 486 (M+H37Cl, 30).1H NMR (400 MHz, DMSO-tf6) δ ppm 2.25- 2.40 (m, 4H), 2.56-2.68 (m, 2H), 3.50 (t, J = 4.67 Hz, 4H), 3.69 (s, 3H), 4.05-4.13 (m, IH), 4.13-4.26 (m, IH), 7.16 (t, J = 7.33 Hz, IH), 7.26 (d, J = 9.35 Hz, IH), 7.33-7.42 (m, 2H), 7.62 (s, IH), 7.81-7.90 (m, 3H), 7.97 (dd, J = 8.97, 2.65 Hz, IH), 10.83 (s, IH), 10.95 (s, IH).
Example 1.138: Preparation of N-[3-(4-Bromo-2-methyl-2H-pyrazol-3-yl)-4-methoxy- phenyI]-2-(4-phenyl-piperazin-l-yl)-acetainide (Compound A33).
To a solution of 3-(4-bromo-2-methyl-2H-pyrazol-3-yl)-4-methoxy-phenylamine (0.050 g, 0.18 mmol) in .YN-dimethylacetamide (2.0 mL) was added bromoacetyl bromide (0.016 mL, 0.19 mmol) in a heavy-walled sealed tube. The solution was stirred at room temperature for 30 minutes. 1 -Phenylpiperazine (0.030 mL, 0.19 mmol) was added and the solution was heated under microwave irradiation at 1000C for 20 minutes. The reaction was purified by RP-HPLC. Lyophilization afforded the TFA salt as a white solid (0.045 g, 42%). LCMS m/z (%) = 484 (M+H79Br, 100), 486 (M+H81Br, 63).1H NMR (400 MHz, DMSOd15) δ 10.65 (bs, IH), 7.76 (dd, J = 2.7, 9.0 Hz, IH), 7.64 (s, IH), 7.54 (d, J= 2.7 Hz, IH), 7.30-7.22 (m, 3H), 7.00 (d, J= 8.0 Hz, 2H), 6.89-6.84 (m, IH), 4.26-4.20 (m, 4.26-4.20, 2H), 3.80 (s, 3H), 3.63 (s, 3H), 3.68- 3.55 (m, 4H), 3.40-3.28 (m, 2H), 3.19-3.08 (m, 2H).
Example 1.139: Preparation of N-[3-(4-Bromo-2-methyl-2B-pyrazol-3-yl)-4-methoxy- phenyI]-2-cyclopropylamino-acetamide (Compound A37).
The title compound was prepared in a similar manner as described in Example 1.138 to afford the TFA salt as a white solid (16%). LCMS m/z (%) = 379 (M+H79Br, 100), 381 (M+H81Br, 66).1H NMR (400 MHz, DMSO-J5) δ 10.55 (s, IH), 9.10 (bs, IH), 7.67 (dd, J= 2.6, 9.0 Hz, IH), 7.64 (s, IH), 7.53 (d, J= 2.6 Hz, IH), 7.22 (d, J= 9.1 Hz, IH), 4.03 (bs, 2H), 3.80 (s, 3H), 3.62 (s, 3H), 2.82-2.72 (m, IH), 0.88-0.82 (m, 2H), 0.78-0.72 (m, 2H).
Example 1.140: Preparation of N-[3-(4-Bromo-2-methyl-2H-pyrazol-3-yl)-4-methoxy- phenyl]-2-(4-fluoro-phenylamino)-acetamide (Compound A54).
The title compound was prepared in a similar manner as described in Example 1.138 to afford the TFA salt as a yellow solid (60%). LCMS m/z (%) = 433 (M+H79Br, 95), 435 (M+H
81Br, 100).1H NMR ^OO MHZ, DMSO-d6) δ 10.55 (s, IH), 7.73 (dd,J = 2.7, 9.0 Hz, IH), 7.61 (s, IH), 7.53 (d, J= 2.6 Hz, IH), 7.16 (d, J= 9.1 Hz, IH), 6.97-6.92 (m, 2H), 6.61-6.56 (m, 2H),
3.83-3.81 (m, 2H), 3.76 (s, 3H), 3.60 (s, 3H).
Example 1.141: Preparation of N-[3-(4-Bromo-2-methyl-2H-pyrazol-3-yI)-4-methoxy- phenyl]-2-(3-methoxy-phenylamino)-acetamide (Compound A5). The title compound was prepared in a similar manner as described in Example 1.138 to afford the TFA salt as a yellow solid (54%). LCMS m/z (%) = 445 (M+H79Br, 100), 447 (M+H81Br, 99).1H NMR (400 MHz, OMSO-d6) δ 10.05 (s, IH), 7.74 (dd, J= 2.7, 9.0 Hz, IH), 7.61 (s, IH), 7.53 (d, J= 2.6 Hz, IH)3 7.16 (d, J= 9.1 Hz5 IH), 7.03-6.96 (m, 2H)3 6.24-6.15 (m, 3H), 3.84 (s, 2H), 3.76 (s, 3H), 3.66 (s, 3H), 3.61 (s, 3H).
Example 1.142: Preparation of N-[3-(4-Bromo-2-methyl-2H-pyrazol-3-yl>4-methoxy- phenyl]-2-(4-fluoro-benzyIamino)-acetamide (Compound A13).
The title compound was prepared in a similar manner as described in Example 1.138 to afford the TFA salt as a yellow solid (10%). LCMS m/z (%) = 447 (M+H79Br, 50), 449 (M+H81Br, 100).1H NMR (400 MHz, DMSO-J6) δ 10.50 (s, IH), 9.38-9.28 (m, IH), 7.67-7.63 (m, 2H)3 7.58-7.54 (m, 2H)3 7.52 (d, J= 2.6 Hz3 IH)3 7.34-7.28 (m3 2H)3 7.22 (d, J= 9.1 Hz, IH), 4.25-4.20 (m, 2H), 3.90-3.84 (m, 2H)3 3.80 (s, 3H)3 3.62 (s, 3H).
Example 1.143: Preparation of N-l3-(4-Bromo-2-methyl-2H-pyrazol-3-yl)-4-methoxy- pheπyl]-2-(3,5-difluoro-benzyIamiπo)-acetaπiide (Compound A71).
The title compound was prepared in a similar manner as described in Example 1.138 to afford the TFA salt as a white solid (14%). LCMS m/z (%) = 465 (M+H79Br3 50), 467 (M+H81Br, 100).1H NMR (400 MHz3 DMSO-J1,) δ 10.52-10.48 (s, IH)3 9.52-9.38 (m, IH)3 7.67-7.63 (m, 2H)3 7.52 (d, J = 2.6 Hz, IH), 7.40-7.34 (m3 IH)3 7.32-7.26 (m, 2H), 7.22 (d3 J= 9.1 Hz3 IH)34.30-4.25 (m, 2H)3 3.92-3.85 (m, 2H), 3.78 (s, 3H)3 3.62 (s, 3H). Example 1.144: Preparation of N-[3-(4-Bromo-2-methyI-2H-pyrazol-3-yl)-4-methoxy- phenyl]-2-(3-methoxy-benzylamino)-acetamide (Compound A81).
The title compound was prepared in a similar manner as described in Example 1.138 to afford the TFA salt as a white solid (24%). LCMS m/z (%) = 459 (M+H79Br, 67), 461 (M+H81Br3 100).1H NMR (400 MHz3 DMSO-J5) δ 10.49 (s3 IH)3 9.38-9.28 (m, IH)3 7.67-7.63 (m, 2H), 7.52 (d, J= 2.7 Hz3 IH)3 7.40-7.35 (m, IH), 7.22 (d, J= 9.1 Hz, IH)3 7.13-7.11 (m, IH), 7.06 (d, J = 7.4 Hz3 IH)3 7.00 (dd, J= 2.4, 8.3 Hz3 IH)34.23-4.17 (m, 2H)3 3.87-3.82 (m3 2H)3 3.79 (s, 3H)3 3.77 (s, 3H)3 3.62 (s, 3H).
Example 1.145: Preparation of N-[3-(4-Bromo-2-methyl-2H-pyrazol-3-yl)-4-methoxy- phenyl]-2-phenetkylamino-acetamide (Compound A26). The title compound was prepared in a similar manner as described in Example 3.1 to afford the TFA salt as a white solid (8%). LCMS m/z (%) = 443 (M+H79Br3 69), 445 (M+H81Br3 100).1H NMR (400 MHz3 DMSO-J5) δ 10.56 (s3 IH), 9.05-8.88 (m, IH)3 7.68 (dd, J= 2.5, 8.9 Hz3 IH)3 7.64 (s, IH), 7.54 (d, 7= 2.6 Hz3 IH), 7.38-7.32 (m3 2H)3 7.30-7.17 (m3 4H)3 4.00-3.95 (m, 2H)3 3.79 (s, 3H), 3.62 (s, 3H)3 3.30-3.20 (m, 2H), 2.98-2.93 (m, 2H).
Example 1.146: Preparation of N-l3-(4-Bromo-2-methyl-2H-pyrazol-3-yl)-4-methoxy- pheny.]-2-[2-(4-fluoro-phenyl)-ethylaminoJ-acetamide (Compound A40). The title compound was prepared in a similar manner as described in Example 1.138 to afford the TFA salt as a white solid (7%). LCMS m/z (%) = 461 (M+H79Br, 96), 463 (M+H81Br, 100).1H NMR (400 MHz, DMSO-rfβ) δ 10.54 (s, IH), 9.05-8.95 (m, IH), 7.68 (dd, J =
2.6, 8.9 Hz, IH), 7.64 (s, IH), 7.53 (d, J= 2.7 Hz, IH)5 7.33-7.15 (m, 5H), 3.99-3.93 (m, 2H), 3.79 (s, 3H), 3.63 (s, 3H), 3.29-3.20 (m, 2H), 2.98-2.92 (m, 2H).
Example 1.147: Preparation of N-[3-(4-Bromo-2-methyl-2H-pyrazol-3-yl)-4-methoxy- phenyl]-2-[2-(3-methoxy-phenyl)-ethylamino)-acetamide (Compound A47).
The title compound was prepared in a similar manner as described in Example 1.138 to afford the TFA salt as a white solid (5%). LCMS m/z (%) = 473 (M+H79Br, 100), 475 (M+H81Br, 68).1H NMR (400 MHz, DMSO-rfβ) δ 10.52 (s, IH), 9.00-8.90 (m, IH), 7.68 (dd, J= 2.6, 8.9 Hz, IH), 7.64 (s, IH), 7.53 (d, J= 2.7 Hz, IH), 7.23 (d, J= 9.1 Hz, IH), 7.20-7.15 (m, 2H), 6.94-6.88 (m, 2H), 3.98-3.93 (m, 2H), 3.79 (s, 3H), 3.73 (s, 3H), 3.62 (s, 3H), 3.25-3.15 (m, 2H), 2.93-2.85 (m, 2H).
Example 1.148: Preparation of N-[3-(4-Bromo-2-methyl-2H-pyrazol-3-yl)-4-methoxy- phenyl]-2-piperidin-l-yl-acetamide (Compound A58).
The title compound was prepared in a similar manner as described in Example 1.138 to afford the TFA salt as a white solid (38%). LCMS m/z (%) = 407 (M+H79Br, 95), 409 (M+H81Br, 100).1H NMR (400 MHz, DMSO--^) δ 10.60 (s, IH), 9.70-9.60 (m, IH), 7.65 (dd, J=
2.7, 9.0 Hz, IH), 7.64 (s, IH), 7.53 (d, J= 2.7 Hz, IH), 7.23 (d, J= 9.1 Hz, IH), 4.09 (d, J= 5.0 Hz, IH), 3.80 (s, 3H), 3.62 (s, 3H)5 3.50-3.40 (m, 2H), 3.10-2.97 (m, 2H), 1.83-1.65 (m, 5H), 1.47-1.32 (m, IH).
Example 1.149: Preparation of N-[3-(4-Bromo-2-methyl-2H-pyrazol-3-yl)-4-methoxy- phenyl]-2-(4-methyl-piperazin-l-yl)-acetamide (Compound A24).
The title compound was prepared in. a similar manner as described in Example 1.138 to afford the TFA salt as a white solid (11%). LCMS m/z (%) = 422 (M+H79Br, 100), 424 (M+H81Br, 79).1H NMR (400 MHz, DMSO-rf*) δ 9.85 (s, IH), 7.74 (dd, J= 2.6, 9.0 Hz, IH), 7.62 (s, IH), 7.53 (d, J= 2.6 Hz, IH), 7.18 (d, J= 9.1 Hz, IH), 3.78 (s, 3H), 3.61 (s, 3H), 3.44-3.28 (m, 4H), 3.16-3.00 (m, 4H), 2.80 (s, 3H), 2.65-2.57 (m, 2H).
Example 1.150: Preparation of N-[3-(4-Bromo-2-methyl-2H-pyrazol-3-yI)-4-methoxy- pbenyl]-2-(4-fluoro-benzylatnino)-acetamide (Compound A56). The title compound was prepared in a similar manner as described in Example 1.138 to afford the TFA salt as a white solid (33%). LCMS m/z (%) = 429 (M+H79Br, 100), 431 (M+H81Br, 98).1H NMR (400 MHz, DMSO-rf*) δ 10.50 (s, IH), 7.65 (dd, J= 2.7, 9.0 Hz, IH), 7.63 (s, IH), 7.53-7.43 (m, 6H), 7.21 (d, J= 9.1 Hz, IH), 4.25-4.20 (m, 2H), 3.89-3.85 (m, 2H), 3.78 (s, 3H), 3.62 (s, 3H).
Example 1.151: Preparation of N-[3-(4-Bromo-2-methyl-2H-pyrazol-3-yl)-4-methoxy- phenyl]-2-[4-(2-fluoro-phenyl)-piperazin-l-yl]-acetamide (Compound A3).
The title compound was prepared in a similar manner as described in Example 1.138 to afford a white solid (17%). LCMS m/z (%) = 502 (M+H79Br, 75), 504 (M+H81Br, 100).1H NMR (400 MHz, DMSO-rfβ) 8 9.80-9.78 (s, IH), 7.80 (dd, J= 2.7, 9.0 Hz, IH), 7.62 (s, IH), 7.58 (d, J= 2.6 Hz, IH), 7.19-7.02 (m, 4H), 6.99-6.93 (m, IH), 3.77 (s, 3H), 3.62 (s, 3H), 3.19 (s, 2H), 3.11-3.05 (m, 4H), 2.71-2.65 (m, 4H).
Example 1.152: Preparation of N-[3-(4-Bromø-2-methyl-2H-pyrazol-3-yl)-4-methoxy- phenyI]-2-[4-(3-fluoro-phenyl)-piperazin-l-yl]-acetamide (Compound A86).
The title compound was prepared in a similar manner as described in Example 1.138 to afford the TFA salt as a white solid (65%). LCMS m/z (%) = 502 (M+H79Br, 70), 504 (M+H81Br, 100).1H NMR (400 MHz, DMSO-rf,,) δ 10.52-10.51 (s, IH), 7.70 (dd, J= 2.7, 9.0 Hz, IH), 7.63 (s, IH), 7.55 (d, J= 2.7 Hz, IH), 7.32-7.21 (m, 2H), 6.88-6.80 (m, 2H), 6.67-6.62 (m, IH), 4.28-4.17 (m, 2H), 3.94-3.82 (m, 2H), 3.80 (s, 3H), 3.62 (s, 3H), 3.64-3.54 (m, 2H), 3.38- 3.25 (m, 2H), 3.24-3.12 (m, 2H).
Example 1.153: Preparation of N-[3-(4-Bromo-2-methyl-2H-pyrazol-3-yI)-4-methoxy- phenyl]-2-[4-(4-fluoro-phenyl)-piperazin-l-yl]-acetamide (Compound A2S).
The title compound was prepared in a similar manner as described in Example 1.138 to afford the TFA salt as a white solid (69%). LCMS m/z (%) = 502 (M+H79Br, 60), 504 (M+HslBr, 100).1H NMR (400 MHz, DMSO-J15) δ 10.68-10.60 (s, IH), 7.64 (s, IH), 7.71 (dd, J =
2.6, 9.0 Hz, IH), 7.54 (d, J= 2.7 Hz, IH), 7.23 (d, J= 9.1 Hz, 2H), 7.14-7.09 (m, 2H), 7.05-7.00 (m, IH), 4.28-4.19 (m, 2H), 3.80 (s, 3H), 3.62 (s, 3H), 3.65-3.55 (m, 4H), 3.42-3.27 (m, 2H), 3.18-3.03 (m, 2H).
Example 1.154: Preparation of N-[3-(4-Bromo-2-methyl-2H-pyrazol-3-yl)-4-methoxy- phenyl]-2-[4-(4-chloro-phenyl)-piperazin-l-yl]-acetamide (Compound A38).
The title compound was prepared in a similar manner as described in Example 1.138 to afford the TFA salt as a white solid (64%). LCMS m/z (%) = 518 (M+H79Br35Cl, 67), 520 (M+H81Br35Cl, M+H79Br37Cl, 100), 522 (M+H81Br37Cl, 37).1H NMR (400 MHz, DMSO- _/tf) δ 10.65 (bs, IH), 7.70 (dd, J= 2.7, 9.0 Hz, IH), 7.64 (s, IH), 7.54 (d, J= 2.7 Hz, IH), 7.32- 7.28 (m, IH), 7.24 (d, J= 9.1 Hz, 2H), 7.04-6.99 (m, 2H), 4.25-4.17 (m, 2H), 3.80 (s, 3H), 3.86- 3.75 (m, 2H), 3.62 (s, 3H), 3.65-3.55 (m, 2H), 3.40-3.26 (m, 2H), 3.21-3.08 (m, 2H). Example 1.155: Preparation of N-[3-(4-Bromo-2-methyl-2H-pyrazo.-3-yl)-4-methoxy- phenyl]-2-(3-fluoro-benzyIamino)-acetamide (Compound A45).
The title compound was prepared in a similar manner as described in Example 1.138 to afford the TFA salt as a white solid (42%). LCMS m/z (%) = 447 (M+H79Br, 61)3 449 (M+H81Br, 100).1H NMR (400 MHz, DMSO-rfβ) δ 10.52 (s, IH), 7.65 (dd, J= 2.6, 9.0 Hz, IH), 7.63 (s, IH), 7.55-7.48 (m, 2H), 7.42-7.34 (m, 2H), 7.32-7.26 (m, IH), 7.22 (d, J= 9.1 Hz, IH), 4.26 (bs, 2H), 3.S8 (bs, 2H), 3.79 (s, 3H)5 3.61 (s, 3H).
Example 1.156: Preparation of N-[3-(4-Bromo-2-methyI-2H-pyrazol-3-yl)-4-methoxy- phenyl]-2-(2-fluoro-benzylamino)-acetamide (Compound A55).
The title compound was prepared in a similar manner as described in Example 1.138 to afford the TFA salt as a white solid (39%). LCMS m/z (%) = 447 (M+H79Br, 65), 449 (M+H
81Br, 100).1H NMR (400 MHz, DMSO-rfβ) δ 10.53 (s, IH), 7.66 (dd, J = 2.6, 9.0 Hz, IH), 7.64 (s, IH), 7.63-7.58 (m, IH), 7.55-7.48 (m, 2H), 7.36-7.29 (m, 2H)37.22 (d3 J= 9.1 Hz, IH), 4.28
(bs, 2H), 3.92 (bs, 2H), 3.78 (s, 3H), 3.62 (s, 3H).
Example 1.157: Preparation of N-[3-(4-Bromo-2-methyl-2H-pyrazol-3-yl)-4-methoxy- phenyl]-2-(4-methoxy-benzylamino)-acetamide (Compound A65). The title compound was prepared in a similar manner as described in Example 1.138 to afford the TFA salt as a white solid (44%). LCMS m/z (%) = 459 (M+H79Br, 94), 461 (M+H81Br; 100).1H NMR (400 MHz, DMSO-rfrf) δ 10.49 (s, IH), 7.65 (dd, J= 2.6, 9.0 Hz, IH), 7.63 (s, IH), 7.52 (d, J= 2.6 Hz, IH), 7.45-7.41 (m, 2H), 7.21 (d, J= 9.1 Hz, IH), 7.03-6.90 (m, 2H), 4.18-4.13 (m, 2H), 3.85-3.80 (m, 2H), 3.78 (s, 3H), 3.76 (s, 3H), 3.62 (s, 3H).
Example 1.158: Preparation of N-[3-(4-Bromo-2-methyI-2H-pyrazol-3-yl)-4-methoxy- phenyl]-2-(2-methoxy-benzylamino)-acetamide (Compound A69).
The title compound was prepared in a similar manner as described in Example 1.138 to afford the TFA salt as a white solid (44%). LCMS m/z (%) = 459 (M+H79Br, 100), 461 (M+H81Br, 73).1H NMR (400 MHz, DMSO-rf5) δ 10.47 (s, IH), 7.67 (dd, J= 2.7, 9.0 Hz, IH), 7.63 (s, IH), 7.52 (d, J= 2.6 Hz, IH), 7.47-7.40 (m, 2H), 7.22 (d, J= 9.1 Hz, IH), 7.11 (d, J= 8.1 Hz, IH), 7.04-7.00 (m, IH), 4.22-4.17 (m, 2H), 3.84-3.80 (m, 2H), 3.82 (s, 3H), 3.79 (s, 3H), 3.62 (s, 3H).
Example 1.159: Preparation of N-[3-(4-Bromo-2-methyl-2H-pyrazol-3-yl)-4-methoxy- phenyl]-2-[2-(4-fluoro-phenyl)-ethylamino]-acetamide (Compound A76). The title compound was prepared in a similar manner as described in Example 1.138 to afford the TFA salt as a white solid (35%). LCMS m/z (%) = 461 (M+H79Br, 61), 463 (M+H81Br3 100).1H NMR (400 MHz, DMSO-rfd) δ 10.56 (s, IH), 7.68 (dd, J = 2.6, 9.0 Hz, IH), 7.64 (s, IH), 7.54 Cd, J= 2.6 Hz, IH), 7.43-7.36 (m, IH), 7.23 (d, J= 9.1 Hz, IH), 7.16-7.08 (m, 3H), 4.00-3.94 (m, 2H), 3.79 (s, 3H), 3.62 (s, 3H), 3.33-3.23 (m, 2H), 3.02-2.96 (m, 2H).
Example 1.160: Preparation of N-[3-(4-Bromo-2-methyI-2H-pyrazol-3-yl)-4-methoxy- phenyl]-2-[2-(2-fiuoro-phenyl)-ethylamino]-acetamide (Compound A21).
The title compound was prepared in a similar manner as described in Example 1.138 to afford a the TFA salt as white solid (27%). LCMS m/z (%) = 461 (M+H79Br, 100), 463 (M+H81Br, 76).1H ISlMR (400 MHz, DMSO-tf*) δ 10.56 (s, IH), 7.68 (dd, J= 2.7, 9.0 Hz, IH), 7.64 (s, IH), 7.54 (d, J= 2.7 Hz, IH), 7.38-7.31 (m, 2H), 7.25-7.18 (m, 3H)34.20-3.98 (m, 2H), 3.79 (s, 3H), 3.62 (s, 3H), 3.29-3.20 (m, 2H), 3.05-2.99 (m, 2H).
Example 1.161: Preparation of N-[3-(4-ChIoro-2-methyl-2H-pyrazol-3-yl)-4-methoxy- phenyl]-2-(4-fhioro-benzylamino)-acetamide (Compound A4).
The title compound was prepared in a similar manner as described in Example 1.138 to afford the TFA salt as a white solid (17%). LCMS m/z (%) = 403 (M+H35Cl, 100), 405 (M+H37Cl5 38).1H NMR (400 MHz, DMSO-rfβ) δ 10.48 (s, IH), 7.65 (dd, J= 2.8, 9.1 Hz, IH), 7.63 (s, IH), 7.59-7.54 (m, 2H), 7.53 (d, J= 2.7 Hz, IH), 7.34-7.28 (m, 2H), 7.22 (d, J= 9.1 Hz, IH), 4.26-4.20 (m, 2H)5 3.88-3.83 (m, 2H), 3.79 (s, 3H), 3.60 (s, 3H).
Example 1.162: Preparation of N-[3-(4-Chloro-2-methyl-2H-pyrazol-3-yl)-4-methoxy- pheny]]-2-(3-fluoro-benzylamino)-acetamide (Compound AlO). The title compound was prepared in a similar manner as described in Example 1.138 to afford the TFA salt as a white solid (22%). LCMS m/z (%) = 403 (M+H35Cl, 100), 405 (M+H37Cl, 38).1H NMR (400 MHz, DMSO-^6) δ 10.40 (s, IH), 7.65 (dd, J= 2.7, 9.0 Hz, IH), 7.63 (s, IH), 7.55-7.49 (m, 2H), 7.41-7.34 (m, 2H), 7.32-7.26 (m, IH), 7.22 (d, J= 9.1 Hz, IH), 4.28- 4.24 (m, 2H), 3.90-3.84 (m, 2H), 3.80 (s, 3H), 3.60 (s, 3H).
Example 1.163: Preparation of N-[3-(4-Chloro-2-methyl-2H-pyrazol-3-yl)-4-methoxy- phenyl]-2-(2-fluoro-benzylamino)-acetamide (Compound A19).
The title compound was prepared in a similar manner as described in Example 1.138 to afford the TFA salt as a white solid (23%). LCMS m/z (%) = 403 (M+H35Cl, 100), 405 (M+H37Cl, 39). 'H NMR (400 MHz, DMSO-^6) δ 10.51 (s, IH), 7.66 (dd, J= 2.6, 9.0 Hz, IH), 7.64 (s, IH), 7.63-7.58 (m, IH), 7.55-7.48 (m, 2H), 7.36-7.29 (m, 2H), 7.23 (d3 J = 9.2 Hz, IH), 4.32- 4.26 (m, 2H), 3.95-3.90 (m, 2H)5 3.80 (s, 3H), 3.61 (s, 3H). Example 1.164: Preparation of 2-Benzylamino-N-[3-(Φchloro-2-methyl-2H-pyrazol-3-yl)- 4-methoxy-phenyI]-acetamide (Compound A27).
The title compound was prepared in a similar manner as described in Example 1.138 to afford the TFA salt as a white solid (24%). LCMS m/z (%) = 385 (M+H35Cl, 100), 387 (M+H37Cl, 35).1H NMR (400 MHz, DMSO-rfβ) δ 10.49 (s, IH), 7.65 (dd, J= 2.7, 9.0 Hz, IH), 7.63 (s, IH), 7.54-7.43 (m, 6H), 7.22 (d, J= 9.0 Hz, IH), 4.25-4.20 (m, 2H), 3.88-3.83 (m, 2H), 3.79 (s, 3H), 3.60 (s, 3H).
Example 1.165: Preparation of 2-(Benzyl-methyl-amino)-N-[3-(4-chloro-2-methyl-2H- pyrazol-3-yl)-4-methoxy-phenyl]-acetamide (Compound A44).
The title compound was prepared in a similar manner as described in Example 1.138 to afford the TFA salt as a white solid (58%). LCMS m/z (%) = 399 (M+H35Cl, 100), 401 (M+H
37Cl, 39).1H NMR (400 MHz, DMSO-rfd) δ 10.60 (s, IH), 7.65 (dd, J= 2.7, 9.0 Hz, IH), 7.63 (s, IH), 7.57-7.46 (m, 6H), 7.22 (d, J = 9.1 Hz, IH), 4.48-4.30 (m, 2H), 4.17-3.95 (m, 2H), 3.80
(s, 3H), 3.60 (s, 3H), 2.81 (m, 3H).
Example 1.166: Preparation of N-I3-(4-ChIoro-2-methyl-2H-pyrazol-3-yl)-4-methoxy- pheπyl]-2-[4-(3-fluoro-phenyl)-piperazin-l-yl]-acetamide (Compound A61). The title compound was prepared in a similar manner as described in Example 1.138 to afford the TFA salt as a white solid (55%). LCMS m/z (%) = 502 (M+H35Cl, 100), 504 (M+H37Cl, 43).1H NMR (400 MHz, DMSO-rfe) δ 10.64 (bs, IH), 7.70 (dd, J= 2.7, 9.0 Hz, IH), 7.64 (s, IH), 7.56 (d, J= 2.6 Hz, IH), 7.27 (m, 2H), 6.88-6.80 (m, 2H), 6.67-6.61 (m, IH), 4.26-4.15 (m, 2H), 3.95-3.81 (m, 2H), 3.80 (s, 3H), 3.61 (s, 3H), 3.60-3.55 (m, 2H), 3.40-3.25 (m, 2H), 3.23-3.10 (m, 2H).
Example 1.167: Preparation of N-[3-(4-Chloro-2-methyl-2H-pyrazol-3-yl)-4-methoxy- phenyl]-2-[4-(2-fluoro-phenyl)-piperazin-l-yl]-acetamide (Compound A68).
The title compound was prepared in a similar manner as described in Example 1.138 to afford a pale solid (70%). LCMS m/z (%) = 458 (M+H35Cl, 100), 460 (M+H37Cl, 42).1H NMR (400 MHz, DMSO-rf*) δ 9.82-9.78 (s, IH), 7.82-7.78 (dd, J= 2.6, 9.0 Hz, IH), 7.61 (s, IH), 7.60-7.58 (d, J= 2.6 Hz, IH), 7.19-7.02 (m, 4H), 7.00-6.93 (m, IH), 3.78 (s, 3H), 3.60 (s, 3H), 3.19 (s, 2H), 3.10-3.05 (m, 4H), 2.71-2.65 (m, 4H).
Example 1.168: Preparation of N-[3-(4-Chloro-2-methyl-2H-pyrazol-3-yl)-4-methoxy- phenyl]-2-(4-phenyl-piperazin-l-yl)-acetamide (Compound A79). The title compound was prepared in a similar manner as described in Example 1.138 to afford the TFA salt as a white solid (75%). LCMS m/z (%) = 440 (M+H3SC1, 100), 442 (M+H37Cl, 42).1H NMR (400 MHz, DMSO-4,) δ 10.65 (bs, IH), 7.70 (dd, J= 2.7, 9.0 Hz, IH), 7.64 (s, IH), 7.55 (d, J= 2.6 Hz, IH), 7.30-7.22 (m, 3H), 7.00 (d, J = 8.0 Hz, 2H), 6.90-6.84 (m, IH), 4.29-4.18 (m, 2H), 3.87-3.56 (m, 4H), 3.81 (s, 3H), 3.62 (s, 3H), 3.41-3.28 (m, 2H), 3.19-3.07 (m, 2H).
Example 1.169: Preparation of N-l3-(4-Chloro-2-methyl-2H-pyrazol-3-yl)-4-methoxy- phenyl]-2-[4-(4-chloro-phenyl)-piperazin-l-yl]-acetamϊde (Compound A25). The title compound was prepared in a similar manner as described in Example 1.138 to afford the TFA salt as a white solid (56%). LCMS m/z (%) = 474 (M+H35Cl35Cl, 100), 476 (M+H35Cl37Cl, 77), 478 (M+H37Cl37Cl, 16).1H NMR (400 MHz, DMSO-rf«) δ 10.68-10.61 (s, IH), 7.70 (dd, J= 2.6, 9.1 Hz, IH), 7.64 (s, IH), 7.56 (d, J= 2.6 Hz, IH), 7.33-7.27 (m, 2H), 7.24 (d, J= 9.1 Hz, IH), 7.05-6.99 (m, 2H), 4.27-4.17 (m, 2H), 3.85-3.52 (m, 4H), 3.80 (s, 3H), 3.61 (s, 3H), 3.41-3.27 (m, 2H), 3.21-3.05 (m, 2H).
Example 1.170: Preparation of N-[3-(4-ChIoro-2-methyl-2H-pyrazol-3-yl)-4-methoxy- phenyI]-2-[4-(4-fluoro-phenyl)-piperazin-l-yl]-acetamide (Compound A12).
The title compound was prepared in a similar manner as described in Example 1.138 to afford the TFA salt as a white solid (37%). LCMS m/z (%) = 458 (M+H35Cl, 100), 460 (M+H37Cl, 41).1H NMR (400 MHz, DMSO-tftf) δ 10.64 (bs, IH), 7.70 (dd, J= 2.6, 9.0 Hz, IH), 7.64 (s, IH), 7.55 (d, J= 2.6 Hz, IH), 7.24 (d, J= 9.1 Hz, IH), 7.15-7.09 (m, 2H), 7.05-7.00 (m, 2H), 4.27-4.20 (m, 2H), 3.80 (s, 3H), 3.77-3.58 (m, 4H), 3.62 (s, 3H), 3.41-3.30 (m, 2H), 3.15-3.05 (m, 2H).
Example 1.171: Preparation of 2-(4-Fluoro-phenylamino)-N-[3-(2-methyl-2H-pyrazol-3- yl)-4-(2-morpholm-4-yl-ethoxy)-phenyl]-acetamide (Compound Al 6).
To a solution of 3-(2-methyl-2H-pyrazol-3-yl)-4-(2-morpholin-4-yl-ethoxy)- phenylamine (0.026 g, 0.086 mmol) in N,N-dimethylacetamide (0.37 mL) was added bromoacetyl bromide (0.018 mL, 0.090 mmol) in a heavy-walled sealed tube. The solution was stirred at room temperature for 20 minutes. 4-Fluoroaniline (0.0079 mL, 0.090 mmol) was added and the solution was heated under microwave irradiation at 1000C for 10 minutes. The reaction was purified by RP-HPLC. Lyophilization afforded the TFA salt as a brown solid (0.0069 g, 18%). LCMS m/z (%) = 454 (M+H , 100).1H NMR (400 MHz, DMSO-rfβ) δ 10.02 (bs, IH), 7.71 (dd, J = 2.6, 9.0 Hz, IH), 7.57 (d, J= 2.6 Hz, IH), 7.46 (d, J= 1.9 Hz, IH), 7.15 (d, J= 9.0 Hz, IH), 6.98-6.90 (m, 2H), 6.61-6.55 (m, 2H), 6.25 (d, J= 1.8 Hz, IH), 4.33-*.3O (m, 2H), 3.87-3.75 (m, 4H), 3.64 (s, 3H), 3.58-3.43 (m, 4H), 3.20-2.92 (m, 4H). Example 1.172: Preparation of 2-(2,4-Difluoro-phenylamino)-N-[3-(2-methyl-2H-pyrazol- 3-yl)-4-(2-morphoIin-4-yl-ethoxy)-phenyl]-acetamide (Compound A20).
The title compound was prepared in a similar manner as described in Example 1.171 to afford the TFA salt as a brown solid (29%). LCMS m/z (%) = 472 (M+H , 100).1H NMR (400 MHz, DMSO-GQ δ 10.06 (bs, IH), 7.70 (dd, J= 2.6, 9.0 Hz, IH), 7.56 (d, J = 2.6 Hz, IH), 7.47 (d, J= 1.8 Hz, IH), 7.25-7.09 (m, 2H), 6.91-6.84 (m, IH), 6.63-6.56 (m, IH), 6.25 (d, J= 1.8 Hz, IH), 4.34-4.29 (m, 2H), 3.90 (s, 2H), 3.86-3.76 (m, 2H), 3.65 (s, 3H), 3.58-3.45 (m, 4H), 3.18-3.10 (m, 2H), 3.50-2.93 (m, 2H).
Example 1.173: Preparation of N-[3-(4-Chloro-2-methyl-2H-pyrazoI-3-yl)-4-methoxy- phenyl]-2-[4-(4-methoxy-phenyl)-piperazin-l-yl]-acetamide (Compound A57).
The title compound was prepared in a similar manner as described in Example 1.138 to afford the TFA salt as a white solid (67%). LCMS m/z (%) = 470 (M+H35Cl, 100), 472 (M+H37Cl, 47).1H NMR (400 MHz, DMSO-tfβ) δ 10.48 (s, IH), 7.70 (dd, J= 2.7, 9.0 Hz, IH), 7.64 (s, IH), 7.55 (d, J= 2.7 Hz, IH), 7.25 (d, J= 9.1 Hz, IH), 6.98-6.93 (m, 2H), 6.89-6.84 (m, 2H), 4.28-4.20 (m, 2H), 3.81 (s, 3H), 3.70 (s, 3H), 3.62 (s, 3H), 3.80-3.58 (m, 4H), 3.43-3.29 (in, 2H), 3.10-2.98 (m, 2H).
Example 1.174: Preparation of N-[3-(4-Chloro-2-methyI-2H-pyrazoI-3-yl)-4-methoxy- phenyl]-2-[4-(3-methoxy-phenyl)-piperazin-l-yl]-acetamide (Compound A63).
The title compound was prepared in a similar manner as described in Example 1.138 to afford the TFA salt as a white solid (67%). LCMS m/z (%) = 470 (M+H35Cl, 100), 472 (M+H37Cl, 63).1H NMR (400 MHz, DMSO-^5) δ 10.65 (s, IH), 7.71 (dd, J= 2.7, 9.0 Hz, IH), 7.64 (s, IH), 7.56 (d, J= 2.7 Hz, IH), 7.25 (d, J= 9.1 Hz, IH), 7.20-7.13 (m, IH), 6.61-6.55 (m, IH), 6.54-6.51 (m, IH), 6.45 (dd, J= 2.2, 8.1 Hz, IH), 4.25-4.20 (m, 2H), 3.88-3.80 (m, 2H), 3.81 (s, 3H), 3.71 (s, 3H), 3-62 (s, 3H), 3.60 (s, 2H), 3.38-3.26 (m, 2H), 3.18-3.06 (m, 2H).
Example 1.175: Preparation of N-[3-(4-Chloro-2-methyl-2H-pyrazol-3-yl)-4-methoxy- phenyl]-2-[4-(2,4-difluoro-phenyl)-piperazin-l-yl]-acetamide (Compound A66).
The title compound was prepared in a similar manner as described in Example 1.138 to afford the TFA salt as a yellow solid (58%). LCMS m/z (%) = 476 (M+H3SC1, 100), 478 (M+H37Cl5 63).1H NMR (400 MHz, DMSO-40 δ 10.70 (s, IH), 7.70 (dd, J= 2.7, 9.1 Hz, IH), 7.64 (bs, IH), 7.56 (d, J= 2.6 Hz, IH), 7.33-7.30 (m, 3H), 7.09-7.02 (m, IH), 4.30-4.20 (s, 2H), 3.80 (s, 3H), 3.68-3.56 (m, 2H), 3.62 (s, 3H), 3.48-3.33 (m, 4H), 3.22-3.09 (m, 2H). Example 1.176: Preparation of N-t3-(4-Chloro-2-methyl-2H-pyrazol-3-yl)-4-methoxy- phenyl]-2-(4-pyrϊdin-2-yl-piperazin-l-yl)-acetamide (Compound A70).
The title compound was prepared in a similar manner as described in Example 1.138 to afford the TFA salt as a pale solid (22%). LCMS m/z (%) = 440 (M+H35Cl, 100), 442 (M+H37Cl, 22).1H NMR (400 MHz, DMSO-rftf) 8 10.67 (bs, IH), 8.17 (dd, J= 1.4, 5.0 Hz, IH), 7.71 (dd, J= 2.7, 9.0 Hz, IH), 7.68-7.63 (m, 2H), 7.57 (d, J= 2.7 Hz, IH), 7.23 (d, J= 9.1 Hz, IH), 6.98 (d, J = 8.7 Hz, IH)56.80-6.75 (m, IH), 4.45-4.30 (m, 2H), 4.24-4.17 (s, 2H), 3.81 (s, 3H), 3.62 (s, 3H), 3.64-3.53 (m, 2H), 3.40-3.16 (m, 4H).
Example 1.177: Preparation of N-l3-(4-Chloro-2-methyl-2H-pyrazol-3-yl)-4-methoxy- phenyl]-2-[4-(2-methoxy-phenyl)-piperazin-l-yI]-acetamide (Compound A75).
The title compound was prepared in a similar manner as described in Example 1.138 to afford the TFA salt as a pink solid (39%). LCMS m/z (%) = 470 (M+H35CI, 100), 472 (M+H37Cl, 52).1H NMR (400 MHz, DMSO-4,) δ 10.69 (s, IH), 7.70 (dd, J= 2.7, 9.0 Hz, IH), 7.64 (s, IH), 7.56 (d, J= 2.7 Hz, IH), 7.24 (d, J= 9.1 Hz, IH), 7.06-6.99 (m, 4H), 4.28-4.20 (s, 2H), 3.81 (s, 3H), 3.78 (s, 3H), 3.62 (s53H), 3.60 (m, 2H), 3.55-3.34 (m, 4H), 3.13-3.00 (m, 2H).
Example 1.178: Preparation of 2-(4-Chloro-phenylamino)-N-[3-(2-methyl-2H-pyrazol-3- yl)-4-(2-morpholin-4-yI-ethoxy)-phenyl]-acetamide (Compound A80). The title compound was prepared in a similar manner as described in Example 1.171 to afford the TFA salt as a pale solid (39%). LCMS m/z (%) = 470 (M+H35Cl, 100), 472 (M+H37Cl, 39).1H NMR (400 MHz, DMSOd5) δ 10.06 (s, IH), 7.70 (dd, J = 2.6, 9.0 Hz, IH), 7.57 (d, J= 2.6Hz, IH), 7.47 (d,J= 1.9 Hz, IH), 7.19 (d, J= 9.0 Hz, 2H), 7.14-7.09 (m, 2H), 6.62- 6.57 (m, 2H), 6.25 (d, J= 1.8 Hz, IH), 4.34-4.29 (m, 2H), 3.86-3.77 (m, 4H), 3.65 (s, 3H), 3.58- 3.45 (m, 4H), 3.16-3.08 (m, 2H), 3.05-2.92 (m, 2H).
Example 1.179: Preparation of 2-(3-Methoxy-phenylamino)-N-[3-(2-methyl-2H-pyrazol-3- yl)-4-(2-morpholin-4-yl-ethoxy)-phenyl]-acetamide (Compound A74).
The title compound was prepared in a similar manner as described in Example 1.171 to afford the TFA salt as a pale solid (35%). LCMS m/z (%) = 466 (M+H , 100).1H NMR (400 MHz, DMSOd15) δ 10.05 (s, IH), 7.71 (dd, J= 2.6, 8.9 Hz, IH), 7.57 (d, J= 2.6 Hz, IH), 7.47 (d, J= 1.8 Hz, IH)5 7.19 (d, J= 9.0 Hz, IH), 7.02-6.96 (m, IH), 6.25 (d, J= 1.8 Hz5 IH), 6.22- 6.13 (m, 3H), 4.33-4.19 (m, 2H), 3.84-3.79 (m, 4H), 3.66 (s, 3H), 3.64 (s, 3H), 3.57-3.44 (m, 4H), 3.18-3.08 (m, 2H), 3.05-2.92 (m, 2H).
Example 1.180: Preparation of 2-(3-Fluoro-phenylamino)-]S-[3-(2-methyl-2H-pyrazol-3- yl)-4-(2-morphoIin-4-yl-ethoxy)-phenyl]-acetamide (Compound A83). The title compound was prepared in a similar manner as described in Example 1.171 to afford the TFA salt as a pale solid (15%). LCMS m/z (%) = 454 (M+H , 100).1H NMR (400 MHz3 DMSO-rfβ) δ 10.08 (s, IH), 7.71 (dd, J= 2.6, 9.0 Hz, IH), 7.57 (d, J= 2.6 Hz, IH), 7.48 (d, J= 1.8 Hz, IH), 7.20 (d, J= 9.0 Hz, IH)3 7.12-7.06 (m, IH), 6.44-6.38 (m, IH), 6.38-6.32 (m, 2H), 6.27-6.25 (d, J= 1.8 Hz, IH), 4.34-4.19 (m, 2H), 3.87-3.78 (m, 4H), 3.65 (s, 3H), 3.58- 3.44 (m, 4H), 3.18-3.10 (m, 2H), 3.06-2.92 (m, 2H).
Example 1.181: Preparation of 2-(2-Fluoro-phenylamino)-N-[3-(2-methyl-2H-pyrazol-3- yl)-4-(2-morphoUn-4-yl-ethoxy)-phenyl]-acetamide (Compound A32). The title compound was prepared in a similar manner as described in Example 1.171 to afford the TFA salt as a pale solid (14%). LCMS m/z (%) = 454 (M+H , 100).1H NMR (400 MHz, DMSO-de) δ 10.08 (s, IH), 7.71 (dd, J= 2.7, 8.9 Hz, IH), 7.57 (d, J= 2.6 Hz, IH), 7.48 (d, J= 1.8 Hz, IH), 7.19 (d, J= 9.0 Hz, IH), 7.09-7.02 (m, IH), 7.00-6.93 (m, IH), 6.64-6.56 (m, 2H), 6.26 (d, J= 1.8 Hz, IH), 4.36-4.28 (m, 2H), 3.92 (s, 2H), 3.86-3.75 (m, 2H), 3.64 (s, 3H), 3.58-3.44 (m, 4H), 3.18-3.07 (m, 2H), 3.05-2.93 (m, 2H).
Example 1.182: Preparation of 2-(4-Chloro-2-fluoro-phenylamino)-N-[3-(2-methyl-2H- pyrazol-3-yl)-4-(2-morpholin-4-y.-ethoxy)-phenyl]-acetamide (Compound A48).
The title compound was prepared in a similar manner as described in Example 1.171 to afford the TFA salt as a pale solid (11%). LCMS m/z (%) = 484 (M+H35Cl, 100), 486 (M+H37Cl, 41).1H NMR (400 MHz, DMSO-^) δ 10.06 (s, IH), 7.70 (dd, J= 2.6, 9.0 Hz, IH), 7.55 (d, J = 2.6 Hz, IH), 7.47 (d, J= 2.6 Hz, IH), 7.24 (dd, J= 2.4, 11.6 Hz, IH), 7.19 (d, J= 9.1 Hz, IH), 7.06-7.02 (m, IH), 6.64-6.58 (m, IH), 6.25 (d, J= 1.8 Hz, IH), 4.34-4.29 (m, 2H), 3.92- 3.90 (m, 2H), 3.86-3.78 (m, 2H), 3.64 (s, 3H), 3.58-3.44 (m, 4H), 3.17-3.08 (m, 2H), 3.04-2.94 (m, 2H).
Example 1.183: Preparation of 2-(3,4-Difluoro-phenylamino)-N-{3-(2-methyl-2H-pyrazol- 3-yl)-4-(2-morpholin-4-yl-ethoxy)-phenyl]-acetamide (Compound A2).
The title compound was prepared in a similar manner as described in Example 1.171 to afford the TFA salt as a pale solid (37%). LCMS m/z (%) = 472 (M+H , 100).1H NMR (400 MHz, DMSO-4,) δ 10.08 (s, IH), 7.70 (dd, J= 2.6, 8.9 Hz, IH), 7.57 (d, J= 2.6 Hz, IH), 7.47 (d, J= 1.8 Hz, IH), 7.20 (d, J= 9.1 Hz, IH), 7.18-7.10 (m, IH), 6.60-6.53 (m, IH), 6.39-6.34 (m, IH), 6.27-6.24 (d, J= 1.8 Hz, IH), 4.35-4.30 (m, 2H), 3.87-3.78 (m, 4H)5 3.66 (s, 3H), 3.58- 3.46 (m, 4H), 3.18-3.10 (m, 2H), 3.05-2.94 (m, 2H).
Example 1.184: Preparation of 2-(3,5-Difluoro-phenylamino)-N-I3-(2-methyl-2H-pyrazol- 3-yl)-4-(2-morpholin-4-yI-ethoxy)-phenyl]-acetamide (Compound A9). The title compound was prepared in a similar manner as described in Example 1.171 to afford the TFA salt as a pale solid (12%). LCMS m/z (%) = 472 (M+H , 100).1H NMR (400 MHz, DMSO-40 δ 10.10 (s, IH), 7.70 (dd, J= 2.7, 9.0 Hz, IH), 7.56 (d, /= 2.6 Hz, IH)3 7.47 (d, J= 1.9 Hz, IH), 7.20 (ά, J= 9.0 Hz, IH), 6.77-6.62 (m, IH), 6.32-6.22 (m, 4H), 4.34-4.30 (m, 2H), 3.92-3.88 (s, 2H), 3.85-3.78 (m, 2H), 3.66-3.63 (s, 3H), 3.58-3.43 (m, 4H), 3.16-3.10 (m, 2H), 3.04-2.92 (m, 2H).
Example 1.185: Preparation of 2-(2,5-Difluoro-phenylamino)-N-[3-(2-methyl-2H-pyrazol- 3-yl)-4-(2-morphoIin-4-yI-ethoxy)-phenyl]-acetamide (Compound A42). The title compound was prepared in a similar manner as described in Example 1.171 to afford the TFA salt as a yellow solid (7%). LCMS m/z (%) = 472 (M+H , 100).1H NMR (400 MHz, DMSO-^) δ 10.10 (s, IH), 7.70 (dd, J= 2.7, 8.9 Hz, IH), 7.56 (d, /= 2.6 Hz, IH), 7.47 (d, J= 1.8 Hz, IH), 7.20 (d, J= 9.0 Hz, IH), 7.10-7.02 (m, IH), 6.47-6.40 (m, IH), 6.37-6.31 (m, IH), 6.25 (d, J= 1.8 Hz, IH), 4.34-4.30 (m, 2H), 3.94 (bs, 2H), 3.86-3.78 (m, 2H), 3.65 (s, 3H), 3.57-3.43 (m, 4H), 3.17-3.10 (m, 2H), 3.04-2.93 (m, 2H).
Example 1.186: Preparation of 2-[(4-Fluoro-phenyI)-methyl-amino]-N-[3-(2-methyI-2H- pyrazol-3-yl)-4-(2-morpholiπ-4-yl-ethoxy)-phenyI]-acetamide (Compound A59).
The title compound was prepared in a similar manner as described in Example 1.171 to afford the TFA salt as a yellow solid (33%). LCMS m/z (%) = 468 (M+H , 100).1H NMR (400
MHz, DMSO-ck) δ 10.03 (s, IH), 7.67 (dd, J= 2.6, 9.0 Hz, IH), 7.55 (d, J= 2.6 Hz, IH), 7.46
(d, J= l.δ Hz, IH), 7.17 (d, J= 9.0 Hz, IH), 7.05-6.96 (m, 2H), 6.71-6.63 (m, 2H), 6.25 (d, /=
1.8 Hz, IH), 4.30-4.20 (s, 2H), 4.12-4.08 (s, 2H), 3.86-3.75 (m, 2H), 3.64 (s, 3H), 3.59-3.43 (m,
4H), 3.19-3.09 (m, 2H), 3.01 (s, 3H), 3.06-2.92 (m, 2H).
Example 1.187: Preparation of N-[3-(2-MethyI-2H-pyrazol-3-yI)-4-(2-morpholin-4-yl- ethoxy)-phenyl]-2-phenylamino-acetamide (Compound A67).
The title compound was prepared in a similar manner as described in Example 1.171 to / afford a the TFA salt as yellow solid (14%). LCMS m/z (%) = 436 (M+H , 100).1H NMR (400 MHz, DMSO-J5) δ 10.05 (s, IH), 7.72 (dd, 7= 2.4, 8.9 Hz, IH), 7.58 (d, /= 2.5 Hz, IH), 7.47
(d, J= 1.4 Hz, IH), 7.19 (d, J= 9.0 Hz, IH), 7.13-7.07 (m, 2H), 6.62-6.52 (m, 3H), 6.25 (d, /=
1.5 Hz, IH), 4.35-4.28 (m, 2H), 3.86-3.77 (m, 4H), 3.65 (bs, 3H), 3.58-3.46 (m, 4H), 3.18-3.10
(m, 2H), 3.05-2.94 (m, 2H).
Example 1.188: Preparation of N-[3-(4-Chloro-2-methyl-2H-pyrazol-3-yl)-4-methoxy- phenyI]-2-[4-(3,4-dϊfluoro-phenyl)-piperazin-l-yl]-acetamide (Compound A78). The title compound was prepared in a similar manner as described in Example 1.138 to afford the TFA salt as a pale solid (55%). LCMS m/z (%) = 476 (M+H35Cl, 100), 478 (M+H37Cl, 47).1H NMR (400 MHz, DMSO-^6) δ 10.65 (s, IH), 7.70 (dd, J= 2.6, 9.0 Hz, IH), 7.64 (s, IH), 7.56 (d, J= 2.7 Hz, IH), 7.37-7.28 (m, IH), 7.24 (d, J= 9.0 Hz, IH), 7.15-7.08 (m, IH), 6.83-6.78 (m, IH), 4.27-4.16 (s, 2H), 3.85-3.73 (m, 2H), 3.81 (s, 3H), 3.66-3.52 (m, 2H), 3.61 (s, 3H), 3.40-3.25 (m, 2H), 3.25-3.04 (m, 2H).
Example 1.189: Preparation of N-P-(4-Chloro-2-metnyl-2H-pyrazol-3-yl)-4-methoxy- phenyl]-2-(4-p-tolyl-piperazin-l-yl)-acetamide (Compound A23). The title compound was prepared in a similar manner as described in Example 1.138 to afford the TFA salt as a pale solid (32%). LCMS m/z (%) = 454 (M+H35Cl, 100), 456 (M+H37Cl, 53).1H NMR (400 MHz, DMSO-^5) δ 10.63 (s, IH), 7.70 (dd, J = 2.7, 9.0 Hz, IH), 7.64 (s, IH), 7.57 (d, J= 2.7 Hz, IH), 7.25 (d, J= 9.1 Hz, IH), 7.08 (d, J= 8.5 Hz, 2H), 6.90 (d, J= 8.6 Hz, 2H), 4.21 (bs, 2H), 3.80 (s, 3H), 3.80-3.56 (m, 4H), 3.62 (s, 3H), 3.42-3.28 (m, 2H), 3.14-3.02 (m, 2H), 2.22 (s, 3H).
Example 1.190: Preparation of N-[3-(4-Chloro-2-methyI-2H-pyrazol-3-yl)-4-methoxy- pheπyI]-2-(4-m-tolyl-piperazin-l-yl)-acetamide (Compound A36).
The title compound was prepared in a similar manner as described in Example 1.138 to afford the TFA salt as a pale solid (50%). LCMS m/z (%) = 454 (M+H35Cl, 100), 456 (M+H37Cl, 35).1H NMR (400 MHz, DMSO-<fβ) δ 10.63 (s, IH), 7.71 (dd, J= 2.7, 9.0 Hz, IH), 7.64 (s, IH), 7.56 (d, J= 2.6 Hz, IH), 7.24 (d, J= 9.1 Hz, IH), 7.17-7.12 (m, IH), 6.83-6.77 (m, 2H), 6.69 (d, J= 7.5 Hz, IH), 4.28-4.18 (s, 2H), 3.80 (s, 3H), 3.84-3.55 (m, 4H), 3.62 (s, 3H), 3.40- 3.28 (m, 2H), 3.18-3.07 (m, 2H), 2.28 (s, 3H).
Example 1.191: Preparation of N-[3-(4-Chloro-2-methyl-2H-pyrazol-3-yl)-4-methoxy- phenyl]-2- [4-(2-chloro-phenyl)-piperazin-l-yI]-acetamide (Compound A43).
The title compound was prepared in a similar manner as described in Example 1.138 to afford the TFA salt as a white solid (36%). LCMS m/z (%) = 474 (M+H35Cl35Cl, 100), 476 (M+H35Cl37Cl, 76), 478 (M+H37Cl37Cl, 14).1H NMR (400 MHz, DMSO-^) δ 10.66 (s, IH), 7.71 (dd, J= 2.6, 9.0 Hz, IH), 7.64 (s, IH), 7.57 (d, J= 2.7 Hz, IH), 7.47 (dd, J= 1.3, 7.9 Hz, IH), 7.38-7.33 (m, IH), 7.27-7.22 (m, 2H), 7.15-7.09 (in, IH), 4.33-4.22 (m, 2H), 3.81 (s, 3H), 3.71-3.59 (m, 2H), 3.62 (s, 3H), 3.50-3.35 (m, 4H), 3.25-3.12 (m, 2H).
Example 1.192: Preparation of N-I3-(4-Chloro-2-methyl-2H-pyrazol-3-yl)-4-methoxy- phenyl]-2-(4-o-tolyl-piperazin-l-yl)-acetamide (Compound A52). The title compound was prepared in a similar manner as described in Example 1.138 to afford the TFA salt as a pale solid (75%). LCMS m/z (%) = 454 (M+H35Cl, 100), 456 (M+H37Cl, 61).1H NMR (400 MHz, DMSO-^5) h 10.67 (s, IH), 7.71 (dd, J = 2.6, 9.0 Hz, IH), 7.64 (s, IH), 7.56 (d, J= 2.7 Hz, IH), 7.24 (d, J= 9.1 Hz, IH), 7.22-7.16 (m, 2H), 7.09-7.00 (m, 2H), 4.25 Os, 2H), 3.80 (s, 3H), 3.68-3.57 (m, 2H), 3.62 (s, 3H), 3.46-3.24 (m, 2H), 3.24-3.06 (m, 4H), 2.27 (s, 3H).
Example 1.193: Preparation of N-l3-(4-Ctaloro-2-methyl-2H-pyrazol-3-yl)-4-methoxy- phenyI]-2-[4-(2-cyano-phenyI)-piperazin-l-yl]-acetamide (Compound A22). The title compound was prepared in a similaτ manner as described in Example 1.138 to afford a yellow solid (20%). LCMS m/z (%) = 465 (M+H35Cl, 100), 467 (M+H37Cl, 48).1H NMR (400 MHz, DMSO-J15) δ 10.66 (s, IH), 7.78 (dd, J= 1.4, 7.7 Hz, IH), 7.71 (dd, J= 2.6, 9.0 Hz, IH), 7.69-7.63 (m, IH), 7.64 (s, IH), 7.57 (d, J= 2.6 Hz, IH), 7.30-7.17 (m, 3H), 4.33- 4.22 (m, 2H), 3.81 (s, 3H), 3.75-3.56 (m, 4H), 3.62 (s, 3H), 3.52-3.28 (m, 4H).
Example 1.194: Preparation of N-[3-(4-ChIoro-2-methyI-2H-pyrazol-3-yI)-4-methoxy- phenyl]-2-(4-thiazol-2-yl-piperazin-l-yl)-acetamide (Compound A29).
The title compound was prepared in a similar manner as described in Example 1.138 to afford the TFA salt as a white solid (36%). LCMS m/z (%) = 447 (M+H35Cl, 100), 449 (M+H37Cl, 56).1H NMR (400 MHz, DMSO-rftf) δ 10.65 (s, IH), 7.70 (dd, J= 2.7, 9.0 Hz, IH), 7.64 (s, IH), 7.56 (d, J= 2.6 Hz, IH), 7.27-7.22 (m, 2H), 7.01-6.88 (m, IH), 4.25-4.15 (m, 2H), 4.09- 3.87 (m, 2H), 3.80 (s, 3H), 3.62 (s, 3H), 3.70-3.24 (m, 6H).
Example 1.195: Preparation of 2-[4-(4-Chloro-2-fluoro-phenyl)-piperazin-l-yI]-N-[3-(4- chIoro-2-methyl-2H-pyrazol-3-yl)-4-methoxy-phenyl]-acetamide (Compound A41).
The title compound was prepared in a similar manner as described in Example 1.138 to afford the TFA salt as a pale solid (55%). LCMS m/z (%) = 492 (M+H35Cl35Cl, 89), 494 (M+H35Cl37Cl, 100), 496 (M+H37Cl37Cl, 18).1H NMR (400 MHz, DMSO-J15) δ 10.75 (s, IH), 7.70 (dd, J= 2.7, 9.0 Hz, IH), 7.64 (s, IH), 7.56 (d, J= 2.6 Hz, IH), 7.42 (d, J= 2.4, 12.3 Hz, IH), 7.26-7.22 (m, 2H), 7.18-7.12 (m, IH), 4.28-4.18 (m, 2H), 3.81 (s, 3H), 3.62 (s, 3H), 3.64-3.55 (m, 2H), 3.55-3.35 (m, 4H), 3.26-3.11 (m, 2H).
Example 1.196: Preparation of N-[3-(4-Chloro-2-methyl-2H-pyrazol-3-yI)-4-methoxy- phenyl]-2-(4-pyridin-4-yl-piperazin-l-yl)-acetamide (Compound All). The title compound was prepared in a similar manner as described in Example 1.138 to afford the TFA salt as a pale solid (9%). LCMS m/z (%) = 441 (M+H35Cl, 100), 443 (M+H37Cl, 30).1H NMR (400 MHz, CD3OD) δ 8.10-7.94 (m, 2H), 7.63 (dd, J= 2.6, 9.0 Hz, IH), 7.44 (d, J= 2.6 Hz, IH), 7.40 (s, IH), 7.05 (d, J = 9.0 Hz, IH), 6.76 (d, /= 5.7 Hz, 2H), 3.73 (s, 3H), 3.55 (s, 3H), 3.43-3.37 (m, 4H), 3.15 (s, 2H), 2.65-2.59 (m, 4H).
Example 1.197: Preparation of 2-(4-Benzo[l^]dioxol-5-ylmethyl-piperazin-l-yl)-N-[3-(4- chloro-2-methyl-2H-pyrazol-3-yl)-4-methoxy-phenyl]-acetamide (Compound A17).
The title compound was prepared in a similar manner as described in Example 1.138 to afford the TFA salt as a white solid (58%). LCMS m/z (%) = 498 (M+H35Cl, 100), 500 (M+H37Cl, 43).1H NMR (400 MHz, DMSO-c^) δ 10.15-9.80 (m, IH), 7.71 (dd, J = 2.6, 9.0 Hz, IH), 7.62 (s, IH), 7.53 (d, J= 2.6 Hz, IH), 7.19 (d, J= 9.1 Hz, IH), 7.09-6.91 (m, 3H), 6.07 (s, 2H), 3.77 (s, 3H), 3.59 (s, 3H), 3.50-2.60 (m, 12H).
Example 1.198: Preparation of N-[3-(4-Chloro-2-methyl-2H-pyrazol-3-y_)-4-methoxy- phenyl]-2-[4-(3-trifluoromethyl-phenyl)-piperazin-l-yl]-acetamide (Compound A84).
The title compound was prepared in a similar manner as described in Example 1.138 to afford the TFA salt as a white solid (11%). LCMS m/z (%) = 508 (M+H35Cl, 100), 510 (M+H37Cl, 79).1H NMR (400 MHz, DMSO-rf*) δ 10.71-10.60 (m, IH), 7.70 (dd, J= 2.6, 9.0 Hz, IH), 7.64 (s, IH), 7.56 (d, J= 2.6 Hz, IH), 7.51-7 '.46 (m, IH), 7.32-7.22 (m, 3H), 7.17 (d, /= 7.5 Hz, IH), 4.33-4.16 (s, 2H), 4.07-3.89 (m, 2H), 3.80 (s, 3H), 3.62 (s, 3H), 3.67-3.54 (m, 2H), 3.43-3.14 (m, 4H).
Example 1.199: Preparation of 2-Indol-l-yl-N-[4-methoxy-3-(2-methyl-2H-pyrazol-3-yl)- phenyl]-acetamide (Compound A77).
To a solution of 2-(lH-indol-l-yl)acetic acid (48.36 mg, 276.0 μmol) in DMF (1.0 mL) was added HATU (105.0 mg, 276.0 μmol) followed by DEEA (95.51μL, 552.1 μmol). The solution was stirred at room temperature for 5 minutes. 4-Methoxy-3-(l-methyl- lH-pyrazol-5-yl)benzenamine (51.00 mg, 250.9 μmol) was added and the reaction mixture was heated to 1200C for 30 minutes under microwave irradiation in a heavy-walled sealed tube. The reaction mixture was subjected to purification by preparative LCMS. The proper fractions were collected, frozen and lyophilized to yield an off-white solid in 24% yield. LCMS m/z = 361.4 (M+H).1H NMR (400 MHz, DMSO-^6) δ ppm 3.60 (s, 3H), 3.76 (s, 3H), 5.04 (s, 2H), 6.21 (d, J = 1.77 Hz, IH), 6.46 (d, J = 3.03 Hz, IH), 7.03 (t, J = 7.45 Hz, IH), 7.12 (t, J = 7.83 Hz, 2H), 7.38 (d, J = 3.03 Hz, IH), 7.43 (d, / = 1.77 Hz, 2H), 7.52 (d, J - 2.53 Hz, IH), 7.55 (d, J = 7.83 Hz, IH), 7.65 (dd, J = 8.97, 2.65 Hz, IH), 10.39 (s, IH).
Example 1.200: Preparation of N-[3-(4-Bromo-2-methyI-2H-pyrazol-3-yl)-4-methoxy- phenyl]-2-tert-butoxy-acetamide (Compound B36). A mixture of 3-(4-bromo-l-methyl-lH-pyrazol-5-yl)-4-methoxybenzenamine (56 mg, 0.2 mmol), 2-tert-butoxyacetic acid (0.3 mmol, 1.5 eq.), HATU (0.3 mmol, 1.5 eq.), and triethylamine (0.4 mmol, 2 eq.) in 2 mL of DMF was stirred at 500C for 2 hours. The mixture was purified by HPLC to give the title compound as a yellow solid (45 mg, 57%). LCMS m/z = 396.1 (M+H).
Example 1.201: Preparation of N-[3-(4-Bromo-2-methyl-2H-pyrazoI-3-yl)-4-methoxy- phenyl]-2-ethoxy-acetamide (Compound B13).
A mixture of 3-(4-bromo-2-methyl-2H-pyrazol-3-yl)-4-methoxy-phenylamine (57 mg, 0.2 mmol), ethoxy acetic acid (25 mg, 0.24 mmol), HATU (91 mg, 0.24 mmol) and triethylamine (40 mg, 0.2 mmol) in DMF (2 mL) was heated at 50 °C overnight. The crude was purified by HPLC to provide the title compound as a white solid (38 mg, 51%).1HNMR (400 MHz, MeONW5) 6 1.31 (t, 3H), 3.66-3.71 (m, 5H), 3.86 (s, 3H), 4.05 (s, 2H), 7.17 (d, IH), 7.55- 7.56 (m, 2H), 7.80 (dd, IH), 8.64 (s, IH). LCMS m/z = 368.2, 370.2 (M+H).
Example 1.202: Preparation of N-[3-(4-Chloro-2-methyl-2H-pyrazol-3-yl)-4-(2- morpholin-4-yl-ethoxy)-phenyl]-2-(4-chloro-phenylamino)-acetamϊde (Compound A85).
To a solution of 3-(4-chloro-l-methyl-lH-pyrazol-5-yl)-4-(2-morpholinoethoxy)- benzenamine (0.025 g, 74.2 μmol) in DMA (2 mL) was added bromoacetyl bromide (6.81 μL, 77.9 μmol) and the mixture was stirred at room temperature for 30 minutes. Potassium carbonate (41.0 mg, 297 μmol) was added, followed by 4-chloroaniline (14.2 mg, 111 μmol). The reaction mixture was heated at 800C overnight then purified by preparative HPLC. The corresponding fractions were collected and lyophilized to afford a TFA salt of the title compound in 25.9% yield as an off-white solid. LCMS m/z (%) = 504 (M+H35Cl35Cl, 100), 506 (M+H3SC137Cl, 68).1H NMR (400 MHz, DMSO-dfi) δ 10.26 (s, IH), 9.91 (bs, IH), 7.78 (dd, J= 2.6, 9.0 Hz, IH), 7.65 (s, IH), 7.56 (d, J= 2.6 Hz, IH), 7.24 (d, J= 9.0 Hz, IH), 7.11 (d, J= 8.9 Hz, 2H), 6.59 (d, J= 8.9 Hz, 2H), 4.43-4.26 (m, 2H), 3.91-3.72 (m, 2H), 3.85 (s, 2H), 3.65 (s, 3H), 3.58-3.51 (m, 2H), 3.28-2.91 (m, 6H).
Example 1.203: Preparation of N-[3-(4-Chloro-2-methyI-2H-pyrazol-3-yl)-4-(2- morpholin-4-yl-ethoxy)-phenyl]-2-(3-methoxy-phenylamino)-acetamide (Compound A64).
To a solution of 3-(4-chloro-l-methyl-lH-pyrazol-5-yl)-4-(2-morpholinoethoxy)- benzenamine (0.050 g, 148.4 μmol) in DMA (2 mL) was added bromoacetyl bromide (13.62 μL, 155.9 μmol) and the mixture was stirred at room temperature for 30 minutes. Potassium carbonate (61.55 mg, 445.3 μmol) was added, followed by 3-methoxyaniline (20.02 μL, 178.1 μmol). The reaction mixture was heated at 1500C for 20 minutes under microwave irradiation in a heavy-walled sealed tube then purified by preparative HPLC. The corresponding fractions were collected and lyophilized to afford a TFA salt of the title compound in 55.6% yield as a pale solid. LCMS m/z (%) = 500 (M+H35Cl, i00), 502 (M+H37Cl, 36).
Example 1.204: Preparation of N-[3-(4-Chloro-2-methyl-2H-pyrazol-3-yI)-4-(2- morpholin-4-yI-ethoxy)-phenyl]-2-(4-fluoro-phenylamino)-acetamide (Compound A73).
To a solution of 3-(4-chloro-l-methyl-lH-pyrazol-5-yl)-4-(2-morpholinoethoxy)- benzenamine (0.025 g, 74.22 μmol) in DMA (2 mL) was added bromoacetyl bromide (6.810 μL, 77.94 μmol) and the mixture was stirred at room temperature for 30 minutes. Potassium carbonate (30.77 mg, 222.7 μmol) was added, followed by 4-fiuoroaniline (8.554 μL, 89.07 μmol). The reaction mixture was heated at 1500C for 20 minutes under microwave irradiation in a heavy-walled sealed tube then purified by preparative HPLC. The corresponding fractions were collected and lyophilized to afford a TFA salt of the title compound in 39.2% yield as an off-white solid (hygroscopic). LCMS m/z (%) = 488 (M+H3SC1, 100), 490 (M+H37Cl, 32).
Example 1.205: Preparation of N-[3-(4-Chloro-2-methyl-2H-pyrazol-3-yl)-4-(2- morρholin-4-yl-ethoxy)-pheny]]-2-(4-methoxy-phenyIamino)-acetamide (Compound A31).
To a mixture of 3-(4-chloro-l-methyl-lH-pyrazol-5-yl)-4-(2-morpholinoethoxy)- benzenamine (0.025 g, 74.2 μmol) in DMF (2 mL) was added bromoacetyl bromide (6.49 μL, 74.2 μmol) and the mixture was stirred at room temperature for 30 minutes. Potassium carbonate (30.8 mg, 223 μmol) was added, followed by 4-methoxyaniline (11.0 mg, 89.1 μmol). The reaction mixture was heated at 1500C for 20 minutes under microwave irradiation in a heavy-walled sealed tube then purified by preparative HPLC. The corresponding fractions were collected and lyophilized to afford a TFA salt of the title compound in 22.6% yield as a grayish solid. LCMS m/z (%) = 500 (M+H35Cl, 100), 502 (M+H37Cl, 35).1H NMR (400 MHz, DMSO-dtf) δ 10.07 (s, IH), 9.81 (bs, IH), 7.78 (dd, J = 2.6, 9.0 Hz, IH), 7.65 (s, IH), 7.58 (d, J = 2.6 Hz, IH), 7.24 (d, J= 9.0 Hz, IH), 6.76 (d, J= 8.5 Hz, 2H), 6.61 (d, J= 8.7 Hz, 2H), 4.45- 4.21 (m, 2H), 3.93-3.71 (m, 2H), 3.82 (s, 2H), 3.65 (s, 3H), 3.59-2.91 (m, 8H).
Example 1.206: Preparation of N-[3-(4-Chloro-2-methyl-2H-pyrazol-3-yl)-4-(2- morρholin-4-yI-ethoxy)-phenyl]-2-phenyIamino-acetarnide (Compound A15).
To a mixture of 3-(4-chloro-l-methyl-lH-pyrazol-5-yl)-4-(2-morpholinoethoxy)- benzenamine (0.030 g, 89.1 μmol), phenylaminoacetic acid (16.2 mg, 107 μmol) and HATU (40.6 mg, 107 μmol) in DMA (3 mL), N,N-Diisopropylethylarnine (46.7 μL, 267 μmol) was added. The reaction mixture was heated at 1200C for 30 minutes under microwave irradiation in a heavy-walled sealed tube then purified by preparative HPLC. The corresponding fractions were collected and lyophilized to afford a TFA salt of the title compound in 77.6% yield as a tan solid (hygroscopic). LCMS m/z (%) = 470 (M+H35Cl, 100), 472 (M+H37Cl, 35). Example 1.207: Preparation of 1-Phenylamino-cyclohexanecarboxylic acid [3-(4-chloro-2- methyl-2H-pyrazoI~3-yl)-4-(2-morpholin-4-yI-ethoxy)-phenyl]-amide (Compound A89).
To a mixture of 3-(4-chloro-l-methyl-lH-pyrazol-5-yl)-4-(2-morpholinoethoxy)- benzenamine (0.030 g, 89.1 μmol), 1-phenyamino-cyclohexanecarboxylic acid (23.4 mg, 107 μmol) and HATU (40.6 mg, 107 μmol) in DMA (3 iriL) was added N,N-diisopropylethylamine (46.7 μL, 267 μmol). The reaction mixture was heated at 1200C for 30 minutes under microwave irradiation in a heavy -walled sealed tube then purified by preparative HPLC. The corresponding fractions were collected and lyophilized to afford a TFA salt of the title compound in 38.6% yield as an off-white solid (hygroscopic). LCMS m/z (%) = 538 (M+H35Cl, 100), 540 (M+H37Cl, 42).1H NMR (400 MHz, DMSO-rf*) δ 9.85 (bs, IH), 9.80 (s, IH), 7.80 (dd, J= 2.6, 9.0 Hz, IH), 7.66 (s, IH), 7.56 (d, J= 2.6 Hz, IH), 7.23 (d, J= 9.0 Hz, IH), 7.08 (t, 7= 7.9 Hz, 2H), 6.76 (d, J= 7.9 Hz, 2H), 6.61 (t, J= 1.5 Hz, IH), 5.46 (s, IH), 4.45- 4.26 (m, 2H), 3.95-2.91 (m, 10H), 3.82 (s, 2H), 3.64 (s, 3H), 2.01-1.85 (m, 4H), 1.65-1.49 (m, 5H), 1.38-1.21 (m, IH).
Example 1.208: Preparation of N-[3-(4-Chloro-2-methyl-2H-pyrazol-3-yl)-4-(2- morpholin-4-yl-ethoxy)-phenyl]-2-(2-fluoro-phenylamino)-acetamide (Compound A88).
To a solution of 3-(4-chloro-l-methyl-lH-pyrazol-5-yl)-4-(2-morpholinoethoxy)- benzenamine (0.030 g, 89.1 μmol), (2-fluorophenylamino)-acetic acid (18.1 mg, 107 μmol) and HATU (40.6 mg, 107 μmol) in DMA (3 mL) was added N,N-diisopropylethylamine (46.7 μL, 267 μmol). The reaction mixture was heated at 1200C for 30 minutes under microwave irradiation in a heavy-walled sealed tube then purified by preparative HPLC. The corresponding fractions were collected and lyophilized to afford a TFA salt of the title compound in 47.6% yield as a tan solid (hygroscopic). LCMS m/z (%) = 488 (M+H35Cl, 100), 490 (M+H37Cl, 35).1H NMR (400 MHz, DMSO-cfc) δ 10.13 (s, IH), 9.90 (bs, IH), 7.79 (dd, J= 2.6, 9.0 Hz, IH), 7.65 (s, IH), 7.56 (d, J = 2.6 Hz, IH), 7.24 (d, J= 9.0 Hz, IH), 7.08-6.95 (m, 2H), 6.64-6.59 (m, 2H), 4.46-4.22 (m, 2H), 3.93 (s, 2H), 3.65 (s, 3H), 3.91-2.92 (m, 10H).
Example 1.209: Preparation of N-[3-(4-ChIoro-2-methyl-2H-pyrazol-3-yl)-4-(2- morpholin-4-yl-ethoxy)-phenyl]-2-cydopropyIamino-acetamide (Compound A34).
To a solution of 3-(4-chloro-l -methyl- lH-pyrazol-5-y l)-4-(2-morpholinoethoxy)- benzenamine (0.030g, 89.07 μmol) in DMA (2 mL) was added bromoacetyl bromide (8.172 μL, 93.52 μmol) and the mixture was stirred at room temperature for 30 minutes. Potassium carbonate (36.93 mg, 267.2 μmol) was added, followed by cyclopropylamine (7.406 μL, 106.9 μmol). The reaction mixture was heated at 600C for 20 minutes under microwave irradiation in a heavy-walled sealed tube, then purified by preparative HPLC. The corresponding fractions were collected and lyophilized to afford the di-TFA salt of the title compound in 65.46% yield as a white solid. LCMS m/z (%) = 434 (M+H35Cl, 100), 436 (M+H37Cl, 35).1H NMR (400 MHz, DMSO-^) δ 10.33 (s, IH), 9.99 (bs, IH), 9.13 (s, IH), 7.71 (dd, J= 2.6, 9.0 Hz, IH), 7.67 (s, IH), 7.57 (d, J= 2.6 Hz, IH), 7.29 (d, J = 9.0 Hz, IH), 4.50-4.28 (m, 2H), 4.04 (s, 2H), 3.95-3.72 (m, 2H), 3.65 (s, 3H), 3.55-2.92 (m, 8H), 2.85-2.74 (m, IH), 0.86-0.75 (m, 4H).
Example 1.210: Preparation of N-[3-(4-Bromo-2-methyl-2H-pyrazol-3-yl)-4-methoxy- phenyl]-2-{4-[2-(4-fluoro-phenyl)-ethyl]-piperazin-l-yl}-acetamide (Compound A82).
To a solution of 3-(4-bromo-l-methyl-lH-pyrazol-5-yl)-4-methoxybenzenamine (0.030 g, 106.3 μmol) in DMA (2 mL) was added bromόacεtyl bromide (9.756 μL, 111.6 μmol) and the mixture was stirred at room temperature for 30 minutes. Potassium carbonate (44.09 mg, 319.0 μmol) was added, followed by l-(2-(4-fluorophenyl)ethyl)-piperazine (23.25 mg, 111.6 μmol). The reaction mixture was heated at 1200C for 20 minutes under microwave irradiation in a heavy-walled sealed tube, then purified by preparative HPLC. The corresponding fractions were collected and lyophilized to afford the di-TFA salt of the title compound in 13.3% yield as a white solid (hygroscopic). LCMS m/z (%) = 530 (M+H79Br, 100), 532 (M+H81Br, 99).1H NMR (400 MHz, DMSO-rfβ) δ 10.13 (s, IH), 9.90 (bs, IH), 7.79 (dd, J = 2.6, 9.0 Hz, IH), 7.65 (s, IH), 7.56 (d, /= 2.6 Hz3 IH), 7.24 (d, J= 9.0 Hz, IH), 7.08-6.95 (m, 2H), 6.64-6.59 (m, 2H), 4.46-4.22 (m, 2H), 3.93 (s, 2H), 3.65 (s, 3H), 3.91-2.92 (m, 10H).
Example 1.211: Preparation of N-[3-(4-Chloro-2-methyl-2H-pyrazol-3-yl)-4-methoxy- phenyl]-2-(3,5-difluoro-benzylamino)-acetamide (Compound A8).
To a solution of 3-(4-chloro-l-methyl-lH-pyrazol-5-yl)-4-methoxybenzenamine (0.070 g, 294.5 μmol) in DMA (2 mL) was added bromoacetyl bromide (27.02 μL, 309.2 μmol) and the mixture was stirred at room temperature for 30 minutes. Potassium carbonate (122.1 mg,
883.5 μmol) was added, followed by (3,5-difluorophenyl)methanamine (50.58 mg, 353.4 μmol). The reaction mixture was heated at 1500C for 20 minutes under microwave irradiation in a heavy-walled sealed tube, then purified by preparative HPLC. The corresponding fractions were collected and lyophilized to afford a TFA salt of the title compound in 28.9% yield as a white solid. LCMS m/z (%) = 421 (M+H35Cl5 100), 423 (M+H37Cl, 30).1H NMR (400 MHz, DMS0-rfδ) δ 10.51 (s, IH), 9.43 (bs, 2H), 7.65 (dd, J= 2.6, 9.0 Hz, IH), 7.53 (s, IH), 7.42 (d, J = 2.6 Hz, IH), 7.39-7.33 (m, 2H), 7.30-7.25 (m, IH), 7.22 (d, J= 9.0 Hz, IH), 4.27 (s, 2H), 3.88 (s, 2H), 3.79 (s, 3H), 3.61 (s, 3H).
Example 1.212: Preparation of N-[3-(4-Chloro-2-methyl-2H-pyrazol-3-yI)-4-methoxy- phenyl]-2-(2,4-difluoro-benzylamino)-acetamide (Compound A14). To a solution of 3-(4-chloro-l-methyl-lH-pyrazol-5-yl)-4-methoxybenzenamine (0.070 g, 294.5 μmol) in DMA (2 mL) was added bromoacetyl bromide (27.02 μL, 309.2 μmol) and the mixture was stirred at room temperature for 30 minutes. Potassium carbonate (122.1 mg, 883.5 μmol) was added, followed by (2,4-difluorophenyl)methanamine (50.58 mg, 353.4 μmol). The reaction mixture was heated at 1500C for 20 minutes under microwave irradiation in a heavy-walled sealed tube, then purified by preparative HPLC. The corresponding fractions were collected and lyophilized to afford a TFA salt of the title compound in 30.7% yield as a white solid. LCMS m/z (%) = 421 (M+H35Cl, 100), 423 (M+H37Cl, 30).1H NMR (400 MHz, DMSO-4) δ 10.52 (s, IH), 9.37 (bs, 2H), 7.69-7.65 (m, 2H), 7.64 (s, IH), 7.42 (d, J= 2.6 Hz, IH), 7.44-7.37 (m, IH), 7.26-7.21 (m, IH), 7.24 (d, J= 9.0 Hz, IH), 4.27 (s, 2H), 3.93 (s, 2H), 3.80 (s, 3H), 3.61 (s, 3H).
Example 1.213: Preparation of N-[3-(4-ChIoro-2-methyI-2H-pyrazol-3-yI)-4-methoxy- phenyl]-2-[(pyridin-3-ylmethyl)-aminol-acetamide (Compound A62). To a solution of 3-(4-chloro-l-methyl-lH-pyrazol-5-yl)-4-methoxybenzenamine (0.070 g, 294.5 μmol) in DMA (2 mL) was added bromoacetyl bromide (27.02 μL, 309.2 μmol) and the mixture was stirred at room temperature for 30 minutes. Potassium carbonate (122.1 mg, 883.5 μmol) was added, followed by pyridin-3-ylmethanamine (38.22 mg, 353.4 μmol). The reaction mixture was heated at 1500C for 20 minutes under microwave irradiation in a heavy- walled sealed tube, then purified by preparative HPLC. The corresponding fractions were collected and lyophilized to afford a TFA salt of the title compound in 12.6% yield as a tan solid. LCMS m/z (%) = 386 (M+H35Cl, 100), 388 (M+H37Cl, 35).1H MMR (400 MHz, Acetone-Jtf) δ 8.88 (s, IH), 8.69 (d, J= 4.0 Hz, IH), 8.18 (d, J= 7.9 Hz, IH), 7.80 (dd, J= 2.7, 9.0 Hz, IH), 7.62 (d, J = 2.6 Hz, IH), m, IH), 7.56-7.49 (m, IH), 7.54 (s, IH), 7.23 (d, J= 9.0 Hz, IH), 4.62 (s, 2H)54.25 (s, 2H), 3.88 (s, 3H), 3.68 (s, 3H).
Example 1.214: Preparation of 2-(3,5-Difϊuoro-benzylamino)-N-[4-methoxy-3-(2-methyl- 2H-pyrazol-3-yl)-phenyl]-acetamide (Compound A35).
To a solution of 4-methoxy-3-(l-methyl-lH-pyrazol-5-yl)benzenamine (0.150 g, 738.0 μmol) in DMA (2 mL) was added bromoacetyl bromide (64.49 μL, 738.0 μmol) and the mixture was stirred at room temperature for 30 minutes. Potassium carbonate (306.0 mg, 2214 μmol) was added, followed by (3,5-difluorophenyl)methanamine (126.8 mg, 885.7 μmol). The reaction mixture was heated at 1500C for 20 minutes under microwave irradiation in a heavy- walled sealed tube, then purified by preparative HPLC. The corresponding fractions were collected and lyophilized to afford a TFA salt of the title compound in 15.9% yield as a white solid. LCMS m/z (%) = 387 (M+H , 100). Example 1.215: Preparation of 2-(2,4-Difluoro-benzylamino)-N-[4-methoxy-3-(2-methyl- 2H-pyrazol-3-yl)-phenyl]-acetamide (Compound A50).
To a solution of 4-methoxy-3-(l-methyl-lH-pyrazol-5-yl)benzenamine (0.150 g, 738.0 μmol) in DMA (2 mL) was added bromoacetyl bromide (64.49 μL, 738.0 μmol) and the mixture was stirred at room temperature for 30 minutes. Potassium carbonate (306.0 mg, 2214 μmol) was added, followed by (2,4-difluorophenyl)methanamine (126.8 mg, 885.7 μmol). The reaction mixture was heated at 1500C for 20 minutes under microwave irradiation in a heavy- walled sealed tube, then purified by preparative HPLC. The corresponding fractions were collected and lyophilized to afford a TFA salt of the title compound in 14.5% yield as a white solid. LCMS m/z (%) = 387 (M+H , 100).
Example 1.216: Preparation of N-[3-(4-Chloro-2-methyl-2H-pyrazol-3-yl)-4-methoxy- phenyl]-2-[(pyridin-2-ylmethyl)-amino]-acetaπiide (Compound A72).
To a solution of 3-(4-chloro-l-methyl-lH-pyrazol-5-yl)-4-methoxybenzenamine (0.070 g, 294.5 μmol) in DMA (2 mL) was added bromoacetyl bromide (27.02 μL, 309.2 μmol) and the mixture was stirred at room temperature for 30 minutes. Potassium carbonate (122.1 mg, 883.5 μmol) was added, followed by pyridin-2-ylmethanamine (38.22 mg, 353.4 μmol). The reaction mixture was heated at 1500C for 20 minutes under microwave irradiation in a heavy- walled sealed tube, then purified by preparative HPLC. The corresponding fractions were collected and lyophilized to afford TFA salt of the title compound in 1 1.5% yield as a white solid (hygroscopic). LCMS m/z (%) = 386 (M+H35Cl, 100), 388 (M+H37Cl, 35).
Example 1.217: Preparation of 2-(2,4-Difluoro-phenylamino)-N-[4-methoxy-3-(2-methyI- 2H-pyrazo--3-yl)-phenyl]-acetamide (Compound A87). To a solution of 4-methoxy-3-(l-methyl-lH-pyrazol-5-yl)benzenamine (0.060 g, 295.2 μmol) in DMA (2 mL) was added bromoacetyl bromide (25.80 μL, 295.2 μmol) and the mixture was stirred at room temperature for 30 minutes. Potassium carbonate (122.4 mg, 885.7 μmol) was added, followed by 2,4-difluorobenzenamine (32.70 μL, 324.7 μmol). The reaction mixture was heated at 1500C for 20 minutes under microwave irradiation in a heavy-walled sealed tube. Purified by preparative HPLC. The corresponding fractions were collected and lyophilized to afford the title compound in 32.9% yield as a tan solid. LCMS m/z (%) = 373 (M+H, 100).
Example 1.218: Preparation of 2-[4-(4-Fluoro-phenyI)-piperazin-l-yl]-N-[4-methoxy-3-(2- methyl-2H-pyrazol-3-yl)-phenyl]-acetamide (Compound A30). To a solution of 4-methoxy)-3-(l -methyl-lH-pyrazol-5-yl)benzenamine (0.060 g, 295.2 μmol) in DMA (2 mL) was added 2-bromoacetyl bromide (59.59 mg, 295.2 μmol) and the mixture was stirred at room temperature for 30 minutes. Potassium carbonate (122.4 mg, 885.7 μmol) was added, followed by l-(4-fluorophenyl)piperazine (58.53 mg, 324.7 μmol). The reaction mixture was heated at 1500C for 20 minutes under microwave irradiation in a heavy- walled sealed tube, then purified by preparative HPLC. The corresponding fractions were collected and lyophilized to afford a TFA salt of the title compound in 69.5% yield as a brown solid. LCMS m/z (%) = 424 (M+H, 100).
Example 1.219: Preparation of 2-[Φ(3-Fluoro-phenyl)-piperazin-l-yl]-N-[4-methoxy-3-(2- mettayl-2H-pyrazol-3-y.)-phenyl]-acetaimde (Compound A39).
To a solution of 4-methoxy-3-(l-methyl-lH-pyrazol-5-yl)benzenamine (0.060 g, 295.2 μmol) in DMA (2 mL) was added 2-bromoacetyl bromide (59.59 mg, 295.2 μmol) and the mixture was stirred at room temperature for 30 minutes. Potassium carbonate (122.4 mg, 885.7 μmol) was added, followed by l-(3-fluorophenyl)piperazine (58.53 mg, 324.7 μmol). The reaction mixture was heated at 1500C for 20 minutes under microwave irradiation in a heavy- walled sealed tube, then purified by preparative HPLC. The corresponding fractions were collected and lyophilized to afford a TFA salt of the title compound in 77.4% yield as a tan solid. LCMS m/z (%) = 424 (M+H, 100).
Example 1.220: Preparation of N-[3-(4-Chloro-2-methyl-2H-pyrazoI-3-yl)-4-methoxy- phenyl]-2-[4-(4-fluoro-benzyl)-piperazin-l-yl]-acetamide (Compound A46). To a solution of 3-(4-chloro-l-methyl-lH-pyrazol-5-yl)-4-methoxybenzenamine (0.070 g, 294.5 μmol) in DMA (2 mL) was added bromoacetyl bromide (25.73 μL, 294.5 μmol) and the mixture was stirred at room temperature for 30 minutes. Potassium carbonate (122.1 mg, 883.5 μmol) was added, followed by l-(4-fluorobenzyl)piperazine (62.93 mg, 324.0 μmol). The reaction mixture was heated at 1000C for 10 minutes under microwave irradiation in a heavy- walled sealed tube, then purified by preparative HPLC. The corresponding fractions were collected and lyophilized to afford the di-TFA salt of the title compound in 48.5% yield as a white solid. LCMS m/z (%) = 472 (M+H35Cl, 100), 474 (M+H37Cl, 36).
Example 1.221: Preparation of 2-(l-Ben-qrt-piperidin-4-ylamino)-N-[3-(4-chloro-2- methyl-2H-pyrazol-3-yl)-4-methoxy-phenyl]-acetamide (Compound A18).
To a solution of 3-(4-chloro-l-methyl-lH-pyrazol-5-yl)-4-methoxybenzenamine (0.070 g, 294.5 μmol) in DMA (2 mL) was added bromoacetyl bromide (25.73 μL, 294.5 μmol) and the mixture was stirred at room temperature for 30 minutes. Potassium carbonate (122.1 mg, 883.5 μmol) was added, followed by l-benzylpiperidin-4-amine (61.64 mg, 324.0 μmol). The reaction mixture was heated at 1200C for 15 minutes under microwave irradiation in a heavy- walled sealed tube, then purified by preparative HPLC. The corresponding fractions were collected and lyophilized to afford the di-TFA salt of the title compound in 19.8% yield as a white solid. LCMS m/z (%) = 468 (M+H35Cl, 100), 470 (M+H37Cl5 40).
Example 1.222: Preparation of 2-(l-Benzyl-piperidin-4-yloxy)-N-[3-(4-chloro-2-methyl- 2H-pyrazol-3-yl)-4-methoxy-phenyl]-acetamide (Compound B33).
To a solution of 3-(4-chloro-l-methyl-lH-pyrazol-5-yl)-4-methoxybenzenamine (0.070 g, 294.5 μmol) in DMA (2 mL) was added bromoacetyl bromide (25.73 μL, 294.5 μmol) and the mixture was stirred at room temperature for 30 minutes. Potassium carbonate (122.1 mg, 883.5 μmol) was added, followed by l-benzylpiperidin-4-ol (61.96 mg, 324.0 μmol). The reaction mixture was heated at 1200C for 15 minutes under microwave irradiation in a heavy- walled sealed tube, then purified by preparative HPLC. The corresponding fractions were collected and lyophilized to afford a TFA salt of the title compound in 20.4% yield as a white solid. LCMS m/z (%) = 469 (M+H35Cl, 100), 471 (M+H37Cl, 43).
Example 1.223: Preparation of N-[3-(4-Chloro-2-methyl-2H-pyrazol-3-yl)-4-methoxy- phenyl]-2-(tetrahydro-pyran-4-ylamino)-acetamϊde (Compound A51).
To a solution of 3-(4-chloro-l-methyl-lH-pyrazol-5-yl)-4-methoxybenzenamine (0.070 g, 294.5 μmol) in DMA (2 mL) was added bromoacetyl bromide (25.73 μL, 294.5 μmol) and the mixture was stirred at room temperature for 30 minutes. Potassium carbonate (122.1 mg, 883.5 μmol) was added, followed by tetrahydro-2H-pyran-4-amine (29.79 mg, 294.5 μmol). The reaction mixture was heated at 1000C for 10 minutes under microwave irradiation in a heavy-walled sealed tube, then purified by preparative HPLC. The corresponding fractions were collected and lyophilized to afford a TFA salt of the title compound in 25.5% yield as a white solid. LCMS m/z (%) = 379 (M+H35Cl, 100), 381 (M+H37Cl, 35).
Example 1.224: Preparation of N-[3-(4-Chloro-2-methyl-2H-pyrazoI-3-yl)-4-methoxy- phenyl]-2-{4-[2-(4-fluoro-phen.yl)-ethyl]-piperazin-l-yl}-acetaπiide (Compound Al).
To a solution of 3-(4-chloro-l-methyl-lH-pyrazol-5-yl)-4-methoxybenzenamine (0.030 g, 126.2 μmol) in DMA (2 mL) was added bromoacetyl bromide (11.03 μL, 126.2 μmol) and the mixture was stirred at room temperature for 30 minutes. Potassium carbonate (52.33 mg, 378.7 μmol) was added, followed by l-(2-(4-fluorophenyl)ethyl)-piperazine (28.92 mg, 138.8 μmol). The reaction mixture was heated at 1500C for 20 minutes under microwave irradiation in a heavy-walled sealed tube. Purified by preparative HPLC. The corresponding fractions were collected and lyophilized to afford the di-TFA salt of the title compound in 53.5% yield as an off-white solid. LCMS m/z (%) = 486 (M+H35Cl, 100), 488 (M+H37Cl, 40). Example 1.225: Preparation of N-[3-(4-Chloro-2-methyl-2H-pyrazol-3-yl)-4-methoxy- phenyl]-2-(l-phenyl-piperidin-4-ylamino)-acetamide (Compound A7).
To a solution of l-phenylpiperidin-4-amine (57.10 mg, 324.0 μmol) in DMA (2 mL) was added l-phenylpiperidin-4-aτnine (57.10 mg, 324.0 μmol) and the mixture was stirred at room temperature for 30 minutes. Potassium carbonate (57.10 ing, 324.0 μmol) was added, followed by l-phenylpiperidin-4-amine (57.10 mg, 324.0 μmol). The reaction mixture was heated at 1000C for 20 minutes under microwave irradiation in a heavy-walled sealed tube, then purified by preparative HPLC. The corresponding fractions were collected and lyophilized to afford a TFA salt of the title compound in 32.7% yield as an off-white solid. LCMS m/z (%) = 454 (M+H35Cl, 100), 388 (M+H37Cl, 35).
Example 1.226: N-(3-(4-Bromo-2-methyl-2H-pyrazol-3-yl)-4-methoxyphenyl)-2- (πietlιylantino)acetaniide (Compund A60).
Chloroacetyl chloride (4.4 μL, 0.055 mmol) was added to a solution of 3-(4-bromo-2- methyl-2H-pyrazol-3-yl)-4-methoxyaniline (14 mg, 0.0500 mmol) and triethylamine (28 μL, 0.20 mmol) in DCM (0.5 mL), and the mixture was stirred at 230C. After 2 hours the mixture was diluted with DCM, washed with water, dried with sodium sulfate, filtered, and evaporated to dryness. The residue was dissolved in DMF, methylamine hydrochloride (13.0 mg, 0.19 mmol) was added followed by N,N-diisoρropylethylamine (41 μL, 0.20 mmol), and the mixture was stirred at 800C for 16 hours. The product was isolated by preparative LCMS and lyophilized to give the TFA salt (4.4 mg, 18%). LCMS m/z (%) = 355.0 (M+H81Br 17%), 353.2 (M+H79Br 19%), 284.3 (100%), 282.2 (91%), 203.4 (26%).
Example 1.227: N-(3-(4-Bromo-2-methyl-2H-pyrazol-3-yl)-4-methoxyphenyl)-2- (dimethylamino)acetamide (Compund A6).
Chloroacetyl chloride (4.38 μL, 0.0550 mmol) was added to a solution of 3-(4-bromo-2- methyl-2H-pyrazol-3-yl)-4-methoxyaniline (14.1 mg, 0.0500 mmol) and triethylamine (10.5 μL, 0.0750 mmol) in DCM (0.5 mL), and the mixture was stirred at 230C. After 2 hours the mixture was diluted with DCM, washed with water, dried with sodium sulfate, filtered, and evaporated to dryness. The residue was dissolved in DMF, dimethylamine (2 M in THF) (50.0 μL, 0.100 mmol) was added, and the mixture was stirred at 80 °C for 16 hours. The product was isolated by preparative LCMS and lyophilized to give the TFA salt (17.4 mg, 72%). LCMS m/z (%) = 369.1 (M+H81Br 100%), 367.2 (M+H79Br, 79%).
Example 228: Preparation of 2-(4-Methoxyphenoxy)-N-(4-methoxy-3-(4-methoxy-2- methyl-2H-pyrazol-3-yl)phenyl)acetamide (Compund BIl). The title compound was prepared in a similar manner as described in Example 1.4. Yield (12.0 mg, 78%). LCMS nt/z (%) = 398.2 (M+H, 100%).
EXAMPLE 2 Receptor Expression
A. pCMV
Although a variety of expression vectors are available to those in the art, it is preferred that the vector utilized be pCMV. This vector was deposited with the American Type Culture Collection (ATCC) on October 13, 1998 (10801 University Blvd., Manassas, VA 20110-2209 USA) under the provisions of the Budapest Treaty for the International Recognition of the
Deposit of Microorganisms for the Purpose of Patent Procedure. The DNA was tested by the ATCC and determined to be viable. The ATCC has assigned the following deposit number to pCMV: ATCC #203351.
B. Transfection procedure For the IP accumulation assay (Example 3), HEK293 cells were transfected while for the DOI binding assay (Example 4) COS7 cells were transfected. Several protocols well known in the art can be used to transfect cells. The following protocol is representative of the transfection procedures used herein for COS7 or 293 cells.
On day one, COS-7 cells were plated onto 24 well plates, usually IxIO5 cells/well or 2x105 cells/well, respectively. On day two, the cells were transfected by first mixing 0.25 μg cDNA in 50 μL serum-free DMEM/well and then 2 μL lipofectamine in 50 μL serum-free DMEM/well. The solutions ("transfection media") were gently mixed and incubated for 15-30 minutes at room temperature. The cells were washed with 0.5 mL PBS and then 400 μL of serum free media was mixed with the transfection media and added to the cells. The cells were then incubated for 3-4 hours at 37°C/5%CO2. Then the transfection media was removed and replaced with 1 mL/well of regular growth media.
For 293 cells, on day one, 13xlO6293 cells per 150 mm plate were plated out. On day two, 2 mL of serum Optimeml (Invitrogen Corporation) was added per plate followed by addition of 60 μL of lipofectamine and 16 μg of cDNA. Note that lipofectamine must be added to the Optimeml and mixed well before addition of cDNA. While complexes between lipofectamine and the cDNA are forming, media was carefully aspirated and cells were gently rinsed with 5 mL of Optimeml media followed by careful aspiration. Then 12 mL of Optimeml was added to each plate and 2 mL of transfection solution was added followed by a 5 hour incubation at 370C in a 5% CO2 incubator. Plates were then carefully aspirated and 25 mL of Complete Media were added to each plate and cells were then incubated until used. EXAMPLE 3
Inositol Phosphate (EP) Accumulation Assays
A. 5-HT2A receptor
Compounds of the invention are tested for their ability to activate a 5-HT2A receptor clone using an IP accumulation assay. Briefly, HEK293 cells are transiently transfected with a pCMV expression vector containing a human 5-HT2A receptor (for the sequence of the receptor see U.S. Patent No. 6,541,209, SEQ ID NO:24) as described in Example 2. An IP accumulation assay is performed as described below.
B. Constitutively active 5-HT2A receptor Compounds of the invention are tested for their ability to inhibit a constitutively active
5-HT2A receptor clone using an IP accumulation assay. Briefly, 293 cells are transiently transfected with a pCMV expression vector containing a constitutively active human 5-HT2A receptor (for the sequence of the receptor see U.S. Patent No. 6,541,209, SEQ ID NO:30) as described in Example 2. The constitutively active human 5-HT2A receptor contained the human 5-HT2A Teceptor described in part A except that intracellular loop 3 (IC3) and the cytoplamic tail are replaced by the corresponding human INI 5-HT2C cDNA. An IP accumulation assay is performed as described below.
C. IP Accumulation Assay protocol
On the day after transfections, media is removed and the cells are washed with 5 mL PBS followed by careful aspiration. Cells are then trypsinized with 2 mL of 0.05% trypsin for 20- 30 seconds followed by addition of 10 mL of warmed media, gently titurated to dissociate cells, and an additional 13 mL of warmed media is gently added. Cells are then counted and 55,000 cells are added to 96-well sterile poly-D-lysine treated plates. Cells are allowed to attach over a six hour incubation at 37°C in a 5% CO2 incubator. Media is then carefully aspirated and 100 μL of warm inositol-free media plus 0.5 μCi3H-inositol is added to each well and the plates are incubated for 18-20 hours at 370C in a 5% CO2 incubator.
On the next day, media is carefully aspirated and then 0.1 mL of assay medium is added containing inositol-free/serum free media, 10 μM pargyline, 10 mM lithium chloride, and test compound at indicated concentrations. The plates are then incubated for three hours at 37° C and then wells are carefully aspirated. Then 200 μL of ice-cold 0.1M formic acid is added to each well. Plates can then be frozen at this point at -8O0C until further processed. Frozen plates are then thawed over the course of one hour, and the contents of the wells (approximately 220 μL) are placed over 400 μL of washed ion-exchange resin (AG 1-X8) contained in a Multi Screen Filtration plate and incubated for 10 minutes followed by filtration under vacuum pressure. Resin is then washed nine times with 200 μL of water and then tritiated inositol phosphates (IP, IP2, and D?3) are eluted into a collecting plate by the addition of 200 μl of IM ammonium formate and an additonal 10 minute incubation. The elutant is then transferred to 20 mL scintillation vials, 8 mL of SuperMix or Hi-Safe scintillation cocktails is added, and vials are counted for 0.5-1 minutes in a Wallac 1414 scintillation counter.
EXAMPLE 4 Binding Assays
Compounds of the invention were tested for their ability to bind to a 5-HT2A receptor clone membrane preparation using a radioligand binding assay. Briefly, COS cells were transiently transfected with a pCMV expression vector containing a human 5-HT2A receptor (for the sequence of the receptor see U.S. Patent No. 6,541,209, SEQ ID NO:24) as described in Example 2.
A. Preparation of Crude Membrane Preparations for Radioligand Binding Assays COS7 cells transfected with recombinant human 5-HT2A receptors were cultured for 48 hr post transfection, collected, washed with ice-cold phosphate buffered saline, pH7.4 (PBS), and then centrifuged at 48,000Xg for 20 min at 40C. The cell pellet was then resuspended in wash buffer containing 20 mM HEPES pH 7.4 and 0.1 mM EDTA, homogenized on ice using a Brinkman polytron, and recentrifijged at 48,000 X g for 20 min. at 4°C. The resultant pellet was then resuspended in 20 mM HEPES, pH 7.4, homogenized on ice, and centrifuged (48,000Xg for 20 min at 40C). Crude membrane pellets were stored at -8O0C until used for radioligand binding assays. B. [125I]DOI Radioligand Binding Assay
Radioligand binding assays for human 5-HT2A receptor was conducted using the 5-HT2 agonist [125I]DOI as radioligand. To define nonspecific binding, lOμM DOI was used for all assays. For competitive binding studies, 0.5 nM [125I]DOI was used and compounds were assayed over a range of 0.01 nM to 10 μM. Assays were conducted in a total volume of 200 μl in 96-well Perkin Elmer GF/C filter plates in assay buffer (50 mM Tris-HCl, pH 7.4, 0.5 mM EDTA, 5 mM MgCl2, and 10 μM pargyline). Assay incubations were performed for 60 min at room temperature and were terminated by rapid filtration under vacuum pressure of the reaction mixture over Whatman GF/C glass fiber filters presoaked in 0.5% PEI using a Brandell cell harvester. Filters were then washing several times with ice-cold wash buffer (50 mM Tris-HCl, pH 7.4). Plates were then dried at room temperature and counted in a Wallac microBeta scintillation counter. Certain compounds of the present invention and their corresponding activity values are shown in the following table.
Figure imgf000167_0001
Certain other compounds of the invention had activity values ranging from about 10 μM to about 0.3 nM in this assay.
EXAMPLE 5
In Vitro Human Platelet Aggregation Assays
Compounds of the invention were tested for their ability to aggregate human platelets. Aggregation assays were performed using a Chrono-Log Optical aggregometer model 410. Human blood (-10OmL) was collected from human donors into glass Vacutainers containing 3.8% sodium citrate (light blue tops) at room temperature. Platelet rich plasma (PRP) was isolated via centrifugation at lOOg for 15min at room temperature. After removal of the aqueous PRP layer, the platelet poor plasma (PPP) was prepared via high speed centrifugation at 240Og for 20min. Platelets were counted and their concentration was set to 250,000 cells/μl by dilution with PPP. Aggregation assays were conducted according to the manufacturer's specifications. Briefly, a suspension of 450μl PRP was stirred in a glass cuvette (1200rpm) and, after baseline was established, lμM ADP followed by either saline or lμM 5HT and compound of interest (at desired concentrations) were added and the aggregation response recorded. The concentration of ADP used causes approximately 10-20% of maximal aggregation. The 5-HT concentration corresponded to the concentration which produced maximal potentiation. Percent inhibition of aggregation was calculated from the maximum decrease in optical density of the controls and of the samples containing inhibitors. Only the synergistic effect was assessed. Certain compounds of the invention had activity values ranging from about 10 μM to about 5.0 nM in this assay.
EXAMPLE 6 Efficacy of Compounds of the Invention in the Attenuation of DOI-induced hypolocomotion in rats.
In this example, compounds of the invention can be tested for inverse agonist activity by determining whether these compounds could attenuate DOI-induced hypolocomotion in rats in a novel environment. DOI is a potent 5-HT2A/2c receptor agonist that crosses the blood-brain barrier. The standard protocol used is described briefly below. Animals:
Male Sprague-Dawley rats weighing between 200-30Og are used for all tests. Rats are housed three to four per cage. These rats are naϊve to experimental testing and drug treatment. Rats are handled one to three days before testing to acclimate them to experimental manipulation. Rats are fasted overnight prior to testing. Compounds:
(R)-DOI HCl (CnHi6INO2 HCl) can be obtained from Sigma-Aldrich, and is dissolved in 0.9% saline. Compounds of the invention are dissolved in 100%PEG400. DOI is injected s.c. in a volume of 1 mL/kg, while compounds of the invention are administered p.o. in a volume of 2mL/kg.
Procedure:
The "Motor Monitor" (Hamilton-Kinder, Poway, CA) is used for all activity measurement. This apparatus recorded rears using infrared photobeams.
Locomotor activity testing is conducted during the light cycle (0630-1830) between 9:00 a.m. and 4:00 p.m. Animals are allowed 30 min acclimation to the testing room before testing began.
In determining the effects of compounds of the invention on DOI-induced hypoactivity, animals are first injected with vehicle or the compound of the invention (50 μmol/kg) in their home cages. Sixty minutes later, saline or DOI (0.3 mg/kg salt) is injected. 10 min after DOI administration, animals are placed into the activity apparatus and rearing activity is measured for 10 minutes. Statistics and Results: Results (total rears over 10 minutes) are analyzed by t-test. P<0.05 is considered significant.
EXAMPLE 7
In vitro Binding of 5-HT2A Receptor Animals:
Animals (Sprague-Dawley rats) are sacrificed and brains are rapidly dissected and frozen in isopentane maintained at -420C. Horizontal sections are prepared on a cryostat and maintained at -200C. LSD Displacement Protocol: Lysergic acid diethylamide (LSD) is a potent 5-HT2A receptor and dopamine D2 receptor ligand. An indication of the selectivity of compounds for either or both of these receptors involves displacement of radiolabeled-bound LSD from pre-treated brain sections. For these studies, radiolabeled125I-LSD (NEN Life Sciences, Boston, Mass., Catalogue number NEX- 199) can be utilized; spiperone (RBI, Natick, Mass. Catalogue number s-128) a 5-HT2A receptor and dopamine D2 receptor antagonist, can also utilized. Buffer consists of 50 nanomolar TRIS- HCl, pH 7.4.
Brain sections are incubated in (a) Buffer plus 1 nanomolar12SI-LSD; (b) Buffer plus 1 nanomolar12SI-LSD and 1 micromolar spiperone; or Buffer plus 1 nanomolar125I-LSD and 1 micromolar Compound of interest for 30 minutes at room temperature. Sections are then washed 2x 10 minutes at 40C in Buffer, followed by 20 seconds in distilled H2O. Slides are then air-dried. After drying, sections are apposed to x-ray film (Kodak Hyperfϊlm) and exposed for 4 days.
EXAMPLE 8 Serotonin 5-HT2A Receptor Occupancy Studies in Monkey
In this example, the 5-HT2A receptor occupancy of a compound of the invention can be measured. The study can be carried out in rhesus monkeys using PET and18F-altanserin. Radioligand:
The PET radioligand used for the occupancy studies isl8F-altanserin. Radiosyn thesis of18F-altanserin is achieved in high specific activities and is suitable for radiolabeling 5-HT2A receptors in vivo (see Staley et ah, Nucl. Med. Biol., 28:271-279 (2001) and references cited within). Quality control issues (chemical and radiochemical purity, specific activity, stability etc) and appropriate binding of the radioligand are verified in rat brain slices prior to use in PET experiments. Drug Doses and Formulations:
. Briefly, the radiopharmaceutical is dissolved in sterile 0.9% saline, pH approx 6-7. The compounds of the invention are dissolved in 60% PEG 400 - 40% sterile saline on the same day of the PET experiment.
Serotonin 5-HT2A occupancy studies in humans have been reported for M100,907 (Grunder et al., Neuropsvchopharmacology. 17:175-185 (1997), and Talvik-Lofti et al.,
Psychopharmacologv, 148:400-403 (2000)). High occupancies of the 5-HT2A receptors have been reported for various oral doses (doses studied ranged from 6 to 20 mg). Foτ example, an occupancy of >90% was reported for a dose of 20 mg (Talvik-Lofti et al., supra), which translates to approx. 0.28 mg/kg. It may therefore be anticipated that an i.v. dose of 0.1 to 0.2 mg/kg of M100,907 is likely to provide high receptor occupancy. A 0.5 mg/kg dose of a Compound of the invention can be used in these studies. PET Experiments:
The monkey is anesthetized by using ketamine (10 mg/kg) and is maintained using 0.7 to 1.25% isoflurane. Typically, the monkey has two i.v. lines, one on each arm. One i.v. line is used to administer the radioligand, while the other line is used to draw blood samples for pharmacokinetic data of the radioligand as well as the cold drugs. Generally, rapid blood samples are taken as the radioligand is administered which then taper out by the end of the scan. A volume of approximately 1 mL of blood is taken per time point, which is spun down, and a portion of the plasma is counted for radioactivity in the blood. An initial control study is carried out in order to measure baseline receptor densities.
PET scans on the monkey are separated by at least two weeks. Unlabeled Compound of the invention is administered intravenously, dissolved in 80% PEG 400:40% sterile saline. PET Data Analysis:
PET data are analyzed by using cerebellum as the reference region and using the distribution volume region (DVR) method. This method has been applied for the analysis ofI8F-altanserin PET data in nonhuman primate and human studies (Smith et al., Synapse, 30:380- 392 (1998).
EXAMPLE 9
The Effect of Compounds of the Invention and Zolpidem on Delta Power in Rats
In this example, the effect of Compounds of the invention on sleep and wakefulness can be compared to the reference drug Zolpidem. Drugs are administered during the middle of the light period (inactivity period).
Briefly, Compounds of the invention are tested for their effects on sleep parameters and are compared to Zolpidem (5.0 mg/kg, Sigma, St. Louis, MO) and vehicle control (80% Tween 80, Sigma, St. Louis, MO). A repeated measures design is employed in which each rat is to receive seven separate dosings via oral gavage. The first and seventh dosings are vehicle and the second through sixth are the test compounds and Zolpidem given in counter-balanced order. Since all dosings are administered while the rats are connected to the recording apparatus, 60% CO2/40% O2 gas is employed for light sedation during the oral gavage process. Rats are fully recovered within 60 seconds following the procedure. A minimum of three days elapses between dosings. In order to test the effect of the compounds on sleep consolidation, dosing occurs during the middle of the rats' normal inactive period (6 hours following lights on). Dosing typically occurs between 13:15 and 13:45 using a 24 hour notation. All dosing solutions are made fresh on the day of dosing. Following each dosing, animals are continuously recorded until lights out the following day (~30 hours). Animal Recording and Surgical Procedures:
Animals are housed in a temperature controlled recording room under a 12/12 light/dark cycle (lights on at 7:00 am) and have food and water available ad libitum. Room temperature (24±20C), humidity (50±20% relative humidity) and lighting conditions are monitored continuously via computer. Drugs are administered via oral gavage as described above, with a minimum of three days between dosings. Animals are inspected daily in accordance with NIH guidelines.
Eight male Wistar rats (300 + 25 g; Charles River, Wilmington, MA) are prepared with chronic recording implants for continuous electroencephalograph (EEG) and electromyograph (EMG) recordings. Under isoflurane anesthesia (1-4%), the fur is shaved from the top of the skull and the skin was disinfected with Betadine and alcohol. A dorsal midline incision is made, the temporalis muscle retracted, and the skull cauterized and thoroughly cleaned with a 2% hydrogen peroxide solution. Stainless steel screws (#000) are implanted into the skull and served as epidural electrodes. EEG electrodes are positioned bilaterally at +2.0 mm AP from bregma and 2.0 mm ML and at -6.0 mm AP and 3.0 mm ML. Multi-stranded twisted stainless steel wire electrodes are sutured bilaterally in the neck muscles for recording of the EMG. EMG and EEG electrodes are soldered to a head plug connector that was affixed to the skull with dental acrylic. Incisions are closed with suture (silk 4-0) and antibiotics administered topically. Pain is relieved by a long-lasting analgesic (Buprenorphine) administered intramuscularly once post-operatively. Post-surgery, each animal is placed in a clean cage and observed until it is recovered. Animals are permitted a minimum of one week post-operative recovery before study. For sleep recordings, animals are connected via a cable and a counter-balanced commutator to a Neurodata model 15 data collection system (Grass-Telefactor, West Warwick, RT). The animals are allowed an acclimation period of at least 48 hours before the start of the experiment and are connected to the recording apparatus continuously throughout the experimental period except to replace damaged cables. The amplified EEG and EMG signals are digitized and stored on a computer using SleepSign software (Kissei Comtec, Irvine CA). Data Analysis:
EEG and EMG data are scored visually in 10 second epochs for waking (W), REMS, NREMS. Scored data are analyzed and expressed as time spent in each state per half hour. Sleep bout length and number of bouts for each state are calculated in hourly bins. A "bout" consists of a minimum of two consecutive epochs of a given state. EEG delta power (0.5-3.5 Hz) within NREMS is also analyzed in hourly bins. The EEG spectra during NREMS are obtained offline with a fast Fourier transform algorithm on all epochs without artifact. The delta power is normalized to the average delta power in NREMS between 23:00 and 1:00, a time when delta power is normally lowest. Data are analyzed using repeated measures ANOVA. Light phase and dark phase data are analyzed separately. Both the treatment effect within each rat and the time by treatment effect within each rat is analyzed. Since two comparisons are made, a minimum value of P<0.025 is required for post hoc analysis. When statistical significance is found from the ANOVAs, t-tests are performed comparing all compounds to vehicle and the test compounds to Zolpidem.
EXAMPLE 10
Efficacy of Compounds of the Invention in the Inhibition of JC Virus Infection of Human
Glial Cells A compound of the invention can be shown to inhibit JC virus infection of human glial cells using the in vitro model of Elphick et al. [Science (2004) 306:1380-1383], essentially as described briefly here. Cells and JC Virus
The human glial cell line SVG (or a suitable subclone thereof, such as SVG-A) is used for these experiments. SVG is a human glial cell line established by transformation of human fetal glial cells by an origin defective SV40 mutant [Major et al., Proc. Natl. Acad. ScL USA (1985) 82: 1257-1261]. SVG cells are cultured in Eagle's minimum essential medium
(Mediatech Inc., Herndon, VA) supplemented with 10% heat-inactivated fetal bovine serum, and kept in a humidified 370C 5% CO2 incubator.
The Mad-1/SVEΔ strain of JC virus [Vacante et al., Virology (1989) 170:353-361] is used for these experiments. While the host range of JC virus is typically limited to growth in human fetal glial cells, the host range of Mad-1/SVEΔ extends to human kidney and monkey cell types. Mad-1/SVEΔ is propagated in HEK cells. Virus titer is measured by hemagglutination of human type O erythrocytes. Assay for Inhibition of JC Virus Infection
SVG cells growing on coverslips are pre-incubated at 37°C for 45 min with or without the compound of the invention diluted in media containing 2% FCS. By way of illustration and not limitation, the compound of the invention is used at a concentration of about InM to about lOOμM, at a concentration of about 1OnM to about lOOμM, at a concentration of about InM to about 10μM, or at a concentration of about 1OnM to about lOμM.
JC virus (Mad-1/SVEΔ) is then added at an MOI of LO and the cells are incubated for 1 hr at 37°C in the continued presence of the compound of the invention. The cells are then washed 3X in PBS and fed with growth media containing the compound of the invention. At 72 hr post-infection, V antigen positive cells are scored by indirect immunofluorescence (see below). Controls include the addition of the compound of the invention at 24 and 48 h postinfection. The percentage of infected cells in untreated cultures is set at 100%. Indirect Immunofluorescence
For indirect immunofluorescence analysis of V antigen expression, SVG cells growing on coverslips are fixed in ice cold acetone. To detect V antigen expression, the cells are then incubated for 30 min at 37°C with a 1 : 10 dilution of hybridoma supernatant from PAB597. The PAB597 hybridoma produces a monoclonal antibody against the SV40 capsid protein VPl which has been shown to cross-react with JC virus VPl . The cells are then washed and incubated with goat anti-mouse Alexa Fluor 488 secondary antibody for an additional 30 min. After a final wash, the cells are counterstained with 0.05% Evan's blue, mounted onto glass slides using 90% glycerol in PBS and visualized on Nikon E800 epifluorescent scope. Images are captured using a Hamamatsu digital camera and analyzed using Improvision software.
EXAMPLE Il
In Vitro Dog Platelet Aggregation Assays Approximately 50 mL of blood is pooled from 3 male beagles. The protocol for analyzing the effects of compounds on platelet aggregation are identical to those used for human platelets (see Example 5, supra) except 5 μM ADP and 2 μM 5-HT were used to stimulate amplification of platelet aggregation.
EXAMPLE 12
Ex- Vivo Dog Whole Blood Aggregation
One hour following PO dosing with a test compound whole blood was collected from male beagle dogs in a 5 mL vacutainer with exogenous heparin (5 U/mL) added to vacutainer. Aggregation studies were evaluated by using whole blood Aggregometer (Chronolog Corp.). Briefly, whole blood (40OuL) was added to saline (60OuL) with constant stirring and activated with 5ug of Collagen (Chronolog Corp.). The serotonin response was obtained by adding 5-HT (Sigma) to final concentration of 2.5 μM. Results: Selected compounds were tested for antiplatelet aggregation activity after single bolus oral dosing. The dose that afforded maximal inhibition of 5-HT amplified platelet aggregation was identified and used for comparison.
EXAMPLE 13
Rat In Vivo Thrombosis, Bleeding, Aggregation, PK Assay
Thrombosis formation and Bleeding time: This model concomitantly measures thrombus formation, bleeding time, platelet aggregation and drug exposure in a single live dosed rat. Test compounds are administered to male rats (weighing 250-350 g) via PO injection at varying concentrations depending on compound potency ranging from lmpk-lOOmpk. Animals are then anesthetized using Nembutal approximately 30 min post PO. Once the animal is fully anesthetized using approved surgical techniques the animal's right femoral artery is isolated in 2 different sections approximately 4-6 mm in length, one area for probe placement and one for Ferric Chloride patch positioning. The artery is then allowed to stabilize to allow recovery from the surgery. During stabilization the animal is then intubated and placed on a ventilator (Harvard Apparatus, Inc.) at 75 strokes/min with a volume of 2.5 cubic cm. Following intubation and after stabilization a micro arterial probe (Transonic Systems, Inc) is then placed on the distal isolated femoral artery. Once the probe is in place the flow is monitored using a Powerlab recording system (AD Instruments) to monitor rate of pulsatile flow. A small piece of filter paper soaked in 30% ferric chloride is placed on the area of the artery upstream of the probe for 10 min. After 5 min of Ferric Choloride patch placement the last 3mm of the rat's tail is removed. The tail is then placed in a saline filled glass vial at 37 degree and the time it took for bleeding to stop is recorded. After the Ferric chloride patch is removed the flow is recorded until the artery is occluded and time to occlusion is recorded. Whole Blood Aggregation and PK:
Following measurement of bleeding and time to occlusion 5 mL of blood is obtained for ex-vivo aggregation analysis by cardiac puncture in heparin (5U/mL). An additional 500 μL of blood is collected in a separate vacutainer for PK analysis (plasma drug concentration). Ex-vivo aggregation studies are evaluated by using whole blood Aggregometer (Chronolog Corp.).
Briefly, whole blood (400 μL) is added to saline (600 μL) with constant stirring and activated with 2.55 μg of Collagen (Chronolog Corp.). The serotonin response is obtained by adding 5- HT (Sigma) to final concentration of 2.5 μM. Results: Test compounds or reference compounds with acceptable levels of binding to rat 5-HT2A receptors are evaluated for effects of thrombus formation, bleeding and platelet activity in a single model. This allowed for the most accurate demonstration of separation of the test compound effects on platelet mediated thrombus formation from effects on bleeding.
Those skilled in the art will recognize that various modifications, additions, substitutions, and variations to the illustrative examples set forth herein can be made without departing from the spirit of the invention and are, therefore, considered within the scope of the invention. All documents referenced above, including, but are not limited to, printed publications, and provisional and regular patent applications, are incorporated herein by reference in their entirety.

Claims

CLAIMSWhat is claimed is:
1. A compound of Formula (Ia):
Figure imgf000176_0001
or a pharmaceutically acceptable salt, hydrate or solvate thereof; wherein:
V is O orNH;
W is Ci-4 alkylene optionally substituted with 1, 2, 3, 4, 5, 6, 7, or 8 substituents selected independently from the group consisting of Cu alkyl, Ci-4 alkoxy, carboxy, cyano, C3-7 cycloalkyl, Cu haloalkyl, halogen, and oxo, or W is absent;
Z is -NR10R11, -NR10-(X )-Rn, -OR11, -0-( X )-R11; -SR11, -S-(X )-R11, -S(O)R11, -S(O)-( X )-Ru, -S(O)2R11, or -S(O)2-( X )-Rn;
X is C1-4 alkylene optionally substituted with 1, 2, 3, 4, 5, 6, 7, or 8 substituents selected independently from the group consisting of Cu alkyl, Ci-4 alkoxy, carboxy, cyano, Cu3 haloalkyl, halogen and oxo;
R1 is selected from the group consisting of H, Ci-6 alkyl, C2-6 alkenyl, C2-6 alkynyl and C3-7 cycloalkyl;
R2 is selected from the group consisting of H, Ci-6 acyl, Cue acyloxy, C2-6 alkenyl, Ci-6 alkoxy, Ci-6 alkyl, Ci-6 alkylcarboxamide, C2-6 alkynyl, C]-6 alkylsulfonamide, Ct-6 alkylsulfinyl, Cu6 alkylsulfonyl, C1-6 alkylthio, Ci-6 alkylureyl, amino, C^ alkylamino, C2-S dialkylamino, carbo-Ci-6-a!koxy, carboxamide, carboxy, cyano, C3-7 cycloalkyl, C2-s dialkylcarboxamide, C2-8 dialkylsulfonamide, halogen, CK6 haloalkoxy, Ci-6 haloalkyl, Cu6 haloalkylsulfinyl, Ci-6 haloalkylsulfonyl, Ci-6 haloalkylthio, hydroxyl, thiol, nitro and sulfonamide; R3 is selected from the group consisting of H, C2-6 alkenyl, Ci-6 alkoxy, Ci-6 alkyl, C1-6 alkylcarboxamide, C2-6 alkynyl, Cj.6 alkylsulfonamide, carbo-Ci-6-alkoxy, carboxamide, carboxy, cyano, C3-7 cycloalkyl, C2-8 dialkylcarboxamide, halogen, heteroaryl and phenyl; and wherein each of said C2-6 alkenyl, Ci-6 alkyl, C2.β alkynyl, Q- 6 alkylsulfonamide, C3-7 cycloalkyl, heteroaryl and phenyl groups are optionally substituted with 1, 2, 3, 4, or 5 substituents selected independently from the group consisting of C,-5 acyl, Ci-5 acyloxy, C2-6 alkenyl, Ci-4 alkoxy, Ci-8 alkyl, C]-6 alkylamino, C2-8 dialkylamino, C1-4 alkylcarboxamide, C2-6 alkynyl, Ci-4 alkylsulfonamide, C1-4 alkylsulfinyl, C1-4 alkylsulfonyl, Q-4 alkylthio, Q-4 alkylureyl, amino, carbo-Q-6-alkoxy, carboxamide, carboxy, cyano, C3-6 cycloalkyl, C2-6 dialkylcarboxamide, halogen, C1-4 haloalkoxy, Ci-4 haloalkyl, CM haloalkylsulfmyl. Q^ haloalkylsulfonyl, Q-4 haloalkylthio, hydroxyl, nitro and sulfonamide; R4 is H, amino, Q-6 alkylamino, C2-8 dialkylamino, heterobicyclic, heterocyclyl, or heteroaryl, wherein said amino, C1-6 alkylamino, C2-S dialkylamino, heterobicyclic, heterocyclyl, and heteroaryl are each optionally substituted with 1, 2, 3, 4, or 5 substituents selected independently from the group consisting Of Q-6 acyl, C1-I2 acyloxy, C2-6 alkenyl, Q-4 alkoxy, Ci-6 alkoxycarbonylamino, Q-6 alkyl, Ci-6 alkylamino, C2-8 dialkylamino, Q-4 alkylcarboxamide, C2-6 alkynyl, Ci-4 alkylsulfonamide, Ci-4 alkylsulfinyl, Ci-4 alkylsulfonyl, Q-4 alkylthio, C1-4 alkylureyl, amino, carbo-Q.6- alkoxy, carboxatnide, carboxy, cyano, C3-6 cycloalkyl, C3-7 cycloalkylcarbonyl, C2-S dialkylcarboxamide, formyl, halogen, C1-4 haloalkoxy, Ci-4 haloalkyl, C1-4 haloalkylsulfmyl, Q-4 haloalkylsulfonyl, Ci-4 haloalkylthio, heteroaryl, hydroxyl, nitro, phenyl and sulfonamide; wherein said C1-5 acyl, Ci-S acyloxy, Ci-4 alkoxy, Ci-6 alkyl, Q-
4 alkylcarboxamide, amino, carbo-Q-6-alkoxy, and heteroaryl are each optionally substituted with 1, 2, 3, 4, or 5 substituents selected independently from the group consisting OfQ-6 alkyl, d-s acyl, C)-4 alkoxy, C]-6 alkylamino, C2-8 dialkylamino, CM alkylcarboxamide, C)-4 alkylsulfonyl, amino, carbo-Q-6-alkoxy, carboxamide, carboxy, cyano, C3-6 cycloalkyl, halogen, Q-4 haloalkoxy, C1-4 haloalkyl, hydroxyl, and phenyl;
R5, R6 and R7 are each selected independently from the group consisting of H, Ci-6 acyl, Ci-6 acyloxy, C2-6 alkenyl, Ci-6 alkoxy, Ci-6 alkyl, Q-6 alkylcarboxamide, C2-6 alkynyl, Q-6 alkylsulfonamide, Ci-6 alkylsulfinyl, C].6 alkylsulfonyl, Q-6 alkylthio, C]-6 alkylureyl, amino, Ci-6 alkylamino, C2-8 dialkylamino, Ci-6 alkylimino, carbo-Q^- alkoxy, carboxamide, carboxy, cyano, C3-7 cycloalkyl, C2-8 dialkylcarboxamide, C2-8 dialkylsulfonamide, halogen, C1-6 haloalkoxy, Cj-6 haloalkyl, Q-6 haloalkylsulfinyl, Ci-6 haloalkylsulfonyl, Ci-6 haloalkylthio, heterocyclyl, hydroxyl, thiol, and nitro;
R8 and R9 are each selected independently from the group consisting of H, C1-3 alkyl, C1-4 alkoxy, carboxy, cyano, C1-3 haloalkyl, and halogen, or R8 and R9 together with the carbon to which they are both bonded form a carbonyl or C3-7 cycloalkyl group; R10 is H or C1-6-alkyl; and
R1 ' is H, Ci_8-alkyl, aryl, C3-I0 cycloalkyl, heteroaryl, or heterocyclyl each optionally substituted with 1, 2, 3, 4, or 5 substituents selected independently from the group consisting Of C1-6 acyl, C1-6 acyloxy, C2-6 alkenyl, C1-6 alkoxy, Ci-6 alkyl, C]-6 alkylcarboxamide, C2-6 alkynyl, Ci.6 alkylsulfonamide, Q-6 alkylsulfinyl, Ci-6 alkylsulfonyl, Ci-6 alkylthio, Ci-6 alkylureyl, amino, C]-6 alkylamino, C2-8 dialkylamino, Ci-6 alkylimino, carbo-Ci.6-alkoxy, carboxamide., carboxy, cyano, C3.7 cycloalkyl, C3-7 cycloalkyloxy, C2-8 dialkylcarboxamide, C2-S dialkylsulfonamide, halogen, Ci-6 haloalkoxy, C1-6 haloalkyl, Ci-6 haloalkylsulfϊnyl, Ci.6 haloalkylsulfonyl, Ci.6 haloalkylthio, heteroaryl, heterocyclyl, hydroxyl, thiol, nitxo, phenoxy and phenyl, wherein said Ci-6 alkyl is optionally substituted with 1, 2, 3, 4, or 5 substituents selected independently from the group consisting OfC]-6 acyl, Ci-6 acyloxy, C2-6 alkenyl, C1-6 alkoxy, C1-^ alkyl, Ci-6 alkylcarboxamide, C2-6 alkynyl, Ci-6 alkylsulfonamide, Q-6 alkylsulfinyl, Ci-6 alkylsulfonyl, Ci-6 alkylthio, C1-6 alkylureyl, amino, Ci-6 alkylamino, C2-8 dialkylamino, carbo-Ci-6-alkoxy, carboxamide, carboxy, cyano, C3.7 cycloalkyl, C2-8 dialkylcarboxamide, halogen, Ci-6 haloalkoxy, C1-6 haloalkyl, Ci-6 haloalkylsulfinyl, Ci-6 haloalkylsulfonyl, Ci-6 haloalkylthio, heterocyclyl, hydroxyl, thiol, nitro, and phenyl; or
R10 and R11 together with the nitrogen to which they are both bonded form a heterocyclyl group or a heteroaryl group each optionally substituted with Q-6 alkyl, aryl, heteroaryl, aryl-Ci^-alkyl, or heteroaryl-Cι,3-alkyl, wherein said Q-6 alkyl, aryl, heteroaryl, aryl-Ci-3-alkyl, and heteroaryl-Ci-3-alkyl are each optionally substituted with
1, 2, 3, 4, or 5 substituents selected independently from the group consisting of Ci-6 acyl, C]-6 acyloxy, C2-6 alkenyl, Ci-6 alkoxy, Ci-6 alkyl, Ci-6 alkylcarboxamide, C2-6 alkynyl, Ci-6 alkylsulfonamide, C1-6 alkylsulfinyl, Ci-6 alkylsulfonyl, C1-6 alkylthio, Ci-6 alkylureyl, amino, Ci-6 alkylamino, C2-8 dialkylamino, carbo-Ci-6-alkoxy, carboxamide, carboxy, cyano, C3-7 cycloalkyl, C2-8 dialkylcarboxamide, halogen, C1-6 haloalkoxy, Ci-6 haloalkyl, Ci-6 haloalkylsulfinyl, Ci-6 haloalkylsulfonyl, Ci-6 haloalkylthio, heterocyclyl, hydroxyl, thiol and nitro.
2. The compound according to claim 1, having Formula (Ic):
Figure imgf000178_0001
3. The compound according to claim 1 or 2, wherein V is O.
4. The compound according to any one of claims 1 to 3, wherein W is -CH2- or -CH2CH2- optionally substituted with C1-3 alkyl.
5. The compound according to any one of claims 1 to 3, wherein W is -CH2-, -CH2CH2-, or
-CH2C(CHa)2--
6. The compound according to any one of claims 1 to 5, wherein Z is -NR 1O Rn H
7. The compound according to any one of claims 1 to 5, wherein Z is -OR11.
8. The compound according to any one of claims 1 to 5, wherein Z is -SR11.
9. The compound according to any one of claims 1 to 5, wherein Z is -S(O)2R1 ' .
10. The compound according to any one of claims 1 to 5, wherein Z is -NRl0-( X )-R* '.
11. The compound according to any one of claims 1 to 5, wherein Z is -O-( X )-R' '.
12. The compound according to claim 10 or 11 , wherein X is -CH2-, or -CH2CH2-.
13. The compound according to any one of claims 1 to 12, wherein R1 is Ci.g alkyl.
14. The compound according to any one of claims 1 to 12, wherein R1 is -CH3.
15. The compound according to any one of claims 1 to 14, wherein R2 is H.
16. The compound according to any one of claims 1 to 15, wherein R3 is H, -OCH3, -CH3, Cl, or Br.
17. The compound according to any one of claims 1 to 16, wherein R4 is H.
18. The compound according to any one of claims 1 to 17, wherein R4 is amino.
19. The compound according to any one of claims 1 to 17, wherein R4 is heterocyclyl optionally substituted with Ci-β acyl.
20. The compound according to any one of claims 1 to 17, wherein R4 is morpholin-4-yl, 4- acetyl-piperazin-1-yl, pyrrolidin-1-yl, or piperidin-l-yl.
21. The compound according to any one of claims 1 to 20, wherein R5, R6, and R7 are each. H.
22. The compound according to any one of claims 1 to 21, wherein R8 and R9 are each selected independently from H and -CH3.
23. The compound according to any one of claims 1 to 22, wherein R8 and R9 together with the carbon to which they are both bonded form a carbonyl or C3-? cycloalkyl group.
24. The compound according to any one of claims 1 to 23, wherein R10 is H.
25. The compound according to any one of claims 1 to 23, wherein R10 is Ci.6-alkyl.
26. The compound according to any one of claims 1 to 25, wherein R11 is H.
27. The compound according to any one of claims 1 to 25, wherein R11 is C^-alky! optionally substituted with carboxy.
28. The compound according to any one of claims 1 to 25, wherein Ru is aryl optionally substituted with 1, 2, 3, 4, or 5 substituents selected independently from the group consisting of Q.6 acyl, C^ alkoxy, Ci-β alkyl, cyano, halogen, Ci-6 haloalkoxy, and Ci-β haloalkyl.
29. The compound according to any one of claims 1 to 25, wherein R11 is selected from the group consisting of 3,4-difluoro-phenyl, 4-fluoro-phenyl, 3-methoxy-phenyl, 3,5- difluoro-phenyl, 3-fluoro-phenyl, 2,4-difluoro-phenyl, phenyl, 2-fluoro-phenyl, 4- methoxy-phenyl, 2,5-difluoro-phenyl, 4-chloro-2-fluoro-phenyl, 4-chloro-phenyl, 4- methoxy-phenyl, 4-methyl-phenyl, 2-methyl-phenyl, 4-trifluoromethyl-phenyl, 4-cyano- phenyl, 4-trifluoromethoxy-phenyl, 3-chloτo-phenyl, 3-trifluoτomethyl-pb.enyl, 2-cyano- phenyl, 3-methyl-ρhenyl, 2-chloro-phenyl, 2-trifluoromethyl-phenyl, 4-acetyl-phenyl, and 3,4-dimethoxy-phenyl.
30. The compound according to any one of claims 1 to 25, wherein R11 is C3-I0 cycloalkyl.
31. The compound according to any one of claims 1 to 25, wherein R11 is heteroaryl optionally substituted with 1, 2, 3, 4, or 5 substituents selected independently from the group consisting Of C1-6 acyl, Ci-6 alkoxy, C1-6 alkyl, cyano, halogen, C1-6 haloalkoxy, and C]-6 haloalkyl.
32. The compound according to any one of claims 1 to 25, wherein R11 is pyridin-3-yl, pyridin-2-yl, pyridin-4-yl, or benzo[l,3]dioxol-5-yl.
33. The compound according to any one of claims 1 to 25, wherein R11 is heterocyclyl optionally substituted with Cj-6 alkyl or phenyl, wherein said Ci.β alkyl is optionally substituted with phenyl.
34. The compound according to any one of claims 1 to 25, wherein R11 is 1-phenyl- piperidin-4-yl, l-benzyl-piperidin-4-yl, or tetrahydro-pyran-4-yl.
35. The compound according to any one of claims 1 to 23, wherein R10 and R11 together with the nitrogen to which they are both bonded form a heterocyclyl group optionally substituted with aryl, heteroaryl, aryl-CI-3-alkyl, or heteroaryl-Ci-3-alkyl, wherein said aryl, heteroaryl, aryl-Qo-alkyl, and heteroaryl-Ci-3-alkyl are each optionally substituted with 1, 2, 3, 4, or 5 substituεnts selected independently from the group consisting of Ci-6 alkoxy, C1-6 alkyl, cyano, halogen, and Ci-6 haloalkyl.
36. The compound according to any one of claims 1 to 23, wherein R10 and R11 together with the nitrogen to which they are both bonded form a 4-[2-(4-fluoro-phenyl)-ethyVj- piperazin-1-yl, 4-(2-fluoro-phenyl)-piperazin-l-yl, 4-pyridin-4-yl-piperazin-l-yl, 4-(4- fluoro-phenyl)-piperazin-l-yl, 4-benzo[l,3]dioxol-5-ylmethyl-piperazin-l-yl, 4-(2- cyano-phenyl)-piperazin-l -yl, 4-p-tolyl-piperazin-l -yl, 4-methyl-piperazin-l -yl, 4- thiazol-2-yl-piperazin-l-yl, 4-phenyl-piperazin-l-yl, 4-m-tolyl-piperazin-l-yl, A-(A- , chloro-phenyl)-piperazin-l-yl, 4-(3-fluoro-phenyl)-piperazin-l -yl, 4-(4-chloro-2-fluoro- phenyl)-piρerazin-l -yl, 4-(2-chloro-phenyl)-piperazin-l-yl, 4-(4-fluoro-benzyl)- piperazin-1-yl, 4-o-tolyl-piperazin-l-yl, 4-(4-memoxy-ρhenyl)-piperazin-l-yl, piperidin- 1-yl, 4-(3-methoxy-phenyl)-piperazin-l-yl, 4-(2,4-difluoro-phenyl)-piperazin-l-yl, 4-(2- fiuoro-phenyl)-piperazin-l -yl, 4-(2-methoxy-ρhenyl)-piperazin-l -yl, 4-pyridin-3-yl- piperazin-1-yl, 4-pyridin-2-yl-piperazin-l~yl, 4-(3,4-difluoro-phenyl)-piperazin-l-yl, or 4-(3-trifluoromethyl-ρhenyl)-piperazin-l-yl.
37. The compound according to any one of claims 1 to 23, wherein R10 and R11 together with the nitrogen to which they are both bonded form a heteroaryl group optionally substituted with 1, 2, 3, 4, or 5 substituents selected independently from the group consisting of d-6 alkoxy, Ci-6 alkyl, cyano, halogen, and C1-6 haloalkyl.
38. The compound according to claim 1, having Formula (Ila):
Figure imgf000182_0001
wherein:
W is -CH2- or -CH2CH2- optionally substituted with C10 alkyl;
Z is -NR1V ', -NR'°-( X )-Rπ, -OR11, -0-( X )-R", -SR11, or -S(O)2R11;
X is -CH2- or -CH2CH2-; R3 is H, C1-6 alkoxy, C]-6 alkyl, or halogen;
R4 is H, amino, or heterocyclyl, wherein said heterocyclyl is optionally substituted with C1-6 acyl;
R8 and R9 are each selected independently from H and Ci-3 alkyl, oτ
R8 and R9 together with the carbon to which they are both bonded form a carbonyl or C3-7 cycloalkyl group;
R10 is H or Ci-6-alkyl; and
R11 is H, Ci_s-alkyl, aryl, C3-I0 cycloalkyl, heteroaryl, or heterocyclyl, wherein said Ci.g-alkyl, aryl, C3-I0 cycloalkyl, heteroaryl, and heterocyclyl are each optionally substituted with substituents selected independently from the group consisting of Q-6 acyl, C)-6 alkoxy, Ci-6 alkyl, carboxy, cyano, halogen, Ci-6 haloalkoxy, and Ci-6 haloalkyl; or
R10 and Rn together with the nitrogen to which they are both bonded form a heterocyclyl group or a heteroaryl group each optionally substituted with aryl, heteroaryl, aryl-Ci-3-alkyl, or heteroaryl-Ci-3-alkyl, wherein said aryl, heteroaryl, aryl- Cj-3-alkyl, and heteroaryl-C]-3-alkyl are each optionally substituted with 1, 2, 3, 4, or 5 substituents selected independently from the group consisting of Q-6 alkoxy, C1-6 alkyl, cyano, halogen, and Ci-6 haloalkyl.
39. The compound according to claim 1, having Formula (Ua):
Figure imgf000183_0001
wherein:
W is -CH2-, -CH2CH2- or -CH2C(CH3)2-;
Z is -NR10R11, -NR10-( X )-Rπ, -OR1 ', -O-( X )-Rπ, -SR11, or -S(O)2R11; X is -CH2- or -CH2CH2-;
R3 is H, -OCH3, -CH3, Cl, or Br;
R4 is H, amino, morpholin-4-yl, 4-acetyl-piperazin-l -yl, pyrrolidin-1-yl, or piperidin-1-yl;
R8 and R9 are each selected independently from H and -CH3, or R8 and R9 together with the carbon to which they are both bonded form a carbonyl or cyclohexyl group; R10 is H or -CH3; and
RH is selected from the group consisting of H, -CH3, -CH2CH3, -C(CH3)3, -CH2CO2H, 3,4-difluoro-phenyl, 4-fluoro-phenyl, 3-methoxy-phenyl, 3,5-difluoro- phenyl, 3-fluoro-phenyl, 2,4-difluoro-phenyl, phenyl, 2-fluoro-phenyl, 4-methoxy- phenyl, 2,5-difluoro-phenyl, 4-chloro-2-fluoro-phenyI, 4-chloro-phenyl, 4-methoxy- phenyl, 4-methyl-phenyl, 2-methyl-phenyl, 4-rrifluoroτnethyl-pheήyl, 4-cyano-phenyl, 4-trifluoromethoxy-phenyl, 3-chloro-phenyl, 3-trifluoromethyl-phenyl, 2-cyano-phenyl, 3-methyl-phenyl, 2-chloro-phenyl, 2-trifluoromethyl-phenyl, 4-acetyl-phenyl, 3,4- dimethoxy-phenyl, cyclopropyl, pyridin-3-yl, pyridin-2-yl, pyridin-4-yl, benzo[l,3]dioxol-5-yl, l-phenyl-piperidin-4-yl, l-benzyl-piperidin-4-yl, and tetrahydro- pyran-4-yl; or
R10 and R1 ' together with the nitrogen to which they are both bonded form a 4- [2-(4-fluoro-phenyl)-ethyl]-piperazin-l-yl, 4-(2-fluoro-phenyl)-piperazin-l-yl, 4- pyridin-4-yl-piperazin-l-yl, 4-(4-fluoro-phenyl)-piperazin-l-yl, 4-benzo[l,3]dioxol-5- ylmethyl-piperazin-1-yl, 4-(2-cyano-ρhenyl)-ρiperazin-l-yl, 4-p-tolyl-piperazin-l-yl, 4- methyl-piperazin-1-yl, 4-thiazol-2-yl-piρerazin-l-yl, 4-phenyl-piperazin-l-yl, 4-m-tolyl- piperazin-1-yl, 4-(4-chloro-ρhenyl)-ρiperazin-l-yl, 4-(3-fluoro-phenyl)-piperazin-l-yl, 4-(4-chloro-2-fluoro-phenyl)-piperazin- 1 -yl , 4-(2-chloro-phenyl)-piperazin- 1 -yl, 4-(4- fluoro-benzyl)-piperazin-l-yl, 4-o-tolyl-piperazin-l-yl, 4-(4-methoxy-phenyl)- piperazin-1 -yl, piperidin-l-yl, 4-(3-methoxy-phenyl)-piperazin-l-yl, 4-(2,4-difluoro- phenyl)-piperazin-l-yl, 4-(2-fluoro-phenyl)-piperazin-l-yl, 4-(2-methoxy-phenyl)- piperazin-1-yl, 4-pyridin-3-yl-piperazin-l-yl> 4-pyridm-2-yl-piperazm-l-yl, 4-(3,4- difluoro-phenyl)-piρerazin-l-yl, or 4-(3-trifluoromethyl-phenyl)-piperazin-l -yl.
40. The compound according to claim I5 having Formula (TCTa):
Figure imgf000184_0001
wherein:
W is -CH2-, -CH2CH2- or -CH2C(CH3)2-;
Z is -NR10R11, -NR10-( X )-Rn, -OR11, -O-( X )-Rn, -SR11, or -S(O)2R11;
X is -CH2- or -CH2CH2-; R3 is H, -OCH3, -CH3, Cl, or Br;
R4 is H, amino, morpholin-4-yl, 4-acetyl-piperazin-l -yl, pyrrolidin-1-yl, or piperidin-1-yl;
R8 and R9 are each selected independently ftoπv H and. -CH3, or
R8 and R9 together with the carbon to which they are both bonded form a carbonyl or cyclohexyl group;
R10 is H or -CH3; and
R11 is selected from the group consisting of 3,4-difluoro-phenyl, 4-fluoro- phenyl, 3-methoxy-phenyl, 3,5-difluoro-phenyl, 3-fluoro-phenyl, 2,4-difluoro-phenyl, phenyl, 2-fluoro-phenyl, 4-methoxy-phenyl, 2,5-difluoro-phenyl, 4-chloro-2-fluoro- phenyl, 4-chloro-phenyl, 4-methoxy-phenyl, 4-methyl-phenyl, 2-methyl-phenyl, 4- trifluoromethyl-phenyl, 4-cyano-phenyl, 4-trifluoromethoxy-phenyl, 3-chloro-phenyl, 3- trifluoromethyl-phenyl, 2-cyano-phenyl, 3 -methyl -phenyl, 2-chloro-phenyl, 2- trifluoromethyl-phenyl, 4-acetyl-phenyl, and 3,4-dimethoxy-phenyl.
41. The compound according to claim 1, wherein the compound is selected from the group consisting of:
N-[3-(4-Chloro-2-methyl-2H-pyrazol-3-yl)-4-methoxy-phenyl]-2-{4-[2-(4-fluoro- phenyl)-ethyl]-piperazin-l -yl} -acetamide;
2-(3,4-Difluoro-phenylamino)-N-[3-(2-methyl-2H-ρyrazol-3-yl)-4-(2-morpholin-4-yl- ethoxy)-phenyl]-acetamide;
N-[3-(4-Bromo-2-methyl-2H-pyrazol-3-yl)-4-methoxy-phenyl]-2-[4-(2-fluoro-phenyl)- piperazin- 1 -yl]-acetamide; N-[3-(4-Chloro-2-methyl-2H-pyrazol-3-yl)-4-methoxy-phenyl]-2-(4-fluoro- benzylamino)-acetamide;
N-[3-(4-Bromo-2-methyl-2H-pyrazoI-3-yl)-4-methoxy-phenyl]-2-(3-methoxy- phenylamino)-acetamide; N-[3-(4-Bromo-2-methyl-2H-pyrazol-3-yl)-4-methoxy-phenyl]-2-dimethylamino- acetamide;
N-[3-(4-Chloro-2-methyl-2H-pyrazol-3-yl)-4-methoxy-phenyl]-2-(l-phenyl-piρeridin- 4-ylamino)-acetamide;
N-[3-(4-Chloro-2-methyl-2H-pyrazol-3-yl)-4-methoxy-phenyl]-2-(3,5-difluoro- benzylamino)-acetamide;
2-(3 ,5 -Difluoro-phenylamino)-N-[3 -(2-methyl-2H-pyrazol-3 -yl)-4-(2-morpholin-4-yl- ethoxy)-phenyl]-acetamide;
N-[3-(4-Chloro-2-methyl-2H-pyrazol-3-yl)-4-methoxy-phenyl]-2-(3-fluoro- benzylamino)-acetamide; N-[3-(4-Chloro-2-methyl-2H-pyrazol-3-yl)-4-methoxy-phenyl]-2-(4-pyridin-4-yl- piperazin-1 -yl)-acetamide;
N-[3-(4-Chloro-2-methyl-2H-pyrazol-3-yl)-4-methoxy-phenyl]-2-[4-(4-fluoro-phenyl)- piperazin- 1 -yl]-acetamide;
N-[3-(4-Broπio-2-inethyl-2H-pyrazol-3-yl)-4-methoxy-phenyl]-2-(4-fluoro- benzylamino)-acetamide;
N-[3-(4-Chloro-2-methyl-2H-pyrazol-3-yl)-4-methoxy-phenyl]-2-(2,4-difluoro- benzylamino)-acetamide;
N-[3-(4-Chloro-2-methyl-2H-pyrazol-3-yl)-4-(2-moτph.olin-4-yl-ethoxy)-phenyl]-2- phenylamino-acetamide; 2-(4-Fluoro-phenylamino)-N-[3-(2-methyl-2H-pyrazol-3-yl)-4-(2-morpholin-4-yl- ethoxy)-phenyl]-acetamide;
2-(4-Benzo[l,3]dioxol-5-ylmethyl-ρiperazin-l-yl)-N-[3-(4-chloro-2-methyl-2H- pyrazol-3-yl)-4-tnethoxy-phenyl]-acetamide;
2-(l-Benzyl-ρiperidin-4-ylamino)-N-[3-(4-chloro-2-methyl-2H-pyrazol-3-yl)-4- methoxy-phenyl]-acetamide;
N-[3-(4-Chloro-2-methyl-2H-pyrazol-3-yl)-4-methoxy-phenyl]-2-(2-fluoro- benzylamino)-acetamide;
2-(2,4-Difluoro-phenylamino)-N-[3-(2-methyl-2H-pyrazol-3-yl)-4-(2-morpholin-4-yl- ethoxy)-phenyl]-acetamide; N-[3-(4-Bromo-2-methyl-2H-pyrazol-3-yl)-4-m6thoxy-phenyl]-2-[2-(2-fluoro-phenyl)- ethylamino]-acetamide; N-[3-(4-Chloro-2-methyl-2H-pyrazol-3-yl)-4-methoxy-phenyl]-2-[4-(2-cyano-phenyl)- piperazin-1 -yl]-acetamide;
N-[3-(4-Chloro-2-methyl-2H-pyrazol-3-yl)-4-methoxy-phenyl]-2-(4-p-tolyl-piperazin- 1 -yl)-acetamide; N-[3-(4-Bromo-2-methyl-2H-pyrazol-3-yl)-4-methoxy-phenyl]-2-(4-methyl-piperazin- l-yl)-acetamide;
N-tS^-Chloro^-methyl^H-pyrazol-S-yO^-methoxy-phenylJ^-μ^-chloro-phenyl)- piperazin-1 -yl]-acetamide;
N-[3-(4-Bromo-2-methyl-2H-pyrazol-3-yl)-4-methoxy-phenyl]-2-phenethylamino- acetamide;
2-Benzylamino-N-[3-(4-chloro-2-methyl-2H-pyrazol-3-yl)-4-methoxy-phenyl]- acetamide;
N-[3 -(4-Bromo-2-methyl-2H-pyrazol -3 -yl)-4-methoxy-phenyl]-2-[4-(4-fluoro-phenyl)- piperazin- 1 -yl] -acetamide; N-[3-(4-Chloro-2-methyl-2H-pyrazol-3-yl)-4-methoxy-phenyl]-2-(4-thiazol-2-yl- piperazin-1 -yl)-acetamide;
2-[4-(4-Fluoro-pbenyl)-piperazin-l-yl]-N-[4-methoxy-3-(2-methyl-2H-pyrazol-3-yl)- phenyl]-acetamide;
N-[3-(4-Chloro-2-methyl-2H-pyrazol-3-yl)-4-(2-moφholin-4-yl-ethoxy)-ρheπyl]-2-(4- methoxy-phenylamino)-acetarnide;
2-(2-Fluoro-pheπylamino)-N-[3-(2-methyl-2H-pyrazol-3-yl)-4-(2-morpholin-4-yl- ethoxy)-phenyl]-acetamide;
N-[3-(4-Bromo-2-methyl-2H-pyrazol-3-yl)-4-methoxy-phenyl]-2-(4-phenyl-piperazin- l-yl)-acetamide; N-[3-(4-Chloro-2-methyl-2H-pyrazol-3-yl)-4-(2-morpholin-4-yl-ethoxy)-phenyl]-2- cyclopropylamino-acetamide;
2-(3,5-Difluoro-benzylamino)-N-[4-methoxy-3-(2-methyl-2H-ρyrazol-3-yl)-phenyl]- acetamide;
N-[3-(4-Chloro-2-methyl-2H-ρyrazol-3-yl)-4-methoxy-phenyl]-2-(4-m-tolyl-piperazin- l-yl)-acetamide;
N-[3-(4-Bromo-2-methyl-2H-pyrazol-3-yl)-4-methoxy-phenyl]-2-cyclopropylamino- acetamide;
N-[3-(4-Bromo-2-methyl-2H-pyrazol-3-yl)-4-methoxy-phenyl]-2-[4-(4-chloro-phenyl)- piperazin-1 -yl]-acetamide; 2-[4-(3-Fluoro-phenyl)-piperazin- 1 -yl]-N-[4-methoxy-3-(2-methyl-2H-pyrazol-3 -yl)- phenyl]-acetaτnide; N-[3-(4-Bromo-2-methyl-2H-pyra2θl-3-yl)-4-methoxy-phenyl]-2-[2-(4-fluoro-phenyl)- ethylamino]-acetamide;
2-[4-(4-Chloro-2-fluoro-phenyl)-piperazin-l-yl]-N-[3-(4-chloro-2-methyl-2H-pyrazol- 3 -yl)-4-methoxy-phenyl] -acetamide; 2-(2,5-Difluoro-phenylamino)-N-[3-(2-meihyl-2H-pyrazol-3-yl)-4-(2-morpholin-4-yl- ethoxy)-phenyl]-acetamide;
N-[3-(4-Chloro-2-methyl-2H-pyrazol-3-yl)-4-methoxy-phenyl]-2-[4-(2-chloro-phenyl)- piperazin-1 -yl]-acetamide;
2-(B enzyl-methyl-amino)-N-[3 -(4-chloro-2-methyl-2H-pyrazol-3 -yl)-4-methoxy- phenyl]-acetamide;
N-[3-(4-Bromo-2-methyl-2H-pyrazol-3-yl)-4-methoxy-phenyl]-2-(3-fluoro- benzylamino)-acetamide;
N-[3-(4-Chloro-2-methyl-2H-pyrazol-3-yl)-4-methoxy-phenyl]-2-[4-(4-fluoro-benzyl)- piperazin-1 -yl]-acetamide; N-[3-(4-Bromo-2-methyl-2H-pyrazol-3-yl)-4-methoxy-phenyl]-2-[2-(3-methoxy- phenyl)-ethylamiπo]-acetamide;
2-(4-Chloro-2-fluoro-phenylamino)-N-[3-(2-methyl-2H-pyrazol-3-yl)-4-(2-morpholin- 4-yl-ethoxy)-phenyl]-acetamide;
2-Amino-N-[3-(4-bromo-2-inethyl-2H-pyrazol-3-yl)-4-methoxy-phenyl]-acetamide; 2-(234-Difluoro-benzylamino)-N-[4-methoxy-3-(2-methyl-2H-pyrazol-3-yl)-phenyl]- acetamide;
N-[3-(4-Chloro-2-me1hyl-2H-pyra2»l-3-yl)-4-methoxy-phenyl]-2-(tetrahydro-pyran-4- ylamino)-acetamide;
N-[3-(4-Chloro-2-methyl-2H-pyrazol-3-yl)-4-methoxy-phenyl]-2-(4-o-tolyl-piperazin- l-yl)-acetamide;
N-[3-(4-Chloro-2-methyl-2H-pyrazol-3-yl)-4-(2-moφholin-4-yl-ethoxy)-phenyl]-N'- phenyl-oxalamide;
N-[3-(4-Bromo-2-methyl-2H-pyrazol-3-yl)-4-methoxy-phenyl]-2-(4-fluoro- phenylamino)-acetamide; N-[3-(4-Bromo-2-methyl-2H-pyrazol-3-yl)-4-methoxy-phenyl]-2-(2-fluoro- beπzylamino)-acetamide;
N-[3-(4-Bromo-2-methyl-2H-pyrazol-3-yl)-4-methoxy-phenyl]-2-(4-fluoro- benzylamino)-acetamide;
N-[3-(4-Chloro-2-methyl-2H-pyrazoI-3-y])-^-methoxy-pheny]]-2-[4-(4-methoxy- phenyl)-piρerazin-l-yl]-acetamide;
N-[3-(4-Bromo-2-methyl-2H-pyrazol-3-yl)-4-methoxy-phenyl]-2-piperidin-l-yl- acetamide; 2-[(4-Fluoro-phenyl)-methyl-aτnino]-N-[3-(2-methyl-2H-pyrazol-3-yl)-4-(2-morpholin- 4-yl-ethoxy)-phenyl]-acetainide;
N-[3-(4-Bromo-2-methyl-2H-pyrazol-3-yl)-4-methoxy-phenyl]-2-methylamino- acetamide; N-[3-(4-Chloro-2-methyl-2H-pyrazol-3-yl)-4-methoxy-phenyl]-2-[4-(3-fluoro-phenyl)- piperazin- 1 -yl]-acetamide;
N-[3-(4-Chloro-2-methyl-2H-pyrazol-3-yl)-4-methoxy-phenyl]-2-[(pyridin-3-ylmethyl) ammo]-acetamide;
N-[3-(4-Chloro-2-methyl-2H-ρyrazol-3-yl)-4-methoxy-phenyl]-2-[4-(3-methoxy- phenyl)-piperazm-l -yl]-acetamide;
N-[3 -(4-Chloro-2-methyl-2H-pyrazol-3 -yl)-4-(2-morpholin-4-yl-ethoxy)-phenyl]-2-(3 - methoxy-phenylamino)-acetamide;
N-[3-(4-Bromo-2-methyl-2H-pyrazol-3-yl)-4-methoxy-phenyl]-2-(4-methoxy- benzylammo)-acetamide; N-[3-(4-Chloro-2-methyl-2H-pyrazol-3-yl)-4-methoxy-phenyl]-2-[4-(2,4-difluoro- phenyl)-piperazm-l-yl]-acetamide;
N-[3-(2-Methyl-2H-pyrazol-3-yl)-4-(2-niorpholin-4-yl-ethoxy)-phenyl]-2-phenylamino acetamide;
N-[3-(4-Chloro-2-methyl-2H-pyrazol-3-yl)-4-raethoxy-phenyl]-2-[4-(2-fluoro-phenyl)- piperazin-l-yl]-acetamide;
N-[3-(4-Bromo-2-methyl-2H-pyrazol-3-yl)-4-methoxy-phenyl]-2-(2-methoxy- benzylamino)-acetamide;
N-[3-(4-Chloro-2-methyl-2H-pyrazol-3-yl)-4-methoxy-phenyl]-2-(4-pyridin-2-yl- piperazin- 1 -yl)-acetamide; N-[3-(4-Bromo-2-methyl-2H-pyrazol-3-yl)-4-methoxy-phenyl]-2-(3,5-difluoro- benzylamino)-acetamide;
N-fS^-Chloro^-methyl^H-pyrazol-S-y^^-methoxy-phenylJ^-fCpyridin^-ylmethyl) amino]-acetamide;
N-[3-(4-Chloro-2-methyl-2H-ρyrazol-3-yl)-4-(2-morpholin-4-yl-εthoxy)-phenyl]-2-(4- fluoro-phenylamino)-acetamide;
2-(3-Methoxy-phenylamino)-N-[3-(2-methyI-2H-pyrazol-3-yl)-4-(2-moφholin-4-yl- ethoxy)-phenyl]-acetamide;
N-[3-(4-Chloro-2-methyl-2H-pyrazol-3-yl)-4-methoxy-phenyl]-2-[4-(2-methoxy- phenyl)-piperazin- 1 -y 1] -acetamide; N-[3-(4-Bromo-2-methyl-2H-pyrazol-3-yl)-4-methoxy-phenyl]-2-[2-(4-fluoro-phenyl)- ethylamino] -acetamide;
2-Indol-l-yl-N-[4-methoxy-3-(2-methyl-2H-pyrazoI-3-yl)-phenyl]-acetamide; N-P^-Chloro^-methyl^H-pyrazol-S-y^^-methoxy-phenyll-Z-^-CS^-difluoro- phenyl)-piperazin- 1 -yl] -acetamide;
N-[3-(4-Chloro-2-methyl-2H-pyrazol-3-yl)-4-methoxy-phenyl]-2-(4-phenyl-piperazin- l-yl)-acetamide; 2-(4-Chloro-phenylamino)-N-[3-(2-methyl-2H-pyτazol-3-yl)-4-(2-morpholin-4-yl- ethoxy)-phenyl]-acetamide;
N-[3-(4-Bromo-2-methyl-2H-pyrazol-3-yl)-4-methoxy-phenyl]-2-(3-methoxy- benzylamiτio)-acetainide;
N-[3-(4-Bromo-2-methyl-2H-pyrazol-3-yl)-4-methoxy-phenyl]-2-{4-[2-(4-fluoro- phenyl)-ethyl]-piperazin-l -yl}-acetamide;
2-(3-FIuoro-phenylamino)-N-[3-(2-methyl-2H-pyrazol-3-yl)-4-(2-morpholin-4-yl- ethoxy)-phenyl]-acetamide;
N-[3-(4-Chloro-2-meihyl-2H-pyrazol-3-yl)-4-methoxy-phenyl]-2-[4-(3-trifluoromethyl- phεnyl)-piperazin-l-yl]-acetamide; N-[3-(4-Chloro-2-methyl-2H-pyrazol-3-yl)-4-(2-morpholin-4-yl-ethoxy)-phenyl3-2-(4- chloro-phenylamino)-acetamide;
N-[3-(4-Bromo-2-methyl-2H-pyrazol-3-yl)-4-methoxy-phenyl]-2-[4-(3-fluoro-phenyl)- piperazin- 1 -yl]-acetatnide;
2-(2,4-Difluoro-phenylamino)-N-[4-methoxy-3-(2-methyl-2H-pyrazol-3-yl)-phenyl]- acetamide;
N-[3-(4-Chloro-2-methyl-2H-pyrazol-3-yl)-4-(2-morpholin-4-yl-ethoxy)-phenyl]-2-(2- fluoro-phenylamino)-acetamide;
1 -Phenylamino-cyclohexanecarboxylic acid [3-(4-chloro-2-methyl-2H-pyrazol-3-yl)-4- (2-morpholin-4-yl-ethoxy)-phenyl]-amide; N-[4-Methoxy-3-(4-rnethoxy-2-methyl-2H-pyrazol-3-yl)-phenyl]-N'-methyl-N'-phenyl- oxalamide;
N-(2-Chloro-phenyl)-N'-[4-methoxy-3-(4-methoxy-2-methyl-2H-pyrazol-3-yl)-phenyl]- oxalamide;
N-[4-Methoxy-3-(4-methoxy-2-metliyl-2H-pyrazol-3-yl)-phenyl]-N'-plienyl-oxalamide; N-[4-Methoxy-3-(4-methoxy-2-methyl-2H-pyrazol-3-yl)-ρhenyl]-N'-(2-methoxy- phenyl)-oxalamide;
N-[4-Methoxy-3-(4-methoxy-2-methyl-2H-pyrazol-3-yl)-phenyl]-N'-(2-trifluoromethyl- phenyl)-oxalamide;
N-[4-Methoxy-3-(4-methoxy-2-methyl-2H-pyrazol-3-yl)-phenyl]-2-(3-methoxy- phenoxy)-acetamide;
N-[3-(2-Methyl-2H-pyrazol-3-yl)-4-(2-morpholin-4-yl-ethoxy)-phenyl]-2-p-tolyloxy- acetamide; N-^-P^-Acetyl-piperazm-l-yO-ethoxyl-S-CZ-methyl^H-pyrazol-S-y^-phenylJ-a-o- tolyloxy-acetamide;
N-[3-(4-Chloro-2-methyl-2H-pyrazol-3-yl)-4-(2-morpholin-4-yl-ethoxy)-phenyl]-2- methoxy-acetamide; 2-Benzyloxy-N-[3-(2-methyl-2H-pyrazol-3-yl)-4-(2-pyrrolidin-l-yl-ethoxy)-phenyl]- acetamide;
2-(4-Fluoro-phenoxy)-N-[4-methoxy-3-(4-methoxy-2-methyl-2H-pyrazol-3-yl)- phenyl] -acetamide;
N-[4-[2-(4-Acetyl-piperazin-l-yl)-ethoxy]-3-(2-methyl-2H-pyrazol-3-yl)-phenyl]-2-(3- fluoro-phenoxy)-acetamide;
N-[3-(2-Methyl-2H-ρyrazol-3-yl)-4-(2-pyrrolidin-l-yl-ethoxy)-phenyl]-2-(4- tτifluoromethyl-phenoxy)-acetamide;
N-[3-(4-Chloro-2-methyl-2H-pyrazol-3-yl)-4-(2-morpholin-4-yl-ethoxy)-phenyl]-2- phenoxy-acetamide; 2-(4-Cyano-phenoxy)-N-[3-(2-methyl-2H-pyrazol-3-yl)-4-(2-piperidin-l-yl-ethoxy)- phenyl] -acetamide;
N-[4-Methoxy-3-(4-methoxy-2-tnethyl-2H-pyrazol-3-yl)-phenyl]-2-(4-methoxy- phenoxy)-acetamide;
N-[3-(2-Methyl-2H-pyrazol-3-yl)-4-(2-morpholin-4-yl-ethoxy)-phenyl]-2-(4- trifluoromethoxy-phenoxy)-acetamide;
N-[3-(4-Bromo-2-methyl-2H-pyrazol-3-yl)-4-methoxy-phenyl]-2-ethoxy-acetamide;
N-[4-[2-(4-Acetyl-piperazin-l-yl)-ethoxy]-3-(2-methyl-2H-pyrazol-3-yl)-phenyl]-2-(3- chloro-phenoxy)-acetamide;
N-[3 -(2-Methyl-2H-pyrazol-3 -yl)-4-(2-morρholin-4-yl-ethoxy)-ρhenyl] -2-phenoxy- acetamide;
2-Benzyloxy-N-[3-(4-chloro-2-methyl-2H-pyrazol-3-yl)^-(2-morpholin-4-yl-ethoxy)- phenyl]-acetamide ;
N-[4-[2-(4-Acetyl-piρerazin-l-yl)-ethoxy]-3-(2-methyl-2H-pyrazol-3-yl)-phenyl]-2-(3- trifluoromethyl-phenoxy)-acetamide; N-[3-(2-Methyl-2H-pyrazol-3-yl)-4-(2-pyrrolidin-l-yl-ethoxy)-phenyl]-2-p-tolyloxy- acetamide;
2-(4-Chloro-phenoxy)-N-[3-(2-methyl-2H-pyrazol-3-yl)-4-(2-pyrrolidin-l-yl-ethoxy)- phenyl]-acetamide;
2-(Benzo[ 1 ,3]dioxol-5-yloxy)-N-[3-(2-methyl-2H-pyrazol-3 -yl)-4-(2-piperidin- 1 -yl- ethoxy)-phenyl]-acetamide;
2-(2-Fluoro-phenoxy)-N-[3-(2-methyl-2H-pyrazol-3-yl)-4-(2-moτpholin-4-yl-ethoxy)- phenyl]-acetamide; 2-(2-Cyano-phenoxy)-N-[3-(2-methyl-2H-pyrazol-3-yl)-4-(2-moφholin-4-yl-ethoxy)- phenyl]-acetamide;"
N-[4-[2-(4-Acetyl-piperazin-l-yl)-ethoxy]-3-(2-methyl-2H-pyrazol-3-yl)-phenyl]-2-m- tolyloxy-acetamide; 2-(Benzo[l,3]dioxol-5-yloxy)-N-[3-(2,4-dimethyl-2H-pyrazol-3-yl)^4-methoxy- phenyl]-acetamide;
N-[3-(4-Chloro-2-methyl-2H-pyrazol-3-yl)-4-(2-morpholin-4-yl-ethoxy)-phenyl]-2-(3- fluoro-phenoxy)-acetamide;
N-[4-[2-(4-Acetyl-piperazin-l-yl)-ethoxy]-3-(2-methyl-2H-pyrazol-3-yl)-phenyl]-2-(4- trifluoroτnethoxy-phenoxy)-acetamide;
2-(3-Fluoro-phenoxy)-N-[3-(2-methyl-2H-pyrazol-3-yl)-4-(2-moφholin-4-yl-ethoxy)- phenyl]-acetamide;
N-[3-(4-Chloro-2-methyl-2H-pyrazol-3-yl)-4-(2-morpholin-4-yl-ethoxy)-phenyl]-2-(4- chloro-phenoxy)-acetamide; 2-(2,4-Difluoro-phenoxy)-N-[3-(2J4-dimethyl-2H-pyrazol-3-yl)-4-(2-morpholin-4-yl- ethoxy)-phenyl]-acetamide;
N-[3-(2-Methyl-2H-pyrazol-3-yl)-4-(2-pyrrolidm-l-yl-ethoxy)-phenyl]-2-m-tolyloxy- acetamide;
N-[3-(4-Chloro-2-methyl-2H-pyrazol-3-yl)-4-(2-morpholin-4-yl-eihoxy)-phenyl]-2- (2,4-difluoro-phenoxy)-acetamide;
N-[4-[2-(4-Acetyl-piperazin-l-yl)-ethoxy]-3-(2-methyl-2H-pyrazol-3-yl)-phenyl]-2-(4- fluoro-phenoxy)-acetaτnide;
2-(l-Benzyl-piperidin-4-yloxy)-N-[3-(4-chloro-2-methyl-2H-pyrazol-3-yl)-4-methoxy- phenyl] -acetamide; N-[3-(2-Methyl-2H-pyrazol-3-yl)-4-(2-piperidin-l-yl-ethoxy)-ρhenyl]-2-p-tolyloxy- acetamide;
2-(2-Chloro-phenoxy)-N-[3-(2-methyl-2H-pyrazol-3-yl)-4-(2-morpholm-4-yl-ethoxy)- phenyl] -acetamide;
N-[3-(4-Bromo-2-methyl-2H-pyrazol-3-yl)-4-methoxy-phenyl]-2-tert-butoxy- acetamide;
N-[3 -(2-Methyl-2H-pyrazol-3 -yl)-4-(2-piperidin- 1 -yl-ethoxy)-phenyl] -2-phenoxy- acetamide;
2-(Benzo[ 1 ,3]dioxol-5 -yloxy) -N-[3 -(2-methyl-2H-ρyrazol-3 -yl)-4-(2-ρyrrolidin- 1 -yl - ethoxy)-phenyl] -acetamide; N-[3-(2-Methyl-2H-pyrazol-3-yl)-4-(2-morpholin-4-yl-ethoxy)-phenyl]-2-o-tolyloxy- acetamide; N-[4-[2-(4-Acetyl-piperazin-l-yl)-ethoxy]-3-C2-methyl-2H-pyrazol-3-yl)-phenyl]-2- (benzo[l,3]dioxol-5-yloxy)-acetamide;
2-(2-Fluoro-phenoxy)-N-[3-(2-methyl-2H-pyrazol-3-yl)-4-(2-pyrrolidin-l-yl-ethoxy)- phenyl]-acetamide; N-[4-[2-(4-Acetyl-piρerazin-l-yl)-eihoxy]-3-(2-methyl-2H-pyrazol-3-yl)-ρhenyl]-2-(4- trifluoromethyl-phenoxy)-acetamide;
N-[3-(4-Chloro-2-methyl-2H-pyrazol-3-yl)-4-(2-morpholin-4-yl-ethoxy)-phenyl]-2-(4- mettioxy-phenoxy)-acetamide;
2-(3 -Chloro-phenoxy)-N-[3 -(2 -methyl-2H-pyrazol-3 -yl)-4-(2-morpholin-4-yl-ethoxy)- phenyl]-acetamide;
N-[4-[2-(4-Acetyl-piperazin-l-yl)-ethoxy]-3-(2-methyl-2H-pyrazol-3-yl)-phenyl]-2-(4- ctιloro-phenoxy)-acetamide;
2-(2-Fluoro-ρhenoxy)-N-[3-(2-methyl-2H-pyrazol-3-yl)-4-(2-piperidin-l-yl-ethoxy)- phenyl]-acetamide; 2-(3,4-Diflυoro-phenoxy)-N-[3-(2-methyl-2H-pyrazol-3-yl)-4-(2-piperidin-l-yl- ethoxy)-phenyl]-acetamide;
N-[4-(2-Amino-2-methyl-propoxy)-3-(4-bromo-2-methyl-2H-pyrazol-3-yl)-phenyl]-2- (4-chloro-phenoxy)-acetamide;
2-(Benzo[l,3]dioxol-5-yloxy)-N-[3-(2-methyl-2H-pyrazol-3-yl)-4-(2-morpholin-4-yl- ethoxy)-phenyl]-acetamide;
2-(3-Methoxy-phenoxy)-N-[3-(2-methyl-2H-pyrazol-3-yl)-4-(2-py.τolidin-l-yl-ethoxy)- phenyl]-acetaτnide;
2-(2-Chloro-phenoxy)-N-[3-(2-methyl-2H-pyrazol-3-yl)-4-(2-pyrrolidin-l-yl-ethoxy)- phenyl]-acetamide; N-[4-[2-(4-Acetyl-piperazin-l-yl)-ethoxy]-3-(2-methyl-2H-pyrazol-3-yl)-phenyl]-2-p- tolyloxy-acetamide;
2-(Benzo[l,3]dioxol-5-yloxy)-N-[3-(4-chloro-2-methyl-2H-pyrazol-3-yl)-4-(2- morpholin-4-yl-ethoxy)-phenyl]-acetamide;
2-(4-Methoxy-phenoxy)-N-[3-(2-τnethyl-2H-pyrazol-3-yl)-4-(2-piperidin-l-yl-ethoxy)- phenyl]-acetamide;
2-(4-Chloro-phenoxy)-N-[3-(2-methyl-2H-pyrazol-3-yl)-4-(2-morpholin-4-yl-ethoxy)- phenyl]-acetamide;
N-[3-(2,4-Dimethyl-2H-pyrazol-3-yl)-4-(2-morpholin-4-yl-ethoxy)-phenyl]-2-m- tolyloxy-acetamide; 2-(2-Chloro-phenoxy)-N-[3-(2-methyl-2H-pyrazol-3-yl)-4-(2-piperidm-l-yl-ethoxy)- phenyl]-acetamide; N-[3-(2-Methyl-2H-pyrazol-3-yl)-4-(2-morpholin-4-yl-ethoxy)-phenyl]-2-m-tolyloxy- acetamide;
N_[4-[2-(4-Acetryl-piperazin-l-yl)-ethoxy]-3-(2-methyl-2H-pyrazol-3-yl)-phenyl]-2- benzyloxy-acetamide; N-[4-[2-(4-Acetyl-piperazin-l-yl)-ethoxy]-3-(2-methyl-2H-pyrazol-3-yl)-phenyl]-2-
(2,4-difluoro-phenoxy)-acetamide;
N-[3-(2-Methyl-2H-pyrazol-3-yl)-4-(2-pyrrolidin-l-yl-ethoxy)-phenyl]-2-(2- trifluoroτnethyl-phenoxy)-acetamide;
N-[4-[2-(4-Acetyl-piperazin-l-yl)-ethoxy]-3-(2-methyl-2H-pyrazol-3-yl)-phenyl]-2-(4- methoxy-phenoxy)-acetamide;
N-[3-(4-Chloro-2-methyl-2H-pyrazol-3-yl)-4-(2-morpholin-4-yl-ethoxy)-phenyl]-2-m- tolyloxy-acetamide;
N-[3-(2-Methyl-2H-ρyrazol-3-yl)-4-(2-pyrrolidin-l-yl-ethoxy)-phenyl]-2-(4- trifluoromethoxy-phenoxy)-acetamide; N-[3-(2-Methyl-2H-pyrazol-3-yl)-4-(2-morpholin-4-yl-ethoxy)-phenyl]-2-(2- trifluoromethyl-phenoxy)-acetamide;
N-[3-(2-Methyl-2H-ρyrazol-3-yl)-4-(2-piperidin-l-yl-ethoxy)-phenyl]-2-o-tolyloxy- acetamide;
2-(2,4-Difluoro-phenoxy)-N-[3-(2-methyl-2H-pyrazol-3-yl)-4-(2-morpholin-4-yl- ethoxy)-phenyl]-acetamide;
2-(4-Fluoro-phenoxy)-N-[3-(2-methyl-2H-pyrazol-3-yl)-4-(2-pyrrolidin-l-yl-ethoxy)- phenyl]-acetamide;
N-[3-(2-Methyl-2H-ρyrazol-3-yl)-4-(2-pyrrolidin-l-yl-ethoxy)-phenyl]-2-o-tolyloxy- acetamide; N-[3-(2-Methyl-2H-pyrazol-3-yl)-4-(2-pyrrolidin-l-yl-ethoxy)-phenyl]-2-phenoxy- acetamide;
N-[4-[2-(4-Acetyl-piperazin-l-yl)-ethoxy]-3-(4-chloτo-2-methyl-2H-pyrazol-3-yl)- phenyl]-2-(4-methoxy-phenoxy)-acetamide;
N-[3-(4-Chloro-2-methyl-2H-pyrazol-3-yl)-4-(2-morpholin-4-yl-ethoxy)-phenyl]-2-(2- fluoro-phenoxy)-acetamide;
N-[3-(2-Methyl-2H-pyrazol-3-yl)-4-(2-piperidin-l-yl-ethoxy)-phenyl]-2-(4- trifluoromethoxy-phenoxy)-acetamide;
N-[3-(2-Methyl-2H-pyrazol-3-yl)-4-(2-morpholin-4-yl-ethoxy)-ρhenyl]-2-(3- trifluoromethyl-phenoxy)-acetamide; N-[3-(2-Methyl-2H-ρyrazol-3-yl)-4-(2-piperidin-l-yl-ethoxy)-phenyl]-2-(3- trifluoromethyl-phenoxy)-acetamide; 2-(4-Acetyl-phenoxy)-N-[4-[2-(4-acetyl-piperazin- 1 -yl)-ethoxy}-3 -(2-τnethyl-2H- pyrazol-3-yl)-phenyl]-acetamide;
2-(2-Metnoxy-phenoxy)-N-[3-(2-rnethyl-2H-pyrazol-3-yl)-4-(2-pyrrolidin-l-yl-ethoxy)- phenyl]-acetamide; N-[4-[2-(4-Acetyl-piperazin-l-yl)-ethoxy]-3-(4-chloro-2-methyI-2H-pyrazol-3-yl)- phenyl]-2-(benzo[l,3]dioxol-5-yloxy)-acetamide;
2-(4-Acetyl-phenoxy)-N-[3-(2-methyl-2H-pyrazol-3-yl)-4-(2-pyττolidin-l-yl-ethoxy)- phenyVj-acetamide;
N-[3-(2-Methyl-2H-ρyrazol-3-yl)-4-(2-morpholin-4-yl-ethoxy)-phenyl]-2-(4- trifluoromethyl-phenoxy)-acetamide;
2-(3-Fluoro-phenoxy)-N-[3-(2-methyl-2H-pyrazol-3-yl)-4-(2-ρiperidin-l-yl-ethoxy)- phenyl]-acetamide;
2-(4-Fluoro-phenoxy)-N-[3-(2-methyl-2H-pyrazol-3-yl)-4-(2-moτpholin-4-yl-ethoxy)- phenyl]-acetamide; 2-(3-Fluoro-phenoxy)-N-[3-(2-methyl-2H-pyrazol-3-yl)-4-(2-ρyrrolidin-l -yl-ethoxy)- phenyl]-acetamide;
N-[4-[2 -(4- Acetyl-piperaziπ- 1 -yl)-ethoxy] -3 -(4-chloro-2-methyl-2H-pyrazol-3 -yl)- phenyl]-2-(2,4-difluoro-phenoxy)-acetamide;
2-(2-Methoxy-phenoxy)-N-[3-(2-methyl-2H-pyrazol-3-yl)-4-(2-morpholin-4-yl- ethoxy)-phenyl]-acetamide;
2-(3-Chloro-phenoxy)-N-[3-(2-methyl-2H-pyrazol-3-yl)-4-(2-piperidin-l-yl-ethoxy)- phenyl]-acetamide;
2-(3-Chloro-phenoxy)-N-[3-(2-methyl-2H-pyrazol-3-yl)-4-(2-pyrrolidin-l-yl-ethoxy)- phenyl]-acetamide; N-[4-[2-(4-Acetyl-piperazin-l-yl)-ethoxy]-3-(4-chloro-2-methyl-2H-pyrazol-3-yl)- phenyl]-2-m-tolyloxy-acetamide; t
2-(4-Cyano-phenoxy)-N-[3-(2-methyl-2H-pyrazol-3-yl)-4-(2-pyrrolidin-l-yl-ethoxy)- phenyl]-acetamide;
2-(3-Methoxy-phenoxy)-N-[3-(2-methyl-2H-pyrazol-3-yl)-4-(2-morpholin-4-yl- ethoxy)-phenyl]-acetamide;
2-(4-Chloro-phenoxy)-2-methyl-N-[3-(2-methyl-2H-pyrazol-3-yl)-4-(2-pyrrolidin-l-yl- ethoxy)-phenyl]-propionamide;
N-[3-(2-Methyl-2H-pyrazol-3-yl)-4-(2-piperidin-l-yl-ethoxy)-phenyl]-2-m-tolyloxy- acetamide; N-[3-(4-Chloro-2-methyl-2H-pyrazol-3-yl)-4-(2-morpholin-4-yl-ethoxy)-phenyl]-2-(4- trifluoromethoxy-phenoxy)-acetamide; {[3-(4-Bromo-2-methyl-2H-pyrazol-3-yl)-4-methoxy-phenylGarbamoyl]-inethoxy}- acetic acid;
N-[4-[2-(4-Acetyl-piρerazin-l-yl)-ethoxy]-3-(4-chloro-2-methyl-2H-pyrazol-3-yl)- phenyl]-2-(3-methoxy-phenoxy)-acetamide; 2-(Benzo[l,3]dioxol-5-yloxy)-N-[3-(2,4-dimethyl-2H-pyrazol-3-yl)-4-(2-moφholin-4- yl-ethoxy)-phenyl]-acetamide;
N-[4-[2-(4-Acetyl-piperazin-l-yl)-ethoxy]-3-(2-methyl-2H-pyrazol-3-yl)-phenyl]-2-(2- chloro-phenoxy)-acetamide;
2-(3-Methoxy-phenoxy)-N-[3-(2-methyl-2H-pyrazol-3-yl)-4-(2-piperidin-l-yl-ethoxy)- phenylj-acetamide;
N-[3-(2-Meihyl-2H-pyrazol-3-yl)-4-(2-pyiτolidin-l-yl-ethoxy)-phenyl]-2-(3- trifluorornethyl-phenoxy)-acetamide;
N-[3-(4-ChIoro-2-methyl-2H-pyrazol-3-yl)-4-(2-morpholin-4-yl-ethoxy)-phenyI]-2-(3- methoxy-phenoxy)-acetamide; 2-(4-Chloro-phenoxy)-N-[3-(2-methyl-2H-pyrazol-3-yl)-4-(2-piperidm-l-yl-ethoxy)- phenyl]-acetamide;
2-(3-Fluoro-phenoxy)-N-[4-methoxy-3-(4-methoxy-2-methyl-2H-pyrazol-3-yl)- phenyl]-acetaτnide;
2-(2,4-Difluoro-phenoxy)-N-[3-(2-methyl-2H-pyrazol-3-yl)-4-(2-pyrrolidm-l-yl- ethoxy)-phenyl]-acetamide;
2-(4-Methoxy-pheπoxy)-N-[3-(2-methyl-2H-pyrazol-3-yl)-4-(2-morpholin-4-yl- ethoxy)-phenyl]-acetamide;
N-[4-[2-(4-Acetyl-piperazin-l-yl)-ethoxy]-3-(2-methyl-2H-pyτazol-3-yl)-phenyl3-2-(2- trifluorotnethyl-phenoxy)-acetamide; 2-(4-Fluoro-phenoxy)-N-[3 -(2-methyl-2H-pyrazol-3 -yl)-4-(2-piρeridin- 1 -yl-ethoxy)- phenyl]-acetamide;
N-[3-(4-Chloro-2-methyl-2H-pyrazol-3-yl)-4-(2-morpholin-4-yl-ethoxy)-phenyl]-2-(4- chloro-phenoxy)-2-methyl-propionamide;
N-[3-(4-Chloro-2-methyl-2H-pyrazol-3-yl)-4-(2-morpholin-4-yl-ethoxy)-phenyl]-2- hydroxy-acetamide;
N-[4-[2-(4-Acetyl-piperazin-l-yl)-ethoxy]-3-(2-methyl-2H-pyrazol-3-yl)-phenyl]-2-(3- methoxy-phenoxy)-acetami de;
2-(4-Methoxy-phenoxy)-N-[3-(2-methyl-2H-pyrazol-3-yl)-4-(2-pyrrolidin-l-yl-ethoxy) phenyl]-acetamide; 2-(2,4-Difluoro-phenoxy)-N-[3-(2-methyl-2H'pyrazol-3-yl)-4-(2-piperidin-l-yl- ethoxy)-phenyl]-acetamide; 2-(4-Cyano-phenoxy)-N-[3-(2-m,ethyl-2H-pyrazol-3-yl)-4-(2-morpholin-4-yl-ethoxy)- phenyl]-acetamide;
N-[3-(4-Chloro-2-methyl-2H-pyrazol-3-yl)-4-(2-morpholin-4-yl-ethoxy)-ρhenyl]-2- (3,4-dimethoxy-phenylsulfanyl)-acetamide; 2-(4-Fluoro-pheny]sulfany3)-N-[3-(2-methy]-2H-pyrazol-3-yl)-4-(2-pyrrolidin-l-yl- ethoxy)-phenyl]-acetamide;
{ [3 -(4-Chloro-2-methyl-2H-pyra'zol-3 -yl) -4-methoxy-phenylcarbamoyl]- methylsulfanyl} -acetic acid;
2-Benzenesulfonyl-N-[3-(4-chloro-2-methyl-2H-pyrazol-3-yl)-4-(2-morpholin-4-yl- ethoxy)-phenyl]-acetami de;
N-^-p-CA-Acetyl-piperazin-l-yO-ethoxyl-S^-methyl^H-pyrazol-S-y^-phenyl]^- phenylsulfanyl-acetamide;
N-[3-(2-Methyl-2H-pyrazol-3-yl)-4-(2-pyτrolidin-l-yl-ethoxy)-phenyl3-2- phenylsulfanyl-acetamide; 2-(4-Chloro-phenylsulfanyl)-N-[3 -(2-methyl-2H-pyrazol-3-yl)-4-(2-pyrrolidin-l -yl- ethoxy)-phenyl]-acetamide;
N-[4-[2-(4-Acetyl-piperazin-l-yl)-ethoxy]-3-(2-methyl-2H-pyrazoI-3-yl)-phenyl]-2-(4- fluoro-phenylsulfanyl)-acetamide;
N-[3-(4-Chloro-2-methyl-2H-pyrazol-3-yl)-4-(2-morpholin-4-yl-ethoxy)-phenyl]-2- phenylsulfanyl-acetamide;
N-[3-(2-Methyl-2H-pyrazol-3-yl)-4-(2-pyrrolidiπ-l-yl-ethoxy)-phenyl]-2-p- tolylsulfanyl-acetamide; and
2-(3,4-Dimethoxy-phenylsulfanyl)-N-[3-(2-methyl-2H-pyrazol-3-yl)-4-(2-pyrrolidin-l- yl-ethoxy)-phenyl]-acetamide; or a pharmaceutically acceptable salt thereof.
42. A pharmaceutical composition comprising a compound according to any one of claims 1 to 41 and a pharmaceutically acceptable carrier.
43. A method for modulating the activity of a 5-HT2A serotonin receptor by contacting the receptor with a compound according to any one of claims 1 to 41.
44. A method for treating a 5-HT2A associated disorder in an individual comprising administering to the individual in need thereof a therapeutically effective amount of a compound according to any one of claims 1 to 41 or a pharmaceutical composition according to claim 42.
45. A method for treating platelet aggregation in an individual comprising administering to said individual in need thereof a therapeutically effective amount of a compound according to any one of claims 1 to 41 or a pharmaceutical composition according to claim 42.
46. A method for treating asthma, a diabetic-related disorder, progressive multifocal leukoencephalopathy, hypertension, or pain in an individual comprising administering to said individual in need thereof a therapeutically effective amount of a compound according to any one of claims 1 to 41 or a pharmaceutical composition according to claim 42.
47. A method for treating a sleep disorder in an individual comprising administering to said individual in need thereof a therapeutically effective amount of a compound according to any one of claims 1 to 41 or a pharmaceutical composition according to claim 42.
48. Use of a compound according to any one of claims 1 to 41 for production of a medicament for use in the treatment of a 5-HT2A associated disorder.
49. Use of a compound according to any one of claims 1 to 41 for production of a medicament for use in the treatment of platelet aggregation.
50. Use of a compound according to any one of claims 1 to 41 for production of a medicament for use in the treatment of asthma, a diabetic-related disorder, progressive multifocal leukoencephalopathy, hypertension, or pain.
51. Use of a compound according to any one of claims 1 to 41 for production of a medicament for use in the treatment of a sleep disorder.
52. A compound according to any one of claims 1 to 41 for use in a method of treatment of the human or animal body by therapy.
53. A compound according to any one of claims 1 to 41 for use in a method for the treatment of a 5-HT2A associated disorder in the human or animal body by therapy.
54. A compound according to any one of claims 1 to 41 for use in a method for the treatment of platelet aggregation.
55. A compound according to any one of claims 1 to 41 for use in a method for the treatment of asthma, a diabetic-related disorder, progressive multifocal leukoencephalopathy, hypertension, or pain.
56. A compound according to any one of claims 1 to 41 for use in a method for the treatment of sleep disorder.
57. A process for preparing a composition comprising admixing a compound according to any one of claims 1 to 41 and a pharmaceutically acceptable carrier.
PCT/US2007/0122302006-05-182007-05-17Acetamide derivatives as modulators of the 5-ht2a serotonin receptor useful for the treatment of disorders related theretoWO2007136875A2 (en)

Priority Applications (2)

Application NumberPriority DateFiling DateTitle
JP2009511117AJP2009537556A (en)2006-05-182007-05-17 Acetamide derivatives as modulators of 5-HT2A serotonin receptors useful for the treatment of disorders associated with 5-HT2A serotonin receptors
EP07809149AEP2051978A2 (en)2006-05-182007-05-17Acetamide derivatives as modulators of the 5-ht2a serotonin receptor useful for the treatment of disorders related thereto

Applications Claiming Priority (2)

Application NumberPriority DateFiling DateTitle
US80180006P2006-05-182006-05-18
US60/801,8002006-05-18

Publications (2)

Publication NumberPublication Date
WO2007136875A2true WO2007136875A2 (en)2007-11-29
WO2007136875A3 WO2007136875A3 (en)2008-04-10

Family

ID=38723918

Family Applications (1)

Application NumberTitlePriority DateFiling Date
PCT/US2007/012230WO2007136875A2 (en)2006-05-182007-05-17Acetamide derivatives as modulators of the 5-ht2a serotonin receptor useful for the treatment of disorders related thereto

Country Status (3)

CountryLink
EP (1)EP2051978A2 (en)
JP (1)JP2009537556A (en)
WO (1)WO2007136875A2 (en)

Cited By (16)

* Cited by examiner, † Cited by third party
Publication numberPriority datePublication dateAssigneeTitle
US8148417B2 (en)2006-05-182012-04-03Arena Pharmaceuticals, Inc.Primary amines and derivatives thereof as modulators of the 5-HT2A serotonin receptor useful for the treatment of disorders related thereto
US8148418B2 (en)2006-05-182012-04-03Arena Pharmaceuticals, Inc.Ethers, secondary amines and derivatives thereof as modulators of the 5-HT2A serotonin receptor useful for the treatment of disorders related thereto
CN103517897A (en)*2010-07-192014-01-15奥尼克斯医药品股份有限公司Synthesis of cyclopentaquinazolines
US8785441B2 (en)2004-11-192014-07-22Arena Pharmaceuticals, Inc.3-phenyl-pyrazole derivatives as modulators of the 5-HT2A serotonin receptor useful for the treatment of disorders related thereto
US8871797B2 (en)2003-07-222014-10-28Arena Pharmaceuticals, Inc.Diaryl and arylheteroaryl urea derivatives as modulators of the 5-HT2A serotonin receptor useful for the prophylaxis and treatment of disorders related thereto
US8980891B2 (en)2009-12-182015-03-17Arena Pharmaceuticals, Inc.Crystalline forms of certain 3-phenyl-pyrazole derivatives as modulators of the 5-HT2A serotonin receptor useful for the treatment of disorders related thereto
US9126946B2 (en)2008-10-282015-09-08Arena Pharmaceuticals, Inc.Processes useful for the preparation of 1-[3-(4-bromo-2-methyl-2H-pyrazol-3-yl)-4-methoxy-phenyl]-3-(2,4-difluoro-phenyl)urea and crystalline forms related thereto
US9199940B2 (en)2006-05-182015-12-01Arena Pharmaceuticals, Inc.Crystalline forms and processes for the preparation of phenyl-pyrazoles useful as modulators of the 5-HT2A serotonin receptor
US9434692B2 (en)2006-10-032016-09-06Arena Pharmaceuticals, Inc.Pyrazole derivatives as modulators of the 5-HT2A serotonin receptor useful for the treatment of disorders related thereto
US9556149B2 (en)2008-04-022017-01-31Arena Pharmaceuticals, Inc.Processes for the preparation of pyrazole derivatives useful as modulators of the 5-HT2A serotonin receptor
US9567327B2 (en)2007-08-152017-02-14Arena Pharmaceuticals, Inc.Imidazo[1,2-a]pyridine derivatives as modulators of the 5-HT2A serotonin receptor useful for the treatment of disorders related thereto
US9801856B2 (en)2008-10-282017-10-31Arena Pharmaceuticals, Inc.Composition of a 5-HT2A serotonin receptor modulator useful for the treatment of disorders related thereto
US10022355B2 (en)2015-06-122018-07-17Axovant Sciences GmbhDiaryl and arylheteroaryl urea derivatives as modulators of the 5-HT2A serotonin receptor useful for the prophylaxis and treatment of REM sleep behavior disorder
US10034859B2 (en)2015-07-152018-07-31Axovant Sciences GmbhDiaryl and arylheteroaryl urea derivatives as modulators of the 5-HT2A serotonin receptor useful for the prophylaxis and treatment of hallucinations associated with a neurodegenerative disease
CN108602837A (en)*2015-09-042018-09-28新丰制药株式会社With the compound and its salt for inhibiting platelet aggregation effect and include its composition for preventing or treating thrombotic diseases
WO2024122617A1 (en)2022-12-082024-06-13塩野義製薬株式会社Nitrogen-containing heterocycle with serotonin receptor-binding activity and carbocyclic derivative

Family Cites Families (1)

* Cited by examiner, † Cited by third party
Publication numberPriority datePublication dateAssigneeTitle
WO2005012254A1 (en)*2003-07-222005-02-10Arena Pharmaceuticals, Inc.Diaryl and arylheteroaryl urea derivatives as modulators of the 5-ht2a serotonin receptor useful for the prophylaxis and treatment of disorders related therto

Cited By (37)

* Cited by examiner, † Cited by third party
Publication numberPriority datePublication dateAssigneeTitle
US9273035B2 (en)2003-07-222016-03-01Arena Pharmaceuticals, Inc.Diaryl and arylheteroaryl urea derivatives as modulators of the 5-HT2A serotonin receptor useful for the prophylaxis and treatment of disorders related thereto
US9775829B2 (en)2003-07-222017-10-03Arena Pharmaceuticals, Inc.Diaryl and arylheteroaryl urea derivatives as modulators of the 5-HT2A serotonin receptor useful for the prophylaxis and treatment of disorders related thereto
US8871797B2 (en)2003-07-222014-10-28Arena Pharmaceuticals, Inc.Diaryl and arylheteroaryl urea derivatives as modulators of the 5-HT2A serotonin receptor useful for the prophylaxis and treatment of disorders related thereto
US8785441B2 (en)2004-11-192014-07-22Arena Pharmaceuticals, Inc.3-phenyl-pyrazole derivatives as modulators of the 5-HT2A serotonin receptor useful for the treatment of disorders related thereto
US10781180B2 (en)2004-11-192020-09-22Arena Pharmaceuticals, Inc.3-phenyl-pyrazole derivatives as modulators of the 5-HT2A serotonin receptor useful for the treatment of disorders related thereto
US8664258B2 (en)2006-05-182014-03-04Arena Pharmaceuticals, Inc.Primary amines and derivatives thereof as modulators of the 5-HT2A serotonin receptor useful for the treatment of disorders related thereto
US8680119B2 (en)2006-05-182014-03-25Arena Pharmaceuticals, Inc.Ethers, secondary amines and derivatives thereof as modulators of the 5-HT2A serotonin receptor useful for the treatment of disorders related thereto
USRE45336E1 (en)2006-05-182015-01-13Arena Pharmaceuticals, Inc.Primary amines and derivatives thereof as modulators of the 5-HT2A serotonin receptor useful for the treatment of disorders related thereto
USRE45337E1 (en)2006-05-182015-01-13Arena Pharmaceuticals, Inc.Ethers, secondary amines and derivatives thereof as modulators of the 5-HT2A serotonin receptor useful for the treatment of disorders related thereto
US8148417B2 (en)2006-05-182012-04-03Arena Pharmaceuticals, Inc.Primary amines and derivatives thereof as modulators of the 5-HT2A serotonin receptor useful for the treatment of disorders related thereto
US9987252B2 (en)2006-05-182018-06-05Arena Pharmaceuticals, Inc.Primary amines and derivitves thereof as modulators of the 5-HT2A serotonin receptor useful for the treatment of disorders related thereto
US9199940B2 (en)2006-05-182015-12-01Arena Pharmaceuticals, Inc.Crystalline forms and processes for the preparation of phenyl-pyrazoles useful as modulators of the 5-HT2A serotonin receptor
US8148418B2 (en)2006-05-182012-04-03Arena Pharmaceuticals, Inc.Ethers, secondary amines and derivatives thereof as modulators of the 5-HT2A serotonin receptor useful for the treatment of disorders related thereto
US9783502B2 (en)2006-05-182017-10-10Arena Pharmaceuticals, Inc.Crystalline forms and processes for the preparation of phenyl-pyrazoles useful as modulators of the 5-HT2A serotonin receptor
US9434692B2 (en)2006-10-032016-09-06Arena Pharmaceuticals, Inc.Pyrazole derivatives as modulators of the 5-HT2A serotonin receptor useful for the treatment of disorders related thereto
US9732039B2 (en)2006-10-032017-08-15Arena Pharmeceuticals, Inc.Pyrazole derivatives as modulators of the 5-HT2A serotonin receptor useful for the treatment of disorders related thereto
US10351531B2 (en)2006-10-032019-07-16Arena Pharmaceuticals, Inc.Pyrazole derivatives as modulators of the 5-HT2A serotonin receptor useful for the treatment of disorders related thereto
US9567327B2 (en)2007-08-152017-02-14Arena Pharmaceuticals, Inc.Imidazo[1,2-a]pyridine derivatives as modulators of the 5-HT2A serotonin receptor useful for the treatment of disorders related thereto
US10058549B2 (en)2007-08-152018-08-28Arena Pharmaceuticals, Inc.Imidazo[1,2-α]pyridine derivatives as modulators of the 5-HT2A serotonin receptor useful for the treatment of disorders related thereto
US9556149B2 (en)2008-04-022017-01-31Arena Pharmaceuticals, Inc.Processes for the preparation of pyrazole derivatives useful as modulators of the 5-HT2A serotonin receptor
US10787437B2 (en)2008-04-022020-09-29Arena Pharmaceuticals, Inc.Processes for the preparation of pyrazole derivatives useful as modulators of the 5-HT2A serotonin receptor
US9801856B2 (en)2008-10-282017-10-31Arena Pharmaceuticals, Inc.Composition of a 5-HT2A serotonin receptor modulator useful for the treatment of disorders related thereto
US9126946B2 (en)2008-10-282015-09-08Arena Pharmaceuticals, Inc.Processes useful for the preparation of 1-[3-(4-bromo-2-methyl-2H-pyrazol-3-yl)-4-methoxy-phenyl]-3-(2,4-difluoro-phenyl)urea and crystalline forms related thereto
US9353064B2 (en)2008-10-282016-05-31Arena Pharmaceuticals, Inc.Processes useful for the preparation of 1-[3-(4-bromo-2-methyl-2H-pyrazol-3-yl)-4-methoxy-phenyl]-3-(2,4-difluoro-phenyl)-urea and crystalline forms related thereto
US10583122B2 (en)2008-10-282020-03-10Arena Pharmaceuticals, Inc.Composition of a 5-HT2A serotonin receptor modulator useful for the treatment of disorders related thereto
US9745270B2 (en)2008-10-282017-08-29Arena Pharmaceuticals, Inc.Processes useful for the preparation of 1-[3-(4-bromo-2-methyl-2H-pyrazol-3-yl)-4-methoxy-phenyl]-3-(2,4-difluoro-phenyl)-urea and crystalline forms related thereto
US10071075B2 (en)2008-10-282018-09-11Arena Pharmaceuticals, Inc.Processes useful for the preparation of 1-[3-(4-bromo-2-methyl-2H-pyrazol-3-yl)-4-methoxy-phenyl]-3-(2,4-difluoro-phenyl)-urea and crystalline forms related thereto
US10543193B2 (en)2008-10-282020-01-28Arena Pharmaceuticals, Inc.Processes useful for the preparation of 1-[3-(4-bromo-2-methyl-2H-pyrazol-3-yl)-4-methoxy-phenyl]-3-(2,4-difluoro-phenyl)-urea and crystalline forms related thereto
US10117851B2 (en)2008-10-282018-11-06Arena Pharmaceuticals, Inc.Composition of a 5-HT2A serotonin receptor modulator useful for the treatment of disorders related thereto
US8980891B2 (en)2009-12-182015-03-17Arena Pharmaceuticals, Inc.Crystalline forms of certain 3-phenyl-pyrazole derivatives as modulators of the 5-HT2A serotonin receptor useful for the treatment of disorders related thereto
CN103517897A (en)*2010-07-192014-01-15奥尼克斯医药品股份有限公司Synthesis of cyclopentaquinazolines
US10022355B2 (en)2015-06-122018-07-17Axovant Sciences GmbhDiaryl and arylheteroaryl urea derivatives as modulators of the 5-HT2A serotonin receptor useful for the prophylaxis and treatment of REM sleep behavior disorder
US10034859B2 (en)2015-07-152018-07-31Axovant Sciences GmbhDiaryl and arylheteroaryl urea derivatives as modulators of the 5-HT2A serotonin receptor useful for the prophylaxis and treatment of hallucinations associated with a neurodegenerative disease
US11304932B2 (en)2015-07-152022-04-19Axovant Sciences GmbhDiaryl and arylheteroaryl urea derivatives as modulators of the 5-HT2A serotonin receptor useful for the prophylaxis and treatment of hallucinations associated with a neurodegenerative disease
CN108602837A (en)*2015-09-042018-09-28新丰制药株式会社With the compound and its salt for inhibiting platelet aggregation effect and include its composition for preventing or treating thrombotic diseases
WO2024122617A1 (en)2022-12-082024-06-13塩野義製薬株式会社Nitrogen-containing heterocycle with serotonin receptor-binding activity and carbocyclic derivative
EP4631938A1 (en)2022-12-082025-10-15Shionogi & Co., LtdNitrogen-containing heterocycle with serotonin receptor-binding activity and carbocyclic derivative

Also Published As

Publication numberPublication date
EP2051978A2 (en)2009-04-29
JP2009537556A (en)2009-10-29
WO2007136875A3 (en)2008-04-10

Similar Documents

PublicationPublication DateTitle
US10781180B2 (en)3-phenyl-pyrazole derivatives as modulators of the 5-HT2A serotonin receptor useful for the treatment of disorders related thereto
AU2007254244B2 (en)3-pyrazolyl-benzamide-4-ethers, secondary amines and derivatives thereof as modulators of the 5-HT2A serotonin receptor useful for the treatment of disorders related thereto
WO2007136875A2 (en)Acetamide derivatives as modulators of the 5-ht2a serotonin receptor useful for the treatment of disorders related thereto
WO2007120600A2 (en)3-pyridinyl-pyrazole derivatives as modulators of the 5-ht2a serotonin receptor useful for the treatment of disorders related thereto
EP2066641A1 (en)Pyrazole derivatives as modulators of the 5-ht2a serotonin receptor useful for the treatment of disorders related thereto
US20080015223A1 (en)Pyrazole Derivatives as Modulators of the 5-Ht2a Serotonin Receptor Useful for the Treatment of Disorders Related Thereto
HK1263026A1 (en)Ethers, secondary amines and derivatives thereof as modulators of the 5-ht2a serotonin receptor useful for the treatment of disorders related thereto
HK1102818B (en)3-phenyl-pyrazole derivatives as modulators of the 5-ht-2a serotonin receptor useful for the treatment of disorders related thereto
HK1118552A (en)3-phenyl-pyrazole derivatives as modulators of the 5-ht2a serotonin receptor useful for the treatment of disorders related thereto

Legal Events

DateCodeTitleDescription
WWEWipo information: entry into national phase

Ref document number:2007809149

Country of ref document:EP

WWEWipo information: entry into national phase

Ref document number:2009511117

Country of ref document:JP

NENPNon-entry into the national phase

Ref country code:DE


[8]ページ先頭

©2009-2025 Movatter.jp