METHOD FOR PROVIDING BROADCAST/MULTICAST SERVICE DATA IN OFDM CELLULAR SYSTEM AND TRANSMITTING/RECEIVING METHOD, APPARATUS,
AND SYSTEM USING THE SAME
TECHNICAL FIELD
The present invention relates to a wireless cellular communication system, and more particularly, to a method and system for providing a broadcast/multicast service in an orthogonal frequency division multiplexing (OFDM) cellular system. Also, the present invention also relates to a transmitting/receiving apparatus, method, and system using the same.
BACKGROUND ART A wireless cellular communication system is capable of performing a point-to-multipoint transmission method in which the same data is simultaneously transmitted to a plurality of terminals in a cellular network by using shared wireless resources in order to provide a broadcast/multicast service. When several terminals request the same data, it is possible to transmit data more efficiently using this method than when using a unicast transmission method in which a terminal and a network establish communications in a point-to-point manner.
However, when data is transmitted using shared wireless resources so as to transmit broadcast/multicast packet data, there is a restriction to cell coverage in the transmission rate of particular data or increasing the transmission rate of data, due to a terminal having a poor channel, and particularly, a terminal located in a cell boundary.
FIG. 1 is a block diagram of a transmitting/receiving apparatus for a broadcast/multicast service in a conventional wireless cellular communication system in a conventional wireless cellular communication system. Referring to FIG. 1 , the conventional wireless cellular communication system includes a first base station 100, a second base station 110, a third base station 120, and a terminal 150. The first through third base stations 100 through 120 are adjacent to one another, and each of them includes a cell site transmitter 130 that transmits data corresponding to a broadcast/multicast service to the terminal 150. Also, the terminal 150 includes a user equipment receiver 160 that receives the data corresponding to the broadcast/multicast service in order to possess the broadcast/multicast service. Referring to FIG. 1 , the cell site transmitter 130 includes a channel encoder 132, a symbol mapper 134, a pilot generator 136, and an orthogonal frequency division multiplexing (OFDM) modulator 138. The channel encoder 132 channel-codes broadcast/multicast data shared by the first through third base stations 100 through 120 by using the same channel coding method. The symbol mapper 134 generates a stream of data symbols by mapping the channel-coded data to a corresponding modulated symbol. The pilot generator 136 generates a stream of pilot symbols. The OFDM modulator 138 OFDM-modulates the stream of the data symbols and the steam of the pilot symbols, and transmits the modulated result wireless channels 102, 112, and 122. In particular, the pilot generator 136 generates a pilot symbol, which allows the terminal 150 to presume a channel for a received signal which is a sum of base station signals, and inserts it into the sub-carrier position of an OFDM symbol which is shared by the first through third base stations 100 through 120. For details, see 3GPP2 C30-20040823-060, entitled "Detailed Description of the Enhanced BCMCS Transmission Waveform Description," published on August of 2004.
Referring to FIG. 1 , the user equipment receiver 160 includes an OFDM demodulator 162, a channel estimator 164, a symbol demodulator 166, and a channel decoder 168. In general, only a signal from a near-by base station is strongly received when the terminal 150 is located inside a cell. However, the intensity of the signal from the near-by base station is similar to those of signals from other base stations when the terminal is located at a boundary of the cell. In this case, when a transmission delay difference between the received signals is not greater than a guard interval, the signals from the other base stations may be regarded as being parts of a multi-path fading signal that is delayed for a different amount of time. Thus, the demodulator 162 converts a received signal, which is a sum of the signals from the other base stations, into a corresponding reception symbol Y(I) in a frequency domain. The reception symbol Y(I) may be expressed as follows: Y(I) = H(I)X(I) + W(I), I = 0, 1, • • • , L - 1 where H(I) = ^H1(I)(U wherein X(I) denotes a lth data symbol of broadcast packet data physical channel, and Hi(I) denotes a channel frequency response value between an ith base station and the terminal 150, i.e., the channel frequency response value corresponding to the lth data symbol. That is, H1() denotes a channel frequency response value of a transport route indicated with reference numeral 170, and H2() and H3() denote channel frequency response values of transport routes indicated with reference numerals 172 and 174, respectively. W(I) denotes additive noise contained in a lth reception symbol.
The channel estimator 164 presumes a channel H(I) by using a pilot signal contained in the received signal. In this case, as described above, the channel estimator 164 uses the fact that the pilot symbol shared by the first through third base stations 100 through 120 is generated and the generated pilot symbol is inserted into the location where the OFDM symbol is located. The symbol demodulator 166 demodulates the reception symbol Y(I) based on the presuming result from the channel estimator 164, and provides the demodulated result to the channel decoder 168. The channel decoder 168 obtains the original data based on the demodulated result. A signal-to-noise rate of the symbol whose channel is compensated for by the symbol demodulator 166 may be expressed as follows:

wherein ET denotes the transmission energy of a base station, and No denotes the power spectrum density of the additive noise. Since the phases of channel responses from a plurality of base stations are different from one another, symbol modulation is performed with respect to the sum of the channel responses. Accordingly, an average value of the SNR of the symbol is greater without increasing a diversity order when a plurality of base stations transmit channel responses than when only a base station transmits a channel response. That is, conventionally, the signal power of all reception symbols that constitute a packet are very likely to be low due to fading, thus increasing packet error probability A method of improving the performance of a physical channel in order to provide a broadcast/multicast packet data service in a CDMA-based wireless cellular communication system has been introduced by M.Chuah and T.Hu, W.Luo ["UMTS Release 99/4 Airlink Enhancement for Supporting MBMS Services," IEEE International Conference on Communications, vol. 6, pp. 3231-3235, June 20 to 24, 2004]. However, this method is mainly related to enhancement of the performance of physical channel (power control, mapping to a physical channel, etc.) without changing the existing physical channel, and thus is not significantly different from the existing CDMA system.
In a WCDMA system, a user being located at a boundary of a cell can receive a shared channel for broadcast/multicast by using a selective combining scheme of a soft combining scheme [which has been introduced in 3GGP TS 25.346 V6.3.0, "Introduction of the Multimedia Broadcast Multicast Service (MBMS) in the Radio Access Network (RAN); Stage 2 (Release 6)," December of 2004]. In the soft combining scheme, a diversity order can be increased, since a base station transmits signals that are spread by different sequences of pseudo noise and a terminal restores the original data using a rake receiver and a maximum ratio combining scheme. However, the soft combining scheme does not provide a solution to inter-cell interference. As a result, since the less a spreading gain, the lower the system performance, there is a restriction to increasing a data transmission rate.
DESCRIPTION OF THE DRAWINGS
FIG. 1 is a block diagram of a transmitting/receiving apparatus for a broadcast/multicast service in a conventional wireless cellular communication system;
FIG. 2 is a block diagram of a system for providing a broadcast/multicast service in an orthogonal frequency division multiplexing (OFDM) cellular system according to an embodiment of the present invention;
FIGS. 3 and 4 illustrate cell grouping methods according to embodiments of the present invention;
FIGS. 5 through 13 are diagrams illustrating coding methods being respectively allocated to a plurality of cell groups according to embodiments of the present invention; FIGS. 14 through 17 illustrate pilot symbol patterns according to an embodiment of the present invention;
FIGS. 18 and 19 are block diagrams of the coding method allocating unit illustrated in FIG. 2 according to embodiments of the present invention;
FIG. 20 is a block diagram of a transmitting apparatus for providing a broadcast/multicast service in an OFDM cellular system according to an embodiment of the present invention;
FIG. 21 is a block diagram of a transmitting apparatus for providing a broadcast/multicast service in an OFDM cellular system according to another embodiment of the present invention; FIG. 22 is a block diagram of a transmitting apparatus for providing a broadcast/multicast service in an OFDM cellular system according to another embodiment of the present invention;
FIG. 23 is a block diagram of a transmitting apparatus for providing a broadcast/multicast service in an OFDM cellular system according to another embodiment of the present invention;
FIG. 24 is a block diagram of a transmitting apparatus for providing a broadcast/multicast service in an OFDM cellular system according to another embodiment of the present invention;
FIGS. 25 and 26 are detailed block diagram respectively illustrating embodiments of the transmitting unit of FIG. 24 when N=3 and M=2, according to the present invention;
FIG. 27 is a block diagram of a transmitting apparatus for providing a broadcast/multicast service in an OFDM cellular system according to another embodiment of the present invention;
FIGS. 28 and 29 are detailed block diagram respectively illustrating embodiments of the transmitting unit of FIG. 27 when N=3 and M=2, according to the present invention;
FIG. 30 is a block diagram of a receiving apparatus for receiving a broadcast/multicast service in an OFDM cellular system according to an embodiment of the present invention;
FIG. 31 is a flowchart illustrating a method of providing a broadcast/multicast service in an OFDM cellular system according to an embodiment of the present invention;
FIG. 32 is a flowchart illustrating a transmitting method for providing a broadcast/multicast service in an OFDM cellular system according to an embodiment of the present invention; FIG. 33 is a flowchart illustrating a receiving method for providing a broadcast/multicast service in an OFDM cellular system according to another embodiment of the present invention; and
FIGS. 34 and 35 are graphs illustrating the performance of a conventional diversity technique, a 2-cell group, 2-divisity technique, and a 3-cell group, 3-diversity technique.
DETAILED DESCRIPTION OF THE INVENTION
TECHNICAL PROBLEM
The present invention provides a method and system for providing a broadcast/multicast service in a wireless cellular communication system, which are capable of improving the receiving capability of a terminal located at a boundary of a cell, and coverage for transmission rate of particular data.
The present invention also provides an apparatus and method for transmitting/receiving broadcast/multicast data available for the above method and system for providing a broadcast/multicast service.
TECHNICAL SOLUTION
According to an aspect of the present invention, there is provided a system for providing a broadcast/multicast service in an orthogonal frequency division multiplexing (OFDM) cellular system, the system comprising a grouping unit dividing adjacent cells transmitting the same broadcast/multicast data into a plurality of cell groups; a coding method allocating unit allocating a coding method including sub code that is a part of diversity code to each of the cell groups, so that there is a pair of transmission antennas, belonging to different cell groups, which transmit different parts of code symbols corresponding to the same data symbol vector; a plurality of base stations each generating code symbols by diversity-coding a data symbol vector according to a coding method allocated to a cell group which the base station belongs to, and transmitting an OFDM symbol containing the generated code symbols; and at least one terminal extracting reception symbol from a received signal corresponding to the OFDM symbols transmitted by the base stations, and diversity-combing the extracted reception symbols.
The coding method allocating unit may comprise a sub region generating unit dividing a physical channel region, which is used to transmit data symbol vectors belonging to the same physical coding block, into a plurality of sub regions; and a sub code allocating unit allocating sub code to each of the sub regions so that at least one pair of sub regions using different sub codes in a cell group is present.
Each of the base stations may comprise a plurality of transmission antennas. The coding method allocating unit may allocate sub code to each of the transmission antennas in each of the base stations, so that a pair of transmission antennas transmitting different parts of code symbols corresponding to the same data symbol vector is present in each of the base stations, and each of the base stations may generate code symbols for each of the transmission antennas according to the allocated sub code. The coding method allocating unit may comprise a sub region generating unit dividing a physical channel region, which is used to transmit data symbol vectors belonging to the same physical coding block, into a plurality of sub regions; and a sub code allocating unit allocating sub code to each of the sub regions so that at least one pair of sub regions using different sub codes are present in each of the transmission antennas.
Each of the base stations may comprise N transmission antennas, N being a natural number equal to or greater than 2. The coding method allocating unit may allocate sub code for each of M transmission antennas so that at least one pair of transmission antennas using different sub codes are present, M being a natural number less than N. Each of the base stations may select M transmission antennas from the N transmission antennas, generate code symbols for each of the selected transmission antennas according to the allocated sub code, and transmit each of OFDM symbols containing the generated code symbols via one of the selected transmission antennas. The coding method allocating unit may further comprise a sub region generating unit dividing a physical channel region, which is used to transmit data symbol vectors belonging to the same channel coding block, into a plurality of sub regions. Each of the base stations may select the M transmission antennas so that a pair of sub regions having different selection patterns for transmission antennas are present.
Each of the base stations may comprise N transmission antennas, N being a natural number equal to or greater than 2. The coding method allocating unit may comprise a sequence allocating unit allocating M sequences having a length of N to each of the cell groups, where the M sequences are used to generate M virtual transmission antennas by linearly combining the N transmission antennas; a sub code allocating unit allocating sub code to each of the virtual transmission antennas so that at least one pair of virtual transmission antennas using different sub codes are present. Each of the base stations may comprise a coding unit generating code symbols for each of the virtual transmission antennas according to the allocated sub code; and a transmitting unit generating N OFDM symbols by applying the M sequences to the M code symbols in one of a time domain and a frequency domain, and transmitting each of the generated OFDM symbols via one of the transmission antennas,
Each of the at least one terminal may estimate channel frequency response for a transport route of code symbols according to each sub code, and combine the extracted reception symbols based on the estimated channel frequency response. Each of the at least one terminal may estimate channel frequency response for a transport route of code symbols according to each sub code by reflecting the sequence.
Each of the base stations may transmit an OFDM symbol containing the generated code symbols and pilot symbols needed for channel estimation for the transport route of code symbols according to each sub code, and each of the at least one terminal may extract a pilot symbol from the received signal, and estimate the channel frequency response based on the extracted pilot symbol. The coding method allocating unit may set a pilot symbol arrangement method or a pilot symbol coding method so as to allow a receiving side to perform channel estimate for the transport route of code symbols according to the sub code. Each of the base stations may comprise a pilot symbol generating unit generating pilot symbols according to the pilot symbol arrangement method or the pilot symbol coding method; and a transmitting unit generating an OFDM symbol containing the generated code symbols and pilot symbols.
According to another aspect of the present invention, there is provided a transmitting apparatus for providing a broadcast/multicast service in an orthogonal frequency division multiplexing (OFDM) cellular system, the apparatus belonging to one of a plurality of cell groups generated by grouping adjacent cells transmitting the same broadcast/multicast data, the apparatus comprising at least one transmission antenna; a coding method setting unit setting a coding method including sub code, which is a part of diversity code, for the cell group to which the apparatus belongs, such that there is a pair of transmission antennas, belonging to different cell groups, which transmit different parts of code symbols corresponding to the same data symbol vector; a diversity coding unit generating code symbols by diversity-coding a data symbol vector according to the set coding method; and a transmitting unit generating an OFDM symbol containing the generated code symbols and transmitting the OFDM symbol to each of the transmission antennas.
The coding method setting unit may comprise a sub region generating unit dividing a physical channel region, which is used to transmit data symbol vectors belonging to the same physical coding block, into a plurality of sub regions; and a sub code setting unit setting sub code for each of the sub regions so that at least one pair of sub regions using different sub codes are present in each of the cell groups.
The transmitting apparatus may comprise a plurality of transmission antennas.
The coding method setting unit may set sub code for each of the transmission antennas so that a pair of transmission antennas transmitting different parts of code symbols corresponding to the same data symbol vector are present, and the diversity coding unit may generate code symbols for each of the transmission antennas according to the set sub code.
The coding method setting unit may comprise a sub region setting unit dividing a physical channel region, which is used to transmit data symbol vectors belonging to the same channel coding block, into a plurality of sub regions; and a sub code setting unit setting sub code for each of the sub regions so that at least one pair of sub regions using different sub codes are present in each of the transmission antennas. The transmitting apparatus comprise N transmission antennas, N being a natural number equal to or greater than 2. The coding method allocating unit may allocate sub code for each of M transmission antennas so that at least one pair of transmission antennas using different sub codes are present, M being a natural number less than N.
The diversity coding unit may generate code symbols for each of the M transmission antennas according to the set code. The transmitting unit may select M transmission antennas from the N transmission antennas, and transmit each of OFDM symbols containing generated code symbols via one of the selected transmission antennas.
The coding method setting unit may further comprise a sub region setting unit dividing a physical channel region, which is used to data symbol vectors belonging to the same channel coding block, into a plurality of sub regions, and the transmitting unit may select the M transmission antennas so that a pair of sub regions having different selection patterns for transmission antennas are present. The transmitting apparatus may comprise N transmission antennas, N being a natural number equal to or greater than 2. The coding method setting unit may comprise a virtual transmission antenna generating unit generating M virtual transmission antennas by linearly combining the N transmission antennas, based on M sequences having a length of N; and a sub code setting unit setting sub code for each of the virtual transmission antennas so that at least one pair of virtual transmission antennas using different sub codes are present. The diversity coding unit may generate code symbols for each of the virtual transmission antennas according to the set sub code. The transmitting unit may generate N OFDM symbols by applying the M sequences to the M code symbols in one of a time domain and a frequency domain, and transmit each of the generated OFDM symbols via one of the transmission antennas.
The coding method allocating unit may set a pilot symbol arrangement method or a pilot symbol coding method for pilot symbols so as to allow a receiving side to perform channel estimate for the transport route of code symbols according to the sub code. The apparatus may further comprise a pilot symbol generating unit generating pilot symbols according to the pilot symbol arrangement method or the pilot symbol coding method. The transmitting unit may generate an OFDM symbol containing the generated code symbols and pilot symbols. According to another aspect of the present invention, there is provided a receiving apparatus for receiving a broadcast/multicast service in an orthogonal frequency division multiplexing (OFDM) cellular system, the apparatus comprising a symbol extracting unit extracting reception symbols from a received signal transmitted via each of the transmission antennas of a plurality of cells groups, which are generated by grouping adjacent cells transmitting the same broadcast/multicast data, according to a predetermined coding method; and a combining unit estimating channel frequency response for a transport route of code symbols according to each of sub code that is a part of diversity code, and combining the reception symbols belonging to the same data symbol vector, based on the estimated channel frequency response. The predetermined coding method is a coding method in which diversity is performed according to sub code allocated to a transmission antenna of each of coding cell group, so that a pair of transmission antennas, belonging to different cell groups, which transmit different parts of code symbols corresponding to the same data symbol vector are present. The apparatus may further include a symbol demodulating unit demodulating a combination symbol obtained by combining the reception symbols; and a channel decoder channel-decoding the demodulated result. The coding method may be a coding method in which a physical channel region, which is used to transmit data symbol vectors belonging to the same channel coding block, is divided into a plurality of sub regions, and diversity coding is performed according to sub code allocated to each of a plurality of sub regions of each of the transmission antennas so that at least one pair of sub regions using different sub codes are present in each of the transmission antennas of each of the cell groups.
The combining unit may estimate channel frequency response for a transport route of code symbols according to each of the sub codes, based on reception symbols, of the extracted reception symbols, which corresponds to pilot symbol. The coding method may comprise a pilot symbol arrangement method or a pilot symbol coding method for pilot symbols, which is set to allow a receiving side to perform channel estimation for the transport route of code symbols according to the sub code.
The coding method may comprise generating N OFDM symbols by applying M sequences having a length of N to M code symbols, which are diversity-coded, in one of a time domain and a frequency domain, and transmitting each of the generated OFDM symbols via one of the transmission antennas. The combining unit may estimate channel frequency response for the transport route of code symbols according to each of the sub codes by reflecting the sequences.
According to another aspect of the present invention, there is provided a method of providing a broadcast/multicast service in an orthogonal frequency division multiplexing (OFDM) cellular system, the method comprising grouping by dividing adjacent cells transmitting the same broadcast/multicast data into a plurality of cell groups; allocating a coding method including sub code that is a part of diversity code to each of the cell groups, so that a pair of transmission antennas, belonging to different cell groups, which transmit different parts of code symbols corresponding to the same data symbol vector are present; transmitting by generating code symbols by diversity-coding a data symbol vector according to a coding method allocated to a cell group to which each of base stations belong, and transmitting an OFDM symbol containing the generated code symbols; and a terminal extracting reception symbols from a received signal corresponding to the OFDM symbols transmitted by the base stations, and diversity-combining the extracted reception symbols.
The allocating of the coding method may comprise generating sub regions by dividing a physical channel region, which is used to transmit data symbol vectors belonging to the same channel coding block, into a plurality of sub regions; and allocating sub code to each of the sub regions so that at least one pair of sub regions using different sub codes are present in each of the cell groups.
Each of the base stations may comprise a plurality of transmission antennas. The allocating of the coding method comprises allocating sub code to each of the transmission antennas in each of the base stations so that a pair of transmission antennas transmitting different parts of code symbols corresponding to the same data symbol vector are present in each of the base stations, the transmitting comprises each of the base stations generating code symbols for each of the transmission antennas according to the allocated sub code.
The allocating of the coding method may comprise generating sub regions by dividing a physical channel region, which is used to transmit data symbol vectors belonging to the same channel coding block, into a plurality of sub regions; and allocating sub code to each of the sub regions so that at least one pair of sub regions using different sub codes are present in each of the transmission antennas.
Each of the base stations may comprise N transmission antennas, N being a natural number equal to or greater than 2. The allocating of the coding method may comprise allocating sub code for each of M transmission antennas so that at least one pair of transmission antennas using different sub codes is present, M being a natural number less than N. The transmitting may comprise each of the base stations selecting the M transmission antennas of the N transmission antennas, generating code symbols for each of the selected transmission antennas according to the allocated sub code, and transmitting each of OFDM symbols containing the generated code symbols via one of the selected transmission antennas.
The allocating of the coding method may further comprise dividing a physical channel region, which is used to transmit data symbol vectors belonging to the same channel coding block, into a plurality of sub regions. The transmitting may comprise each of the base stations selecting the M transmission antennas so that a pair of sub regions having different selection patterns for transmission antennas are present.
Each of the base stations may comprise N transmission antennas, N being a natural number equal to or greater than 2. The allocating of a coding method may comprise allocating M sequences having a length of N, which are used to generate M virtual transmission antennas by linearly combining the N transmission antennas, to each of the cell groups; and allocating sub code to each of the virtual transmission antennas so that at least one pair of virtual transmission antennas using different sub codes are present. The transmitting may comprise coding by generating code symbols for each of the virtual transmission antennas according to the allocated sub code; and transmitting by generating N OFDM symbols by applying the M sequences to the M code symbols in one of a time domain and a frequency domain, and transmitting each of the generated OFDM symbols via one of the transmission antennas.
The diversity-combining may comprise the terminal estimating channel frequency response for a transport route of code symbols according to each of the sub codes, and combining the extracted reception symbols based the estimated channel frequency response.
The diversity-combining may comprise the terminal estimating channel frequency response for a transport route of code symbols according to each of the sub codes by reflecting the sequences, and combining the extracted reception symbols based the estimated channel frequency response
The transmitting may comprise each of the base stations transmitting an OFDM symbol containing the generated code symbols and pilot symbols needed for channel estimation of a transport route of code symbols according to each of the sub codes, and the diversity-combining may comprise estimating the channel frequency response based on pilot symbols contained in the received signal.
The allocating of a coding method may comprise setting a pilot symbol arrangement method or a pilot symbol coding method so as to allow a receiving side to perform channel estimation for the transport route of code symbols according to the sub code. The transmitting may comprise generating pilot symbols according to the pilot symbol arrangement method or the pilot symbol coding method; and transmitting by generating an OFDM symbol containing the generated code symbols and pilot symbols.
According to another aspect of the present invention, there is provided a transmitting method for providing a broadcast/multicast service in an orthogonal frequency division multiplexing (OFDM) cellular system, the method being performed using a transmitting apparatus belonging to one of a plurality of cell groups generated by grouping adjacent cells transmitting the same broadcast/multicast data, the transmitting apparatus including at least one transmission antenna, the method comprising setting a coding method including sub code that is a part of diversity code for the cell group to which the transmitting apparatus belongs, so that a pair of transmission antennas, belonging to different cell groups, which transmit different parts of code symbols corresponding to the same data symbol vector are present; diversity coding by generating code symbols by diversity-coding a data symbol vector according to the set coding method; and transmitting by generating an OFDM symbol containing the generated code symbols and transmitting the OFDM symbol to each of the transmission antennas.
The setting of the coding method may comprise setting sub regions by dividing a physical channel region, which is used to transmit data symbol vectors belonging to same channel coding block, into a plurality of sub blocks; and setting sub code for each of the sub regions so that at least one pair of sub regions using different sub codes are present in each of the cell groups. The transmitting apparatus may comprise a plurality of transmission antennas. The setting of the coding method may comprise setting sub code for each of transmission antennas so that a pair of transmission antennas transmitting different parts of code symbols corresponding to the same data symbol vector. The diversity-coding may comprise generating code symbols for each of the transmission antennas according to the set sub code.
The setting of the coding method may comprise setting sub blocks by dividing a physical channel region, which is used to transmit data symbol vectors belonging to the same channel coding block, into a plurality of sub regions; and setting sub code for each of the sub regions so that at least one pair of sub regions using different sub codes are present in each of the transmission antennas.
The transmitting apparatus may comprise N transmission antennas, N being a natural number equal to or greater than 2. The setting of a coding method may comprise setting sub code for each of M transmission antennas so that at least one pair of transmission antennas using different sub codes are present, M being a natural number less than N. The diversity-coding may comprise generating code symbols for each of the M transmission antennas according to the set sub code. The transmitting may comprise the M transmission antennas from the N transmission antennas, and transmitting each of OFDM symbols containing the generated code symbols via one of the selected transmission antennas. setting of the coding method further comprises setting sub regions by dividing a physical channel region, which is used to transmit data symbol vectors belonging to the same channel coding block, into a plurality of sub regions, and
The transmitting may comprise selecting the M transmission antennas so that a pair of sub regions having different selection patterns for transmission antennas are present.
The transmitting apparatus may comprise N transmission antennas, N being a natural number equal to or greater than 2. The setting of a coding method may comprise generating M virtual transmission antennas by linearly combining the N transmission antennas based on M sequences having a length of N; and setting sub code for each of the virtual transmission antennas so that at least one pair of virtual transmission antennas using different sub codes are present. The diversity-coding may comprise generating code symbols for each of the virtual transmission antennas according to the set sub code. The transmitting may comprise generating N OFDM symbols by applying the M sequences to the M code symbols in one of a time domain and a frequency domain, and transmitting each of the OFDM symbols via one of the transmission antennas. The setting of the coding method may comprise setting pilot symbol arrangement method or a pilot symbol coding method so as to allow a receiving side to perform channel estimation for a transport route for code symbols according to the sub code. The method may further comprise generating pilot symbols according to the pilot symbol arrangement method or the pilot symbol coding method. The transmitting may comprise generating an OFDM symbol containing the generated code symbols and pilot symbols.
According to another aspect of the present invention, there is provided a receiving method for providing a broadcast/multicast service in an orthogonal frequency division multiplexing (OFDM) cellular system, which is performed using a receiving apparatus, the method comprising extracting reception symbols from a received signal transmitted via each of a plurality of transmission antennas of a plurality of cell groups, which are generated by grouping adjacent cells transmitting the same broadcast/multicast data, according to a predetermined coding method; and combining by estimating channel frequency response for a transport route of code symbols according to each sub code that is a part of diversity code, and the reception symbols corresponding to the same data symbol vector based on the estimated channel frequency response. The predetermined coding method is a coding method in which diversity coding is performed according to sub code allocated to each of transmission antennas of each of the cell groups so that a pair of transmission antennas, belonging to different cell groups, which transmit different parts of code symbols corresponding to the same data symbol vector are present.
The method may further comprise symbol modulating by modulating a combination symbol obtained by combining the reception symbols; and channel decoding by channel-decoding the modulated result. The coding method may be a coding method in which a physical channel region, which is used to transmit data symbol vectors belonging to the same channel coding block, into a plurality of sub regions, and diversity coding is performed according to sub code allocated to each of the sub regions of each of the transmission antennas so that at least one pair of sub regions using different sub codes are present in each of the transmission antennas of each of the cell groups.
The combining may comprise estimating channel frequency response for a transport route for code symbols according to each of the sub codes, based on reception symbols, of the extracted reception symbols, which correspond to pilot symbols. The coding method may comprise a pilot symbol arrangement method or a pilot symbol coding method, which are set so as to allow a receiving side to perform channel estimation for the transport route of code symbols according to the sub code. The coding method may comprise generating N OFDM symbols by applying M sequences having a length of N to M code symbols obtained through diversity coded in one of a time domain and a frequency domain, and transmitting each of the generated OFDM symbols via one of the transmission antennas. The combining may comprise estimating channel frequency response for the transport route of code symbols according to each of the sub codes by reflecting the sequences.
Advantageous Effects
According to the present invention, it is possible to achieve a higher SNR in a terminal located at a cell boundary than when using the conventional diversity method, and provide partially increased transmission macro diversity and channel coding diversity, thereby improving the receiving quality of a terminal located at a cell boundary having a poor channel environment. Accordingly, it is possible to increase the rate of data transmission or improve coverage for the rate of transmission of specific data in order to achieve the desired quality of broadcast packet data.
MODE FOR INVENTION
Hereinafter, exemplary embodiments of the present invention will be described in detail with reference to the accompanying drawings. In embodiments of the present invention, in order to allow a wireless cellular communication system to provide a broadcast/multicast service, cells which transmit broadcast/multicast data and are physically adjacent to one another are divided into two or more cell groups, physical channels which are units of channel coding are divided into two or more sub regions, and a cell group that transmitting a part of code of an orthogonal time domain (frequency domain) and a transmission antenna for base station are differently allocated to each of the sub regions of the physical channels, thereby increasing a maximum transmission diversity that can be obtained for each of the sub regions and allowing channel-coded symbols belonging to the same channel coding block to have different channel characteristics. FIG. 2 is a block diagram of a system for providing a broadcast/multicast service in an orthogonal frequency division multiplexing (OFDM) cellular system according to an embodiment of the present invention. The system includes a grouping unit 200, an coding method allocating unit 210, a first base station 220, a second base station 230, a third base station 240, and a terminal 250. The grouping unit 200 divides cells, which transmit the same broadcast/multicast data, into a plurality of cell groups. FIGS. 3 and 4 are diagrams illustrating methods of dividing adjacent cells that transmit the same broadcast/multicast data into two or three cell groups by using the grouping unit 200 of FIG. 2, according to embodiments of the present invention. In detail, FIG. 3 illustrates that adjacent cells 300 are divided into cell group #0 indicated with SO and cell group #1 indicated with S1 , and FIG. 4 illustrates that adjacent cells 350 are divided into cell group #0 indicated with CO, cell group #1 indicated with C1 , and cell group #2 indicated with C2. In particular, FIG. 2 is related to cell grouping illustrated in FIG. 3. Referring to FIG. 2, a cell corresponding to the first base station 220 belongs to cell group #0, a cell corresponding to the second base station 230 belongs to cell group #1 , and a cell corresponding to the third base station 240 belongs to cell group #2. The other blocks illustrated in FIG. 2 will be described on an assumption that the grouping unit 200 performs cell grouping as illustrated in FIG. 4. That is, when there are three cell groups, the first through fourth base stations 220 through 240, and other base stations not being illustrated in FIG. 2 are grouped to belong to one of cell group # 0, cell group #1 , and cell group #2. In particular, referring to FIG. 2, the first base station 220, the second base station 230, and the third base station 240 belong to different cell groups, i.e., cell group #0, cell group #1 , and cell group #2, respectively.
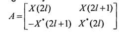
The coding method allocating unit 210 allocates a different coding method to each of cell groups. Referring to FIG. 2, the coding method allocating unit 210 allocates coding method #0, coding method #1 , and coding method #2 to cell group #0, cell group #1 , and cell group #2, respectively. Here, the allocation of coding method means that coding methods, each including sub code that is a part of diversity code, are allocated such that pairs of transmission antennas, belonging to different cell groups, which transmit different code symbols corresponding to the same data symbol vector, are basically present. Alternatively, various coding methods related to sub regions, selection of transmission antenna, virtual transmission antennas may be used, which will later be described. Here, examples of diversity code include orthogonal time space code and orthogonal frequency space code. Examples of the orthogonal time space code and the orthogonal frequency space code include code matrix A expressed in Equation (3) and code matrix B expressed in Equation (4). Examples of sub code include rows of code matrices in Equations (3) and (4).
X(2l) X (21 + 1)
A =
-X* '(2/ + I) X* (21) ... (3)
X(3l) X (31 + 1) X(3l + 2) 0
B = X* (31 + 1) -X* (31) 0 X(3l + 2)
X* (31 + 2) 0 -X* (31) X(3l + \) ... (4) The code matrix A in Equation (3) has a diversity order of 2, which has been introduced by S. M. Alamouti ["A Simple Transmit Diversity Technique for Wireless Communication," IEEE Journal on Selected Areas in Communications, vol. 16, no. 8, pp. 1451-1458, October of 1998]. The code matrix B in Equation (4) has a diversity order of 3, which has been introduced by B. Hochwald, T.L. Marzetta, and C. B. Papadias [A transmitter diversity scheme for wideband CDMA systems based on space-time spreading," IEEE Journal on Selected Areas Commun., vol. 19, no. 1 , pp. 48-60, Jan. 2001]. It would be apparent to those of ordinary skilled in the art that the code matrices in Equations (3) and (4) are just examples of diversity code, and various types of diversity code and code matrix may be present.
The operations of the grouping unit 200 and the coding method allocating unit 210 may be embodied as a device and then be performed, or be conceptually performed by a manager and then be set to each of base stations. In the former case, the grouping unit 200 and the coding method allocating unit 210 may be installed into a device that controls the overall operations of an OFDM cellular system so that the device may perform cell grouping and allocate coding methods, or the grouping unit 200 and the coding method allocating unit 210 are installed into all base stations or some of the base stations so that the base stations operate together to perform cell grouping and allocate coding methods. In the latter case, when an OFDM cellular system according to the present invention is built up, a system manager performs cell grouping in order to set information regarding a cell group and an coding method in each of base stations. However, the present invention is not limited thereto.
Reference numeral 260 denotes a transmitting device of the first base station 220 according to an embodiment of the present invention. Referring to FIG. 2, the transmitting device 260 includes a channel coding unit 262, a symbol mapping unit 264, a macro diversity transmitting unit 266, and at least one transmission antenna.
The channel coding unit 262 generates a stream of channel-coded data by channel-coding a stream of broadcast/multicast data. The symbol mapping unit 264 converts the stream of the channel-coded data into a stream of data symbols according to a predetermined modulation method. Examples of the predetermined modulation method include M-ary Phase Shift Keying (M-PSK) and M-ary Quadrature Amplitude Modulation (M-QAM).
The macro diversity transmitting unit 266 generates code symbols by diversity-coding a data symbol vector according to coding method #0 matching a cell group to which the macro diversity transmitting unit 266 belongs, and transmits an OFDM symbol including the generate code symbols to a wireless channel via the transmission antenna. In order to provide a broadcast/multicast service, each of a second base station 230, a third base station 230, and base stations (not shown) include a transmitting device such as the transmitting device 260. Also, according to an embodiment of the present invention, in the first through third base stations 220, 230 and 240, a signal input to and a signal output from the channel coding unit 262 are the same as a signal input to and a signal output from the symbol mapping unit 264. That is, the macro diversity transmitting unit 266 of one of the first through third base stations 220 through 240 performs channel coding differently than the others of the first through third base stations 220 through 240. As described above, when coding method #0, coding method #1 and coding method #2 are used to perform channel coding on rows of the code matrix B in Equation (4), and a data symbol vector to be currently coded is [X(3I) X(3I+1 X(3l+2 ], the macro diversity transmitting unit 266 of the first base station 220 transmits the data symbol vector [X(3I) X(3I+1 ) X(3l+2) 0], the macro diversity transmitting unit 266 of the second base station 230 transmits a data symbol vector [X*(3I+1 ) -X*(3I) 0 X(3l+2)], and the macro diversity transmitting unit 266 of the third base station 240 transmits a data symbol vector [X*(3l+2] 0 -X*(3I) -X(3I+1]]. The construction of the macro diversity transmitting unit 266 will later be described in greater detail.
The terminal 250 receives a broadcast/multicast service from each base station. Reference numeral 270 denotes a receiving device of terminal 250 according to an embodiment of the present invention. Referring to FIG. 2, the receiving device 270 includes a macro diversity receiving unit 272, a symbol demodulator 274, a channel decoder 276, and at least one receiving antenna.
The macro diversity receiving unit 272 OFDM-decodes a signal received from a wireless channel from the receiving antenna in order to extract reception symbols from the signal, and diversity-combines the extracted reception symbols. Here, a method of diversity combining is selected depending on the result obtained by operating the grouping unit 200 and the coding method allocating unit 210, which will later be described. The symbol demodulator 274 demodulates the result of combining the reception symbols in order to restore the received original data symbol, and provides the original data symbol to the channel decoder 276. The channel decoder 276 restores the received original data based on the demodulated result.
FIGS. 5 through 13 illustrate coding methods being respectively allocated to a plurality of cell groups according to embodiments of the present invention. In particular, FIGS. 5 through 7 illustrate coding methods in which macro diversity is performed without dividing a physical channel region 400, 410, or 420, which is used to transmit the same channel coding block, into several sub regions. That is, in the coding methods illustrated in FIGS. 5 through 7, sub code which is shared by the physical channel regions 400, 410, and 420 and used to transmit data symbols belonging to the same channel coding blocks, is allocated to each of cell groups. Here, each of the physical channel regions 400, 410, 420 includes sub carriers constituting at least one OFDM symbol that is used to transmit a channel coding block. Also, each of the physical channel region 400, 410, 420 indicates a channel domain that includes frequency resources and temporal resources since a plurality of OFDM symbols may be used to transmit a channel coding block. FIG. 5 illustrates a 2 cell group -2 diversity technique according to an embodiment of the present invention. The grouping unit 200 of FIG. 2 divides adjacent cells into two cell groups. In this case, cell grouping illustrated in FIG. 3 may be used.
The coding method allocating unit 210 allocates cell group #0 coding method #0 of diversity-coding all data symbols belonging to the same channel coding block according to sub code SCO, and cell group #1 coding method #1 of diversity-coding all data symbols belonging to the same channel coding block according to sub code SC1.
Thus, a transmission antenna belonging to cell group #0 transmits a code symbol according to the sub code SCO, and a transmission antenna belonging to cell group #1 transmits a code symbol according to the sub code SC1. Here, the sub codes SCO and SC1 may be rows a0 and a1 of the code matrix A expressed in Equation (3), respectively. For example, if a data symbol vector to be currently coded is [X(2I) X(2I+1 )], the macro diversity transmitting unit 266 of a base station belonging to cell group #0 transmits a code symbol [X(2I) X(2I+1 )] according to the first row a0 of the code matrix A via the transmission antenna, and the macro diversity transmitting unit 266 of a base station belonging to cell group #1 transmits a code symbol [-X(2I+1 )*(X 2I)*] according to the second row a1 of the code matrix A via the transmission antenna. The construction of the macro diversity transmitting unit 266 will later be described in greater detail.
The macro diversity receiving unit 272 of the terminal extracts a reception symbol Y(2I), Y(2I+1 ) from a received signal that is a sum of signals received via transmission antennas of a plurality of cells and additive noise as described above. The extracted reception symbol Y(2I), Y(2I+1) may be expressed as follows:
7(2/) = H0 (2I)X (21) - H1 (2I)X* (2/ + 1) + W (21)
Y(2l + \) = H0(2l + \)X(2l + \) + Hι(2l + \)X*(2l) + W(2l +ϊ)(5)_ wherein Ηi() denotes a sum of channel frequency response values between a receiving terminal and respective transmission antennas for transmitting a code symbol according to a row ai. That is, Hi() denotes a sum of channel frequency response values for transport routes of code symbols according to ith sub code. In particular, when channel frequency responses of sub carriers, each containing a code symbol according to each of the rows of a code matrix, are similar to one other, that is, when
Hi(2l)= Hi(2l+1 ), the macro diversity receiving unit 272 generates a combination symbol Z(2I), Z(2I+1 ) by performing signal processing expressed in Equation (6), and provides it to the symbol demodulator 274, thereby increasing the performance of detecting the data symbol X(2I), X(2I+1 ) with low computational complexity. That is, when the difference between channel responses for two adjacent reception symbols is very low, the macro diversity receiving unit 272 of the terminal is capable of extracting a combination symbol corresponding to each of data symbols from reception symbols.
The combination symbol may be expressed as follows:
Z(2l) = H0* Ql)Y(U) - H1 (H)Y* (21 + 1)
= (|H0(2/)|2 +|H1(2/)|2 )z(2/) + #(2/)
Z(Il + 1) = -H1 (H)Y* (21) + H0* (H)Y(H + 1)
= (|H0(2/)|2 +|H1 (2/)|2 )z(2/ +i)+#(2/+ i)
In this case, the signal-to-noise rate (SNR) of the combination symbol corresponding to X(I) may be expressed as follows:
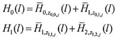
Equation (6) reveals that channel frequency response Ηi(2l) must be estimated for diversity combining. That is, channel frequency response for a transport route of a code symbol according to each sub code must be estimated so as to allow the macro diversity receiving unit 272 of the terminal to perform diversity combining. In the current embodiment of the present invention, sub code is comprised of sub codes #0 and #1 which are first and second rows of the code matrix A, respectively, and thus, frequency responses, i.e., Hi(I), for two channels must be estimated. Transmission antennas transmitting the same sub code may share a pilot symbol for estimating channel frequency response for a transport route of the code symbol according to each sub code, but different pilot patterns must be used in this case. Here, examples of pilot symbol pattern include arrangement of pilot symbols, and coding methods for pilot symbols.
FIGS. 14 and 15 illustrate pilot symbol patterns according to embodiments of the present invention, and more particularly, methods of arranging pilot symbols and data symbols which are applicable to the 2-diversity technique illustrated in FIG. 5.
Referring to FIG. 14, pilot symbols for estimating channel frequency response for a transport route of a code symbol according to each sub code are arranged in different sub carriers. In FIG. 14, slanted regions denote regions each being comprised of sub carriers containing code symbols obtained by coding a data symbol X(). Specifically, reference numerals 500, 501 and 502 denote regions for transmitting code symbols according to a first row aθ, and reference numerals 503, 504 and 505 denotes regions for transmitting code symbols according to a second row a1. XpO() and Xp1() denote pilot symbols. As illustrated in FIG. 14, in order to estimate HO(I) and HI (I)1 pilot symbols XpO(I) 510, 511 , and 512 for a transmission antenna transmitting the code symbols according to the first row aθ, and pilot symbols XpI(I) 513, 514, and 515 for a transmission antenna transmitting the code symbols according to the second row a1 are arranged in different sub carriers. Also, null symbols are allocated to sub carriers for transmitting pilot symbols according to different sub codes. That is, reference numerals 520, 521 , 522, 523, 524, and 525 denote null carriers.
Overhead is twice greater when arranging pilot symbols as illustrated in FIG. 14 than when using the conventional method. To achieve the same transmission rate of data as in the conventional method, the code rate may be increased by punching some of data symbols, which are parity parts of outputs of the channel coding unit 262. Such arrangement of pilot symbols allows null symbols to be transmitted to data symbol locations, thereby achieving higher pilot power than in the conventional method.
Referring to FIG. 15, pilot symbols for estimating channel frequency response for a transport route of each sub code are arranged in the same sub carrier. Here, slanted regions denote regions each being comprised of sub carriers containing code symbols obtained by coding a data symbol X(). In detail, reference numerals 530, 531 and 532 denotes regions for transmitting code symbols according to a first row aθ, and reference numerals 533, 534 and 535 denote regions for transmitting code symbols according to a second row a1. Also, XpO() and Xp1() denote pilot symbols. Unlike in FIG. 14, FIG. 15 illustrates that pilot symbol XpO(I) 540, 541 , and 542 for a transmission antenna transmitting the code symbols according to the first row aθ, and pilot symbols XpI(I) 543, 544, and 545 for a transmission antenna transmitting the code symbols according to the second row a1 are arranged in the same sub carrier (This arrangement has been introduced by Ye Li ["Simplified Channel Estimation for OFDM Systems with Multiple Transmit Antennas," IEEE Transactions on Wireless Communications, vol. 1 , no. 1 , January of 2002]]]]]]]]. Accordingly, in order to respectively estimate channel frequency responses HO(I) and H 1(1) of transport routes of sub codes from the pilot symbols arranged in the same sub carrier without interference, a particular relationship must be established among the pilot symbols XpO(I) 540, 541 , 542 and the pilot symbols XpI(I) 543, 544f and 545. For example, a sequence allowing channels from being differentiated from one another may be applied to these pilot symbols in order to establish the particular relationship. Unlike in FIG. 14, the embodiment illustrated in FIG. 15 allows the same transmission rate of data to be achieved without punching data symbols as when using the conventional diversity technique.
In this disclosure, it is described that channel estimation is performed by inserting a pilot symbol into an OFDM symbol that is to be transmitted, for convenience of explanation. However, the present invention is not limited thereto, since channel estimation may be performed without using a pilot symbol.
In the diversity technique illustrated in FIG. 5, when there is only one transmission antenna, the intensities of |H0(l)|2 and |H1(I)|2 vary depending on the location of terminal. When a terminal is located inside a cell, the intensity of only one of two diversity channels is dominant, and thus, the performance of diversity technique illustrated in FIG. 5 is not significantly different from that of the conventional diversity technique. That is, referring to Equation (7), since one of |H0(l)|2 and |H1(I)|2 has a large value, the diversity order approximates 1 as expressed in Equation (2). Also, in the cell group topology illustrated in FIG. 3, the same result is also achieved when the terminal is located at a boundary between two cells belonging to the same cell group. However, for example, when the intensities of the two diversity channels are similar since the terminal is located at a boundary between two cells belonging to different cell groups, it is possible to obtain a diversity order having a maximum value of 2 while maintaining an average SNR according to the present embodiment to be similar to an average SNR according to the conventional diversity technique.
FIG. 6 illustrates a 3 cell group, -3 diversity technique according to an embodiment of the present invention. The diversity technique of FIG. 6 is similar to that of FIG. 5, except that three cell groups and three sub codes are used. Specifically, the grouping unit 200 divide adjacent cells into three cell groups as illustrated in FIG. 4, and the coding method allocating unit 210 allocates cell group #0 coding method #0 of diversity-coding all data symbols belonging to the same channel coding block according to sub code SCO, cell group #1 coding method #1 of diversity-coding all data symbols belonging to the same channel coding block according to sub code SC1 , and cell group #2 coding method #2 of diversity-coding all data symbols belonging to the same channel coding block according to sub code SC2,
Thus, a transmission antenna belonging to cell group #0 transmits a code symbol according to the sub code SCO, a transmission antenna belonging to cell group #1 transmits a code symbol according to the sub code SC1 , and a transmission antenna belonging to cell group #2 transmits a code symbol according to the sub code SC2. Here, the sub codes SCO, SC1, and SC2 may be bθ, b1 , and b2 expressed in Equation (4), respectively. In this case, in order to transmit a data symbol X(3I), X(3I+1), X(3l+2), the transmission antenna belonging to the cell group #0 transmits [X(3I) X(3I+1 ) X(3l+2) 0], the transmission antenna belonging to the cell group #1 transmits [X*(3I+1 ) -X*(3I) 0 X(3l+2)], and the transmission antenna belonging to the cell group #2 transmits [X*(3l+2) 0 -X*(3I) -X(3I+1 )]. The macro diversity receiving unit 272 of the terminal extracts reception symbols from a received signal Y(m), Y(m+1 ), Y(m+2), Y(m+3) that is a sum of additive noise and signals received via transmission antennas of a plurality of cells, and performs diversity combining on the extracted reception symbols. The received signal Y(m), Y(m+1 ), Y(m+2), Y(m+3) may be expressed using Equation (8). In this case, a combination symbol Z(3I), Z(3I+1 ), Z(3l+2), which is the result of diversity combining, corresponds to the data symbol [X(3I) X(3I+1 ) X(3l+2) 0] which may be expressed using Equation (9).
Y(m) = H0 (m)XQl) + H1 (m)X* (3/ + 1) + H2 (m)X* (3/ + 2) + W(m)
Y(m + \) = H0(m + I)X (31 + 1) - H1 (m + X)X* (31) + W(m)
Y(m + 2) = H0(m + I)XQl + 2) - H2 (m + 2)X* (31) + W(m)
Y(m + 3) = H1 (m + 3)X(3l + 2) + H2 (m + 3)X(3l +V) + W(m) ^ wherein m, m+1 , m+2, m+3 denotes the index of a sub carrier constitutes a part of a physical channel, Ηi() denotes channel frequency response for a transport route of code symbols according to bi, and W() denotes additive noise. That is, Equation (8) expresses reception symbols extracted from a received signal by the terminal, on an assumption that the code symbols according to bi are contained into a sub carrier, corresponding to the index, which is to be transmitted.
Z (31 + I) = H2 (m)Y* (m) + H1 (m)Y(m + 1) + H3* (m)Y(m + 3)
Z(3l + 2) = H*(m)Y(m) + H*(m)Y(m + 2) + H2*(m)Y(m + 3) ,g)
Here, for diversity combining, the macro diversity receiving unit 272 must estimates the channel frequency response H0() of a transport route corresponding to the sub code SCO, the channel frequency response H1() of a transport route corresponding to the sub code SC1 , and the channel frequency response H2() of a transport route corresponding to the sub code SC2. Channel estimation may be performed using the pilot symbol pattern illustrated in FIG. 16. That is, FIG. 16 is a diagram illustrating a pilot symbol pattern according to another embodiment of the present invention, which is arrangement of pilot symbols when using the 3-diversity technique. Such a pilot symbol pattern for estimation of a channel Hi() is based on the pilot-based channel estimation method introduced by Ye Li.
Referring to FIG. 16, slanted regions denote regions each being comprised of sub carriers containing code symbols obtained by coding a data symbol X(). In detail, reference numerals 560 and 561 denote regions for transmitting code symbols according to bθ, reference numerals 562 and 563 denote regions for transmitting code symbols according to b1 , and reference numerals 564 and 565 denote regions for transmitting code symbols according to b2. XpO() and Xp1() denote pilot symbols.
Pilot symbols XpO(I) 550 and 551 needed to estimate channel frequency response of the regions 560 and 561 comprised of code symbols corresponding to bθ, pilot symbols XpI(I) 552 and 553 needed to estimate channel frequency response of the regions 562 and 563 comprised of code symbols corresponding to b1 , and pilot symbols Xp2(l) 554 and 555 needed to estimate channel frequency response of the regions 564 and 565 comprised of code symbols corresponding to b2 are allocated to the same sub carrier. The SNR of the combination symbol according to Equation (9) is as follows:
SM?(/) = (|H0(/)|2 +IH1(Of +|H2(/)|2)^
N- ... (10)
According to the embodiment illustrated in FIG. 15, it is possible to obtain a diversity order having a maximum value of 3. In this case, each cell group transmits only three data symbols for every four hours (or frequency resources), and thus, the code rate according to diversity code is 3/4. Thus, in order to achieve the transmission rate of data when using the conventional diversity technique, the coding rate of channel must be increased 4/3 times by punching a parity part of the channel coding unit 262. In this case, the power of sub carrier for transmitting the data symbols can also be increased 4/3 times.
FIG. 7 illustrates coding methods being respectively allocated to a plurality of cell groups according to another embodiment of the present invention. The embodiment of FIG. 7 is a modification to the 3-cell group, 3-diversity technique illustrated in FIG. 6, which is performed when two transmission antennas are used. The grouping unit 200 divides adjacent cells into three cell groups as illustrated in FIG. 4, and the coding method allocating unit 210 allocates cell group #0 coding method #0 in which two transmission antennas respectively transmit code symbols according to sub codes SCO and SC1 , cell group #1 coding method #1 in which two transmission antennas respectively transmit code symbols according to sub codes SC1 and SC2, and cell group #2 coding method #2 in which two transmission antennas respectively transmit code symbols according to sub codes SC2 and SCO. That is, sub codes are allocated to two transmission antennas of each cell group, and each base station generates a code symbol for each transmission antenna by diversity-coding all data symbols belonging to the same channel coding block according to the allocated sub codes.
When a base station has two transmission antennas, an mth transmission antenna of a cell group Ci transmits code symbols according to b(i+m)mod3 in the code matrix B. When each base station has three or more transmission antennas, the 3-cell group, 3-diversity technique may be used. For example, each base station selects three transmission antennas from transmission antennas allocated to itself, and allows each of the selected transmission antenna to transmit code symbols according to each row of the code matrix B, and the other transmission antennas to transmit null symbols.
FIGS. 8 through 12 illustrate coding methods in which a physical channel region used to transmit the same channel coding block is divided into a plurality of sub regions and macro diversity is performed on the sub regions. Compared to the coding methods illustrated in FIGS. 5 through 7 in which cell groups use the same sub code in the entire physical channel, a physical channel is divided into sub regions and a different diversity channel is formed in each of the sub regions in the coding methods illustrated in FIGS.8 through 12. Accordingly, streams of reception symbols, which are units of channel coding, can have different channel characteristics for each of the sub regions without increasing a diversity order for each reception symbol, thereby increasing density for channel coding.
FIG. 8 illustrates a coding method (a 3-cell group, 2-diversity technique) allocated to each cell group according to another embodiment of the present invention. Referring to FIG. 8, the grouping unit 200 divides adjacent cells into three cell groups. In this case, the cell grouping illustrated in FIG. 4 may be used. The coding method allocating unit 210 generates a plurality of sub regions 432, 434, and 436, and allocates sub codes to the sub region 432, 434, and 436, respectively. FIG. 18 is a detailed block diagram of the coding method allocating unit 210, illustrated in FIG. 2, for performing the cell coding of FIG. 8. Referring to FIG. 18, the coding method allocating unit 210 includes a sub region generating unit 600 and a sub code allocating unit 610. The sub region generating unit 600 divides a physical channel region 430, which is used to transmit data symbols belonging to the same channel coding block, into the sub regions 432, 434, and 436. Here, the division of physical channel region includes not only frequency-domain division but also time-domain division as described above, since a plurality of OFDM symbols can be used to transmit a channel coding block. Referring to FIG. 8, the sub region generating unit 600 generates three sub regions PO 432, P1 434, and P2 436. The sub code allocating unit 610 allocates sub code to each sub region, such that at least one pair of sub regions that use different sub codes are present in each cell group. In order to perform the coding methods illustrated in FIGS. 5 through 7, the coding method allocating unit 210 may have only the sub code allocating unit 610 that allocates sub code to each cell group, without the sub region generating unit 600. FIG. 17 is a diagram illustrating a pilot symbol pattern according to another embodiment of the present invention. That is, FIG. 17 illustrates arrangement of diversity symbols and pilot symbols when the code matrix in Equation (3) is applied to the coding method illustrated in FIG. 8. Referring to FIG. 17, a physical channel is divided into three sub regions PO 570, P1 571 , and P2 572. In order to transmits a jth part, Xj={X(jL/3+2l), X(jL/3+2l+1 , l=0,1 ,2,...L/6-1} of a stream of data symbols, which is to be transmitted in a sub region Pm, to a terminal, the macro diversity transmitting unit 266 of a base station belonging to a cell group Cjmod3, C(j+1 mod3) transmits the jth part in the form of aθ, as indicated with reference numerals 575, 577, 578, 579, 582, and 583, and the macro diversity transmitting unit 266 of a base station belonging to a cell group C(j+2) transmits the jth part in the form of a1, as indicated with reference numerals. Then, it is regarded that each of reception symbols, for a sub region Pj, which constitute a packet that the terminal receives, is received via a different channel for each sub region, as indicated below: r/(20 = (^,(20+^)^(20)^(20-^ϋ+2)^(^^/(^ + l) + ^(20 r/(2/+l)=(H/^3(2/+l)+H(/+l)TOd3(2/+l))z/2/+l)-H(/+2)^3(2/+l)x;(2/)+^(2/+l) _ ... (1 1 ), whereinHk ^ denotes channel response from a cell group Ck to the terminal, and mod(a,b) denotes the remainder when an integer a is divided by b. The SNR of a combination symbol corresponding to a data symbol X(I) is as follows.
SNR
1 (i) = (|H
7mod3(0 + +|H,
mod3(θ|
That is, Equation (12) corresponds to a case where
H
0(2/) = H
7mjd3(/)+ H
o+1)ltMi3(/), H
1(O = H
7n^
3(Z)
1n Equation (
7) Accordi the T\ terminal is located between cell groups CO and C1 , since the values
are large, an additive diversity order can be obtained in the sub region PO of the received packet, but a diversity order having a maximum value of 2 can be obtained in the sub regions P1 and P2. That is, when the terminal is located at a boundary between two cells (regardless of a cell group to which each of the cells belongs), 2/3 of reception symbols can always achieve a diversity order. In contrast, the SNR of the remaining symbols (1/3 of the reception symbols) are increased without achieving a diversity order. Accordingly, 2/3 or more symbols of a received packet have improve quality, and thus, the received packet is very likely to be restored to the original data through channel decoding.
FIG. 9 illustrates coding methods being respectively allocated to a plurality of cell groups according to another embodiment of the present invention. The coding method illustrated in FIG. 9 is a 3-cell group, 2-diversity technique performed when each base station has two transmission antennas. Referring to FIG. 9, the grouping unit 200 divides adjacent cells into three cell groups. In this case, cell grouping illustrated in
FIG. 4 may be used. The coding method allocating unit 210 generates a plurality of sub regions 442, 444, 446, and 448, and allocates sub codes, for the sub regions 442, 444, 446, and 448, to a plurality of cell groups, respectively.
More specifically, a physical channel 440 used to transmit a channel coding block are divided into the four sub regions 442, 444, 446, and 448. Then, mth transmission antennas of all the cell groups transmit code symbols according to am of the code matrix A in a jth region (j=0, m=0,1), and an mth transmission antenna of a cell group (Gjmod3, G(j+1 mod3) transmits code symbols according to am of the code matrix A in a jth sub region and an mth transmission antenna of a cell group G(j+2 mod3) transmits code symbols according to a(m+1 )mod2 of the code matrix A (1≤j≤3, m=0, 1).
Thus, HO(I) and H1(l) in Equation (7) are different in the sub regions 442, 444, 446, and 448, as follows: jthsub region (J=O) :
H0(0 = Hθ!θ(/)+Hli0(/)+H2,0(/) H1(O = H01(O+H111(O+H211(O
H\ (0 = #
ymod3,l (0 + #(,
+l
)mαd3,l (O + #(
/+2),md3,θ(O . .
, (1 3),
H (D whereinMΛ ; denotes channel frequency response of an mth transmission antenna of a cell group Ck.
Similarly, in the present embodiment, it is sufficient that only two diversity channels HO(I) and H1(l) for each sub region be independently estimated. Thus, overhead for pilot symbols is the same as when there is only one transmission antenna.
Also, the more sub regions are generated, the lower the channel estimation performance, on a condition that physical channels have the same size. Accordingly, four or less sub regions may be selected in consideration of the channel estimation performance and the diversity performance. FIG. 10 is a diagram illustrating coding methods being respectively allocated to a plurality of cell groups according to another embodiment of the present invention. In detail, the embodiment of FIG. 10 is a modification to that of FIG. 9, which is performed when three or more transmission antennas are present. Accordingly, the constructions and operations of the grouping unit 200 and the coding method allocating unit 210 for performing the coding method of FIG. 10 are the same as those of the grouping unit 200 and the coding method allocating unit 210 for performing the coding method of FIG. 9. However, the coding method of FIG. 10 further includes an operation in which each base station selects transmission antennas each transmitting code symbols according to sub code allocated to each of sub regions 452, 454, 456, and 458 which are divided from a physical channel region 450. Each base station of a cell group two transmission antennas from transmission antennas allocated to itself, and transmits code symbols corresponding to a0 and a1 via the selected transmission antennas, and null symbols via the other transmission antennas.
In this case, when the number of transmission antennas of each base station is N, the number of cases where each cell group selects two transmission antennas and maps sub codes to the selected antennas is (NC2-2)3/2. For example, the number of cases is 108 when N=3, and 864 when N=4. In particular, the coding method of FIG.
10 corresponds to a case where each base station selects three transmission antennas. That is, the coding method of FIG. 10 is one of 108 coding methods that are respectively allocated to transmission antenna. When a physical channel, which is a unit of channel coding, is divided into sub regions and different transmission methods are respectively applied to the sub regions, the physical channel may be divided into (NC2-2)3/2 sub regions. However, the number of sub regions is preferably limited, in terms of complexity and since there is a limitation to improving the channel estimation performance and the diversity performance. FIG. 11 is a diagram illustrating coding methods being respectively allocated to a plurality of cell groups according to another embodiment of the present invention. The embodiment of FIG. 11 is a modification to that of FIG. 7, in which a physical channel region 460 is divided into sub regions 462, 464, and 466 and a plurality of transmission antennas are used. That is, a cell group and a transmission antenna for transmitting code symbols according to bi of the code matrix B are differently selected for each of the sub regions 462, 464, and 466. In particular, the coding method of FIG.
11 is performed when two transmission antennas are present. In the coding method of FIG. 11 , a diversity channel is differently set for each of sub regions of a physical channel by setting a set of cell groups, which transmit the code symbols according to bi of the code matrix B, to (Ci, C(i+1 )mod3), and various combinations of transmission antennas, which transmit the code symbols according to bi of the code matrix B, for the respective sub regions of the physical channel. In this disclosure, the index of a transmission antenna transmitting code symbols according to bi of the code matrix B in an jth sub region is expressed as zi.kj.
Channel response when the SNR is computed by Equation (10) vary depending on how to use the index of transmission antenna for each cell group, as follows: jth sub region of physical channel :
H ΓA whereink'mK ' denotes channel frequency response of an mth transmission antenna of a cell group Ck. According to Equation (14), the maximum number of combinations of transmission antenna indexes which allow different diversity channels to be respectively allocated to the sub regions is 8 when each cell group has two transmission antennas. Thus, the physical channel region may be divided into a maximum of eight sub blocks but be divided into less than eight sub blocks in consideration of the channel estimation performance and the coding diversity performance. For example, if the physical channel is divided into three sub regions, pairs of transmission antenna indexes (zi,i,j, zi,(i+1 )mod3,j) of the set of cell groups (Ci, C(i+1 )mod3) that transmit the code symbols according to bi respectively correspond to (0,0), (1 ,0), and (1 ,1) in a jth sub region O=O) when i=0, 1 , 2; (1 ,0), (1 ,1 ), and (0,0) in a jth sub region (j=1 ) when i=0, 1 , 2; and (1 ,1 ), (0,0), and (1 ,0) in a jth sub region (j=2) when i=0, 1 , 2. If three or more transmission antennas are present, two transmission antennas are selected for each sub region, the selected transmission antennas transmit code symbols as described above, and the other transmission antennas transmit null symbols.
FIG. 12 is a diagram illustrating coding methods being respectively allocated to a plurality of cell groups according to another embodiment of the present invention. In detail, the embodiment of FIG. 12 is a modification to that of FIG. 8, which is performed when a plurality of transmission antennas are present.
The grouping unit 200 performs cell grouping as described above, and the sub region generating unit 600 of the coding method allocating unit 210 divides a physical channel 470, which is used to transmit a channel coding block into a plurality of sub regions 472, 474, and 476. The sub code allocating unit 610 of the coding method allocating unit 210 allocates sub codes, for the sub regions 472, 474, and 476, to each cell group. Each base station selects transmission antennas for transmitting code symbols corresponding to the respective sub regions 472, 474, and 476 from a plurality of transmission antennas allocated to itself, and transmits code symbols via the selected transmission antennas.
That is, referring to FIG. 12, each cell group selects one of the transmission antennas, and uses the above diversity technique performed when only one transmission antenna is present. In this case, the selections of transmission antenna of the cell groups are switched by turns, which may be more available than two transmission antennas are selected, when the channel correlation among transmission antennas of a base station is high.
FIG. 13 is a diagram illustrating coding methods being respectively allocated to a plurality of cell groups according to another embodiment of the present invention. In detail, the embodiment of FIG. 13 is a modification to that of FIG. 7, in which virtual transmission antennas are used. Referring to FIGS. 11 and 12, if a plurality of transmission antennas are present in a base station, transmission power is conversed on some of the transmission antennas when one or more antennas are selected from the transmission antennas in order to transmit code symbols. When the margin for maximum transmission power for each transmission antenna is limited, power convergence may cause problems, depending on multiplexing method of the system. In the embodiment of FIG. 13, in order to solve power convergence, power is evenly distributed over all the transmission while directly using antennas diversity.
Channels corresponding to N physical transmission antennas of a cell are HO, H1 ,..., HN-1 , respectively. In this case, when transmission antennas corresponding to index (0,1), i.e., two transmission antennas, are used, it means that only HO and H1 of N available diversity channels are used. Here, in order to evenly distribute power for the respective transmission antennas, a virtual transmission antenna channel wi,0H0+wi,1H1 +...+wi,N-1 HN-1(=Gi) is conceptually generated, where i denotes the index of the virtual transmission antenna channel. If two virtual transmission antennas are selected from the virtual transmission antenna channels GO, G1 it is possible to evenly distribute power for the respective transmission antennas without degrading the diversity effect.
In order to obtain a sequence wi,0, ..., wi,N-1 for achieving virtual transmission antenna channel Gi, Walsh coding, orthogonal sequencing, such as Discrete Fourier Transform (DFT)-based sequencing, and pseudo random sequencing may be used. Walsh coding is a simple method applicable to a case where N is a perfect square number of 2. DFT-based sequencing is available even if N is a perfect square number of 2. By using orthogonal sequencing, it is possible to generate N virtual transmission antenna channels, where N is equal to the number of the original transmission antennas. In order to generate more than N virtual transmission antenna channels, pseudo random sequencing may be used without achieving orthogonality. The grouping unit 200 performs cell grouping as described above. FIG. 19 is a detailed block diagram of the coding method allocating unit 210 of FIG. 2 for performing the embodiment of FIG. 13 according to an embodiment of the present invention. Referring to FIG. 19, the coding method allocating unit 210 includes a sequence allocating unit 660 and a sub code allocating unit 670. The sequence allocating unit 660 conceptually generates M virtual transmission antennas by applying the above sequencing to N physical transmission antennas of each base station. That is, M sequences are allocated to respective cell groups. The sub code allocating unit 670 allocates M sub codes to the respective cell groups. Here, the M sub codes are used to generate code symbols that are to be transmitted via the M virtual transmission antennas. Each base station performs macro diversity transmission according to a coding method allocated to a cell group to which it belongs. To this end, M sub codes for the cell group and a sequence for generating the virtual transmission antennas must be set in the macro diversity transmitting unit 266, which will later be described. FIG. 20 is a block diagram of a transmitting apparatus for providing a broadcast/multicast service in an OFDM cellular system according to an embodiment of the present invention. That is, FIG. 20 illustrates the construction of a transmitting apparatus that each base station must include in order to provide a multicast service in the OFDM cellular system. Referring to FIG. 20, the transmitting apparatus includes at least one transmission antenna, a channel coding unit 700, a symbol mapping unit 710, and a macro diversity transmitting unit 720. The constructions and operations of the channel coding unit 700 and the symbol mapping unit 710 are the same as those of the channel coding unit 262 and the symbol mapping unit 264 of FIG. 2.
In the present embodiment, the macro diversity transmitting unit 720 performs the embodiments illustrated in FIGS. 5 and 6. Referring to FIG. 20, the macro diversity transmitting unit 720 includes a coding method setting unit 730, a diversity coding unit 740, and a transmitting unit 750.
The coding method setting unit 730 sets a coding method for a cell group to each base station, which has sub code that is a part of diversity code, belongs, so that a pair of transmission antennas, belonging to different cell groups, which transmit different parts of code symbols corresponding to the same data symbol vector. That is, the coding method setting unit 730 includes a sub code setting unit 732 that sets the sub code. Here, diversity code may be code in the code matrices in Equations (3) and (4), and sub code may be code at each row of each of the code matrices. The diversity coding unit 740 generates a code symbol by diversity-coding a data symbol vector according to the set coding method.
The transmitting unit 750 generates an OFDM symbol to contain the generated code symbol, and provides it to each of the transmission antennas. That is, the OFDM symbol generating unit 752 generates the OFDM symbol by OFDM-modulating the generated code symbol.
When the receiving device 270 of the terminal 250 must use pilot symbol-based channel estimation, the transmitting apparatus according to an embodiment of the present invention further includes a pilot form setting unit 734 and a pilot symbol generating unit 760 as illustrated in FIG. 20. That is, as illustrated in FIGS. 14 through 17, the pilot form setting unit 734 of the coding method setting unit 730 sets a pilot symbol arrangement method or a pilot symbol coding method so that the receiving device 270 can perform channel estimation for a transport route of code symbols according to the sub code. The pilot symbol generating unit 760 generates pilot symbols according to the pilot symbol arrangement method or the pilot symbol coding method. The OFDM symbol generating unit 750 generates an OFDM symbol containing the generated code symbols and pilot symbols. FIG. 21 is a block diagram of a transmitting apparatus for providing a broadcast/multicast service in an OFDM cellular system according to another embodiment of the present invention. In particular, FIG. 21 illustrates a transmitting apparatus for performing the embodiment of FIG. 7. For convenience of explanation, blocks for generating pilot symbols are not illustrated in FIG. 21. Referring to FIG. 21 , the transmitting apparatus according to an embodiment of the present invention includes a plurality of transmission antennas, a channel coding unit 800, a symbol mapping unit 810, and a macro diversity transmitting unit 820. The constructions and operations of the channel coding unit 800 and the symbol mapping unit 810 are the same as those of the channel coding unit 262 and the symbol mapping unit 264 of FIG. 2.
The transmitting apparatus illustrated in FIG. 20 can include only transmission antenna, but the transmitting apparatus illustrated in FIG. 21 includes two transmission antennas in order to perform the embodiment of FIG. 7 for a plurality of transmission antennas. The macro diversity transmitting unit 820 includes a coding method setting unit
830, a diversity coding unit 840 and a transmitting unit 850. The operation of the macro diversity transmitting unit 820 will now be described with respect to a case where two transmission antennas are present, the coding methods illustrated in FIG. 7 are used, and the transmitting apparatus of FIG. 21 belongs to cell group #0. The coding method setting unit 830 sets sub codes for the respective transmission antennas so that there are a pair of transmission antennas that respectively transmit different parts of code symbols corresponding to the same data symbol vector. That is, the sub code setting unit 832 sets sub code #0 for transmission antenna #0 and sub code #1 for transmission antenna #1.
The diversity coding unit 840 generates code symbols for the respective transmission antennas according to the set sub codes, and provides them to the first and second OFDM symbol generating units 852 and 854 of the transmitting unit 850. That is, the diversity coding unit 840 diversity-codes a received data symbol vector according to the sub codes #0 and #1 , respectively, and provides the coded result to the transmitting unit 850. In this case, the code symbols according to the sub code #0 are provided to the first OFDM symbol generating unit 852, and the code symbols according to the sub code #1 are provided to the second OFDM symbol generating unit 854. The first OFDM symbol generating unit 852 generates an OFDM symbol containing the code symbols according to the sub code #0 and provides it to the transmission antenna #0. The second OFDM symbol generating unit 854 generates an OFDM symbol containing code symbols according to the sub code #1 and provides it to the transmission antenna #1. For example, if the sub code #0 is code according to bθ, the diversity coding unit 840 provides the first OFDM symbol generating unit 852 with the code symbols in the form of [X(3I) X(3I+1 ) X(3l+2) O]. If the sub code #1 is code according to b1 , the diversity coding unit 840 provides the second OFDM symbol generating unit 854 with the code symbols in the form of [X*(3I+1 ) -X*(3I) 0 X(3l+2)]. FIG. 22 is a block diagram of a transmitting apparatus for providing a broadcast/multicast service in an OFDM cellular system according to another embodiment of the present invention. In particular, FIG. 22 illustrates a transmitting apparatus for performing the embodiment of FIG. 8. For convenience of explanation, blocks for generating pilot symbols are not illustrated in FIG. 22. Referring to FIG. 22, the transmitting apparatus according to an embodiment of the present invention includes at least one transmission antenna, a channel coding unit 900, a symbol mapping unit 910, and a macro diversity transmitting unit 920. The constructions and operations of the channel coding unit 900 and the symbol mapping unit 910 are the same as those of the channel coding unit 262 and the symbol mapping unit 264 of FIG. 2.
The macro diversity transmitting unit 920, which divides a physical channel for transmitting a channel coding block into a plurality of sub regions and performs macro diversity transmission thereon, includes a coding method setting unit 930, a diversity coding unit 940 and a transmitting unit 950. The coding method setting unit 930 includes a sub region setting unit 932 and a sub code setting unit 934. The sub region setting unit 932 sets a plurality of sub regions by dividing a physical channel region used to transmit data symbol vectors KR2006/003271
belonging to the same channel coding block. That is, according to the embodiment of FIG. 8, the sub region setting unit 932 sets three sub regions 432, 434, and 436 by dividing the physical channel region 430. The sub code setting unit 934 sets sub code for each of the sub regions 432, 433, and 436 so that at least one pair of sub regions using different sub codes is present in a cell group. When the transmitting apparatus of FIG. 22 belong to cell group #0, according to the embodiment of FIG. 8, the sub code setting unit 934 sets sub code #0 for the first sub region 432, sub code #1 for the second sub region 434, and sub code #0 for the third sub region 436.
The diversity coding unit 940 generates code symbols by diversity-coding a data symbol vector according to the set coding method. That is, the diversity coding unit 940 diversity-codes the data symbol vector according to sub code set for a sub region used to transmit a received data symbol vector.
The transmitting unit 950 generates an OFDM symbol containing the generated code symbol and provides it to the transmission antennas. That is, the OFDM symbol generating unit 952 generates the OFDM symbol by OFDM-modulating the generated code symbols.
FIG. 23 is a block diagram of a transmitting apparatus for providing a broadcast/multicast service in an OFDM cellular system according to another embodiment of the present invention. In particular, FIG. 23 illustrates a transmitting apparatus for performing the embodiment of FIG. 9. For convenience of explanation, blocks for generating pilot symbols are not illustrated in FIG. 23.
Referring to FIG. 23, the transmitting apparatus according to an embodiment of the present invention includes a plurality of transmission antennas, a channel coding unit 1000, a symbol mapping unit 1010 and a macro diversity transmitting unit 1020. Similarly, the constructions and operations of the channel coding unit 1000 and the symbol mapping unit 1010 are the same as those of the channel coding unit 262 and the symbol mapping unit 264 of FIG. 2.
The macro diversity transmitting unit 1020 divides a physical channel, which is used to transmit a channel coding block, into a plurality of sub regions and performs macro diversity transmission thereon via the transmission antennas in order to perform the embodiment of FIG. 9.
The coding method setting unit 1030 includes a sub region setting unit 1032 and a sub code setting unit 1034. The sub region setting unit 1032 sets a plurality of sub regions by dividing a physical channel region used to transmit data symbol vectors belonging to the same channel coding block. That is, according to the embodiment of FIG. 9, the sub region setting unit 1032 sets four sub regions 442, 444, 446, and 448 by dividing the physical channel region 440. The sub code setting unit 1034 sets sub code for each of the sub regions 442 through 448 so that at least one pair of sub regions using different sub codes are present in each of the transmission antennas. If the transmitting apparatus of FIG. 23 belongs to cell group #0, according to the embodiment of FIG. 9, the sub code setting unit 1034 sets sub code #0 for the first sub region 442, the third sub region 446 and the fourth sub region 448, and sub code #1 for the second sub region 444 of the transmission antenna #0. Also, the sub code setting unit 1034 sets sub code #1 for the first sub region 442, the third sub region 446 and the fourth sub region 448 of transmission antenna #1 , and sub code #0 for the second sub region 444 of the transmission antenna #1.
The diversity coding unit 1040 generates code symbols for each of the transmission antennas according to the set sub codes, and provides them to the first and second OFDM symbol generating units 1052 and 1054 of the transmitting unit 1050. The embodiment of FIG. 9 will now be described on an assumption that the transmitting apparatus of FIG. 23 belongs to the cell group #0 and the first sub region 442 is used to transmit a current data symbol vector that is to be coded. The diversity coding unit 1040 provides the first OFDM symbol generating unit 1052 with code symbols generated by diversity-coding the current data symbol vector according to the sub code #0, and the second OFDM symbol generating unit 1054 with code symbols generated by diversity-coding the current data symbol vector according to the sub code #1.
The first OFDM symbol generating unit 1052 generates an OFDM symbol containing the code symbols according to sub code #0, and the second OFDM symbol generating unit 1054 generates an OFDM symbol containing the code symbols according to the sub code #1. The generated code symbols are provided to the transmission antennas. If the sub codes #0 and #1 are respectively code according to a0 and code according to a1 and the current data symbol vector is [X(2I) X(2I+1)], the first OFDM symbol generating unit 1052 generates an OFDM symbol containing X(2I), X(2I+1 ) and the second OFDM symbol generating unit 1054 generates an OFDM symbol containing an OFDM symbol containing -X(2I+1 )*, X(2I)*. FIG. 24 is a block diagram of a transmitting apparatus for providing a broadcast/multicast service in an OFDM cellular system according to another embodiment of the present invention. In particular, FIG. 23 illustrates a transmitting apparatus for performing the embodiments of FIGS. 10 through 12. For convenience of explanation, blocks for generating pilot symbols are not illustrated in FIG. 24. Referring to FIG. 24, the transmitting apparatus includes N transmission antennas, a channel coding unit 1100, a symbol mapping unit 1110 and a macro diversity transmitting unit 1120 (N is a natural number equal to or greater than 2). The constructions and operations of the channel coding unit 1100 and the symbol mapping unit 1110 are the same as those of the channel coding unit 262 and the symbol mapping unit 264 of FIG. 2.
The macro diversity transmitting unit 1120 divides a physical channel, which is used to transmit a channel coding block, into a plurality of sub regions and performs macro diversity transmission via M selected transmission antennas.
Referring to FIG. 24, the macro diversity transmitting unit 1120 includes a coding method setting unit 1130, a diversity coding unit 1140, and a transmitting unit 1150.
The coding method setting unit 1130 includes a sub region setting unit 1132 and a sub code setting unit 1134. The sub region setting unit 1132 divides a physical channel region, which is used to transmit data symbol vectors belonging to the same channel coding block, into a plurality of sub regions. The sub code setting unit 1134 sets sub code for each of M transmission antennas so that at least one pair of transmission antennas using different sub codes are present (M is a natural number less than N).
The diversity coding unit 1140 generates code symbols for the M transmission antennas according to the sub codes.
The transmitting unit 1150 selects the M transmission antennas from N transmission antennas, and transmits each of OFDM symbols containing the generated code symbols via one of the selected transmission antennas. In this case, the transmitting unit 1150 preferably selects the M transmission antennas so that a pair of sub regions having different selection patterns for transmission antennas are present.
FIGS. 25 and 2612B are detailed block diagrams respectively illustrating transmitting units 1150A and 1150B, which are embodiments of the transmitting unit 1150 of FIG. 24, when N=3 and M=2, according to the present invention. According to an embodiment of the present invention, the transmitting unit 1150A provides the selected M transmission antennas with the OFDM symbol containing the generated code symbols, and the other transmission antennas with an OFDM symbol containing null symbols. Referring to FIG. 25, the transmitting unit 1150A includes a switching unit 1252 and a modulating unit 1254.
The operation of the transmitting unit 1150A will now be described assuming the coding methods illustrated in FIG. 10 are used.
If the second sub region 454 transmits the code symbols received from the diversity coding unit 1140, the transmitting unit 1150A selects transmission antenna #2 and transmission antenna #0. The switching unit 1252 receives the code symbols according to the sub code #1 and the code symbols according to the sub code #0, and provides the code symbols according to the sub code #1 to a third OFDM symbol generating unit 1254_3, the code symbols according to the sub code #0 to a first OFDM symbol generating unit 1254_1 , and null symbols to a second OFDM symbol generating unit 1254_2.
Referring to FIG. 26, the transmitting unit 1150B includes a modulating unit 1262 and a switching unit 1264. The operation of the transmitting unit 1150B will now be described assuming the coding methods illustrated in FIG. 10 are used.
If the second sub region 454 transmits the code symbols received from the diversity coding unit 1140, the transmitting unit 1150B selects the transmission antennas #2 and #0. The modulating unit 1262 receives the code symbols according to the sub code
#1 and the code symbols according to the sub code #0. Specifically, a first OFDM symbol generating unit 1262_1 receives the code symbols according to the sub code #1 , and generates a first OFDM symbol containing the received code symbols. Also, a second OFDM symbol generating unit 1262_2 receives the code symbols according to sub code #0, and generates a second OFDM symbol containing the received code symbols. The switching unit 1264 transmits the first OFDM symbol to the transmission antenna #2 and the second OFDM symbol to the transmission antenna #0.
FIG. 27 is a block diagram of a transmitting apparatus for providing a broadcast/multicast service in an OFDM cellular system according to another embodiment of the present invention. In particular, FIG. 27 illustrates a transmitting apparatus that uses virtual transmission antennas as illustrated in FIG. 13. For convenience of explanation, blocks for generating pilot symbols are not illustrated in FIG. 27.
Referring to FIG. 27, the transmitting apparatus includes N transmission antennas, a channel coding unit 1300, a symbol mapping unit 1310, and a macro diversity transmitting unit 1320 (N is a natural number equal to or greater than 2). Similarly, the constructions and operations of the channel coding unit 1300 and symbol mapping unit 1310 are the same as those of the channel coding unit 262 and the symbol mapping unit 264 of FIG. 2. Referring to FIG. 27, the macro diversity transmitting unit 1320 includes a coding method setting unit 1330, a diversity coding unit 1340, and a transmitting unit 1350.
The coding method setting unit 1330 includes a virtual transmission antenna generating unit 1332 and a sub code setting unit 1334.
The virtual transmission antenna generating unit 1332 generates M virtual transmission antennas, which are obtained by linearly combining the N transmission antennas, based on M sequences having a length of N. Here, the M sequences may orthogonal sequences or pseudo noise sequences as described above. The sub code setting unit 1334 sets sub codes for the M virtual transmission antennas so that at least one pair of virtual transmission antennas using different sub codes are present.
The diversity coding unit 1340 generates code symbols for each of the virtual transmission antennas according to the set sub codes. The transmitting unit 1350 generates N OFDM symbols by applying the M sequences to the M code symbols in a time/frequency domain, and transmits them via each of the transmission antennas.
FIGS. 28 and 29 are detailed block diagrams respectively illustrating transmitting units 1350A and 1350B, which are embodiments of the transmitting unit 1350 of FIG. 27, when N=3 and M=2, according to the present invention. In particular, the transmitting units 1350A and 1350B will be described on an assumption that the coding methods of FIG. 13 are used and the transmitting apparatus of FIG. 27 belongs to the cell group #0. Here, a sequence wi for generating a virtual transmission antenna i is (or, consists of?) wi,0, wi,1 , wi,2 (i=0,1). In the above assumption, the sub code setting unit 1334 sets sub code #0 for virtual transmission antenna # 0 and sub code #1 for virtual transmission antenna #1.
Referring to FIG. 28, the transmitting unit 1350A includes a symbol transforming unit 1400 and a modulating unit 1410. The modulating unit 1410 includes a first OFDM symbol generating unit 1410_1 , a second OFDM symbol generating unit 1410_2 and a third OFDM symbol generating unit 1410_3.
The symbol transforming unit 1400 generates an nth symbol by respectively multiplying the generated two code symbols by wθ,n-1 and w1 ,n-1 of the sequence received from the virtual transmission antenna generating unit 1332 and combining the multiplication results, and provides the nth symbol to an nth OFDM symbol generating unit 1410_n. For example, in the above assumption, if a current data symbol vector to be coded is [X(2I) X(2I+1)], the virtual transmission antenna #0 must transmit [X(2I) X(2I+1)] and the virtual transmission antenna #1 must transmit [-X(2I+1 )* X(2I)*].
To this end, the symbol transforming unit 1400 provides the first OFDM symbol generating unit 1410_1 with [wO,O X(2I)- w1 ,0 X(2I+1)* w0,0 X(2I+1)- w1 ,0 X(2I)*], the second OFDM symbol generating unit 1410_2 with [wθ,1 X(2l)-w1 ,1 X(2I+1)* wθ,1 X(2I+1)- w1 ,1 X(2I)*], and the third OFDM symbol generating unit 1410_3 with [wθ,2 X(2I)- w1 ,2 X(2I+1)* wθ,2 X(2I+1)- w1 ,2 X(2I)*]. Thus, in this case, the transmission antenna #0 transmits an OFDM symbol containing [wO,O X(2I)- w1 ,0 X(2I+1)* wO,O X(2I+1 ) - w1 ,0 X(2I)*], the transmission antenna #1 transmits an OFDM symbol containing [wθ,1 X(2I)- w1 ,1 X(2I+1)* wθ,1 X(2I+1 ) - w1 ,1 X(2I)*], and the transmission antenna #2 transmits an OFDM symbol containing [wθ,2 X(2I)- w1 ,2 X(2I+1)* wθ,2 X(2I+1 ) - w1 ,2 X(2I)*]. Referring to FIG. 29, the transmitting unit 1350B includes a symbol transforming unit 1450 and a modulating unit 1460.
The modulating unit 1460 generates M OFDM symbols by OFDM-modulating the M code symbols. In the above assumption, M=2, the generated first OFDM symbol contains [X(2I) X(2I+1 )] and the generated second OFDM symbol contains [-X(2I+1 )* X(2I)*].
The symbol transforming unit 1400 generates a new OFDM symbol that is transmitted via the transmission #n by respectively multiplying wθ,n-1 and w1 ,n-1 of the sequence received from the virtual transmission antenna generating unit 1332 by the generated two OFDM symbols and combining the multiplication results. After the above signal processing, the transmission antenna #0 transmits an OFDM symbol containing [wO,O X(2I)- w1 ,0 X(2I+1)* wO,O X(2I+1 ) - w1 ,0 X(2I)*], the transmission antenna #1 transmits an OFDM symbol containing [wθ,1 X(2I)- w1 ,1 X(2I+1 )* wθ,1
X(2I+1) - w1 ,1 X(2I)*], and the transmission antenna #2 transmits an OFDM symbol containing [wθ,2 X(2I)- w1 ,2 X(2I+1 )* wθ,2 X(2I+1 )- w1 ,2 X(2I)*].
FIG. 30 is a block diagram of a receiving apparatus for receiving a broadcast/multicast service in an OFDM cellular system according to an embodiment of the present invention. Referring to FIG. 30, the receiving apparatus includes a macro diversity receiving unit 1500, a symbol demodulating unit 1510, and a channel decoder 1520. The constructions and operations of the symbol demodulating unit 1510 and the channel decoder 1520 are the same as those of the symbol demodulating unit 274 and the channel decoder 276 illustrated in FIG. 2.
Referring to FIG. 30, the macro diversity receiving unit 1500 includes a symbol extracting unit 1502 and a combining unit 1504. The symbol extracting unit 1502 extracts reception symbol from a received signal transmitted via each of transmission antennas of a plurality of cell groups according to a predetermined coding method, the cell groups being obtained by grouping adjacent cells that transmit the same broadcast/multicast data. Here, the form of each of the extracted reception symbols is illustrated in Equations (5) and (8), and the predetermined coding method includes the coding methods illustrated in FIGS. 5 through 13 according to the present invention.
The combining unit 1504 estimates channel frequency response for a transport route of code symbols that are respectively based on sub codes that are parts of diversity code, and combines reception symbols corresponding to the same data symbol vectors, based on the estimated channel frequency response. Here, the reception symbols may be combined as illustrated in Equations (6) and (9).
Meanwhile, channel estimation may be pilot symbol-based channel estimation, in which a transmitting side inserts pilot symbols into an OFDM symbol and transmits the OFDM symbol via each of the transmission antennas. In this case, an OFDM cellular system according to the present embodiment must use a pilot symbol arrangement method a pilot symbol coding method, which are set such as a receiving side can perform channel estimation for the transport route of the code symbols according to the sub code. In this case, the received signal contains both a reception symbol corresponding to a code symbol obtained through diversity coding, and a reception symbol corresponding to a pilot symbol. Thus, the combining unit 1504 is capable of estimating channel frequency response for the transport route of the code symbols according to each sub code, based on a reception symbol corresponding to pilot symbol, of the extracted, reception symbols.
Also, if each transmission antenna transmits code symbols according to a coding method for virtual transmission antennas, the combining unit 1504 estimates the channel frequency response for the transport route of the code symbols according to each sub code by reflecting a sequence used to generate the virtual transmission antennas.
If a terminal according to the present invention is located inside a cell, the macro diversity receiving unit 1500 of the terminal may combine only reception symbols having strong channel response intensity. For example, in the 2-cell group, 2-diversity technique, the value of channel response Hi(I), which is one of channel responses expressed in Equation (6), is significantly smaller than those of the other channel responses, Equation (6) may be replaced with Z(2l)=H0* (2I)Y (2I), Z(2l+1)=H0* (2I+1 )Y(2I+1 ). In this case, symbol modulation is performed similarly when only one transmission antenna is present.
FIG. 31 is a flowchart illustrating a method of providing a broadcast/multicast service in an OFDM cellular system according to an embodiment of the present invention. The method of FIG. 31 is comprised of operations which are sequentially performed using the system illustrated in FIG. 2. Accordingly, although not described here, the above operation of the system of FIG. 2 can be applied to the method of FIG. 31. Referring to FIGS. 2 and 31 , in operation S1600, the grouping unit 200 generates a plurality of cell groups by grouping cells that transmit the same broadcast/multicast data as illustrated in FIG. 3 or 4.
In operation S1610, the coding method allocating unit 210 allocates coding methods to the cell groups, respectively. The coding methods have been described above with reference to FIGS. 5 through 13.
In operation S1620, the channel coding unit 262 of each base station generates a stream of channel-coded data by channel-coding a stream of broadcast/multicast data.
In operation S1630, the symbol mapping unit 264 transforms the stream of the channel-coded data into a stream of data symbols according to a predetermined modulation method. In operation S1640, the macro diversity transmitting unit 266 generates code symbols by diversity-coding a data symbol vector belonging to the stream of the data symbols according to the coding method allocated to the cell group to which the macro diversity transmitting unit 266 belongs, and transmits an OFDM symbol containing the generated code symbol to a wireless channel via each transmission antenna, In operation S1650, the macro diversity receiving unit 272 of the terminal 250 extracts reception symbols according to a broadcast/multicast service by OFDM-demodulating a received signal transmitted via the transmission antenna of each base station.
In operation S1660, the macro diversity receiving unit 272 diversity-combines the extracted reception symbols.
In operation S1670, the symbol demodulator 274 restores the transmitted data symbol by demodulating the combination symbol, and provides the restored data symbol to the channel decoder 276.
In operation S1680, the channel decoder 276 restores the transmitted original data based on the demodulated result.
FIG. 32 is a flowchart illustrating a transmitting method for providing a broadcast/multicast service in an OFDM cellular system according to an embodiment of the present invention. The method of FIG. 32 is comprised of operations which are sequentially performed using the transmitting apparatus illustrated in FIGS. 2, 20 and 29. Accordingly, although not described here, the above operation of the transmitting apparatus of FIGS. 2, 20, and 29 can be applied to the method of FIG. 32.
Referring to FIGS. 2, 20, 28, and 29, in operation S1700, the macro diversity transmitting unit 262 sets coding methods for a cell group to which it belongs. More specifically, the coding methods, such as the coding methods of FIGS. 5 through 13, are set by the coding method setting unit 730, 830, 930, 1030, 1130, or 1330. The coding methods may be set by receiving them from the coding method allocating unit 210 of FIG. 2 or be set in the transmitting apparatus 260 by a manager but are not limited thereto.
In operation S1710, the channel coding unit 262 of each base station generates a stream of channel-coded data by channel-coding a stream of broadcast/multicast data.
In operation S1720, the symbol mapping unit 264 transforms the stream of the 6 003271
channel-coded data into a stream of data symbols according to a predetermined modulation method.
In operation S1730, the macro diversity transmitting unit 266 generates code symbols by diversity-coding a data symbol vector belonging to the stream of the data symbols according to a coding method allocated to a cell group to which the macro diversity transmitting unit 266 belongs, and transmits an OFDM symbol containing the generated code symbols to a wireless channel via each transmission antenna.
FIG. 33 is a flowchart illustrating a receiving method for providing a broadcast/multicast service in an OFDM cellular system according to an embodiment of the present invention. The method of FIG. 33 is comprised of operations which are sequentially performed using the receiving apparatus illustrated in FIGS. 2 and 30. Accordingly, although not described here, the above operation of the receiving apparatus of FIGS. 2 and 30 can be applied to the method of FIG. 33.
Referring to FIGS. 2 and 30, in operation S1800, the symbol extracting unit 1502 extracts reception symbols from a received signal transmitted via each of transmission antennas of a plurality of cell groups according to a predetermined coding method, the cell groups being generated by grouping adjacent cells belonging to the same broadcast/multicast data. Here, the predetermined coding method includes the coding methods illustrated in FIGS. 5 through 13, according to the present invention. In operation S1810, the combining unit 1504 estimates channel frequency response for a transport route of code symbols according to each of sub codes that are parts of diversity code, and combines reception symbols corresponding to the same data symbol vector, based on the estimated channel frequency response. Here, the reception symbols may be combined as expressed in Equation (6) or (9). In operation S1820, the symbol demodulator 274 restores the transmitted data symbols by demodulating the combination symbol, and provides the restored data symbols to the channel decoder 276.
In operation S1830, the channel decoder 276 restores the transmitted original data based on the demodulated result. FIGS. 34 and 35 are graphs illustrating the result of a simulation in which the performances of the conventional diversity technique, the 2-cell group, 2-diversity technique, and the 3-cell group, 2-diversity technique were measured.
In the simulation, a bandwidth of 20MHz of a frequency band of 2GHz and 2048 Fast Fourier Transform (FFT) were used as system parameters. The simulation was performed in an environment where inter-symbol interference is not present since a guard interval is sufficiently long. The ITU-R pedestrian A channel, which is a recommended mobile communications standard channel, was used as a wireless channel, and the channel speed was 3km/h. Also, the low-density parity-check code was used when channel coding was applied, and it was assumed that each of base stations uses only one transmission antenna and channel estimation is perfect.
(a) of FIG. 34 reveals a maximum Quadrature Phase Shift Keying (QPSK) system performance versus average SNR (Average Es/No), which can be achieved using each of the conventional diversity technique (Conv), the 3-cell group, 2-diversity technique (3CG- 2-DO), and the 2-cell group, 2-diversity technique (2-CG 2-DO) when channel coding was not used, on an assumption that average SNRs of signals received from all cells are the same at a boundary between two cells, (b) of FIG. 34 reveals maximum Quadrature Phase Shift Keying (QPSK) system performance versus average SNR (Average Es/No) when channel coding was used. If a terminal is located at a boundary between two cells belonging to different ceil groups, the Quadrature Phase Shift Keying (QPSK) system performance achieved using the 2-cell group, 2-diversity technique is as indicated with 2-CG 2-DO in (a) and (b) of FIG. 34. However, if terminal is located at a boundary between two cells belonging to the same cell group, the Quadrature Phase Shift Keying (QPSK) system performance achieved using the 2-cell group, 2-diversity technique is the same as when using the conventional diversity technique indicated with Conv in (a) and (b) of FIG. 34.
In the simulations illustrated in FIGS. 34 and 35, the length K of information was set to 736 when channel coding was used, the length N of a codeword was set to 1792 after performing channel coding according to the conventional diversity technique, and the length N of a codeword was set to 1536 when the 3-cell group, 2-diversity technique was performed in consideration for a case where data symbol is needed to be punched by inserting pilot symbols into the location of a sub carrier. That is, FIGS. 34 and 35 illustrate cases where lowest effects of performance gain were achieved by increasing pilot overhead twice when the 3-cell group, 2-diversity technique (3-CG 2-DO) and the 2-cell group and 2-diversity technique (2-CG 2-DO) according to the present invention were used. Nonetheless, as illustrated in (a) and (b) of FIG. 34, the performances of the 3-cell group, 2-diversity technique (3-CG 2-DO) and the 2-cell group and 2-diversity technique (2-CG 2-DO) according to the present invention are better when a terminal is located at a boundary between two cells than that of the conventional diversity technique. Also, according to the present invention, a higher diversity order can be achieved, and thus the inclination of bit error rate (BER) curve is steeper than using the conventional diversity technique. The performance of the 3-cell group, 2-diversity is similar to that of the conventional diversity technique when channel coding is not used. However, since 2/3 or more of received packets are more reliably received when channel coding is used, it is highly probable that the received packets would be satisfactorily decoded during channel decoding, and thus the performance of the 3-cell group, 2-diversity technique approximates the maximum performance thereof. Accordingly, the performance of the 3-cell group, 2-diversity technique is better under average cell boundary conditions than that of the 2-cell group, 2-diversity technique. However, insertion of pilot symbols and channel estimation are more complicated when using the 3-cell group, 2-diversity technique than using the 2-cell group, 2-diversity technique.
(a) and (b) of FIG. 35 are graphs showing the results of comparing Quadrature Phase Shift Keying (QPSK) system performances and 16-QAM performances when the conventional diversity technique (Conv), the 2-cell group, 2-diversity technique (2-CG 2-DO), and the 3-cell group, 2-diversity technique (3-CG 2-DO) were performed without channel coding on an assumption that average SNRs of signals received from three cells are the same at a boundary among the three cells. As a result, when using both the 2-cell group, 2-diversity technique and 3-cell group, 2-diversity technique, a diversity order having a maximum value of 2 was achieved. That is, both of these techniques have the same performance and their performances are better than that of the conventional diversity technique. Accordingly, it is possible to achieve the improved performances of these techniques even after channel decoding. In a transmitting/receiving apparatus and method according to an embodiment of the present invention, when the performance of diversity technique is significantly increased when a user is located at a cell boundary as illustrated in FIGS. 34 and 35, and pilot overhead and receiving complexity, or performance varies depending on the type of diversity technique. Thus, it is possible to apply transmitting/receiving apparatus and method according to an embodiment of the present invention after selecting a proper macro diversity technique according to the specification of a system to which macro diversity technique will be applied, dividing a plurality of cells into cell groups in cell planning, and predetermining a transmission method.
The conventional diversity technique is advantageous to a user who is located in a cell and thus has a difficulty in achieving macro diversity, and the macro diversity techniques according to the present invention is advantageous to a user who is located at a cell boundary. Accordingly, in order to provide a broadcast/multicast service, the number of users who are located in a handover region in cells in a service area is counted, it is possible to select a mode in which data is transmitted according to a macro diversity technique according to the present invention when the number of users is greater than a threshold, and it is possible to select a mode in which data is transmitted according to the conventional diversity technique when the number of users is less than the threshold.
The present invention can be embodied as computer readable code in a computer readable medium. Here, the computer readable medium may be any recording apparatus capable of storing data that is read by a computer system, e.g., a read-only memory (ROM), a random access memory (RAM), a compact disc (CD)-ROM, a magnetic tape, a floppy disk, an optical data storage device, and so on. Also, the computer readable medium may be a carrier wave that transmits data via the Internet, for example. The computer readable medium can be distributed among computer systems that are interconnected through a network, and the present invention may be stored and implemented as computer readable code in the distributed system. Functional program, code, and code segments for realizing the present invention can be easily derived by programmers in the technical field to which the present invention pertains.
While the present invention has been particularly shown and described with reference to exemplary embodiments thereof, it will be understood by those of ordinary skill in the art that various changes in form and details may be made therein without departing from the spirit and scope of the present invention as defined by the following claims.