Movatterモバイル変換


[0]ホーム

URL:


WO2006125291A1 - System and method for estimating travel times of a traffic probe - Google Patents

System and method for estimating travel times of a traffic probe
Download PDF

Info

Publication number
WO2006125291A1
WO2006125291A1PCT/CA2005/000785CA2005000785WWO2006125291A1WO 2006125291 A1WO2006125291 A1WO 2006125291A1CA 2005000785 WCA2005000785 WCA 2005000785WWO 2006125291 A1WO2006125291 A1WO 2006125291A1
Authority
WO
WIPO (PCT)
Prior art keywords
traffic
location
trajectory
locations
travel time
Prior art date
Application number
PCT/CA2005/000785
Other languages
French (fr)
Other versions
WO2006125291A9 (en
Inventor
Hiroyuki Takada
Bruce Hellinga
Liping Fu
Original Assignee
Hiroyuki Takada
Bruce Hellinga
Liping Fu
Priority date (The priority date is an assumption and is not a legal conclusion. Google has not performed a legal analysis and makes no representation as to the accuracy of the date listed.)
Filing date
Publication date
Application filed by Hiroyuki Takada, Bruce Hellinga, Liping FufiledCriticalHiroyuki Takada
Priority to PCT/CA2005/000785priorityCriticalpatent/WO2006125291A1/en
Publication of WO2006125291A1publicationCriticalpatent/WO2006125291A1/en
Publication of WO2006125291A9publicationCriticalpatent/WO2006125291A9/en

Links

Classifications

Definitions

Landscapes

Abstract

The invention pertains to a system and method for estimating travel times of traffic probes by estimating true locations and true routes of a traffic probe. The system includes: a location referencing system which intermittently sends a location data set; a location receiver; a location memory; a map storage representing a real road network using traffic nodes and a set of traffic links, whereby each traffic link is associated with a connection between two of said traffic nodes; a parameter memory storing parameters used for estimating true locations and true routes; a trajectory processor for determining feasible trajectories; a trajectory working memory; a travel time processor for processing location data sets, part of the road network data, part of the full trajectory data, and for determining a set of estimated travel times, whereby each travel time is associated with one of the traffic links; a travel time working memory and memory; a travel time transmitter; a system controller for assigning communication link connections; and a traffic management system with a travel time receiver for receiving part of stored travel time data sets. The method for estimating true locations and true routes involves intermittently generating a location data set associated with a latitude and longitude of the earth and a time record; additively storing the location data set in a memory; generating a most likely trajectory; retaining full trajectory data in a trajectory memory; generating and storing travel time data sets associated with registered traffic links; and receiving the travel time data sets.

Description

SYSTEM AND METHOD FOR ESTIMATING TRAVEL TIMES OF A TRAFFIC PROBE
FIELD OF THE INVENTION
This invention relates to a system and method for estimating travel times experienced by individual traffic probes in traversing traffic links of a road network, based on intermittent and possibly erroneous reports of geographical locations from the traffic probes and a database of the road network.
BACKGROUND OF THE INVENTION
For many traffic management authorities, real-time information of travel times for the targeted traffic is one of the most valuable sources in their decision making. However, conventional and practical systems for obtaining the travel time information require costly roadside infrastructure dedicated for the purpose of traffic data collection, and consequently a wide coverage of a road network is prohibitively expensive with these systems.
Meanwhile, several types of mobile devices such as a mobile phone, a mobile terminal of a global positioning system, and an electronic tag can be used to identify locations, and therefore an inexpensive scheme for travel time data collection using traffic probes equipped with those mobile devices is theoretically possible with a wide coverage of a road network if the infrastructure for those mobile devices is already deployed around the road network.
It is true that there exist several prior arts of travel time data collection using traffic probes, but these prior arts do not meet the requirements for a practical traffic management system. Specifically, the existing prior arts require short polling intervals (on the order of a few seconds), and/or highly accurate position estimates (on the order of within tens of meters), and/or intensive computational workload (too long in time to be applicable for realtime applications). The present invention seeks a scheme for providing travel times of traffic probes that satisfies the requirements of a practical traffic management system. SUMMARY OF THE INVENTION
The present invention provides a novel methodology of estimating travel times based on location data reported from a traffic probe. This methodology has several characteristics suitable for the use of operational traffic management.
By processing the location data with road network data, candidate locations and candidate routes are determined as possibilities of true locations and true routes of the traffic probe. The candidate locations are limited so as to reduce computation time and to keep sufficient accuracy for ensuing calculation of travel times. The candidate routes can be obtained through a novel shortest path algorithm in order to reduce computation time while taking into account transition times defined between consecutive traffic links as well as free flow travel times uniquely assigned to each traffic link.
The candidate locations and the candidate routes are connected to one another, and a set of feasible trajectories are generated as possibilities of the trajectory of the traffic probe. Each of the feasible trajectories is associated with an objective value mathematically combining location errors calculated from the candidate locations and a total travel time calculated from the free flow travel times and the transition times included in the sequence of the candidate routes. By virtue of this objective value, all the feasible trajectories can be linearly ranked regardless of the accuracy of location data and the time interval of consecutive candidate locations, and it is also possible to extract the most likely trajectory and prune unlikely trajectories from the feasible trajectories.
A portion of the most likely trajectory is incorporated into a full trajectory if there is no contradiction in a provisional trajectory connecting the portion of the most likely trajectory and a portion of a precedent full trajectory. The separation of trajectories into these two parts makes computation time shorter than a composition of a full trajectory from location data in each time of update. The full trajectory reflects the most recent result of the estimation for the true locations and the true routes.
Estimates of travel times experienced by the traffic probe are assigned to each traffic link included in the full trajectory. The calculation of travel times takes into account not only the ambiguity of the locations reported from the traffic probe, but also possible behavior scenarios of the traffic probe associated with stopping location, stopping time, and magnitude of traffic congestion in order to improve the accuracy of the estimates of travel times. The estimated travel times can be used for average travel times or speeds of more than one traffic probe or for estimation of route travel times or speeds over more than one traffic link. BRIEF DESCRIPTION OF THE DRAWINGS
Fig. 1 is an illustrative representation of real elements and attributes thereof dealt with in the present invention;
Fig. 2 is a block diagram of a typical system for estimating travel times;
Fig. 3 is a block diagram of processes, data, and data flow working on the system of Fig.
2;
Fig. 4 shows illustrative structures of road network representing a real road network by the road network data of Fig. 3;
Fig. 5 is a flow chart of the process for selecting candidate locations as part of the trajectory estimation of Fig. 3;
Fig. 6 illustrates the application of the candidate location selection process from Fig. 5;
Fig. 7 is an illustrative representation of data elements for determining candidate routes associated with part of the trajectory estimation of Fig. 3;
Fig. 8 is a flow chart of the process for determining candidate routes as part of the trajectory estimation of Fig. 3;
Fig. 9 is an illustrative representation of data elements associated with part of the trajectory estimation of Fig. 3 for generating the full trajectory data of Fig. 3 based on candidate locations obtained from the process illustrated in Fig. 5 and candidate routes from the process in Fig. 8;
Fig. 10 is a flow chart of the process for determining a full trajectory as part of the trajectory estimation of Fig. 3;
Fig. 11 is an illustrative representation of data elements associated with the travel time estimation of Fig. 3; and
Fig. 12 is a flow chart of the process of generating travel time data sets of Fig. 3 as the travel time estimation of Fig. 3.
DESCRIPTION OF THE PREFERRED EMBODIMENT
An overview of the problem addressed by this invention is illustrated as Fig. 1. A traffic probe 101, which may be a pedestrian, a private vehicle, a public transit vehicle, a fleet vehicle, or some other type of vehicle, carriage, or traveler is assumed to move on a real road network 102, and to intermittently report the current locations at true locations 103. Each of reported locations 104 is associated with one of the true locations 103, and may include a location error from the associated true location.
This invention provides estimates of the true locations 103 and true routes 105, which the traffic probe 101 takes between each pair of consecutive true locations on the real road network 102, based on the reported locations 104 and recorded information of the real road network 102. For the purpose of traffic management, this invention also provides estimates of travel times experienced by the traffic probe 101 each of which is associated with one of traffic links 106 including one or more road segments of the real road network 102.
The estimation of the travel times requires a system and a method implemented to the system. The physical components of the system are shown as Fig. 2. The system is divided into three subsystems: a location referencing system 201, an estimating system 202, and a traffic management system 203.
The infrastructure of the location referencing system 201 may be associated with an existing system such as a cellular phone network, a global positioning system (GPS), or an electronic toll collection system deployed on a toll road network. Any system included in the notion of the location referencing system 201 commonly has technological characteristics mentioned in the following.
A mobile station 206 is a device physically moving with a traffic probe. The mobile station 206 may be a cellular phone, a mobile terminal of a GPS, an electronic tag, or some other type of device capable of communicating with another device physically separated therefrom. The attachment of the mobile station 206 to the traffic probe may be flexible; for example, a user of a cellular phone may change the type of traffic probe from a pedestrian to a private vehicle by entering the vehicle with the cellular phone.
A locating equipment 205 is used for measuring geographical location of the mobile station 206 intermittently. The result of the location measurement is a reported location. The locating equipment 205 includes at least one base station physically remote from the mobile station 206. The base station may be settled on the ground like a base station of a cellular phone network used for the purpose of telecommunication, or may move like a satellite used in a GPS. The process of the location measurement utilizes radio communication between the base station and the mobile station 206. According to the requirement of applied locating technology, part of the locating equipment 205 may be physically combined with the mobile station 206.
A location transmitter 204 is connected to the locating equipment 205 by communications link in order to receive the reported location. It is noted that "communications link" which appears here and later in the description is defined as all types of media and devices providing the capability of data communication between two remote units, such as a wireless connection, an electronic circuit, a physical line used for computer networks, or a telephone line. The location transmitter 204 also has an interface to send the received reported location. According to the applied technology of the locating equipment 205, the location transmitter 204 may be physically attached to the mobile station 206 or the base station, or may reside in some other place.
The number of each component included in the location referencing system 201 is not restrictive. The location referencing system 201 may manage more than one mobile station like a cellular phone system. The number of base stations may also be more than one, such as the number of satellites used for a GPS. The location transmitter 204 may be a physically integrated device managing all mobile stations, or may be divided into multiple devices each of which manages a group of mobile stations.
The estimating system 202 provides a set of devices necessary for estimating travel times of a traffic probe based on reported locations obtained from the location referencing system 201. The number of mobile stations managed in the estimating system 202 may be one or more.
The estimating system 202 contains two interfaces for data input and output. A location receiver 207 includes an interface connected to the location referencing system 201 by communications link to receive the records of reported locations. A travel time transmitter 218 includes another interface connected to the traffic management system 203 by communications link and outputting the estimated travel times.
A location memory 208, a trajectory working memory 209, a trajectory memory 211, a parameter memory 212, a travel time working memory 215, and a travel time memory 217 provide a physical or logical space for storing data used for estimating travel times. These memories may be electronic, magnetic, optical, or the like, but a dynamic memory is preferable for each of these memories. Part of these memories may be combined into the same physical component.
A map storage 214 stores records of a real road network. In general, these records are static and may exceed the capacity of an existing dynamic memory in total, and therefore a static and discrete memory such as a magnetic disk is preferable for the map storage 214.
A trajectory processor 210 and a travel time processor 216 perform arithmetical and logical calculations for the data sets stored in the trajectory working memory 209 and the travel time working memory 215 respectively. These processors may be combined into one physical processor, if this physical processor can perform all the arithmetical and logical calculations assigned to the trajectory processor 210 and the travel time processor 216.
A system controller 213 provides physical or logical connections by communications link between any necessary pairs of the components included in the estimating system 202, and controls the data flow for the provided connections. The system controller 213 may be physically divided into a plurality of sub controllers, according to the required connections. The relationship among the components is addressed later in the description of processes and data flow.
The traffic management system 203 receives the data of the estimated travel times through an interface included in a travel time receiver 219. The received data may be displayed or further processed, according to the purpose of the traffic management system 203. For example, if personnel working for operational management of a transit system need to know the most recent status of a specific transit vehicle, the received data associated with the transit vehicle may be displayed by connecting a monitoring unit to the travel time receiver 219. If the purpose of the traffic management system 203 is provision of travel time or speed information to the drivers of general vehicles on a road network, the received data may be aggregated into average travel times or speeds of general vehicles by connecting another computing module to the travel time receiver 219. The speed information can be obtained from the travel time information by dividing the travel time into the distance of the corresponding route or traffic link on the road network.
The processes and the flow of data working on the system of Fig. 2 are shown in Fig. 3. Each of the processes is related to one or more components of the system.
A location generating process 301 is implemented in the location referencing system 201, and intermittently generates a location data set including records for a reported location. The location data set includes a record of a location measured by locating equipment 205, and a time record for the moment of the location measurement. The location record represents a location on a two-dimensional coordinate system. The location record may not necessarily be a pair of latitude and longitude of the earth, but should be able to be associated with latitude and longitude of the earth to determine a geographical location of the mobile station 206. The location record also allows a three-dimensional coordinate system, and the unit measuring the location may be meters, kilometers, feet, miles, or the like. Furthermore, identification of a traffic probe for each reported location is assumed to be technologically possible in the location referencing system 201, and the location data set may include a record of an identification number specific to the traffic probe. The location data set is sent out from the location transmitter 204.
The generated location data set is received and stored in the estimating process 302 implemented in the estimating system 202. The location receiver 207 and the location memory 208 are the physical components corresponding to this process, and the system controller 213 manages the associated data flow. Location data sets 304 include past location records and past time records as well as the most recent location and time records for the mobile station 206.
Road network data 305 are stored in the map storage 214 and represents a real road network. Referring to Fig. 4, the road network data 305 includes records of a traffic node 401 and a traffic link 402 on a two-dimensional plane of Cartesian coordinate system. Those two dimensions can be associated with longitude and latitude of the real road network. The traffic node 401 may be one of intersections of road segments with or without traffic control, shape points, dead ends of a road segment, or changing points of some road attribute on the real road network, but the road network data 305 may not explicitly provide the distinction of these categories. The traffic link 402 is the representation of one or more road segments connecting between the traffic node 401 and another traffic node 403. The traffic link 402 is assumed to be a straight segment, and includes the information of direction. If the traffic link 402 allows bi-directional traveling for a traffic probe like directions 404 and 405, the road network data 305 may have two separate records for the traffic link 402. There exists at most one traffic link starting from a traffic node and ending at another traffic node. A traffic probe is assumed to travel traffic links along the direction defined for each traffic link. The road network data 305 may contain other types of information to represent more details of the real road network.
The process of trajectory estimation 306 is performed in the trajectory working memory 209 and the trajectory processor 210. This process retrieves part of the location data sets 304, the road network data 305, and parameters 307 stored in the parameter memory 212 into the trajectory working memory 209 under the management of data flow by the system controller 213. This process generates full trajectory data 308 including estimates of true locations and true routes. The full trajectory data 308 is stored in the trajectory memory 211 through the system controller 213. This process may also retrieve the full trajectory data 308 for the purpose of its renewal.
The process of travel time estimation 309 is performed in the travel time working memory 215 and the travel time processor 216. This process retrieves part of the location data sets 304, the road network data 305, and the parameters 307 into the travel time working memory 215 through the system controller 213. This process generates travel time data sets 310 including estimates of travel times. The travel time data sets 310 are stored in the travel time memory 217 through the system controller 213.
A traffic management process 303 working in the traffic management system 203 obtains part of stored travel time data sets 310 through the system controller 213 and travel time transmitter 218.
Before the method of this invention is described, it is necessary to give mathematical definitions concerning the location data sets 304, the road network data 305, and the data used for the trajectory estimation 306.
A reported location included in one of the location data sets 304 is defined as
«*('*.*)=(**('*,/). ?*('*./)) (1)
where k (k=l, 2, ..., K) is index identifying a traffic probe, and tkJ (i = 0, 1, 2, ...) is time of fth location measurement for traffic probe k. The reported locations for the same traffic probe compose a sequence of reported locations ordered by time,
Figure imgf000009_0001
, where I0 and I\ are indices representing the starting and ending locations of the sequence respectively.
The definitions concerning the road network data 305 describe the abstract representation of a real road network. A traffic node recorded in the road network data 305 is a location on a two-dimensional plane defined as:
na = (Xa> ya)>β= l,2,3,... , U (2) All the defined traffic nodes belong to the set of traffic nodes, N .
A traffic link from traffic node a to traffic node b is uniquely defined as
l(na, nb)={(l -λ)na+λnb \ θ≤λ≤ l } (3)
From this definition, a traffic link is regarded as a set of locations, and the locations on the traffic link are expressed parametrically by λ . Accordingly as λ increases, the corresponding location moves toward the downstream end of the traffic link. All the defined traffic links belong to the set of traffic links, L. Since every traffic link contains traffic nodes at the entering and exiting points, WcL .
Information of free flow speed for traffic link l(na, nb) is also recorded in the road network data 305, and is defined as ${na, nb) . This information may be derived from a record of road class associated with each traffic link and a set of rules associating road class with free flow speed. Preferably, the free flow speed is defined uniquely for each traffic link. The physical length of traffic link l{na, nb) vasy be calculated by taking the Euclidean distance between nα and nb , or may be directly recorded as part of the road network data 305. In any case, it is defined as \l{nα, nb)\ . If the length of traffic link \l{nα, nb)\ is assumed to be an Euclidian distance, it is defined as
Figure imgf000010_0001
The free flow travel time of this traffic link may be calculated from the length and the free flow speed as follows:
Figure imgf000010_0002
or may be recorded as part of the road network data 305. The free flow travel time defines the theoretically minimum time for the traffic probe to complete a traverse of the traffic link.
With regard to the data used for the trajectory estimation 306, a candidate location corresponding to the reported location ihk(tkj) is defined as
Figure imgf000011_0001
This candidate location is assumed to be on the represented road network, and
mλh,)&L (7)
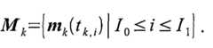
is satisfied. Similarly to the reported locations, it is possible to define a sequence of candidate locations as Mk—[mk(tlc ι) \ l0 ≤ i ≤ Iι . Each candidate location in this sequence is associated with one of the reported locations with the same time index.
A candidate route between consecutive candidate locations, mk{tkι l) and
Figure imgf000011_0002
> is defined as
^('*1,. f*.,+i) = ' (»*('jJ . ∞*('*1,+i)) (8)
Candidate route rk(tkt l, tkt l+l) means one of all the possible routes connecting consecutive candidate locations mk(tkι l) and mk{tkt l+χ) on the represented road network.
The candidate route can be regarded as a subset of locations on the represented road network, and it can be partitioned into a set of fractional or complete traffic links such as
rlkh.,> '4,,+lH' (∞*U *.,)'nα)> 'K>Uo)>- '( V,'Λα)Anαj, »**(* *,I+i))} (9)
It should be noted that the definition of traffic link is more relaxed in this equation. In defining a represented road network, every traffic link must have traffic nodes on its ends. However, for candidate routes, a fractional traffic link is also possible by changing one end or both ends of a traffic link into a given location on the traffic link. In order to make the following discussion less complicated, the notation of the candidate route is redefined as follows:
rk(h,,>mk,,. l)>l(mk,,, Vmk, ,,2)>■ ■ ■> l(mk,hJ{k>,yv ml:lJ(kj)), /(JWW(M, mki,iJ{kil)+l)} (10)
Figure imgf000011_0003
,!'"'
Figure imgf000011_0004
where lkι lιJ (j=O,l,..., J{k, i)) is one of the complete or fractional traffic links included in the candidate route. The sequence of candidate routes corresponding to the sequence of candidate locations Mk is defined as Rk= r(tk l, tk l+l) 1 10 ≤ i ≤ I1- 1 ] .
Furthermore, the length and the free flow travel time of a fractional traffic link are determined linearly by λ under the assumption that the traffic link containing this fractional portion is a straight road segment. If lkthJ=l{mk lιJ, mk l J+1) is a fractional traffic link defined as
Figure imgf000012_0001
then the length of this fractional traffic link is given through the following calculation:
Figure imgf000012_0002
(l-λ{i Iiy+1)ιιβ+λJ>Iiy+1«ft)| =l(l-λi,y+1β+λjili,+1ιi6-(l-λ°>1>j,)ιiβ-λϊil>y»ό| (12)
Figure imgf000012_0003
Thus, the free flow travel time of this fractional traffic link is given by
Figure imgf000012_0004
The method implemented for the trajectory estimation 306 is based on a minimization problem evaluating location errors of reported locations and quantified behaviors of a traffic probe. By virtue of this quantification, all candidate estimates of the true locations and the true routes can be numerically ranked, and selection of the most likely estimates of the true locations and the true routes becomes possible. The formulation of the minimization problem is given by
Figure imgf000013_0001
=(Mk, Rk)=∞g min [F(Mk, Mk)+G{Rk)\ (15)
where F is a function incorporating the relationship between reported locations and candidate locations, and G is a function incorporating a total travel time specific to the sequence of the candidate routes. As shown in equation (15), the most likely estimates of true locations and the true routes are defined as Zmm , which includes the sequence of most likely candidate locations,
Figure imgf000013_0002
1 I0 ≤ i ≤ J1 J , and the sequence of most likely candidate routes,
Figure imgf000013_0003
. Zmm provides the minimum objective value Zmm in equation (14). The relationships from (6) to (10) and (13) are also applied to mk{tk> l) and h,ι+ι)5 because these are also candidate locations and candidate routes respectively.
The structure of functions F and G needs to be defined in more detail in order to show concretely that the reported locations and the road network data 305 can be utilized in the minimization problem, and that smaller values of the functions can represent more likely estimates. The following functions are provided as a preferable structure:
Figure imgf000013_0004
/,-i J(k,ή
G(Rt)=∑ yktl Σ {τf(/tlI J+τg(/til tJ)}-δttl (17) ι=L y=0
where i is an index indicating the sequence of location sampling time for traffic probe k, which starts at I0 and ends at Ix , and J(k, i) is the number of complete or fractional traffic links in candidate route fk(h,,'
Figure imgf000013_0005
Function F uses distance measurements between reported locations and candidate locations denoted as
Figure imgf000013_0006
and the minimization thereof toward reference value βk> , . If most of distance errors caused by the locating equipment 205 are known to statistically appear around some average value, βk ,, may be set to this average value. The definition of the reference value would be effective to explain the errors that are known in distance but unknown in direction. «4 ; is a coefficient adjusting the evaluative weight of function F relative to function G. Indices k and i attached to α and β permit those parameters to vary by location measurement. For example, by assigning a different set of values for a different location measurement, function F can reflect different levels of location accuracy associated with different locating techniques. It is also possible to take into account other attributes specific to each location measurement by changing those values if those attributes are known in advance.
Parameter μ reflects a statistical attribute of individual location measurements. In the case of μ — 1 , the distance error from the reference value,
Figure imgf000014_0001
, is evaluated as its value in the minimization problem, and the total of distance errors from the reference value obtained at different sampling times is minimized. In the case of μ> 1 , a large distance error from the reference value has an amplified value in function F, and estimates with similar distance errors from the reference value tends to be regarded as the most likely. On the contrary, in the case of μ < 1 , the distance errors from the reference value for the most likely estimates separate to relatively large and small ones. The value of parameter μ applied to each location measurement may change by type of locating technology.
Meanwhile, function G refers to the total time to travel along a sequence of candidate routes. τf(lkJJ) is the free flow travel time of complete or fractional link lkJJ as defined by equation (5) or (13), and τs(lkJJ) corresponds to the transition time from one traffic link to another. In function G, the total travel time is regarded as the sum of the free flow travel times and the transition times included in the sequence of candidate routes.
The minimization of total travel time is crucial in estimating true routes, when the time interval of consecutive reported locations is much shorter than the whole time duration of a trip by a traffic probe. In general, it is possible that a traffic probe follows a non-shortest path between its trip origin and ultimate destination in order to satisfy the need to reach one or more intermediate destinations. However, the possibility of following a non-shortest path within a short partial route of the whole trip should be very low. Function G assumes that the time intervals of reported locations for a traffic probe are sufficiently short that the traffic probe follows the shortest path in each of the time intervals.
The total travel time is not determined only by the sum of the free flow travel times defined as equations (5) and (13). Consideration of transition times is also important in quantifying the possibilities of candidate routes, when the candidate routes are similar in terms of the sum of the free flow travel times, and a traffic probe chooses the most economical route with the minimum sum of transition times.
B A transition time is uniquely assigned to a pair of traffic links topologically connected by a traffic node. One possible way for determining each transition time is to prepare a fixed value for each pair of traffic links and to register this value to the road network data 305. Another way is to apply a function reflecting transition times. The following function is an example of a systematic method for estimating the additional time required for a traffic probe to transition from one traffic link to another as a result of deceleration and acceleration in turning movements.
_ ζ(cosθt t J+η) (τe (lk,ι,J)=Q U . _=o,i,..., J(k, i)) (18)
where
Figure imgf000015_0001
Function (18) takes the angle between consecutive traffic links along a candidate route, and assigns an exponentially augmenting time according to the sharpness of turning angle, by determining appropriate values for ζ and η . Equation (19) requires the definition of h,ι,j(k,ι)+i in order to calculate the transition time of the last traffic link in each candidate route as follows:
h,ι,J{k,ή+l ~ (20)
Figure imgf000015_0002
This fractional or complete traffic link is part of a candidate route after time tkj+x . Furthermore, although the records of angle for all the pairs of consecutive traffic links may be registered in the road network data 305, the calculation of cosθ4 ,7 is still possible without preparing these extra records. The value of cos0A ,7 can be calculated using the already defined variables as follows:
Figure imgf000016_0001
δkιl in equation (17) is used as a reference value to compare the candidate routes in the minimization problem. If δk =0 , then candidate routes that provide the least minimum travel time will be considered more likely. A candidate route for which the traffic probe is stopped during the entire time interval provides a minimum travel time equal to zero. When ^k, /=05 equation (17) suggests that such a candidate route is most likely. However, in practice, such a candidate route may not be most likely. By setting <5A , to some positive value, minimum objective value Zmln is affected mostly by the difference of location errors among the candidate routes with a small minimum travel time. For example, when there are two candidate routes with the minimum travel times of 0 seconds and 2δk , seconds, the evaluative values by function G are equal, and the more likely candidate route is determined only from the values of function F
Parameter v in equation (17) functions as an evaluator of the correlation between consecutive candidate routes of a traffic probe. If v is equal to or less than one, the minimization problem regards some extreme trajectory such as an alternation between being stopped during an interval and then traveling at more than the free flow speed as the most likely in terms of a comparison between consecutive candidate routes. Meanwhile, if the actual speed of a traffic probe always changes continuously along time, a value more than one is preferable for v . γkt, is a parameter which adjusts the evaluative weight of function G toward function F The most probable factor that causes the value of y and δ to change for each location measurement is fluctuation of sampling time interval for a traffic probe.
The parameters used in the minimization problem need to be determined and assigned with some appropriate values. The optimal values for the parameters depend on the type of traffic probe, the structure of road network, and the attributes of reported location, and it is impossible to provide a unique set of values applicable for all situations. The optimal values for the parameters can be obtained through a calibration process in a heuristic manner. The calibration is possible by testing a small, but statistically sufficient number of sample traffic probes for which the true results can be obtained. The values of β and μ can be determined from a measurement test of the locating technology used for the location referencing system 201. The values of ζ and η can be obtained from a test of transition times for real or simulated traffic probes. The values of a, v, y, and<5 can be determined by running a test traffic probe with equipment which can measure its precise and frequent locations on a real road network such as a differential GPS, and comparing the results between the estimates obtained from the reported locations of the test traffic probe and the true trajectory obtained from the equipment of the test traffic probe.
There also exist several practical issues in applying the minimization problem (14) and (15) to the trajectory estimation 306. An infinite number of possible estimates derived from the formulation need to be limited to a small number, and the limited possible estimates need to be obtained in a short computation time so that the trajectory estimation 306 can efficiently determine the most likely estimates.
Limiting the number of candidate locations can contribute to the efficiency of the trajectory estimation 306. An algorithm determining the candidate locations is shown in Fig. 5. Reported location ihk(tk^ is retrieved from the location data sets 304 in step 501. For this reported location, an allowable maximum distance dk l is determined in step 502. The value of fi^r may change according to the locating technology applied to reported location mk(tk l) , and may be stored as one of the parameters 307. When the road network data 305 is divided into subsets by sub area associated with geographical locations of traffic nodes or traffic links, dk ; may be applied to step 503 to select the subsets used for searching the candidate locations.
Steps 504, 505, 506, and 507 extract part of the candidate locations from the traffic nodes included in the selected subsets. If the distance error between one of these traffic nodes na and reported location ihk{tkj) is within the allowable maximum distance, denoted as
Figure imgf000017_0001
then this traffic node and the calculated distance error are stored into the trajectory working memory 209 in the step 506. Inequality (22) is examined for all the traffic nodes included in the selected subsets.
The other candidate locations are extracted from middle points of the traffic links included in the selected subsets. Each of these candidate locations is derived from an intersection of one of these traffic links and the perpendicular thereof passing reported location mk{tkj) .
This extraction is illustrated in Fig. 6. When the coordinates of a reported location 601 and a pair of traffic nodes 602 and 603 terminating a traffic link 604 are defined as (xm, ym) ,
(χa> ya)> and (xb> yb) respectively, and sufficiently large value d is given, there exist intersections of a line including the traffic link 604 and a circle 605 of radius 606 with the value of d. Coordinate of intersection (x,y) is a solution of the following equations:
x \— (l-λ) +λ X1
(23) y ya yb
Figure imgf000018_0001
where λ is parametric indicator of location on the line including the traffic link 604. Equations (23) and (24) contain four unknown variables (JC, y, d, and λ ). If d is assumed to be a known value, then these equations can be used to solve for λ by eliminating x and y. As the result of this elimination,
{{xa-xbf+{ya-ybf}λ2+2{{xm-xa){xa
Figure imgf000018_0002
is obtained. Equation (25) is a quadratic on λ , and the rule of quadratic solutions leads to
Figure imgf000018_0003
where D is discriminant of quadratic (25) which determines the existence of solutions, denoted by
D={(χm-χa)(χa-χb)+(ym-ya)(ya-yb)f
(27)
+{(χa-χbf+(ya-yb)2}{d2-(χm-χaf-(ym-ya)2}
D can be used to examine the existence of locations within an allowable maximum distance by substituting dk , for d in equation (27), and calculating the right hand side. If D≥O , then there exists an intersection of the line including the traffic link 604 and its perpendicular 607 passing the reported location 601, and the coordinate of a representative location 608 at the intersection is calculated. The intersection is given by
Figure imgf000019_0001
λm can be obtained simply by setting D to zero in equation (26), because this intersection must be the middle point of the intersections parametrically derived from equation (26). The coordinate of the representative location 608 can be obtained by substituting λm determined from equation (28) for λ in equation (23). The Euclidian distance between the representative location 608 and the reported location 601 can be calculated using those coordinates.
The representative location obtained through λm is not always on a segment represented by a traffic link used for the calculation. For example, when λm is more than 1 or less than 0 for a traffic link 609, a representative location 610 is not on the traffic link 609 as per the definition given in equation (3). In this case, the representative location 610 is not considered as a candidate location.
For further computational efficiency, a representative location on an intermediate point of a traffic link may be relocated to the terminating traffic nodes if the representative location is near to the terminating traffic nodes. In order to realize this mechanism, some threshold value C is determined, and if λm satisfies either of
λJ(xb-xaf+(yb-ya)2 ≤C (29)
( 1 -λjj(xb-xa)2+(yb-yaf ≤ C (30)
then, the representative location on the intermediate point of the traffic link is relocated to the terminating nodes. Inequalities (29) and (30) are the conditions of relocation to the entering traffic node and the exiting traffic node respectively. In Fig. 6, if distance 611 between a representative location 612 on a traffic link 613 and the traffic node 602 is less than or equal to C, then the representative location 612 is relocated to the traffic node 602. The value of C might need to be calibrated to some value by taking into account the distance error of reported locations and the structure of represented road network. However, this constant does not necessarily have an exact optimal value for the purpose of estimating travel times.
In addition, when there exists a candidate location 614 on the downstream portion of traffic link 615 for the previous reported location fnk{tk i_λ) , another type of relocation may be performed. This relocation is based on the assumption that there is almost no possibility that a traffic probe at the downstream portion of a traffic link comes to the upstream portion of the same link within the short time period of time between consecutive reported locations. In such a case, a representative location 616 may be relocated to the candidate location 614 on downstream side of the traffic link 615.
Algorithmic selection of the candidate locations from the representative locations as shown in Fig. 5 is based on the result of these calculations. For a reported location and a traffic link selected in step 508, the discriminant for this traffic link is provided by equation (27) in step 509. If the discriminant is determined to be zero or positive in step 510, the coordinates of the representative location are calculated using equations (23) and (28) in step 511. If the representative location is determined within the segment of the traffic link defined by equation (3) in step 512, the possibilities of ithe relocation of the representative location is examined in step 513. After step 514 calculates the distance error between the reported location and the examined representative location, the examined representative location is stored as one of the candidate locations with the calculated distance error in step 515. The selection of the candidate locations is repeated for another traffic link until step 516 recognizes that all the traffic links included in the selected subsets have been examined.
The determination of candidate locations for a reported location ends by pruning the records of stored locations indicating the same traffic node or the same location on the same traffic link to one record.
The efficiency of the trajectory estimation 306 also depends on the way by which a candidate route between a pair of consecutive candidate locations is identified. Factors determining candidate routes are illustrated in Fig. 7. On a represented road network 701, an origin location 702 and a destination location 703, which form a pair of consecutive candidate locations, may have a plurality of possible routes 704 and 705 connected with part of traffic nodes 706 and traffic links 707, and a fractional traffic link 708. The traffic links 707 have free flow travel times 709 defined by equation (5) respectively. For the fractional traffic link 708, the definition of free flow travel time 710 follows equation (13). Pairs of the traffic links 707 connected at one of the traffic nodes 706 have transition times 711. The minimum travel time of a possible route is the sum of the free flow travel times and the transition times included in the possible route. If the minimum travel time of the possible route 704 is smaller than the minimum travel time of any other possible route, then the possible route 704 is the candidate route connecting the origin location 702 and the destination location 703.
A candidate route may be identified in a round-robin manner, which examines all routes connecting a pair of consecutive candidate locations. However, the more efficient way of route search is using a shortest path algorithm. The shortest path algorithm described later is an algorithm improved from the Dijkstra's algorithm, and maintains more than one label for each traffic node so that the transition times can be taken into account in searching the candidate route.
An algorithm applied to each pair of candidate locations are shown in Fig. 8. Variables used for the algorithm are defined as follows. Symbol " ≡ " means a substitution of right hand side of the symbol for left hand side.
moτg E L Origin location on road network mdst ε L Destination location on road network nors ≡ N If /Morg <≡ N , then «org ≡ morg ; otherwise, nms≡(exiting traffic node of traffic link to which morg belongs) ndst £ N If mdA G N , then ndst ≡ mdst ; otherwise, ndst≡(entering traffic node of traffic link to which mdstbelongs) na, nb G N Given traffic nodes
/Vq Subset of traffic nodes
L Number of labels for each traffic node At(na) I th label of traffic node na (1=1,2,..., L)
A Temporary label used for calculation Ψ,(na) e {N, m∞g} I th pointer to precedent location in na (1=1,2,..., L) Ψι(na) I th pointer to ascending label for Ψ,(na) \n na (1=1,2,..., L) ψ Temporary pointer used for calculation
Smax Maximum free flow speed of all traffic inks
Tmax Upper bound of minimum travel time allowed for route search Firstly, an origin location, a destination location and other variables are initialized in step 801 as follows:
Λ(«org)≡Tf(/(WIorg. «org))'
Figure imgf000022_0001
Ψ/(»oηj)≡Λ«W (/=1,2,..., Z)
Λt{na)≡∞, ΨM≡null forvna≠«org (/=1,2,..., X)
Step 802 monitors a condition of terminating the route search by examining subset of traffic nodes Nq . If this subset is empty, the process of route search terminates; otherwise, step 803 selects a traffic node with minimum label in the subset as follows:
wα≡ arg min A1(W0)
'K≡Nn
This traffic node is eliminated from the subset Wq in step 804 as follows to avoid a double search for the same traffic node:
N ≡Nq-{na]
The process of route search is terminated in step 805, if the selected traffic node na coincides with «dst .
For the best efficiency of route search, it is preferable to examine the possibility of travel from the selected traffic node to «dst in step 806 with the following inequality:
Figure imgf000022_0002
If this inequality is satisfied, then the step 806 recognizes that it is physically impossible for a traffic probe to travel from the selected traffic node to «dst even at the anticipated highest speed of the traffic probe on a represented road network, and the selected node is not searched any further. It should be noted that the value of Tmax needs to be larger to some extent than the exact time interval corresponding to a pair of consecutive reported locations, if a traffic probe may run at more than free flow speed, or if the origin location and the destination location derived from candidate locations may have location errors from true locations.
When the selected traffic node is determined eligible for more route search, step 807 selects a traffic node from adjacent traffic nodes defined as
ynb s.t. l(na, nb) e L (*)
The detail of sign (*) is provided later.
For the selected adjacent traffic node, step 808 assigns new labels. These labels are allowed to change until the turn to examine the selected adjacent traffic node in the step 803 comes later in the algorithm. The transition time assigned to the selected traffic node between the connected traffic links is calculated when the selected adjacent traffic node is searched. The computation applied to the step 808 depends on the status of the selected adjacent traffic node and the labels thereof, shown as follows:
If nb=ndst then nb))+τg(l(Y ,(wβ), wβ))+τg(Z( wβ, nb))}
Figure imgf000023_0001
ψ≡ arg min { A,(we)+Tf(Z(wfl, »5))+τg(/ [Y1(ItJ, na))+rg{l{na, nb))} otherwise
A≡min{Λ,(ιiβ)+τf (l(na, nb))+τβ (Y1(^), «β))} ψ≡ arg min (A7(W0)H-Tf(Z(W0, «4))+τg(/(y,(nβ), Λβ))}
If Λ<Λ16) then
A2(WJsA1(W6), Y2(nb)≡Yλ(nb), Ψ2{nb)≡ψι{nb)
Ax(nb)≡A, Yx(nb)≡na, ψλ(nb)≡ψ otherwise if A,_ι(nb)≤Λ<Λl(nb) and nb ≡ Nq (1=2,..., L) then
Λm+ι(nb)≡Am(nb), Ym+ι(nb)≡Ym(nb), Ψm+1(nb)≡Ψm(nb) (m=l, ..., L-\)
Figure imgf000023_0002
Furthermore, as shown in steps 809, 810, and 811, if the first label of the selected adjacent traffic node is changed and the selected adjacent traffic node is not included in the subset of traffic nodes, then the selected adjacent traffic node is added to the subset of traffic nodes as follows:
Nq≡Nq+{nb}
If step 812 recognizes that all the adjacent traffic nodes are examined, the algorithm goes back to the step 802; otherwise, another adjacent traffic node is selected to repeat the steps from 807.
After the process of the route search is terminated with the step 802 or 805, the minimum travel time is obtained in step 813 by adding the free flow travel time of l{nάsV wdst) to the first label of «dst . The candidate route is also obtained by tracking pointers defined for precedent location and ascending label from the first pointers of «dst . The number of labels assigned to each traffic node is sufficient with two labels if most traffic nodes are not more complicated than an intersection of two bi-directional flows.
The integrative process of the trajectory estimation 306 is illustrated in Fig. 9. For a sequence of reported locations 901, candidate locations 902 and candidate routes 903 are obtained through the methods described earlier. A feasible trajectory is a continuous route on a represented road network connecting some or all of the candidate locations 902 and some or all of the candidate routes 903. The feasible trajectory may substitute another candidate route 904 for one of the candidate routes 903, if the substitute candidate route 904 gives the resulting feasible trajectory a smaller total travel time. A most likely trajectory 905 is selected from the feasible trajectories derived from the sequence of the reported locations 901, and has the minimum value among the feasible trajectories in the meaning of the minimization problem (14) and (15). A provisional trajectory 906 includes part of the most likely trajectory 905, part of a previously stored full trajectory 907, and a route connecting these two partial trajectories. In the provisional trajectory 906, the part of the most likely trajectory 905 is referred to as a first sequence of locations and routes, and the part of the previously stored full trajectory 907 is referred to as a second sequence of locations and routes. The connecting route may coincide with one of the candidate routes 903. If the provisional trajectory 906 is determined to be consistent in terms of a trajectory of a traffic probe, then the additional part of the provisional trajectory 906 to the previously stored full trajectory 907 is stored as an additional part of the full trajectory data 308.
An algorithm for obtaining a provisional trajectory and determining the consistency thereof is shown in Fig. 10. The algorithm initially sets a range of trajectory history in step 1001, which defines the number of consecutive candidate locations and candidate routes from which to compose feasible trajectories. At this step, the range of trajectory history is preferably small like an inclusion of three or four consecutive candidate locations; otherwise, the amount of calculations for obtaining feasible trajectories would considerably increase, being useless for practical purposes. The candidate locations and the candidate routes included in the range of trajectory history are prepared in step 1002.
Step 1003 composes connected trajectories using the candidate locations and the candidate routes prepared in the step 1002. In each connected trajectory, the included candidate locations connect the included candidate routes with a correct sequence of time.
The connected trajectories do not always minimize the total travel time for a given sequence of candidate locations. Referring back to Fig. 7, the possible route 704 is the candidate route as long as the destination location 703 is a candidate location at the latest end of trajectory history. However, if another reported location is provided and the destination location 703 and a candidate location 712 for the another reported location have a candidate route 713, transition times 714 and 715 need to be taken into account. If the transition time 714 is much larger than the transition time 715, the possible route 705 and the candidate route 713 constitute the feasible trajectory connecting the origin location 702 and the candidate location 712 via the previous destination location 703.
This type of connected trajectory is revised in step 1004 to determine the feasible trajectories corresponding to the defined range of trajectory history. This revision is performed by replacing several procedures of the shortest path algorithm described earlier with new ones and running this modified algorithm. If route rk(tkιl, tk ι+1) needs to be checked for the validity as a candidate route in a feasible trajectory starting at time **,/„ and ending at time tk I^ (I0≤i<Iλ) , then, at the definition of variables, f«org and mάsX sxe redefined as the adjacently previous and the next traffic nodes out of ***(?*,,> ?;t,,+i) in the connected trajectory respectively. Moreover, if a traffic probe is not likely to take a cyclic route in any feasible trajectory, then another subset of traffic nodes including all the traffic nodes in the connected trajectory except for the traffic nodes included in routerh(h,i> h,i+ι) is defined as Nout , and the line with (*) of the route search algorithm is modified as follows:
MA s.t. l(na, nb) e L and nb £ N out By applying this modified algorithm to each pair of consecutive candidate locations in the connected trajectory, the candidate routes of the feasible trajectory is identified. In order to avoid excessive complexities of computation, an assumption that at most one route connecting two consecutive candidate locations needs to be revised in the connected trajectory may be effective. This assumption implies that a change of only one route connecting two consecutive candidate locations in the connected trajectory may give a more likely connected trajectory in the minimization problem. Furthermore, in calculating the minimum travel time of the revised route, the free flow travel times and the transition times between the original and the redefined moτg and between the original and the redefined mdst need to be subtracted from the value obtained from the modified algorithm, because the redefined morg and mdst should not be included in the revised route.
An objective value is assigned to each of the feasible trajectories in step 1005. This value is obtained through the calculation of F(Mk, Mk)+G(Rk) for each of the feasible trajectories. The location errors for the feasible trajectories used in F(Mk, Mk) can be obtained in determining the candidate locations. The total travel time used in G(Rk) can be obtained in determining the revised routes. The parameters used in these functions can be stored as part of the parameters 307. The most likely trajectory can be determined in step 1006 by searching the feasible trajectory with the minimum objective value. This most likely trajectory represents a computational approximation of Zmin in equation (15).
Step 1007 extracts a first sequence of locations and routes from the most likely trajectory. The candidate locations and the candidate routes connected with the other candidate locations or routes in the middle of the most likely trajectory are more preferable for this extraction than the candidate locations or routes at the ends.
A second sequence of locations and routes is extracted from the full trajectory data 308 in step 1008. This extracted sequence covers a different time interval from that of the first sequence of locations and routes, and may contain nothing when the trajectory estimation 306 is first applied to the location data sets 304.
A provisional trajectory is formed in step 1009 by connecting the extracted two sequences with a route on the represented road network. The modified algorithm used in the step 1004 is applicable to obtain this route by setting /worg and mdst to the ending location of the second sequence and the starting location of the first sequence respectively, and, if available, by setting «org and «dst to the entering traffic node of the ending traffic link in the second sequence and the exiting traffic node of the starting traffic link in the first sequence respectively.
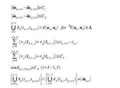
In order to examine the existence of more likely locations and routes based on equations (14) and (15), the consistency of the provisional trajectory is evaluated in step 1010. A set of rules is applied to find contradictions within the provisional trajectory. The rules of contradiction need to cover all the possible cases, but may include redundant ones. The rules can be defined mathematically as follows:
Figure imgf000027_0001
L) h(h,,,h,,J ^ l(na, nb) for3l(ntt, ub) e L (33)
;=/
Ak1I)
Σ {rt(lk.i,j)+τB{lkιIιJ)}≥tkιI+1-tkιI (34)
J(k,I)
Σ {τf(/Al/l,)+τB(/4i/iy)}≤C3 (35)
J=O
∞*θk,,.χk.,)≤C4 [I=I-U) (36)
Figure imgf000027_0002
where I0 is index of the starting time for which the consistency should be maintained, I1 is index of the ending time of the first sequence, and /is index of the ending time of the second sequence; therefore, rk{tkJ, tkJ+ϊ) is the route connecting the end of the second sequence and the beginning of the first sequence.
Inequalities (31) and (32) examine the distance between a reported location and a candidate location in the provisional trajectory. If this distance is larger than C1 or smaller than C2 , then the candidate location at time tkJ+l in the first sequence is determined to be doubtful. The values of C1 and C2 can be determined from the statistical attributes of distance error specific to the locating technology.
Formula (33) examines the first sequence and the connecting route for irregular concentration of the included candidate locations as a moving traffic probe. When this part of the provisional trajectory indicates that the movement of the traffic probe is restricted to within one traffic link, this sequence is revised to obtain more likely estimates. Inequalities (34) and (35) examine the minimum travel time of connecting route *k(h,i> h,i+ι) • If the minimum travel time is longer than the time interval of the corresponding consecutive reported locations, the estimated trajectory is incorrect for this time interval unless the traffic probe has violated one or more traffic rules. In any case, this kind of trajectory is regarded as a doubtful result. On the other hand, if the minimum travel time is much smaller than what would be expected, the estimate would also be doubtful, because the distance error between the true location and the reported location of traffic probe may be larger than the distance of the route associated with this minimum travel time in such a case. Therefore, the value of C3 preferably takes into account the attributes of the distance error of the locating technology.
Inequality (36) examines the candidate locations included in the connecting route. A value less than or equal to C4 on the left hand side of inequality (36) means a sharp turn, such as a U-turn, at the connected candidate locations. If sharp turns are prohibited or rare, satisfaction of this inequality means a possible contradiction. In such a case, C4 is set to zero or some negative value larger than -1 according to definition (19).
Formula (37) checks a cyclic sub path brought by the first sequence or the connecting route. This formula means that, if there is no cyclic sub path between the second sequence and the other part of the provisional trajectory, the common subset of these sub trajectories must be limited to the connected location thereof.
If the provisional trajectory satisfies none of these formulae, then the connecting route and the first sequence are regarded as part of the true locations and true routes, and are stored as part of the full trajectory data 308 in step 1011.
Meanwhile, if one or more contradictions are found through these formulae, then step 1012 checks the range of trajectory history. If the current range of trajectory history is less than a predefined maximum, and more candidate locations and candidate routes are available outside of the current range of trajectory history, then the process of the trajectory estimation 306 continues to make the contradictions resolved; otherwise, this process has no way of obtaining more likely estimates of true locations and true routes, and ends after storing the additional part of the provisional trajectory in the step 1011.
As a way of resolving the contradictions, the range of candidate locations and candidate routes included in the evaluation by the minimization problem (14) and (15) is expanded. Firstly, step 1013 deletes the most recent part of the full trajectory data 308. The deleted part of the full trajectory is re-estimated in the minimization problem by expanding the range of trajectory history in step 1014 and repeating the process from the step 1002.
Before repeating the process with the renewed range of trajectory history, elimination of unlikely feasible trajectories makes the subsequent calculations more efficient. Each of the feasible trajectories should have an objective value in the step 1005. If the objective value of a feasible trajectory is much larger than the minimum pre-specified in the step 1006, then this feasible trajectory can be regarded as an unlikely trajectory. Therefore, it is possible to filter feasible trajectories with a large objective value in step 1015, and to compute a new set of feasible trajectories derived from the renewed range of trajectory history by adding the expanded part of candidate locations and candidate routes to the filtered feasible trajectories.
An overview of the process of the travel time estimation 309 is illustrated in Fig. 11. A trajectory 1101 extracted from part of the full trajectory data 308 includes a first location 1102 corresponding to a first reported location 1103 and a route 1104 connecting the first location 1102 and a second location 1105 corresponding to a second reported location 1106. The process defines first likely locations 1107 and second likely locations 1108 for the first location 1102 and the second location 1105 on the trajectory 1101 respectively. A likely route 1109 is defined as a route on the trajectory 1101 which connects one of the first likely locations 1107 and one of the second likely locations 1108 with traffic nodes 1110 and fractional or complete traffic links 1111. This process further determines a set of possible behavior scenarios of a traffic probe for the likely route 1109. Each of the possible behavior scenarios has a different combination of stopping probabilities assigned to each of the traffic links 1111 and a magnitude of traffic congestion uniquely defined through the likely route 1109. Travel times assigned to traffic links 1111 are determined from an integration of these possible behavior scenarios and all the possible likely routes between the first likely locations 1107 and the second likely locations 1108.
This process can be performed with an algorithm shown in Fig. 12. First of all, step 1201 initializes a time interval used through the algorithm. Index of starting time I0 and index of ending time Z1 are associated with a pair of reported locations stored as location data sets 304 for the same traffic probe. These indices are not necessarily the same as those used in the trajectory estimation 306, but the time interval needs to be longer than the anticipated maximum travel time of the traffic probe on any traffic link for which a travel time is estimated.
Reported locations of the traffic probe included in this time interval are extracted from location data sets 304 in step 1202. These locations are denoted as [mk{tk>l) | Z0<z<Zj} .
Subsequently, a continuous trajectory of the traffic probe corresponding to this time interval is extracted from the full trajectory data 308 in step 1203. This trajectory includes estimates of true locations {ήtk(tk l) \ I0≤i≤Iι} and estimates of true routes
{rk(tk ι, tk l+ι) \ I0≤i≤Ix—\} . Each of the estimates of true routes can be decomposed to complete or fractional traffic links as rk(tk l, tk ι+ι)—\lkιl:J \ 0≤j≤J(k, i)} .
The travel times of the traffic links included in the extracted trajectory are accumulated through recursive travel time assignments calculated for pairs of locations each of which corresponds to estimates of two consecutive true locations. One of the pairs is selected in step 1204.
Step 1205 determines possible sequences of likely locations and likely routes for the selected pair of locations. One of these sequences, z, and an objecitve value assigned to this sequence, z, are defined as follows:
Z e Z4(Z01 Z1)
Λ-i /,-i (38)
({«*('*,,)}. W'*,,Λ,H-I)}) mιt(tj £ N, U r(tkιl, tkιl+1)Q \J r{tk,,, tk,,+i)
Figure imgf000030_0001
where Z4(Z0, Z1) is a set of sequences of likely locations and likely routes completely included in the extracted trajectory, and {nιkz(tk ι)} and {rzk(tkιl, tkιl+ι)} are likely locations and likely routes included in z respectively. The locations on traffic nodes are not included in the likely locations. For computational efficiency, the likely locations may be further restricted to the vicinity of the estimates of true locations as follows:
»*('*,,)e **./_(,)../(*,/.(«))U Ki.(.).ofor VZG Zkih> h) (40)
Figure imgf000030_0002
where Ip(i) is the largest integer less than / such that τf {lκ ,ip(ή,j(k,ir(,)))g(lk ,/„(,) ,j(t ,/„(,))) is positive, In{i) is the smallest integer more than or equal to / such thatτf(^,/n(;),o)+τg('yfc,/0(,),o) is positive, and C is the same threshold value used in inequalities (29) and (30). /p(z) and /n(z) exclude the estimates of true routes containing zero free flow travel times and zero transition times from the sequence of traffic links. From the restricted set of likely locations, a certain number of discrete locations are extracted to assign travel times to the likely route uniquely determined by a sequence of the extracted locations. The possible resolution for these discrete locations depends on the computational capacity of the travel time estimation 309. Furthermore, when the pair of locations determined in the step 1204 corresponds to the time interval between ^1, and tkιi+ι , the process of travel time assignment would be more efficient by restricting derivation of likely locations to those for tk j and tk ;+1 , and by using only estimates of true locations for the other times. In this case, based on the assumption that the traffic probe never proceeds backward on the same traffic link, the estimates of true locations at the times between tIr{i) and t^ or between ti+2 and
^/n(,+i) may be moved backward or forward respectively, when i"l(tkιi, tkti+ι) expands the estimate of true route for the same time interval backward or forward. The set of sequences resulting from this restriction is defined as Z^1(I01 I1) , and can be substituted for
Zk{I0, 11) . At this point, all the sequences of likely locations and likely routes are evaluated through minimization problem (14) and (15), and Zmin and ^min are redefined as the minimum objective value among these sequences and the corresponding sequence thereof respectively.
Step 1206 selects one of the sequences of likely locations and likely routes. The set of the selected likely routes is denoted as {rkz(tkJ, tkJ+ι) \ I0≤i≤I1—l } , and each of the selected likely routes can be decomposed as
Figure imgf000031_0001
iJ\ O≤j≤Jz{k, i)} , where Jz(k, i) is the maximum number of complete or fractional traffic links included in rzk(tkJ, tk j+l) . In addition, a probability for the existence of the selected sequence is determined on the basis of exponential deviation from the redefined Zmjn as follows:
Pm(z)=ez-Z (42)
Step 1207 determines travel times of the traffic links included in the selected likely route between a pair of consecutive likely locations. This step requires a series of definitions. Suppose that the time indices of these consecutive likely locations are / and /+1, and that z is the unique sequence included in Zk j(lo, lλ) , the time interval of these consecutive likely locations are decomposed as follows:
./'(M
(43)
J=O
where τs(lzk lιJ) is the time consumed for stopping on complete or fractional link lltliJ in- response to traffic control, and τc is the time consumed for traffic congestion on the likely route. Time for deceleration and acceleration of the traffic probe required in association with traffic control is assumed to be included in τs{lzk l J) as well as the time for a complete stop of the traffic probe. The traffic congestion is assumed to be uniform for any part of the same likely route, and therefore the time consumed for traffic congestion is not separated into the level of traffic link in equation (43).
The possible minimum value of T0 is zero in any case. This situation corresponds to no congestion in actual traffic flow. Meanwhile, the maximum value of τ0 is realized when the traffic probe does not include any stopping movement due to traffic control on the likely route. This maximum value is obtained by substituting zero for τs(lzk hJ) in equation (43), and defined as follows:
Figure imgf000032_0001
It should be noted that, in this situation, the traffic probe is assumed to travel the likely route constantly at a speed slower than the maximum.
If it is possible to determine the value of τc , the magnitude of traffic congestion over the likely route can be determined as follows:
Figure imgf000032_0002
As long as the sum of the free flow travel times and the transition times included in equation (45) is positive, wzk ,(τc) takes its value between 0 and 1 for any possible value of τc . The minimum value of wzkJc) is zero when τc is equal to zero, and the maximum is less than one when τc is equal to Tzc(k, i) (i.e. no stopping time). An exceptional case occurs when the likely route indicates that the traffic probe is stopped at a location during the whole time interval between consecutive likely locations. This exceptional case is handled separately as per the following description. Furthermore, equation (45) implies that a unique value of τc can be determined when a value of
Figure imgf000033_0001
initially given. For the convenience of the following description, another definition of T0 is provided as a function of magnitude of traffic congestion:
Figure imgf000033_0002
The maximum value of the magnitude of traffic congestion may be affected by other values of magnitude of traffic congestion obtained from the likely routes outside of the time interval between tk i and tk>l+l , if the magnitude of traffic congestion is not considered to change suddenly between consecutive likely routes separated by likely locations. In this case, a definition of probability that traffic congestion at the level of w occurs would make the evaluation of possible traffic probe behavior scenarios more reasonable. This definition is given as follows:
Figure imgf000033_0003
/p(z') and /„(/) have the same definition as those of equation (40). Equation (47) implies that the value of Pzw(k, i, w) is determined through relative comparison of w with the maximum magnitude of traffic congestion in the likely routes involving the i th likely route in wider range, and that a heavy traffic congestion represented by a larger value of w is unlikely to occur when these routes indicate light traffic flow. If this kind of assumption is not applicable, then Pzw(k, i, w) may be set to one in any case. Furthermore, since the value of Tzc(k,In(i+l)) can only be computed when the i+\ th likely route becomes available, equation (47) creates a time lag for the travel time estimation 309. If such a time lag is not allowable or desirable, then this time lag can be eliminated by setting the second term of the right hand side of equation (47) to one. Equation (47) is applicable when the i th likely route indicates a location.
Meanwhile, determination of the stopping time to a unique value is principally impossible because of the wide range of possible stopping locations and durations. Therefore, the stopping probability of traffic links is calculated for different scenarios of stopping times and stopping locations with a hypothetically fixed value of w, and then travel times are assigned to the traffic links in the likely route, reflecting all the cases with different values of w. For simplicity of computation, it is preferable to assume that the traffic probe stops only once in each likely route for any possible value of w.
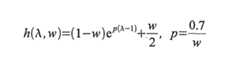
Determination of the stopping probability needs a definition of stopping likelihood applied to each location on a traffic link. For the stopping likelihood, a knowledge-based definition using the road network data 305, or a simple step function of λ defined in equation (3) may be applicable. However, if the location of stopping tends to be near to the exiting traffic node for low traffic flow, and to exist regardless of the vicinity of the exiting traffic node in heavy traffic flow, then the following function is more preferable for the stopping likelihood:
Figure imgf000034_0001
This function can be applied when the value of w is positive and less than one. When w is near to zero, or there is no traffic congestion on a traffic link, the stopping likelihood in the traffic link exponentially increases as λ increases, and the stopping likelihood at the upstream end of the traffic link is significantly smaller than at the downstream end. On the other hand, when w is near to one, or traffic is extremely congested, the stopping likelihood is similar regardless of the location on the traffic link. For the other intermediate values of w, the stopping likelihood has a mixed structure of those two boundary conditions. It should be noted that h(λ, w) always takes its value between 0 and 1 for any possible combination of λ and w. Variable p relates to an equivalent point of stopping likelihood. By determining p as function (48), the stopping likelihood is always equal to half for any value of w when 1— λ is equal to w, that is, when the parametric location on the traffic link measured from its exiting node coincides to the magnitude of traffic congestion. Based on function (48), the conditional probability of stopping on a complete or fractional traffic link included in the likely route is given as the average of the stopping likelihood for the locations covered by the traffic link. When the likely route includes this traffic link from A1 to λ2 in the meaning of definition (3), this probability is calculated as follows:
Figure imgf000035_0001
Furthermore, the conditional stopping probability becomes equivalent to the stopping likelihood when A1 is equal to λ2 (i.e. a likely route indicating a complete stop at a location). At this point, it becomes possible to compute the probability of stopping on a traffic link included in a likely route for a given value of w. In consideration of the assumption that a traffic probe makes stopping movements at most once, the stopping probability of traffic link
Figure imgf000035_0002
The upper case of definition (50) corresponds to a likely route composed of only one traffic link or only a location.
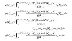
The determination of travel times needs calculation of probabilistic free flow travel time
PfUl, ι,j) ' probabilistic transition time pg{lzktItJ) , probabilistic stopping time
Figure imgf000035_0003
, and probabilistic time of traffic congestion po{lzkιlιJ) for each traffic link in the selected sequence z. When more than one traffic link are included in a likely route, those times can be obtained through the following integrations on w:
Figure imgf000036_0001
,w(54)
Figure imgf000036_0002
where β (λ, z) is the sum of probabilities accounting for all the likely routes associated with the pair of locations selected in the step 1204 and all the possible behavior scenarios derived from these likely routes, given by
Q(k,i)= ∑ PJz)PKkJ1W) ∑ Ps(lzkilJ1w)dw (55) zezt ,(/„,/,)J 0j=0
The numerical result of equations (51), (52), (53), (54) and (55) can be computed by restructuring the operation of an integration into the sum of piecewise functional values. Equation (54) implies that the time due to traffic congestion in a likely route is divided according to the proportion of the sum of the free flow travel time and the transition time of the traffic link to that of all traffic links in the likely route. These equations imply that a possible behavior scenario for w=0 or w=l contributes little for the result of the calculation of travel times, and therefore needs no consideration. The same rules of travel time assignment as these equations can be applied to the case of likely routes composed of only one traffic link, including the case of a complete stop at a location as follows: = „ , . .x - TτΛf{IllU,, ,, no))ddww [ 5b)
J a O(k. i)
Figure imgf000037_0001
'.».)) PJz)PKk, i, w)Ps(lzk,h0,w) s('t.ι.θ)= Q(k, i) (58)
Figure imgf000037_0002
With regard to Q(k, i) , the same definition as equation (55) is applied to this case. In any case, the travel times assigned to the traffic links in the likely route is given by the sum of the probabilistic free flow travel time, probabilistic transition time, probabilistic stopping time, and probabilistic time for traffic congestion as follows:
Figure imgf000037_0003
This probabilistic travel time is accumulated by traffic link as the result of the step 1207.
Step 1208 makes the steps 1206 and 1207 repeated until p{lzk:ltJ) is determined for all the traffic links included in all the likely routes derived from the pair of consecutive locations selected in the step 1204.
If all pairs of consecutive locations are not selected between I0 and Ix , step 1209 makes the computation from the step 1204 repeated with one of the unselected pairs of consecutive locations; otherwise, the computation of travel time assignment ends.
Before all the steps of the travel time estimation 309 are performed for the time interval selected in the step 1201, the accumulated probabilistic travel times assigned to a traffic link are stored as one of the travel time data sets 310 in step 1210, if all the sequences used for travel time assignment internally cover this traffic link. The travel time included in this data set is calculated as follows:
Figure imgf000038_0001
where 1[A] is an index function, which is equal to one when statement A is true, and zero when it is false.
Furthermore, by using the results of the calculations provided in this algorithm, it is also possible to estimate a travel completion time defined as the time when a traffic probe finishes traversing a traffic link. This time also means the time when this traffic probe enters the consecutive traffic link. In any case, a travel completion time may be associated with one of the travel time data sets 310. As the exact times corresponding to estimates of true locations and the travel times for the traffic links between consecutive estimates of true locations are already available, the travel completion time for a traffic link included in the full trajectory data 308 can be given by the sum of the time of a past estimate of true location and the travel times for part of the full trajectory connecting this past estimate of true location and the exiting location of this traffic link. When the time of a past estimate of true location is set to hj0 , and the exiting part of traffic link l{na, nb) is initially and internally contained in rk l j on the full trajectory, this part of the full trajectory is given by
Figure imgf000038_0002
If there is no combination of / and J that satisfies the conditions given in definition (63), this part of the full trajectory is defined as an empty set φ . The travel completion time for this traffic link can be calculated by using definition (63) as follows:
h(l(na> nb))=\ [rk( mk , nb)≠φ] (64)
I=I0 ZeZ1 1[I0J1) j=0 The preferred embodiment described here is illustrative and not restrictive. The scope of this invention is indicated by the appended claims, and all variations which come within the meaning of the claims are intended to be embraced therein.
As mentioned in the description, a traffic probe refers to any type of vehicle, carriage, and traveler moving on a real road network, such as a pedestrian, a private vehicle, a public transit vehicle, a fleet vehicle, and the like. A mobile station refers to any type of device that can physically move with a traffic probe, measure a geographical location thereof, and communicate with another device physically separated, such as a cellular phone, a mobile terminal implementing a GPS, an electronic tag, and the like. Another equivalent system may be possible by physically separating or integrating part of the individual components of the described system, or by modifying the number of components included in the described system.
With regard to the described method, many of the details can be replaced with alternative ones. For example, the process of trajectory estimation is formulated as a minimization problem, but this approach is not indispensable in obtaining the estimates of true locations and true routes. Another formulation by minimizing or maximizing an alternative objective function or some other types of optimization problem may also be possible. The point is to fuse both the location measurements and the feasible trajectories through quantification so that the feasible trajectories can be objectively ranked and that the most likely trajectory can be selected. The definitions of free flow travel time and transition time can be replaced with values obtained from the road network data, from the traffic management system, or from a combination thereof, as long as the former and the latter are specific to each traffic link and each pair of traffic links respectively. The formulae including the rules of contradiction applied to a provisional trajectory and the stopping likelihood function are changeable in accordance with the characteristics of traffic probe and mobile station. Another equivalent algorithm achieving the same functionality as one of the described algorithms may be possible by altering the order of computations.

Claims

1. A system for estimating travel times experienced by a traffic probe at the level of traffic link by estimating true locations and true routes of said traffic probe on a represented road network associated with a real road network comprising:
a location referencing system including a mobile station equipped with a radio communication unit, locating equipment using said radio communication unit and intermittently measuring a location of said mobile station, and a location transmitter connected to said locating equipment by communications link and intermittently sending a location data set associated with said measured location to outside of said location referencing system;
a location receiver connected to said location transmitter by communications link and receiving said location data set;
a location memory additively storing said location data set;
a map storage storing road network data representing said real road network by a set of traffic nodes and a set of traffic links, defining a set of locations regarded as said represented road network, and including a set of records of traffic nodes each of which is associated with a latitude and a longitude of the earth for one of said traffic nodes, and a set of records of traffic links each of which is associated with a connection between two of said traffic nodes and is associated with a free flow travel time allowed for said traffic probe;
a parameter memory storing a set of parameters used for estimating said true locations and said true route and said travel times;
a trajectory processor equipped with an arithmetic logic unit, processing a primary data set, determining a most likely trajectory by forming a set of feasible trajectories, and generating a provisional trajectory; a trajectory working memory storing temporary data used for said trajectory processor to estimate said most likely trajectory and to generate said provisional trajectory;
a trajectory memory retaining full trajectory data by storing part of said provisional trajectory;
a travel time processor equipped with an arithmetic logic unit, processing a secondary data set including part of the location data sets stored in said location memory, part of said road network data, and part of said full trajectory data, and determining a set of estimated travel times each of which is associated with one of the traffic links extracted from said part of full trajectory data, and providing travel time data sets each of which represents one of said estimated travel times;
a travel time working memory storing temporary data used for said travel time processor to determine said estimated travel times;
a travel time memory storing said travel time data sets;
a travel time transmitter sending part of said stored travel time data sets;
a system controller which assigns a connection by communications link to a combination of said location receiver, said location memory, said map storage, said parameter memory, said trajectory processor, said trajectory working memory, said trajectory memory, said travel time processor, said travel time working memory, said travel time memory, and said travel time transmitter, determined by demand of data flow for said combination; and
a traffic management system including a travel time receiver connected to said travel time transmitter by communications link and receiving said part of stored travel time data sets.
2. The system according to claim 1, wherein said location data set includes a location record of said mobile station associated with a latitude and a longitude of the earth, and a time record associated with said measured location.
3. The system according to claim 1, wherein said primary data set includes part of the location data sets stored in said location memory, part of said road network data, and part of said full trajectory data.
4. The system according to claim 1, wherein each of said feasible trajectories includes a sequence of candidate locations on said represented road network each of which is associated with one of the location data sets stored in said location memory, and a sequence of candidate routes each of which connects two consecutive locations from within said candidate locations by a sequence of part of said traffic links, minimizing a total travel time given by a combination of free flow travel times associated with said part of traffic links and transition times each of which is associated with a connection between two consecutive traffic links from within said part of traffic links.
5. The system according to claim 1, wherein said most likely trajectory is determined by referring to a set of objective values each of which is assigned to one of said feasible trajectories by an implemented mathematical formula synthesizing part of said parameters and a set of values including a set of location errors and the total travel time derived from said one of feasible trajectories.
6. The system according to claim 1, wherein said provisional trajectory includes part of said most likely trajectory, and is examined by a set of implemented mathematical formulae and part of said parameters to determine the consistency thereof.
7. The system according to claim 1, wherein said estimated travel times are determined by synthesizing a set of possible behavior scenarios for said traffic probe differentiated by a combination of stopping locations, stopping times, and magnitudes of traffic congestion conditioned on said secondary data set, and part of said parameters defining the ambiguity of the measured locations extracted from said part of the location data sets.
8. A method for estimating true locations and true routes of a traffic probe on a represented road network associated with a real road network, including a set of traffic nodes and a set of traffic links registered in a map storage, and defining a set of locations regarded as said represented road network, and for estimating true travel times experienced by said traffic probe at the level of traffic link comprising the steps of:
intermittently generating a location data set including a location record of a mobile station associated with a latitude and a longitude of the earth and a time record associated with said location record in a location referencing system;
additively storing said location data set into a location memory;
generating a most likely trajectory for said mobile station;
retaining full trajectory data in a trajectory memory;
generating travel time data sets each of which is associated with one of said registered traffic links;
storing said travel time data sets into a travel time memory; and
receiving part of said stored travel time data sets in a traffic management system.
9. The method according to claim 8, wherein said step of generating a most likely trajectory includes the steps of
determining a sequence of candidate locations on said represented road network corresponding to part of the location data sets stored in said location memory, determining a sequence of candidate routes each of which connects two consecutive locations from within said candidate locations, associated with a total travel time minimized for said sequence of candidate locations given by a combination of free flow travel times each of which is associated with one of said registered traffic links and transition times each of which is associated with a connection between two traffic links from within said registered traffic links,
forming a feasible trajectory including said sequence of candidate locations and said sequence of candidate routes,
assigning an objective value to said feasible trajectory, and
selecting said most likely trajectory from the feasible trajectories derived from said part of the location data sets by referring to the objective values assigned thereto.
10. The method according to claim 9, wherein said objective value is given by an implemented mathematical formula synthesizing a set of parameters and a set of values including a set of location errors associated with said sequence of candidate locations and said total travel time.'
11. The method according to claim 8, wherein said step of retaining said full trajectory data includes the steps of
extracting a first sequence of locations and routes from said most likely trajectory,
extracting a second sequence of locations and routes from part of previous full trajectory data stored in said trajectory memory,
forming a provisional trajectory by connecting said first sequence of locations and routes and said second sequence of locations and routes,
deteπriining the consistency of said provisional trajectory by examining said provisional trajectory with a set of implemented mathematical formulae and a set of parameters, and storing part of said provisional trajectory into said trajectory memory.
12. The method according to claim 8, wherein said step of generating travel time data sets includes the steps of
determining a sequence of likely locations of said mobile station on said represented road network corresponding to a sequence of the locations extracted from part of the location data sets stored in said location memory, in accordance with a set of restrictions determined by a set of parameters defining the ambiguity of said extracted locations,
determining a sequence of likely routes of said mobile station each of which is part of a sequence of the routes extracted from part of said full trajectory data, connects two consecutive locations from within said likely locations, and includes part of said registered traffic links,
determining a set of possible behavior scenarios for part of said sequence of likely routes each of which is differentiated by a combination of stopping locations, stopping times, and magnitudes of traffic congestion,
assigning a probabilistic travel time to each of the traffic links included in said part of sequence of likely routes in accordance with each of said possible behavior scenarios,
composing a travel time by aggregating the probabilistic travel times assigned to the same traffic link from within the traffic links extracted from said part of full trajectory data, and
generating a travel time data set representing said composed travel time.
PCT/CA2005/0007852005-05-252005-05-25System and method for estimating travel times of a traffic probeWO2006125291A1 (en)

Priority Applications (1)

Application NumberPriority DateFiling DateTitle
PCT/CA2005/000785WO2006125291A1 (en)2005-05-252005-05-25System and method for estimating travel times of a traffic probe

Applications Claiming Priority (1)

Application NumberPriority DateFiling DateTitle
PCT/CA2005/000785WO2006125291A1 (en)2005-05-252005-05-25System and method for estimating travel times of a traffic probe

Publications (2)

Publication NumberPublication Date
WO2006125291A1true WO2006125291A1 (en)2006-11-30
WO2006125291A9 WO2006125291A9 (en)2007-01-04

Family

ID=37451590

Family Applications (1)

Application NumberTitlePriority DateFiling Date
PCT/CA2005/000785WO2006125291A1 (en)2005-05-252005-05-25System and method for estimating travel times of a traffic probe

Country Status (1)

CountryLink
WO (1)WO2006125291A1 (en)

Cited By (13)

* Cited by examiner, † Cited by third party
Publication numberPriority datePublication dateAssigneeTitle
EP1804223A3 (en)*2005-12-262008-11-26Aisin AW Co., Ltd.A travel link identification system
CN101477748B (en)*2009-01-192011-07-06北京捷易联科技有限公司Traffic condition management method and system
EP2338028A4 (en)*2008-10-062012-11-14Telecomm Systems IncProbabilistic reverse geocoding
US8428869B2 (en)2008-04-072013-04-23Telecommunication Systems, Inc.Context enabled address selection
US8594627B2 (en)2008-10-062013-11-26Telecommunications Systems, Inc.Remotely provisioned wirelessly proxy
US9041744B2 (en)2005-07-142015-05-26Telecommunication Systems, Inc.Tiled map display on a wireless device
CN107479557A (en)*2017-09-182017-12-15首都师范大学Paths planning method and device
TWI681372B (en)*2018-11-082020-01-01中華電信股份有限公司Detection system and detection method of traffic probe devices
CN111033591A (en)*2017-09-142020-04-17宝马股份公司Method for determining the course of a road lane of a road network and server device for carrying out the method
CN113628446A (en)*2021-09-072021-11-09重庆交通大学 A method and system for collecting and analyzing traffic information based on the Internet of Things
CN114743406A (en)*2022-03-112022-07-12中国电子科技集团公司第五十四研究所 A Ship Trajectory De-entanglement Method
CN116403410A (en)*2023-06-062023-07-07中南大学Highway mixed path induction model construction method considering congestion traffic sources
CN117334051A (en)*2023-10-262024-01-02江苏中路交通发展有限公司Highway vehicle track reconstruction method and system

Families Citing this family (2)

* Cited by examiner, † Cited by third party
Publication numberPriority datePublication dateAssigneeTitle
US8862710B2 (en)2007-09-112014-10-14Telecommunication Systems, Inc.Dynamic configuration of mobile station location services
US9200913B2 (en)2008-10-072015-12-01Telecommunication Systems, Inc.User interface for predictive traffic

Citations (8)

* Cited by examiner, † Cited by third party
Publication numberPriority datePublication dateAssigneeTitle
US6028553A (en)*1996-06-132000-02-22Siemens AktiengesellschaftMethod for dynamic route recommendation
WO2000031705A2 (en)*1998-11-232000-06-02Brook LangInstantaneous traffic monitoring system
US6480783B1 (en)*2000-03-172002-11-12Makor Issues And Rights Ltd.Real time vehicle guidance and forecasting system under traffic jam conditions
US20030009277A1 (en)*2001-07-032003-01-09Fan Rodric C.Using location data to determine traffic information
US6615130B2 (en)*2000-03-172003-09-02Makor Issues And Rights Ltd.Real time vehicle guidance and traffic forecasting system
US20040225437A1 (en)*2003-02-052004-11-11Yoshinori EndoRoute search method and traffic information display method for a navigation device
US20040249568A1 (en)*2003-04-112004-12-09Yoshinori EndoTravel time calculating method and traffic information display method for a navigation device
JP2005030873A (en)*2003-07-102005-02-03Aisin Aw Co LtdNavigation apparatus and navigation system equipped with same

Patent Citations (8)

* Cited by examiner, † Cited by third party
Publication numberPriority datePublication dateAssigneeTitle
US6028553A (en)*1996-06-132000-02-22Siemens AktiengesellschaftMethod for dynamic route recommendation
WO2000031705A2 (en)*1998-11-232000-06-02Brook LangInstantaneous traffic monitoring system
US6480783B1 (en)*2000-03-172002-11-12Makor Issues And Rights Ltd.Real time vehicle guidance and forecasting system under traffic jam conditions
US6615130B2 (en)*2000-03-172003-09-02Makor Issues And Rights Ltd.Real time vehicle guidance and traffic forecasting system
US20030009277A1 (en)*2001-07-032003-01-09Fan Rodric C.Using location data to determine traffic information
US20040225437A1 (en)*2003-02-052004-11-11Yoshinori EndoRoute search method and traffic information display method for a navigation device
US20040249568A1 (en)*2003-04-112004-12-09Yoshinori EndoTravel time calculating method and traffic information display method for a navigation device
JP2005030873A (en)*2003-07-102005-02-03Aisin Aw Co LtdNavigation apparatus and navigation system equipped with same

Cited By (21)

* Cited by examiner, † Cited by third party
Publication numberPriority datePublication dateAssigneeTitle
US9041744B2 (en)2005-07-142015-05-26Telecommunication Systems, Inc.Tiled map display on a wireless device
US9367566B2 (en)2005-07-142016-06-14Telecommunication Systems, Inc.Tiled map display on a wireless device
US7788029B2 (en)2005-12-262010-08-31Aisin Aw Co., Ltd.Traveled link identifying systems, methods, and programs
EP1804223A3 (en)*2005-12-262008-11-26Aisin AW Co., Ltd.A travel link identification system
US8428869B2 (en)2008-04-072013-04-23Telecommunication Systems, Inc.Context enabled address selection
EP2338028A4 (en)*2008-10-062012-11-14Telecomm Systems IncProbabilistic reverse geocoding
US8396658B2 (en)2008-10-062013-03-12Telecommunication Systems, Inc.Probabilistic reverse geocoding
US8594627B2 (en)2008-10-062013-11-26Telecommunications Systems, Inc.Remotely provisioned wirelessly proxy
US8712408B2 (en)2008-10-062014-04-29Telecommunication Systems, Inc.Remotely provisioned wireless proxy
CN101477748B (en)*2009-01-192011-07-06北京捷易联科技有限公司Traffic condition management method and system
CN111033591A (en)*2017-09-142020-04-17宝马股份公司Method for determining the course of a road lane of a road network and server device for carrying out the method
CN107479557A (en)*2017-09-182017-12-15首都师范大学Paths planning method and device
CN107479557B (en)*2017-09-182020-08-07首都师范大学 Path planning method and device
TWI681372B (en)*2018-11-082020-01-01中華電信股份有限公司Detection system and detection method of traffic probe devices
CN113628446A (en)*2021-09-072021-11-09重庆交通大学 A method and system for collecting and analyzing traffic information based on the Internet of Things
CN113628446B (en)*2021-09-072022-03-15重庆交通大学Traffic information acquisition and analysis method and system based on Internet of things
CN114743406A (en)*2022-03-112022-07-12中国电子科技集团公司第五十四研究所 A Ship Trajectory De-entanglement Method
CN116403410A (en)*2023-06-062023-07-07中南大学Highway mixed path induction model construction method considering congestion traffic sources
CN116403410B (en)*2023-06-062023-08-22中南大学Highway mixed path induction model construction method considering congestion traffic sources
CN117334051A (en)*2023-10-262024-01-02江苏中路交通发展有限公司Highway vehicle track reconstruction method and system
CN117334051B (en)*2023-10-262024-05-10江苏中路交通发展有限公司Highway vehicle track reconstruction method and system

Also Published As

Publication numberPublication date
WO2006125291A9 (en)2007-01-04

Similar Documents

PublicationPublication DateTitle
US10984652B2 (en)Method and system for modeling and processing vehicular traffic data and information and applying thereof
Jeung et al.Path prediction and predictive range querying in road network databases
CN103119470B (en)Carry out the system and method for the position-based service of indoor navigation
WO2006125291A1 (en)System and method for estimating travel times of a traffic probe
CN111712862B (en)Method and system for generating traffic volume or traffic density data
EP2203717B1 (en)A method of processing positioning data
CN100555355C (en)The method and system that the passage rate of road traffic calculates and mates
Niehoefer et al.GPS community map generation for enhanced routing methods based on trace-collection by mobile phones
EP2040237A2 (en)Dynamic prediction of traffic congestion by tracing feature-space trajectory of sparse floating-car data
EP1975898A1 (en)Traffic information system
WO2003088189A1 (en)Map matching method, map matching device, database for shape matching, and shape matching device
US6975939B2 (en)Mapping patterns of movement based on the aggregation of spatial information contained in wireless transmissions
EP1177508A2 (en)Apparatus and methods for providing route guidance for vehicles
CN101925939A (en) Method and system for estimating road traffic
KR102386786B1 (en)Method for managing travel route database based on location and server for the method
CN110793531B (en)Road matching method and device and readable storage medium
US20240183677A1 (en)People-flow analysis apparatus, people-flow analysis method, and people-flow analysis system
Liu et al.Themis: A participatory navigation system for balanced traffic routing
KR100515203B1 (en)System and Method for Providing Traffic Information using Node Selection Technique
JP6709715B2 (en) Device, program and method for estimating traffic based on movement start/end information
KR102181755B1 (en)Server, method and computer program for correcting path
NeculaMining GPS data to learn driver's route patterns
AlkhazrajiPredicting Traffic Speed and Recommending Optimal Routes using GPS Data
CN105786958B (en)For exporting and receiving the electronic equipment and method of reference by location
CN105788262B (en)The method and system of estimating road traffic

Legal Events

DateCodeTitleDescription
121Ep: the epo has been informed by wipo that ep was designated in this application
NENPNon-entry into the national phase

Ref country code:DE

WWWWipo information: withdrawn in national office

Country of ref document:DE

NENPNon-entry into the national phase

Ref country code:RU

WWWWipo information: withdrawn in national office

Country of ref document:RU

122Ep: pct application non-entry in european phase

Ref document number:05748654

Country of ref document:EP

Kind code of ref document:A1


[8]ページ先頭

©2009-2025 Movatter.jp