Movatterモバイル変換


[0]ホーム

URL:


WO2007094944A2 - Millimeter and sub-millimeter wave detection - Google Patents

Millimeter and sub-millimeter wave detection
Download PDF

Info

Publication number
WO2007094944A2
WO2007094944A2PCT/US2007/002258US2007002258WWO2007094944A2WO 2007094944 A2WO2007094944 A2WO 2007094944A2US 2007002258 WUS2007002258 WUS 2007002258WWO 2007094944 A2WO2007094944 A2WO 2007094944A2
Authority
WO
WIPO (PCT)
Prior art keywords
waveguide
antenna
active region
electrooptic
antenna assembly
Prior art date
Application number
PCT/US2007/002258
Other languages
French (fr)
Other versions
WO2007094944A3 (en
Inventor
Richard W. Ridgway
Steven Risser
David W. Nippa
Original Assignee
Battelle Memorial Institute
Priority date (The priority date is an assumption and is not a legal conclusion. Google has not performed a legal analysis and makes no representation as to the accuracy of the date listed.)
Filing date
Publication date
Priority claimed from US11/622,700external-prioritypatent/US7486247B2/en
Application filed by Battelle Memorial InstitutefiledCriticalBattelle Memorial Institute
Publication of WO2007094944A2publicationCriticalpatent/WO2007094944A2/en
Publication of WO2007094944A3publicationCriticalpatent/WO2007094944A3/en

Links

Classifications

Definitions

Landscapes

Abstract

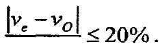
In accordance with one embodiment of the present invention, an antenna assembly (10) comprising an antenna portion (20) and an electrooptic waveguide portion (30) is provided. The antenna portion (20) comprises at least one tapered slot antenna (24, 26). The waveguide portion comprises at least one electrooptic waveguide (32). The electrooptic waveguide comprises a waveguide core (35) extending substantially parallel to a slotline (22) of the tapered slot antenna in an active region (15) of the antenna assembly. The electrooptic waveguide at least partially comprises a velocity matching electrooptic polymer (38) in the active region of the antenna assembly. The velocity ve of a millimeter or sub-millimeter wave signal traveling along the tapered slot antenna \n the active region is at least partially a function of the dielectric constant of the velocity matching electrooptic polymer. In addition, the velocity v0 of an optical signal propagating along the waveguide in the active region is at least partially a function of the index of refraction of the velocity matching electrooptic polymer. Accordingly, the active region and the velocity matching electrooptic polymer can be configured such that v0 and v0 are substantially the same, or at least within a predetermined range of each other, in the active region. Additional embodiments are disclosed and claimed.

Description

MILLIMETER AND SUB-MILLIMETER WAVE DETECTION
The present invention relates to the detection of millimeter and sub-millimeter waves. More specifically, the present invention relates to the design and fabrication of an antenna assembly including an electrooptic waveguide configured to detect 30 GHz or greater electromagnetic signals. For the purposes of describing and defining the present invention, it is noted that reference herein to millimeter and sub-millimeter wave signals denote frequencies that are > 30 GHz.
In accordance with one embodiment of the present invention, an antenna assembly comprising an antenna portion and an electrooptic waveguide portion is provided. The antenna portion comprises at least one tapered slot antenna. The waveguide portion comprises at least one electrooptic waveguide. The electrooptic waveguide comprises a waveguide core extending substantially parallel to a slotline of the tapered slot antenna in an active region of the antenna assembly. The electrooptic waveguide at least partially comprises a velocity matching electrooptic polymer in the active region of the antenna assembly. The velocity ve of a millimeter or sub-millimeter wave signal traveling along the tapered slot antenna in the active region is at least partially a function of the dielectric constant of the velocity matching electrooptic polymer. In addition, the velocity vo of an optical signal propagating along the waveguide in the active region is at least partially a function of the index of refraction of the velocity matching electrooptic polymer.
Accordingly, the active region and the velocity matching electrooptic polymer can be configured such that ve and vo are substantially the same, or at least within a predetermined range of each other, in the active region.
In accordance with another embodiment of the present invention, the tapered slot antenna comprises first and second electrically conductive elements arranged to define a radiating slot of the antenna. The first electrically conductive element is arranged in a plane above the electrooptic "waveguide and the second electrically conductive element is arranged in a plane below the electrooptic waveguide.
In accordance with yet another embodiment of the present invention, the tapered slot antenna and the electrooptic waveguide are configured such that the millimeter or sub- millimeter wave signal traveling along the tapered slot antenna is imparted on the optical signal as frequency sidebands of an optical carrier frequency. In addition, a frequency- dependent filter is positioned to discriminate the frequency sidebands from the carrier frequency band in an optical signal propagating along the electrooptic waveguide portion, downstream of the active region. In accordance with yet another embodiment of the present invention, a method of fabricating an antenna assembly is provided. According to the method, the electrooptic waveguide at least partially comprises a velocity matching electrooptic polymer in the active region of the antenna assembly such that a velocity ve of a millimeter or sub-millimeter wave signal traveling along the tapered slot antenna in the active region is at least partially a function of the dielectric constant of the velocity matching electrooptic polymer and a velocity vo of an optical signal propagating along the waveguide in the active region is at least partially a function of the index of refraction of the velocity matching electrooptic polymer. In addition, the effective permittivity εejfθ£ the active region and the effective index of refraction ηeff°^ the active region are established such that ve and vo are substantially the same or satisfy a predetermined relation.
The following detailed description of specific embodiments of the present invention can be best understood when read in conjunction with the following drawings, where like structure is indicated with like reference numerals and in which:
Fig. IA is a schematic illustration of an antenna assembly according to one embodiment of the present invention;
Fig. IB is a schematic cross sectional illustration of the active region of the antenna assembly illustrated in Fig. IA;
Figs. 2 and 3 are schematic illustrations of two of the many alternative tapered slot antenna configurations for use in the present invention; Fig. 4 is a schematic plan view of an antenna assembly according to another embodiment of the present invention;
Fig. 5 is a schematic cross sectional illustration of the active region of the antenna assembly illustrated in Fig. 4;
Fig. 6 is a schematic illustration of an antenna assembly according to the present invention configured as a one-dimensional focal plane array; and Fig. 7 is a schematic, partially exploded illustration of an antenna assembly according to the present invention configured as a two-dimensional focal plane array.
An antenna assembly 10 according to one embodiment of the present invention is illustrated in Figs. IA and IB. Generally, the antenna assembly 10 comprises an antenna portion 20 and an electrooptic waveguide portion 30. The antenna portion 20 is configured as a tapered slot antenna, the design of which will be described in further detail below with reference to Figs. 2 and 3. The waveguide portion 30 comprises at least one electrooptic waveguide 32 that extends along at least a portion of an optical path between an optical input 34 and an optical output 36 of the antenna assembly 10. For the purposes of describing and defining the present invention, it is noted that reference herein to an "optical" signal denotes electromagnetic radiation in the ultraviolet, visible, infrared, or near-infrared portions of the electromagnetic spectrum.
The electrooptic waveguide 32 comprises a waveguide core 35 that extends substantially parallel to a slotline 22 of the tapered slot antenna 20 in an active region 15 of the antenna assembly 10 and at least partially comprises a velocity matching electrooptic polymer 38 in the active region 15 of the antenna assembly 10. It is contemplated that the velocity matching electrooptic polymer 38 may form the waveguide core 35, all or part of the cladding surrounding a non-polymeric waveguide core, or both the core 35 and the cladding of the waveguide 32. The tapered slot antenna 20 and the electrooptic waveguide 32 are positioned relative to each other such that: (i) the velocity ve of a millimeter or sub-millimeter wave signal 100 traveling along the tapered slot antenna 20 in the active region 15 is at least partially a function of the dielectric constant of the velocity matching electrooptic polymer 38 and (ii) the velocity vo of an optical signal propagating along the waveguide core 35 in the active region 15 is at least partially a function of the index of refraction of the velocity matching electrooptic polymer 38. For the purposes of describing and defining the present invention, it is noted that reference herein to a variable being a "function" of a parameter or another variable is not intended to denote that the variable is exclusively a function of the listed parameter or variable. Rather, reference herein to a variable that is a "function" of a listed parameter is intended to be open ended such that the variable may be a function of a single parameter or a plurality of parameters.
Given this common dependency on the, properties of the velocity matching electrooptic polymer 38, the active region 15 and the velocity matching electrooptic polymer 38 of the antenna assembly 10 can be configured to enhance the velocity matching of the millimeter wave and the optical signal in the active region 15. For example, It is contemplated that the active region 15 and the velocity matching electrooptic polymer 38 can be configured such that ve and vo are substantially the same in the active region or such that they at least satisfy the following relation:
Figure imgf000006_0001
Although the antenna assembly described above is not limited to specific antenna applications, the significance of the velocity matching characteristics of the assembly can be described with reference to applications where a millimeter-wave signal traveling along the tapered slot antenna 20 creates sidebands on an optical carrier signal propagating in the waveguide core 35. Specifically, a millimeter- wave signal can be used to create sidebands on an optical carrier by directing a coherent optical signal of frequency α>o along the electrooptic waveguide portion of an electrooptic modulator while a millimeter-wave voltage of frequency ωm is input to the traveling wave electrodes of the modulator. In the embodiment of the present invention illustrated in Figs. IA and IB, the first and second electrically conductive elements 24, 26 of the tapered slot antenna 20 and the electrooptic waveguide 32 form the electrooptic modulator and a coherent optical carrier signal is directed along the electrooptic waveguide 32. The first and second electrically conductive elements 24, 26 function in a manner that is analogous to the respective traveling wave electrodes described in the aforementioned publication and, as such, cooperate with the electrooptic waveguide 32 to create sidebands on the optical carrier propagating along electrooptic waveguide 32.
More specifically, as the optical carrier ω0 and millimeter-wave signal 100 co- propagate along the length of the electrooptic modulator formed by the tapered slot antenna 20 and the electrooptic waveguide 32, the interaction of the electric field of the millimeter- wave 100 with the electrooptic material of the polymer in the active region 15 creates a refractive index change in the electrooptic waveguide 32 which oscillates with the time- varying electric field of the millimeter- wave 100. This time variation of the refractive index results in a time-dependent phase shift of the optical carrier, which is equivalent to imparting sidebands to the optical carrier ω0. The modulation of the optical carrier by the millimeter- wave voltage results in an optical output from the modulator which has a component at the carrier frequency ooo and at sideband frequencies ωo±ωm. The present inventors have recognized that magnitude of the response at the sidebands is determined by the ratio of the millimeter-wave voltage to Vπ, the voltage required to completely change the modulator from the on to the off state, and by the degree of velocity matching between the optical carrier and the millimeter-wave that co-propagate along the modulator.
Although the millimeter-wave voltage is an external variable, the degree of velocity matching between the optical carrier and the millimeter-wave is primarily a function of the design parameters of the antenna assembly 10 and, as such, can be optimized through careful control of the design of the parameters of the antenna assembly 10. For example, as the millimeter-wave propagates through the active region 15, which comprises the electrically conductive elements 24, 26 of the tapered slot antenna 20 and a dielectric substrate 40, the velocity ve of the millimeter or sub-millimeter wave signal in the active region 15 is a function of effective permittivity εe^-of the active region 15: v. = - c/
\ε. eff In the active region 15, the dielectric substrate 40 defines a thickness t and comprises a base layer 42, the waveguide core 35, the velocity matching electrooptic polymer 38, at least one additional optical cladding layer 44, each of which contribute to the thickness t in the active region 15. Thus, the effective permittivity εeff of the active region 15 is a function of the substrate thickness t and the respective dielectric constants of the base layer 42, the waveguide core 35, the velocity matching electrooptic polymer 38, and the additional optical cladding layers 44.
The velocity vo of the optical signal propagating along the waveguide 32 in the active region 15 is a function of the effective index of refraction fjeffof the active region 15:
Figure imgf000008_0001
The effective index of refraction Tføpof the active region 15 is a function of the respective indices of refraction of the waveguide core 35, the velocity matching electrooptic polymer 38, and the additional optical cladding layers 44. Accordingly, the degree of velocity matching between the optical carrier and the millimeter-wave can be optimized by controlling the effective permittivity εβjø-and the effective index of refraction
Figure imgf000008_0002
active region 15. Where a velocity matching electrooptic polymer is selected as a component of the waveguide 32, it is possible to configure the electrooptic modulator such that the effective index of refraction t]ejgrofthe active region 15 is 1.5 and the velocity vo of the optical signal is:
V° =ΛC .5
In the same context, if we select a silica-based dielectric substrate 40 and use the velocity matching electrooptic polymer in the waveguide 32, it is possible to configure the active region such that the effective permittivity εejjof the active region is 2.25 and the velocity ve of the millimeter or sub-millimeter wave signal matches the velocity VQ of the optical signal:
In contrast, the velocity ve of the millimeter or sub-millimeter wave signal in a conventional silica-based tapered slot antenna having an effective permittivity εeff of about 3.76 would be significantly different than the velocity vo of the optical signal:
Figure imgf000008_0004
To maintain total phase shift in the electrooptic modulator structure of the active region 15 within 50% of the maximum possible phase shift, the active region 15 and the velocity matching electrooptic polymer 38 should be configured such that the velocity ve and the velocity vo satisfy the following relation:
v_
1e- 2.8 Lβ where L is the length of the active region and β is the propagation constant of the waveguide. One method to achieve velocity matching is to use materials where the respective velocities of the optical signal and the millimeter-wave is effectively equal. Velocity matching can also be achieved through specialized device design. For example, the thickness of the dielectric substrate or any of its component layers can be tailored through silicon micromachining, reactive ion etching, or otherwise to achieve velocity matching. Alternatively, one can construct an effective dielectric constant by altering the geometry of the dielectric substrate 40, e.g., by forming holes in the dielectric, or changing the shape or dimensions of the dielectric. Referring to the antennae 20 illustrated in Figs. 2 and 3, in the context of a 94 GHz wave traveling along the antennae 20, assuming the slotline 22 is characterized by an electrode gap of 20 microns in the active region 15 and the electrodes 24, 26 are fabricated on silica, a dielectric substrate thickness / of approximately 170 microns can form the basis of a device design with suitable velocity matching between the millimeter wave and an optical signal wave.
The antenna assembly 10 illustrated in Figs. IA and IB is configured such that an optical signal propagating from the optical input 34 to the optical output 36 merely passes through a single active region 15 comprising a single tapered slot antenna 20. Turning more specifically to the design of the tapered slot antenna 20, it is noted that tapered slot antennae (TSA) are end-fire traveling wave antennae and typically consist of a tapered slot etched onto a thin film of metal. This can be done either with or without a dielectric substrate on one side of the film. Planar tapered slot antennae have two common features: the radiating slot and a feed line. The radiating slot acts as the ground plane for the antenna and the antenna is fed by the feed line, which may, for example, be a balanced slotline or any suitable feed structure. The nature of the specific feed structure to be used is beyond the scope of the present invention and may be gleaned from any conventional or yet to be developed teachings on the subject, including those teachings set forth in U.S. Pat. No. 6,317,094, the germane portions of which are incorporated herein by reference. Generally, the feed structure should be relatively compact and have low loss. Suitable feed structures include, but are not limited to, coaxial line feeds and the microstrip line feeds. For the purposes of defining and describing the present invention, it is noted that reference herein to an antenna "assembly" is not intended to imply that the assembly is a one-piece, integral assembly or even an assembly where all of the recited components are physical connected to each other. Rather, antenna assemblies according to the present invention may merely be a collection of components that are functionally linked to each other in a particular manner.
Many taper profiles exist for TSA including, but not limited to, exponential, tangential, parabolic, linear, linear-constant, exponential-constant, step-constant, broken linear, etc. Fig. 2 shows a linearly tapered profile. Fig. 3 shows a Vivaldi profile. In Figs. 2 and 3, the gap between the first and second electrically conductive elements 24, 26 of the tapered slot antenna 20 is much smaller in the active region 15, e.g., on the order of 20 microns, and behaves much more like a waveguide for the millimeter-wave signal. The reduction in the gap between the two electrically conductive elements 24, 26 of the antenna 20 increases the magnitude of the electric field of the millimeter-wave signal, which is important for electrooptic materials where the response is proportional to the electric field, as opposed to the voltage across the gap. In operation, incident millimeter-wave radiation enters the antenna opening and propagates along the antenna elements 24, 26 toward the active region 15. The millimeter-wave signal exits the active region 15 and can be re-radiated or terminated into a fixed impedance.
The antenna assemblies illustrated in Figs. 1 -3 may, for example, be fabricated by first providing the base layer 42 with a degree of surface roughness that is sufficiently low for optical applications. The lower cladding 44 is coated onto this substrate and a waveguide pattern is etched therein. The waveguide core and the velocity matching electrooptic polymer 38, which may be formed of the same or different materials, are then coated onto the etched cladding and an upper cladding 44 is formed over the electrooptic layer 38. Finally, the electrically conductive elements 24, 26 of the tapered slot antenna 20 is fabricated on the top cladding.
The electrooptic material 38 can be poled, if required for the response. The refractive indices of the lower and upper claddings 44 are lower than that of the electrooptic layer 38, and the thickness of the claddings 44 are sufficient to optically isolate the optical carrier from the substrate 42 and the antenna 20. The thickness of the electrooptic layer 38 is such that guided modes of the optical carrier are confined to the defined electrooptic waveguide. Although waveguide fabrication has been described herein in the context of etching the lower cladding, any other method for forming an electrooptic waveguide in an electrooptic material, such as etching the electrooptic material, photobleaching, or diffusion, can be used to define the electrooptic waveguide.
As is noted above, the tapered slot antenna 20 comprises first and second electrically conductive elements 24, 26 arranged to define the radiating slot of the antenna 20. Although the embodiments of Figs. 1-3 include first and second electrically conductive elements 24, 26 arranged in a common plane, above the electrooptic waveguide 32, alternative configurations are contemplated. For example, referring to Figs. 4 and 5, the first and second electrically conductive elements 24, 26 can be arranged in different planes, one above the electrooptic waveguide 32 and the other below the electrooptic waveguide 32. In addition, as is illustrated in Figs. 4 and 5, the first and second electrically conductive elements 24, 26 can be are arranged to overlap in the active region 15 of the antenna assembly.
It is contemplated that the fabrication approach illustrated in Figs.4 and 5 can lead to an enhanced response of the EO polymer modulator to the millimeter wave, improving the responsiveness of the antenna. This enhanced response can result from both improved poling of the electrooptic material and stronger interaction between the millimeter- wave electric field and the electrooptic material. The assembly of Figs. 4 and 5 can be fabricated by forming the lower electrode 26 on the substrate 42, applying the lower cladding 44, forming the waveguide core 35, applying the electrooptic layer 38 and the upper cladding 44, and finally forming the upper electrode 24 of the tapered slot antenna 20. The present inventors have recognized that many current electrooptic polymers have better electrooptic response when poled by parallel plate electrodes, as compared to coplanar electrodes. Accordingly, at this point, the electrooptic material can be poled, if required for the EO response, using conventional or other suitable, yet to be developed poling conditions for the EO material.
The total thickness of the claddings and electrooptic layer is typically in the range of 5 to 25 microns, although other thicknesses are within the scope of the present invention. When the millimeter- wave radiation is first incident on the antenna, the electric field is polarized along the X-axis in Figs.4 and 5. However, as the millimeter-wave propagates along the antenna 20, the polarization of the electric field is rotated until the field is polarized in the Z-direction in the active region 15. In the active region, because the millimeter-wave is more tightly confined to the cladding and electrooptic material, the velocity of the millimeter- wave signal is determined by the effective dielectric constant of these combined layers. In applications of the present invention where TM light does not guide in the waveguide 32 until after the device has been poled, additional metal can be added on the substrate surface to allow for poling of the complete length of the waveguide 32. For simplicity, the waveguide can be routed to exit the device on the same side as which it entered, although this is not a requirement. The device is fabricated by first forming the lower electrode 26 on the base layer 42, applying the lower cladding 44, forming the waveguide core 35 and the electrooptic layer 38, then the upper cladding 44. After the upper cladding 44 is placed on the device, a set of poling electrodes is formed over the waveguide 32 and the electrooptic material 38 is poled. These poling electrodes can be removed for convenient fabrication of the upper electrode 24, which is subsequently formed on the upper cladding 44.
In the configuration of Figs. 4 and 5, where the vertical separation between the first and second electrically conductive elements 24, 26 is on the order of about 5 to 25 microns, the electric field in the active region 15 will alter the refractive index seen by the TM polarized light propagating in the electrooptic waveguide 32. The electrodes provide a parallel plate field, which can be more efficient interacting with the electrooptic material than the field generated with the coplanar electrodes illustrated in Figs. 1-3. This enhanced electric field and the potentially smaller electrode gap can dramatically enhance the response of the antenna assembly 10 to millimeter-wave radiation. In each of the embodiments described herein with reference to Figs. 1-5, an optical carrier signal at the optical input 34 of the waveguide 32 enters the antenna slot 22 and continues through to the active region 15. In the active region 15, the electric field of the incident millimeter-wave (MMW) 100 interacts with the electrooptic material 38 of the active region 15 to alter the phase of the optical signal. The optical signal accumulates phase shift over the entire length of the active region 15 and propagates to the optical output 36 of the waveguide 32, where the optical carrier is transitioned to an optical fiber, waveguide, or other optical medium.
Figs. 1 -5 depict the active region 15 as a phase modulating electrooptic modulator, where the optical signal remains in a single waveguide. Alternatively, it is possible to configure the active region as a Mach-Zehnder interferometer (MZI). In this case, the optical signal would be evenly divided between two electrooptic waveguides before one of the arms enters the active region 15 between the two electrodes 24, 26 of the tapered slot antenna 20. The second arm would remain outside the active region of the antenna 20. Downstream of the active region, the two optical signals would be recombined. It is also contemplated that one or both of the waveguide arms could have a mechanism to alter the phase of light propagating along that arm. The relative phase between the two waveguide arms could be adjusted so the MZI could be in its lowest power state. In this state, the optical carrier could be reduced by 15 or more dB, while the power contained in the sidebands would be unaltered. Because only half the original optical power traverses the active region, the power in the sideband would be approximately 3dB lower than in the phase modulator case. However, because the carrier would be reduced by much more than 3dB, it is contemplated that the signal to noise ratio would be greatly improved using the MZI configuration.
Turning now to Figs. 6 and 7, a plurality of tapered slot antennae 20 and corresponding waveguide cores having respective input and output portions 34, 36 can be arranged on a common substrate 40. For each tapered slot antennae 20, the optical signal at the optical output 36 of the waveguide core includes the carrier frequency band α>o and the frequency sidebands ωo±ωm. Each of these signals can be directed through a frequency dependent optical filter 50 to discriminate the frequency sidebands ωø±ωm from the carrier frequency band ωo by separating the frequency sidebands ωo±ωm from the optical carrier too and directing the sidebands ωo±ωm and the optical carrier ωo to individual component outputs A, B, C of one of the filter output ports 51 , 52, 53, 54. Further waveguides, fibers, or other suitable optical propagation media are provided downstream of the filter output ports 51-54 to direct the signals to a photodetector array or some other type of optical sensor.
Figs. 6 and 7 also illustrate an embodiment of the present invention where the tapered slot antennae 20 are arranged in a one or two-dimensional focal plane array. In addition, the waveguide cores and the tapered slot antennae 20 can be configured as a parallel electrooptical circuit. In such a configuration, the output of the photodetector array can be used to analyze the MMW signal 100 in one or two dimensions because the respective output 36 of each sensor element within the photodetector array will be a function of the magnitude of the millimeter-wave voltage input to the modulator at a position corresponding to the sensor element defined by the corresponding antenna 20. More specifically, as is illustrated in Figs. 6 and 7, each of the tapered slot antennae 20 arranged in the array defines an antenna pixel within the focal plane array. As such, each antenna 20 receives a distinct pixel portion of a millimeter or sub-millimeter wave signal 100 incident on the focal plane array and the optical signals at the respective output portions 36 of each waveguide will provide a sensor output indicative of the one or two-dimensional distribution of the MMW signal 100.
In the case of the one-dimensional array illustrated in Fig. 6, it is noted that the one-dimensional array of tapered slot antennae 20 can be formed on a common substrate 40 and a twelve or more channel AWG 50, also formed on the common substrate 40, can be provided to filter the signals from all four antennae 20 simultaneously. Fig. 7 illustrates a similar embodiment of the present invention, with the exception that a plurality of the one- dimensional arrays illustrated in Fig. 6 are stacked to form a two-dimensional array of tapered slot antennae 20. In the embodiment of Fig. 1 , it is contemplated that a single AWG can be used for each one-dimensional grouping of antennae 20 or, if desired, a single AWG can be used to perform the filtering for the stacked antenna array.
Although Figs. 6 and 7 schematically illustrate the use of an arrayed waveguide grating (AWG) as the optical filter 50, the optical filtering function of the illustrated embodiment can be accomplished using a variety of technologies including Bragg grating reflective filters, wavelength-selective Mach-Zehnder filters, multilayer thin film optical filters, micro ring resonator filters, and directional coupler filters that are wavelength selective. It is further contemplated that the embodiment illustrated in Figs. 6 and 7 is also a viable alternative where lithium niobate or other non-polymeric electrooptic materials are utilized in forming the waveguide 32.
An arrayed waveguide grating is particularly useful because it is an integrated optical device with multiple channels characterized by relatively narrow bandwidths. In operation, an AWG will take an input optical signal which has multiple frequencies, and will output N evenly spaced frequencies at different outputs. For example, an AWG with a channel spacing of 30 GHz or 60 GHz would he well-suited for a 120 GHz antenna system. The desired channel spacing of the AWG should be such that the frequency of the millimeter- wave is a multiple or close to a multiple of the AWG channel spacing.
Although the above discussion of the properties of AWGs focused on the use of a single input port of the AWG, an AWG with N output ports will often also have N input ports, each of which outputs light to all N output ports. For example, in the context of an 16x16 AWG (16 inputs x 16 outputs), each of the 16 input ports has 16 evenly spaced wavelengths of light, with spacing of the light corresponding to the designed spacing of the AWG. If we then look at the output of a single port, we see that the optical output of the selected port also has the 16 individual wavelengths, but each wavelength from came from a different input port. Accordingly, as is illustrated in Fig. 6, if four distinct optical signals are output from four distinct optical outputs 36 corresponding to four distinct antennae 20, each of these outputs can include an optical carrier α>o and two sidebands ωo±G>m- If these four optical signals are then fed into four different input ports A of the AWG, the four optical carriers and their corresponding eight sidebands will exit from twelve different output ports of the AWG. Thus, a single AWG can be used to filter multiple input signals, as long as the number of input signals is less than the number of AWG ports divided by three (the number of distinct wavelength bands input at each port).
A second advantage to using an AWG as the optical filter is also described in Figure 6. An AWG distinguishes both sidebands from its associated optical carrier. In contrast, a standard bandpass filter would remove the optical carrier and one of the sidebands. Further, if the two sidebands are coherent, which they are in this case, they can be recombined downstream of the AWG, leading to a 3dB increase in the optical response over using just a single sideband.
It is noted that recitations herein of a component of the present invention being "configured" to embody a particular property, function in a particular manner, etc., are structural recitations, as opposed to recitations of intended use. More specifically, the references herein to the manner in which a component is "configured" denotes an existing physical condition of the component and, as such, is to be taken as a definite recitation of the structural characteristics of the component. For example, in the context of the present invention these structural characteristics may include the electrical & optical characteristics of the component or the geometry of the component. It is noted that terms like "preferably," "commonly," and "typically," when utilized herein, should not be taken to limit the scope of the claimed invention or to imply that certain features are critical, essential, or even important to the structure or function of the claimed invention. Rather, these terms are merely intended to highlight alternative or additional features that may or may not be utilized in a particular embodiment of the present invention. For the purposes of describing and defining the present invention it is noted that the term "substantially" is utilized herein to represent the inherent degree of uncertainty that may be attributed to any quantitative comparison, value, measurement, or other representation. The term "substantially" is also utilized herein to represent the degree by which a quantitative representation may vary from a stated reference without resulting in a change in the basic function of the subject matter at issue. The term "substantially" is further utilized herein to represent a minimum degree to which a quantitative representation must vary from a stated reference to yield the recited functionality of the subject matter at issue.
Having described the invention in detail and by reference to specific embodiments thereof, it will be apparent that modifications and variations are possible without departing from the scope of the invention defined in the appended claims. More specifically, although some aspects of the present invention are identified herein as preferred or particularly advantageous, it is contemplated that the present invention is not necessarily limited to these preferred aspects of the invention.

Claims

1. An antenna assembly comprising an antenna portion and an electrooptic waveguide portion, wherein: the antenna portion comprises at least one tapered slot antenna; the electrooptic waveguide extends along at least a portion of an optical path between an optical input and an optical output of the antenna assembly; the electrooptic waveguide comprises a waveguide core extending substantially parallel to a slotline of the tapered slot antenna in an active region of the antenna assembly; the electrooptic waveguide at least partially comprises a velocity matching electrooptic polymer in the active region of the antenna assembly; a velocity ve of a millimeter or sub-millimeter wave signal traveling along the tapered slot antenna in the active region is at least partially a function of the dielectric constant of the velocity matching electrooptic polymer; a velocity vo of an optical signal propagating along the waveguide in the active region is at least partially a function of the index of refraction of the velocity matching electrooptic polymer; and the active region and the velocity matching electrooptic polymer are configured such that ve and vo satisfy the following relation:
W. - v. o ≤ 20% .
2. An antenna assembly as claimed in claim 1 wherein: the active region comprises electrically conductive elements of the tapered slot antenna and a dielectric substrate; the dielectric substrate defines a thickness t in the active region and comprises a base layer, the waveguide core, the velocity matching electrooptic polymer, at least one additional optical cladding layer, each of which contribute to the thickness t in the active region; the velocity ve of the millimeter or sub-millimeter wave signal in the active region is a function of effective permittivity εeffθϊ the active region; the effective permittivity e^is a function of the substrate thickness t and the respective dielectric constants of the base layer, the waveguide core, the velocity matching electrooptic polymer, and the additional optical cladding layer; the velocity vo of the optical signal propagating along the waveguide in the active region is a function of the effective index of refraction 7^ of the active region; and the effective index of refraction Tfeffis a function of the respective indices of refraction of the waveguide core, the velocity matching electrooptic polymer, and the additional optical cladding layer.
3. An antenna assembly as claimed in claim 1 wherein the active region and the velocity matching electrooptic polymer are configured such that the velocity ve and the velocity vo satisfy the following relation:
Figure imgf000018_0001
where L is the length of the active region and β is the propagation constant of the waveguide.
4. An antenna assembly as claimed in claim 1 wherein the antenna portion and the electrooptic waveguide portion are configured such that an optical signal propagating from the optical input to the optical output of the antenna assembly passes through a single one of the active regions of the antenna assembly, the single active region comprising a single tapered slot antenna.
5. An antenna assembly as claimed in claim 1 wherein: the tapered slot antenna comprises first and second electrically conductive elements arranged to define a radiating slot of the antenna; and the first and second electrically conductive elements are arranged in a common plane, above the electrooptic waveguide.
6. An antenna assembly as claimed in claim 1 wherein: the tapered slot antenna comprises first and second electrically conductive elements arranged to define a radiating slot of the antenna; the first electrically conductive element is arranged in a plane above the electrooptic waveguide; and the second electrically conductive element is arranged in a plane below the electrooptic waveguide.
7. An antenna assembly as claimed in claim 6 wherein the first and second electrically conductive element are arranged to overlap in the active region of the antenna assembly.
8. An antenna assembly as claimed in claim 1 wherein the antenna portion comprises a plurality of the tapered slot antennae arranged in a one-dimensional, focal plane array.
9. An antenna assembly as claimed in claim 1 wherein the antenna portion comprises a plurality of the tapered slot antennae arranged in a two-dimensional, focal plane array.
10. An antenna assembly as claimed in claim 1 wherein the antenna assembly further comprises a frequency-dependent filter positioned to discriminate frequency sidebands from a carrier frequency band in an optical signal propagating along the electrooptic waveguide portion, downstream of the active region.
11. An antenna assembly as claimed in claim 10 wherein the frequency-dependent filter comprises a plurality of filter output ports and discriminates the frequency sidebands from the carrier frequency band by separating the frequency sidebands from the optical carrier and directing the sidebands and the optical carrier to individual ones of the filter output ports.
12. An antenna assembly as claimed in claim 11 wherein the frequency-dependent filter is configured to discriminate the sidebands and the carrier band coherently such that the frequency sidebands can be recombined at the optical output of the antenna assembly.
13. An antenna assembly as claimed in claim 10 wherein: the antenna assembly comprises a plurality of the optical outputs; the antenna portion comprises a plurality of the tapered slot antennae and electrooptic waveguides arranged in a focal plane array; and the frequency-dependent filter comprises a plurality of input ports optically coupled to corresponding ones of the electrooptic waveguides and a plurality of filter output ports configured to direct optical signals to corresponding ones of the optical outputs of the antenna assembly.
14. An antenna assembly comprising an antenna portion and an electrooptic waveguide portion, wherein: the antenna portion comprises at least one tapered slot antenna; the waveguide portion comprises at least one electrooptic waveguide; the electrooptic waveguide extends along at least a portion of an optical path between an optical input and an optical output of the antenna assembly; the electrooptic waveguide comprises a waveguide core in an active region of the antenna assembly; the electrooptic waveguide at least partially comprises a velocity matching electrooptic polymer in the active region of the antenna assembly; a velocity ve of a millimeter or sub-millimeter wave signal traveling along the tapered slot antenna in the active region is at least partially a function of the dielectric constant of the electrooptic polymer; a velocity vo of an optical signal propagating along the waveguide in the active region is at least partially a function of the index of refraction of the electrooptic polymer; the tapered slot antenna comprises first and second electrically conductive elements arranged to define a radiating slot of the antenna; the first electrically conductive element is arranged in a plane above the electrooptic waveguide; and the second electrically conductive element is arranged in a plane below the electrooptic waveguide.
15. An antenna assembly as claimed in claim 14 wherein the first and second electrically conductive elements are arranged to overlap in the active region of the antenna assembly.
16. An antenna assembly comprising an antenna portion, a waveguide portion, and a frequency dependent filter, wherein: the antenna portion comprises at least one tapered slot antenna; the waveguide portion extends along at least a portion of an optical path between an optical input and an optical output of the antenna assembly; the waveguide portion comprises a waveguide core in an active region of the antenna assembly; the tapered slot antenna and the electrooptic waveguide are configured such that the millimeter or sub-millimeter wave signal traveling along the tapered slot antenna is imparted on the optical signal as frequency sidebands of an optical carrier frequency; and the frequency-dependent filter comprises a plurality of filter output ports and is configured to discriminate the frequency sidebands from the carrier frequency band in an optical signal propagating along the waveguide portion, downstream of the active region such that frequency sidebands having wavelengths that are shorter and longer than a wavelength of said carrier band can be recombined at the optical output of the antenna assembly.
17. An antenna assembly as claimed in claim 16 wherein: the waveguide portion at least partially comprises a velocity matching electrooptic polymer in the active region of the antenna assembly; a velocity ve of a millimeter or sub-millimeter wave signal traveling along the tapered slot antenna in the active region is at least partially a function of the dielectric constant of the electrooptic polymer; a velocity v0 of an optical signal propagating along the waveguide in the active region is at least partially a function of the index of refraction of the electrooptic polymer;
18. An antenna assembly as claimed in claim 16 wherein the waveguide portion at least partially comprises lithium niobate.
19. An antenna assembly as claimed in claim 16 wherein: the antenna assembly comprises a plurality of the optical outputs; the antenna portion comprises a plurality of the tapered slot antennae and electrooptic waveguides arranged in a focal plane array; and the frequency-dependent filter comprises a plurality of input ports optically coupled to corresponding ones of the electrooptic waveguides and a plurality of filter output ports configured to direct optical signals to corresponding ones of the optical outputs of the antenna assembly.
20. An antenna assembly comprising a plurality of tapered slot antennae and a plurality of waveguide cores, wherein: each of the waveguide cores extends from an optical input portion to an optical output portion along an optical path; at least a portion of the optical path between the optical input portion and the optical output portion of each waveguide core is substantially parallel to a slotline of a corresponding tapered slot antenna in the active region of the tapered slot antenna; the tapered slot antennae are arranged in a one or two-dimensional, focal plane array such that each of the tapered slot antennae defines an antenna pixel within said focal plane array; and the tapered slot antennae are configured such that each of said tapered slot antennae receives a distinct pixel portion of a millimeter or sub-millimeter wave signal incident on said focal plane array.
21. An antenna assembly as claimed in claim 20 wherein the waveguide cores and the tapered slot antennae are configured as a parallel electrooptical circuit.
22. An antenna assembly as claimed in claim 20 wherein the waveguide cores and the tapered slot antennae are configured such that an optical signal propagating from an optical input portion of one of the waveguide cores to the optical output of the waveguide core passes through a single one of the active regions of the antenna assembly, the single active region comprising a single tapered slot antenna.
23. A method of fabricating an antenna assembly comprising an antenna portion and an electrooptic waveguide portion, wherein: the antenna portion is provided with at least one tapered slot antenna; the waveguide portion is provided with at least one electrooptic waveguide; the electrooptic waveguide is configured to extend along at least a portion of an optical path between an optical input and an optical output of the antenna assembly; the electrooptic waveguide is provided with a waveguide core extending substantially parallel to a slotline of the tapered slot antenna in an active region of the antenna assembly; the electrooptic waveguide at least partially comprises a velocity matching electrooptic polymer in the active region of the antenna assembly such that a velocity ve of a millimeter or sub-millimeter wave signal traveling along the tapered slot antenna in the active region is at least partially a function of the dielectric constant of the velocity matching electrooptic polymer and a velocity vo of an optical signal propagating along the waveguide in the active region is at least partially a function of the index of refraction of the velocity matching electrooptic polymer; and the effective permittivity εejj-oϊ the active region and the effective index of refraction Tj6JJ- of the active region are established such that ve and vo satisfy the following relation:
v. -v,
0 <20%.
24. A method as claimed in claim 20 wherein the effective permittivity εeffθf the active region and the effective index of retraction ηejj-of\he active region are established by controlling one or more of the following parameters: the dielectric constant of the velocity matching electrooptic polymer; the dielectric constant of the substrate material forming the antenna portion; the geometry of the velocity matching electrooptic polymer; the geometry of the substrate material forming the antenna portion; the thickness t of the active region; the effective permittivity εeffθϊ the active region; the effective index of refraction 7/^- of the active region; the length of the active region; and the propagation constant of the waveguide.
PCT/US2007/0022582006-02-132007-01-26Millimeter and sub-millimeter wave detectionWO2007094944A2 (en)

Applications Claiming Priority (4)

Application NumberPriority DateFiling DateTitle
US77292106P2006-02-132006-02-13
US60/772,9212006-02-13
US11/622,700US7486247B2 (en)2006-02-132007-01-12Millimeter and sub-millimeter wave detection
US11/622,7002007-01-12

Publications (2)

Publication NumberPublication Date
WO2007094944A2true WO2007094944A2 (en)2007-08-23
WO2007094944A3 WO2007094944A3 (en)2008-03-27

Family

ID=38226342

Family Applications (1)

Application NumberTitlePriority DateFiling Date
PCT/US2007/002258WO2007094944A2 (en)2006-02-132007-01-26Millimeter and sub-millimeter wave detection

Country Status (1)

CountryLink
WO (1)WO2007094944A2 (en)

Cited By (113)

* Cited by examiner, † Cited by third party
Publication numberPriority datePublication dateAssigneeTitle
CN101726800B (en)*2009-12-162013-02-27东南大学 Optical Power Splitter Based on Photonic Crystal with Low Internal Reflection
EP2660985A4 (en)*2011-03-252014-03-19Huawei Tech Co LtdActive optical antenna, microwave emission system and method for sending information
US9674711B2 (en)2013-11-062017-06-06At&T Intellectual Property I, L.P.Surface-wave communications and methods thereof
US9685992B2 (en)2014-10-032017-06-20At&T Intellectual Property I, L.P.Circuit panel network and methods thereof
US9705610B2 (en)2014-10-212017-07-11At&T Intellectual Property I, L.P.Transmission device with impairment compensation and methods for use therewith
US9729197B2 (en)2015-10-012017-08-08At&T Intellectual Property I, L.P.Method and apparatus for communicating network management traffic over a network
US9735833B2 (en)2015-07-312017-08-15At&T Intellectual Property I, L.P.Method and apparatus for communications management in a neighborhood network
US9742521B2 (en)2014-11-202017-08-22At&T Intellectual Property I, L.P.Transmission device with mode division multiplexing and methods for use therewith
US9742462B2 (en)2014-12-042017-08-22At&T Intellectual Property I, L.P.Transmission medium and communication interfaces and methods for use therewith
US9769020B2 (en)2014-10-212017-09-19At&T Intellectual Property I, L.P.Method and apparatus for responding to events affecting communications in a communication network
US9769128B2 (en)2015-09-282017-09-19At&T Intellectual Property I, L.P.Method and apparatus for encryption of communications over a network
US9780834B2 (en)2014-10-212017-10-03At&T Intellectual Property I, L.P.Method and apparatus for transmitting electromagnetic waves
US9787412B2 (en)2015-06-252017-10-10At&T Intellectual Property I, L.P.Methods and apparatus for inducing a fundamental wave mode on a transmission medium
US9793955B2 (en)2015-04-242017-10-17At&T Intellectual Property I, LpPassive electrical coupling device and methods for use therewith
US9800327B2 (en)2014-11-202017-10-24At&T Intellectual Property I, L.P.Apparatus for controlling operations of a communication device and methods thereof
US9806818B2 (en)2015-07-232017-10-31At&T Intellectual Property I, LpNode device, repeater and methods for use therewith
US9820146B2 (en)2015-06-122017-11-14At&T Intellectual Property I, L.P.Method and apparatus for authentication and identity management of communicating devices
US9831912B2 (en)2015-04-242017-11-28At&T Intellectual Property I, LpDirectional coupling device and methods for use therewith
US9838896B1 (en)2016-12-092017-12-05At&T Intellectual Property I, L.P.Method and apparatus for assessing network coverage
US9838078B2 (en)2015-07-312017-12-05At&T Intellectual Property I, L.P.Method and apparatus for exchanging communication signals
US9847850B2 (en)2014-10-142017-12-19At&T Intellectual Property I, L.P.Method and apparatus for adjusting a mode of communication in a communication network
US9847566B2 (en)2015-07-142017-12-19At&T Intellectual Property I, L.P.Method and apparatus for adjusting a field of a signal to mitigate interference
US9853342B2 (en)2015-07-142017-12-26At&T Intellectual Property I, L.P.Dielectric transmission medium connector and methods for use therewith
US9860075B1 (en)2016-08-262018-01-02At&T Intellectual Property I, L.P.Method and communication node for broadband distribution
US9866309B2 (en)2015-06-032018-01-09At&T Intellectual Property I, LpHost node device and methods for use therewith
US9865911B2 (en)2015-06-252018-01-09At&T Intellectual Property I, L.P.Waveguide system for slot radiating first electromagnetic waves that are combined into a non-fundamental wave mode second electromagnetic wave on a transmission medium
US9866276B2 (en)2014-10-102018-01-09At&T Intellectual Property I, L.P.Method and apparatus for arranging communication sessions in a communication system
US9871558B2 (en)2014-10-212018-01-16At&T Intellectual Property I, L.P.Guided-wave transmission device and methods for use therewith
US9871282B2 (en)2015-05-142018-01-16At&T Intellectual Property I, L.P.At least one transmission medium having a dielectric surface that is covered at least in part by a second dielectric
US9871283B2 (en)2015-07-232018-01-16At&T Intellectual Property I, LpTransmission medium having a dielectric core comprised of plural members connected by a ball and socket configuration
US9876571B2 (en)2015-02-202018-01-23At&T Intellectual Property I, LpGuided-wave transmission device with non-fundamental mode propagation and methods for use therewith
US9876264B2 (en)2015-10-022018-01-23At&T Intellectual Property I, LpCommunication system, guided wave switch and methods for use therewith
US9882257B2 (en)2015-07-142018-01-30At&T Intellectual Property I, L.P.Method and apparatus for launching a wave mode that mitigates interference
US9887447B2 (en)2015-05-142018-02-06At&T Intellectual Property I, L.P.Transmission medium having multiple cores and methods for use therewith
US9893795B1 (en)2016-12-072018-02-13At&T Intellectual Property I, LpMethod and repeater for broadband distribution
US9904535B2 (en)2015-09-142018-02-27At&T Intellectual Property I, L.P.Method and apparatus for distributing software
US9906269B2 (en)2014-09-172018-02-27At&T Intellectual Property I, L.P.Monitoring and mitigating conditions in a communication network
US9912382B2 (en)2015-06-032018-03-06At&T Intellectual Property I, LpNetwork termination and methods for use therewith
US9912033B2 (en)2014-10-212018-03-06At&T Intellectual Property I, LpGuided wave coupler, coupling module and methods for use therewith
US9912027B2 (en)2015-07-232018-03-06At&T Intellectual Property I, L.P.Method and apparatus for exchanging communication signals
US9913139B2 (en)2015-06-092018-03-06At&T Intellectual Property I, L.P.Signal fingerprinting for authentication of communicating devices
US9911020B1 (en)2016-12-082018-03-06At&T Intellectual Property I, L.P.Method and apparatus for tracking via a radio frequency identification device
US9917341B2 (en)2015-05-272018-03-13At&T Intellectual Property I, L.P.Apparatus and method for launching electromagnetic waves and for modifying radial dimensions of the propagating electromagnetic waves
US9929755B2 (en)2015-07-142018-03-27At&T Intellectual Property I, L.P.Method and apparatus for coupling an antenna to a device
US9927517B1 (en)2016-12-062018-03-27At&T Intellectual Property I, L.P.Apparatus and methods for sensing rainfall
US9948333B2 (en)2015-07-232018-04-17At&T Intellectual Property I, L.P.Method and apparatus for wireless communications to mitigate interference
US9954286B2 (en)2014-10-212018-04-24At&T Intellectual Property I, L.P.Guided-wave transmission device with non-fundamental mode propagation and methods for use therewith
US9954287B2 (en)2014-11-202018-04-24At&T Intellectual Property I, L.P.Apparatus for converting wireless signals and electromagnetic waves and methods thereof
US9967173B2 (en)2015-07-312018-05-08At&T Intellectual Property I, L.P.Method and apparatus for authentication and identity management of communicating devices
US9973940B1 (en)2017-02-272018-05-15At&T Intellectual Property I, L.P.Apparatus and methods for dynamic impedance matching of a guided wave launcher
US9973416B2 (en)2014-10-022018-05-15At&T Intellectual Property I, L.P.Method and apparatus that provides fault tolerance in a communication network
US9998870B1 (en)2016-12-082018-06-12At&T Intellectual Property I, L.P.Method and apparatus for proximity sensing
US9999038B2 (en)2013-05-312018-06-12At&T Intellectual Property I, L.P.Remote distributed antenna system
US9997819B2 (en)2015-06-092018-06-12At&T Intellectual Property I, L.P.Transmission medium and method for facilitating propagation of electromagnetic waves via a core
US10020844B2 (en)2016-12-062018-07-10T&T Intellectual Property I, L.P.Method and apparatus for broadcast communication via guided waves
US10027397B2 (en)2016-12-072018-07-17At&T Intellectual Property I, L.P.Distributed antenna system and methods for use therewith
US10044409B2 (en)2015-07-142018-08-07At&T Intellectual Property I, L.P.Transmission medium and methods for use therewith
US10051630B2 (en)2013-05-312018-08-14At&T Intellectual Property I, L.P.Remote distributed antenna system
US10069535B2 (en)2016-12-082018-09-04At&T Intellectual Property I, L.P.Apparatus and methods for launching electromagnetic waves having a certain electric field structure
US10069185B2 (en)2015-06-252018-09-04At&T Intellectual Property I, L.P.Methods and apparatus for inducing a non-fundamental wave mode on a transmission medium
US10090594B2 (en)2016-11-232018-10-02At&T Intellectual Property I, L.P.Antenna system having structural configurations for assembly
US10090606B2 (en)2015-07-152018-10-02At&T Intellectual Property I, L.P.Antenna system with dielectric array and methods for use therewith
US10103422B2 (en)2016-12-082018-10-16At&T Intellectual Property I, L.P.Method and apparatus for mounting network devices
US10135145B2 (en)2016-12-062018-11-20At&T Intellectual Property I, L.P.Apparatus and methods for generating an electromagnetic wave along a transmission medium
US10139820B2 (en)2016-12-072018-11-27At&T Intellectual Property I, L.P.Method and apparatus for deploying equipment of a communication system
US10148016B2 (en)2015-07-142018-12-04At&T Intellectual Property I, L.P.Apparatus and methods for communicating utilizing an antenna array
US10168695B2 (en)2016-12-072019-01-01At&T Intellectual Property I, L.P.Method and apparatus for controlling an unmanned aircraft
US10178445B2 (en)2016-11-232019-01-08At&T Intellectual Property I, L.P.Methods, devices, and systems for load balancing between a plurality of waveguides
US10205655B2 (en)2015-07-142019-02-12At&T Intellectual Property I, L.P.Apparatus and methods for communicating utilizing an antenna array and multiple communication paths
US10225025B2 (en)2016-11-032019-03-05At&T Intellectual Property I, L.P.Method and apparatus for detecting a fault in a communication system
US10224634B2 (en)2016-11-032019-03-05At&T Intellectual Property I, L.P.Methods and apparatus for adjusting an operational characteristic of an antenna
US10243784B2 (en)2014-11-202019-03-26At&T Intellectual Property I, L.P.System for generating topology information and methods thereof
US10243270B2 (en)2016-12-072019-03-26At&T Intellectual Property I, L.P.Beam adaptive multi-feed dielectric antenna system and methods for use therewith
US10264586B2 (en)2016-12-092019-04-16At&T Mobility Ii LlcCloud-based packet controller and methods for use therewith
US10291334B2 (en)2016-11-032019-05-14At&T Intellectual Property I, L.P.System for detecting a fault in a communication system
US10298293B2 (en)2017-03-132019-05-21At&T Intellectual Property I, L.P.Apparatus of communication utilizing wireless network devices
US10305190B2 (en)2016-12-012019-05-28At&T Intellectual Property I, L.P.Reflecting dielectric antenna system and methods for use therewith
US10312567B2 (en)2016-10-262019-06-04At&T Intellectual Property I, L.P.Launcher with planar strip antenna and methods for use therewith
US10326494B2 (en)2016-12-062019-06-18At&T Intellectual Property I, L.P.Apparatus for measurement de-embedding and methods for use therewith
US10326689B2 (en)2016-12-082019-06-18At&T Intellectual Property I, L.P.Method and system for providing alternative communication paths
US10340983B2 (en)2016-12-092019-07-02At&T Intellectual Property I, L.P.Method and apparatus for surveying remote sites via guided wave communications
US10340601B2 (en)2016-11-232019-07-02At&T Intellectual Property I, L.P.Multi-antenna system and methods for use therewith
US10340603B2 (en)2016-11-232019-07-02At&T Intellectual Property I, L.P.Antenna system having shielded structural configurations for assembly
US10340573B2 (en)2016-10-262019-07-02At&T Intellectual Property I, L.P.Launcher with cylindrical coupling device and methods for use therewith
US10355367B2 (en)2015-10-162019-07-16At&T Intellectual Property I, L.P.Antenna structure for exchanging wireless signals
US10361489B2 (en)2016-12-012019-07-23At&T Intellectual Property I, L.P.Dielectric dish antenna system and methods for use therewith
US10359749B2 (en)2016-12-072019-07-23At&T Intellectual Property I, L.P.Method and apparatus for utilities management via guided wave communication
US10374316B2 (en)2016-10-212019-08-06At&T Intellectual Property I, L.P.System and dielectric antenna with non-uniform dielectric
US10382976B2 (en)2016-12-062019-08-13At&T Intellectual Property I, L.P.Method and apparatus for managing wireless communications based on communication paths and network device positions
US10389029B2 (en)2016-12-072019-08-20At&T Intellectual Property I, L.P.Multi-feed dielectric antenna system with core selection and methods for use therewith
US10389037B2 (en)2016-12-082019-08-20At&T Intellectual Property I, L.P.Apparatus and methods for selecting sections of an antenna array and use therewith
US10411356B2 (en)2016-12-082019-09-10At&T Intellectual Property I, L.P.Apparatus and methods for selectively targeting communication devices with an antenna array
US10439675B2 (en)2016-12-062019-10-08At&T Intellectual Property I, L.P.Method and apparatus for repeating guided wave communication signals
US10446936B2 (en)2016-12-072019-10-15At&T Intellectual Property I, L.P.Multi-feed dielectric antenna system and methods for use therewith
US10498044B2 (en)2016-11-032019-12-03At&T Intellectual Property I, L.P.Apparatus for configuring a surface of an antenna
US10530505B2 (en)2016-12-082020-01-07At&T Intellectual Property I, L.P.Apparatus and methods for launching electromagnetic waves along a transmission medium
US10535928B2 (en)2016-11-232020-01-14At&T Intellectual Property I, L.P.Antenna system and methods for use therewith
US10547348B2 (en)2016-12-072020-01-28At&T Intellectual Property I, L.P.Method and apparatus for switching transmission mediums in a communication system
US10601494B2 (en)2016-12-082020-03-24At&T Intellectual Property I, L.P.Dual-band communication device and method for use therewith
US10637149B2 (en)2016-12-062020-04-28At&T Intellectual Property I, L.P.Injection molded dielectric antenna and methods for use therewith
US10650940B2 (en)2015-05-152020-05-12At&T Intellectual Property I, L.P.Transmission medium having a conductive material and methods for use therewith
US10694379B2 (en)2016-12-062020-06-23At&T Intellectual Property I, L.P.Waveguide system with device-based authentication and methods for use therewith
US10727599B2 (en)2016-12-062020-07-28At&T Intellectual Property I, L.P.Launcher with slot antenna and methods for use therewith
US10755542B2 (en)2016-12-062020-08-25At&T Intellectual Property I, L.P.Method and apparatus for surveillance via guided wave communication
US10777873B2 (en)2016-12-082020-09-15At&T Intellectual Property I, L.P.Method and apparatus for mounting network devices
US10797781B2 (en)2015-06-032020-10-06At&T Intellectual Property I, L.P.Client node device and methods for use therewith
US10811767B2 (en)2016-10-212020-10-20At&T Intellectual Property I, L.P.System and dielectric antenna with convex dielectric radome
US10819035B2 (en)2016-12-062020-10-27At&T Intellectual Property I, L.P.Launcher with helical antenna and methods for use therewith
US10916969B2 (en)2016-12-082021-02-09At&T Intellectual Property I, L.P.Method and apparatus for providing power using an inductive coupling
US10938108B2 (en)2016-12-082021-03-02At&T Intellectual Property I, L.P.Frequency selective multi-feed dielectric antenna system and methods for use therewith
CN115295633A (en)*2022-08-042022-11-04赛丽科技(苏州)有限公司 Antenna-integrated waveguide photodetector, system, and method for transmitting signals
CN115931147A (en)*2022-12-162023-04-07北京无线电计量测试研究所 An electro-optic dielectric rod interconnection structure and an electro-optic sampling device
EP4485054A4 (en)*2022-02-252025-05-28National Institute Of Information And Communications Technology ELECTRO-OPTIC POLYMER ELEMENT

Families Citing this family (3)

* Cited by examiner, † Cited by third party
Publication numberPriority datePublication dateAssigneeTitle
US10009067B2 (en)2014-12-042018-06-26At&T Intellectual Property I, L.P.Method and apparatus for configuring a communication interface
US9793954B2 (en)2015-04-282017-10-17At&T Intellectual Property I, L.P.Magnetic coupling device and methods for use therewith
US9748626B2 (en)2015-05-142017-08-29At&T Intellectual Property I, L.P.Plurality of cables having different cross-sectional shapes which are bundled together to form a transmission medium

Family Cites Families (5)

* Cited by examiner, † Cited by third party
Publication numberPriority datePublication dateAssigneeTitle
US5309531A (en)*1992-11-121994-05-03California Institute Of TechnologyBroad-band substrate-wave-coupled electro-optic modulator
US5488677A (en)*1993-07-071996-01-30Tokin CorporationElectric field sensor
GB2366624A (en)*2000-09-012002-03-13Kymata LtdOptical arrayed waveguide grating
US6703596B1 (en)*2001-11-132004-03-09Lockheed Martin CorporationApparatus and system for imaging radio frequency electromagnetic signals
DE60204210T2 (en)*2002-02-082005-10-13Freescale Semiconductor, Inc., Austin Conversion between optical and high frequency signals

Cited By (124)

* Cited by examiner, † Cited by third party
Publication numberPriority datePublication dateAssigneeTitle
CN101726800B (en)*2009-12-162013-02-27东南大学 Optical Power Splitter Based on Photonic Crystal with Low Internal Reflection
EP2660985A4 (en)*2011-03-252014-03-19Huawei Tech Co LtdActive optical antenna, microwave emission system and method for sending information
US10051630B2 (en)2013-05-312018-08-14At&T Intellectual Property I, L.P.Remote distributed antenna system
US9999038B2 (en)2013-05-312018-06-12At&T Intellectual Property I, L.P.Remote distributed antenna system
US9674711B2 (en)2013-11-062017-06-06At&T Intellectual Property I, L.P.Surface-wave communications and methods thereof
US10063280B2 (en)2014-09-172018-08-28At&T Intellectual Property I, L.P.Monitoring and mitigating conditions in a communication network
US9906269B2 (en)2014-09-172018-02-27At&T Intellectual Property I, L.P.Monitoring and mitigating conditions in a communication network
US9973416B2 (en)2014-10-022018-05-15At&T Intellectual Property I, L.P.Method and apparatus that provides fault tolerance in a communication network
US9685992B2 (en)2014-10-032017-06-20At&T Intellectual Property I, L.P.Circuit panel network and methods thereof
US9866276B2 (en)2014-10-102018-01-09At&T Intellectual Property I, L.P.Method and apparatus for arranging communication sessions in a communication system
US9847850B2 (en)2014-10-142017-12-19At&T Intellectual Property I, L.P.Method and apparatus for adjusting a mode of communication in a communication network
US9780834B2 (en)2014-10-212017-10-03At&T Intellectual Property I, L.P.Method and apparatus for transmitting electromagnetic waves
US9960808B2 (en)2014-10-212018-05-01At&T Intellectual Property I, L.P.Guided-wave transmission device and methods for use therewith
US9769020B2 (en)2014-10-212017-09-19At&T Intellectual Property I, L.P.Method and apparatus for responding to events affecting communications in a communication network
US9871558B2 (en)2014-10-212018-01-16At&T Intellectual Property I, L.P.Guided-wave transmission device and methods for use therewith
US9705610B2 (en)2014-10-212017-07-11At&T Intellectual Property I, L.P.Transmission device with impairment compensation and methods for use therewith
US9912033B2 (en)2014-10-212018-03-06At&T Intellectual Property I, LpGuided wave coupler, coupling module and methods for use therewith
US9876587B2 (en)2014-10-212018-01-23At&T Intellectual Property I, L.P.Transmission device with impairment compensation and methods for use therewith
US9954286B2 (en)2014-10-212018-04-24At&T Intellectual Property I, L.P.Guided-wave transmission device with non-fundamental mode propagation and methods for use therewith
US9742521B2 (en)2014-11-202017-08-22At&T Intellectual Property I, L.P.Transmission device with mode division multiplexing and methods for use therewith
US10243784B2 (en)2014-11-202019-03-26At&T Intellectual Property I, L.P.System for generating topology information and methods thereof
US9954287B2 (en)2014-11-202018-04-24At&T Intellectual Property I, L.P.Apparatus for converting wireless signals and electromagnetic waves and methods thereof
US9800327B2 (en)2014-11-202017-10-24At&T Intellectual Property I, L.P.Apparatus for controlling operations of a communication device and methods thereof
US9749083B2 (en)2014-11-202017-08-29At&T Intellectual Property I, L.P.Transmission device with mode division multiplexing and methods for use therewith
US9742462B2 (en)2014-12-042017-08-22At&T Intellectual Property I, L.P.Transmission medium and communication interfaces and methods for use therewith
US9876570B2 (en)2015-02-202018-01-23At&T Intellectual Property I, LpGuided-wave transmission device with non-fundamental mode propagation and methods for use therewith
US9876571B2 (en)2015-02-202018-01-23At&T Intellectual Property I, LpGuided-wave transmission device with non-fundamental mode propagation and methods for use therewith
US9793955B2 (en)2015-04-242017-10-17At&T Intellectual Property I, LpPassive electrical coupling device and methods for use therewith
US9831912B2 (en)2015-04-242017-11-28At&T Intellectual Property I, LpDirectional coupling device and methods for use therewith
US10224981B2 (en)2015-04-242019-03-05At&T Intellectual Property I, LpPassive electrical coupling device and methods for use therewith
US9887447B2 (en)2015-05-142018-02-06At&T Intellectual Property I, L.P.Transmission medium having multiple cores and methods for use therewith
US9871282B2 (en)2015-05-142018-01-16At&T Intellectual Property I, L.P.At least one transmission medium having a dielectric surface that is covered at least in part by a second dielectric
US10650940B2 (en)2015-05-152020-05-12At&T Intellectual Property I, L.P.Transmission medium having a conductive material and methods for use therewith
US9917341B2 (en)2015-05-272018-03-13At&T Intellectual Property I, L.P.Apparatus and method for launching electromagnetic waves and for modifying radial dimensions of the propagating electromagnetic waves
US9912381B2 (en)2015-06-032018-03-06At&T Intellectual Property I, LpNetwork termination and methods for use therewith
US10050697B2 (en)2015-06-032018-08-14At&T Intellectual Property I, L.P.Host node device and methods for use therewith
US10812174B2 (en)2015-06-032020-10-20At&T Intellectual Property I, L.P.Client node device and methods for use therewith
US9866309B2 (en)2015-06-032018-01-09At&T Intellectual Property I, LpHost node device and methods for use therewith
US9967002B2 (en)2015-06-032018-05-08At&T Intellectual I, LpNetwork termination and methods for use therewith
US9912382B2 (en)2015-06-032018-03-06At&T Intellectual Property I, LpNetwork termination and methods for use therewith
US10797781B2 (en)2015-06-032020-10-06At&T Intellectual Property I, L.P.Client node device and methods for use therewith
US9997819B2 (en)2015-06-092018-06-12At&T Intellectual Property I, L.P.Transmission medium and method for facilitating propagation of electromagnetic waves via a core
US9913139B2 (en)2015-06-092018-03-06At&T Intellectual Property I, L.P.Signal fingerprinting for authentication of communicating devices
US9820146B2 (en)2015-06-122017-11-14At&T Intellectual Property I, L.P.Method and apparatus for authentication and identity management of communicating devices
US9787412B2 (en)2015-06-252017-10-10At&T Intellectual Property I, L.P.Methods and apparatus for inducing a fundamental wave mode on a transmission medium
US9865911B2 (en)2015-06-252018-01-09At&T Intellectual Property I, L.P.Waveguide system for slot radiating first electromagnetic waves that are combined into a non-fundamental wave mode second electromagnetic wave on a transmission medium
US10069185B2 (en)2015-06-252018-09-04At&T Intellectual Property I, L.P.Methods and apparatus for inducing a non-fundamental wave mode on a transmission medium
US10044409B2 (en)2015-07-142018-08-07At&T Intellectual Property I, L.P.Transmission medium and methods for use therewith
US9929755B2 (en)2015-07-142018-03-27At&T Intellectual Property I, L.P.Method and apparatus for coupling an antenna to a device
US10205655B2 (en)2015-07-142019-02-12At&T Intellectual Property I, L.P.Apparatus and methods for communicating utilizing an antenna array and multiple communication paths
US10148016B2 (en)2015-07-142018-12-04At&T Intellectual Property I, L.P.Apparatus and methods for communicating utilizing an antenna array
US9847566B2 (en)2015-07-142017-12-19At&T Intellectual Property I, L.P.Method and apparatus for adjusting a field of a signal to mitigate interference
US9853342B2 (en)2015-07-142017-12-26At&T Intellectual Property I, L.P.Dielectric transmission medium connector and methods for use therewith
US9882257B2 (en)2015-07-142018-01-30At&T Intellectual Property I, L.P.Method and apparatus for launching a wave mode that mitigates interference
US10090606B2 (en)2015-07-152018-10-02At&T Intellectual Property I, L.P.Antenna system with dielectric array and methods for use therewith
US9871283B2 (en)2015-07-232018-01-16At&T Intellectual Property I, LpTransmission medium having a dielectric core comprised of plural members connected by a ball and socket configuration
US9948333B2 (en)2015-07-232018-04-17At&T Intellectual Property I, L.P.Method and apparatus for wireless communications to mitigate interference
US9806818B2 (en)2015-07-232017-10-31At&T Intellectual Property I, LpNode device, repeater and methods for use therewith
US9912027B2 (en)2015-07-232018-03-06At&T Intellectual Property I, L.P.Method and apparatus for exchanging communication signals
US9735833B2 (en)2015-07-312017-08-15At&T Intellectual Property I, L.P.Method and apparatus for communications management in a neighborhood network
US9967173B2 (en)2015-07-312018-05-08At&T Intellectual Property I, L.P.Method and apparatus for authentication and identity management of communicating devices
US9838078B2 (en)2015-07-312017-12-05At&T Intellectual Property I, L.P.Method and apparatus for exchanging communication signals
US9904535B2 (en)2015-09-142018-02-27At&T Intellectual Property I, L.P.Method and apparatus for distributing software
US9769128B2 (en)2015-09-282017-09-19At&T Intellectual Property I, L.P.Method and apparatus for encryption of communications over a network
US9729197B2 (en)2015-10-012017-08-08At&T Intellectual Property I, L.P.Method and apparatus for communicating network management traffic over a network
US9876264B2 (en)2015-10-022018-01-23At&T Intellectual Property I, LpCommunication system, guided wave switch and methods for use therewith
US10355367B2 (en)2015-10-162019-07-16At&T Intellectual Property I, L.P.Antenna structure for exchanging wireless signals
US9860075B1 (en)2016-08-262018-01-02At&T Intellectual Property I, L.P.Method and communication node for broadband distribution
US10811767B2 (en)2016-10-212020-10-20At&T Intellectual Property I, L.P.System and dielectric antenna with convex dielectric radome
US10374316B2 (en)2016-10-212019-08-06At&T Intellectual Property I, L.P.System and dielectric antenna with non-uniform dielectric
US10312567B2 (en)2016-10-262019-06-04At&T Intellectual Property I, L.P.Launcher with planar strip antenna and methods for use therewith
US10340573B2 (en)2016-10-262019-07-02At&T Intellectual Property I, L.P.Launcher with cylindrical coupling device and methods for use therewith
US10291334B2 (en)2016-11-032019-05-14At&T Intellectual Property I, L.P.System for detecting a fault in a communication system
US10225025B2 (en)2016-11-032019-03-05At&T Intellectual Property I, L.P.Method and apparatus for detecting a fault in a communication system
US10224634B2 (en)2016-11-032019-03-05At&T Intellectual Property I, L.P.Methods and apparatus for adjusting an operational characteristic of an antenna
US10498044B2 (en)2016-11-032019-12-03At&T Intellectual Property I, L.P.Apparatus for configuring a surface of an antenna
US10340603B2 (en)2016-11-232019-07-02At&T Intellectual Property I, L.P.Antenna system having shielded structural configurations for assembly
US10340601B2 (en)2016-11-232019-07-02At&T Intellectual Property I, L.P.Multi-antenna system and methods for use therewith
US10178445B2 (en)2016-11-232019-01-08At&T Intellectual Property I, L.P.Methods, devices, and systems for load balancing between a plurality of waveguides
US10090594B2 (en)2016-11-232018-10-02At&T Intellectual Property I, L.P.Antenna system having structural configurations for assembly
US10535928B2 (en)2016-11-232020-01-14At&T Intellectual Property I, L.P.Antenna system and methods for use therewith
US10305190B2 (en)2016-12-012019-05-28At&T Intellectual Property I, L.P.Reflecting dielectric antenna system and methods for use therewith
US10361489B2 (en)2016-12-012019-07-23At&T Intellectual Property I, L.P.Dielectric dish antenna system and methods for use therewith
US10755542B2 (en)2016-12-062020-08-25At&T Intellectual Property I, L.P.Method and apparatus for surveillance via guided wave communication
US10382976B2 (en)2016-12-062019-08-13At&T Intellectual Property I, L.P.Method and apparatus for managing wireless communications based on communication paths and network device positions
US9927517B1 (en)2016-12-062018-03-27At&T Intellectual Property I, L.P.Apparatus and methods for sensing rainfall
US10819035B2 (en)2016-12-062020-10-27At&T Intellectual Property I, L.P.Launcher with helical antenna and methods for use therewith
US10326494B2 (en)2016-12-062019-06-18At&T Intellectual Property I, L.P.Apparatus for measurement de-embedding and methods for use therewith
US10020844B2 (en)2016-12-062018-07-10T&T Intellectual Property I, L.P.Method and apparatus for broadcast communication via guided waves
US10727599B2 (en)2016-12-062020-07-28At&T Intellectual Property I, L.P.Launcher with slot antenna and methods for use therewith
US10694379B2 (en)2016-12-062020-06-23At&T Intellectual Property I, L.P.Waveguide system with device-based authentication and methods for use therewith
US10637149B2 (en)2016-12-062020-04-28At&T Intellectual Property I, L.P.Injection molded dielectric antenna and methods for use therewith
US10135145B2 (en)2016-12-062018-11-20At&T Intellectual Property I, L.P.Apparatus and methods for generating an electromagnetic wave along a transmission medium
US10439675B2 (en)2016-12-062019-10-08At&T Intellectual Property I, L.P.Method and apparatus for repeating guided wave communication signals
US9893795B1 (en)2016-12-072018-02-13At&T Intellectual Property I, LpMethod and repeater for broadband distribution
US10027397B2 (en)2016-12-072018-07-17At&T Intellectual Property I, L.P.Distributed antenna system and methods for use therewith
US10168695B2 (en)2016-12-072019-01-01At&T Intellectual Property I, L.P.Method and apparatus for controlling an unmanned aircraft
US10243270B2 (en)2016-12-072019-03-26At&T Intellectual Property I, L.P.Beam adaptive multi-feed dielectric antenna system and methods for use therewith
US10389029B2 (en)2016-12-072019-08-20At&T Intellectual Property I, L.P.Multi-feed dielectric antenna system with core selection and methods for use therewith
US10359749B2 (en)2016-12-072019-07-23At&T Intellectual Property I, L.P.Method and apparatus for utilities management via guided wave communication
US10139820B2 (en)2016-12-072018-11-27At&T Intellectual Property I, L.P.Method and apparatus for deploying equipment of a communication system
US10547348B2 (en)2016-12-072020-01-28At&T Intellectual Property I, L.P.Method and apparatus for switching transmission mediums in a communication system
US10446936B2 (en)2016-12-072019-10-15At&T Intellectual Property I, L.P.Multi-feed dielectric antenna system and methods for use therewith
US9998870B1 (en)2016-12-082018-06-12At&T Intellectual Property I, L.P.Method and apparatus for proximity sensing
US10326689B2 (en)2016-12-082019-06-18At&T Intellectual Property I, L.P.Method and system for providing alternative communication paths
US10938108B2 (en)2016-12-082021-03-02At&T Intellectual Property I, L.P.Frequency selective multi-feed dielectric antenna system and methods for use therewith
US10103422B2 (en)2016-12-082018-10-16At&T Intellectual Property I, L.P.Method and apparatus for mounting network devices
US10601494B2 (en)2016-12-082020-03-24At&T Intellectual Property I, L.P.Dual-band communication device and method for use therewith
US10411356B2 (en)2016-12-082019-09-10At&T Intellectual Property I, L.P.Apparatus and methods for selectively targeting communication devices with an antenna array
US10389037B2 (en)2016-12-082019-08-20At&T Intellectual Property I, L.P.Apparatus and methods for selecting sections of an antenna array and use therewith
US10069535B2 (en)2016-12-082018-09-04At&T Intellectual Property I, L.P.Apparatus and methods for launching electromagnetic waves having a certain electric field structure
US10916969B2 (en)2016-12-082021-02-09At&T Intellectual Property I, L.P.Method and apparatus for providing power using an inductive coupling
US9911020B1 (en)2016-12-082018-03-06At&T Intellectual Property I, L.P.Method and apparatus for tracking via a radio frequency identification device
US10777873B2 (en)2016-12-082020-09-15At&T Intellectual Property I, L.P.Method and apparatus for mounting network devices
US10530505B2 (en)2016-12-082020-01-07At&T Intellectual Property I, L.P.Apparatus and methods for launching electromagnetic waves along a transmission medium
US10264586B2 (en)2016-12-092019-04-16At&T Mobility Ii LlcCloud-based packet controller and methods for use therewith
US9838896B1 (en)2016-12-092017-12-05At&T Intellectual Property I, L.P.Method and apparatus for assessing network coverage
US10340983B2 (en)2016-12-092019-07-02At&T Intellectual Property I, L.P.Method and apparatus for surveying remote sites via guided wave communications
US9973940B1 (en)2017-02-272018-05-15At&T Intellectual Property I, L.P.Apparatus and methods for dynamic impedance matching of a guided wave launcher
US10298293B2 (en)2017-03-132019-05-21At&T Intellectual Property I, L.P.Apparatus of communication utilizing wireless network devices
EP4485054A4 (en)*2022-02-252025-05-28National Institute Of Information And Communications Technology ELECTRO-OPTIC POLYMER ELEMENT
CN115295633A (en)*2022-08-042022-11-04赛丽科技(苏州)有限公司 Antenna-integrated waveguide photodetector, system, and method for transmitting signals
WO2024027026A1 (en)*2022-08-042024-02-08赛丽科技(苏州)有限公司Waveguide photoelectric detector integrated with antenna, system thereof, and signal sending method
CN115931147A (en)*2022-12-162023-04-07北京无线电计量测试研究所 An electro-optic dielectric rod interconnection structure and an electro-optic sampling device

Also Published As

Publication numberPublication date
WO2007094944A3 (en)2008-03-27

Similar Documents

PublicationPublication DateTitle
US7486247B2 (en)Millimeter and sub-millimeter wave detection
WO2007094944A2 (en)Millimeter and sub-millimeter wave detection
US7783199B2 (en)Frequency selective MMW source
US8369665B2 (en)Hybrid guided-mode resonance filter and method employing distributed bragg reflection
US5854864A (en)In-line polymeric construct for modulators, filters, switches and other electro-optic devices
US10324031B2 (en)High index-contrast photonic devices and applications thereof
US6947616B2 (en)Method and apparatus for tuning a Bragg grating in a semiconductor substrate
US20230111294A1 (en)Tunable circuit and waveguide system and method on optical fiber
US6856732B2 (en)Method and apparatus for adding/droping optical signals in a semiconductor substrate
Fu et al.Actively programmable MEMS-based racetrack-shaped terahertz metamaterial
US8829633B2 (en)Self-aligned semiconductor ridges in metallic slits as a platform for planar tunable nanoscale resonant photodetectors
US20080112705A1 (en)Frequency selective mmw source
JP2013228739A (en)Frequency selection mmw source
US10509172B2 (en)Tunable optical device
US6810182B2 (en)Optical tunable grid-assisted add/drop filter in codirectional mode of operation
EP0947860B1 (en)Optical grating-based device having a slab waveguide polarization compensating region
Chen et al.Terahertz Integrated Polarization Filter Based on Slotted Bragg Grating
KR101636940B1 (en)Polymeric Bragg reflection tunable wavelength filters and its Manufacturing method
Xu et al.An optical micro-comb with a 50GHz free spectral range for photonic microwave true time delays
CAO et al.Add drop multiplexers for terahertz communications using two-wire waveguide
OkayamaWaveguide-Type Optical Wavelength Filters

Legal Events

DateCodeTitleDescription
121Ep: the epo has been informed by wipo that ep was designated in this application
NENPNon-entry into the national phase

Ref country code:DE

122Ep: pct application non-entry in european phase

Ref document number:07717078

Country of ref document:EP

Kind code of ref document:A2


[8]ページ先頭

©2009-2025 Movatter.jp