Movatterモバイル変換


[0]ホーム

URL:


WO2006032959A2 - Processes for the preparation of pyrrole derivatives - Google Patents

Processes for the preparation of pyrrole derivatives
Download PDF

Info

Publication number
WO2006032959A2
WO2006032959A2PCT/IB2005/002348IB2005002348WWO2006032959A2WO 2006032959 A2WO2006032959 A2WO 2006032959A2IB 2005002348 WIB2005002348 WIB 2005002348WWO 2006032959 A2WO2006032959 A2WO 2006032959A2
Authority
WO
WIPO (PCT)
Prior art keywords
group
solvent
substituted
lower alkyl
aryl group
Prior art date
Legal status (The legal status is an assumption and is not a legal conclusion. Google has not performed a legal analysis and makes no representation as to the accuracy of the status listed.)
Ceased
Application number
PCT/IB2005/002348
Other languages
French (fr)
Other versions
WO2006032959A3 (en
Inventor
Narendra Shriram Joshi
Shekhar Bhaskar Bhirud
Subhash Vishwanath Damle
Current Assignee (The listed assignees may be inaccurate. Google has not performed a legal analysis and makes no representation or warranty as to the accuracy of the list.)
Glenmark Pharmaceuticals Ltd
Original Assignee
Glenmark Pharmaceuticals Ltd
Priority date (The priority date is an assumption and is not a legal conclusion. Google has not performed a legal analysis and makes no representation as to the accuracy of the date listed.)
Filing date
Publication date
Application filed by Glenmark Pharmaceuticals LtdfiledCriticalGlenmark Pharmaceuticals Ltd
Publication of WO2006032959A2publicationCriticalpatent/WO2006032959A2/en
Anticipated expirationlegal-statusCritical
Publication of WO2006032959A3publicationCriticalpatent/WO2006032959A3/en
Ceasedlegal-statusCriticalCurrent

Links

Classifications

Definitions

Landscapes

Abstract

A process for the preparation of a pyrrole derivative or a racemic mixture, an enantiomer, a diastereoisomer, a mixture thereof, a tautomer thereof, or a pharmaceutically acceptable salt thereof comprising reacting an amino compound of the general formula (I), wherein each R is independently hydrogen or a hydrolyzable protecting group, or each R, together with the oxygen atom to which each is bonded, form a hydrolyzable cyclic protecting group, or each R is bonded to the same substituent which is bonded to each oxygen atom to form a hydrolyzable protecting group and R1 is hydrogen, a lower alkyl or a cation capable of forming a non-toxic pharmaceutically acceptable salt, with a di-oxo compound of the general formula (II), wherein R2 is 1-naphthyl, 2-naphthyl, a C3-C25 cycloalkyl group, norbornenyl, a substituted or unsubstituted aryl group, benzyl, 2-, 3-, or 4-pyridinyl, or 2-, 3-, 4-pyridinyl-N-oxide, R3 and R4 are independently hydrogen, a lower alkyl, a C3-C25 cycloalkyl group, a substituted or unsubstituted aryl group, cyano, trifluoromethyl, or -CONR6R7 wherein R6 and R7 are independently hydrogen, a lower alkyl or a substituted or unsubstituted aryl group and R5 is a lower alkyl, a C3-C25 cycloalkyl or trifluoromethyl; in the presence of a catalyst and in at least one solvent. Also disclosed is a process for hydrolyzing the pyrrole derivative to provide, for example, atorvastatin or pharmaceutically acceptable salts thereof.

Description

PROCESSES FOR THE PREPARATION OF PYRROLE DERIVATIVES
PRIORITY
[0001] This application claims the benefit under 35 U.S.C. §119 to Provisional
Application No. 60/599,382, filed August 6, 2004 and entitled "PROCESS FOR THE PREPARATION OF ATORVASTATIN", and from Provisional Application No. 60/599,383, filed August 6, 2004 and entitled "PROCESS FOR THE PREPARATION OF INTERMEDIATES OF ATORVASTATIN", the contents of which are incorporated by reference herein.
BACKGROUND OF THE INVENTION
1. Technical Field
[0002] The present invention generally relates to improved processes for the preparation of a pyrrole derivative or a racemic mixture, an enantiomer, a diastereoisomer, a mixture thereof, a tautomer thereof or a pharmaceutically acceptable salt thereof and intermediates thereof.
2. Description of the Related Art
[0003] The present invention is directed to improved processes for the preparation of pyrrole derivatives such as atorvastatin (also known as [R-(R* ,R*]-2-(4-fluorophenyl)- β, d-dihydroxy-5-(l-methylethyl)-3-phenyl-4-[(phenylamino)carbonyl]-lH-pyrrole-l- heptanoic acid) of Formula I:
Figure imgf000002_0001
Generally, atorvastatin is a synthetic lipid-lowering agent that acts as an inhibitor of 3- hydroxy-3-methylglutaryl-coenzyme A (HMG-CoA) reductase (HMG-CoA Reductase inhibitor). This enzyme catalyzes the conversion of HMG-CoA to mevalonate, an early and rate-limiting step in cholesterol biosynthesis. HMG-CoA reductase inhibitors are commonly referred to as "statins." Statins are therapeutically effective drugs used for reducing low density lipoprotein (LDL) particle concentration in the blood stream of patients at risk for cardiovascular disease. Atorvastatin is indicated for use for reducing elevated total cholesterol (total-C), low-density lipoprotein cholesterol (LDL-C), apolipoprotein B (Apo B), and high plasma triglycerides (TG) in patients with primary hypercholesterolemia (heterozygous familial and nonfamilial) and mixed hyperlipidemia (Fredrickson types Ha and lib). Atorvastatin calcium (calcium salt (2:1) trihydrate) is sold under the trade name LIPITOR®.
[0004] U.S. Patent No. 5,003,080 ("the '080 patent"), herein incorporated by reference, discloses a process for preparing atorvastatin. The process includes producing a key intermediate (4R-cis)-6-[2-[3-[phenyl-4-(phenylcarbamoyl)-2-(4-fluorophenyl)-5-(l- methylethyl)-pyrrol- 1 -yl]-ethyl]-2,2-dimethyl-[l ,3]-dioxane-4-yl-acetic acid-t-butyl ester of Formula IV by reacting (4R-cis)-l,l-dimethylethyl-6-(2-aminoethyl)-2,2-dimethyl-l,3- dioxane-4-acetate of Formula II with 2-[l-phenyl-2-(4-fiuorphenyl)-2-oxoethyl]-4-methyl- N-methyl-N-phenyl-3-oxo pentamide of Formula III in a 9:1 mixture of heptane and toluene under reflux for 24 hours as set forth below in Scheme I:
24h
Figure imgf000003_0001
(IV) [0005] The deprotection of the acetal intermediate of Formula IV to produce atorvastatin is disclosed in, for example, Tetrahdron Letters, Vol. 33, No. 17, pp. 2283- 2284 (1992), U.S. Patent No. 5,149,837 and WO 01/72706.
SUMMARY OF THE INVENTION
[0006] In accordance with one embodiment of the present invention, a process for the preparation of a pyrrole derivative or a racemic mixture, an enantiomer, a diastereoisomer, a mixture thereof, a tautomer thereof, or a pharmaceutically acceptable salt thereof is provided comprising reacting an amino compound of the general formula
Figure imgf000004_0001
wherein each R is independently hydrogen or a hydrolyzable protecting group, or each R, together with the oxygen atom to which each is bonded, form a hydrolyzable cyclic protecting group, or each R is bonded to the same substituent which is bonded to each oxygen atom to form a hydrolyzable protecting group and R1 is hydrogen, a lower alkyl or a cation capable of forming a non-toxic pharmaceutically acceptable salt, with a di-oxo compound of the general formula
R4 R3
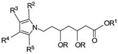
wherein R2 is 1-naphthyl, 2-naphthyl, C3-C25 cycloalkyl group, norbornenyl, a substituted or unsubstituted aryl group, benzyl, 2-, 3-, or 4-pyridinyl, or 2-, 3-, or 4-pyridinyl-N-oxide, R3 and R4 are independently hydrogen, a lower alkyl, a C3-C2S cycloalkyl group, a substituted or unsubstituted aryl group, cyano, trifluoromethyl, or -CONR6R7 wherein R6 and R7 are independently hydrogen, a lower alkyl or a substituted or unsubstituted aryl group and R5 is a lower alkyl, a C3-C25 cycloalkyl or trifluoromethyl, in the presence of a catalyst and in at least one solvent. [0007] In a second embodiment of the present invention, a process for the preparation of a pyrrole derivative is provided comprising the step of hydrolyzing a pyrrole derivative of the general formula
Figure imgf000005_0001
wherein R, R1, R2, R3, R4, and R5 have the aforestated meanings or a racemic mixture, an enantiomer, a diastereoisomer, a mixture thereof, a tautomer thereof, or a pharmaceutically acceptable salt thereof with at least one ion-exchange resin in at least one solvent to provide a pyrrole derivative of the general formula
Figure imgf000005_0002
[0008] The advantage of the present invention includes at least:
1. A less time consuming process for the transformation of (4R-cis)-6-[2- [3[phenyl-4-(phenylcarbamoyl)-2-(4-fluorophenyl)-5-(l-methylethyl)-pyrrol-l-yl]-ethyl]- 2,2-dimethyl-[l,3]-dioxane~4-yl-acetic acid-t-butyl ester to atorvastatin.
2. Easy removal of atorvastatin from the transformation catalyst.
3. The catalyst is recyclable which reduces costs.
DEFINITIONS
[0009] Representative lower alkyls include, but are not limited to, straight or branched Ci to C8 alkyls such as, for example, methyl, ethyl, n-propyl, isopropyl, n-butyl, isobutyl, sec-butyl, tert-butyl, n-pentyl, isopentyl, neopentyl, tert-pentyl, n-hexyl, and isohexyl, tert-amyl, n-heptyl, n-octyl and the like. The lower alkyls may be substituted with 1 to 3 substituents such as a halogen, amino, and cyano. Suitable halogens include, but are not limited to, fluorine, chlorine, bromine, iodine and the like. [00010] Representative aryl groups include, but are not limited to, C6 to Ci2 aromatic group such as, for example, phenyl, tolyl, xylyl, biphenyl, naphthyl, and the like.
The aryl groups may be substituted with 1 to 3 substituents such as lower alkyls, halogens, hydroxyl groups, trifluoromethyl, alkoxy groups, or alkanoyloxy groups, amino groups, cyano groups and the like. A preferred aryl group is phenyl substituted with 1 to 3 halogens.
[00011] Representative aralkyl groups include, but are not limited to, Ci to C6 lower alkyls substituted with C6 to C12 aryl groups as defined above. Examples include benzyl, phenethyl, phenylpropyl and the like, each of which may be substituted with 1 to 3 substituents such as lower alkyls, halogens, amino, cyano, and the like.
[00012] Representative cycloalkyl groups include, but are not limited to, three to twenty five-membered saturated hydrocarbon rings such as, for example, cyclopropyl, cyclobutyl, cyclopentyl, cyclohexyl, and the like.
[00013] Representative alkoxy groups include O-alkyl in which the alkyl group is as defined above.
[00014] Representative alkanoyloxy groups include an alkyl group, as defined above, attached to a carbonyl group and thence, through an oxygen atom, to the parent molecular residue.
[00015] Norbornenyl is a group derived by the removal of a hydrogen atom (other than at a bridgehead carbon atom) from bicyclo[2.2.1]hept-2-ene.
[00016] Representative halogens include, but are not limited to, fluorine, iodine, bromine, chlorine and the like.
[00017] The term "a cation capable of forming a non-toxic pharmaceutically acceptable salt" refers to alkali metal ions, alkaline earth metal ions, ammonium ions and the like. Examples of alkali metals include lithium, sodium, potassium, and cesium.
Examples of alkaline earth metals include, but are not limited to, beryllium, magnesium, and calcium. Preferred cations are sodium and calcium.
[00018] The hydrolyzable protecting groups used are preferably hydrolyzable under acidic or basic conditions. Examples of hydrolyzable protecting groups include, for example, silyl groups such as trialkylsilyl, e.g., t-butyl-dimethylsilyl, and alkyldiarylsilyl and cyclic protecting groups such that each R form, for example, a dioxane. In one embodiment, the hydrolyzable protecting group is wherein each R is bonded to the same substituent which is bonded to each oxygen atom to form a hydrolyzable protecting group, e.g.,
Figure imgf000007_0001
wherein each R is a lower alkyl as defined above.
DETAILED DESCRIPTION OF THE PREFERRED EMBODIMENTS [00019] One aspect of the present invention provides an improved process for the preparation of pyrrole derivatives or a racemic mixture, an enantiomer, a diastereoisomer, a mixture thereof, a tautomer thereof, or a pharmaceutically acceptable salt thereof of the general formula
Figure imgf000007_0002
wherein each R is independently hydrogen or a hydrolyzable protecting group, or each R, together with the oxygen atom to which each is bonded, form a hydrolyzable cyclic protecting group, or each R is bonded to the same substituent which is bonded to each oxygen atom to form a hydrolyzable protecting group and R1 is hydrogen, a lower alkyl or a cation capable of forming a non-toxic pharmaceutically acceptable salt, R2 is 1-naphthyl, 2-naphthyl, C3-C25 cycloalkyl group, norbornenyl, a substituted or unsubstituted aryl group, benzyl, 2-, 3-, or 4-pyridinyl, or 2-, 3-, or 4-pyridinyl-N-oxide, R3 and R4 are independently hydrogen, a lower alkyl, a C3-C25 cycloalkyl group, a substituted or unsubstituted aryl group, cyano, trifluoromethyl, or -CONR6R7 wherein R6 and R7 are independently hydrogen, a lower alkyl or a substituted or unsubstituted aryl group and R5 is a lower alkyl, a C3-C25 cycloalkyl or trifluoromethyl. All stereoisomers of the compounds prepared by the process of the present invention are contemplated, either in admixture or in pure or in substantially pure form. The compounds can have asymmetric centers at any of the carbon atoms. Consequently, the compounds prepared herein can exist in enantiomeric or diastereoisomeric forms or in mixtures thereof. When enantiomeric or diastereoisomeric products are prepared, they can be separated by conventional techniques, e.g., chromatographic or fractional crystallization. [00020] In accordance with one embodiment of the present invention, a process for the preparation of a pyrrole derivative or a racemic mixture, an enantiomer, a diastereoisomer, a mixture thereof, a tautomer thereof, or a pharmaceutically acceptable salt thereof includes at least reacting an amino compound of the general formula
Figure imgf000008_0001
wherein R and R1 have the aforestated meanings with a di-oxo compound of the general formula
R4 R3
wherein R2, R3, R4 and R5 have thRe afore Vstated meaniRng2s in the presence of a catalyst and in at least one solvent. Amino compounds discloses above are known and can be made by techniques known in the art. See, e.g., U.S. Patent Application Publication No. 2004/0242916. Also, di-oxo compounds disclosed above are known and can be made by techniques known in the art. See, e.g., U.S. Patent No. 5,003,080. [00021] Useful catalysts in the process of the present invention include, but are not limited to, aliphatic carboxylic acids, cycloaliphatic carboxylic acids, aromatic carboxylic acids and the like and mixtures thereof. Suitable aliphatic carboxylic acids include those having from 2 to 18 carbon atoms such as, for example, propionic acid, butyric acid, n- heptanoic acid, 2, 2-dimethylbutanoic acid and the like and mixtures thereof. Suitable cycloaliphatic carboxylic acids include those having from 7 to 15 carbon atoms, e.g., cyclohexanoic acid. Suitable aromatic carboxylic acids include those having from 7 to 15 carbon atoms, e.g., benzoic acid. In one embodiment, the catalysts are n-heptanoic acid and/or 2, 2-dimethylbutanoic acid. [00022] Useful solvents may be an organic solvent or a mixture of organic solvents.
Suitable organic solvents include, but are not limited to, aliphatic hydrocarbons, e.g., heptane, aromatic hydrocarbons, e.g., xylene or toluene, ethers such as cyclic ethers, e.g., tetrahydrofuran, and the like and mixtures thereof. The solvent will ordinarily be present in about 17 to about 19 volumes as a mixture with respect to the amino compound. In another embodiment, a mixture of at least one aliphatic hydrocarbon solvent, and at leat one cyclic ether solvent and at least one aromatic hydrocarbon solvent may be present in a ratio of from about 10:4:3 to about 15:5:3 and preferably about 10:5:2.2 of aliphatic hydrocarbon:cyclic etheπaromatic hydrocarbon. In another embodiment of the present invention, the solvent mixture can be a 10:5:2.2 mixture of heptane:tetrahydrofuran:toluene.
[00023] The reaction of the amino compound with the di-oxo compound can be carried out at a temperature ranging from about 600C to about 1050C, and preferably at a temperature of about 1000C. The reaction time can range from about 7 hours to about 15 hours, and preferably about 8 hours. Generally, the amino compound is present in a stoichiometric amount sufficient to couple with the di-oxo compound and form a pyrrole derivative, e.g., in an amount ranging from about 1.0 to about 1.05 equivalents with respect to the di-oxo compound.
[00024] In a preferred embodiment, a process of the present invention involves reacting (4R-cis)- 1 , 1 -dimethylethyl-6-(2-aminoethyl)-2,2-dimethyl- 1 ,3 -dioxane-4-acetate of Formula II with 2-[l-phenyl-2-(4-fluorphenyl)-2-oxoethyl]-4-methyl-N-methyl-N- phenyl-3-oxo pentamide of Formula III in a solvent with a catalyst to produce the intermediate (4R-cis)-6-[2-[3-phenyl-4-(phenylcarbamoyl)-2-(4-fluorophenyl)-5-(l- methylethyl)-pyrrol-l-yl]-ethyl]-2,2-dimethyl-[l,3]-dioxane-4-yl-acetic acid-t-butyl ester of Formula IV as generally shown below in Scheme II:
Scheme II n-heptanoic acid heptane:tetrahydrofiιran:toluene (10:5:2.2), reflux, 8h
Figure imgf000010_0001
Figure imgf000010_0002
[00025] Following the formation of the pyrrole derivative, the pyrrole derivative can be hydrolyzed to obtain the hydrolyzed pyrrole derivatives herein such as, for example, an intermediate of atorvastatin salt, of the general formula
Figure imgf000010_0003
wherein R, R1, R2, R3, R4 and R5 have the aforestated meanings; or a racemic mixture, an enantiomer, a diastereoisomer, a mixture thereof, a tautomer thereof, or a pharmaceutically acceptable salt thereof. In one embodiment, the pyrrole derivative can be hydrolyzed using at least one ion-exchange resin in at least one solvent. Useful ion-exchange resins include, but are not limited to, cation-exchange resin, anion-exchange resin, and the like mixtures thereof. Examples of such ion-exchange resins include Amberlite® IRA 120, Amberlyst® 15, Indion 525 (Ankleshwar, Gujarat, India) and the like and mixtures thereof. The ion-exchange resin is ordinarily present in an amount ranging from about 0.8 to about 1.0 w/w. [00026] Useful solvents may be an organic solvent or a mixture of organic solvents.
Suitable organic solvents include, but are not limited to, nitriles, e.g., acetonitrile (ACN), cyclic ethers, e.g., tetrahydrofuran (THF), lower alcohols, e.g., methanol, ethanol and isopropanol, and the like and mixtures thereof. In one embodiment of the process of the present invention, ACN can be used. The step of hydrolyzing may be performed at a temperature ranging from about 25°C to about 300C for a time period ordinarily ranging from about 2 to about 5 hours, and preferably about 3 hours.
[00027] In one embodiment, a process of the present involves producing atorvastatin. By the transformation of the intermediate (4R-cis)-6-[2-[3-[phenyl-4- (phenylcarbamoyl)-2-(4-fluorophenyl)-5-(l-methylethyl)-pyrrol-l-yl]-ethyl]-2,2-dimethyl- [l,3]-dioxane-4-yl-acetic acid-t-butyl ester of Formula IV using at least one of the foregoing ion-exchange resin in at least one solvent to form atorvastatin of Formula V as generally shown below in Scheme III:
Scheme III
Indion 525, ACN
Figure imgf000011_0001
(IV)
Figure imgf000011_0002
(V) [00028] After the completion of the hydrolysis, the hydrolyzed pyrrole derivative can be cooled and then filtered off, e.g., by crystallization. The crude solid obtained can be purified in substantially pure form, e.g., a purity greater than about 90%, preferably greater than about 95% and most preferably greater than about 99%. [00029] As one skilled in the art will readily appreciate, the hydrolyzed pyrrole derivative can then be converted to a pharmaceutically acceptable salt such as a sodium or calcium salt, e.g., atorvastatin salt, using techniques known in the art. For example, the hydrolyzed pyrrole derivative can be converted to a salt using IN sodium hydroxide solution at room temperature for about 4 to about 5 hours in a suitable solvent medium such as an alcohol solvent, e.g., methanol, ethanol, or isopropanol, or in a mixture of an alcohol, e.g., isopropanol, and tetrahydrofuran, in such a manner that there is substantially no free alkali present in the reaction mixture and the sodium salt formation is complete. After stripping the solvent carefully under high vacuum at room temperature, an ether-type solvent, e.g., a dialkyl ether such as diisopropyl ether, can be added and stirred to crystallize out the sodium salt. The sodium salt can be filtered off under totally anhydrous conditions in a dehumidified area and washed with the same or a different solvent to remove slight excess of the ester present.
[00030] The following examples are provided to enable one skilled in the art to practice the invention and are merely illustrative of the invention. The examples should not be read as limiting the scope of the invention as defined in the claims.
EXAMPLE 1
[00031] Preparation of (4R-cis)-6-[2-[3-[phenyl-4-(phenylcarbamoyl)-2-(4- fluorophenyl)-5 -(I -methylethyl)-pyrrol- 1 -yl] -ethyl] -2,2-dimethyl- [ 1 ,3] -dioxane-4-yl- acetic acid-t-butyl-ester
[00032] (4R-cis)- 1 , 1 -dimethylethyl-6-(2-aminoethyl)-2,2-dimethyl- 1 ,3-dioxane-4- acetate (5.0 g), 2-[l-phenyl-2-(4-fluoro phenyl)-2-oxo ethyl] -4-methyl-N-methyl-N- phenyl-3-oxo pentanamide (7.2 g) were charged in a heptane (50 ml), tetrahydrofuran (25 ml) and toluene (11 ml) mixture. Next, n-heptanoic acid (2.5 g) was then added to the reaction mixture. The reaction mixture was azeotropically refluxed for about 8 hours and the reaction progress was monitored by TLC. The solvents were removed under reduced pressure. Isopropyl alcohol ("IPA") (12.5 ml) was added to the residue at a temperature of about 600C. The reaction mixture was then stirred at room temperature for about 10 hours. The reaction mixture was then cooled to a temperature of about 15°C and hexane (10-30 ml) added. A yellowish solid was produced and was filtered. The solid was dried in an oven at a temperature of about 55°C for about 12 hours to get the intermediate. Yield = 6.5 g.
[00033] IR (cm'1): OH str. 3393, CH str. Ar 3100, CH Str aliph. 2981, CO-O Str.
1720. PMR (in delta): (in CDCl3), 1.0-1.7 (m, 5H), 1.30 (s, 3H), 1.36 (s, 3H), 1.43 (s, 9H), 1.53 (d, 6H), 2.23 (dd, IH), 2.39 (dd, IH), 3.5-3.9 (m, 3H), 4.0-4.2 (m, 2H), 6.8-7.3 (m, 14H) The CI mass shows m/z 655 [M+I]+.
EXAMPLE 2
[00034] Preparation of Atorvastatin Calcium Salt
[00035] (4R-cis)-6-[2-[3-phenyl-4-(phenylcarbamoyl)-2-(4-fluorophenyl)-5-(l- methylethyl)-pyrrol- 1 -yl]-ethyl]-2,2-dimethyl-[l ,3]dioxane-4-yl-acetic acid-t-butyl ester (3.4 g) was dissolved in an acetonitrile (70 ml). Indion 525 (H+ form) (3.4 g) was added and the reaction mixture was stirred at room temperature. The reaction was monitored by TLC. The reaction mixture was decanted to remove the Indion 525 resin. Solid sodium hydroxide (0.34 g) was dissolved in water (5 ml) and added to the reaction mixture and stirred for about 2 hours. The reaction was monitored by TLC. The solvents were then removed under reduced pressure. The sodium salt obtained was dissolved in methanol (55 ml) at a temperature of about 500C and then water (42 ml) was added. The solution was filtered and the clear solution was stirred at a temperature of about 55°C. A solution of calcium acetate (0.6 g) in water (7 ml) was added at 55°C. The reaction mixture was maintained for about 30 minutes. The reaction mixture was cooled to room temperature and then to a temperature of about 150C. The off-white solid obtained was filtered. The solid was dried at a temperature of about 500C under vacuum to obtain the calcium salt of atorvastatin (2.4 g). [00036] IR (cm"1): OH str. 3412, CH Str aliph. 2960. [00037] PMR (in delta): (in CDCl3), 1.26 (m, 2H), 1.37 (m, 6H), 1.59 (m, 2H), 2.04
(m, 2H), 3.24-3.96 (m, 5H), 4.80 (brs., IH), 5.75(brs., IH), 7.0-7.22 (m, 12H), 7.52 (d, 2H), 9.82 (s, IH).
[00038] The CI mass shows m/z 558 [M-Ca+].
[00039] It will be understood that various modifications may be made to the embodiments disclosed herein. Therefore the above description should not be construed as limiting, but merely as exemplifications of preferred embodiments. For example, the functions described above and implemented as the best mode for operating the present invention are for illustration purposes only. Other arrangements and methods may be implemented by those skilled in the art without departing from the scope and spirit of this invention. Moreover, those skilled in the art will envision other modifications within the scope and spirit of the claims appended hereto.

Claims

WHAT IS CLAIMED IS:
1. A process for the preparation of a pyrrole derivative or a racemic mixture, an enantiomer, a diastereoisomer, a mixture thereof, a tautomer thereof, or a pharmaceutically acceptable salt thereof, the process comprising reacting an amino compound of the general formula
Figure imgf000015_0001
wherein each R is independently hydrogen or a hydrolyzable protecting group, or each R, together with the oxygen atom to which each is bonded, form a hydrolyzable cyclic protecting group, or each R is bonded to the same substituent which is bonded to each oxygen atom to form a hydrolyzable protecting group and R1 is hydrogen, a lower alkyl or a cation capable of forming a non-toxic pharmaceutically acceptable salt, with a di-oxo compound of the general formula
R4 R3
wherein R2 is 1-naphthyl, 2-naRp5h~th~ylV, a C3-C25R c2ycloalkyl group, norbornenyl, a substituted or unsubstituted aryl group, benzyl, 2-, 3-, or 4-pyridinyl, or 2-, 3-, or 4- pyridinyl-N-oxide, R3 and R4 are independently hydrogen, a lower alkyl, a C3-C25 cycloalkyl group, a substituted or unsubstituted aryl group, cyano, trifluoromethyl, or - CONR6R7 wherein R6 and R7 are independently hydrogen, a lower alkyl or a substituted or unsubstituted aryl group and R5 is a lower alkyl, a C3-C2S cycloalkyl or trifluoromethyl, in the presence of a catalyst and in at least one solvent.
2. The process of Claim 1, wherein R2 is a substituted aryl group, R3 is an unsubstituted aryl group, R4 is -CONR6R7 wherein R6 is hydrogen and R7 is a substituted or unsubstituted aryl group and R5 is a lower alkyl.
3. The process of Claim 1, wherein R2 is a phenyl group substituted with one or halogens, R3 is a phenyl group, R4 is -CONR6R7 wherein R6 is hydrogen and R7 is a substituted or unsubstituted aryl group and R5 is a lower alkyl.
4. The process of Claim 1, comprising reacting (4R-cis)- 1,1 -dimethyl ethyl-6-(2- aminoethyl)-2,2-dimethyl-l,3-dioxane-4-acetate of the formula
Figure imgf000016_0001
with 2-[l-phenyl-2-(4-fluorphenyl)-2-oxoethyl]-4-methyl-N-methyl-N-phenyl-3-oxo pentamide of the formula
Figure imgf000016_0002
in the presence of a catalyst and in at least one solvent to produce the intermediate (4R-cis)-6-[2-[3-phenyl-4-(phenylcarbamoyl)-2-(4-fluorophenyl)-5-(l-methylethyl)- pyrrol-l-yl]-ethyl]-2,2-dimethyl-[l,3]-dioxane-4-yl-acetic acid-t-butyl ester of the formula
Figure imgf000016_0003
5. The process of Claims 1-4, wherein the catalyst is a carboxylic acid.
6. The process of Claims 1-5, wherein the catalyst is selected from the group consisting of an aliphatic carboxylic acid, cycloaliphatic carboxylic acid, aromatic carboxylic acid and mixtures thereof.
7. The process of Claim 6, wherein the aliphatic carboxylic acid contains 2 to 18 carbon atoms.
8. The process of Claims 6 and 7, wherein the aliphatic carboxylic acid is selected from the group consisting of propionic acid, butyric acid, n-heptanoic acid, 2, 2- dimethylbutanoic acid and mixtures thereof.
9. The process of Claims 1-8, wherein the solvent is selected from the group consisting of an aliphatic hydrocarbon solvent, aromatic hydrocarbon solvent, ether solvent and mixtures thereof.
10. The process of Claims 1-9, wherein the solvent comprises a mixture of organic solvents.
11. The process of Claims 1-10, wherein the solvent comprises a mixture of at least one aliphatic hydrocarbon solvent, at least one cyclic ether solvent and at least one aromatic hydrocarbon solvent.
12. The process of Claim 1-11, wherein the solvent comprises a mixture of at least one aliphatic hydrocarbon solvent, at least one cyclic ether solvent and at least one aromatic hydrocarbon solvent in a ratio of about 10:4:3 to about 15:5:3 of aliphatic hydrocarbon: cyclic etheπaromatic hydrocarbon.
13. The process of Claims 1-12, wherein the solvent comprises a mixture of heptane, tetrahydrofuran and toluene.
14. The process of Claims 1-12, wherein the solvent comprises a mixture of heptane, tetrahydrofuran and toluene in a ratio of 10:5:2.2 of heptane:tetrahydrofuran:toluene.
15. The process of Claim 1, wherein the reaction is performed at a temperature ranging from about 600C to about 1050C.
16. The process of Claims 1-15, further comprising the step of hydrolyzing the product pyrrole derivative.
17. The process of Claim 16, wherein the step of hydrolyzing comprises reacting the intermediate pyrrole derivative with at least one ion-exchange resin in one or more second solvents.
18. The process of Claim 17, wherein the ion-exchange resin is selected from the group consisting of a cation-exchange resin, anion-exchange resin, and mixtures thereof.
19. The process of Claim 17, wherein the ion-exchange resin is selected from the group consisting of Amberlite® IRA 120, Amberlyst® 15, Indion 525 and mixtures thereof.
20. The process of Claims 17-19, wherein the second solvent is a mixture of organic solvents.
21. The process of Claim 17, wherein the second solvent is acetonitrile.
22. The process of Claim 4, thereafter converting the intermediate (4R-cis)-6-[2- [3[phenyl-4-(phenylcarbamoyl)-2-(4-fluorophenyl)-5-(l-methylethyl)-pyrrol-l-yl]-ethyl]- 2,2-dimethyl-[l,3]-dioxane-4-yl-acetic acid-t-butyl ester to atorvastatin or a pharmaceutically acceptable salt thereof.
23. A process for the preparation of a pyrrole derivative or a racemic mixture, an enantiomer, a diastereoisomer, a mixture thereof, a tautomer thereof, or a pharmaceutically acceptable salt thereof of the general formula
Figure imgf000019_0001
wherein each R is independently hydrogen or a hydrolyzable protecting group, or each R, together with the oxygen atom to which each is bonded, form a hydrolyzable cyclic protecting group, or each R is bonded to the same substituent which is bonded to each oxygen atom to form a hydrolyzable protecting group and R1 is hydrogen, a lower alkyl or a cation capable of forming a non-toxic pharmaceutically acceptable salt, R2 is 1-naphthyl, 2-naphthyl, C3-C25 cycloalkyl group, norbornenyl, a substituted or unsubstituted aryl group, benzyl, 2-, 3-, or 4-pyridinyl, or 2-, 3-, or 4-pyridinyl-N-oxide, R3 and R4 are independently hydrogen, a lower alkyl, a C3-C25 cycloalkyl group, a substituted or unsubstituted aryl group, cyano, trifluoromethyl, or -CONR6R7 wherein R6 and R7 are independently hydrogen, a lower alkyl or a substituted or unsubstituted aryl group and R5 is a lower alkyl, a C3-C25 cycloalkyl or trifluoromethyl, the process comprising hydrolyzing the pyrrole derivative with at least one ion-exchange resin in at least one solvent.
24. The process of Claim 23, wherein R2 is a substituted aryl group, R3 is an unsubstituted aryl group, R4 is -CONR6R7 wherein R6 is hydrogen and R7 is a substituted or unsubstituted aryl group and R5 is a lower alkyl.
25. The process of Claim 23, wherein R2 is a phenyl group substituted with one or halogens, R3 is a phenyl group, R4 is -CONR6R7 wherein R6 is hydrogen and R7 is a substituted or unsubstituted aryl group and R5 is a lower alkyl.
26. The process of Claim 23, comprising hydrolyzing (4R-cis)-6-[2-[3[phenyl-4- (phenylcarbamoyl)-2-(4-fluorophenyl)-5 -( 1 -methylethyl)-pyrrol- 1 -yl] -ethyl] -2,2-dimethyl- [l,3]-dioxane-4-yl-acetic acid-t-butyl ester with at least one ion-exchange resin in at least one solvent.
27. The process of Claims 23-26, wherein the ion-exchange resin is selected from the group consisting of a cation-exchange resin, anion-exchange resin, and mixtures thereof.
28. The process of Claims 23-26, wherein the ion-exchange resin is selected from the group consisting of Amberlite® IRA 120, Amberlyst® 15, Indion 525 and mixtures thereof.
29. The process of Claims 23-28, wherein the solvent comprises an organic solvent.
30. The process of Claim 29, wherein the organic solvent is a nitrile.
31. The process of Claim 29, wherein the organic solvent is an acetonitrile.
32. The process of Claim 30, wherein the nitrile is present in about 20 volumes.
33. The process of Claims 23-32, wherein the reaction is carried out for a time period of about 2 to about 5 hours.
34. The process of Claims 23-33, and thereafter converting the hydrolyzed pyrrole derivative to a salt thereof.
35. The process of Claim 34, wherein the salt is a sodium or calcium salt.
PCT/IB2005/0023482004-08-062005-08-05Processes for the preparation of pyrrole derivativesCeasedWO2006032959A2 (en)

Applications Claiming Priority (4)

Application NumberPriority DateFiling DateTitle
US59938204P2004-08-062004-08-06
US59938304P2004-08-062004-08-06
US60/599,3832004-08-06
US60/599,3822004-08-06

Publications (2)

Publication NumberPublication Date
WO2006032959A2true WO2006032959A2 (en)2006-03-30
WO2006032959A3 WO2006032959A3 (en)2007-02-22

Family

ID=35871147

Family Applications (1)

Application NumberTitlePriority DateFiling Date
PCT/IB2005/002348CeasedWO2006032959A2 (en)2004-08-062005-08-05Processes for the preparation of pyrrole derivatives

Country Status (1)

CountryLink
WO (1)WO2006032959A2 (en)

Cited By (6)

* Cited by examiner, † Cited by third party
Publication numberPriority datePublication dateAssigneeTitle
WO2007020421A1 (en)*2005-08-152007-02-22Arrow International LimitedCrystalline and amorphous sodium atorvastatin
WO2007020413A1 (en)*2005-08-152007-02-22Arrow International LimitedCrystalline and amorphous sodium atorvastatin
KR100850850B1 (en)2008-01-252008-08-06주식회사종근당 Method for preparing atorvastatin and intermediates used therein
JP2009542578A (en)*2006-07-072009-12-03アロー インターナショナル リミテッド Crystalline and amorphous atorvastatin sodium
JP2009542579A (en)*2006-07-072009-12-03アロー インターナショナル リミテッド Crystalline and amorphous atorvastatin sodium
CN113105381A (en)*2021-04-082021-07-13贵州大学Preparation method of biomass-based 2, 5-dimethyl-N-substituted pyrrole derivative

Family Cites Families (4)

* Cited by examiner, † Cited by third party
Publication numberPriority datePublication dateAssigneeTitle
US5003080A (en)*1988-02-221991-03-26Warner-Lambert CompanyProcess for trans-6-(2-(substituted-pyrrol-1-yl)alkyl)pryan-2-one inhibitors of cholesterol synthesis
AU2000254249A1 (en)*2000-03-282001-10-08Biocon India LimitedSynthesis of (r-(r*,r*))-2-(4-fluorophenyl)-beta,delta-dihydroxy-5-(1-
HU227124B1 (en)*2001-09-142010-07-28Egis Gyogyszergyar NyilvanosanPolymorphs of 1-pyrrole derivative, intermediate for the preparation of atorvastatin
WO2005118536A1 (en)*2004-05-312005-12-15Ranbaxy Laboratories LimitedProcess for the preparation of atorvastatin

Cited By (12)

* Cited by examiner, † Cited by third party
Publication numberPriority datePublication dateAssigneeTitle
WO2007020421A1 (en)*2005-08-152007-02-22Arrow International LimitedCrystalline and amorphous sodium atorvastatin
WO2007020413A1 (en)*2005-08-152007-02-22Arrow International LimitedCrystalline and amorphous sodium atorvastatin
US8017647B2 (en)2005-08-152011-09-13Arrow International LimitedCrystalline sodium atorvastatin
US8097734B2 (en)2005-08-152012-01-17Arrow International LimitedCrystalline sodium atorvastatin
US8329922B2 (en)2005-08-152012-12-11Arrow International LimitedCrystalline sodium atorvastatin
US8440712B2 (en)2005-08-152013-05-14Arrow International LimitedCrystalline sodium atorvastatin
JP2009542578A (en)*2006-07-072009-12-03アロー インターナショナル リミテッド Crystalline and amorphous atorvastatin sodium
JP2009542579A (en)*2006-07-072009-12-03アロー インターナショナル リミテッド Crystalline and amorphous atorvastatin sodium
KR100850850B1 (en)2008-01-252008-08-06주식회사종근당 Method for preparing atorvastatin and intermediates used therein
WO2009093776A1 (en)*2008-01-252009-07-30Chong Kun Dang Pharmaceutical Corp.Method for the preparation of atorvastatin and intermediates used therein
US8178697B2 (en)2008-01-252012-05-15Chong Kun Dang Pharmaceutical Corp.Method for the preparation of atorvastatin and intermediates used therein
CN113105381A (en)*2021-04-082021-07-13贵州大学Preparation method of biomass-based 2, 5-dimethyl-N-substituted pyrrole derivative

Also Published As

Publication numberPublication date
WO2006032959A3 (en)2007-02-22

Similar Documents

PublicationPublication DateTitle
EP0687263B1 (en)Process for preparing (trans)-6- [2-(substituted-pyrrol-1-yl)alkyl]pyran-2-one inhibitors of cholesterol synthesis
AU628198B2 (en)(R-(R*R*))-2-(4-fluorohpenyl)-beta,delta-dihydroxy-5-(1- methylethyl-3-phenyl-4-((phenylamino)carbonyl)-1H-pyrrole-1- heptanoic acid, its lactone form and salts thereof
KR100681366B1 (en) Synthesis of 1,3-diol
EP0330172B1 (en)Improved process for trans-6-[2-(substituted-pyrol-1-yl)alkyl]pyran-2-one inhibitors of cholesterol synthesis
US20060211761A1 (en)Hmg-coa-reductase inhibitors
WO2002057274A1 (en)A process for the synthesis of atorvastatin form v and phenylboronates as intermediate compounds
CA2676443C (en)Atorvastatin calcium propylene glycol solvates
WO2006032959A2 (en)Processes for the preparation of pyrrole derivatives
JP4901474B2 (en) Substituted pyrrole derivatives
EP2075246A1 (en)A process for preparation of amorphous form of atorvastatin hemi-calcium salt
US7078430B2 (en)HMG CoA-reductase inhibitors
Lee et al.An efficient method for the large-scale synthesis of atorvastatin calcium
WO2010069593A1 (en)Use of amphiphilic compounds for controlled crystallization of statins and statin intermediates
WO2005014541A1 (en)Novel antihypercholesterolemic compound

Legal Events

DateCodeTitleDescription
AKDesignated states

Kind code of ref document:A2

Designated state(s):AE AG AL AM AT AU AZ BA BB BG BR BW BY BZ CA CH CN CO CR CU CZ DE DK DM DZ EC EE EG ES FI GB GD GE GH GM HR HU ID IL IN IS JP KE KG KM KP KR KZ LC LK LR LS LT LU LV MA MD MG MK MN MW MX MZ NA NG NI NO NZ OM PG PH PL PT RO RU SC SD SE SG SK SL SM SY TJ TM TN TR TT TZ UA UG US UZ VC VN YU ZA ZM ZW

ALDesignated countries for regional patents

Kind code of ref document:A2

Designated state(s):BW GH GM KE LS MW MZ NA SD SL SZ TZ UG ZM ZW AM AZ BY KG KZ MD RU TJ TM AT BE BG CH CY CZ DE DK EE ES FI FR GB GR HU IE IS IT LT LU LV MC NL PL PT RO SE SI SK TR BF BJ CF CG CI CM GA GN GQ GW ML MR NE SN TD TG

121Ep: the epo has been informed by wipo that ep was designated in this application
NENPNon-entry into the national phase

Ref country code:DE

122Ep: pct application non-entry in european phase

[8]ページ先頭

©2009-2025 Movatter.jp