Movatterモバイル変換


[0]ホーム

URL:


WO2007123855A2 - Pyrazolines for controlling invertebrate pests - Google Patents

Pyrazolines for controlling invertebrate pests
Download PDF

Info

Publication number
WO2007123855A2
WO2007123855A2PCT/US2007/009184US2007009184WWO2007123855A2WO 2007123855 A2WO2007123855 A2WO 2007123855A2US 2007009184 WUS2007009184 WUS 2007009184WWO 2007123855 A2WO2007123855 A2WO 2007123855A2
Authority
WO
WIPO (PCT)
Prior art keywords
alkyl
pyridinyl
compound
halogen
optionally substituted
Prior art date
Application number
PCT/US2007/009184
Other languages
French (fr)
Other versions
WO2007123855A3 (en
WO2007123855B1 (en
Inventor
Stephen Frederick Mccann
Brenton Todd Smith
Original Assignee
E. I. Du Pont De Nemours And Company
Priority date (The priority date is an assumption and is not a legal conclusion. Google has not performed a legal analysis and makes no representation as to the accuracy of the date listed.)
Filing date
Publication date
Application filed by E. I. Du Pont De Nemours And CompanyfiledCriticalE. I. Du Pont De Nemours And Company
Priority to AU2007240954ApriorityCriticalpatent/AU2007240954A1/en
Priority to BRPI0710403-0Aprioritypatent/BRPI0710403A2/en
Priority to MX2008013307Aprioritypatent/MX2008013307A/en
Publication of WO2007123855A2publicationCriticalpatent/WO2007123855A2/en
Publication of WO2007123855A3publicationCriticalpatent/WO2007123855A3/en
Publication of WO2007123855B1publicationCriticalpatent/WO2007123855B1/en

Links

Classifications

Definitions

Landscapes

Abstract

Disclosed are compounds of Formula 1, including all geometric and stereoisomers N-oxides, and salts thereof; wherein Z is N or CR2; R1 is cyano; or C1-C6 alkyl, C2-C6 alkenyl, C2-C6 alkynyl, C3-C6 cycloalkyl, C4-C7 alkylcycloalkyl or C4-C7 cycloalkylalkyl, each optionally substituted with one or more substituents independently selected from R17; R3 is H, cyano or -CHO; or C1-C6 alkyl, C2-C6 alkenyl, C2-C6 alkynyl, C3-C6 cycloalkyl, C4-C7 alkylcycloalkyl, C4-C7 cycloalkylalkyl, phenyl, C2-C6 alkylcarbonyl, C2-C6 alkoxycarbonyl, C2-C6 alkylaminocarbonyl or C3-C9 dialkylaminocarbonyl, each optionally substituted with one or more substituents independently selected from R18; Q is a 5- or 6-membered saturated or unsaturated heterocycle optionally substituted; or Q is C(O)NR12R13, C(S)NR12R13, S(O)2NR14R15 or R16. Also disclosed are compositions containing the compounds of Formula 1 and methods for controlling an invertebrate pest comprising contacting the invertebrate pest or its environment with a biologically effective amount of a compound or a composition of the invention.

Description

TITLE PYRAZOLINES FOR CONTROLLING INVERTEBRATE PESTS
FIELD OF THE INVENTION
This invention relates to certain pyrazolines, their iV-oxides, salts and compositions suitable for agronomic and nonagronomic uses, including those uses listed below, and methods of their use for controlling invertebrate pests such as arthropods in both agronomic and nonagronomic environments.
BACKGROUND OF THE INVENTION
The control of invertebrate pests is extremely important in achieving high crop efficiency. Damage by invertebrate pests to growing and stored agronomic crops can cause significant reduction in productivity and thereby result in increased costs to the consumer. The control of invertebrate pests in forestry, greenhouse crops, ornamentals, nursery crops, stored food and fiber products, livestock, household, turf, wood products, and public and animal health is also important. Many products are commercially available for these purposes, but the need continues for new compounds that are more effective, less costly, less toxic, environmentally safer or have different modes of action.
PCT Patent Publication WO 05/085216 discloses isoxazoline derivatives of Formula i as insecticides
Figure imgf000002_0001
wherein, inter alia, each of A1, A2 and A3 are independently C or N; G is a benzene ring; W is O or S; and X is halogen or C1-Cg haloalkyl.
SUMMARY OF THE INVENTION
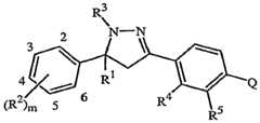
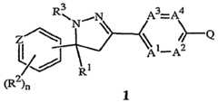
This invention is directed to compounds of Formula 1 including all geometric and stereoisomers, iV-oxides, and salts thereof, and compositions containing them and their use for controlling invertebrate pests:
Figure imgf000002_0002
wherein Z is N or CR2; AUs CR4 Or N; A2 is CR5 or N; A3 is CR6 or N; A4 is CR7 or N;
Q is a 5- or 6-membered saturated or unsaturated heterocycle optionally substituted with one or more substituents independently selected from halogen, Cj-Cg alkyl, C1-C6 haloalkyl, C3-C6 cycloalkyl, C3-C6 halocycloalkyl, C1-C6 alkoxy, C1-C6 haloalkoxy, C1-C6 alkylthio, C1-C6 haloalkylthio, C1-C6 alkylsulfϊnyl, C1-C6 haloalkylsulfinyl, C1-C6 alkylsulfonyl, C1-C6 haloalkylsulfonyl, C1-C6 alkylamino, C2-C8 dialkylamino, cyano, nitro, C(O)NR8R9, C(O)OR10, phenyl and pyridinyl, each phenyl and pyridinyl optionally substituted with one or more substituents independently selected from R11; or Q is C(O)NR12R1S, C(S)NR12R13, S(O)2NR14R15 or R1^; R1 is cyano; or C1-C6 alkyl, C2-C6 alkenyl, C2-C6 alkynyl, C3-C6 cycloalkyl, C4-C7 alkylcycloalkyl or C4-C7 cycloalkylalkyl, each optionally substituted with one or more substituents independently selected from R17; each R2 is independently H, halogen, C1-C6 alkyl, C1-C6 haloalkyl, C1-C6 alkoxy, C1-C6 haloalkoxy, C1-C6 alkylthio, C1-C6 haloalkylthio, C1-C6 alkylsulfinyl, C1-C6 haloalkylsulfinyl, C1-C6 alkylsulfonyl, C1-C6 haloalkylsulfonyl, C1-C6 alkylamino, C2-Cg dialkylamino, C2-C4 alkoxycarbonyl, C2-C4 alkylaminocarbonyl, C3-Cg dialkylaminocarbonyl, cyano or nitro; R3 is H, cyano or -CHO; or C1-C6 alkyl, C2-C6 alkenyl, C2-C6 alkynyl, C3-C6 cycloalkyl, C4-C7 alkylcycloalkyl, C4-C7 cycloalkylalkyl, phenyl, C2-C6 alkylcarbonyl, C2-C6 alkoxycarbonyl, C2-C6 alkylaminocarbonyl or C3-Cp dialkylaminocarbonyl, each optionally substituted with one or more substituents independently selected from R18; R4, R5, R^ and R7 are independently selected from H, halogen, C1-C6 alkyl, C1-C6 haloalkyl, C3-C6 cycloalkyl, C3-C6 halocycloalkyl, C1-C6 alkoxy, C1-C6 haloalkoxy, C1-C6 alkylthio, C1-C6 haloalkylthio, C1-C6 alkylsulfinyl, C1-C6 haloalkylsulfinyl, C1-C6 alkylsulfonyl, C1-C6 haloalkylsulfonyl, C1-C6 alkylamino, C2-Cg dialkylamino, cyano and nitro; or R6 and R7 are taken together to form a fused aromatic ring, the fused aromatic ring containing as ring members in addition to the A3 and A4 bridgehead atoms, 3 atoms selected from 1 to 2 carbon atoms, O to 2 nitrogen atoms, O to 1 oxygen atom and 0 to 1 sulfur atomj or 4 atoms selected from 2 to 4 carbon atoms and 0 to 2 nitrogen atoms; each R8, R12 and R14 is independently H7 C1-C6 alkyl, C1-C6 haloalkyl, C2-C6 alkenyl, C2-C6 alkynyl, C3-C6 cycloalkyl, C4-C7 alkylcycloalkyl, C4-C7 cycloalkylalkyl, C2-C7 alkylcarbonyl, C2-C6 alkoxyalkyl or C2-C7 alkoxycarbonyl; each R9, R10, R13 and R15 is independently H; or C1-C6 alkyl, C2-C6 alkenyl, C2-C6 alkynyl, C3-C6 cycloalkyl, C4-C7 alkylcycloalkyl or C4-C7 cycloalkylalkyl, each optionally substituted with one or more substituents independently selected from R19; each R11, R23 and R24 is independently halogen, C1-C6 alkyl, C1-C6 haloalkyl, C1-C6 alkoxy, C1-C6 haloalkoxy, C1-C6 alkylthio, C1-C6 haloalkylthio, C1-C6 alkylsulfinyl, C1-C6 haloalkylsulfϊnyl, C1-C6 alkylsulfonyl, C1-C6 haloalkylsulfonyl, C1-C6 alkylaminosulfonyl, C1-C6 alkylamino, C2-Cg dialkylamino, C2-C4 alkoxycarbonyl, cyano or nitro; R16 is halogen, C1-C6 alkyl, C1-C6 haloalkyl, C3-C6 cycloalkyl, C3-C6 halocycloalkyl, C1-C6 alkoxy, C1-C6 haloalkoxy, C1-C6 alkylthio, C1-C6 haloalkylthio, C1-C6 alkylsulfinyl, C1-C6 haloalkylsulfinyl, C1-C6 alkylsulfonyl,
C1-C6 haloalkylsulfonyl, C1-C6 alkylamino, C2-C8 dialkylamino, cyano or nitro; each R17 and R18 is independently halogen, C1-C6 alkyl, C1-C6 alkoxy, C1-C6 alkylthio,
C1-C6 alkylsulfinyl, C1-C6 alkylsulfonyl, cyano or nitro; each R19 is independently halogen, Cj-C6 alkyl, C1-C6 alkoxy, C1-C6 alkylthio, C1-C6 alkylsulfinyl, C1-C6 alkylsulfonyl, C2-C6 alkylcarbonyl, C2-C6 alkoxycarbonyl,
C3-C6 tri alkyl si IyI, cyano, nitro or Q1; each Q1 is independently phenyl or a 5- or 6-membered saturated or unsaturated heterocycle, each optionally substituted with one or more substituents independently selected from halogen, C1-C6 alkyl, C1-C6 haloalkyl, C3-C6 cycloalkyl, C3-C6 halocycloalkyl, C1-C6 alkoxy, C1-C6 haloalkoxy, C1-C6 alkylthio, C1-C6 haloalkylthio, C1-C6 alkylsulfinyl, C1-C6 haloalkylsulfinyl, C1-C6 alkylsulfonyl, C1-C6 haloalkylsulfonyl, C1-C6 alkylamino, C2-Cg dialkylamino, cyano, nitro, C(O)NR20R21, C(O)OR22, phenyl and pyridinyl, each phenyl and pyridinyl optionally substituted with one or more substituents independently selected from R23; each R20 is independently H, C1-C6 alkyl, C1-C6 haloalkyl, C2-C6 alkenyl, C2-C6 alkynyl, C3-C6 cycloalkyl, C4-C7 alkylcycloalkyl, C4-C7 cycloalkylalkyl, C2-C6 alkoxyalkyl, C2-C7 alkylcarbonyl or C2-C7 alkoxycarbonyl; each R21 and R22 is independently H; or C1-C6 alkyl, C1-C6 haloalkyl, C2-C6 alkenyl, C2-C6 alkynyl, C3-C6 cycloalkyl, C4-C7 alkylcycloalkyl, C4-C7 cycloalkylalkyl, phenyl or pyridinyl, each phenyl and pyridinyl optionally substituted with one or more substituents independently selected from R24; and n is 1, 2, 3 or 4. This invention also provides a composition comprising a compound of Formula 1, an //-oxide or a salt thereof, and at least one additional component selected from the group consisting of a surfactant, a solid diluent and a liquid diluent. In one embodiment, this invention also provides a composition for controlling an invertebrate pest comprising a biologically effective amount of a compound of Formula 1, an iV-oxide or a salt thereof, and at least one additional component selected from the group consisting of a surfactant, a solid diluent and a liquid diluent, said composition optionally further comprising a biologically effective amount of at least one additional biologically active compound or agent.
This invention further provides a spray composition for controlling an invertebrate pest comprising a biologically effective amount of a compound of Formula 1, an iV-oxide or a salt thereof, or the composition described above, and a propellant. This invention also provides a bait composition for controlling an invertebrate pest comprising a biologically effective amount of a compound of Formula 1, an iV-oxide or a salt thereof, or the compositions described in the embodiments above, one or more food materials, optionally an attractant, and optionally a humectant.
This invention further provides a trap device for controlling an invertebrate pest comprising said bait composition and a housing adapted to receive said bait composition, wherein the housing has at least one opening sized to permit the invertebrate pest to pass through the opening so the invertebrate pest can gain access to said bait composition from a location outside the housing, and wherein the housing is further adapted to be placed in or near a locus of potential or known activity for the invertebrate pest.
This invention provides a method for controlling an invertebrate pest comprising contacting the invertebrate pest or its environment with a biologically effective amount of a compound of Formula 1, an iV-oxide or a salt thereof, (e.g., as a composition described herein). This invention also relates to such method wherein the invertebrate pest or its environment is contacted with a composition comprising a biologically effective amount of a compound of Formula 1, an iV-oxide or a salt thereof, and at least one additional component selected from the group consisting of a surfactant, a solid diluent and a liquid diluent, said composition optionally further comprising a biologically effective amount of at least one additional biologically active compound or agent.
This invention also provides a method for protecting a seed from an invertebrate pest comprising contacting the seed with a biologically effective amount of a compound of Formula 1, an iV-oxide or a salt thereof, (e.g., as a composition described herein). This invention also relates to the treated seed. This invention further provides a method for protecting an animal from an invertebrate parasitic pest comprising administering to the animal a parasiticidally effective amount of a compound of Formula 1, an iV-oxide or a salt thereof, (e.g., as a composition described herein). DETAILS OF THE INVENTION
As used herein, the terms "comprises," "comprising," "includes," "including," "has,"
"having," "contains" or "containing," or any other variation thereof, are intended to cover a non-exclusive inclusion. For example, a composition, a mixture, process, method, article, or apparatus that comprises a list of elements is not necessarily limited to only those elements but may include other elements not expressly listed or inherent to such composition, mixture, process, method, article, or apparatus. Further, unless expressly stated to the contrary, "or" refers to an inclusive or and not to an exclusive or. For example, a condition A or B is satisfied by any one of the following: A is true (or present) and B is false (or not present), A is false (or not present) and B is true (or present), and both A and B are true (or present).
Also, the indefinite articles "a" and "an" preceding an element or component of the invention are intended to be nonrestrictive regarding the number of instances (i.e. occurrences) of the element or component. Therefore "a" or "an" should be read to include one or at least one, and the singular word form of the element or component also includes the plural unless the number is obviously meant to be singular.
As referred to in this disclosure, the term "invertebrate pest" includes arthropods, gastropods and nematodes of economic importance as pests. The term "arthropod" includes insects, mites, spiders, scorpions, centipedes, millipedes, pill bugs and symphylans. The term "gastropod" includes snails, slugs and other Stylommatophora. The term "helminths" includes worms in the phylum of Nemathelminth, Platyhelminth and Acanthocephala such as: round worms, heartworms, and phytophagous nematodes (Nematoda), flukes (Trematoda), tape worms (Cestoda) and throny-headed worms.
In the context of this disclosure "invertebrate pest control" means inhibition of invertebrate pest development (including mortality, feeding reduction, and/or mating disruption), and related expressions are defined analogously.
The term "agronomic" refers to the production of field crops such as for food and fiber and includes the growth of corn, soybeans and other legumes, rice, cereal (e.g., wheat, oats, barley, rye, rice, maize), leafy vegetables (e.g., lettuce, cabbage, and other cole crops), fruiting vegetables (e.g., tomatoes, pepper, eggplant, crucifers and cucurbits), potatoes, sweet potatoes, grapes, cotton, tree fruits (e.g., pome, stone and citrus), small fruit (berries, cherries) and other specialty crops (e.g., canola, sunflower, olives). The term "nonagronomic" refers to other horticultural crops (e.g., greenhouse, nursery or ornamental plants not grown in a field), residential and commercial structures in urban and industrial settings, turf (e.g., sod farm, pasture, golf course, residential lawn, recreational sports field, etc.), wood products, stored product, agro-forestry and vegetation management, public health (human) and animal health (e.g., domesticated animals such as pets, livestock and poultry, undomesticated animals such as wildlife) applications. In the above recitations, the term "alkyl", used either alone or in compound words such as "alkylthio" or "haloalkyl" includes straight-chain or branched alkyl, such as, methyl, ethyl, re-propyl, i-propyl, or the different butyl, pentyl or hexyl isomers. "Alkenyl" includes straight-chain or branched alkenes such as ethenyl, 1-propenyl, 2-propenyl, and the different butenyl, pentenyl and hexenyl isomers. "Alkenyl" also includes polyenes such as 1,2-propadienyl and 2,4-hexadienyl. "Alkynyl" includes straight-chain or branched alkynes such as ethynyl, 1-propynyl, 2-propynyl and the different butynyl, pentynyl and hexynyl isomers. "Alkynyl" can also include moieties comprising multiple triple bonds such as 2,5-hexadiynyl. "Alkoxy" includes, for example, methoxy, ethoxy, n-propyloxy, isopropyloxy and the different butoxy, pentoxy and hexyloxy isomers. The term "alkoxyalkyl" denotes alkoxy substitution on an alkyl moiety. Examples of "alkoxyalkyl" include methoxymethyl, 1-ethoxyethyl, ethoxymethyl and f-butoxymethyl. "Alkylthio" includes branched or straight-chain alkylthio moieties such as methylthio, ethylthio, and the different propylthio, butylthio, pentylthio and hexylthio isomers. "Alkyl sulfinyl" includes both enantiomers of an alkylsulfinyl group. Examples of "alkylsulfinyl" include CH3S(O)-, CH3CH2S(O)-, CH3CH2CH2S(O)-, (CH3)2CHS(O)- and the different butylsulfinyl, pentylsulfinyl and hexylsulfinyl isomers. Examples of "alkylsulfonyl" include CH3S(O)2-, CH3CH2S(O)2-, CH3CH2CH2S(O)2-, (CH3)2CHS(O)2-, and the different butylsulfonyl, pentylsulfonyl and hexylsulfonyl isomers. "Alkylamino", "dialkylamino", and the like, are defined analogously to the above examples. Examples of "alkylaminosulfonyl" include CH3NHS(O)2-, CH3CH2NHS(O)2-, CH3CH2CH2NHS(O)2-, (CH3 )2CHNHS (O)2- and the different butylamino- or pentyl aminosulfonyl isomers. "Cycloalkyl" includes, for example, cyclopropyl, cyclobutyl, cyclopentyl and cyclohexyl. The term "alkylcyclo alkyl" denotes alkyl substitution on a cycloalkyl moiety and includes, for example, ethylcyclopropyl, i-propylcyclobutyl, 3-methylcyclopentyl and 4-methylcyclohexyl. The term
"cycloalkylalkyl" denotes cycloalkyl substitution on an alkyl moiety. Examples of "cycloalkylalkyl" include cyclopropylmethyl, cyclopentylethyl, and other cycloalkyl moieties bonded to straight-chain or branched alkyl groups.The term "halogen", either alone or in compound words such as "haloalkyl", or when used in descriptions such as "alkyl substituted with halogen" includes fluorine, chlorine, bromine or iodine. Further, when used in compound words such as "haloalkyl", or when used in descriptions such as "alkyl substituted with halogen" said alkyl may be partially or fully substituted with halogen atoms which may be the same or different. Examples of "haloalkyl" or "alkyl substituted with halogen" include F3C-, ClCH2-, CF3CH2- and CF3CCl2-. The terms "halocycloalkyl", "haloalkoxy", "haloalkylthio", and the like, are defined analogously to the term "haloalkyl". Examples of "haloalkoxy" include CF3O-, CCl3CH2O-, HCF2CH2CH2O- and CF3CH2O-. Examples of "haloalkylthio" include CCl3S-, CF3S-, CCl3CH2S- and ClCH2CH2CH2S-. Examples of "haloalkylsulfinyl" include CF3S(O)-, CCl3S(O)-, CF3CH2S(O)- and CF3CF2S(O)-. Examples of "haloalkylsulfonyl" include CF3S(O)2-, CCl3S(O)2-, CF3CH2S(O)2- and CF3CF2S(O)2-.
"Alkylcarbonyl" denotes a straight-chain or branched alkyl moieties bonded to a C(O) moiety. Examples of "alkylcarbonyl" include CH3C(O)-, CH3CH2CH2C(O)- and (CH3)2CHC(O)-. Examples of "alkoxycarbonyl" include CH3OC(O)-, CH3CH2OC(O)-, CH3CH2CH2OC(O)-, (CH3)2CHOC(O)- and the different butoxy- or pentoxycarbonyl isomers. Examples of "alkylaminocarbonyl" include CH3NHC(O)-, CH3CH2NHC(O)-, CH3CH2CH2NHC(O)-, (CH3)2CHNHC(O)- and the different butylamino- or pentylaminocarbonyl isomers. Examples of "dialkylaminocarbonyl" include (CH3)2NC(O)-, (CH3CH2)2NC(O)-, CH3CH2(CH3)NC(O)-, (CH3)2CHN(CH3)C(O)- and
CH3CH2CH2(CH3)NC(O)-.
"Trialkylsilyl" includes 3 branched and/or straight-chain alkyl radicals attached to and linked through a silicon atom such as trimethylsilyl, triethylsilyl and r-butyl-dimethylsilyl. The total number of carbon atoms in a substituent group is indicated by the "Cj-Cj" prefix where i and j are integers from 1 to 9. For example, Cj-C4 alkylsulfonyl designates methylsulfonyl through butylsulfonyl; C2 alkoxyalkyl designates CH3OCH2; C3 alkoxyalkyl designates, for example, CH3CH(OCH3), CH3OCH2CH2 or CH3CH2OCH2; and C4 alkoxyalkyl designates the various isomers of an alkyl group substituted with an alkoxy group containing a total of four carbon atoms, examples including CH3CH2CH2OCH2 and CH3CH2OCH2CH2.
When a compound is substituted with a substituent bearing a subscript that indicates the number of said substituents can exceed 1, said substituents (when they exceed 1) are independently selected from the group of defined substituents, e.g., (R2)n, n is 1, 2, 3 or 4. When a group contains a substituent which can be hydrogen, for example R2, then when this substituent is taken as hydrogen, it is recognized that this is equivalent to said group being unsubstituted.
The term "heterocycle", "heterocyclic ring" or "heterocyclic ring system" denotes rings or ring systems in which at least one ring atom is not carbon, e.g., nitrogen, oxygen or sulfur. Typically a heterocyclic ring contains no more than 4 nitrogens, no more than 2 oxygens and no more than 2 sulfurs. The heterocyclic ring can be attached through any available carbon or nitrogen by replacement of hydrogen on said carbon or nitrogen. The heterocyclic ring can be a saturated, partially unsaturated, or fully unsaturated ring. When a fully unsaturated heterocyclic ring satifies the Hϋckel rule, then said ring is also called a "heteroaromatic ring" or "aromatic heterocyclic ring".
The term "aromatic ring" or "aromatic ring system" denotes fully unsaturated carbocycles and heterocycles in which at least one ring of the polycyclic ring system is aromatic (where aromatic indicates that the Hϋckel rule is satisfied for the ring system). The term "fused bicyclic ring system" denotes a ring system containing two fused rings in which either ring can be saturated, partially unsaturated, or fully unsaturated. The term "fused heterobicyclic ring system" denotes a ring system containing two fused rings in which at least one ring atom is not carbon and which can be aromatic or nonaromatic, as defined above.
The term "optionally substituted" in connection with the heterocyclic rings refers to groups which are unsubstituted or have at least one non-hydrogen substituent that does not extinguish the biological activity possessed by the unsubstituted analog. As used herein, the following definitions shall apply unless otherwise indicated. The term "optionally substituted" is used interchangeably with the phrase "substituted or unsubstituted" or with the term "(un)substituted." Unless otherwise indicated, an optionally substituted group may have a substituent at each substitutable position of the group, and each substitution is independent of the other.
As noted above, Q1 can be (among others) phenyl optionally substituted with one or more substituents selected from the group of substituents as defined in the Summary of Invention. An example of phenyl optionally substituted with from one or more substituents is the ring illustrated as U-I in Exhibit 1, wherein Rv is any substituent as defined in the Summary of the Invention for Q1 and r is an integer from 0 to 5.
As noted above, Q or Q1 can be (among others) 5- or 6-membered saturated or unsaturated heterocycles, optionally substituted with one or more substituents selected from the group of substituents as defined in the Summary of Invention. Examples of 5- or 6-membered unsaturated aromatic heterocycles optionally substituted with from one or more substituents include the rings U-2 through U-61 illustrated in Exhibit 1 wherein Rv is any substituent as defined in the Summary of the Invention for Q or Q1, and r is an integer from 0 to 4. Note that some U groups can only be substituted with less than 4 Rv groups (e.g., U- 2 through U-5, U-7 through U-48, and U-52 through U-61).
When Q is a 5-membered nitrogen-containing heterocycle, it may be attached to the remainder of Formula 1 though any available carbon or nitrogen ring atom, unless otherwise described. Similarly, when Q1 is a 5-membered nitrogen-containing heterocycle, it may be attached through any available carbon or nitrogen ring atom, unless otherwise described.
Exhibit 1
Figure imgf000009_0001
-2 -3 -4 U-5
Figure imgf000010_0001
U-6 U-7 U-8 -9 U-IO
Figure imgf000010_0002
U-22 U-23 U-24 U-25
Figure imgf000010_0003
U-26 U-27 U-28 U-29 U-30
Figure imgf000010_0004
U-31 U-32 U-33 U-34 U-35
Figure imgf000010_0005
U-36 U-37 U-38 U-39 U-40
Figure imgf000010_0006
U-41 U-42 U-43 U-44 U-45
Figure imgf000011_0001
U-61
Note that when Q or Q1 is a 5- or 6-membered saturated or unsaturated non-aromatic heterocycle optionally substituted with one or more substituents selected from the group of substituents as defined in the Summary of Invention for Q or Q1, one or two carbon ring members of the heterocycle can optionally be in. the oxidized form of a carbonyl moiety.
Examples of 5- or 6-membered saturated or non-aromatic unsaturated heterocycles include the rings G-I through G-35 as illustrated in Exhibit 2. Note that when the attachment point on the Q or Q1 group is illustrated as floating, the Q or Q1 group can be attached to the remainder of Formula 1 through any available carbon or nitrogen of the Q or Q1 group by replacement of a hydrogen atom. The optional substituents can be attached to any available carbon or nitrogen by replacing a hydrogen atom.
Note that when Q or Q1 comprises a ring selected from G-28 through G-35, G2 is selected from O, S or N. Note that when G2 is N, the nitrogen atom can complete its valence by substitution with either H or the substituents as defined in the Summary of Invention for Q or Ql. Exhibit 2
Figure imgf000012_0001
G-I G-2 G-3 G-4 G-5
Figure imgf000012_0002
G-6 G-7 G-8 G-9 G-IO
Figure imgf000012_0003
l G-12 G-13
Figure imgf000012_0004
G-16 G-17 G-18 G-19 G-20
Figure imgf000012_0005
G-21 G-22 G-23 G-24 G-25
Figure imgf000012_0006
G-26 G-27 G-28 G-29 G-30
Figure imgf000012_0007
G-31 G-32 G-33 G-34 G-35
Note that when the attachment point on the G group is illustrated as floating, the G group can be attached to the remainder of Formula 1 through any available carbon or nitrogen of the G group by replacement of a hydrogen atom. Note that when the attachment point between (Rv)r and the G (or U) group is illustrated as floating, (Rv)r can be attached to any available carbon atom or nitrogen atom of the G (or U) group. Although Rv groups are shown in the structures U-I through U-61 and G-I through G-35, it is noted that they do not need to be present since they are optional substituents. Note that when Rv is H when attached to an atom, this is the same as if said atom is unsubstituted. In addition, the nitrogen atoms that require substitution to fill their valence are substituted with H or R .
Compounds of this invention can exist as one or more stereoisomers. The various stereoisomers include enantiomers, diastereomers, atropisomers and geometric isomers. One skilled in the art will appreciate that one stereoisomer may be more active and/or may exhibit beneficial effects when enriched relative to the other stereoisomer(s) or when separated from the other stereoisomer(s). Additionally, the skilled artisan knows how to separate, enrich, and/or to selectively prepare said stereoisomers. Accordingly, the present invention comprises compounds selected from Formula 1 compounds, iV-oxides and salts thereof. The compounds of the invention may be present as a mixture of stereoisomers, individual stereoisomers or as an optically active form.
One skilled in the art will appreciate that not all nitrogen-containing heterocycles can form iV-oxides since the nitrogen requires an available lone pair for oxidation to the oxide; one skilled in the art will recognize those nitrogen-containing heterocycles which can form iV-oxides. One skilled in the art will also recognize that tertiary amines can form iV-oxides. Synthetic methods for the preparation of N-oxides of heterocycles and tertiary amines are very well known by one skilled in the art including the oxidation of heterocycles and tertiary amines with peroxy acids such as peracetic and m-chloroperbenzoic acid (MCPBA), hydrogen peroxide, alkyl hydroperoxides such as t-butyl hydroperoxide, sodium perborate, and dioxiranes such as dimethyldioxirane. These methods for the preparation of iV-oxides have been extensively described and reviewed in the literature, see for example: T. L. Gilchrist in Comprehensive Organic Synthesis, vol. 7, pp 748-750, S. V. Ley, Ed., Pergamon Press; M. Tisler and B. Stanovnik in Comprehensive Heterocyclic Chemistry, vol. 3, pp 18-20, A. J. Boulton and A. McKillop, Eds., Pergamon Press; M. R. Grimmett and B. R. T. Keene in Advances in Heterocyclic Chemistry, vol. 43, pp 149-161, A. R. Katritzky, Ed., Academic Press; M. Tisler and B. Stanovnik in Advances in Heterocyclic Chemistry, vol. 9, pp 285-291, A. R. Katritzky and A. J. Boulton, Eds., Academic Press; and G. W. H. Cheeseman and E. S. G. Werstiuk in Advances in Heterocyclic Chemistry, vol. 22, pp 390-392, A. R. Katritzky and A. J. Boulton, Eds., Academic Press.
The salts of the compounds of the invention include acid-addition salts with inorganic or organic acids such as hydrobromic, hydrochloric, nitric, phosphoric, sulfuric, acetic, butyric, fumaric, lactic, maleic, malonic, oxalic, propionic, salicylic, tartaric, 4-toluenesulfonic or valeric acids. The salts of the compounds of the invention also include those formed with organic bases (e.g., pyridine or triethylamine) or inorganic bases (e.g., hydrides, hydroxides, or carbonates of sodium, potassium, lithium, calcium, magnesium or barium) when the compound contains an acidic moiety such as when Q is substituted with C(O)OR1O and RlO is H.
Accordingly, the present invention comprises compounds selected from Formula 1 compounds, iV-oxides and salts thereof.
Embodiments of the present invention as described in the Summary of the Invention include:
Embodiment 1. A compound of Formula 1 wherein R1 is C1-C3 alkyl optionally substituted with one or more substituents independently selected from R17. Embodiment 2. A compound of Embodiment 1 wherein R1 is C1-C3 alkyl optionally substituted with one or more halogen.
Embodiment 3. A compound of Embodiment 2 wherein R1 is CF3. Embodiment 4. A compound of Formula 1 wherein Z is CR2.
Embodiment 5. A compound of Formula 1 wherein each R2 is independently hydrogen, halogen or C1-C2 haloalkyl.
Embodiment 6. A compound of Embodiment 5 wherein R2 is hydrogen, halogen or
CF3.
Embodiment 7. A compound of Formula 1 wherein n is 1 or 2. Embodiment 8. A compound of Formula 1 wherein R3 is H or cyano; or C1-C4 alkyl optionally substituted with one or more halogen.
Embodiment 9. A compound of Embodiment 8 wherein R3 is methyl, ethyl or CH2CF3. Embodiment 10. A compound of Formula 1 wherein at most 3 of A1, A2, A3 and A4 are
N.
Embodiment 11. A compound of Formula 1 wherein at most 2 of A1, A2, A3 and A4 are N.
Embodiment 12. A compound of Formula 1 wherein at most 1 of A1, A2, A3 and A4 is
N. Embodiment 13. A compound of Formula 1 wherein A1, A2, A3 and A4 are other than
N. Embodiment 14. A compound of Formula 1 wherein A1 is CR4.
Embodiment 15. A compound of Formula 1 wherein A2 is CR5. Embodiment 16. A compound of Formula 1 wherein A3 is CR6. Embodiment 17. A compound of Formula 1 wherein A4 is CR7. Embodiment 18. A compound of Formula 1 wherein R4 and R5 are independently selected from H, halogen, C1-C3 alkyl, C1-C3 haloalkyl, cyano and nitro.
Embodiment 19. A compound of Formula 1 wherein R6 and R7 are independently selected from H, halogen, Cj-C3 alkyl, Cj-C3 haloalkyl, cyano and nitro. Embodiment 20. A compound of Formula 1 wherein R6 and R7 are taken together to form a fused aromatic ring, the fused aromatic ring containing as ring members in addition to the A3 and A4 bridgehead atoms, 4 atoms selected from 3 to 4 carbon atoms and 0 to 1 nitrogen atom. Embodiment 21. A compound of Embodiment 20 wherein R6 and R7 are taken together to form a fused aromatic ring, the fused aromatic ring containing 4 carbon atoms as ring members in addition to the A3 and A4 bridgehead atoms.
Embodiment 22. A compound of Formula 1 wherein Q is a 5- or 6-membered unsaturated heterocycle selected from pyridinyl, pyrimidinyl, triazinyl, pyrazolyl, triazolyl, imidazolyl, oxazolyl, isoxazolyl, thiazolyl and isothiazolyl, each heterocycle optionally substituted with one or more substituents independently selected from halogen, C1-Cg alkyl, CpCg haloalkyl, C3-Cg cycloalkyl, C3-Cg halocycloalkyl, C1-Cg alkoxy, Cj-Cg haloalkoxy, Cj-Cg alkylthio, C1-C6 haloalkylthio, C1-Cg alkylsulfinyl, C1-C6 haloalkylsulfinyl, C1-C6 alkylsulfonyl, C1-Cg haloalkylsulfonyl, C1-Cg alkylamino, C2-Cg dialkylamino, cyano, nitro, C(O)NR8R9, C(O)OR10, phenyl and pyridinyl, each phenyl and pyridinyl optionally substituted with one or more substituents independently selected from R11; or Q is C(O)NR12R13, S(O)2NR14R15 or R16.
Embodiment 23. A compound of Embodiment 22 wherein Q is C(O)NR12R13 or R16. Embodiment 24. A compound of Embodiment 23 wherein Q is C(O)NR12R13.
Embodiment 25. A compound of Embodiment 22 wherein Q is S(O)2NR14R15.
Embodiment 26. A compound of Embodiment 23 wherein Q is R16.
Embodiment 27. A compound of Formula 1 wherein Q is other than R16.
Embodiment 28. A compound of Embodiment 22 wherein Q is a 5- or 6-membered unsaturated heterocycle selected from pyridinyl, pyrimidinyl, triazinyl, pyrazolyl, triazolyl, imidazolyl, oxazolyl, isoxazolyl, thiazolyl and isothiazolyl, each heterocycle optionally substituted with one or more substituents independently selected from halogen, C1-C6 alkyl, C1-C6 haloalkyl, C3-C6 cycloalkyl, C3-C6 halocycloalkyl, C1-Cg alkoxy, C1-C6 haloalkoxy, C1-Cg alkylthio, C1-C6 haloalkylthio, C1-C6 alkylsulfinyl, C1-C6 haloalkylsulfinyl,
C1-C6 alkylsulfonyl, C1-C6 haloalkylsulfonyl, C1-Cg alkylamino, C2-C8 dialkylamino, cyano, nitro, C(O)NR8R9, C(O)OR10, phenyl and pyridinyl, each phenyl and pyridinyl optionally substituted with one or more substituents independently selected from R11. Embodiment 29. A compound of Embodiment 28 wherein Q is a 5-membered unsaturated heterocycle selected from pyrazolyl, triazolyl and imidazolyl, each heterocycle attached to the remainder of Formula 1 through nitrogen, and optionally substituted with one or more substituents independently selected from halogen, C1-C4 alkyl, C1-C4 haloalkyl, C3-Cg cycloalkyl, C3-Cg halocycloalkyl, C1-C4 alkoxy, C1-C4 haloalkoxy, C1-C4 alkylamino, C2-C4 dialkylamino, cyano, nitro, C(O)NR8R9, C(O)OR10, phenyl and pyridinyl, each phenyl and pyridinyl optionally substituted with one or more substituents independently selected from RlI.
Embodiment 30. A compound of Embodiment 29 wherein Q is a 5-membered unsaturated heterocycle selected from pyrazolyl, triazolyl and imidazolyl, each heterocycle attached to the remainder of Formula 1 through nitrogen and optionally substituted with one or more substituents independently selected from halogen, C1-C4 alkyl, C1-C4 haloalkyl, C1-C4 alkoxy, C1-C4 haloalkoxy, cyano, nitro, C(O)NR8R9 and C(O)ORlO.
Embodiment 31. A compound of Embodiment 30 wherein Q is a 5-membered unsaturated heterocycle selected from pyrazolyl, triazolyl and imidazolyl, each heterocycle attached to the remainder of Formula 1 through nitrogen and optionally substituted with one or more substituents independently selected from halogen, C1-C3 alkyl and C1-C3 haloalkyl.
Embodiment 32. A compound of Embodiment 31 wherein Q is a 5-membered unsaturated heterocycle selected from triazolyl and imidazolyl, each heterocycle attached to the remainder of Formula 1 through nitrogen and optionally substituted with one or more substituents independently selected from halogen,
C1-C3 alkyl and C1-C3 haloalkyl.
Embodiment 33. A compound of Formula 1 wherein each R8 is independently H, C1-Cg alkyl, C2-C7 alkylcarbonyl or C2-C7 alkoxycarbonyl.
Embodiment 34. A compound of Embodiment 33 wherein each R8 is H. Embodiment 35. A compound of Formula 1 wherein each R9 is independently H; or
C1-C4 alkyl, C2-C4 alkenyl, C2-C4 alkynyl, C3-C4 cycloalkyl, C4-C7 alkylcycloalkyl or C4-C7 cycloalkylalkyl, each optionally substituted with one or more substituents selected from R19.
Embodiment 36. A compound of Embodiment 35 wherein each R9 is independently C1-C4 alkyl optionally substituted with one or more substituents selected from
RI9.
Embodiment 37. A compound of Embodiment 36 wherein each R9 is independently C1-C4 alkyl optionally substituted with one or more substituents selected from halogen, C1-C4 alkyl, C1-C4 alkoxy, C1-C4 alkylthio, C1-C4 alkylsulfonyl, cyano and at most one Q1.
Embodiment 38. A compound of Formula 1 wherein each R10 is independently H; or C1-C4 alkyl, C2-C4 alkenyl, C2-C4 alkynyl, C3-C4 cycloalkyl, C4-C7 alkylcycloalkyl or C4-C7 cycloalkylalkyl, each optionally substituted with one or more substituents selected from R19. Embodiment 39. A compound of Embodiment 38 wherein each R10 is independently
Cj-C4 alkyl optionally substituted with one or more substituents selected from R19.
Embodiment 40. A compound of Embodiment 39 wherein each R10 is independently
C1-C4 alkyl optionally substituted with one or more substituents selected from halogen, C1-C4 alkyl, C1-C4 alkoxy, Cj-C4 alkylthio, C1-C4 alkylsulfonyl, cyano and at most one Q*. Embodiment 41. A compound of Formula 1 wherein R12 is H, C1-Cs alkyl, C2-C7 alkylcarbonyl or C2-C7 alkoxycarbonyl.
Embodiment 42. A compound of Embodiment 41 wherein R12 is H. Embodiment 43. A compound of Formula 1 wherein R13 is H; or C1-C4 alkyl, C2-C4 alkenyl, C2-C4 alkynyl, C3-C4 cycloalkyl, C4-C7 alkylcycloalkyl or C4-C7 cycloalkylalkyl, each optionally substituted with one or more substituents selected from R19. Embodiment 44. A compound of Embodiment 43 wherein R13 is H; or C1-C4 alkyl optionally substituted with one or more substituents selected from R19. Embodiment 45. A compound of Embodiment 44 wherein R13 is H; or C1-C4 alkyl optionally substituted with one or more substituents selected from halogen,
C1-C4 alkyl, C1-C4 alkoxy, C1-C4 alkylthio, C1-C4 alkylsulfϊnyl, C1-C4 alkylsulfonyl, C2-C4 alkylcarbonyl, C2-C4 alkoxycarbonyl, cyano, nitro and at most one Q1.
Embodiment 46. A compound of Embodiment 45 wherein R13 is H; or C1-C4 alkyl optionally substituted with one or more substituents selected from halogen,
C1-C4 alkyl, C1-C4 alkoxy, C1-C4 alkylthio, C1-C4 alkylsulfonyl, cyano and at most one Q1. Embodiment 47. A compound of Embodiment 46 wherein R13 is H; or C1-C4 alkyl optionally substituted with one or more halogen and at most one Q1. Embodiment 48. A compound of Embodiment 47 wherein R13 is H; or C1-C4 alkyl optionally substituted with one or more fluorine and at most one Q1. Embodiment 49. A compound of Formula 1 wherein R14 is H, C1-Ce alkyl, C2-C7 alkylcarbonyl or C2-C7 alkoxycarbonyl.
Embodiment 50. A compound of Embodiment 49 wherein R14 is H. Embodiment 51. A compound of Formula 1 wherein R15 is H; or C1-C4 alkyl, C2-C4 alkenyl, C2-C4 alkynyl, C3-C4 cycloalkyl, C4-C7 alkylcycloalkyl Or C4-C7 cycloalkylalkyl, each optionally substituted with one or more substituents selected from R19. Embodiment 52. A compound of Embodiment 51 wherein R15 is H; or C1-C4 alkyl optionally substituted with one or more sϋbstituents selected from R19. Embodiment 53. A compound of Embodiment 52 wherein R15 is H; or C1-C4 alkyl optionally substituted with one or more substituents selected from halogen, C1-C4 alkyl, C1-C4 alkoxy, C1-C4 alkylthio, C1-C4 alkylsulfmyl, C1-C4 alkylsulfonyl, C2-C4 alkylcarbonyl, C2-C4 alkoxycarbonyl, cyano, nitro and at most one Q1. Embodiment 54. A compound of Embodiment 53 wherein R1^ is H; or C1-C4 alkyl optionally substituted with one or more substituents selected from halogen, C1-C4 alkyl, C1-C4 alkoxy, C1-C4 alkylthio, C1-C4 alkylsulfonyl, cyano and at most one Q1. Embodiment 55. A compound of Embodiment 54 wherein R15 is H; or C1-C4 alkyl optionally substituted with one or more halogen and at most one Q1. Embodiment 56. A compound of Embodiment 55 wherein R15 is H; or C1-C4 alkyl optionally substituted with one or more fluorine and at most one Q1.
Embodiment 57. A compound of Formula 1 wherein R16 is halogen, C1-C3 haloalkyl,
C2-C4 dialkylamino, cyano or nitro. Embodiment 58. A compound of Formula 1 wherein each R19 is independently selected from halogen, C1-C4 alkyl, C1-C4 alkoxy, C1-C4 alkylthio, C1-C4 alkylsulfinyl, C1-C4 alkylsulfonyl, C2~C4 alkylcarbonyl, C2-C4 alkoxycarbonyl, cyano, nitro and Q1.
Embodiment 59. A compound of Formula 1 wherein each R19 is independently selected from halogen, C1-C4 alkyl, C1-C4 alkoxy, C1-C4 alkylthio, C1-C4 alkylsulfonyl, cyano and Q1. Embodiment 60. A compound of Formula 1 wherein each R19 is independently selected from halogen and Q1. Embodiment 61. A compound of Formula 1 wherein each R19 is independently selected from fluorine and Q1.
Embodiment 62. A compound of Formula 1 wherein each Q1 is independently selected from phenyl, pyridinyl and thiazolyl, each optionally substituted with one or more substituents independently selected from halogen, C1-C3 alkyl, C1-C3 haloalkyl, cyano, phenyl and pyridinyl. Embodiment 63. A compound of Embodiment 62 wherein Q1 is phenyl, pyridinyl or thiazolyl. Embodiments of this invention, including Embodiments 1-63 above as well as any other embodiments described herein, can be combined in any manner, and the descriptions of variables in the embodiments pertain not only to the compounds of Formula 1 but also to the starting compounds and intermediate compounds. In addition, embodiments of this invention, including Embodiments 1-63 above as well as any other embodiments described herein, and any combination thereof, pertain to the compositions and methods of the present invention.
Combinations of Embodiments 1-63 are illustrated by: Embodiment A. A compound of Formula 1 wherein
Q is a 5- or 6-membered unsaturated heterocycle selected from pyridinyl, pyrimidinyl, triazinyl, pyrazolyl, triazolyl, imidazolyl, oxazolyl, isoxazolyl, thiazolyl and isothiazolyl, each heterocycle optionally substituted with one or more substituents independently selected from halogen, Cj-Cg alkyl, C1-C6 haloalkyl, C3-Cg cycloalkyl, C3-Cg halocycloalkyl, C1-Cg alkoxy, C1-Cg haloalkoxy,
C1-C6 alkylthio, C1-C6 haloalkylthio, C1-C6 alkyl sulfmyl, C1-C6 haloalkylsulfinyl, C1-C6 alkylsulfonyl, C1-C6 haloalkyl sulfonyl, C1-C6 alkylamino, C2-C8 dialkylamino, cyano, nitro, C(O)NR8R9, C(O)OR10, phenyl and pyridinyl, each phenyl and pyridinyl optionally substituted with one or more substituents independently selected from R11 ; or Q is C(O)NR12R13,
S(O)2NR14R15 or R16; Z is CR2; at most 1 of A1, A2, A3 and A4 is N;-
R1 is C1-C3 alkyl optionally substituted with one or more substituents independently selected from R17; each R2 is independently hydrogen, halogen or C1-C2 haloalkyl;
R3 is H or cyano; or C1-C4 alkyl optionally substituted with one or more halogen; R4 and R5 are independently selected from H, halogen, C1-C3 alkyl, C1-C3 haloalkyl, cyano and nitro; R6 and R7 are independently selected from H, halogen, C1-C3 alkyl, C1-C3 haloalkyl, cyano and nitro; or R6 and R7 are taken together to form a fused aromatic ring, the fused aromatic ring containing as ring members in addition to the A3 and A4 bridgehead atoms, 4 atoms selected from 3 to 4 carbon atoms and 0 to 1 nitrogen atom; each R8 is independently H, C1-C6 alkyl, C2-C7 alkylcarbonyl or C2-C7 alkoxycarbonyl; each R9 and R10 is independently H; or C1-C4 alkyl, Q2-C4 alkenyl, C2-C4 alkynyl, C3-C4 cycloalkyl, C4-C7 alkylcycloalkyl or C4-G7 cycloalkylalkyl, each optionally substituted with one or more substituents selected from R19; each R12 and R14 is independently H, C1-C6 alkyl, C2-C7 alkylcarbonyl or C2-C7 alkoxycarbonyl; each R13 and R15 is independently H; or C1-C4 alkyl, C2-C4 alkenyl, C2-C4 alkynyl, C3-C4 cycloalkyl, C4-C7 alkylcycloalkyl or C4-C7 cycloalkylalkyl, each optionally substituted with one or more substituents selected from R19; R16 is halogen, C1-C3 haloalkyl, C2-C4 dialkylamino, cyano or nitro; each R19 is independently selected from halogen, C1-C4 alkyl, C1-C4 alkoxy, C1-C4 alkylthio, CrC4 alkylsulfinyl, C1-C4 alkylsulfonyl, C2-C4 alkylcarbonyl, C2-C4 alkoxycarbonyl, cyano, nitro and Q1; each Q1 is independently selected from phenyl, pyridinyl and thiazolyl, each optionally substituted with one or more substituents independently selected from halogen, C1-C3 alkyl, C1-C3 haloalkyl, cyano, phenyl and pyridinyl; and n is 1 or 2.
Embodiment B. A compound of Embodiment A wherein R1 is C1-C3 alkyl optionally substituted with one or more halogen.
Embodiment C. A compound of Embodiment B wherein
Q is a 5-membered unsaturated heterocycle selected from pyrazolyl, triazolyl and imidazolyl, each heterocycle attached to the remainder of Formula 1 through nitrogen and optionally substituted with one or more substituents independently selected from halogen, C1-C4 alkyl, C1-C4 haloalkyl, Cj-C4 alkoxy, C1-C4 haloalkoxy, cyano, nitro, C(O)NRSR9 and C(O)ORlO;Or Q is C(O)NRl2Rl3; Rl is CF3; R6 and R7 are independently selected from H, halogen, C1-C3 alkyl, C1-C3 haloalkyl, cyano and nitro; or R6 and R7 are taken together to form a fused aromatic ring, the fused aromatic ring containing 4 carbon atoms as ring members in addition to the A3 and A4 bridgehead atoms; each R8 is H; each R9 and R10 is independently C1-C4 alkyl optionally substituted with one or more substituents selected from halogen, C1-C4 alkyl, C1-C4 alkoxy, C1-C4 alkylthio, C1-C4 alkylsulfonyl, cyano and at most one Q1 ; and each Rl2 and Rl4 is independently is H; each R13 and Ri5 is independently H; or C1-C4 alkyl optionally substituted with one or more substituents selected from Rl9; and Ri9 is independently selected from halogen and Q1. Embodiment D. A compound of Embodiment C wherein R3 is methyl, ethyl or
CH2CF3.
Specific embodiments include compounds of Formula 1 selected from the group consisting of:
4-[5-(3,5-dichlorophenyl)-4,5-dihydro-l-methyl-5-(trifluoromethyl)-l//-pyrazol-3-yl]- 2-methyI--V-(2-pyridinylmethyI)benzamide,
4-[5-(3,5-dichlorophenyl)-4,5-dihydro-l-methyl-5-(trifluoromethyl)-lHr-pyrazol-3-yl]- N-(2,2,2-trifluoroethyl)benzamide, 4-[5-(3,5-dichlorophenyI)-4,5-dihydro-l-(2,2,2-trifluoroethyl)-5-(trifluoromethyl)- lH-pyrazol-3-yl]-.V-(2-pyridinylrnethyI)benzarnide, and l-^-fS-CS^-dichloropheny^^^-dihydro-l-methyl-S-CtrifluoromethyO-lH-pyrazol- 3-yl]phenyl]-lH-l ,2,4-triazole.
Further specific embodiments include any combination of the compounds of Formula 1 selected from the group immediately above.
Of note is that compounds of this invention are characterized by favorable metabolic and/or soil residual patterns and exhibit activity controlling a spectrum of agronomic and nonagronomic invertebrate pests.
Of particular note, for reasons of invertebrate pest control spectrum and economic importance, protection of agronomic crops from damage or injury caused by invertebrate pests by controlling invertebrate pests are embodiments of the invention. Compounds of this invention because of their favorable translocation properties or systemicity in plants also protect foliar or other plant parts which are not directly contacted with a compound of Formula 1 or a composition comprising the compound.
Also noteworthy as embodiments of the present invention are compositions for controlling an invertebrate pest comprising a biologically effective amount of a compound of any of the preceding Embodiments, , as well as any other embodiments described herein, and any combinations thereof, and at least one additional component selected from the group consisting of a surfactant, a solid diluent and a liquid diluent, said composition optionally further comprising a biologically effective amount of at least one additional biologically active compound or agent. Embodiments of the invention further include methods for controlling an invertebrate pest comprising contacting the invertebrate pest or its environment with a biologically effective amount of a compound of any of the preceding
Embodiments (e.g., as a composition described herein).
Embodiments of the invention also include a composition comprising a compound of any of the preceding Embodiments, in the form of a soil drench liquid formulation.
Embodiments of the invention further include methods for controlling an invertebrate pest comprising contacting the soil with a liquid composition as a soil drench comprising a biologically effective amount of a compound of any of the preceding Embodiments.
Embodiments of the invention also include a spray composition for controlling an invertebrate pest comprising a biologically effective amount of a compound of any of the preceding Embodiments and a propellant. Embodiments of the invention further include a bait composition for controlling an invertebrate pest comprising a biologically effective amount of a compound of any of the preceding Embodiments, one or more food materials, optionally an attractant, and optionally a humectant. Embodiments of the invention also include a device for controlling an invertebrate pest comprising said bait composition and a housing adapted to receive said bait composition, wherein the housing has at least one opening sized to permit the invertebrate pest to pass through the opening so the invertebrate pest can gain access to said bait composition from a location outside the housing, and wherein the housing is further adapted to be placed in or near a locus of potential or known activity for the invertebrate pest.
Compounds of Formula 1 can be prepared by one or more of the following methods and variations as described in Schemes 1-15. The definitions of R1, R2, R4, R5, R12, R13,
A1 to A4, Q, n and Z in the compounds of Formulae 1-25 below are as defined above in the
Summary of the Invention unless otherwise indicated. Formulae Ia, 6 and 8 are subsets of
Formula 1, and Formula 13a is a subset of Formula 13.
Compounds of Formula 1 can be prepared by the cycloaddition of enones of Formula 2 with hydrazines of Formula 3 as outlined in Scheme 1. The reaction is believed to generally proceed through the intermediacy of a hydrazone formed in situ. In a typical procedure the reagents are combined in a polar protic solvent such as ethanol or methanol. Adding amine bases such as pyridine or triethylamine to the reaction mixture may be advantageous. The reaction can be run in a wide variety of solvents including tetrahydrofuran, diethyl ether, methylene chloride, dioxane and toluene, and optimum temperatures range from room temperature to the reflux temperature of the solvent. Genera] procedures for cycloaddition of hydrazines with enones are well documented in the chemical literature. For relevant references see Dandia et al., Heterocyclic Communications 1996, 2, 281-286 and Sibi et al., Tetrahedron: Asymmetry 2004, 15, 3353-3356 as well as references cited within. The method of Scheme 1 is illustrated in Example 1, Step C.
Scheme 1
Figure imgf000022_0001
Alternatively compounds of Formula 1 can be prepared using methods illustrated by Scheme 2 whereby hydrazones of Formula 4 react with styrenes of Formula 5 under oxidative conditions. The reaction depicted in Scheme 2 is an example of [3+2] dipolar cycloaddition involving the oxidative formation of a nitrile-imine dipole derived from the hydrazone of Formula 4 which subsequently cyclizes with the styrene of Formula 5. The reaction is believed to generally proceed through the intermediacy of a hydrazonoyl chloride generated in situ. In a typical procedure a chlorinating reagent such as sodium hypochlorite, iV-chlorosuccinimide, or ΛT-chloro-/?-toluenesulfonamide sodium salt (Chloramine T) is combined with the hydrazone 4 in the presence of the styrene 5. Adding amine bases such as pyridine or triethylamine, or carbonate bases such as potassium carbonate or sodium bicarbonate is often advantageous and may be necessary. The reaction can be run in a wide variety of solvents including tetrahydrofuran, diethyl ether, methylene chloride, dioxane and toluene, and optimum temperatures range from room temperature to the reflux temperature of the solvent. Examples of reactions analogous to the reaction shown in Scheme 2 are found in J. Het. Chem. 2004, 41, 677-680 and Tetrahedron 1994, 50, 7543-7556.
Scheme 2
Figure imgf000023_0001
Compounds of Formula 1, wherein Q is a 5-membered //-linked heterocyclic ring can also be prepared by direct displacement of an aryl halide of Formula 6 wherein Y is a halogen atom with an azole heterocyclic ring of Formula 7 as shown in Scheme 3. Typical azole heterocyclic rings of Formula 7 include optionally substituted pyrazoles, imidazoles and triazoles. Bromides of Formula 6 (wherein Y is Br) can be displaced with the use of copper iodide and a palladium catalyst; see for example, Cristau et al., European Journal of Organic Chemistry 2004, 695-709. For displacement of fluoride from Formula 6 (wherein Y is F), the reaction is typically run in a polar aprotic solvent such as Λ/,/V-dimethylformamide or iV,ΛT-dimethylacetamide, and in the presence of an inorganic base such as sodium or potassium carbonate.
Scheme 3
Figure imgf000023_0002
Y is a halogen atom and Q-H is a 5-membered aromatic heterocycle.
An alternative preparation of the compounds of Formula 1 includes the well known Suzuki reaction involving Pd-catalyzed cross coupling of an aryl iodide or bromide of Formula 8 with an aryl or heteroaryl boronic acid of Formula 9 (Scheme 4). Many palladium catalysts are useful for this type of transformation; a typical catalyst is tetrakis(triphenylphosphine)palladium(0). Solvents such as tetrahydrofuran, acetonitrile, diethyl ether and dioxane are suitable. The boronic acids of Formula 9 are either commercially available or can be prepared by known methods. Other methods including the Heck, Stille, Kumada and Buchwald-Hartwig coupling procedures offer many alternatives for introduction of Q heterocyclic groups. For leading references see, for example, Zificsak, C. A. and Hlasta, D. J., Tetrahedron 2004, 60, 8991-9016. For a thorough review of palladium chemistry applicable to the synthesis of heterocyclic Q groups see Li, J. J.; Gribble, G. W.; Editors; Palladium in Heterocyclic Chemistry: A Guide for the Synthetic Chemist, Elsevier: Oxford, UK, 2000.
Formula 6 is Formula 1 wherein Q is Y, and Formula 8 is Formula 1 wherein Q is X. Therefore compounds of Formulae 6 and 8 can be prepared by the method described for compounds of Formula 1 in Scheme 1.
Scheme 4
Figure imgf000024_0001
A wide variety of alternative methods exist for the preparation of heterocyclic Q groups found in Formula 1. These can be prepared from well documented functional group transformations of ketones, esters, acids, aldehydes, nitriles and the like. For leading references see Tanaka et al., /. Med. Chem. 1998, 41, 2390-2410 and references cited within.
Compounds of Formula Ia (Formula 1 wherein Q is CONR12R13) can be prepared by coupling carboxylic acids of Formula 10 with appropriately substituted amino compounds of Formula 11 as shown in Scheme 5. The method of Scheme 5 is illustrated in Example 2, Step E.
Scheme 5
Figure imgf000024_0002
This reaction is carried out in the presence of a dehydrating coupling reagent such as dicyclohexyl carbodiimide, l-(3-dimethylaminopropyl)-3-ethylcarbodiimide, 1-propane- phosphonic acid cyclic anhydride or carbonyl diimidazole in the presence of a base such as triethylamine, pyridine, 4-(dimethylamino)pyridine or AT^V-diisopropylethylamine in an anhydrous aprotic solvent such as dichloromethane or tetrahydrofuran at a temperature typically between room temperature and 700C.
Alternatively compounds of Formula Ia can also be prepared by coupling the halides of Formula 8 with appropriately substituted amino compounds of Formula 11 in the presence of palladium catalysts under carbon monoxide atmosphere as shown in Scheme 6. The method of Scheme 6 is illustrated in Example 1, Step D.
Scheme 6
Figure imgf000025_0001
X is Br or I
The palladium catalysts used for the method of Scheme 6' typically are in the form of compounds comprising palladium in a formal oxidation state of either 0 (i.e. Pd(O)) or 2 (i.e. Pd(II)). A wide variety of such palladium-containing compounds and complexes are useful as catalysts for this method. Examples of palladium-containing compounds and complexes useful as catalysts in the method of Scheme 6 include PdCl2(PPh3)2, Pd(PPh3)4 (tetrakis(triphenylphosphine)palladium(O)), Pd(CsH7O2^ (palladium(II) acetylacetonate) and Pd2(dba)3 (tris(dibenzylideneacetone)dipalladium(O)), and [l,l'-bis(diphenylphosρhino)- ferrocene]dichloropalladium(II). The method of Scheme 6 is generally conducted in a liquid phase, and therefore to be most effective the palladium catalyst preferably has good solubility in the liquid phase. Useful solvents include, for example, ethers such as 1,2-dimethoxyethane, amides such as iV,iV-dimethylacetamide, and nonhalogenated aromatic hydrocarbons such as toluene.
The method of Scheme 6 can be conducted over a wide range of temperatures, including from about 25 to about 1500C. Of note are temperatures from about 60 to about 1100C, which typically provide fast reaction rates and high product yields. General methods and procedures for aminocarbonylation with an aryl bromide and an amine are well known in the literature, see, for example, H. Horino et al., Synthesis 1989, 715-718; and J. J. Li, G. W. Gribble, editors, Palladium in Heterocyclic Chemistry: A Guide for the Synthetic Chemist, 2000.
Compounds of Formula 10 can be prepared by hydrolysis of the ester of Formula 12, wherein W is methyl or ethyl, as shown in Scheme 7. Scheme 7
Figure imgf000026_0001
W is methyl or ethyl
In this method, the ester compound of Formula 12 is converted to the corresponding carboxylic acid of Formula 10 by general procedures well known in the art, such as by treatment with aqueous lithium hydroxide in tetrahydrofuran, followed by acidification. The method of Scheme 7 is illustrated in Example 2, Step D.
As shown in Scheme 8, enones of Formula 2 are available from addition-elimination reactions of organometallic reagents such as Grignard reagents of Formula 14 with β-enamines or β-haloenones of Formula 13. Scheme 8
Figure imgf000026_0002
G is amine or halogen
The reaction can be run in a variety of solvents including tetrahydrofuran, diethyl ether, dioxane or methylene chloride, and optimum temperatures range from -780C to the refluxing temperature of the solvent. General procedures for additions of Grignard reagents to enamines and haloenones are well documented in the chemical literature; see for example, Jeong et al., Journal of Fluorine Chemistry 2004, 125, 1629-1638, as well as references cited within. The method of Scheme 8 is illustrated in Example 1, Step B.
Alternatively as shown in Scheme 9, enones of Formula 2 can be formed by condensation of ketones of Formula 15 with phosphonate compounds of Formula 16 according to the Wadsworth-Emmons modification of the Wittig Reaction. Scheme 9
Figure imgf000027_0001
wherein Rx is, for example, methyl or ethyl.
In this method, the phosphonate compound of Formula 16 is deprotonated with a base such as pyridine, triethylamine, NaH, NaHCOβ or lithium diisopropylamide (LDA) in a solvent such as tetrahydrofuran, diethyl ether, dioxane or methylene chloride to form a ylid intermediate, and the ketone of Formula 15 is added to form the compound of Formula 2. Optimum temperatures range from 0 °C to the refluxing temperature of the solvent. The general reaction conditions of the Wittig Reaction are well documented in the chemical literature. For example, see Dull et al., J. Org. Chem. 1967, 32, 1622-1623.
A wide variety of alternative methods exist for the preparation of enones of Formula 2. These enones can be prepared from well-documented functional group transformation, addition and elimination reactions. β-Enamines of Formula 13a (a subset of Formula 13 compounds wherein G is N(CH3)OCH3) can be prepared from alkynes of Formula 17 and Weinreb amide reagents of Formula 19 as shown in Scheme 10.
Scheme 10
H- -R
Figure imgf000027_0002
In this method the alkyne of Formula 17 is reacted with a strong lithium base such as n-BuLi to form the lithiated alkynyl compound of Formula 18 at temperatures ranging from -78 to -300C, followed by addition of the Weinreb amide of Formula 19 and warming to 00C. For leading references for this general method, see Jeong et al., Journal of Fluorine Chemistry 2004, 125, 1629-1638, as well as references cited within.
Alternatively, the lithiated alkynyl compound of Formula 18 can be formed by the elimination reaction of the bromoalkene compound of Formula 20 with a strong non- nucleophilic base as shown in Scheme 11. Scheme i i
Figure imgf000028_0001
20 18
In this variation of the method of Scheme 10, lithiated compounds of Formula 18 are prepared in situ by reaction of bromoalkene compounds of Formula 20 at temperatures ranging from —78 to -300C with 2 or more equiv. of strong lithium base such as LDA, sec-BulΛ, or lithium hexamethyldisilazide (LiHMDS), followed by addition of the Weinreb reagent of Formula 19 as shown in Scheme 10. For leading references for this general method, see Chae et al., Journal of Fluorine Chemistry 2003, 120, 185-193 and Konno et al.,
Tetrahedron 2003, 59, 7571-7580. The method of Scheme 11 is illustrated in Example 1, Step B.
Compounds of Formula 13 wherein G is halogen can be prepared by a wide variety of methods known in the art. For leading references see Laurent, A. et al., Tetrahedron Letters 1991, 32, 3071-3074, and Okano, T. et al., Synlett 1990, 403-404.
The Weinreb amides of Formula 19 are commercially available or can be prepared from the corresponding acid chlorides of Formula 21 as shown in Scheme 12. The acid chlorides can be prepared by a wide variety of methods known in the synthetic literature, and many are known compounds or commercially available.
Scheme 12
Figure imgf000028_0002
Esters of Formula 12 can be prepared under oxidative conditions as depicted in
Scheme 13. Conditions for the method of Scheme 13 are analogous to those already described for the method of Scheme 2. The method of Scheme 13 is illustrated in Example 2, Step C. Scheme 13
Figure imgf000029_0001
The conversion of Formula 12 esters into Formula Ia amides has already been described for the combination of methods of Schemes 1 and 5.
Hydrazones of Formulae 4 and 22 can be prepared by the reaction of aldehydes of Formula 23 with hydrazines of Formula 24 as shown in Scheme 14. Stoichiometric or excess amounts of hydrazine 24 are typically employed in this reaction. Typical solvents include alcohols such as methanol or ethanol and ethers such as tetrahydrofuran or 1,4-dioxane. The reaction is typically carried out at temperatures ranging from 0 °C to the reflux temperature of the solvent to give completion in 0.5 to 48 hours. An acid catalyst such as p-toluenesulfonic acid or acetic acid is sometimes used in the method of Scheme 14. Procedures for this method are found in the following references: Eur. J. Med. Chem. 2004, 39, 499-505; Bioorg. Med. Chem. 2003, 11, 4161-4169. The method of Scheme 14 is illustrated in Example 2, Step A.
Scheme 14
Figure imgf000029_0002
23 4: G is Q G is Q or CO2W
22: G is CO2W
The aldehydes of Formula 23 can be prepared by a wide variety of methods known in the art; some of the aldehydes are known compounds or commercially available.
Styrenes of Formula 5 can be prepared as shown in Scheme 15. This method involves palladium-catalyzed coupling of bromoalkenes of Formula 20 with aryl boronic acids of Formula 25. For reviews of this general method, see the references listed for the method of Scheme 4. A typical procedure for this method is illustrated by Example 2, Step B. Scheme 15
Pd catalyst
Figure imgf000030_0002
Figure imgf000030_0001
20 25 5
One skilled in the art will recognize that compounds of Formula 1 and the intermediates described herein can be subjected to various electrophilic, nucleophilic, radical, organometallic, oxidation, and reduction reactions to add substituents or modify existing substituents. It is also recognized that some reagents and reaction conditions described above for preparing compounds of Formula 1 may not be compatible with certain functionalities present in the intermediates. In these instances, the incorporation of protection/deprotection sequences or functional group interconversions into the synthesis will aid in obtaining the desired products. The use and choice of the protecting groups will be apparent to one skilled in chemical synthesis (see, for example, Greene, T. W.; Wuts, P. G. M. Protective Groups in Organic Synthesis, 2nd ed.; Wiley: New York, 1991). One skilled in the art will recognize that, in some cases, after the introduction of a given reagent as it is depicted in any individual scheme, it may be necessary to perform additional routine synthetic steps not described in detail to complete the synthesis of compounds of Formula 1. One skilled in the art will also recognize that it may be necessary to perform a combination of the steps illustrated in the above schemes in an order other than that implied by the particular sequence presented to prepare the compounds of Formula 1.
Without further elaboration, it is believed that one skilled in the art using the preceding description can utilize the present invention to its fullest extent. The following Example is, therefore, to be construed as merely illustrative, and not limiting of the disclosure in any way whatsoever.1H NMR spectra are reported in ppm downfield from tetramethylsilane; "s" means singlet, "d" means doublet, "t" means triplet, "m" means multiplet, "dd" means doublet of doublets, "br s" means broad singlet, and "br t" means broad triplet. EXAMPLE l
Preparation of ^[S-CS^-dichloropheny^^.S-dihydro-l-methyl-S-Ctrifluoromethyl)- lH-pyrazol-3-yl]-2-methyl-ΛT-(2-pyridinylmethyl)benzamide
Step A: Preparation of 4-bromo-7V-methoxy-Λ^,3-dimethylbenzamide
A stirred suspension of 4-bromo-3-rnethylbenzoic acid (15 g, 69.0 mmol) in thionyl chloride (60 mL) was heated at reflux for 2 h and then concentrated in vacuo. The residual acyl chloride was dissolved in dichloromethane (300 mJL) and added to a stirred solution of iV.O-dirnethylhydroxylamine hydrochloride (7.2 g, 72.0 mmol) and pyridine (16.8 mL, 207.0 mmol) in dichloromethane (450 mL) at -200C. The reaction mixture was allowed to warm to room temperature overnight and then washed with 1 M aqueous potassium carbonate solution. The aqueous solution was extracted with dichloromethane. The organic extracts were concentrated under reduced pressure. The residue was purified by chromatography on silica gel using 50% hexanes/ethyl acetate as eluent to afford the title product as a pale yellow oil (17.81 g, 69.0 mmol, 100% yield).1H NMR (CDCl3): 7.55 (m, 2H), 7.37 (m, IH), 3.54 (s, 3H), 3.34 (s, 3H), 2.42 (s, 3H).
Step B: Preparation of (2E>Z)-l-(4-bromo-3-methylphenyl)-3-(3,5-dichlorophenyl)-
4,4,4-trifluoro-2-buten- 1 -one To a stirred solution of diisopropylamine (11.1 mL, 83.3 mmol) in tetrahydrofuran
(100 mL) at -780C was added 2.5 M re-BuLi in hexanes (33.31 mL, 83.3 mmol). The reaction mixture was allowed to warm to 0 °C, stirred for 20 minutes, and then cooled to -780C. 2-Bromo-3,3,3-trifluoropropene (6.78 g, 38.7 mmol) was added to the reaction mixture, which was stirred for 30 minutes. Then a solution of 4-bromo-iV-πiethoxy- iV,3-dimethyIbenzamide (i.e. the product of Step A) (5.0 g, 19.4 mmol) in tetrahydrofuran (20 mL) was added to the reaction mixture at —780C, which was then warmed to 00C. Water (25 mL) was added to the mixture, which was then stirred for 1 hour at 00C. The reaction mixture was extracted with ether and concentrated under reduced pressure, and the oily residue was purified by chromatography on silica gel to afford a mixture of (2EZZ)- 3-[bis(l-methylethyl)amino]-l-(4-bromo-3-methylphenyl)-4,4,4-trifIuoro-2-buten-l-one and (2£/Z)-l-(4-bromo-3-methylphenyl)-4,4,4-trifluoro-3-(methoxymethylamino)-2-buten-l-one (2.5:1 ratio by LCMS) (6.55 g, approx. 92% yield) as a bright orange oil.
This crude mixture (3 g, approx. 8.5 mmol) was diluted with tetrahydrofuran (40 mL) and cooled to —78 °C, and 3,5-dichlorophenyl magnesium bromide (0.5 M in tetrahydrofuran) (51 mL, 25.5 mmol) was added. The reaction mixture was warmed to room temperature and stirred for 2 h, then quenched with an aqueous solution of saturated ammonium chloride, and extracted with diethyl ether. The organic solution was concentrated under reduced pressure, and the residual oil was purified by chromatography on silica gel using 10% ethyl acetate/hexanes as eluent to afford the title product as a yellow oil (3.24 g, 87% yield).
Step C: Preparation of 3-(4-bromo-3-methylphenyl)-5~(3,5-dichlorophenyl)-
4,5-dihydro-l-methyl-5-(trifluoromethyl)-lH-pyrazole
Methylhydrazine (55 mg, 1.18 mmol) was added to a solution of (2£"/Z)-l-(4-bromo-
3-methylphenyl)-3-(3,5-dichlorophenyl)-4,4,4-trifluoro-2-buten-l-one (i.e. the product of Step B) (400 mg, 0.91 mmol) in ethanol (3 mL). The reaction mixture was heated at reflux for 2 h and then cooled to room temperature. The reaction mixture was quenched by adding water (5 mL) and extracted with diethyl ether. The organic extracts were concentrated under reduced pressure, and the residue was purified by chromatography on silica gel using 10% ethyl acetate/hexanes as eluent to afford the title product as a pale yellow oil (130 mg, 31% yield).
1H NMR (CDCl3): δ 7.51 (d, IH), 7.45 (m, IH), 7.39-7.36 (m, 3H), 7.22 (m, IH), 3.90 (d, IH), 3.36 (d, IH), 3.07 (s, 3H), 2.39 (s, 3H).
Step D: Preparation of 4-[5-(3,5-dichlorophenyl)-4,5-dihydro-l-methyl- 5-(trifluoromethyl)-lH-pyrazol-3-yl]-2-methyl-Λ^-(2-pyridinylmethyl)benzamide
To a stirred solution of 3-(4-bromo-3-methylphenyl)-5-(3,5-dichlorophenyl)- 4,5-dihydro-l-methyl-5-trifluoromethyl-lH-pyrazole (i.e. the product of Step C) (110 mg, 0.24 mmol) in toluene (5 mL) was added 2-(aminomethyl)pyridine (38 mg, 0.35 mmol), [l,r-bis(diphenylphosphino)ferrocene]dichloropalladium(π) (10 mg, 0.01 mmol), and triethylamine (0.5 mL). Carbon monoxide gas was bubbled into the reaction mixture for 10 minutes, and then the reaction mixture was heated to 90 °C overnight under a carbon monoxide atmosphere maintained with a balloon filled with carbon monoxide. The reaction mixture was concentrated, and the residual oil was purified by chromatography on silica gel using 100% ethyl acetate as eluent to afford the title product, a compound of the present invention, as a pale yellow oil (53 mg, 42% yield).
1H NMR (CDCl3): 6 8.51 (d, IH), 7.67 (m, IH), 7.48 (m, 2H), 7.39 (m, 3H), 7.30 (m, IH), 7.19 (m, 2H), 4.72 (d, 2H), 3.90 (d, IH), 3.38 (d, IH), 3.07 (s, 3H), 2.48 (s, 3H). EXAMPLE 2
Preparation of 4-[5-(3,5-dichlorophenyl)-4,5-dihydro-l-methyl-5-(trifluoromethyl)- lH-pyrazoI-3-yl]-iV-(2,2,2-trifluoroethyl)benzamide
Step A: Preparation of methyl 4-[(E)-(methylhydrazono)methyl)]benzoate
A solution of methyl 4-formylbenzoate (1.0 g, 6.1 mmol), methylhydrazine sulfate (0.88 g, 6.1 mmol), potassium carbonate (0.92 g, 6.7 mmol) and 1,4-dioxane (25 mL) was heated at reflux for 8 h. The resulting mixture was cooled to room temperature and treated with excess ice-water. The crude product was collected by filtration and air dried to afford the title product, which was used in the next step without further purification.
Step B: Preparation of l,3-dichloro-5-[l-(trifluoromethyl)ethenyl]benzene To a mixture of tetrahydrofuran (33 mL), ethylene glycol dimethyl ether (33 mL), and aqueous potassium hydroxide (4 N, 33 mL) in a 200 mL Fisher-Porter sealed tube was added 3,5-dichlorophenylboronic acid (8.72 g, 45.7 mmol) and 2-bromo-3,3,3-trifluoropropene (10.0 g, 57.2 mmol), followed by the addition of tetrakis(triphenylphosphine)palladium(0) (264 mg, 0.23 mmol). The mixture was heated to 750C for 3 h. The reaction mixture was partitioned between diethyl ether and water. The aqueous extract was extracted with diethyl ether (2 x 20 mL). The organic extracts were combined, dried (MgSC^), and concentrated under reduced pressure to provide a residue. The residue was purified by chromatography on silica gel using 10% ethyl acetate/hexanes as eluent to afford the title compound as a clear oil (4.42 g).1H NMR (CDCl3): δ 7.41 (s, 2H), 7.33 (s, IH), 6.04 (d, IH), 5.82 (d, IH). Step C: Preparation of methyl 4-[5-(3,5-dichlorophenyl)-4,5-dihydro-l-methyl- 5-(trifluoromethyl)-lH-pyrazol-3-yl]benzoate
To a solution of methyl 4-[(£)-(methylhydrazono)methyl)]benzoate (i.e. the product of Step A) (0.475 g, 2.49 mmol) and l,3-dichloro-5-[l-(trifluoromethyl)ethenyl]benzene (i.e. the product of Step B) (0.20 g, 0.83 mmol) in ethyl acetate (6 mL) at room temperature was sequentially added Λf-chlorosuccinimide (0.22 g, 1.7 mmol) and potassium carbonate (0.23 g, 1.7 mmol). After stirring for 12 h, the reaction mixture was partitioned between ice- water and ethyl acetate. The organic phase was washed with water and brine, dried over anhydrous sodium sulfate and concentrated. Purification by column chromatography on silica gel eluted with 2% ethyl acetate in petroleum ether afforded the title product as a semi- solid (35 mg).
1H NMR (CDCl3) δ 8.03 (d, 2H), 7.61 (d, 2H), 7.39 (apparent s, 3H), 3.92 (s, 3H), 3.91 (d, IH), 3.40 (d, IH), 3.11 (3H).
Step D: Preparation of 4-[5-(3,5-dichlorophenyl)-4,5-dihydro-l-methyl-
5-(trifluoromethyl)-l/?-pyrazol-3-yl]benzoic acid To a solution of methyl 4-[5-(3,5-dichlorophenyl)-4,5-dihydro-l-methyl-
5-(trifluoromethyl)-lH-pyrazol-3-yl]benzoate (i.e. the product of Step C) (50 mg, 0.12 mmol) in ethanol (2 mL) was added sodium hydroxide (1 mL of a 0.24 M aqueous solution, 0.24 mmol), and the resulting mixture was stirred at 600C for 3 h. The resulting mixture was concentrated to remove solvent, and the residue was acidified to pΗ 2, and then extracted with ethyl acetate. The organic extracts were combined, washed with brine, dried over anhydrous sodium sulfate, and concentrated to afford the title carboxylic acid (50 mg) which was used in the next step without purification.
Step E: Preparation of 4-[5-(3,5-dichlorophenyl)-4,5-dihydro-l-methyl-
5-(trifluoromethyl)-lH-pyrazol-3-yl]-N-(2,2,2-trifluoroethyl)benzamide A solution of 4-[5-(3,5-dichloroρhenyl)-4,5-dihydro-l-methyl-5-(trifluoromethyl)- lH-pyrazol-3-yl]benzoic acid (i.e. the crude product of Step D) (50 mg, 0.12 mmol) and triethylamine (0.026 mL, 0.19 mmol) in tetrahydrofuran (2 mL) at room temperature was treated with methyl chloroformate (0.014 mL, 0.19 mmol), and the reaction mixture was stirred for 30 minutes. Then 2,2,2-trifluoroethylamine (0.015 mL, 0.19 mmol) was added to the reaction mixture at room temperature, which was stirred for 2 hours more and then quenched by pouring into ice. The resulting mixture was extracted with ethyl acetate, and the organic extracts were washed with water and brine, dried over anhydrous sodium sulfate and concentrated. Purification by chromatography on silica gel eluted with 25% ethyl acetate in petroleum ether afforded the title product, a compound of the present invention, as a solid (40 mg, 70% yield).
1H NMR (CDCl3) δ 7.81 (d, 2H), 7.63 (d, 2H), 7.39 (apparent s, 3H), 6.36 (br t, IH), 4.22- 4.08 (m, 2H), 3.91 (d, IH), 3.38 (d, IH), 3.12 (s, 3H).
By the procedures described herein together with methods known in the art, the following compounds of Tables 1 to 8 can be prepared. The following abbreviations are used in the Tables which follow: CN means cyano, NO2 means nitro, Me means methyl, Et means ethyl, Pr means propyl, c-Pr means cyclopropyl, and OMe means methoxy. (R2)m as shown refers to the combination of (R2)n with the instance of Z is CR2.
TABLE l
Figure imgf000034_0001
(R2)m R3 R5 (R2)m R3 R5R13
3-CI H H CH2CF3 3-Cl H H CH2-2-pyridinyl
3-Cl, 4-Cl H H CH2CF3 3-Cl, 4-Cl H H CH2-2-pyridinyl
3-CI, 5-Cl H H CH2CF3 3-Cl, 5-Cl H H CH2-2-pyridinyI
3-Cl, 4-F H H CH2CF3 3-Cl, 4-F H H CH2-2-pyridinyl
3-CI, 4-CF3 H H CH2CF3 3-Cl, 4-CF3 H H CH2-2-pyridinyl
3-Cl, 4-Br H H CH2CF3 3-Cl, 4-Br H H CH2-2-pyridinyl
3-CF3 H H CH2CF3 3-CF3 H H CH2-2-pyridinyl
3-CF3, 5-CF3 H H CH2CF3 3-CF3, 5-CF3 H H . CH2-2-pyridinyl
3-Br H H CH2CF3 3-Br H H CH2-2-pyridinyl
3-Br, 5-Br H H CH2CF3 3-Br, 5-Br H H CH2-2-pyridinyl
3-Cl Me H CH2CF3 3-Cl Me H CH2-2-pyridinyl
3-Cl, 4-Cl Me H CH2CF3 3-Cl, 4-Cl Me H CH2-2-pyridinyl
3-Cl, 5-Cl Me H CH2CF3 3-Cl, 5-Cl Me H CH2-2-pyridinyl
3-Cl, 4-F Me H CH2CF3 3-Cl, 4-F Me H CH2-2-pyridinyl
3-Cl, 4-CF3 Me H CH2CF3 3-Cl, 4-CF3 Me H CH2-2-pyridinyl
3-Cl, 4-Br Me H CH2CF3 3-Cl, 4-Br Me H CH2-2-pyridinyI
3-CF3 Me H CH2CF3 3-CF3 Me H CH2-2-pyridinyl
3-CF3, 5-CF3 Me H CH2CF3 3-CF3, 5-CF3 Me H CH2-2-pyridiny!
3-Br Me H CH2CF3
Figure imgf000034_0002
3-Br Me H CH2-2-pyridinyl(R2)m R3 R5R13(R2)m R3 R5R13
3-Br, 5-Br Me H CH2CF3 3-Br, 5-Br Me H CH2-2-pyridinyl
3-Cl Et H CH2CF3 3-Cl Et H CH2-2-pyridinyl
3-Cl, 4-CI Et H CH2CF3 3-Cl, 4-Cl Et H CH2-2-pyridinyl
3-CI, 5-Cl Et H CH2CF3 3-Cl, 5-Cl Et H CH2-2-pyridinyl
3-CI, 4-F Et H CH2CF3 3-Cl, 4-F Et H CH2-2-pyridiπyl
3-Cl, 4-CF3 Et H CH2CF3 3-Cl, 4-CF3 Et H CH2-2-pyridinyl
3-Cl, 4-Br Et H CH2CF3 3-Cl, 4-Br Et H CH2-2-pyridinyl
3-CF3 Et H CH2CF3 3-CF3 Et H CH2-2-pyridinyl -CF3, 5-CF3 Et H CH2CF3 3-CF3, 5-CF3 Et H CH2-2-pyridinyl
3-Br Et H CH2CF3 3-Br Et H CH2-2-pyridinyl
3-Br, 5-Br Et H CH2CF3 3-Br, 5-Br Et H CH2-2-pyridinyl
3-Cl CH2CF3 H CH2CF3 3-Cl CH2CF3 H CH2-2-pyridiny]
3-Cl, 4-Cl CH2CF3 H CH2CF3 3-Cl, 4-Cl CH2CF3 H CH2-2-pyridinyl
3-CI, 5-Cl CH2CF3 H CH2CF3 3-Cl, 5-Cl CH2CF3 H CH2-2-pyridinyl
3-Cl, 4-F CH2CF3 H CH2CF3 3-Cl, 4-F CH2CF3 H CH2-2-pyridiny]
3-Cl, 4-CF3 CH2CF3 H CH2CF3 3-Cl, 4-CF3 CH2CF3 H CH2-2-pyridinyl
3-Cl, 4-Br CH2CF3 H CH2CF3 3-Cl, 4-Br CH2CF3 H CH2-2-pyridinyl
3-CF3 CH2CF3 H CH2CF3 3-CF3 CH2CF3 H CH2-2-pyridinyl -CF3, 5-CF3 CH2CF3 H CH2CF3 3-CF3, 5-CF3 CH2CF3 H CH2-2-pyridiny]
3-Br CH2CF3 H CH2CF3 3-Br CH2CF3 H CH2-2-pyridiny]
3-Br, 5-Br CH2CF3 H CH2CF3 3-Br, 5-Br CH2CF3 H CH2-2-pyridinyl
3-Cl CN H CH2CF3 3-Cl CN H CH2-2-pyridinyl
3-CI, 4-Cl CN H CH2CF3 3-Cl, 4-Cl CN H CH2-2-pyridinyl
3-Cl, 5-Cl CN H CH2CF3 3-Cl, 5-Cl CN H CH2-2-pyridinyl
3-Cl, 4-F CN H CH2CF3 3-Cl, 4-F CN H CH2-2-pyridiny]
3-Cl, 4-CF3 CN H CH2CF3 3-Cl, 4-CF3 CN H CH2-2-pyridinyl
3-Cl, 4-Br CN H CH2CF3 3-Cl, 4-Br CN H CH2-2-pyridiny]
3-CF3 CN H CH2CF3 3-CF3 CN H CH2-2-pyridinyl -CF3, 5-CF3 CN H CH2CF3 3-CF3, 5-CF3 CN H CH2-2-pyridiny]
3-Br CN H CH2CF3 3-Br CN H CH2-2-pyridiny]
3-Br, 5-Br CN H CH2CF3 3-Br, 5-Br CN H CH2-2-pyridinyl
3-Cl H NO2 CH2CF3 3-Cl H NO2 CH2-2-pyridiny]
3-Cl, 4-Cl H NO2 CH2CF3 3-Cl, 4-Cl H NO2 CH2-2-pyridiny]
3-Cl, 5-Cl H NO2 CH2CF3 3-CI, 5-Cl H NO2 CH2-2-pyridiny]
3-Cl, 4-F H NO2 CH2CF3 3-Cl, 4-F H NO2 CH2-2-pyridiny! -Cl, 4-CF3 H NO2 CH2CF3 3-CI, 4-CF3 H NO2 CH2-2-pyridiny]
3-Cl, 4-Br H NO2 CH2CF3
Figure imgf000035_0001
3-CI, 4-Br H NO2 CH2-2-pyridinyl (R2): m R3 R5R13 (R2)r R3 R5R13
3-CF3 H NO2 CH2CF3 3-CF3 H NO2 CH2-2-pyridinyl -CF3, 5-CF3 H- NO2 CH2CF3 3-CF3, 5-CF3 H NO2 CH2-2-pyridiπyl
3-Br H NO2 CH2CF3 3-Br H NO2 CH2-2-pyridinyl
3-Br, 5-Br H NO2 CH2CF3 3-Br, 5-Br H NO2 CH2-2-pyridinyl
3-Cl Me NO2 CH2CF3 3-Cl Me NO2 CH2-2-pyridinyl
3-Cl, 4-CI Me NO2 CH2CF3 3-CI, 4-Cl Me NO2 CH2-2-pyridinyl
3-Cl, 5-Cl Me NO2 CH2CF3 3-Cl, 5-Cl Me NO2 CH2-2-pyridinyl
3-Cl, 4-F Me NO2 CH2CF3 3-Cl, 4-F Me NO2 CH2-2-pyridinyl
3-Cl, 4-CF3 Me NO2 CH2CF3 3-Cl, 4-CF3 Me NO2 CH2-2-pyridiny]
3-Cl, 4-Br Me NO2 CH2CF3 3-Cl, 4-Br Me NO2 CH2-2-pyridinyl
3-CF3 Me NO2 CH2CF3 3-CF3 Me NO2 CH2-2-pyridinyl -CF3, 5-CF3 Me NO2 CH2CF3 3-CF3, 5-CF3 Me NO2 CH2-2-pyridinyl
3-Br Me NO2 CH2CF3 3-Br Me NO2 CH2-2-pyridinyl
3-Br, 5-Br Me NO2 CH2CF3 3-Br, 5-Br Me NO2 CH2-2-pyridinyl
3-Cl Et NO2 CH2CF3 3-Cl Et NO2 CH2-2-pyridinyl
3-CI, 4-Cl Et NO2 CH2CF3 3-Cl, 4-Cl Et NO2 CH2-2-pyridiπyl
3-Cl, 5-Cl Et NO2 CH2CF3 3-Cl, 5-Cl Et NO2 CH2-2-pyridinyl
3-Cl, 4-F Et NO2 CH2CF3 3-Cl, 4-F Et NO2 CH2-2-pyridi ny ]
3-Cl, 4-CF3 Et NO2 CH2CF3 3-Cl, 4-CF3 Et NO2 CH2-2-pyridinyl
3-Cl, 4-Br Et NO2 CH2CF3 3-Cl, 4-Br Et NO2 CH2-2-pyridinyl
3-CF3 Et NO2 CH2CF3 3-CF3 Et NO2 CH2-2-pyridinyl -CF3, 5-CF3 Et NO2 CH2CF3 3-CF3, 5-CF3 Et NO2 CH2-2-pyridinyl
3-Br Et NO2 CH2CF3 3-Br Et NO2 CH2-2-pyridinyl
3-Br, 5-Br Et NO2 CH2CF3 3-Br, 5-Br Et NO2 CH2-2-pyridinyl
3-Cl CH2CF3 NO2 CH2CF3 3-Cl CH2CF3 NO2 CH2-2-pyridiny]
3-Cl, 4-Cl CH2CF3 NO2 CH2CF3 3-Cl, 4-Cl CH2CF3 NO2 CH2-2-pyridinyl
3-CI, 5-Cl CH2CF3 NO2 CH2CF3 3-Cl, 5-Cl CH2CF3 NO2 CH2-2-pyridinyl
3-CI, 4-F CH2CF3 NO2 CH2CF3 3-Cl, 4-F CH2CF3 NO2 CH2-2-pyridinyl
3-Cl, 4-CF3 CH2CF3 NO2 CH2CF3 3-Cl, 4-CF3 CH2CF3 NO2 CH2-2-pyridiπyl
3-Cl, 4-Br CH2CF3 NO2 CH2CF3 3-Cl, 4-Br CH2CF3 NO2 CH2-2-pyridiny]
3-CF3 CH2CF3 NO2 CH2CF3 3-CF3 CH2CF3 NO2 CH2-2-pyridiny] -CF3, 5-CF3 CH2CF3 NO2 CH2CF3 3-CF3, 5-CF3 CH2CF3 NO2 CH2-2-pyridiny]
3-Br CH2CF3 NO2 CH2CF3 3-Br CH2CF3 NO2 CH2-2-pyridinyl
3-Br, 5-Br CH2CF3 NO2 CH2CF3 3-Br, 5-Br CH2CF3 NO2 CH2-2-pyridinyl
3-Cl CN NO2 CH2CF3 3-Cl CN NO2 CH2-2-pyridinyl
3-Cl, 4-Cl CN NO2 CH2CF3 3-Cl, 4-Cl CN NO2 CH2-2-pyridinyl
3-Cl, 5-Cl CN NO2 CH2CF3
Figure imgf000036_0001
3-Cl, 5-Cl CN NO2 CH2-2-pyridiny] (R2)m R3 R5R13 (R2)m R3 R5 Rl3
3-CI, 4-F CN NO2 CH2CF3 3-Cl, 4-F CN NO2 CH2-2-pyridinyl
3-Cl, 4-CF3 CN NO2 CH2CF3 . 3-Cl, 4-CF3 CN NO2 CH2-2-pyridinyI
3-C1, 4-Br CN NO2 CH2CF3 3-Cl, 4-Br CN NO2 CH2-2-pyridinyl
3-CF3 CN NO2 CH2CF3 3-CF3 CN NO2 CH2-2-pyridinyl -CF3, 5-CF3 CN NO2 CH2CF3 3-CF3, 5-CF3 CN NO2 CH2-2-pyridinyl
3-Br CN NO2 CH2CF3 3-Br CN NO2 CH2-2-pyridinyl
3-Br, 5-BΓ CN NO2 CH2CF3 3-Br, 5-Br CN NO2 CH2-2-pyridinyl
3-Cl H Me CH2CF3 3-CI H Me CH2-2-pyridiny]
3-Cl, 4-Cl H Me CH2CF3 3-Cl, 4-Cl H Me CH2-2-pyridinyl
3-Cl, 5-Cl H Me CH2CF3 3-Cl, 5-Cl H Me CH2-2-pyridinyl
3-Cl, 4-F H Me CH2CF3 3-Cl, 4-F H Me CH2-2-pyridinyl
3-Cl, 4-CF3 H Me CH2CF3 3-Cl, 4-CF3 H Me CH2-2-pyridinyl
3-Cl, 4-Br H Me CH2CF3 3-Cl, 4-Br H Me CH2-2-pyridinyl
3-CF3 H Me CH2CF3 3-CF3 H Me CH2-2-pyridinyl -CF3, 5-CF3 H Me CH2CF3 3-CF3, 5-CF3 H Me CH2-2-pyridinyl
3-Br H Me CH2CF3 3-Br H Me CH2-2-pyridinyl
3-Br, 5-Br H 'Me CH2CF3 3-Br, 5-Br H Me CH2-2-pyridinyl
3-Cl Me Me CH2CF3 3-Cl Me Me CH2-2-pyridinyI
3-Cl, 4-Cl Me Me CH2CF3 3-Cl, 4-Cl Me Me CH2-2-pyridiny]
3-CI, 5-Cl Me Me CH2CF3 3-Cl, 5-CI Me Me CH2-2-pyridinyl
3-CI, 4-F Me Me CH2CF3 3-Cl, 4-F Me Me CH2-2-pyridinyl
3-Cl, 4-CF3 Me Me CH2CF3 3-Cl, 4-CF3 Me Me CH2-2-pyridinyI
3-Cl, 4-Br Me Me CH2CF3 3-Cl, 4-Br Me Me CH2-2-pyridinyl
3-CF3 Me Me CH2CF3 3-CF3 Me Me CH2-2-pyridiπyl -CF3, 5-CF3 Me Me CH2CF3 3-CF3, 5-CF3 Me Me CH2-2-ρyridiny]
3-Br Me Me CH2CF3 3-Br Me Me CH2-2-pyridinyl
3-Br, 5-Br Me Me CH2CF3 3-Br, 5-Br Me Me CH2-2-pyridinyl
3-Cl Et Me CH2CF3 3-Cl Et Me CH2-2-pyridinyl
3-Cl, 4-Cl Et Me CH2CF3 3-Cl, 4-Cl Et Me CH2-2-pyridinyl
3-Cl, 5-Cl Et Me CH2CF3 3-Cl, 5-Cl Et Me CH2-2-pyridinyl
3-Cl, 4-F Et Me CH2CF3 3-Cl, 4-F Et Me CH2-2-pyridinyl
3-Cl, 4-CF3 Et Me CH2CF3 3-Cl, 4-CF3 Et Me CH2-2-pyridinyl
3-Cl, 4-Br Et Me CH2CF3 3-Cl, 4-Br Et Me CH2-2-pyridinyl
3-CF3 Et Me CH2CF3 3-CF3 Et Me CH2-2-pyridi nyl -CF3, 5-CF3 Et Me CH2CF3 3-CF3, 5-CF3 Et Me CH2-2-pyridinyl
3-Br Et Me CH2CF3 3-Br Et Me CH2-2-pyridinyl
3-Br, 5-Br Et Me CH2CF3
Figure imgf000037_0001
3-Br, 5-Br Et Me CH2-2-pyridi nyl (R2)m R5R13 (R2)m R3 _R5_ R13
3-Cl CH2CF3 Me CH2CF3 3-CI CH2CF3 Me CH2-2-pyridinyI
3-Cl, 4-Cl CH2CF3 Me CH2CF3 3-Cl, 4-Cl CH2CF3 Me CH2-2-ρyridinyl
3-Cl, 5-Cl CH2CF3 Me CH2CF3 3-Cl, 5-Cl CH2CF3 Me CH2-2-pyridinyl
3-Cl, 4-F CH2CF3 Me CH2CF3 3-Cl, 4-F CH2CF3 Me CH2-2-pyridinyl -Cl, 4-CF3 CH2CF3 Me CH2CF3 3-Cl, 4-CF3 CH2CF3 Me CH2-2-pyridinyl
3-CI, 4-Br CH2CF3 Me CH2CF3 3-Cl, 4-Br CH2CF3 Me CH2-2-pyridinyl
3-CF3 CH2CF3 Me CH2CF3 3-CF3 CH2CF3 Me CH2-2-pyridinyl -CF3, 5-CF3 CH2CF3 Me CH2CF3 3-CF3, 5-CF3 CH2CF3 Me CH2-2-pyridinyI
3-Br CH2CF3 Me CH2CF3 3-Br CH2CF3 Me CH2-2-pyridinyI
3-Br, 5-Br CH2CF3 Me CH2CF3 3-Br, 5-Br CH2CF3 Me CH2-2-pyridinyl
3-Cl CN Me CH2CF3 3-CI CN Me CH2-2-pyridinyl
3-Cl, 4-Cl CN Me CH2CF3 3-Cl, 4-Cl CN Me CH2-2-pyridinyl
3-CI, 5-Cl CN Me CH2CF3 3-Cl, 5-CI CN Me CH2-2-pyridinyl
3-CI, 4-F CN Me CH2CF3 3-Cl, 4-F CN Me CH2-2-pyridinyI
3-Cl, 4-CF3 CN Me CH2CF3 3-Cl, 4-CF3 CN Me CH2-2-pyridinyl
3-Cl, 4-Br CN Me CH2CF3 3-CI, 4-Br CN Me CH2-2-pyridinyl
3-CF3 CN Me CH2CF3 3-CF3 CN Me CH2-2-pyridinyl -CF3, 5-CF3 CN Me CH2CF3 3-CF3, 5-CF3 CN Me CH2-2-pyridinyl
3-Br CN Me CH2CF3 3-Br CN Me CH2-2-pyridϊnyl
3-Br, 5-Br CN Me CH2CF3 3-Br, 5-Br CN Me CH2-2-pyridinyI
3-C1 H Cl CH2CF3 3-Cl H Cl CH2-2-pyridinyl
3-Cl, 4-Cl H Cl CH2CF3 3-Cl, 4-Cl H Cl CH2-2-pyridiny]
3-CI, 5-α H Cl CH2CF3 3-Cl, 5-Cl H Cl CH2-2-pyridinyl
3-CI, 4-F H Cl CH2CF3 3-Cl, 4-F H Cl CH2-2-pyridinyl -CI, 4-CF3 H Cl CH2CF3 3-Cl, 4-CF3 H Cl CH2-2-pyridiny]
3-Cl, 4-Br H CI CH2CF3 3-Cl, 4-Br H Cl CH2-2-pyridinyl
3-CF3 H Cl CH2CF3 3-CF3 H Cl CH2-2-pyridinyl -CF3, 5-CF3 H Cl CH2CF3 3-CF3, 5-CF3 H Cl CH2-2-pyridinyl
3-Br H Cl CH2CF3 3-Br H Cl CH2-2-pyridinyl
3-Br, 5-Br H Cl CH2CF3 3-Br, 5-Br H Cl CH2-2-pyridinyl
3-CI Me CI CH2CF3 3-Cl Me CI CH2-2-pyridinyl
3-Cl, 4-Cl Me Cl CH2CF3 3-CI74-Cl Me Cl CH2-2-pyridinyl
3-Cl, 5-Cl Me Cl CH2CF3 3-Cl, 5-CI Me Cl CH2-2-pyridinyl
3-Cl, 4-F Me CI CH2CF3 3-Cl, 4-F Me Cl CH2-2-pyridinyl -CI, 4-CF3 Me Cl CH2CF3 3-Cl, 4-CF3 Me CI CH2-2-pyridiny]
3-C1, 4-Br Me Cl CH2CF3 3-Cl, 4-Br Me Cl CH2-2-pyridiny]
3-CF3 Me Cl CH2CF3
Figure imgf000038_0001
3-CF3 Me Cl CH2-2-pyridinyl (R2); m R3 R5R13 (R2) m R3 R5R13 -CF3, 5-CF3 Me Cl CH2CF3 3-CF3, 5-CF3 Me Cl CH2-2-pyridinyl
3-Br Me Cl CH2CF3 3-Br Me Cl CH2-2-pyridinyl
3-Br, 5-Br Me Cl CH2CF3 3-Br, 5-Br Me Cl CH2-2-pyridinyl
3-Cl Et Cl CH2CF3 3-Cl Et Cl CH2-2-pyridinyl
3-Cl, 4-Cl Et Cl CH2CF3 3-Cl, 4-Cl Et Cl CH2-2-pyridinyl
3-Cl, 5-Cl Et Cl CH2CF3 3-Cl, 5-Cl Et Cl CH2-2-pyridinyl
3-Cl, 4-F Et CI CH2CF3 3-Cl, 4-F Et Cl CH2-2-ρyridinyl
3-Cl, 4-CF3 Et Cl CH2CF3 3-Cl, 4-CF3 Et Cl CH2-2-pyridinyl
3-Cl, 4-Br Et Cl CH2CF3 3-Cl, 4-Br Et Cl CH2-2-pyridinyl
3-CF3 Et Cl CH2CF3 3-CF3 Et Cl CH2-2-pyridinyI -CF3, 5-CF3 Et Cl CH2CF3 3-CF3, 5-CF3 Et Cl CH2-2-pyridinyl
3-Br Et Cl CH2CF3 3-Br Et Cl CH2-2-pyridinyl
3-Br, 5-Br Et Cl CH2CF3 3-Br, 5-Br Et Cl CH2-2-pyridinyl
3-Cl CH2CF3 Cl CH2CF3 3-Cl CH2CF3 Cl CH2-2-pyridinyl
3-Cl, 4-Cl CH2CF3 Cl CH2CF3 3-CI, 4-Cl CH2CF3 Cl CH2-2-pyridinyl
3-Cl, 5-Cl CH2CF3 Cl CH2CF3 3-Cl, 5-Cl CH2CF3 Cl CH2-2-pyridinyl
3-Cl, 4-F CH2CF3 Cl CH2CF3 3-Cl, 4-F CH2CF3 Cl CH2-2-pyridinyl
3-Cl, 4-CF3 CH2CF3 Cl CH2CF3 3-Cl, 4-CF3 CH2CF3 Cl CH2-2-ρyridinyl
3-Cl, 4-Br CH2CF3 Cl CH2CF3 3-Cl, 4-Br CH2CF3 Cl CH2-2-pyridinyl
3-CF3 CH2CF3 Cl CH2CF3 3-CF3 CH2CF3 Cl CH2-2-pyridinyl -CF3, 5-CF3 CH2CF3 Cl CH2CF3 3-CF3, 5-CF3 CH2CF3 Cl CH2-2-pyridinyl
3-Br CH2CF3 CI CH2CF3 3-Br CH2CF3 Cl CH2-2-pyridinyl
3-Br, 5-Br CH2CF3 CI CH2CF3 3-Br, 5-Br CH2CF3 Cl CH2-2-ρyridinyt
3-Cl CN CI CH2CF3 3-Cl CN Cl CH2-2-ρyridinyl
3-Cl, 4-Cl CN Cl CH2CF3 3-Cl, 4-Cl CN Cl CH2-2-pyridiny]
3-Cl, 5-Cl CN Cl CH2CF3 3-Cl, 5-Cl CN Cl CH2-2-pyridinyl
3-Cl, 4-F CN Cl CH2CF3 3-CI, 4-F CN CI CH2-2-ρyridinyl
3-Cl, 4-CF3 CN Cl CH2CF3 3-Cl, 4-CF3 CN Cl CH2-2-pyridinyl
3-Cl, 4-Br CN Cl CH2CF3 3-Cl, 4-Br CN Cl CH2-2-pyridiπyl
3-CF3 CN Cl CH2CF3 3-CF3 CN CI CH2-2-ρyridinyl -CF3, 5-CF3 CN Cl CH2CF3 3-CF3, 5-CF3 CN Cl CH2-2-ρyridiπyl
3-Br CN Cl CH2CF3 3-Br CN Cl CH2-2-ρyridinyl
3-Br, 5-Br CN Cl CH2CF3 3-Br, 5-Br CN Cl CH2-2-pyridinyl
3-Cl H CF3 CH2CF3 3-Cl H CF3 CH2-2-pyridinyl
3-Cl, 4-Cl H CF3 CH2CF3 3-Cl, 4-Cl H CF3 CH2-2-pyridinyl
3-Cl, 5-CI H CF3 CH2CF3 3-Cl, 5-Cl H CF3 CH2-2-pyridinyl
3-Cl, 4-F H CF3 CH2CF3
Figure imgf000039_0001
3-Cl, 4-F H CF3 CH2-2-pyridinyl (R2)m R3 R5 (R2)m R3 _ R5_ Rl3
3-Cl, 4-CF3 H CF3 CH2CF3 3-Cl, 4-CF3 H CF3 CH2-2-pyridinyI
3-Cl, 4-Br H CF3 CH2CF3 3-Cl, 4-Br H CF3 CH2-2-pyridinyl
3-CF3 H CF3 CH2CF3 3-CF3 H CF3 CH2-2-pyridinyl -CF3, 5-CF3 H CF3 CH2CF3 3-CF3, 5-CF3 H CF3 CH2-2-pyridinyl
3-Br H CF3 CH2CF3 3-Br H CF3 CH2-2-pyridinyl
3-Br, 5-Br H CF3 CH2CF3 3-Br, 5-Br H CF3 CH2-2 -py rid iny 1
3-Cl Me CF3 CH2CF3 3-Cl Me CF3 CH2-2-pyridinyl
3-Cl, 4-Cl Me CF3 CH2CF3 3-Cl, 4-Cl Me CF3 CH2-2-pyridinyl
3-Cl, 5-Cl Me CF3 CH2CF3 3-Cl, 5-Cl Me CF3 CH2-2-pyridinyl
3-Cl, 4-F Me CF3 CH2CF3 3-Cl, 4-F Me CF3 CH2-2-pyridinyl
3-Cl, 4-CF3 Me CF3 CH2CF3 3-Cl, 4-CF3 Me CF3 CH2-2-pyridiπyl
3-Cl, 4-Br Me CF3 CH2CF3 3-Cl, 4-Br Me CF3 CH2-2-pyridinyI
3-CF3 Me CF3 CH2CF3 3-CF3 Me CF3 CH2-2-pyridinyl -CF3, 5-CF3 Me CF3 CH2CF3 3-CF3, 5-CF3 Me CF3 CH2-2-pyridinyI
3-Br Me CF3 CH2CF3 3-Br Me CF3 CH2-2-pyridinyl
3-Br, 5-Br Me CF3 CH2CF3 3-Br, 5-Br Me CF3 CH2-2-pyridinyl
3-Cl Et CF3 CH2CF3 3-CI Et CF3 CH2-2-pyridinyl
3-Cl, 4-Cl Et CF3 CH2CF3 3-Cl, 4-Cl Et CF3 CH2-2-pyridinyl
3-Cl, 5-Cl Et CF3 CH2CF3 3-Cl, 5-Cl Et CF3 CH2-2-pyridinyI
3-Cl, 4-F Et CF3 CH2CF3 3-Cl, 4-F Et CF3 CH2-2-pyridinyl
3-Cl, 4-CF3 Et CF3 CH2CF3 3-Cl, 4-CF3 Et CF3 CH2-2-pyridinyl
3-Cl, 4-Br Et CF3 CH2CF3 3-Cl, 4-Br Et CF3 CH2-2-pyridinyl
3-CF3 Et CF3 CH2CF3 3-CF3 Et CF3 CH2-2-pyridinyl -CF3, 5-CF3 Et CF3 CH2CF3 3-CF3, 5-CF3 Et CF3 CH2-2-pyridiny]
3-Br Et CF3 CH2CF3 3-Br Et CF3 CH2-2-pyridJnyl
3-Br, 5-Br Et CF3 CH2CF3 3-Br, 5-Br Et CF3 CH2-2-pyridiny]
3-Cl CH2CF3 CF3 CH2CF3 3-Cl CH2CF3 CF3 CH2-2-pyridinyI
3-Cl, 4-Cl CH2CF3 CF3 CH2CF3 3-Cl, 4-Cl CH2CF3 CF3 CH2-2-pyridinyl
3-Cl, 5-Cl CH2CF3 CF3 CH2CF3 3-Cl, 5-Cl CH2CF3 CF3 CH2~2-pyridiny]
3-Cl, 4-F CH2CF3 CF3 CH2CF3 3-Cl, 4-F CH2CF3 CF3 CH2-2-pyridinyl
3-Cl, 4-CF3 CH2CF3 CF3 CH2CF3 3-Cl, 4-CF3 CH2CF3 CF3 CH2-2-pyridinyl
3-CI, 4-Br CH2CF3 CF3 CH2CF3 3-Cl, 4-Br CH2CF3 CF3 CH2-2-pyridiny]
3-CF3 CH2CF3 CF3 CH2CF3 3-CF3 CH2CF3 CF3 CH2-2-pyridinyl -CF3, 5-CF3 CH2CF3 CF3 CH2CF3 3-CF3, 5-CF3 CH2CF3 CF3 CH2-2-pyridinyl
3-Br CH2CF3 CF3 CH2CF3 3-Br CH2CF3 CF3 CH2-2-pyridinyl
3-Br, 5-Br CH2CF3 CF3 CH2CF3 3-Br, 5-Br CH2CF3 CF3 CH2-2-pyridinyl
3-Cl CN CF3 CH2CF3
Figure imgf000040_0001
3-Cl CN CF3 CH2-2-pyridinyl
Figure imgf000041_0001
(R2)m R3 R5 Rl3 (R2)m R3 R5R13
3-Br Et CN CH2CF3 3-Br Et CN CH2-2-pyridinyl
3-Br, 5-Br Et CN CH2CF3 3-Br, 5-Br Et CN CH2-2-pyridinyl
3-Cl CH2CF3 CN CH2CF3 3-Cl CH2CF3 CN CH2-2-pyridinyl
3-Cl, 4-Cl CH2CF3 CN CH2CF3 3-Cl, 4-Cl CH2CF3 CN CH2-2-pyridinyl
3-Cl, 5-Cl CH2CF3 CN CH2CF3 3-Cl, 5-Cl CH2CF3 CN CH2-2-pyridinyl
3-Cl, 4-F CH2CF3 CN CH2CF3 3-Cl, 4-F CH2CF3 CN CH2-2-pyridinyl
3-Cl, 4-CF3 CH2CF3 CN CH2CF3 3-Cl, 4-CF3 CH2CF3 CN CH2-2-pyridinyl
3-Cl, 4-Br CH2CF3 CN CH2CF3 3-Cl, 4-Br CH2CF3 CN CH2-2-pyridinyl
3-CF3 CH2CF3 CN CH2CF3 3-CF3 CH2CF3 CN CH2-2-pyridinyl -CF3, 5-CF3 CH2CF3 CN CH2CF3 3-CF3, 5-CF3 CH2CF3 CN CH2-2-pyridinyl
3-Br CH2CF3 CN CH2CF3 3-Br CH2CF3 CN CH2-2-pyridinyl
3-Br, 5-Br CH2CF3 CN CH2CF3 3-Br, 5-Br CH2CF3 CN CH2-2-pyridinyl
3-Cl CN CN CH2CF3 3-Cl CN CN CH2-2-pyridinyl
3-Cl, 4-Cl CN CN CH2CF3 3-Cl, 4-Cl CN CN CH2-2-pyridinyl
3-Cl, 5-Cl CN CN CH2CF3 3-Cl, 5-Cl CN CN CH2-2-pyridinyI
3-Cl, 4-F CN CN CH2CF3 3-Cl, 4-F CN CN CH2-2-pyridinyI
3-Cl, 4-CF3 CN CN CH2CF3 3-Cl, 4-CF3 CN CN CH2-2-pyridinyl
3-Cl, 4-Br CN CN CH2CF3 3-Cl, 4-Br CN CN CH2-2-pyridinyl
3-CF3 CN CN CH2CF3 3-CF3 CN CN CH2-2-pyridinyl -CF3, 5-CF3 CN CN CH2CF3 3-CF3, 5-CF3 CN CN CH2-2-pyridinyl
3-Br CN CN CH2CF3 3-Br CN CN CH2-2-pyridinyl
3-Br, 5-Br CN CN CH2CF3 3-Br, 5-Br CN CN CH2-2-pyridinyl
3-Cl H OMe CH2CF3 3-Cl H OMe CH2-2-pyridinyl
3-Cl, 4-CI H OMe CH2CF3 3-CI, 4-Cl H OMe CH2-2-pyridinyl
3-Cl, 5-Cl H OMe CH2CF3 3-Cl, 5-Cl H OMe CH2-2-pyridi πy]
3-Cl, 4-F H OMe CH2CF3 3-Cl, 4-F H OMe CH2-2-pyridinyl
3-Cl, 4-CF3 H OMe CH2CF3 3-CI, 4-CF3 H OMe CH2-2-pyridinyl
3-Cl, 4-Br H OMe CH2CF3 3-Cl, 4-Br H OMe CH2-2-pyridinyl
3-CF3 H OMe CH2CF3 3-CF3 H OMe CH2-2-pyridinyl -CF3, 5-CF3 H OMe CH2CF3 3-CF3, 5-CF3 H OMe CH2-2-pyridinyl
3-Br H OMe CH2CF3 3-Br H OMe CH2-2-pyridinyl
3-Br, 5-Br H OMe CH2CF3 3-Br, 5-Br H OMe CH2-2-pyridinyl
3-Cl Me OMe CH2CF3 3-CI Me OMe CH2-2-pyridinyl
3-Cl, 4-Cl Me OMe CH2CF3 3-Cl, 4-Cl Me OMe CH2-2-pyridinyl
3-CI, 5-Cl Me OMe CH2CF3 3-Cl, 5-Cl Me OMe CH2-2-pyridinyl
3-Cl, 4-F Me OMe CH2CF3 3-Cl, 4-F Me OMe CH2-2-pyridinyl -CI, 4-CF3 Me OMe CH2CF3
Figure imgf000042_0001
3-Cl, 4-CF3 Me OMe CH2-2-pyridinyl
Figure imgf000043_0001
Figure imgf000044_0001
Figure imgf000045_0001
Figure imgf000046_0001
(R2)m R3 R5R13 (R2)r R3 R5 Rl3
3-Cl, 4-F Me CF3 Et 3-Cl, 4-F Me CN Et
3-CI, 4-CF3 Me CF3 Et 3-Cl, 4-CF3 Me CN Et
3-Cl, 4-Br Me CF3 Et 3-Cl, 4-Br Me CN Et
3-CF3 Me CF3 Et 3-CF3 Me CN Et -CF3, 5-CF3 Me CF3 Et 3-CF3, 5-CF3 Me CN Et
3-Br Me CF3 Et 3-Br Me CN Et
3-Br, 5-Br Me CF3 Et 3-Br, 5-Br Me CN Et
3-Cl Et CF3 Et 3-Cl Et CN Et
3-Cl, 4-Cl Et CF3 Et 3-Cl, 4-Cl Et CN Et
3-Cl, 5-Cl Et CF3 Et 3-Cl, 5-Cl Et CN Et
3-Cl, 4-F Et CF3 Et 3-Cl, 4-F Et CN Et
3-Cl, 4-CF3 Et CF3 Et 3-Cl, 4-CF3 Et CN Et
3-Cl, 4-Br Et CF3 Et 3-Cl, 4-Br Et CN Et
3-CF3 Et CF3 Et 3-CF3 Et CN Et -CF3, 5-CF3 Et CF3 Et 3-CF3, 5-CF3 Et CN Et
3-Br Et CF3 Et 3-Br Et CN Et
3-Br, 5-Br Et CF3 Et 3-Br, 5-Br Et CN Et
3-Cl CH2CF3 CF3 Et 3-Cl CH2CF3 CN Et
3-Cl, 4-Cl CH2CF3 CF3 Et 3-Cl, 4-Cl CH2CF3 CN Et
3-Cl, 5-Cl CH2CF3 CF3 Et 3-Cl, 5-Cl CH2CF3 CN Et
3-Cl, 4-F CH2CF3 CF3 Et 3-Cl, 4-F CH2CF3 CN Et
3-Cl, 4-CF3 CH2CF3 CF3 Et 3-CI, 4-CF3 CH2CF3 CN Et
3-Cl, 4-Br CH2CF3 CF3 Et 3-CI, 4-Br CH2CF3 CN Et
3-CF3 CH2CF3 CF3 Et 3-CF3 CH2CF3 CN Et -CF3, 5-CF3 CH2CF3 CF3 Et 3-CF3, 5-CF3 CH2CF3 CN Et
3-Br CH2CF3 CF3 Et 3-Br CH2CF3 CN Et
3-Br, 5-Br CH2CF3 CF3 Et 3-Br, 5-Br CH2CF3 CN Et
3-CI CN CF3 Et 3-Cl CN CN Et
3-Cl, 4-Cl CN CF3 Et 3-Cl, 4-Cl CN CN Et
3-Cl, 5-Cl CN CF3 Et 3-Cl, 5-Cl CN CN Et
3-Cl, 4-F CN CF3 Et 3-Cl, 4-F CN CN Et -Cl, 4-CF3 CN CF3 Et 3-Cl, 4-CF3 CN CN Et
3-Cl, 4-Br CN CF3 Et 3-Cl, 4-Br CN CN Et
3-CF3 CN CF3 Et 3-CF3 CN CN Et -CF3, 5-CF3 CN CF3 Et 3-CF3, 5-CF3 CN CN Et
3-Br CN CF3 Et 3-Br CN CN Et
3-Br, 5-Br CN CF3 Et
Figure imgf000047_0001
3-Br, 5-Br CN CN Et
Figure imgf000048_0001
Table 2
Figure imgf000048_0002
Q-I Q-2 Q-3 Q-4
Figure imgf000049_0001
Q-2
Q-2
Q-2
Q-2
Q-2
Q-2
Q-2
Q-2
Q-2
Q-2
Q-2
Q-2
Q-2
Q-2
Q-2
Q-2
Q-2
Q-2
Q-2
Q-2
Q-2
Q-2
Q-2
Q-2
Q-2
Q-2
Q-2
Q-2
Q-2
Q-2
Q-2
Q-2
Q-2
Q-3
Q-3
Q-3
Figure imgf000050_0001
Q-3
Figure imgf000051_0001
(R2)r R3 R5 Q (R2): m R3 R3
3-CF3 H H Q-4 3-CF3 H NO2 Q-4 3-CF3, 5-CF3 H H Q-4 3-CF3, 5-CF3 H NO2 Q-4
3-Br H H Q-4 3-Br H NO2 Q-4 3-Br, 5-Br H H Q-4 3-Br, 5-Br H NO2 Q-4
3-Cl Me H Q-4 3-Cl Me NO2 Q-4
3-Cl, 4-Cl Me H Q-4 3-CI, 4-Cl Me NO2 Q-4
. 3-Cl, 5-Cl Me H Q-4 3-Cl, 5-Cl Me NO2 Q-4
3-Cl, 4-F Me H Q-4 3-CI, 4-F Me NO2 Q-4
3-Cl, 4-CF3 Me H Q-4 3-Cl, 4-CF3 Me NO2 Q-4
3-CI, 4-Br Me H Q-4 3-Cl, 4-Br Me NO2 Q-4
3-CF3 Me H Q-4 3-CF3 Me NO2 Q-4 3-CF3, 5-CF3 Me H Q-4 3-CF3, 5-CF3 Me NO2 Q-4
3-Br Me H Q-4 3-Br Me NO2 Q-4 3-Br, 5-Br Me H Q-4 3-Br, 5-Br Me NO2 Q-4
3-Cl Et H Q-4 3-Cl Et NO2 Q-4
3-Cl, 4-Cl Et H Q-4 3-Cl, 4-CI Et NO2 Q-4 3-Cl, 5-Cl Et H Q-4 3-Cl, 5-Cl Et NO2 Q-4 3-CI, 4-F Et H Q-4 3-Cl, 4-F Et NO2 Q-4 3-Cl, 4-CF3 Et H Q-4 3-CI, 4-CF3 Et NO2 Q-4 3-Cl, 4-Br Et H Q-4 3-Cl, 4-Br Et NO2 Q-4
3-CF3 Et H Q-4 3-CF3 Et NO2 Q-4 -CF3, 5-CF3 Et H Q-4 3-CF3, 5-CF3 Et NO2 Q-4
3-Br Et H Q-4 3-Br Et NO2 Q-4 3-Br, 5-Br Et H Q-4 3-Br, 5-Br Et NO2 Q-4
3-Cl CH2CF3 H Q-4 3-Cl CH2CF3 NO2 Q-4
3-Cl, 4-Cl CH2CF3 H Q-4 3-Cl, 4-CI CH2CF3 NO2 Q-4 3-Cl1 5-Cl CH2CF3 H Q-4 3-Cl, 5-Cl CH2CF3 NO2 Q-4 3-CI, 4-F CH2CF3 H Q-4 3-Cl, 4-F CH2CF3 NO2 Q-4 3-CI, 4-CF3 CH2CF3 H Q-4 3-Cl, 4-CF3 CH2CF3 NO2 Q-4 3-Cl, 4-Br CH2CF3 H Q-4 3-Cl, 4-Br CH2CF3 NO2 Q-4
3-CF3 CH2CF3 H Q-4 3-CF3 CH2CF3 NO2 Q-4 -CF3, 5-CF3 CH2CF3 H Q-4 3-CF3, 5-CF3 CH2CF3 NO2 Q-4
3-Br CH2CF3 H Q-4 3-Br CH2CF3 NO2 Q-4 3-Br, 5-Br CH2CF3 H Q-4 3-Br, 5-Br CH2CF3 NO2 Q-4
3-Cl CN H Q-4 3-CI CN NO2 Q-4
3-Cl, 4-Cl CN H Q-4 3-Cl, 4-Cl CN NO2 Q-4 3-Cl, 5-Cl CN H Q-4 3-CI, 5-Cl CN NO2 Q-4
Figure imgf000053_0001
Figure imgf000054_0001
Figure imgf000055_0001
Q-4 .Q-4 Q-4 Q-4 Q-4 Q-4 Q-4 Q-4 Q-4 Q-4 Q-4 Q-4 Q-4 Q-4 Q-4 Q-4 Q-4 Q-4 Q-4 Q-4
Figure imgf000056_0001
Q-4
Table 3
Figure imgf000056_0002
C(O)NHCH2CF3 C(O)NHCH2CF3 C(O)NHCH2CF3 C(O)NHCH2CF3 C(O)NHCH2CF3 C(O)NHCH2CF3
Figure imgf000056_0003
C(O)NHCH2CF3
Figure imgf000057_0001
Table 4
Figure imgf000057_0002
Figure imgf000058_0001
Table 5
Figure imgf000059_0001
dinyl dinyl dinyl dinyl dinyl
Figure imgf000060_0001
dinyl
Table 6
) ) ) )
Figure imgf000060_0002
Figure imgf000061_0001
Figure imgf000062_0001
R3 Bi Q. S?. El
H Cl C(S)NH(CH2C≡CH) Me Cl C(S)NH(CH2CsCH)
H CN C(S)NH(CH2O≡CH) Me CN C(S)NH(CH2CsCH)
H Me C(S)NH(CH2CsCH) Me Me C(S)NH(CH2CsCH)
H NO2 C(S)NH(CH2C≡CH) Me NO2 C(S)NH(CH2CsCH)
Table 7
Figure imgf000063_0001
Q-I Q-4 Q-5 Q-6 Q-7
(R2)m R3 R5 Al A3 Q (R2)m R3 R5 Al A3 Q -Cl, 4-Cl H H CH N Q-I 3-Cl, 5-Cl H H CH N Q-I -Cl, 4-Cl Me H CH N' Q-I 3-Cl, 5-Cl Me H CH N Q-i -Cl, 4-CI CH2CF3 H CH N Q-I 3-Cl, 5-Cl CH2CF3 H CH N Q-i -Cl, 4-Cl H Me CH N Q-I 3-CI, 5-Cl H Me CH N Q-I -CU 4-Cl Me Me CH N Q-I 3-Cl, 5-Cl Me Me CH N Q-I -Cl, 4-Cl CH2CF3 Me CH N Q-I 3-Cl, 5-Cl CH2CF3 Me CH N Q-I -Cl, 4-CI H CF3 CH N Q-I 3-Cl, 5-Cl H CF3 CH N Q-I -Cl, 4-Cl Me CF3 CH N Q-I 3-Cl, 5-Cl Me CF3 CH N Q-I -Cl, 4-Cl CH2CF3 CF3 CH N Q-I 3-Cl, 5-Cl CH2CF3 CF3 CH N Q-I -Cl, 4-Cl H Me N CH Q-I 3-Cl, 5-Cl H Me N CH Q-I -Cl, 4-Cl Me Me N CH Q-I 3-Cl, 5-Cl Me Me N CH Q-I -Cl, 4-Cl CH2CF3 Me N CH Q-I 3-Cl, 5-Cl CH2CF3 Me N CH Q-I -Cl, 4-Cl H CF3 N CH Q-I 3-Cl, 5-Cl H CF3 N CH Q-I -Cl, 4-Cl Me CF3 N CH Q-I 3-Cl, 5-Cl Me CF3 N CH Q-I -Cl, 4-Cl CH2CF3 CF3 N CH Q-I 3-Cl, 5-Cl CH2CF3 CF3 N CH Q-I -Cl, 4-Cl H Me N N Q-I 3-Cl, 5-Cl H Me N N Q-I -Cl, 4-Cl Me Me N N Q-i 3-CI, 5-Cl Me Me N N Q-I -Cl, 4-Cl CH2CF3 Me N N Q-i 3-Cl, 5-Cl CH2CF3 Me N N Q-I -Cl, 4-Cl H CF3 N N Q-i
Figure imgf000063_0002
3-Cl, 5-Cl H CF3 N N Q-I (R2)m R3 R5 Al A3 Q <R2)m R3 R5 Al A3 Q -Cl, 4-Cl Me CF3 N N Q-I 3-Cl, 5-Cl Me CF3 N N Q-I -Cl, 4-Cl CH2CF3 CF3 N N Q-I 3-Cl, 5-Cl CH2CF3 CF3 N N Q-I -Cl, 4-Cl H H CH N Q-4 3-Cl, 5-Cl H H CH N Q-4 -Cl, 4-Cl Me H CH N Q-4 3-Cl, 5-Cl Me H CH N Q-4 -Cl, 4-Cl CH2CF3 H CH N Q-4 3-Cl, 5-Cl CH2CF3 H CH N Q-4 -Cl, 4-Cl H Me CH N Q-4 3-Cl, 5-Cl H Me CH N Q-4 -Cl, 4-Cl Me Me CH N Q-4 3-Cl, 5-Cl Me Me CH N Q-4 -Cl, 4-Cl CH2CF3 Me CH N Q-4 3-Cl, 5-Cl CH2CF3 Me CH N Q-4 -Cl, 4-Cl' H CF3 CH N Q-4 3-Cl, 5-Cl H CF3 CH N Q-4 -Cl, 4-Cl Me CF3 CH N Q-4 3-Cl, 5-Cl Me CF3 CH N Q-4 -Cl, 4-Cl CH2CF3 CF3 CH N Q-4 3-Cl, 5-Cl CH2CF3 CF3 CH N Q-4 -Cl, 4-Cl H Me N CH Q-4 3-Cl, 5-Cl H Me N CH Q-4 -C!, 4-Cl Me Me N CH Q-4 3-Cl, 5-Cl Me Me N CH Q-4 -Cl, 4-Cl CH2CF3 Me N CH Q-4 3-CI, 5-Cl CH2CF3 Me N CH Q-4 -Cl, 4-Cl H CF3 N CH Q-4 3-Cl, 5-Cl H CF3 N CH Q-4 -Cl, 4-Cl Me CF3 N CH Q-4 3-Cl, 5-Cl Me CF3 N CH Q-4 -Cl, 4-Cl CH2CF3 CF3 N CH Q-4 3-CI, 5-Cl CH2CF3 CF3 N CH Q-4 -Cl, 4-Cl H Me N N Q-4 3-Cl, 5-Cl H Me N N Q-4 -CI, 4-Cl Me Me N N Q-4 3-Cl, 5-Cl Me Me N N Q-4 -CI, 4-Cl CH2CF3 Me N N Q-4 3-Cl, 5-Cl CH2CF3 Me N N Q-4 -Cl, 4-Cl H CF3 N N Q-4 3-Cl, 5-Cl H CF3 N N Q-4 -Cl, 4-Cl Me CF3 N N Q-4 3-Cl, 5-Cl Me CF3 N N Q-4 -Cl, 4-Cl CH2CF3 CF3 N N Q-4 3-Cl, 5-Cl CH2CF3 CF3 N N Q-4 -Cl, 4-Cl H H CH N Q-5 3-CI, 5-Cl H H CH N Q-5 -Cl, 4-Cl Me H CH N Q-5 3-Cl, 5-Cl Me H CH N Q-5 -Cl, 4-Cl CH2CF3 H CH N Q-5 3-Cl, 5-Cl CH2CF3 H CH N Q-5 -Cl, 4-Cl H Me CH N Q-5 3-Cl, 5-Cl H Me CH N Q-5 -Cl, 4-Cl Me Me CH N Q-5 3-CI, 5-Cl Me Me CH N Q-5 -Cl, 4-Cl CH2CF3 Me CH N Q-5 3-Cl, 5-Cl CH2CF3 Me CH N Q-5 -Cl, 4-Cl H CF3 CH N Q-5 3-Cl, 5-Cl H CF3 CH N Q-5 -Cl, 4-Cl Me CF3 CH N Q-5 3-Cl, 5-Cl Me CF3 CH N Q-5 -Cl, 4-Cl CH2CF3 CF3 CH N Q-5 3-Cl, 5-Cl CH2CF3 CF3 CH N Q-5 -Cl, 4-Cl H Me N CH Q-5 3-Cl, 5-Cl H Me N CH Q-5 -Cl, 4-Ci Me Me N CH Q-5 3-CI, 5-Cl Me Me N CH Q-5 -Cl, 4-Cl CH2CF3 Me N CH Q-5 3-CI, 5-Cl CH2CF3 Me N CH Q-5 -Cl, 4-Cl H CF3 N CH Q-5 3-Cl, 5-Cl H CF3 N CH Q-5 -Cl, 4-Cl Me CF3 N CH Q-5
Figure imgf000064_0001
3-Cl, S-CI Me CF3 N CH Q-5(R2)m R3 R5 Al A3 Q (R2)m R3 R5 Al A3 Q -C1.4-C1 CH2CF3 CF3 N CH Q-5 3-Cl, 5-Cl CH2CF3 CF3 N CH Q-5 -Cl, 4-Cl H Me N N Q-5 3-Cl, 5-Cl H Me N N Q-5 -Cl, 4-Cl Me Me N N Q-5 3-Cl, 5-Cl Me Me N N Q-5 -Cl, 4-Cl CH2CF3 Me N N Q-5 3-Cl, 5-Cl CH2CF3 Me N N Q-5 -Cl, 4-Cl H CF3 N N Q-5 3-Cl, 5-Cl H CF3 N N Q-5 -Cl, 4-Cl Me CF3 N N Q-5 3-Cl, 5-Cl Me CF3 N N Q-5 -Cl, 4-Cl CH2CF3 CF3 N N Q-5 3-Cl, 5-Cl CH2CF3 CF3 N N Q-5 -Cl, 4-Cl H H CH N Q-6 3-Cl, 5-Cl H H CH N Q-6 -Cl, 4-Cl Me H CH N Q-6 3-Cl, 5-Cl Me H CH N Q-6 -Cl, 4-Cl CH2CF3 H CH N Q-6 3-Cl, 5-Cl CH2CF3 H CH N Q-6 -CI, 4-Cl H Me CH N Q-6 3-Cl, 5-Cl H Me CH N Q-6 -Cl, 4-Cl Me Me CH N Q-6 3-Cl, 5-Cl Me Me CH N Q-6 -Cl, 4-Cl CH2CF3 Me CH N Q-6 3-Cl, 5-Cl CH2CF3 Me CH N Q-6 -Cl, 4-Cl H CF3 CH N Q-6 3-Cl, 5-Cl H CF3 CH N Q-6 -Cl, 4-Cl Me CF3 CH N Q-6 3-Cl, 5-Cl Me CF3 CH N Q-6 -Cl, 4-Cl CH2CF3 CF3 CH N Q-6 3-Cl, 5-Cl CH2CF3 CF3 CH N Q-6 -Cl, 4-Cl H Me N CH Q-6 3-Cl, 5-Cl H Me N CH Q-6 -Cl, 4-Cl Me Me N CH Q-6 3-Cl, 5-Cl Me Me N CH Q-6 -Cl, 4-Cl CH2CF3 Me N CH Q-6 3-Cl, 5-Cl CH2CF3 Me N CH Q-6 -CI, 4-Cl H CF3 N CH Q-6 3-Cl, 5-Cl H CF3 N CH Q-6 -Cl, 4-Cl Me CF3 N CH Q-6 3-Cl, 5-Cl Me CF3 N CH Q-6 -Cl, 4-Cl CH2CF3 CF3 N CH Q-6 3-Cl, 5-Cl CH2CF3 CF3 N CH Q-6 -Cl, 4-Cl H Me N N Q-6 3-Cl, 5-Cl H Me N N Q-6 -Cl, 4-Cl Me Me N N Q-6 3-Cl, 5-Cl Me Me N N Q-6 -Cl, 4-Cl CH2CF3 Me N N Q-6 3-Cl, 5-Cl CH2CF3 Me N N Q-6 -Cl, 4-Cl H CF3 N N Q-6 3-Cl, 5-Cl H CF3 N N Q-6 -Cl, 4-Cl Me CF3 N N Q-6 3-Cl, 5-Cl Me CF3 N N Q-6 -Cl, 4-Cl CH2CF3 CF3 N N Q-6 3-Cl, 5-Cl CH2CF3 CF3 N N Q-6 -Cl, 4-Cl H H CH N Q-7 3-Cl, 5-Ct H H CH N Q-7 -Cl, 4-Cl Me H CH N Q-7 3-Cl, 5-Cl Me H CH N Q-7 -Cl, 4-CI CH2CF3 H CH N Q-7 3-Cl, 5-CI CH2CF3 H CH N Q-7 -Cl, 4-Cl H Me CH N Q-7 3-Cl, 5-Cl H Me CH N Q:7 -Cl, 4-Cl Me Me CH N Q-7 3-Cl, 5-CI Me Me CH N Q-7 -Cl, 4-Cl CH2CF3 Me CH N Q-7 3-Cl, 5-Cl CH2CF3 Me CH N Q-7 -Cl, 4-CI H CF3 CH N Q-7 3-Cl, 5-Cl H CF3 CH N Q-7 -Cl, 4-Cl Me CF3 CH N Q-7 3-CI, 5-Cl Me CF3 CH N Q-7 -Cl, 4-Cl CH2CF3 CF3 CH N Q-7
Figure imgf000065_0001
3-Cl, 5-Cl CH2CF3 CF3 CH N Q-7 (R2)m R3 R5 Al A3 Q (R2)m R3 R5 Al A3 Q -Cl, 4-Cl H Me N CH Q-7 3-Cl, 5-CI H Me N CH Q-7 -Cl, 4-Cl Me Me N CH Q-7 3-Cl, 5-CI Me Me N CH Q-7 -Cl, 4-Cl CH2CF3 Me N CH Q-7 3-Cl, 5-CI CH2CF3 Me N CH Q-7 -C1, 4-Cl H CF3 N CH Q-7 3-Cl, 5-CI H CF3 N CH Q-7 -Cl, 4-Cl Me CF3 N CH Q-7 3-Cl, 5-CI Me CF3 N CH Q-7 -CI, 4-Cl CH2CF3 CF3 N CH Q-7 3-Cl, 5-CI CH2CF3 CF3 N CH Q-7 -Cl, 4-CI H Me N N Q-7 3-Cl, 5-CI H Me N N Q-7 -CI, 4-Cl Me Me N N Q-7 3-Cl, 5-CI Me Me N N Q-7 -Cl, 4-CI CH2CF3 Me N N Q-7 3-Cl, 5-CI CH2CF3 Me N N Q-7 -Cl, 4-Cl H CF3 N N Q-7 3-CI, 5-CI H CF3 N N Q-7 -Cl, 4-Cl Me CF3 N N Q-7 3-Cl, 5-CI Me CF3 N N Q-7 -Cl, 4-Cl CH2CF3 CF3 N N Q-7
Figure imgf000066_0001
3-Cl, 5-CI CH2CF3 CF3 N N Q-7
Table 8
Figure imgf000066_0002
Q-I Q-4 Q-5 Q-6 Q-7
(R2) m R3 A1 Q (R2) 'rm R3 Al
3-Cl, 4-CI H CH Q-I 3-Cl, 5-CI H CH Q-I 3-Cl, 4-Cl Me CH Q-I 3-Cl, 5-CI Me CH Q-I 3-Cl, 4-Cl Et CH Q-I 3-CI, 5-CI Et CH Q-I 3-CI, 4-Cl CH2CF3 CH Q-I 3-Cl, 5-CI CH2CF3 CH Q-I 3-CI, 4-CI CN CH Q-I 3-Cl, 5-CI CN CH Q-I 3-Cl, 4-Cl H N Q-I 3-Cl, 5-CI H N Q-I 3-CI, 4-Cl Me N Q-I 3-Cl, 5-CI Me N Q-I 3-Cl, 4-Cl Et N Q-I 3-Cl, 5-CI Et N Q-I 3-CI, 4-Cl CH2CF3 N Q I 3-Cl, 5-CE CH2CF3 N Q-I 3-Cl, 4-CI CN N Q-I 3-CI, 5-CI CN N Q-I 3-Cl74-Cl H CH Q-4
Figure imgf000066_0003
3-CI, 5-CI H CH Q-4
Figure imgf000067_0001
<R2>m R3 A» Q (R2)m R3 Al Q
3-Cl, 4-CI CH2CF3 N Q-7 3-Cl, 5-CI CH2CF3 N Q-7
3-Cl, 4-CI CN N Q-7 3-Cl, 5-Cl CN N Q-7
Formulation/Utility
Compounds of this invention can generally be used as a formulation or a composition with a carrier suitable for agronomic or nonagronomic uses comprising at least one of a liquid diluent, a solid diluent or a surfactant. The formulation or composition ingredients are selected to be consistent with the physical properties of the active ingredient, mode of application and environmental factors such as soil type, moisture and temperature.
Useful formulations include liquids such as solutions (including emulsifϊable concentrates), suspensions, emulsions (including microemulsions and/or suspoemulsions) and the like which optionally can be thickened into gels. The general types of aqueous liquid compositions are soluble concentrate, suspension concentrate, capsule suspension, concentrated emulsion, microemulsion and suspo-emulsion. The general types of nonaqueous liquid compositions are emulsifiable concentrate, microemulsifiable concentrate, dispersible concentrate and oil dispersion.
The general types of solid compositions are dusts, powders, granules, pellets, prills, pastilles, tablets, filled films (including seed coatings) and the like which can be water-dispersible ("wettable") or water-soluble. Films and coatings formed from film- forming solutions or flowable suspensions are particularly useful for seed treatment. Active ingredient can be (micro)encapsulated and further formed into a suspension or solid formulation; alternatively the entire formulation of active ingredient can be encapsulated (or "overcoated")- Encapsulation can control or delay release of the active ingredient. An emulsifiable granule combines the advantages of both an emulsifiable concentrate formulation and a dry granular formulation. High-strength compositions are primarily used as intermediates for further formulation.
Sprayable formulations are typically extended in a suitable medium before spraying. Such liquid and solid formulations are formulated to be readily diluted in the spray medium, usually water. Spray volumes can range from about one to several thousand liters per hectare, but more typically are in the range from about ten to several hundred liters per hectare. Sprayable formulations can be tank mixed with water or another suitable medium for foliar treatment by aerial or ground application, or for application to the growing medium of the plant. Liquid and dry formulations can be metered directly into drip irrigation systems or metered into the furrow during planting. Liquid and solid formulations can be applied onto seeds of crops and other desirable vegetation as seed treatments before planting to protect developing roots and other subterranean plant parts and/or foliage through systemic uptake. The formulations will typically contain effective amounts of active ingredient, diluent and surfactant within the following approximate ranges which add up to 100 percent by weight.
Weight Percent
Active Ingredient Diluent Surfactant
Water-Dispersible and Water-soluble 0.001-90 0-99.999 0-15
Granules, Tablets and Powders.
Suspensions, Emulsions, Solutions 1-50 40-99 0-50
(including Emulsifiable Concentrates)
Dusts 1-25 70-99 0-5
Granules and Pellets 0.001-99 5-99.999 0-15
High Strength Compositions 90-99 0-10 0-2
Solid diluents include, for example, clays such as bentonite, montmorillonite, attapulgite and kaolin, gypsum, cellulose, titanium dioxide, zinc oxide, starch, dextrin, sugars (e.g., lactose, sucrose), silica, talc, mica, diatomaceous earth, urea, calcium carbonate, sodium carbonate and bicarbonate, and sodium sulfate. Typical solid diluents are described in Watkins, et al., Handbook of Insecticide Dust Diluents and Carriers, 2nd Ed., Dorland Books, Caldwell, New Jersey. Liquid diluents include, for example, water, iVyV-dimethylalkanamides (e.g.,
MN-dimethylformamide), limonene, dimethyl sulfoxide, iV-alkylpyrrolidones (e.g., /V-methy1pyrrolidinone), ethylene glycol, Methylene glycol, propylene glycol, dipropylene glycol, polypropylene glycol, propylene carbonate, butylene carbonate, paraffins (e.g., white mineral oils, normal paraffins, isoparaffins), alkylbenzenes, alkylnaphthalenes, glycerine, glycerol triacetate, sorbitol, triacetin, aromatic hydrocarbons, dearomatized aliphatics, alkylbenzenes, alkylnaphthalenes, ketones such as cyclohexanone, 2-heptanone, isophorone and 4-hydroxy-4-methyl-2-pentanone, acetates such as isoamyl acetate, hexyl acetate, heptyl acetate, octyl acetate, nonyl acetate, tridecyl acetate and isobornyl acetate, other esters such as alkylated lactate esters, dibasic esters and γ-butyrolactone, and alcohols, which can be linear, branched, saturated or unsaturated, such as methanol, ethanol, n-propanol, isopropyl alcohol, ra-butanol, isobutyl alcohol, n-hexanol, 2-ethylhexanol, /z-octanol, decanol, isodecyl alcohol, isooctadecanol, cetyl alcohol, lauryl alcohol, tridecyl alcohol, oleyl alcohol, cyclohexanol, tetrahydrofurfuryl alcohol, diacetone alcohol and benzyl alcohol. Liquid diluents also include glycerol esters of saturated and unsaturated fatty acids (typically C6-C22). such as plant seed and fruit oils (e.g, oils of olive, castor, linseed, sesame, corn (maize), peanut, sunflower; grapeseed, safflower, cottonseed, soybean, rapeseed, coconut and palm kernel), animal-sourced fats (e.g., beef tallow, pork tallow, lard, cod liver oil, fish oil), and mixtures thereof. Liquid diluents also include alkylated fatty acids (e.g., methylated, ethylated, butylated) wherein the fatty acids may be obtained by hydrolysis of glycerol esters from plant and animal sources, and can be purified by distillation. Typical liquid diluents are described in Marsden, Solvents Guide, 2nd Ed., Interscience, New York, 1950. McCutcheon's Detergents and Emulsifiers Annual, Allured Publ. Corp., Ridgewood, New Jersey, as well as Sisely and Wood, Encyclopedia of Surface Active Agents, Chemical Publ. Co., Inc., New York, 1964, list surfactants and recommended uses.
The solid and liquid compositions of the present invention often include one or more surfactants. When added to a liquid, surfactants (also known as "surface-active agents") generally modify, most often reduce, the surface tension of the liquid. Depending on the nature of the hydrophilic and lipophilic groups in a surfactant molecule, surfactants can be useful as wetting agents, dispersants, emulsifiers or defoaming agents.
Surfactants can be classified as nonionic, anionic or cationic. Nonionic surfactants useful for the present compositions include, but are not limited to: alcohol alkoxylates such as alcohol alkoxylates based on natural and synthetic alcohols (which may be branched or linear) and prepared from the alcohols and ethylene oxide, propylene oxide, butylene oxide or mixtures thereof; amine ethoxylates, alkanolamides and ethoxylated alkanolamides; alkoxylated triglycerides such as ethoxylated soybean, castor and rapeseed oils; alkylphenol alkoxylates such as octylphenol ethoxylates, nonylphenol ethoxylates, dinonyl phenol ethoxylates and dodecyl phenol ethoxylates (prepared from the phenols and ethylene oxide, propylene oxide, butylene oxide or mixtures thereof); block polymers prepared from ethylene oxide or propylene oxide and reverse block polymers where the terminal blocks are prepared from propylene oxide; ethoxylated fatty acids; ethoxylated fatty esters and oils; ethoxylated methyl esters; ethoxylated tristyrylphenol (including those prepared from ethylene oxide, propylene oxide, butylene oxide or mixtures thereof); fatty acid esters, glycerol esters, lanolin-based derivatives, polyethoxylate esters such as polyethoxylated sorbitan fatty acid esters, polyethoxylated sorbitol fatty acid esters and polyethoxylated glycerol fatty acid esters; other sorbitan derivatives such as sorbitan esters; polymeric surfactants such as random copolymers, block copolymers, alkyd peg (polyethylene glycol) resins, graft or comb polymers and star polymers; polyethylene glycols (pegs); polyethylene glycol fatty acid esters; silicone-based surfactants; and sugar-derivatives such as sucrose esters, alkyl polyglycosides and alkyl polysaccharides.
Useful anionic surfactants include, but are not limited to: alkylaryl sulfonic acids and their salts; cairboxylated alcohol or alkylphenol ethoxylates; diphenyl sulfonate derivatives; lignin and lignin derivatives such as lignosulfonates; maleic or succinic acids or their anhydrides; olefin sulfonates; phosphate esters such as phosphate esters of alcohol alkoxylates, phosphate esters of alkylphenol alkoxylates and phosphate esters of styryl phenol ethoxylates; protein-based surfactants; sarcosine derivatives; styryl phenol ether sulfate; sulfates and sulfonates of oils and fatty acids; sulfates and sulfonates of ethoxylated alkylphenols; sulfates of alcohols; sulfates of ethoxylated alcohols; sulfonates of amines and amides such as iVyV-alkyltaurates; sulfonates of benzene, cumene, toluene, xylene, and dodecyl and tridecylbenzenes; sulfonates of condensed naphthalenes; sulfonates of naphthalene and alkyl naphthalene; sulfonates of fractionated petroleum; sulfosuccinamates; and sulfosuccinates and their derivatives such as dialkyl sulfosuccinate salts. Useful cationic surfactants include, but are not limited to: amides and ethoxylated amides; amines such as iV-alkyl propanediamines, tripropylenetri amines and dipropylene- tetramines, and ethoxylated amines, ethoxylated diamines and propoxylated amines (prepared from the amines and ethylene oxide, propylene oxide, butylene oxide or mixtures thereof); amine salts such as amine acetates and diamine salts; quaternary ammonium salts such as quaternary salts, ethoxylated quaternary salts and diquatemary salts; and amine oxides such as alkyldimethylamine oxides and bis-(2-hydroxyethyl)-alkylamine oxides. Also useful for the present compositions are mixtures of nonionic and anionic surfactants or mixtures of nonionic and cationic surfactants. Nonionic, anionic and cationic surfactants and their recommended uses are disclosed in a variety of published references including McCutcheon's Emulsifiers and Detergents, annual American and International Editions published by McCutcheon's Division, The Manufacturing Confectioner Publishing Co.; Sisely and Wood, Encyclopedia of Surface Active Agents, Chemical Publ. Co., Inc., New York, 1964; and A. S. Davidson and B. Milwidsky, Synthetic Detergents, Seventh Edition, John Wiley and Sons, New York, 1987. Compositions of this invention may also contain formulation auxiliaries and additives, known to those skilled in the art as formulation aids (some of which may be considered to also function as solid diluents, liquid diluents or surfactants). Such formulation auxiliaries and additives may control: pH (buffers), foaming during processing (antifoams such polyorganosiloxanes), sedimentation of active ingredients (suspending agents), viscosity (thixotropic thickeners), in-container microbial growth (antimicrobials), product freezing (antifreezes), color (dyes/pigment dispersions), wash-όff (film formers or stickers), evaporation (evaporation retardants), and other formulation attributes. Film formers include, for example, polyvinyl acetates, polyvinyl acetate copolymers, polyvinylpyrrolidone-vinyl acetate copolymer, polyvinyl alcohols, polyvinyl alcohol copolymers and waxes. Examples of formulation auxiliaries and additives include those listed in McCutcheon's Volume 2: Functional Materials, annual International and North American editions published by McCutcheon's Division, The Manufacturing Confectioner Publishing Co.; and PCT Publication WO 03/024222.
The compound of Formula 1 and any other active ingredients are typically incorporated into the present compositions by dissolving the active ingredient in a solvent or by grinding in a liquid or dry diluent. Solutions, including emulsifiable concentrates, can be prepared by simply mixing the ingredients. If the solvent of a liquid composition intended for use as an emulsifiable concentrate is water-immiscible, an emulsifier is typically added to emulsify the active-containing solvent upon dilution with water. Active ingredient slurries, with particle diameters of up to 2,000 μm can be wet milled using media mills to obtain particles with average diameters below 3 μm. Aqueous slurries can be made into finished suspension concentrates (see, for example, U.S. 3,060,084) or further processed by spray drying to form water-dispersible granules. Dry formulations usually require dry milling processes, which produce average particle diameters in the 2 to 10 μm range. Dusts and powders can be prepared by blending and usually grinding (such as with a hammer mill or fluid-energy mill). Granules and pellets can be prepared by spraying the active material upon preformed granular carriers or by agglomeration techniques. See Browning, "Agglomeration", Chemical Engineering, December 4, 1967, pp 147-48, Perry's Chemical Engineer's Handbook, 4th Ed., McGraw-Hill, New York, 1963, pages 8-57 and following, and WO 91/13546. Pellets can be prepared as described in U.S. 4,172,714. Water-dispersible and water-soluble granules can be prepared as taught in U.S. 4,144,050, U.S. 3,920,442 and DE 3,246,493. Tablets can be prepared as taught in U.S. 5,180,587, U.S. 5,232,701 and U.S. 5,208,030. Films can be prepared as taught in GB 2,095,558 and U.S. 3,299,566.
For further information regarding the art of formulation, see T. S. Woods, "The Formulator's Toolbox — Product Forms for Modern Agriculture" in Pesticide Chemistry and Bioscience, The Food— Environment Challenge, T. Brooks and T. R. Roberts, Eds., Proceedings of the 9th International Congress on Pesticide Chemistry, The Royal Society of Chemistry, Cambridge, 1999, pp. 120-133. See also U.S. 3,235,361, Col. 6, line 16 through Col. 7, line 19 and Examples 10-41; U.S. 3,309,192, Col. 5, line 43 through Col. 7, line 62 and Examples 8, 12, 15, 39, 41, 52, 53, 58, 132, 138-140, 162-164, 166, 167 and 169-182; U.S. 2,891,855, Col. 3, line 66 through Col. 5, line 17 and Examples 1-Λ; Klingman, Weed Control as a Science, John Wiley and Sons, Inc., New York, 1961, pp 81-96; Hance et al., Weed Control Handbook, 8th Ed., Blackwell Scientific Publications, Oxford, 1989; and Developments in formulation technology, PJB Publications, Richmond, UK, 2000.
In the following Examples, all percentages are by weight and all formulations are prepared in conventional ways. Compound numbers refer to compounds in Index Table A. Without further elaboration, it is believed that one skilled in the art using the preceding description can utilize the present invention to its fullest extent. The following Examples are, therefore, to be constructed as merely illustrative, and not limiting of the disclosure in any way whatsoever. Percentages are by weight except where otherwise indicated. Example A
High Strength Concentrate
Compound 2 98.5% silica aerogel 0.5% synthetic amorphous fine silica 1.0%
Example B
Wettable Powder
Compound 11 65.0% dodecylphenol polyethylene glycol ether 2.0% sodium ligninsulfonate 4.0% sodium silicoaluminate 6.0% montmorillonite (calcined) 23.0%
Example C
Granule
Compound 12 10.0% attapulgite granules (low volatile matter, 0.71/0.30 mm; 90.0%
U.S.S. No. 25-50 sieves)
Example D
Extruded Pellet
Compound 19 25.0% anhydrous sodium sulfate 10.0% crude calcium ligninsulfonate 5.0% sodium alkylnaphthalenesulfonate 1.0% calcium/magnesium bentonite 59.0%
Example E
Emulsifiable Concentrate
Compound 2 10.0% polyoxyethylene sorbitol hexoleate 20.0%
C6-C10 fatty acid methyl ester 70.0%
Example F Microemulsion
Compound 11 5.0% polyvinylpyrrolidone-vinyl acetate copolymer 30.0% alkylpolyglycoside 30.0% glyceryl monooleate 15.0% water 20.0% Example G Seed Treatment
Compound 12 20.00% polyvinylpyrrolidone-vinyl acetate copolymer 5.00% montan acid wax 5.00% calcium ligninsulfonate 1.00% polyoxyethylene/polyoxypropylene block copolymers 1.00% stearyl alcohol (POE 20) 2.00% polyorganosilane 0.20% colorant red dye 0.05% water 65.75%
Example H Fertilizer Stick
Compound 19 2.5% pyrrolidone-styrene copolymer 4.8% tristyrylphenyl 16-ethόxylate 2.3% talc 0.8% com starch 5.0%
Nitrophoska® Permanent 15-9-15 slow-release fertilizer 36.0%
(BASF) kaolin 38.0% water 10.6%
Compounds of this invention exhibit activity against a wide spectrum of invertebrate pests. These pests include invertebrates inhabiting a variety of environments such as, for example, plant foliage, roots, soil, harvested crops or other foodstuffs, building structures or animal integuments. These pests include, for example, invertebrates feeding on foliage (including leaves, stems, flowers and fruits), seeds, wood, textile fibers or animal blood or tissues, and thereby causing injury or damage to, for example, growing or stored agronomic crops, forests, greenhouse crops, ornamentals, nursery crops, stored foodstuffs or fiber products, or houses or other structures or their contents, or being harmful to animal health or public health. Those skilled in the art will appreciate that not all compounds are equally effective against all growth stages of all pests.
These present compounds and compositions are thus useful agronomically for protecting field crops from phytophagous invertebrate pests, and also nonagronomically for protecting other horticultural crops and plants from phytophagous invertebrate pests. This utility includes protecting crops and other plants (i.e. both agronomic and nonagronomic) that contain genetic material introduced by genetic engineering (i.e. transgenic) or modified by mutagenesis to provide advantageous traits. Examples of such traits include tolerance to herbicides, resistance to phytophagous pests (e.g., insects, mites, aphids, spiders, nematodes, snails, plant-pathogenic fungi, bacteria and viruses), improved plant growth, increased tolerance of adverse growing conditions such as high or low temperatures, low or high soil moisture, and high salinity, increased flowering or fruiting, greater harvest yields, more rapid maturation, higher quality and/or nutritional value of the harvested product, or improved storage or process properties of the harvested products. Transgenic plants can be modified to express multiple traits. Examples of plants containing traits provided by genetic engineering or mutagenesis include varieties of corn, cotton, soybean and potato expressing an insecticidal Bacillus thuringiensis toxin such as YIELD GARD®, KNOCKOUT®, STARLESfK®, BOLLGARD®, NuCOTN® and NEWLEAF®, and herbicide-tolerant varieties of corn, cotton, soybean and rapeseed such as ROUNDUP READY®, LIBERTY LINK®, EMI®, STS® and CLEARFDELD®, as well as crops expressing iV-acetyltransferase (GAT) to provide resistance to glyphosate herbicide, or crops containing the HRA gene providing resistance to herbicides inhibiting acetolactate synthase (ALS). The present compounds and compositions may interact synergistically with traits introduced by genetic engineering or modified by mutagenesis, thus enhancing phenotypic expression or effectiveness of the traits or increasing the invertebrate pest control effectiveness of the present compounds and compositions. In particular, the present compounds and compositions may interact synergistically with the phenotypic expression of proteins or other natural products toxic to invertebrate pests to provide greater-than-additive control of these pests.
Compositions of this invention can also optionally comprise plant nutrients, e.g., a fertilizer composition comprising at least one plant nutrient selected from nitrogen, phosphorus, potassium, sulfur, calcium, magnesium, iron, copper, boron, manganese, zinc, and molybdenum. Of note are compositions comprising at least one fertilizer composition comprising at least one plant nutrient selected from nitrogen, phosphorus, potassium, sulfur, calcium and magnesium. Compositions of the present invention which further comprise at least one plant nutrient can be in the form of liquids or solids. Of note are solid formulations in the form of granules, small sticks or tablets. Solid formulations comprising a fertilizer composition can be prepared by mixing the compound or composition of the present invention with the fertilizer composition together with formulating ingredients and then preparing the formulation by methods such as granulation or extrusion. Alternatively solid formulations can be prepared by spraying a solution or suspension of a compound or composition of the present invention in a volatile solvent onto a previous prepared fertilizer composition in the form of dimensionally stable mixtures, e.g., granules, small sticks or tablets, and then evaporating the solvent.
Nonagronomic uses refer to invertebrate pest control in the areas other than fields of crop plants. Nonagronomic uses of the present compounds and compositions include control of invertebrate pests in stored grains, beans and other foodstuffs, and in textiles such as clothing and carpets. Nonagronomic uses of the present compounds and compositions also include invertebrate pest control in ornamental plants, forests, in yards, along roadsides and railroad rights of way, and on turf such as lawns, golf courses and pastures. Nonagronomic uses of the present compounds and compositions also include invertebrate pest control in houses and other buildings which may be occupied by humans and/or companion, farm, ranch, zoo or other animals. Nonagronomic uses of the present compounds and compositions also include the control of pests such as termites that can damage wood or other structural materials used in buildings.
Nonagronomic uses of the present compounds and compositions also include protecting human and animal health by controlling invertebrate pests that are parasitic or transmit infectious diseases. The controlling of animal parasites includes controlling external parasites that are parasitic to the surface of the body of the host animal (e.g., shoulders, armpits, abdomen, inner part of the thighs) and internal parasites that are parasitic to the inside of the body of the host animal (e.g., stomach, intestine, lung, veins, under the skin, lymphatic tissue). External parasitic or disease transmitting pests include, for example, chiggers, ticks, lice, mosquitoes, flies, mites and fleas. Internal parasites include heartworms, hookworms and helminths. Compounds and compositions of the present invention are suitable for systemic and/or non-systemic control of infestation or infection by parasites on animals. Compounds and compositions of the present invention are particularly suitable for combating external parasitic or disease transmitting pests. Compounds and compositions of the present invention are suitable for combating parasites that infest agricultural working animals, such as cattle, sheep, goats, horses, pigs, donkeys, camels, buffalos, rabbits, hens, turkeys, ducks, geese and bees; pet animals and domestic animals such as dogs, cats, pet birds and aquarium fish; as well as so-called experimental animals, such as hamsters, guinea pigs, rats and mice. By combating these parasites, fatalities and performance reduction (in terms of meat, milk, wool, skins, eggs, honey, etc.) are reduced, so that applying a composition comprising a compound of the present invention allows more economic and simple husbandry of animals.
Examples of agronomic or nonagronomic invertebrate pests include eggs, larvae and adults of the order Lepidoptera, such as armyworms, cutworms, loopers, and heliothines in the family Noctuidae (e.g., pink stem borer (Sesamia inferens Walker), corn stalk borer (Sesamia nonagrioides Lefebvre), southern armyworm (Spodoptera eridania Cramer), fall armyworm (Spodoptera fugiperda J. E. Smith), beet armyworm (Spodoptera exigua Hϋbner), cotton leafworm (Spodoptera littoralis Boisduval), yellowstriped armyworm (Spodoptera ornithogalli Guenee), black cutworm (Agrotis ipsilon Hufnagel), velvetbean caterpillar (Anticarsia gemmatalis Hϋbner), green fruitworm (Lithophane antennata Walker), cabbage armyworm (Barathra brassicae Linnaeus), soybean looper (Pseudoplusia includens Walker), cabbage looper (Trichoplusia ni Hϋbner), tobacco budworm (Heliothis virescens Fabricius)); borers, casebearers, webworms, coneworms, cabbageworms and skeletonizers from the family Pyralidae (e.g., European corn borer {Ostrinia nubilalis Hϋbner), navel orangeworm (Amyelois transitella Walker), corn root webworm {Crambus caliginosellus Clemens), sod webworms (Pyralidae: Crambinae) such as sod worm {Herpetogramma licarsisalis Walker), sugarcane stem borer {Chilo infuscatellus Snellen), tomato small borer {Neoleucinodes elegantalis Guenέe), green leafroller {Cnaphalocerus medinalis), grape leaffolder (Desmia fiineralis Hϋbner), melon worm {Diaphania nitidalis Stoll), cabbage center grub {Helluala hydralis Guenee), yellow stem borer {Scirpophaga incertulas Walker), early shoot borer {Scirpophaga infuscatellus Snellen), white stem borer {Scirpophaga innotata Walker), top shoot borer {Scirpophaga nivella Fabricius), dark- headed rice borer {Chilo polychrysus Meyrick), cabbage cluster caterpillar {Crocidolomia binotάlis English)); leafrollers, budworms, seed worms, and fruit worms in the family Tortricidae (e.g., codling moth {Cydia pomonella Linnaeus), grape berry moth {Endopiza viteana Clemens), oriental fruit moth {Grapholita molesta Busck), citrus false codling moth {Cryptophlebia leucotrβta Meyrick), citrus borer {Ecdytolopha aurantiana Lima), redbanded leafroller {Argyrotaenia velutinana Walker), obliquebanded leafroller {Choristoneura rosaceana Harris), light brown apple moth {Epiphyas postvittana Walker), European grape berry moth {Eupoecilia ambiguella Hϋbner), apple bud moth {Pandemis pyrusana Kearfott), omnivorous leafroller {Platynota stultana Walsingham), barred fruit-tree tortrix {Pandemis cerasana Hϋbner), apple brown tortrix {Pandemis heparana Denis & Schiffermϋller)); and many other economically important lepidoptera (e.g., diamondback moth {Plutella xylostella Linnaeus), pink bollworm {Pectinophora gossypiella Saunders), gypsy moth {Lymantria dispar Linnaeus), peach fruit borer {Carposina niponensis Walsingham), peach twig borer {Anarsia lineatella Zeller), potato tuberworm {Phthorimaea operculella Zeller), spotted teniform leafminer {Lithocolletis blancardella Fabricius), Asiatic apple leafminer {Lithocolletis ringoniella Matsumura), rice leaffolder {Lerodea eufala Edwards), apple leafminer {Leucoptera scitella Zeller)); eggs, nymphs and adults of the order Blattodea including cockroaches from the families Blattellidae and Blattidae (e.g., oriental cockroach {Blatta orientalis Linnaeus), Asian cockroach {Blatella asahinai Mizukubo), German cockroach {Blattella germanica Linnaeus), brownbanded cockroach {Supella longipalpa Fabricius), American cockroach {Periplaneta americana Linnaeus), brown, cockroach {Periplaneta brunnea Burmeister), Madeira cockroach {Leucophaea maderae Fabricius)), smoky brown cockroach {Periplaneta fuliginosa Service), Australian Cockroach {Periplaneta australasiae Fabr.), lobster cockroach {Nauphoeta cinerea Olivier) and smooth cockroach {Symploce pallens Stephens)); eggs, foliar feeding, fruit feeding, root feeding, seed feeding and vesicular tissue feeding larvae and adults of the order Coleoptera including weevils from the families Anthribidae, Bruchidae, and Curculionidae (e.g., boll weevil {Anthonomus grandis Boheman), rice water weevil {Lissorhoptrus oryzophilus Kuschel), granary weevil {Sitophilus granarius Linnaeus), rice weevil {Sitophilus oryzae Linnaeus)), annual bluegrass weevil (JListronotus maculicollis Dietz), bluegrass billbug (βphenophorus parvulus Gyllenhal), hunting billbug {Sphenophorus venatus vestitus), Denver billbug (Sphenophorus cicatristriatus Fahraeus)); flea beetles, cucumber beetles, rootworms, leaf beetles, potato beetles, and leafminers in the family Chrysomelidae (e.g., Colorado potato beetle (Leptinotarsa decemlineata Say), western corn rootworm (Diabrotica virgifera virgifera LeConte)); chafers and other beetles from the family Scarabaeidae (e.g., Japanese beetle (Popillia japonica Newman), oriental beetle {Anomala orientalis Waterhouse, Exomala orientalis (Waterhouse) Baraud), northern masked chafer (Cyclocephala borealis Arrow), southern masked chafer {Cyclocephala immaculata Olivier or C. lurida Bland), dung beetle and white grub (Aphodius spp.), black turfgrass ataenius {Ataenius spretulus Haldeman), green June beetle {Cotinis nitida Linnaeus), Asiatic garden beetle {Maladera castanea Arrow), May/June beetles {Phyllophaga spp.) and European chafer (Rhizotrogus majalis Razoumowsky)); carpet beetles from the family Dermestidae; wireworms from the family Elateridae; bark beetles from the family Scolytidae and flour beetles from the family Tenebrionidae. In addition, agronomic and nonagronomic pests include: eggs, adults and larvae of the order Dermaptera including earwigs from the family Forficulidae (e.g., European earwig (Forficula auricularia Linnaeus), black earwig {Chelisoch.es mono Fabricius)); eggs, immatures, adults and nymphs of the orders Hemiptera and Homoptera such as, plant bugs from the family Miridae, cicadas from the family Cicadidae, leafhoppers (e.g. Empoasca spp.) from the family Cicadellidae, bed bugs (e.g., Cimex lectularius Linnaeus) from the family Cimicidae, planthoppers from the families Fulgoroidae and Delphacidae, treehoppers from the family Membracidae, psyllids from the family Psyllidae, whiteflies from the family Aleyrodidae, aphids from the family Aphididae, phylloxera from the family Phylloxeridae, mealybugs from the family Pseudococcidae, scales from the
families Coccidae, Diaspididae and Margarodidae, lace bugs from the family Tingidae, stink bugs from the family Pentatomidae, chinch bugs (e.g., hairy chinch bug {Blissus leucopterus hirtus Montandon) and southern chinch bug {Blissus insularis Barber)) and other seed bugs from the family Lygaeidae, spittlebugs from the family Cercopidae squash bugs from the family Coreidae, and red bugs and cotton stainers from the family Pyrrhocoridae. Also included are eggs, larvae, nymphs and adults of the order Acari (mites) such as spider mites and red mites in the family Tetranychidae (e.g., European red mite {Panonychus ulmi Koch), two spotted spider mite {Tetranychus urticae Koch), McDaniel mite {Tetranychus mcdanieli McGregor)); flat mites in the family Tenuipalpidae (e.g., citrus flat mite {Brevipalpus lewisi McGregor)); rust and bud mites in the family Eriophyidae and other foliar feeding mites and mites important in human and animal health, i.e. dust mites in the family Epidermoptidae, follicle mites in the family Demodicidae, grain mites in the family Glycyphagidae; ticks in the family Ixodidae, commonly known as hard ticks (e.g., deer tick {Ixodes scapularis Say), Australian paralysis tick (Ixodes holocyclus Neumann), American dog tick (Dermacentor variabilis Say), lone star tick (Amblyomma americanum Linnaeus)) and ticks in the family Argasidae, commonly known as soft ticks (e.g., relapsing fever tick (Ornithodoros turicata), common fowl tick (Argas radiatus)); scab and itch mites in the families Psoroptidae, Pyemotidae, and Sarcoptidae; eggs, adults and immatures of the order Orthoptera including grasshoppers, locusts and crickets (e.g., migratory grasshoppers (e.g., Melanoplus sanguinipes Fabricius, M. differentialis Thomas), American grasshoppers (e.g., Schistocerca americana Drury), desert locust {Schistocerca gregaria Forskal), migratory locust (Locusta migratoria Linnaeus), bush locust (Zonocerus spp.), house cricket (Acheta domesticus Linnaeus), mole crickets (e.g., tawny mole cricket (Scapteriscus vicinus Scudder) and southern mole cricket (Scapteriscus borellii Giglio-Tos)); eggs, adults and immatures of the order Diptera including leafminers (e.g., Liriomyza spp. such as serpentine vegetable leafminer (Liriomyza sativae Blanchard)), midges, fruit flies (Tephritidae), frit flies (e.g., Oscinella frit Linnaeus), soil maggots, house flies (e.g., Musca domestica Linnaeus), lesser house flies (e.g., Fannia canicularis Linnaeus, F. femoralis Stein), stable flies (e.g., Stomoxys calcitrans Linnaeus), face flies, horn flies, blow flies (e.g., Chrysomya spp., Phormia spp.), and other muscoid fly pests, horse flies (e.g., Tabanus spp.), bot flies (e.g., Gastrophilus spp., Oestrus spp.), cattle grubs (e.g., Hypoderma spp.), deer flies (e.g., Chrysops spp.), keds (e.g., Melophagus ovinus Linnaeus) and other Brachycera, mosquitoes (e.g., Aedes spp., Anopheles spp., Culex spp.), black flies (e.g., Prosimulium spp., Simulium spp.), biting midges, sand flies, sciarids, and other Nematocera; eggs, adults and immatures of the order Thysanoptera including onion thrips (Thrips tabaci Lindeman), flower thrips (Frankliniella spp.), and other foliar feeding thrips; insect pests of the order Hymenoptera including ants of the Family Formicidae including the Florida carpenter ant (Camponotus floridanus Buckley), red carpenter ant (Camponotus ferrugineus Fabricius), black carpenter ant (Camponotus pennsylvanicus De Geer), white-footed ant (Technomyrmex albipes fr. Smith), big headed ants (Pheidole sp.), ghost ant (Tapinoma melanocephalum Fabricius); Pharaoh ant (Monomorium pharaonis Linnaeus), little fire ant (Wasmannia auropunctata Roger), fire ant (Solenopsis geminata Fabricius), red imported fire ant (Solenopsis invicta Buren), Argentine ant (Iridomyrmex humilis Mayr), crazy ant (Paratrechina longicornis Latreille), pavement ant (Tetramorium caespitum Linnaeus), cornfield ant (Lasius alienus Fδrster) and odorous house ant (Tapinoma sessile Say). Other Hymenoptera including bees (including carpenter bees), hornets, yellow jackets, wasps, and sawflies (Neodiprion spp.; Cephas spp.); insect pests of the order Isoptera including termites in the Termitidae (e.g., Macrotermes sp., Odontotermes obesus Rambur), Kalotermitidae (e.g., Cryptotermes sp.), and Rhinotermitidae (e.g., Reticulitermes sp., Coptotermes sp., Heterotermes tenuis Hagen) families, the eastern subterranean termite (Reticulitermes flavipes Kollar), western subterranean termite (Reticulitermes hesperus Banks), Formosan subterranean termite 19
(Coptotermes formosanus Shiraki), West Indian drywood termite (Incisitermes immigrans Snyder), powder post termite (Cryptotermes brevis Walker), drywood termite (Incisitermes snyderi Light), southeastern subterranean termite (Ji.eticuliterm.es virginicus Banks), western drywood termite (Incisitermes minor Hagen), arboreal termites such as Nasutitermes sp. and other termites of economic importance; insect pests of the order Thysanura such as silverfish (Lepisma saccharina Linnaeus) and firebrat (Thermobia domestica Packard); insect pests of the order Mallophaga and including the head louse (Pediculus humanus capitis De Geer), body louse (Pediculus humanus Linnaeus), chicken body louse (Menacanthus stramineus Nitszch), dog biting louse (Trichodectes canis De Geer), fluff louse (Goniocotes gallinae De Geer), sheep body louse (Bovicola ovis Schrank), short-nosed cattle louse (Haematopinus eurysternus Nitzsch), long-nosed cattle louse (Linognathus vituli Linnaeus) and other sucking and chewing parasitic lice that attack man and animals; insect pests of the order Siphonoptera including the oriental rat flea (Xenopsylla cheopis Rothschild), cat flea (Ctenocephalides felis Bouche), dog flea (Ctenocephalides canis Curtis), hen flea (Ceratophyllus gallinae Schrank), sticktight flea (Echidnophaga gallinacea Westwood), human flea (Pulex irritans Linnaeus) and other fleas afflicting mammals and birds. Additional arthropod pests covered include: spiders in the order Araneae such as the brown recluse spider (Loxosceles reclusa Gertsch & Mulaik) and the black widow spider (Latrodectus mactans Fabricius), and centipedes in the order Scutigeromorpha such as the house centipede (Scutigera coleoptrata Linnaeus). Compounds of the present invention also have activity on members of the Classes Nematoda, Cestoda, Trematoda, and Acanthocephala including economically important members of the orders Strongylida, Ascaridida, Oxyurida, Rhabditida, Spirurida, and Enoplida such as but not limited to economically important agricultural pests (i.e. root knot nematodes in the genus Meloidogyne, lesion nematodes in the genus Pratylenchus, stubby root nematodes in the genus Trichodorus, etc.) and animal and human health pests (i.e. all economically important flukes, tapeworms, and roundworms, such as Strongylus vulgaris in horses, Toxocara canis in dogs, Haemonchus contortus in sheep, Dirofilaria immitis Leidy in dogs, Anoplocephala perfoliata in horses, Fasciola hepatica Linnaeus in ruminants, etc.). Compounds of the invention show particularly high activity against pests in the order
Lepidoptera (e.g., Alabama argillacea Hϋbner (cotton leaf worm), Archips argyrospila Walker (fruit tree leaf roller), A. rosana Linnaeus (European leaf roller) and other Archips species, Chilo suppressalis Walker (rice stem borer), Cnaphalocrosis medinalis Guenee (rice leaf roller), Crambus caliginosellus Clemens (corn root webworm), Crambus teterrellus Zincken (bluegrass webworm), Cydia pomonella Linnaeus (codling moth), Earias insulana Boisduval (spiny bollworm), Earias vittella Fabricius (spotted bollworm), Helicoverpa armigera Hϋbner (American bollworm), Helicoverpa zea Boddie (corn earworm), Heliothis virescens Fabricius (tobacco budworm), Herpetogramma licarsisalis Walker (sod webworm), Lobesia botrana Denis & Schiffermϋller (grape berry moth), Pectinophora gossypiella Saunders (pink bollworm), Phyllocnistis citrella Stainton (citrus leafminer), Pieris brassicae Linnaeus (large white butterfly), Pieris rapae Linnaeus (small white butterfly), Plutella xylostella Linnaeus (diamondback moth), Spodoptera exigua Hϋbner (beet armyworm), Spodoptera litura Fabricius (tobacco cutworm, cluster caterpillar), Spodoptera frugiperda J. E. Smith (fall armyworm), Trichoplusia ni Hϋbner (cabbage looper) and Tuta absoluta Meyrick (tomato leafminer)).
Compounds of the invention also have significant activity on members from the order Homoptera including: Acyrthosiphon pisum Harris (pea aphid), Aphis craccivora Koch (cowpea aphid), Aphis fabae Scopoli (black bean aphid), Aphis gossypii Glover (cotton aphid, melon aphid), Aphis pomi De Geer (apple aphid), Aphis spiraecola Patch (spirea aphid), Aulacorthum solani Kaltenbach (foxglove aphid), Chaetosiphon fragaefolii Cockerell (strawberry aphid), Diuraphis noxia Kurdjumov/Mordvilko (Russian wheat aphid), Dysaphis plantaginea Paaserini (rosy apple aphid), Eriosoma lanigerum Hausmann (woolly apple aphid), Hyalopterus pruni Geoffroy (mealy plum aphid), Lipaphis erysimi Kaltenbach (turnip aphid), Metopolophium dirrhodum Walker (cereal aphid), Macrosiphum euphorbiae Thomas (potato aphid), Myzus persicae Sulzer (peach-potato aphid, green peach aphid), Nasonovia ribisnigri Mosley (lettuce aphid), Pemphigus spp. (root aphids and gall aphids), Rhopalosiphum maidis Fitch (corn leaf aphid), Rhopalosiphum padi Linnaeus (bird cherry-oat aphid), Schizaphis graminum Rondani (greenbug), Sitobion avenae Fabricius (English grain aphid), Therioaphis maculata Buckton (spotted alfalfa aphid), Toxoptera aurantii Boyer de Fonscolombe (black citrus aphid), and Toxoptera citricida Kirkaldy (brown citrus aphid); Adelges spp. (adelgids); Phylloxera devastatrix Pergande (pecan phylloxera); Bemisia tabaci Gennadi us (tobacco whitefly, sweetpotato whitefly), Bemisia argentifolii Bellows & Perring (silverleaf whitefly), Dialeurodes citri Ashmead (citrus whitefly) and Trialeurodes vaporariorum Westwood (greenhouse whitefly); Empoasca fabae Harris (potato leafhopper), Laodelphax striatellus Fallen (smaller brown planthopper), Macrolestes quadrilineatus Forbes (aster leafhopper), Nephotettix cinticeps Uhler (green leafhopper), Nephotettix nigropictus Stal (rice leafhopper), Nilaparvata lugens Stal (brown planthopper), Peregrinus maidis Ashmead (corn planthopper), Sogatella furcifera Horvath (white-backed planthopper), Sogatodes orizicola Muir (rice delphacid), Typhlocyba pomaria McAtee white apple leafhopper, Erythroneoura spp. (grape leafhoppers); Magicidada septendecim Linnaeus (periodical cicada); Icerya purchasi Maskell (cottony cushion scale), Quadraspidiotus perniciosus Comstock (San Jose scale); Planococcus citri Risso (citrus mealybug); Pseudococcus spp. (other mealybug complex); Cacopsylla pyricola Foerster (pear psylla), Trioza diospyri Ashmead (persimmon psylla).
Compounds of this invention also have activity on members from the order Hemiptera including: Acrosternum hilare Say (green stink bug), Anasa tristis De Geer (squash bug), Blissus leucopterus leucopterus Say (chinch bug), Cimex lectularius Linnaeus (bed bug) Corythuca gossypii Fabricius (cotton lace bug), Cyrtopeltis modesta Distant (tomato bug), Dysdercus suturellus Herrich-Schaffer (cotton stainer), Euchistus servus Say (brown stink bug), Euchistus variolarius Palisot de Beauvois (one-spotted stink bug), Graptosthetus spp. (complex of seed bugs), Leptoglossus corculus Say (leaf-footed pine seed bug), Lygus lineolaris Palisot de Beauvois (tarnished plant bug), Nezara viridula Linnaeus (southern green stink bug), Oebalus pugnax Fabricius (rice stink bug), Oncopeltus fasciatus Dallas (large milkweed bug), Pseudatomoscelis seriatύs Reuter (cotton fleahopper). Other insect orders controlled by compounds of the invention include Thysanoptera (e.g., Frankliniella occidentalis Pergande (western flower thrips), Scirthothrips citri Moulton (citrus thrips), Sericothrips variabilis Beach (soybean thrips), and Thrips tabaci Lindeman (onion thrips); and the order Coleoptera (e.g., Leptinotarsa decemlineata Say (Colorado potato beetle), Epilachna varivestis Mulsant (Mexican bean beetle) and wireworms of the genera Agriotes, Athous or Limonius). Note that some contemporary classification systems place Homoptera as a suborder within the order Hemiptera.
Of note is use of compounds of this invention for controlling diamondback moth (Plutella xylostella). Of note is use of compounds of this invention for controlling fall armyworm (Spodoptera frugiperda). Of note is use of compounds of this invention for controlling cotton melon aphid {Aphis gossypii).
Compounds of this invention can also be mixed with one or more other biologically active compounds or agents including insecticides, fungicides, nematocides, bactericides, acaricides, herbicides, growth regulators such as rooting stimulants, chemosterilants, semiochemicals, repellents, attractants, pheromones, feeding stimulants, other biologically active compounds or entomopathogenic bacteria, virus or fungi to form a multi-component pesticide giving an even broader spectrum of agronomic and nonagronomic utility. Thus the present invention also pertains to a composition comprising a biologically effective amount of a compound of Formula 1, an //-oxide or salt thereof, and an effective amount of at least one additional biologically active compound or agent and can further comprise at least one of surfactants, solid diluents or liquid diluents. For mixtures of the present invention, the other biologically active compounds or agents can be formulated together with the present compounds, including the compounds of Formula 1, to form a premix, or the other biologically active compounds or agents can be formulated separately from the present compounds, including the compounds of Formula 1, and the two formulations combined together before application (e.g., in a spray tank) or, alternatively, applied in succession.
Other biologically active compounds or agents useful in the compositions of the present invention can be selected from invertebrate pest control agents having a different mode of action or a different chemical class including macrocyclic lactones, neonicotinoids, octopamine receptor ligands, ryanodine receptor ligands, ecdysone agonists, sodium channel modulators, chitin synthesis inhibitors, nereisotoxin analogs, mitochondrial electron transport inhibitors, cholinesterase inhibitors, cyclodiene insecticides, molting inhibitors, GABA (γ-aminobutyric acid) -regulated chloride channel blockers, juvenile hormone mimics, lipid biosynthesis inhibitors and biological agents including nucleopolyhedro viruses (NPV), members of Bacillus thuringiensis, encapsulated delta-endotoxins of Bacillus thuringiensis, and other naturally occurring or genetically modified insecticidal viruses.
Of note are additional biologically active compounds or agents selected from insecticides of the group consisting of pyrethroids, carbamates, neonicotinoids, neuronal sodium channel blockers, insecticidal macrocyclic lactones, γ-aminobutyric acid antagonists, insecticidal ureas and juvenile hormone mimics, a member of Bacillus thuringiensis, a Bacillus thuringiensis delta-endotoxin, and a naturally occurring or a genetically modified viral insecticide.
Examples of such biologically active compounds or agents with which compounds of this invention can be formulated are: insecticides such as abamectin, acephate, acetamiprid, acetoprole, amidoflumet (S- 1955), avermectin, azadirachtin, azinphos-methyl, bifenthrin, bifenazate, bistrifluron, buprofezin, carbofuran, cartap, chlorfenapyr, chlorfluazuron, chlorantraniliprole (DPX-E2Y45), chlorpyrifos, chlorpyrifos-methyl, chromafenozide, clothianidin, cyflumetofen, cyfluthrin, beta-cyfluthrin, cyhalothrin, gamma-cyhalothrin, lambda-cyhalothrin, cypermethrin, cyromazine, deltamethrin, diafenthiuron, diazinon, dieldrin, diflubenzuron, dimefluthrin, dimethoate, dinotefuran, diofenolan, emamectin, endosulfan, esfenvalerate, ethiprole, fenothiocarb, fenoxycarb, fenpropathrin, fenvalerate, fipronil, flonicamid, flubendiamide, flucythrinate, tau-fluvalinate, flufenerim (UR-50701), flufenoxuron, fonophos, halofenozide, hexaflumuron, hydramethylnon, imidacloprid, indoxacarb, isofenphos, lufenuron, malathion, metaflumizone, metaldehyde, methamidophos, methidathion, methomyl, methoprene, methoxychlor, metofluthrin, monocrotophos, methoxyfenozide, monocrotophos, nitenpyram, nithiazine, novaluron, noviflumuron (XDE-007), oxamyl, parathion, parathion-methyl, permethrin, phorate, phosalone, phosmet, phosphamidon, pirimicarb, profenofos, profluthrin, protrifenbute, pymetrozine, pyrafluprole, pyrethrin, pyridalyl, pyrifluquinazon, pyriprole, pyriproxyfen, rotenone, ryanodine, spinetoram, spinosad, spirodiclofen, spiromesifen (BSN 2060), spirotetramat, sulprofos, tebufenozide, teflubenzuron, tefluthrin, terbufos, tetrachlorvinphos, thiacloprid, thiamethoxam, thiodicarb, thiosultap-sodium, tolfenpyrad, tralomethrin, triazamate, trichlorfon and triflumuron; fungicides such as acibenzolar, aldimorph, amisulbrom, azaconazole, azoxystrobin, benalaxyl, benomyl, benthiavalicarb, benthiavalicarb-isopropyl, binomial, biphenyl, bitertanol, blasticidin-S, Bordeaux mixture (Tribasic copper sulfate), boscalid/nicobifen, bromuconazole, bupirimate, buthiobate, carboxin, carpropamid, captafol, captan, carbendazim, chloroneb, chlorothalonil, chlozolinate, clotrimazole, copper oxychloride, copper salts such as copper sulfate and copper hydroxide, cyazofamid, cyflunamid, cymoxanil, cyproconazole, cyprodinil, dichlofluanid, diclocymet, diclomezine, dicloran, diethofencarb, difenoconazole, dimethomorph, dimoxystrobin, diniconazole, diniconazole-M, dinocap, discostrobin, dithianon, dodemorph, dodine, econazole, etaconazole, edifenphos, epoxiconazole, ethaboxam, ethirimol, ethridiazole, famoxadone, fenamidone, fenarimol, fenbuconazole, fencaramid, fenfuram, fenhexamide, fenoxanil, fenpiclonil, fenpropidin, fenpropimorph, fentin acetate, fentin hydroxide, ferbam, ferfurazoate, ferimzone, fluazinam, fludioxonil, flumetover, fluopicolide, fluoxastrobin, fluquinconazole, fluquinconazole, flusilazole, flusulfamide, flutolanil, flutriafol, folpet, fosetyl-aluminum, fuberidazole, furalaxyl, furametapyr, hexaconazole, hymexazole, guazatine, imazalil, imibenconazole, iminoctadine, iodicarb, ipconazole, iprobenfos, iprodione, iprovalicarb, isoconazole, isoprothiolane, kasugamycin, kresoxim-methyl, mancozeb, mandipropamid, maneb, mapanipyrin, mefenoxam, mepronil, metalaxyl, metconazole, methasulfocarb, metiram, metominostrobin/fenominostrobin, mepanipyrim, metrafenone, miconazole, myclobutanil, neo-asozin (ferric methanearsonate), nuarimol, octhilinone, ofurace, orysastrobin, oxadixyl, oxolinic acid, oxpoconazole, oxy.carboxin, paclobutrazol, penconazole, pencycuron, penthiopyrad, perfurazoate, phosphonic acid, phthalide, picobenzamid, picoxystrobin, polyoxin, probenazole, prochloraz, procymidone, propamocarb, propamocarb-hydrochloride, propiconazole, propineb, proquinazid, prothioconazole, pyraclostrobin, pryazophos, pyrifenox, pyrimethanil, pyrifenox, pyrolnitrine, pyroquilon, quinconazole, quinoxyfen, quintozene, silthiofam, simeconazole, spiroxamine, streptomycin, sulfur, tebuconazole, techrazene, tecloftalam, tecnazene, tetraconazole, thiabendazole, thifluzamide, thiophanate, thiophanate-methyl, thiram, tiadinil, tolclofos-methyl, tolyfluanid, triadimefon, triadimenol, triarimol, triazoxide, tridemorph, trimoprhamide tricyclazole, trifloxystrobin, triforine, triticonazole, uniconazole, validamycin, vinclozolin, zineb, ziram, and zoxamide; nematocides such as aldicarb, imicyafos, oxamyl and fenamiphos; bactericides such as streptomycin; acaricides such as amitraz, chinomethionat, chlorobenzilate, cyhexatin, dicofol, dienochlor, etoxazole, fenazaquin, fenbutatin oxide, fenpropathrin, fenpyroximate, hexythiazox, propargite, pyridaben and tebufenpyrad; and biological agents including entomopathogenic bacteria, such as Bacillus thuringiensis subsp. aizawai, Bacillus thuringiensis subsp. kurstaki, and the encapsulated delta-endotoxins of Bacillus thuringiensis (e.g., Cellcap, MPV, MPVII); entomopathogenic fungi, such as green muscardine fungus; and entomopathogenic viruses including baculovirus, nucleopolyhedro virus (NPV) such as Helicoverpa zea nucleopolyhedrovirus (HzNPV), Anagrapha falcifera nucleopolyhedrovirus (AfNPV); and granulosis virus (GV) such as Cydia pomonella granulosis virus (CpGV).
Compounds of this invention and compositions thereof can be applied to plants genetically transformed to express proteins toxic to invertebrate pests (such as Bacillus thuringiensis delta-endotoxins). The effect of the exogenously applied invertebrate pest control compounds of this invention may be synergistic with the expressed toxin proteins.
General references for these agricultural protectants (i.e. insecticides, fungicides, nematocides, acaricides, herbicides and biological agents) include The Pesticide Manual, 13th Edition, C. D. S. Tomlin, Ed., British Crop Protection Council, Farnham, Surrey, U.K.,
2003 and The BioPesticide Manual, 2nd Edition, L. G. Copping, Ed., British Crop Protection
Council, Farnham, Surrey, U.K., 2001.
Of note is a composition of the present invention wherein at least one additional biologically active compound or agent is selected from the group consisting of abamectin, acephate, acetamiprid, acetoprole, aldicarb, amidoflumet, amitraz, avermectin, azadirachtin, azinphos-methyl, bifenthrin, bifenazate, bistrifluron, buprofezin, carbofuran, cartap, chinomethionat, chlorfenapyr, chlorfluazuron, chlorantraniliprole, chlorpyrifos, chlorpyrifos- methyl, chlorobenzilate, chromafenozide, clothianidin, cyflumetofen, cyfluthrin, beta-cyfluthrin, cyhalothrin, gamma-cyhalothrin, lambda-cyhalothrin, cyhexatin, cypermethrin, cyromazine, deltamethrin, diafenthiuron, diazinon, dicofol, dieldrin, dienochlor, diflubenzuron, dimefluthrin, dimethoate, dinotefuran, diofenolan, emamectin, endosulfan, esfenvalerate, ethiprole, etoxazole, fenamiphos, fenazaquin, fenbutatin oxide, fenothiocarb, fenoxycarb, fenpropathrin, fenpyroximate, fenvalerate, fipronil, flonicamid, flubendi amide, flucythrinate, tau-fluvalinate, flufenerim, flufenoxuron, fonophos, halofenozide, hexaflumuron, hexythiazox, hydramethylnon, imicyafos, imidacloprid, indoxacarb, isofenphos, lufenuron, malathion, metaflumizone, metaldehyde, methamidophos, methidathion, methomyl, methoprene, methoxychlor, methoxyfenozide, metofluthrin, monocrotophos, nitenpyram, nithiazine, novaluron, noviflumuron, oxamyl, parathion, parathion-methyl, permethrin, phorate, phosalone, phosmet, phosphamidon, pirimicarb, profenofos, profluthrin, propargite, protrifenbute, pymetrozine, pyrafluprole, pyrethrin, pyridaben, pyridalyl, pyrifluquinazon, pyriprole, pyriproxyfen, rotenone, ryanodine, spinetoram, spinosad, spiridiclofen, spiromesifen, spirotetramat, sulprofos, tebufenozide, tebufenpyrad, teflubenzuron, tefluthrin, terbufos, tetrachlorvinphos, thiacloprid, thiamethoxam, thiodicarb, thiosultap-sodium, tolfenpyrad, tralomethrin, triazamate, trichlorfon, triflumuron, Bacillus thuringiensis subsp. aizawai, Bacillus thuringiensis subsp. kurstaki, nucleopolyhedro viruses, encapsulated delta-endotoxins of Bacillus thuringiensis, baculoviruses, entomopathogenic bacteria, entomopathogenic viruses and entomopathogenic fungi.
Of particular note is a composition of the present invention wherein the at least one additional biologically active compound or agent is selected from the group consisting of abamectin, acephate, acetamiprid, acetoprole, amidoflumet (S-1955), avermectin, azadirachtin, azinphos-methyl, bifenthrin, bifenazate, bistrifluron, buprofezin, carbofuran, cartap, chlorfenapyr, chlorfluazuron, chlorpyrifos, chlorpyrifos-methyl, chromafenozide, clothianidin, cyfluthrin, beta-cyfluthrin, cyhalothrin, gamma-cyhalothrin, lambda- cyhalothrin, cypermethrin, cyromazine, deltamethrin, diafenthiuron, diazinon, dieldrin, diflubenzuron, dimethoate, dinotefuran, diofenolan, emamectin, endosulfan, esfenvalerate, ethiprole, fenothiocarb, fenoxycarb, fenpropathrin, fenvalerate, fipronil, flonicamid, flubendiamide, flucythrinate, tau-fluvalinate, flufenerim (UR-50701), flufenoxuron, halofenozide, hexaflumuron, hydramethylnon, imidacloprid, indoxacarb, isofenphos, lufenuron, malathion, metaflumizone, metaldehyde, methamidophos, methidathion, methomyl, methoprene, methoxychlor, methoxyfenozide, metofluthrin, monocrotophos, methoxyfenozide, nitenpyram, nithiazine, novaluron, noviflumuron (XDE-007), oxamyl, parathion, parathion-methyl, permethrin, phorate, phosalone, phosmet, phosphamidon, pirimicarb, profenofos, profluthrin, protrifenbute, pymetrozine, pyrethrin, pyridalyl, pyriproxyfen, rotenone, ryanodine, S1812 (Valent), spinosad, spiridiclofen, spiromesifen (BSN 2060), sulprofos, tebufenozide, teflubenzuron, tefluthrin, terbufos, tetrachlorvinphos, thiacloprid, thiamethoxam, thiodicarb, thiosultap-sodium, tolfenpyrad, tralomethrin, triazamate, trichlorfon, triflumuron, aldicarb, fenamiphos, amitraz, chinomethionat, chlorobenzilate, cyhexatin, dicofol, dienochlor, etoxazole, fenazaquin, fenbutatin oxide, fenpyroximate, hexythiazox, propargite, pyridaben, tebufenpyrad, Bacillus thuringiensis aizawai, Bacillus thuringiensis kurstaki, Bacillus thuringiensis delta endotoxin, baculovirus, entomopathogenic bacteria, entomopathogenic virus and entomopathogenic fungi. Also of note is a composition of the present invention wherein at least one additional biologically active compound- or agent is selected from the group consisting of abamectin, acetamiprid, amitraz, avermectin, azadirachtin, bifenthrin, buprofezin, cartap, chlorantraniliprole, chlorfenapyr, chlorpyrifos, clothianidin, cyfluthrin, beta-cyfluthrin, cyhalothrin, lambda-cyhalothrin, cypermethrin, cyromazine, deltamethrin, dieldrin, dinotefuran, diofenolan, emamectin, endosulfan, esfenvalerate, ethiprole, fenothiocarb, fenoxycarb, fenvalerate, fipronil, flonicamid, flubendiamide, flufenoxuron, hexaflumuron, hydramethylnon, imidacloprid, indoxacarb, lufenuron, metaflumizone, methomyl, methoprene, methoxyfenozide, nitenpyram, nithiazine, novaluron, oxamyl, pymetrozine, pyrethrin, pyridaben, pyridalyl, pyriproxyfen, ryanodine, spinetoram, spinosad, spirodiclofen, spiromesifen, tebufenozide, thiacloprid, thiamethoxam, thiodicarb, thiosultap- sodium, tralomethrin, triazamate, triflumuron, Bacillus thuringiensis subsp. aizawai, Bacillus thuringiensis subsp. kurstaki, nucleopolyhedro viruses and encapsulated delta- endotoxins of Bacillus thuringiensis.
Of further note is a composition of the present invention wherein the at least one additional biologically active compound or agent is selected from the group consisting of cypermethrin, cyhalothrin, cyfluthrin and beta-cyfluthrin, esfenvalerate, fenvalerate, tralomethrin, fenothiocarb, methomyl, oxamyl, thiodicarb, acetamiprid, clothianidin, imidacloprid, thiamethoxam, thiacloprid, indoxacarb, spinosad, abamectin, avermectin, emamectin, endosulfan, ethiprole, fipronil, flufenoxuron, triflumuron, diofenolan, pyriproxyfen, pymetrozine, amitraz, Bacillus thuringiensis aizawai, Bacillus thuringiensis kurstaki, Bacillus thuringiensis delta endotoxin and entomophagous fungi.
For embodiments where one or more of these various mixing partners are used, the weight ratio of these various mixing partners (in total) to the compound of Formula 1 is typically between about 1:3000 and about 3000:1. Of note are weight ratios between about 1:300 and about 300:1 (for example ratios between about 1:30 and about 30:1). One skilled in the art can easily determine through simple experimentation the biologically effective amounts of active ingredients necessary for the desired spectrum of biological activity. It will be evident that including these additional components may expand the spectrum of invertebrate pests controlled beyond the spectrum controlled by the compound of Formula 1 alone.
In certain instances, combinations of a compound of this invention with other biologically active (particularly invertebrate pest control) compounds or agents (i.e. active ingredients) can result in a greater-than-additive (i.e. synergistic) effect. Reducing the quantity of active ingredients released in the environment while ensuring effective pest control is always desirable. When synergism of invertebrate pest control active ingredients occurs at application rates giving agronomically satisfactory levels of invertebrate pest control, such combinations can be advantageous for reducing crop production cost and decreasing environmental load.
Of note is a combination of a compound of Formula 1 with at least one other invertebrate pest control active ingredient. Of particular note is such a combination where the other invertebrate pest control active ingredient has a different site of action from the compound of Formula 1. In certain instances, a combination with at least one other invertebrate pest control active ingredient having a similar spectrum of control but a different site of action will be particularly advantageous for resistance management. Thus, a composition of the present invention can further comprise a biologically effective amount of at least one additional invertebrate pest control active ingredient having a similar spectrum of control but a different site of action. Contacting a plant genetically modified to express an invertebrate pest compound (e.g., protein) or the locus of the plant with a biologically effective amount of a compound of this invention can also provide a broader spectrum of plant protection and be advantageous for resistance management.
Table A lists specific combinations of a compound of Formula 1 with other invertebrate pest control agents illustrative of the mixtures, compositions and methods of the present invention. The first column of Table A lists the specific invertebrate pest control agents (e.g., "Abamectin" in the first line). The second column of Table A lists the mode of action (if known) or chemical class of the invertebrate pest control agents. The third column of Table A lists embodiment(s) of ranges of weight ratios for rates at which the invertebrate pest control agent can be applied relative to a compound of Formula 1, an iV-oxide, or a salt thereof, (e.g., "50:1 to 1:50" of abamectin relative to a compound of Formula 1 by weight). Thus, for example, the first line of Table A specifically discloses the combination of a compound of Formula 1 with abamectin can be applied in a weight ratio between 50:1 to 1:50. The remaining lines of Table A are to be construed similarly. Of further note Table A lists specific combinations of a compound of Formula 1 with other invertebrate pest control agents illustrative of the mixtures, compositions and methods of the present invention and includes additional embodiments of weight ratio ranges for application rates.
Table A
Figure imgf000088_0001
Figure imgf000089_0001
Figure imgf000090_0001
One embodiment of invertebrate pest control agents (e.g., insecticides and acaricides) for mixing with compounds of this invention include sodium channel modulators such as bifenthrin, cypermethrin, cyhalothrin, lambda-cyhalothrin, cyfluthrin, beta-cyfluthrin, deltamethrin, dimefluthrin, esfenvalerate, fenvalerate, indoxacarb, metofluthrin, profluthrin, pyrethrin and tralomethrin; cholinesterase inhibitors such as chlorpyrifos, methomyl, oxamyl, thiodicarb and triazamate; neonicotinoids such as acetamiprid, clothianidin, dinotefuran, imidacloprid, nitenpyram, nithiazine, thiacloprid and thiamethoxam; insecticidal macrocyclic lactones such as spinetoram, spinosad, abamectin, avermectin and emamectin; GABA (γ— aminobutyric acid)-regulated chloride channel blockers such as endosulfan, ethiprole and fipronil; chitin synthesis inhibitors such as buprofezin, cyromazine, flufenoxuron, hexaflumuron, lufenuron, novaluron, noviflumuron and triflumuron; juvenile hormone mimics such as diofenolan, fenoxycarb, methoprene and pyriproxyfen; octopamine receptor ligands such as amitraz; ecdysone agonists such as azadirachtin, methoxyfenozide and tebufenozide; ryanodine receptor ligands such as ryanodine, anthranilic diamides such as chlorantraniliprole (see U.S. Patent 6,747,047, PCT Publications WO 2003/015518 and WO 2004/067528) and flubendiamide (see U.S. Patent 6,603,044); nereistoxin analogs such as cartap; mitochondrial electron transport inhibitors such as chlorfenapyr, hydramethylnon and pyridaben; lipid biosynthesis inhibitors such as spirodiclofen and spiromesifen; cyclodiene insecticides such as dieldrin; cyflumetofen; fenothiocarb; flonicamid; metaflumizone; pyrafluprole; pyridalyl; pyriprole; pymetrozine; spirotetramat; and thiosultap-sodium. One embodiment of biological agents for mixing with compounds of this invention include nucleopolyhedro virus such as HzNPV and AfNPV; Bacillus thuringiensis and encapsulated delta-endotoxins of Bacillus thuringiensis such as Cellcap, MPV and MPVII; as well as naturally occurring and genetically modified viral insecticides including members of the family Baculoviridae as well as entomophagous fungi. Of note is the composition of the present invention wherein the at least one additional biologically active compound or agent is selected from the Invertebrate Pest Control Agents listed in Table A above. The weight ratios of a compound, including a compound of Formula 1, an iV-oxide or a salt thereof, to the additional invertebrate pest control agent typically are between 1000:1 and 1:1000, with one embodiment being between 500:1 and 1:500, another embodiment being between 250:1 and 1:200 and another embodiment being between 100:1 and 1:50.
Listed below in Table B are embodiments of specific compositions comprising a compound of Formula 1 (compound numbers refer to compounds in Index Table A) and an additional invertebrate pest control agent.
Table B
Mixture Comp. and Invertebrate Pest Control Mixture Comp. and Invertebrate Pest Control
No. No. Agent No. No. Agent
A-I 2 and Abamectin B-I 19 and Abamectin
A-2 2 and Acetamiprid B-2 19 and Acetamiprid
A-3 2 and Amitraz B-3 19 and Amitraz
A-4 2 and Avermectin B-4 19 and Avermectin
A-5 2 and Azadirachtin B-5 19 and Azadirachtin
A-6 2 and Beta-cyfluthrin B-6 19 and Beta-cyfluthrin
A-7 2 and Bifenthrin B-7 19 and Bifenthrin
A-8 2 and Buprofezin B-8 19 and Buprofezin
A-9 2 and Cartap B-9 19 and Cartap
A- 10 2 and Chlorantraniliprole B-10 19 and Chlorantraniliprole
A-Il 2 and Chlorfenapyr B-I l 19 and Chlorfenapyr
A-12 2 and Chlorpyrifos B-12 19 and Chlorpyrifos
A-13 2 and Clothianidin B-13 19 and Clothianidin
A-14 2 and Cyfluthrin B-14 19 and Cyfluthrin
A-15 2 and Cyhalothrin B-15 19 and Cyhalothrin
A-16 2 and Cypermethrin B-16 19 and Cypermethrin
A-17 2 and Cyromazine B-17 19 and Cyromazine
A-18 2 and Deltamethrin B-18 19 and Deltamethrin
A-19 2 and Dieldrin B-19 19 and Dieldrin
A-20 2 and Dinotefuran B-20 19 and Dinotefuran
A-21 2 and Diofenolan B-21 19 and Diofenolan
A-22 2 and Emamectin B-22 19 and Emamectin
A-23 2 and Endosulfaπ B-23 19 and Endosulfan
A-24 2 and Esfenvalerate B-24 19 and Esfenvalerate
A-25 2 and Ethiprole B-25 19 and Ethiprole
A-26 2 and Fenothiocarb B-26 19 and Fenothiocarb
A-27 2 and Fenoxycarb B-27 19 and Fenoxycarb
A-28 2 and Fenvalerate B-28 19 and Fenvalerate Mixture Comp. and Invertebrate Pest Control Mixture Comp. and Invertebrate Pest Control
No. No. Agent No. No. Agent
A-29 2 and Fipronil B-29 19 and Fipronil
A-30 2 and Flonicamid B-30 19 and Flonicamid
A-31 2 and Flubendiamide B-31 19 and Flubendiamide
A-32 2 and Flufenoxuron B-32 19 and Flufenoxuron
A-33 2 and Hexaflumuron B-33 19 and Hexaflumuron
A-34 2 and Hydramethylnon B-34 19 and Hydramethylnon
A-35 2 and Imidacloprid B-35 19 and Imidacloprid
A-36 2 and Indoxacarb B-36 19 and Indoxacarb
A-37 2 and Lambda-cyhalothrin B-37 19 and Lambda-cyhalothrin
A-38 2 and Lufenuron B-38 19 and Lufenuron
A-39 2 and Metaflumizone B-39 19 and Metaflumizone
A-40 2 and Methomyl B-40 19 and Methomyl
A-41 2 and Methoprene B-41 19 and Methoprene
A-42 2 and Methoxyfenozide B-42 19 and Methoxyfenozide
A-43 2 and Niteπpyram B-43 19 and Nitenpyram
A-44 2 and Nithiazine B-44 19 and Nithiazine
A-45 2 and Novaluron B-45 19 and Novaluron
A-46 2 and Oxamyl B-46 19 and Oxamyl
A-47 2 and Pymetroziπe B-47 19 and Pymetrozine
A-48 2 and Pyrethrin B-48 19 and Pyrethrin
A-49 2 and Pyridaben B-49 19 and Pyridaben
A-50 2 and Pyridalyl B-50 19 and Pyridalyl
A-51 2 and Pyriproxyfen B-51 19 and Pyriproxyfen
A-52 2 and Ryanodine B-52 19 and Ryanodine
A-53 2 and Spinetoram B-53 19 and Spinetoram
A-54 2 and Spinosad B-54 19 and Spinosad
A-55 2 and Spirodiclofen B-55 19 and Spirodiclofen
A-56 2 and Spiromesifen B-56 19 and Spiromesifen
A-57 2 and Tebufenozide B-57 19 and Tebufenozide
A-58 2 and Thiacloprid B-58 19 and Thiacloprid
A-59 2 and Thiamethoxam B-59 19 and Thiamethoxam
A-60 2 and Thiodicarb B-60 19 and Thiodicarb
A-61 2 and Thiosultap-sodium B-61 19 and Thiosultap-sodium
A-62 2 and Tralomethrin B-62 19 and Tralomethrin
A-63 2 and Triazamate B-63 19 and Triazamate
A-64 2 and Triflumuron B-64 19 and Triflumuron Mixture Comp. and Invertebrate Pest Control Mixture Comp. and Invertebrate Pest Control No. No. Agent No. No. Agent
A-65 2 and Bacillus thuringiensis B-65 19 and Bacillus thuringiensis A-66 2 and Bacillus thuringiensis B-66 19 and Bacillus thuringiensis delta-endotoxin delta-endotoxin
A-67 2 and NPV (e.g., Gemstar) B-67 19 and NPV (e.g., Gemstar)
The specific mixtures listed in Table B typically combine a compound of Formula 1 with the other invertebrate pest agent in the ratios specified in Table A.
Invertebrate pests are controlled in agronomic and nonagronomic applications by applying one or more compounds of this invention, typically in the form of a composition, in a biologically effective amount, to the environment of the pests, including the agronomic and/or nonagronomic locus of infestation, to the area to be protected, or directly on the pests to be controlled.
Thus the present invention comprises a method for controlling an invertebrate pest in agronomic and/or nonagronomic applications, comprising contacting the invertebrate pest or its environment with a biologically effective amount of one or more of the compounds of the invention, or with a composition comprising at least one such compound or a composition comprising at least one such compound and a biologically effective amount of at least one additional biologically active compound or agent. Examples of suitable compositions comprising a compound of the invention and a biologically effective amount of at least one additional biologically active compound or agent include granular compositions wherein the additional active compound is present on the same granule as the compound of the invention or on granules separate from those of the compound of the invention.
To achieve contact with a compound or composition of the invention to protect a field crop from invertebrate pests, the compound or composition is typically applied to the seed of the crop before planting, to the foliage (e.g., leaves, stems, flowers, fruits) of crop plants, or to the soil or other growth medium before or after the crop is planted.
One embodiment of a method of contact is by spraying. Alternatively, a granular composition comprising a compound of the invention can be applied to the plant foliage or the soil. Compounds of this invention can also be effectively delivered through plant uptake by contacting the plant with a composition comprising a compound of this invention applied as a soil drench of a liquid formulation, a granular formulation to the soil, a nursery box treatment or a dip of transplants. Of note is a composition of the present invention in the form of a soil drench liquid formulation. Also of note is a method for controlling an invertebrate pest comprising contacting the invertebrate pest or its environment with a biologically effective amount of a compound of the present invention or with a composition comprising a biologically effective amount of a compound of the present invention. Of further note is this method wherein the environment is- soil and the composition is applied to the soil as a soil drench formulation. Of further note is that compounds of this invention are also effective by localized application to the locus of infestation. Other methods of contact include application of a compound or a composition of the invention by direct and residual sprays, aerial sprays, gels, seed coatings, microencapsulations, systemic uptake, baits, ear tags, boluses, foggers, fumigants, aerosols, dusts and many others. One embodiment of a method of contact is a dimensionally stable fertilizer granule, stick or tablet comprising a compound or composition of the invention. The compounds of this invention can also be impregnated into materials for fabricating invertebrate control devices (e.g., insect netting).
Compounds of this invention are also useful in seed treatments for protecting seeds from invertebrate pests. In the context of the present disclosure and claims, treating a seed means contacting the seed with a biologically effective amount of a compound of this invention, which is typically formulated as a composition of the invention. This seed treatment protects the seed from invertebrate soil pests and generally can also protect roots and other plant parts in contact with the soil of the seedling developing from the germinating seed. The seed treatment may also provide protection of foliage by translocation of the compound of this invention or a second active ingredient within the developing plant. Seed treatments can be applied to all types of seeds, including those from which plants genetically transformed to express specialized traits will germinate. Representative examples include those expressing proteins toxic to invertebrate pests, such as Bacillus thuringiensis toxin or those expressing herbicide resistance such as glyphosate acetyltransferase, which provides resistance to glyphosate.
One method of seed treatment is by spraying or dusting the seed with a compound of the invention (i.e. as a formulated composition) before sowing the seeds. Compositions formulated for seed treatment generally comprise a film former or adhesive agent. Therefore typically a seed coating composition of the present invention comprises a biologically effective amount of a compound of Formula 1, an ΛT-oxide or salt thereof, and a film former or adhesive agent. Seed can be coated by spraying a flowable suspension concentrate directly into a tumbling bed of seeds and then drying the seeds. Alternatively, other formulation types such as wetted powders, solutions, suspoemulsions, emulsifiable concentrates and emulsions in water can be sprayed on the seed. This process is particularly useful for applying film coatings on seeds. Various coating machines and processes are available to one skilled in the art. Suitable processes include those listed in P. Kosters et al., Seed Treatment: Progress and Prospects, 1994 BCPC Mongraph No. 57, and references listed therein. The treated seed typically comprises a compound of the present invention in an amount from about 0.1 g to 1 kg per 100 kg of seed (i.e. from about 0.0001 to 1% by weight of the seed before treatment). A flowable suspension formulated for seed treatment typically comprises from about 0.5 to about 70% of the active ingredient, from about 0.5 to about 30% of a film-forming adhesive, from about 0.5 to about 20% of a dispersing agent, from 0 to about 5% of a thickener, from 0 to about 5% of a pigment and/or dye, from 0 to about 2% of an antifoaming agent, from 0 to about 1% of a preservative, and from 0 to about 75% of a volatile liquid diluent. The compounds of this invention can be incorporated into a bait composition that is consumed by an invertebrate pest or used within a device such as a trap, bait station, and the like. Such a bait composition can be in the form of granules which comprise (a) active ingredients, namely a biologically effective amount of a compound of Formula 1, an iV-oxide, or salt thereof; (b) one or more food materials; optionally (c) an attractant, and optionally (d) one or more humectants. Of note are granules or bait compositions which comprise between about 0.001-5% active ingredients, about 40-99% food material and/or attractant; and optionally about 0.05-10% humectants, which are effective in controlling soil invertebrate pests at very low application rates, particularly at doses of active ingredient that are lethal by ingestion rather than by direct contact. Some food materials can function both as a food source and an attractant. Food materials include carbohydrates, proteins and lipids. Examples of food materials are vegetable flour, sugar, starches, animal fat, vegetable oil, yeast extracts and milk solids. Examples of attractants are odorants and flavorants, such as fruit or plant extracts, perfume, or other animal or plant component, pheromones or other agents known to attract a target invertebrate pest. Examples of humectants, i.e. moisture retaining agents, are glycols and other polyols, glycerine and sorbitol. Of note is a bait composition (and a method utilizing such a bait composition) used to control at least one invertebrate pest selected from the group consisting of ants, termites and cockroaches. A device for controlling an invertebrate pest can comprise the present bait composition and a housing adapted to receive the bait composition, wherein the housing has at least one opening sized to permit the invertebrate pest to pass through the opening so the invertebrate pest can gain access to the bait composition from a location outside the housing, and wherein the housing is further adapted to be placed in or near a locus of potential or known activity for the invertebrate pest.
The compounds of this invention can be applied without other adjuvants, but most often application will be of a formulation comprising one or more active ingredients with suitable carriers, diluents, and surfactants and possibly in combination with a food depending on the contemplated end use. One method of application involves spraying a water dispersion or refined oil solution of a compound of the present invention. Combinations with spray oils, spray oil concentrations, spreader stickers, adjuvants, other solvents, and synergists such as piperonyl butoxide often enhance compound efficacy. For nonagronomic uses such sprays can be applied from spray containers such as a can, a bottle or other container, either by means of a pump or by releasing it from a pressurized container, e.g., a pressurized aerosol spray can. Such spray compositions can take various forms, for example, sprays, mists, foams, fumes or fog. Such spray compositions thus can further comprise propellants, foaming agents, etc. as the case may be. Of note is a spray composition comprising a biologically effective amount of a compound or a composition of the present invention and a carrier. One embodiment of such a spray composition comprises a biologically effective amount of a compound or a composition of the present invention and a propellant. Representative propellants include, but are not limited to, methane, ethane, propane, butane, isobutane, butene, pentane, isopentane, neopentane, pentene, hydrofluorocarbons, chlorofluorocarbons, dimethyl ether, and mixtures of the foregoing.' Of note is a spray composition (and a method utilizing such a spray composition dispensed from a spray container) used to control at least one invertebrate pest selected from the group consisting of mosquitoes, black flies, stable flies, deer flies, horse flies, wasps, yellow jackets, hornets, ticks, spiders, ants, gnats, and the like, including individually or in combinations.
Nonagronomic applications include protecting an animal, particularly a vertebrate, more particularly a homeothermic vertebrate (e.g., mammal or bird) and most particularly a mammal, from an invertebrate parasitic pest by administering a parasiticidally effective (i.e. biologically effective) amount of a compound of the invention, typically in the form of a composition formulated for veterinary use, to the animal to be protected. Therefore of note is a method for protecting an animal comprising administering to the animal a parasiticidally effective amount of a compound of the invention. As referred to in the present disclosure and claims, the terms "parasiticidal" and "parasiticidally" refers to observable effects on an invertebrate parasite pest to provide protection of an animal from the pest. Parasiticidal effects typically relate to diminishing the occurrence or activity of the target invertebrate parasitic pest. Such effects on the pest include necrosis, death, retarded growth, diminished mobility or lessened ability to remain on or in the host animal, reduced feeding and inhibition of reproduction. These effects on invertebrate parasite pests provide control (including prevention, reduction or elimination) of parasitic infestation or infection of the animal. Examples of invertebrate parasitic pests controlled by administering a parasiticidally effective amount of a compound of the invention to an animal to be protected include ectoparasites (arthropods, acarines, etc) and endoparasites (helminths, e.g., nematodes, trematodes, cestodes, acanthocephalans, etc.). In particular, the compounds of this invention are effective against ectoparasites including: flies such as Haematobia (Lyperosia) irritans (horn fly), Stomoxys calcitrans (stable fly), Simulium spp. (blackfly), Glossina spp. (tsetse flies), Hydrotaea irritans (head fly), Musca autumnalis (face fly), Musca domestica (house fly), Morellia simplex (sweat fly), Tabanus spp. (horse fly), Hypoderma bovis, Hypoderma lineatum, Lucilia sericata, Lucilia cuprina (green blowfly), Calliphora spp. (blowfly), Protophormia spp., Oestrus ovis (nasal botfly), Culicoides spp. (midges), Hippobosca equine, Gastrophilus instestinalis, Gastrophilus haemorrhoidalis and Gastrophilus naslis; lice such as Bovicola (Damalinia) bovis, Bovicola equi, Haematopinus asini, Felicola subrostratus, Heterodoxus spiniger, Lignonathus setosus and Trichodectes canis; keds such as Melophagus ovinus; mites such as Psoroptes spp., Sarcoptes scabei, Chorioptes bovis, Demodex equi, Cheyletiella spp., Notoedres cati, Trombicula spp. and Otodectes cyanotis (ear mites); ticks such as Ixodes spp., Boophilus spp., Rhipicephalus spp., Amblyomma spp., Dermacentor spp., Hyalomma spp. and Haemaphysalis spp.; and fleas such as Ctenocephalides felis (cat flea) and Ctenocephalides canis (dog flea).
Nonagronomic applications in the veterinary sector are by conventional means such as by enteral administration in the form of, for example, tablets, capsules, drinks, drenching preparations, granulates, pastes, boli, feed-through procedures, or suppositories; or by parenteral administration, such as by injection (including intramuscular, subcutaneous, intravenous, intraperitoneal) or implants; by nasal administration; by topical administration, for example, in the form of immersion or dipping, spraying, washing, coating with powder, or application to a small area of the animal, and through articles such as neck collars, ear tags, tail bands, limb bands or halters which comprise compounds or compositions of the present invention.
Typically a parasinoidal composition according to the present invention comprises a mixture of a compound of Formula 1, an iV-oxide or a salt thereof, with one or more pharmaceutically or veterinarily acceptable carriers comprising excipients and auxiliaries selected with regard to the intended route of administration (e.g., oral, topical or parenteral administration such as injection) and in accordance with standard practice. In addition, a suitable carrier is selected on the basis of compatibility with the one or more active ingredients in the composition, including such considerations as stability relative to pH and moisture content. Therefore of note is a composition for protecting an animal from an invertebrate parasitic pest comprising a parasitically effective amount of a compound of the invention and at least one carrier.
For parenteral administration including intravenous, intramuscular and subcutaneous injection, a compound of the present invention can be formulated in suspension, solution or emulsion in oily or aqueous vehicles, and may contain adjuncts such as suspending, stabilizing and/or dispersing agents. Pharmaceutical compositions for injection include aqueous solutions of water-soluble forms of active ingredients (e.g., a salt ,of an active compound), preferably in physiologically compatible buffers containing other excipients or auxiliaries as are known in the art of pharmaceutical formulation.
For oral administration in the form of solutions (the most readily available form for absorption), emulsions, suspensions, pastes, gels, capsules, tablets, boluses powders, granules, rumen-retention and feed/water/lick blocks, a compound of the present invention can be formulated with binders/fillers known in the art to be suitable for oral administration compositions, such as sugars (e.g., lactose, sucrose, mannitol, sorbitol), starch (e.g., maize starch, wheat starch, rice starch, potato starch), cellulose and derivatives (e.g., methylcellulose, carboxymethylcellulose, ethylhydroxycellulose), protein derivatives (e.g., zein, gelatin), and synthetic polymers (e.g., polyvinyl alcohol, polyvinylpyrrolidone). If desired, lubricants (e.g., magnesium stearate), disintegrating agents (e.g., cross-linked polyvinylpyrrolidinone, agar, alginic acid) and dyes or pigments can be added. Pastes and gels often also contain adhesives (e.g., acacia, alginic acid, bentonite, cellulose, xanthan gum, colloidal magnesium aluminum silicate) to aid in keeping the composition in contact with the oral cavity and not being easily ejected.
If the parasiticidal compositions are in the form of feed concentrates, the carrier is typically selected from high-performance feed, feed cereals or protein concentrates. Such feed concentrate-containing compositions can, in addition to the parasiticidal active ingredients, comprise additives promoting animal health or growth, improving quality of meat from animals for slaughter or otherwise useful to animal husbandry. These additives can include, for example, vitamins, antibiotics, chemotherapeutics, bacteriostats, fungistats, coccidiostats and hormones.
Compounds of the present invention have been discovered to have favorable pharmacokinetic and pharmacodynamic properties providing systemic availability from oral administration and ingestion. Therefore after ingestion by the animal to be protected, parasiticidally effective concentrations of compounds of the invention in the bloodstream protect the treated animal from blood-sucking pests such as fleas, ticks and lice. Therefore of note is a composition for protecting an animal from an invertebrate parasite pest in a form for oral administration (i.e. comprising, in addition to a parasiticidally effective amount of a compound of the invention, one or more carriers selected from binders and fillers suitable for oral administration and feed concentrate carriers). Formulations for topical administration are typically in the form of a powder, cream, suspension, spray, emulsion, foam, paste, aerosol, ointment, salve or gel. More typically a topical formulation is a water-soluble solution, which can be in the form of a concentrate that is diluted before use. Parasiticidal compositions suitable for topical administration typically comprise a compound of the present invention and one or more topically suitable carriers. In applications of a parasiticidal composition topically to the exterior of an animal as a line or spot (i.e. "spot-on" treatment), the active ingredient migrates over the surface of the animal to cover most or all of its external surface area. As a result, the treated animal is particularly protected from invertebrate pests that feed off the epidermis of the animal such as ticks, fleas and lice. Therefore formulations for topical localized administration often comprise at least one organic solvent to facilitate transport of the active ingredient over the skin and/or penetration into the epidermis of the animal. Solvents commonly used as carriers in such formulations include propylene glycol, paraffins, aromatics, esters such as isopropyl myristate, glycol ethers, and alcohols such as ethanol and n-propanol. The rate of application required for effective control (i.e. "biologically effective amount") will depend on such factors as the species of invertebrate to be controlled, the pest's life cycle, life stage, its size, location, time of year, host crop or animal, feeding behavior, mating behavior, ambient moisture, temperature, and the like. Under normal circumstances, application rates of about 0.01 to 2 kg of active ingredients per hectare are sufficient to control pests in agronomic ecosystems, but as little as 0.0001 kg/hectare may be sufficient or as much as 8 kg/hectare may be required. For nonagronomic applications, effective use rates will range from about 1.0 to 50 mg/square meter but as little as 0.1 mg/square meter may be sufficient or as much as 150 mg/square meter may be required. One skilled in the art can easily determine the biologically effective amount necessary for the desired level of invertebrate pest control.
In general for veterinary use, a compound of Formula 1, an Λf-oxide or a salt thereof, is administered in a parasiticidally effective amount to an animal to be protected from invertebrate parasite pests. A parasiticidally effective amount is the amount of active ingredient needed to achieve an observable effect diminishing the occurrence or activity of the target invertebrate parasite pest. One skilled in the art will appreciate that the parasitically effective dose can vary for the various compounds and compositions of the present invention, the desired parasitical effect and duration, the target invertebrate pest species, the animal to be protected, the mode of application and the like, and the amount' needed to achieve a particular result can be determined through simple experimentation.
For oral administration to homeothermic animals, the daily dosage of a compound of the present invention typically ranges from about 0.01 mg/kg to about 100 mg/kg, more typically from about 0.5 mg/kg to about 100 mg/kg, of animal body weight. For topical (e.g., dermal) administration, dips and sprays typically contain from about 0.5 ppm to about 5000 ppm, more typically from about 1 ppm to about 3000 ppm, of a compound of the present invention.
The following abbreviations are used in the Index Tables A-B which follow: Me is methyl and CF3 means trifluoromethyl. The abbreviation "Ex." stands for "Example" and is followed by a number indicating in which example the compound is prepared. In Index Table A, (R2)m as shown refers to the combination of (R2)n with the instance of Z is CR2 of Formula 1 compounds.
INDEX TABLE A
Figure imgf000099_0001
Compound (R2)m Rl R3 R4 R5 Q m.p. (0C)
1 3-Cl, 5-Cl CF3 H Me H Br *
2 (Ex. 1) 3-Cl, 5-Cl CF3 Me H Me C(O)NH(CH2-2-pyridinyl) **
3 3-Cl, 5-Cl CF3 CH2CF3 H Me C(O)NH(CH2-2-pyridinyl) *
4 3-Cl7 5-Cl CF3 H H Me Br *
5 H CF3 CH2CF3 H H C(O)NH(CH2-2-pyridinyl) *
6 H CF3 phenyl H H C(O)NH(CH2-2-pyridinyl) *
7 3-Cl, 5-Cl CF3 phenyl H H C(O)NHCH2CF3 *
8 3-Cl, 5-Cl CF3 CH2CF3 H H C(O)NHCH2CF3 *
9 3-Cl, 5-Cl CF3 Me H H C(O)NH(CH2-2-pyridinyl) *
10 3-Cl, 5-Cl CF3 phenyl H H C(O)NH(CH2-2-pyridinyl) *
11 3-Cl, 5-Cl CF3 CH2CF3 H H C(O)NH(CH2-2-pyridinyl) *
12 (Ex. 2) 3-Cl, 5-Cl CF3 Me H H C(O)NHCH2CF3
13 3-Cl1 5-Cl CF3 phenyl H Me C(O)NH(CH2-2-pyπdinyl) *
14 3-Cl, 5-Ci CF3 H H H F *
15 4-Cl CF3 H H H l#-l,2,4-triazol-l-yl *
16 4-Cl CF3 Me H H l#-l,2,4-triazol-l-yl *
17 H CF3 Me H H C(O)NH(CH2-2-pyridinyl) *
18 3-Cl, 5-Cl CF3 H H H l«-l,2,4-triazol-l-yl *
19 3-Cl, 5-Cl CF3 Me H H ltf-l,2,4-triazol-l-yl *
20 3-Cl, 5-CI CF3 CH2CF3 H H lf/-l,2,4-triazol-l-yl *
* See Index Table B for1H NMR data.
** See synthesis example for1H NMR data.
INDEX TABLE B
Compd. No. *H NMR Data (CDCI3 solution unless indicated otherwise)8 δ 7.43 (s, 2H), 7.40 (m, IH), 7.37 (m, IH), 7.33 (m, IH), 7.11 (m, IH), 6.54 (s, IH), 3.83 (m, IH),
3.45 (m, IH), 2.51 (s, 3H). δ 8.55 (m, IH), 7.74 (m, IH), 7.53 (m, IH), 7.40 (m, 4H), 7.35 (m, IH), 7.23 (m, 2H) , 5.54 (s,
IH), 5.16 (s, IH), 4.77 (m, 2H), 3.42 (m, 2H), 2.5 l(s, 3H). δ 7.53 (m, IH), 7.50 (m, IH), 7.40 (s, 2H), 7.37 (s, IH), 7.29 (m, IH), 6.36 (s, IH), 3.81 (m, IH),
3.38 (m, IH), 2.39 (s, 3H). δ 8.59 (d, IH), 7.92 (d, 2H), 7.74 (d, 2H), 7.74-7.62 (m, 2H), 7.42 (apparent s, 4H), 7.38-7.32 (m,
2H), 7.26-7.22 (m, IH), 4.79 (d, 2H), 3.91 (d, IH), 3.78-3.62 (m, IH), 3.57 (d, IH), 3.49-3.32 (m,
IH). 6 58.59 (d, IH), 7.93 (d, 2H), 7.81 (d, 2H), 7.8-7.6 (m, 2H), 7.51 (br d, 2H), 7.41-7.33 (m, 4H), 7.20-7.02 (m, 4H), 6.85 (br t, IH), 4.79 (d, 2H), 4.18 (d, IH), 3.60 (d, IH).
7 δ 7.83 (d, 2H), 7.78 (d, 2H), 7.40 (apparent s, 3H), 7.19 (t, 2H), 7.05 (d, 2H), 6.97 (t, IH), 6.37 (br t, IH), 4.22-4.10 (m, 3H), 3.57 (d, 2H).
8 (DMSO-^6) δ 8.00 (d, 2H), 7.80 (s, IH), 7.72 (d, 2H), 7.38 (s, 2H), 7.03 (br s, IH), 4.21-3.65 (m, 6H).
9 δ 8.58 (d, IH), 7.89 (d, 2H), 7.77-7.60 (m, 4H), 7.41-7.32 (m, 4H), 7.25-7.20 (m, IH), 4.78 (d, 2H), 3.92 (d, IH), 3.39 (d, IH), 3.10 (s, 3H).
10 δ 8.56 (d, IH), 7.93 (d, 2H), 7.77 (d, 2H), 7.71 (dt, IH), 7.68 (br t, IH), 7.41 (br s, 2H), 7.39-7.34 (m, 2H), 7.26-7.15 (m, 3H), 7.05 (d, 2H), 6.94 (t, IH), 4.77 (d, 2H), 4.14 (d, IH), 3.54 (d, IH).
11 (DMSO-^6) δ 9.21 (t, IH), 8.52 (d, IH), 7.98 (d, 2H), 7.79-7.74 (m, 4H), 7.38 (s, IH), 7.37-7.22 (m, 3H), 4.59 (d, 2H), 4.22-4.03 (m, 2H), 3.92 (d, IH), 3.82-3.69 (m, IH).
13 δ 8.57 (m, IH), 6.74-7.72 (m, 14H). 6.12 (m, IH), 4.79 (m, 2H), 3.79 (m, IH), 3.39 (m, IH), 2.48 (s, 3H).
14 δ 7.98 (m, IH), 7.61 (m, IH), 7.50 (m, IH), 7.42 (s, IH), 7.36 (m, IH), 7.08 (m, 2H), 6.47 (s, IH), 3.83 (m, IH), 3.40 (m, IH).
15 δ 8.56 (s, IH), 8.06 (s, IH), 7.70 (m, 4H), 7.34 (m, 4H), 3.82 (m, IH), 3.43 (m, IH).
16 δ 8.59 (s, IH), 8.11 (s, IH), 7.71 (m, 4H), 7.40 (m, 4H), 3.89 (m, IH), 3.45 (m, IH), 3.04 (s, 3H).
17 δ 8.58 (m, IH), 7.89 (m, 2H), 7.77 (m, 2H), 7.64 (m, 2H), 7.46 (m, 2H), 7.37 (m, 4H), 4.78 (m, 2H), 3.92 (d, IH), 3.44 (d, IH), 3.03 (s, 3H).
18 δ 8.61 (s, IH), 8.12 (s, IH), 7.76 (m, 4H), 7.45 (s, 2H), 7.40 (m, IH), 6.68 (s, IH), 3.91 (d, IH), 3.45 (d, IH).
19 δ 8.61 (s, IH), 8.12 (s, IH), 7.71 (m, 4H), 7.46 (m, IH), 7.42 (m, 2H), 3.93 (d, IH), 3.40 (d, IH), 3.12 (m, 3H).
20 δ 8.63 (s, IH), 8.14 (s, IH), 7.80 (m, 2H), 7.71 (m, 2H), 7.41 (m, 2H), 7.05 (m, IH), 5.60 (s, IH), 5.23 (s, IH), 3.46 (m, 2H).a *H NMR data are in ppm downfield from tetramethylsilane. Couplings are designated by (s)-singlet, (d)-doublet, (t)-triplet, (m)-multiplet, (br s)-broad singlet, (br t)-broad triplet and (dt)-doublet of triplet.
BIOLOGICAL EXAMPLES OF THE INVENTTON
The following Tests demonstrate the control efficacy of compounds of this invention on specific pests. "Control efficacy" represents inhibition of invertebrate pest development (including mortality) that causes significantly reduced feeding. The pest control protection afforded by the compounds is not limited, however, to these species. See Index Tables A-B for compound descriptions. TEST A
For evaluating control of diamondback moth (Plutella xylostellά) the test unit consisted of a small open container with a 12-14-day-old radish plant inside. This was pre-infested with 10-15 neonate larvae on a piece of insect diet by use of a core sampler to remove a plug from a sheet of hardened insect diet having many larvae growing on it and transfer the plug containing larvae and diet to the test unit. The larvae moved onto the test plant as the diet plug dried out.
Test compounds were formulated using a solution containing 10% acetone, 90% water and 300 ppm X-77™ Spreader Lo-Foam Formula non-ionic surfactant containing alkylarylpolyoxyethylene, free fatty acids, glycols and isopropanol (Loveland Industries, Inc. Greeley, Colorado, USA). The formulated compounds were applied in 1 mL of liquid through a SUJ2 atomizer nozzle with 1/8 JJ custom body (Spraying Systems Co. Wheaton, Illinois, USA) positioned 1.27 cm (0.5 inches) above the top of each test unit. AU experimental compounds in these tests were sprayed at 250 ppm and replicated three times. After spraying of the formulated test compound, each test unit was allowed to dry for 1 hour, and then a black, screened cap was placed on top. The test units were held for 6 days in a growth chamber at 250C and 70% relative humidity. The level of control efficacy of the test compound was then visually assessed based on the foliage feeding damage and the larval mortality of each test unit. Of the compounds of Formula 1 tested the following provided very good to excellent levels of plant protection (30% or less feeding damage or 70% or more mortality): 2, 11, 12 and 19.
TEST B
For evaluating control of fall armyworm (Spodoptera frugiperdά) the test unit consisted of a small open container with a 4— 5-day-old corn (maize) plant inside. This was pre-infested (using a core sampler) with 10—15 1-day-old larvae on a piece of insect diet. Test compounds were formulated and sprayed at 250 ppm as described for Test A and replicated three times. After spraying, the test units were maintained in a growth chamber and then visually rated as described for Test A. Of the compounds of Formula 1 tested the following provided very good to excellent levels of plant protection (20% or less feeding damage or 80% or more mortality): 2.
TEST C
For evaluating control of cotton melon aphid (Aphis gossypiϊ) through contact and/or systemic means, the test unit consisted of a small open container with a 6-7-day-old cotton plant inside. This was pre-infested by placing on a leaf of the test plant 30-40 aphids on a piece of leaf excised from a culture plant (cut-leaf method). The larvae moved onto the test plant as the leaf piece desiccated. After pre-infestation, the soil of the test unit was covered with a layer of sand. Test compounds were formulated and sprayed at 250 ppm as described for Test A. The applications were replicated three times. After spraying of the formulated test compound, each test unit was allowed to dry for 1 hour and then a black, screened cap was placed on top. The test units were held for 6 days in a growth chamber at 19-210C and 50-70% relative humidity. Each test unit was then visually assessed for insect mortality.
Of the compounds of Formula 1 tested, the following resulted in 80% or more mortality: 2.

Claims

CLAIMS What is claimed is:
1. A compound of Formula 1, an iV-oxide, or a salt thereof
Figure imgf000104_0001
wherein
Z is N or CR2; A1 is CR4 or N; A2 is CRS or N; AMs CR6 Or N; A4 is CR7 or N;
Q is a 5- or 6-membered saturated or unsaturated heterocycle optionally substituted with one or more substituents independently selected from halogen, Cj-Cg alkyl, C1-Cg haloalkyl, C3-Cg cycloalky], C3-C6 halocycloalkyl, C1-C6 alkoxy, C1-C6 haloalkoxy, C1-C6 alkylthio, C1-C6 haloalkylthio, C1-C6 alkylsulfinyl, C1-C6 • haloalkylsulfiny], C1-C6 alkylsulfonyl, C1-C6 haloalkylsulfonyl, C1-C6 alkylamino, C2-C8 dialkylamino, cyano, nitro, C(O)NR8R9, C(O)OR10, phenyl and pyridinyl, each phenyl and pyridinyl optionally substituted with one or more substituents independently selected from R11; or Q is C(O)NR12R13, C(S)NR12R13, S(O)2NR14R15 or R16; R1 is cyano; or C1-C6 alkyl, C2-C6 alkenyl, C2-C6 alkynyl, C3-C6 cycloalkyl, C4-C7 alkylcycloalkyl or C4-C7 cycloalkylalkyl, each optionally substituted with one or more substituents independently selected from R17; each R2 is independently H, halogen, C1-C6 alkyl, C1-C6 haloalkyl, C1-C6 alkoxy, C1-C6 haloalkoxy, C1-C6 alkylthio, C1-C6 haloalkylthio, C1-C6 alkylsulfinyl, C1-C6 haloalkylsulfinyl, C1-C6 alkylsulfonyl, C1-C6 haloalkylsulfonyl, C1-C6 alkylamino, C2-Cg dialkylamino, C2-C4 alkoxycarbonyl, C2-C4 alkylaminocarbonyl, C3-C9 dialkylaminocarbonyl, cyano or nitro; R3 is H, cyano or -CHO; or C1-C6 alkyl, C2-C6 alkenyl, C2-C6 alkynyl, C3-C6 cycloalkyl, C4-C7 alkylcycloalkyl, C4-C7 cycloalkylalkyl, phenyl, C2-C6 alkylcarbonyl, C2-C6 alkoxycarbonyl, C2-C6 alkylaminocarbonyl or C3-C9 dialkylaminocarbonyl, each optionally substituted with one or more substituents independently selected from R18; R4, R5, R6 and R7 are independently selected from H, halogen, C1-C6 alkyl, C1-C6 haloalkyl, C3-C6 cycloalkyl, C3-C6 halocycloalkyl, C1-C6 alkoxy, C1-C6 haloalkoxy, C1-C6 alkylthio, C1-C6 haloalkylthio, C1-C6 alkylsulfinyl, C1-C6 haloalkylsulfinyl, C1-C6 alkylsulfonyl, C1-C6 haloalkylsulfonyl, C1-C6 alkylamino, C2-Cg dialkylamino, cyano and nitro; or
R6 and R7 are taken together to form a fused aromatic ring, the fused aromatic ring containing as ring members in addition to the A3 and A4 bridgehead atoms, 3 atoms selected from 1 to 2 carbon atoms, 0 to 2 nitrogen atoms, 0 to 1 oxygen atom and 0 to 1 sulfur atom, or 4 atoms selected from 2 to 4 carbon atoms and 0 to 2 nitrogen atoms; each R8, R12 and R14 is independently H, C1-C6 alkyl, C1-C6 haloalkyl, C2-C6 alkenyl, C2-C6 alkynyl, C3-C6 cycloalkyl, C4-C7 alkylcycloalkyl, C4-C7 cycloalkylalkyl, C2-C7 alkylcarbonyl, C2-C6 alkoxyalkyl or C2-C7 alkoxycarbonyl; each R9, R10, R13 and R15 is independently H; or C1-C6 alkyl, C2-C6 alkenyl, C2-C6 alkynyl, C3-C6 cycloalkyl, C4-C7 alkylcycloalkyl or C4-C7 cycloalkylalkyl, each optionally substituted with one or more substituents independently selected from R19; each R11, R23 and R24 is independently halogen, C1-C6 alkyl, C1-C6 haloalkyl, C1-C6 alkoxy, C1-C6 haloalkoxy, C1-C6 alkylthio, C1-C6 haloalkylthio, C1-C6 alkylsulfinyl, C1-C6 haloalkylsulfinyl, C1-C6 alkylsulfonyl, C1-C6 haloalkylsulfonyl, C1-C6 alkylaminosulfonyl, C1-C6 alkylamino, C2-Cg dialkylamino, C2-C4 alkoxycarbonyl, cyano or nitro; R16 is halogen, C1-C6 alkyl, C1-C6 haloalkyl, C3-C6 cycloalkyl, C3-C6 halocycloalkyl, C1-C6 alkoxy, C1-C6 haloalkoxy, C1-C6 alkylthio, C1-C6 haloalkylthio, C1-C6 alkylsulfinyl, C1-C6 haloalkylsulfinyl, C1-C6 alkylsulfonyl,
C1-C6 haloalkylsulfonyl, C1-C6 alkylamino, C2-Cg dialkylamino, cyano or nitro; each R17 and R18 is independently halogen, C1-C6 alkyl, C1-C6 alkoxy, C1-C6 alkylthio,
C1-C6 alkylsulfinyl, C1-C6 alkylsulfonyl, cyano or nitro; each R19 is independently halogen, C1-C6 alkyl, C1-C6 alkoxy, C1-C6 alkylthio, C1-C6 alkylsulfinyl, C1-C6 alkylsulfonyl, C2-C6 alkylcarbonyl, C2-C6 alkoxycarbonyl,
C3-C6 trialkylsilyl, cyano, nitro or Q1; each Q1 is independently phenyl or a 5- or 6-membered saturated or unsaturated heterocycle, each optionally substituted with one or more substituents independently selected from halogen, C1-C6 alkyl, C1-C6 haloalkyl, C3-C6 cycloalkyl, C3-C6 halocycloalkyl, C1-C6 alkoxy, C1-C6 haloalkoxy, C1-C6 alkylthio, C1-C6 haloalkylthio, C1-C6 alkylsulfinyl, C1-C6 haloalkylsulfinyl, C1-C6 alkylsulfonyl, C1-C6 haloalkylsulfonyl, C1-C6 alkylamino, C2-Cg dialkylamino, cyano, nitro, C(O)NR20R21, C(O)OR22, phenyl and pyridinyl, each phenyl and pyridinyl optionally substituted with one or more substituents independently selected from R23; each R20 is independently H, C1-C6 alkyl, C1-C6 haloalkyl, C2-C6 alkenyl, C2-C6 alkynyl,
C3-C6 cycloalkyl, C4-C7 alkylcycloalkyl, C4-C7 cycloalkylalkyl, C2-C6 alkoxyalkyl, C2-C7 alkylcarbonyl or C2-C7 alkoxycarbonyl; each R21 and R22 is independently H; or C1-C6 alkyl, C1-C6 haloalkyl, C2-C6 alkenyl,
C2-C6 alkynyl, C3-C6. cycloalkyl, C4-C7 alkylcycloalkyl, C4-C7 cycloalkylalkyl, phenyl or pyridinyl, each phenyl and pyridinyl optionally substituted with one or more substituents independently selected from R24; and n is i, 2, 3 or 4.
2. The compound of Claim 1 wherein
Q is a 5- or 6-membered unsaturated heterocycle selected from pyridinyl, pyrimidinyl, triazinyl, pyrazolyl, triazolyl, imidazolyl, oxazolyl, isoxazolyl, thiazolyl and isothiazolyl, each heterocycle optionally substituted with one or more substituents independently selected from halogen, C1-C6 alkyl, C1-C6 haloalkyl,
C3-C6 cycloalkyl, C3-C6 halocycloalkyl, C1-C6 alkoxy, C1-C6 haloalkoxy, C1-C6 alkylthio, C1-C6 haloalkylthio, C1-C6 alkylsulfinyl, C1-C6 haloalkylsulfinyl, C1-C6 alkylsulfonyl, C1-C6 haloalkylsulfonyl, C1-C6 alkylamino, C2-C8 dialkylamino, cyano, nitro, C(O)NR8R9, C(O)OR10, phenyl and pyridinyl, each phenyl and pyridinyl optionally substituted with one or more substituents independently selected from R11; or Q is C(O)NR12R13, S(O)2NR14R15 OrR16; Z is CR2; at most 1 of A1, A2, A3 and A4 is N; R1 is C1-C3 alkyl optionally substituted with one or more substituents independently selected from R17; each R2 is independently hydrogen, halogen or C1-C2 haloalkyl;
R3 is H or cyano; or C1-C4 alkyl optionally substituted with one or more halogen; R4 and R5 are independently selected from H, halogen, C1-C3 alkyl, C1-C3 haloalkyl, cyano and nitro;
R6 and R7 are independently selected from H, halogen, C1-C3 alkyl, C1-C3 haloalkyl, cyano and nitro; or R6 and R7 are taken together to form a fused aromatic ring, the fused aromatic ring containing as ring members in addition to the A3 and A4 bridgehead atoms, 4 atoms selected from 3 to 4 carbon atoms and O to 1 nitrogen atom; each R8 is independently H, C1-C6 alkyl, C2-C7 alkylcarbonyl or C2-C7 alkoxycarbonyl; each R9 and R10 is independently H; or C1-C4 alkyl, C2-C4 alkenyl, C2-C4 alkynyl, C3-C4 cycloalkyl, C4-C7 cycloalkylalkyl or C4-C7 cycloalkylalkyl, each optionally substituted with one or more substituents selected from R19; each R12 and R14 is independently H, C1-Cg alkyl, C2-C7 alkylcarbonyl or C2-C7 alkoxycarbonyl; each R13 and R15 is independently H; or C1-C4 alkyl, C2-C4 alkenyl, C2-C4 alkynyl, C3-C4 cycloalkyl, C4-C7 alkylcycloalkyl or C4-C7 cycloalkylalkyl, each optionally substituted with one or more substituents selected from R19; R16 is halogen, C1-C3 haloalkyl, C2-C4 dialkylamino, cyano or nitro; each R19 is independently selected from halogen, C1-C4 alkyl, C1-C4 alkoxy, C1-C4 alkylthio, C1-C4 alkyl sulfonyl, C2-C4 alkylcarbonyl, C2-C4 alkoxycarbonyl, cyano, nitro and Q1; each Q1 is independently selected from phenyl, pyridinyl and thiazolyl, each optionally substituted with one or more substituents independently selected from halogen, C1-C3 alkyl, C1-C3 haloalkyl, cyano, phenyl and pyridinyl; and n is 1 or 2.
3. The compound of Claim 2 wherein
R1 is C1-C3 alkyl optionally substituted with one or more halogen.
4. The compound of Claim 3 wherein Q is a 5-membered unsaturated heterocycle selected from pyrazolyl, triazolyl and imidazolyl, each heterocycle attached to the remainder of Formula 1 through nitrogen and optionally substituted with one or more substituents independently selected from halogen, C1-C4 alkyl, C1-C4 haloalkyl, C1-C4 alkoxy, C1-C4 haloalkoxy, cyano, nitro, C(O)NR8R9 and C(O)OR10; or Q is C(O)NR12R13; RMs CF3;
R6 and R7 are independently selected from halogen, C1-C3 alkyl, C1-C3 haloalkyl, cyano and nitro; or R6 and R7 are taken together to form a fused aromatic ring, the fused aromatic ring containing 4 carbon atoms as ring members in addition to the A3 and A4 bridgehead atoms; each R8 is H; each R9 and R10 is independently C1-C4 alkyl optionally substituted with one or more substituents selected from halogen, C1-C4 alkyl, C1-C4 alkoxy, C1-C4 alkylthio, C1-C4 alkylsulfonyl, cyano and at most one Q1; and each R12 and R14 is independently is H; each R13 and R15 is independently H; or C1-C4 alkyl optionally substituted with one or more substituents selected from R19; and R19 is independently selected from halogen and Q1.
5. The compound of Claim 4 wherein R3 is methyl, ethyl, or CH2CF3.
6. The compound of Claim 1 that is selected from the group consisting of: 4-[5-(3,5-dichlorophenyl)-4,5-dihydro-l-methyl-5-(trifluoromethyl)-lH-ρyrazol- 3-yl]-2-methyl-iV-(2-pyridinylmethyl)benzamide, 4-[5-(3,5-dichlorophenyl)-4,5-dihydro-l-methyl-5-(trifluoromethyl)-lH-pyrazol-
3-yl]-N-(2,2,2-trifluoroethyl)benzamide,
4-[5-(3,5-dichlorophenyl)-4,5-dihydro-l-(2,2,2-trifluoroethyl)-5-(trifluoromethyl)- lH-pyrazol-3-yI]-iV-(2-pyridinylmethyl)benzamide, and l-[4-[5-(3,5-dichlorophenyl)-4,5-dihydro-l-methyl-5-(trifluoromethyl)-lH-pyrazol- 3-yl]phenyl]-lH-l,2,4-triazole.
7. A composition comprising a compound of Claim 1 and at least one additional component selected from the group consisting of a surfactant, a solid diluent and a liquid diluent, said composition optionally further comprising at least one additional biologically active compound or agent.
8. A composition for controlling an invertebrate pest comprising a biologically effective amount of a compound of Claim 1 and at least one additional component selected from the group consisting of a surfactant, a solid diluent and a liquid diluent, said composition optionally further comprising a biologically effective amount of at least one additional biologically active compound or agent.
9. The composition of Claim 8 wherein at least one additional biologically active compound or agent is selected from insecticides of the group consisting of macrocyclic lactones, neonicotinoids, octopamine receptor ligands, ryanodine receptor ligands, ecdysone agonists, sodium channel modulators, chitin synthesis inhibitors, nereisotoxin analogs, mitochondrial electron transport inhibitors, cholinesterase inhibitors, cyclodiene insecticides, molting inhibitors, γ-aminobutyric acid-regulated chloride channel blockers, juvenile hormone mimics, lipid biosynthesis inhibitors and biological agents including nucleopolyhedro viruses, members of Bacillus thuringiensis, encapsulated delta-endotoxins of Bacillus thuringiensis, and other naturally occurring or genetically modified insecticidal viruses.
10. The composition of Claim 8 wherein the at least one additional biologically active compound or agent is selected from the group consisting of abamectin, acephate, acetamiprid, acetoprole, aldicarb, amidoflumet. amitraz, avermectin, azadirachtin, azinphos-methyl, bifenthrin, bifenazate, bistrifluron, buprofezin, carbofuran, cartap, chinomethionat, chlorfenapyr, chlorfluazuron, chlorantraniliprole, chlorpyrifos, chlorpyrifos- methyl, chlorobenzilate, chromafenozide, clothianidin, cyflumetofen, cyfluthrin, beta-cyfluthπn, cyhalothrin, gamma-cyhalothrin, lambda-cyhalothrin, cyhexatin, cypermethrin, cyromazine, deltamethrin, diafenthiuron, diazinon, dicofol, dieldrin, dienochlor, diflubenzuron, dimefluthrin, dimethoate, dinotefuran, diofenolan, emamectin, endosulfan, esfenvalerate, ethiprole, etoxazole, fenamiphόs, fenazaquin, fenbutatin oxide, fenothiocarb, fenoxycarb, fenpropathrin, fenpyroximate, fenvalerate, fipronil, flonicamid, flubendi amide, flucythrinate, tau-fluvalinate, flufenerim, flufenoxuron, fonophos, halofenozide, hexaflumuron, hexythiazox, hydramethylnon, imicyafos, imidacloprid, indoxacarb, isofenphos, lufenuron, malathion, metaflumizone, metaldehyde, methamidophos, methidathion, methomyl, methoprene, methoxychlor, methoxyfenozide, metofluthrin, monocrotophos, nitenpyram, nithiazine, novaluron, noviflumuron, oxamyl, parathion, parathion-methyl, permethrin, phorate, phosalone, phosmet, phosphamidon, pirimicarb, profenofos, profluthrin, propargite, protrifenbute, pymetrozine, pyrafluprole, pyrethrin, pyridaben, pyridalyl, pyrifluquinazon, pyriprole, pyriproxyfen, rotenone, ryanodine, spinetoram, spinosad, spiridiclofen, spiromesifen, spirotetramat, sulprofos, tebufenozide, tebufenpyrad, teflubenzuron, tefluthrin, terbufos, tetrachlorvinphόs, thiacloprid, thiamethoxam, thiodicarb, thiosultap-sodium, tolfenpyrad, tralomethrin, triazamate, trichlorfon, triflumuron, Bacillus thuringiensis subsp. aizawai, Bacillus thuringiensis subsp. kurstaki, nucleopolyhedro viruses, encapsulated delta-endotoxins of Bacillus thuringiensis, baculoviruses, entomopathogenic bacteria, entomopathogenic viruses and entomopathogenic fungi.
11. The composition of Claim 10 wherein the at least one additional biologically active compound or agent is selected from the group consisting of abamectin, acetamiprid, amitraz, avermectin, azadirachtin, bifenthrin, buprofezin, cartap, chlorantraniliprole, chlorfenapyr, chlorpyrifos, clothianidin, cyfluthrin, beta-cyfJuthrin, cyhalothrin, lambda- cyhalothrin, cypermethrin, cyromazine, deltamethrin, dieldrin, dinotefuran, diofenolan, emamectin, endosulfan, esfenvalerate, ethiprole, fenothiocarb, fenoxycarb, fenvalerate, fipronil, flonicamid, flubendiamide, flufenoxuron, hexaflumuron, hydramethylnon, imidacloprid, indoxacarb, lufenuron, metaflumizone, methomyl, methoprene, methoxyfenozide, nitenpyram, nithiazine, novaluron, oxamyl, pymetrozine, pyrethrin, pyridaben, pyridalyl, pyriproxyfen, ryanodine, spinetoram, spinosad, spirodiclofen, spiromesifen, tebufenozide, thiacloprid, thiamethoxam, thiodicarb, thiosultap-sodium, tralomethrin, triazamate, triflumuron, Bacillus thuringiensis subsp. aizawai, Bacillus thuringiensis subsp. kurstaki, nucleopolyhedro viruses and encapsulated delta-endotoxins of Bacillus thuringiensis.
12. The composition of Claim 8 in the form of a soil drench liquid formulation.
13. A spray composition for controlling an invertebrate pest, comprising:
(a) a biologically effective amount of the compound of Claim 1 or the composition of Claim 8; and (b) a propellant.
14. A bait composition for controlling an invertebrate pest, comprising:
(a) a biologically effective amount of the compound of Claim 1 or the composition of Claim 8; (b) one or more food materials;
(c) optionally an attractant; and
(d) optionally a humectant.
15. A trap device for controlling an invertebrate pest, comprising: (a) the bait composition of Claim 14; and (b) a housing adapted to receive the bait composition, wherein the housing has at least one opening sized to permit the invertebrate pest to pass through the opening so the invertebrate pest can gain access to the bait composition from a location outside the housing, and wherein the housing is further adapted to be placed in or near a locus of potential or known activity for the invertebrate pest.
16. A method for controlling an invertebrate pest comprising contacting the invertebrate pest or its environment with a biologically effective amount of a compound of Claim 1.
17. A method for controlling an invertebrate pest comprising contacting the invertebrate pest or its environment with a composition of Claim 8.
18. The method of Claim 17 wherein the environment is soil and the composition is applied to the soil as a soil drench formulation.
19. A method for controlling a cockroach, an ant or a termite, comprising contacting a cockroach, an ant, or a termite with the bait composition in a trap device of Claim 15.
20. A method for controlling a mosquito, a black fly, a stable, fly, a deer fly, a horse fly, a wasp, a yellow jacket, a hornet, a tick, a spider, an ant, or a gnat, comprising contacting a mosquito, a black fly, a stable, fly, a deer fly, a horse fly, a wasp, a yellow jacket, a hornet, a tick, a spider, an ant, or a gnat with the spray composition of Claim 13 dispensed from a spray container.
21. A method for protecting a seed from an invertebrate pest comprising contacting the seed with a biologically effective amount of a compound of Claim 1.
22. The method of Claim 21 wherein the seed is coated with the compound of Claim 1 formulated as a composition comprising a film former or adhesive agent.
23. A treated seed comprising a compound of Claim 1 in an amount of from about 0.0001 to 1 % by weight of the seed before treatment.
24. A composition for protecting an animal from an invertebrate parasitic pest comprising a parasiticidally effective amount of a compound of Claim 1 and at least one carrier.
25. The composition of Claim 24 in a form for oral administration.
26. A method for protecting an animal from an invertebrate parasitic pest comprising administering to the animal a parasiticidally effective amount of a compound of Claim 1.
PCT/US2007/0091842006-04-202007-04-13Pyrazolines for controlling invertebrate pestsWO2007123855A2 (en)

Priority Applications (3)

Application NumberPriority DateFiling DateTitle
AU2007240954AAU2007240954A1 (en)2006-04-202007-04-13Pyrazolines for controlling invertebrate pests
BRPI0710403-0ABRPI0710403A2 (en)2006-04-202007-04-13 compound composition, control composition, spraying, bait, trap device, control methods, protection methods, treated seed, protective composition
MX2008013307AMX2008013307A (en)2006-04-202007-04-13Pyrazolines for controlling invertebrate pests.

Applications Claiming Priority (2)

Application NumberPriority DateFiling DateTitle
US79357606P2006-04-202006-04-20
US60/793,5762006-04-20

Publications (3)

Publication NumberPublication Date
WO2007123855A2true WO2007123855A2 (en)2007-11-01
WO2007123855A3 WO2007123855A3 (en)2008-01-10
WO2007123855B1 WO2007123855B1 (en)2008-02-21

Family

ID=38542963

Family Applications (1)

Application NumberTitlePriority DateFiling Date
PCT/US2007/009184WO2007123855A2 (en)2006-04-202007-04-13Pyrazolines for controlling invertebrate pests

Country Status (5)

CountryLink
KR (1)KR20090005201A (en)
AU (1)AU2007240954A1 (en)
BR (1)BRPI0710403A2 (en)
MX (1)MX2008013307A (en)
WO (1)WO2007123855A2 (en)

Cited By (62)

* Cited by examiner, † Cited by third party
Publication numberPriority datePublication dateAssigneeTitle
WO2009097992A1 (en)2008-02-072009-08-13Bayer Cropscience AgInsecticidal arylpyrrolines
CN100536659C (en)*2007-11-022009-09-09江苏东宝农药化工有限公司Compound pesticide composition containing fipronil and dimethoate and preparation method thereof
WO2009126668A3 (en)*2008-04-092010-04-08E. I. Du Pont De Nemours And CompanyMethod for preparing 3-trifluoromethyl chalcones
WO2010120192A1 (en)*2009-04-172010-10-21Zelam LimitedInsecticidal composition and method
WO2011075591A1 (en)*2009-12-172011-06-23Merial LimitedAnti parasitic dihydroazole compounds and compositions comprising same
WO2011134817A1 (en)*2010-04-272011-11-03Syngenta Participations AgMethods of controlling neonicotinoid resistant aphids
WO2011157733A2 (en)2010-06-182011-12-22Novartis AgNew use
WO2012017974A1 (en)2010-08-032012-02-09住友化学株式会社Pest control composition
WO2012017975A1 (en)2010-08-032012-02-09住友化学株式会社Pest control composition
WO2012017969A1 (en)2010-08-032012-02-09住友化学株式会社Pest control composition
WO2012017971A1 (en)2010-08-032012-02-09住友化学株式会社Pest control composition
WO2012042006A1 (en)2010-10-012012-04-05Basf SeImine compounds
US8217180B2 (en)2007-08-172012-07-10E.I. Du Pont De Nemours And CompanyMethod for preparing 5-haloalkyl-4,5-dihydroisoxazole derivatives
US8231888B2 (en)2005-12-302012-07-31E.I. Du Pont De Nemours And CompanyIsoxazolines for controlling invertebrate pests
JP2012527414A (en)*2009-05-192012-11-08バイエル・クロップサイエンス・アーゲー Insecticidal arylpyrroline
JP2012530709A (en)*2009-06-192012-12-06イーライ リリー アンド カンパニー Ectoparasite eradication methods and formulations
US8367584B2 (en)2007-10-032013-02-05E.I. Du Pont De Nemours And CompanyNaphthalene isoxazoline compounds for control of invertebrate pests
WO2013039948A1 (en)2011-09-122013-03-21Merial LimitedParasiticidal compositions comprising an isoxazoline active agent, methods and uses thereof
WO2013037626A1 (en)*2011-09-132013-03-21Syngenta Participations AgIsothiazoline derivatives as insecticidal compounds
US8410153B2 (en)2007-06-262013-04-02E.I. Du Pont De Nemours And CompanyNaphthalene isoxazoline invertebrate pest control agents
WO2013079407A1 (en)2011-11-292013-06-06Novartis AgAryl derivatives for controlling ectoparasites
US8507514B2 (en)2009-02-062013-08-13Sumitomo Chemical Company, LimitedHydrazide compound and use of the same in pest control
WO2013119442A1 (en)2012-02-062013-08-15Merial LimitedParasiticidal oral veterinary compositions comprising systemically-acting active agents, methods and uses thereof
WO2013126694A1 (en)2012-02-232013-08-29Merial LimitedTopical compositions comprising fipronil and permethrin and methods of use
EP2647285A2 (en)2010-08-032013-10-09Sumitomo Chemical Company, LimitedPest control composition
CN103355279A (en)*2013-07-192013-10-23江苏省农业科学院Aphid extinguishing liquor and electrothermal aphid extinguishing method employing same for preventing and controlling aphid of facility crops
US8623875B2 (en)2007-06-132014-01-07E.I. Du Pont De Nemours And CompanyIsoxazoline insecticides
WO2014029708A1 (en)*2012-08-242014-02-27Syngenta Participations AgMethods of controlling insects
US8735362B2 (en)2009-12-012014-05-27Syngenta Crop Protection, LlcInsecticidal compounds based on isoxazoline derivatives
JP2014513122A (en)*2011-04-302014-05-29アッヴィ・インコーポレイテッド Isoxazolines as therapeutic agents
JP2015502967A (en)*2011-12-232015-01-29ビーエーエスエフ ソシエタス・ヨーロピアBasf Se Isothiazoline compounds for combating invertebrate pests
WO2015066277A1 (en)2013-11-012015-05-07Merial LimitedAntiparisitic and pesticidal isoxazoline compounds
US9073910B2 (en)2005-12-162015-07-07E.I. Du Pont De Nemours And Company5-aryl isoxazolines for controlling invertebrate pests
WO2015161224A1 (en)2014-04-172015-10-22Merial, Inc.Use of malononitrile compounds for protecting animals from parasites
WO2016138339A1 (en)2015-02-262016-09-01Merial, Inc.Long-acting injectable formulations comprising an isoxazoline active agent, methods and uses thereof
WO2016164487A1 (en)2015-04-082016-10-13Merial, Inc.Extended release injectable formulations comprising an isoxazoline active agent, methods and uses thereof
WO2016187534A1 (en)2015-05-202016-11-24Merial, Inc.Anthelmintic depsipeptide compounds
WO2017147352A1 (en)2016-02-242017-08-31Merial, Inc.Antiparasitic isoxazoline compounds, long-acting injectable formulations comprising them, methods and uses thereof
WO2017176948A1 (en)2016-04-062017-10-12Merial, Inc.Process for the preparation of enantiomerically enriched isoxazoline compounds - crystalline toluene solvate of (s)-afoxolaner
WO2018039508A1 (en)2016-08-252018-03-01Merial, Inc.Method for reducing unwanted effects in parasiticidal treatments
WO2018071535A1 (en)2016-10-142018-04-19Merial, Inc.Pesticidal and parasiticidal vinyl isoxazoline compounds
WO2018093920A1 (en)2016-11-162018-05-24Merial, Inc.Anthelmintic depsipeptide compounds
US10045969B2 (en)2004-03-052018-08-14Nissan Chemical Industries, Inc.Isoxazoline-substituted benzamide compound and pesticide
WO2018192793A1 (en)2017-04-202018-10-25Basf SeSubstituted rhodanine derivatives
WO2018197466A1 (en)2017-04-262018-11-01Basf SeSubstituted succinimide derivatives as pesticides
CN109071494A (en)*2016-03-312018-12-21住友化学株式会社Heterocyclic compound
WO2019036407A1 (en)2017-08-142019-02-21Merial, Inc.Pesticidal and parasiticidal pyrazole-isoxazoline compounds
WO2019118928A1 (en)2017-12-152019-06-20Tarsus Pharmaceuticals, Inc.Isoxazoline parasiticide formulations and methods for treating blepharitis
WO2020014068A1 (en)2018-07-092020-01-16Boehringer Ingelheim Animal Health USA Inc.Anthelminthic heterocyclic compounds
EP3613736A1 (en)2018-08-222020-02-26Basf SeSubstituted glutarimide derivatives
WO2020112374A1 (en)2018-11-202020-06-04Boehringer Ingelheim Animal Health USA Inc.Indazolylcyanoethylamino compound, compositions of same, method of making, and methods of using thereof
WO2020191091A1 (en)2019-03-192020-09-24Boehringer Ingelheim Animal Health USA Inc.Anthelmintic aza-benzothiophene and aza-benzofuran compounds
WO2021242581A1 (en)2020-05-292021-12-02Boehringer Ingelheim Animal Health USA Inc.Anthelmintic heterocyclic compounds
WO2021242481A1 (en)2020-05-282021-12-02Boehringer Ingelheim Animal Health USA Inc.Bi-modal release intra-ruminal capsule device and methods of use thereof
US11278533B2 (en)2007-06-272022-03-22E.I. Du Pont De Nemours And CompanyAnimal pest control method
US11285101B2 (en)2012-04-042022-03-29Intervet Inc.Soft chewable pharmaceutical products
WO2022140728A1 (en)2020-12-212022-06-30Boehringer Ingelheim Animam Health Usa Inc.Parasiticidal collar comprising isoxazoline compounds
WO2022162001A1 (en)2021-01-272022-08-04Intervet International B.V.Cyclopropylamide compounds against parasites in fish
WO2022162016A1 (en)2021-01-272022-08-04Intervet International B.V.Cyclopropylamide compounds against parasites in fish
WO2023156938A1 (en)2022-02-172023-08-24Boehringer Ingelheim Vetmedica GmbhMethod and system for providing a fluid product mailer
US11999742B2 (en)2021-11-012024-06-04Boehringer Ingelheim Vetmedica GmbhSubstituted pyrrolo[1,2-b]pyridazines as anthelmintics
EP4523685A1 (en)2023-09-152025-03-19EVAH Atlantic Inc.Dihydroisoxazole compound for use in the treatment of ectoparasite infestations on fish

Families Citing this family (1)

* Cited by examiner, † Cited by third party
Publication numberPriority datePublication dateAssigneeTitle
UA108881C2 (en)2010-05-272015-06-25 CRYSTAL FORM 4- $ 5- $ 3-CHLORINE-5- (TRIFLUOROMETHYL) PHENYL] -4,5-DIHYDRO-5- (TRIFLUORMETHYL) -3-ISOXAZOLYL] -N- $ 2-OXO-2 - $ 2,2 -TRIFLUOROTHYL) AMINO] ETHYL] -1-NAPHTHALINE CARBOXAMIDE

Family Cites Families (2)

* Cited by examiner, † Cited by third party
Publication numberPriority datePublication dateAssigneeTitle
AU2003261713A1 (en)*2002-08-262004-03-11Nissan Chemical Industries, Ltd.Substituted benzanilide compound and pest control agent
JP4883296B2 (en)*2004-03-052012-02-22日産化学工業株式会社 Isoxazoline-substituted benzamide compounds and pest control agents

Cited By (132)

* Cited by examiner, † Cited by third party
Publication numberPriority datePublication dateAssigneeTitle
US10045969B2 (en)2004-03-052018-08-14Nissan Chemical Industries, Inc.Isoxazoline-substituted benzamide compound and pesticide
US10874645B2 (en)2004-03-052020-12-29Nissan Chemical CorporationIsoxazoline-substituted benzamide compound and pesticide
US10596157B2 (en)2004-03-052020-03-24Nissan Chemical CorporationIsoxazoline-substituted benzamide compound and pesticide
US9073910B2 (en)2005-12-162015-07-07E.I. Du Pont De Nemours And Company5-aryl isoxazolines for controlling invertebrate pests
US8552218B2 (en)2005-12-302013-10-08E.I. Du Pont De Nemours And CompanyIsoxazolines for controlling invertebrate pests
US8231888B2 (en)2005-12-302012-07-31E.I. Du Pont De Nemours And CompanyIsoxazolines for controlling invertebrate pests
US9095138B2 (en)2007-06-132015-08-04E.I. Du Pont De Nemours And CompanyIsoxazoline insecticides
US8623875B2 (en)2007-06-132014-01-07E.I. Du Pont De Nemours And CompanyIsoxazoline insecticides
US8410153B2 (en)2007-06-262013-04-02E.I. Du Pont De Nemours And CompanyNaphthalene isoxazoline invertebrate pest control agents
US11278533B2 (en)2007-06-272022-03-22E.I. Du Pont De Nemours And CompanyAnimal pest control method
US8513431B2 (en)2007-08-172013-08-20E.I. Du Pont De Nemours And CompanyMethod for preparing 5-haloalkyl-4, 5-dihydroisoxazole derivatives
US8217180B2 (en)2007-08-172012-07-10E.I. Du Pont De Nemours And CompanyMethod for preparing 5-haloalkyl-4,5-dihydroisoxazole derivatives
US8367584B2 (en)2007-10-032013-02-05E.I. Du Pont De Nemours And CompanyNaphthalene isoxazoline compounds for control of invertebrate pests
CN100536659C (en)*2007-11-022009-09-09江苏东宝农药化工有限公司Compound pesticide composition containing fipronil and dimethoate and preparation method thereof
US8304371B2 (en)2008-02-072012-11-06Bayer Cropscience AgInsecticidal arylpyrrolines
WO2009097992A1 (en)2008-02-072009-08-13Bayer Cropscience AgInsecticidal arylpyrrolines
JP2011514315A (en)*2008-02-072011-05-06バイエル・クロツプサイエンス・アクチエンゲゼルシヤフト Insecticidal arylpyrrolines
US10160731B2 (en)2008-04-092018-12-25E.I. Du Pont De Nemours And CompanyMethod for preparing 3-trifluoromethyl chalcones
US9611231B2 (en)2008-04-092017-04-04E.I. Du Pont De Nemours And CompanyMethod for preparing 3-trifluoromethyl chalcones
RU2502720C2 (en)*2008-04-092013-12-27Е.И.Дюпон Де Немур Энд КомпаниMethod of producing 3-trifluoromethyl chalcones
US9035101B2 (en)2008-04-092015-05-19E.I. Du Pont De Nemours And CompanyMethod for preparing 3-trifluoromethyl chalcones
US9527822B2 (en)2008-04-092016-12-27E.I. Du Pont De Nemours And CompanyMethod for preparing 3-trifluoromethyl chalcones
US8546618B2 (en)2008-04-092013-10-01E.I. Du Pont De Nemours And CompanyMethod for preparing 3-trifluoromethyl chalcones
US9938248B2 (en)2008-04-092018-04-10E.I. Du Pont De Nemours And CompanyMethod for preparing 3-trifluoromethyl chalcones
US9834523B2 (en)2008-04-092017-12-05E.I. Du Pont De Nemours And CompanyMethod for preparing 3-trifluoromethyl chalcones
WO2009126668A3 (en)*2008-04-092010-04-08E. I. Du Pont De Nemours And CompanyMethod for preparing 3-trifluoromethyl chalcones
US8507514B2 (en)2009-02-062013-08-13Sumitomo Chemical Company, LimitedHydrazide compound and use of the same in pest control
WO2010120192A1 (en)*2009-04-172010-10-21Zelam LimitedInsecticidal composition and method
US8329310B2 (en)2009-04-172012-12-11Zelam LimitedInsecticidal composition and method
US20120003491A1 (en)*2009-04-172012-01-05Zelam LimitedInsecticidal Composition and Method
JP2012527414A (en)*2009-05-192012-11-08バイエル・クロップサイエンス・アーゲー Insecticidal arylpyrroline
US8410141B2 (en)2009-05-192013-04-02Bayer Cropscience AgInsecticidal arylpyrrolines
US9055749B2 (en)2009-05-192015-06-16Bayer Intellectual Property GmbhInsecticidal arylpyrrolines
JP2012530709A (en)*2009-06-192012-12-06イーライ リリー アンド カンパニー Ectoparasite eradication methods and formulations
US9609869B2 (en)2009-12-012017-04-04Syngenta Crop Protection, LlcInsecticidal compounds based on isoxazoline derivatives
US10750745B2 (en)2009-12-012020-08-25Syngenta Crop Protection, LlcInsecticidal compounds based on isoxazoline derivatives
US10206400B2 (en)2009-12-012019-02-19Syngenta Participations AgInsecticidal compounds based on isoxazoline derivatives
US11357231B2 (en)2009-12-012022-06-14Syngenta Crop Protection LlcInsecticidal compounds based on isoxazoline derivatives
US8735362B2 (en)2009-12-012014-05-27Syngenta Crop Protection, LlcInsecticidal compounds based on isoxazoline derivatives
RU2549900C9 (en)*2009-12-172016-09-20Мериал ЛимитедAntiparasitic dihydroazol compounds and compositions containing them
US9776999B2 (en)2009-12-172017-10-03Merial Inc.Antiparisitic dihydroazole compounds and compositions comprising same
WO2011075591A1 (en)*2009-12-172011-06-23Merial LimitedAnti parasitic dihydroazole compounds and compositions comprising same
US9376434B2 (en)2009-12-172016-06-28Merial Inc.Antiparisitic dihydroazole compounds and compositions comprising same
EP3560923A1 (en)*2009-12-172019-10-30Boehringer Ingelheim Animal Health USA Inc.Anti parasitic dihydroazole compounds and compositions comprising same
AP3106A (en)*2009-12-172015-01-31Merial LtdAntiparisitic dihydroazole compounds and compositions comprising same
EA021522B1 (en)*2009-12-172015-07-30Мериал ЛимитедAnti parasitic dihydroazole compounds and compositions comprising same
CN102741247B (en)*2009-12-172016-01-20梅瑞尔公司Antiparasitic dihydropyrrole compounds and compositions containing the same
US8618126B2 (en)2009-12-172013-12-31Merial LimitedAntiparisitic dihydroazole compounds and compositions comprising same
CN102741247A (en)*2009-12-172012-10-17梅里亚有限公司Anti parasitic dihydroazole compounds and compositions comprising same
EP3078664A1 (en)*2009-12-172016-10-12Merial Inc.Antiparasitic dihydroazole compositions
JP2013514978A (en)*2009-12-172013-05-02メリアル リミテッド Antiparasitic dihydroazole compounds and compositions containing them
EA021522B9 (en)*2009-12-172016-08-31Мериал ЛимитедAnti parasitic dihydroazole compounds and compositions comprising same
WO2011134817A1 (en)*2010-04-272011-11-03Syngenta Participations AgMethods of controlling neonicotinoid resistant aphids
WO2011157733A2 (en)2010-06-182011-12-22Novartis AgNew use
WO2012017969A1 (en)2010-08-032012-02-09住友化学株式会社Pest control composition
WO2012017975A1 (en)2010-08-032012-02-09住友化学株式会社Pest control composition
WO2012017974A1 (en)2010-08-032012-02-09住友化学株式会社Pest control composition
EP2647285A2 (en)2010-08-032013-10-09Sumitomo Chemical Company, LimitedPest control composition
WO2012017971A1 (en)2010-08-032012-02-09住友化学株式会社Pest control composition
WO2012042006A1 (en)2010-10-012012-04-05Basf SeImine compounds
JP2014513122A (en)*2011-04-302014-05-29アッヴィ・インコーポレイテッド Isoxazolines as therapeutic agents
AU2012250979B2 (en)*2011-04-302015-07-30Abbvie Inc.Isoxazolines as therapeutic agents
US9029409B2 (en)2011-04-302015-05-12Abbvie Inc.Isoxazolines as therapeutic agents
US9877950B2 (en)2011-09-122018-01-30Merial Inc.Parasiticidal compositions comprising an isoxazoline active agent, methods and uses thereof
EP3172964A1 (en)2011-09-122017-05-31Merial Inc.Parasiticidal compositions comprising an isoxazoline active agent, method and uses thereof
US10786487B2 (en)2011-09-122020-09-29Boehringer Ingelheim Animal Health USA Inc.Parasiticidal compositions comprising an isoxazoline active agent, methods and uses thereof
WO2013039948A1 (en)2011-09-122013-03-21Merial LimitedParasiticidal compositions comprising an isoxazoline active agent, methods and uses thereof
US11464763B2 (en)2011-09-122022-10-11Boehringer Ingelheim Animal Health USA Inc.Parasiticidal compositions comprising an isoxazoline active agent, methods and uses thereof
US9180121B2 (en)2011-09-122015-11-10Merial, Inc.Parasiticidal compositions comprising an isoxazoline active agent, methods and uses thereof
US10383854B2 (en)2011-09-122019-08-20Boehringer Ingelheim Animal Health USA Inc.Parasiticidal compositions comprising an isoxazoline active agent, methods and uses thereof
EP3788874A1 (en)2011-09-122021-03-10Boehringer Ingelheim Animal Health USA Inc.Parasiticidal compositions comprising an isoxazoline active agent, method and uses thereof
EP3190110A1 (en)*2011-09-132017-07-12Syngenta Participations AgIsothiazoline derivatives as insecticidal compounds
CN103842358A (en)*2011-09-132014-06-04先正达参股股份有限公司Isothiazoline derivatives as insecticidal compounds
US9078444B2 (en)2011-09-132015-07-14Syngenta Participations AgIsothiazoline derivatives as insecticidal compounds
WO2013037626A1 (en)*2011-09-132013-03-21Syngenta Participations AgIsothiazoline derivatives as insecticidal compounds
WO2013079407A1 (en)2011-11-292013-06-06Novartis AgAryl derivatives for controlling ectoparasites
US9732051B2 (en)2011-12-232017-08-15Basf SeIsothiazoline compounds for combating invertebrate pests
JP2015502967A (en)*2011-12-232015-01-29ビーエーエスエフ ソシエタス・ヨーロピアBasf Se Isothiazoline compounds for combating invertebrate pests
US9259417B2 (en)2012-02-062016-02-16Merial, Inc.Parasiticidal oral veterinary compositions comprising systemically-acting active agents, methods and uses thereof
US9931320B2 (en)2012-02-062018-04-03Merial Inc.Parasiticidal oral veterinary compositions comprising systemically-acting active agents, methods and uses thereof
US9233100B2 (en)2012-02-062016-01-12Merial, Inc.Parasiticidal oral veterinary compositions comprising systemically-acting active agents, methods and uses thereof
US10596156B2 (en)2012-02-062020-03-24Boehringer Ingelheim Animal Health USA Inc.Parasiticidal oral veterinary compositions comprising systemically-acting active agents, methods and uses thereof
EP3766491A1 (en)2012-02-062021-01-20Boehringer Ingelheim Animal Health USA Inc.Parasiticidal oral veterinary compositions comprising systemically-acting active agents, methods and uses thereof
WO2013119442A1 (en)2012-02-062013-08-15Merial LimitedParasiticidal oral veterinary compositions comprising systemically-acting active agents, methods and uses thereof
EP3061454A1 (en)2012-02-062016-08-31Merial, Inc.Parasiticidal oral veterinary compositions comprising systemically-acting active agents, methods and uses thereof
EP3659439A1 (en)2012-02-232020-06-03Boehringer Ingelheim Animal Health USA Inc.Topical compositions comprising fipronil and permethrin and methods of use
WO2013126694A1 (en)2012-02-232013-08-29Merial LimitedTopical compositions comprising fipronil and permethrin and methods of use
US11285101B2 (en)2012-04-042022-03-29Intervet Inc.Soft chewable pharmaceutical products
US12396945B2 (en)2012-04-042025-08-26Intervet Inc.Soft chewable pharmaceutical products
US11337917B2 (en)2012-04-042022-05-24Intervet Inc.Soft chewable pharmaceutical products
WO2014029708A1 (en)*2012-08-242014-02-27Syngenta Participations AgMethods of controlling insects
CN103355279A (en)*2013-07-192013-10-23江苏省农业科学院Aphid extinguishing liquor and electrothermal aphid extinguishing method employing same for preventing and controlling aphid of facility crops
EP3733664A1 (en)2013-11-012020-11-04Boehringer Ingelheim Animal Health USA Inc.Antiparisitic and pesticidal isoxazoline compounds
WO2015066277A1 (en)2013-11-012015-05-07Merial LimitedAntiparisitic and pesticidal isoxazoline compounds
WO2015161224A1 (en)2014-04-172015-10-22Merial, Inc.Use of malononitrile compounds for protecting animals from parasites
WO2016138339A1 (en)2015-02-262016-09-01Merial, Inc.Long-acting injectable formulations comprising an isoxazoline active agent, methods and uses thereof
WO2016164487A1 (en)2015-04-082016-10-13Merial, Inc.Extended release injectable formulations comprising an isoxazoline active agent, methods and uses thereof
EP3922639A1 (en)2015-05-202021-12-15Boehringer Ingelheim Animal Health USA Inc.Anthelmintic depsipeptide compounds
WO2016187534A1 (en)2015-05-202016-11-24Merial, Inc.Anthelmintic depsipeptide compounds
WO2017147352A1 (en)2016-02-242017-08-31Merial, Inc.Antiparasitic isoxazoline compounds, long-acting injectable formulations comprising them, methods and uses thereof
EP3763211A1 (en)2016-02-242021-01-13Boehringer Ingelheim Animal Health USA Inc.Antiparasitic isoxazoline compounds, long-acting injectable formulations comprising them, methods and uses thereof
CN109071494A (en)*2016-03-312018-12-21住友化学株式会社Heterocyclic compound
CN109071494B (en)*2016-03-312021-02-12住友化学株式会社Heterocyclic compounds
US11149027B2 (en)2016-03-312021-10-19Sumitomo Chemical Company, LimitedHeterocyclic compound
WO2017176948A1 (en)2016-04-062017-10-12Merial, Inc.Process for the preparation of enantiomerically enriched isoxazoline compounds - crystalline toluene solvate of (s)-afoxolaner
EP3978483A1 (en)2016-04-062022-04-06Boehringer Ingelheim Animal Health USA Inc.Crystalline toluene solvate of (s)-afoxolaner
WO2018039508A1 (en)2016-08-252018-03-01Merial, Inc.Method for reducing unwanted effects in parasiticidal treatments
WO2018071535A1 (en)2016-10-142018-04-19Merial, Inc.Pesticidal and parasiticidal vinyl isoxazoline compounds
WO2018093920A1 (en)2016-11-162018-05-24Merial, Inc.Anthelmintic depsipeptide compounds
WO2018192793A1 (en)2017-04-202018-10-25Basf SeSubstituted rhodanine derivatives
WO2018197466A1 (en)2017-04-262018-11-01Basf SeSubstituted succinimide derivatives as pesticides
US11589586B2 (en)2017-08-142023-02-28Boehringer Ingelheim Animal Health USA Inc.Pesticidal and parasiticidal pyrazole-isoxazoline compounds
WO2019036407A1 (en)2017-08-142019-02-21Merial, Inc.Pesticidal and parasiticidal pyrazole-isoxazoline compounds
EP4397375A2 (en)2017-12-152024-07-10Tarsus Pharmaceuticals, Inc.Isoxazoline parasiticide formulations and methods for treating blepharitis
WO2019118928A1 (en)2017-12-152019-06-20Tarsus Pharmaceuticals, Inc.Isoxazoline parasiticide formulations and methods for treating blepharitis
WO2020014068A1 (en)2018-07-092020-01-16Boehringer Ingelheim Animal Health USA Inc.Anthelminthic heterocyclic compounds
US12269822B2 (en)2018-07-092025-04-08Boehringer Ingelheim Animal Health USA Inc.Anthelminthic heterocyclic compounds
EP3613736A1 (en)2018-08-222020-02-26Basf SeSubstituted glutarimide derivatives
WO2020038821A1 (en)2018-08-222020-02-27Basf SeSubstituted glutarimide derivatives
WO2020112374A1 (en)2018-11-202020-06-04Boehringer Ingelheim Animal Health USA Inc.Indazolylcyanoethylamino compound, compositions of same, method of making, and methods of using thereof
US11560388B2 (en)2019-03-192023-01-24Boehringer Ingelheim Vetmedica GmbhAnthelmintic aza-benzothiophene and aza-benzofuran compounds
WO2020191091A1 (en)2019-03-192020-09-24Boehringer Ingelheim Animal Health USA Inc.Anthelmintic aza-benzothiophene and aza-benzofuran compounds
WO2021242481A1 (en)2020-05-282021-12-02Boehringer Ingelheim Animal Health USA Inc.Bi-modal release intra-ruminal capsule device and methods of use thereof
US12312356B2 (en)2020-05-292025-05-27Boehringer Ingelheim Vetmedica GmbhAnthelmintic heterocyclic compounds
WO2021242581A1 (en)2020-05-292021-12-02Boehringer Ingelheim Animal Health USA Inc.Anthelmintic heterocyclic compounds
US11964977B2 (en)2020-05-292024-04-23Boehringer Ingelheim Animal Health USA Inc.Anthelmintic heterocyclic compounds
WO2022140728A1 (en)2020-12-212022-06-30Boehringer Ingelheim Animam Health Usa Inc.Parasiticidal collar comprising isoxazoline compounds
WO2022162016A1 (en)2021-01-272022-08-04Intervet International B.V.Cyclopropylamide compounds against parasites in fish
WO2022162001A1 (en)2021-01-272022-08-04Intervet International B.V.Cyclopropylamide compounds against parasites in fish
US11999742B2 (en)2021-11-012024-06-04Boehringer Ingelheim Vetmedica GmbhSubstituted pyrrolo[1,2-b]pyridazines as anthelmintics
WO2023156938A1 (en)2022-02-172023-08-24Boehringer Ingelheim Vetmedica GmbhMethod and system for providing a fluid product mailer
EP4523685A1 (en)2023-09-152025-03-19EVAH Atlantic Inc.Dihydroisoxazole compound for use in the treatment of ectoparasite infestations on fish

Also Published As

Publication numberPublication date
KR20090005201A (en)2009-01-12
WO2007123855A3 (en)2008-01-10
WO2007123855B1 (en)2008-02-21
MX2008013307A (en)2008-10-27
BRPI0710403A2 (en)2011-08-09
AU2007240954A1 (en)2007-11-01

Similar Documents

PublicationPublication DateTitle
AU2008308907B2 (en)Naphthalene isoxazoline compounds for control of invertebrate pests
EP1966195B1 (en)5-aryl isoxazolines for controlling invertebrate pests
US20090143410A1 (en)Isoxazolines for Controlling Invertebrate Pests
WO2007123855A2 (en)Pyrazolines for controlling invertebrate pests
WO2007123853A2 (en)Five-membered heterocyclic invertebrate pest control agents
WO2009051956A2 (en)Pyrazole-substituted isoxazoline insecticides
WO2008150393A1 (en)3-cyano-4-triazolyl phenylisoxazoline invertebrate pest control agents
WO2023200911A1 (en)Novel sulfonate benzamide compounds for controlling invertebrate pests
US20220135562A1 (en)Heterocycle-substituted bicyclic azole pesticides
EP4347587A1 (en)Fused pyridines for controlling invertebrate pests
WO2015077436A1 (en)1-aryl-3-alkylpyrazole insecticides
WO2022192224A1 (en)Bicyclic amides for controlling invertebrate pests
WO2012012366A1 (en)Pesticidal 3-(aryloxy)azacycloalkanes
AU2014262193A1 (en)Naphthalene isoxazoline compounds for control of invertebrate pests
WO2021262621A1 (en)Chromenone compounds for controlling invertebrate pests
WO2022164857A1 (en)Azole compounds for controlling invertebrate pests
AU2021213184A1 (en)Pyridine compounds for controlling invertebrate pests
HK1161246B (en)5-aryl isoxazolines for controlling invertebrate pests

Legal Events

DateCodeTitleDescription
121Ep: the epo has been informed by wipo that ep was designated in this application

Ref document number:07775409

Country of ref document:EP

Kind code of ref document:A2

WWEWipo information: entry into national phase

Ref document number:2007240954

Country of ref document:AU

WWEWipo information: entry into national phase

Ref document number:7312/DELNP/2008

Country of ref document:IN

ENPEntry into the national phase

Ref document number:2007240954

Country of ref document:AU

Date of ref document:20070413

Kind code of ref document:A

WWEWipo information: entry into national phase

Ref document number:MX/a/2008/013307

Country of ref document:MX

WWEWipo information: entry into national phase

Ref document number:2009506521

Country of ref document:JP

NENPNon-entry into the national phase

Ref country code:DE

WWEWipo information: entry into national phase

Ref document number:1020087028295

Country of ref document:KR

NENPNon-entry into the national phase

Ref country code:JP

122Ep: pct application non-entry in european phase

Ref document number:07775409

Country of ref document:EP

Kind code of ref document:A2

ENPEntry into the national phase

Ref document number:PI0710403

Country of ref document:BR

Kind code of ref document:A2

Effective date:20081020


[8]ページ先頭

©2009-2025 Movatter.jp