Movatterモバイル変換


[0]ホーム

URL:


WO2007049983A1 - Non-invasive battery recharger for electronic cardiac implants - Google Patents

Non-invasive battery recharger for electronic cardiac implants
Download PDF

Info

Publication number
WO2007049983A1
WO2007049983A1PCT/PT2006/000025PT2006000025WWO2007049983A1WO 2007049983 A1WO2007049983 A1WO 2007049983A1PT 2006000025 WPT2006000025 WPT 2006000025WWO 2007049983 A1WO2007049983 A1WO 2007049983A1
Authority
WO
WIPO (PCT)
Prior art keywords
destined
battery
coil
implant
voltage
Prior art date
Application number
PCT/PT2006/000025
Other languages
French (fr)
Inventor
António Manuel Sequeira Abreu
Original Assignee
Sequeira Abreu Antonio Manuel
Priority date (The priority date is an assumption and is not a legal conclusion. Google has not performed a legal analysis and makes no representation as to the accuracy of the date listed.)
Filing date
Publication date
Application filed by Sequeira Abreu Antonio ManuelfiledCriticalSequeira Abreu Antonio Manuel
Priority to AT06812876TpriorityCriticalpatent/ATE490804T1/en
Priority to JP2008537623Aprioritypatent/JP2009513232A/en
Priority to US12/091,787prioritypatent/US7957804B2/en
Priority to EP06812876Aprioritypatent/EP1951371B1/en
Priority to DE602006018779Tprioritypatent/DE602006018779D1/en
Publication of WO2007049983A1publicationCriticalpatent/WO2007049983A1/en

Links

Classifications

Definitions

Landscapes

Abstract

The present invention refers to a device used to recharge the battery of electronic cardiac implants, like implanted pacemakers and defibrillators. It can be used to recharge the battery after an emergency requirement, such as: defibrillation or in diagnosis and or reprogramming of implants, during which no energy is demanded from the internal battery, seeing that the energy feed becomes guaranteed (accepted) by the proposed device. The invention is composed by three essential components: a generator (A), a transmitter unit (B) and a receptor coil (C). The generator is destined to produce an energy signal with determined amplitude and frequency and that is carried across through a coaxial cable to the transmitter unit (B). The emitted magnetic field is captured by the receptor coil (C) that is implanted inside the human body, generating a voltage with the absence of the Gibbs phenomenon. Furthermore, the battery recharging device guarantees the energetic supply of a communication channel between the exterior for diagnosis and/or implant reprogramming. In this case, there will be no demand of energy from the internal battery.

Description

DESCRIPTION
NON-INVASIVE BATTERY RECHARGER FOR ELECTRONIC CARDIAC
IMPLANTS
The present invention turns possible the battery recharging of cardiac implants, like implanted pacemakers and defibrillators, allowing a longer life for the internal battery in the human body, and postponing the customary chirurgic intervention for replacement.
The energy consumption of the cardiac implants varies according to its function, this being determined by the pathology and activity of the patient.
The duration of the cardiac implant battery varies from 3 to 9 years, being essentially determined by the electrical energy consumption.
The electrical energy consumption, not considering the scale factor referring to the voltage amplitude, is proportional to the product between the medium electrical current value and the interval of time during which the same persists. This product characterises the electrical charge that moves from the battery to the implant's electronic circuit.
During the progress that accompanies the scientific investigation in the medical and in the electronic fields more and more sophisticated implants are emerging, in terms of functionality and in signal processing speed.
The assisted reprogramming, the defibrillation and periodic monitoring of the implant activity are some of those potentials. The proposed configuration offers the possibility to access and change the implant's functionality algorithmic structure, without energy consumption of the internal battery, since the energetic supply is now guaranteed by the proposed device.
Actually there is no known process that permits the recharge of the battery. One of the prevention factors to achieve the energetic transfer to the implant's interior through a noninvasive process is the great distance that separates the implant from the exterior transmitter.
To overcome this obstacle in nowadays technology there are solutions based on switched power supplies which basic functionality principle is set on the impulse modulation technique (PWM - pulse width modulation) . In these types of sources the form of voltage outgoing wave is affected by the variation of the width of the impulse.
However, this technique is associated to an effect known as the Gibbs phenomenon: it consists in an increased importance of the high-frequency electromagnetic noise in the, which can be quantified by Fourier analysis.
This high-frequency electromagnetic noise is detected by the implants electronic circuits, resulting in data/signal misinterpretation and/or erroneous decisions resulting from the algorithmic implants processing, with the obvious consequences for the patient.
It is precisely these inconveniences that characterise the actual state of the technique. Or else let us observe:
Reference US2005075696 refers to the use of an oscillatory current which will induce a voltage to the terminals of a secondary coil, not specifying which and not considering the electromagnetic interferences effect. References US2005037256 and FR2420832 does not comment about the primary current, referring only to the use of a diode in the net (169) and (6), respectively, which represents poor energy efficiency for each cycle of the secondary voltage. In this case, a full wave rectification could be used, instead of the half-wave rectification.
Proposal DE2720331 is similar to the ones described in the above paragraph. However, it shows an inaccuracy in the schematic in the diode (6) and/or battery (2) polarity.
Reference JP2002315209 does not specify the waveform of the primary voltage and, from the presented schematic, the production of EMI noise is not excluded.
The same applies to reference US5411537, which also does not predict the primary voltage wave form.
On the other hand, the proposal EP0473957 presents a solution that does not consider the Gibbs phenomenon, besides the evidence of the necessity to use the detector (84) , to measure phase difference or frequency difference. In this way, this proposal admits the existence of frequency components distinct form the fundamental .
The Prototype described in Fig. Ia of in Reference GB1419531 presents an efficient solution to process the full period of the secondary voltage, using the rectifier bridge (3o) , the sensing resistor (32) and the FET (31). However, from the auxiliary coil we verify that the frequency control of the energy carrier signal (which is also not specified, as in the above examples) is determined by the pacemaker with a tuned receptor excited by the coil (20b) . Summarising, the conceptions which characterise the state of the art does not attend to the Gibbs phenomenon. Consequently, the electronic unit of the implant is exposed to unacceptable EMI levels .
The present invention is composed by three essential components: a generator, a transmitter unit and a coil receptor.
Besides that, it does not need any feedback network for the process control, simplifying its use.
This invent does not permit the appearance of the Gibbs phenomenon, since the energy signal carrier wave is (co) sinusoidal and the supplied resonant network is linear. Thus, the effect of eventual electromagnetic interferences does not apply since the energy carrier signal as a known and allowed frequency in the communication channel.
Nevertheless, the utilisation of the sinusoidal signals contributes to the appearance of the reactive components of the electrical currents coming from the resonance network. Consequently, a supplemental dissipative effect occurs at the output power circuit of the generator and an increase of the energy consumption, representing less efficiency of energy transfer.
The form found and explored to overcome this problem consists in minimising the flow of reactive energy circulating in the resonant network.
By minimizing the reactive energy transit, a reduction/exclusion of the output current reactive component is achieved, resulting in less power dissipation - Joule effect - in the generator stage. In these conditions the resonant network is purely resistive. The invention optimises the reactive energy flow determined by the regime of exploration previewed at the Predictor - Corrector Abacus illustrated in figure 1.
The Predictor - Corrector Abacus is a representation in the complex plan of a situation where a specific load is supplied by an electrical energy to the Active Power P, and Reactive Power Q. The energy is submitted under a nominal voltage U in forced alternated sinusoidal condition at a frequency f.
What characterises this Abacus is the circumstance of considering the effect of the reactance and the resistance of longitudinal transmission lines, that is evident at the figure by the position of the angles of segment line that proliferate in the I and II quadrants of the Argand's complex plan, of the complex plan relative from the axis of the base. The effect of these parameters is presented in the synchronised rotation of segment line around the affix zα = 1+jO.
The affix z2, represents the relations between the input and the output voltages. The unit radius of the circle corresponds to the points of the complex plan where |z2| = 1. The family of lines p, represents the geometric place of situations that correspond to the value of the active power P. However the lines q, characterise the situations that correspond to the Reactive Power Q.
The general equation for line p is
Figure imgf000006_0001
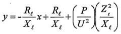
On the other hand, lines q represents the situations corresponding to the reactive power Q. The general equation of line q is
— X£t-Rttgφ,Λ f Z y = (*-i)+k2l \ωC
Re+X£tgφs {Re+Xetgφ)
Lines q turn by an angle φ, corresponding to a phase difference between load voltage and current, starting from a point in the p line, with P=O.
The intersection of two lines p and q define the operating point and the voltage relation.
The mathematics model that presents the Abacus is defined by the following equation:
Figure imgf000007_0001
Where m the voltage ratio and p represents the losses factor.
The parameters that characterise the line are parameters distributed throughout their whole extension.
Centralizing the parameters of the distributed model in a compact coil, we obtain the representation of the reactance Xe by concentrated parameters that consists the present transmission unit of this invention.
Thus, the transmitter unit resembles to a compact transmission line.
An additional advantage also becomes important, reported by the utilisation of the (co) sinusoidal signal. It consists on the focus effect which is obtained by the electromagnetic resonance phenomenon and that overcomes the high magnetic reluctance characterised by the long distance between the coil receptor and the transmitter unit.
Figure 2 represents the block diagram of the device. The energy supply is provided by the energy supply cable (1), by the alternating voltage from the energy public network, or by a direct current supply, the cigarette lighter plug of an automobile.
The converter (2) is used to supply the symmetrical voltages to the oscillator (3) and to the amplifier (6) . Additionally, it supplies the inductor (8) of the transmitter unit (B) , by the manual switch (14) , in order to achieve a stationary magnetic field to instantly inhibit the pacemaker.
Potentiometer (4) adjust the frequency of the voltage controlled oscillator (VCO) (3), in order to minimize the reactive energy transfer, which can be visualized by the light sign (13) .
The magnetic field intensity is adjusted through the potentiometer (5) . Block (6) is the integrated hybrid amplifier that supplies the resonant network composed by the capacitor (7) and the primary coil (8), which constitutes the transmitter unit.
The magnetic field produced by this unit induces an alternating voltage in the coil terminals (9) , which after rectification in the rectifier bridge (10) , supplies the implant electronic circuit through the diode (11) . This diode circumvents the implant battery from discharging in the equivalent leakage resistance. The longitudinal resistance is majored by a value related to the skin effect, R(ω) , determined by the depth of penetration
Figure imgf000009_0001
and that characterises the dependence of the resistance
\ωμσ behaviour on the frequency. The resistance varies from a value measured at direct current R0, until R(ω) .
On the same way the coil reactance depends on the frequency and also varies with magnetic reluctance, which is affected by the distance between coils. However, dispersion characterises a situation of maximum reluctance, which limits the circulating current in the compensation network.
Maxwell equation divB = 0 characterises the dispersion of the field lines which close in the shortest path of the coil magnetic circuit. In this way, we identify a non-evasive behaviour (without leakage, control losses or limitation) .
The control is efficient when m varies 75°<<9<90°, which and geometrically φ + θ = 90°, corresponds to 0 <φ < 15°. The correspondent power factor, cosφ, varies between 0,96 e 1.
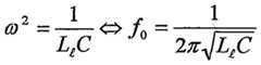
The situation correspondent to (9 =90°, occurs at x = 0. In this case, the ideal situation φ = 0° e P = 0, results from the equality between equations p e q the following:
Figure imgf000009_0002
δ The tuning frequency is obtained from
Figure imgf000010_0001
The situation when θ = 15°, occurs when lines p e q are perpendicular and line q crosses origin, which means
R, Re +Xetgφn X1 . .. X1 x = — J. -±°Z- <z> φ = o => yQ = — -(x-V) + ••• = —Lx
X Xt - Ritgφ R, Rt
Figure imgf000010_0002
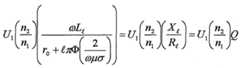
The induced voltage in the implanted coil is high when φ = 0 and its value is given by
Figure imgf000010_0003
where :
Ui, (ni/n2> and Q, represents the RMS generator's voltage, the ratio of turns of the implanted/ transmitter coils and the quality factor of the coil, respectively.
The implanted coil is located around the leakage line of the implant or in its interior, as depicted in figures 9 and 10 respectively. Figure 3 indicates one of the possible applications of this invention. The generator unit is located in a fixed structure, like a table, shelf, etc. The transmitter unit should be located through an articulated arm with a support for example in a chair or even a bed. A flexible coaxial cable allows the connection between the generator and the transmitter unit, which by a simple but efficient location over the patient thorax, allows the energy transfer to the human body.
The position of switch (14) indicated in figure 2 determines if the magnetic field created by the transmitter coil is
(co) sinusoidal, B = Bm^xχ sen(ωt) or stationary, B = BΏC, respectively, if the coil current is supplied by the amplifier
(6) or by the direct current supply (2) . If the field is stationary, the transmitter unit works like a magnet, allowing the implant command in a way that it can suspend activity
(magnetic mode) ; if the alternating field is selected, the implant is recharged.
Figure 4 represents the power supply scheme (2) indicated in figure 2, with the input and rectification blocks (a) e (b) , the blocks (d) , (e) e (f) that constitutes the flyback converter , the rectifying block (h) , the filtering block (g) and the regulating block e current limiter (q) used to excite the transmitter coil through a direct current , which will create a stationary induced field B = BΩCr similar to the one produced by a permanent magnet .
Figure 5 represents the voltage controlled oscillator (3) , identified in Figure 2, and used to produce a (co) sinusoidal signal with frequency proportional to the control voltage, manually adjusted by the potentiometer (4) . The mean value corresponds to the resonant frequency of the transmitter unit resonant network. Figure 6 represents the power amplifier with symmetric supply (6) , which amplifies the signal generated at the voltage controlled oscillator (3) from figure 5, and let it available at the output plug (p) .
The scheme in Figure 7 corresponds to the transmitter unit with a resonant capacitor (7), the coil (8), responsible for the magnetic field generation/ a neon sign (13) and a plug (q) to connect to the generator unit (A) through plug (p) , shown in figure 2.
The implanted unit represented in figure 8 is constituted by the implanted coil (9) located in the periphery of the implant or in its interior and with the terminals connected to the rectifier bridge (10) , which in turn are connected to the filter capacitor (11) e to the protection diode (12) , which prevents the battery from discharging in the equivalent leakage resistance. The assembly of the sensor coil (9) is suggested in figures 9 and 10, respectively, by its location in the periphery or in the interior of the implant.

Claims

1. Device used to recharge the battery of cardiac implants, characterized by a generator (A) destined to produce a
(co) sinusoidal signal with frequency adjusted by a potentiometer
(5) , in turn of a mean value designated by resonant frequency, which envisage the minimization of the reactive energy transit in the resonant network (B), composed by a capacitor (7) and by a coil with air nucleus (8) , which characteristic values determine the resonant frequency and constitutes the transmitter unit, destined to produce a stationary magnetic field or alternated sinusoidal, for the magnetic mode, or for the battery recharging, respectively, which will induce a voltage at the terminal of the implanted coil, established at the implant periphery, in which lays the rectifier block (10) , the filter capacitor (11), and the diode to protect against the inverse leakage current (12) .
2. Device according to claim 1, characterised by converting the input electrical voltage, by the public electric network or by a voltage available at the automobile battery, by mean of a rectifier bridge (a) , resistance (b) , and capacitor (c) , applied to the transformer (d) , excited by the transistor (e) , controlled by the integrated circuit (f) , which samples the continuous voltage delivered by the symmetric voltage at the rectifier bridge (h) , through the secondary of (d) and filtered by the capacitor pair (g) , destined to the supply of the circuits and produce a direct current in order to create a stationary magnetic field, destined to the functionality of the implant in the magnetic mode.
3. Device according to claims 1 and 2, characterised by an input plug destined to supply by the cigarette lighter of an automobile, selectable by the switch (15) .
4. Device according to claims 1 and 2, characterised by the oscillator, constituted by the integrated circuit (3) , supplied symmetrically, which produces a sinusoidal signal with central oscillating frequency, characterized by the resonant coil value (8) and capacitor (7), which determines the maximum energy flux generated by the amplifier (6) .
5. Device according to claims 1 to 3, characterised by a button that commands the potentiometer to adjust the oscillator frequency (3) , destined to achieve the resonant and maximum transfer condition, corresponding to φ = 0°.
6. Device according to claim 1 to 3, characterised by an amplifier block constituted by a hybrid integrated circuit (6) , with symmetric feed, excited by the oscillator signal (3) through the potentiometer (5) and accessible at the secure shielded output.
7. Device according to claim 1 to 5, characterised by a button that commands the potentiometer (5) , destined to adjust the magnetic field amplitude, created according to the implant depth.
8. Device according to claim 1 to 6, characterised by producing a magnetic field through the transmitter unit (B) , which includes a coil with air nucleus (8) and the resonant capacitor (7), fed by the connector (q) , provided with a neon indicator lamp (13) signalising optimal condition.
9. Device according to claim 1, characterised by a switch (14) destined to select the operating mode, to works in the magnetic mode, destined to suspend the implant activity, or to works in the battery recharging mode.
10. Device according to claim 1, characterised by receiving the magnetic energy emitted by the transmitter unit through the planar receptor coil, which supplies the rectifier bridge, constituted by four fast-recovery diodes (10), destined to produce a continuous voltage by full wave rectification, filtered by the capacitor (11) , and applied to the implant supply circuit through the diode (12) , which avoids the eventual battery discharging to the equivalent leakage resistance.
PCT/PT2006/0000252005-10-282006-10-25Non-invasive battery recharger for electronic cardiac implantsWO2007049983A1 (en)

Priority Applications (5)

Application NumberPriority DateFiling DateTitle
AT06812876TATE490804T1 (en)2005-10-282006-10-25 NON-INVASIVE BATTERY CHARGER FOR ELECTRONIC HEART IMPLANTS
JP2008537623AJP2009513232A (en)2005-10-282006-10-25 Non-invasive battery charger for electronic heart implants
US12/091,787US7957804B2 (en)2005-10-282006-10-25Non-invasive battery recharger for electronic cardiac implants
EP06812876AEP1951371B1 (en)2005-10-282006-10-25Non-invasive battery recharger for electronic cardiac implants
DE602006018779TDE602006018779D1 (en)2005-10-282006-10-25 NON-INVASIVE BATTERY CHARGER FOR ELECTRONIC HEART PLANTATS

Applications Claiming Priority (2)

Application NumberPriority DateFiling DateTitle
PT1033742005-10-28
PT103374APT103374A (en)2005-10-282005-10-28 BATTERY CHARGER FOR CARDIAC IMPLANTS

Publications (1)

Publication NumberPublication Date
WO2007049983A1true WO2007049983A1 (en)2007-05-03

Family

ID=37650016

Family Applications (1)

Application NumberTitlePriority DateFiling Date
PCT/PT2006/000025WO2007049983A1 (en)2005-10-282006-10-25Non-invasive battery recharger for electronic cardiac implants

Country Status (7)

CountryLink
US (1)US7957804B2 (en)
EP (1)EP1951371B1 (en)
JP (1)JP2009513232A (en)
AT (1)ATE490804T1 (en)
DE (1)DE602006018779D1 (en)
PT (1)PT103374A (en)
WO (1)WO2007049983A1 (en)

Families Citing this family (10)

* Cited by examiner, † Cited by third party
Publication numberPriority datePublication dateAssigneeTitle
WO2011097289A1 (en)*2010-02-032011-08-11Medtronic, Inc.Implantable medical devices and systems having dual frequency inductive telemetry and recharge
US9042995B2 (en)*2010-02-032015-05-26Medtronic, Inc.Implantable medical devices and systems having power management for recharge sessions
US8551163B2 (en)2010-10-072013-10-08Everheart Systems Inc.Cardiac support systems and methods for chronic use
US9496924B2 (en)2010-12-102016-11-15Everheart Systems, Inc.Mobile wireless power system
US9136728B2 (en)2011-04-282015-09-15Medtronic, Inc.Implantable medical devices and systems having inductive telemetry and recharge on a single coil
US8594804B2 (en)*2011-04-282013-11-26Cyberonics, Inc.Implantable medical device charging
US20130123881A1 (en)*2011-11-112013-05-16Boston Scientific Neuromodulation CorporationExternal Charger for an Implantable Medical Device System Having a Coil for Communication and Charging
US9401625B2 (en)2013-06-032016-07-26Boston Scientific Neuromodulation CorporationSolar-powered external charger and solar-powered external charger cradle for medical implantable device systems
DE102015204399A1 (en)2015-03-112016-09-15Siemens Healthcare Gmbh A blood vessel support for a charging circuit arrangement, charging circuit arrangement and automatic system for the electromagnetic induction principle based charging of at least one rechargeable battery in or on the body of a living being
US10367367B1 (en)2015-12-282019-07-30Keith A. JacobsElectronic watch recharging device

Citations (14)

* Cited by examiner, † Cited by third party
Publication numberPriority datePublication dateAssigneeTitle
GB1419531A (en)1972-06-281975-12-31Univ Johns HopkinsRechargeable cardiac pacemaker
GB1492990A (en)*1973-09-271977-11-23Pacesetter Syst IncRechargeable tissue stimulating system
DE2720331A1 (en)1977-05-061978-11-09Walter HolzerHeart pacemaker with rechargeable battery - has transformer type recharging system and frequency sensor monitoring battery condition
FR2420832A1 (en)1978-03-231979-10-19Roland EmballagesPower supply for inaccessible device such as pacemaker - is transformer with windings each side of non-magnetic barrier
EP0473957A2 (en)1990-08-311992-03-11Pacesetter ABInterrupted resonance energy transfer system
US5314457A (en)*1993-04-081994-05-24Jeutter Dean CRegenerative electrical
US5411537A (en)1993-10-291995-05-02Intermedics, Inc.Rechargeable biomedical battery powered devices with recharging and control system therefor
US5704351A (en)*1995-02-281998-01-06Mortara Instrument, Inc.Multiple channel biomedical digital telemetry transmitter
US6442434B1 (en)*1999-10-192002-08-27Abiomed, Inc.Methods and apparatus for providing a sufficiently stable power to a load in an energy transfer system
JP2002315209A (en)2001-04-092002-10-25Terumo CorpCharger and system for implantable rechargeable medical equipment
US20030040291A1 (en)*2001-08-212003-02-27Brewer Samuel JosephTransmitter system for wireless communication with implanted devices
US20040039423A1 (en)*2002-08-202004-02-26Alexander DolginTransmission of information from an implanted medical device
US20050037256A1 (en)2003-08-112005-02-17Hiroshi MukainakanoRechargeable implantable battery pack with battery management circuit
US20050075696A1 (en)2003-10-022005-04-07Medtronic, Inc.Inductively rechargeable external energy source, charger, system and method for a transcutaneous inductive charger for an implantable medical device

Family Cites Families (3)

* Cited by examiner, † Cited by third party
Publication numberPriority datePublication dateAssigneeTitle
US3766463A (en)*1971-12-171973-10-16M RubenBattery charging circuit with scr{40 s triggered by unijunction circuits having means for preventing unijunction from being latched on
US6516227B1 (en)*1999-07-272003-02-04Advanced Bionics CorporationRechargeable spinal cord stimulator system
US7918801B2 (en)*2005-12-292011-04-05Medility LlcSensors for monitoring movements, apparatus and systems therefor, and methods for manufacture and use

Patent Citations (14)

* Cited by examiner, † Cited by third party
Publication numberPriority datePublication dateAssigneeTitle
GB1419531A (en)1972-06-281975-12-31Univ Johns HopkinsRechargeable cardiac pacemaker
GB1492990A (en)*1973-09-271977-11-23Pacesetter Syst IncRechargeable tissue stimulating system
DE2720331A1 (en)1977-05-061978-11-09Walter HolzerHeart pacemaker with rechargeable battery - has transformer type recharging system and frequency sensor monitoring battery condition
FR2420832A1 (en)1978-03-231979-10-19Roland EmballagesPower supply for inaccessible device such as pacemaker - is transformer with windings each side of non-magnetic barrier
EP0473957A2 (en)1990-08-311992-03-11Pacesetter ABInterrupted resonance energy transfer system
US5314457A (en)*1993-04-081994-05-24Jeutter Dean CRegenerative electrical
US5411537A (en)1993-10-291995-05-02Intermedics, Inc.Rechargeable biomedical battery powered devices with recharging and control system therefor
US5704351A (en)*1995-02-281998-01-06Mortara Instrument, Inc.Multiple channel biomedical digital telemetry transmitter
US6442434B1 (en)*1999-10-192002-08-27Abiomed, Inc.Methods and apparatus for providing a sufficiently stable power to a load in an energy transfer system
JP2002315209A (en)2001-04-092002-10-25Terumo CorpCharger and system for implantable rechargeable medical equipment
US20030040291A1 (en)*2001-08-212003-02-27Brewer Samuel JosephTransmitter system for wireless communication with implanted devices
US20040039423A1 (en)*2002-08-202004-02-26Alexander DolginTransmission of information from an implanted medical device
US20050037256A1 (en)2003-08-112005-02-17Hiroshi MukainakanoRechargeable implantable battery pack with battery management circuit
US20050075696A1 (en)2003-10-022005-04-07Medtronic, Inc.Inductively rechargeable external energy source, charger, system and method for a transcutaneous inductive charger for an implantable medical device

Also Published As

Publication numberPublication date
US7957804B2 (en)2011-06-07
US20080269828A1 (en)2008-10-30
ATE490804T1 (en)2010-12-15
EP1951371B1 (en)2010-12-08
DE602006018779D1 (en)2011-01-20
EP1951371A1 (en)2008-08-06
JP2009513232A (en)2009-04-02
PT103374A (en)2007-04-30

Similar Documents

PublicationPublication DateTitle
WO2007049983A1 (en)Non-invasive battery recharger for electronic cardiac implants
US8700175B2 (en)Devices and methods for visually indicating the alignment of a transcutaneous energy transfer device over an implanted medical device
CN109328088B (en) External Charger for Implantable Medical Devices
JP5469245B2 (en) Improved external charger for medical implantable devices using magnetic field sensing coils to improve coupling
US9227075B2 (en)External charger with adjustable alignment indicator
US8825173B2 (en)Method and apparatus for supplying energy to a medical device
CN109310868B (en)External charger for an implantable medical device that adjusts charging power based on a position determined with at least one sensing coil
CN109310866B (en)External charger for implantable medical devices that localize and optimize power transfer with resonant frequency determined from at least one sensing coil
US8751001B2 (en)Universal recharging of an implantable medical device
CN109310867A (en)The external charger for implantable medical device with alignment and centering ability
CN109328089A (en) External charger for an implantable medical device whose position is determined using a phase angle or a plurality of parameters determined from at least one sense coil
US20140320074A1 (en)Implantable medical device charging apparatus having both parallel and series resonators
Wang et al.Dual-functional wireless power transfer and data communication design for micromedical implants
Meng et al.Output voltage stabilization control without secondary side measurement for implantable wireless power transfer system
AU2013251210B2 (en)An improved external charger for a medical implantable device using field sensing coils to improve coupling
Lv et al.Wireless power transmission equipment used for implantable cardiac pacemakers
Campi et al.Distributed Excitation of a Birdcage Transmitter for Wireless Powering of Endoscopic Capsules
ChenA Novel Control Scheme for Class E Wireless Power Transfer Systems in Biomedical Implants
CN110247482A (en)Electromagnetic field generator
Liu et al.Study and Design of Transcutaneous Coupling Power Supply Device Energy Transmission
JP2012069044A (en)Power factor improvement circuit

Legal Events

DateCodeTitleDescription
121Ep: the epo has been informed by wipo that ep was designated in this application
ENPEntry into the national phase

Ref document number:2008537623

Country of ref document:JP

Kind code of ref document:A

WWEWipo information: entry into national phase

Ref document number:12091787

Country of ref document:US

NENPNon-entry into the national phase

Ref country code:DE

WWEWipo information: entry into national phase

Ref document number:2006812876

Country of ref document:EP


[8]ページ先頭

©2009-2025 Movatter.jp