Movatterモバイル変換


[0]ホーム

URL:


WO2007034282A2 - Diaryl-imidazole compounds condensed with a heterocycle as c3a receptor antagonists - Google Patents

Diaryl-imidazole compounds condensed with a heterocycle as c3a receptor antagonists
Download PDF

Info

Publication number
WO2007034282A2
WO2007034282A2PCT/IB2006/002568IB2006002568WWO2007034282A2WO 2007034282 A2WO2007034282 A2WO 2007034282A2IB 2006002568 WIB2006002568 WIB 2006002568WWO 2007034282 A2WO2007034282 A2WO 2007034282A2
Authority
WO
WIPO (PCT)
Prior art keywords
biphenyl
imidazo
dimethyl
tetrahydro
pyridin
Prior art date
Application number
PCT/IB2006/002568
Other languages
French (fr)
Other versions
WO2007034282A3 (en
Inventor
Michelle Marie Claffey
Steven Wayne Goldstein
Stanley Jung
Arthur Nagel
Volker Shulze
Original Assignee
Pfizer Products Inc.
Priority date (The priority date is an assumption and is not a legal conclusion. Google has not performed a legal analysis and makes no representation as to the accuracy of the date listed.)
Filing date
Publication date
Application filed by Pfizer Products Inc.filedCriticalPfizer Products Inc.
Publication of WO2007034282A2publicationCriticalpatent/WO2007034282A2/en
Publication of WO2007034282A3publicationCriticalpatent/WO2007034282A3/en

Links

Classifications

Definitions

Landscapes

Abstract

Aryl substituted imidazo[4,5-c] pyridine compounds are provided. These compounds are useful in pharmaceutical compositions as C3a antagonists for treating a variety of medical conditions associated with the Complement cascade. Methods for treating such conditions are also provided.

Description

BIPHENYLIMIDAZOLE COMPOUNDS AS C3A RECEPTOR ANTAGONISTS
Field of the Invention
The present invention provides novel pharmaceutically active compounds that act as antagonists of the mammalian C3a receptor, and methods of using these compounds to treat chronic inflammatory diseases, including, but not limited to inflammations in the central nervous system, peripheral nervous system, lungs, and bone joints. Additionally, disease states not classically, categorized as inflammatory diseases, but which in fact have inflammatory components, can also be effectively treated according to the practice of the invention. Alzheimer's 'disease represents a particularly important example of this latter type of disease state, and its discussion usefully demonstrates that disease states not classically categorized as inflammatory share mechanistic linkages with disease states classically characterized as inflammations. The present invention relates to treatment of both such types of disease states via inhibition of binding of the C3a protein to its cellular receptors.
Background of the Invention The pathological hallmark of Alzheimer's disease (AD) is the senile amyloid plaque, a« proteinaceous extracellular deposit composed primarily of an amyloidogenic peptide termed A-beta protein, and which is surrounded by dystrophic neurites. Senile plaques are the focus of a robust and chronic inflammatory response mounted by microglia, the brain's endogenous macrophage cells. Macrophage cells are phagocytic immune system cells of monocytic origin that circulate in the tissues and participate both in first-line initial immunosurveillance , and acquired immunity processes.
Although inflammatory responses are designed to protect the body at sites of infection or tissue damage, chronic inflammation itself often causes tissue damage. As a further complication in regard of treatment of Alzheimer's disease, since many of the biochemical products of microglial cell activation are known to be very toxic to nerve cells, blocking the inflammatory response is very significant in the treatment of AD. In this regard, see generally, J. Rogers et al., Inflammation and Alzheimer's disease pathogenesis, Neurobiol. Aging, v. 17, pp. 425-432, 1996.
The critical need for anti-inflammatory therapy for AD is underscored by numerous epidemiological studies associating chronic use of nonsteroidal antiinflammatory drugs or disease-modifying anti-rheumatic drugs with a greatly increased risk of developing AD (see, for example, McGeer, P. L., Schulzer, M., and McGeer, E.G. (1996) Arthritis and antiinflammatory agents as possible protective factors for Alzheimer's disease: A review of 17 epidemiologic studies. Neurology 47: 425-432). One of the key host defense mechanisms provided by macrophages involves use of
Complement, a phylogenetically old system of enzymes and other proteins that most likely evolved to protect organisms against microbial assault. Complement activation is a prominent feature of the inflammatory response in Alzheimer's disease, and is apparently triggered by the presence of senile plaques. The triggering of the Complement system involves the sequential activation of numerous proteins by a cascade effect. The Complement cascade is best defined as a series of binding and cleavage events wherein active forms of Complement proteins are produced, which in turn act upon each other, often by proteolysis, to produce further active proteins and protein fragments, and complexes thereof, which then1 interact with immune system components, or with cellular debris, endogenous or foreign macromolecules, or invading cells which are then targeted for destruction. During Complement activation, Complement protein C3 is proteolytically cleaved, resulting in a large fragment (C3b) and the smaller 77 residue peptide, C3a. -C3a is known to regulate vasodilation increasing the permeability of small blood vessels, induce contraction of smooth muscles, induce oxidative burst, regulate cytokine release, and stimulate chemotaxis, depending on the involved cells, all inflammation related events. Target cells include macrophages, neutrophils, eosiniphils, basophils, T-lyphocytes and mast cells, all having important immune and inflammation related functions.
Receptors for C3a are expressed on a variety of macrophages and macrophage cell lines. Functionally, C3a binding to C3a receptors in macrphages causes a mobilization of intracellular calcium ions, and leads to both chemotaxis and respiratory burst, which are both host defense mechanism that generate high levels of cytotoxic superoxide. , Again, although such mechanisms are useful in protecting against invading bacterial cells, for example, the triggering of such defense mechanism against normal cells (such as brain neurons that happen to be proximal to the site of plaque formation) is devastating to normal brain function. Similar disadvantageous results operate in regard of other inflammatory conditions. In summary, substantial evidence indicates that a chronic inflammatory response to senile plaques contributes significantly to the neurotoxicity of Alzheimer's disease. A key step in this inflammatory response is the formation of C3a, which upon binding to microglial C3a receptors, causes recruitment of microglia to the plaque followed by activation of neurotoxin release. Blocking of C3a receptors would thus be expected to inhibit these deleterious microglial responses and slow the progression of Alzheimer's disease.
The C3a receptor (C3aR) belongs to the rhodopsin family of G protein-coupled receptors (see Embler et al. in The Human Complement System in Health and Disease, Marcel Dekker, New York, pp. 241-284, 1998). Traditionally, C3aR was thought to be present only on myeloid cells, such as macrophages, eosiniphils and mast cells. However, the demonstration that C3aR receptor messenger RNA is expressed throughout the body (and in particular in the adrenal gland, pituitary.gland, and the central nervous system) is consistent with participation of C3a in a wide variety of cellular process and mediate numerous disease / states. Recently, C3a receptor-immunoreactivity has been detected in areas of inflammation in multiple sclerosis and bacterial meningitis patients. In the latter disorder, abundant C3a receptor expression on activated microglia and reactive astrocytes was noted.
Additionally, Complement activation has been implicated in the pathogenesis of neurodegenerative disorders in both the central nervous system and the peripheral nervous system such, as Huntington's disease, Pick's disease, and Gullian Barre syndrome. (See Campos-Torres et a|,., (August 2000), Immunopharmacology, volume 49, Issues 1-2, page 48; see also, (Vogt, W. (1986) Complement 3, 177-188; Morgan, B. P. (1994) European J. Clin. Investigation, 24, 219-228; and Morgan et al., (1997), Immunopharmacology, 38, 43-50). It is also recognized that Complement activation plays a significant role in allergic lung damage caused by repeated inhalation of antigen, which is consistent with the etiology of asthma. (See Abe et al., Immunopharmacology, Volume 49, Issues 1-2, page 26 (August 2000)). Importantly, it is also recognized that controlling the Complement system can impact the treatment or prevention of disease states such as sepsis, adult respiratory distress syndrome, nephrites, graft rejection, myocardial ischemia/reperfusion injury, and intestinal ischemia/reperfusion injury. (See Kirshfink, M., (1997), Immunopharmacology, 38, 51-62; see also Lucchesi et al., (1997), Immunopharmacology, 38, 27-42 ).
Taken together, these observations strongly support the use of pharmaceutically active compounds, effective as C3a receptor antagonists, in the prevention and treatment of a wide range of disease states, whether or not the disease state is classically recognized to include an inflammatory component., and whether or not the activation of the Complement system is involved, in whole or part, in the pathology of the disease state. Such disease states include, but are not limited to: neurological diseases such as Alzheimer's disease, multiple sclerosis, Huntington's chorea, Pick's disease, Guillian Barre syndrome, encephalitis, meningitis, stroke; and hemorrhagic stroke; cancer generally and leukemia particularly; allergic and respiratory diseases including allergic dermatitis, anaphylaxis, asthma, eczema, rhinitis, and respiratory distress; cardiovascular or metabolic disease states including shock and hypertension, hyperlipidemia, hypercholesterolemia, edema, and obesity; and inflammatory conditions generally including without limitation, osteoarthritis, ischemia, lung inflammation and rheumatoid arthritis.
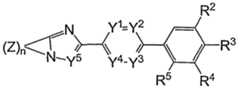
Summary of the Invention Accordingly, there are provided compounds according to the formula I
Figure imgf000004_0001
wherein -A-
n is between 3 and 5;
Z at each occurrence is independently selected from CR1, CHR1 ,C=O, N, NR1, N=O, S, and O1 wherein a bond between two groups Z bonded to each other may be a single bond or a double bond; the ring containing Z is a 5, 6, or 7-membered heterocyclic or heteroaryl ring containing 1-3 three heteroatoms independently selected from the group consisting of O, N and S;
R1 at each occurrence is independently selected from H, optionally substituted C1-Ce alkyl, optionally substituted C1-C6 alkoxy, halo, SQ2N(Re)2, N(R6)SO2N(Re)2, SO2R6, CONHSO2R6, CONHSO2(NRe)2, optionally substituted 3-10-membered heterocycloalkyl, optionally substituted C3-C10 cycloalkyl, cyano, optionally substituted 5- 10-membered heteroaryl, optionally substituted C6-C10 aryl, COR6, CO2R6, N(R6J2, NR6COR6, CON(R6)2, and CONCO(R6)2;
R6 at each occurrence is independently selected from H, optionally substituted C1-C6 alkyl, optionally substituted 5-10 membered heteroaryl, optionally substituted C6-C10 aryl; optionally substituted C3-C10 cycloalkyl, and optionally substituted 3-10 membered heterocycloalkyl;
R2, R3 and R4 are selected independently from H, optionally substituted CrC6alkyl, halo, optionally substituted CrCεalkenyl, optionally substituted C3-C10 cycloalkyl, trifluoromethyl, CO- optionally substituted C1-C6 alkyl, CO2- optionally substituted C1-C6 alkyl, optionally substituted
Figure imgf000005_0001
and optionally substituted CrCealkylthio, with the proviso that if
Figure imgf000005_0002
is
Figure imgf000006_0001
wherein A, = CH IfA2-N
Figure imgf000006_0002
then at least one of R2, R3, R4 and R5 is not hydrogen; and with the proviso that if
Figure imgf000006_0003
or then at least two of R2, R3, R4 and R5 are not hydrogen, wherein if only two of R2, R3, R4 and R5 are not hydrogen, then the two of R2, R3, R4 and R5 that are not hydrogen are not both CF3; and with the proviso that if the compound of formula I is
Figure imgf000006_0004
then R1 may not be H, Me, Cl1 C1-C12 alkenyl, or CONHR or when IS
Figure imgf000007_0001
then R3 and R2 together with the phenyl carbon atoms they are attached to, or R3 and R4 together with the phenyl carbon atoms they are attached to, may form a 5, 6, or 7-membered carbocylic, heterocyclic, aromatic or heteroaromatic ring containing 0, d , or 2 heteroatoms selected from the group consisting of O, N, and S; i
R5 is selected from H or F;
Y1, Y2, Y3, Y4 are independently selected from CH, CF, or N where no more than two of Y1, Y2, Y3, and Y4 are N; and
Y5 is selected from CH, or N; or a pharmaceutically acceptable salt thereof. '
The present invention also relates to the pharmaceutically acceptable acid addition salts of compounds of the formula (I). Exemplary acids which are used to prepare the pharmaceutically acceptable acid addition salts of the aforementioned base compounds of this invention are those which form non-toxic acid addition salts, i.e., salts containing pharmacologically acceptable anions, such as the hydrochloride, hydrobromide, hydroiodide, nitrate, sulfate, bisulfate, phosphate, acid phosphate, acetate, lactate, citrate, acid citrate, tartrate, bitartrate, succinate, maleate, fumarate, gluconate, saccharate, benzoate, methanesulfonate, ethanesulfonate, benzenesulfonate, p-toluenesulfonate and pamoate [i.e.,
1 ,1 '-methylene- bis-(2-hydroxy-3-naphthoate)]salts.
The present invention also relates to the pharmaceutically acceptable base addition salts of compounds of the formula (I). The bases which are used to prepare the pharmaceutically acceptable base addition salts of the aforementioned base compounds of this invention are those which form non-toxic base addition salts, i.e., salts containing pharmacologically acceptable cations. Such non-toxic base salts include, but are not limited to those derived from such pharmacologically acceptable cations such as alkali metal cations
(eq., potassium and sodium) and alkaline earth metal cations (e.g., calcium and magnesium), ammonium or water-soluble amine addition salts such as N-methylglucamine-(meglumine), and the lower alkanolammonium and other base salts of pharmaceutically acceptable organic amines. The subject invention also includes isotopically-labelled compounds, which are identical to those recited in Formula (I), but for the fact that one or more atoms are replaced by an atom having an atomic mass or mass number different from the atomic mass or mass number usually found in nature. Examples of isotopes that can be incorporated into compounds of the invention include isotopes of hydrogen, carbon, nitrogen, oxygen, phosphorous, fluorine and chlorine, such as2 H13 H,13C,14 C,15 N,180,170,31 P,32 P,35 S,18 F, and36 Cl, respectively. Compounds of the present invention, prodrugs thereof, and pharmaceutically acceptable salts of said compounds or of said prodrugs which contain the aforementioned isotopes and/or other isotopes of other atoms are within the scope of this invention. Certain isotopically-labelled compounds of the present invention, for example those into which radioactive isotopes such as3 H and14 C are incorporated, are useful in drug and/or substrate tissue distribution assays. Tritiated, i.e.,3 H, and carbon 14, i.e.,14 C1 isotopes are particularly preferred for their ease of preparation and detectability. Further, substitution with heavier isotopes such as deuterium, i.e.,2 H, can afford certain therapeutic advantages resulting from greater metabolic stability, for example increased in vivo half-life.or reduced dosage requirements and, hence, may be preferred in some circumstances, lsotopically labelled compounds of Formula (I) of this invention and prodrugs thereof can generally be prepared by carrying out the procedures disclosed in the Schemes and/or in the Examples and Preparations below, by substituting a readily available isotopically labelled reagent for a noή-isotopically labelled reagent.
The present invention provides for the treatment of a medical condition selected from the group consisting of Alzheimer's disease, multiple sclerosis, Huntington's chorea, Pick's disease, Guillian Barre syndrome, encephalitis, meningitis, stroke; and hemorrhagic stroke; cancer generally and leukemia particularly; allergic and respiratory diseases including allergic dermatitis, anaphylaxis, asthma, eczema, rhinitis, and adult respiratory distress syndrome; cardiovascular or metabolic disease states including ischemia and reperfusion injury, shock and hypertension, hyperlipidemia, hypercholesterolemia, edema, obesity; nephritis, graft rejection, and inflammatory conditions generally including without limitation, osteoarthritis, ischemia, lung inflammation and rheumatoid arthritis, comprising administering to a patient a therapeutically effective amount of a compound(s) of the present invention. Exemplary conditions that may be treated by the compound of the invention are Alzheimer's disease, multiple sclerosis, Huntington's chorea, Pick's disease, Guillian Barre syndrome, encephalitis, meningitis, stroke, and hemorrhagic stroke.
Another aspect of the present invention is a method for preventing excessive Complement activation in a patient comprising administering to said patient, a therapeutically effective amount of a compound(s) of the present invention. Another aspect of the present invention is a method for treating or preventing Complement-mediated tissue damage in a patient comprising administering to said patient, a therapeutically effective amount of a compound(s) of the present invention.
Another aspect of the present invention is a method for treating diseases characterized by chronic Complement activation comprising administering to a patient a therapeutically effective amount of a compound(s) of the present invention.
Another aspect of the present invention is a method for antagonizing the C3a receptor in a patient by administering an effective amount of a compound(s) of the present invention. Definitions
In connection with the practice of the invention, the following definitions will generally apply.
An "effective amount" or "therapeutically effective amount" of a subject compound, with respect to the subject method of treatment, refers to an amount of the therapeutic in a preparation which, when applied as part of a desired dosage regimen provides a benefit according to clinically acceptable standards for the treatment or prophylaxis of a particular disorder.
A "patient" or "subject" to be treated by the subject method can mean either a human or non-human subject. The term "treating", as used herein, refers to reversing, alleviating, inhibiting the progress of, or preventing the disorder or condition to which such term applies, or one or more symptoms of such disorder or condition. The term "treatment" , as , used herein, refers to the act of treating, as "treating" is defined immediately above.
The term "alkyl", as used herein, unless otherwise indicated, includes saturated monovalent hydrocarbon radicals having straight, branched or cyclic moieties or combinations thereof. Similarly, the terms "alkenyl" and "alkynyl" define hydrocarbon radicals having straight, branched or cyclic moities wherein at least one double bond, or at least one triple bond, respectively, is present. Such definitions also apply when the alkyl, alkenyl or alkynyl group is present within another group, such as alkoxy or alkylamine. , The term "alkoxy", as used herein, includes O-alkyl groups wherein "alkyl" is as defined above.
The term "halo", as used herein, unless otherwise indicated, includes fluoro, chloro, bromo or iodo.
A group or substituent "fused to C6-C10 arene" or "fused to an arene", as used herein, unless otherwise indicated, indicates, respectively, a group or substituent fused to a C6-C10 aromatic hydrocarbon and a group or substituent fused to a C6-C30 aromatic hydrocarbon.
The C6-C10 aromatic hydrocarbon, or the C6-C30 aromatic hydrocarbon, may be substituted by one or more substituents wherein, unless otherwise indicated, selection of each substituent is independent of selection of any other substituents, and perferably the number of substituents is between 0 and 3, more preferably between 0 and 2. Representative aromatic hydrocarbon compounds are benzene and naphthalene. An "aryl" group as used herein, unless otherwise indicated, includes an organic radical derived from a monocyclic or bicylic (C6-C10) aromatic hydrocarbon compound by removal of a hydrogen radical from a ring carbon of the aryl compound. An aryl group may be substituted by one or more substituents wherein, unless otherwise indicated, selection of each substituent is independent of selection of any other substituents, and perferably the number of substituents is between 0 and 3, more preferably between 0 and 2. Representative aryl groups are phenyl and naphthyl.
An "arylene" group as used herein, unless otherwise indicated, includes an organic diradical derived from a monocyclic or bicylic (C6-C10) aromatic hydrocarbon compound by removal of two hydrogen radicals from two ring carbons of the aryl compound. An arylene group may be substituted by one or more substituents wherein, unless otherwise indicated, selection of each substituent is independent of selection of any other substituents, and perferably the number of substituents is between 0 and 3, more preferably between 0 arid 2. It will be appreciated that the preferred number of substituents is determined in part by facility of synthesis. Representative aryl groups are phenyl and naphthyl. A "heteroaryl" group as used herein, unless otherwise indicated, includes an organic radical derived from a monocyclic or bicyclic 3-10-membered aromatic heterocyclic compound by removal of a hydrogen radical from a ring atom of the heteroaryl compound, said ring atom being uncharged in said compound. A heteroaryl group may be substituted by one or more substituents wherein, unless otherwise indicated, selection of each substituent is independent of selection of any other substituents, and perferably the number of substituents is between 0 and 3, more preferably between 0 and 2. It will be appreciated that the preferred number of substituents is determined in part by facility of synthesis. Representative heteroaryl groups include furyl, thienyl, thiazolyl, pyrazolyl, isothiazolyl, oxazolyl, isoxazolyl, pyrrolyl, triazolyl, tetrazolyl, imidazolyl, 1,3,5-oxadiazolyl, 1,2,4-oxadiazolyl, 1,2,3-oxadiazolyl, 1,3,5-thiadiazolyl, 1 ,2,3-thiadiazolyl, 1,2,4-thiadiazolyl, pyridyl, pyrimidyl, pyrazinyl, pyridazinyl, 1 ,2,4-triazinyl, 1,2,3-triazinyl, 1 ,3,5-triazinyl, pyrazolo[3,4-b]pyridinyl, cinnolinyl, pteridinyl, purinyl, 6,7- dihydro-5H-[1]pyrindinyl, benzo[b]thiophenyl, 5, 6, 7, δ-tetrahydro-quinolin-3-yl, benzoxazolyl, benzothiazolyl, benzisothiazolyl, benzisoxazolyl, benzimidazolyl, thianaphthenyl, isothianaphthenyl, benzofuranyl, isobenzofuranyl, isoindolyl, indolyl, indolizinyl, indazolyl, isoquinolyl, quinolyl, phthalazinyl, quinoxalinyl, quinazolinyl, and benzoxazinyl; and the like.
A "cycloalkyl" group as used herein, unless otherwise indicated, includes an organic radical derived from a monocyclic (C3-C10)cycloalkyl compound, by removal of a hydrogen' radical from a ring carbon of the cycloalkyl compound. A cycloalkyl group may be substituted by one or more substituents wherein, unless otherwise indicated, selection of each substituent is independent of selection of any other substituents, ahd perferably the number of substituents is between 0 and 3, more preferably between 0 and 2. It will be appreciated that the preferred number of substituents is determined in part by facility of synthesis. Representative cycloalkyl groups include cyclopropyl, cyclobutyl, cyclopentyl, cyclohexyl, cycloheptyl, cycloprόpenyl, cyclobutenyl, cyclopentenyl, cyclohexenyl, cycloheptenyl, 1,3- cyclobutadienyl, 1 ,3-cyclopentadienyl, 1,3-cyclohexadienyl, 1 ,4-cyclohexadienyl, 1 ,3- cycloheptadienyl, 1 ,4-cycloheptadienyl, 1 ,3,5-cycloheptatrienyl, bicyclo[3.2.1]octane, bicyclo [2.2.1] heptane, and the norborn-2-ene unsaturated form thereof. Thus, the term cycloalkyl also includes cycloalkenyl groups having one or two double bonds. •
A "heterocycloalkyl" group as used herein, unless otherwise indicated, includes an organic radical derived from a monocyclic 3-10-membered heterocycloalkyl compound by removal of a hydrogen radical from a ring atom of the heterocycloalkyl compound. A heterocycloalkyl group may be substituted by one or more substituents wherein, unless otherwise indicated, selection of each substituent is independent of selection of any other substituents, and perferably the number of substituents is between 0 and 3, more preferably between 0 and 2. It will be appreciated that the preferred number of substituents is determined in part by facility of synthesis. Representative heterocycloalkyl groups include pyrrolidinyl, tetrahydrofuranyl, dihydrofuranyl, tetrahydropyranyl, pyranyl, thiopyranyl, aziridinyl, oxiranyl, methylenedioxyl, chromenyl, isoxazolidinyl, 1 ,3-oxazolidin-3-yl, isothiazolidinyl, 1 ,3-thiazolidin-3-yl, 1 ,2-pyrazolidin-2-yl, 1 ,3-pyrazolidin-1-yl, piperidinyl, thiomorpholinyl, 1 ,2-tetrahydrothiazin-2-yl, 1 ,3-tetrahydrothiazin-3-yl, tetrahydrothiadiazinyl, morpholinyl, 1 ,2-tetrahydrodiazin-2-yl, 1,3-tetrahydrodiazin-1-yl, tetrahydroazepinyl, piperazinyl, and chromanyl.
In connection with the terms "alkyl", "aryl", "heteroaryl", "cycloalkyl" and "heterocycloalkyl", as herein defined, the term "optionally substituted" means that at least one chemically and pharmaceutically acceptable functional group may be bonded thereto. Such a functional group is selected from the group consisting of hydroxy, halo, amino, trifluoromethyl, carboxy, (CrC6)alkoxy-, (C1-C6JaCyIoXy-, (CrC6)alkylamino-, ((CrCeJalkyOaamino-, <Cr C6)acylamino-, cyano, nitro, (CrCeJalkyl-, (C2-C6)alkenyl-, (C2-C6)alkynyl-, cyano(CrC6)alkyl-, trifluoromethyKC-i-CeJalkyl-, nitro(C1-C6)alkyl-, (C1-C3)alkyl(monofluoroalkylene)(C1-C3)alkyl-, (C1-C3)alkyl(polyfluoroalkylene)(C1-C3)alkyl-, (CrCeJacylaminofCrCeJalkyl-, (CrC6)alkoxy(Ci- C6)acylamino-, amino(C1-C6)acyl-,
Figure imgf000011_0001
(CrC6)alkylamino(Cr C6)acyl-, ((C1-C6)alkyl)2amino(C1-C6)acyl-, (C3-C10)cycloalkyl(CrC6)alkyl-, (C6-C10)aryl(Ci- C6)alkoxy(CrC6)alkyl-, 5-10-membered heteroaryl(C1-C6)alkoxy(C1-C6)alkyl-, (C6- C10)arylsulfinyl -, (CrCeJalkylsulfonyKd-CeJalkyl-, (C6-C10)arylsulfonyl-, (C1-C6 alkyl)-(C6- C10)arylenesulfinyl -, (C1-C6 alkyl)-(C6-C10)arylenesulfonyl-, amino^-C^alkyl-, (C1- C6)alkylamino(CrC6)alkyl-, (Ci-C6)alkyl(difluoromethylene)-, (C1-C6)alkoxy(C1-C6)acyl-, (C6- C10)aryl-, 5-10-membered heteroaryl-, (Ce-CKjJaryKd-CeJalkyl-, 5-10-membered heteroaryKCrCeJalkyl-, (C6-C10)aryl(C6-C10)aryl-, (C6-C10)aryl(C6-C10)aryl(C1-C6)alkyl- (C3- C10)cycloalkyl-, 3-10-membered heterocycloalkyl-, 3-10-membered heterocycloalkyl(Cr C6)alkyl-, hydroxy(C2-C6)alkyl-, (CrC6)acyloxy(C2-C6)alkyl-, (CrC6)alkoxy(C2-C6)alkyl, (C1- C6)alkylthio(CrC6)alkyl-, (Ce-C^arylthio^rQOalkyl-, (C1-C6)alkylsulfinyl(C1-C6)alkyl-, (C6- C10)arylsulfinyl(C1-C6)alkyl-, (Ce-C^arylsulfonyl^-CeJalkyl-, ((C1-C6)alkyl)2amino(C1-C6)alkyl, (CrCeJalkyOS-IO-membered heteroaryl-, C1-C6 alkyl-CONH, wherein the C1-C6 alkyl may be substitituted with a 5-10-membered heteroaryl or with a C6-C10 aryl that may be unsubstituted or substituted with one or more C1-C6 alkyl, halo, C1-C6 alkoxy, or a combination thereof, C6- C10 aryl-CONH-, wherein the C6-C10 aryl may be unsubstituted or substituted with one or more C1-C6 alkyl, halo, C1-C6 alkoxy, or a combination thereof, wherein the 5-10-membered heteroaryl may be unsubstituted or substituted with one or more C1-C6 alkyl, halo, C1-C6 alkoxy, or a combination thereof, 5-10-membered heteroaryl-CONH-, wherein the 5-10- membered heteroaryl may be unsubstituted or substituted with one or more C1-C6 alkyl, halo, C1-C6 alkoxy, or a combination thereof, 3-10-membered heterocycloalkyl-CONH- wherein the 3-10-membered heterocycloalkyl may be unsubstituted or substituted with one or more Ci-C6 alkyl, halo, C1-C6 alkoxy, or a combination thereof, and is optionally fused to a C6-C10 arene, C3-C10 cycloalkyl-CONH- wherein the 3-10-membered heterocycloalkyl may be unsubstituted or substituted with one or more C1-C6 alkyl, halo, C1-C6 alkoxy, or a combination thereof, and is optionally fused to a C6-C10 arene, and a combination thereof.
Further aspects of the invention are described in accord with the Detailed Description of the Invention which follows directly. Detailed Description of the Invention
In one embodiment of the invention, Y5 is CH. In another embodiment of the invention, Y5 is N.
In another embodiment of the invention, Y1, Y2, Y3, Y4 are independently selected from CH, and CF. In another embodiment of the invention, one of Y1, Y2, Y3, and Y4 is CF and the remaining three of Y1, Y2, Y3, and Y4 are each CH.
In another embodiment of the invention, one R1 is a C3-Ci0 heterocycloalkyl, which is preferably selected from the group consisting of morpholinyl and aziridinyl.
In another embodiment of the invention, one R1 is a 5- to 9-membered heteroaryl, which is preferably selected from the group consisting of oxadiazolyl and tetrazolyl.
In another embodiment of the invention, R1 at each occurrence is independently, selected from H, optionally substituted C1-C8 alkyl, optionally substituted CrC6 alkoxy, halo, SO2NH2, SO2NHC1-C6 alkyl, SO2N(C1-C6 alkyl)2, CONHSO2C1-C6 aikyl, CONHSO2NH2, CONHSO2NHC1-C6 alkyl, CONHSO2N(C1-C6 alkyl)2, cyano, substituted 5- 10-membered heteroaryl, CONH2, R6NHCO, COR6, CO2R6, N(R6)2> NHCOR6, NR6COR6, CON(R6)2, and CONCO(R6J2. In an exemplary embodiment, at least one R1 is not H.
In another embodiment of the invention, no more than two of R2, R3, R4 and R5 are H.
In another embodiment of the invention,
Figure imgf000013_0001
is selected from the group consisting of (A)
Figure imgf000013_0002
wherein Y6 is CO, N, NR1, CHR1 or CR1; Y7 and Y8 are each independently N, NR1, CHR1 or CR1; and Y9 is CR1, CHR1, or (CHR1J2; and (B)
Figure imgf000013_0003
wherein
Y10 and Y11 are each independently CR1, CHR1, N or NR1; and Y12 is N, NR1, S or O. In structure (A), the dotted bonds indicate that the bond between Y6 and Y7, Y7 and Y8, and Y8 and Y9, respectively, may be independently single or double. Similarly, in (B), the dotted bonds indicate that the bond between Y10 and Y11, and Y11 and Y12, respectively, may be independently single or double.
It will be understood by one skilled in the art that the choice of groups that in the recitation "wherein a bond between two groups Z bonded to each other may be a single bond or a double bond", whether the bonds between adjacent Z groups are independently single bonds or double bonds may be determined in accordance with the valence, independently, of each of the Z groups. Similarly, the choice of groups Y6, Y7, Y81 Y9, Y10 Y11 and Y12, and whether the bonds between Y6 and Y7, Y7 and Y8, Y8 and Y9, Y10 and Y11, and Y11 and Y12 are independently single bonds or double bonds, may be determined in accordance with the valence, independently, of each of the groups Y6, Y7, Y8, Yg, Yio Yn and Y12. As an example, if Y6 is a divalent group such as CHR1, the bond to Y7 is a single bond; if it is a trivalent group such CR1, the bond to Y7 is a double bond.
In an exemplary embodiment, at least one of Y7 and Y8 of group {A) is CH.
In an exemplary embodiment of group (A), group (A) is
Figure imgf000014_0001
Exemplary compounds according to the invention include
6-(3',4'-Dimethyl-biphenyl-4-yl)-1-methyl-2,3-dihydro-1 H-imidazo[1 ,2-a]imidazole hydrobromide;
6-(3',4'-Dimethyl-biphenyl-4-yl)-1-methyl-1 H-imidazo[1 ,2-a]imidazole hydrobromide; 6-(3',4'-Dimethyl-biphenyl-4-yl)-2-methyl-imidazo[2,1 -b][1 ,3,4]thiadiazole;
6-Biphenyl-4-yl-1-methyl-1 H-imidazo[1 ,2-a]imidazole hydrochloride;
5-(3-Fluoro-3\4'-dimethyl-biphenyl-4-yl)-3-methyl-3H-imidazo[1 ,2-b][1 ,2,4]triazole;
6-(3-Fluoro-3',4'-dimethyl-biphenyl-4-yl)-1 -methyl-1 H-imidazo[1 ,2-a]imidazole;
5-(3-Fluoro-3',4'-dimethyl-biphenyl-4-yl)-2,3-dimethyl-3H-imidazo[1 ,2-b][1 ,2,4]triazole; 6-(3-Fluoro-3',4'-dimethyl-biphenyl-4-yl)-1 -methyl-1 H-imidazo[2,1-c][1,2,4]triazole;
2-(3-Fluoro-3',4'-dimethyl-biphenyl-4-yl)-5,6,7,8-tetrahydro-imidazo[1 ,2-a]pyridine hydrochloride;
2-(2-Fluoro-3',4'-dimethyl-biphenyl-4-yl)-5,6,7,8-tetrahydro-imidazo[1 ,2-a]pyridine hydrochloride; 6-(3',4'-Dimethyl-biphenyl-4-yl)-imidazo{2,1 -b]thiazole;
6-(3\4'-Dimethyl-biphenyl-4-yl)-imidazo[2,1-b][1 ,3,4]thiadiazole;
6-(3',4'-Dimethyl-biphenyl-4-yl)-3-methyl-imidazo[5,1-b]oxazole;
2-[6-(3',4I-Dimethyl-biphenyl-4-yl)-imidazo[1,2-a]imidazol-1-yl]-ethanol;
2-(3',4'-Dimethyl-biphenyl-4-yl)-6-methoxy-imidazo[1,2-b]pyridazine hydrobromide; 6-Chloro-2-(3',4l-dimethyl-biphenyl-4-yl)-imidazo[1 ,2-b]pyridazine;
2-(3-Fluoro-3',4'-dimethyl-biphenyl-4-yl)-imidazo[1 ,2-b]pyridazin-6-ylamine;
2-(3',4'-Dimethyl-biphenyl-4-yl)-8-fluoro-6H-imidazo[1 ,2-c]pyrimidin-5-one;
6-(3I,4'-Dimethyl-biphenyl-4-yl)-imidazo[1 ,2-b][1 ,2,4]triazine;
2-(3',4'-Dimethyl-biphenyl-4-yl)-6-methyl-7,8-dihydro-6H-imidazo[1 ,2-c]pyrimidin-5- one;
2-[2-(3',4'-Dimethyl-biphenyl-4-yl)-imidazo[1 ,2-b]pyridazin-7-yl]-propan-2-ol;
2-(3',4'-Dimethyl-biphenyl-4-yl)-imidazo[1 ,2-a]pyrimidin-7-ylamine;
2-(3',4'-Dimethyl-biphenyl-4-yl)-imidazo[1 ,2-a]pyridine-6-sulfonic acid amide; 2-[2-(3',4'-Dimethyl-biphenyl-4-yl)-imidazo[1,2-b]pyrida2in-6-yf]-propan-2-ol; 2-(3',4'-Dimethyl-biphenyl-4-yl)-imidazo[1,2-b]pyridazine; i-p-tS'^'-Dimethyl-biphenyl^-ylJ-imidazoti^-blpyridazin-T-ylJ-ethanol; 2-(3',4'-Dimethyl-biphenyl-4-yl)-imidazo[1 ,2-c]pyrimidin-7-ylamine; 2-(4I-lsopropyl-3I-methyl-biphenyl-4-yl)-5,6,7,8-tetrahydro-imidazo[1 ,2-a]pyridine hydrochloride;
2-(4'-Butyl-biphenyl-4-yl)-5,6,7,8-tetrahydro-imidazo[1 ,2-a]pyridine hydrochloride;
2-(3',4'-Dimethyl-biphenyl-4-yl)-5,6,7,8-tetrahydro-imidazo[1,2-a]pyridine hydrochloride; 2-(3'-Chloro-4l-methyl-biphenyl-4-yl)-5,6,7,8-tetrahydro-imidazo[1 ,2-a]pyridine hydrochloride; ■
2-(4'-Fluoro-3'-methyl-biphenyl-4-yl)-5,6,7,8-tetrahydro-imidazo[1 ,2-a]pyridine hydrochloride;
2-(4'-Vinyl-biphenyl-4-yl)-5,6,7,8-tetrahydro-imidazo[1 ,2-a]pyridine hydrochloride; 2-(4'-Trifluoromethyl-biphenyl-4-yl)-5,6,7,8-tetrahydro-imidazo[1 ,2-a]pyridine hydrochloride;
2-(4'-Methyl-biphenyl-4-yl)-5,6,7,8-tetrahydro-imidazo[1,2-a]pyri'dine hydrochloride;
2-(4'-Cyclopropyl-biphenyl-4-yl)-5,6,7,8-tetrahydro-imidazoi1,2-a]pyridine hydrochloride; 2-(4'-Ethyl-bipheπyl-4-yl)-5,6,7,8-tetrahydro-imidazo[1 ,2-a]pyridine hydrochloride;
2-(4'-lsopropyl-biphenyl-4-yl)-5,6,7,8-tetrahydro-imidazo[1 ,2-a]pyridine hydrochloride;
2-(4'-Propyl-biphenyl-4-yl)-5,6,7,8-tetrahydro-imidazo[1,2ra]pyridine hydrochloride;
2-(4'-Methoxymethyl-biphenyl-4-yl)-5,6,7,8-tetrahydro-imidazo[1 ,2-a]pyridine hydrochloride; 2-(4'-Methylsulfanylmethyl-biphenyl-4-yl)-5,6,7,8-tetrahydro-imidazo[1 ,2-a]pyridine hydrochloride;
2-(4'-tert-Butyl-biphenyl-4-yl)-5,6,7,8-tetrahydro-imidazo[1>2-a]pyridine hydrochloride;
2-(2'-Fluoro-4'>5l-dimethyl-biphenyl-4-yl)-5,6,7,8-tetrahydro-imidazo[1 ,2-a]pyridine hydrochloride; 2-(2'-Fluoro-4'-isopropyl-biphenyl-4-yl)-5,6,7,8-tetrahydro-imidazo[1 ,2-a]pyridine hydrochloride;
2-(3'-Ethyl-biphenyl-4-yl)-5,6,7,8-tetrahydro-imidazo[1 ,2-a]pyridine hydrochloride;
2-(4-lndan-5-yl-phenyl)-5,6,7>8-tetrahydro-imidazot1 ,2-a]pyridine;
2-(4-Benzo[1,3]dioxol-5-yl-phenyl)-5,6,7,8-tetrahydro-imidazo[1,2-a]pyridine hydrochloride;
2-(4'-Chloro-3'-methyl-biphenyl-4-yl)-5,6,7,8-tetrahydro-imidazo[1 ,2-a]pyridine hydrochloride; 2-(5'-Fluoro-3',4'-dimethyl-biphenyl-4-yl)-5,6,7,8-tetrahydro-imidazo[1 ,2-a]pyridine hydrochloride;
2-(3'-Methyl-biphenyl-4-yl)-5,6,7,8-tetrahydro-imida2o[1 ,2-a]pyridine hydrochloride
5-(3\4'-Dimethyl-biphenyl-4-yl)-2,3-dirnethyl-3H-imidazo[1 ,2-b][1 ,2,4]triazole; 5-(3\4'-Dimethyl-biphenyl-4-yl)-3-methyl-3H-imidazo[1 ,2-b][1 ,2,4]triazole;
2-(3-Fluoro-3',4'-dimethyl-biphenyl-4-yl)-5,6,7I8-tetrahydro-[1 ,2,4]triazolo[1 ,5- a]pyridine; ,,, , θ-tS'^'-Dimethyl-biphenyM-yO-i-methyl-IH-imidazop.i-clti ^^triazole;
2-(2l-Fluoro-4'-rnethyl-biphenyl-4-yl)-5,6,7,8-tetrahydro-imidazo[1 ,2-a]pyridine hydrochloride;
2-(3>-Methyl-4'-trifluoromethyl-biphenyl-4-yl)-5,6,7,8-tetrahydro-imidazo[1,2-a]pyridine;.
2-(4l-Methyl-3I-trifluoromethyl-biphenyl-4-yl)-5,6,7,8-tetrahydro-imidazo[1 ,2-a]pyridine;
2-(3',4l-Bis-trifluoromethyl-biphenyl-4-yl)-5,6,7,8-tetrahydro-imidazo[1,2-a]pyridine;
2-(3'-Fluoro-4'-methyl-biphenyl-4-yl)-5,6,7,8-tetrahydro-imidazo[1)2-a]pyridine hydrochloride;
2-(3',4'-Dimethyl-biphenyl-4-yl)-5,6,7,8-tetrahydro-[1 ,2,4]triazolo[1 ,5-a] pyridine;
2-(3',4'-Dimethyi-biphenyl-4-yl)-imidazo[1,2-a]pyridine-6-carboxylic acid, lithium salt;
N-[2-(3',4'-Dimethyl-biphenyl-4-yl)-imidazo[1 ,2-a]pyridine-6-carbonyl]- methanesulfonamide; N-[2-(3',4'-Dimethyl-biphenyl-4-yl)-imidazo[1 ,2-a]pyridine-6-carbonyl]- dimethylsulfonimide;
N-[2-(3',4'-Dimethyl-biphenyl-4-yl)-imidazo[1 ,2-a]pyridine-6-carbonyl]-sulfonimide;
2-[2-(3',4'-Dimethyl-biphenyl-4-yl)-imidazo[1,2-a]pyridin-6-yl]-propan-2-ol;
2-(3l,4l-Dimethyl-biphenyl-4-yl)-imidazo[1,2-a]pyridin-6-ylamine; 6-(3',4'-Dirnethyl-biphenyl-4-yl)-1-ethyl-1 H-imidazo[1 ,2-a]imidazole;
2-Biphenyl-4-yl-6-morpholin-4-yl-imidazo[1 ,2-a]pyridine;
(2-Biphenyl-4-yl-imidazo[1,2-a]pyridin-6-yl)-(2-methoxy-ethyl)-amine;
(2-Biphenyl-4-yl-imidazo[1 ,2-a]pyridin-6-yl)-(2,2-dimethoxy-ethyl)-methyl-amine;
6-Aziridin-1 -yl-2-biphenyl-4-yl-imidazo[1 ,2-a]pyridine; 2-Biphenyl-4-yl-7-morpholin-4-yl-imidazo[1 ,2-a]pyridine;
2-Biphenyl-4-yl-6-bromo-imidazo[1 ,2-a]pyridine;
6-Bromo-2-(3',4'-dimethyl-biphenyl-4-yl)-imidazo[1 ,2-a]pyridine;
2-Biphenyl-4-yl-imidazo[1 ,2-a]pyridine-6-carbonitrile;
2-(3',4'-Dimethyl-biphenyl-4-yl)-imidazo[1 ,2-a]pyridine-6-carbonitrile; 2-Biphenyl-4-yl-6-(1 H-tetrazol-5-yl)-imidazo[1 ,2-a]pyridine;
2-(3',4'-Dimethyl-biphenyl-4-yl)-6-(1 H-tetrazol-5-yl)-imidazo[1 ,2-a]pyridine;
2-[4-(2,3-Dihydro-benzo[1 ,4]dioxin-6-yl)-phenyl]-imidazo[1 ,2-a]pyridine; 2-(3-Fluoro-3',4'-dimethyl-biphenyl-4-yl)-imiclazo[1 ,2-a]pyridine; 2-(4-lsochroman-7-yl-phenyl)-imidazo[1 ,2-a]pyridine; 3-Ethyl-6-(4-imidazo[1 ,2-a]pyridin-2-yl-phenyl)-1 -methyl-1 H-indazole; 2-(3',4'-Dimethyl-biphenyl-4-yl)-imidazo[1 ,2-a]pyridine; 3-[2-(3',4'-Dimethyl-biphenyl-4-yl)-imidazo[1 ,2-a]pyridin-6-yl]-[1 ,2,4]oxadiazol-5-oI;
2-Biphenyl-4-yl-7-(1 H-tetrazol-5-yl)-imidazo[1 ,2-a]pyridine; 6-(3',4'-Dimethyl-biphenyl-4-yl)-2,3-dihydro-imidazo[2,1 -b]thiazole tosylate salt;
2-[6-(3\4'-Dimethyl-biphenyl-4-yl)-imidazo[2,1 -b)thiazol-3-yl]-ethanol tosylate salt; 2-Biphenyl-4-yl-7-ethyl-imidazo[1,2-a]pyridine; (2-Biphenyl-4-yl-imidazo[1 ,2-a]pyridin-7-yl)-methanol;
2-Biphenyl-4-yl-7-methoxymethyl-imidazo[1 ,2-a]pyridine; •
[2-(3',4'-Dimethyl-biphenyl-4-yl)-imidazo[1 ,2-a]pyridin-6-yl]-methanol; [2-(3',4'-Dimethyl-biphenyl-4-yl)-imidazo[1 ,2-a]pyridin-7-yl]-methanol; [2-(3',4'-Dimethyl-biphenyl-4-yl)-5,6,7,8-tetrahydro-imidazo[1 ,2-a]pyridin-7-yl]- methanol;
[2-(3',4'-Dimethyl-biphenyl-4-yl)-5,6,7,8-tetrahydro-imidazo[1,2-a]pyridin-6-yl]- methanol;
2-(3',4'-Dimethyl-biphenyl-4-yl)-imidazo[1 ,2-a]pyridine-6-carboxylic acid amide; C-p^S'^'-Dimethyl-biphenyl^-yO-δ.θJ.δ-tetrahydro-imidazoII^-aJpyridin-θ-yl]- methylamine;
N-[2-(3'>4'-Dimethyl-biphenyl-4-yl)-5,6,7,8-tetrahydro-imidazo[1>2-a]pyridin-6- ylmethylj-acetamide; . .
^^(S'^'-Dimethyl-biphenyl^-yO-δ.βJ.δ-tetrahydro-imidazoCI^-alpyridin-β- ylmethyl]-2-phenyl-acetamide; Benzo[b]thiophene-2-carboxylic acid f2-(3',4>-dimethyl-biphenyl-4-yl)-5,6,7,8- tetrahydro-imidazo[1 ,2-a]pyridin-6-ylmethyl]-amide;
N-p-fS'Λ'-Dimethyl-biphenyl^-ylJ-δ.ej.δ-tetrahydro-imidazoti^-alpyridin-e- ylmethyl]-propionamide;
N-[2-(3',4'-Dimethyl-biphenyl-4-yl)-5,6,7,8-tetrahydro-imidazo[1 ,2-a]pyridin-6- ylmethyl]-3-fluoro-benzamide;
N-[2-(3',4'-Dimethyl-biphenyl-4-yl)-5,6,7,8-tetrahydro-imidazo[1 ,2-a]pyridin-6- ylmethyl]-4-fluoro-benzamide;
N-[2-(3',4'-Dimethyl-biphenyl-4-yl)-5,6,7,8-tetrahydro-imidazo[1 ,2-a]pyridin-6- ylmethyl]-2-fluoro-benzamide; Hexanoic acid p-CS'^'-dimethyl-biphenyl^-yO-S.βJ.δ-tetrahydro-imidazofi ,2- a]pyridin-6-ylmethyl]-amide; 1 H-lndole-4-carboxylic acid [2-(3',4'-dimethyl-biphenyl-4-yl)-5,6,7,8-tetrahydro- imidazo[1 ,2-a]pyridin-6-ylmethyl]-amide; i-Methyl-I H-pyrrole-2-carboxylic acid [2-(3',4'-dimethyl-biphenyl-4-yl)-5,6,7,8- tetrahydro-imidazo[1 ,2-a]pyridin-6-ylmethyl]-amide; 2,5-Dimethyl-i H-pyrrole-3-carboxylic acid β-β'Λ'-dimethyl-biphenyM-ylJ-S.ej.δ- tetrahydro-imidazo[1 ,2-a]pyridin-6-ylmethyl]-amide;
3-Oxo-indarhi-carboxylic acid [2-(3',4'-dimethyl-biphenyl-4-yl^-5,6,7,8-tetrahydro- imidazo[1 ^-alpyridin-δ^-ylmethylj-amide;
1 H-lndole-3-carboxylic acid [2-(3',4'-dimethyl-biphenyl-4-yl)-5,6,7,8-tetrahydro- imidazo[1 ,2-a]pyridin-6-ylmethyl]-amide;
(R)-Chroman-2-carboxylic acid [2-(3',4'-dimethyl-biphenyl-4-yl)-5,6,7,8-tetrahydro-. imidazo[1 ,2-a]pyridin-6-ylmethyl]-amide;
1 H-lndole-5-carboxylic acid p^S'^'-dimethyl-biphenyl^-ylJ-S.β./.δ-tetrahydro- imidazo[1 ,2-a]pyridin-6-ylmethyl]-amide; Cycloheptanecarboxylic acid [2-(3',4'-dimethyl-biphenyl-4-yl)-5,6,7,8-tetrahydro- imidazo[1 ,2-a]pyridin-67ylmethyl]-amide;
1 H-Benzotriazple-5-carboxylic acid [2-(3',4'-dimethyl-biphenyl-4-yl)-5,6,7,8- tetrahydro-imidazo[1 ,2-a]pyridin-6-ylmethyl]-amide;
Cyclopentanecarboxylic acid β-β'^'-dimethyl-biphenyM-yO-S.δJ.δ-tetrahydro- imidazo[1 ,2-a]pyridin-6-ylmethyl]-amide;
Bicyclo[4.2.0]octa-1(6),2,4-triene-7-carboxylic acid {2-(31,4'-dimethyl-biphenyl-4-yl)- δ.βj.δ-tetrahydro-imidazoli^-ajpyridin-θ-ylmethylj-amide;
2-Oxo-thiazolidine-4-carboxylic acid {2-(3',41-dimethyl-biphenyl-4-yl)-5,6,7,8- tetrahydro-imidazo[1 ,2-a]pyridin-6-ylmethyl]-amide; (E)-Nr[2-(3',4'-Dimethyl-biphenyl-4-yl)-5,6,7,8-tetrahydro-imidazo[1 ,2-a]pyridin-6- ylmethyl]-3-(1H-indol-3-yl)-acrylamide;
N-[2-(3',4'-Dimethyl-biphenyl-4-yl)-5,6,7,8-tetrahydro-imidazo[1 ,2-a]pyridin-6- ylmethyl]-4-methyl-nicotinamide;
2-Cyclopent-1-enyl-N-[2-(3')4I-dimethyl-biphenyi-4-yl)-5,6,7,8-tetrahydro-imidazo[1 ,2- a]pyridin-6-ylmethyl]-acetamide;
N-[2-(3',4l-Dimethyl-biphenyl-4-yl)-5,6,7,8-tetrahydro-imidazo[1 ,2-a]pyridin-6- ylmethyl]-2-(1H-indol-3-yl)-acetamide;
N-[2-(3',4'-Dinnethyl-biphenyl-4-yl)-5,6,7,δ-tetrahydro-imidazo[1)2-a]pyridin-6- ylmethyl]-benzamide; Cyclohex-3-enecarboxylic acid ^-(S'^'-dimethyl-biphenyl^-yO-S.ΘJ.δ-tetrahydro- imidazo[1 ,2-a]pyridin-6-ylmethyl]-amide; 5-Phenyl-pentanoic acid ^-(S'^'-dimethyl-biphenyM-yO-S.δJ.δ-tetrahydrc- imidazo[1 ,2-a]pyridin-6-ylmethyl]-amide;
2-Benzo[b]thiophen-3-yl-N-I2-(3',4'-dimethyl-biphenyl-4-yl)-5,6,7,8-tetrahydro- imidazo[1 ,2-a]pyridin-6-ylmethyl]-acetamide; Tetrahydro-furan-3-carboxylic acid ^-(S'^'-dimethyl-biphenyM-ylJ-S.δJ.δ-tetrahydro- imidazo[1 ,2-a]pyridin-6-ylmethyl]-amide;
N-[2-(3',4'-Dirhethyl-biphenyl-4-yl)-5,6,7,8-tetrahydro-imidazo[1,2-a]pyridin-6- ylmethyl]-2-indan-2-yl-acetamide;
2-Cyclopentyl-N-[2-(3',4'-dimethyl-biphenyl-4-yl)-5,6,7,8-tetrahydro-imidazo[1 ,2- a]pyridin-6-ylmethyl]-acetamide;
2-Methyl-cyclopropanecarboxylic acid [2-{3\4'-dimethyl-b'iphenyl-4-yl)-5,6,7,8- tetrahydro-imidazo[1 ,2-a]pyridin-6-ylmethyl]-amide; '
N-[2-(3',4'-Dimethyl-biphenyl-4-yl)-5,6,7,8-tetrahydro-imidazo[1,2-a]pyridin-6- ylmethyl]-3-(1 H-indol-3-yl)-propionamide; N-[2-(3',4'-Dimethyl-biphenyl-4-yl)-5,6,7,8-tetrahydro-imidazo[1 ,2-a]pyridin-6- ylmethyl]-2-(1,1-dioxo-tetrahydro-thiophen-3-yl)-acetamide;
N-[2-(3',4'-Dimethyl-biphenyl-4-yl)-5,6,7,8-tetrahydro-imidazo[1,2-a]pyridin-6- ylmethyl]-2-methoxy-nicotinamide;
^-^-(S'^'-Dimethyl-biphenyl^-ylJ-S.ej.S-tetrahydro-imidazofi ^^pyridin-θ- ylmethyl]-3-phenyl-propionamide;
Thiophene-2-carboxylic acid ^-(S'^'-dimethyl-biphenyl^-ylJ-S.δJ.S-tetrahydro- imidazo[1 ,2-a]pyridin-6-ylmethyl]-amide;
Furan-2-carboxylic acid [2-(3',4'-dimethyl-biphenyl-4-yl)-5,6,7,8-tetrahydro- imidazo[1 ,2-a]pyridin-6-ylmethyl]-amide; N-[2-(3',4I-Dimethyl-biphenyl-4-yl)-5>6,7,8-tetrahydro-imidazo[1I2-a]pyridin-6- ylmethylj-nicotinamide;
. 1 H-lndazole-3-carboxylic acid [2-(3',4'-dimethyl-biphenyl-4-yl)-5,6,7,8-tetrahydro- imidazo[1 ,2-a]pyridin-6-ylmethyl]-amide;
5-Methyl-1 H-indole-2-carboxylic acid [2-(3',4'-dimethyl-biphenyl-4-yl)-5,6,7,8- tetrahydro-imidazo[1 ,2-a]pyridin-6-ylmethyl]-amide;
N-[2-(3',4t-Dimethyl-biphenyl-4-yl)-5,6,7,8-tetrahydro-imidazo[1 ,2-a]pyridin-6- ylmethyl]-3-indol-1-yl-propionamide;
6-Oxo-heptanoic. acid ^-(S'^'-dimethyl-biphenyl^-yO-S.ej.δ-tetrahydro-imidazoti ,2- a]pyridin-6-ylmethyl]-amide; Thiophene-3-carboxylic acid [2-(3',4'-dimethyl-biphenyl-4-yl)-5,6,7,8-tetrahydro- imidazo[1 ,2-a]pyridin-6-ylmethyl]-amide; 5-Methyl-pyrazine-2-carboxylic acid [2-(3',4'-dimethyl-biphenyl-4-yl)-5,6,7,8- tetrahydro-imidazo[1 ,2-a]pyridin-6-ylmethyl]-amide;
Cyclopropanecarboxylic acid [2-(3',4'-dimethyl-bipheηyl-4-yl)-5,6,7;8-tetrahydro- imidazoti ,2-a]pyridin-6-ylmethyl]-amide; N-[2-(3',4I-Dimethyl-biphenyl-4-yl)-5,6,7,8-tetrahydro-imidazo[1 ,2-a]pyridin-6- ylmethyl]-6-methyl-nicotiπamide; .
Cyclohex-1 -^necarboxylic acid [2-(3I,4'-dimethyl-biphenyl-4-yl)-5,6,7,8-tetrahydro- imidazo[1 ,2-a]pyridin-6-ylmethyl]-amide;
2-Cyclopropyl-N-[2-(3',4l-dimethyl-biphenyl-4-yl)-5,6,7>8-tetrahydro-imidazo[1,2- a]pyridin-6-ylmethyl]-acetamide;.
Cyclobutanecarboxylic acid [2-(3',4'-dimethyl-biphenyl-4-yl)-5,6,7,8-tetrahydro- imidazo[1 ,2-a]pyridin-6-ylmethyl]-amide;
4,5-Dichloro-isothiazole-3-carboxylic acid ,[2-(3',4'-dimethyl-biphenyl-4-yl)-5,6,7,8- tetrahydro-imidazo[1 ,2-a]pyridin-6-ylmethyl]-amide; N-[2-(3',4'-Dimethyl-biphenyl-4-yl)-5,6,7,8-tetrahydro-imidazo[1 ,2-a]pyridin-6- ylmethyl]-4-methyl-benzam ide;
(2,4-Dimethoxy-benzyl)-[2-(3',4'-dimethyl-biphenyl-4-yl)-imidazo[1 ,2-b]pyridazin-6-yl]- amine;
2-(3',4>-Dimethyl-biphenyl-4-yl)-imidazo[1 ,2-b]pyridazin-6-yl-hydrazine; . 2-(3',4'-Dimethyl-biphenyl-4-yl)-6-morpholin-4-yl-imidazo[1 ,2-b]pyridazine;
2-(3',4'-Dimethyl-biphenyl-4-yl)-6-piperidin-1-yl-imidazo[1,2-b]pyridazine;
2-(3',4'-Dimethyl-biphenyl-4-yl)-6-(4-methyl-piperazin-1-yl)-imidazo[1 ,2-b]pyridazine;
2-(3',4'-Dimethyl-biphenyl-4-yl)-imidazo[1 ,2-b]pyridazin-6-ylamine;
^^-(S'^'-Dimethyl-biphenyl^-ylJ-imidazoti^-blpyridazin-e-ylj-ethanol; . ^-(S'^'-Dimethyl-biphenyl^-yO-S-methyl-SH-imidazofi ,2-b][1 ,2,4]triazol-2-yl]- methanol;
2-[2-(3,4-Dimethyl-phenyl)-pyrimidin-5-yl]-imidazo[1 ,2-b]pyridazin-6-ylamine;
2-[6-(3>4-Dimethyl-phenyl)-pyridazin-3-yl]-imidazo[1 ,2-b]pyridazin-6-ylamine;
2-[2-(3rFluoro-3',4'-dimethyl-biphenyl-4-yl)-imidazo[1 ,2-b]pyridazin-7-yl]-propan-2-ol; C-IS-fS'^'-Dimethyl-biphenyl^-yO-S-methyl-SH-imidazofi ,2-b][1 ,2,4]triazol-2-yQ- methylamine;
N-fS-CS'^'-Dimethyl-biphenyl^-yO-S-methyl-SH-imidazoti ^-blCi ^^ltriazol^- ylmethyO-methanesulfonamide; i-Iδ^^'-Dimethyl-biphenyM-yO^-mθthyl^H-imidazoII .Σ-blli ^.^triazol^-yl]- ethanol;
2-[5-(3',4'-Dimethyl-biphenyl-4-yl)-3-methyl-3H-imidazo[1 ,2-b][1 ,2,4]triazol-2-yl]- propan-2-ol; 5-(3I,4I-Dimethyl-biphenyl-4-yl)-3-methyl-3H-imidazot1 ,2-b][1 ,2,4]triazole-2-carboxylic acid;
5-(3',4'-Dimethyl-biphenyl-4-yl)-3-methyl-3H-imidazo[1 ,2-b][1 ,2,4]triazole-2-carboxylic acid amide; and 5-(3',4l-Dimethyl-biphenyl-4-yl)-3-methyl-3H-imidazo[1 ,2-btf1 ,2,4]triazol-2-ylamine.
The compounds of the invention and some of the intermediates in the present invention may contain one or more asymmetric carbons. Pure stereochemically isomeric forms of said compounds and said intermediates can be obtained by the application of art- known procedures. For example, diastereoisomers can be separated by physical methods such as selective crystallization or chromatographic techniques, e.g. counter current distribution, liquid chromatography and the like methods. Enantiomers <ϊan be obtained from racemic mixtures by first converting said racemic mixtures with suitable resolving agents such as, for example, chiral acids, to mixtures of diastereomeric salts or compounds; then physically separating said mixtures of diastereomeric salts or compounds by, for example, selective crystallization or chromatographic techniques, e.g. liquid chromatography and the like methods; and finally converting said separated diastereomeric salts or compounds into the corresponding enantiomers.
Pure stereochemically isomeric forms of the compounds of the invention may also be obtained from the pure stereochemical forms of the appropriate intermediates and starting materials, provided that the intervening reactions occur stereospecifically. The pure and mixed stereochemically isomeric forms of the compounds of the invention are intended to be embraced within the scope of the present invention.
The compounds of the invention may operate by more than one mechanism of action, including those unrelated to the Complement cascade, and the utility of the present compounds in the practice of the invention, including for use in treating other disease states not mentioned herein, is not limited by any particular theory of operation or mechanism of action as described herein, or by those theories or mechanisms generally recognized by those skilled in the art.
One aspect of the present invention is a method of synthesizing the C3a antagonists described herein. The following reaction schemes are intended to illustrate the preparation of the antagonists of the present invention. It will be appreciated that certain groups represented by letters ("R" groups and the like) in the reaction scheme do not always correspond with similarly defined component groups of the Formula (I) compounds themselves, since certain functionalities of the reactants can be modified when the resulting products are formed. Exemplary compounds of the invention, where Y5 = CH, may be prepared using a variety of methods as outlined below in Schemes 1-4. Reaction schemes analogous to
Schemes 2-4 may also be used for the embodiments where Y5 = N. As shown in Scheme 1 , a compound of general formula I can be prepared by the reaction of a compound of general formula A1 with a compound of general formula B1 in the presence or absence of a base such as NaHCO3, K2CO3, tBuOK, NaOH, and Cs2CO3 in solvents such DMF, dioxane, and C1-C6 alkyl alcohols, or mixtures thereof, at temperatures ranging from ambient to the boiling point of said mixtures. For some examples an additional cyclization step may be necessary to close the . imidazole ring. In these examples, initial coupling may be performed using conditions exemplified above followed by filtration to isolate a salt intermediate that may be cyclized in acids such as polyphosphoric acid, concentrated HCI, concentrated HBr, or 0.1 M perchloric acid at temperatures ranging from ambient to the boiling point of said mixtures to provide compounds of general formula I.
Scheme 1
Figure imgf000022_0001
Compounds of general formulas A1 and B1 are commercially available or can be prepared by procedures that are well known to one skilled in the art of organic chemistry. Following the imidazole-ring formation, the R1 group may or may not be further manipulated to other functional groups by using standard methods known to those skilled in the art.
Another method of preparation for compounds of general formula I is shown in Scheme 2. Compounds of general formula I may be prepared from compounds of general formula C1 and compounds of general formula D1 in the presence of a catalyst such as dichloro[1 ,1'-bis(diphenylphosphino)ferrocene]palladium and a base such as Na2CO3 in solvents such as toluene, C1-C6 alkyl alcohols, H2O, or mixtures thereof, at temperatures ranging from ambient to the boiling point of said mixtures. A compound of general formula C1 may be prepared by coupling and cyclization of an alpha-haloketone with a 2- aminoheterocycle such as 2-aminopyridine using conditions exemplified in Scheme 1. The phenylboronic acids and esters of general formula D1 are commercially available or may be readily synthesized using methods known to those skilled in the art. The R1 group may or may not be further manipulated to other functional groups by using standard methods known to those skilled in the art.
Scheme 2:
Figure imgf000022_0002
C1 D1
X = Br (preferred), OTf, Cl, I R6 = H, alkyl Compounds of general formula I may also be prepared by the method of Scheme 3. Aryl bromides or triflates of general formula E1 may be treated with bis(pinacol)diborane in the presence of a catalyst such as dichloro[1 ,1'-bis(diphenylphosphino)ferrocene]palladium and a base such as KOAc in solvents such as DMF at temperatures ranging from ambient to refluxing for time periods ranging from 1-24 h followed by the addition of compounds of general formula C1, additional catalyst and base such as Na2CO3 with continued stirring at temperatures ranging from ambient to refluxing of said mixtures to provide compounds of general formula I. The R1 group may or may not be further manipulated to other functional groups by using standard methods known to those skilled in the art.
Scheme 3:
Figure imgf000023_0001
Compounds of general formula I may also be prepared by the method of Scheme 4. Compounds of general formula C1 may be converted into the corresponding boronic esters of general formula F1 using methods known to those skilled in the art, such as combining mixtures of compounds of general formula C1 with a catalyst such as dichloro[1 ,1'- bis(diphenylphosphino)ferrocene]palladium dichloromethane adduct, a ligand such as bis(diphenylphosphino)ferrocene, a base such as KOAc, and bis(pinacolato)diboron in solvents such DMSO or dioxane at temperatures ranging from ambient to refluxing of said mixtures. The resulting boronic esters may be optionally hydrolyzed to the boronic acid by using methods known to those skilled in the art such a treatment of the boronic esters with BBr3 in methylene chloride at low temperatures such as -78°C to provide boronic acids. Compounds of general formula I may be prepared by the reaction of compounds of general formula F1 with compounds of general formula E1 in the presence of a catalyst such as Pd(PPh3)4 and a base such as K3PO4 in solvents such as methanol, dioxane, water and combinations thereof at temperatures ranging from ambient temperature to the boiling points of said mixtures. The R1 group may or may not be further manipulated to other functional groups by using standard methods known to those skilled in the art. Scheme 4:
Figure imgf000024_0001
Another aspect of the present invention is a pharmaceutical composition comprising substantially enriched enantiomeric forms of the compound(s) of the present invention, or pharmaceutically acceptable addition salts thereof, and a pharmaceutically acceptable carrier. In certain embodiments these compositions may be formulated in unit dosage forms.
The compositions of the present invention are preferably non-pyrogenic, e.g., do not trigger elevation of a patient's body temperature by more than a clinically acceptable amount. Another aspect of the present invention is a pharmaceutical composition comprising a compound(s) of the present invention, or pharmaceutically acceptable addition salts thereof, and a pharmaceutically acceptable carrier. In certain embodiments these compositions may be formulated in unit dosage forms.
Plasticizers and stabilizing agents known in the art may be incorporated in the pharmaceutical compositions of the present invention. In certain embodiments, additives such as plasticizers and stabilizing agents are selected for their biocompatibility. In certain embodiments, the additives are lung surfactants, such as 1,2-dipalmitoylphosphatidylcholine
(DPPC) and L-α-phosphatidylcholine (PC).
A composition of this invention may further contain one or more adjuvant substances, such as fillers, thickening agents or the like. In certain embodiments, a subject composition includes an excipient. A particular excipient may be selected based on its melting point, solubility in a selected solvent (e.g., a solvent that dissolves the therapeutic agent), and the resulting characteristics of the microparticles.
Excipients may comprise a few percent, about 5%, 10%, 15%, 20%, 25%, 30%, 40%, 50%, or higher percentage of the subject compositions. Buffers, acids and bases may be incorporated in the subject compositions to adjust their pH. Agents to increase the diffusion distance of therapeutic may also be included.
The pharmaceutical compositions as described herein can be administered in various pharmaceutical formulations, depending on the disorder to be treated and the age, condition and body weight of the patient, as is well known in the art. For example, where the compounds are to be administered orally, they may be formulated as tablets, capsules, granules, powders or syrups; or for parenteral administration, they may be formulated as injections (intravenous, intramuscular or subcutaneous), drop infusion preparations or suppositories. For application by the ophthalmic mucous membrane route, they may be formulated as eye-drops or eye ointments. These formulations can be prepared by conventional means, and, if desired, the active ingredient may be mixed with any conventional additive, such as an excipient, a binder, a disintegrating agent, a lubricant, a solubilizing agent, a suspension aid, an emulsifying agent or a coating agent. Although the dosage will vary depending on the symptoms, age and body weight of the patient, the nature and severity of the disorder to be treated or prevented, the route of administration and the form of the drug, in general, a daily dosage of from 0.01 to 2000 mg of the compound is recommended for an adult human patient, and this may be administereά in a single dose or in divided doses.
The precise time of administration and/or amount of therapeutic agent that will yield the most effective results in terms of efficacy of treatment in a given patient will depend upon the activity, pharmacokinetics, and bioavailability of a particular compound, physiological condition of the patient (including age, sex, disease type and stage, general physical condition, responsiveness to a given dosage and type of medication), route of administration, etc. However, the above guidelines can be used as the basis for fine-tuning the treatment, e.g., determining the optimum time and/or amount of administration, which will require no more than routine experimentation consisting of monitoring the subject and adjusting the dosage and/or timing.
The phrase "pharmaceutically acceptable" is employed herein to refer to those therapeutic agents, compositions, and/or dosage forms which are, within the scope of sound medical judgment, suitable for use in contact with the tissues of human beings and animals without excessive toxicity, irritation, allergic response, or other problems or complications, commensurate with a reasonable benefit/risk ratio.
The phrase "pharmaceutically acceptable carrier" as used herein means a pharmaceutically acceptable material, composition or vehicle, such as a liquid or solid filler, diluent; excipient, solvent or encapsulating material, involved in carrying or transporting the subject chemical from one organ, or portion of the body, to another organ, or portion of the body. Each carrier must be "acceptable" in the sense of being compatible with the other ingredients of the formulation and not injurious to the patient. Some examples of materials which can serve as pharmaceutically acceptable carriers include: (1 ) sugars, such as lactose, glucose and sucrose; (2) starches, such as corn starch and potato starch; (3) cellulose, and its derivatives; such as sodium carboxymethyl cellulose, ethyl cellulose and cellulose acetate; (4) powdered tragacanth; (5) malt; (6) gelatin; (7) talc; (8) excipients, such as cocoa butter and suppository waxes; (9) oils, such as peanut oil, cottonseed oil, safflower oil, sesame oil, olive oil, corn oil and|,soybean oil; (10) glycols, such as propylene glycol; (11) polyols, such as glycerin, sorbitol, mannitol and polyethylene glycol; (12) esters, such as ethyl oleate and ethyl laurate;. (13) agar; (14) buffering agents, such as magnesium hydroxide and aluminum hydroxide; (15) alginic acid; (16) pyrogeri-free water; (17) isotonic saline; (18) Ringer's solution; (19) ethyl alcohol; (20) phosphate buffer solutions; and (21) other non-toxic compatible substances employed in pharmaceutical formulations.
The term "pharmaceutically acceptable salts" refers to the relatively non-toxic, inorganic and organic acid addition salts of the therapeutic agents. These salts can be prepared in situ during the final isolation and purification of the therapeutic agent, or by separately reacting a purified therapeutic agent in its free base form with a suitable organic or inorganic acid, and isolating the salt thus formed. Representative salts include the hydrobromide, hydrochloride, sulfate, bisulfate, phosphate, nitrate, acetate, valerate, oleate, palmitate, stearate, laurate, benzoate, lactate, phosphate, tosylate, citrate, maleate, fumarate, succinate, tartrate, naphthylate, mesylate, besylate, glucoheptonate, lactobionate, and laurylsulphonate salts and the like. (See, for example, Berge et al. (1977) "Pharmaceutical Salts", J. Pharm. Sci. 66:1-19)
In other cases, the compounds useful in the methods of the present invention may contain one or more acidic functional groups and, thus, are capable of forming pharmaceutically acceptable salts with pharmaceutically acceptable bases. The term "pharmaceutically acceptable salts" in these instances refers to the relatively non-toxic, inorganic or organic base addition salts of the compounds of the present invention. These salts can likewise be prepared in situ during the final isolation and purification of the therapeutic agent, or by separately reacting the purified therapeutic agent in its free acid form with a suitable base, such as the hydroxide, carbonate or bicarbonate of a pharmaceutically acceptable metal cation, with ammonia, or with a pharmaceutically acceptable organic primary, secondary or tertiary amine. Representative alkali or alkaline earth salts include the lithium, sodium, potassium, calcium, magnesium, and aluminum salts and the like. Representative organic amines useful for the formation of base addition salts include ethylamine, diethylamide, ethylenediamine, ethanolamine, diethanolamine, piperazine and the like (see, for example, Berge et al., supra). When the therapeutic agent of the present invention is administered as pharmaceuticals, to humans and animals, they can be given per se or as a pharmaceutical composition containing, for example, 0.1 to 99.5% (more preferably, 0.5 to 90%) of active ingredient in combination with a pharmaceutically acceptable carrier. Another aspect of the present invention is a method for preventing excessive
Complement activation in a patient comprising administering to said patient, a therapeutically effective amount of the compounds of the present invention.
Another aspect of the present invention is a method for treating or preventing Complement-mediated tissue damage in a patient comprising administering to said patient, a therapeutically effective amount of a compound(s) of the present invention.
Another aspect of the present invention is a method for treating diseases characterized by chronic Complement activation comprising administering to a patient a therapeutically effective amount of a compound(s) of the present invention. In certain embodiments, these diseases are selected from neurodegenerative diseases and pulmonary diseases. The neurodegenerative diseases may be ones which affect the central nervous system (CNS) or the peripheral nervous system (PNS).
For example,, the present compounds can be used in a method for treating Complement mediated nerve myeline loss (demyelination). Myelin provides the axonal "insulation" essential for efficient neural signal conduction in both the CNS and PNS. The cell which produces myelin in the CNS is the oligodendrocyte whereas the myelin-producing cell in the PNS is the Schwann cell. Diseases characterized by demyelination occur both in the CNS and the PNS. Accordingly, one aspect of the present invention is a method of treating Complement mediated demyelination of nerves in the CNS or in the PNS comprising administration of a therapeutically effective amount of a compound(s) of the present invention. In the CNS, the most common demyelination disease is multiple sclerosis (MS).
While it is now widely accepted that MS is an autoimmune disease of the nervous system driven by infiltrating T cells specific for CNS antigens (See Prineas et al., (1987), Lab. Invest., 38, 409-421), there is evidence to suggest that Complement and other inflammation- mediating substances might be involved in myelin damage in MS. (See Yam et al., (1980), Clin. Immunol. Immunopathol., 17, 492-505; Mollenes et al., (1987), J. Neurol. ScL, 78, 17-28; Compston et al., (1989), Neuropathol. Appl. Neurobiol., 15, 307-316) Accordingly, one aspect of the present invention is a method of treating MS comprising administration of a therapeutically effective amount of a compound(s) of the present invention.
In the PNS, several neuropathies, including, Gulliain-Barre syndrome (GBS) and Miller-Fisher syndrome (MFS) are characterized by the presence of inflammation and extensive demyelination. The majority of GBS patients have serum IgM antibodies against Schwann cells and/or PNS mylelin which can , in vitro, efficiently activate the Complement cascade. (See Koski et al., (1986), Ann. Neurol., 19, 573-577; Koski et al, (1990), Ann. Neurol,, 27, S44-S47) Nyland et al., have shown that GBS serum or purified antibody causes Complement-dependent demyelination in peripheral nerve cultures. {See Nylaind et al., Acta Neurol. Scand., 58, 35-34) Moreover, it has been shown that C activation products (C3a, C5a, terminal C complex) are found in the CSF, plasma, and peripheral nerves of GBS patients. (See Hartung et al., (1987), 37, 1006-1009; Koski et al., (1987), J. Clin. Invest, 80. 1492-1497; Hays et al., (1988), J. Neuroimmuneol. 18, 231-244). Accordingly, one aspect of the present invention is a method of treating GBS or MFS comprising administration of a therapeutically effective amount of a compound(s) of the present invention. IgM monoclonal gammopathy and peripheral neuropathy constitute other instances of
PNS diseases which are associated with (aberrant) Complement activation. (See Monaco et al., (1990, Peripheral neuropathy is a condition common in later stage (Type I, or Type II) diabetic patients. Accordingly, one aspect of the present invention is a method of treating IgM monoclonal gammopathy and peripheral neuropathy comprising administration of a therapeutically effective amount of a compound(s) of the present invention.
Another aspect of the present invention is a method of treating neuromuscular diseases wherein Complement is implicated, comprising administering to a patient a therapeutically effective amount of a compound(s) of the present invention. An example of such neuromuscular disease is myasthenia gravis. (See Asghar SS. Pasch MC, Frontiers in Bioscience. 5:E63-81 , 2000 Sep 1.]
Another aspect of the present invention is a method for treating Alzheimer's disease comprising administering to a patient a therapeutically effective amount of a compound(s) of the present invention. The pathological hallmark of Alzheimer's disease (AD) is the senile plaque, a proteinaceous extracellular deposit composed primarily of an amyloidogenic peptide termed R-protein, and which is surrounded by dystrophic neurites. Senile plaques are the focus of a robust and chronic inflammatory response mounted by microglia, the brain's endogenous macrophage. Eikenbloom et al. disclose Complement activation in amyloid plaques in Alzheimer's dementia. (See Eikelenboom, P., Hack, CE. et al., 1989. Virchows Archiy B - Cell Pathology Including Molecular Pathology 56, 259- 26; Eikelenboom, P., Stam, F.C., (1982) Acta Neuropathology, 57, 239-242; see also Itagaki, S., Akiyama, H. et al., (1994), Brain Research, 645, 78-84; McGeer, P.L., Walker, D.G. et al., (1995), Abstracts of Papers of the American Chemical Society 210, 247, MEDI; McGeer, P.L., Akiyama, H. et al., (1989), Neuroscience Letters 107, 341-346; Pouplardbarthelaix, A., Dubas, F.et al., (1986), Neuropathology and Applied Neurobiology, 12, 609-610; Veerhuis, R., Janssen, I. et al., (1998a), Molecular Immunology 35, 312; Webster, S., Lue, LF. et al., (1997b), Neurobiology of Aging 18, 415-421; Zhan, S.S., Veerhuis, R. et al., (1994),.Neurodegeneration 3, 111- 117; see also references cited in Gasque et al., (2000), lmmunopharmacology 49, 171- 186). lmplication of Complement activation in Huntington's disease has been disclosed. (See Morgan, B. P., Gasque, P. et al., (1997), immunopharmacology 38, 43-50, Morgan, B.P., Gasque, P., (1996), Immunology Today 17, 461-466, Morgan, B.P., Gasque, P., (1997), Clinical and Experimental Immunology 107, 1-7) Another aspect of the present invention is a method for treating Huntington's disease
(HD) comprising administering to a patient a therapeutically effective amount of a compound(s) of the .present invention. Huntington's disease (HD) is an autosomal dominant inherited neurodegenerative disease characterized by the onset in mid-life of chorea, dementia, personality disturbance and inexorable progression to death. Singhrao et al. have reported significant presence of Complement factors C1q, C4, C3, iC3b-neoepitope and C9- neoepitope in HD striatum, neurons, myelin and astrocytes. (See Singhrao et al., (1999), Exper. Neurolo., 159, 362-376)
Another aspect of the present invention is a method for treating Pick's disease (PD) comprising administering to a patient a therapeutically effective amount of a compound(s) of the present invention. PD is a neurodegenerative disorder, the histological hallmarks of which is the Pick body, a dense, amorphous body which is strongly stained for tau protein and ubiquitin. Neuronal loss and astrocyte proliferation occur in the areas of disease which appear to be restricted to the frontal and temporal lobes. Yasuhura et al. has shown that Complement in implicated in Pick's dfsease. (See Yasuhura et al., (1994), Brain Res., 652, 346-349).
Another aspect of the present invention is a method for treating asthma comprising administering to a patient a therapeutically effective amount of a compound(s) of the present invention. Asthma is a disease that affects approximately 10% of the population. The overall annual prevalence of cases has increased by 42% in the past decade, and despite the availability of more potent and selective therapy, the annual incidence of asthma mortality has risen by 40% over this same time period. Asthma is an allergenic reaction toward an inhaled antigen, characterized by a strong bronchoconstriction and edema formation with subsequent cell infiltration into the lung parenchyma and alveoli, mainly lymphocytes and eosinophils. Although IgE mediated histamine release is generally regarded as the major pathophysiological pathway for asthma, other non-lgE mediated mechanisms also contribute to the disease. A major candidate in that respect is the C3a analphylatoxin. Other Complement mediated pulmonary disorders include hypersensitivity pneumonites," and anaphylaxis. (See Regal, J., (1997), Immunopharmacology, 38, 17-25)
Another aspect of the present invention is a method for treating or preventing a selected from sepsis, adult respiratory distress syndrome, nephrites, graft rejection, myocardial ischemia/reperfusion injury, and intestinal ischemia/reperfusion injury, comprising administering to a patient a therapeutically effective amount of a compound(s) of the present invention. Lipton et al., in U.S. Patent No. 6,503,947 discloses attenuation of cerebral ischemia and reperfusion injury by administrating a Complement inhibitor.
Pharmaceutical Compositions and Their Use
The pharmaceutical compositions of the present invention comprise any one or more of the above-described compounds, or a pharmaceutically acceptable salt thereof, together with a pharmaceutically acceptable carrier in accordance with the properties and expected performance of such a carrier, as is well-known in the art.
The dosage and dose rate of the compounds identified in the present invention effective for treating or preventing a disease or condition exhibiting, caused by or relating to amyloid formation, or a disease or condition caused by, exhibiting or relating to the activities of microglia or cells of macrophage lineage, will depend on a variety of factors, such as the nature of the inhibitor, the size of the patient, the goal of the treatment, the nature of the pathology to be treated, the specific pharmaceutical composition used, and the observations and conclusions of the treating physician. For example, where the dosage form is oral, e.g., a tablet or capsule, suitable dosage levels may be between about 0.1 μg/kg and about 50.0 mg/kg body weight per day, preferably between about 1.0 μg/kg and about 5.0 mg/kg body Weight per day, more preferably between about 10.0 //g/kg and about 1.0 mg/kg of body weight per day, and most preferably between about 20.0 //g/kg and about 0.5 mg/kg of body weight per day of the active ingredient.
Using representative body weights of 10 kg and 100 kg in order to illustrate the range of daily aerosolized topical dosages that might be used as described above, suitable dosage levels of a compound identified in the present invention will be between about 1.0-10.0 μg and 500.0-5000.0 mg per day, preferably between about 5.0-50.0 μg and 5.0-50.0 mg per day, more preferably between about 100.0-1000.0 μg and 10.0-100.0 mg per day, and most preferably between about 200.0-2000.0 μg and about 5.0-50.0 mg per day of the active ingredient. These ranges of dosage amounts represent total dosage amounts of the active ingredient per day for a given patient. The number of times per day that a dose is administered will depend upon such pharmacological and pharmacokinetic factors as the half- life of the active ingredient, which reflects its rate of catabolism and clearance, as well as the minimal and optimal blood plasma or other body fluid levels of said active ingredient attained in the patient that are required for therapeutic efficacy.
Numerous other factors must also be considered in deciding upon the number of doses per day and the amount of active ingredient per dose that will be administered. Not the least important of such other factors is the individual response of the patient being treated. Thus, for example, where the active ingredient is administered topically via aerosol inhalation into the lungs, from one to four doses consisting of acuations of a dispensing device, i.e., "puffs" of an inhaler, will be administered each day, each dose containing from about 50.0 μg to about 10.0 mg of active ingredient.
Additional detailed information is as follows.
The Drug Substance Pharmaceutically acceptable salts of the compounds of formula I include the acid addition and base salts thereof.
Suitable acid, addition salts are formed from acids which form non-toxic salts.
Examples include the acetate, adipate, aspartate, benzoate, besylate, bicarbonate/carbonate, bisulphate/sulphate, borate, camsylate, citrate, cyclamate, edisylate, esylate, formate, fumarate, gluceptate, gluconate, glucuronate, hexafluorophosphate, hibenzate, hydrochloride/chloride, hydrobromide/bromide, hydroiodide/iodide, isethionate, lactate, malate, maleate, malonate, mesylate, methylsulphate, naphthylate, 2-napsylate, nicotinate, nitrate, orotate, oxalate, palmitate, pamoate, phosphate/hydrogen phosphate/dihydrogen phosphate, pyroglutamate, saccharate, stearate, succinate, tannate, tartrate, tosylate, trifluoroacetate and xiήofoate salts.
Suitable base salts are formed from bases which form non-toxic salts. Examples include the aluminium, arginine, benzathine, calcium, choline, diethylamine, diolamine, glycine, lysine, magnesium, meglumine, olamine, potassium, sodium, trorhethamine and zinc salts. Hemisalts of acids and bases may also be formed, for example, hemisulphate and hemicalcium salts. For a review on suitable salts, see Handbook of Pharmaceutical Salts: Properties, Selection, and Use by Stahl and Wermuth (Wiley-VCH, 2002). Pharmaceutically acceptable salts of compounds of formula I, for example, may be prepared by one or more of three methods:
(i) by reacting the compound of formula I with the desired acid or base; (ii) by removing an acid- or base-labile protecting group from a suitable precursor of the compound of formula I or by ring-opening a suitable cyclic precursor, for example, a lactone or lactam, using the desired acid or base; or
(iii) by converting one salt of the compound of formula I to another by reaction with an appropriate acid or base or by means of a suitable ion exchange column. All three reactions are typically carried out in solution. The resulting salt may precipitate out and be collected by filtration or may be recovered by evaporation of the solvent. The degree of ionisation in the resulting salt may vary from completely ionised to almost non-ionised.
The compounds of the invention may exist in a continuum of solid states ranging from fully amorphous to fully crystalline. The term 'amorphous' refers to a state in which the material lacks long range order at the molecular level and, depending upon temperature, may exhibit the physical properties of a solid or a liquid. Typically such materials do not give distinctive X-ray diffraction patterns and, while exhibiting the properties of a solid, are more formally described as a liquid. Upon heating, a change from solid to liquid properties occurs which is characterised by a change of state, typically second order ('glass transition'). The term 'crystalline' refers to a solid phase in which the material has a regular ordered internal structure at the molecular level and gives a distinctive X-ray diffraction pattern with defined peaks. Such materials when heated sufficiently will also exhibit the properties of a liquid, but the change from solid to liquid is characterised by a phase change, typically first order
('melting point').
The compounds of the invention may also exist in unsolvated and solvated forms. The term 'solvate' is used herein to describe a molecular complex comprising the compound of the invention and one or more pharmaceutically acceptable solvent molecules, for example, ethanol. The term 'hydrate' is employed when said solvent is water. A currently accepted classification system for organic hydrates is one that defines isolated site, channel, or metal-ion coordinated hydrates - see Polymorphism in Pharmaceutical Solids by K. - R. Morris (Ed. H. G. Brittain, Marcel Dekker, 1995). Isolated site hydrates are ones in which the water molecules are isolated from direct contact with each other by intervening organic molecules. In channel hydrates, the water molecules lie in lattice channels where they are next to other water molecules. In metal-ion coordinated hydrates, the water molecules are bonded to the metal ion. When the solvent or water is tightly bound, the complex will have a well-defined stoichiometry independent of humidity. When, however, the solvent or water is weakly bound, as in channel solvates and hygroscopic compounds, the water/solvent content will be dependent on humidity and drying conditions. In such cases, noή-stoichiometry will be the norm. Also included within the scope of the invention are multi-component complexes (other than salts and solvates) wherein the drug and at least one other component are present in stoichiometric or non-stoichiometric amounts. Complexes of this type include clathrates (drug- host inclusion complexes) and co-crystals. The latter are typically defined as crystalline complexes of neutral molecular constituents which are bound together through non-covalent interactions, but could also be a complex of a neutral molecule with a salt. Co-crystals may be prepared by melt crystallisation, by recrystallisation from solvents, or by physically grinding the components together - see Chem Commun, 17, 1889-1896, by O. Almarsson and M. J. Zaworotko (2004). For a general review of multi-component complexes, see J Pharm Sci, 64 (8), 1269-1288, by Haleblian (August 1975). The compounds of the invention may also exist in a mesomorphic state (mesophase or liquid crystal) when subjected to suitable conditions. The mesomorphic state is intermediate between the true crystalline state and the true liquid state (either melt or solution). Mesomorphism arising as the result of a change in temperature is described as 'thermotropic' and that resulting from the addition of a second component, such as water or another solvent, is described as 'lyotropic'. Compounds that have the potential to form lyotropic mesophases are described as 'amphiphilic' and consist of molecules which possess an ionic (such as -COCTNa+, -COCTK+, or -SO3"Na+) or non-ionic (such as -N'N+(CH3)3) polar head group.r For more information, see Crystals and the Polarizing Microscope by N. H. Hartshorne and A. SJuart, 4th Edition (Edward Arnold, 1970).
Hereinafter alj references to compounds of formula I include references to salts, solvates, multi-component complexes and liquid crystals thereof and to solvates, multi- component complexes and liquid crystals of salts thereof. The compounds of the invention include compounds of formula I as hereinbefore defined, including all polymorphs and crystal habits thereof, prodrugs and isomers thereof (including optical, geometric and tautomeric isomers) as hereinafter defined and isotopically-labeled compounds of formula I.
As indicated, so-called 'prodrugs' of the compounds of formula I are also within the scope of the invention. Thus certain derivatives of compounds of formula I which may have little or no pharmacological activity themselves can, when administered into or onto the body, be converted into compounds of formula I having the desired activity, for example, by hydrolytic cleavage. Such derivatives are referred to as 'prodrugs'. Further information on the use of prodrugs may be found in Pro-drugs as Novel Delivery Systems. Vol. 14, ACS Symposium Series (T. Higuchi and W. Stella) and Bioreversible Carriers in Drug Design.
Pergamon. Press, 1987 (Ed. E. B. Roche, American Pharmaceutical Association).
Prodrugs in accordance with the invention can, for example, be produced by replacing appropriate functionalities present in the compounds of formula I with certain moieties known to those skilled in the art as 'pro-moieties' as described, for example, in Design of Prodrugs by H. Bundgaard (Elsevier, 1985). Some examples of prodrugs in accordance with the invention include:
(i) where the compound of formula I contains a carboxylic acid functionality (- COOH), an ester thereof, for example, a compound wherein the hydrogen of the carboxylic acid functionality of the compound of formula (I) is replaced by (CrC8)alkyl; (ii) where the compound of formula I contains an alcohol functionality (-OH), an ether thereof, for example, a compound wherein the hydrogen of the alcohol functionality of the compound of formula I is replaced by (CrC6)alkanoyloxymethyl; and
(iii) where the compound of formula I contains a primary or secondary amino functionality (-NH2 or -NHR where R ≠ H), an amide thereof, for example, a compound wherein, as the case may be, one or both hydrogens of the amino functionality of the compound of formula I is/are replaced by (CrC10)alkanoyl. Further examples of replacement groups in accordance with the foregoing examples and examples of other prodrug types may be found in the aforementioned references. Moreover, certain compounds of formula I may themselves act as prodrugs of other compounds of formula I. Also included within the scope of the invention are metabolites of compounds of formula I, that is, compounds formed in vivo upon administration of the drug. Some examples of metabolites in accordance with the invention include:
(i) where the compound of formula I contains a methyl group, an hydroxymethyl derivative thereof (-CH3 -> -CH2OH); (ii) where the compound of formula I contains an alkoxy group, an hydroxy derivative thereof (-OR -> -OH); i
(iii) where the compound of formula I contains a tertiary amino group, a secondary amino derivative thereof (-NR1R2 -> -NHR1 or -NHR2);
(iv) where the compound of formula I contains a secondary amino group, a primary derivative thereof (-NHR1 -> -NH2);
(v) where the compound of formula I contains a phenyl moiety, a phenol derivative thereof (-Ph -> -PhOH); and
(vi) where the compound of formula I contains an amide group, a carboxylic acid derivative thereof (-CONH2 -> COOH). Compounds of formula I containing one or more asymmetric carbon, atoms can exist as two or more stereoisomers. Where a compound of formula I contains an alkenyl or alkenylene group, geometric cis/trans (or ZIE) isomers are possible. Where structural isomers are interconvertible via a low energy barrier, tautomeric isomerism ('tautomerism') can occur. This can take the form of proton tautomerism in compounds of formula I containing, for example, an imino, keto, or oxime group, or so-called valence tautomerism in compounds which contain an aromatic moiety. It follows that a single compound may exhibit more than one type of isomerism.
Included within the scope of the present invention are all stereoisomers, geometric isomers and tautomeric forms of the compounds of formula I, including compounds exhibiting more than one type of isomerism, and mixtures of one or more thereof. Also included are acid addition or base salts wherein the counterion is optically active, for example, d-lactate or l-lysine, or racemic, for example, dl-tartrate or dl-arginine.
Cis/trans isomers may be separated by conventional techniques well known to those skilled in the art, for example, chromatography and fractional crystallisation. Conventional techniques for the preparation/isolation of individual enantiomers include chiral synthesis from a suitable optically pure precursor or resolution of the racemate W
-34-
(or the racemate of a salt or derivative) using, for example, chiral high pressure liquid chromatography (HPLC).
Alternatively, the racemate (or a racemic precursor) may be reacted with a suitable optically active compound, for example, an alcohol, or, in the case where the compound of formula I contains an acidic or basic moiety, a base or acid such as 1-phenylethylamine or tartaric acid. , The resulting diastereomeric mixture may be separated by chromatography and/or fractional crystallization and one or both of the diastereoisomers converted to the corresponding pure enantiomer(s) by means well known to a skilled persoh.
Chiral compounds of the invention (and chiral precursors thereof) may be obtained in enantiomerically-enriched form using chromatography, typically HPLC, on an asymmetric resin with a mobile phase consisting of a hydrocarbon, typically heptane or hexane, containing from 0 to 50% by volume of isopropanol, typically from 2% to 20%, and from 0 to 5% by volume of an alkylamine, typically 0.1% diethylamine. Concentration of the eluate affords the enriched mixture. When any racemate crystallizes, crystals of two different types are possible. The first type is the racemic compound (true racemate) referred to above wherein one homogeneous form of crystal is produced containing both enantiomers in equimolar amounts. The second type is the racemic mixture or conglomerate wherein two forms of crystal are produced in equimolar amounts each comprising a single enantiomer. . While both of the crystal forms present in a racemic mixture have identical physical properties, they may have different physical properties compared to the true racemate. Racemic mixtures may be separated by conventional techniques known to those skilled in the art - see, for example, Stereochemistry of Organic Compounds by E. L. Eliel and S. H. Wilen (Wiley, 1994). The present invention includes all pharmaceutically acceptable isotopically-labelled compounds of formula I wherein one or more atoms are replaced by atoms having the same atomic number, but an atomic mass or mass number different from the atomic mass or mass number which predominates in nature.
Examples of isotopes suitable for inclusion in the compounds of the invention include isotopes of hydrogen, such as2H and3H, carbon, such as11C,13C and14C, chlorine, such as Cl, fluorine, such as F, iodine, such as I and I, nitrogen, such as N and N1 oxygen, such as150,17O and18O, phosphorus, such as32P, and sulphur, such as35S.
Certain isotopically-labelled compounds of formula I, for example, those incorporating a radioactive isotope, are useful in drug and/or substrate tissue distribution studies. The radioactive isotopes tritium, i.e.3H, and carbon-14, i.e.14C, are particularly useful for this purpose in view of their ease of incorporation and ready means of detection. Substitution with heavier isotopes such as deuterium, i.e.2H, may afford certain therapeutic advantages resulting from greater metabolic stability, for example, increased in vivo half-life or reduced dosage requirements, and hence may be preferred in some circumstances. Substitution with positron emitting isotopes, such as11C,18F,15O and13N, can be useful in Positron Emission Topography (PET) studies for examining substrate receptor occupancy.Similarly, substitution with123I can be useful for Single Photon Emission Computed Tomography (SPECT) studies.
Isotopically-labeled compounds of formula I can generally be prepared by conventional techniques known to those skilled in the art or by processes analogous to those described in the accompanying Examples and Preparations using an appropriate isotopically- labeled reagent in place of the non-labeled reagent previously employed. •
Pharmaceutically acceptable solvates in accordance with the invention include those wherein the solvent of crystallization may be isotopically substituted, e.g. D2O, d6-acetone, d6- DMSO. Also within the scope of the invention are intermediate compounds as hereinbefore defined, all salts, solvates and complexes thereof and all solvates and complexes of salts thereof as defined hereinbefore for compounds of formula I. The invention includes all polymorphs of the aforementioned species and crystal habits thereof.
When preparing compounds of formula I in accordance with the invention, it is open to a person skilled in the art to routinely select the form of compound of formula Il which provides the best combination of features for this purpose. Such features include the melting point, solubility, processability and yield of the intermediate form and the resulting ease with which the product may be purified on isolation.
The Drug Product The compounds of formula I should be assessed for their biopharmaceutical properties, such as solubility and solution stability (across pH), permeability, etc., in order to select the most appropriate dosage form and route of administration for treatment of the proposed indication. Compounds of the invention intended for pharmaceutical use may be administered as crystalline or amorphous products. They may be obtained, for example, as solid plugs, powders, or films by methods such as precipitation, crystallization, freeze drying, or spray drying, or evaporative drying. Microwave or radio frequency drying may be used for this purpose.
They may be administered alone or in combination with one or more other compounds of the invention or in combination with one or more other drugs (or as any combination thereof). Generally, they lbut will be administered as a formulation in association with one or more pharmaceutically acceptable excipients. The term 'excipient' is used herein to describe any ingredient other than the compound(s) of the invention. The choice of excipient will to a large extent depend on factors such as the particular mode of administration, the effect of the excipient on solubility and stability, and the nature of the dosage form. Pharmaceutical compositions suitable for the delivery of compounds of the present invention and methods for their preparation will be readily apparent to those skilled in the art. Such compositions and methods for their preparation may be found, for example, in Remington's Pharmaceutical Sciences. 19th Edition (Mack Publishing Company, 1995).v , Oral Administration
The compounds of the invention may be administered orally. Oral administration may involve swallowing, so that the compound enters the gastrointestinal tract, and/or buccal, lingual, or sublingual administration by which the compound enters the blood stream directly from the mouth. Formulations suitable for oral administration include solid, semi-solid and liquid systems such as tablets; soft or hard capsules containing multi- or nano-particulates, liquids, or powders; lozenges (including liquid-filled); chews; gels; fast dispersing dosage forms; films; ovules; sprays; and and buccal/mucoadhesive patches. Liquid formulations include suspensions, solutions, syrups and elixirs. Such formulations may be employed as fillers in soft or hard capsules (made, for example, from gelatin or hydroxypropylmethylcellulose) and typically comprise a carrier, for example, water, ethanol, polyethylene glycol, propylene glycol, methylcellulose, or a suitable oil, and one or more emulsifying agents and/or suspending agents. Liquid formulations may also be prepared by the reconstitution of a solid, for example, from a sachet. The compounds of the invention may also be used in -fast-dissolving, fast-disintegrating dosage forms such as those described in Expert Opinion in Therapeutic Patents, ϋ (6), 981-986, by Liang and Chen (2001).
For tablet dosage forms, depending on dose, the drug may make up from 1 weight % to 80 weight % of the dosage form, more typically from 5 weight % to 60 weight % of the dosage form. In addition to the drug, tablets generally contain a disintegrant. Examples of disintegrants include sodium starch glycolate, sodium carboxymethyl cellulose, calcium carboxymethyl cellulose, croscarmellose sodium, crospovidone, polyvinylpyrrolidone, methyl cellulose, microcrystalline cellulose, lower alkyl-substituted hydroxypropyl cellulose, starch, pregelatinised starch and sodium alginate. Generally, the disintegrant will comprise from 1 weight % to 25 weight %, preferably from 5 weight % to 20 weight % of the dosage form. Binders are generally used to impart cohesive qualities to a tablet formulation. Suitable binders include microcrystalline cellulose, gelatin, sugars, polyethylene glycol, natural and synthetic gums, polyvinylpyrrolidone, pregelatinised starch, hydroxypropyl cellulose and hydroxypropyl methylcellulose. Tablets may also contain diluents, such as lactose (monohydrate, spray-dried monohydrate, anhydrous and the like), mannitol, xylitol, dextrose, sucrose, sorbitol, microcrystalline cellulose, starch and dibasic calcium phosphate dihydrate. Tablets may also optionally comprise surface active agents, such as sodium lauryl sulfate and polysorbate 80, and glidants such as silicon dioxide and talc. When present, surface active agents may comprise from 0.2 weight % to 5 weight % of the tablet, and glidants may comprise from 0.2 weight % to 1 weight % of the tablet. Tablets also generally contain lubricants such as magnesium stearate, calcium stearate, zinc stearate, sodium stearyl fumarate, and mixtures of magnesium stearate with sodium lauryl sulphate. Lubricants generally comprise from 0.25 weight % to 10 weight %, preferably from 0.5 weight % to 3 weight % of the tablet., Other possible ingredients include anti-oxidants, colourants, flavouring agents, preservatives and taste-masking agents. Exemplary tablets contain up to about 80% drug, from about 10 weight % to about 90 weight % binder, from about 0 weight % to about 85 weight % diluent, from about 2 weight % to about 10 weight % disintegrant, and from about 0.25 weight % to about 10 weight % lubricant. Tablet blends may be compressed directly or by roller to form tablets. Tablet blends or portions of blends may alternatively be wet-, dry-, or melt-granulated, melt congealed, or extruded before tabletting. The final formulation may comprise one or more layers and may be coated or uncoated; it may even be encapsulated. The formulation of tablets is discussed in Pharmaceutical Dosage Forms: Tablets. Vol. 1, by H. Lieberman and L. Lachman (Marcel Dekker, New York, 1980).
Consumable oral films for human or veterinary use are typically pliable water-soluble or water-swellable thin film dosage forms which may be rapidly dissolving or mucoadhesive and typically comprise a compound of formula I, a film-forming polymer, a binder, a solvent, a humectant, a plasticiser, a stabiliser or emulsifier, a viscosity-modifying agent and a solvent. Some components of the formulation may perform more than one function.
The compound of formula I may be water-soluble or insoluble. A water-soluble compound typically comprises from 1 weight % to 80 weight %, more typically from 20 weight % to 50 weight %, of the solutes. Less soluble compounds may comprise a greater proportion of the composition, typically up to 88 weight % of the solutes. Alternatively, the compound of formula I may be in the form of multiparticulate beads. The film-forming polymer may be selected from natural polysaccharides, proteins, or synthetic hydrocolloids and is typically present in the range 0.01 to 99 weight %, more typically in the range 30 to 80 weight %. Other possible ingredients include anti-oxidants, colorants, flavourings and flavour enhancers, preservatives, salivary stimulating agents, cooling agents, co-solvents (including oils), emollients, bulking agents, anti-foaming agents, surfactants and taste-masking agents.
Films in accordance with the invention are typically prepared by evaporative drying of thin aqueous films coated onto a peelable backing support or paper. This may be done in a drying oven or tunnel, typically a combined coater dryer, or by freeze-drying or vacuuming. Solid formulations for oral administration may be formulated to be immediate and/or modified controlled release.. Controlled release formulations include Modified release formulations include delayed-, sustained-, pulsed-, controlled-, or targeted and programmed release. Suitable modified release formulations for the purposes of the invention are described in US Patent No. 6,106,864. Details of other suitable release technologies such as high energy dispersions and osmotic and coated particles are to be found in Pharmaceutical Technology On-line. 25(2), 1-14, by Verma et al (2001). The use of chewing gum to achieve controlled release is described in WO 00/35298. '
Additional Aspects of Drug Administration The compounds of the invention may also be administered directly into the blood stream, into muscle, or into an internal organ. Suitable means for parenteral administration include .intravenous, intraarterial, intraperitoneal, intrathecal, intraventricular, intraurethral, intrastemal, intracranial, intramuscular, intrasynovial and subcutaneous. Suitable devices for parenteral administration include needle (including microneedle) injectors, needle-free injectors and infusion techniques.
An example of a needle free injection is a powderjet to provide an example of suitable technologies).formulations are typically aqueous solutions which may contain excipients such as salts, carbohydrates and buffering agents (preferably, to a pH of from 3 to 9), but, for some applications, they may be more suitably formulated as a sterile non-aqueous solution or as powdered a dried form to be used in conjunction with a suitable vehicle such as sterile, pyrogen-free water.
The preparation of parenteral formulations under sterile conditions, for example, by lyophilisation, may readily be accomplished using standard pharmaceutical techniques well known to those skilled in the art. The solubility of compounds of formula I used in the preparation of parenteral solutions may be increased by the use of appropriate formulation techniques, such as the incorporation of solubility-enhancing agents.Formulations for use with needle-free injection administration comprise a compound of the invention in powdered form in conjunction with a suitable vehicle such as sterile, pyogen-free water.
Formulations for parenteral administration may be formulated to be immediate and/or modified controlled release. Controlled release formulations include Modified release formulations include delayed-, sustained-, pulsed-, controlled-, or tragettedtargeted and programmed release. Thus compounds of the invention may be formulated as a suspension or as a solid, semi-solid, or thixotropic liquid for administration as an implanted depot providing modified release of the active compound. Examples of such formulations include drug-coated stents and semi-solids and suspensions comprising drug-loaded poly(dl-lactic- coglycolic)acid (PGLA) microspheres. The compounds of the invention may also be administered topically, (intra)dermally, or transdermal^ to the skin or mucosa. Typical formulations for this purpose tio include gels, hydrogels, lotions, solutions, creams, ointments, dusting powders, dressings, foams, films, skin patches, wafers, implants, sponges, fibres, bandages and microemulsions. Liposomes may also be used. Typical carriers include alcohol, water, mineral oil, liquid petrolatum, white petrolatum, glycerin, polyethylene glycol and propylene glycol. Penetration enhancers may be incorporated - see, for example, J Pharm Sci, 88 (10), 955-958, by Finnin and Morgan (October 1999). " .
Other means of topical administration include delivery by electroporation, iontophoresis, phonophoresis, sonophoresis and microneedle or needle-free (e.g. Powderject™, Bioject™, etc.) injection .Topical administration may alsoi be achieved using a patch, such as a transdernal iontophoretic patch. Formulations for topical administration may be formulated to be immediate and/or modified controlled release.. Controlled release formulations include Modified release formulations include delayed-, sustained-, pulsed-, controlled-, or tragettedtargeted and programmed release.
The compounds of the invention can also be administered intranasally or by inhalation, typically in the form of a dry powder (either alone, as a mixture, for example, in a dry blend with lactose, or as a mixed component particle, for example, mixed with phospholipids, such as phosphatidylcholine) from a dry powder inhaler, as an aerosol spray from a pressurised container, pump, spray, atomiser (preferably an, atomiser using electrohydrodynamics to produce a fine mist), or nebuliser, with or without the use of a suitable propellant, such as 1 ,1,1,2-tetrafluoroethane or 1 ,1 ,1 ,2,3,3,3-heptafluoropropane, or as nasal drops. For intranasal use, the powder may comprise a bioadhesive agent, for example, chitosan or cyclodextrin. The pressurised container, pump, spray, atomizer, or nebuliser contains a solution or suspension of the compound(s) of the invention comprising, for example, ethanol, aqueous ethanol, or a suitable alternative agent for dispersing, solubilising, or extending release of the active, a propellant(s) as solvent and an optional surfactant, such as sorbitan trioleate, oleic acid, or an oligolactic acid.
Prior to use in a dry powder or suspension formulation, the drug product is micronised to a size suitable for delivery by inhalation (typically less than 5 microns). This may be achieved by any appropriate comminuting method, such as spiral jet milling, fluid bed jet milling, supercritical fluid processing to form nanoparticles, high pressure homogenisation, or spray drying.
Capsules (made, for example, from gelatin or hydroxypropylmethylcellulose), blisters and cartridges for use in an inhaler or insufflator may be formulated to contain a powder mix of the compound of the invention, a suitable powder base such as lactose or starch and a performance modifier such as l-leucine, mannitol, or magnesium stearate. The lactose may be anhydrous or in the form of the monohydrate, preferably the latter. Other suitable excipients include dextran, glucose, maltose, sorbitol, xylitol, fructose, sucrose and trehalose.
A suitable solution formulation for use in an atomiser using electrohydrodynamics to produce a fine mist may contain from 1//g to 20mg of the compound of the invention per actuation and the actuation volume may vary from 1μl to 100//I. A typical formulation may comprise a compound of formula I, propylene glycol, sterile water, ethanol and sodium chloride. Alternative ^solvents which may be used instead of propylene glycol include glycerol and polyethylene glycol.
Suitable flavours, such as menthol and levomenthol, or sweeteners, such as saccharin or saccharin sodium, may be added to those formulations of the invention intended for inhaled/intranasal administration.
Formulations for inhaled/intranasal administration may be formulated to be immediate and/or modified controlled release using, for example, PGLA.. Controlled release formulations include Modified release formulations include delayed-, sustained-, pulsed-, controlled-, or tragettedtargeted and programmed release.
In the case of dry powder inhalers and aerosols, the dosage unit is determined by means of a valve which delivers a metered amount. Units in accordance with the invention are typically arranged to administer a metered dose or "puff' containing the compound of formula I. The overall daily dose will typically be in the range 50 μg to 2000 mg which may be administered in a single dose or, more usually, as divided doses throughout the day.
The compounds of the invention may also be combined with soluble macromolecular entities, such as cyclodextrin and suitable derivatives thereof or polyethylene glycol- containing polymers, in order to improve their solubility, dissolution rate, taste-masking, bioavailability and/or stability for use in any of the aforementioned modes of administration. Drug-cyclodextrin complexes, for example, are found to be generally useful for most dosage forms and administration routes. Both inclusion and non-inclusion complexes may be used.
As an alternative to direct complexation with the drug, the cyclodextrin may be used as an auxiliary additive, i.e. as a carrier, diluent, or solubiliser. Most commonly used for these purposes are alpha-, beta- and gamma-cyclodextrins, examples of which may be found in International Patent Applications Nos. WO 91/11172, WO 94/02518 and WO 98/55148.
Inasmuch as it may desirable to administer a combination of active compounds, for example, for the purpose of treating a particular disease or condition, it is within the scope of the present invention that two or more pharmaceutical compositions, at least one of which contains a compound in accordance with the invention, may conveniently be combined in the form of a kit suitable for coadministration of the compositions. Thus the kit of the invention comprises two or more separate pharmaceutical compositions, at least one of which contains a compound of formula I in accordance with the invention, and means for separately retaining said compositions, such as a container, divided bottle, or divided foil packet. An example of such a kit is the familiar blister pack used for the packaging of tablets, capsules and the like.
The kit of the invention is particularly suitable for administering different dosage forms, for example, oral and parenteral, for administering the separate compositions at different dosage intervals, or for titrating the separate compositions against one another. To assist compliance, the kit typically comprises directions for administration and may be provided with a so-called memory aid.
For administration to human patients, the total daily dose of the compounds of the invention is typically in the range 0.001 mg to 2000 mg depending, of course, on the mode of administration. These dosages are based on an average human subject having a weight of about 60kg to 70kg. The physician will readily be able to determine doses for subjects whose weight falls outside this range, such as infants and the elderly. '
In regard of the present specification, all patents and publications cited herein are incorporated by reference, as if fully set forth. IC50 values are given at the beginning of each example below.
EXAMPLES:
Example 1 (C3a ICsn = 90 nM)
6-(3',4'-Dimethyl-biphenyl-4-yl)-1-methyl-2.3-dihvdro-1H-imidazori ,2-alimidazole hvdrobromide To a solution of 1-methyl-imidazolidin-2-ylideneamine (180 mg, 1.00 mmol) in DMF (2 mL) was added potassium tert butoxide (112 mg, 1.00 mmol) and the resulting reaction stirred for 20 min. The product of Preparation 1 (303 mg, 1.00 mmol) was added and the reaction placed in a 4O0C oil bath for 90 min. After cooling to room temperature, the resulting suspension was filtered and the filtrate then poured slowly into 25 mL of rapidly stirring «ther. After isolating the tan solid by vacuum filtration, it was diluted with concentrated HBr (3 mL) and heated to 1200C for 30 min. After cooling to room temperature the residue was recrystallized from acetonitrile to afford 53 mg of the title compound, mp 292-2940C.1H NMR (CDCI3) δ 7.75 J = 8.3 Hz, 2H), 7.66 (s,1H), 7.65 (d, J = 8.3 Hz, 2H), 7.49 (d, J = 1.7 Hz, 1H), 7.42 (dd, J = 7.9, 1.7 Hz, 1 H), 7.21 (d, J = 7.9 Hz, 1 H), 4.22 (t, J = 8.4 Hz, 2H), 4.02 (t, J = 8.4 Hz, 2H), 3.04 (s, 3H), 2.27 (s, 3H), 2.23 (s, 3H). Anal. CaIc. for C20H21N3(HBr): C, 62.51 ; H, 5.77; N, 10.93. Found: C, 62.15; H, 5.78; N, 10.87.
Example 2 (C3a ICgn = 52 nM)
6-(3'.4'-Dimethyl-biphenyl-4-yl)-1 -methyl-1 H-imidazori ,2-alimidazole hvdrobromide
Prepared by the method of Example 1 but with 1 -methyl-1 H-imidazol-2-ylamine. Mp sinters 1270C decomposed by1480C. Anal. CaIc. for C20H19N3(HBr): C, 62.83; H, 5.27; N, 10.99. Found: C, 62.66; H, 5.46; N, 10.69. Example 3 (C3a ICgn = 57 nM)
6-(3',4'-Dimethyl-biphenyl-4-yl)-2-methyl-imidazo|2,1-biri.3.4piadia2ole
Prepared by the method of Example 1 , but in ethanol with 5-methyl-[1 ,3,4]thiadiazol- 2-ylamine and the addition of sodium ethoxide (4 hours at 720C) and cyclization in polyphosphoric acid at 9O0C. mp 169-1720C. Anal. CaIc. for C19H17N3S(0.2 H2O): C, 70.65; H, 5.43; N, 13.01. Found: C1 70.97; H, 5.28; N, 13.08.
Example 4 (C3a ICfin = 22 nM)
6-Biphenyl-4-yl-1-methyl-1 H-imidazoH .2-a]imidazole hydrochloride Also prepared by the method of Example 1 , but substituting 2-bromo-(1-biphenyl-4- yl)-ethanone and cyclized in concentrated hydrochloric acid. Anal. CaIc. for
C18H15N3(HCI)(0.75 H2O): C, 66.87; H, 5.46; N, 13.00. Found: C, 66.-67; H, 5.42; N, 12.90. Example 5 ■
5-(3-Fluoro-3'.4'-dimethyl-biphenyl-4-yl)-3-methyl-3H-imidazof1,2-b1f1.2.41triazole Also prepared by the method of Example 1, but substituting 2-bromo-(3-fluoro-3',4'- dimethyl-biphenyl-4-yl)-ethanone in ethanol with sodium ethoxide and cyclized. in polyphosphoric acid at 8O0C. mp 179-1840C. Example 6 (C3a ICgn = 21 nM)
6-f3-Fluoro-3'.4'-dimethyl-biphenyl-4-yl)-1-methyl-1H-imidazori .2-alimidazole Also prepared by the method of example 1 , but substituting 2-bromo-(3-fluoro-3',4'- dimethyl-biphenyl-4-yl)-ethanone in ethanol with sodium ethoxide and cyclized in polyphosphoric acid at 800C. mp 164-17O0C. Anal. CaIc. for C20H18FN3(O-S H2O): C, 73.15; H,
5.83; N, 12.80. Found: C, 73.04; H, 5.90; N, 11.67. Example 7 (C3a IC52 = 48 nM)
5-(3-Fluoro-3'.4'-dimethyl-biphenyl-4-yl)-2.3-dimethyl-3H-imidazof1.2-b1f1.2.4Hriazole Also prepared by the method of Example 1, but substituting 2-bromo-(3-fluoro-3',4'- dimethyl-biphenyl-4-yl)-ethanone in ethanol with sodium ethoxide and cyclized in 48% HBR heated to reflux, mp 206-2150C. Anal. CaIc. for C20H19FN4: C1 71.84; H, 5.73; N, 16.75.
Found: C, 71.74; H, 5.75; N, 16.77.
Example 8 (C3a ICgn = 156 nM) 6-(3-Fluoro-3'.4'-dimethyl-biphenyl-4-yl)-1-methyl-1H-imidazor2.1-ciπ .2.41triazole
Also prepared by this method, but substituting 2-bromo-(3-fluoro-3',4'-dimethyl- biphenyl-4-yl)-ethanone in ethanol with sodium ethoxide and cyclized in 0.1 M perchloric acid in acetic acid heated to reflux, mp 182-1870C. Anal. CaIc. for C19H17FN4(0.25 H2O): C,
70.25; H, 5.43; N, 17.25. Found: C, 70.69; H, 5.20; N1 16.82. Example 9 (C3a I Cg2 = 34 nM)
2-(3-Fluoro-3',4'-dimethyl-biphenyl-4-yl)-5.6,7.8-tetrahvdro-imidazof1.2-alpyridine hydrochloride
To 2-iminopiperdine hydrochloride (0.80 gm, 6.0 mmol) in ethanol (5 mL) was added 1.00 mL 6N NaOH followed by 2-bromo-1-(2-fluoro-3\4'-dimethyl-biphenyl-4-yl)τethanone (3.00 mmol)., After 30 min, the reaction was concentrated to a thick oil, diluted with concentrated HCI and, heated in a 950C oil bath overnight. The title compound was isolated after recrystallization from benzene/cyclohexane to give a solid, mp 273:280°C. Anal. CaIc. for C2iH2iFN2(HCI)(0.25 H2O): C, 69.80; H, 6.28; N, 7.75. Found: C, 70.13; H, 6.43; N, 7.75. Example 10 (C3a ICsn = 46 nM)
2-(2-Fluoro-3',4'-dimethyl-biphenyl-4-yl)-5,6,7,8-tetrahvdro-imidazof1 ,2-aipyridine hydrochloride Also prepared by the method of example 9, but cyclized in concentrated hydrochloric acid without final neutralization. mp 270-2850C. Anal. CaIc. for C21H21FN2(HCI)(0.25 H2O): C, 69.80; H, 6.28; N, 7.75. Found: C1 69.70; H, 6.34; N, 7.80. Example 11 (C3a ICsn = 36 nM)
6-(3',4'-Dimethyl-biphenyl-4-yl)-imidazof2,1-b1thiazole
Also prepared by the method of example 9 but utilizing ethanol as the alkylation solvent and polyphosphoric acid at 800C for cyclization. mp 150-1560C. Anal. CaIc. for C19H16N2S(0.2 H2O): C, 74.09; H, 5.37; N, 9.09. Found: C, 74.40; H, 5.10; N, 9.18. Example 12 (C3a ICsn = 70 nM)
6-(3'.4'-Dimeth yl-biphenyl-4-yl)-imidazor2,1 -bin , 3,41th iadiazole
Also prepared by the method of example 9 but utilizing ethanol as the alkylation solvent and polyphosphoric acid at 800C for cyclization. mp 180-1830C. -
Example 13 (C3a ICsn = 112 nM) 6-(3',4'-Dimethyl-biphenyl-4-yl)-3-methyl-imidazoF5,1-b1oxazole
Also prepared by the method of example 9 but utilizing ethanol as the alkylation solvent and polyphosphoric acid at 800C for cyclization. mp 162-1660C. Anal. CaIc. for C20H18FN2O(0.25 H2O): C1 78.28; H, 6.08; N, 9.13. Found: C, 78.27; H, 6.17: N, 8.95.
Example 14 (C3a ICsn = 285 nM) 2-r6-(3',4'-Dimethyl-biphenyl-4-yl)-imidazof 1 ,2-a1imidazol-1 -yll-ethanol
Also prepared by the method of example 9 but utilizing ethanol as the alkylation solvent and utilizing 2.5 molar equivalents of sodium bicarbonate in ethanol for cyclization instead of concentrated HCI. mp 170-1800C (decomp). Anal. CaIc. for C21H21N3O: C, 76.11 ; H, 6.39; N, 12.68. Found: C, 76.59; H, 6.39; N, 12.60. Example 15 (C3a ICm = 12 nM)
2-(3',4'-Dimethyl-biphenyl-4-vπ-imidazoπ .2-bipyridazin-6-ylamine To a solution of (2,4-dimethoxy-benzylH2-(3\4'-dimethyl-biphenyl-4-yl)-imidazo[1,2- b]pyridazin-6-yl]-amine (1.00 g, 2.16 mmol) in methylenechloride (20 mL) was added trifluoroacetic acid (7 mL). After 1 h, the reaction was concentrated and then shaken with methylenechloride (20 mL) and saturated sodium bicarbonate solution (10 mL) and then filtered to afford the title compound as a white solid. This material was then diluted in a 1 :1 mixture of methylenechloride/methanol and HCI gas was bubbled through until no more was absorbed. The solution was filtered through a size M glass frit and then concentrated. After recrystallization from methanol, the hydrochloride salt of the title compound was collected as yellow needles; mp >300°C (decomp).1H NMR <d6-DMSO) δ 8.75 (s, 1 M), 8.05 (d, 2H), 8.00 (d, 1 H), 7.81 (d, 2H), 7.53 (s, 1H), 7.4β (d, 1 H), 7.20 (d, 1H), 7.14 (d{ 1 H), 7.2 (br s, 1 H), 2.28 (s, 3H), 2.24 <s, 3H); MS (Cl): 315 (MH+). Anal. CaIc, for C20H18N4(HCI): C, 68.47; H, 5.46, N, 15.97. Found: C, 68.76, H, 5.41 , N, 16.05. Example 16 (C3a ICm = 150 nM)
2-f3'.4'-Dimethyl-biphenyl-4-yl)-6-methoxy-imidazof1.2-blpyridazine hvdrobromide
To a solution of 2-bromo-1-(3',4'-dimethyl-biphenyl-4-yl)-ethanone (300 mg, 0.99 mmol) and ethanol (5 mL) was added 3-methoxy-6-aminopyridazine (130 mg, 1.04 mmol) and the reaction was then heated to reflux overnight. After cooling to room temperature, the resulting solid was collected by vacuum filtration. Following a recystallization from ethanol, the title compound was isolated as white needles.1H NMR (d6-DMSO) δ 8.85 (s, 1 H), 8.12 (d, J =
9.8 Hz, 1H), 8.01 (d, J = 7.1 Hz, 2H), 7.75 (d, J = 7.1 Hz1 2H), 7.51 (s,, 1 H), 7.44 (d, J = 7.7
Hz, 1 H), 7.21 (d, J = 7.7 Hz, 1H), 7.10 (d, J = 9.8 Hz, 1 H), 3.97 (s, 3H), 2.28 <s, 3H), 2.24 <s,
3H). Anal. CaIc. for C2iH19N3O(HBr)(0.5 H2O): C, 60.15; H, 5.05; N, 10.02. Found: C, 60.27; H, 5.13; N, 10.01.
Example 17 (C3a ICm = 240 nM)
6-Chloro-2-(3',4'-dimethyl-biphenyl-4-yl)-imidazoπ ,2-b1pyridazine Also prepared by the method of example 16 except recrystallization from 2- methoxyethanol gave yellow needles, mp 222-2230C. Anal. CaIc. for C20H16CIN3(0.33 H2O): C, 70.69; H, 4.75; N, 12.36. Found: C, 70.65; H, 4.67; N, 12.24. Example 18 (C3a ICm = 10 nM)
2-(3-Fluoro-3',4'-dimethyl-biphenyl-4-vπ-imidazoπ ,2-bipyridazin-6-ylamine Also prepared by the method of example 16. mp 215-2240C. Anal. CaIc. for C20H17FN4(0.25 H2O): C, 71.31; H, 5.24; N, 16.63. Found: C, 71.06; H, 5.08; N, 16.34. Example 19 (C3a ICm = 42 nM)
2-(3'.4'-Dimethyl-biphenyl-4-yl)-8-fluoro-6H-imidazori.2-clpyrimidin-5-one Also prepared by the method of example 16 but with the addition of one equivalent of sodium bicarbonate, mp 305-3070C. Anal. CaIc. for C20H16FN3O(0.25 H2O): C, 71.10; H, 4.92; N, 12.44. Found: C, 71.56; H, 5.03; N, 11.96. Example 20 (C3a IC5H = 80 nM) 6-(3',4'-Dimet'hyl-biphenyl-4-vn-imidazoπ .2-blf1.2.41triazine
Also prepared by the method of example 16 but with the addition of one equivalent of sodium bicarbonate, mp 230-2330C. Anal. CaIc. for C20Hi6FN3O(0.25 H2O): C, 74.86; H, 5.46; N, 18.38. Found: C, 74.93; H, 5.49; N, 18.31.
Example 21 (C3a IC52 = 71 nM) '
2-(3',4'-Dimethyl-biphenyl-4-vπ-6-methyl-7.8-dihvdro-6H-imidazoπ ,2-clpyrimidin-5- ohe
Also prepared by the method of example 16 but with the addition of one equivalent of sodium bicarbonate, mp 234-2380C. Anal. CaIc. for C2iH2i N3O(0.25 H2O): C, 75.09; H, 6.45; N, 12.51. Found: C, 74.73; H, 6.41; N, 12.28.
Example 22 (C3a ICm = 12 nM)
2-f2-(3',4'-Dimethyl-biphenyl-4-yl)-imidazof1 ,2-blpyridazin-7-vπ-propan-2-ol
Also prepared by the method of example 16 but with the addition of one equivalent of sodium bicarbonate, mp 197-2030C. Anal. CaIc. for C23H23N3O(0.25 H2O): C, 76.32; H, 6.54; N1 11.61. Found: C, 76.11 ; H1 6.81 ; N, 11.86.
Example 23 (C3a IC52 = 285 nM)
2-(3'.4'-Dimethyl-biphenyl-4-yl)-imidazof1 ,2-alpyrimidin-7-ylamine
Also prepared by the method of example 16 but with the addition of one equivalent of sodium bicarbonate. Obtained a yellow solid from methanol/dichloromethane recrystallization. mp 284-2850C.1H NMR ^d6-DMSO) δ 8.32 <d,1 H), 8.83 (m, 3H), 7.61 (d,
2H), 7.47 (s, 1 H), 7.37 (dd, 1 H), 7.17 (d, 1 H), 6.78 (s, 2H), 6.21 (d, 1 H), 2.25 (s, 3H), 2.21 (s,
3H). MS (Cl): 315 (MH+).
Example 24 (C3a ICm = 98 nM) 2-(3',4'-Dimethyl-biphenyl-4-yl)-imidazof1 ,2-alpyridine-6-sulfonic acid amide
Also prepared by the method of example 16 utilizing acetone as solvent, mp 250-2520C.
Example 25 (C3a ICm = 45 nM)
2-r2-(3',4'-Dimethyl-biphenyl-4-yl)-imidazori ,2-blpyridazin-6-vn-propan-2-ol Also prepared by the method of example 16 utilizing acetonitrile as solvent with the addition of one equivalent of sodium bicarbonate, mp 161-1690C. Anal. CaIc. for C23H23N3O(0.5 H2O): C, 75.38; H, 6.60; N, 11.47. Found: C, 75.59; H, 6.40; N, 11.39. Example 26 (C3a ICgn = 15 nM) 2-(3'.4'-Dimethyl-biphenyl-4-yl)-imidazoH .2-blpyridazine
Also prepared by the method of example 16 but with the addition of one equivalent of sodium bicarbonate, mp 165-1680C. Anal. CaIc. for C20H17N3(0.25 H2O): C, 79.05; H, 5.80; N, 13.83. Found: C, 79.41 ; H, 5.98; N, 13.27. Example 27 (C3a IC52 = 7 nM)
1-f2-(3'.4'-Dimethyl-biphenyl-4-yl)-imida2ori .2-blpyridazin-7-vn-ethanol Also prepared by the method of example 16 but with the addition of one equivalent of sodium bicarbonate, mp.147-1620C. Example 28 (C3a ICm = 195 nM)
2-(3',4'-Dimethyl-biphenyl-4-yl)-imidazoπ .2-clpyrimidin-7-ylamine Also prepared by the method of example 16 utilizing ethanol as solvent and recrystallization from toluene/ethanol. mp 3000C.1H NMR (d6-DMSO) δ 8.94 (s, 1 H), 8.07 (s, 1H), 7.93 (d, 2H), 7.66 (d, 2H), 7.48 (s, 1 H), 7.4.1 (d, 1H), 7.20 (d, 1 H), 6.17 (s, 1 H), 6.11 (s, 2H), 2.28 (s, 3H), 2.23 (s, 3H). MS (Cl): 315 (MH+). Example 29 (C3a ICsn = 38 nM)
2-(4'-lsopropyl-3'-methyl-biphenyl-4-yl)-5.6,7,8-tetrahvdro-imidazof1.2-alPyridine hydrochloride
To a solution of 2-(4-bromo-phenyl)-5,6,7,8-tetrahydro-imidazo[1 ,2-a]pyridine (200 mg, 0.72 mmol), 4-isopropyl-3-methyl-phenylboronic acid (260 mg, 1.46 mmol), toluene (20
- mL), ethanol (10 ml_), water (10 mL) was added sodium carbonate (380 mg, 3.58 mmol). The reaction mixture was degassed with a stream of nitrogen bubbles, and then palladium(dppf)
(60 mg, 10 mol%) was added and heated to reflux for 16 h. The reaction was cooled to room temperature, concentrated and purified on sequentially on silica gel utilizing a methanol/ chloroform gradient as eluent and then on reverse phase silica gel utilizing a methanol/water gradient as eluent. The resultant oil was dissolved in a minimum amount of ethanol, treated with a few drops of concentrated aqueous HCI and then concentrated to dryness. The residue was triturated with methyl tert-butyl ether to give the title compound as a tan solid (70 mg), mp
235-24O0C. MS (Cl):331 (MH+). Anal. CaIc. for C23H26N2(HCI)(O^H2O): C, 72.59; H, 7.29, N, 6.75. Found: C, 72.92, H, 7.54, N, 7.39.
Examples 30 - 51 were also prepared using the method of Example 29 but with the corresponding phenylboronic acids or esters that were either commercially-available or prepared according to methods outlined in the Preparations section:
Example 30 (C3a ICgn = 240 nM) 2-(4'-Butyl-biphenyl-4-yl)-5,6,7,8-tetrahvdro-imidazori ,2-a1pyridine hydrochloride: mp 240-2530C. Anal. CaIc. for C23H26N2(HCI): C, 75.29; H, 7.42; N, 7.63. Found: C, 74.94; H, 7.42; N, 7.34. 2
-47-
Example 31 (C3a ICgn = 55 nM)
2-(3',4'-Dimethyl-biphenyl-4-yl)-5.6.7.8-tetrahvdro-imidazori ,2-a1pyridine hydrochloride mp 50-650C. Anal. CaIc. for C2IH22N2(HCI): C, 74.43; H, 6.84; N1 8.27. Found: C1 74.18; H, 6.87; N, 7.97.
Example 32 (C3a ICgn = 110 πM)
2-(3'-Chloroτ,4:-methyl-biphenyl-4-yl)-5.6,7,8-tetrahydro-imidazof1.2-a]pyridine hydrochloride mp 280-2850C. Anal. CaIc. for C2oH19CIN2(HCI)(O.25 H2O): C, 66.03; H, 5.68; N, 7.70. Found: C, 66.29; H, 5.55; N1 7.40.
Example 33 (C3a ICgn = 158 nM)
2-(4'-Fluoro-3'-methyl-biphenyl-4-yl)-5,6.7.8-tetrahvdro-imidazo[1.2-alPyridine hydrochloride mp 240-2550C. Anal. CaIc. for C2oH19FN2(HCI)(H20): C, 66.57; H, 6.14; N, 7.76. Found: C, 66.97; H, 6.27; N, 7.32.
Example 34 (C3a IC5Q = 309 nM)
2-(4'-Vinyl-biphenyl-4-yl)-5,6,7.8-tetrahvdro-imidazo['1 ,2-aiPyridine hydrochloride mp 269-2730C. Anal. CaIc. for C21 H20N2(HCI)(1.67H2O): C, 68.77; H, 6.68; N, 7.64. Found: C, 68.75; H1 6.54; N1 7.22. Example 35 (C3a ICgn = 394 nM)
2-(4'-Trifluoromethyl-biphenyl-4-yl)-5.6,7,8-tetrahydro-imidazof1.2-alPyridine hydrochloride mp 270-3000C.
Example 36 (C3a ICm = 136 nM) 2-(4'-Methyl-biphenyl-4-yl)-5.6,7,8-tetrahvdro-imidazori ,2-a1pyridine hydrochloride mp 60-700C. Anal. CaIc. for C20H20N2(HCI)(2.5H2O): C1 64.94; H, 7.08; N1 7.57. Found: C1 64.97; H1 6.65; N1 7.32.
Example 37 (C3a ICgn = 293 nM)
2-(4'-Cvclopropyl-biphenyl-4-yl)-5,6,7,8-tetrahvdro-imidazof1,2-a'|pyridine hydrochloride mp 150-160°C.
Example 38 (C3a ICa3 = 210 nM)
2-(4'-Ethyl-biphenyl-4-yl)-5,6,7,8-tetrahydro-imidazoH ,2-a1pyridine hydrochloride mp 2150C (decomp). Anal. CaIc. for C21H22N2(HCIKH2O): C, 70.67; H1 7.06; N1 7.85. Found: C, 70.42; H1 7.02; N1 7.46. Example 39 (C3a ICm = 163 nM)
2-(4'-lsopropyl-biphenyl-4-yl)-5,6,7.8-tetrahvdro-imidazoπ .2-alpyridine hydrochloride mp 44-520C (decomp). Example 40 (C3a ICm = 220 nM) 2-(4'-Propyl-biphenyl-4-yl)-5,6.7,8-tetrahvdro-imidazoF1 ,2-aiPyridine hydrochloride mp 78-950C. Anal. CaIc. for C22H24N2(HCI)(I TSH2O): C, 68.74; H, 7.47; N, 7.29. Found: C1 68.74; H, 7.77; N1 7.27.
Example 41 (C3a IC50 = 150 nM)
2-(4'-Methoxymethyl-biphenyl-4-yl)-5,6,7,8-tetrahydro-imidazo[1,2-a]pyridine hydrochloride mp 75-105°C. I
Example 42 (C3a IC5n = 216 nM) . < .
2-(4'-Methylsulfanylmethyl-biphenyl-4-yl)-5.6,7.8-tetrahvdro-imidazori.2-aiPyridine hydrochloride mp 95-120°C.
Example 43 (C3a IC5Q = 354 nM)
2-(4'-tert-Butyl-biphenyl-4-yl)-5.6.7.8-tetrahvdro-imidazoπ .2-alpyridine hydrochloride mp 240-2560C.
Example 44(C3a 1C™ = 141 nM) 2-(2'-Fluoro-4'.5'-dimethyl-biphenyl-4-yl)-5.6.7.8-tetrahvdro-imidazori .2-aipyridine hydrochloride mp 185-1970C. Anal. CaIc. for C21H21FN2(HCI)(0.75H2O): C, 68.10; H, 6.40; N, 7.56. Found: C, 68.03; H, 6.66; N, 7.22.
Example 45 (C3a ICsn = 46 nM) 2-(2'-Fluoro-4'-isopropyl-biphenyl-4-yl)-5,6.7.8-tetrahvdro-imidazoπ ,2-alpyridine hydrochloride mp 265-2680C. Anal. CaIc. for C22H23FN2(HCI)(0.25H2O): C, 70.39; H, 6.58; N1 7.46. Found: C, 70.66; H, 6.52; N1 7.36.
Example 46 (C3a ICgn = 149 nM) 2-(3'-Ethyl-biphenyl-4-yl)-5,6,7,8-tetrahvdro-imidazori ,2-a1pyridine hydrochloride mp 195-2000C. Anal. CaIc. for C21H22N2(HCI)(0.5H2O): C1 72.50; H1 6.95; N, 8.05. Found: C, 72.43; H1 6.60; N1 7.90.
Example 47 (C3a ICgn = 88 nM)
2-(4-lndan-5-yl-phenyl)-5,6,7,8-tetrartvdro-imidazori ,2-alpyridine mp 186-189°C. Example 48 (C3a ICgn = 265 nM)
2-(4-Berizori ,3ldioxol-5-yl-phenyl)-5,6,7,8-tetrahvdro-imida2of1.2-alpyridine hydrochloride mp 266-271cC. Example 49 (C3a ICm = 150 nM)
2-(4'τChloro-3'-methyl-biphenyl-4-yl)-5,6.7,8-tetrahydro-imidazoπ .2-alPyridine hydrochloridev , mp 241-245°C.
Example 50 (C3a IC52 = 51 nM) 2-(5'-Fluoro-3',4J-dimethyl-biphenyl-4-yl)-5,6;7.8-tetrahvdro-imidazoπ .2-alpyridine hydrochloride mp 290-2950C. Anal. CaIc. for C21H21FN2(HCI)(0.4 H2O): C, 69.28; H, 6.31; N, 7.69. Found: C, 69.63; H, 6.11 ; N, 7.22.
Example 51 (C3a ICm = 198 nM) 2-(3'-Methyl-biphenyl-4-yl)-5.6,7,8-tetrahvdro-imidazof1 ,2-alpyridine hydrochloride mp 58-590C. Anal. CaIc. for C20H20N2(HCI)(0.67 H2O): C, 71.31 ; H, 6.68; N, 8.32. Found: C, 71.48; H, 6.49; N, 7.93. .
Examples 52 - 55 were also prepared using the method of Example 29 with the corresponding bromobenzene intermediates and benzeneboronic acids or esters along with Pd(dppf)Cl2 as the catalyst:
Example 52 (C3a ICm = 19 nM)
5-(3'.4'-Dimethyl-biphenyl-4-yl)-2.3-dimethyl-3H-imidazori .2-bin .2.41triazole mp 197-204°C.
Example 53 (C3a ICm = 39 nM) 5-(3'.4'-Dimethyl-biphenyl-4-yl)-3-methyl-3H-imidazori .2-biπ .2.41triazole mp 182-1860C. Anal. CaIc. for C19H18N4(0.33 H2O): C1 74.00; H, 6.10; N, 18.17. Found: C, 74.04; H, 6.18; N, 17.50.
Example 54 (C3a ICm = 125 nM)
2-(3-Fluoro-3'.4'-dimethyl-biphenyl-4-yl)-5.6.7.8-tetrahvdro-ri .2,41triazolon .5- alpyridine mp 175-1780C. Anal. CaIc. for C2oH2OFN3(O.25 H2O): C, 73.71 ; H, 6.34; N, 12.89. Found: C, 73.62; H, 6.35; N, 12.94.
Example 55 (C3a ICm = 163 nM)
6-(3'.4'-Dimethyl-biphenyl-4-yl)-1-methyl-1 H-imidazof2.1-ciri .2,41triazole mp 198-2030C. Anal. CaIc. for C19H18N4(0.1 H2O) : C, 75.02; H, 6.03; N, 18.42.
Found: C, 75.34; H, 6.02; N, 17.98. Example 56 (C3a IC52 = 173 nM)
2-(2'-Fluoro-4'-methyl-biphenyl-4-yl)-5.6.7,8-tetrahvdro-imidazof1.2-a1pyridine hydrochloride
A solution of 2-fluoro-4-methyl-bromobenzene {0.14 mL, 1.1 mmol), bispinacol diborane (301 mg, 1.19 mmol), potassium acetate (371 mg, 3.78 mmol), DMF (8 mL) and
PdCI2(dppf) (80 mg. 0.10 mmol) under Ar gas was heated to 1000C for 2h. To this -cooled solution was then added 2-(4~bromo-phenyl)-5,6,7,8-tetrahydro-imidazo[1 ,2-a]pyridine (273 mg, 0.99 mmol), PdCI2(dppf) (80 mg. 0.10 mmol) and 2N Na2CO3 (2.5 mL) and the reaction heated to 10O0C overnight. The cooled solution was poured into brine (50 mL) and extracted with ethyl acetate (3 x 75 mL). The combined organic layers were then dried (MgSO4) and concentrated to give the crude product. This was purified on silica gel utilizing ethyl acetate / hexanes as eluent to provide a tan solid which was recrystallized from methanol-water. The title compound was isolated by dissolving in methanol, treating with a few drops of cone. HCI and then concentration to a tan solid: mp 97-1050C.1H NMR <d4-MeOH) δ 7.82 (s, 1 H), 7.71 (ABq, 4H), 7.40 (t, 1 H), 7.11 (d, 1 H), 7.06 (d, 1 H), 4.23 (t, 2H), 3.12 (t, 2H), 2.40 (s, 3H), 2.1
(m, 4H). MS (Cl) 307 (M+1, 100).
Examples 57 T 60 were also prepared using the method of Example 56 but with the corresponding bromobenzenes:
Example 57 (C3a ICgn = 58 nM) 2-(3'-Methyl-4'-trifluoromethyl-biphenyl-4-yl)-5,6,7.θ-tetrahvdro-imidazof1.2-aipyridine mp 210-2140C. Anal. CaIc. for C21H19F3N2(0.25 H2O): C1 69.89; H, 5.45; N, 7.76. Found: C, 69.52; H, 5.26; N, 7.60.
Example 58 {C3a ICgn = 64 nM)
2-(4'-Methyl-3'-trifluoromethyl-biphenyl-4-yl)-5,6.7.8-tetrahydro-imidazoπ .2-a1pyridine mp 225-2350C. Anal. CaIc. for C21H19F3N2(0.33 H2O): C, 69.61 ; H, 5.47; N, 7.73.
Found: C, 69.60; H, 5.74; N, 7.37.
Example 59 (C3a ICm = 151 nM)
2-(3',4'-Bis-trifluoromethyl-biphenyl-4-yl.)-5.6,7,8-tetrahydro-imidazoT1 ,2-alpyridine mp 206-2110C. Anal. CaIc. for C21H16F6N2: C, 61.47; H, 3.93; N, 6.83. Found: C1 61.55; H, 3.97; N, 6.65.
Example 60 (C3a ICm = 208 nM)
2-(3'-Fluoro-4'-methyl-biphenyl-4-yl)-5,6,7,8-tetrahvdro-imidazori ,2-a1pyridine hydrochloride mp 250-2550C. Example 61 (C3a ICm = 116 nM)
2-(3',4'-Dimethyl-biphenyl-4-yl)-5,6,7,8-tetrahydro-f1.2,41triazoloT1,5-aipyridine
To a solution of 3',4'-dimethyl-biphenyl-4-carboxylic acid hydrazide (300 mg, 1.24 mmol), 5-chloro-pentanimidic acid ethyl ester hydrochloride (250 mg, 1.24 mmol) and ethanol (5 mL) was added triethylamine (250 mg, 2.48 mmol). The reaction was heated to reflux until starting material had disappeared by TLC and then the dark reaction mixture was concentrated. The residue was diluted with water (10 mL) and extracted with CH2CI2 (50 mL) and concentrated. This was then purified on silica gel utilizing ethyl aceta'te/hexane as eluent to give the title compound (64 mg) as a white solid: mp 227-2300C.1H NMR (D6-DMSO) δ 8.01 (d, 2H), 7.73 (d, 2H), 7.54 (s, 1H), 7.44 (d, 1H), 7.36 (d, 1 H), 4.16 (t, 2H), 2.88 (t, 2H),
2.30 (s, 3H), 2.26 (s, 3H), 1.85 - 2.1 (m, 4H). MS (Cl) 304 (M+1 , 100).
Example 62 (C3a ICsn = 54 nM)
2-{3'.4'-Dimethyl-biphenyl-4-yl.)-imidazoπ.2-alPyridine-6-carboxylic acid, lithium salt
A mixture of 2-(3l,4I-dimethyl-biphenyl-4-yl)-imidazo[1,2-a]pyridine-6-carboxylic acid, ethyl ester (2.20 g, 5.91 mmol), 1 N aqueous LiOH (5.91 mmol) and ethanol (180 ml) was heated to reflux for 2 h. After cooling overnight at room temperature, the slurry was concentrated and the solid collected by vacuum filtration to give 1.45 g (72%) of the title compound as a white solid, mp >300 °C.1H NMR (d6-DMSO) δ 9.38 (s, 1H), 8.75 (s, 1H),
8.03 (m, 3H), 7.02 (m, 3H)1 7.53 (s, 1H), 7.46 (d, 1H), 7.23 (d, 1H), 2.28 (s, 3H), 2.23 (s, 3H); MS (Cl) 343 (MH+1 , 100). Anal. CaIc. for C22H17O2N2Li (0.67 H2O): C, 73.34 ; H, 5.10; N,
7.78. Found: C, 73.04; H, 4.94; N, 7.70. The salt was converted to the carboxylic acid by dissolving the lithium salt in hot methanol, adding 1.0 equivalent of HCI in ether and concentration to dryness. The resulting solid was slurried with water and collected by vacuum filtration. Example 63 (C3a ICgn = 17 nM)
N-f2-(3'.4'-Dimethyl-biphenyl-4-yl)-imidazof1 ,2-a]pyridine-6-carbonvH- methanesulfonamide
A mixture of 2-(3',4'-dimethyl-biphenyl-4-yl)-imidazo[1 ,2-a]pyridine-6-carboxylic acid
(proto form, 100 mg, 0.29 mmol), methanesulfonamide (278 mg, 2.90 mmol), DMAP (35 mg, 0.29 mmol), EDC (83 mg, 0.44 mmol) and DMF (2 mL) was heated to 5O0C for 3 days and then 10O0C overnight. Another increment of DMAP (35 mg, 0.29 mmol) and EDC (83 mg,
0.44 mmol) was added and the reaction allowed to stir overnight at room temperature and then filtered. The resultant oil was purified on silica gel utilizing methanol/chloroform to provide the title compound as an oil.1H NMR (d6-DMSO) δ 8.98 (s, 1H), 8.75 (s, 1H), 8.16 (m, 1 H), 7.95 (d, 2H), 7.70 (m, 3H)1 7.53 (s, 1 H), 7.42 (t, 1 H), 7.20 (d, 1 H), 6.82 (d, 2H), 2.85
(s, 3H)1 2.28 (s, 3H), 2.23 (s, 3H). Examples 64 - 65 were also prepared using the method of Example 63 but with the corresponding sulfonamides:
Example 64 (C3a ICgn = 24 nM)
N-f2-(3'.4'-Dimethyl-biphenyl-4-yl)-imidazof1.2-alpyridine-6-carbonyll- dimethylsulfonimide
1H NMR (d6-DMSO) § 9.02 (s, 1 H)1 8.52 (s, 1 H), 7.99 (m, 2H), 7.68 (m, 3H), 7.50 (s, 3H), 7.20 (d, 1H), 2.68 (s, 6H), 2.28 (s, 3H), 2.24 <s, 3H); MS (Cl) 449 (MH+1 , 100).
Example 65 (C3a ICgn = 46 nM)
N-f2-(3',4'-Dimethyl-biphenyl-4-yl)-imidazoπ ,2-alPyridine-6-carbonvn-sulfonimide1H NMR (d6-DMSO) β 9.00 (s, 1 H), 8.52 (s, 1H), 7.99 (m, 2H), 7.70 (m, 3H), 7.50 (m,
3H), 7.22 (d, 1 H), 2.28 (s, 3H), 2.23 (s, 3H). '
Example 66 (C3a IC5n = 40 nM)
2-r2-(3'.4'-Dimethyl-biphenyl-4-yl)-imida2θ[1,2-aiPyridin-6-vπ-propan-2-ol
To a solution of 2-(3',4l-dimethyl-biphenyl-4-yl)-imidazo[1 ,2-a]pyridine-6-carboxylic acid, ethyl ester (50 mg, 0.13 mmol) and THF (0.7 mL) at O0C was added a solution of methyl magnesium bromide (1.4 M, 0.186 mL, 0.26 mmol) in toluene. After 30 min, the reaction was quenched with aqueous ammonium chloride and the organic solvent removed under vacuum.
The residue was partitioned between water (10 mL) and methylene chloride (10 mL), the organic layer was washed with brine and dried (MgSO4) and concentrated. The resultant oil was purified on silica gel utilizing an ethyl acetate/hexane gradient as solvent to give the title compound as an oil (43 mg):1H NMR (CDCI3) δ 8.27 (s, 1H), 7.98 (d, 2H), 7.83 (s, 1H), 7.65
(d, 2H), 7.57 (d, 1 H), 7.43 (s, 1 H), 7.38 (d, 1 H), 7.18 (d, 2H), 2.34 (s,, 3H), 2.30 (s, 3H), 1.61
(s, 6H); MS (Cl) 357 (MH+1 , 100).
Example 67 (C3a IC5Q = 87 nM) 2-(3',4'-Dimethyl-biphenyl-4-yl)-imidazori ,2-alpyridin-6-ylamine
To a suspension of 2-(3',4'-dimethyl-biphenyl-4-yl)-imidazo[1 ,2-a]pyridine-6-carboxylic acid, ethyl ester (644 mg, 1.87 mmol) and ethanol (37 mL) was added 10% Pd-C (78 mg) and the reaction mixture subjected to hydrogenation at 40 p.s.i. for 2 h. The yellow solution was decanted from the dark solids and filtered through Celite and concentrated to give the title compound as a yellow solid, mp 214-2200C.1H NMR (d6-DMSO) δ 8.18 (s, 1H), 7.92 (d, 2H), 7.62 (m, 3H), 7.47 (s, 1 H), 7.39 (d, 1 H), 7.19 (d, 1 H), 7.08 (d, 1 H), 6.78 (d, 1 H), 2.68 (s, 6H), 2.25 (s, 3H), 2.21 (s, 3H). MS (Cl) 314 (MH+1 , 100).
Example 68 (C3a ICgn = 130 nM)
6-(3',4'-Dimethyl-biphenyl-4-yl)-1-ethyl-1H-imidazoπ ,2-a1imidazole To a solution of 6-(3',4'-dimethyl-biphenyl-4-yl)-1 H-imidazo[1 ,2-a]imidazole (87 mg,
0.30 mmol), acetonitrile (5 mL), sodium carbonate (96 mg, 0.91 mmol) was added ethyl iodide (364 uL, 4.55 mmol). After stirring at room temperature for 3 h, the reaction was concentrated to dryness and purified on silica gel utilizing an ethyl acetate/hexane gradient as solvent to give the title compound as an solid (25 mg): mp 1560C. Anal. CaIc. for C2iH2iN3 (0.2 H2O): C, 79.06; H, 6.76; N, 13.17. Found: C, 79.39: H, 6.96; N, 12.72.
Example 69 (C3a IC5Q = 52 nM) (2,4-Dimethoxy-benzyl)-r2-(3'.4'-dimethyl-biphenyl-4-yl)-imidazof1.2-blPyridazin-6-vπ- amine
To a solutjqn of 6-chloro-2-(3',4'-dimethyl-biphenyl-4-yl)-imidazo[1 ,2-b]pyridazine
(1.04 g, 3.12 mmol), toluene (7 ml_), 2,3-dimethoxybenzylamine (1.31 mL; 8.74 mmol), and 2,
2'-di-t-butylphosphinyl biphenyl (92 mg, 0.31 mmol) was added sodium t-butoxide (600 mg, 6.24 mmol). The solution was evacuated and refilled with nitrogen thrice, and Pd2(dba)3 (143 mg. 0.156 mmol) was added, followed by an additional 3 more degassing cycles. The reaction was heated to 1000C for 45 minutes, concentrated and purified on silica gel utilizing 1 :1 ethyl acetate/hexanes as eluent. The product (LOOgm, 69%) could be recrystallized from ethyl acetate to provide yellow plates; mp 183-1840C.1H NMR (d6-DMSO) δ 8.37 (d, 1H), 7.92 ,(d, 2H), 7.65 (t, 1 H), 7.61 <d, 2H), 7.45 (s, 1 H), 7.37 (d, 1 H), 7.17 (m, 3H), 6.70 <d, 1 H), 6.54 (s,
1 H), 6.45 (d, 1 H)1 4.27 <d, 2H), 3.78 (s, 3H), 3.70 (s, 3H), 2.25 (s, 3H), 2.21 (s, 3H).
Examples 70 - 73 were also produced using a procedure analogous to Example 69: Example 70 (C3a IC5Q = 147 nM)
2-(3'.4'-Dimethyl-biphenyl-4-yl)-imidazof1,2-blpyridazin-6-yl-hvdrazine mp 253-2570C.
Example 71 (C3a ICgn = 200 nM)
2-(3'.4'-Dimethyl-biphenyl-4-yl)-6-morpholin-4-yl-imidazoπ ,2-blpyridazine mp 251-252°C.
Example 72 (C3a ICm = 494 nM) 2-(3'.4'-Dimethyl-biphenyl-4-yl)-6-piperidin-1-yl-imidazo[1.2-blpyridazine mp 211-212°C.
Example 73 (C3a IC52 = 185 nM)
2-(3'.4'-Dimethyl-biphenyl-4-yl)-6-(4-methyl-piperazin-1-yl)-imidazoπ .2-b1pyridazine mp 248-2490C. Example 74 (C3a IC5Q = 20 nM)
1-r2-(3',4'-Dimethyl-biphenyl-4-vπ-imidazori .2-blpyridazin-6-vn-ethanol
Prepared by the method of example 16 but utilizing 3-amino-6-acetylpyridazine, with the addition of one equivalent of sodium bicarbonate gave 1-[2-(3',4'-dimethyl-biphenyl-4-yl)- imidazo[1 ,2-b]pyridazin-6-yl]-ethanone. This was then treated with sodium borohydride in a methylenechloride / ethanol mixture to afford the title compound as a pale yellow solid following purification on silica gel with ethyl acetate and methylenechloride; mp 188-1900C. MS (Cl): 344 (MH+). Anal. CaIc. for C22H2I N3O(0.25 H2O): C, 75.95; H, 6.23; N, 12.08. Found: C, 76.00; H, 6.55; N, 11.87.
Example 75 (C3a ICm = 14 nM) r5-(3'.4'-Dimethyl-biphenyl-4-ylV3-methyl-3H-imidazori .2-biri.2.41triazol-2-vπ- methanol
Prepared using a method analogous to the method of Example 74. mp 250-2560C. MS (Cl): 333 (MH+). λnal. CaIc. for C2oH2oN40(0.25 H2O): C, 71.30; H, 6.13; N, 16.63. Found: C, 71.16; H, 6.18; N, 16.40.
Examples 76 - 85 were prepared by methods previously described: Example 76 (C3a IC5Q = 159 nM)
2-r2-(3.4-Dimethyl-phenyl)-pyrimidin-5-vH-imidazori .2-bipyridazinL6-ylamine; mp 328-3340C.1H NMR (d6-DMSO) δ 9.3 (S, 2H), 8.51 (s, 1H), 8.22 (s, 1H), 8.15 <d, 1 H), 7.77 (d, 1 H)1 7.29 (d, 1 H), 6.68 <d, 1 H), 6.45 (br s, 2H), 2.31 (s, 3H), 2.28 (s, 3H); MS (Cl): 317 (MH+). Example 77 (C3a IC™ = 154 nM)
2-f6-(3.4-Dimethyl-phenyl)-pyridazin-3-yll-imidazof1.2-blPyridazin-6-ylamine: mp 299-3090C.1H NMR (d6-DMSO) δ 8.60 (s, 1H), 8.30 (s, 1H), 7.98 (s, 1 H), 7.91 (d, 1 H), 7.85 (d, 1 H), 7.74 (d, 1 H), 7.31 (d, 1 H), 7.27 (s, 2H), 6.58 (d, 1 H), 4.56 (br s, 2H), 2.36 (s, 3H), 2.32 (s, 3H); MS (Cl): 317 (MH+). Anal. CaIc. for C18H16N6(H2O): C, 64.66; H, 5.43; N, 25.13. Found: C, 64.98; H, 5.34; N, 24.83. Example 78 (C3a IC5Q = 15 nM)
2-f2-(3-Fluoro-3'.4'-dimethyl-biphenyl-4-yl)-imidazoπ .2-bipyridazin-7-yll-propan-2-ol: mp 178-1830C.1H NMR (CDCI3) δ 8.51 (s, 1 H), 8.49 (d, 1 H), 8.36 (t, 1 H), 7.99 (d, 1 H), 7.51 (d, 1H), 7.4 (m, 3H), 7.31 (d, 1 H), 7.22 (d, 1H), 2.35 (s, 3H), 2.32 (s, 3H); MS (Cl): 376 (MH+). Anal. CaIc. for C23H22FN3O: C, 73.58; H, 5.91 ; N, 11.19. Found: C, 73.50; H, 5.90; N, 11.09. Example 79 (C3a IC52 = 287 nM)
C-r5-f3'.4'-Dimethyl-biphenyl-4-yl)-3-methyl-3H-imidazori .2-b1H .2.41triazol-2-vπ- methylamine; mp 197-2010C.1H NMR (CDCI3) δ 7.84 (d, 2H), 7.6 (m, 3H), 7.4 (m, 2H), 7.20 (d, 1 H), 4.06 (s, 2H), 3.80 (s, 3H), 2.33 (s, 3H), 2.31 (s, 3H); MS <CI): 332 (MH+). Anal. CaIc. for C20H21N5(0.25 H2O): C, 71.51 ; H, 6.45; N, 20.85. Found: C, 71.44; H, 6.42; N, 20.75. Example 80 (C3a ICm = 31 nM)
N-r5-(3'.4'-Dimethyl-biphenyl-4-yl)-3-methyl-3H-imidazori .2-biri .2.41triazol-2- ylmethyll-methanesulfonamide: mp 235-2360C.1H NMR (d6-DMSO) δ 8.15 (s, 1 H), 7.84 (d, 2H), 7.8 (m, 3H), 7.65 (d,
2H), 7.49 (s, 1 H), 7.41 (d, 1 H), 7.21 (d, 1 H), 4.4 (s, 2H), 3.71 (s, 3H), 3.01 (s, 3H), 2.30 (s, 3H), 2.26 (s, 3H); MS (Cl): 410 (MH+). Anal. CaIc. for C21H23N5O2S(0.25 H2O): C, 60.92; H1 5.72; N, 16.92. Found: C, 61.13; H, 5.93; N, 16.85. Example 81 (C3a ICm = 16 nM)
1 -r5-(3'.4'-Dimethyl-biphenyl-4-yl)-3-methyl-3H-imidazori .2-biπ .2.41triazol-2-vπ- ethanol; mp 205-2070C.1H NMR (CDCL3) δ 7.84 (d, 2H), 7.60 (s, 1 H), 7.60 (d, 2H), 7.4 (m, 2H), 7.20 (d, 1 H), 5,03 (q, 1 H), 3.86 (s, 3H), 3.01 (s, 3H), 2.34 (s, 3H), 2.30 (s, 3H)1 1.73 (d, 3H); MS (Cl): 347 (MH+). Anal. CaIc. for C21H22N4O(O-SO H2O): C, 70.96; H1 6.52; N, 15.76. Found: C, 71.11; H1 6.16; N1 15.48. Example 82 (C3a ICm = 22 nM)
2-r5-(3'.4'-bimethyl-biphenyl-4-yl)-3-methyl-3H-imida2ori .2-b1f1 ,2,4ltriazol-2-vH- propan-2-ol: mp 218-2229C.1H NMR (CDCL3) δ 7.83 (d, 2H), 7.60 (m, 3H), 7.4 (m, 2H)1 7.19 (d, 1H)1 3.97 (S, 3H), 3.01 (s, 3H)1 2.33 (s, 3H), 2.30 (s, 3H), 1.74 <s, 6H); MS (Cl): 360 (MH+). Example 83 (C3a ICm = 48 nM)
S-O'^'-Dimethyl-biphenyl^-vD-S-methyl-SH-imidazofi^-bifi.Σ^itriazole^-carboxylic acid: mp 194-2100C.1H NMR (d6-DMSO) § 8.04 (s, 1H), 7.89 (d, 2H), 7.64 (d, 2H), 7.49 (s, 1 H)1 7.41 (d, 1H), 7.21 (d, 1 H)1 3.91 (s, 3H)1 2.30 (s, 3H), 2.26 (s, 3H); MS (Cl): 347 (MH+). Example 84 (C3a ICm = 12 nM) δ-O'Λ'-Dimethyl-biphenyl^-vD-S-methyl-SH-imidazofi^-bifi .Σ^itriazole^-carboxylic acid amide; mp 292-2980C.1H NMR (d6-DMSO) δ 8.34 (s, 1H), 8.24 (s, 1H)1 8.02 (s, 1H), 7.93 (d, 2H)1 7.67 (d, 2H), 7.42 (d, 1 H), 7.22 (d, 1H)1 3.94 (s, 3H)1 2.30 <s, 3H)1 2.26 <s, 3H); MS (Cl): 346 (MH+).
Example 85 (C3a ICm = 16 nM)
5-(3'.4'-Dimethyl-biphenyl-4-yl)-3-methyl-3H-imidazori .2-biri.2.41triazol-2-ylamine: mp 277-2830C.1H NMR (d6-DMSO) δ 7.8 (m, 3H)1 7.58 (d, 2H), 7.46 (s, 1 H), 7.39 (d. 1H), 7.20 (d, 1H), 6.486 (s, 2H)1 3.45 (s, 3H), 2.29 (s, 3H), 2.25 (s, 3H); MS (Cl): 318 (MH+). Example 86 (C3a ICm = 142 nM)
2-Biphenyl-4-yl-6-morpholin-4-yl-imidazori .2-aiPyridine
A mixture of 2-biphenyl-4-yl-6-bromo-imidazo[1 ,2-a]pyridine (349 mg, 1.00 mmol), morpholine (105 uL, 1.2 mmol), Pd2(DBA)3 (18 mg, 0.02 mmol), BINAP (25 mg, 0.04 mmol), and sodium t-butoxide (134 mg, 1.4 mmol) in toluene (10 ml_) was heated at 700C for 14 h. The reaction mixture was cooled, diluted with EtOAc and washed with H2O and brine, dried over (MgSO4), filtered, concentrated,' and chromatographed (98:2 CH2CI2/Me0H) to provide 220 mg of 2-biphenyl-4-yl-6-morpholin-4-yl-imidazo[1 ,2-a]pyridine as a solid. MS: (M+) 356.1H NMR (400 MHz, CDCI3): δ 7.95 (d, 2, J = 8.3), 7.76 (s, 1), 7.59-7.66 (m, 4), 7.52 <d, 1 , J = 9.6),7.48 (d, 1, J = 2.1), 7.39-7.44 (m, 2), 7.29-7.34 (m, 1), 7.02 (dd, 1 , J = 9.8, 2.3), 3.84 (t, 4, J = 4.8), 3.01 (t, 4, J = 4.7).
Example 87 (C3a ICgn = 167 nM) (2-Biphenyl-4-yl-imidazof1.2-aipyridin-6-vπ-(2-methoxy-ethvπ-amine
Also prepared by the method of Example 86 except using 2-methoxyethylamine (313 uL, 3.6 mmol) instead of morpholine to provide 97 mg of (2-biphepyl-4-yl-imidazo[1,2- a]pyridin-6-yl)-(2-methoxy-ethyl)-amine as a solid. MS: (M+) 344.1H NMR (400 MHz, CDCI3): δ 7.96 (d, 2, J = 8.3), 7.70 (s, 1), 7.61-7.66 (m, 4), 7.40-7.46 (m, 3), 7.33 (t, 1 , J = 7.3), 7.27 (d, 1 , J = 2.1), 6.73 (dd, 1 , J = 9.5, 2.2), 3.83 (bs, 1), 3.61 <t, 2, J = 5.1), 3.39 (s, 3), 3.14 (t, 2, J = 5.0).
Example 88 - C3a IC5Q = 271 nM
Figure imgf000057_0001
Also prepared by the method of Example 86 except using methylaminoacetaldehyde dimethyl acetal (154 uL, 1.2 mmol) instead of morpholine and chromatographed with 1 :1 EtOAc: hexanes to .provide 50 mg of (2-biphenyl-4-yl-imidazo[1 ,2-a]pyridin-6-yl)-(2,2- dimethoxy-ethyl)-methyl-amine as a solid. MS: (M+) 388.1H NMR (400 MHz, CDCI3): δ 7.98 (d, 2, J = 8.3), 7.79 (s, 1), 7.62-7.68 (m, 4), 7.40-7.52 (m, 4), 7.34 {d, 1 , J = 7.5), 7.07 (dd, 1 , J = 9.8, 2.3), 4.49 (t, 1 , J = 5.1), 3.40 (s, 6), 3.38 (d, 2), 2.94 (s, 3). Example 89 - C3a ICgn = 141 nM
6-Aziridin-1 -yl-2-biphenyl-4-yl-imidazori ,2-aipyridine
To a solution of (2-biphenyl-4-yl-imidazo[1 ,2-a]pyridin-6-yl)-(2-methoxy-ethyl)-amine
(80 mg, 0.23 mmol) in CH2CI2 (7 mL)at -700C was added BBr3 (10 ml_ of a 1 M soln in
CH2CI2). After 45 min, the reaction was warmed to rt, stirred for 14 h, and poured slowly onto ice water. The water was basified with solid NaHCO3 (pH =8-9) and extracted with CH2CI2
(2x). The combined organics were washed with sat. NaHCO3 and brine, dried (MgSO4), filtered, concentrated, and chromatographed (98:2 CH2CI2:MeOH). The isolated solid (MS:
M+ = 392, 394) was dissolved in DMF (2 mL) and KOH (128 mg of 87.5% powder) was added. After 14 h, the reaction mixture was concentrated and redissolved in EtOAc, washed with H2O and brine, dried (MgSO4), and concentrated to provide 12 mg of 6-aziridin-1-yl-2- biphenyl-4-yl-imidazo[1 ,2-a]pyridine as an oily residue. MS: (M+) 312.
Example 90 - C3a IC52 = 302 nM
2-Biphenyl-4-yl-7-morpholin-4-yl-imidazof1 ,2-alpyridine
A mixture of 2-biphenyl-4-yl-7-chloro-imidazo[1 ,2-a]pyridine (305 mg, 1.00 mmol), morpholine (105 uL, 1.2 mmol), Pd2(DBA)3 (18 mg, 0.02 mmol), (2'-dicyclohexylphosphanyl- biphenyl-2-yl)-dimethyl-amine (24 mg, 0.06 mmol), and sodium t-butoxide (134 mg, 1.4 mmol) in toluene (10 mL) was heated at 700C for 14 h. The reaction mixture was cooled, diluted with EtOAc and washed with H2O and brine, dried over (MgSO4), filtered, concentrated, and chromatographed (98:2 CH2CI2/MeOH) to provide 234 mg of 2-biphenyl-4-yl-7-morpholin-4-yl- imidazo[1 ,2-a] pyridine as a solid. MS: (M+) 356.
Example 91 - C3a ICsn = 1975 nM 2-Biphenyl-4-yl-6-bromo-imidazoH .2-a1pyridine
A mixture of 2-amino-5-bromopyridine (1.73 g, 10 mmol) and 2-bromo-4'- phenylacetophenone (2.75 g, 10 mmol) in EtOH (75 mL) was refluxed for 2 h. Solid NaHCO3
(0.42 g, 5 mmol) was added. The mixture was refluxed for 14 h, cooled slowly to 0 °C, and filtered to provide 1.90 g of 2-biphenyl-4-yl-6-bromo-imidazo[1 ,2-a]pyridine as a solid. MS: (M+) 349, 351.
Example 92 - C3a ICgn = 69 nM '
6-Bromo-2-(3'.4'-dimethyl-biphenyl-4-yl)-imidazoπ ,2-alpyridine
A mixture of 2-amino-5-bromopyridine (285 mg, 1.65 mmol) and 2-bromo-1-(3',4'- dimethyl-biphenyl-4-yl)-ethanone (500 mg, 1.65 mmol) in EtOH (15 mL) was refluxed for 8 h. Solid NaHCO3 (69 mg, 0.83mmol) was added. The mixture was refluxed for 14 h and more NaHCO3 (69 mg, 0.83mmol) was added. The mixture was reflux for another hour, cooled to 00C, and filtered to provide 400 mg of 6-bromo-2-(3',4'-dimethyl-biph'enyl-4-yl)-imidazo[1 ,2- a]pyridine as a solid. MS: (M+) 377, 379.
Example 93 - C3a ICsn = 2500 nM 2-Biphenyl-4-yl-imidazof1 ,2-a1pyridine-6-carbonitrile
A mixture of 2-biphenyl-4-yl-6-bromo-imidazo[1 ,2-a]pyridine (349 mg, 1.0 mmol), Zn(CN)2 (82 mg, 0.7 mmol), Pd(PPh3J4 (347 mg, 0.3 mmol), and DMF (,10 mL) under N2 was heated at 900C for 2 h. The reaction mixture was cooled to rt, diluted with CH2CI2, washed with 1 M NaOH. The aqueous layer was extracted with CH2CI2. The combined CH2CI2 extracts were dried (MgSO4), filtered, concentrated, and chromatographed (98:2 CH2CI2:MeOH) to provide 280 mg of 2-biphenyl-4-yl-imidazo[1 ,2-a]pyridine-6-carbonitrile as a solid. MS: (M+) 296.
Example 94 - C3a ICgn = 449 nM
2-(3'.4'-Dimethyl-biphenyl-4-yl)-imidazori.2-aipyridine-6-carbonitrile A mixture of 6-bromo-2-(3',4'-dimethyl-biphenyl-4-yl)-imidazo[1 ,2-a]pyridine (535 mg,
1.42 mmol), Zn(CN)2 (116 mg, 1.00 mmol), Pd(PPh3)4 (492 mg, 0.43 mmol), and DMF (15 mL) under N2 was heated at 900C for 2 h. The reaction mixture was cooled to rt, diluted with CH2CI2, washed with 1 M NaOH. The aqueous layer was extracted with CH2CI2. The combined CH2CI2 extracts were dried (MgSO4), filtered, concentrated, and chromatographed (1 :1 EtOAc:hexanes) to provide 205 mg of 2-(3\4'-dimethyl-biphenyl-4-yl)-imidazo[1 ,2- a]pyridine-6-carbonitrileas a solid. MS: (M+) 324. Example 95 - C3a ICsn = 35 nM
2-Biphenyl-4-yl-6-(1 H-tetrazol-5-vn-imidazoπ ,2-aipyridine
A mixture of 2-biphenyl-4-yl-imidazo[1,2-a]pyridine-6-carbonitrile (260 mg, 0.88 mmol), azidotrimethylsilane (234 uL, 1.76 mmol), dibutyltin oxide (33 mg, 0.13 mmol) and toluene (5 ml.) under N2 was heated at 900C for 14 h. The reaction mixture was cooled to rt, diluted with MeOH and EtOAc, and concentrated. The resulting solid was triturated with a minimal volume ofjEtOAc/MeOH to provide 84 mg of 2-biphenyl-4-yl-6-(1 H-tetrazol-5-yl)- imidazo[1
Figure imgf000059_0001
as a solid. MS: (M'1) 337.
Example 96 - C3a ICgn = 7 nM 2-(3',4'-Dimethyl-biphenyl-4-vπ-6-(1H-tetrazol-5-yl)-imidazoπ ,2-aipyridine
A mixture of 2-(3',4'-dimethyl-biphenyl-4-yl)-imidazo[1 ,2-a]pyridine-6-carbonitrile (205 mg, 0.635 mmol), azidotrimethylsilane (172 uL, 1.30 mmol), dibutyltin oxide (24 mg, 0.10 mmol) and toluene (10 mL) under N2 was heated at 900C for 14 h. The reaction mixture was cooled to rt, diluted with MeOH and EtOAc, and concentrated. The resulting solid was triturated with a minimal volume of EtOAc to provide 200 mg of 2-(3',4'-dimethyl-biphenyl-4- yl)-6-(1H-tetrazol-5-yl)-imidazo[1 ,2-a]pyridine as a solid. MS: (M+) 367.1H NMR (400 MHz,
DMSO-D6): 9.37 (s, 1), 8.70 (s, 1), 8.11 (d, 2, J = 8.3), 7.86 (s, 2), 7.80 (d, 2, J = 8.5), 7.57 (s,
1), 7.57 (S, 1), 7.50 (d, 1 , J = 7.9), 7.28 (d, 1 , J = 7.9), 2.35 (s, 3), 2.30 (s, 3).
Example 97 - C3a ICm = 158 nM 2-r4-(2.3-Dihvdro-benzoπ .41dioxin-6-yl)-phenyl]-imidazori .2-aipyridine
Under N2 a mixture of 2-[4-(4,4,5,5-tetramethyl-[1 ,3,2]dioxaborolan-2-yl)-phenyl]- imidazo[1 ,2-a]pyridine (100 mg, 0.312 mmol), 1-bromo-3,4-(ethylenedioxy)benzene (101 mg, 0.468mmol), Pd(PPh3)4 (36 mg, 0.031 mmol), K3PO4 (199 mg, 0.936 mmol), MeOH (2.0 mL), and H2O (0.2 mL) was heated at 600C for 4 h. The reaction mixture was cooled to rt, diluted with EtOAc, filtered through a plug of.celite, concentrated, and chromatographed (loaded with CH2CI2; eluted with 1 :1 EtOAc:hexanes) to provide 42.7 mg of 2-[4-(2,3-dihydro- benzo[1 ,4]dioxin-6-yl)-phenyl]-imidazo[1 ,2-a]pyridine as a solid. MS: (M+) 329. Example.98 - C3a IC22 = 16 nM
2-(3-Fluoro-3'.4'-dimethyl-biphenyl.-4-yl)-imidazori .2-aipyridine A mixture of 2-aminopyridine (290 mg, 3.12 mmol) and 2-bromo-(3-fluoro-3',4'- dimethyl-biphenyl-4-yl)-ethanone (1.00 g, 3.12 mmol) in EtOH (5 mL) was refluxed for 4 h. Solid NaHCO3 (130 mg, 1 ,56 mmol) was added. The mixture was refluxed for 14 h and more NaHCO3 (130 mg, 1.56 mmol) was added. The mixture was reflux for 30 min, cooled to rt, and filtered to provide 790 mg of . 2-(3-fluoro-3',4'-dimethyl-biphenyl-4-yl)-imidazo[1 ,2- ajpyridine as a solid. MS: (M+) 317.1H NMR (400 MHz, DMSO-D6): § 8.73 (d, 1, J = 6.6), 8.50 (d, 1 , J = 3.9), 8.30 (t, 1 , J = 8.0), 7.68-7.75 (m, 3), 7.62 (s, 1), 7.45-7.56 (m, 2), 7.28 (d, 1, J = 7.9), 7.10 (t, 1 , J = 6.8), 2.34 (s, 3), 2.30 (s, 3). Example 99 - C3a ICm = 124 nM
2-(4-lsochroman-7-yl-phenvO-imidazof1.2-aipyridine
Under N2 a mixture of 4-imidazo[1 ,2-a]pyridin-2-yl-phenyl poronic acid (56 mg, 0.235 mmol), 7-bromo-isochroman (100 mg, 0.470 mmol), Pd(PPh3)4 (27 mg, 0.024 mmol), K3PO4 (149.4 mg, 0.704 mmol), dioxane (1.5 ml_), and H2O (0.075 mL) was heated at 900C for 3 h and cooled to rt. After 2 d, the reaction mixture was diluted with CH2CI2/Me0H and filtered through a plug of celjte. The filtrate was concentrated and chromatographed (gradient elution from 100% CH2CI2 to' 2.5 % MeOH in CH2CI2) to provide 34 mg of 2-{4-isochroman-7-yl- phenyl)-imidazo[1 ,2-a]p yridine as a solid. MS: (M+) 327. Example 100 - C3a \C = 189 nM
3-Ethyl-6-(4-imidazof 1 ,2-alpyridin-2-yl-phenyl)-1 -methyl-1 H-indazole
Under N2 a mixture of 4-imidazo[1 ,2-a]pyridin-2-yl-phenyl boronic acid {25 mg, 0.10 mmol), 6-bromo-3-ethyl-1-methyl-1 H-indazole -(50 mg, 0.21 mmol), Pd(PPh3J4 (,12.1 mg, 0.011 mmol), K3PO4 (66.5 mg, 0.314 mmol), dioxane (1.5 mL), and H2O (0.075 mL) was heated at 900C for 3 h and cooled to rt. After 2 d, the reaction mixture was diluted with CH2CI2/MeOH and filtered through a plug of celite. The filtrate was concentrated and chromatographed (gradient elution from 100% CH2CI2 to 2.5 % MeOH in CH2CI2) to provide 36 mg of 3-ethyl-6- (4-imidazo[1 ,2-a]pyridin-2-yl-phenyl)-1-methyl-1 H-indazole as a solid. MS: (M+) 353.
Example 101 - C3a ICgn = 30 nM 2-(3'.4'-Dimethyl-biphenyl-4-yl)-imidazoH .2-alpyridine
A mixture of 2-aminopyridine (1.24 g, 13.2 mmol) and 2-bromo-1-(3\4'-dimethyl- biphenyl-4-yl)-ethanone (4.00 g, 13.2 mmol) in EtOH (20 mL) was refluxed for 7 h. Solid NaHCO3 (554 mg, 6.60 mmol) was added and the reaction mixture was refluxed overnight and more NaHCO3 (554 mg, 6.60 mmol) was added. The mixture was cooled to rt, concentrated, diluted with H2O, and filtered. The isolated solid was triturated with EtOH to provide 3.22 g of 2-(3',4'-dimethyl-biphenyl-4-yl)-imidazo[1 ,2-a]pyridine as a solid. MS: (M+) 299.1H NMR (400 MHz, CDCI3): δ 8.12 (d, 1 , J = 6.6), 8.00 (d, 2, J = 8.3), 7.89 (s, 1), 7.62- 7.68 (m, 3), 7.13-7.44 (m, 4), 6.77 (t, 1 , J = 6.6), 2.34 (s, 3), 2.31 (s, 3).
Example 102 - C3a ICgn = 17 nM 3-f2-(3'.4'-Dimethyl-biphenyl-4-yl.)-imidazoπ ,2-alpyridin-6-vn-ri ,2.41oxadiazol-5-ol
A mixture of 2-(3',4'-dimethyl-biphenyl-4-yl)-imidazo[1 ,2-a]pyridine-6-carbonitrile (65 mg, 0.20 mmol), hydroxylamine hydrochloride (56 mg, 0.80 mmol), Et3N (0.11 mL, 0.80 mmol), and DMF (5 mL) was heated at 80 °C for 3 h. The mixture was cooled to rt, diluted with H2O, and extracted with EtOAc (2 x). The combined extracts were washed with H2O and brine, dried (MgSO4), filtered, and concentrated to provide 90 mg of solid. A portion of the solid (71 mg) was dissolved in DMF (5 mL) and Et3N (28 uL, 0.22 mmol). The mixture was cooled to 0 °C and 2-ethylhexyl chloroformate (39 uL, 0.22 mmol) was added. The mixture W
-60-
was heated at 1400C for 2, cooled to rt, stirred for 14 h, and concentrated. The crude material was partitioned between H2O and EtOAc. The mixture was acidified to pH =2 with 1 M HCI, and extracted with EtOAc (2 x). The combined extracts were dried (MgSO4), filtered, concentrated, and triturated with EtOAc to provide 15 mg of 3-[2-(3',4'-dimethyl-biphenyl-4-yl)- imidazo[1,2-a]pyridin-6-ylH1 ,2,4]oxadiazol-5-ol as a solid.1H NMR (400 MHz, DMSO-D6) .δ 8.16 (s, 1), 7.65 (s, 1), 7.29 (d, 2, J = 8.5): 6.97-7.03 (m, 3), 6.88 (d, 1, J = 9.3), 6.75 (s, 1), 6.69 (dd, 1 , J = 7.9, 1.9), 6.50 (d, 1 , J = 7.9), 1.62 (s, 3), 1.58 (s, 3). Example 103 - C3a ICgn = 211 nM 2-Biphenyl-4-yl-7-(1 H-tetrazol-5-yl)-imidazoH ,2-alpyridine A solution of 2-bromo-4'-phenylacetophenone (5.00 g, 18.2 mmol) and H2NOMe-HCI
(4.55 g, 54.5 mmol) in MeOH (75 mL) was heated at 700C for 1.5 h. H2O (10 mL) was added to the reaction mixture, which was cooled to rt and then to 00C. The white precipitate was isolated by filtration provided 4.66 g of solid. A portion of this solid (300 mg) was combined with 4-cyanopyridine (103, 0.986 mmol) in EtOH (3 mL) and heated at 800C for 2 h_ Solid NaHCO3 (124 mg, 1.48 mmol) was added. The reaction mixture was heated at 800C overnight, cooled to rt, concentrated, and chromatographed (preabsorbed to silica; eluted with gradient of 0-2.5% MeOH in CH2CI2) to provide 41.7 mg of solid. The solid was combined with azidotrimethylsilane (37 uL, 0.28 mmol), dibutyltin oxide (5 mg, 0.02 mmol), and toluene. The mixture was heated at 90 °C for 18 h, cooled to rt, diluted with MeOH, and concentrated. The crude material was dissolved in, hot MeOH, then cooled slowly to approximately 00C, and filtered to provide 8.3 mg of of 2-biphenyl-4-yl-7-(1 H-tetrazol-5-yl)-imidazo[1 ,2-a]pyridine as a solid.1H NMR (400 MHz, DMSO-D6): δ 8.80 (d, 1, J = 6.8), 8.7 (s, 1), 8,29 (s, 1), 8.16 (d, 2, J = 8.1), 7.84 (d, 2, J = 8.3), 7.79 (d, 2, J = 7.7), 7.40-7.61 (m, 4). Example 104 - C3a ICm = 32 nM 6-(3',4'-Dimethyl-biphenyl-4-yl)-2,3-dihvdro-imidazof2,1-blthiazole tosylate salt
A slurry of 2-amino-2-thiazoline hydrochloride (138.6 mg, 1.00 mmol) and Cs2CO3 (652 mg, 2.00 mmol) in dioxane (5 mL) was stirred for 1 h at rt. 2-Bromo-1-(3',4'-dimethyl- biphenyl-4-yl)-ethanone (303 mg, 1.00 mmol) was added and the mixture was heated at 1010C for 2 h. EtOH (5 mL) was added. The reaction mixture was heated at 95 °C for 14 h, poured into 1 M NaOH and extracted with CH2CI2 (1 x) and EtOAc (1 x). The combined extracts were dried (MgSO4), filtered, concentrated, and chromatographed (gradient elution of 0-25% EtOAc in hexanes) to provide 53 mg of 6-(3',41-dimethyl-biphenyl-4-yl)-2,3-dihydro- imidazo[2,1-b]thiazole. The general tosylate salt formation procedure was used to provide 57 mg of the tosylate salt. MS: (M+) 307.1H NMR (400 MHz, CDCI3) § 8.17 (s, 1 ), 7.81 (d, 2, J = 8.7), 7.78 (d, 2, J = 8.7), 7.56 (s, 1), 7.46-7.53 (m, 3), 7.27 (d, 1 , J = 7.9), 7.15 (d, 2, J = 7.9), 4.50 (t, 2, J = 7.6), 4.18 (t, 2, J = 7.6), 2.34 (s, 3), 2.32 (s, 3), 2.30 (s, 3). . Example 105 - C3a ICm = 117 nM
2-r6-(3',4'-Dimethyl-biphenyl-4-yl)-imidazor2.1-blthiazol-3-y|]-ethanol tosylate salt
A slurry of 2-bromo-1-(3',4'-dimethyl-biphenyl-4-yl)-ethanoηe (6.06 g, 20 mmol), ethyl- 2-amino-4-thiazole acetate (3.72 g, 20 mmol), and NaHCO3 (1.68 g, 20 mmol) in EtOH (750 mL) was heated at 80 °C for 20 h. The mixture was cooled to rt, concentrated, diluted with H2O, and extracted with EtOAc (3 x). The combined extracts were dried (MgSO4), filtered, concentrated, and chjomatographed (gradient elution of 0-33% EtOAc in hexanes) to provide 2.60 g of yellow solid' (MS: M+ = 391). A portion of this solid (195 mg) was dissolved in CH2CI2 (10 mL) and cooled to 00C. DIBALH (1.17 mL of a 1.5 M soln in toluene, 1.75 mmol) was added dropwise over 15 min. After 2.5 h at 00C, 1 M NaOH (7 mL) was added. The mixture was warmed to rt, stirred for 1.5 h, and extracted with CH2CI2 (4 x). The combined extracts were dried (Na2SO4), filtered, concentrated, and chromatographed (gradient elution: 0-50% EtOAc in hexanes) to provide 72 mg of 2-[6-(3',4I-dimethyl-biphenyl-4-yl)-imidazo[2,1- b]thiazol-3-yl]-ethanol as a solid. The general procedure for tosylate salt formation was used to provide 90 mg of the tosylate salt as a solid. MS: {M+) 349.1H NMR (400 MHz, DMSO- D6): δ 8.67 (s, 1), 7.94 (d, 2, J = 8.3), 7.82 (d, 2, J = 8.5), 7.58 (s, 1 ), 7.48-7.54 (m, 3), 7.28 (d, 1, J = 7.9), 7.22 (s, 1), 7.15 (d, 2, J = 7.9), 3.85 (t, 2, J = 6.2), 3.07 (t, 2, J = 6.1), 2.34 (s, 3), 2.32 (s, 3), 2.30 (s, 3).
Example 106 - C3a ICm = 129 nM 2-Biphenyl-4-yl-7-ethyl-imidazof1 ,2-alpyridine
A mixture of 2-amino-4-ethylpyridine hydrochloride (0.10 g, 0.63 mmol), 2-bromo-4'- phenylacetophenone (0.17 g, 0.62 mmol), and NaHCO3 (0.1 g, 1.2 mmol) in EtOH (3 mL) was refluxed overnight, cooled to rt, and concentrated. The resulting solid was partitioned between CH2CI2 (10 mL) and 1 M NaOH (10 mL). The organic phase was dried (MgSO4), filtered and concentrated. The resulting solid was triturated with EtOH (3 mL) to provide 50 mg of 2-biphenyl-4-yl-7-ethyl-imidazo[1 ,2-a]pyridine as a solid. MS: (M+) 299.
Examples 107 - 111 may be prepared using a method analogous to Example 106:
Example 107 - C3a ICm = 63 nM
(2-Biphenyl-4-yl-imidazo[1 ,2-a]pyridin-7-yl)-methanol MS: (M+) 301.
Example 108 - C3a ICm = 150 nM
2-Biphenyl-4-yl-7-methoxymethyl-imidazo[1.2-a1pyridine
MS: (M+) 315.
Example 109 - C3a ICm = 47 nM r2-(3',4'-Dimethyl-biphenyl-4-yl)-imidazoπ ,2-aipyridin-6-yll-methanol
MS: (M+) 329.
Example 110 - C3a IC50 = 14 nM [2-(3',4'-Dimethyl-biphenyl-4-yl)-imidazo[1,2-a]pyridin-7-yl]-methanol
MS: (M+) 329.
Example 111 - C3a IC5n = 62 nM
2-(3',4'-Dimethyl-biphenyl-4-yl)-imidazori .Σ-aipyridine-e-carboxylic acid amide 5 MS: (M+) 342.
Example 112 - C3a \C = 30 nM
[2-(3',4'-Dimethyl-biphenyl-4-yl)-5,6,7,8-tetrahvdro-imidazof1 ,2-alPyridin-7-vn- methanol
A mixture of [2-(3',4'-dimethyl-biphenyl-4-yl)-imidazo[1,2-a]pyridin-7-yl]-methanol (82
10 mg, 0.25 mmol) and 10% Pd on carbon (30 mg) in acetic acid (4 ml_) was placed under a hydrogen atmosphere overnight. The mixture was filtered through celite, concentrated and chromatographed (20 CH2CI2: 1 MeOH: 0.1 NH4OH) to provide 15 mg of titled compound.
MS: (M+) 333.
Example 113 - C3a ICm = 14 nM
15 f2-(3',4'-Dimethyl-biphenyl-4-yl)-5,6,7,8-tetrahvdro-imidazon .2-alPyridin-6-yll- methanol
Prepared using a method analogous to [2-(3',4'-dimethyl-biphenyl-4-yl)-5,6,7,8- tetrahydro-imidazo[1 ,2-a]pyridin-7-yl]-methanol. MS: (M+) 333.
Example 114 - C3a IC52 = 86 nM
20. C-f2-(3',4'-Dimethyl-biphenyl-4-yl)-5,6.7,8-tetrahydro-imidazori .2-aipyridin-6-yl]- methylamine
A mixture of 2-(3',4'-dimethyl-biphenyl-4-yl)-imidazo[1,2-a]pyridine-6-carbonitrile (4.00 g, 12.4 mmol), EtOH (200 mL), aq. 6 M HCI (4.0 mL), and 10% Pd/C (4.00 g) was placed in a Parr bottle under N2 and then placed under H2 atmosphere (50 psi). Overnight the pressure 25 dropped to atmospheric pressure. The Parr bottle was repressurized to 44 psi of H2 and continued shaking for 4.25 h. The Parr bottle was purged with N2 and 6 M NaOH (6 mL) was added. The mixture was then filtered through a plug of celite, concentrated, redissolved, refiltered, and concentrated again to provide 4.20 g of C-[2-(3',4'-dimethyl-biphenyl-4-yl)- S.δJ.δ-tetrahydro-imidazoti
Figure imgf000063_0001
as a white solid.1H NMR (400 0 MHz, CDCI3) δ 7.77 (d, 2, J = 8.3), 7.57 (d, 2, J = 8.3), 7.40 (s, 1), 7.36 (d, 1, J = 7.9), 7.18 (d, 1 , J = 7.9), 7.09 (s, 1), 4.17 (dd, 1 , J = 12.2, 5.2), 3.64-3.72 (m, 1), 3.03-3.12 (m, 1), 2.72-2.91 (m, 3), 2.32 (s, 3), 2.29 (s, 3), 2.26-2.34 (m, 1), 2.02-2.16 (m, 2), 1.58-1.70 (m, 1), 1.06-1.26 (m, 1). Example 115 - C3a ICa3 = 25 nM
N-f2-(3',4'-Dimethyl-biphenyl-4-ylV5.6.7.8-tetrahvdro-imidazof1.2-alpyridin-6- ylmethyll-acetamide
To a slurry of C-[2-(3\4'-dimethyl-biphenyi-4-yl)-5,6,7,8-tetrahydro-imidazo[1 ,2- a]pyridin-6-yl]-methylamine (213.5 mg, 0.644 mmol) in CH2CI2 (6.4 mL) at rt was added Et3N
(180 uL, 1.29 mmol) and acetyl chloride (48 uL, 0.68 mmol). After 1 h the reaction mixture was poured into 1 M NaOH (50 mL), and extracted with CH2CI2 (2 x 50 mL). The combined extracts were dried (MgSO4), filtered, concentrated, and chromatographed (loaded with
CH2CI2; eluted with gradient of 2.5-10% MeOH in CH2CI2) to provide 130 mg of N-[2-(3\4'- dimethyl-biphenyl-4-yl)-5,6,7,8-tetrahydro-imidazo[1 ,2-a]pyridin-6-ylmethyl]-acetamide as a solid.1H NMR (400 MHz, CD3OD) δ. 7.75 (d, 2, J = 8.5), 7.60 -(d, 2, J1 = 8.3), 7.43 (bs, 1),
7.35-7.38 (m, 1), 7.34 (s, 1), 7.21 (d, 1 , J = 7.9), 4.15-4.21 (m, 1), 3.68-3.75 (m, 1 ), 3.31-3.35
(m, 2), 3.00-3.08 (m, 1), 2.80-2.89 (m, 1), 2.36 (s, 3), 2.32 (s, 3), 2.24-2.33 (m, 1), 2.10-2.18
(m, 1), 2.02 (s, 3), 1.66-1.77 (m, 1). The general tosylate salt procedure was used to provide 191 mg of the tosylate salt. MS: <M+) 374.
Example 116 - C3a ICgn = 71 nM
N-f2-(3',4'-Dimethyl-biphenyl-4-vπ-5,6,7.8-tetrahydro-imidazo[1.2-a1pyridin-6- ylmethvπ-2-phenyl-acetamide
To a mixture of phenyl-acetic acid (0.1 mmol) and PS-carbodiimide resin (Argonaut, P/N 800370, 110.5 mg, 0.125 mmol) in a 2 dram vial was added DMF (0.15 mL) followed by a mixture of C-[2-(3',4'-dimethyl-biphenyl-4-yl)-5,6,7,8-tetrahydro-imidazo[1 ,2-a]pyridin-6-yl]- methylamine (16.6 mg, 0.05 mmol) in dichloroethane (0.85 mL) and .diisopropylethylamine (0.019 mL). The mixture was shaken at 50 °C for 3.5 h and then at rt overnight. Another portion of PS-carbodiimide resin (80 mg) was added and the vial was shaken again at 500C for 4 h and then at rt overnight. The mixture was filtered through an SPE cartridge with a 20 micron frit, rinsing with CH2CI2 (1.5 mL), EtOAc (1.5 mL), DMF (0.5 mL), and then THF (1.5 mL). The filtrate was concentrated and purified on a Waters Xterra PrepMS C18 column (5uM, 30 X 100 mm) eluting with 0.1 % TFA in water and acetonitrile in a gradient system to provide the titled compound. MS: (M+) 450. Examples 117 - 166 were prepared using the same method as Example 116 except using the corresponding carboxylic acid:
Example 117 - C3a ICm = 245 nM
Benzorbithiophene-2-carboxylic acid F2-(3'.4'-dimethyl-biphenyl-4-yl)-5,6,7.8- tetrahvdro-imidazori ,2-aipyridin-6-ylmethvn-amide. MS: (M+) 492. Example 118 - C3a ICgn = 40 nM
N-f2-(3',4'-Dimethyl-biphenyl-4-yl)-5,6.7.8-tetrahvdro-imidazori .2-alpyridin-6- ylmethyll-propionamide.
MS: (M+) 388. Example 119 - C3a ICgn = 147 nM
N-r2-(3',4'-Dimethyl-biphenyl-4-vD-5.6.7.8-tetrahvdro-imidazoπ .2-aiPyridin-6- ylmethyll-3-fluoro-ben'zamide.
MS: (M+) 454.
Example 120 - C3a ICgn = 101 nM N-f2-(3',4'-Dimethyl-biphenyl-4-yl)-5.6.7.8-tetrahvdro-imidazoπ.2-alPyridin-6- ylmethyll-4-fluoro-benzamide. . '
MS: (M+) 454.
Example 121 - C3a ICgn = 48 nM
N-r2-(3'.4'-Dimethyl-biphenyl-4-yl)-5.6,7.8-tetrahvdro-imidazori .2-aipyridin-6- ylmethyll-2-fluoro-benzamide.
MS: (M+) 454.
Example 122 - C3a ICgn = 271 nM '
Hexanoic acid f2-(3',4'-dimethyl-biptienyl-4-yl)-5,6.7.8-tetrahvdro-imidazori .2- aipyridin-6-ylmethvn-amide. MS: (M+) 430.
Example 123 - C3a ICgn = 30 nM
1 H-lndole-4-carboxylic acid r2-(3'.4'-dimethyl-biphenyl-4-yl)-5,6.7.8-tetrahvdrc- imidazori .2-a1pyridin-6-ylmethvn-amide.
MS: (M+) 475. Example 124 - C3a ICgn = 88 nM
1-Methyl-1 H-pyrrole-2-carboxylic acid f2-/3'.4'-dimethyl-biphenyl-4-yl.)-5.6.7.8- tetrahvdro-imidazori ,2-alpyridin-6-ylmethvn-amide.
MS: (M+) 439.
Example 125 - C3a ICg2 = 19 nM 2.5-Dimethyl-1 H-pyrrole-3-carboxylic acid f2-{3',4'-dimethyl-biphenyl-4-yl)-5,6,7,8- tetrahvdro-imidazof1.2-alpyridin-6-ylmethvH-amide.
MS: (M+) 453.
Example 126 - C3a ICgn = 28 nM
3-Oxo-indan-1 -carboxylic acid r2-(3'.4'-dimethyl-biphenyl-4-vD-5,6,7,8-tetrahydrc- imidazof1 ,2-alpyridin-6-ylmethvπ-amide.
MS: (M+) 490. Example 127 - C3a ICgn = 29 nM
1 H-lndole-3-carboxylic acid r2-(3'.4'-dimethyl-biphenyl-4-yl)-5.6.7.8-tetrahvdro- imidazori ,2-aiPyridin-6-ylmethvn-amide.
MS: (M+) 475. Example 128 -C3a IC511 = 125 nM
(R)-Chroman-2-carboxylic acid f2-(3'.4'-dimethyl-biphenyl-4-yl)-5.6.7.8-tetrahvdro- imidazof1.2-aipyridin-6-ylmethvn-anπide.
MS: (M+) 492..
Example 129 - C3a ICgn = 27 nM 1 H-lndole-5-carboxylic acid f2-(3'.4'-dimethyl-biphenyl-4-yl)-5,6,7,8-tetrahvdro- imidazori ,2-alpyridin-6-ylmethyll-amide.
MS: (M+) 475.
Example 130 - C3a ICm = 98 nM
Cvcloheptanecarboxylic acid f2-(3',4'-dimethyl-biphenyl-4-yl)-5.6,7,8-tetrahvdro- imidazof1 ,2-a1pyridin-6-ylmethvn-amide.
MS: (M+) 456.
Example 131 - C3a ICm = 14 nM
1 H-Benzotriazole-5-carboxylic acid r2-(3'.4'-dimethyl-biphenyl-4-yl)-5,6,7,8- tetrahvdro-imidazori .2-alpyridin-6-ylmethvn-amide. MS: (M+) 477.
Example 132 - C3a ICgn = 68 nM
Cvclopentanecarboxylic acid r2-(3',4'-dimethyl-biphenyl-4-vO-5.6.7.8-tetrahvdrc- imidazof1.2-alPyridin-6-ylmethyl1-amide.
MS: (M+) 428. Example 133 - C3a ICm = 100 nM
Bicvclor4.2.01octa-1 (6).2.4-triene-7-carboxylic acid r2-(3',4'-dimethyl-biphenyl-4-yl)- 5.6.7.8-tetrahvdro-imidazori .2-alPyridin-6-ylmethvn-amide.
MS: (M+) 462.
Example 134 - C3a ICm = 12 nM 2-Oxo-thiazolidine-4-carboxylic acid r2-(3'.4'-dimethyl-biphenyl-4-yl)-5.6.7.8- tetrahvdro-imidazori .2-aipyridin-6-ylmethvn-amide.
MS: (M+) 461.
Example 135 - C3a ICgn = 51 nM
(E)-N-r2-(3',4'-Dimethyl-biphenyl-4-vπ-5,6,7,8-tetrahvdro-imidazoπ ,2-alpyridin-6- ylmethvn-3-(1 H-indol-3-yl)-acrylamide.
MS: (M+) 501. Example 136 - C3a ICgn = 44 nM
N-r2-(3',4'-Dimethyl-biphenyl-4-yl)-5,6,7,8-tetrahvdro-imidazo|'1,2-alpyridin-6- ylmethvπ-4-methyl-nicotinamide.
MS: (M+) 451. Example 137 - C3a IC52 = 117 nM
2-Cvclopent-1-enyl-N-r2-(3',4'-dimethyl-biphenyl-4-yl)-5,6.7,8-tetrahvdro-imida2oπ,2- alPyridin-6-ylmethvn-acetamide.
MS: (M+) 440.
Example 138 - C3a ICgn = 39 nM N-r2-(3',4'-Dimethyl-biphenyl-4-vπ-5.6.7.8-tetrahvdro-imidazoπ.2-alpyridin-6- ylmethvn-2-(1 H-indol-3-yl)-acetamide. i
MS: (M+) 489.
Example 139 - C3a ICgn = 48 nM
N-r2-(3',4'-Dimethyl-biphenyl-4-yl)-5,6.7,8-tetrahvdro-imidazof1.2-alpyridin-6- ylmethyli-benzamide.
MS: (M+) 436.
Example 140 - C3a ICgn = 55 nM
Cvclohex-3-enecarboxylic acid r2-(3'.4'-dimethyl-biphenyl-4-yl)-5.6,7,8-tetrahvdro- imidazof1 ,2-aipyridin-6-ylmethyll-amide. MS: (M+) 440.
Example 141 - C3a IC5n = 133 nM
5-Phenyl-pentanoic acid f2-(3',4'-dimethyl-biphenyl-4-yl)-5.6.7.8-tetrahvdro- imidazori.2-alpyridin-6-ylmethvn-amide.
MS: (M+) 492. Example 142 - C3a ICm = 95 nM
2-Benzorb1thiophen-3-yl-N-f2-f3'.4'-dimethyl-biphenyl-4-yl)-5,6,7,8-tetrahvdro- imidazori ,2-alpyridin-6-ylmethvπ-acetamide.
MS: (M+) 506.
Example 143 - C3a ICgn = 38 nM Tetrahvdro-furan-3-carboxylic acid r2-(3',4'-dimethyl-biphenyl-4-yl)-5,6.7.8-tetrahydro- imidazo[1.2-a]pyridin-6-ylmethvπ-amide.
MS: (M+) 430.
Example 144 - C3a IC5Q = 290 nM
N-f2-(3',4'-Dimethyl-biphenyl-4-yl)-5,6,7.8-tetrahvdro-imidazoπ .2-a1pyridin-6- ylmethvn-2-indan-2-yl-acetamide.
MS: (M+) 490. Example 145 - C3a ICm = 122 nM
2-Cvclopentyl-N-f2-(3',4'-dinnethyl-biphenyl-4-yl)-5,6.7.8-tetrahvdro-imidazori,2- aipyridin-6-ylmethvn-acetamide.
MS: (M+) 442. Example 146 - C3a ICgn = 61 nM
2-Methyl-cvclopropanecarboxylic acid J2-(3'.4'-dimethyl-biphenyl-4-yl)-5.6.7.8- tetrahvdro-imidazof1.2-alpyridin-6-ylnnethvn-amide.
MS: (M+) 414.
Example 147 - C3a IC52 = 152 nM N-[2-(3',4'-Dimethyl-biphenyl-4-vπ-5.6,7.8-tetrahvdro-imidazon ,2-alpyridin-6- ylmethvπ-3-(1H-indol-3-yl)-propionamide. •
MS: (M+) 503.
Example 148 - C3a ICgn = 18 nM
N-r2-(3',4'-Dimethyl-biphenyl-4-yl)-5,6,7,8-tetrahvdro-imidazoπ,2-aiPyridin-6- ylmethvn-2-(1,1-dioxo-tetrahvdrothiophen-3-yl)-acetamide.
MS: (M+) 492.
Example 149 - C3a ICm = 43 nM
N-r2-(3',4'-Dimethyl-biphenyl-4-vπ-5.6.7,8-tetrahvdro-imidazof1 ,2-alpyridin-6- ylmethvπ-2-methoxy-nicotinamide. MS: (M+) 467.
Example 150 - C3a ICgn = 91 nM
N-r2-(3',4'-Dimethyl-biphenyl-4-yl)-5,6,7,8-tetrahvdro-imidazori ,2-alpyridin-6- ylmethyli-3-phenyl-propionamide.
MS: (M+) 464. Example 151 - C3a ICgn = 36 nM
Thiophene-2-carboxylic acid r2-(3',4'-dimethyl-biphenyl-4-yl)-5.6.7.8-tetrahvdro- imidazof1,2-alpyridin-6-ylmethvπ-amide.
MS: (M+) 442.
Example 152 - C3a ICgn = 26 nM Furan-2-carboxylic acid f2-(3'.4'-dimethyl-biphenyl-4-yl)-5,6,7,8-tetrahvdro- imidazoH,2-a1pyridin-6-ylmethvπ-amide.
MS: (M+) 426.
Example 153 - C3a ICgn = 30 nM
N-f2-(3'.4'-Dimethyl-biphenyl-4-vn-5.6.7.8-tetrahvdro-imidazoπ ,2-a1pyridin-6- ylmethyll-nicotinamide.
MS: (M+) 437. Example 154 - C3a ICgn = 42 nM
1 H-lndazole-3-carboxylic acid r2-(3'.4'-dimethyl-biphenyl-4-yl)-5.6.7.8-tetrahγdro- imidazori .2-alpyridin-6-ylmethyll-amide.
MS: (M+) 476. Example 155 - C3a ICgn = 100 nM
5-Methyl-1 H-indole-2-carboxylic acid r2-(3'.4'-dimethyl-biphenyl-4-yl)-5,6.7,8- tetrahvdro-imidazori j2-a1pyridin-6-ylmethv —l1-amide.!
MS: (M+) 489.
Example 156 - C3a ICgn = 131 nM N-r2-(3'.4'-Dimethyl-biphenyl-4-vn-5.6.7.8-tetrahvdro-imidazori .2-aiPyridin-6- ylmethyll-3-indol-1-yl-propionamide.
MS: (M+) 503.
Example 157 - C3a ICgn = 24 nM
6-Oxo-heptanoic acid r2-(3',4'-dimethyl-biphenyl-4-yl)-5,6.7.8-tetrahvdro-imidazof 1.2- alpyridin-6-ylmethvH-amide.
MS: (M+) 458.
Example 158 - C3a ICgn = 45 nM
Thiophene-3-carboxylic acid r2-(3'.4'-dimethyl-biphenyl-4-yl)-5.6.7,8-tetrahvdro- imidazori ,2-aipyridin-6-ylmethyll-amide. MS: (M+) 442.
Example 159 - C3a ICgn = 17 nM
5-Methyl-pyrazine-2-carboxylic acid r2-(3'.4'-dimethyl-biphenyl-4-yl)-5.6.7,8- tetrahvdro-imidazoπ .2-alpyridin-6-ylmethvπ-amide.
MS: (M+) 452. Example 160 - C3a ICgn = 29 nM
Cvclopropanecarboxylic acid r2-(3'.4'-dimethyl-biphenyl-4-yl)-5.6,7.8-tetrahvdro- imidazof1.2-alpyridin-6-ylmethyll-amide.
MS: (M+) 400.
Example 161 - C3a ICgn = 28 nM N-r2-(3',4'-Dimethyl-biphenyl-4-vn-5.6.7.8-tetrahvdro-imidazof1 ,2-a1pyridin-6- ylmethvπ-6-methyl-nicotinamide.
MS: (M+) 451.
Example 162 - C3a ICgn = 67 nM
Cvclohex-1 -enecarboxylic acid r2-(3'.4'-dimethyl-biphenyl-4-yl)-5.6,7,8-tetrahvdro- imidazori ,2-alpyridin-6-ylmethvn-amide.
MS: (M+) 440. Example 163 - C3a ICg2 = 30 nM
2-Cvclopropyl-N-r2-(3',4'-dimethyl-biphenyl-4-yl)-5,6,7,8-tetrahvdro-imidazof1.2- alpyridin-6-ylmethyll-acetamide.
MS: (M+) 414. Example 164 - C3a ICgn = 39 nM
Cvclobutanecarboxylic acid r2-(3'.4'-dimethyl-biphenyl-4-yl)-5.6.7.8-tetrahvdro- imidazori ,2-alPyridin-6-ylmethvπ-amide. MS: (M+) 414.
Example 165 - C3a ICgn = 213 nM 4.5-Dichloro-isothiazole-3-carboxylic acid r2-(3',4'-dimethyl-biphenyl-4-yl)-5.6,7,8- tetrahvdro-imidazoπ,2-aipyridin-6-ylnnethyll-amide. i
MS: (M+) 511.
Example 166 - C3a ICgn = 89 nM
N-f2-f3'.4'-Dimethyl-biphenyl-4-vn-5,6,7.8-tetrahydro-imidazori .2-alpyridin-6- ylmethyll-4-methyl-benzamide. MS: (M+) 450.
PREPARATIONS: Preparation 1
2-Bromo-1-(3'.4'-dimethyl-biphenyl-4-yl)-ethanone To a mixture of 3,4-dimethylphenylboronic acid (15 g, ,0.10 mol), 4- bromoacetophenone (9.95 g, 50.0 mmol), toluene (200 ml_), isopropanol (100 mL) was added a solution of sodium carbonate (21.2 g, 200 mmol) in 100 mL of water. This was then evacuated and refilled with nitrogen three times and then Pd(dppf)(CH2CI2) (2.0 g, 2.7 mmol) was added in one portion. The reaction was one again evacuated and refilled with nitrogen three times and then heated to reflux. After 90 minutes, the reaction was cooled to room temperature and diluted with ethyl acetate (500 mL) and the aqueous layer was discarded. The organic layer was washed sequentially with aqueous saturated sodium bicarbonate (200 mL), water (200 mL) and brine (200 mL), dried (MgSO4) and concentrated to give a dark oil. This was purified on silica gel utilizing a gradient elution of 40% to 80% CH2CI2 in hexanes to give 9.33 g of the biphenyl methyl ketone as a white solid. 1 H NMR (CDCI3) δ 7.98 (d, J = 8.1 Hz, 2H), 7.64 (d, J = 8.1 Hz, 2H), 7.39 (s, 1 H), 7.35 (d, J = 7.9 Hz, 1 H), 7.21 (d, J = 7.9 Hz, 1 H), 2.61 (s, 3H), 2.32 (s, 3H), 2.29 (s, 3H).
To a solution of this material (9.33, g, 41.6 mmol), CH2CI2 (150 mL) and methanol (50 mL) was added tetrabutylammonium tribromide (20.05 g, 41.6 mmol) in one portion. After 3 h, the reaction was concentrated, diluted with ethyl acetate (400 mL) and. then washed sequentially with water (2 X 100 mL) and brine (100 mL). The resulting orange solution was dried (MgSO4) and concentrated to give an orange solid. This was recrystallized from hexane (with a minimum amount of ethyl acetate) to give several crops of the title compound. The total amount of recover material was 9.05 g.1H NMR (d6-CDCI3) δ 8.03 (d, J = 8.3 Hz, 2H), 7.69 (d, J = 8.3 Hz, 2H), 7.41 (s, 1 H), 7.37 (d, J= 7.9 Hz, 1 H), 7.23(d, J = 7.9 Hz, 1H), 4.47 <s, 2H), 2.34 (s, 3H)1 2.32 (s, 3H). Preparation 2
2-Bromo-1-f2-(3.4-dimethyl-phenyl)-pyrimidin-5-vπ-ethanone
To a solution of palladium diacetate (30 mg, 0.13 mmol) and dimethoxyethane £3 ml_) was added triphenylphosphine (136 mg, 0.52 mmol) and the reaction was heated to reflux for 30 min. After cooling to room temperature, 2-iodo-5-bromo-pyrimidine (750 mg, 2.63 mmol), 3,4-dimethylphenylboronic acid (414 mg, 2.76 mmol), 2 M aqueous Na2CO3 (3 ml.) and dimethoxyethane (6 ml.) was added. The reaction was heated to reflux1 overnight, cooled to room temperature and then diluted with water (20 mL). This was then extracted with CH2CI2 (3 X 10 mL) and the combined organic layers dried (Na2SO4) and concentrated. The residue was purified via silica gel chromatography utilizing 3:2 hexanes:CH2CI2 as eluent to give 5- bromo-2-(3,4-dimethyl-phenyl)-pyrirnidine as an oil (452 mg, 65%).
To a solution of palladium diacetate (19 mg, 0.086 mmol) and dimethoxyethane (3 mL) was added triphenylphosphine (90 mg, 0-34 mmol) and the reaction was heated to reflux for 30 min. After cooling to room temperature, the above bromopyrimidine (450 mg, 1.71 mmol), tributyl (i-ethoxyvinyl)-stannane (679 mg, 1.88 mmol) and dimethoxyethane (7 mL) was added and the reaction was reheated to reflux for 8 h. After cooling to room temperature, the reaction was diluted with CH2CI2 (20 mL) and 50% aqueous KF (20 mL) and then stirred for 30 min. This mixture was then filtered through a pad of Celite and the, residue washed with an additional amount (10 mL) of CH2CI2. The resulting aqueous layer was extracted with CH2CI2 (10 mL) and the combined organic layers dried (Na2SO4) and concentrated. The residue was purified via silica gel chromatography utilizing 3:2 CH2CI2:hexanes as eluent to give 2-(3,4-dimethyl-phenyl)-5-(1-ethoxy-vinyl)-pyrimidine isloated as an oil (390 mg, 89%).
This material was then dissolved in a mixture of acetone (8 mL) and 1N HCI (2 mL) and stirred at room temperature for 4h. It was neutralized with sat. aqueous sodium bicarbonate solution and the acetone removed by rotary evaporation. The resulting aqueous material was extracted with CH2CI2 (3 X 15 mL) and the combined organic layers dried (Na2SO4) and concentrated to give 1-[2-(3,4-dimethyl-phenyl)-pyrimidin-5-yl]-ethanone (293 mg, 84%).
A solution of this ketone (293 mg, 1.29 mmol), tetrabutylammonium tribromide (658 mg, 1.37 mmol) and CH2CI2 (10 mL) was heated to reflux overnight. After cooling to room temperature, the organic layer was washed with 10% aqueous sodium metabisulfite (10 mL), and this aqueous solution was then extracted with CH2CI2 (2 X 10 mL). The combined organic layers were washed with a solution of aqueous saturated sodium bicarbonate (10 mL), dried (Na2SO4) and concentrated. The residue was purified via silica gel chromatography utilizing CH2CI2 to give the title compound.
Preparation 3 - <
4-Cyclopropyl-benzeneboronic acid To a solution of cyclopropyl-benzene (3.3 g, 28 mmol), potassium acetate (3.3 g, 34 mmol) and acetic acid (30 mL) at O0C was added bromine (1.5 mL, 29 mmol) in a dropwise fashion. After stirring at O0C, the reaction was poured into water (100 mL) and extracted with ethyl acetate (100 mL). The organic layer was washed with 2 M aqueous potassium carbonate (2 X 100 mL) and then dried (K2CO3) and concentrated. After a distillation at reduced pressure (70-900C at 1 mm Hg) 1-bromo-4-cyclopropyl-benzene was isolated as a colorless liquid. To a solution of this bromide (1.83 g, 9.3 mmol) and THF (20 mL) at -780C was added nBuLi (1.6 mL, 5.8 M, 9.3 mmol) in a dropwise fashion. After stirring for 30 at -780C, trimethylborate (1.0 mL, 8.9 mmol) was added and the reaction was allowed to warm to room temperature. Water (10 mL) was added and the resulting mixture was concentrated to dryness to give the title compound that was used without further purification.
Preparation 4
4-Methoxymethyl-benzeneboronic acid dimethyl ester
To a solution of 4-(Dihydroxyborane pinacol ester) 4-bromomethylbenzene (1.2 gm, 4.1 mmol) and methanol (20 mL) was added a solution of 25% sodium methoxide in methanol (0.5 mL). After heating to reflux for 2 h, the reaction was cooled, concentrated and mixed with water (25 mL). Acetic acid was added until pH 7, and the aqueous mixture was extracted with ethyl acetate (100 mL). The organic solution was concentrated to give the title compound that was used without further purification.
Preparation 5 4-Methylthiomethyl-benzeneboronic acid dihvdroxy pinacol ester
To a solution of 4-(Dihydroxyborane pinacol ester) 4-bromomethylbenzene (1.2 gm, 4.1 mmol) and DMF (10 mL) was added sodium methylthiolate (0.32 g, 4.5 mmol). After stirring overnight, the reaction was poured into water (100 mL) and extracted with ethyl acetate (100 mL). The organic layer was washed with 2 M aqueous potassium carbonate 50 mL and then dried (MgSO4) and concentrated to give the title compound which was used without further purification.
Preparation 6
4,5-Dimethyl-2-fluoro-phenylboronic acid .
To a solution of 3,4-dimethyl acetanilide (2.30 g, 14.1 mmol) and acetic acid (20 mL) was added dropwise, a solution of bromine (1.4 mL, 27 mmol) and acetic acid (5 mL). After stirring overnight, the reaction was poured into water (200 mL) and the resultant yellow solid collected by vacuum filtration. This material was recrystallized in ethanol to give 2-bromo-4,5- dimethyl acetanilide isolated as a pale pink solid (3.0 g, 90%). A solution of this acetanilide (2.41 g, 10 mmol) and aqueous NaOH (3 N, 100 ml_) was heated to reflux for 5 h and then cooled to room temperature. This was extracted with ethyl acetate (2 x 100 ml_), dried (MgSO4) and concentrated to give a solid. This material was recrystallized in methanol/water to give 2-bromo-4,5-dimethyl aniline isolated as a white solid (0.89 g, 45%). To a solution of this aniline (4.10 g, 20.6 mmol) and THF (10 mL) at 00C was added 48% HBF4 (16.2 mL). A solution of sodium nitrite (1.24 g, 18 mmol) and water (10 mL) was then added dropwise and the resultant yellow suspension stirred at O0C for 1h. The solid was collected by vacuum filtration to give 5.28 g of the diazonium salt. The material was then heated to 1200C in a stream of nitrogen gas and the cooled to room temperature after the evolution of BF3 had ceased. The remaining material was dissolved in CH2CI2 (100 mL), filtered through a short pad of silica gel, dried (MgSO4) and concentrated to give 1-bromo-2-fluoro-4,5-dimethyl which was isolated as a solid. A solution of this bromide (1.45 g, 7.2 mmol) and THF (15 mL) at -780C was treated with nBuLi (1.6 M, 4.5 mL, 7.2 mmol) in a dropwise fashion. After 30 min at - 780C, trimethylborate (1.0 mL, 8.9 mmol) was added and the reaction was allowed to warm to room temperature. The reaction mixture was poured into water (1OmL) and evaporated to give the title compound that was used without further purification. '
Preparation 7 4-isopropyl-2-fluoro-phenylboronic acid dimethyl ester A solution 4-isopropyl aniline (5.0 mL, 37.4 mmol) and acetic anhydride (25 mL) was stirred at room temperature for 24 h. The excess anhydride was removed on a rotary evaporator and the residue was crystallized from methanol/water to give 5.4 g of 4-isopropyl acetanilide isolated as a white solid. To a solution of this solid (7.16 g, 41 mmol) and acetic anhydride (50 mL) at O0C was added 3.5 mL nitric acid. The reaction was stirred for 1 h at O0C and then poured into ice water (250 mL). The resulting solid was collected by vacuum filtration and dried overnight to give 6.71 g of 4-isopropyl-2-nitro-acetanilide. A suspension of the above nitro compound (6.71 g, 30.2 mmol) in 6 N NaOH (50 mL) was heated to reflux for
3 h. After cooling to room temperature, the reaction mixture was extracted with ethyl acetate and the organic layer dried (MgSO4) and concentrated to give 5.35 g 4-isopropyl-2-nitro- aniline, isolated as an oil. To a 650C suspension of CuBr2 (7.8 g, 35 mmol) in acetonitrile (100 mL) and butyl nitrite (7 mL) was added dropwise a solution of the above nitro-aniline (5.35 g, 29.7 mmol) and acetonitrile (50 mL). After the evolution of nitrogen gas had ceased, the reaction was cooled and concentrated to a brown residue. This was filtered trough silica gel utilizing ethyl acetate/hexanes as eluent to give 4-isopropyl-2-nitro-bromobenzene 5.94 g which was isolated as a yellow oil. To a suspension of the above bromobenzene (4.43 g, 18.2 mmol) and acetic acid was added methanol (10 mL) and zinc dust (5 g). After 30 min, the reaction was filtered and the filtrate was diluted with water (200 mL). This aqueous mixture was extracted with ethyl acetate (2 X 300 mL) and the organic layer dried (MgSO4) and concentrated. Distillation under vacuum gives a high boiling fraction which is nearly pure 2-bromo-5-isopropylaηiline. To a O0C solution of the above aniline (0.63 g, 2.95 mmol) and HF-pyridine (15 mL) was sodium nitrite (1.1 equivalents) in 3 portions. After stirring at room temperature for 45 min, it was then heated to 1000C for 45 min. After cooling to room temperature, it was poured in ice (100 mL), and extracted with CH2CI2 (2 X 100 mL). Chromatography on silica gel utilizing hexanes/CH2CI2 as eluent gave 2-fluoro-4-isopropyl- bromobenzene (0.28 g) as a yellow oil. To a solution of this bromide and THF at -780C was added nBuLi (1.6 equiv) in a dropwise fashion. After 30 rtiin, trimethylborate (2.3 equiv) was added and the reaction was allowed to warm to room temperature. The reaction mixture was evaporated to give the title compound that was used without further purification. Preparation 8 <
4-lsopropyl-3-methyl-phenylboronic acid 4-lsopropyl-3-methylaniline hydrochloride (3.0 g, 16 mmol) was added portionwise to a dark green solution of cupric bromide (4.0 g, 18 mmol), butyl nitrite (2.3 mL, 19 mmol) and acetonitrile (50 mL). This was then heated to reflux for 15 min, cooled and concentrated. The dark residue was chromatographed on silica gel utilizing hexane aέ eluent to provide 4- isopropyl-3-methylbromobenzene (2.67 g) as a colorless oil. To a solution of all of the above bromide and THF (80 mL) at -780C was added nBuLi (5.6 mL, 2.5 M, 14 mmol) and the reaction allowed to stir at that temperature for 20 min. Trimethylborate (1.8 mL, 15mmol) was added and the solution was warmed to room temperature overnight. After quenching with water (5 mL) the reaction was concentrated to a semi-solid. The residue was diluted with methanol (100 mL) and water (20 mL) and again concentrated to give the title compound as an off white solid. Preparation 9
4.5-Dimethyl-3-fluoro-phenylboronic acid
To a solution of 3,4-dimethyl acetanilide (23 g, 0.14 mol) and cone, sulfuric acid (150 mL) at -1O0C was added dropwise a solution of nitric acid (10 mL) and sulfuric acid (20 mL) such that the temperature of the reaction was kept below -70C. After the addition was complete, the yellow reaction was poured on crushed ice (1 L) and the resultant solid collected by vacuum filtration. This was then recrystallized from ethanol to give 4,5-dimethyl- 3-nitro-acetanilide isolated as yellow needles (14.9 g). This material was then subjected to atmospheric hydrogenation with 10% Pd/C in methanol overnight. The catalyst was removed by vacuum filtration and the filtrate concentrated to give N-(3-Amino-4,5-dimethyl-phenyl)- acetamide as a pink solid in quantitative yield. The above amine (11.5 g, 64.5 mmol) was added to HF-pyridine (70% by mass, 159 g) at O0C under argon gas, and the resulting solution then cooled to -4O0C. Sodium nitrite (4.95 g, 71.7 mmol) was added in portions and the reaction was then allowed to warm to room temperature. After the gas evolution had subsided, the reaction was heated to 7O0C for 2 h and then allowed to cool to room temperature. It was then poured onto ice (250 mL) and extracted with CHCI3 (4 x 100 ml_).
The combined extracts were washed with 5% NaHCO3 until neutral and then dried (MgSO4) and concentrated. The residue was purified by chromatography on silica gel utilizing ethyl acetate - hexane mixtures to give N-(3-fluoro-4,5-dimethyl-phenyl)-acetamide (5.12 g) as a white solid. The above acetanilide was suspended in 2N NaOH (150 mL) and heated to reflux for 7h. After cooling to room temperature, the reaction mixture was extracted with
CH2CI2 (3 x 100 mL), the combined organic layers were then dried (MgSO4) and concentrated to give 3-fluoro-4,5-dimethyl-aniline as an orange solid. The above aniline (3.77 g, 24.4 mmol) in acetonitrile (40 mL) was added to a dark green solution of cupric bromide (6.0 g, 27 mmol), butyl nitrite (5.58 mL, 47.7 mmol) and acetonitrile (80 mL). This was then heated to reflux for 15 min, cooled and concentrated. The dark residue was chromatographed on silica gel utilizing hexane as eluent to provide a mixture of mono, di and tri bromide material (3.11 g). Vacuum distillation (300C at 0.25 mm Hg) gave 5-bromo-1-fluoro-2,3-dimethyl-benzene as an oil (0.30 g). To a solution of this bromide (0.30 g, 1.5 mmol) and THF (10 mL) at -78°C, was added nBuLi (2.5 M, 0.66 mL, 1.65 mmol). After 10 min, trimethylborate (0.25 mL, 0.45 mmol) was added and the reaction allowed to warm to room temperature overnight. The reaction was quenched with water (2 mL) and concentrated to give the title compound (0.33 g) as a white solid.
Preparation 10 lndan-5-boronic acid
To a suspension of Zn-Hg (prepared from 1.4 gm of zinc) in cone. HCI (20 mL) was added a suspension of 5-bromoindanone (1.05 g, 4.97 mmol) in acetic acid (10 mL). The reaction was heated to 1000C for 1.5 h, and then allowed to cool to room temperature and extracted with ether (3 x 75 mL). The combined organic layers were washed with water (5 x
50 mL), then dried (MgSO^.) and concentrated to give 5-bromoindan as an orange oil (0.73 g).
To a solution of this bromide (0.73 g, 3.7 mmol) and THF (20 mL) at -780C, was added nBuLi (2.5 M, 1.63 mL, 4.08 mmol). After 15 min, trimethylborate (0.63 mL, 5.6 mmol) was added and the reaction allowed to warm to room temperature overnight. The reaction was quenched with water (2 mL) and concentrated to give the title compound as a yellow solid.
Preparation 11
3,4-Bistrifluoromethyl iodobenzene
To a suspension of 3,4-bistrifluoromethyl aniline (583 mg, 2.55 mmol) in water (12 mL) was added 2.4 equivalents of HCI. The reaction mixture was cooled in an ice bath and then a solution of sodium nitrite (185 mg, 2.63 mmol) and water (5 mL) was added dropwise.
A solution of Kl (720 mg, 4.34 mmol) and water (5 mL) was added and the reaction allowed to stir for 15 min. Solid Na2S2O5 was added, the mixture was stirred for 10 minutes and then extracted with CH2CI2 (3 x 100 ml_). The combined organic layers were dried (MgSO4) and concentrated to give an oil. This was purified on silica gel to give the title compound (95 mg) isolated as an oil. Preparation 12
3-methyl-4-trifluoromethyl iodobenzene
A mixture of 2-iodo-5-nitrotolune (5.26 gm, 20 mmol), sodium trifluoroacetate (10.9 g, 80 mmol), CuI (7.64 g, 40 mmol) and NMP (20 mL) was heated to 16O0C for 8 h. An additional increment of sodium trifluoroacetate (1.36 g, 10 mmol) and CuI (1.91 g, 10 mmol) was added and heating was continued for 3 h. The reaction was poured into water (50 mL) and extracted with ethyl acetate (150 mL). The organic layer was washed with water (2 x 50 mL), dried (MgSO4) and concentrated. The residue was chromatographed on silica gel utilizing hexanes as solvent to give an oil that was found to be a mixture of the iodide starting material and the iodo product. This mixture was triturated with hexanes (3 x 5 mL) and the hexane layers were concentrated to give 3-methyl-4-trifluoromethyl nitrobenzene (1.50 g). To a mixture of the above nitro compound (1.1 g, 5.4 mmol), CHCI3 (5.5 mL), water (4 mL) and EtOH (4 mL) was added SnCI2.2H2O (2.4 g, 10.7 mmol) in 4 equal portions. After heating in a 550C oil bath for 2 h, an addition increment of SnCI2.2H2O (0.6 g, 2.6 mmol) was added and the reaction was returned to the oil bath for an additional hour. After cooling to room temperature, the reaction was neutralized with 2N sodium carbonate and filtered through Celite ®. The filtrate was extracted with ethyl acetate (3 x 25 mL) and the combined organic layers were dried (MgSO4) and concentrated to give 3-methyl-4-trifluoromethyl aniline (870 mg) as an oil. To a suspension of the above aniline {870 mg, 4.97 mmol) in 2N HCI (30 mL) at O0C was added a solution of sodium nitrite (345 mg, 4.97 mmol) in water (2 mL). After 10 min, a solution of Kl (1.65 g, 9.94 mmol) and water (5 mL) was added and the reaction allowed to stir for 30 min. The reaction was then extracted with CH2CI2 (3 x 20 mL) and the combined organic layers washed with a 5% aqueous solution of Na2S2O5. The organic solution was dried (MgSO4) and concentrated and purified on silica gel utilizing hexanes to give the title compound (1.07 g) isolated as an oil. Preparation 13
4-methyl-3-trifluoromethyl iodobenzene
To a mixture of 4-bromo-3-trifluoromethyl nitrobenzene (5.4 g, 20 mmol), ethanol (10 mL) and cone. HCI (12 mL) was added SnCI2.2H2O (11.3 g, 50 mmol) in 4 equal portions at 15 min intervals. After heating in a 7O0C bath for 2 h, an additional increment of SnCI2.2H2O (1.4 g, 6.2 mmol) was added and the reaction was returned to the oil bath for an additional hour. After cooling to room temperature, the reaction was extracted with hexanes and the hexane discarded. The aqueous solution was neutralized with NaOH and filtered through Celite ®. The filtrate was extracted with CH2CI2 (3 x SO mL) and the combined organic layers were dried (MgSO4) and concentrated to give 4-bromo-3-trifluoromethyl aniline (4.5 g) as an oil. To a solution of this material (0.96 g, 4.0 mmol), triethylamine (1.2 mL, 8 mmol) and CH2CI2 (3 mL) was added a solution of 1 ,2-bis(chloromethyldisilyl)ethane (0.86 g, 4 mmol) and CH2CI2 (2 mL). After stirring overnight, the reaction was diluted with ether (15 mL) and washed with water (5 mL). The resulting organic layer was chromatographed on silica gel utilizing hexane/ether as eluent to give 1-(4-bromo-3-trifluoromethyl-phenyl)-2,2,5,5- tetramethyl-[1 ,2,5]azadisilolidine isolated as an oil. To a solution of this material (570 mg, 1.5 mmol) and THF (5 ml) in a -780C bath was added nBuLi (0.6 mL, 2.5 M, 1.5 mmol) drop wise. After stirring at that temperature for 1 h, iodomethane (1 mL, 15 mmol) was added and the reaction was allowed to warm to room temperature. After 3h, the reaction mixture was concentrated to dryness, and the diluted with 1 :1 hexane/ether (10 mL) and 2 N HCI (15 mL). After stirring for 45 min, the aqueous layer was neutralized with 2 M sodium, carbonate and extracted with ether (2X 10 mL). The combined organic layers were dried (Na2SO4) and concentrated to give 4-bromo-3-trifluoromethyl-aniline {200 mg). To a solution of this aniline (175 mg, 1.00 mmol) in 2 N HCI (6 mL) in an ice/salt bath was added a solution of sodium nitrite (72 mg, 1.05 mmol) and water (1 mL). After 20 min, this was added to a cooled solution of potassium iodide (332 mg, 2.0 mmol) and water (2 mL) over 2 min. After 5 min, Na2S2O5 solid was added until the reaction became light in color and the reaction was extracted with CH2CI2 (2 X 10 mL). The combined organic layers were dried (Na2SO4) and concentrated and chromatographed on silica gel (hexane) to give the title compound (126 mg) as an oil. Preparation 14
3'.4'-Dimethyl-biphenyl-4-carboxylic acid hydrazide To a mixture of 3,4-dimethylphenylboronic acid (3.15 g, 26.7 mmol), ethyl 4- bromobenzoate (3.09 g, 13.4 mmol), toluene (30 mL), was added a 2 M solution of sodium carbonate (20.1 mL). . This was then evacuated and refilled with nitrogen three times and then Pd(PPh3J4 (3.09 g, 2.7 mmol) was added in one portion and the degassing repeated. After heating to reflux for 5 h, the dark reaction was cooled, diluted with CH2CI2 (200 mL) and washed with 20% NaOH (2 X 75mL). The organic layer was dried (Na2SO4) and concentrated and chromatographed on silica gel (hexane/ethyl acetate) to give 3',4'-dimethyl- biphenyl-4-carboxylic acid ethyl ester as a white solid. To a solution of this ester (0.500 g, 1.97 mmol) and methanol (3 mL) was added hydrazine hydrate (286 uL, 5.91 mmol) and the reaction heated to reflux for 20 h. After cooling to room temperature, a white solid had formed which was collected by vacuum filtration and washed with a small amount of ether to give the title compound. Preparation 15
2-(4-Bromo-phenyl)-5,6.7,8-tetrahvdro-imidazof1.2-aipyridine
To a solution of freshly free based iminopiperdine (4.27 g, 43.5 mmol) and CHCI3 (20 mL) was added a solution of 2-bromor1-(4-bromo-phenyl)-ethanone (9.91 g, 35.7 mmol) and CHCI3 (50 mL). After stirring for 16 h, the reaction was poured into an equal volume of ethyl acetate and the resulting solid collected by vacuum filtration. This solid was then suspended with 40 mL of water and placed in a 10O0C oil bath for 16 h. While hot, the reaction was neutralized with 6N NaOH ( 10 mL) and allowed to cool to room temperature. The milkly suspension was extracted with ethyl acetate (2 X 75mL), the organic layer was dried (Mg2SO4) and concentrated to give the title compound (1.10 g) isolated as a white solid.1H
NMR (d6-DMSO) δ 7.60 (d, 2H), 7.46 (s, 1H), 7.43 (d, 2H), 3.90 (t, 2H), 2:69 (t, 2H), 1.8 (m,
4H).
Preparation 16
2-(4-Bromo-2-fluoro-phenvπ-5.6.7.8-tetrahvdro-ri.2.41triazoloπ .5-aipyridine . A solution of methyl 4-bromo-2-fluoro benzoate (2.0 g, 8.6 mmol), ethanol (8 mL) and hydrazine hydrate (0.55 mL, 11 mmol) was stirred together for 2 days. The resulting solid was isolated by vacuum filtration, washed with ethanol (5 mL) to give 4-bromo-2-fluoro-benzoic acid hydrazide (1.36 g). To a solution of this hydrazide (1.00 g, 4.3 mmol), 5-chloro- pentanimidic acid ethyl ester hydrochloride (940 mg, 4.72 mmol) and ethanol (10 mL) was added triethylamine (1.3 mL, 9.3 mmol). The reaction was heated to reflux and an additional 760 mg (3.8 mmol) of the imidic ester was added over 5h, and then the dark reaction mixture was concentrated. The residue was diluted with water (10 mL) and extracted with CH2CI2 (50 mL) and concentrated. This was then purified on silica gel methyl tert butyl ether as eluent to give the title compound (190 mg) as a white solid. Preparation 17
5-(4-Bromo-phenyl)-2.3-dimethyl-3H-imidazori .2-biπ .2,41triazole
To a solution of 4,5-dimethyl-4H-[1 ,2,4]triazol-3-ylamine hydroiodide (180 mg, 0.75 mmol) and ethanol (5 mL) was added a solution of sodium methoxide in methanol (25% w/v,
0.19 mL, 0.82 mmol). The reaction was heated to reflux, 2-bromo-1-(4-bromo-phenyl)- ethanone (250 mg, 0.90 mmol) was added and the heating continued for an additional 4 h.
The reaction was cooled in dry ice and the resultant solid collected -by vacuum filtration and washed with ether. This solid was mixed with 48% hydrobromic acid (5 mL) and heated to reflux for 4 h and then cooled to O0C overnight. The solid was collected and subjected to chromatography on silica gel utilizing CHCI3/MeOH as eluent to give the title compound „(35 mg) as a solid. Preparation 18
5-(4-Bromo-phenyl)-3-methyl-3H-imidazori .2-b]f1 ,2,41triazole
To a solution of 4-methyl-4H-[1 ,2,4]triazol-3-ylamine hydroiodide {600 mg, 2.65 mmol) and ethanol (12 mL) was added a solution of sodium methoxide in methanol (2.68 M, 1.1 mL, 2.92 mmol). The reaction was heated to reflux, 2-bromo-1-(4-bromo-phenyl)- ethanone (884 mg, 3.18 mmol) was added and the heating continued for an additional 4 h.
The reaction was copied to O0C overnight and the resultant solid collected by vacuum filtration and washed with ether. This solid was mixed with polyphosphoric acid (ca. 20 mL) and placed into a 9O0C oil bath where it was stirred for 3.5 h. The reaction was then poured into 4 N NaOH (50 mL) and the aqueous mixture was extracted with CHCI3 (4 x 50 mL). The combined organic layers were dried (Na2SO4), concentrated and chromatographed on silica gel (CH2Cl2/MeOH/NH4OH) to give the title compound (176 mg) as a solid.
Preparation 19
6-(4-Bromo-phenvO-1-methyl-1 H-imidazor2.1-c1H ,2,41triazole To a solution of 2-Methyl-2H-[1 ,2,4]triazol-3-ylamine hemisulfate (2280 mg, 1.60 mmol) and ethanol (7 mL) was added a solution of sodium methoxide in methanol (2.68 M, 0.66 mL, 1.76 mmol). The reaction was heated to reflux, 2-bromo-1-(4-bromo-phehyl)- ethanone (533 mg, 1.92 mmol) was added and the heating continued for an additional 4 h. The reaction was cooled to O0C overnight and the resultant solid collected by vacuum filtration and washed with methanol. This solid was mixed with polyphosphoric acid (ca. 10 mL) and placed into a 9O0C oil bath where it was stirred for 3.5 h. The reaction was then poured into 3 N NaOH -(50 mL), additional based was added until the pH of the solution was about 10 and the aqueous mixture was extracted with CHCI3 (4 x 50 mL). The combined organic layers were dried (Na2SO4), concentrated and chromatographed sequentially twice on silica gel (CH2CI2/MeOH/N H4OH) then (hexane/ethyl acetate/triethylamine) to give the title compound (39 mg) as a solid.
Preparation 20
2-Bromo-1-(3-fluoro-3'.4'-dimethyl-biphenyl-4-yl)-ethanone
To a solution of 4-bromo-2-fluorobenzaldehyde (45 g. 0.22 mol) and methyl tert butyl ether (450 mL) in an ice/salt bath was added methyl magnesium bromide (3.0 M, 100 mL,
0.30 mol) over 70 min. After 90 min, the cold bath was removed and the reaction allowed to warm to room temperature. The reaction was quenched by the addition of 25% aqueous
NH4CI (500 mL) over 30 min. The organic layer was removed and the aqueous layer extracted with additional methyl tert butyl ether (200 mL). The combined organic layers were dried (MgSO4) and concentrated to give 1-(4-bromo-2-fluoro-phenyl)-ethanol {52.3 g). A solution of palladium diacetate (71 mg, 0.32 mmol), triphenylphosphine (336 mg, 1.28 mmol) and DMF {40 mL) was stirred under nitrogen for 2 h. The above bromo-alchohol (15.5 g, 71.0 mmol), 3,4-dimethylphenylboronic acid (10.8 g, 72.0 mmol), 2 M aqueous Na2CO3 (71 mL) and DMF (80 mL) were added and the reaction mixture was heated to reflux for 2 h. Water (50 mL) was added, the solution cooled to room temperature and it was extracted with ethyl acetate (150 mL). To this solution was added charcoal (3 g), celite (6g) and silica gel (6 g) and the mixture stirred for 30 min. This was filtered through a pad of celite, washing with ethyl acetate (100 mL) and concentrated to give 1-(3-fluoro-3\4'-dimethyl-biphenyl-4-yl)-ethanol in quantitative yield. To a solution of this alcohol (17.35 g, 71 mmol), CH2CI2 (150 mL) and pyridinium chlorochromate (30.6 g, 0.142 mol) was added 20 g of florasil. After 2 h, the dark reaction was filtered through a pad of celite and the pad washed with methyl tert butyl ether (200 mL). The combined organic layers were concentrated and chromatographed on silica gel utilizing hexaηe/ether as eluent to give 1-(3-fluoro-3',4'-dimethyl-biphenyl-4-yl)-ethanone (14.17 g). A solution of bromine (10.0 g, 62.5 mmol) in acetic acid {21 mL) was added over 1 h to a solution of the above methyl ketone (12.0 g, 50 mmol) and acetic acid (100 mL). After 2 h, ethyl acetate (400 mL) was added followed by 10% aqueous Na2S2O5 (100 mL). A solution of K2CO3 (200 g) in water (500 mL) was added slowly. The organic layer was separated and washed with brine (100 mL), dried (Na2SO4) and concentrated to give the title compound (15.6 g) isolated as a white solid, mp 96-1030C. Preparation 21 2-Bromo-1-(2-fluoro-3',4'-dimethyl-biphenyl-4-yl)-ethanone To a solution 3-fluoro-4-hydroxy acetophenone (1.54 g, 10 mmol), diisopropylethylamine (5.2 mL, 30 mmol) and CH2CI2 (15 mL) at -100C was added triflic anhydride (2.0 mL, 11.5 mmol) in a dropwise fashion. After 2 h, the reaction was diluted with an additional 15 mL of CH2CI2 and then washed sequentially with water (30 mL), 0.5 N NaOH (30 mL), water (30 mL), 5% succinic acid (2 x 30 mL) and water (30 mL). The resulting organic solution was dried (MgSO4) and concentrated to give trifluoro-methanesulfonic acid A- acetyl-2-fluoro-phenyl ester (2.29 g) as an oil. A solution of Pd(OAc)2 (55 mg, 0.25 mmol) and triphenylphosphine (257 mg, 0.98 mmol) in dimethoxyethane (20 mL) was heated to reflux for 30 min under nitrogen. After cooling to room temperature, a solution of the above triflate (1.4 g, 4.9. mmol) and dimethoxyethane (5 mL) was added followed by 3,4- dimethylbenzeneboronic acid (0.77 g, 5.14 mmol) and 2M K2CO3 solution (5 mL). The reaction was heated to reflux for 2 h and then cooled to room temperature and diluted with methyl tertbutyl ether (30 mL). The organic layer was separated and washed with a saturated sodium bicarbonate solution (20 mL), dried (MgSO4) and concentrated. The resulting oil was purified on silica gel utilizing a hexane/methyl tertbutyl ether mixture as eluent to give 1-(2- fluoro-3',4'-dimethyl-biphenyl-4-yl)-ethanone (1.0 g). To a solution of the above biphenyl compound (1.0 g, 4.1 mmol) and CH2CI2 (4 mL) was added a solution of bromine (0.22 mL, 4.3 mmol) and acetic acid (4 mL) in a dropwise fashion over 5 min. After stirring for 2 h, a 0.1 N aqueous Na2S2O5 (10 mL) was added, the organic layer separated and the resulting aqueous layer extracted with CH2CI2 (2 x 5 mL). The combined organic layers were neutralized with a 25% solution of K2CO3 (20 mL), dried (MgSO4) and concentrated. The resulting oil was .purified on silica gel utilizing a hexane/methyl tertbutyl ether mixture as eluent to give the title compound (697 mg) as an oil. Preparation 22
2-Bromo-1-(5-τphenyl-pyrazin-2-yl)-ethanone
To a solution, of 2,3-diaminopropionic acid hydrochloride (5.0O g, 35.6 mmol) and methanol (300 mL) was added NaOH (5.70 g, 142 mmol) followed by phenyl glyoxal hydrate (5.42 g, 35.6 mmol). After stirring for 2 h, air was bubbled through the solution for 6 h, and the reaction allowed to stir overnight. The solvent was removed under vacuum and the residue diluted with water (200 mL), the solid was isolated by filtration and washed with an additional 100 mL water. This solid was then dissolved in 200 mL of water at 500Q, acidified with concentrated hydrochloric acid until pH 3 and then allowed to cool to room temperature. Thet resultant solid was isolated by vacuum filtration and washed with water (100 mL). This material was dissolved in a 9:1 mixture of CH2CI2/MeOH (200 mL), dried (Na2SO4) and concentrated to give 5-phenyl-pyrazine-2-carboxylic acid. To a suspension of the above carboxylic acid (2.0 g, 10 mmol) and CH2CI2 (15 mL) was added oxalyl chloride (1.0 mL, 11 mmol) followed by 3 drops of DMF. After 4 h, N,O-dimethyl hydroxylamine hydrochloride (1.07 g, 11 mmol) was added followed by the dropwise addition of diisopropylethyl amine (3.8 mL, 22 mmol). After 3 h, ethyl acetate (50 mL) was added and the reaction was washed with water (2 x 20 mL), the organic layer was dried (Na2SO4) and concentrated to give 5-phenyl- pyrazine-2-carboxylic acid methoxy-methyl-amide (1.96 g). To a solution of this amide (1.50 g, 6.17 mmol) and THF (15 mL) cooled to -100C, was added a 3M solution of methyl magnesium bromide (2.6 mL, 7.8 mmol) in a dropwise fashion. After 1 h, 2N HCI (15 mL) was added, the reaction allowed to warm to room temperature and stirred for 1 h. Ethyl acetate was added, the organic layer was removed, dried (Na2SO4) and concentrated. The crude product was purified on silica gel utilizing a hexane/ethyl acetate mixture as eluent to give 1- (5-phenyl-pyrazin-2-yl)-ethanone (959 mg). To a solution of this ketone (230 mg, 1.16 mmol) and CH2CI2 (5 mL) was added tetrabutylammonium tribromide (590 mg, 1.22 mmol) and the reaction heated to reflux for 8 h. The reaction was quenched by the addition of CH2CI2 (8 mL) and 10% aqueous Na2S2O5 solution (10 mL). The aqueous layer was removed and extracted with CH2CI2 (5 mL). The combined organic layers were washed with a saturated sodium bicarbonate solution (10 mL), dried (Na2SO4) and concentrated. This material was purified on silica gel utilizing a hexane/CH2CI2 mixture as eluent to give the title compound (215 mg). Preparation 23
6-Amino-pyridazine-3-sulfc>nic acid amide
6-Chloro-pyridazine-3-sulfonyl chloride (freshly prepared . from 1 g of 6-chloro- pyridazine-3-thiol by the method of Petelin-Hudnik et al.; Arch. Pharm. Ber. Dtsch. Pharm. Ges.; 299; 1966; 646-650) was added to liquid ammonia (40 mL) at -780C. After stirring at that temperatμre for 30 min, the cold bath was removed and the reaction allowed to reflux for
3h. The condenser was removed and after the ammonia had evaporated, the residue was dissolved in 1 :1 MeOH/CH2CI2 (100 mL). After filtration through a short pad of silica gel and subsequent washing with the same solvent, the solution was evaporated to give a brown oil. This was purified on silica gel utilizing a MeOH/CH2CI2 mixture as eluent to give 6-chloro- pyridazine-3-sulfonιc acid amide (417 mg). A mixture of this sulfonamide (390 mg, 2.01 mmol) and 2,4-dimethoxybenzylamine (848 mg, 5.00 mmol) was heated in a 1000C oil bath for 7h. After cooling, the residue was purified on silica gel utilizing a MeOH/CH2CI2 mixture as eluent to give 6-(2,4-dimethoxy-benzylamino)-pyridazine-3-sulfonic acid amide. A solution of this benzyl amine (328 mg, 1.01 mmol), CH2CI2 (40 mL) and trifluoroacetic acid (15 mL) was stirred at room temperature for 28 h. The reaction was neutralized with saturated aqueous sodium bicarbonate solution and the resultant solid collect by vacuum filtration. This solid was triturated sequentially with hexane followed by 1 :1 hexane/ether to give the title compound
(178 mg) as a tan solid. Preparation 24
2-(3',4'-Dimethyl-biphenyl-4-yl)-imidazori .2-alpyridine-6-carboxylic acid, ethyl ester A solution of the product of preparation 1 (3.46 g, 11.4 mmol), 6-amino-nicotinic acid ethyl ester (1.89 g, 11.4 mmol) in ethanol was heated to reflux for 24 h. The reaction was cooled, sodium bicarbonate (0.25 g) was added and the heated to reflux for an additional hour. After cooling to room temperature, the resultant yellow solid was collected, combined with the concentrated mother liquor and purified on silica gel utilizing 10% ethyl acetate in hexanes to provide the title compound as light pink crystals in 68% yield Preparation 25
6-(3',4'-Dimethyl-biphenyl-4-yl)-1 H-imidazofi ,2-aiimidazole To a solution of 2-aminoimidazole (189 mg, 2.27 mmol) and ethanol (14 mL) heated to reflux was added the product of Preparation 1 (345 mg, 1.14 mmol). After 5 minutes, the reaction was cooled to room temperature, filtered and to the filtrate was added sodium bicarbonate (280 mg) and the reaction then heated to reflux overnight. After cooling to room temperature, the reaction was concentrated to a thick slurry, and then diluted with ethanol (1 mL) and water (25 mL). This was gently heated for a few minutes, cooled to room temperature and filtered. The resultant solid was recrystallized from ethanol to provide the title compound. Preparation 26
General procedure for tosylate salt formation:
To a solution of free base (1 mmol) in EtOAc (15 mL) at rt was added p-TsOH»H2O (1 mmol for monobasic compounds and 2 mmol for dibasic compounds). The mixture was stirred for 1 - 24 h, filtered and rinsed with EtOAc to provide the tosylate salt as a solid. Preparation 27 2-r4-(4,4,5.5-Tetramethyl-ri ,3,2ldioxaborolan-2-yl)-j3henyll-imidazof1.2-aipyridine
A mixture of 2-(4-bromo-phenyl)-imidazo[1 ,2-a]pyridine (4.87 g, 17.8 mmol), bis(pinacolato)dibor.on (4.98 g, 19.6 mmol), dichloro[1,1'- bis(diphenylphosphino)ferrocene]palladium dichloromethane adduct (1.46 g, 1.78 mmol), 1 ,1'- bis(diphenylphosphino)ferrocene (988 mg, 1.78 mmol), potassium acetate (5.25 g, 53.5 mmol), and anhydrous DMSO (90 mL) was placed under N2 and heated at 1000C for 5 h.
The mixture was cooled, concentrated, dissolved in hot hexanes, filtered through a plug of celite, concentrated, and chromatographed (1 :1 EtOAc:hexanes). The isolated material was triturated with hexanes to provide 2.25 g of 2-[4-(4,4,5,5-tetramethyl-[1 ,3,2]dioxaborolan-2-yl)- phenyl]-imidazo[1,2-a]pyridine as a solid. MS: (M+) 321.
Preparation 28 '
2-(4-Bromo-phenyl)-imidazori,2-aipyridine
A mixture of 2-aminopyridine (3.76 g, 40 mmol) and 2,4'-dibromoacetophenone (11.12 g, 40 mmol) in EtOH (75 mL) was refluxed for 2 h. Solid NaHCO3 (1.68 g, 20 mmol) was added. The mixture was refluxed for 14 h, cooled to 00C, and filtered to provide 7.15 g of 2-(4-bromo-phenyl)-imidazo[1 ,2-a]pyridine as a solid. MS: (M+) 273/275. Preparation 29
4-lmidazoH ,2-a1pyridin-2-yl-phenyl boronic acid A solution of 2~[4-(4A5,5-tetramethyl-[1 ,3,2]dioxaborolan-2-yl)-phenyl]-imidazo[1 ,2- a]pyridine (1.90 g, 5.94 mmol) in CH2CI2 (100 mL) was cooled to -780C. A BBr3 solution (29.7 mL of a 1 M soln in CH2CI2) was added slowly over 15 min. The reaction mixture was stirred at -780C for 2 h. H2O (18 mL) was added dropwise. The mixture was warmed to rt, diluted with CH2CI2 and H2O, neutralized with 6 M NaOH, and diluted further with large volume of EtOAc to dissolve solids. The layers were separated and the aqueous layer was extracted with EtOAc (6 x). The combined extracts were dried (MgSO4), filtered, and concentrated. The resulting solid was triturated with EtOAc to provide 1.24 g of 4- imidazo[1 ,2-a]pyridin-2-yl-phenyl boronic acid as a solid. MS: (M+) 239.
C3a Receptor Binding Assay The present assay utilizes125I labeled human C3a peptide (50 pM, New England
Nuclear) with detection of binding to a human B-cell line (L1.2) that has been stably transfected with a human C3a receptor construct. The C3aR transfected cell line was generated in the laboratory of Dr. Craig Gerard (Harvard Univ.).
In the assay, approximately 375,000 cells are plated per wejl in a 96-well plate format
(200 μl_ total volume). In a 96-well plate format, 200 cells and C3a ligand are incubated in assay buffer (2OmM HEPES, 125 mM NaCI, 5 mM KCI, 0.5 mM glucose, 0.2% BSA, 1 mM
CaC12, 1 mM MgCI2, pH=7.4) for 45 minutes while shaking on a titer plate shaker at room temperature. Non-specific binding is defined as binding measured following quenching with a
250-fold excess of unlabelled human C3a peptide. The reaction is pelleted by centrifugation
(3500 rpm) and terminated by filtration over glass fiber A filters (1% PEI soaked) with ice-cold wash buffer (50 mM HEPES, 1mM CaCI2, 5 mM MgCI2, 0.5 M NaCI, 0.03% CHAPS). Activity is counted on a Wallac beta scintillation counter. The inhibitor compounds are tested for IC50 potency.
C3a Binding Protocol - Detailed Steps
Assay Buffer: 1 L 2O mM Hepes pH 7.4 4.8Og
125 m M NaCI 7.4Og
5 mM KCI 1.02g
0.5 mM Glucose 90.1 Omg
0.2% BSA (SigmaA7906) 2.0Og I mM CaCI2 111mg
1 mM MgCI2 (hexahydrate) 203.32mg
Wash Buffer: 4L
50 mM Hepes pH 7.4 47.6g
1 mM CaCI2 440mg 5 mM MgCI2 (hexahydrate) 4.08g
0.5 M NaCI 116.8g
0.03 % Chaps (SigmaC3023) 1.2Og
Filtermats:
Soak Printed Filtermat A Glass Fiber Filters (Wallac; 1205-401) in 1 % (20g/L) polyethylenimine (PEI, Sigma; P3143) for 60 min. Air dry overnight. Store until used.
Hot Cocktail:
0.2 nM stock125l-C3a (NEN; NEX-356) in L.
C3a cold peptide:
50 μg C3a (Advanced Research Technologies; A118) in 5.4 mL assay buffer. 55 ug in 0.61 mis AB.
Aliquot into 15 uL and store at -20 C.
Daily stock is 1 uM - dilute 15 D L + 135 D L AB. L12 C3a Cells:
Spin down cells in 50 ml tubes by 3500 rpm for 5 min at RT in the Sorvall RT6000D. Decant supernatant and resuspend at 5 x 106 cells/mL in assay buffer. Assume 1 flask for 4 plates. Drug Dilutions
Run in triplicate atΛA log concentrations in the standard HTS format.
Prepare dilutions in 100% DMSO on the BIOMEK robot (LFL 60DL all plates).
Begin at 3.2 μM final (40 X would then be 128 μM, prepare 1.0 ml).
Procedure: ' Add 75 μL assay buffer to 96 well plate (polypropylene; Costar. VWR #29445-112).
Add 5 μL compound via BIOMEK 5 uL transfer program
Add 10 μL cold C3a (1 uM) to wells D7, D8, and D9. Final 50 nM in assay.
Add 50 μL (0.2nM) hot cocktail. Final -0.05 nM = 50 pM {with 33,000 cpm).
Then prepare cells as described above. Add 75 μL C3a cells (3.75e5 cells per well = 5x106 cells/mL).
Incubate with shaking for 45 min, room temperature at speed 4 on the titer plate shaker.
Collect cells by centrifugation, 3500 rpm for 5 min at RT on the Sorvall.
Decant the supernatant (hot) for disposal. Harvest plate onto filtermat with Skatron Micro 96 Harvester with cold wash buffer.
Dry filtermat in microwave (4 min).
Transfer filtermat to bag (Wallac; 1205-411).
Add 10 mL Wallac beta scintillation cocktail.
Seal bag. Let filters set 10 minutes to equilibrate. Count on 1205 Betaplate liquid scintillation counter with disk for electronic storage, protocol 23.
NOTES
Precipitation has been observed with125I C3a. To counteract or minimize this it is recommended that fresh batches of radioactivity be thawed, thoroughly mixed and then aliquoted by 5 x 200 μL.
All of the references, patents, and publications cited herein are hereby incorporated by reference in their entirety.
Those skilled in the art will recognize, or be able to ascertain using no more than routine experimentation, numerous equivalents to the compounds and methods of use thereof described herein. Such equivalents are considered to be within the scope of this invention and are covered by the following claims.

Claims

What is claimed is:
1. A compound of the formula I
Figure imgf000086_0001
wherein n is between 3 and 5;
Z at each occurrence is independently selected from CR1, CHR1,C=O, N, NR1, N=O, S, and O, wherein a bond between two groups Z bonded to each other rnay be a single bond or a double bond; , the ring containing Z is a 5, 6, or 7-membered heterocyclic or heteroaryl ring containing 1-3 heteroatoms independently selected from the group consisting of O, N and S;
R1 at each occurrence is independently selected from H, optionally substituted C1-C8 alkyl, optionally substituted C1-C6 alkoxy, halo, SO2N(Re)2, N<R6)SO2N(R6)2, SO2R6, CONHSO2R6, CONHSO2(NRe)2, optionally substituted 3-10-membered heterocycloalkyl, optionally substituted C3-C10 cycloalkyl, cyano, optionally substituted 5- 10-membered heteroaryl, optionally substituted C6-C10 aryl, COR6, CO2R6, N(R6)2, NR6COR6, CON(R6J2, and CONCO(R6J2;
R6 at each occurrence is independently selected from H, optionally substituted C1-C6 alkyl, optionally substituted 5-10 membered heteroaryl, optionally substituted C6-C10 aryl, optionally substituted C3-C10 cycloalkyl, and optionally substituted 3-10 membered heterocycloalkyl;
R2, R3 and R4 are selected independently from H, optionally substituted CrC6alkyl, halo, optionally substituted CrCealkenyl, optionally substituted C3-C10 cycloalkyl, trifluoromethyl, CO- optionally substituted C1-C6 alkyl, CO2- optionally substituted C1-C6 alkyl, optionally substituted C1-C6BIkOXy, and optionally substituted C^Cealkylthio, with the proviso that if
Figure imgf000086_0002
is
Figure imgf000087_0001
R1 = C6-Ci0 -IyI
Figure imgf000087_0002
A, = CH IfA2 = N
Figure imgf000087_0003
then at least one of R2, R3, R4 and R5 is not hydrogen; and with the proviso that if
Figure imgf000087_0004
or then at least two of R2, R3, R4 and R5 are not hydrogen, wherein if only two of R2, R3, R4 and R5 are not hydrogen, then the two of R2, R3, R4 and R5 that are not hydrogen are not both CF3; and with the proviso that if the compound of formula I is
Figure imgf000087_0005
then R1 may not be H, Me, Cl, C1-C12 alkenyl, or CONHR; or when -67-
IS <z>"<rNYrf
Figure imgf000088_0001
then R3 and R2 together with the phenyl carbon atoms they are attached to, or R3 and R4 together with the phenyl carbon atoms they are attached to, may form a 5, 6, or 7-membered carbocylic, heterocyclic, aromatic or heteroaromatic ring containing 0, 1 , or 2 heteroatoms selected from the group consisting of O1 N, and S; R5 is selected from H or F;
Y1, Y2, Y3, Y4 are independently selected from CH, CF, or N where no more than two of Y1, Y2, Y3, and Y4 are N; and
Y5 is selected from CH, or N; or a pharmaceutically acceptable salt thereof.
2. A compound of claim 1 , wherein Y5 is CH.
3. A compound of claim 1 , wherein Y5 is N.
4. A compound of claim 1 , wherein Y1, Y2, Y3, Y4 are independently selected from CH and CF.
5. A compound of claim 1 , wherein one of Y1, Y2, Y3, and Y4 is CF and the remaining three of Y1, Y2, Y3, and Y4 are each CH.
6. A compound of claim 1, wherein one R1 is a C3-C10 heterocycloalkyl, which is preferably selected from the group consisting of morpholinyl and aziridinyl.
7. A compound of claim 1 , wherein one R1 is a 5- to 9-membered heteroaryl, which is preferably selected from the group consisting of oxadiazolyl and tetrazolyl.
8. A compound of claim 1 , wherein R1 at each occurrence is independently selected from H, optionally substituted C1-C8 alkyl, optionally substituted C1-C6 alkoxy, halo, SO2NH2, SO2NHC1-C6 alkyl, SO2N(C1-C6 alkyl)2, CONHSO2C1-C6 alkyl, CONHSO2NH2, CONHSO2NHC1-C6 alkyl, CONHSO2N(C1-C6 alkyl)2, cyano, substituted 5- 10-membered heteroaryl, CONH2, R6NHCO, COR6, CO2R6, N(R6)2, NHCOR6, NR6COR6, CON(R6)2, and CONCO(R6)2.
9. A compound of claim 8, wherein at least one R1 is not H.
10. A compound of claim 1 , wherein no more than two of R2, R3, R4 and R5 are H.
11. A compound of claim 1 , wherein
Figure imgf000089_0001
is selected from the group consisting of (A)
Figure imgf000089_0002
wherein Y6 is CO, N, NR1, CHR1 or CR1; Y7 and Y8 are each independently N, NR1, CHR1 or CR!; and Y9 is CR1, CHR1, or (CHR1)2; and '
(B)
Figure imgf000089_0003
wherein ' Y10 and Y11 are each independently CR1, CHR1, N or NR1; and Y12 is N, NR1, S or O.
12. A compound of claim 11 , wherein at least one of Y7 and Y8 is CH.
13. The compound according to claim 11 , wherein group (A) is .
Figure imgf000089_0004
14. A compound selected from the group consisting of e^S'^'-Dimethyl-biphenyl^-yO-i-methyl^.S-dihydro-I H-imidazofi^^imidazole hydrobromide;
6-(3',4'-Dimethyl-biphenyl-4-yl)-1-methyl-1 H-imidazo[1 ,2-a]imidazole hydrobromide;
6-(3\4'-Dimethyl-biphenyl-4-yl)-2-methyl-imidazo{2,1-b][1 ,3,4]thiadiazole;
6-Biphenyl-4-yl-1-methyl-1 H-imidazo[1 ,2-a]imidazole hydrochloride; 5-(3-Fluoro-3l,4'-dimethyl-biphenyl-4-yl)-3-methyl-3H-imidazo[1 ,2-b][1 ,2,4]triazole;
6-(3-Fluoro-3',4'-dimethyl-biphenyl-4-yl)-1-methyl-1 H-imidazo[1 ,2-a]imidazole;
5-(3-Fluoro-3',4'-dimethyl-biphenyl-4-yl)-2)3-dimethyl-3H-imidazo[1 ,2-b][1 ,2,4]triazole;
6-(3-Fluoro-3l,4'-dimethyl-biphenyl-4-yl)-1-methyl-1H-imidazo[2,1-c][1,2,4]triazole;
2-(3-Fluoro-3I,4'-dimethyl-biphenyl-4-yl)-5,6,7,8-tetrahydro-imidazo[1 ,2-a]pyridine hydrochloride; 2-(2-Fluoro-3I,4'-dimethyl-biphenyl-4-yl)-5,6,7>8-tetrahydro-imidazo[1 ,2-a]pyridine hydrochloride;
6-(3',4I-Dimethyl-biphenyl-4-yl)-imidazo[2,1-b]thiazole;
6-(3',4'-Dimethyl-biphenyl-4-yl)-imidazo[2,1-b][1 ,3,4]thiadiazole; 6-(3',4'-Dimethyl-biphenyl-4-yl)-3-methyl-imidazo[5,1-b]oxazole;
2-[6-(3',4l-Dimethyl-biphenyl-4-yl)-imidazo[1 ,2-a]imidazol-1-yl]-ethanol;
2-(3',4I-Dimethyl-biphenyl-4-yl)-6-methoxy-imidazo[1 ,2-b]pyridazine hydrobromide;
6-Chloro-2-(3',4'-dimethyl-biphenyI-4-yl)-imidazo[1 ,2-b]pyridazine;
2-(3-Fluoro-3',4'-dimethyl-biphenyl-4-yl)-imidazo[1 ,2-b]pyridazin-6-ylamine; 2-(3I,4'-Dimethyl-biphenyl-4-yl)-8-fluoro-6H-imidazo[1 ,2-c]pyrimidin-5-one;
6-(3',4'-Dirhethyl-biphenyl-4-yl)-imidazo[1 ,2-b][1 ,2,4]triazine;
2-(3',4'-Dimethyl-biphenyl-4-yl)-6-methyl-7,8-dihydro-6H-imidazo[1 ,2-c]pyrimidin-5- one;
2-[2-(3',4'-Dimethyl-biphenyl-4-yI)-imidazo[1,2-b]pyridazin-7-yl]-propan-2-ol; 2-(3',4'-Dimethyl-biphenyl-4-yl)-imidazo[1 ,2-a]pyrimidin-7-ylamine;
2-(3',4>-Dimethyl-biphenyl-4-yl)-imidazo[1,2-a]pyridine-6-sulfonic acid amide;
2-[2-(3'I4'-Dimethyl-biphenyl-4-yl)-imidazo[1 ,2-b]pyridazin-6-yl]-propan-2-ol;
2-(3\4'-Dimethyl-biphenyl-4-yl)-imidazo[1 ,2-b]pyridazine;
1-[2-(3',4'-Dimethyl-biphenyl-4-yl)-imidazo[1,2-b]pyridazin-7-yI]-ethanol; 2-(3',4'-Dimethyl-biphenyl-4-yl)-imidazo[1 ,2-c]pyrimidin-7-ylamine;
2-(4'-lsopropyl-3'-methyI-biphenyl-4-yl)-5,6,7,8-tetrahydro-imidazo[1 ,2-a]pyridine hydrochloride;
2-(4'-Butyl-biphenyl-4-yl)-5,6,7,8-tetrahydro-imidazo[1 ,2-a]pyridine hydrochloride;
2-(3',4'-Dimethyl-biphenyl-4-yl)-5,6,7,8-tetrahydro-imidazo[1 ,2-a]pyridine hydrochloride;
2-(3l-Chloro-4'-methyl-biphenyl-4-yl)-5,6,7,8-tetrahydro-imidazo[1 ,2-a]pyridine hydrochloride;
2-(4'-Fluoro-3'-methyl-biphenyl-4-yl)-5,6,7,8-tetrahydro-imidazo[1 ,2-a]pyridine hydrochloride; 2-(4'-Vinyl-biphenyl-4-yl)-5,6,7,8-tetrahydro-imidazo[1 ,2-a]pyridine hydrochloride;
2-(4'-Trifluoromethyl-biphenyl-4-yl)-5,6,7,8-tetrahydro-imidazo[1 ,2-a]pyridine hydrochloride;
2-(4'-Methyl-biphenyl-4-yl)-5,6,7,8-tetrahydro-imidazo[1 ,2-a]pyridine hydrochloride;
2-(4'-Cyclopropyl-biphenyl-4-yl)-5,6,7,8-tetrahydro-imidazo[1 ,2-a]pyridine hydrochloride;
2-(4'-Ethyl-biphenyl-4-yl)-5,6,7,8-tetrahydro-imidazo[1 ,2-a]pyridine hydrochloride;
2-(4'-lsopropyl-biphenyl-4-yl)-5,6,7,8-tetrahydro-imidazo[1 ,2-a]pyridine hydrochloride; 2-(4'-Propyl-biphenyl-4-yl)-5,6,7,8-tetrahydro-imidazo[1 ,2-a]pyridine hydrochloride;
2-(4'-Methoxymethyl-biphenyl-4-yl)-5,6,7,8-tetrahydro-innidazo[1 ,2-a]pyridine hydrochloride;
2-(4'-Methylsulfanylmethyl-biphenyl-4-yl)-5,6,7,8-tetrahydro-imidazo[1,2-a]pyridine hydrochloride;
2-(4l-tert-Butyl-biphenyl-4-yl)-5,6,7,8-tetrahydro-imidazo[1 ,2-a]pyridine hydrochloride;
2-(2'-Fluoro-^',5'-dimethyl-biphenyl-4-yl)-5,6,7,8-tetrahydro-imidazo[1,2-a]pyridine hydrochloride;
2-(2'-Fluoro-4'-isopropyl-biphenyl-4-yl)-5,6,7,8-tetrahydro-imidazo[1>2-a]pyridine hydrochloride;
2-(3'-Ethyl-biphenyl-4-yl)-5,6,7,8-tetrahydro-imidazoj;i,2-a]pyridine hydrochloride;
2-(4-lndan-5-yI-phenyl)-5,6,7,8-tetrahydro-imidazo[1 ,2-a]pyridine;
2-(4-Benzo[1 ,3]dioxol-5-yl-phenyl)-5,6,7,8-tetrahydro-imidazo[1 ,2-a]pyridine hydrochloride; 2-(4'-Chloro-3'-methyl-biphenyl-4-yl)-5,6,7,8-tetrahydro-imidazo[1 ,2-a]pyridine hydrochloride;
2-(5'-Fluoro-3',4>-dimethyl-biphenyl-4-yl)-5,6,7,8-tetrahydro-imidazo[1,2-a]pyridine hydrochloride;
2-(3'-Methyl-biphenyl-4-yl)-5,6,7,8-tetrahydro-imidazo[1,2-a]pyridine hydrochloride 5-(3',4'-Dimethyl-biphenyl-4-yl)-2,3-dimethyl-3H-imidazo[1 ,2-b][1 ,2,4]triazole;
5-(3'I4l-Dimethyl-biphenyl-4-yl)-3-methyl-3H-imidazo[1 ,2-b][1 ,2,4]triazole;
2-(3-Fluoro-3',4'-dimethyl-biphenyl-4-yl)-5,6,7,8-tetrahydro-[1 ,2,4]triazolo[1 ,5- a]pyridine;
6-(3l,4'-Dimethyl-biphenyl-4-yl)-1-methyl-1 H-imidazo[2,1-c][1 ,2,4]triazole; 2-(2'-Fluoro-4'-methyl-biphenyl-4-yl)-5,6I7,8-tetrahydro-imidazo[1 ,2-a]pyridine hydrochloride;
2-(3'-Methyl-4'-trifluoromethyl-biphenyl-4-yl)-5,6,7,8-tetrahydro-imidazo[1,2-a]pyridine;
2-(4I-Methyl-3'-trifluoromethyl-biphenyl-4-yl)-5,6,7,8-tetrahydro-imidazo[1 ,2-a]pyridine;
2-(3',4I-Bis-trifluoromethyl-biphenyl-4-yl)-5,6,7,8-tetrahydro-imidazo[1 ,2-a]pyridiπe; 2-(3'-Fluoro-4l-methyl-biphenyl-4-yl)-5,6,7,8-tetrahydro-imidazo[1>2-a]pyridine hydrochloride;
2-(3',4'-Dimethyl-biphenyl-4-yl)-5,6,7,8-tetrahydro-[1 ,2,4]triazolo[1 ,5-a]pyridine;
2-(3',4'-Dimethyl-biphenyl-4-yl)-imidazo[1 ,2-a]pyridine-6-carboxylic acid, lithium salt;
N-[2-(3',4'-Dimethyl-biphenyl-4-yl)-imidazo[1 ,2-a]pyridine-6-carbonyl]- methanesulfonamide;
N-[2-(3',4'-Dimethyl-biphenyl-4-yl)-imidazo[1 ,2-a]pyridine-6-carbonyl]- dimethylsulfonimide; N-[2-(3',4'-Dimethyl-biphenyl-4-yl)-imidazo[1 ,2-a]pyridine-6-carbonyl]-sulfonimide;
2-[2-(3',4'-Dimethyl-biphenyl-4-yl)-imidazo[1 ,2-a]pyridin-6-yl]-prop'an-2-ol;
2-(3\4'-Dimethyl-biphenyl-4-yl)-imidazo[1 ,2-a]pyridin-6-ylamine;
6-(3',4'-Dimethyl-biphenyl-4-yl)-1 -ethyl-1 H-imidazo[1 ,2-a]imidazole; 2-Biphenyl-4-yl-6-morpholin-4-yl-imidazo[1 ,2-a]pyridine;
(2-Biphenyl-4-yl-imidazo[1,2-a]pyridin-6-yl)-(2-methoxy-ethyl)-amine;
(2-Biphenyl-4-yl-imidazo[1,2-a]pyridin-6-yl)-(2,2-dimethoxy-ethyl)-methyl-amine;
6-Aziridin-1-yl-2-biphenyl-4-yl-imidazo[1 ,2-a]pyridine;
2-Biphenyl-4-yl-7-morpholin-4-yl-imidazo[1 ,2-a]pyridine; 2-Biphenyl-4-yl-6-bromo-imidazo[1 ,2-a]pyridine;
6-Bromo-2-(3',4'-dimethyl-biphenyl-4-yl)-imidazo[1,2-a]pyridine;(
2-Biphenyl-4-yl-imidazo[1 ,2-a]pyridine-6-carbonitrile; ,
2-(3',4'-Dimethyl-biphenyl-4-yl)-imidazo[1 ,2-a]pyridine-6-carbonitrile;
2-Biphenyl-4-yl-6-(1 H-tetrazol-5-yl)-imidazot1 ,2-a]pyridine; 2-(3',4'-Dimethyl-biphenyl-4-yl)-6-(1 H-tetrazoi-5-yl)-imidazo[1 ,2-a]pyridine;
2-[4-(2,3-Dihydro-benzo[1 ,4]dioxin-6-yl)-phenyl]-imidazo[1,2-a]pyridine;
2-(3-Fluoro-3',4'-dimethyl-biphenyl-4-yl)-imidazo[1,2-a]pyridine; '
2-(4-lsochroman-7-yl-phenyl)-imidazo[1 ,2-a]pyridine;
3-Ethyl-6-(4-imidazo[1 ,2-a]pyridin-2-yl-phenyl)-1 -methyl-1 H-indazole; 2-(3',4'-Dimethyl-biphenyl-4-yl)-imidazo[1 ,2-a]pyridine;
3-[2-(3',4'-Dimethyl-biphenyl-4-yl)-imidazo[1 ,2-a]pyridin-6-yl]-[1 ,2,4]oxadiazol-5-ol;
2-Biphenyl-4-yl-7-(1 H-tetrazol-5-yl)-imidazo[1 ,2-a]pyridine;
6-(3',4'-Dimethyl-biphenyl-4-yl)-2,3-dihydro-imidazo{2,1 -b]thiazole tosylate salt; 2-[6-(3',4'-Dimethyl-biphenyl-4-yl)-imidazo[2,1 -b]thiazol-3-yl]-ethanol tosylate salt; 2-Biphenyl-4-yl-7-ethyl-imidazo[1 ,2-a]pyridine;
(2-Biphenyl-4-yl-imidazo[1 ,2-a]pyridin-7-yl)-methanol; 2-Biphenyl-4-yl-7-methoxymethyl-imidazo[1 ,2-a]pyridine; [2-(3',4'-Dimethyl-biphenyl-4-yl)-imidazo[1 ,2-a]pyridin-6-yl]-methanol; [2-(3',4'-Dimethyl-biphenyl-4-yl)-imidazo[1 ,2-a]pyridin-7-yl]-methanol; [2-(3',4'-Dimethyl-biphenyl-4-yl)-5,6,7,8-tetrahydro-imidazo[1 ,2-a]pyridin-7-yl]- methanol;
[2-(3',4'-Dimethyl-biphenyl-4-yl)-5,6,7,8-tetrahydro-imidazo[1 ,2-a]pyridin-6-yl]- methanol;
2-(3',4'-Dimethyl-biphenyl-4-yl)-imidazo[1 ,2-a]pyridine-6-carboxylic acid amide; C-[2-(3',4I-Dimethyl-biphenyl-4-yl)-5>6,7,8-tetrahydro-imidazot1,2-a]pyridin-6-yl]- methylamine; N-[2-(3I,4l-Dimethyl-biphenyI-4-yl)-5,6,7,8-tetrahydro-imidazo[1>2-a]pyridin-6- ylmethyl]-acetamide;
Figure imgf000093_0001
ylmethyl]-2-phenyl-acetamide; Benzo[b]thiophene-2-carboxylic acid β-β'^'-dimethyl-biphenyM-yO-S.βJ.δ- tetrahydro-imidazo[1 ,2-a]pyridin-6-ylmethyl]-amide;
N-[2-(3',4'-Djmethyl-biphenyl-4-yl)-5,6,7,8-tetrahydro-imidazo[1,2-a]pyridin-6- ylmethyl]-propionamide;
N-[2-(3'l4l-Dimethyl-biphenyl-4-yl)-5,6,7,8-tetrahydro-imidazo[1,2-a]pyridin-6- ylmethyl]-3-fluoro-benzamide;
N-[2-(3',4'-Dimethyl-biphenyI-4-yl)-5,6,7,8-tetrahydro-imidazo[1 ,2-a]pyridin-6- ylmethyl]-4-fluoro-benzamide;
N-p^S'^'-Dimethyl-biphenyl^-yO-S.βJ.β-tetrahydro-imidazoII ^-alpyridin-θ- ylmethyl]-2-fluoro-benzamide; Hexanoic acid [2-(3\4'-dimethyl-biphenyl-4-yl)-5,6J,δ-tetrahydro-imidazo[1 ,2- a]pyridin-f5-ylmethyl]-amide;
1 H-lndole-4-carboxylic acid [2-(3',4'-dimethyl-biphenyl-4-yl)-5,6,7,8-tetrahydro- imidazo[1 ,2-a]pyridin-6-ylmethyl]-amide;
1-Methyl-1 H-pyrrole-2-carboxylic acid [2-(3\4'-dimethyl-biphenyl-4-yl)-5,6,7,δ- tetrahydro-imidazo[1 ,2-a]pyridin-6-ylmethyl]-amide;
2,5-Dimethyl-1 H-pyrrole-3-carboxylic acid [2-(3',4'-dimethyl-biphenyl-4-yl)-5,6,7,δ- tetrahydro-imidazot1,2-a]pyridin-6-ylmethyl]-amide;
3-Oxo-indan-1 -carboxylic acid [2-(3',4'-dimethyl-biphenyl-4-yl)-5,6,7,δ-tetrahydro- imidazo[1 ,2-a]pyridin-6-ylmethyl]-amide; 1 H-lndole-3-carboxylic acid [2-(3',4'-dimethyl-biphenyl-4-yl)-5,6,7,3-tetrahydro- imidazo[1,2-a]pyridin-6-ylmethyl]-amide;
(R)-Chroman-2-carboxylic acid [2-(3',4'-dimethyl-biphenyl-4-yl)-5,6,7,8-tetrahydro- imidazo[1 ,2-a]pyridin-6-ylmethyl]-amide;
1 H-lndole-5-carboxylic acid t2-(3',4'-dimethyl-biphenyl-4-yl)-5,6,7,8-tetrahydro- imidazo[1 ,2-a]pyridin-6-ylmethyl]-amide;
Cycloheptanecarboxylic acid [2-(3',4'-dimethyl-biphenyl-4-yl)-5,6,7,8-tetrahydro- imidazo[1 ,2-a]pyridin-6-ylmethyl]-amide;
1 H-Benzotriazole-5-carboxylic acid [2-(3',4'-dimethyl-biphenyl-4-yl)-5,6,7,8- tetrahydro-iπnidazoli ^-alpyridin-δ-ylmethyll-amide; Cyclopentanecarboxylic acid [2-(3',4'-dimethyl-biphenyl-4-yl)-5,6,7,8-tetrahydro- imidazo[1 ,2-a]pyridin-6-ylmethyl]-amide; Bicyclo[4.2.0]octa-1 (6),2,4-triene-7-carboxylic acid {2-(3',4I-dimethyl-biphenyl-4-yl)- 5,6,7,8-tetrahydro-imidazo[1,2-a]pyridin-6-ylmethyl]-amide;
2-Oxo-thiazolidine-4-carboxyIic acid {2-(3t,4'-dimethyl-biphenyl-4-yl)-5,6,7,8- tetrahydro-imidazo[1 ,2-a]pyridin-6-ylmethyl]-amide; (EJ-N-p-CS'^'-Dimethyl-biphenyl^-yO-δ.e.Z.δ-tetrahydro-imidazoII ^-alpyridin-e- ylmethyl]-3-(1 H-indol-3-yl)-acrylamide;
N-[2-(3I)4'-Dimethyl-biphenyl-4-yl)-5,6,7,8-tetrahydro-imidazo[1 ,2-a]pyridin-6- ylmethyl]-4-methyl-nicptinamide;
2-Cyclopent-1 -enyl-N-p^S'^'-dimethyl-biphenyl^-ylJ-S.ej.δ-tetrahydro-imidazoti ,2- a]pyridin-6-ylmethyl]-acetamide;
N-[2-(3l,4'-Dimethyl-biphenyl-4-yl)-5,6,7,8-tetrahydro-imidazo[1 ,2-a]pyridin-6- ylmethyl]-2-(1 H-indol-3-yl)-acetamide;
N-t2-(3',4I-Dimethyl-biphenyl-4-yl)-5,6,7,8-tetrahydro-imidazo[1,2-a]pyridin-6- ylmethyl]-benzamide; Cyclohex-3-enecarboxylic acid p-fS'^'-dimethyl-biphenyM-ylJ-δ.δJ.δ-tetrahydro- imidazo[1 ,2-a]pyridin-6-ylmethyl]-amide;
5-Phenyl-pentaήoic acid β-β'^'-dimethyl-biphenyM-yO-S.δJ.δ-tetrahydro- imidazo[1 ,2-a]pyridin-6-ylmethyl]-amide;
2-Benzo[b]thiophen-3-yl-N-[2-(31,41-dimethyl-biphenyl-4-yl)-5,6,7,8-tetrahydro- imidazo[1 ,2-a]pyridin-6-ylmethyl]-acetamide;
Tetrahydro-furan-3-carboxylic acid t2-(3',4'-dimethyl-biphenyl-4-yl)-5,6,7,8-tetrahydro- imidazo[1 ,2-a]pyridin-6-ylmethyl]-amide;
N-[2-(3',4'-Dimethyl-biphenyl-4-yl)-5,6,7,8-tetrahydro-imidazo[1 ,2-a]pyridin-6- ylmethyl]-2-indan-2-yl-acetamide; 2-Cyclopentyl-N-[2-(3',4'-dimethyl-biphenyl-4-yi)-5,6,7,8-tetrahydro-imidazo[1 ,2- a]pyridin-6-ylmethyl]-acetamide;
2-Methyl-cyclopropanecarboxylic acid ^-(S'^'-dimethyl-biphenyl^-ylJ-δ.δ^.δ- tetrahydro-imidazo[1 ,2-a]pyridin-6-ylmethyl]-amide;
N-[2-(3I,4l-Dimethyl-biphenyl-4-yl)-5,6,7,δ-tetrahydro-imidazo[1 ,2-a]pyridin-6- ylmethyl]-3-(1 H-indol-3-yl)-propionamide;
N-t2-(3I,4'-Dimethyl-biphenyl-4-yl)-5I6,7,δ-tetrahydro-imidazo{1 ,2-a]pyridin-6- ylmethyl]-2-(1 ,1 -dioxo-tetrahydrothiophen-3-yl)-acetamide;
N-[2-(3',4'-Dimethyl-biphenyl-4-yl)-5,6,7,8-tetrahydro-imidazo[1 ,2-a]pyridin-6- ylmethyl]-2-methoxy-nicotinamide; N-[2-(3I,4l-Dimethyl-biphenyl-4-yl)-5,6,7,8-tetrahydro-imidazo[1 ,2-a]pyridin-6- ylmethyl]-3-phenyl-propionamide; Thiophene-2-carboxylic acid [2-(3',4'-dimethyl-biphenyl-4-yl)-5,6,7,8-tetrahydro- imidazo[1 ,2-a]pyridin-6-ylmethyl]-amide;
Furan-2-carboxylic acid [2-(3',4'-dimethyl-biphenyl-4-yl)-5,6,7,8-tetrahydro- imidazo[1 ,2-a]pyridin-6-ylmethyl]-amide; N-[2-(3',4'-Dinnethyl-biphenyl-4-yl)-5,6,7,8-tetrahydro-imidazo{1 ,2-a]pyridin-6- ylmethylj-nicotinamide;
1 H-lndazole-3-carboxylic acid [2-(3\4'-dimethyl-biphenyl-4-yl)-5,6,7,8-tetrahydro- imidazo[1 ,2-a]pyridin-6-ylmethyl]-amide; δ-MethyMH-indole^-carboxylic acid tZ-β'^'-dimethyl-biphenyM-yO-δ.ej.δ- tetrahydro-imidazo[1 ,2-a]pyridin-6-ylmethyl]-amide;
N-[2-(3',4'-Dimethyl-biphenyl-4-yl)-5,6,7,8-tetrahydro-imidazo[1 ,2ra]pyridin-6- ylmethyl]-3-indoI-1 -yl-propionamide; ,
6-Oxo-heptanoic acid [2-(3\4'-dimethyl-biphenyl-4-yl)-5,6,7,δ-tetrahydro-imidazo[1 ,2- a]pyridin-6-ylmethyl]-amide; Thiophene-3-carboxylic acid [2-(3',4"-dimethyl-biphenyl-4-yl)-5,6,7,8-tetrahydro- imidazo[1 ,2-a]pyridin-6-ylmethyl]-amide; δ-Methyl-pyrazine^-carboxylic acid [2-(3',4'-dimethyi-!biphenyl-4-yl)-5,6,7,8- tetrahydro-imidazo[1 ,2-a]pyridin-6-ylmethyl]-amide;
Cyclopropanecarboxylic acid ^-(S'^'-dimethyl-biphenyl^-yO-S.ej.δ-tetrahydro- imidazo[1 ,2-a]pyridin-6-ylmethyl]-amide;
N-[2-(3',4'-Dimethyl-biphenyl-4-yl)-5,6,7,8-tetrahydro-imidazo[1 ,2-a]pyridin-6- ylmethyl]-6-methyl-nicotinamide;
Cyclohex-1 -enecarboxylic acid [2-(3',4'-dimethyl-biphenyl-4-yl)-5,6,7,8-tetrahydro- imidazo[1 ,2-a]pyridin-6-ylmethyl]-amide; 2-Cyclopropyl-N-[2-(3',4'-dimethyl-biphenyl-4-yl)-5,6,7,8-tetrahydro-imidazo[1 ,2- a]pyridin-6-ylmethyl]-acetamide;
Cyclobutanecarboxylic acid [2-(3',4'-dimethyl-biphenyl-4-yl)-5,6,7,8-tetrahydro- imidazo[1 ,2-a]pyridin-6-ylmethyl]-amide;
4,5-Dichloro-isothiazole-3-carboxylic acid ^-(S'^'-dimethyl-biphenyl^-yO-S.ΘJ.δ- tetrahydro-imidazo[1 ,2-a]pyridin-6-ylmethyl]-amide;
N-I2-(3l,4<-Dimethyl-biphenyl-4-yl)-5)6,7)8-tetrahydro-imidazo[1 ,2-a]pyridin-6- ylmethyl]-4-methyl-benzamide;
(2,4-Dimethoxy-benzyl)-[2-(3',4'-dimethyl-biphenyl-4-yl)-imidazo[1 ,2-b]pyridazin-6-yl]- amine; 2-(3l,4l-Dimethyl-biphenyl-4-yl)-imidazo[1 ,2-b]pyridazin-6-yl-hydrazine;
2-(3',4'-Dimethyl-biphenyl-4-yl)-6-morpholin-4-yl-imidazo[1 ,2-b]pyridazine;
2-(3l,4'-Dimethyl-biphenyl-4-yl)-6-piperidin-1-yl-imidazoI1 ,2-b]pyridazine;
. 2-(3\4'-Dimethyl-biphenyl-4-yl)-6-(4rmethyl-piperazin-1 -yl)-imidazo[1 ,2-b]pyridazine; 2-(3',4'-Dimethyl-biphenyl-4-yl)-imidazo[1 ,2-b]pyridazin-6-ylamine; 1 -[2-(3',4'-Dimethyl-biphenyl-4-yl)-imidazo[1 ,2-b]pyridazin-6-yl]-ethanol; [S-CS'Λ'-Diiηethyl-biphenyl^-yO-S-methyl-SH-imidazoti ^-bJti ^^ltriazol^-yl]- methanol;
2-[2-(3,4-Dimethyl-phenyl)-pyrimidin-5-yl]-imidazo[1 ,2-b]pyridazin-6-ylamine; 2-[6-(3,4-Dimethyl-phenyI)-pyridaziπ-3-yl]-imidazo[1,2-b]pyridazin-6-ylamine; 2-[2-(3-Fluoro-3',4'-dimethyl-biphenyl-4-yl)-imidazo[1 ,2-b]pyridazin-7-yl]-propan-2-ol; C-β-β^'-Dimethyl-biphenyM-yO-S-methyl-SH-imidazoIl ,2-b][1 ,2,4]triazol-2-yl]- methylamiπe; , .
N-fS^S'^'-Dimethyl-biphenyl^-ylJ-S-methyl-SH-imidazoti ^-bJII^^triazol^- ylmethylj-methanesulfonamide;; .
1 -[5-(3\4'-Dimethyl-biphenyl-4-yl)-3-methyl-3H-imidazo[1 ,2-b][1 ,2,4]triazol-2-yl]- ethanol; 2-[5-(3\4'-Dimethyl-biphenyl-4-yl)-3-methyl-3H-imidazo[1 ,2-b][1 ,2,4]triazol-2-yl]- propan-2-ol;
S-CS'^'-Dimethyl-biphenyl^-ylJ-S-methyl-SH-imidazofi ^-bJti ^^Jtriazole^-carboxylic acid;
5-(3I,4'-Dimethyl-biphenyl-4-yl)-3-methyl-3H-imidazo[1 ,2-b][1 ,2,4]triazole-2-carboxylic acid amide; and
5-(3',4'-Dimethyl-biphenyl-4-yl)-3-methyl-3H-imidazo[1 ,2-b][1 ,2,4]triazol-2-ylamine.
15. A composition comprising a compound of claim 1 and optionally a pharmaceutically acceptable carrier.
16. A composition as defined in claim 15 in unit dosage form.
17. A method for treating the excessive Complement activation in a patient comprising administering to said patient, a therapeutically effective amount of a compound of claim 1.
18. A method for treating Complement-mediated tissue damage in a patient comprising administering to said patient a therapeutically effective amount of a compound of claim 1.
19. A method for treating diseases characterized by chronic Complement activation, comprising administering to a patient a therapeutically effective amount of a compound of claim 1.
20. A method for treating a condition selected from the group consisting of Alzheimer's disease, multiple sclerosis, Huntington's chorea, Pick's disease, Guillian Barre syndrome, encephalitis, meningitis, stroke, hemorrhagic stroke, cancer, allergic diseases, respiratory diseases, cardiovascular or metabolic disease states, shock, hypertension, hyperlipidemia, hypercholesterolemia, edema, obesity, nephritis, graft rejection, and inflammatory conditions, comprising administering to a patient a therapeutically effective amount of a compound of claim 1.
21. A method for treating a condition selected from the group consisting of Alzheimer's disease, multiple sclerosis, Huntington's chorea, Pick's disease, Guillian Barre syndrome, eηcephalitis, meningitis, stroke, and hemorrhagic stroke, comprising administering to a patient a therapeutically effective amount of a compound of claim 1.
22. A method for antagonizing the C3a receptor in a patient by administering an effective amount of a composition of claim 15.
PCT/IB2006/0025682005-09-192006-09-18Diaryl-imidazole compounds condensed with a heterocycle as c3a receptor antagonistsWO2007034282A2 (en)

Applications Claiming Priority (2)

Application NumberPriority DateFiling DateTitle
US71851705P2005-09-192005-09-19
US60/718,5172005-09-19

Publications (2)

Publication NumberPublication Date
WO2007034282A2true WO2007034282A2 (en)2007-03-29
WO2007034282A3 WO2007034282A3 (en)2007-05-18

Family

ID=37807741

Family Applications (1)

Application NumberTitlePriority DateFiling Date
PCT/IB2006/002568WO2007034282A2 (en)2005-09-192006-09-18Diaryl-imidazole compounds condensed with a heterocycle as c3a receptor antagonists

Country Status (1)

CountryLink
WO (1)WO2007034282A2 (en)

Cited By (55)

* Cited by examiner, † Cited by third party
Publication numberPriority datePublication dateAssigneeTitle
EP1964841A1 (en)*2007-02-282008-09-03sanofi-aventisImidazo[1,2-a]azine and their use as pharmaceuticals
WO2008030579A3 (en)*2006-09-072009-02-26Biogen Idec IncIrak modulators for treating an inflammatory condition, cell proliferative disorder, immune disorder
WO2009028588A1 (en)*2007-08-312009-03-05Eisai R & D Management Co., Ltd.Polycyclic compound
WO2009057577A1 (en)*2007-10-302009-05-07Nihon Medi-Physics Co., Ltd.Use of novel compound having affinity for amyloid, and process for production of the same
US7563797B2 (en)2006-08-282009-07-21Forest Laboratories Holding LimitedSubstituted imidazo(1,2-A)pyrimidines and imidazo(1,2-A) pyridines as cannabinoid receptor ligands
US7618960B2 (en)2005-11-242009-11-17Eisai R&D Management Co., Ltd.Morpholine type cinnamide compound
US7667041B2 (en)2004-05-262010-02-23Eisai R&D Management Co., Ltd.Cinnamide compound
US7713993B2 (en)2006-03-092010-05-11Eisai R&D Management Co., Ltd.Multi-cycle cinnamide derivatives
US7737141B2 (en)2006-07-282010-06-15Eisai R&D Management Co., Ltd.Prodrug of cinnamide compound
CN101861325A (en)*2007-09-052010-10-13阿尔伯塔大学理事会 Process for organocatalytic activation of carboxylic acids in chemical reactions using ortho-substituted arylboronic acids
US7923563B2 (en)2004-10-262011-04-12Eisai R&D Management Co., Ltd.Amorphous object of cinnamide compound
WO2011048032A1 (en)2009-10-212011-04-28F. Hoffmann-La Roche AgDiazepam derivatives as modulators of chemokine receptors
US7935815B2 (en)2007-08-312011-05-03Eisai R&D Management Co., Ltd.Imidazoyl pyridine compounds and salts thereof
US8008293B2 (en)2007-02-282011-08-30Eisai R&D Management Co., Ltd.Bicyclic oxomorpholine derivative
US8048878B2 (en)2005-11-242011-11-01Eisai R&D Management Co., Ltd.Two cyclic cinnamide compound
WO2012178083A1 (en)2011-06-222012-12-27Apellis Pharmaceuticals, Inc.Methods of treating chronic disorders with complement inhibitors
US20130065884A1 (en)*2010-03-182013-03-14Zaesung NoAnti-Infective Compounds
JP2013523673A (en)*2010-03-262013-06-17エフ.ホフマン−ラ ロシュ アーゲー N- (imidazopyrimidin-7-yl) -heteroarylamide derivatives and their use as PDE10A inhibitors
EP2685825A4 (en)*2011-03-152014-09-10Univ Vanderbilt IMADAZAPYRINIDIN-5 (6H) -ESONS SUBSTITUTED AS ALLOSTERIC MODULATORS OF MGLUR5 RECEPTORS
WO2014121055A3 (en)*2013-02-042014-10-02Janssen Pharmaceutica NvFlap modulators
WO2014187762A1 (en)*2013-05-232014-11-27F. Hoffmann-La Roche Ag2-phenylimidazo[1,2-a]pyrimidines as imaging agents
EP2726154A4 (en)*2011-06-202014-12-03Univ Queensland PREVENTION AND TREATMENT OF ACUTE INFLAMMATORY CONDITIONS
US8975276B2 (en)2011-06-292015-03-10Bristol-Myers Squibb CompanyInhibitors of PDE10
US9073876B2 (en)2013-02-042015-07-07Janssen Pharmaceutica NvFlap modulators
US9255103B2 (en)2010-12-082016-02-09Vanderbilt UniversitySubstituted pyrazolo[1,5-a]pyrazines as mGluR5 receptor modulators
CN105439965A (en)*2015-11-202016-03-30江苏恒安化工有限公司Synthetic method of quinoxaline heterocyclic compound
WO2016191811A1 (en)2015-06-032016-12-08The University Of QueenslandMobilizing agents and uses therefor
CN106588673A (en)*2016-12-202017-04-26金凯(辽宁)化工有限公司Preparation method of 2-methyl-5-aminotrifluorotoluene
US10308644B2 (en)2016-12-222019-06-04Incyte CorporationHeterocyclic compounds as immunomodulators
US10618916B2 (en)2018-05-112020-04-14Incyte CorporationHeterocyclic compounds as immunomodulators
US10669271B2 (en)2018-03-302020-06-02Incyte CorporationHeterocyclic compounds as immunomodulators
US10793565B2 (en)2016-12-222020-10-06Incyte CorporationHeterocyclic compounds as immunomodulators
US10806785B2 (en)2016-12-222020-10-20Incyte CorporationImmunomodulator compounds and methods of use
JP2021523231A (en)*2018-05-092021-09-02アプリノイア セラピューティクス インコーポレーテッド Heteroaryl compounds and their use
US11401279B2 (en)2019-09-302022-08-02Incyte CorporationPyrido[3,2-d]pyrimidine compounds as immunomodulators
US11407749B2 (en)2015-10-192022-08-09Incyte CorporationHeterocyclic compounds as immunomodulators
US20220274980A1 (en)*2019-07-302022-09-01The Scripps Research InstitutePharmacological inhibitors of the enl yeats domain
US11465981B2 (en)2016-12-222022-10-11Incyte CorporationHeterocyclic compounds as immunomodulators
US11535615B2 (en)2015-12-222022-12-27Incyte CorporationHeterocyclic compounds as immunomodulators
US11572366B2 (en)2015-11-192023-02-07Incyte CorporationHeterocyclic compounds as immunomodulators
US11608337B2 (en)2016-05-062023-03-21Incyte CorporationHeterocyclic compounds as immunomodulators
US11613536B2 (en)2016-08-292023-03-28Incyte CorporationHeterocyclic compounds as immunomodulators
US11642413B2 (en)2019-11-132023-05-09Aprinoia Therapeutics LimitedCompounds for degrading Tau protein aggregates and uses thereof
US11667628B2 (en)2012-12-212023-06-06National Institutes For Quantum And Radiological Science And TechnologyCompounds for imaging tau proteins that accumulate in brain
US11673883B2 (en)2016-05-262023-06-13Incyte CorporationHeterocyclic compounds as immunomodulators
US11718605B2 (en)2016-07-142023-08-08Incyte CorporationHeterocyclic compounds as immunomodulators
US11753406B2 (en)2019-08-092023-09-12Incyte CorporationSalts of a PD-1/PD-L1 inhibitor
US11760756B2 (en)2020-11-062023-09-19Incyte CorporationCrystalline form of a PD-1/PD-L1 inhibitor
US11780836B2 (en)2020-11-062023-10-10Incyte CorporationProcess of preparing a PD-1/PD-L1 inhibitor
US11866451B2 (en)2019-11-112024-01-09Incyte CorporationSalts and crystalline forms of a PD-1/PD-L1 inhibitor
US11866434B2 (en)2020-11-062024-01-09Incyte CorporationProcess for making a PD-1/PD-L1 inhibitor and salts and crystalline forms thereof
US11873309B2 (en)2016-06-202024-01-16Incyte CorporationHeterocyclic compounds as immunomodulators
CN118812530A (en)*2023-04-182024-10-22中国科学院大连化学物理研究所 A method for preparing imidazopyridine compounds by catalyzing lignin and model compounds using a Pd/C two-component system
WO2025109474A1 (en)*2023-11-212025-05-30Novartis AgSubstituted imidazoarenes and methods of their use
WO2025166319A1 (en)2024-02-022025-08-07The Broad Institute, Inc.Complement cascade inhibitors

Family Cites Families (9)

* Cited by examiner, † Cited by third party
Publication numberPriority datePublication dateAssigneeTitle
GB1541321A (en)*1976-03-101979-02-28Metabio2,3-dihydroimidazo(2,1-b)thiazole derivatives and process for their preparation
AU622330B2 (en)*1989-06-231992-04-02Takeda Chemical Industries Ltd.Condensed heterocyclic compounds having a nitrogen atom in the bridgehead for use as fungicides
EP1017664A1 (en)*1997-09-232000-07-12Smithkline Beecham CorporationC3a receptor ligands
JPH11116481A (en)*1997-10-061999-04-27Sumitomo Pharmaceut Co Ltd Stat6 activation inhibitor
JP3907142B2 (en)*1998-08-182007-04-18富士フイルム株式会社 Organic electroluminescent device material and organic electroluminescent device using the same
ATE372337T1 (en)*2000-02-012007-09-15Abbott Gmbh & Co Kg HETEROCYCLIC COMPOUNDS AND THEIR APPLICATION AS PARP INHIBITORS
JP4030093B2 (en)*2002-03-222008-01-09出光興産株式会社 Material for organic electroluminescence device and organic electroluminescence device using the same
US7867629B2 (en)*2003-01-102011-01-11Idemitsu Kosan Co., Ltd.Nitrogenous heterocyclic derivative and organic electroluminescent element employing the same
JP4795634B2 (en)*2003-10-312011-10-19出光興産株式会社 Organic thin film transistor

Cited By (100)

* Cited by examiner, † Cited by third party
Publication numberPriority datePublication dateAssigneeTitle
US7880009B2 (en)2004-05-262011-02-01Eisai R&D Management Co., Ltd.Cinnamide compound
US7687640B2 (en)2004-05-262010-03-30Eisai R&D Management Co., Ltd.Cinnamide compound
US7667041B2 (en)2004-05-262010-02-23Eisai R&D Management Co., Ltd.Cinnamide compound
US7923563B2 (en)2004-10-262011-04-12Eisai R&D Management Co., Ltd.Amorphous object of cinnamide compound
US8048878B2 (en)2005-11-242011-11-01Eisai R&D Management Co., Ltd.Two cyclic cinnamide compound
US7618960B2 (en)2005-11-242009-11-17Eisai R&D Management Co., Ltd.Morpholine type cinnamide compound
US7713993B2 (en)2006-03-092010-05-11Eisai R&D Management Co., Ltd.Multi-cycle cinnamide derivatives
US7897632B2 (en)2006-03-092011-03-01Eisai R&D Management Co., Ltd.Multi-cyclic cinnamide derivatives
US7973033B2 (en)2006-03-092011-07-05Eisai R&D Management Co., Ltd.Multi-cyclic cinnamide derivatives
US7737141B2 (en)2006-07-282010-06-15Eisai R&D Management Co., Ltd.Prodrug of cinnamide compound
US7563797B2 (en)2006-08-282009-07-21Forest Laboratories Holding LimitedSubstituted imidazo(1,2-A)pyrimidines and imidazo(1,2-A) pyridines as cannabinoid receptor ligands
WO2008030579A3 (en)*2006-09-072009-02-26Biogen Idec IncIrak modulators for treating an inflammatory condition, cell proliferative disorder, immune disorder
EP1964841A1 (en)*2007-02-282008-09-03sanofi-aventisImidazo[1,2-a]azine and their use as pharmaceuticals
US8044050B2 (en)2007-02-282011-10-25Sanofi-AventisImidazo[1,2-a]azines and their use as pharmaceuticals
US8008293B2 (en)2007-02-282011-08-30Eisai R&D Management Co., Ltd.Bicyclic oxomorpholine derivative
WO2008104279A1 (en)*2007-02-282008-09-04Sanofi-AventisImidazo[1,2-a]azines and their use as pharmaceuticals
US7935815B2 (en)2007-08-312011-05-03Eisai R&D Management Co., Ltd.Imidazoyl pyridine compounds and salts thereof
EP2559693A1 (en)*2007-08-312013-02-20Eisai R&D Management Co., Ltd.Polycyclic compound
US9453000B2 (en)2007-08-312016-09-27Eisai R&D Management Co., Ltd.Polycyclic compound
WO2009028588A1 (en)*2007-08-312009-03-05Eisai R & D Management Co., Ltd.Polycyclic compound
CN101815713A (en)*2007-08-312010-08-25卫材R&D管理有限公司Polycyclic compounds
JP5433418B2 (en)*2007-08-312014-03-05エーザイ・アール・アンド・ディー・マネジメント株式会社 Polycyclic compound
CN101861325A (en)*2007-09-052010-10-13阿尔伯塔大学理事会 Process for organocatalytic activation of carboxylic acids in chemical reactions using ortho-substituted arylboronic acids
US8822720B2 (en)2007-09-052014-09-02The Governors Of The University Of AlbertaMethod for the organocatalytic activation of carboxylic acids for chemical, reactions using orthosubstituted arylboronic acids
WO2009057577A1 (en)*2007-10-302009-05-07Nihon Medi-Physics Co., Ltd.Use of novel compound having affinity for amyloid, and process for production of the same
JPWO2009057577A1 (en)*2007-10-302011-03-10日本メジフィジックス株式会社 Use and production methods of novel amyloid affinity compounds
WO2011048032A1 (en)2009-10-212011-04-28F. Hoffmann-La Roche AgDiazepam derivatives as modulators of chemokine receptors
US8865734B2 (en)*2010-03-182014-10-21Institut Pasteur KoreaAnti-infective compounds
US20130065884A1 (en)*2010-03-182013-03-14Zaesung NoAnti-Infective Compounds
JP2013523673A (en)*2010-03-262013-06-17エフ.ホフマン−ラ ロシュ アーゲー N- (imidazopyrimidin-7-yl) -heteroarylamide derivatives and their use as PDE10A inhibitors
US9255103B2 (en)2010-12-082016-02-09Vanderbilt UniversitySubstituted pyrazolo[1,5-a]pyrazines as mGluR5 receptor modulators
EP2685825A4 (en)*2011-03-152014-09-10Univ Vanderbilt IMADAZAPYRINIDIN-5 (6H) -ESONS SUBSTITUTED AS ALLOSTERIC MODULATORS OF MGLUR5 RECEPTORS
EP2726154A4 (en)*2011-06-202014-12-03Univ Queensland PREVENTION AND TREATMENT OF ACUTE INFLAMMATORY CONDITIONS
WO2012178083A1 (en)2011-06-222012-12-27Apellis Pharmaceuticals, Inc.Methods of treating chronic disorders with complement inhibitors
EP3524258A1 (en)2011-06-222019-08-14Apellis Pharmaceuticals, Inc.Methods of treating chronic disorders with complement inhibitors
US8975276B2 (en)2011-06-292015-03-10Bristol-Myers Squibb CompanyInhibitors of PDE10
US12195454B2 (en)2012-12-212025-01-14National Institutes For Quantum And Radiological Science And TechnologyCompounds for imaging tau proteins that accumulate in the brain
US11667628B2 (en)2012-12-212023-06-06National Institutes For Quantum And Radiological Science And TechnologyCompounds for imaging tau proteins that accumulate in brain
US9926333B2 (en)2013-02-042018-03-27Janssen Pharmaceutica NvFlap modulators
US10047101B2 (en)2013-02-042018-08-14Janssen Pharmaceautica NVFlap modulators
US9073876B2 (en)2013-02-042015-07-07Janssen Pharmaceutica NvFlap modulators
WO2014121055A3 (en)*2013-02-042014-10-02Janssen Pharmaceutica NvFlap modulators
US9079866B2 (en)2013-02-042015-07-14Janssen Pharmaceutica NvFlap modulators
US9884878B2 (en)2013-02-042018-02-06Janssen Pharmaceutica NvFLAP modulators
US9745328B2 (en)2013-02-042017-08-29Janssen Pharmaceutica NvFlap modulators
US9732093B2 (en)2013-02-042017-08-15Janssen Pharmaceutica NvFLAP modulators
CN105229009A (en)*2013-05-232016-01-06豪夫迈·罗氏有限公司As 2-phenylimidazole also [1,2-A] pyrimidine of preparation
CN105229009B (en)*2013-05-232017-09-29豪夫迈·罗氏有限公司 2‑Phenylimidazo[1,2‑A]pyrimidines as Imaging Agents
US9801961B2 (en)*2013-05-232017-10-31Hoffmann-La Roche Inc.2-phenylimidazo[1,2-a]pyrimidines as imaging agents
WO2014187762A1 (en)*2013-05-232014-11-27F. Hoffmann-La Roche Ag2-phenylimidazo[1,2-a]pyrimidines as imaging agents
US20170128598A1 (en)*2013-05-232017-05-11Hoffmann-La Roche Inc.2-phenylimidazo[1,2-a]pyrimidines as imaging agents
JP2016520091A (en)*2013-05-232016-07-11エフ.ホフマン−ラ ロシュ アーゲーF. Hoffmann−La Roche Aktiengesellschaft 2-Phenylimidazo [1.2-A] pyrimidine as a contrast agent
RU2665580C2 (en)*2013-05-232018-08-31Ф. Хоффманн-Ля Рош Аг2-phenylimidazo[1,2-a]pyrimidines as imaging agents
WO2016191811A1 (en)2015-06-032016-12-08The University Of QueenslandMobilizing agents and uses therefor
US11407749B2 (en)2015-10-192022-08-09Incyte CorporationHeterocyclic compounds as immunomodulators
US11572366B2 (en)2015-11-192023-02-07Incyte CorporationHeterocyclic compounds as immunomodulators
CN105439965A (en)*2015-11-202016-03-30江苏恒安化工有限公司Synthetic method of quinoxaline heterocyclic compound
US11866435B2 (en)2015-12-222024-01-09Incyte CorporationHeterocyclic compounds as immunomodulators
US11535615B2 (en)2015-12-222022-12-27Incyte CorporationHeterocyclic compounds as immunomodulators
US11608337B2 (en)2016-05-062023-03-21Incyte CorporationHeterocyclic compounds as immunomodulators
US11673883B2 (en)2016-05-262023-06-13Incyte CorporationHeterocyclic compounds as immunomodulators
US11873309B2 (en)2016-06-202024-01-16Incyte CorporationHeterocyclic compounds as immunomodulators
US11718605B2 (en)2016-07-142023-08-08Incyte CorporationHeterocyclic compounds as immunomodulators
US11613536B2 (en)2016-08-292023-03-28Incyte CorporationHeterocyclic compounds as immunomodulators
CN106588673A (en)*2016-12-202017-04-26金凯(辽宁)化工有限公司Preparation method of 2-methyl-5-aminotrifluorotoluene
US11465981B2 (en)2016-12-222022-10-11Incyte CorporationHeterocyclic compounds as immunomodulators
US10806785B2 (en)2016-12-222020-10-20Incyte CorporationImmunomodulator compounds and methods of use
US10308644B2 (en)2016-12-222019-06-04Incyte CorporationHeterocyclic compounds as immunomodulators
US11339149B2 (en)2016-12-222022-05-24Incyte CorporationHeterocyclic compounds as immunomodulators
US11787793B2 (en)2016-12-222023-10-17Incyte CorporationHeterocyclic compounds as immunomodulators
US10793565B2 (en)2016-12-222020-10-06Incyte CorporationHeterocyclic compounds as immunomodulators
US10800768B2 (en)2016-12-222020-10-13Incyte CorporationHeterocyclic compounds as immunomodulators
US12247026B2 (en)2018-03-302025-03-11Incyte CorporationHeterocyclic compounds as immunomodulators
US10669271B2 (en)2018-03-302020-06-02Incyte CorporationHeterocyclic compounds as immunomodulators
US11124511B2 (en)2018-03-302021-09-21Incyte CorporationHeterocyclic compounds as immunomodulators
US12116364B2 (en)2018-05-092024-10-15Aprinoia Therapeutics Inc.Heteroaryl compounds and uses thereof
IL278579B2 (en)*2018-05-092024-09-01Aprinoia Therapeutics Inc Heteroaryl compounds and uses thereof
JP7293343B2 (en)2018-05-092023-06-19アプリノイア セラピューティクス リミテッド Heteroaryl compound and use thereof
EP3790883A4 (en)*2018-05-092022-08-24Aprinoia Therapeutics Limited HETEROARYL COMPOUNDS AND THEIR USES
IL278579B1 (en)*2018-05-092024-05-01Aprinoia Therapeutics Inc Heteroaryl compounds and uses thereof
JP2021523231A (en)*2018-05-092021-09-02アプリノイア セラピューティクス インコーポレーテッド Heteroaryl compounds and their use
US10906920B2 (en)2018-05-112021-02-02Incyte CorporationHeterocyclic compounds as immunomodulators
US12187743B2 (en)2018-05-112025-01-07Incyte CorporationHeterocyclic compounds as immunomodulators
US11414433B2 (en)2018-05-112022-08-16Incyte CorporationHeterocyclic compounds as immunomodulators
US10618916B2 (en)2018-05-112020-04-14Incyte CorporationHeterocyclic compounds as immunomodulators
US20220274980A1 (en)*2019-07-302022-09-01The Scripps Research InstitutePharmacological inhibitors of the enl yeats domain
US11753406B2 (en)2019-08-092023-09-12Incyte CorporationSalts of a PD-1/PD-L1 inhibitor
US11401279B2 (en)2019-09-302022-08-02Incyte CorporationPyrido[3,2-d]pyrimidine compounds as immunomodulators
US12247038B2 (en)2019-09-302025-03-11Incyte CorporationPyrido[3,2-d]pyrimidine compounds as immunomodulators
US11866451B2 (en)2019-11-112024-01-09Incyte CorporationSalts and crystalline forms of a PD-1/PD-L1 inhibitor
US11642413B2 (en)2019-11-132023-05-09Aprinoia Therapeutics LimitedCompounds for degrading Tau protein aggregates and uses thereof
US12377152B2 (en)2019-11-132025-08-05Aprinoia Therapeutics LimitedCompounds for degrading alpha-synuclein aggregates and uses thereof
US12084443B2 (en)2020-11-062024-09-10Incyte CorporationProcess of preparing a PD-1/PD-L1 inhibitor
US11780836B2 (en)2020-11-062023-10-10Incyte CorporationProcess of preparing a PD-1/PD-L1 inhibitor
US11866434B2 (en)2020-11-062024-01-09Incyte CorporationProcess for making a PD-1/PD-L1 inhibitor and salts and crystalline forms thereof
US11760756B2 (en)2020-11-062023-09-19Incyte CorporationCrystalline form of a PD-1/PD-L1 inhibitor
US12404272B2 (en)2020-11-062025-09-02Incyte CorporationProcess for making a PD-1/PD-L1 inhibitor and salts and crystalline forms thereof
CN118812530A (en)*2023-04-182024-10-22中国科学院大连化学物理研究所 A method for preparing imidazopyridine compounds by catalyzing lignin and model compounds using a Pd/C two-component system
WO2025109474A1 (en)*2023-11-212025-05-30Novartis AgSubstituted imidazoarenes and methods of their use
WO2025166319A1 (en)2024-02-022025-08-07The Broad Institute, Inc.Complement cascade inhibitors

Also Published As

Publication numberPublication date
WO2007034282A3 (en)2007-05-18

Similar Documents

PublicationPublication DateTitle
WO2007034282A2 (en)Diaryl-imidazole compounds condensed with a heterocycle as c3a receptor antagonists
US9381192B2 (en)Indazole inhibitors of the Wnt signal pathway and therapeutic uses thereof
US7557110B2 (en)Pyrazolo[1,5-A] pyrimidine derivatives
EP3080120B1 (en)Fused imidazole and pyrazole derivatives as modulators of tnf activity
WO2007034279A2 (en)C3a antagonists and pharmaceutical compositions thereof
EP3305073B1 (en)1h-pyrazolo[3,4-b]pyridines and therapeutic uses thereof
WO2007034278A2 (en)Fused imidazole derivatives as c3a receptor antagonists
CA3166358A1 (en)Small molecule sting antagonists
AU2002343110A1 (en)Imidazopyridines, pyrimidines and triazines for enhancing cognition as gaba-a alpha 5 receptor subtype ligands
CA3150508A1 (en)Azole-fused pyridazin-3(2h)-one derivatives
CA2897469A1 (en)Pyridine derivatives as muscarinic m1 receptor positive allosteric modulators
US20060111416A1 (en)Octahydropyrrolo[3,4-C]pyrrole derivatives
GB2572526A (en)Heterocyclic small molecule modulators of human STING
KR20250033162A (en) Indolizine derivatives for treating TRPM3-mediated disorders
CN119421883A (en) Novel derivatives for the treatment of TRPM3-mediated disorders
AU2022325543A1 (en)Small molecule sting antagonists
CN118159535A (en)Small molecule STING antagonists
JPH07309872A (en) Fused ring pyrimidine derivatives and analgesics
WO2023017452A1 (en)Small molecule urea derivatives as sting antagonists
CA2542720A1 (en)Azabenzodiazepines as phosphodiesterase-4 inhibitors

Legal Events

DateCodeTitleDescription
NENPNon-entry into the national phase

Ref country code:DE

122Ep: pct application non-entry in european phase

Ref document number:06820755

Country of ref document:EP

Kind code of ref document:A2


[8]ページ先頭

©2009-2025 Movatter.jp