Movatterモバイル変換


[0]ホーム

URL:


WO2006022638A1 - Methods for identifying risk of type ii diabetes and treatments thereof - Google Patents

Methods for identifying risk of type ii diabetes and treatments thereof
Download PDF

Info

Publication number
WO2006022638A1
WO2006022638A1PCT/US2004/023981US2004023981WWO2006022638A1WO 2006022638 A1WO2006022638 A1WO 2006022638A1US 2004023981 WUS2004023981 WUS 2004023981WWO 2006022638 A1WO2006022638 A1WO 2006022638A1
Authority
WO
WIPO (PCT)
Prior art keywords
diabetes
type
polymorphic
nucleic acid
subject
Prior art date
Application number
PCT/US2004/023981
Other languages
French (fr)
Inventor
Maria L. Langdown
Matthew Roberts Nelson
Rikard Henry Reneland
Stefan M. Kammerer
Andreas Braun
Carolyn R. Hoyal-Wrightson
Original Assignee
Sequenom, Inc.
Priority date (The priority date is an assumption and is not a legal conclusion. Google has not performed a legal analysis and makes no representation as to the accuracy of the date listed.)
Filing date
Publication date
Application filed by Sequenom, Inc.filedCriticalSequenom, Inc.
Priority to PCT/US2004/023981priorityCriticalpatent/WO2006022638A1/en
Publication of WO2006022638A1publicationCriticalpatent/WO2006022638A1/en

Links

Classifications

Definitions

Landscapes

Abstract

Provided herein are methods for identifying a risk of type II diabetes in a subject, reagents and kits for carrying out the methods, methods for identifying candidate therapeutics for treating type II diabetes, and therapeutic and preventative methods applicable to type II diabetes. These embodiments are based upon an analysis of polymorphic variations in nucleotide sequences within the human genome.

Description

METHODS FOR IDENTIFYING RISK OF TYPE H DIABETES AND TREATMENTS THEREOF
Field of the Invention
[0001] The invention relates to genetic methods for identifying predisposition to type II diabetes, also known as non-insulin dependent diabetes, and treatments that specifically target the disease.
Background
[0002] Diabetes is among the most common of all metabolic disorders, affecting up to 11% of the population by age 70. Type I diabetes (insulin-dependent diabetes) represents about 5 to 10% of this group and is the result of progressive autoimmune destruction of the pancreatic β-cells with subsequent insulin deficiency.
[0003] Type II diabetes (non-insulin dependent diabetes) represents 90-95% of the affected population, more than 100 million people worldwide. Approximately 17 million Americans suffer from type II diabetes, although 6 million don't even know they have the disease. The prevalence of the disease has jumped 33% in the last decade and is expected to rise further as the baby boomer generation gets older and more overweight. The global figure of people with diabetes is set to rise to an estimated 150 to 220 million in 2010, and 300 million in 2025. The widespread problem of diabetes has crept up on an unsuspecting health care community and has already imposed a huge burden on health-care systems (Zimmet et α/.(2001) Nature 414: 782-787).
[0004] Often, the onset of type II diabetes can be insidious, or even clinically unapparent, making diagnosis difficult. Even when the disease is properly diagnosed, many of those treated do not have adequate control over their diabetes, resulting in elevated sugar levels in the bloodstream that slowly destroys the kidneys, eyes, blood vessels and nerves. This late damage is an important factor contributing to mortality in diabetics. .
[0005] Type II diabetes is associated with peripheral insulin resistance, elevated hepatic glucose production, and inappropriate insulin secretion (DeFronzo, R. A. (1988) Diabetes 37:667-687), although the primary pathogenic lesion on type II diabetes remains elusive. Many have suggested that primary insulin resistance of the peripheral tissues is the initial event. Genetic epidemiological studies have supported this view. Similarly, insulin secretion abnormalities have been argued as the primary defect in type II diabetes. It is likely that both phenomena are important in the development of type II diabetes, and genetic defects predisposing to both are likely to be important contributors to the disease process (Rimoin, D.L., et al. (1996) Emery and Rimoin's Principles and Practice of Medical Genetics 3rd Ed. 1: 1401-1402). [0006] Evidence from familial aggregation and twins studies point to a genetic component in the etiology of diabetes (Newman et al. (1987) Diabetologia 30:763-768; Kobberling, J. (1971) Diabetologia 7:46-49; Cook, J. T. E. (1994) Diabetologia 37:1231-1240), however, there is little agreement as to the nature of the genetic factors involved. This confusion can largely be attributed to the genetic heterogeneity known to exist in diabetes.
Summary
[0007] It has been discovered that certain polymorphic variations in human genomic DNA are associated with the occurrence of type II diabetes, also known as non-insulin dependent diabetes. In particular, polymorphic variants in loci containing VMD2L3, GPR97, ADCYAPlRl, ERBB4, ABCBl &rΔABL2 regions in human genomic DNA have been associated with risk of type II diabetes.
[0008] Thus, featured herein are methods for identifying a subject at risk of type II diabetes and/or a risk of type II diabetes in a subject, which comprise detecting the presence or absence of one or more polymorphic variations associated with type II diabetes in or around the loci described herein in a human nucleic acid sample. In an embodiment, two or more polymorphic variations are detected and in some embodiments, 3 or more, or 4, 5, 6, 7, 8, 9, 10, 11, 12, 13, 14, 15, 16, 17, 18, 19 or 20 or more polymorphic variants are detected.
[0009] Also featured are nucleic acids that include one or more polymorphic variations associated with occurrence of type II diabetes, as well as polypeptides encoded by these nucleic acids. In addition, provided are methods for identifying candidate therapeutic molecules for treating type II diabetes and other insulin-related disorders, as well as methods for treating type II diabetes in a subject by identifying a subject at risk of type II diabetes and treating the subject with a suitable prophylactic, treatment or therapeutic molecule.
[0010] Also provided are compositions comprising a cell from a subject having type π diabetes or at risk of type II diabetes and/or a VMD2L3, GPR97, ADCYAPlRl, ERBB4, ABCBl or ABL2 nucleic acid, with a nucleic acid capable of hybridizing to the VMD2L3, GPR97, ADCYAPlRl, ERBB4, ABCBl oxABL2 under conditions of high stringency, and in certain embodiments, with a RNAi, siRNA, antisense DNA or RNA, or ribozyme nucleic acid designed from a VMD2L3, GPR97, ADCYAPlRl, ERBB4, ABCBl oτABL2 nucleotide sequence. In an embodiment, the RNAi, sIRNA, antisense DNA or RNA, or ribozyme nucleic acid is designed from a VMD2L3, GPR97, ADCYAPlRl, ERBB4, ABCBl oτABL2 nucleotide sequence that includes one or more type II diabetes associated polymorphic variations, and in some instances, specifically interacts with such a nucleotide sequence. Further, provided are arrays of nucleic acids bound to a solid surface, in which one or more nucleic acid molecules of the array have a VMD2L3, GPR97, ADCYAPlRl, ERBB4, ABCBl or ABL2 nucleotide sequence, or a fragment or substantially identical nucleic acid thereof, or a complementary nucleic acid of the foregoing. Featured also are compositions comprising a cell from a subject having type II diabetes or at risk of type II diabetes and/or a VMD2L3, GPR97, ADCYAPlRl, ERBB4, ABCBl or ABL2 polypeptide, with an antibody that specifically binds to the polypeptide. In an embodiment, the antibody specifically binds to an epitope in the polypeptide that includes a non-synonymous amino acid modification associated with type II diabetes {e.g., results in an amino acid substitution in the encoded polypeptide associated with type II diabetes). In specific embodiments, the antibody specifically binds to an epitope comprising a serine corresponding to position 399 in an ABCBl polypeptide (e.g., SEQ ID NO: 16) or a threonine corresponding to position 12 in SΆABL2 polypeptide (e.g., SEQ ID NO: 17).
Brief Description of the Drawings
[0011] Figures 1 A-IC show proximal SNPs in a VMD2L3 region in genomic DNA for females, males and combined results, respectively. Figures 2A-2C show proximal SNPs in a GPR97 region in genomic DNA for females, males and combined results, respectively. Figures 3A-3C show proximal SNPs in a ADCYAP 'IRl region in genomic DNA for females, males and combined results, respectively. Figures 4A-4C show proximal SNPs in a ERBB4 region in genomic DNA for females, males and combined results, respectively. A position of each SNP in the chromosome is shown on the x-axis and the y-axis provides the negative logarithm of the p-value comparing the estimated allele frequency in the cases to that of the control group. Also shown in the figures are exons and introns of the genes in the approximate chromosomal positions.
Detailed Description
[0012] It has been discovered that polymorphic variants described in a VMD2L3, GPR97, ADCYAPlRl, ERBB4, ABCBl or ABL2 locus in human genomic DNA are associated with occurrence of type II diabetes in subjects. Thus, detecting genetic determinants associated with an increased risk of type II diabetes occurrence in and around these loci can lead to early identification of a risk of type II diabetes and early application of preventative and treatment measures. Associating the polymorphic variants with type II diabetes also has provided new targets for diagnosing type II diabetes, and methods for screening molecules useful in diabetes treatments and diabetes preventatives.
[0013] The gene VMD2L3 (vitelliform macular dystrophy 2-like 3) is also known as MGC40411. It has been mapped to chromosomal position 12ql4.2-ql5. The VMD2 gene that underlies vitelliform macular dystrophy and the three VMD2-like genes, VMD2L1, VMD2L2, and VMD2L3, encode transmembrane spanning proteins that share a homology region with a high content of aromatic residues including an invariant arginine (R) phenylalanine (F), and proline (P) motif. VMD2 and the three VMD2-related genes share a conserved gene structure with almost identical sizes of the 8 RFP-transmembrane domain encoding exons and conserved positions of corresponding exon-intron boundaries. Each of the four paralogous genes contains a unique 3-prime end of variable length without significant homology to known proteins or motifs (Stohr et al, 2002).
[0014] The gene GPR97 (G protein-coupled receptor 97) is also known as Pb99, GPR-97 and EGF-TM7-like and has been mapped to chromosomal position 16ql3.
[0015] The gene ADCYAPlRl encodes type I adenylate cyclase activating polypeptide receptor, which is a membrane-associated protein and shares significant homology with members of the glucagon/secretin receptor family. This receptor mediates diverse biological actions of adenylate cyclase activating polypeptide 1 and is positively coupled to adenylate cyclase. ADCYAPlRl, which is found in the hypothalamus, brain stem, pituitary, adrenal gland, pancreas, and testes, has a high affinity for pituitary adenylate cyclase-activating polypeptide (PACAP) (Ogi et al., Biochem. Biophys. Res. Commun. 196: 1511-1521, 1993). Alternative splicing of two exons of this gene generates four major splice variants, but their full-length nature has not been determined.
The ΗESAIERBB4 receptor tyrosine kinase is a member of the EGFl receptor family. ERBB4 gene product is 1308 ammo acids and is a receptor for the neuregulins (NRGs), a family of growth and differentiation factors. HER4 also can bind and be activated by heparin-binding EGF growth factor, betacellulin, and epiregulin (Riese et al, 1996 Oncogene 12:345-353, 1996). Members of the EGF family, unlike NRGs, are also ligands for the EGF receptor. HER4 mRNA is expressed in several tissues such as heart, brain, kidney, and skeletal muscle, suggesting that this receptor is involved in the development and maintenance of a variety of organs and cell types. It is likely that the control of expression and function of HER4 is important in normal development as well as in disease. Betacellulin is one of the activators ERBB4 and it has been shown to stimulate insulin producing INS-I cell replication (Huotari et al, 1998 Endocrinology 139: 1494-1499, 1998). Four ErbB proteins are members of a transmembrane kinase receptor family that includes epidermal growth factor receptor (EGFr). Members of this family are capable of transducing both growth and differentiative signals in various cell types (Prigent et al , 1992 Prog Growth Factor Res 4: 1-24). ErbB3 is the primary heregulin (HRG) binding site in rat hepatocytes. Insulin inhibits the spontaneous increase in both HRG binding and ErbB3 protein that occurs in these cells during the first 12 h in culture (Carver et al, 1996 J Biol Chem 271:13491-13496), and insulin may also signal to the ERBB4 protein and alter its downstream signaling cascade.
[0016] The gene ABCBl (ATP-binding cassette, sub-family B (MDR/TAP), member 1) is also known as MDRl, P-gp, PGYl, ABC20, CD243, GP170, multidrug resistance 1, and P glycoprotein I/multiple drug resistance 1. The membrane-associated protein encoded by this gene is a member of the superfamily of ATP-binding cassette (ABC) transporters. The ABCBl (PGP/MDR1) gene maps to chromosome 7q21.1 and is the best characterized ABC drug pump. Formerly known as MDRl or PGYl, ABCBl was the first human ABC transporter cloned and characterized through its ability to confer a multidrug resistance phenotype to cancer cells that had developed resistance to chemotherapy drugs. ABCBl has been demonstrated to be a promiscuous transporter of hydrophobic substrates including drugs such as colchicine, etoposide (VP 16), Adriamycin, and vinblastine, as well as lipids, steroids, xenobiotics, and peptides. The gene is also thought to play a role in removing toxic metabolites from cells. ABCBl is expressed in cells at the blood-brain barrier and presumably plays a role in transporting compounds into the brain that cannot be delivered by diffusion. ABCBl also affects pharmacology of the drugs that are substrates, and a common polymorphism in the gene affects digoxin uptake. The ABCBl protein is expressed in many secretory cell types such as kidney, liver, intestine, and adrenal gland, where the normal function is thought to involve the excretion of toxic metabolites.
[0017] The gene ABL2 (v-abl Abelson murine leukemia viral oncogene homolog 2 (arg, Abelson-related gene) is also known as ARG, ABLL and has been mapped to chromosomal position Iq24-q25. ABL2 is a cytoplasmic tyrosine kinase which is closely related to but distinct from ABLl. The similarity of the proteins includes the tyrosine kinase domains and extends amino-terminal to include the SH2 and SH3 domains. ABL2 is expressed in normal and tumor cells. The ABL2 gene product is expressed as two variants bearing different amino termini, both approximately 12-kb in length. Incident SNP rsl318056 is located in exon 1 of transcript 1 and intron 1 (which is 97696 bp) of transcript 2. This SNP is a G/C SNP, resulting in a change in a non-synonymous coding SNP in transcript 1, Threonine (ACT) to Serine (AGT) change at amino acid position 12. This is not conserved across species such as in mouse or rat. ABL2 has been shown to be overexpressed in pancreatic adenocarcinomas (Crnogorac-Jurcevic et ah, 2002 Oncogene. 2002 JuI 4;21(29):4587-94). Whether ABL2 has a role in pancreatic cell death, more specifically beta-cell death, still remains to be determined, but this may account for the final beta cell failure seen in type II diabetics after sustained hyperinsulinemia in response to general insulin resistance. More recently it has been proposed that ABL2 regulates catalase and that this signaling pathway is of importance to apoptosis in the oxidative stress response (Cao et ah, 2003 J Biol Chem. 2003 Aug 8;278(32):29667-75).
Type π Diabetes and Sample Selection
[0018] The term "type II diabetes" as used herein refers to non-insulin-dependent diabetes. Type π diabetes refers to an insulin-related disorder in which there is a relative disparity between endogenous insulin production and insulin requirements, leading to elevated hepatic glucose production, elevated blood glucose levels, inappropriate insulin secretion, and peripheral insulin resistance. Type II diabetes has been regarded as a relatively distinct disease entity, but type II diabetes is often a manifestation of a much broader underlying disorder (Zimmet et al. (2001 ) Nature 414: 782-787), which may include metabolic syndrome (syndrome X), diabetes {e.g., type I diabetes, type II diabetes, gestational diabetes, autoimmune diabetes), hyperinsulinemia, hyperglycemia, unpaired glucose tolerance (IGT), hypoglycemia, B-cell failure, insulin resistance, dyslipidemias, atheroma, insulinoma, hypertension, hypercoagulability, microalbummuria, obesity and obesity- related disorders such as visceral obesity, central obesity, obesity-related type II diabetes, obesity- related atherosclerosis, heart disease, obesity-related insulin resistance, obesity-related hypertension, microangiopathic lesions resulting from obesity-related type II diabetes, ocular lesions caused by microangiopathy in obese individuals with obesity-related type II diabetes, and renal lesions caused by microangiopathy in obese individuals with obesity-related type II diabetes.
[0019] Some of the more common adult onset diabetes symptoms include fatigue, excessive thirst, frequent urination, blurred vision, a high rate of infections, wounds that heal slowly, mood changes and sexual problems. Despite these known symptoms, the onset of type II diabetes is often not discovered by health care professionals until the disease is well developed. Once identified, type II diabetes can be recognized in a patient by measuring fasting plasma glucose levels and/or casual plasma glucose levels, measuring fasting plasma insulin levels and/or casual plasma insulin levels, or administering oral glucose tolerance tests or hyperinsulmemic euglycemic clamp tests.
[0020] Based in part upon selection criteria set forth above, individuals having type II diabetes can be selected for genetic studies. Also, individuals having no history of metabolic disorders, particularly type II diabetes, often are selected for genetic studies as controls. The individuals selected for each pool of case and controls, were chosen following strict selection criteria in order to make the pools as homogenous as possible. Selection criteria for the study described herein included patient age, ethnicity, BMI, GAD (Glutamic Acid Decarboxylase) antibody concentration, and HbAIc (glycosylated hemoglobin AIc) concentration. GAD antibody is present in association with islet cell destruction, and therefore can be utilized to differentiate insulin dependent diabetes (type I diabetes) from non-insulin dependent diabetes (type II diabetes). HbAIc levels will reveal the average blood glucose over a period of 2-3 months or more specifically, over the life span of a red blood cell, by recording the number of glucose molecules attached to hemoglobin.
Polymorphic Variants Associated with Type II Diabetes
[0021] A genetic analysis provided herein linked type II diabetes with polymorphic variant nucleic acid sequences in the human genome. As used herein, the term "polymorphic site" refers to a region in a nucleic acid at which two or more alternative nucleotide sequences are observed in a significant number of nucleic acid samples from a population of individuals. A polymorphic site may be a nucleotide sequence of two or more nucleotides, an inserted nucleotide or nucleotide sequence, a deleted nucleotide or nucleotide sequence, or a microsatellite, for example. A polymorphic site that is two or more nucleotides in length may be 3, 4, 5, 6, 7, 8, 9, 10, 11, 12, 13, 14, 15 or more, 20 or more, 30 or more, 50 or more, 75 or more, 100 or more, 500 or more, or about 1000 nucleotides in length, where all or some of the nucleotide sequences differ within the region. A polymorphic site is often one nucleotide in length, which is referred to herein as a "single nucleotide polymorphism" or a "SNP."
[0022] Where there are two, three, or four alternative nucleotide sequences at a polymorphic site, each nucleotide sequence is referred to as a "polymorphic variant" or "nucleic acid variant." Where two polymorphic variants exist, for example, the polymorphic variant represented in a minority of samples from a population is sometimes referred to as a "minor allele" and the polymorphic variant that is more prevalently represented is sometimes referred to as a "major allele." Many organisms possess a copy of each chromosome (e.g. , humans), and those individuals who possess two major alleles or two minor alleles are often referred to as being "homozygous" with respect to the polymorphism, and those individuals who possess one major allele and one minor allele are normally referred to as being "heterozygous" with respect to the polymorphism. Individuals who are homozygous with respect to one allele are sometimes predisposed to a different phenotype as compared to individuals who are heterozygous or homozygous with respect to another allele.
[0023] In genetic analysis that associate polymorphic variants with type II diabetes, samples from individuals having type II diabetes and individuals not having type II diabetes often are allelotyped and/or genotyped. The term "allelotype" as used herein refers to a process for determining the allele frequency for a polymorphic variant in pooled DNA samples from cases and controls. By pooling DNA from each group, an allele frequency for each SNP in each group is calculated. These allele frequencies are then compared to one another. The term "genotyped" as used herein refers to a process for determining a genotype of one or more individuals, where a "genotype" is a representation of one or more polymorphic variants in a population.
[0024] A genotype or polymorphic variant may be expressed in terms of a "haplotype," which as used herein refers to two or more polymorphic variants occurring within genomic DNA in a group of individuals within a population. For example, two SNPs may exist within a gene where each SNP position includes a cytosine variation and an adenine variation. Certain individuals in a population may carry one allele (heterozygous) or two alleles (homozygous) having the gene with a cytosine at each SNP position. As the two cytosines corresponding to each SNP in the gene travel together on one or both alleles in these individuals, the individuals can be characterized as having a cytosine/cytosine haplotype with respect to the two SNPs in the gene.
[0025] As used herein, the term "phenotype" refers to a trait which can be compared between individuals, such as presence or absence of a condition, a visually observable difference in appearance between individuals, metabolic variations, physiological variations, variations in the function of biological molecules, and the like. An example of a phenotype is occurrence of type II diabetes.
[0026] Researchers sometimes report a polymorphic variant in a database without determining whether the variant is represented in a significant fraction of a population. Because a subset of these reported polymorphic variants are not represented in a statistically significant portion of the population, some of them are sequencing errors and/or not biologically relevant. Thus, it is often not known whether a reported polymorphic variant is statistically significant or biologically relevant until the presence of the variant is detected in a population of individuals and the frequency of the variant is determined. Methods for detecting a polymorphic variant in a population are described herein, specifically in Example 2. A polymorphic variant is statistically significant and often biologically relevant if it is represented in 5% or more of a population, sometimes 10% or more, 15% or more, or 20% or more of a population, and often 25% or more, 30% or more, 35% or more, 40% or more, 45% or more, or 50% or more of a population.
[0027] A polymorphic variant may be detected on either or both strands of a double-stranded nucleic acid. Also, a polymorphic variant may be located within an intron or exon of a gene or within a portion of a regulatory region such as a promoter, a 5 ' untranslated region (UTR), a 3 ' UTR, and in DNA (e.g., genomic DNA (gDNA) and complementary DNA (cDNA)), RNA (e.g., mRNA, tRNA, and rRNA), or a polypeptide. Polymorphic variations may or may not result in detectable differences in gene expression, polypeptide structure, or polypeptide function.
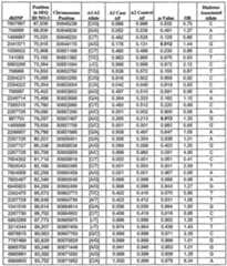
[0028] It was determined that polymorphic variations associated with an increased risk of type II diabetes existed in VMD2L3, GPR97, ADCYAPlRl, ERBB4, ABCBl and ABL2 nucleotide sequences. Incident polymorphisms identified in each locus are reported in Table 4 and Tables 7 and 8 hereafter. Other polymorphisms associated with type II diabetes were identified in the VMDL2, GPR97, and ERBB4 loci. In the VMDL2 locus, polymorphic variants at positions selected from the group consisting of rs2547020, rs727948, rs39679, rs28204, rs2920838, rs810272, rs710748, rs35638, rs40335, rs776405, rs776406, rs776407, rs42874, rs710746, rs776409, rs776413, rs808980, rs3886392, rs776414, rs776415, rs776416, rs776417, rs776418, rs776419, rs776420, rs776421, rs776422, rs776423, rs776424, rs710745, rs710744, rs776210, rs776209, rs776208, rs776207, rs800371, rs710743, rs7762035 rs710742, rs710741, rs4761163, rs776179, rsl596545, rs796538, rs776178, rs776177, rs4325346, rsl867445, rsl477333, rsl477332, rs776176, rs4761251, rs4761252, rs776175, rs4761253, rsl979715, rs2547016, rsl0906, rs710739, rs710738, rs4761254, rs710737, rs698129, rs710736, rs710735, rsl373453, rs710734, rsl373452, rs710733, rs710732, rs775511, rs775510, rsl968996, rsl609485, rs811348, rs2197359, rs2547015, rs775508, rs775504, rs775503, rs3909408, rs710731, rs710730, rs710729, rs710728, rs710727, rs4761164, rs3847772, rs3910824, rs796513, rs710726, rs710725, rs2277389, rs710724, rs710723, rs710722, «710721, rs710720, rs710719, rs710718, rs775498, rs775497, rs7.75496, rs775495, rs775492, rs775491, rs3741755, rs775490, rs775489, rs775486, rs775485, rs3099057, rs775484, rs775483, rs775481, rs775479, rs775478, rs775477, rs775476, rs775474, rs775473, rs2588442, rs775471, rs4761257, rs710717, rs775470, rs775469, rs775468, rs710716, rs710715, rs710714, rs2870895, rs710713, rs710712, rsl992611, rsl348522, rs710711, rs775419, rs2870894, rs775420, rs775421, rs775422, rs775425, rs3937886, rsl 158868, rs775426, rs775427, rs775428, rs710710, rs775430, rs775431, rs775432,' rs4761258, rs775438 and rs775439 were tested for association with type II diabetes. Polymorphic variants at the following positions were associated with an increased risk of type II diabetes: rs28204, rs710748, rs40335, rs42874, rs3886392, rs710742, rsl596545, rsl 867445, rs776176, rs2547016, rsl0906, rs710739, rs710738, rsl373452, rs811348, rs710724, rs775492, rs775485, rs775479, rs775478, rs775476, rs775474, rs775473, rs2588442, rs775470, rs775468, rs710716, rs710715, rs710714 and rs2870895. At these positions, an adenine at position 4762, an adenine at position 12065, a thymine at position 13413, a thymine at position 15981, a thymine at position 22647, a cytosine at position 30334, an adenine at position 39554, a guanine at position 42389, a cytosine at position 43241, a thymine at position 48642, a cytosine at position 48765, a guanine at position 52863, a cytosine at position 52928, an adenine at position 56404, a cytosine at position 58334, a cytosine at position 68464, a cytosine at position 73354, a thymine at position 75198, a thymine at position 76337, an adenine at position 76510, an adenine at position 76802, a guanine at position 77200, a guanine at position 77572, an adenine at position 77619, a cytosine at position 78547, an adenine at position 78914, a thymine at position 79070, a guanine at position 79391, an adenine at position 79439 and an adenine at position 79951 were associated with risk of type II diabetes.
[0029] In the GPR97 locus, polymorphic variants at positions selected from the group consisting of rs935742, rs3785325, rs3785327, rs3785329, rs935743, rs4471674, rs4545809, rs3785331, rs935746, rsl965226, rs733465, rs733464, rs733463, rs733462, rs3859051, rs3848271, rs3859052, rs3859053, rs4784837, rsl317953, rs2004823, rs935747, rs2305307, rsl 868681, rsl801257, rsl376041, rs2305308, rs2305309, rs2278808, rs2278809, rs2290176, rs2290177, rs4784838, rs4784001, rs4784002, rsl823479, rs3211127, rsl043540, rs3180467, rs4784839, rs4784840, rs935748, rs4784841, rs4784842, rs4784003, rs4784843, rs744457, rs730733, rs736570, rs4238795, rs4784006, rsl814520, rsl814521, rs2006654, rs727217, rs727216, rs727215, rs2290178, rs731960, rs935738, rsl463235, rsl965227, rsl965228, rs4556777, rs2290179, rs2896940, rsl965229, rslO64326, rslO64327, rsl 1551326, rs4328432, rs4531722, rs4453481, rs2923130, rs2967175, rsl901105, rsl901106, rsl901108, rs2078553, rs4238799, rs4638560, rs4603550, rs4450390, rs2923131, rs2967180, rs4784851, rs3760065, rs3743926, rs2404688, rs4254319, rs2404689, rs4429289, rsl463236, rs2923134, rs2923135, rs2923137, rs2923138, rs2923139, rs2923140, rs2923141, rs2923142, rs3809611, rs3809610, rs2923143, rs2965772, rs2923144, rs4784008, rs2965771, and rs2967126 were tested for association with type II diabetes. Polymorphic variants at the following positions were associated with an increased risk of type II diabetes: rs4471674, rs3848271, rsl868681, rsl376041, rs2290176, rs4784001, rsl814521, rs4556777, rs2896940, rslO64326, rslO64327, rsl 1551326, rs2967175 and rs2967180. At these positions, an adenine at position 1861 , a thymine at position 6734, an adenine at position 12733, a thymine at position 13680, a guanine at position 19307, a guanine at position 20414, an adenine at position 40662, a thymine at position 44576, a guanine at position 44924, an adenine at position 46874, a guanine at position 46976, a thymine at position 46999, a thymine at position 50043 and an adenine at position 53491 were associated with risk of type II diabetes.
[0030] In the ADCYAPlRl locus, polymorphic variants at positions selected from the group consisting of rs6948808, rs6942576, rs7796657, rs7778048, rs6974221, rs4723040, rs7792595, rs7792373, rs6943292, rs6947652, rs6948072, rs7786414, rs7787089, rsl476700, rs6973634, rs7794503, rs7794804, rs7794821, rs6462246, rs6978324, rs6962626, rs7796157, rs7795940, rs880935, rsl203188, rs736556, rs736557, rs2893400, rs733317, rs6966288, rs886824, rs878014, rs4723043, rs4321886, rs4395795, rsl894847, rs2041042, rs2041043, rs4559150, rs732558, rs740334, rs740335, rs4370438, rsl894845, rs6976040, rs6980078, rs6942498, rs6462247, rs7794247, rsl203189, rs741050, rs741054, rsll57655, rs7795339, rs6944986, rs7784067, rs7801470, rs7456608, rsl981701, rs5883267, rs741051, rs741052, rs4720027, rs2391937, rs3779247, rs3837113, rs7801540, rs6969928, rs6969839, rs6970447, rs7807667, rs758995, rsl468687, rs2041571, rsl006622, rs741055, rs5883268, rs758996, rs2284221, rs2284222, rs758997, rs2249714, rs7385315, rs2267725, rs887703, rsl468688, rs2299907, rs2267726, rs2267727, rs2267728, rs7804302, rs7805043, rs7804958, rs7805487, rs6945903, rs2302475, rs2267729, rsl541516, rs2267730, rs5883269, rs3214344, rs6976615, rs7797489, rs6965700, rs6965991 and rs6969805 were tested for association with type II diabetes. Polymorphic variants at the following positions were associated with an increased risk of type II diabetes: rs6942576, rsll57655, rs741051, rs3779247, rs6969839, rs6970447, rs2041571 and rs887703. At these positions, a guanine at position 612, a thymine at position 46223, a cytosine at position 57864, a cytosine at position 64778, an adenine at position 66004, an adenine at position 66226, a guanine at position 70915 and a guanine at position 79297 were associated with risk of type II diabetes.
[0031] Ia the ERBB4 locus, polymorphic variants at positions selected from the group consisting of rs7423708, rs7593089, rs7605388, rs6753227, rs6756725, rs7588431, rs6435670, rs6435671, rs6435672, rs4673633, rs4672626, rs7422785, rs7423439, rs6435673, rs7583346, rs2118891, rs6757087, rsl371203, rsl439248, rsl439247, rs6435675, rs7573807, rsl439246, rs7600511, rs4672627, rs4672628, rs4673635, rsl371202, rsl371201, rsl371200, rsl371199, rsl439244, rsl439243, rs4606869, rsl439242, rs2371344, rsl439241, rsl439240, rsl439239, rs4673636, rs714393, rs714394, rsl371198, rsl439238, rsl439237, rsl561473, rs991477, rs991476, rsl020126, rs7594604, rs4673637, rs2218106, rs7586331, rs6435677, rs7589350, rs991495, rs4673638, rsl439236, rsl439235, rsl439234, rsl439233, rs6435678, rsl439255, rsl439254, rsl 159709, rs7570078, rsl439253, rs7597246, rs4673639, rs7577632, rs7608500, rs7565912, rs7595501, rs7595439, rs5006043, rs5006044, rs984776, rs984775, rs984774, rslO25753, rs984773, rslO25752, rs2017322, rs4366845, rs983562, rs983563, rs4377282, rs983566, rsl439252, rs2556338, rs2662640, rs2556337, rs7569728, rs2165097 and rs2068401 were tested for association with type II diabetes. Polymorphic variants at the following positions were associated with an increased risk of type II diabetes: rs4673633, rs2118891, rs6435675, rsl371202, rsl371201, rsl371200, rsl371199, rs4606869, rsl439242, rsl439241, rsl439240, rs4673636, rs714393, rs714394, rsl439238, rsl439237, rs991477, rs991476, rs7594604, rs4673637, rs7589350, rs991495, rs4673638, rsl439236, rsl439235, rsl439234, rsl439233, rsl439254, rs7570078, rs7597246, rs4673639, rs7595501, rs5006043, rs984775, rs984774, rs984773, rsl439252 and rs2068401. At these positions, an adenine at position 13039, a guanine at position 34385, an adenine at position 42390, a guanine at position 45899, a guanine at position 46067, an adenine at position 46134, a cytosine at position 46156, a cytosine at position 49426, an adenine at position 49499, a guanine at position 50122, a thymine at position 50270, an adenine at position 51695, a cytosine at position 53460, an adenine at position 53517, a guanine at position 56596, a guanine at position 56886, a cytosine at position 58003, a thymine at position 58097, an adenine at position 59134, a cytosine at position 59380, a cytosine at position 60771, a cytosine at position 61548, a thymine at position 62270, a thymine at position 62807, an adenine at position 63770, a thymine at position 63977, an adenine at position 64041, an adenine at position 69695, a guanine at position 71774, an adenine at position 72122, a cytosine at position 72396, a thymine at position 76559, an adenine at position 77367, a thymine at position 77643, a cytosine at position 77651, a guanine at position 77768, a guanine at position 91886 and a thymine at position 98928 were associated with risk of type II diabetes.
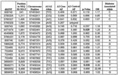
[0032] Based in part upon analyses summarized in Figures 1 A-IC, 2A-2C, 3A-3C, and 4A-4C regions with significant association have been identified in loci associated with type II diabetes. Any polymorphic variants associated with type II diabetes in a region of significant association can be utilized for embodiments described herein. The following reports such regions, where "begin" and "end" designate the boundaries of the region according to chromosome positions within NCBI' s Genome build 34. The locus, the chromosome on which the locus resides and an incident polymorphism in the locus also are noted.
Figure imgf000013_0001
Additional Polymorphic Variants Associated with Type II Diabetes
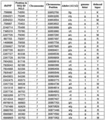
[0033] Also provided is a method for identifying polymorphic variants proximal to an incident, founder polymorphic variant associated with type II diabetes. Thus, featured herein are methods for identifying a polymorphic variation associated with type II diabetes that is proximal to an incident polymorphic variation associated with type II diabetes, which comprises identifying a polymorphic variant proximal to the incident polymorphic variant associated with type II diabetes, where the incident polymorphic variant is in a VMD2L3, GPR97, ADCYAPlRl, ERBB4, ABCBl or ABL2 nucleotide sequence. The nucleotide sequence often comprises a polynucleotide sequence selected from the group consisting of (a) a polynucleotide sequence of SEQ ID NO: 1-11 or referenced in Table 4; (b) a polynucleotide sequence that encodes a polypeptide having an amino acid sequence encoded by a polynucleotide sequence of SEQ ID NO: 1-11 or referenced in Table 4; and (c) a polynucleotide sequence that encodes a polypeptide having an amino acid sequence that is 90% or more identical to an amino acid sequence encoded by a nucleotide sequence of SEQ ID NO: 1-11 or referenced in Table 4 or a polynucleotide sequence 90% or more identical to the polynucleotide sequence of SEQ ID NO: 1-11 or referenced in Table 4. The presence or absence of an association of the proximal polymorphic variant with type II diabetes then is determined using a known association method, such as a method described in the Examples hereafter. In an embodiment, the incident polymorphic variant is a polymorphic variant associated with type II diabetes described herein. In another embodiment, the proximal polymorphic variant identified sometimes is a publicly disclosed polymorphic variant, which for example, sometimes is published in a publicly available database. In other embodiments, the polymorphic variant identified is not publicly disclosed and is discovered using a known method, including, but not limited to, sequencing a region surrounding the incident polymorphic variant in a group of nucleic samples. Thus, multiple polymorphic variants proximal to an incident polymorphic variant are associated with type II diabetes using this method.
[0034] The proximal polymorphic variant often is identified in a region surrounding the incident polymorphic variant. In certain embodiments, this surrounding region is about 50 kb flanking the first polymorphic variant {e.g. about 50 kb 5' of the first polymorphic variant and about 50 kb 3' of the first polymorphic variant), and the region sometimes is composed of shorter flanking sequences, such as flanking sequences of about 40 kb, about 30 kb, about 25 kb, about 20 kb, about 15 kb, about 10 kb, about 7 kb, about 5 kb, or about 2 kb 5' and 3' of the incident polymorphic variant. In other embodiments, the region is composed of longer flanking sequences, such as flanking sequences of about 55 kb, about 60 kb, about 65 kb, about 70 kb, about 75 kb, about 80 kb, about 85 kb, about 90 kb, about 95 kb, or about 100 kb 5' and 3' of the incident polymorphic variant.
[0035] In certain embodiments, polymorphic variants associated with type II diabetes are identified iteratively. For example, a first proximal polymorphic variant is associated with type II diabetes using the methods described above and then another polymorphic variant proximal to the first proximal polymorphic variant is identified (e.g., publicly disclosed or discovered) and the presence or absence of an association of one or more other polymorphic variants proximal to the first proximal polymorphic variant with type II diabetes is determined.
[0036] The methods described herein are useful for identifying or discovering additional polymorphic variants that may be used to further characterize a gene, region or loci associated with a condition, a disease (e.g., type II diabetes), or a disorder. For example, allelotyping or genotyping data from the additional polymorphic variants may be used to identify a functional mutation or a region of linkage disequilibrium. In certain embodiments, polymorphic variants identified or discovered within a region comprising the first polymorphic variant associated with type II diabetes are genotyped using the genetic methods and sample selection techniques described herein, and it can be determined whether those polymorphic variants are in linkage disequilibrium with the first polymorphic variant. The size of the region in linkage disequilibrium with the first polymorphic variant also can be assessed using these genotyping methods. Thus, provided herein are methods for determining whether a polymorphic variant is in linkage disequilibrium with a first polymorphic variant associated with type II diabetes, and such information can be used in prognosis/diagnosis methods described herein.
Isolated Nucleic Acids
[0037] Featured herein are isolated VMD2L3, GPR97, ADCYAPlRl, ERBB4, ABCBl or ABL2 nucleic acid variants depicted in SEQ ID NO: 1-11 or referenced in Table 4, and substantially identical nucleic acids thereof. A nucleic acid variant may be represented on one or both strands in a double-stranded nucleic acid or on one chromosomal complement (heterozygous) or both chromosomal complements (homozygous).
[0038] As used herein, the term "nucleic acid" includes DNA molecules (e.g., a complementary DNA (cDNA) and genomic DNA (gDNA)) and RNA molecules (e.g., mRNA, rRNA, siRNA and tRNA) and analogs of DNA or RNA, for example, by use of nucleotide analogs. The nucleic acid molecule can be single-stranded and it is often double-stranded. The term "isolated or purified nucleic acid" refers to nucleic acids that are separated from other nucleic acids present in the natural source of the nucleic acid. For example, with regard to genomic DNA, the term "isolated" includes nucleic acids which are separated from the chromosome with which the genomic DNA is naturally associated. An "isolated" nucleic acid is often free of sequences which naturally flank the nucleic acid (i.e., sequences located at the 5' and/or 3' ends of the nucleic acid) in the genomic DNA of the organism from which the nucleic acid is derived. For example, in various embodiments, the isolated nucleic acid molecule can contain less than about 5 kb, 4 kb, 3 kb, 2 kb, 1 kb, 0.5 kb or 0.1 kb of 5' and/or 3' nucleotide sequences which flank the nucleic acid molecule in genomic DNA of the cell from which the nucleic acid is derived. Moreover, an "isolated" nucleic acid molecule, such as a cDNA molecule, can be substantially free of other cellular material, or culture medium when produced by recombinant techniques, or substantially free of chemical precursors or other chemicals when chemically synthesized. As used herein, the term "gene" refers to a nucleotide sequence that encodes a polypeptide.
[0039] The nucleic acid often comprises a part of or all of a nucleotide sequence in SEQ ID NO: 1, 2, 3, 4, 5, 6, 7, 8, 9, 10 and/or 11, or a substantially identical sequence thereof. Such a nucleotide sequence sometimes is a 5' and/or 3' sequence flanking a polymorphic variant described above that is 5-10000 nucleotides in length, or in some embodiments 5-5000, 5-1000, 5-500, 5-100, 5-75, 5-50, 5-45, 5-40, 5-35, 5-30, 5-25 or 5-20 nucleotides in length.
[0040] Also included herein are nucleic acid fragments. These fragments often are a nucleotide sequence identical to a nucleotide sequence of SEQ ID NO: 1-11 or referenced in Table 4, a nucleotide sequence substantially identical to a nucleotide sequence of SEQ ID NO: 1-11 or referenced in Table 4, or a nucleotide sequence that is complementary to the foregoing. The nucleic acid fragment may be identical, substantially identical or homologous to a nucleotide sequence in an exon or an intron in a nucleotide sequence of SEQ ID NO: 1-11 or referenced in Table 4, and may encode a domain or part of a domain of a polypeptide. Sometimes, the fragment will comprises one or more of the polymorphic variations described herein as being associated with type II diabetes. The nucleic acid fragment is often 50, 100, or 200 or fewer base pairs in length, and is sometimes about 300, 400, 500, 600, 700, 800, 900, 1000, 1100, 1200, 1300, 1400, 1500, 2000, 3000, 4000, 5000, 10000, 15000, or 20000 base pairs in length. A nucleic acid fragment that is complementary to a nucleotide sequence identical or substantially identical to a nucleotide sequence in SEQ ID NO: 1-11 or referenced in Table 4 and hybridizes to such a nucleotide sequence under stringent conditions is often referred to as a "probe." Nucleic acid fragments often include one or more polymorphic sites, or sometimes have an end that is adjacent to a polymorphic site as described hereafter.
[0041] An example of a nucleic acid fragment is an oligonucleotide. As used herein, the term "oligonucleotide" refers to a nucleic acid comprising about 8 to about 50 covalently linked nucleotides, often comprising from about 8 to about 35 nucleotides, and more often from about 10 to about 25 nucleotides. The backbone and nucleotides within an oligonucleotide may be the same as those of naturally occurring nucleic acids, or analogs or derivatives of naturally occurring nucleic acids, provided that oligonucleotides having such analogs or derivatives retain the ability to hybridize specifically to a nucleic acid comprising a targeted polymorphism. Oligonucleotides described herein may be used as hybridization probes or as components of prognostic or diagnostic assays, for example, as described herein.
[0042] Oligonucleotides are typically synthesized using standard methods and equipment, such as the ABFM3900 High Throughput DNA Synthesizer and the EXPEDITE™ 8909 Nucleic Acid Synthesizer, both of which are available from Applied Biosystems (Foster City, CA). Analogs and derivatives are exemplified in U.S. Pat. Nos. 4,469,863; 5,536,821; 5,541,306; 5,637,683; 5,637,684; 5,700,922; 5,717,083; 5,719,262; 5,739,308; 5,773,601; 5,886,165; 5,929,226; 5,977,296; 6,140,482; WO 00/56746; WO 01/14398, and related publications. Methods for synthesizing oligonucleotides comprising such analogs or derivatives are disclosed, for example, in the patent publications cited above and in U.S. Pat. Nos. 5,614,622; 5,739,314; 5,955,599; 5,962,674; 6,117,992; in WO 00/75372; and in related publications.
[0043] Oligonucleotides may also be linked to a second moiety. The second moiety may be an additional nucleotide sequence such as a tail sequence (e.g., a polyadenosine tail), an adapter sequence (e.g., phage Ml 3 universal tail sequence), and others. Alternatively, the second moiety may be a non-nucleotide moiety such as a moiety which facilitates linkage to a solid support or a label to facilitate detection of the oligonucleotide. Such labels include, without limitation, a radioactive label, a fluorescent label, a chemiluminescent label, a paramagnetic label, and the like. The second moiety may be attached to any position of the oligonucleotide, provided the oligonucleotide can hybridize to the nucleic acid comprising the polymorphism.
Uses for Nucleic Acid Sequence
[0044] Nucleic acid coding sequences (e.g., SEQ ID NOS: 5-11) may be used for diagnostic purposes for detection and control of polypeptide expression. Also, included herein are oligonucleotide sequences such as antisense RNA, small-interfering RNA (siRNA) and DNA molecules and ribozymes that function to inhibit translation of a polypeptide. Antisense techniques and RNA interference techniques are known in the art and are described herein.
[0045] Ribozymes are enzymatic RNA molecules capable of catalyzing the specific cleavage of RNA. The mechanism of ribozyme action involves sequence specific hybridization of the ribozyme molecule to complementary target RNA, followed by endonucleolytic cleavage. For example, hammerhead motif ribozyme molecules may be engineered that specifically and efficiently catalyze endonucleolytic cleavage of KNA sequences corresponding to or complementary to VMD2L3, GPR97, ADCYAPlRl, ERBB4, ABCBl or ABL2 nucleotide sequences. Specific ribozyme cleavage sites within any potential KNA target are initially identified by scanning the target molecule for ribozyme cleavage sites which include the following sequences, GUA, GUU and GUC. Once identified, short RNA sequences of between fifteen (15) and twenty (20) ribonucleotides corresponding to the region of the target gene containing the cleavage site may be evaluated for predicted structural features such as secondary structure that may render the oligonucleotide sequence unsuitable. The suitability of candidate targets may also be evaluated by testing their accessibility to hybridization with complementary oligonucleotides, using ribonuclease protection assays.
[0046] Antisense RNA and DNA molecules, siRNA and ribozymes may be prepared by any method known in the art for the synthesis of RNA molecules. These include techniques for chemically synthesizing oligodeoxyribonucleotides well known in the art such as solid phase phosphoramidite chemical synthesis. Alternatively, RNA molecules may be generated by in vitro and in vivo transcription of DNA sequences encoding the antisense KNA molecule. Such DNA sequences maybe incorporated into a wide variety of vectors which incorporate suitable RNA polymerase promoters such as the T7 or SP6 polymerase promoters. Alternatively, antisense cDNA constructs that synthesize antisense RNA constitutively or inducibly, depending on the promoter used, can be introduced stably into cell lines.
[0047] DNA encoding a polypeptide also may have a number of uses for the diagnosis of diseases, including type II diabetes, resulting from aberrant expression of a target gene described herein. For example, the nucleic acid sequence may be used in hybridization assays of biopsies or autopsies to diagnose abnormalities of expression or function (e.g., Southern or Northern blot analysis, in situ hybridization assays).
[0048] Ih addition, the expression of a polypeptide during embryonic development may also be determined using nucleic acid encoding the polypeptide. As addressed, infra, production of functionally impaired polypeptide is the cause of various disease states, such as type II diabetes. In situ hybridizations using polypeptide as a probe may be employed to predict problems related to type II diabetes. Further, as indicated, infra, administration of human active polypeptide, recombinantly produced as described herein, may be used to treat disease states related to functionally impaired polypeptide. Alternatively, gene therapy approaches may be employed to remedy deficiencies of functional polypeptide or to replace or compete with dysfunctional polypeptide.
Expression Vectors. Host Cells, and Genetically Engineered Cells [0049] Provided herein are nucleic acid vectors, often expression vectors, which contain a VMD2L3, GPR97, ADCYAPlRl, ERBB4, ABCBl or ABL2 nucleotide sequence or a substantially identical sequence thereof. As used herein, the term "vector" refers to a nucleic acid molecule capable of transporting another nucleic acid to which it has been linked and can include a plasmid, cosmid, or viral vector. The vector can be capable of autonomous replication or it can integrate into a host DNA. Viral vectors may include replication defective retroviruses, adenoviruses and adeno- associated viruses for example.
[0050] A vector can include a VMD2L3, GPR97, ADCYAPlRl, ERBB4, ABCBl oτABL2 nucleotide sequence in a form suitable for expression of an encoded target polypeptide or target nucleic acid in a host cell. A "target polypeptide" is a polypeptide encoded by a VMD2L3, GPR97, ADCYAPlRl, ERBB4, ABCBl or ABL2 nucleotide sequence or a substantially identical nucleotide sequence thereof. The recombinant expression vector typically includes one or more regulatory sequences operatively linked to the nucleic acid sequence to be expressed. The term "regulatory sequence" includes promoters, enhancers and other expression control elements (e.g., polyadenylation signals). Regulatory sequences include those that direct constitutive expression of a nucleotide sequence, as well as tissue-specific regulatory and/or inducible sequences. The design of the expression vector can depend on such factors as the choice of the host cell to be transformed, the level of expression of polypeptide desired, and the like. Expression vectors can be introduced into host cells to produce target polypeptides, including fusion polypeptides.
[0051] Recombinant expression vectors can be designed for expression of target polypeptides in prokaryotic or eukaryotic cells. For example, target polypeptides can be expressed in E. coli, insect cells (e.g., using baculovirus expression vectors), yeast cells, or mammalian cells. Suitable host cells are discussed further in Goeddel, Gene Expression Technology: Methods in Enzymology 185, Academic Press, San Diego, CA (1990). Alternatively, the recombinant expression vector can be transcribed and translated in vitro, for example using T7 promoter regulatory sequences and T7 polymerase.
[0052] Expression of polypeptides in prokaryotes is most often carried out in E. coli with vectors containing constitutive or inducible promoters directing the expression of either fusion or non-fusion polypeptides. Fusion vectors add a number of amino acids to a polypeptide encoded therein, usually to the amino terminus of the recombinant polypeptide. Such fusion vectors typically serve three purposes: 1) to increase expression of recombinant polypeptide; 2) to increase the solubility of the- recombinant polypeptide; and 3) to aid in the purification of the recombinant polypeptide by acting as a ligand in affinity purification. Often, a proteolytic cleavage site is introduced at the junction of the fusion moiety and the recombinant polypeptide to enable separation of the recombinant polypeptide from the fusion moiety subsequent to purification of the fusion polypeptide. Such enzymes, and their cognate recognition sequences, include Factor Xa, thrombin and enterokinase. Typical fusion expression vectors include pGEX (Pharmacia Biotech Inc; Smith & Johnson, Gene 67: 31-40 (1988)), pMAL (New England Biolabs, Beverly, MA) and pRTT5 (Pharmacia, Piscataway, NJ) which fuse glutathione S-transferase (GST), maltose E binding polypeptide, or polypeptide A, respectively, to the target recombinant polypeptide.
[0053] Purified fusion polypeptides can be used in screening assays and to generate antibodies specific for target polypeptides. In a therapeutic embodiment, fusion polypeptide expressed in a retroviral expression vector is used to infect bone marrow cells that are subsequently transplanted into irradiated recipients. The pathology of the subject recipient is then examined after sufficient time has passed (e.g., six (6) weeks).
[0054] Expressing the polypeptide in host bacteria with an impaired capacity to proteolytically cleave the recombinant polypeptide is often used to maximize recombinant polypeptide expression (Gottesman, S., Gene Expression Technology: Methods in Enzymology, Academic Press, San Diego, California 185: 119-128 (1990)). Another strategy is to alter the nucleotide sequence of the nucleic acid to be inserted into an expression vector so that the individual codons for each amino acid are those preferentially utilized in E. coli (Wada et al, Nucleic Acids Res. 20: 2111 -2118 (1992)). Such alteration of nucleotide sequences can be carried out by standard DNA synthesis techniques.
[0055] When used in mammalian cells, the expression vector's control functions are often provided by viral regulatory elements. For example, commonly used promoters are derived from polyoma, Adenovirus 2, cytomegalovirus and Simian Virus 40. Recombinant mammalian expression vectors are often capable of directing expression of the nucleic acid in a particular cell type (e.g., tissue-specific regulatory elements are used to express the nucleic acid). Non-limiting examples of suitable tissue-specific promoters include an albumin promoter (liver-specific; Pinkert et ah, Genes Dev. 1: 268-277 (1987)), lymphoid-specific promoters (Calame & Eaton, Adv. Immunol. 43: 235- 275 (1988)), promoters of T cell receptors (Winoto & Baltimore, EMBO J. 8: 729-733 (1989)) promoters of immunoglobulins (Banerji et al, Cell 33: 729-740 (1983); Queen & Baltimore, Cell 33: 741-748 (1983)), neuron-specific promoters (e.g., the neurofilament promoter; Byrne & Ruddle, Pr oc. Natl. Acad. ScL USA 86: 5473-5477 (1989)), pancreas-specific promoters (Edlund et al, Science 230: 912-916 (1985)), and mammary gland-specific promoters (e.g., milk whey promoter; U.S. Patent No. 4,873,316 and European Application Publication No. 264,166). Developmentally- regulated promoters are sometimes utilized, for example, the murine hox promoters (Kessel & Gruss, Science 249: 374-379 (1990)) and the α-fetopolypeptide promoter (Campes & Tilghman, Genes Dev. 3: 537-546 (1989)).
[0056] A VMD2L3, GPR97, ADCYAPlRl, ERBB4, ABCBl or ABL2 nucleic acid may also be cloned into an expression vector in an antisense orientation. Regulatory sequences (e.g., viral promoters and/or enhancers) operatively linked to a VMD2L3, GPR97, ADCYAPlRl, ERBB4, ABCBl or ABL2 nucleic acid cloned in the antisense orientation can be chosen for directing constitutive, tissue specific or cell type specific expression of antisense RNA in a variety of cell types. Antisense expression vectors can be in the form of a recombinant plasmid, phagemid or attenuated virus. For a discussion of the regulation of gene expression using antisense genes see, e.g., Weintraub et ah, Antisense RNA as a molecular tool for genetic analysis, Reviews - Trends in Genetics, Vol. 1(1) (1986).
[0057] Also provided herein are host cells that include a VMD2L3, GPR97, ADCYAPlRl, ERBB4, ABCBl ovABL2 nucleotide sequence within a recombinant expression vector or a fragment of such a nucleotide sequence which facilitate homologous recombination into a specific site of the host cell genome. The terms "host cell" and "recombinant host cell" are used interchangeably herein. Such terms refer not only to the particular subject cell but rather also to the progeny or potential progeny of such a cell. Because certain modifications may occur in succeeding generations due to either mutation or environmental influences, such progeny may not, in fact, be identical to the parent cell, but are still included within the scope of the term as used herein. A host cell can be any prokaryotic or eukaryotic cell. For example, a target polypeptide can be expressed in bacterial cells such as E. coli, insect cells, yeast or mammalian cells (such as Chinese hamster ovary cells (CHO) or COS cells). Other suitable host cells are known to those skilled in the art.
[0058] Vectors can be introduced into host cells via conventional transformation or transfection techniques. As used herein, the terms "transformation" and "transfection" are intended to refer to a variety of art-recognized techniques for introducing foreign nucleic acid (e.g., DNA) into a host cell, including calcium phosphate or calcium chloride co-precipitation, transduction/infection, DEAE- dextran-mediated transfection, lipofection, or electroporation.
[0059] A host cell provided herein can be used to produce (i.e., express) a target polypeptide or a substantially identical polypeptide thereof. Accordingly, further provided are methods for producing a target polypeptide using host cells described herein. In one embodiment, the method includes culturing host cells into which a recombinant expression vector encoding a target polypeptide has been introduced in a suitable medium such that a target polypeptide is produced. In another embodiment, the method further includes isolating a target polypeptide from the medium or the host cell.
[0060] Also provided are cells or purified preparations of cells which include a VMDILi, GPR97, ADCYAPlRl, ERBB4, ABCBl or ABL2 transgene, or which otherwise misexpress target polypeptide. Cell preparations can consist of human or non-human cells, e.g., rodent cells, e.g., mouse or rat cells, rabbit cells, or pig cells. In preferred embodiments, the cell or cells include a VMD2L3, GPR97, ADCYAPlRl, ERBB4, ABCBl oτABL2 transgene (e.g., a heterologous form of a VMD2L3, GPR97, ADCYAPlRl, ERBB4, ABCBl oxABL2 gene, such as a human gene expressed in non-human cells). The transgene can be misexpressed, e.g., overexpressed or underexpressed. In other preferred embodiments, the cell or cells include a gene which misexpress an endogenous target polypeptide {e.g., expression of a gene is disrupted, also known as a knockout). Such cells can serve as a model for studying disorders which are related to mutated or mis-expressed alleles or for use in drug screening. Also provided are human cells {e.g., a hematopoietic stem cells) transformed with a VMD2L3, GPR97, ADCYAPlRl, ERBB4, ABCBl or ABL2 nucleic acid.
[0061] Also provided are cells or a purified preparation thereof {e.g. , human cells) in which an endogenous VMD2L3, GPR97, ADCYAPlRl, ERBB4, ABCBl or ABL2 nucleic acid is under the control of a regulatory sequence that does not normally control the expression of the endogenous gene corresponding to a VMD2L3, GPR97, ADCYAPlRl, ERBB4, ABCBl or ABL2 nucleotide sequence. The expression characteristics of an endogenous gene within a cell {e.g., a cell line or microorganism) can be modified by inserting a heterologous DNA regulatory element into the genome of the cell such that the inserted regulatory element is operably linked to the corresponding endogenous gene. For example, an endogenous corresponding gene {e.g., a gene which is "transcriptionally silent," not normally expressed, or expressed only at very low levels) may be activated by inserting a regulatory element which is capable of promoting the expression of a normally expressed gene product in that cell. Techniques such as targeted homologous recombinations, can be used to insert the heterologous DNA as described in, e.g., Chappel, US 5,272,071; WO 91/06667, published on May 16, 1991.
Transgenic Animals
[0062] Non-human transgenic animals that express a heterologous target polypeptide {e.g., expressed from a VMD2L3, GPR97, ADCYAPlRl, ERBB4, ABCBl or ABL2 nucleic acid or substantially identical sequence thereof) can be generated. Such animals are useful for studying the function and/or activity of a target polypeptide and for identifying and/or evaluating modulators of the activity of VMD2L3, GPR97, ADCYAPlRl, ERBB4, ABCBl or ABL2 nucleic acids and encoded polypeptides. As used herein, a "transgenic animal" is a non-human animal such as a mammal {e.g., a non-human primate such as chimpanzee, baboon, or macaque; an ungulate such as an equine, bovine, or caprine; or a rodent such as a rat, a mouse, or an Israeli sand rat), a bird (e.g., a chicken or a turkey), an amphibian {e.g., a frog, salamander, or newt), or an insect {e.g., Drosophila melanogaster), in which one or more of the cells of the animal includes a transgene. A transgene is exogenous DNA or a rearrangement {e.g., a deletion of endogenous chromosomal DNA) that is often integrated into or occurs in the genome of cells in a transgenic animal. A transgene can direct expression of an encoded gene product in one or more cell types or tissues of the transgenic animal, and other transgenes can reduce expression {e.g., a knockout). Thus, a transgenic animal can be one in which an endogenous nucleic acid homologous to a VMD2L3, GPR97, ADCYAPlRl, ERBB4, ABCBl or ABL2 nucleic acid has been altered by homologous recombination between the endogenous gene and an exogenous DNA molecule introduced into a cell of the animal {e.g., an embryonic cell of the animal) prior to development of the animal.
[0063] Intronic sequences and polyadenylation signals can also be included in the transgene to increase expression efficiency of the transgene. One or more tissue-specific regulatory sequences can be operably linked to a VMD2L3, GPR97, ADCYAPlRl, ERBB4, ABCBl or ABL2 nucleotide sequence to direct expression of an encoded polypeptide to particular cells. A transgenic founder animal can be identified based upon the presence of a VMD2L3, GPR97, ADCYAPlRl, ERBB4, ABCBl or ABL2 nucleotide sequence in its genome and/or expression of encoded mRNA in tissues or cells of the animals. A transgenic founder animal can then be used to breed additional animals carrying the transgene. Moreover, transgenic animals carrying a VMD2L3, GPR97, ADCYAPlRl, ERBB4, ABCBl or ABL2 nucleotide sequence can further be bred to other transgenic animals carrying other transgenes.
[0064] Target polypeptides can be expressed in transgenic animals or plants by introducing, for example, a VMD2L3, GPR97, ADCYAPlRl, ERBB4, ABCBl oxABL2 nucleic acid into the genome of an animal that encodes the target polypeptide. La preferred embodiments the nucleic acid is placed under the control of a tissue specific promoter, e.g. , a milk or egg specific promoter, and recovered from the milk or eggs produced by the animal. Also included is a population of cells from a transgenic animal.
Target Polypeptides
[0065] Also featured herein are isolated target polypeptides, which are encoded by a VMD2L3, GPR97, ADCYAPlRl, ERBB4, ABCBl or ABL2 nucleotide sequence (e.g., SEQ ID NO: 1-11 or referenced in Table 4) or a substantially identical nucleotide sequence thereof, such as the polypeptides having amino acid sequences in SEQ ID NOs: 12-18). The term "polypeptide" as used herein includes proteins and peptides. An "isolated" or "purified" polypeptide or protein is substantially free of cellular material or other contaminating proteins from the cell or tissue source . from which the protein is derived, or substantially free from chemical precursors or other chemicals when chemically synthesized. In one embodiment, the language "substantially free" means preparation of a target polypeptide having less than about 30%, 20%, 10% and more preferably 5% (by dry weight), of non-target polypeptide (also referred to herein as a "contaminating protein"), or of chemical precursors or non-target chemicals. When the target polypeptide or a biologically active portion thereof is recombinantly produced, it is also preferably substantially free of culture medium, specifically, where culture medium represents less than about 20%, sometimes less than about 10%, and often less than about 5% of the volume of the polypeptide preparation. Isolated or purified target polypeptide preparations are sometimes 0.01 milligrams or more or 0.1 milligrams or more, and often 1.0 milligrams or more and 10 milligrams or more in dry weight. In certain embodiments, a polypeptide includes an amino acid resulting from a non-synonymous modification associated with type II diabetes, such as a serine corresponding to position 399 in an ABCBl polypeptide (e.g., SEQ ID NO: 16) or a threonine corresponding to position 12 in W.ABL2 polypeptide (e.g., SEQ ID NO: 17).
[0066] Further included herein are target polypeptide fragments. The polypeptide fragment may be a domain or part of a domain of a target polypeptide. The polypeptide fragment may have increased, decreased or unexpected biological activity. The polypeptide fragment is often 50 or fewer, 100 or fewer, or 200 or fewer amino acids in length, and is sometimes 300, 400, 500, 600, 700, or 900 or fewer amino acids in length.
[0067] Substantially identical target polypeptides may depart from the amino acid sequences of target polypeptides in different manners. For example, conservative amino acid modifications may be introduced at one or more positions in the amino acid sequences of target polypeptides. A "conservative amino acid substitution" is one in which the amino acid is replaced by another amino acid having a similar structure and/or chemical function. Families of amino acid residues having similar structures and functions are well known. These families include amino acids with basic side chains (e.g., lysine, arginine, histidine), acidic side chains (e.g., aspartic acid, glutamic acid), uncharged polar side chains (e.g., glycine, asparagine, glutamine, serine, threonine, tyrosine, cysteine), nonpolar side chains (e.g., alanine, valine, leucine, isoleucine, proline, phenylalanine, methionine, tryptophan), beta-branched side chains (e.g., threonine, valine, isoleucine) and aromatic side chains (e.g., tyrosine, phenylalanine, tryptophan, histidine). Also, essential and non-essential amino acids may be replaced. A "non-essential" amino acid is one that can be altered without abolishing or substantially altering the biological function of a target polypeptide, whereas altering an "essential" amino acid abolishes or substantially alters the biological function of a target polypeptide. Amino acids that are conserved among target polypeptides are typically essential amino acids.
[0068] Also, target polypeptides may exist as chimeric or fusion polypeptides. As used herein, a target "chimeric polypeptide" or target "fusion polypeptide" includes a target polypeptide linked to a non-target polypeptide. A "non-target polypeptide" refers to a polypeptide having an amino acid sequence corresponding to a polypeptide which is not substantially identical to the target polypeptide, which includes, for example, a polypeptide that is different from the target polypeptide and derived from the same or a different organism. The target polypeptide in the fusion polypeptide can correspond to an entire or nearly entire target polypeptide or a fragment thereof. The non-target polypeptide can be fused to the N-terminus or C-terminus of the target polypeptide. [0069] Fusion polypeptides can include a moiety having high affinity for a ligand. For example, the fusion polypeptide can be a GST-target fusion polypeptide in which the target sequences are fused to the C-terminus of the GST sequences, or a polyhistidine-target fusion polypeptide in which the target polypeptide is fused at the N- or C-terminus to a string of histidine residues. Such fusion polypeptides can facilitate purification of recombinant target polypeptide. Expression vectors are commercially available that already encode a fusion moiety (e.g., a GST polypeptide), and a nucleotide sequence in SEQ ID NO: 1-11 or referenced in Table 4, or a substantially identical nucleotide sequence thereof, can be cloned into an expression vector such that the fusion moiety is linked in-frame to the target polypeptide. Further, the fusion polypeptide can be a target polypeptide containing a heterologous signal sequence at its N-terminus. In certain host cells (e.g., mammalian host cells), expression, secretion, cellular internalization, and cellular localization of a target polypeptide can be increased through use of a heterologous signal sequence. Fusion polypeptides can also include all or a part of a serum polypeptide (e.g., an IgG constant region or human serum albumin).
[0070] Target polypeptides can be incorporated into pharmaceutical compositions and administered to a subject in vivo. Administration of these target polypeptides can be used to affect the bioavailability of a substrate of the target polypeptide and may effectively increase target polypeptide biological activity in a cell. Target fusion polypeptides may be useful therapeutically for the treatment of disorders caused by, for example, (i) aberrant modification or mutation of a gene encoding a target polypeptide; (ii) mis-regulation of the gene encoding the target polypeptide; and (iii) aberrant post-translational modification of a target polypeptide. Also, target polypeptides can be used as immunogens to produce anti-target antibodies in a subject, to purify target polypeptide ligands or binding partners, and in screening assays to identify molecules which inhibit or enhance the interaction of a target polypeptide with a substrate.
[0071] In addition, polypeptides can be chemically synthesized using techniques known in the art (See, e.g., Creighton, 1983 Proteins. New York, N. Y.: W. H. Freeman and Company; and Hunkapiller et al, (1984) Nature July 12 -18;310(5973):105-ll). For example, a relative short fragment can be synthesized by use of a peptide synthesizer. Furthermore, if desired, non-classical amino acids or chemical amino acid analogs can be introduced as a substitution or addition into the fragment sequence. Non-classical amino acids include, but are not limited to, to the D-isomers of the common amino acids, 2,4-diaminobutyric acid, a-amino isobutyric acid, 4-aminobutyric acid, Abu, 2- amino butyric acid, g-Abu, e-Ahx, 6-amino hexanoic acid, Aib, 2-amino isobutyric acid, 3-amino propionic acid, ornithine, norleucine, norvaline, hydroxyproline, sarcosine, citrulline, homocitrulline, cysteic acid, t-butylglycine, t-butylalanine, phenylglycine, cyclohexylalanine, b-alanine, fluoroamino acids, designer amino acids such as b-methyl amino acids, Ca-methyl amino acids, Na-methyl amino acids, and amino acid analogs in general. Furthermore, the amino acid can be D (dextrorotary) or L (levorotary).
[0072] Polypeptides and polypeptide fragments sometimes are differentially modified during or after translation, e.g., by glycosylation, acetylation, phosphorylation, amidation, derivatization by known protecting/blocking groups, proteolytic cleavage, linkage to an antibody molecule or other cellular ligand, etc. Any of numerous chemical modifications may be carried out by known techniques, including but not limited, to specific chemical cleavage by cyanogen bromide, trypsin, chymotrypsin, papain, V8 protease, NaBH4; acetylation, formylation, oxidation, reduction; metabolic synthesis in the presence of tunicamycin; and the like. Additional post-translational modifications include, for example, N-linked or O-linked carbohydrate chains, processing of N-teπninal or C- terminal ends), attachment of chemical moieties to the amino acid backbone, chemical modifications of N-linked or O-linked carbohydrate chains, and addition or deletion of an N-terminal methionine residue as a result of prokaryotic host cell expression. The polypeptide fragments may also be modified with a detectable label, such as an enzymatic, fluorescent, isotopic or affinity label to allow for detection and isolation of the polypeptide.
[0073] Also provided are chemically modified derivatives of polypeptides that can provide additional advantages such as increased solubility, stability and circulating time of the polypeptide, or decreased immunogenicity (see e.g., U.S. Pat. No: 4,179,337. The chemical moieties for derivitization may be selected from water soluble polymers such as polyethylene glycol, ethylene glycol/propylene glycol copolymers, carboxymethylcellulose, dextran, polyvinyl alcohol and the like. The polypeptides may be modified at random positions within the molecule, or at predetermined positions within the molecule and may include one, two, three or more attached chemical moieties.
[0074] The polymer may be of any molecular weight, and may be branched or unbranched. For polyethylene glycol, the preferred molecular weight is between about 1 kDa and about 100 kDa (the term "about" indicating that in preparations of polyethylene glycol, some molecules will weigh more, some less, than the stated molecular weight) for ease in handling and manufacturing. Other sizes may be used, depending on the desired therapeutic profile (e.g., the duration of sustained release desired, the effects, if any on biological activity, the ease in handling, the degree or lack of antigenicity and other known effects of the polyethylene glycol to a therapeutic protein or analog).
[0075] The polymers should be attached to the polypeptide with consideration of effects on functional or antigenic domains of the polypeptide. There are a number of attachment methods available to those skilled in the art (e.g., EP 0 401 384 (coupling PEG to G-CSF) and Malik et al. (1992) Exp Hematol. September;20(8):1028-35 (pegylation of GM-CSF using tresyl chloride)). For example, polyethylene glycol may be covalently bound through amino acid residues via a reactive group, such as a free amino or carboxyl group. Reactive groups are those to which an activated polyethylene glycol molecule may be bound. The amino acid residues having a free amino group may include lysine residues and the N-terminal amino acid residues; those having a free carboxyl group may include aspartic acid residues, glutamic acid residues and the C-terminal amino acid residue. Sulfhydryl groups may also be used as a reactive group for attaching the polyethylene glycol molecules. For therapeutic purposes, the attachment sometimes is at an amino group, such as attachment at the N-terminus or lysine group.
[0076] Proteins can be chemically modified at the N-terminus. Using polyethylene glycol as an illustration of such a composition, one may select from a variety of polyethylene glycol molecules (by molecular weight, branching, and the like), the proportion of polyethylene glycol molecules to protein (polypeptide) molecules in the reaction mix, the type of pegylation reaction to be performed, and the method of obtaining the selected N-terminally pegylated protein. The method of obtaining the N-terminally pegylated preparation {i.e., separating this moiety from other monopegylated moieties if necessary) may be by purification of the N-terminally pegylated material from a population of pegylated protein molecules. Selective proteins chemically modified at the N-terminus may be accomplished by reductive alkylation, which exploits differential reactivity of different types of primary amino groups (lysine versus the N-terminal) available for derivatization in a particular protein. Under the appropriate reaction conditions, substantially selective derivatization of the protein at the N-terminus with a carbonyl group containing polymer is achieved.
Substantially Identical Nucleic Acids and Polypeptides
[0077] Nucleotide sequences and polypeptide sequences that are substantially identical to a VMD2L3, GPR97, ADCYAPlRl, ERBB4, ABCBl or ABL2 nucleotide sequence and the target polypeptide sequences encoded by those nucleotide sequences, respectively, are included herein. The term "substantially identical" as used herein refers to two or more nucleic acids or polypeptides sharing one or more identical nucleotide sequences or polypeptide sequences, respectively. Included are nucleotide sequences or polypeptide sequences that are 55% or more, 60% or more, 65% or more, 70% or more, 75% or more, 80% or more, 85% or more, 90% or more, 95% or more (each often within a 1%, 2%, 3% or 4% variability) identical to a VMD2L3, GPR97, ADCYAPlRl, ERBB4, ABCBl or ABL2 nucleotide sequence or the encoded target polypeptide amino acid sequences. One test for determining whether two nucleic acids are substantially identical is to determine the percent of identical nucleotide sequences or polypeptide sequences shared between the nucleic acids or polypeptides.
[0078] Calculations of sequence identity are often performed as follows. Sequences are aligned for optimal comparison purposes {e.g., gaps can be introduced hi one or both of a first and a second ammo acid or nucleic acid sequence for optimal alignment and non-homologous sequences can be disregarded for comparison purposes). The length of a reference sequence aligned for comparison purposes is sometimes 30% or more, 40% or more, 50% or more, often 60% or more, and more often 70% or more, 80% or more, 90% or more, or 100% of the length of the reference sequence. The nucleotides or amino acids at corresponding nucleotide or polypeptide positions, respectively, are then compared among the two sequences. When a position in the first sequence is occupied by the same nucleotide or amino acid as the corresponding position in the second sequence, the nucleotides or amino acids are deemed to be identical at that position. The percent identity between the two sequences is a function of the number of identical positions shared by the sequences, taking into account the number of gaps, and the length of each gap, introduced for optimal alignment of the two sequences.
[0079] Comparison of sequences and determination of percent identity between two sequences can be accomplished using a mathematical algorithm. Percent identity between two amino acid or nucleotide sequences can be determined using the algorithm of Meyers & Miller, CABIOS 4: 11-17 (1989), which has been incorporated into the ALIGN program (version 2.0), using a PAM120 weight residue table, a gap length penalty of 12 and a gap penalty of 4. Also, percent identity between two amino acid sequences can be determined using the Needleman & Wunsch, J. MoI. Biol. 48: 444-453 (1970) algorithm which has been incorporated into the GAP program in the GCG software package (available at the http address www.gcg.com), using either a Blossum 62 matrix or a PAM250 matrix, and a gap weight of 16, 14, 12, 10, 8, 6, or 4 and a length weight of 1, 2, 3, 4, 5, or 6. Percent identity between two nucleotide sequences can be determined using the GAP program in the GCG software package (available at http address www.gcg.com), using a NWSgapdna.CMP matrix and a gap weight of 40, 50, 60, 70, or 80 and a length weight of 1, 2, 3, 4, 5, or 6. A set of parameters often used is a Blossum 62 scoring matrix with a gap open penalty of 12, a gap extend penalty of 4, and a frameshift gap penalty of 5.
[0080] Another manner for determining if two nucleic acids are substantially identical is to assess whether a polynucleotide homologous to one nucleic acid will hybridize to the other nucleic acid under stringent conditions. As use herein, the term "stringent conditions" refers to conditions for hybridization and washing. Stringent conditions are known to those skilled in the art and can be found in Current Protocols in Molecular Biology, John Wiley & Sons, N.Y. , 6.3.1-3.3.6 (1989). Aqueous and non-aqueous methods are described in that reference and either can be used. An example of stringent hybridization conditions is hybridization in 6X sodium chloride/sodium citrate (SSC) at about 45°C, followed by one or more washes in 0.2X SSC, 0.1% SDS at 5O0C. Another example of stringent hybridization conditions are hybridization in 6X sodium chloride/sodium citrate (SSC) at about 450C, followed by one or more washes in 0.2X SSC, 0.1% SDS at 55°C. A further example of stringent hybridization conditions is hybridization in 6X sodium chloride/sodium citrate (SSC) at about 45°C, followed by one or more washes in 0.2X SSC, 0.1% SDS at 6O0C. Often, stringent hybridization conditions are hybridization in 6X sodium chloride/sodium citrate (SSC) at about 45°C, followed by one or more washes in 0.2X SSC, 0.1% SDS at 650C. More often, stringency conditions are 0.5M sodium phosphate, 7% SDS at 65°C, followed by one or more washes at 0.2X SSC, 1% SDS at 65°C.
[0081] An example of a substantially identical nucleotide sequence to a nucleotide sequence in SEQ ID NO: 1-11 or referenced in Table 4 is one that has a different nucleotide sequence but still encodes the same polypeptide sequence encoded by the nucleotide sequence in SEQ TD NO: 1-11 or referenced in Table 4. Another example is a nucleotide sequence that encodes a polypeptide having a polypeptide sequence that is more than 70% or more identical to, sometimes more than 75% or more, 80% or more, or 85% or more identical to, and often more than 90% or more and 95% or more identical to a polypeptide sequence encoded by a nucleotide sequence in SEQ ID NO: 1-11 or referenced in Table 4. As used herein, "SEQ ID NO: 1-11" typically refers to one or more sequences in SEQ ID NO: 1, 2, 3, 4, 5, 6, 7, 8, 9, 10 and/or 11. Many of the embodiments described herein are applicable to (a) a nucleotide sequence of SEQ ID NO: 1-11; (b) a nucleotide sequence which encodes a polypeptide consisting of an amino acid sequence encoded by a nucleotide sequence of SEQ ID NO: 1 -11 ; (c) a nucleotide sequence which encodes a polypeptide that is 90% or more identical to an amino acid sequence encoded by a nucleotide sequence of SEQ ID NO: 1-11, or a nucleotide sequence about 90% or more identical to a nucleotide sequence of SEQ ID NO : 1-11; (d) a fragment of a nucleotide sequence of (a), (b), or (c); and/or a nucleotide sequence complementary to the nucleotide sequences of (a), (b), (c) and/or (d), where nucleotide sequences of (b) and (c), fragments of (b) and (c) and nucleotide sequences complementary to (b) and (c) are examples of substantially identical nucleotide sequences. Examples of substantially identical nucleotide sequences include nucleotide sequences from subjects that differ by naturally occurring genetic variance, which sometimes is referred to as background genetic variance (e.g., nucleotide sequences differing by natural genetic variance sometimes are 90%, 91%, 92%, 93%, 94%, 95%, 96%, 97%, 98%, or 99% identical to one another).
[0082] Nucleotide sequences in SEQ ID NO: 1-11 or referenced in Table 4 and amino acid sequences of encoded polypeptides can be used as "query sequences" to perform a search against public databases to identify other family members or related sequences, for example. Such searches can be performed using the NBLAST and XBLAST programs (version 2.0) of Altschul et ah, J. MoI. Biol. 215: 403-10 (1990). BLAST nucleotide searches can be performed with the NBLAST program, score = 100, wordlength = 12 to obtain nucleotide sequences homologous to nucleotide sequences in SEQ ID NO: 1-11 or referenced in Table 4. BLAST polypeptide searches can be performed with the XBLAST program, score = 50, wordlength = 3 to obtain amino acid sequences homologous to polypeptides encoded by the nucleotide sequences of SEQ DD NO: 1-11 or referenced in Table 4. To obtain gapped alignments for comparison purposes, Gapped BLAST can be utilized as described in Altschul et al, Nucleic Acids Res. 25(17): 3389-3402 (1997). When utilizing BLAST and Gapped BLAST programs, default parameters of the respective programs (e.g., XBLAST and NBLAST) can be used (see the http address www.ncbi.nlm.nih.gov).
[0083] A nucleic acid that is substantially identical to a nucleotide sequence in SEQ ID NO: 1- 11 or referenced in Table 4 may include polymorphic sites at positions equivalent to those described herein when the sequences are aligned. For example, using the alignment procedures described herein, SNPs in a sequence substantially identical to a sequence in SEQ ID NO: 1-11 or referenced in Table 4 can be identified at nucleotide positions that match with or correspond to (i. e. , align with) nucleotides at SNP positions in each nucleotide sequence in SEQ ID NO: 1-11 or referenced in Table 4. Also, where a polymorphic variation results in an insertion or deletion, insertion or deletion of a nucleotide sequence from a reference sequence can change the relative positions of other polymorphic sites in the nucleotide sequence.
[0084] Substantially identical nucleotide and polypeptide sequences include those that are naturally occurring, such as allelic variants (same locus), splice variants, homologs (different locus), and orthologs (different organism) or can be non-naturally occurring. Non-naturally occurring variants can be generated by mutagenesis techniques, including those applied to polynucleotides, cells, or organisms. The valiants can contain nucleotide substitutions, deletions, inversions and insertions. Variation can occur in either or both the coding and non-coding regions. The variations can produce both conservative and non-conservative amino acid substitutions (as compared in the encoded product). Orthologs, homologs, allelic variants, and splice variants can be identified using methods known in the art. These variants normally comprise a nucleotide sequence encoding a polypeptide that is 50% or more, about 55% or more, often about 70-75% or more or about 80-85% or more, and sometimes about 90-95% or more identical to the amino acid sequences of target polypeptides or a fragment thereof. Such nucleic acid molecules can readily be identified as being able to hybridize under stringent conditions to a nucleotide sequence in SEQ ID NO: 1-11 or referenced in Table 4 or a fragment of this sequence. Nucleic acid molecules corresponding to orthologs, homologs, and allelic variants of a nucleotide sequence in SEQ ID NO: 1-11 or referenced in Table 4 can further be identified by mapping the sequence to the same chromosome or locus as the nucleotide sequence in SEQ ID NO: 1-11 or referenced in Table 4.
[0085] Also, substantially identical nucleotide sequences may include codons that are altered with respect to the naturally occurring sequence for enhancing expression of a target polypeptide in a particular expression system. For example, the nucleic acid can be one in which one or more codons are altered, and often 10% or more or 20% or more of the codons are altered for optimized expression in bacteria {e.g., E. coli.), yeast (e.g., S. cervesiae), human (e.g., 293 cells), insect, or rodent (e.g., hamster) cells.
Methods for Identifying Subjects at Risk of Diabetes and Risk of Diabetes in a Subject [0086] Methods for prognosing and diagnosing type II diabetes and its related disorders (e.g., metabolic disorders, syndrome X, obesity, insulin resistance, hyperglycemia) are included herein. These methods include detecting the presence or absence of one or more polymorphic variations in a nucleotide sequence associated with type II diabetes, such as variants in or around the loci set forth herein, or a substantially identical sequence thereof, in a sample from a subject, where the presence of a polymorphic variant described herein is indicative of a risk of type II diabetes or one or more type II diabetes related disorders (e.g., metabolic disorders, syndrome X, obesity, central fat, insulin resistance, hyperglycemia). Determining a risk of type II diabetes refers to determining whether an individual is at an increased risk of type II diabetes (e.g., intermediate risk or higher risk).
[0087] Thus, featured herein is a method for identifying a subject who is at risk of type II diabetes, which comprises detecting a type II diabetes-associated aberration in a nucleic acid sample from the subject. An embodiment is a method for detecting a risk of type II diabetes in a subject, which comprises detecting the presence or absence of a polymorphic variation associated with type II diabetes at a polymorphic site in a nucleotide sequence in a nucleic acid sample from a subject, where the nucleotide sequence comprises a polynucleotide sequence selected from the group consisting of: (a) a nucleotide sequence of SEQ ID NO: 1-11 or referenced in Table 4; (b) a nucleotide sequence which encodes a polypeptide consisting of an amino acid sequence encoded by a nucleotide sequence of SEQ ID NO: 1-11 or referenced in Table 4; (c) a nucleotide sequence which encodes a polypeptide that is 90% or more identical to an amino acid sequence encoded by a nucleotide sequence of SEQ ID NO: 1-11 or referenced in Table 4, or a nucleotide sequence about 90% or more identical to a nucleotide sequence of SEQ ID NO: 1 -11 or referenced in Table 4; and (d) a fragment of a nucleotide sequence of (a), (b), or (c) comprising the polymorphic site; whereby the presence of the polymorphic variation is indicative of a predisposition to type II diabetes in the subject. In certain embodiments, polymorphic variants at the positions described herein are detected for determining a risk of type II diabetes, and polymorphic variants at positions in linkage disequilibrium with these positions are detected for determining a risk of type II diabetes. As used herein, "SEQ ID NO: 1-11 or referenced in Table 4" refers to individual sequences in SEQ ID NO: 1, 2, 3, 4, 5, 6, 7, 8, 9, 10 or 11 each sequence being separately applicable to embodiments described herein.
[0088] Results from prognostic tests may be combined with other test results to diagnose type II diabetes related disorders; including metabolic disorders, syndrome X, obesity, insulin resistance, hyperglycemia. For example, prognostic results may be gathered, a patient sample may be ordered based on a determined predisposition to type II diabetes, the patient sample is analyzed, and the results of the analysis may be utilized to diagnose the type II diabetes related condition (e.g., metabolic disorders, syndrome X, obesity, insulin resistance, hyperglycemia). Also type π diabetes diagnostic methods can be developed from studies used to generate prognostic methods in which populations are stratified into subpopulations having different progressions of a type II diabetes related disorder or condition. In another embodiment, prognostic results may be gathered, a patient's „ risk factors for developing type II diabetes (e.g., age, weight, race, diet) analyzed, and a patient sample may be ordered based on a determined predisposition to type II diabetes.
[0089] Risk of type II diabetes sometimes is expressed as a probability, such as an odds ratio, percentage, or risk factor. The risk sometimes is expressed as a relative risk with respect to a population average risk of type II diabetes, and sometimes is expressed as a relative risk with respect to the lowest risk group. Such relative risk assessments often are based upon penetrance values determined by statistical methods and are particularly useful to clinicians and insurance companies for assessing risk of type II diabetes (e.g., a clinician can target appropriate detection, prevention and therapeutic regimens to a patient after determining the patient's risk of type II diabetes, and an insurance company can fine tune actuarial tables based upon population genotype assessments of type II diabetes risk). Risk of type II diabetes sometimes is expressed as an odds ratio, which is the odds of a particular person having a genotype has or will develop type II diabetes with respect to another genotype group (e.g., the most disease protective genotype or population average). The risk often is based upon the presence or absence of one or more polymorphic variants described herein, and also may be based in part upon phenotypic traits of the individual being tested. In an embodiment, two or more polymorphic variations are detected in a VMD2L3, GPR97, ADCYAPlRl, ERBB4, ABCBl or ABL2 locus. In certain embodiments, 3 or more, or 4, 5, 6, 7, 8, 9, 10, 11, 12, 13, 14, 15, 16, 17, 18, 19 or 20 or more polymorphic variants are detected in the sample. Methods for calculating risk based upon patient data are well known (see, e.g. , Agresti, Categorical Data Analysis, 2nd Ed. 2002. Wiley). Allelotyping and genotyping analyses may be carried out in populations other than those exemplified herein to enhance the predictive power of the prognostic method.
[0090] The nucleic acid sample typically is isolated from a biological sample obtained from a subject. For example, nucleic acid can be isolated from blood, saliva, sputum, urine, cell scrapings, and biopsy tissue. The nucleic acid sample can be isolated from a biological sample using standard techniques, such as the technique described in Example 2. As used herein, the term "subject" refers primarily to humans but also refers to other mammals such as dogs, cats, and ungulates (e.g., cattle, sheep, and swine). Subjects also include avians (e.g., chickens and turkeys), reptiles, and fish (e.g., salmon), as embodiments described herein can be adapted to nucleic acid samples isolated from any of these organisms. The nucleic acid sample may be isolated from the subject and then directly utilized in a method for determining the presence of a polymorphic variant, or alternatively, the sample may be isolated and then stored (e.g., frozen) for a period of time before being subjected to analysis.
[0091] The presence or absence of a polymorphic variant is determined using one or both chromosomal complements represented in the nucleic acid sample. Deterarming the presence or absence of a polymorphic variant in both chromosomal complements represented in a nucleic acid sample from a subject having a copy of each chromosome is useful for determining the zygosity of an individual for the polymorphic variant (i.e., whether the individual is homozygous or heterozygous for the polymorphic variant). Any oligonucleotide-based diagnostic may be utilized to determine whether a sample includes the presence or absence of a polymorphic variant in a sample. For example, primer extension methods, ligase sequence determination methods (e.g., U.S. Pat. Nos. 5,679,524 and 5,952,174, and WO 01/27326), mismatch sequence determination methods (e.g., U.S. Pat. Nos. 5,851,770; 5,958,692; 6,110,684; and 6,183,958), microarray sequence determination methods, restriction fragment length polymorphism (KFLP), single strand conformation polymorphism detection (SSCP) (e.g., U.S. Pat. Nos. 5,891,625 and 6,013,499), PCR-based assays (e.g., TAQMAN® PCR System (Applied Biosystems)), and nucleotide sequencing methods may be used.
[0092] Oligonucleotide extension methods typically involve providing a pair of oligonucleotide primers in a polymerase chain reaction (PCR) or in other nucleic acid amplification methods for the purpose of amplifying a region from the nucleic acid sample that comprises the polymorphic variation. One oligonucleotide primer is complementary to a region 3' of the polymorphism and the other is complementary to a region 5' of the polymorphism. A PCR primer pair may be used in methods disclosed in U.S. Pat. Nos. 4,683,195; 4,683,202, 4,965,188; 5,656,493; 5,998,143; 6,140,054; WO 01/27327; and WO 01/27329 for example. PCR primer parrs may also be used in any commercially available machines that perform PCR, such as any of the GENEAMP® Systems available from Applied Biosystems. Also, those of ordinary skill in the art will be able to design oligonucleotide primers based upon a VMD2L3, GPR97, ADCYAPlRl, ERBB4, ABCBl or ABL2 nucleotide sequence using knowledge available in the art.
[0093] Also provided is an extension oligonucleotide that hybridizes to the amplified fragment- adjacent to the polymorphic variation. As used herein, the term "adjacent" refers to the 3' end of the extension oligonucleotide being often 1 nucleotide from the 5' end of the polymorphic site, and sometimes 2, 3, 4, 5, 6, 7, 8, 9, or 10 nucleotides from the 5' end of the polymorphic site, in the nucleic acid when the extension oligonucleotide is hybridized to the nucleic acid. The extension oligonucleotide then is extended by one or more nucleotides, and the number and/or type of nucleotides that are added to the extension oligonucleotide determine whether the polymorphic variant is present. Oligonucleotide extension methods are disclosed, for example, in U.S. Pat. Nos. 4,656,127; 4,851,331; 5,679,524; 5,834,189; 5,876,934; 5,908,755; 5,912,118; 5,976,802; 5,981,186; 6,004,744; 6,013,431; 6,017,702; 6,046,005; 6,087,095; 6,210,891; and WO 01/20039. Oligonucleotide extension methods using mass spectrometry are described, for example, in U.S. Pat. Nos. 5,547,835; 5,605,798; 5,691,141; 5,849,542; 5,869,242; 5,928,906; 6,043,031; and 6,194,144, and a method often utilized is described herein in Example 2.
[0094] A microarray can be utilized for determining whether a polymorphic variant is present or absent in a nucleic acid sample. A microarray may include any oligonucleotides described herein, and methods for making and using oligonucleotide microarrays suitable for diagnostic use are disclosed in U.S. Pat. Nos. 5,492,806; 5,525,464; 5,589,330; 5,695,940; 5,849,483; 6,018,041; 6,045,996; 6,136,541; 6,142,681; 6,156,501; 6,197,506; 6,223,127; 6,225,625; 6,229,911; 6,239,273; WO 00/52625; WO 01/25485; and WO 01/29259. The microarray typically comprises a solid support and the oligonucleotides may be linked to this solid support by covalent bonds or by non- covalent interactions. The oligonucleotides may also be linked to the solid support directly or by a spacer molecule. A microarray may comprise one or more oligonucleotides complementary to a polymorphic site set forth herein.
[0095] A kit also may be utilized for determining whether a polymorphic variant is present or absent in a nucleic acid sample. A kit often comprises one or more pairs of oligonucleotide primers useful for amplifying a fragment of a nucleotide sequence of SEQ ID NO: 1-11 or referenced in Table 4 or a substantially identical sequence thereof, where the fragment includes a polymorphic site. The kit sometimes comprises a polymerizing agent, for example, a thermostable nucleic acid polymerase such as one disclosed in U.S. Pat. Nos. 4,889,818 or 6,077,664. Also, the kit often comprises an elongation oligonucleotide that hybridizes to a VMD2L3, GPR97, ADCYAPlRl, ERBB4, ABCBl or ABL2 nucleotide sequence in a nucleic acid sample adjacent to the polymorphic site. Where the kit includes an elongation oligonucleotide, it also often comprises chain elongating nucleotides, such as dATP, dTTP, dGTP, dCTP, and dITP, including analogs of dATP, dTTP, dGTP, dCTP and dITP, provided that such analogs are substrates for a thermostable nucleic acid polymerase and can be incorporated into a nucleic acid chain elongated from the extension oligonucleotide. Along with chain elongating nucleotides would be one or more chain terminating nucleotides such as ddATP, ddTTP, ddGTP, ddCTP, and the like. In an embodiment, the kit comprises one or more oligonucleotide primer pairs, a polymerizing agent, chain elongating nucleotides, at least one elongation oligonucleotide, and one or more chain terminating nucleotides. Kits optionally include buffers, vials, microliter plates, and instructions for use.
[0096] An individual identified as being at risk of type II diabetes may be heterozygous or homozygous with respect to the allele associated with a higher risk of type II diabetes. A subject homozygous for an allele associated with an increased risk of type II diabetes is at a comparatively high risk of type II diabetes, a subject heterozygous for an allele associated with an increased risk of type π diabetes is at a comparatively intermediate risk of type II diabetes, and a subject homozygous for an allele associated with a decreased risk of type II diabetes is at a comparatively low risk of type II diabetes. A genotype may be assessed for a complementary strand, such that the complementary nucleotide at a particular position is detected.
[0097] Also featured are methods for determining risk of type II diabetes and/or identifying a subject at risk of type II diabetes by contacting a polypeptide or protein encoded by a VMD2L3, GPR97, ADCYAPlRl, ERBB4, ABCBl or ABL2 nucleotide sequence from a subject with an antibody that specifically binds to an epitope associated with increased risk of type II diabetes in the polypeptide. In an embodiment, the antibody specifically binds to an epitope comprising a serine corresponding to position 399 in an ABCBl polypeptide {e.g., SEQ ID NO: 16) or a threonine corresponding to position 12 in an ABL2 polypeptide {e.g., SEQ ID NO: 17).
Applications of Prognostic and Diagnostic Results to Pharmacogenomic Methods [0098] Pharmacogenomics is a discipline that involves tailoring a treatment for a subject according to the subject's genotype as a particular treatment regimen may exert a differential effect depending upon the subject's genotype. For example, based upon the outcome of a prognostic test described herein, a clinician or physician may target pertinent information and preventative or therapeutic treatments to a subject who would be benefited by the information or treatment and avoid directing such information and treatments to a subject who would not be benefited {e.g., the treatment has no therapeutic effect and/or the subject experiences adverse side effects).
[0099] The following is an example of a pharmacogenomic embodiment. A particular treatment regimen can exert a differential effect depending upon the subject's genotype. Where a candidate therapeutic exhibits a significant interaction with a major allele and a comparatively weak interaction with a minor allele {e.g., an order of magnitude or greater difference in the interaction), such a therapeutic typically would not be administered to a subject genotyped as being homozygous for the minor allele, and sometimes not administered to a subject genotyped as being heterozygous for the minor allele. Ih another example, where a candidate therapeutic is not significantly toxic when administered to subjects who are homozygous for a major allele but is comparatively toxic when administered to subjects heterozygous or homozygous for a minor allele, the candidate therapeutic is not typically administered to subjects who are genotyped as being heterozygous or homozygous with respect to the minor allele.
[0100] The methods described herein are applicable to pharmacogenomic methods for preventing, alleviating or treating type II diabetes conditions such as metabolic disorders, syndrome 4 023981
X, obesity, insulin resistance, hypertension, hyperglycemia. For example, a nucleic acid sample from an individual may be subjected to a prognostic test described herein. Where one or more polymorphic variations associated with increased risk of type II diabetes are identified in a subject, information for preventing or treating type II diabetes and/or one or more type II diabetes treatment regimens then may be prescribed to that subject.
[0101] In certain embodiments, a treatment or preventative regimen is specifically prescribed and/or administered to individuals who will most benefit from it based upon their risk of developing type II diabetes assessed by the methods described herein. Thus, provided are methods for identifying a subject predisposed to type II diabetes and then prescribing a therapeutic or preventative regimen to individuals identified as having a predisposition. Thus, certain embodiments are directed to a method for reducing type II diabetes in a subject, which comprises: detecting the presence or absence of a polymorphic variant associated with type II diabetes in a nucleotide sequence in a nucleic acid sample from a subject, where the nucleotide sequence comprises a polynucleotide sequence selected from the group consisting of: (a) a nucleotide sequence of SEQ ID NO: 1-11 or referenced in Table 4; (b) a nucleotide sequence which encodes a polypeptide consisting of an amino acid sequence encoded by a nucleotide sequence of SEQ ID NO: 1-11 or referenced in Table 4; (c) a nucleotide sequence which encodes a polypeptide that is 90% or more identical to an amino acid sequence encoded by a nucleotide sequence of SEQ ID NO: 1-11 or referenced in Table 4, or a nucleotide sequence about 90% or more identical to a nucleotide sequence of SEQ ID NO: 1-11 or referenced in Table 4; and (d) a fragment of a polynucleotide sequence of (a), (b), or (c); and prescribing or administering a treatment regimen to a subject from whom the sample originated where the presence of a polymorphic variation associated with type II diabetes is detected in the nucleotide sequence. In these methods, predisposition results may be utilized in combination with other test results to diagnose type II diabetes associated conditions, such as metabolic disorders, syndrome X, obesity, insulin resistance, hyperglycemia.
[0102] Certain preventative treatments often are prescribed to subjects having a predisposition to type II diabetes and where the subject is diagnosed with type II diabetes or is diagnosed as having symptoms indicative of early stage type II diabetes, (e.g., impaired glucose tolerance, or IGT). For example, recent studies have highlighted the potential for intervention in IGT subjects to reduce progression to type II diabetes. One such study showed that over three years lifestyle intervention (targeting diet and exercise) reduced the risk of progressing from IGT to diabetes by 58% (The Diabetes Prevention Program. (1999) Diabetes Care 22:623-634). In a similar Finnish study, the cumulative incidence of diabetes after four years was 11% in the intervention group and 23% in the control group. During the trial, the risk of diabetes was reduced by 58% in the intervention group (Tuomilehto et al. (2001) N. Eng. J Med. 344:1343-1350). Clearly there is great benefit in the early diagnosis and subsequent preventative treatment of type II diabetes.
[0103] The treatment sometimes is preventative (e.g., is prescribed or administered to reduce the probability that a type II diabetes associated condition arises or progresses), sometimes is therapeutic, and sometimes delays, alleviates or halts the progression of a type II diabetes associated condition. Any known preventative or therapeutic treatment for alleviating or preventing the occurrence of a type II diabetes associated disorder is prescribed and/or administered. For example, the treatment sometimes includes changes in diet, increased exercise, and the administration of therapeutics such as sulphonylureas (and related insulin secretagogues), which increase insulin release from pancreatic islets; metformin, (Glucophage™), which acts to reduce hepatic glucose production; peroxisome proliferator-activated receptor-gamma (PP AR) agonists (thiozolidinediones such as Avandia® and Actos®), which enhance insulin action; alpha-glucosidase inhibitors (e.g., Precose®, Voglibose®, and Miglitol®), which interfere with gut glucose absorption; and insulin itself, which suppresses glucose production and augments glucose utilization (Moller Nature 414, 821-927 (2001)).
[0104] As therapeutic approaches for type II diabetes continue to evolve and improve, the goal of treatments for type II diabetes related disorders is to intervene even before clinical signs (e.g., impaired glucose tolerance, or IGT) first manifest. Thus, genetic markers associated with susceptibility to type II diabetes prove useful for early diagnosis, prevention and treatment of type II diabetes.
[0105] As type II diabetes preventative and treatment information can be specifically targeted to subjects in need thereof (e.g. , those at risk of developing type II diabetes or those that have early stages of type II diabetes), provided herein is a method for preventing or reducing the risk of developing type II diabetes in a subject, which comprises: (a) detecting the presence or absence of a polymorphic variation associated with type II diabetes at a polymorphic site in a nucleotide sequence in a nucleic acid sample from a subject; (b) identifying a subject with a predisposition to type II diabetes, whereby the presence of the polymorphic variation is indicative of a predisposition to type II diabetes in the subject; and (c) if such a predisposition is identified, providing the subject with information about methods or products to prevent or reduce type II diabetes or to delay the onset of type II diabetes. Also provided is a method of targeting information or advertising to a subpopulation of a human population based on the subpopulation being genetically predisposed to a disease or condition, which comprises: (a) detecting the presence or absence of a polymorphic variation associated with type II diabetes at a polymorphic site in a nucleotide sequence in a nucleic acid sample from a subject; (b) identifying the subpopulation of subjects in which the polymorphic variation is associated with type II diabetes; and (c) providing information only to the subpopulation of subjects about a particular product which may be obtained and consumed or applied by the subject to help prevent or delay onset of the disease or condition.
[0106] Pharmacogenomics methods also may be used to analyze and predict a response to a type II diabetes treatment or a drug. For example, if pharmacogenomics analysis indicates a likelihood that an individual will respond positively to a type II diabetes treatment with a particular drug, the drug may be administered to the individual. Conversely, if the analysis indicates that an individual is likely to respond negatively to treatment with a particular drug, an alternative course of treatment may be prescribed. A negative response may be defined as either the absence of an efficacious response or the presence of toxic side effects. The response to a therapeutic treatment can be predicted in a background study in which subjects in any of the following populations are genotyped: a population that responds favorably to a treatment regimen, a population that does not respond significantly to a treatment regimen, and a population that responds adversely to a treatment regiment (e.g., exhibits one or more side effects). These populations are provided as examples and other populations and subpopulations may be analyzed. Based upon the results of these analyses, a subject is genotyped to predict whether he or she will respond favorably to a treatment regimen, not respond significantly to a treatment regimen, or respond adversely to a treatment regimen.
[0107] The tests described herein also are applicable to clinical drug trials. One or more polymorphic variants indicative of response to an agent for treating type II diabetes or to side effects to an agent for treating type II diabetes may be identified using the methods described herein. Thereafter, potential participants in clinical trials of such an agent may be screened to identify those individuals most likely to respond favorably to the drug and exclude those likely to experience side effects. In that way, the effectiveness of drug treatment may be measured in individuals who respond positively to the drug, without lowering the measurement as a result of the inclusion of individuals who are unlikely to respond positively in the study and without risking undesirable safety problems.
[0108] Thus, another embodiment is a method of selecting an individual for inclusion in a clinical trial of a treatment or drug comprising the steps of: (a) obtaining a nucleic acid sample from an individual; (b) determining the identity of a polymorphic variation which is associated with a positive response to the treatment or the drug, or at least one polymorphic variation which is associated with a negative response to the treatment or the drug in the nucleic acid sample, and (c) including the individual in the clinical trial if the nucleic acid sample contains said polymorphic variation associated with a positive response to the treatment or the drug or if the nucleic acid sample lacks said polymorphic variation associated with a negative response to the treatment or the drug. In addition, the methods described herein for selecting an individual for inclusion in a clinical trial of a treatment or drug encompass methods with any further limitation described in this disclosure, or those following, specified alone or in any combination. The polymorphic variation may be in a sequence selected individually or in any combination from the group consisting of (i) a nucleotide sequence of SEQ ID NO: 1-11 or referenced in Table 4; (ii) a nucleotide sequence which encodes a polypeptide consisting of an amino acid sequence encoded by a nucleotide sequence of SEQ ID NO: 1-11 or referenced in Table 4; (iii) a nucleotide sequence which encodes a polypeptide that is 90% or more identical to an amino acid sequence encoded by a nucleotide sequence of SEQ ID NO: 1-11 or referenced in Table 4, or a nucleotide sequence about 90% or more identical to a nucleotide sequence of SEQ ID NO: 1-11 or referenced in Table 4; and (iv) a fragment of a polynucleotide sequence of (i), (ii), or (iii) comprising the polymorphic site. The including step (c) optionally comprises administering the drug or the treatment to the individual if the nucleic acid sample contains the polymorphic variation associated with a positive response to the treatment or the drug and the nucleic acid sample lacks said biallelic marker associated with a negative response to the treatment or the drug.
[0109] Also provided herein is a method of partnering between a diagnostic/prognostic testing provider and a provider of a consumable product, which comprises: (a) the diagnostic/prognostic testing provider detects the presence or absence of a polymorphic variation associated with type II diabetes at a polymorphic site in a nucleotide sequence in a nucleic acid sample from a subject; (b) the diagnostic/prognostic testing provider identifies the subpopulation of subjects in which the polymorphic variation is associated with type II diabetes; (c) the diagnostic/prognostic testing provider forwards information to the subpopulation of subjects about a particular product which may be obtained and consumed or applied by the subject to help prevent or delay onset of the disease or condition; and (d) the provider of a consumable product forwards to the diagnostic test provider a fee every time the diagnostic/prognostic test provider forwards information to the subject as set forth in step (c) above.
Compositions Comprising Diabetes-Directed Molecules
[0110] Featured herein is a composition comprising a cell from a subject having type II diabetes or at risk of type II diabetes and one or more molecules specifically directed and targeted to a nucleic acid comprising a VMD2L3, GPR97, ADCYAPlRl, EKBB4, ABCBl or ABL2 nucleotide sequence or amino acid sequence. Such directed molecules include, but are not limited to, a compound that binds to a VMD2L3, GPR97, ADCYAPlRl, ERBB4, ABCBl or ABL2 nucleotide sequence or amino acid sequence referenced; a nucleic acid complementary to a VMD2L3, GPR97, ADCYAPlRl, ERBB4, ABCBl or ABL2 nucleic acid and capable of hybridizing under stringent conditions; a RNAi or , siRNA molecule having a strand complementary to a VMD2L3, GPR97, ADCYAPlRl, ERBB4, ABCBl of ABL2 nucleotide sequence; an antisense nucleic acid complementary to an RNA encoded by a VMD2L3, GPR97, ADCYAPlRl, ERBB4, ABCBl or ABL2 nucleotide sequence; a ribozyme that hybridizes to a VMD2L3, GPR97, ADCYAPlRl, ERBB4, ABCBl or ABL2 nucleotide sequence; a nucleic acid aptamer that specifically binds a polypeptide encoded by VMD2L3, GPR97, ADCYAPlRl, ERBB4, ABCBl or ABL2 nucleotide sequence; and an antibody that specifically binds to a polypeptide encoded by VMD2L3, GPR97, ADCYAPlRl, ERBB4, ABCBl orABL2 nucleotide sequence or binds to a nucleic acid having such a nucleotide sequence. In specific embodiments, the diabetes directed molecule interacts with a nucleic acid or polypeptide variant associated with diabetes, such as variants referenced herein. In other embodiments, the diabetes directed molecule interacts with a polypeptide involved in a signal pathway of a polypeptide encoded by a VMD2L3, GPR97, ADCYAPlRl, ERBB4, ABCBl or ABL2 nucleotide sequence, or a nucleic acid comprising such a nucleotide sequence.
[0111] Compositions sometimes include an adjuvant known to stimulate an immune response, and in certain embodiments, an adjuvant that stimulates a T-cell lymphocyte response. Adjuvants are known, including but not limited to an aluminum adjuvant {e.g., aluminum hydroxide); a cytokine adjuvant or adjuvant that stimulates a cytokine response {e.g., interleukdn (IL)-12 and/or γ-interferon cytokines); a Freund-type mineral oil adjuvant emulsion {e.g., Freund's complete or incomplete adjuvant); a synthetic lipoid compound; a copolymer adjuvant (e.g., TitreMax); a saponin; Quil A; a liposome; an oil-in-water emulsion {e.g., an emulsion stabilized by Tween 80 and pluronic polyoxyethlene/polyoxypropylene block copolymer (Syntex Adjuvant Formulation); TitreMax; detoxified endotoxin (MPL) and mycobacterial cell wall components (TDW, CWS) in 2% squalene (Ribi Adjuvant System)); amuramyl dipeptide; an immune-stimulating complex (ISCOM, e.g., an Ag-modified saponin/cholesterol micelle that forms stable cage-like structure); an aqueous phase adjuvant that does not have a depot effect (e.g., Gerbu adjuvant); a carbohydrate polymer (e.g., AdjuPrime); L-tyrosine; a manide-oleate compound (e.g., Montanide); an ethylene-vinyl acetate copolymer (e.g., Elvax 40Wl ,2); or lipid A, for example. Such compositions are useful for generating an immune response against a diabetes directed molecule (e.g., an HLA-binding subsequence within a polypeptide encoded by a VMD2L3, GPR97, ADCYAPlRl, ERBB4, ABCBl or ABL2 nucleotide sequence). Ih such methods, a peptide having an amino acid subsequence of a polypeptide encoded by a VMD2L3, GPR97, ADCYAPlRl, ERBB4, ABCBl or ABL2 nucleotide sequence is delivered to a subject, where the subsequence binds to an HLA molecule and induces a CTL lymphocyte response. The peptide sometimes is delivered to the subject as an isolated peptide or as a minigene in a plasmid that encodes the peptide. Methods for identifying HLA-binding subsequences in such polypeptides are known (see e.g., publication WO02/20616 and PCT application US98/01373 for methods of identifying such sequences).
[0112] The cell may be in a group of cells cultured in vitro or in a tissue maintained in vitro or present in an animal in vivo {e.g., a rat, mouse, ape or human). In certain embodiments, a composition comprises a component from a cell such as a nucleic acid molecule (e.g., genomic DNA), a protein mixture or isolated protein, for example. The aforementioned compositions have utility in diagnostic, prognostic and pharmacogenomic methods described previously and in diabetes therapeutics described hereafter. Certain diabetes directed molecules are described in greater detail below.
Compounds
[0113] Compounds can be obtained using any of the numerous approaches in combinatorial library methods known in the art, including: biological libraries; peptoid libraries (libraries of molecules having the functionalities of peptides, but with a novel, non-peptide backbone which are resistant to enzymatic degradation but which nevertheless remain bioactive (see, e.g., Zuckermann et al., J. Med. Chem.37: 2678-85 (1994)); spatially addressable parallel solid phase or solution phase libraries; synthetic library methods requiring deconvolution; "one-bead one-compound" library methods; and synthetic library methods using affinity chromatography selection. Biological library and peptoid library approaches are typically limited to peptide libraries, while the other approaches are applicable to peptide, non-peptide oligomer or small molecule libraries of compounds (Lam, Anticancer Drug Des. 12: 145, (1997)). Examples of methods for synthesizing molecular libraries are described, for example, in DeWitt et al., Proc. Natl. Acad. Sci. U.S.A. 90: 6909 (1993); Erb et al., Proc. Natl. Acad. Sci. USA 91 : 11422 (1994); Zuckermann et al., J. Med. Chem. 37: 2678 (1994); Cho et al., Science 261: 1303 (1993); Carrell et al., Angew. Chem. Int. Ed. Engl. 33: 2059 (1994); Carell et al., Angew. Chem. Int. Ed. Engl. 33: 2061 (1994); and in Gallop et al., J. Med. Chem. 37: 1233 (1994).
[0114] Libraries of compounds may be presented in solution (e.g. , Houghten, Biotechniques 13 : 412-421 (1992)), or on beads (Lam, Nature 354: 82-84 (1991)), chips (Fodor, Nature 364: 555-556 (1993)), bacteria or spores (Ladner, United States Patent No. 5,223,409), plasmids (Cull et al., Proc. Natl. Acad. Sci. USA 89: 1865-1869 (1992)) or on phage (Scott and Smith, Science 249: 386-390 (1990); Devlin, Science 249: 404-406 (1990); CwMa et al., Proc. Natl. Acad. Sci. 87: 6378-6382 (1990); Felici, J. MoL Biol. 222: 301-310 (1991); Ladner supra.).
[0115] A compound sometimes alters expression and sometimes alters activity of a polypeptide target and may be a small molecule. Small molecules include, but are not limited to, peptides, peptidomimetics (e.g., peptoids), amino acids, amino acid analogs, polynucleotides, polynucleotide analogs, nucleotides, nucleotide analogs, organic or inorganic compounds (i.e., including heteroorganic and organometallic compounds) having a molecular weight less than about 10,000 grams per mole, organic or inorganic compounds having a molecular weight less than about 5,000 grams per mole, organic or inorganic compounds having a molecular weight less than about 1,000 grams per mole, organic or inorganic compounds having a molecular weight less than about 500 grams per mole, and salts, esters, and other pharmaceutically acceptable forms of such compounds.
Antisense Nucleic Acid Molecules, Ribozymes. RNAi. siRNA and Modified Nucleic Acid Molecules
[0116] An "antisense" nucleic acid refers to a nucleotide sequence complementary to a "sense" nucleic acid encoding a polypeptide, e.g., complementary to the coding strand of a double-stranded cDNA molecule or complementary to an mRNA sequence. The antisense nucleic acid can be complementary to an entire coding strand {e.g. , SEQ ID NO: 3-8), or to a portion thereof or a substantially identical sequence thereof. In another embodiment, the antisense nucleic acid molecule is antisense to a "noncoding region" of the coding strand of a nucleotide sequence {e.g., 5' and 3' untranslated regions in SEQ ID NO: 1-11 or referenced in Table 4).
[0117] An antisense nucleic acid can be designed such that it is complementary to the entire coding region of an mRNA encoded by a nucleotide sequence {e.g., SEQ ID NO: 1-11 or referenced in Table 4), and often the antisense nucleic acid is an oligonucleotide antisense to only a portion of a coding or noncoding region of the mRNA. For example, the antisense oligonucleotide can be complementary to the region surrounding the translation start site of the mRNA, e.g., between the -10 and +10 regions of the target gene nucleotide sequence of interest. An antisense oligonucleotide can be, for example, about 7, 10, 15, 20, 25, 30, 35, 40, 45, 50, 55, 60, 65, 70, 75, 80, or more nucleotides in length. The antisense nucleic acids, which include the ribo2ymes described hereafter, can be designed to target a VMDILi, GPR97, ADCYAPlRl, ERBB4, ABCBl or ABL2 nucleotide sequence, often a variant associated with diabetes, or a substantially identical sequence thereof. Among the variants, minor alleles and major alleles can be targeted, and those associated with a higher risk of diabetes are often designed, tested, and administered to subjects.
[0118] An antisense nucleic acid can be constructed using chemical synthesis and enzymatic ligation reactions using standard procedures. For example, an antisense nucleic acid {e.g., an antisense oligonucleotide) can be chemically synthesized using naturally occurring nucleotides or variously modified nucleotides designed to increase the biological stability of the molecules or to increase the physical stability of the duplex formed between the antisense and sense nucleic acids, e.g., phosphorothioate derivatives and acridine substituted nucleotides can be used. Antisense nucleic acid also can be produced biologically using an expression vector into which a nucleic acid has been subcloned in an antisense orientation (i.e., RNA transcribed from the inserted nucleic acid will be of an antisense orientation to a target nucleic acid of interest, described further in the following subsection). [0119] When utilized as therapeutics, antisense nucleic acids typically are administered to a subject (e.g., by direct injection at a tissue site) or generated in situ such that they hybridize with or bind to cellular mRNA and/or genomic DNA encoding a polypeptide and thereby inhibit expression of the polypeptide, for example, by inhibiting transcription and/or translation. Alternatively, antisense nucleic acid molecules can be modified to target selected cells and then are administered systemically. For systemic administration, antisense molecules can be modified such that they specifically bind to receptors or antigens expressed on a selected cell surface, for example, by linking antisense nucleic acid molecules to peptides or antibodies which bind to cell surface receptors or antigens. Antisense nucleic acid molecules can also be delivered to cells using the vectors described herein. Sufficient intracellular concentrations of antisense molecules are achieved by incorporating a strong promoter, such as a pol II or pol III promoter, in the vector construct.
[0120] Antisense nucleic acid molecules sometimes are alpha-anomeric nucleic acid molecules. An alpha-anomeric nucleic acid molecule forms specific double-stranded hybrids with complementary RNA in which, contrary to the usual beta-units, the strands run parallel to each other (Gaultier et al, Nucleic Acids. Res. 15: 6625-6641 (1987)). Antisense nucleic acid molecules can also comprise a 2'-o-methylribonucleotide (Inoue et al, Nucleic Acids Res. 15: 6131-3148 (1987)) or a chimeric RNA-DNA analogue (Inoue et al, FEBS Lett. 215: 327-330 (1987)). Antisense nucleic acids sometimes are composed of DNA or PNA or any other nucleic acid derivatives described previously.
[0121] In another embodiment, an antisense nucleic acid is a ribozyme. A ribozyme having specificity for a VMD2L3, GPR97, ADCYAPlRl, ERBB4, ABCBl or ABL2 nucleotide sequence can include one or more sequences complementary to such a nucleotide sequence, and a sequence having a known catalytic region responsible for mRNA cleavage (see e.g., U.S. Pat. No. 5,093,246 or Haselhoff and Gerlach, Nature 334: 585-591 (1988)). For example, a derivative of a Tetrahymena L- 19 IVS RNA is sometimes utilized in which the nucleotide sequence of the active site is complementary to the nucleotide sequence to be cleaved in a mRNA (see e.g., Cech et al. U.S. Patent No. 4,987,071; and Cech et al. U.S. Patent No. 5,116,742). Also, target mRNA sequences can be used to select a catalytic RNA having a specific ribonuclease activity from a pool of RNA molecules (see e.g., Bartel & Szostak, Science 261: 1411-1418 (1993)).
[0122] Diabetes directed molecules include in certain embodiments nucleic acids that can form triple helix structures with a VMD2L3, GPR97, ADCYAPlRl, ERBB4, ABCBl ovABL2 nucleotide sequence or a substantially identical sequence thereof, especially one that includes a regulatory region that controls expression of a polypeptide. Gene expression can be inhibited by targeting nucleotide sequences complementary to the regulatory region of a nucleotide sequence referenced herein or a substantially identical sequence (e.g., promoter and/or enhancers) to form triple helical structures that prevent transcription of a gene in target cells (see e.g., Helene, Anticancer Drug Des. 6(6): 569-84 (1991); Helene et al, Ann. N. Y. Acad. Sci. 660: 27-36 (1992); and Maher, Bioassays 14(12): 807-15 (1992). Potential sequences that can be targeted for triple helix formation can be increased by creating a so-called "switchback" nucleic acid molecule. Switchback molecules are synthesized in an alternating 5 ' -3 ' , 3 ' -5 ' manner, such that they base pair with first one strand of a duplex and then the other, eliminating the necessity for a sizeable stretch of either purines or pyrimidines to be present on one strand of a duplex.
[0123] Diabetes directed molecules include RNAi and siRNA nucleic acids. Gene expression may be inhibited by the introduction of double-stranded RNA (dsRNA), which induces potent and specific gene silencing, a phenomenon called RNA interference or RNAi. See, e.g., Fire et al, US Patent Number 6,506,559; Tuschl et al. PCT International Publication No. WO 01/75164; Kay et al. PCT International Publication No. WO 03/010180Al; or Bosher JM, Labouesse, Nat Cell Biol 2000 Feb;2(2):E31-3. This process has been improved by decreasing the size of the double-stranded RNA to 20-24 base pairs (to create small-interfering RNAs or siRNAs) that "switched off genes in mammalian cells without initiating an acute phase response, i.e., a host defense mechanism that often results in cell death (see, e.g., Caplen et al. Proc Natl Acad Sci U S A. 2001 Aug 14;98(17):9742-7 and Elbashir et al. Methods 2002 Feb;26(2): 199-213). There is increasing evidence of post- transcriptional gene silencing by RNA interference (RNAi) for inhibiting targeted expression in mammalian cells at the mRNA level, in human cells. There is additional evidence of effective methods for inhibiting the proliferation and migration of tumor cells in human patients, and for inhibiting metastatic cancer development (see, e.g., U.S. Patent Application No. US2001000993183; Caplen et al. Proc Natl Acad Sci U S A; and Abderrahmani et al. MoI Cell Biol 2001 Nov21(21):7256-67).
[0124] An "siRNA" or "RNAi" refers to a nucleic acid that forms a double stranded RNA and has the ability to reduce or inhibit expression of a gene or target gene when the siRNA is delivered to or expressed in the same cell as the gene or target gene. "siRNA" refers to short double-stranded RNA formed by the complementary strands. Complementary portions of the siRNA that hybridize to form the double stranded molecule often have substantial or complete identity to the target molecule sequence. In one embodiment, an siRNA refers to a nucleic acid that has substantial or complete identity to a target gene and forms a double stranded siRNA.
[0125] When designing the siRNA molecules, the targeted region often is selected from a given DNA sequence beginning 50 to 100 nucleotides downstream of the start codon. See, e.g., Elbashir et al,. Methods 26:199-213 (2002). Initially, 5' or 3' UTRs and regions nearby the start codon were avoided assuming that UTR-binding proteins and/or translation initiation complexes may interfere with binding of the siRNP or RISC endonuclease complex. Sometimes regions of the target 23 nucleotides in length conforming to the sequence motif AA(Nl 9)TT (N, an nucleotide), and regions with approximately 30% to 70% G/C-content (often about 50% G/C-content) often are selected. If no suitable sequences are found, the search often is extended using the motif NA(N21). The sequence of the sense siRNA sometimes corresponds to (N19) TT or N21 (position 3 to 23 of the 23-nt motif), respectively. In the latter case, the 3' end of the sense sIRNA often is converted to TT. The rationale for this sequence conversion is to generate a symmetric duplex with respect to the sequence composition of the sense and antisense 3' overhangs. The antisense siRNA is synthesized as the complement to position 1 to 21 of the 23-nt motif. Because position 1 of the 23-nt motif is not recognized sequence-specifically by the antisense siRNA, the 3 '-most nucleotide residue of the antisense siRNA can be chosen deliberately. However, the penultimate nucleotide of the antisense siRNA (complementary to position 2 of the 23-nt motif) often is complementary to the targeted sequence. For simplifying chemical synthesis, TT often is utilized. siRNAs corresponding to the target motif NAR(N17) YNN, where R is purine (A,G) and Y is pyrimidine (C,XJ), often are selected. Respective 21 nucleotide sense and antisense siRNAs often begin with a purine nucleotide and can also be expressed from pol IH expression vectors without a change in targeting site. Expression of RNAs from pol III promoters often is efficient when the first transcribed nucleotide is a purine.
[0126] The sequence of the siRNA can correspond to the full length target gene, or a subsequence thereof. Often, the siRNA is about 15 to about 50 nucleotides in length (e.g., each complementary sequence of the double stranded siRNA is 15-50 nucleotides in length, and the double stranded siRNA is about 15-50 base pairs in length, sometimes about 20-30 nucleotides in length or about 20-25 nucleotides in length, e.g., 20, 21, 22, 23, 24, 25, 26, 27, 28, 29, or 30 nucleotides in length. The siRNA sometimes is about 21 nucleotides in length. Methods of using siRNA are well known in the art, and specific siRNA molecules may be purchased from a number of companies including Dharmacon Research, Inc. An siRNA molecule sometimes is composed of a different chemical composition as compared to native RNA that imparts increased stability in cells (e.g., decreased susceptibility to degradation), and sometimes includes one or more modifications in siSTABLE RNA described at the http address www.dharmacon.com.
[0127] Antisense, ribozyme, RNAi and siRNA nucleic acids can be altered to form modified nucleic acid molecules. The nucleic acids can be altered at base moieties, sugar moieties or phosphate backbone moieties to improve stability, hybridization, or solubility of the molecule. For example, the deoxyribose phosphate backbone of nucleic acid molecules can be modified to generate peptide nucleic acids (see Hyrup et ah, Bioorganic & Medicinal Chemistry 4 (1): 5-23 (1996)). As used herein, the terms "peptide nucleic acid" or "PNA" refers to a nucleic acid mimic such as a DNA mimic, in which the deoxyribose phosphate backbone is replaced by a pseudopeptide backbone and only the four natural nucleobases are retained. The neutral backbone of a PNA can allow for specific hybridization to DNA and KNA under conditions of low ionic strength. Synthesis of PNA oligomers can be performed using standard solid phase peptide synthesis protocols as described, for example, in Hyrup et al., (1996) supra andPerry-O'Keefe et al, Proc. Natl. Acad. Sci. 93: 14670-675 (1996).
[0128] PNA nucleic acids can be used in prognostic, diagnostic, and therapeutic applications. For example, PNAs can be used as antisense or antigene agents for sequence-specific modulation of gene expression by, for example, inducing transcription or translation arrest or inhibiting replication. PNA nucleic acid molecules can also be used in the analysis of single base pair mutations in a gene, (e.g., by PNA-directed PCR clamping); as "artificial restriction enzymes" when used in combination with other enzymes, (e.g., Sl nucleases (Hyrup (1996) supra)); or as probes or primers for DNA sequencing or hybridization (Hyrup et al, (1996) supra; Perry-O'Keefe supra).
[0129] Li other embodiments, oligonucleotides may include other appended groups such as peptides (e.g., for targeting host cell receptors in vivo), or agents facilitating transport across cell membranes (see e.g., Letsinger et al, Proc. Natl. Acad. Sci. USA 86: 6553-6556 (1989); Lemaitre et al, Proc. Natl. Acad. Sci. USA 84: 648-652 (1987); PCT Publication No. W088/09810) or the blood- brain barrier (see, e.g., PCT Publication No. W089/10134). In addition, oligonucleotides can be modified with hybridization-triggered cleavage agents (See, e.g., Krol et al, Bio-Techniques 6: 958- 976 (1988)) or intercalating agents. (See, e.g., Zon, Pharm. Res. 5: 539-549 (1988) ). To this end, the oligonucleotide may be conjugated to another molecule, (e.g., a peptide, hybridization triggered cross-linking agent, transport agent, or hybridization-triggered cleavage agent).
[0130] Also included herein are molecular beacon oligonucleotide primer and probe molecules having one or more regions complementary to a VMD2L3, GPR97, ADCYAPlRl, ERBB4, ABCBl or ABL2 nucleotide sequence or a substantially identical sequence thereof, two complementary regions one having a fluorophore and one a quencher such that the molecular beacon is useful for quantifying the presence of the nucleic acid in a sample. Molecular beacon nucleic acids are described, for example, in Lizardi et al, U.S. Patent No. 5,854,033; Nazarenko et al, U.S. Patent No. 5,866,336, and Livak et al, U.S. Patent 5,876,930.
Antibodies
[0131] The term "antibody" as used herein refers to an immunoglobulin molecule or immunologically active portion thereof, i.e., an antigen-binding portion. Examples of immunologically active portions of immunoglobulin molecules include F(ab) and F(ab')2 fragments which can be generated by treating the antibody with an enzyme such as pepsin. An antibody sometimes is a polyclonal, monoclonal, recombinant (e.g., a chimeric or humanized), fully human, non-human (e.g., murine), or a single chain antibody. An antibody may have effector function and can fix complement, and is sometimes coupled to a toxin or imaging agent. [0132] A full-length polypeptide or antigenic peptide fragment encoded by a nucleotide sequence referenced herein can be used as an immunogen or can be used to identify antibodies made with other immunogens, e.g., cells, membrane preparations, and the like. An antigenic peptide often includes at least 8 amino acid residues of the amino acid sequences encoded by a nucleotide sequence referenced herein, or substantially identical sequence thereof, and encompasses an epitope. Antigenic peptides sometimes include 10 or more amino acids, 15 or more amino acids, 20 or more amino acids, or 30 or more amino acids. Hydrophilic and hydrophobic fragments of polypeptides sometimes are used as immunogens.
[0133] Epitopes encompassed by the antigenic peptide are regions located on the surface of the polypeptide (e.g. , hydrophilic regions) as well as regions with high antigenicity. For example, an Emini surface.probability analysis of the human polypeptide sequence can be used to indicate the regions that have a particularly high probability of being localized to the surface of the polypeptide and are thus likely to constitute surface residues useful for targeting antibody production. The antibody may bind an epitope on any domain or region on polypeptides described herein.
[0134] Also, chimeric, humanized, and completely human antibodies are useful for applications which include repeated administration to subjects. Chimeric and humanized monoclonal antibodies, comprising both human and non-human portions, can be made using standard recombinant DNA techniques. Such chimeric and humanized monoclonal antibodies can be produced by recombinant DNA techniques known in the art, for example using methods described in Robinson et α/.International Application No. PCT/US86/02269; Akira, et al. European Patent Application 184,187; Taniguchi, M., European Patent Application 171,496; Morrison et al European Patent Application 173,494; Neuberger et al. PCT International Publication No. WO 86/01533; Cabilly et al. U.S. Patent No. 4,816,567; Cabilly et al. European Patent Application 125,023; Better et al, Science 240: 1041-1043 (1988); Liu et al, Proc. Natl. Acad. Sci. USA 84: 3439-3443 (1987); Liu et al, J. Immunol. 139: 3521-3526 (1987); Sun et al, Proc. Natl. Acad. Sci. USA 84: 214-218 (1987); Nishimura et al, Cane. Res. 47: 999-1005 (1987); Wood et al, Nature 314: 446-449 (1985); and Shaw et al, J. Natl. Cancer Inst. 80: 1553-1559 (1988); Morrison, S. L., Science 229: 1202-1207 (1985); Oi et al, BioTechniques 4: 214 (1986); Winter U.S. Patent 5,225,539; Jones et al, Nature 321: 552-525 (1986); Verhoeyan et al, Science 239: 1534; and Beidler et al, J. Immunol. 141: 4053- 4060 (1988).
[0135] Completely human antibodies are particularly desirable for therapeutic treatment of human patients. Such antibodies can be produced using transgenic mice that are incapable of expressing endogenous immunoglobulin heavy and light chains genes, but which can express human heavy and light chain genes. See, for example, Lonberg and Huszar, Int. Rev. Immunol. 13: 65-93 (1995); and U.S. Patent Nos. 5,625,126; 5,633,425; 5,569,825; 5,661,016; and 5,545,806. In addition, companies such as Abgenix, Inc. (Fremont, CA) andMedarex, Inc. (Princeton, NJ), can be engaged to provide human antibodies directed against a selected antigen using technology similar to that described above. Completely human antibodies that recognize a selected epitope also can be generated using a technique referred to as "guided selection." In this approach a selected non-human monoclonal antibody (e.g. , a murine antibody) is used to guide the selection of a completely human antibody recognizing the same epitope. This technology is described for example by Jespers et ah, Bio/Technology 12: 899-903 (1994).
[0136] An antibody can be a single chain antibody. A single chain antibody (scFV) can be engineered (see, e.g., Colcher et at, Ann. N Y Acad. Sci. 880: 263-80 (1999); and Reiter, Clin. Cancer Res. 2: 245-52 (1996)). Single chain antibodies can be dimerized or multimerized to generate multivalent antibodies having specificities for different epitopes of the same target polypeptide.
[0137] Antibodies also may be selected or modified so that they exhibit reduced or no ability to bind an Fc receptor. For example, an antibody may be an isotype or subtype, fragment or other mutant, which does not support binding to an Fc receptor (e.g., it has a mutagenized or deleted Fc receptor binding region).
[0138] Also, an antibody (or fragment thereof) may be conjugated to a therapeutic moiety such as a cytotoxin, a therapeutic agent or a radioactive metal ion. A cytotoxin or cytotoxic agent includes any agent that is detrimental to cells. Examples include taxol, cytochalasin B, gramicidin D, ethidium bromide, emetine, mitomycin, etoposide, tenoposide, vincristine, vinblastine, colchicin, doxorubicin, daunorubicin, dihydroxy anthracin dione, mitoxantrone, mithramycin, actinomycin D, 1 dehydrotestosterone, glucocorticoids, procaine, tetracaine, lidocaine, propranolol, and puromycin and analogs or homologs thereof. Therapeutic agents include, but are not limited to, antimetabolites (e.g., methotrexate, 6-mercaptopurine, 6-thioguanine, cytarabine, 5-fluorouracil decarbazine), alkylating agents (e.g., mechlorethamine, thiotepa chlorambucil, melphalan, carmustine (BCNU) and lomustine (CCNU), cyclophosphamide, busulfan, dibromomannitol, streptozotocin, mitomycin C, and cis- dichlorodiamine platinum (II) (DDP) cisplatin), anthracyclines (e.g., daunorubicin (formerly daunomycin) and doxorubicin), antibiotics (e.g., dactinomycin (formerly actinomycin), bleomycin, mithramycin, and anthramycin (AMC)), and anti-mitotic agents (e.g., vincristine and vinblastine).
[0139] Antibody conjugates can be used for modifying a given biological response. For example, the drug moiety may be a protein or polypeptide possessing a desired biological activity. Such proteins may include, for example, a toxin such as abrin, ricin A, pseudomonas exotoxin, or diphtheria toxin; a polypeptide such as tumor necrosis factor, γ-interferon, α-interferon, nerve growth factor, platelet derived growth factor, tissue plasminogen activator; or, biological response modifiers such as, for example, lymphokines, interleukin-1 ("IL-I"), interleukin-2 ("IL-2"), interleukin-6 ("IL- 6"), granulocyte macrophage colony stimulating factor ("GM-CSF"), granulocyte colony stimulating factor ("G-CSF"), or other growth factors. Also, an antibody can be conjugated to a second antibody to form an antibody heteroconjugate as described by Segal in U.S. Patent No. 4,676,980, for example.
[0140] An antibody (e.g. , monoclonal antibody) can be used to isolate target polypeptides by standard techniques, such as affinity chromatography or immunoprecipitation. Moreover, an antibody can be used to detect a target polypeptide (e.g., in a cellular lysate or cell supernatant) in order to evaluate the abundance and pattern of expression of the polypeptide. Antibodies can be used diagnostically to monitor polypeptide levels in tissue as part of a clinical testing procedure, e.g., to determine the efficacy of a given treatment regimen. Detection can be facilitated by coupling (i.e., physically linking) the antibody to a detectable substance (i.e., antibody labeling). Examples of detectable substances include various enzymes, prosthetic groups, fluorescent materials, luminescent materials, bioluminescent materials, and radioactive materials. Examples of suitable enzymes include horseradish peroxidase, alkaline phosphatase, β-galactosidase, or acetylcholinesterase; examples of suitable prosthetic group complexes include streptavidin/biotin and avidiπ/biotin; examples of suitable fluorescent materials include umbelliferone, fluorescein, fluorescein isothiocyanate, rhodamine, dichlorotriazinylamine fluorescein, dansyl chloride or phycoerythrin; an example of a luminescent material includes luminol; examples of bioluminescent materials include luciferase, luciferin, and aequorin, and examples of suitable radioactive material include1251,1311,35S or3H. Also, an antibody can be utilized as a test molecule for determining whether it can treat diabetes, and as a therapeutic for administration to a subject for treating diabetes.
[0141] An antibody can be made by immunizing with a purified antigen, or a fragment thereof, e.g., a fragment described herein, a membrane associated antigen, tissues, e.g., crude tissue preparations, whole cells, preferably living cells, lysed cells, or cell fractions.
[0142] Included herein are antibodies which bind only a native polypeptide, only denatured or otherwise non-native polypeptide, or which bind both, as well as those having linear or conformational epitopes. Conformational epitopes sometimes can be identified by selecting antibodies that bind to native but not denatured polypeptide. Also featured are antibodies that specifically bind to a polypeptide variant associated with diabetes.
Methods for Identifying Candidate Therapeutics for Treating Type II Diabetes [0143] Current therapies for the treatment of type II diabetes have limited efficacy, limited tolerability and significant mechanism-based side effects, including weight gain and hypoglycemia. Few of the available therapies adequately address underlying defects such as obesity and insulin resistance (Moller D. Nature. 414:821-927 (2001)). Current therapeutic approaches were largely developed in the absence of defined molecular targets or even a solid understanding of disease pathogenesis. Therefore, provided are methods of identifying candidate therapeutics that target biochemical pathways related to the development of diabetes.
[0144] Thus, featured herein are methods for identifying a candidate therapeutic for treating type II diabetes. The methods comprise contacting a test molecule with a target molecule in a system. A "target molecule" as used herein refers to a VMD2L3, GPR97, ADCYAPlRl, ERBB4, ABCBl or ABL2 nucleic acid, a substantially identical nucleic acid thereof, or a fragment thereof, and an encoded polypeptide of the foregoing. The methods also comprise determining the presence or absence of an interaction between the test molecule and the target molecule, where the presence of an interaction between the test molecule and the nucleic acid or polypeptide identifies the test molecule as a candidate type II diabetes therapeutic. The interaction between the test molecule and the target molecule may be quantified.
[0145] Test molecules and candidate therapeutics include, but are not limited to, compounds, antisense nucleic acids, siRNA molecules, ribozymes, polypeptides or proteins encoded by a VMD2L3, GPR97, ADCYAPlRl, ERBB4, ABCBl or ABL2 nucleotide sequence, or a substantially identical sequence or fragment thereof, and immunotherapeutics (e.g., antibodies and HLA-presented polypeptide fragments). A test molecule or candidate therapeutic may act as a modulator of target molecule concentration or target molecule function in a system. A "modulator" may agonize (i.e., up-regulates) or antagonize (i.e., down-regulates) a target molecule concentration partially or completely in a system by affecting such cellular functions as DNA replication and/or DNA processing {e.g. , DNA methylation or DNA repair), RNA transcription and/or RNA processing (e.g. , removal of intronic sequences and/or translocation of spliced mRNA from the nucleus), polypeptide production (e.g., translation of the polypeptide from mRNA), and/or polypeptide post-translational modification (e.g., glycosylation, phosphorylation, and proteolysis of pro-polypeptides). A modulator may also agonize or antagonize a biological function of a target molecule partially or completely, where the function may include adopting a certain structural conformation, interacting with one or more binding partners, ligand binding, catalysis (e.g., phosphorylation, dephosphorylation, hydrolysis, methylation, and isomerization), and an effect upon a cellular event (e.g., effecting progression of type II diabetes). Ih certain embodiments, a candidate therapeutic increases glucose uptake in cells of a subject (e.g., in certain cells of the pancreas).
[0146] As used herein, the term "system" refers to a cell free in vitro environment and a cell- based environment such as a collection of cells, a tissue, an organ, or an organism. A system is "contacted" with a test molecule in a variety of manners, including adding molecules in solution and allowing them to interact with one another by diffusion, cell injection, and any administration routes in an animal. As used herein, the term "interaction" refers to an effect of a test molecule on test molecule, where the effect sometimes is binding between the test molecule and the target molecule, and sometimes is an. observable change in cells, tissue, or organism.
[0147] There are many standard methods for detecting the presence or absence of interaction between a test molecule and a target molecule. For example, titrametric, acidimetric, radiometric, NMR, monolayer, polarographic, spectrophotometric, fluorescent, and ESR assays probative of a target molecule interaction may be utilized.
[0148] Test molecule/target molecule interactions can be detected and/or quantified using assays known in the art. For example, an interaction can be determined by labeling the test molecule and/or the target molecule, where the label is covalently or non-covalently attached to the test molecule or target molecule. The label is sometimes a radioactive molecule such as1251,1311,35S or3H, which can be detected by direct counting of radioemission or by scintillation counting. Also, enzymatic labels such as horseradish peroxidase, alkaline phosphatase, or luciferase may be utilized where the enzymatic label can be detected by determining conversion of an appropriate substrate to product. In addition, presence or absence of an interaction can be determined without labeling. For example, a microphysiometer (e.g. , Cytosensor) is an analytical instrument that measures the rate at which a cell acidifies its environment using a light-addressable potentiometric sensor (LAPS). Changes in this acidification rate can be used as an indication of an interaction between a test molecule and target molecule (McConnell, H. M. et al, Science 257: 1906-1912 (1992)).
[0149] In cell-based systems, cells typically include a VMD2L3, GPR97, ADCYAPlRl, ERBB4, ABCBl or ABL2 nucleic acid, an encoded polypeptide, or substantially identical nucleic acid or polypeptide thereof, and are often of mammalian origin, although the cell can be of any origin. Whole cells, cell homogenates, and cell fractions (e.g., cell membrane fractions) can be subjected to analysis. Where interactions between a test molecule with a target polypeptide are monitored, soluble and/or membrane bound forms of the polypeptide may be utilized. Where membrane-bound forms of the polypeptide are used, it may be desirable to utilize a solubilizing agent. Examples of such solubilizing agents include non-ionic detergents such as n-octylglucoside, n-dodecylglucoside, n- dodecylmaltoside, octanoyl-N-methylglucamide, decanoyl-N-methylglucamide, Triton® X-100, Triton® X-114, Thesit®, Isotridecypoly(ethylene glycol ether)n, 3-[(3- cholamidopropyl)dimethylamminio]-l -propane sulfonate (CHAPS), 3-[(3- cholamidopropyl)dimethylamminio]-2-hydroxy-l -propane sulfonate (CHAPSO), orN-dodecyl-N,N- dimethyl-3-ammonio-l -propane sulfonate.
[0150] An interaction between a test molecule and target molecule also can be detected by monitoring fluorescence energy transfer (FET) (see, e.g., Lakowicz et al, U.S. Patent No. 5,631,169; Stavrianopoulos et al U.S. Patent No. 4,868,103). A fluorophore label on a first, "donor" molecule is selected such that its emitted fluorescent energy will be absorbed by a fluorescent label on a second, "acceptor" molecule, which in turn is able to fluoresce due to the absorbed energy. Alternately, the "donor" polypeptide molecule may simply utilize the natural fluorescent energy of tryptophan - residues. Labels are chosen that emit different wavelengths of light, such that the "acceptor" molecule label may be differentiated from that of the "donor". Since the efficiency of energy transfer between the labels is related to the distance separating the molecules, the spatial relationship between the molecules can be assessed. In a situation in which binding occurs between the molecules, the fluorescent emission of the "acceptor" molecule label in the assay should be maximal. An FET binding event can be conveniently measured through standard fluorometric detection means well known in the art {e.g., using a fluorimeter).
[0151] In another embodiment, determining the presence or absence of an interaction between a test molecule and a target molecule can be effected by monitoring surface plasmon resonance {see, e.g., Sjolander & Urbaniczk, Anal. Chem. 63: 2338-2345 (1991) and Szabo et al, Curr. Opin. Struct. Biol. 5: 699-705 (1995)). "Surface plasmon resonance" or "biomolecular interaction analysis (BIA)" can be utilized to detect biospecific interactions in real time, without labeling any of the interactants {e.g. , BIAcore). Changes in the mass at the binding surface (indicative of a binding event) result in alterations of the refractive index of light near the surface (the optical phenomenon of surface plasmon resonance (SPR)), resulting in a detectable signal which can be used as an indication of real¬ time reactions between biological molecules.
' [0152] In another embodiment, the target molecule or test molecules are anchored to a solid phase, facilitating the detection of target molecule/test molecule complexes and separation of the complexes from free, uncomplexed molecules. The target molecule or test molecule is immobilized to the solid support. In an embodiment, the target molecule is anchored to a solid surface, and the test molecule, which is not anchored, can be labeled, either directly or indirectly, with detectable labels discussed herein.
[0153] It may be desirable to immobilize a target molecule, an anti-target molecule antibody, and/or test molecules to facilitate separation of target molecule/test molecule complexes from uncomplexed forms, as well as to accommodate automation of the assay. The attachment between a test molecule and/or target molecule and the solid support may be covalent or non-covalent {see, e.g., U.S. Patent No. 6,022,688 for non-covalent attachments). The solid support may be one or more surfaces of the system, such as one or more surfaces in each well of a microtiter plate, a surface of a silicon wafer, a surface of a bead {see, e.g., Lam, Nature 354: 82-84 (1991)) that is optionally linked to another solid support, or a channel in a microfluidic device, for example. Types of solid supports, linker molecules for covalent and non-covalent attachments to solid supports, and methods for immobilizing nucleic acids and other molecules to solid supports are well known {see, e.g., U.S. Patent Nos. 6,261,776; 5,900,481; 6,133,436; and 6,022,688; and WIPO publication WO 01/18234). [0154] In an embodiment, target molecule may be immobilized to surfaces via biotin and streptavidin. For example, biotinylated target polypeptide can be prepared from biotin-NHS (N- hydroxy-succinimide) using techniques known in the art (e.g., biotinylation kit, Pierce Chemicals, Rockford, IL), and immobilized in the wells of streptavidin-coated 96 well plates (Pierce Chemical). In another embodiment, a target polypeptide can be prepared as a fusion polypeptide. For example, glutathione-S-transferase/target polypeptide fusion can be adsorbed onto glutathione sepharose beads (Sigma Chemical, St. Louis, MO) or glutathione derivitized microtiter plates, which are then combined with a test molecule under conditions conducive to complex formation (e.g., at - physiological conditions for salt and pH). Following incubation, the beads or microtiter plate wells are washed to remove any unbound components, or the matrix is immobilized in the case of beads, and complex formation is determined directly or indirectly as described above. Alternatively, the complexes can be dissociated from the matrix, and the level of target molecule binding or activity is determined using standard techniques.
[0155] In an embodiment, the non-immobilized component is added to the coated surface containing the anchored component. After the reaction is complete, unreacted components are removed (e.g., by washing) under conditions such that a significant percentage of complexes formed will remain immobilized to the solid surface. The detection of complexes anchored on the solid surface can be accomplished in a number of manners. Where the previously non-immobilized component is pre-labeled, the detection of label immobilized on the surface indicates that complexes were formed. Where the previously non-immobilized component is not pre-labeled, an indirect label can be used to detect complexes anchored on the surface, e.g., by adding a labeled antibody specific for the immobilized component, where the antibody, in turn, can be directly labeled or indirectly labeled with, e.g., a labeled anti-Ig antibody.
[0156] In another embodiment, an assay is performed utilizing antibodies that specifically bind target molecule or test molecule but do not interfere with binding of the target molecule to the test molecule. Such antibodies can be derivitized to a solid support, and unbound target molecule may be immobilized by antibody conjugation. Methods for detecting such complexes, in addition to those described above for the GST-immobilized complexes, include immunodetection of complexes using antibodies reactive with the target molecule, as well as enzyme-linked assays which rely on detecting an enzymatic activity associated with the target molecule.
[0157] Cell free assays also can be conducted in a liquid phase. In such an assay, reaction products are separated from unreacted components, by any of a number of standard techniques, including but not limited to: differential centrifugation (see, e.g., Rivas, G., and Minton, Trends Biochem SciAug;18(8): 284-7 (1993)); chromatography (gel filtration chromatography, ion-exchange chromatography); electrophoresis (see, e.g., Ausubel et al, eds. Current Protocols in Molecular Biology , J. Wiley: New York (1999)); and immunoprecipitation {see, e.g., Ausubel et al, eds., supra). Media and chromatographic techniques are known to one skilled in the art {see, e.g., Heegaard, JMoI. Recognit. Winter; 11(1-3): 141-9 (1998); Hage & Tweed, J. Chromatogr. B Biomed. ScL Appl Oct 10; 699 (1-2): 499-525 (1997)). Further, fluorescence energy transfer may also be conveniently utilized, as described herein, to detect binding without further purification of the complex from solution.
[0158] In another embodiment, modulators of target molecule expression are identified. For example, a cell or cell free mixture is contacted with a candidate compound and the expression of target mRNA or target polypeptide is evaluated relative to the level of expression of target mRNA or target polypeptide in the absence of the candidate compound. When expression of target mRNA or target polypeptide is greater in the presence of the candidate compound than in its absence, the candidate compound is identified as an agonist of target mRNA or target polypeptide expression. Alternatively, when expression of target mRNA or target polypeptide is less {e.g., less with statistical significance) in the presence of the candidate compound than in its absence, the candidate compound is identified as an antagonist or inhibitor of target mRNA or target polypeptide expression. The level of target mRNA or target polypeptide expression can be determined by methods described herein.
[0159] In another embodiment, binding partners that interact with a target molecule are detected. The target molecules can interact with one or more cellular or extracellular macromolecules, such as polypeptides in vivo, and these interacting molecules are referred to herein as "binding partners." Binding partners can agonize or antagonize target molecule biological activity. Also, test molecules that agonize or antagonize interactions between target molecules and binding partners can be useful as therapeutic molecules as they can up-regulate or down-regulated target molecule activity in vivo and thereby treat type II diabetes .
[0160] Binding partners of target molecules can be identified by methods known in the art. For example, binding partners may be identified by lysing cells and analyzing cell lysates by electrophoretic techniques. Alternatively, a two-hybrid assay or three-hybrid assay can be utilized {see, e.g., U.S. Patent No. 5,283,317; Zervos et al, Cell 72:223-232 (1993); Madura et al, J. Biol Chem. 268: 12046-12054 (1993); Bartel et al, Biotechniques 14: 920-924 (1993); Iwabuchi et al, Oncogene 8: 1693-1696 (1993); and Brent WO94/10300). A two-hybrid system is based on the modular nature of most transcription factors, which consist of separable DNA-binding and activation domains. The assay often utilizes two different DNA constructs. In one construct, a VMD2L3, GPR97, ADCYAPlRl, ERBB4, ABCBl or ABL2 nucleic acid (sometimes referred to as the "bait") is fused to a gene encoding the DNA binding domain of a known transcription factor {e.g., GAL-4). In another construct, a DNA sequence from a library of DNA sequences that encodes a potential binding partner (sometimes referred to as the "prey") is fused to a gene that encodes an activation domain of the known transcription factor. Sometimes, a VMD2L3, GPR97, ADCYAPlRl, ERBB4, ABCBl or ABL2 nucleic acid can be fused to the activation domain. If the "bait" and the "prey" molecules interact in vivo, the DNA-binding and activation domains of the transcription factor are brought into close proximity. This proximity allows transcription of a reporter gene {e.g., LacZ) which is operably linked to a transcriptional regulatory site responsive to the transcription factor. Expression of the reporter gene can be detected and cell colonies containing the functional transcription factor can be isolated and used to identify the potential binding partner.
[0161] In an embodiment for identifying test molecules that antagonize or agonize complex formation between target molecules and binding partners, a reaction mixture containing the target molecule and the binding partner is prepared, under conditions and for a time sufficient to allow complex formation. The reaction mixture often is provided in the presence or absence of the test molecule. The test molecule can be included initially in the reaction mixture, or can be added at a time subsequent to the addition of the target molecule and its binding partner. Control reaction mixtures are incubated without the test molecule or with a placebo. Formation of any complexes between the target molecule and the binding partner then is detected. Decreased formation of a complex in the reaction mixture containing test molecule as compared to in a control reaction mixture indicates that the molecule antagonizes target molecule/binding partner complex formation. Alternatively, increased formation of a complex in the reaction mixture containing test molecule as compared to in a control reaction mixture indicates that the molecule agonizes target molecule/binding partner complex formation. In another embodiment, complex formation of target molecule/binding partner can be compared to complex formation of mutant target molecule/binding partner {e.g., amino acid modifications in a target polypeptide). Such a comparison can be important in those cases where it is desirable to identify test molecules that modulate interactions of mutant but not non-mutated target gene products.
[0162] The assays can be conducted in a heterogeneous or homogeneous format. In heterogeneous assays, target molecule and/or the binding partner are immobilized to a solid phase, and complexes are detected on the solid phase at the end of the reaction. In homogeneous assays, the entire reaction is carried out in a liquid phase. In either approach, the order of addition of reactants can be varied to obtain different information about the molecules being tested. For example, test compounds that agonize target molecule/binding partner interactions can be identified by conducting the reaction in the presence of the test molecule in a competition format. Alternatively, test molecules that agonize preformed complexes, e.g., molecules with higher binding constants that displace one of the components from the complex, can be tested by adding the test compound to the reaction mixture after complexes have been formed. [0163] Li a heterogeneous assay embodiment, the target molecule or the binding partner is anchored onto a solid surface (e.g., a microtiter plate), while the non-anchored species is labeled, either directly or indirectly. The anchored molecule can be immobilized by non-covalent or covalent attachments. Alternatively, an immobilized antibody specific for the molecule to be anchored can be used to anchor the molecule to the solid surface. The partner of the immobilized species is exposed to the coated surface with or without the test molecule. After the reaction is complete, unreacted components are removed (e.g. , by washing) such that a significant portion of any complexes formed will remain immobilized on the solid surface. Where the non-immobilized species is pre-labeled, the detection of label immobilized on the surface is indicative of complex. Where the non-immobilized species is not pre-labeled, an indirect label can be used to detect complexes anchored to the surface; e.g. , by using a labeled antibody specific for the initially non-immobilized species. Depending upon the order of addition of reaction components, test compounds that inhibit complex formation or that disrupt preformed complexes can be detected.
[0164] In another embodiment, the reaction can be conducted in a liquid phase in the presence or absence of test molecule, where the reaction products are separated from unreacted components, and the complexes are detected (e.g., using an immobilized antibody specific for one of the binding components to anchor any complexes formed in solution, and a labeled antibody specific for the other partner to detect anchored complexes). Again, depending upon the order of addition of reactants to the liquid phase, test compounds that inhibit complex or that disrupt preformed complexes can be identified.
[0165] In an alternate embodiment, a homogeneous assay can be utilized. For example, a preformed complex of the target gene product and the interactive cellular or extracellular binding partner product is prepared. One or both of the target molecule or binding partner is labeled, and the signal generated by the label(s) is quenched upon complex formation (e.g, U.S. Patent No. 4,109,496 that utilizes this approach for immunoassays). Addition of a test molecule that competes with and displaces one of the species from the preformed complex will result in the generation of a signal above background. In this way, test substances that disrupt target molecule/binding partner complexes can be identified.
[0166] Candidate therapeutics for treating type II diabetes are identified from a group of test molecules that interact with a target molecule. Test molecules are normally ranked according to the degree with which they modulate (e.g., agonize or antagonize) a function associated with the target molecule (e.g., DNA replication and/or processing, RNA transcription and/or processing, polypeptide production and/or processing, and/or biological function/activity), and then top ranking modulators are selected. Also, pharmacogenomic information described herein can determine the rank of a modulator. The top 10% of ranked test molecules often are selected for further testing as candidate therapeutics, and sometimes the top 15%, 20%, or 25% of ranked test molecules are selected for further testing as candidate therapeutics. Candidate therapeutics typically are formulated for administration to a subject.
[0167] Inhibitors of ERBB4, methods of making inhibitors of ERBB4 and methods of screening for inhibitors of ERBB4 are provided in PCT international patent publications WO 04014386, WO 03082831, WO 03053446, WO 00218444, WO 00202552, WO 00031048 and US Patent Nos. US 6,344,455 and US 6,344,459.
[0168] Exemplary EKBB4 inhibitors, include the following 4- anilino quinazoline:
Figure imgf000056_0001
wherein, Gl and W each independently is halogeno; Xl is a direct bond or 0; W is selected from hydrogen and (l-6C)alkyl, wherein the (l-6C)alkyl group is optionally substituted by one or more substituents, which may be the same or different, selected from hydroxy and halogeno, and/or a substituent selected from amino, nitro, carboxy, cyano, halogeno, (l-6C)alkoxy, hydroxy(l- 6C)alkoxy, (2-8C)alkenyl, (2-8C)alkynyl, (l-6C)alkylthio, (l-6C)alkylsulfinyl, (l-6C)alkylsulfonyl, (l-6C)alkylam-ino! di-[(l-6C)alkyl]amino, carbamoyl, N-(l-6C)alkylcarbamoyl, NN di-[(l- 6C)alkyl]carbamoyl, (2-6C)alkanoyl, (26C)alkanoyloxy, (2-6C)alkanoylamino, N-(l-6C)alkyl-(2- 6C)alkanoylamino, (16C)alkoxycarbonyl, sulfamoyl, N-(l-6C)alkylsulfamoyl, N, N-di-[(l- 6Qalkyl]sulfamoyl, (I6C)alkanesulponylamino and N-(I -6C)alkyl-(l-6C)alkanesulfonylamino; X2 is a direct bond or [CR2R3]., wherein m is an integer from I to 6, and each of R2 and R3 independently is selected from hydrogen, hydroxy, (l-4C)alkyl and hydroxy(l-4C)alkyl; Ql is (3-7C)cycloalkyl or heterocyclyl, wherein Ql optionally bears 1, 2 or 3 substituents, which may be the same or different, selected from halogeno, trifluoromethyl, trifluoromethoxy, cyano, nitro, hydroxy, amino, carboxy, carbamoyl, acryloyl, (l-6C)alkyl, (28C)alkenyl, (2-8C)alkynyl, (l-6C)alkoxy, (2-6C)alkenyloxy, (2- 6C)alkynyloxy, (16C)alkylthio, (2-6C)alkenylthio, (2-6C)alkynylthio, (l-6C)alkylsulfmyl, (26C)alkenylsulfmyl, (2-6C)alkynylsulfmyl, (l-6C)alkylsulfonyl, (2-6C)alkenylsulfonyl, (26C)allcynylsulfonyl, (l-6C)alkylamino, di-[(l-6C)alkyl]amino, (l-6C)alkoxycarbonyl, N-(I- 166 6C)alkylearbamoyl, N,N-di-[(l-6C)alkyl]carbalnoyl, (2-6C)alkanoyl, (2-6C)alkanoyloxy, (26C)alkanoylamino, N-(l-6C)alkyl-(2-6C)alkanoylainino, sulfamoyl, H-(l-6C)alkylsulfamoyl, N,kj- di+1 -6C)alkyl]sulfamoyl, (1 -6C)alkanesulfonylamino, N-(I -6C)alkyl-(16C)alka-nesulfonylamino, carbamoyl(l-6C)alkyl, H-(l-6C)alkylcarbamoyl(l-6C)alkyl, N,N-di5[(l-6C)alkyllearbamoyl(I- 6C)alkyl, sulfamoyl(l-6C)alkyl, kj-(l-6Qalkylsulfamoyl(16C)alkyl, N,ki-di-[(l- 6C)alkyllsulfamoyl(l-6C)alkyl, (2-6C)alkanoyl(l-6C)alkyl, (26C)alkanoyloxy(l-6C)alkyl, (2- 6C)alkanoylamino(I-6C)aUcyl, N-(l-6C)alkyl-(26C)alkanoylamino(l-6C)alkyl and (1- 6C)alkoxycarbonyl(l-6C)alkyl, or from a group of the formula: Q2-x3 wherein X3 is CO and Q2 is heterocyclyl, and wherein Q2 optionally bears I or 2 substituents, which may be the same or different, selected from halogeno, hydroxy, (l-4C)alkyl, (2-4C)alkanoyl and (14C)alkylsulfonyl, and wherein any (l-6C)alkyl, (2-8C)alkenyl, (2-8C)alkynyl and (2-6C)alkanoyl group within Ql optionally bears one or more substituents which may be the same or different selected from halogeno, hydroxy and (1- 6C)alkyl and/or optionally a substituent selected from cyano, nitro, carboxy, (2-8C)alkenyl, (2- 8C)alkynyl, (l-6C)alkoxy, hydroxy(l-6C)alkoxy, (1.4C)alkoxy(l-6C)alkoxy, (2-6C)alkanoyl, (2- 6C)alkanoyloxy and NRkb, wherein R a is 20 hydrogen or (l-4C)alkyl and Rb is hydrogen or (1- 4C)alkyl, and wherein any (l-4C)alkyl in Ra or Rboptionally bears one or more substituents, which may be the same or different, selected from halogeno and hydroxy and/or optionally a substituent selected from cyano, nitro, (24C)alkenyl, (2-4C)alkynyl, (l-4C)alkoxy, hydroxy(l-4C)alkoxy and (1- 2C)alkoxy(14C)alkoxy, or R aand e together with the nitrogen atom to which they are attached form a 4, 5 or 6 membered ring, which optionally bears 1 or 2 substituents, which may be the same or different, on an available ring carbon atom selected from halogeno, hydroxy, (l-4C)alkyl and (1- 3C)alkylenedioxy, and may optionally bear on any available ring nitrogen a substituent (provided the ring is not thereby quaternised) selected from (l-4C)alkyl, (2-4C)alkanoyl and 30 (1- 4C)alkylsulfonyl, and wherein any (l-4C)alkyl or (2-4C)alkanoyl group present as a substituent on the ring fon-ned by Raand Rbtogether with the nitrogen atom to which they are attached optionally bears one or more substituents, which may be the same or different, selected from - 167 halogeno and hydroxy and/or optionally a substituent selected from (l-4C)alkyl and (14C)alkoxy; and wherein any heterocyclyl group within the Q'-X2- group optionally bears 1 or 2 oxo (=0) or thioxo (=S) substituents; 5or a pharmaceutically acceptable salt thereof.
[0169] Exemplary EKBB4 inhibitors, include the following thienopyrmidine compounds:
Figure imgf000057_0001
[0170] An exemplary ERBB4 inhibitor, includes the N-[4-(3-chloro4-fluoro-phenylamino)-7-(3- morpholin-4-yl-propoxy)-quinazoli n-6-yl]-acrylamide:
Figure imgf000058_0001
andN-[4-[(3-bromoρhenyl)amino]-7-[3-(4-morpholino)propoxy]qumazolin-6-yl]acrylamide:
Figure imgf000058_0002
[0171] In an embodiment, an ERBB4 inhibitor can be used in a method of treating or preventing type II diabetes.
Therapeutic Formulations
[0172] Formulations and pharmaceutical compositions typically include in combination with a pharmaceutically acceptable carrier one or more target molecule modulators. The modulator often is a test molecule identified as having an interaction with a target molecule by a screening method described above. The modulator may be a compound, an antisense nucleic acid, a ribozyme, an antibody, or a binding partner. Also, formulations may comprise a target polypeptide or fragment thereof in combination with a pharmaceutically acceptable carrier.
[0173] As used herein, the term "pharmaceutically acceptable carrier" includes solvents, dispersion media, coatings, antibacterial and antifungal agents, isotonic and absorption delaying agents, and the like, compatible with pharmaceutical administration. Supplementary active compounds can also be incorporated into the compositions. Pharmaceutical compositions can be included in a container, pack, or dispenser together with instructions for administration.
[0174] A pharmaceutical composition typically is formulated to be compatible with its intended route of administration. Examples of routes of administration include parenteral, e.g., intravenous, intradermal, subcutaneous, oral (e.g., inhalation), transdermal (topical), transmucosal, and rectal 004/023981
administration. Solutions or suspensions used for parenteral, intradermal, or subcutaneous application can include the following components: a sterile diluent such as water for injection, saline solution, fixed oils, polyethylene glycols, glycerin, propylene glycol or other synthetic solvents; antibacterial agents such as benzyl alcohol or methyl parabens; antioxidants such as ascorbic acid or sodium bisulfite; chelating agents such as ethylenediaminetetraacetic acid; buffers such as acetates, citrates or phosphates and agents for the adjustment of tonicity such as sodium chloride or dextrose. pH can be adjusted with acids or bases, such as hydrochloric acid or sodium hydroxide. The parenteral preparation can be enclosed in ampoules, disposable syringes or multiple dose vials made of glass or plastic.
[0175] Oral compositions generally include an inert diluent or an edible carrier. For the purpose of oral therapeutic administration, the active compound can be incorporated with excipients and used in the form of tablets, troches, or capsules, e.g., gelatin capsules. Oral compositions can also be prepared using a fluid carrier for use as a mouthwash. Pharmaceutically compatible binding agents, and/or adjuvant materials can be included as part of the composition. The tablets, pills, capsules, troches and the like can contain any of the following ingredients, or compounds of a similar nature: a binder such as microcrystalline cellulose, gum tragacanth or gelatin; an excipient such as starch or lactose, a disintegrating agent such as alginic acid, Primogel, or corn starch; a lubricant such as magnesium stearate or Sterotes; a glidant such as colloidal silicon dioxide; a sweetening agent such as sucrose or saccharin; or a flavoring agent such as peppermint, methyl salicylate, or orange flavoring.
[0176] Pharmaceutical compositions suitable for injectable use include sterile aqueous solutions (where water soluble) or dispersions and sterile powders for the extemporaneous preparation of sterile injectable solutions or dispersion. For intravenous administration, suitable carriers include physiological saline, bacteriostatic water, Cremophor EL™ (BASF, Parsippany, NJ) or phosphate buffered saline (PBS). In all cases, the composition must be sterile and should be fluid to the extent that easy syringability exists. It should be stable under the conditions of manufacture and storage and must be preserved against the contaminating action of microorganisms such as bacteria and fungi. The carrier can be a solvent or dispersion medium containing, for example, water, ethanol, polyol (for example, glycerol, propylene glycol, and liquid polyethylene glycol, and the like), and suitable mixtures thereof. The proper fluidity can be maintained, for example, by the use of a coating such as lecithin, by the maintenance of the required particle size in the case of dispersion and by the use of surfactants. Prevention of the action of microorganisms can be achieved by various antibacterial and antifungal agents, for example, parabens, chlorobutanol, phenol, ascorbic acid, thimerosal, and the like. In many cases, it will be preferable to include isotonic agents, for example, sugars, polyalcohols such as mannitol, sorbitol, sodium chloride in the composition. Prolonged absorption of the US2004/023981
injectable compositions can be brought about by including in the composition an agent which delays absorption, for example, aluminum monostearate and gelatin.
[0177] Sterile injectable solutions can be prepared by incorporating the active compound in the required amount in an appropriate solvent with one or a combination of ingredients enumerated above, as required, followed by filtered sterilization. Generally, dispersions are prepared by incorporating the active compound into a sterile vehicle which contains a basic dispersion medium and the required other ingredients from those enumerated above. In the case of sterile powders for the preparation of sterile injectable solutions, the preferred methods of preparation are vacuum drying and freeze-drying which yields a powder of the active ingredient plus any additional desired ingredient from a previously sterile-filtered solution thereof.
[0178] For administration by inhalation, the compounds are delivered in the form of an aerosol spray from pressured container or dispenser which contains a suitable propellant, e.g., a gas such as carbon dioxide, or a nebulizer.
[0179] Systemic administration can also be by transmucosal or transdermal means. For transmucosal or transdermal administration, penetrants appropriate to the barrier to be permeated are used in the formulation. Such penetrants are generally known in the art, and include, for example, for transmucosal administration, detergents, bile salts, and fusidic acid derivatives. Transmucosal administration can be accomplished through the use of nasal sprays or suppositories. For transdermal administration, the active compounds are formulated into ointments, salves, gels, or creams as generally known in the art. Molecules can also be prepared in the form of suppositories (e.g., with conventional suppository bases such as cocoa butter and other glycerides) or retention enemas for rectal delivery.
[0180] In one embodiment, active molecules are prepared with carriers that will protect the compound against rapid elimination from the body, such as a controlled release formulation, including implants and microencapsulated delivery systems. Biodegradable, biocompatible polymers can be used, such as ethylene vinyl acetate, polyanhydrides, polyglycolic acid, collagen, polyorthoesters, and polylactic acid. Methods for preparation of such formulations will be apparent to those skilled in the art. Materials can also be obtained commercially from Alza Corporation and Nova Pharmaceuticals, Inc. Liposomal suspensions (including liposomes targeted to infected cells with monoclonal antibodies to viral antigens) can also be used as pharmaceutically acceptable carriers. These can be prepared according to methods known to those skilled in the art, for example, as described in U.S. Patent No. 4,522,811.
[0181] It is advantageous to formulate oral or parenteral compositions in dosage unit form for ease of administration and uniformity of dosage. Dosage unit form as used herein refers to physically discrete units suited as unitary dosages for the subject to be treated; each unit containing a predetermined quantity of active compound calculated to produce the desired therapeutic effect in association with the required pharmaceutical carrier.
[0182] Toxicity and therapeutic efficacy of such compounds can be determined by standard pharmaceutical procedures in cell cultures or experimental animals, e.g., for determining the LD50 (the dose lethal to 50% of the population) and the ED50 (the dose therapeutically effective in 50% of the population). The dose ratio between toxic and therapeutic effects is the therapeutic index and it can be expressed as the ratio LD50/ED50. Molecules which exhibit high therapeutic indices are preferred. While molecules that exhibit toxic side effects may be used, care should be taken to design a delivery system that targets such compounds to the site of affected tissue in order to minimize potential damage to uninfected cells and, thereby, reduce side effects.
[0183] The data obtained from the cell culture assays and animal studies can be used in formulating a range of dosage for use in humans. The dosage of such molecules lies preferably within a range of circulating concentrations that include the ED50 with little or no toxicity. The dosage may vary within this range depending upon the dosage form employed and the route of administration utilized. For any molecules used in the methods described herein, the therapeutically effective dose can be estimated initially from cell culture assays. A dose may be formulated in animal models to achieve a circulating plasma concentration range that includes the IC50 (i.e., the concentration of the test compound which achieves a half-maximal inhibition of symptoms) as determined in cell culture. Such information can be used to more accurately determine useful doses in humans. Levels in plasma may be measured, for example, by high performance liquid chromatography.
[0184] As defined herein, a therapeutically effective amount of protein or polypeptide (i.e., an effective dosage) ranges from about 0.001 to 30 mg/kg body weight, sometimes about 0.01 to 25 mg/kg body weight, often about 0.1 to 20 mg/kg body weight, and more often about 1 to 10 mg/kg, 2 to 9 mg/kg, 3 to 8 mg/kg, 4 to 7 mg/kg, or 5 to 6 mg/kg body weight. The protein or polypeptide can be administered one time per week for between about 1 to 10 weeks, sometimes between 2 to 8 weeks, often between about 3 to 7 weeks, and more often for about 4, 5, or 6 weeks. The skilled artisan will appreciate that certain factors may influence the dosage and timing required to effectively treat a subject, including but not limited to the severity of the disease or disorder, previous treatments, the general health and/or age of the subject, and other diseases present. Moreover, treatment of a subject with a therapeutically effective amount of a protein, polypeptide, or antibody can include a single treatment or, preferably, can include a series of treatments.
[0185] With regard to polypeptide formulations, featured herein is a method for treating type II diabetes in a subject, which comprises contacting one or more cells in the subject with a first polypeptide, where the subject comprises a second polypeptide having one or more polymorphic variations associated with cancer, and where the first polypeptide comprises fewer polymorphic variations associated with cancer than- the second polypeptide. The first and second polypeptides are encoded by a nucleic acid which comprises a nucleotide sequence in SEQ ID NO: 1-11 or referenced in Table 4; a nucleotide sequence which encodes a polypeptide consisting of an amino acid sequence encoded by a nucleotide sequence referenced in SEQ ID NO: 1-11 or referenced in Table 4; a nucleotide sequence which encodes a polypeptide that is 90% or more identical to an amino acid sequence encoded by a nucleotide sequence of SEQ ID NO: 1-11 or referenced in Table 4 and a nucleotide sequence 90% or more identical to a nucleotide sequence in SEQ ID NO: 1-11 or referenced in Table 4. The subject often is a human.
[0186] For antibodies, a dosage of 0.1 mg/kg of body weight (generally 10 mg/kg to 20 mg/kg) is often utilized. If the antibody is to act in the brain, a dosage of 50 mg/kg to 100 mg/kg is often appropriate. Generally, partially human antibodies and fully human antibodies have a longer half-life within the human body than other antibodies. Accordingly, lower dosages and less frequent administration is often possible. Modifications such as lipidation can be used to stabilize antibodies and to enhance uptake and tissue penetration (e.g. , into the brain). A method for lipidation of antibodies is described by Cruikshank et ah, J. Acquired Immune Deficiency Syndromes and Human Retrovirology 14:193 (1997).
[0187] Antibody conjugates can be used for modifying a given biological response, the drug moiety is not to be construed as limited to classical chemical therapeutic agents. For example, the drug moiety may be a protein or polypeptide possessing a desired biological activity. Such proteins may include, for example, a toxin such as abrin, ricin A, pseudomonas exotoxin, or diphtheria toxin; a polypeptide such as tumor necrosis factor, .alpha.-interferon, .beta.-interferon, nerve growth factor, platelet derived growth factor, tissue plasminogen activator; or, biological response modifiers such as, for example, lymphokines, interleukin-1 ("IL-I"), interleukin-2 ("IL-2"), interleukin-6 ("IL-6"), granulocyte macrophage colony stimulating factor ("GM-CSF"), granulocyte colony stimulating factor ("G-CSF"), or other growth factors. Alternatively, an antibody can be conjugated to a second antibody to form an antibody heteroconjugate as described by Segal in U.S. Patent No. 4,676,980.
[0188] For compounds, exemplary doses include milligram or microgram amounts of the compound per kilogram of subject or sample weight, for example, about 1 microgram per kilogram to about 500 milligrams per kilogram, about 100 micrograms per kilogram to about 5 milligrams per kilogram, or about 1 microgram per kilogram to about 50 micrograms per kilogram. It is understood that appropriate doses of a small molecule depend upon the potency of the small molecule with respect to the expression or activity to be modulated. When one or more of these small molecules is to be administered to an animal (e.g. , a human) in order to modulate expression or activity of a polypeptide or nucleic acid described herein, a physician, veterinarian, or researcher may, for example, prescribe a relatively low dose at first, subsequently increasing the dose until an appropriate response is obtained. In addition, it is understood that the specific dose level for any particular animal subject will depend upon a variety of factors including the activity of the specific compound employed, the age, body weight, general health, gender, and diet of the subject, the time of administration, the route of administration, the rate of excretion, any drug combination, and the degree of expression or activity to be modulated.
[0189] With regard to nucleic acid formulations, gene therapy vectors can be delivered to a < subject by, for example, intravenous injection, local administration {see, e.g., U.S. Patent 5,328,470) or by stereotactic injection {see e.g., Chen et al, (1994) Proc. Natl. Acad. ScL USA £7:3054-3057). Pharmaceutical preparations of gene therapy vectors can include a gene therapy vector in an acceptable diluent, or can comprise a slow release matrix in which the gene delivery vehicle is imbedded. Alternatively, where the complete gene delivery vector can be produced intact from recombinant cells {e.g., retroviral vectors) the pharmaceutical preparation can include one or more cells which produce the gene delivery system. Examples of gene delivery vectors are described herein.
Therapeutic Methods
[0190] A therapeutic formulation described above can be administered to a subject in need of a therapeutic for inducing a desired biological response. Therapeutic formulations can be administered by any of the paths described herein. With regard to both prophylactic and therapeutic methods of treatment, such treatments may be specifically tailored or modified, based on knowledge obtained from pharmacogenomic analyses described herein.
[0191] As used herein, the term "treatment" is defined as the application or administration of a therapeutic formulation to a subject, or application or administration of a therapeutic agent to an isolated tissue or cell line from a subject with the purpose to cure, heal, alleviate, relieve, alter, remedy, ameliorate, improve or affect type II diabetes, symptoms of type π diabetes or a predisposition towards type II diabetes. A therapeutic formulation includes, but is not limited to, small molecules, peptides, antibodies, ribozymes and antisense oligonucleotides. Administration of a therapeutic formulation can occur prior to the manifestation of symptoms characteristic of type II diabetes, such that type II diabetes is prevented or delayed in its progression. The appropriate therapeutic composition can be determined based on screening assays described herein.
[0192] In related aspects, embodiments include methods of causing or inducing a desired biological response in an individual comprising the steps of: providing or administering to an individual a composition comprising a polypeptide described herein, or a fragment thereof, or a therapeutic formulation described herein, wherein said biological response is selected from the group consisting of: (a) modulating circulating (either blood, serum or plasma) levels (concentration) of glucose, wherein said modulating is preferably lowering; (b) increasing cell or tissue sensitivity to insulin, particularly muscle, adipose, liver or brain; (c) inhibiting the progression from impaired glucose tolerance to insulin, resistance; (d) increasing glucose uptake in skeletal muscle cells; (e) increasing glucose uptake in adipose cells; (f) increasing glucose uptake in neuronal cells; (g) increasing glucose uptake in red blood cells; (h) increasing glucose uptake in the brain; and (i) significantly reducing the postprandial increase in plasma glucose following a meal, particularly a high carbohydrate meal.
[0193] In other embodiments, a pharmaceutical or physiologically acceptable composition can be utilized as an insulin sensitizer, or can be used in: a method to improve insulin sensitivity in some persons with type II diabetes in combination with insulin therapy; a method to improve insulin sensitivity in some persons with type II diabetes without insulin therapy; or a method of treating individuals with gestational diabetes. Gestational diabetes refers to the development of diabetes in an individual during pregnancy, usually during the second or third trimester of pregnancy. In further embodiments, the pharmaceutical or physiologically acceptable composition can be used in a method of treating individuals with impaired fasting glucose (IFG). Impaired fasting glucose (IFG) is a condition in which fasting plasma glucose levels in an individual are elevated but not diagnostic of overt diabetes (i.e. plasma glucose levels of less than 126 mg/dl and greater than or equal to 110 mg/dl).
[0194] In other embodiments, the pharmaceutical or physiologically acceptable composition can be used in a method of treating and preventing impaired glucose tolerance (IGT) in an individual. By providing therapeutics and methods for reducing or preventing IGT (i.e., for normalizing insulin resistance) the progression to type II diabetes can be delayed or prevented. Furthermore, by providing therapeutics and methods for reducing or preventing insulin resistance, provided are methods for reducing and/or preventing the appearance of Insulin-Resistance Syndrome (IRS). In further embodiments, the pharmaceutical or physiologically acceptable composition can be used in a method of treating a subject having polycystic ovary syndrome (PCOS). PCOS is among the most common disorders of premenopausal women, affecting 5-10% of this population. Insulin-sensitizing agents (e.g., troglitazone) have been shown to be effective in PCOS and that, in particular, the defects in insulin action, insulin secretion, ovarian steroidogenesis and fibrinolysis are improved (Ehrman et al. (1997) J Clin Invest 100:1230), such as in insulin-resistant humans. Accordingly, provided are methods for reducing insulin resistance, normalizing blood glucose thus treating and/or preventing PCOS.
[0195] In certain embodiments, the pharmaceutical or physiologically acceptable composition can be used in a method of treating a subject having insulin resistance, where a subject having insulin resistance is treated to reduce or cure the insulin resistance. As insulin, resistance is also often associated with infections and cancer, preventing or reducing insulin resistance may prevent or reduce infections and cancer.
[0196] In other embodiments, the pharmaceutical compositions and methods described herein are useful for: preventing the development of insulin resistance in a subject, e.g., those known to have an increased risk of developing insulin resistance; controlling blood glucose in some persons with type II diabetes in combination with insulin therapy; increasing cell or tissue sensitivity to insulin, particularly muscle, adipose, liver or brain; inhibiting or preventing the progression from impaired glucose tolerance to insulin resistance; improving glucose control of type II diabetes patients alone, without an insulin secretagogue or an insulin sensitizing agent; and administering a complementary therapy to type II diabetes patients to improve their glucose control in combination with an insulin secretagogue (preferably oral form) or an insulin sensitizing (preferably oral form) agent. In the latter embodiment, the oral insulin secretagogue sometimes is l,l-dimethyl-2-(2- morpholino phenyl)guanidine fumarate (BTS67582) or a sulphonylurea selected from tolbutamide, tolazamide, chlorpropamide, glibenclamide, glimepiride, glipizide and glidazide. The insulin sensitizing agent sometimes is selected from metformin, ciglitazone, troglitazone and pioglitazone.
[0197] Further embodiments include methods of administering a pharmaceutical or physiologically acceptable composition concomitantly or concurrently, with an insulin secretagogue or insulin sensitizing agent, for example, in the form of separate dosage units to be used simultaneously, separately or sequentially (e.g., before or after the secretagogue or before or after the sensitizing agent). Accordingly, provided is a pharmaceutical or physiologically acceptable composition and an insulin secretagogue or insulin sensitizing agent as a combined preparation for simultaneous, separate or sequential use for the improvement of glucose control in type II diabetes patients.
[0198] Thus, any test known in the art or a method described herein can be used to determine that a subject is insulin resistant, and an insulin resistant patient can then be treated according to the methods described herein to reduce or cure the insulin resistance. Alternatively, the methods described herein also can be used to prevent the development of insulin resistance in a subject, e.g. , those known to have an increased risk of developing insulin-resistance.
[0199] As discussed, successful treatment of type II diabetes can be brought about by techniques that serve to agonize target molecule expression or function, or alternatively, antagonize target molecule expression or function. These techniques include administration of modulators that include, but are not limited to, small organic or inorganic molecules; antibodies (including, for example, polyclonal, monoclonal, humanized, anti-idiotypic, chimeric or single chain antibodies, and Fab, F(ab')2 and Fab expression library fragments, scFV molecules, and epitope-binding fragments thereof); and peptides, phosphopeptides, or polypeptides.
[0200] Further, antisense and ribozyrαe molecules that inhibit expression of the target,gene can also be used to reduce the level of target gene expression, thus effectively reducing the level of target gene activity. Still further, triple helix molecules can be utilized in reducing the level of target gene activity. Antisense, ribozyme and triple helix molecules are discussed above. It is possible that the use of antisense, ribozyme, and/or triple helix molecules to reduce or inhibit mutant gene expression can also reduce or inhibit the transcription (triple helix) and/or translation (antisense, ribozyme) of mRNA produced by normal target gene alleles, such that the concentration of normal target gene product present can be lower than is necessary for a normal phenotype. In such cases, nucleic acid molecules that encode and express target gene polypeptides exhibiting normal target gene activity can be introduced into cells via gene therapy method. Alternatively, in instances in that the target gene encodes an extracellular polypeptide, it can be preferable to co-administer normal target gene polypeptide into the cell or tissue in order to maintain the requisite level of cellular or tissue target gene activity.
[0201] Another method by which nucleic acid molecules may be utilized in treating or preventing type II diabetes is use of aptamer molecules specific for target molecules. Aptamers are nucleic acid molecules having a tertiary structure which permits them to specifically bind to ligands (see, e.g., Osborne, et al, Curr. Opin. Chem. Biol.1(1): 5-9 (1997); and Patel, D. J., Curr. Opin. Chem. Biol. Jun;l(l): 32-46 (1997)).
[0202] Yet another method of utilizing nucleic acid molecules for type II diabetes treatment is gene therapy, which can also be referred to as allele therapy. Provided herein is a gene therapy method for treating type II diabetes in a subject, which comprises contacting one or more cells in the subject or from the subject with a nucleic acid having a first nucleotide sequence. Genomic DNA in the subject comprises a second nucleotide sequence having one or more polymorphic variations associated with type II diabetes (e.g., the second nucleic acid has a nucleotide sequence in SEQ ED NO: 1-11 or referenced in Table 4). The first and second nucleotide sequences typically are substantially identical to one another, and the first nucleotide sequence comprises fewer polymorphic variations associated with type II diabetes than the second nucleotide sequence. The first nucleotide sequence may comprise a gene sequence that encodes a full-length polypeptide or a fragment thereof. The subject is often a human. Allele therapy methods often are utilized in conjunction with a method of first determining whether a subject has genomic DNA that includes polymorphic variants associated with type II diabetes.
[0203] In another allele therapy embodiment, provided herein is a method which comprises contacting one or more cells in the subject or from the subject with a polypeptide encoded by a nucleic acid having a first nucleotide sequence. Genomic DNA in the subject comprises a second nucleotide sequence having one or more polymorphic variations associated with type π diabetes (e.g., the second nucleic acid has a nucleotide sequence in SEQ ID NO: 1-11 or referenced in Table 4). The first and second nucleotide sequences typically are substantially identical to one another, and the first nucleotide sequence comprises fewer polymorphic variations associated with type^II diabetes than the second nucleotide sequence. The first nucleotide sequence may comprise a gene sequence that encodes a full-length polypeptide or a fragment thereof. The subject is often a human.
[0204] For antibody-based therapies, antibodies can be generated that are both specific for target molecules and that reduce target molecule activity. Such antibodies may be administered in instances where antagonizing a target molecule function is appropriate for the treatment of type II diabetes.
[0205] In circumstances where stimulating antibody production in an animal or a human subject by injection with a target molecule is harmful to the subject, it is possible to generate an immune response against the target molecule by use of anti-idiotypic antibodies (see, e.g., Herlyn, Ann. Med.; 31(1): 66-78 (1999); and Bhattacharya-Chatterjee & Foon, Cancer Treat. Res.; 94: 51-38 (1998)). Introducing an anti-idiotypic antibody to a mammal or human subject often stimulates production of anti-anti-idiotypic antibodies, which typically are specific to the target molecule. Vaccines directed to type II diabetes also may be generated in this fashion.
[0206] In instances where the target molecule is intracellular and whole antibodies are used, internalizing antibodies may be preferred. Lipofectin or liposomes can be used to deliver the antibody or a fragment of the Fab region that binds to the target antigen into cells. Where fragments of the antibody are used, the smallest inhibitory fragment that binds to the target antigen is preferred. For example, peptides having an amino acid sequence corresponding to the Fv region of the antibody can be used. Alternatively, single chain neutralizing antibodies that bind to intracellular target antigens can also be administered. Such single chain antibodies can be administered, for example, by expressing nucleotide sequences encoding single-chain antibodies within the target cell population (see, e.g., Marasco et al, Proc. Natl Acad. ScL USA 90: 7889-7893 (1993)).
[0207] Modulators can be administered to a patient at therapeutically effective doses to treat type π diabetes. A therapeutically effective dose refers to an amount of the modulator sufficient to result in amelioration of symptoms of type II diabetes. Toxicity and therapeutic efficacy of modulators can be determined by standard pharmaceutical procedures in cell cultures or experimental animals, e.g., for determining the LD50 (the dose lethal to 50% of the population) and the ED50 (the dose therapeutically effective in 50% of the population). The dose ratio between toxic and therapeutic effects is the therapeutic index and it can be expressed as the ratio LD5o/ED50. Modulators that exhibit large therapeutic indices are preferred. While modulators that exhibit toxic side effects can be used, care should be taken to design a delivery system that targets such molecules to the site of affected tissue in order to minimize potential damage to uninfected cells, thereby reducing side effects.
[0208] Data obtained from cell culture assays and animal studies can be used in formulating a range of dosages for use in humans. The dosage of such compounds lies preferably within a range of circulating concentrations that include the ED50 with little or no toxicity. The dosage can vary within this range depending upon the dosage form employed and the route of administration utilized. For any compound used in the methods described herein, the therapeutically effective dose can be estimated initially from cell culture assays. A dose can be formulated in animal models to achieve a circulating plasma concentration range that includes the IC50 (i.e., the concentration of the test compound that achieves a half-maximal inhibition of symptoms) as determined in cell culture. Such information can be used to more accurately determine useful doses in humans. Levels in plasma can be measured, for example, by high performance liquid chromatography.
[0209] Another example of effective dose determination for an individual is the ability to directly assay levels of "free" and "bound" compound in the serum of the test subject. Such assays may utilize antibody mimics and/or "biosensors" that have been created through molecular imprinting techniques. Molecules that modulate target molecule activity are used as a template, or "imprinting molecule", to spatially organize polymerizable monomers prior to their polymerization with catalytic reagents. The subsequent removal of the imprinted molecule leaves a polymer matrix which contains a repeated "negative image" of the compound and is able to selectively rebind the molecule under biological assay conditions. A detailed review of this technique can be seen in Ansell et ah, Current Opinion in Biotechnology 7: 89-94 (1996) and in Shea, Trends in Polymer Science 2: 166-173 (1994). Such "imprinted" affinity matrixes are amenable to ligand-binding assays, whereby the immobilized monoclonal antibody component is replaced by an appropriately imprinted matrix. An example of the use of such matrixes in this way can be seen in Vlatakis, et ah, Nature 361: 645-647 (1993). Through the use of isotope-labeling, the "free" concentration of compound which modulates target molecule expression or activity readily can be monitored and used in calculations of ICs0. Such "imprinted" affinity matrixes can also be designed to include fluorescent groups whose photon- emitting properties measurably change upon local and selective binding of target compound. These changes readily can be assayed in real time using appropriate fiberoptic devices, in turn allowing the dose in a test subject to be quickly optimized based on its individual IC50. An example of such a "biosensor" is discussed in Kriz et ah, Analytical Chemistry 67: 2142-2144 (1995).
[0210] The examples set forth below are intended to illustrate but not limit the invention. Examples
[0211] In the following studies a group of subjects were selected according to specific parameters relating to type II diabetes. Nucleic acid samples obtained from individuals in the study group were subjected to genetic analysis, which identified associations between type II diabetes and certain polymorphic variants in VMD2L3, GPR97, ADCYAPlRl, ERBB4, ABCBl and ABL2 (herein referred to as "target genes," "target nucleotides," "target polypeptides" or simply "targets"). Ia addition, Methods are described for producing VMD2L3, GPR97, ADCYAPlRl, ERBB4, ABCBl and ABL2 polypeptides and polypeptide variants in vitro or in vivo. VMD2L3, GPR97, ADCYAPlRl, ERBB4, ABCBl and ABL2 nucleic acids or polypeptides and variants thereof are utilized for screening test molecules for those that interact with VMD2L3, GPR97, ADCYAPlRl, ERBB4, ABCBl and ABL2 molecules. Test molecules identified as interactors with VMD2L3, GPR97, ADCYAPlRl, ERBB4, ABCBl and ABL2 molecules and variants are further screened in vivo to determine whether they treat type II diabetes.
Example 1 Samples and Pooling Strategies
Sample Selection
[0212] Blood samples were collected from individuals diagnosed with type II diabetes, which were referred to as case samples. Also, blood samples were collected from individuals not diagnosed with type II diabetes or a history of type II diabetes; these samples served as gender and age-matched controls. A database was created that listed all phenotypic trait information gathered from individuals for each case and control sample. Genomic DNA was extracted from each of the blood samples for genetic analyses.
DNA Extraction from Blood Samples
[0213] Six to ten milliliters of whole blood was transferred to a 50 ml tube containing 27 ml of red cell lysis solution (RCL). The tube was inverted until the contents were mixed. Each tube was incubated for 10 minutes at room temperature and inverted once during the incubation. The tubes were then centrifuged for 20 minutes at 3000 x g and the supernatant was carefully poured off. 100- 200 μl of residual liquid was left in the tube and was pipetted repeatedly to resuspend the pellet in the residual supernatant. White cell lysis solution (WCL) was added to the tube and pipetted repeatedly until completely mixed. While no incubation was normally required, the solution was incubated at 37°C or room temperature if cell clumps were visible after mixing until the solution was homogeneous. 2 ml of protein precipitation was added to the cell lysate. The mixtures were vortexed 4 023981
vigorously at high speed for 20 sec to mix the protein precipitation solution uniformly with the cell lysate, and then centrifuged for 10 minutes at 3000 x g. The supernatant containing the DNA was then poured into a clean 15 ml tube, which contained 7 ml of 100% isopropanol. The samples were mixed by inverting the tubes gently until white threads of DNA were visible. Samples were centrifuged for 3 minutes at 2000 x g and the DNA was visible as a small white pellet. The supernatant was decanted and 5 ml of 70% ethanol was added to each tube. Each tube was inverted several times to wash the DNA pellet, and then centrifuged for 1 minute at 2000 x g. The ethanol was decanted and each tube was drained on clean absorbent paper. The DNA was dried in the tube by inversion for 10 minutes, and then 1000 μl of IX TE was added. The size of each sample was estimated, and less TE buffer was added during the following DNA hydration step if the sample was smaller. The DNA was allowed to rehydrate overnight at room temperature, and DNA samples were stored at 2-80C.
[0214] DNA was quantified by placing samples on a hematology mixer for at least 1 hour. DNA was serially diluted (typically 1:80, 1:160, 1:320, and 1:640 dilutions) so that it would be within the measurable range of standards. 125 μl of diluted DNA was transferred to a clear U-bottom microtiter plate, and 125 μl of IX TE buffer was transferred into each well using a multichannel pipette. The DNA and IX TE were mixed by repeated pipetting at least 15 times, and then the plates were sealed. 50 μl of diluted DNA was added to wells A5-H12 of a black flat bottom microtiter plate. Standards were inverted six times to mix them, and then 50 μl of IX TE buffer was pipetted into well Al, 1000 ng/ml of standard was pipetted into well A2, 500 ng/ml of standard was pipetted into well A3, and 250 ng/ml of standard was pipetted into well A4. PicoGreen (Molecular Probes, Eugene, Oregon) was thawed and freshly diluted 1 :200 according to the number of plates that were being measured. PicoGreen was vortexed and then 50μl was pipetted into all wells of the black plate with the diluted DNA. DNA and PicoGreen were mixed by pipetting repeatedly at least 10 times with the multichannel pipette. The plate was placed into a Fluoroskan Ascent Machine (microplate fiuorometer produced by Labsystems) and the samples were allowed to incubate for 3 minutes before the machine was run using filter pairs 485 nm excitation and 538 nm emission wavelengths. Samples having measured DNA concentrations of greater than 450 ng/μl were re-measured for conformation. Samples having measured DNA concentrations of 20 ng/μl or less were re-measured for confirmation.
Pooling Strategies
[0215] Samples were placed into one of four groups based on disease status. The four groups were female case samples, female control samples, male case samples and male control samples. A select set of samples from each group were utilized to generate pools, and one pool was created for 23981
each group. Each individual sample in a pool was represented by an equal amount of genomic DNA. For example, where 25 ng of genomic DNA was utilized in each PCR reaction and there were 200 individuals in each pool, each individual would provide 125 pg of genomic DNA. Inclusion or exclusion of samples for a pool was based upon the following criteria and detailed in the tables below: patient ethnicity, diagnosis with type II diabetes, GAD antibody concentration, HbAIc concentration, body mass (BMI), patient age, date of primary diagnosis, and age of individual as of primary diagnosis. (See Table 1 below). Cases with elevated GAD antibody titers and low age of diagnosis were excluded to increase the homogeneity of the diabetes sample in terms of underlying pathogenesis. Controls with elevated HbAIc were excluded to remove any potentially undiagnosed diabetics. Control samples were derived from non-diabetic individuals with no family history of type II diabetes. Secondary phenotypes were also measured in the diabetic cases, including HDL levels, LDL levels, triglyceride levels, insulin levels, C-peptide levels, nephropathy status, and neuropathy status, to name a few. The phenotype data collected may be used to perform secondary analysis of the cases in order to elucidate the potential pathway of a disease gene.
TABLE l
Figure imgf000071_0001
[0216] The selection process yielded the pools described in Table 2, which were used in the studies described herein. 04/023981
TABLE 2
Figure imgf000072_0001
[0217] A whole-genome screen was performed to identify particular SNPs associated with occurrence of type II diabetes. As described in Example 1, two sets of samples were utilized: female individuals having type II diabetes (female cases) and samples from female individuals not having type π diabetes or any history of type E diabetes (female controls), and male individuals having type II diabetes (male cases) and samples from male individuals not having type II diabetes or any history of type π diabetes (male controls). The initial screen of each pool was performed in an allelotyping study, in which certain samples in each group were pooled. By pooling DNA from each group, an allele frequency for each SNP in each group was calculated. These allele frequencies were then compared to one another. Particular SNPs were considered as being associated with type II diabetes when allele frequency differences calculated between case and control pools were statistically significant. SNP disease association results obtained from the allelotyping study were then validated by genotyping each associated SNP across all samples from each pool. The results of the genotyping were then analyzed, allele frequencies for each group were calculated from the individual genotyping results, and a p-value was calculated to determine whether the case and control groups had statistically significantly differences in allele frequencies for a particular SNP."When the genotyping results agreed with the original allelotyping results, the SNP disease association was considered validated at the genetic level.
SNP Panel Used for Genetic Analyses
[0218] A whole-genome SNP screen began with an initial screen of approximately 25,000 SNPs over each set of disease and control samples using a pooling approach. The pools studied in the screen are described in Example 1. The SNPs analyzed in this study were part of a set of 25,488 SNPs confirmed as being statistically polymorphic as each is characterized as having a minor allele frequency of greater than 10%. The SNPs in the set reside in genes or in close proximity to genes, and many reside in gene exons. Specifically, SNPs in the set are located in exons, introns, and within 5,000 base-pairs upstream of a transcription start site of a gene. In addition, SNPs were selected according to the following criteria: they are located in ESTs; they are located in Locuslink or Ensembl genes; and they are located in Genomatix promoter predictions. SNPs in the set were also selected on the basis of even spacing across the genome, as depicted in Table 3. An additional 3088 SNPs were included with these 25,488 SNPs and these additional SNPs had been chosen on the basis of gene location, with preference to non-synonymous coding SNPs located in disease candidate genes.
TABLE 3
Figure imgf000073_0001
Allelotyping and Genotyping Results
[0219] The genetic studies summarized above and described in more detail below identified allelic variants associated with type II diabetes. The allelic variants identified from the SNP panel described in Table 3 are summarized below in Table 4.
TABLE 4
Figure imgf000074_0001
OJ
[0220] Table 4 includes information pertaining to the incident polymorphic variant associated with type II diabetes identified herein. Public information pertaining to the polymorphism and the genomic sequence that includes the polymorphism are indicated. The genomic sequences identified in Table 4 may be accessed at the http address www.ncbi.nih.gov/entrez/query.fcgi, for example, by using the publicly available SNP reference number (e.g., rsl0906). The chromosome position refers to the position of the SNP within NCBF s Genome Build 34, which may be accessed at the following http address: www.ncbi.nhτi.nih.gov/mapview/map_search.cgi?chr=hum_chr.inf&query=. However, the position for SNP GPR_97 (57457822) is based on NCBFs Genome Build 34. The "Contig Position" provided in Table 4 corresponds to a nucleotide position set forth in the contig sequence, and designates the polymorphic site corresponding to the SNP reference number. The sequence containing the polymorphisms also may be referenced by the "Sequence Identification" set forth in Table 4. The "Sequence Identification" corresponds to cDNA sequence that encodes associated target polypeptides (e.g., VMD2L3) of the invention. The position of the SNP within the cDNA sequence is provided in the "Sequence Position" column of Table 4. Also, the allelic variation at the polymorphic site and the allelic variant identified as associated with type II diabetes is specified in Table 4. All nucleotide sequences referenced and accessed by the parameters set forth in Table 4 are incorporated herein by reference.
Assay for Verifying. Allelotyping. and Genotyping SNPs
[0221] A MassARRAY® system (Sequenom, Inc.) was utilized to perform SNP genotyping in a high-throughput fashion. This genotyping platform was complemented by a homogeneous, single- tube assay method (hME™ or homogeneous MassEXTEND™ (Sequenom, Inc.)) in which two genotyping primers anneal to and amplify a genomic target surrounding a polymorphic site of interest. A third primer (the MassEXTEND™ primer), which is complementary to the amplified target up to but not including the polymorphism, was then enzymatically extended one or a few bases through the polymorphic site and then terminated.
[0222] For each polymorphism, SpectroDESIGNER™ software (Sequenom, Inc.) was used to generate a set of PCR primers and a MassEXTEND™ primer was used to genotype the polymorphism. Table 5 shows PCR primers and Table 6 shows extension primers used for analyzing polymorphisms. The initial PCR amplification reaction was performed in a 5 μl total volume containing IX PCR buffer with 1.5 mM MgCl2 (Qiagen), 200 μM each of dATP, dGTP, dCTP, dTTP (Gibco-BRL), 2.5 ng of genomic DNA, 0.1 units of HotStar DNA polymerase (Qiagen), and 200 nM each of forward and reverse PCR primers specific for the polymorphic region of interest. TABLE 5: PCR Primers
Figure imgf000076_0001
[0223] Samples were incubated at 950C for 15 minutes, followed by 45 cycles of 95°C for 20 seconds, 560C for 30 seconds, and 72°C for 1 minute, finishing with a 3 minute final extension at 72°C. Following amplification, shrimp alkaline phosphatase (SAP) (0.3 units in a 2 μl volume) (Amersham Pharmacia) was added to each reaction (total reaction volume was 7 μl) to remove any residual dNTPs that were not consumed in the PCR step. Samples were incubated for 20 minutes at 37°C, followed by 5 minutes at 85°C to denature the SAP.
[0224] Once the SAP reaction was complete, a primer extension reaction was initiated by adding a polymorphism-specific MassEXTEND™ primer cocktail to each sample. Each MassEXTEND™ cocktail included a specific combination of dideoxynucleotides (ddNTPs) and deoxynucleotides (dNTPs) used to distinguish polymorphic alleles from one another. In Table 6, ddNTPs are shown and the fourth nucleotide not shown is the dNTP.
TABLE 6: Extend Primers
Figure imgf000076_0002
[0225] The MassEXTEND™ reaction was performed in a total volume of 9 μl, with the addition of IX ThermoSequenase buffer, 0.576 units of ThermoSequenase (Amersham Pharmacia), 600 nM MassEXTEND™ primer, 2 mM of ddATP and/or ddCTP and/or ddGTP and/or ddTTP, and 2 mM of dATP or dCTP or dGTP or dTTP. The deoxy nucleotide (dNTP) used in the assay normally was complementary to the nucleotide at the polymorphic site in the amplicon. Samples were incubated at 94°C for 2 minutes, followed by 55 cycles of 5 seconds at 940C, 5 seconds at 520C, and 5 seconds at 720C.
[0226] Following incubation, samples were desalted by adding 16 μl of water (total reaction volume was 25 μl), 3 mg of SpectroCLEAN™ sample cleaning beads (Sequenom, Inc.) and allowed to incubate for 3 minutes with rotation. Samples were then robotically dispensed using a piezoelectric dispensing device (SpectroJET™ (Sequenom, Inc.)) onto either 96-spot or 384-spot silicon chips containing a matrix that crystallized each sample (SpectroCHIP® (Sequenom, Inc.)). Subsequently, MALDI-TOF mass spectrometry (Biflex and Autoflex MALDI-TOF mass spectrometers (Bruker Daltonics) can be used) and SpectroTYPER RT™ software (Sequenom, Inc.) were used to analyze and interpret the SNP genotype for each sample.
Genetic Analysis
[0227] Variations identified in the target genes are provided in their respective genomic sequences (see SEQ ID Nos:l-4) Minor allelic frequencies for these polymorphisms was verified as being 10% or greater by determining the allelic frequencies using the extension assay described above in a group of samples isolated from 92 individuals originating from the state of Utah in the United States, Venezuela and France (Coriell cell repositories).
[0228] Genotyping results for the allelic variant set forth in Table 4 are shown for female pools in Table 7, for male pools in Table .8, and the combined femaled and male results are shown in Table 9. In Table 7, "F case" and "F control" refer to female case and female control groups, and in Table 8, "M case" and "M control" refer to male case and male control groups. In Tables 7 and 8, "AF" refers to allele frequency.
TABLE 7: Female Genotype Results
Figure imgf000077_0001
Figure imgf000078_0001
TABLE 8: Male Genotype Results
Figure imgf000078_0002
TABLE 9: Combined Genotype Results
Figure imgf000078_0003
[0229] The single marker alleles set forth in Tables 7, 8 and 9 were considered validated, since the genotyping data for the females, males or both pools were significantly associated with type II diabetes, and because the genotyping results agreed with the original allelotypiαg results. Particularly significant associations with type II diabetes are indicated by a calculated p-value of less than 0.05 for genotype results, which are set forth in bold text.
[0230] SNP rs2229109 is a coding non-synonymous SNP (AJG), which results in an amino acid change from asparagine to serine at amino acid position 399 of the ABCBl polypeptide (see SEQ ID NO: 16). The G allele is associated with an increased risk of type II diabetes and codes for serine; therefore, individuals with the serine residue also have an increased risk of type II diabetes.
[0231] SNP rsl 318056 is a coding non-synonymous SNP (G/C), which results in an amino acid change from threonine to serine at amino acid position 12 of the ABL2 polypeptide (see SEQ ID NO: 17). The C allele is associated with an increased risk of type π diabetes and codes for threonine; therefore, individuals with the threonine residue also have- an increased risk of type II diabetes.
[0232] Odds ratio results are shown in Tables 7, 8 and 9. An odds ratio is an unbiased estimate of relative risk which can be obtained from most case-control studies. Relative risk (RR) is an estimate of the likelihood of disease in the exposed group (susceptibility allele or genotype carriers) compared to the unexposed group (not carriers). It can be calculated by the following equation:
1RR = IAJIa
/A is the incidence of disease in the A carriers and /a is the incidence of disease in the non- carriers.
RR > 1 indicates the A allele increases' disease susceptibility.
RR < 1 indicates the a allele increases disease susceptibility.
[0233] For example, RR = 1.5 indicates that carriers of the A allele have 1.5 times the risk of disease than non-carriers, i.e., 50% more likely to get the disease.
[0234] Case-control studies do not allow the direct estimation of /A and Ia, therefore relative risk cannot be directly estimated. However, the odds ratio (OR) can be calculated using the following equation:
OR = (nDAnda)/(ndAnDa) = ^DA(I - pdA)/pdA(l - pDA), or
OR = ((case f) / (1- case f)) / ((control f) / (1-control f)), where f = susceptibility allele frequency.
An odds ratio can be interpreted in the same way a relative risk is interpreted and can be directly estimated using the data from case-control studies, i.e., case and control allele frequencies. The higher the odds ratio value, the larger the effect that particular allele has on the development of type II diabetes. Possessing an allele associated with a relatively high odds ratio translates to having a higher risk of developing or having type II diabetes. Example 3 Samples and Pooling Strategies for the Replication Cohort
[0235] The single marker polymorphism set forth in Table 5 was genotyped again in two replication cohorts to further validate its association with type II diabetes. Like the original study population described in Examples 1 and 2, the replication cohorts consisted of type II diabetics (cases) and non-diabetics (controls). The case and control samples were selected and genotyped as described below.
Sample Selection and Pooling Strategies - Newfoundland
[0236] Blood samples were collected from individuals diagnosed with type II diabetes, which were referred to as case samples. Also, blood samples were collected from individuals not diagnosed with type II diabetes or a history of type II diabetes; these samples served as gender and age-matched controls. All of the samples were collected from individuals residing in Newfoundland, Canada. Residents of Newfoundland represent a preferred population for genetic studies because of their relatively small founder population and resulting homogeneity.
[0237] Genetic linkage studies from Newfoundland have proved particularly useful for mapping disease genes for both monogenic and complex diseases as evidenced in studies of autosomal dominant polycystic kidney disease, von Hippel-Lindau disease, ankylosing spondylitis, major depression, Grave's eye disease, retinitis pigmentosa, hereditary nonopolyposis colorectal cancer, Kallman syndrome, ocular albinism type I, late infantile type 2 neuronal ceroid lipofuscinosis, Bardet-Biedl syndrome, adenine phosphoriboysl-transferase deficiency, and arthropathy- camptodactyly syndrome, Familial multiple endocrine neoplasia type 1 (MENl). Thus Newfoundland's genetically enriched population provides a unique setting to rapidly identify disease- related genes in selected complex diseases.
[0238] Phenotypic trait information was gathered from individuals for each case and control sample, and genomic DNA was extracted from each of the blood samples for genetic analyses.
[0239] Samples were placed into one of four groups based on disease status. The four groups were female case samples, female control samples, male case samples, and male control samples. A • select set of samples from each group were utilized to generate pools, and one pool was created for each group.'
[0240] Patients were included in the case pools if a) they were diagnosed with type II diabetes as documented in their medical record, b) they were treated with either insulin or oral hypoglycemic agents, and c) they were of Caucasian ethnicity. Patients were excluded in the case pools if a) they were diabetic or had a history of diabetes, b) they suffered from diet controlled glucose intolerance, or c) they (or any their relatives) were diagnosed with MODY or gestational diabetes. [0241] Phenotype information included, among others, patient ethnicity, country or origin of mother and father, diagnosis with type II diabetes (date of primary diagnosis, age of individual as of primary diagnosis), body weight, onset of obesity, retinopathy, glaucoma, cataracts, nephropathy, heart disease, hypertension, myocardial infarction, ulcers, required treatment (onset of insulin treatment, oral hypoglycemic agent), blood glucose levels, and MODY.
[0242] In total, the final selection consisted of 199 female cases, 241 Female Controls, 140 Male Case, and 62 Male Controls as set forth in Table 10.
TABLE 10
Figure imgf000081_0001
Sample Selection and Pooling Strategies - Denmark
[0243] The polymorphism described in Table 5 was genotyped again in a second replication cohort, consisting of individuals of Danish ancestry, to further validate its association with type π diabetes. Blood samples were collected from individuals diagnosed with type II diabetes, which were referred to case samples. Also, blood samples were collected from individuals not diagnosed with type π diabetes or a history of type II diabetes; these samples served as gender and age-matched controls.
[0244] Phenotypic trait information was gathered from individuals for each case and control sample, and genomic DNA was extracted from each of the blood samples for genetic analyses.
[0245] Samples were placed into one of four groups based on disease status. The four groups were female case samples, female control samples, male case samples, and male control samples. A select set of samples from each group were utilized to generate pools, and one pool was created for each group.
[0246] In total, the final selection consisted of 197 female cases (average age 63) and 277 male cases (average age 60) as set forth in Table 11. All cases had been diagnosed with type II diabetes in their mid 50 's, and were of Danish ancestry. Members selected for the cohort were recruited through the outpatient clinic at Steno Diabetes Center, Copenhagen. Diabetes was diagnosed according to the 1985 World Health Organization criteria. For the controls, 152 females (average age 50), and 136 males (average age 55) were selected. All control subjects underwent a 2-hour oral glucose tolerance test (OGTT) and were deemed to be glucose tolerant, and all were of Danish ancestry. In addition, all control subjects were living in the same area of Copenhagen as the type II diabetic patients.
[0247] Additional phenotype were measured in both the case and control group. Phenotype information included, among others, e.g. body mass index , waist/hip ratio, blood pressure, serum insulin, glucose, C-peptide, cholesterol, hdl, triglyceride, HbAic, urine, creatinine, free fatty acids (mmol/1), GAD antibodies.
TABLE 11
Figure imgf000082_0001
DNA Extraction from Blood Samples
[0248] Blood samples for DNA preparation were taken in 5 EDTA tubes. If it was not possible to get a blood sample from a patient, a sample from the cheek mucosa was taken. Red blood cells were lysed to facilitate their separation from the white blood cells. The white cells were pelleted and lysed to release the DNA. Lysis was done in the presence of a DNA preservative using an anionic detergent to solubilize the cellular components. Contaminating RNA was removed by treatment with an RNA digesting enzyme. Cytoplasmic and nuclear proteins were removed by salt precipitation.
[0249] Genomic DNA was then isolated by precipitation with alcohol (2-propanol and then ethanol) and rehydrated in water. The DNA was transferred to 2-ml tubes and stored at 40C for short- term storage and at -7O0C for long-term storage.
Example 4 Association of Polymorphic Variants with Type II Diabetes in the Replication Cohorts
[0250] The associated SNP from the initial scan was re-validated by genotyping the associated SNP across the replication cohorts described in Example 3. The results of the genotyping were then analyzed, allele frequencies for each group were calculated from the individual genotyping results, and a p-value was calculated to determine whether the case and control groups had statistically significant differences in allele frequencies for a particular SNP. The replication genotyping results with a calculated p-value of less than 0.05 were considered particularly significant, which are set forth in bold text. See Tables 12 and 13 herein. Assay for Verifying, Allelotyping, and Genotvping SNPs
[0251] Genotyping of the replication cohort was performed using the same methods used for the original genotyping, as described herein. A MassARRAY® system (Sequenom, Inc.) was utilized to perform SNP genotyping in a high-throughput fashion. This genotyping platform was complemented by a homogeneous, single-tube assay method (hME™ or homogeneous MassEXTEND® (Sequenom, Inc.)) in which two genotyping primers anneal to and amplify a genomic target surrounding a polymorphic site of interest. A third primer (the MassEXTEND® primer), which is complementary to the amplified target up to but not including the polymorphism, was then enzymatically extended one or a few bases through the polymorphic site and then terminated.
[0252] For each polymorphism, SpectroDESIGNER™ software (Sequenom, Inc.) was used to generate a set of PCR primers and a MassEXTEND® primer which where used to genotype the polymorphism. Other primer design software could be used or one of ordinary skill in the art could manually design primers based on his or her knowledge of the relevant factors and considerations in designing such primers. Table 6 shows PCR primers and Table 7 shows extension probes used for analyzing (e.g., genotyping) polymorphisms in the replication cohorts. The initial PCR amplification reaction was performed in a 5 μl total volume containing IX PCR buffer with 1.5 mM MgCl2 (Qiagen), 200 μM each of dATP, dGTP, dCTP, dTTP (Gibco-BRL), 2.5 ng of genomic DNA, 0.1 units of HotStar DNA polymerase (Qiagen), and 200 nM each of forward and reverse PCR primers specific for the polymorphic region of interest.
[0253] Samples were incubated at 95°C for 15 minutes, followed by 45 cycles of 95°C for 20 seconds, 560C for 30 seconds, and 720C for 1 minute, finishing with a 3 minute final extension at 72°C. Following amplification, shrimp alkaline phosphatase (SAP) (0.3 units in a 2 μl volume) (Amersham Pharmacia) was added to each reaction (total reaction volume was 7 μl) to remove any residual dNTPs that were not consumed in the PCR step. Samples were incubated for 20 minutes at 37'0C, followed by 5 minutes at 850C to denature the SAP.
[0254] Once the SAP reaction was complete, a primer extension reaction was initiated by adding a polymorphism-specific MassEXTEND® primer coςktail to each sample. Each MassEXTEND® cocktail included a specific combination of dideoxynucleotides (ddNTPs) and deoxynucleotides (dNTPs) used to distinguish polymorphic alleles from one another. Methods for verifying, allelotyping and genotyping SNPs are disclosed, for example, in U.S. Patent No. 6,258,538, the content of which is hereby incorporated by reference. Ih Table 7, ddNTPs are shown and the fourth nucleotide not shown is the dNTP.
[0255] The MassEXTEND® reaction was performed in a total volume of 9 μl, with the addition of IX ThermoSequenase buffer, 0.576 units of ThermoSequenase (Amersham Pharmacia), 600 nM MassEXTEND® primer, 2 mM of ddATP and/or ddCTP and/or ddGTP and/or ddTTP, and 2 mM of dATP or dCTP or dGTP or dTTP. The deoxy nucleotide (dNTP) used in the assay normally was complementary to the nucleotide at the polymorphic site in the amplicon. Samples were incubated at 940C for 2 minutes, followed by 55 cycles of 5 seconds at 94°C, 5 seconds at 52°C, and 5 seconds at 72°C.
[0256] Following incubation, samples were desalted by adding 16 μl of water (total reaction volume was 25 μl), 3 mg of SpectroCLEAN™ sample cleaning beads (Sequenom, Inc.) and allowed to incubate for 3 minutes with rotation. Samples were then robotically dispensed using a piezoelectric dispensing device (SpectroJET™ (Sequenom, Inc.)) onto either 96-spot or 384-spot silicon chips containing a matrix that crystallized each sample (SpectroCHIP® (Sequenom, Inc.)). Subsequently, MALDI-TOF mass spectrometry (Biflex and Autoflex MALDI-TOF mass spectrometers (Bruker Daltonics) can be used) and SpectroTYPER RT™ software (Sequenom, Inc.) were used to analyze and interpret the SNP genotype for each sample.
Genetic Analysis
[0257] The minor allelic frequency for the polymorphism set forth in Table 5 was verified as being 10% or greater using the extension assay described above in a group of samples isolated from 92 individuals originating from the state of Utah in the United States, Venezuela and France (Coriell cell repositories).
[0258] Replication genotyping results in both cohorts are shown for female pools in Table 12 and for male pools in Table 13.
TABLE 12: Female Replication Genotyping Results
Figure imgf000084_0001
Figure imgf000085_0001
TABLE 13: Male Replication Genotyping Results
Figure imgf000085_0002
Figure imgf000086_0001
[0259] The subjects available for discovery from Germany included 498 cases and 498 controls. The subjects available for replication from Newfoundland included 350 type 2 diabetes cases and 300 controls. The subjects available for replication from Denmark included 474 type 2 diabetes cases and 287 controls. Meta analyses, combining the results of the German discovery sample and both the Canadian and Danish replication sample, were carried out using a random effects (DerSimonian-Laird) procedure.
[0260] The absence of a statistically significant association in the replication cohort for males should not be interpreted as minimizing the value of the original finding. There are many reasons why a biologically derived association identified in a sample from one population would not replicate in a sample from another population. The most important reason is differences in population history. Due to bottlenecks and founder effects, there may be common disease predisposing alleles present in one population that are relatively rare in another, leading to a lack of association in the candidate region. Also, because common diseases such as diabetes are the result of susceptibilities in many genes and many environmental risk factors, differences in population-specific genetic and environmental backgrounds could mask the effects of a biologically relevant allele. For these and other reasons, statistically strong results in the original, discovery sample that did not replicate in the replication Newfoundland sample may be further evaluated in additional replication cohorts and experimental systems.
Example 5 VMD2L3 Region Proximal SNPs
[0261] The SNP rsl0906 associated with type II diabetes, described in Table 4 above, lies in the untranslated region (UTR) of the VMD2L3 gene. The gene VMD2L3 (vitelliform macular dystrophy 2-like 3) is also known as MGC40411. It has been mapped to chromosomal position 12ql4.2-ql5. The VMD2 gene which underlies vitelliform macular dystrophy and the three VMD2-like genes, VMD2L1, VMD2L2, and VMD2L3, encode transmembrane spanning proteins that share a homology region with a high content of aromatic residues including an invariant arginine (R) phenylalanine (F), and proline (P) motif. VMD2 and the three VMD2-related genes share a conserved gene structure with almost identical sizes of the 8 RFP-transmembrane domain encoding exons and highly conserved positions of their corresponding exon-intron boundaries. Each of the four paralogous genes contains a unique 3 -prime end of variable length without significant homology to known proteins or motifs (Stohr et ah, 2002).
[0262] One hundred fifty-four additional allelic variants proximal to rs 10906 were identified and subsequently allelotyped in diabetes case and control sample sets as described in Examples 1 and 2. The polymorphic variants are set forth in Table 14 The chromosome positions provided in column four of Table 14 are based on Genome "Build 34" of NCBI's GenBank.
TABLE 14
Figure imgf000087_0001
Figure imgf000088_0001
Figure imgf000089_0001
Figure imgf000090_0001
Assay for Verifying and Allelotvping SNPs
[0263] The methods used to verify and allelotype the 154 proximal SNPs of Table 14 are the same methods described in Examples 1 and 2 herein. The primers and probes used in these assays are provided in Table 15 and Table 16, respectively.
TABLE 15
Figure imgf000090_0002
Figure imgf000091_0001
Figure imgf000092_0001
Figure imgf000093_0001
dbSNP Forward Reverse rs# PCR primer PCR primer
775432 CAGAAGCAACAGCTGCTGAT CATGTCACTGCCAACTTCTC
4761258 GAAMGTCCCAGGAATTGGC AAAGAGAGAATTCACCAGCG
775438 GAATCCAGCGAAATGCATAT GTGGAGAAAGATATAGAAAA
775439 GCAMCGATATGATAGACCC CTTGATGTTTACTGTCAAGGG
TABLE 16
Figure imgf000094_0001
Figure imgf000095_0001
Figure imgf000096_0001
Figure imgf000097_0001
Genetic Analysis
[0264] Allelotyping results are shown for female (F), male (M), and combined cases and controls in Table 17, 18 and 19 respectively. The allele frequency for the A2 allele is noted in the fifth and sixth columns for diabetes case pools and control pools, respectively, where "AF" is allele frequency. The allele frequency for the Al allele can be easily calculated by subtracting the A2 allele frequency from 1 (Al AF = 1-A2 AF). For example, the SNP rs2547020 has the following case and control allele frequencies: case Al (T) = 0.462; case A2 (C) = 0.538; control Al (T) = 0.476; and control A2 (C) = 0.524, where the nucleotide is provided in parenthesis.
Tn Tables 17, 23, 32 and 38, the "genome letter" corresponds to the particular allele that appears inNCBI's build 34 genomic sequence of the region (chromosome 12: positions 68285001- 68382850), and the "deduced iupac" corresponds to the single letter IUPAC code for the VMD2L3 polymorphic variants as they appear in SEQ ID NO: 1. The "genome letter" may differ from the alleles (Al /A2) provided in Table 17 if the genome letter is on one strand and the alleles are on the complementary strand, thus they have different strand orientations (i.e., reverse vs forward). Also, some SNPs are labeled "untyped" because of failed assays. TABLE 17
Figure imgf000098_0001
Figure imgf000099_0001
Figure imgf000100_0001
Figure imgf000101_0001
TABLE 18
Figure imgf000101_0002
Figure imgf000102_0001
Figure imgf000103_0001
Figure imgf000104_0001
TABLE 19
Figure imgf000104_0002
Figure imgf000105_0001
Figure imgf000106_0001
Figure imgf000107_0001
Figure imgf000108_0001
[0265] Allelotyping results were considered particularly significant with a calculated p-value of less than or equal to 0.05 for allelotype results. These values are indicated in bold. The allelotyping p- values were plotted in Figures IA-C for females, males and combined, respectively. The position of each SNP on the chromosome is presented on the x-axis. The y-axis gives the negative logarithm (base 10) of the p-value comparing the estimated allele in the case group to that of the control group. The minor allele frequency of the control group for each SNP designated by an X or other symbol on the graphs in Figures IA-C can be determined by consulting Tables 17-19. For example, the left¬ most X on the left graph is at position 68285200. By proceeding down the Table from top to bottom and across the graphs from left to right the allele frequency associated with each symbol shown can be determined.
[0266] To aid the interpretation, multiple lines have been added to the graph. The broken horizontal lines are drawn at two common significance levels, 0.05 and 0.01. The vertical broken lines are drawn every 20kb to assist in the interpretation of distances between SNPs. Two other lines are drawn to expose linear trends in the association of SNPs to the disease. The light gray line (or generally bottom-most curve) is a nonlinear smoother through the data points on the graph using a local polynomial regression method (W.S. Cleveland, E. Grosse and W.M. Shyu (1992) Local regression models. Chapter 8 of Statistical Models in S eds J.M. Chambers and TJ. Hastie, Wadsworth & Brooks/Cole.). The black line provides a local test for excess statistical significance to identify regions of association. This was created by use of a 10kb sliding window with lkb step sizes. Within each window, a chi-square goodness of fit test was applied to compare the proportion of SNPs that were significant at a test wise level of 0.01 , to the proportion that would be expected by chance alone (0.05 for the methods used here). Resulting p-values that were less than 10"8 were truncated at that value.
[0267] Finally, the exons and introns of the genes in the covered region are plotted below each graph at the appropriate chromosomal positions. The gene boundary is indicated by the broken horizontal line. The exon positions are shown as thick, unbroken bars. An arrow is placed at the 3' end of each gene to show the direction of transcription.
Proximal SNP Replication
[0268] The proximal SNPs disclosed above were also allelotyped in the Newfoundland replication cohort described in Examples 3 and 4. Allelotyping results are shown for female (F), male (M), and combined cases and controls in Table 20, 21 and 22 respectively. The allele frequency for the A2 allele is noted in the fifth and sixth columns for diabetes case pools and control pools, respectively, where "AF" is allele frequency. The allele frequency for the Al allele can be easily calculated by subtracting the A2 allele frequency from 1 (Al AF = 1-A2 AF). Some SNPs may be labeled "untyped" because of failed assays.
TABLE 20: Female Replication Allelotyping Results
Figure imgf000109_0001
Figure imgf000110_0001
Figure imgf000111_0001
Figure imgf000112_0001
Figure imgf000112_0002
Figure imgf000113_0001
Figure imgf000114_0001
Figure imgf000115_0001
TABLE 22: Combined Replication Allelotyping Results
Figure imgf000116_0001
Figure imgf000117_0001
Figure imgf000118_0001
Figure imgf000119_0001
Example 4 GPR97 Proximal SNPs
[0269] The SNP rsl 1551326 associated with type II diabetes in the examples above falls within the 3 'untranslated region of the GPR97 gene. The gene GPR97 (G protein-coupled receptor 97) is also known as Pb99, GPR-97 and EGF-TM7-like and has been mapped to chromosomal position 16ql3.
[0270] One hundred-eight additional allelic variants proximal to rsl 1551326 were identified and subsequently allelotyped in diabetes case and control sample sets as described in Examples 1 and 2. The polymorphic variants are set forth in Table 23. The chromosome positions provided in column four of Table 23 are based on Genome "Build 34" of NCBFs GenBank. The amino acid changes in column 8 show non-synonymous coding changes in the corresponding polypeptide sequences. For each amino acid change, "*" is an amino acid change in GPR56 (NM__005682), "**" is an amino acid change in GPR97, and "***"is an amino acid change in DKFZp434I099 (NM_032269).
Figure imgf000119_0002
Figure imgf000120_0001
Figure imgf000121_0001
Figure imgf000122_0001
Assay for Verifying and Allelotyping SNPs
[0271] The methods used to verify and allelotype the 108 proximal SNPs of Table 23 are the same methods described in Examples 1 and 2 herein. The primers and probes used in these assays are provided hi Table 24 and Table 25, respectively.
TABLE 24
Figure imgf000122_0002
Figure imgf000123_0001
Figure imgf000124_0001
TABLE 25
Figure imgf000125_0001
Figure imgf000126_0001
Figure imgf000127_0001
Genetic Analysis
[0272] Allelotypitig results are shown for female (F) and male (M) cases and controls in Table 26 and 27, and the combined allelotyping results are shown in Table 28. The allele frequency for the A2 allele is noted in the fifth and sixth columns for diabetes case pools and control pools, respectively, where "AF" is allele frequency. The allele frequency for the Al allele can be easily calculated by subtracting the A2 allele frequency from 1 (Al AF = 1-A2 AF). For example, the SNP rs935742 has the following case and control allele frequencies: case Al (T) = 0.592; case A2 (C) = 0.408; control Al (T) = 0.597; and control A2 (C) = 0.403, where the nucleotide is provided in parenthesis. Some SNPs are labeled "untyped" because of failed assays.
TABLE 26
Figure imgf000127_0002
Figure imgf000128_0001
Figure imgf000129_0001
Figure imgf000130_0001
TABLE 27
Figure imgf000130_0002
Figure imgf000131_0001
Figure imgf000132_0001
TABLE 28
Figure imgf000132_0002
Figure imgf000133_0001
Figure imgf000134_0001
[0273] Allelotyping results were considered particularly significant with a calculated p- value of less than or equal to 0.05 for allelotype results. These values are indicated in bold. The allelotyping p- values were plotted in Figures 2A-C for females, males and combined, respectively. The position of each SNP on the chromosome is presented on the x-axis. The y-axis gives the negative logarithm (base 10) of the p-value comparing the estimated allele in the case group to that of the control group. The minor allele frequency of the control group for each SNP designated by an X or other symbol on the graphs in Figures 2A-C can be determined by consulting Tables 26-28. For example, the left- most X on the left graph is at position 57451841. By proceeding down the Table from top to bottom and across the graphs from left to right the allele frequency associated with each symbol shown can be determined.
[0274] To aid the interpretation, multiple lines have been added to the graph. The broken horizontal lines are drawn at two common significance levels, 0.05 and 0.01. The vertical broken lines are drawn every 20kb to assist in the interpretation of distances between SNPs. Two other lines are drawn to expose linear trends in the association of SNPs to the disease. The light gray line (or generally bottom-most curve) is a nonlinear smoother through the data points on the graph using a local polynomial regression method (W.S. Cleveland, E. Grosse and W.M. Shyu (1992) Local regression models. Chapter 8 of Statistical Models in S eds J.M. Chambers and TJ. Hastie, Wadsworth & Brooks/Cole.). The black line provides a local test for excess statistical significance to identify regions of association. This was created by use of a 1 Okb sliding window with lkb step sizes. Within each window, a chi-square goodness of fit test was applied to compare the proportion of SNPs that were significant at a test wise level of 0.01 , to the proportion that would be expected by chance alone (0.05 for the methods used here). Resulting p-values that were less than 10'8 were truncated at that value.
[0275] Finally, the exons and introns of the genes in the covered region are plotted below each graph at the appropriate chromosomal positions. The gene boundary is indicated by the broken horizontal line. The exon positions are shown as thick, unbroken bars. An arrow is placed at the 3' end of each gene to show the direction of transcription.
Proximal SNP Replication
[0276] The proximal SNPs disclosed above were also allelotyped in the Newfoundland replication cohort described in Examples 3 and 4. Allelotyping results are shown for female (F), male (M), and combined cases and controls in Table 29, 30 and 31 respectively. The allele frequency for the A2 allele is noted in the fifth and sixth columns for diabetes case pools and control pools, respectively, where "AF" is allele frequency. The allele frequency for the Al allele can be easily calculated by subtracting the A2 allele frequency from 1 (Al AF = 1-A2 AF). Some SNPs may be labeled "untyped" because of failed assays.
TABLE 29: Female Replication Allelotyping Results
Figure imgf000135_0001
Figure imgf000136_0001
Figure imgf000137_0001
Figure imgf000138_0001
TABLE 30: Female Replication Allelotyping Results
Figure imgf000138_0002
Figure imgf000139_0001
Figure imgf000140_0001
TABLE 31: Female Replication Allelotyping Results
Figure imgf000140_0002
Figure imgf000141_0001
Figure imgf000142_0001
Example 5 ADCYAPlRl Proximal SNPs
[0277] SNP rsl 157655 is associated with type II diabetes and falls upstream of the ADCYAPlRl gene. The gene ADCYAPlRl encodes type I adenylate cyclase activating polypeptide receptor, which is a membrane-associated protein and shares significant homology with members of the glucagon/secretin receptor family. This receptor mediates diverse biological actions of adenylate cyclase activating polypeptide 1 and is positively coupled to adenylate cyclase. ADCYAPlRl, which is found in the hypothalamus, brain stem, pituitary, adrenal gland, pancreas, and testes, has a high affinity for pituitary adenylate cyclase-activating polypeptide (PACAP) (Ogi et al., Biochem. Biophys. Res. Commun. 196: 1511-1521, 1993).
[0278] One hundred-five additional allelic variants proximal to rsl 157655 were identified and subsequently allelotyped in diabetes case and control sample sets as described in Examples 1 and 2. The polymorphic variants are set forth in Table 32. The chromosome position provided in column four of Table 32 is based on Genome "Build 34" of NCBI's GenBank.
TABLE 32
Figure imgf000143_0001
Figure imgf000144_0001
Figure imgf000145_0001
Assay for Verifying and Allelotyping SNPs
[0279] The methods used to verify and allelotype the 105 proximal SNPs of Table 32 are the same methods described in Examples 1 and 2 herein. The primers and probes used in these assays are provided in Table 33 and Table 34, respectively.
TABLE 33
Figure imgf000145_0002
Figure imgf000146_0001
Figure imgf000147_0001
Figure imgf000148_0001
TABLE 34
Figure imgf000148_0002
Figure imgf000149_0001
Figure imgf000150_0001
Genetic Analysis
[0280] Allelotyping results are shown for female (F) and male (M) cases and controls in Table 35 and 36, and the combined allelotyping results are shown in Table 37. The allele frequency for the A2 allele is noted in the fifth and sixth columns for diabetes case pools and control pools, respectively, where "AF" is allele frequency. The allele frequency for the Al allele can be easily calculated by subtracting the A2 allele frequency from 1 (Al AF = 1-A2 AF). For example, the SNP rs6948808 has the following case and control allele frequencies: case Al (C) = 0.299; case A2 (T) = 0.701; control Al (C) = 0.282; and control A2 (T) = 0.718, where the nucleotide is provided in parenthesis. Some SNPs are labeled "untyped" because of failed assays.
TABLE 35
Figure imgf000150_0002
Figure imgf000151_0001
Figure imgf000152_0001
Figure imgf000153_0001
TABLE 36
Figure imgf000153_0002
Figure imgf000154_0001
Figure imgf000155_0001
TABLE 37
Figure imgf000155_0002
Figure imgf000156_0001
Figure imgf000157_0001
[0281] Allelotypiαg results were considered particularly significant with a calculated p-value of less than or equal to 0.05 for allelotype results. These values are indicated in bold. The allelotyping p-values were plotted in Figures 3A-C for females, males and combined, respectively. The position of each SNP on the chromosome is presented on the x-axis. The y-axis gives the negative logarithm (base 10) of the p-value comparing the estimated allele in the case group to that of the control group. The minor allele frequency of the control group for each SNP designated by an X or other symbol on the graphs in Figures 3 A-C can be determined by consulting Tables 35-37. For example, the left- most X on the left graph is at position 30778433. By proceeding down the Table from top to bottom and across the graphs from left to right the allele frequency associated with each symbol shown can be determined.
[0282] To aid the interpretation, multiple lines have been added to the graph. The broken horizontal lines are drawn at two common significance levels, 0.05 and 0.01. The vertical broken lines are drawn every 20kb to assist in the interpretation of distances between SNPs. Two other lines are drawn to expose linear trends in the association of SNPs to the disease. The light gray line (or generally bottom-most curve) is a nonlinear smoother through the data points on the graph using a local polynomial regression method (W.S. Cleveland, E. Grosse and W.M. Shyu (1992) Local regression models. Chapter 8 of Statistical Models in S eds J.M. Chambers and TJ. Hastie, Wadsworth & Brooks/Cole.). The black line provides a local test for excess statistical significance to identify regions of association. This was created by use of a 1 Okb sliding window with lkb step sizes. Within each window, a chi-square goodness of fit test was applied to compare the proportion of SNPs that were significant at a test wise level of 0.01 , to the proportion that would be expected by chance alone (0.05 for the methods used here). Resulting p-values that were less than lO'8 were truncated at that value.
[0283] Finally, the exons and introns of the genes in the covered region are plotted below each graph at the appropriate chromosomal positions. The gene boundary is indicated by the broken horizontal line. The exon positions are shown as thick, unbroken bars. An arrow is placed at the 3' end of each gene to show the direction of transcription.
Example 6 ERBB4 Proximal SNPs
[0284] SNPs rsl439234 and rsl439242 are associated with type II diabetes and fall within the introns of ERBB4. The ΗERA/ERBB4 receptor tyrosine kinase is a member of the EGFl receptor family. ERBB4 gene product is 1308 amino acids and is a receptor for the neuregulins (NRGs), a family of growth and differentiation factors.
[0285] Ninety-four additional allelic variants proximal to rsl439234 and rsl439242 were identified and subsequently allelotyped in diabetes case and control sample sets as described in . Examples 1 and 2. The polymorphic variants are set forth in Table 38. The chromosome positions provided in column four of Table 38 are based on Genome "Build 34" of NCBFs GenBank. TABLE 38
Figure imgf000159_0001
Figure imgf000160_0001
Figure imgf000161_0001
Assay for Verifying and Allelotvping SNPs
[0286] The methods used to verify and allelotype the 94 proximal SNPs of Table 38 are the same methods described in Examples 1 and 2 herein. The primers and probes used in these assays are provided in Table 39 and Table 40, respectively.
TABLE 39
Figure imgf000161_0002
Figure imgf000162_0001
Figure imgf000163_0001
TABLE 40
Figure imgf000163_0002
Figure imgf000164_0001
Figure imgf000165_0001
Genetic Analysis
[0287] Allelotyping results are shown for female (F) and male (M) cases and controls in Table 41 and 42, and the combined allelotyping results are shown in Table 43. The allele frequency for the A2 allele is noted in the fifth and sixth columns for diabetes case pools and control pools, respectively, where "AF" is allele frequency. The allele frequency for the Al allele can be easily calculated by subtracting the A2 allele frequency from 1 (Al AF = 1-A2 AF). For example, the SNP rs7423708 has the following case and control allele frequencies: case Al (G) = 0.349; case A2 (T) = 0.651; control Al (G) = 0.378; and control A2 (T) = 0.622, where the nucleotide is provided in parenthesis. Some SNPs are labeled "untyped" because of failed assays.
TABLE 41
Figure imgf000165_0002
Figure imgf000166_0001
Figure imgf000167_0001
TABLE 42
Figure imgf000168_0001
Figure imgf000169_0001
TABLE 43
Figure imgf000170_0001
Figure imgf000171_0001
Figure imgf000172_0001
[0288] Allelotyping results were considered particularly significant with a calculated p-value of less than or equal to 0.05 for allelotype results. These values are indicated in bold. The allelotyping p-values were plotted in Figures 4A-C for females, males and combined, respectively. The position of each SNP on the chromosome is presented on the x-axis. The y-axis gives the negative logarithm (base 10) of the p-value comparing the estimated allele in the case group to that of the control group. The minor allele frequency of the control group for each SNP designated by an X or other symbol on the graphs in Figures 4A-C can be determined by consulting Tables 41-43. For example, the left¬ most X on the left graph is at position 212848427. By proceeding down the Table from top to bottom and across the graphs from left to right the allele frequency associated with each symbol shown can be determined.
[0289] To aid the interpretation, multiple lines have been added to the graph. The broken horizontal lines are drawn at two common significance levels, 0.05 and 0.01. The vertical broken lines are drawn eyery 20kb to assist in the interpretation of distances between SNPs. Two other lines are drawn to expose linear trends in the association of SNPs to the disease. The light gray line (or generally bottom-most curve) is a nonlinear smoother through the data points on the graph using a local polynomial regression method (W. S. Cleveland, E. Grosse and W.M. Shyu (1992) Local regression models. Chapter 8 of Statistical Models in S eds J.M. Chambers and TJ. Hastie, Wadsworth & Brooks/Cole.). The black line provides a local test for excess statistical significance to identify regions of association. This was created by use of a 10kb sliding window with lkb step sizes. Within each window, a chi-square goodness of fit test was applied to compare the proportion of SNPs that were significant at a test wise level of 0.01, to the proportion that would be expected by chance alone (0.05 for the methods used here). Resulting p-values that were less than 10"8 were truncated at that value.
[0290] Finally, the exons and introns of the genes in the covered region are plotted below each graph at the appropriate chromosomal positions. The gene boundary is indicated by the broken horizontal line. The exon positions are shown as thick, unbroken bars. An arrow is placed at the 3' end of each gene to show the direction of transcription. Example 7 In Vitro Tests of Metabolic-Related Activity
[0291] In vitro assays described hereafter are useful for identifying therapeutics for treating human diabetes. As used in Examples hereafter directed to in vitro assays, rodent models and studies in humans, the term "test molecule" refers to a molecule that is added to a system, where an agonist effect, antagonist effect, or lack of an effect of the molecule on VMD2L3, GPR97, ADCYAPlRI, ERBB4, ABCBl and ABL2 function or a related physiological function in the system is assessed. An example of a test molecule is a test compound, such as a test compound described in the section "Compositions Comprising Diabetes-Directed Molecules" above. Another example of a test molecule is a test peptide, which includes, for example, a VMD2L3, GPR97, ADCYAPlRl, ERBB4, ABCBl and^LBZ2-related test peptide such as a soluble, extracellular form of VMD2L3, GPR97, ADCYAPlRl, ERBB4, ABCBl and ABL2, a biologically active fragment of VMD2L3, GPR97, ADCYAPlRl, ERBB4, ABCBl andABL2, a VMD2L3, GPR97, ADCYAPlRl, ERBB4, ABCBl and ABL2 binding partner or ligand, or a functional fragment of the foregoing. A concentration range or amount of test molecule utilized in the assays and models is selected from a variety of available ranges and amounts. For example, a test molecule sometimes is introduced to an assay system in a concentration range between 1 nanomolar and 100 micromolar or a concentration range between 1 nanograms/mL and 100 micrograms/mL. An effect of a test molecule on VMD2L3, GPR97, ADCYAPlRl, ERBB4, ABCBl and ABL2 function or a related physiological function often is determined by comparing an effect in a system administered the test molecule against an effect in system not admininstered the test molecule. Described directly hereafter are examples of in vitro assays.
Glucose Uptake Assay
[0292] One of the many responses of adipocytes and muscle cells after exposure to insulin is the transport of glucose intracellularly. This transport is mediated by GLUT4, an insulin-regulatable glucose transporter. Insulin binding to insulin receptors on the cell surface results in autophosphorylation and activation of the intrinsic tyrosine kinase activity of the insulin receptor. Phosphorylated tyrosine residues on the insulin receptor and its endogenous targets activate several intracellular signaling pathways that eventually lead to the translocation of GLUT4 from intracellular stores to the extracellular membrane.
Methods
[0293] Cells are plated in 6-well dishes, and grown to confluency. Cells are then differentiated with DMEM plus 10% fetal calf serum (FCS), 10 ug/mL insulin, 390 ng/mL dexamethasone and 112 ug/mL isobutylmethylxanthine for 2 days. After 2 days of differentiation, media is changed to maintenance media DMEM plus 10% FCS and 5 ug/mL insulin. Media is changed every 2 days - thereafter. Cells are assayed for insulin-mediated glucose uptake 10 days after differentiation. On the day of the assay, cells are washed once with PBS, and serum starved by adding 2 mL of DMEM plus 2mg/mL.BSA for 3 hours. During serum starvation, recombinant rat VMD2L3, GPR97, ADCYAPlRl, ERBB4, ABCBl and ABUfBc chimeric ligand is preclustered. In a solution of PBS plus 2 mg/mL BSA, recombinant rat VMD2L3, GPR97, ADCYAPlRl, ERBB4, ABCBl and ABUlFc chimeria is added to a concentration of 1.75 ug/mL, and anti-human IgG, Fc γ fragment specific antibody to a final concentration of 17.5 ug/mL. After 3 hours of serum starvation, media is replaced with 2 mL of preclustered VMD2L3, GPR97, ADCYAPlRl, ERBB4, ABCBl and ABU, and incubated for 10, 40 and 90 min at 37 deg. After 10 min, porcine insulin is added to a final concentration of 100 nM for 10 min at 37 deg. For every 2 mL of media, 100 uL of PBS-2-DOG label is added to give a final concentration of 2 uCi. Cells are immediately placed on ice, washed three times with ice cold PBS, and lysed with 0.7 mL of 0.2 N NaOH. Lysates are read in a Wallac 1450 Microbeta Liquid Scintillation and Luminescence Counter.
Example 8 Triacylglvcerol (TG) Assay
[0294] A direct metabolic consequence of glucose transport intracellularly is its incorporation into the fatty acid and glycerol moieties of triacylglycerol (TG). TGs are highly concentrated stores of metabolic energy, and are the major energy reservoir of cells. In mammals, the major site of accumulation of triacylglycerols is the cytoplasm of adipose cells. Adipocytes are specialized for the synthesis, and storage of TG, and for their mobilization into fuel molecules that are transported to other tissues through the bloodstream. It is likely that changes in the transport of glucose intracellularly can affect cytoplasmic stores of triacylglycerols.
Methods
[0295] Cells are plated in 6-well dishes, and grown to confiuency. When cells reached confluency, cells are differentiated with DMEM plus 10% fetal calf serum (FCS), 10 ug/mL insulin, 390 ng/mL dexamethasone and 112 ug/mL isobutylmethylxanthine for 2 days. After 2 days of ' differentiation, media is changed to maintenance media DMEM plus 10% FCS and 5 ug/mL insulin. On the day of the assay (day 9 post-differentiation), cells are washed once with PBS, and serum starved by adding 2 mL of DMEM plus 2 mg/mL BSA for 3 hours. During serum starvation, recombinant rat VMD2L3, GPR97, ADCYAPlRl, ERBB4, ABCBl and ABUfFc chimeric ligand is preclustered. In a solution of PBS plus 2 mg/mL BSA recombinant rat VMD2L3, GPR97, ADCYAPlRl, ERBB4, ABCBl and ABL2fFc chimeria is added to a concentration of 1.75 ug/mL, and anti-human IgG, Fc γ fragment specific antibody to a final concentration of 17.5 ug/mL. After 3 hours of serum starvation, media is replaced with pre-clustered VMD2L3, GPR97, ADCYAPlRl, ERBB4, ABCBl and ABL2 solution, and incubated for 10 minutes at 37 degrees. Cells are then treated with 100 nM porcine insulin for 2 hours at 37 degrees. Cells are immediately placed on ice, and washed twice with ice cold PBS. Cells are lysed with 1% SDS, 1.2 mM Tris, pH 7.0 and heat treated at 95 degrees for 5 minutes. Samples are assayed using INFINITY Tryglyceride reagent. In a 96-well, flat bottom, transparent microtiter plate, 3 uL of sample are added to 300 uL of INFINITY Triglyceride Reagent. Samples are incubated at room temperature for 10 minutes. The assay is read at 500-550 nm.
Example 9 Quantitative Assessment of mResistin Levels
[0296] Resistin is a secreted factor specifically expressed in white adipocyte. It was initially discovered in a screen for genes downregulated in adipocytes by PPAR gamma, and expression was found to be attenuated by insulin. Elevated levels of resistin have been measured in genetically obese, and high fat fed obese mice. It is therefore thought that resistin contributes to peripheral tissue insulin unresponsiveness, one of the pathological hallmarks of diabetes.
Methods
[0297] 3T3-L1 cells are differentiated for 3 days as previously described and maintained for three days prior to splitting. At day 5 post-differentiation, differentiated cells are plated in 10 cm dish at a cell density of 3X106 cells. Cells are then serum starved on day 7 after initiation of differentiation. On day 8, cells are treated with pre-clustered recombinant rat VMD2L3, GPR97, ADCYAPlRl, ERBB4, ABCBl and ABL2IΕc chimera as described above for 10 min and treated with 10 nM insulin for 2 hours. Cells are harvested, mRNA extracted using magnetic DYNAL beads and reverse transcribed to cDNA using Superscript First-Strand Synthesis as described by the manufacturer. Appropriate primers are designed and used in 15 uL PCR reaction using 55 deg annealing temperature and 30 cycles of amplification.
Example 10
Effect on Muscle Differentiation
[0298] C2C12 cells (murine skeletal muscle cell line; ATCC CRL 1772, Rockville, MD) are seeded sparsely (about 15-20%) in complete DMEM (w/glutamine, pen/strep, etc) + 10% FCS. Two days later they become 80-90% confluent. At this time, the media is changed to DMEM+2% horse serum to allow differentiation. The media is changed daily. Abundant myotube formation occurs after 3-4 days of being in 2% horse serum, although the exact time course of C2C12 differentiation depends on how long they have been passaged and how they have been maintained, among other factors.
[0299] To test the effect of the presence of test molecules on muscle differentiation, test molecules (e.g., test peptides added in a range of 1 to 2.5 μg/mL) are added the day after seeding when the cells are still in DMEM with 10% FCS. Two days after plating the cells (one day after the test molecule was first added), at about 80-90% confluency, the media is changed to DMEM+2% horse serum plus the test molecule.
Effect on Muscle Cell Fatty Acid Oxidation
[0300] C2C12 cells are differentiated in the presence or absence of 2 μg/mL test molecules for 4 days. On day 4, oleate oxidation rates are determined by measuring conversion of l-14C-oleate (0.2 mM) to14CO2 for 90 min. This experiment can be used to screen for active polypeptides and peptides as well as agonists and antagonists or activators and inhibitors of VMD2L3, GPR97, ADCYAPlRl, ERBB4, ABCBl and ABL2 polypeptides or binding partners.
[0301] The effect of test molecules on the rate of oleate oxidation can be compared in differentiated C2C12 cells (murine skeletal muscle cells; ATCC, Manassas, VA CRL-1772) and in ■ a hepatocyte cell line (Hepal-6; ATCC, Manassas, VA CRL-1830). Cultured cells are maintained according to manufacturer's instructions. The oleate oxidation assay is performed as previously described (Muoio et al (1999) Biochem J 338;783-791). Briefly, nearly confluent myocytes are kept in low serum differentiation media (DMEM, 2.5% Horse serum) for 4 days, at which time formation of myotubes becomes maximal. Hepajpcytes are kept in the same DMEM medium supplemented with 10% FCS for 2 days. One hour prior to the experiment the media is removed and 1 mL of preincubation media (MEM, 2.5% Horse serum, 3 mM glucose, 4 mM Glutamine, 25 mM Hepes, 1% FFA free BSA, 0.25 mM Oleate, 5 μg/mL gentamycin) is added. At the start of the oxidation experiment14C-Oleic acid (lμCi/mL, American Radiolabeled Chemical Inc., St. Louis, MO) is added and cells are incubated for 90 min at 37°C in the absence/presence of test molecule (e.g., 2.5 μg/mL of VMD2L3, GPR97, ADCYAPlRl, ERBB4, ABCBl and-4512-related test peptide). After the incubation period 0.75 mL of the media is removed and assayed for14C- oxidation products as described below for the muscle FFA oxidation experiment.
Triglyceride and Protein Analysis following Oleate Oxidation in Cultured Cells [0302] Following transfer of media for oleate oxidation assay, cells are placed on ice. To determine triglyceride and protein content, cells are washed with 1 mL of Ix PBS to remove residual media. To each well 300 μL of cell dissociation solution (Sigma) is added and incubated at 370C for 10 min. Plates are tapped to loosen cells, and 0.5 mL of Ix PBS is added. The cell suspension is transferred to an Eppendorf tube, each, well is rinsed with an additional 0.5 mL of Ix PBS, and is transferred to the appropriate Eppendorf tube. Samples are centrifuged at 1000 rpm for 10 minutes at room temperature. Each supernatant is discarded and 750 μL of Ix PBS/2% CHAPS is added to cell pellet. The cell suspension is vortexed and placed on ice for 1 hour. Samples are then centrifuged at 13000 rpm for 20 min at 40C. Each supernatant is transferred to a new tube and frozen at -2O0C until analyzed. Quantitative measure of triglyceride level in each sample is determined using Sigma Diagnostics GPO-TRINDER enzymatic kit. The procedure outlined in the manual is followed, with the following exceptions: the assay is performed in 48 well plate, 350 μL of sample volume is assayed, a control blank consists of 350 μL PBS/2% CHAPS, and a standard contains 10 μL standard provide in the kit with 690 μL PBS/2% CHAPS. Analysis of samples is carried out on a Packard Spectra Count at a wavelength of 550 nm. Protein analysis is carried out on 25 μL of each supernatant sample using the BCA protein assay (Pierce) following manufacturer's instructions. Analysis of samples is carried out on a Packard Spectra Count at a wavelength of 550 nm.
Stimulation of insulin secretion in HIT-T 15 cells
[0303] HIT-T15 (ATCC CRL#1777) is an immortalized hamster insulin-producing cell line. It is known that stimulation of cAMP in HIT-T 15 cells causes an increase in insulin secretion when the glucose concentration in the culture media is changed from 3mM to 15 mM. Thus, test molecules also are tested for their ability to stimulate glucose-dependent insulin secretion (GSIS) in HIT-T15 cells. Ih this assay, 30,000 cells/well in a 12-well plate are incubated in culture media containing 3 mM glucose and no serum for 2 hours. The media is then changed, wells receive media containing either 3 mM or 15 mM glucose, and in both cases the media contains either vehicle (DMSO) or test molecule at a concentration of interest. Some wells receive media containing 1 micromolar forskolin as a positive control. All conditions are tested in triplicate. Cells are incubated for 30 minutes, and the amount of insulin secreted into the media is determined by ELISA, using a kit from either Peninsula Laboratories (Cat # ELIS-7536) or Crystal Chem Inc. (Cat # 90060). Stimulation of insulin secretion in isolated rat islets
[0304] As with HIT-Tl 5 cells, it is known that stimulation of cAMP in isolated rat islets causes an increase in insulin secretion when the glucose concentration in the culture media is changed from 60 mg/dl to 300 mg/dl. Ligands are tested for their ability to stimulate GSIS in rat islet cultures. This assay is performed as follows:
1. Select 75-150 islet equivalents (IEQ) for each assay condition using a dissecting microscope. Incubate overnight in low-glucose culture medium. (Optional.)
2. Divide the islets evenly into triplicate samples of 25-40 islet equivalents per sample. Transfer to 40 μm mesh sterile cell strainers in wells of a 6-well plate with 5 ml of low (60 mg/dl) glucose Krebs-Ringers Buffer (KRB) assay medium.
3. Incubate 30 minutes (1 hour if overnight step skipped) at 37° C and 5% CO2. Save the supernatants if a positive control for the RIA is desired.
4. Move strainers with islets to new wells with 5ml/well low glucose KRB. This is the second pre-incubation and serves to remove residual or carryover insulin from the culture medium. Incubate 30 minutes.
5. Move strainers to next wells (Low 1) with 4 or 5 ml low glucose KRB. Incubate at 37° C for 30 minutes. Collect supernatants into low-binding polypropylene tubes pre- labelled for identification and keep cold.
6. Move strainers to high glucose wells (300mg/dl, which is equivalent to 16.7mM). Incubate and collect supernatants as before. Rinse islets in their strainers in low- glucose to remove residual insulin. If the rinse if to be collected for analysis, use one rinse well for each condition (i.e. set of triplicates.)
7. Move strainers to final wells with low-glucose assay medium (Low 2). Incubate and collect supernatants as before.
8. Maintaining a cold temperature, centrifuge supernatants at 1800rpm for 5 minutes at 4-
80C to remove small islets/islet pieces that escape the 40mm mesh. Remove all but lower 0.5 - 1 ml and distribute in duplicate to pre-labelled low-binding tubes. Freeze and store at <-20° C until insulin concentrations can be determined.
9. Insulin determinations are performed as above, or by Linco Labs as a custom service, using a rat insulin RIA (Cat. # RI-13K). Example 11
Effect of VMD2L3. GPR97. ADCYAPlRL ERBB4. ABCBl and^Z^-Related Test Peptides on Mice Fed a High-Fat Diet
[0305] Following is a representative rodent model for identifying thereapeutics for treating human diabetes. Experiments are performed using approximately 6 week old C57B1/6 mice (8 per group). All mice are housed individually. The mice are maintained on a high fat diet throughout each experiment. The high fat diet (cafeteria diet; D12331 from Research Diets, Inc.) has the following composition: protein kcal% 16, sucrose kcal% 26, and fat kcal% 58. The fat is primarily composed of coconut oil, hydrogenated.
[0306] After the mice are fed a high fat diet for 6 days, micro-osmotic pumps are inserted using isofiurane anesthesia, and are used to provide test molecule, saline, and a control molecule (e.g., an irrelevant peptide) to the mice subcutaneously (s.c.) for 18 days. For example, VMD2L3, GPR97, ADCYAPlRl, ERBB4, ABCBl and ABL2-related test peptides are provided at doses of 100, 50, 25, and 2.5 μg/day and an irrelevant peptide is provided at 10 μg/day. Body weight is measured on the first, third and fifth day of the high fat diet, and then daily after the start of treatment. Final blood samples are taken by cardiac puncture and are used to determine triglyceride (TG), total cholesterol (TC), glucose, leptin, and insulin levels. The amount of food consumed per day is also determined for each group.
Example 12 In vivo Effects of Test Molecules on Glucose Homeostasis in Mice
[0307] Following are representative rodent models for identifying thereapeutics for treating human diabetes.
Oral Glucose tolerance test (oGTT)
[0308] Male C57bl/6N mice at age of 8 weeks are fasted for 18 hours and randomly grouped (n=l 1) to receive an VMD2L3, GPR97, ADCYAPlRl, ERBB4, ABCBl andΛ5Z2-related test peptide, a test molecule at indicated doses, or with control extendin-4 (ex-4, 1 mg/kg), a GLP-I peptide analog known to stimulate glucose-dependent insulin secretion. Thirty minutes after administration of VMD2L3, GPR97, ADCYAPlRl, ERBB4, ABCBl and_4-3L2-related test peptides, test compound and control ex-4, mice are administered orally with dextrose at 5 g/kg dose. Test molecule is delivered orally via a gavage needle (p.o. volume at 100 ml). Control Ex-4 is delivered intraperitoneally. Levels of blood glucose are determined at regular time points using Glucometer Elite XL (Bayer). Acute response of db mice to test molecule
[0309] Male db mice (C57BL/KsOlahsd-Leprdb, diabetic, Harlan) at age of 10 weeks are randomly grouped (n=6) to receive vehicle (oral gavage), VMD2L3, GPR97, ADCYAPlRl, ERBB4, ABCBl and ABL2-τelated test peptides (at concentration of interest), test molecule (e.g., 60 mg/kg, or another concentration of interest, oral gavage), or Ex-4 (1 mg/kg, intraperitoneally). After peptide and/or compound administration, food is removed and blood glucose levels are determined at regular time intervals. Reduction in blood glucose at each time point may be expressed as percentage of original glucose levels, averaged from the number of animals for each group. Results show the effect VMD2L3, GPR97, ADCYAPlRl, ERBB4, ABCBl and ^SZ2-related test peptides and test molecules for improving glucose homeostasis in diabetic animals.
Example 13 Effect of Test Molecules on Plasma Free Fattv Acid in C57 BL/6 Mice
[0310] Following is a representative rodent model for identifying thereapeutics for treating human diabetes. The effect of test molecules on postprandial lipemia (PPL) in normal C57BL6/J mice is tested.
[0311] The mice used in this experiment are fasted for 2 hours prior to the experiment after which a baseline blood sample is taken. All blood samples are taken from the tail using EDTA coated capillary tubes (50 μL each time point). At time 0 (8:30 AM), a standard high fat meal (6g butter, 6 g sunflower oil, 1O g nonfat dry milk, 1O g sucrose, 12 mL distilled water prepared fresh following Nb#6, JF, pg.l) is given by gavage (vol.=l% of body weight) to all animals.
[0312] Immediately following the high fat meal, a test molecule is injected i.p. in 100 μL saline (e.g., 25μg of test peptide). The same dose (25μg/mL in lOOμL) is again injected at 45 min and at 1 hr 45 min. Control animals are injected with saline (3xl00μL). Untreated and treated animals are handled in an alternating mode.
[0313] Blood samples are taken in hourly intervals, and are immediately put on ice. Plasma is prepared by centrifugation following each time point. Plasma is kept at -2O0C and free fatty acids (FFA), triglycerides (TG) and glucose are determined within 24 hours using standard test kits (Sigma and Wako). Due to the limited amount of plasma available, glucose is determined in duplicate using pooled samples. For each time point, equal volumes of plasma from all 8 animals per treatment group are pooled. Example 14 Effect of Test Molecules on Plasma FFA. TG and Glucose in C57 BL/6 Mice
[0314] Following is a representative rodent model for identifying thereapeutics for treating human diabetes. The experimental procedure is similar to that described in Example 13. Briefly, 14 mice are fasted for 2 hours prior to the experiment after which a baseline blood sample is taken. All blood samples are taken from the tail using EDTA coated capillary tubes (50 μL each time point). At time 0 (9:00AM), a standard high fat meal (see Example 4) is given by gavage (vol.=l% of body weight) to all animals. Immediately following the high fat meal, 4 mice are injected with a test molecule i.p. in lOOμL saline (e.g., 25 μg of test peptide). The same dose is again injected at 45 min and at 1 hr 45 min. A second treatment group receives 3 times a higher amount of the test molecule (e.g., 50 μg of test peptide) at the same intervals. Control animals are injected with saline (e.g., 3xl00μL). Untreated and treated animals are handled in an alternating mode.
[0315] Blood samples are immediately put on ice. Plasma is prepared by centrifugation following each time point. Plasma is kept at -200C and free fatty acids (FFA), triglycerides (TG) and glucose are determined within 24 hours using standard test kits (Sigma and Wako).
Example 15 Effect of Test Molecules on FFA following Epinephrine Injection
[0316] Following is a representative rodent model for identifying thereapeutics for treating human diabetes. In mice, plasma free fatty acids increase after intragastric administration of a high fat/sucrose test meal. These free fatty acids are mostly produced by the activity of lipolytic enzymes i.e. lipoprotein lipase (LPL) and hepatic lipase (HL). In this species, these enzymes are found in significant amounts both bound to endothelium and freely circulating in plasma. Another source of plasma free fatty acids is hormone sensitive lipase (HSL) that releases free fatty acids from adipose tissue after β-adrenergic stimulation. To test whether test molecules also regulate the metabolism of free fatty acid released by HSL, mice are injected with epinephrine.
[0317] Two groups of mice are given epinephrine (5μg) by intraperitoneal injection. A treated group is injected with a test molecule (e.g., 25 μg of test peptide) one hour before and again together with epinephrine, while control animals receive saline. Plasma is isolated and free fatty acids and glucose are measured as described above.
Example 16 Effect of Test Molecules on Muscle FFA Oxidation
[0318] Following is a representative rodent model for identifying thereapeutics for treating human diabetes. To investigate the effect of test molecules on muscle free fatty acid oxidation, intact hind limb muscles from C57BL/6J mice are isolated and FFA oxidation is measured using oleate as substrate (Clee, S. M. et al. Plasma and vessel wall lipoprotein lipase have different roles in atherosclerosis. J Lipid Res 41, 521-531 (2000); Muoio, D. M., Dohm, G. L., Tapscott, E. B. & Coleman, R. A. Leptin opposes insulin's effects on fatty acid partitioning in muscles isolated from obese ob/ob mice. Am J Physiol 276, E913-921 (1999)) Oleate oxidation in isolated muscle is measured as previously described (Cuendet et al (1976) J Clin Invest 58:1078-1088; Le Marchand- Brustel, Y., Jeanrenaud, B. & Freychet, P. Insulin binding and effects in isolated soleus muscle of lean and obese mice. Am J Physiol 234, E348-E358 (1978). Briefly, mice are sacrificed by cervical dislocation and soleus and EDL muscles are rapidly isolated from the hind limbs. The distal tendon of each muscle is tied to a piece of suture to facilitate transfer among different media. All incubations are carried out at 300C in 1.5 mT, of Krebs-Henseleit bicarbonate buffer (118.6 mM NaCl, 4.76 mM KCl, 1.19 mM KH2PO4, 1.19 mM MgSO4, 2.54 mM CaCl2, 25mM NaHCO3, 10 mM Hepes, pH 7.4) supplemented with 4% FFA free bovine serum albumin (fraction V, RIA grade, Sigma) and 5 mM glucose (Sigma). The total concentration of oleate (Sigma) throughout the experiment is 0.25 mM. All media are oxygenated (95% O2; 5% CO2) prior to incubation. The gas mixture is hydrated throughout the experiment by bubbling through a gas washer (EContes Inc., Vineland, NJ).
[0319] Muscles are rinsed for 30 min in incubation media with oxygenation. The muscles are then transferred'to fresh media (1.5 mL) and incubated at 300C in the presence of lμCi/mL [1-14C] oleic acid (American Radiolabeled Chemicals). The incubation vials containing this media are sealed with a rubber septum from which a center well carrying a piece of Whatman paper (1.5 cm x 11.5 cm) is suspended.
[0320] After an initial incubation period of 1 Omin with constant oxygenation, gas circulation is removed to close the system to the outside environment and the muscles are incubated for 90 min at 300C. At the end of this period, 0.45 mL of Solvable (Packard Instruments, Meriden, CT) is injected onto the Whatman paper in the center well and oleate oxidation by the muscle is stopped by transferring the vial onto ice.
[0321] After 5 min, the muscle is removed from the medium, and an aliquot of 0.5 mL medium is also removed. The vials are closed again and 1 mL of 35% perchloric acid is injected with a syringe into the media by piercing through the rubber septum. The CO2 released from the acidified media is collected by a Solvable in the center well. After a 90 min collection period at 3O0C, the Whatman paper is removed from the center well and placed in scintillation vials containing 15 mL of scintillation fluid (HionicFlour, Packard Instruments, Meriden, CT). The amount of14C radioactivity is quantitated by liquid scintillation counting. The rate of oleate oxidation is expressed as nmol oleate produced in 90min/g muscle. [0322] To test the effect of test molecules on oleate oxidation, the each test molecule is added to the media (e.g., a final concentration of 2.5 μg/mL of test peptide) and maintained in the media throughout the procedure.
Example 17 Effect of Test Molecules on FFA following Intralipid Injection
[0323] Following is a representative rodent model for identifying thereapeutics for treating human diabetes. Two groups of mice are intravenously (tail vein) injected with 30 μL bolus of Intralipid-20% (Clintec) to generate a sudden rise in plasma FFAs, thus by-passing intestinal absorption. (Intralipid is an intravenous fat emulsion used in nutritional therapy). A treated group (treated with test molecule) is injected with a test molecule (e.g., 25μg of a test peptide) at 30 and 60 minutes before Intralipid is given, while control animals receive saline. Plasma is isolated and FFAs are measured as described previously. The effect of a test molecule on the decay in plasma FFAs following the peak induced by Intralipid injection is then monitored.
Example 18 In Vivo Tests for Metabolic-related Activity in Rodent Diabetes Models
[0324] Following are representative rodent models for identifying thereapeutics for treating human diabetes. As metabolic profiles differ among various animal models of obesity and diabetes, analysis of multiple models is undertaken to separate the effects of test molecules on hyperglycemia, hyperinsulinemia, hyperlipidemia and obesity. Mutations within colonies of laboratory animals and different sensitivities to dietary regimens have made the development of animal models with non- insulin dependent diabetes associated with obesity and insulin resistance possible. Genetic models such as db/db and ob/ob (See Diabetes, (1982) 31(1): 1-6) in mice and fa/fa in zucker rats have been developed by the various laboratories for understanding the pathophysiology of disease and testing the efficacy of new antidiabetic compounds (Diabetes, (1983) 32: 830-838; Annu Rep Sankyo Res Lab (1994) 46: 1-57). The homozygous animals, C57 BL/KsJ-db/db mice developed by Jackson Laboratory, US, are obese, hyperglycemic, hyperinsulinemic and insulin resistant (J Clin Invest, (1990) 85: 962-967), whereas heterozygous animals are lean and normoglycemic. The db/db mice progressively develop insulinopenia with age, a feature commonly observed in late stages of human type II diabetes when blood sugar levels are insufficiently controlled. The state of the pancreas and its course vary according to the models. Since this is a model of type II diabetes mellitus, test molecules are tested for blood sugar and triglycerides lowering activities. Zucker (fa/fa) rats are severely obese, hyperinsulinemic, and insulin resistant (Coleman, Diabetes 31:1, 1982; E. Shafrir, in Diabetes Mellitus; H. Rifkin and D. Porte, Jr. Eds. (Elsevier Science Publishing Co., Inc., New York, ed. 4, 1990), pp. 299-340), and the fa/fa mutation may be the rat equivalent of the murine db mutation (Friedman et al., Cell 69:217-220, 1992; Truett et al., Proc. Natl. Acad. Sci. USA 88:7806, 1991). Tubby (tub/tub) mice are characterized by obesity, moderate insulin resistance and hyperinsulinemia without significant hyperglycemia (Coleman et al, J. Heredity 81:424, 1990).
[0325] Previously, leptin is reported to reverse insulin resistance and diabetes mellitus in mice with congenital lipodystrophy (Shimomura et al. Nature 401 : 73-76 (1999). Leptin is found to be less effective in a different lipodystrophic rodent model of lipoatrophic diabetes (Gavrilova et al Nature 403: 850 (2000); hereby incorporated herein in its entirety including any drawings, figures, or tables).
[0326] The streptozotocin (STZ) model for chemically-induced diabetes is tested to examine the effects of hyperglycemia in the absence of obesity. STZ-treated animals are deficient in insulin and severely hyperglycemic (Coleman, Diabetes 31:1, 1982; E. Shafrir, in Diabetes Mellitus; H. Rifkin and D. Porte, Jr. Eds. (Elsevier Science Publishing Co., Inc., New York, ed. 4, 1990), pp. 299-340). The mono'sodium glutamate (MSG) model for chemically-induced obesity (Olney, Science 164:719, 1969; Cameron et al., Clin Exp Pharmacol Physiol 5:41, 1978), in which obesity is less severe than in the genetic models and develops without hyperphagia, hyperinsulinemia and insulin resistance, is also examined. Also, a non-chemical, non-genetic model for induction of obesity includes feeding rodents a high fat/high carbohydrate (cafeteria diet) diet ad libitum.
[0327] Test molecules are tested for reducing hyperglycemia in any or all of the above rodent diabetes models or in humans with type II diabetes or other metabolic diseases described previously or models based on other mammals. In some assays, the test molecule sometimes is combined with another compatible pharmacologically active antidiabetic agent such as insulin, leptin (US provisional application No 60/155,506), or troglitazone, either alone or in combination.
Tests described in Gavrilova et al. ((2000) Diabetes 49:1910-6; (2000) Nature 403:850) using A- ZIP/F-1 mice sometimes are utilized, test molecules are administered intraperitoneally, subcutaneously, intramuscularly or intravenously. Glucose and insulin levels of the mice are tested, food intake and liver weight monitored, and other factors, such as leptin, FFA, and TG levels, often are measured in these tests.
In Vivo Assay for Anti-hvperglycemic Activity of Test Molecules
[0328] Genetically altered obese diabetic mice (db/db) (male, 7-9 weeks old) are housed (7-9 mice/cage) under standard laboratory conditions at 22° C and 50% relative humidity, and maintained on a diet of Purina rodent chow and water ad libitum. Prior to treatment, blood is collected from the tail vein of each animal and blood glucose concentrations are determined using One Touch Basic Glucose Monitor System (Lifescan). Mice that have plasma glucose levels between 250 to 500 mg/dl are used. Each treatment group consists of seven mice that are distributed so that the mean glucose levels are equivalent in each group at the start of the study, db/db mice are dosed by micro-osmotic pumps, inserted using isoflurane anesthesia, to provide test molecules, saline, and an irrelevant peptide to the mice subcutaneously (s.c). Blood is sampled from the tail vein hourly for 4 hours and at 24, 3O h post-dosing and analyzed for blood glucose concentrations. Food is withdrawn from 0-4 h post dosing and reintroduced thereafter. Individual body weights and mean food consumption (each cage) are also measured after 24 h. Significant differences between groups (comparing test molecule treated to saline-treated) are evaluated using a Student t-test.
Example 19 Tests of Metabolic-Related Activity in Humans
[0329] Tests of the efficacy of test molecules in humans are performed in accordance with a physician's recommendations and with established guidelines. The parameters tested in mice are also tested in humans {e.g. food intake, weight, TG, TC, glucose, insulin, leptin, FFA). It is expected that the physiological factors are modified over the short term. Changes in weight gain sometimes require a longer period of time. In addition, diet often is carefully monitored. Test molecules often are administered in daily doses (e.g., about 6 mg test peptide per 70 kg person or about 10 mg per , day). Other doses are tested, for instance 1 mg or 5 mg per day up to 20 mg, 50 mg, or 100 mg per day.
Example 20 In Vitro Production of Target Polypeptides
[0330] cDNA is cloned into a pIVEX 2.3-MCS vector (Roche Biochem) using a directional cloning method. A cDNA insert is prepared using PCR with forward and reverse primers having 5' restriction site tags (in frame) and 5-6 additional nucleotides in addition to 3' gene-specific portions, the latter of which is typically about twenty to about twenty-five base pairs in length. A Sal I restriction site is introduced by the forward primer and a Sma I restriction site is introduced by the reverse primer. The ends of PCR products are cut with the corresponding restriction enzymes {i.e., Sal I and Sma I) and the products are gel-purified. The pIVEX 2.3-MCS vector is linearized using the same restriction enzymes, and the fragment with the correct sized fragment is isolated by gel- purification. Purified PCR product is ligated into the linearized pIVEX 2.3-MCS vector and E. coli cells transformed for plasmid amplification. The newly constructed expression vector is verified by restriction mapping and used for protein production.
[0331] E. coli lysate is reconstituted with 0.25 ml of Reconstitution Buffer, the Reaction Mix is reconstituted with 0.8 ml of Reconstitution Buffer; the Feeding Mix is reconstituted with 10.5 ml of Reconstitution Buffer; and the Energy Mix is reconstituted with 0.6 ml of Reconstitution Buffer. 0.5 ml of the Energy Mix was added to the Feeding Mix to obtain the Feeding Solution. 0.75 ml of Reaction Mix, 50 μl of Energy Mix, and 10 μg of the template DNA is added to the E. coli lysate. [0332] Using the reaction device (Roche Biochem), 1 ml of the Reaction Solution is loaded into the reaction compartment. The reaction device is turned upside-down and 10 ml of the Feeding Solution is loaded into the feeding compartment. All lids are closed and the reaction device is loaded into the RTS500 instrument. The instrument is run at 300C for 24 hours with a stir bar speed of 150 rprα. The pIVEX 2.3 MCS vector includes a nucleotide sequence that encodes six consecutive histidine amino acids on the C-terminal end of the target polypeptide for the purpose of protein purification. Target polypeptide is purified by contacting the contents of reaction device with resin modified with Ni2+ ions. Target polypeptide is eluted from the resin with a solution containing free Ni2+ ions.
Example 21 Cellular Production of Target Polypeptides
[0333] Nucleic acids are cloned into DNA plasmids having phage recombination cites and target polypeptides are expressed therefrom in a variety of host cells. Alpha phage genomic DNA contains short sequences known as attP sites, and E. coli genomic DNA contains unique, short sequences known as attB sites. These regions share homology, allowing for integration of phage DNA into E. coli via directional, site-specific recombination using the phage protein Iht and the E. coli protein IHF. Integration produces two new att sites, L and R, which flank the inserted prophage DNA. Phage excision from E. coli genomic DNA can also be accomplished using these two proteins with the addition of a second phage protein, Xis. DNA vectors have been produced where the integration/excision process is modified to allow for the directional integration or excision of a target
DNA fragment into a backbone vector in a rapid in vitro reaction (Gateway™ Technology (Iαvitrogen, Inc.)).
[0334] A first step is to transfer the nucleic acid insert into a shuttle vector that contains attL sites surrounding the negative selection gene, ccdB {e.g. pENTER vector, Invitrogen, Inc.). This transfer process is accomplished by digesting the nucleic acid from a DNA vector used for sequencing, and to ligate it into the multicloning site of the shuttle vector, which will place it between the two attL sites while removing the negative selection gene ccdB. A second method is to amplify the nucleic acid by the polymerase chain reaction (PCR) with primers containing attB sites. The amplified fragment then is integrated into the shuttle vector using Int and IHF. A third method is to utilize a topoisomerase-mediated process, in which the nucleic acid is amplified via PCR using gene- specific primers with the 5' upstream primer containing an additional CACC sequence {e.g., TOPO® expression kit (Invitrogen, Inc.)). In conjunction with Topoisomerase I, the PCR amplified fragment can be cloned into the shuttle vector via the attL sites in the correct orientation. [0335] Once the nucleic acid is transferred into the shuttle vector, it can be cloned into an expression vector having attR sites. Several vectors containing attR sites for expression of target polypeptide as a native polypeptide, N-fusion polypeptide, and C-fusion polypeptides are commercially available (e.g. , pDEST (Iαvitrogen, Inc.)), and any vector can be converted into an expression vector for receiving a nucleic acid from the shuttle vector by introducing an insert having an attR site flanked by an antibiotic resistant gene for selection using the standard methods described above. Transfer of the nucleic acid from the shuttle vector is accomplished by directional recombination using tut, IHF, and Xis (LR clonase). Then the desired sequence can be transferred to an expression vector by carrying out a one hour incubation at room temperature with Int, IHF, and Xis, a ten minute incubation at 370C with proteinase K, transforming bacteria and allowing expression for one hour, and then plating on selective media. Generally, 90% cloning efficiency is achieved by this method. Examples of expression vectors are pDEST 14 bacterial expression vector with att7 promoter, pDEST 15 bacterial expression vector with a T7 promoter and a N-terminal GST tag, pDEST 17 bacterial vector with a T7 promoter and a N-terminal polyhistidine affinity tag, and pDEST 12.2 mammalian expression vector with a CMV promoter and neo resistance gene. These expression vectors or others like them are transformed or transfected into cells for expression of the target polypeptide or polypeptide variants. These expression vectors are often transfected, for example, into murine-transformed a adipocyte cell line 3T3-L1, (ATCC), human embryonic kidney cell line 293, and rat cardiomyocyte cell line H9C2.
[0336] Following is a genomic nucleotide sequence for a VMD2L3 region. The genomic nucleotide sequence is set forth in SEQ ID NO: 1. The following nucleotide representations are used throughout: "A" or "a" is adenosine, adenine, or adenylic acid; "C" or "c" is cytidine, cytosine, or cytidylic acid; "G" or "g" is guanosine, guanine, or guanylic acid; "T" or "t" is thymidine, thymine, or thymidylic acid; and "I" or "i" is inosine, hypoxanthine, or inosinic acid. Exons are indicated in italicized lower case type, introns are depicted in normal text lower case type, and polymorphic sites are depicted in bold upper case type. SNPs are designated by the following convention: "R" represents A or G, "M" represents A or C; "W" represents A or T; "Y" represents C or T; "S" represents C or G; "K" represents G or T; "V" represents A, C or G; "H" represents A, C, or T; "D" represents A, G, or T; '''B" represents C, G, or T; and "N" represents A, G, C, or T.
>12:68285001-68382850
1 ggaaggataa tttgggtttg gtattttaca ctcctcaacc ccaaatccag tctttgcctg
61 cactggggct gtgcaggctt acccctgcta gctgccttgc tcacagctcc ttatggattg
121 gttttctatt gctttaactg agggtgcact ggcaggagat agggagacaa tctattctct
181 tcctgccttt gctctttgtY tctggaggta actgcatccc tgcaagatct gctactatgt
241 cttcgttagg cagcacctct taccatggct cttagctctt aatggatttg ggaaatgatt
301 ttcttttttt ttttttgaga cggagtctcg ctctggcccg gccaaaacgt tttttttacc
361 ctgtttagtc ttacaggtga taacagctgc tgctattgtg agtgtctggg ttgctattac
421 ttgttttttt cccccacttc accctgtctt cactaaagtc tctccatgta atcacatggg
481 gtgaatgcat tttcttgcca gggctccgaa taatagaagt caacaaaata ctctgtacaa
541 aaccctttat aaaagtctgc tgtgtgccgt attagcatat tagatcaata gaagatatta
601 agagaacctt tttaaaaatc acaattactg gccgggcgcg gtggctcacg cctgtaatcc
661 cagcactttg gcaggccgag gcaggtggat cacgaggtca ggagatcgag accatcctgg
721 ctaacatggt gaaaccctgt ctctactaaa aaatacaaaa aattagccag gtgtggtggc
781 gggcacctgt agtcccagct 'actcgggagg ctgaggcagg agaatggcgt gaacccggga
841 ggggcgcctg tagtcccagc tactcgggag gctgaggcag gagaatggcg tgaacccggg
901 aggtggggct tgcagtgagc tgagatcacg ccaσtgcact ccagcctggg tgacagagca
961 agactccatc tcaaaaaaaa aaaaaagaaa aaatcagaat tactatagaa cttttcagat
1021 tctcaatatg aagactaaag ataaccctga tttcaaattt gtgattttaa aattgtgagc
1081 agtatataat agctcttttc aaaggagtat tgaaaagatt acatgaatta actttagaac
1141 ctgaggaaag tacctggcct ctagcagcgt tccacgtgtc agcctttcct cctgtcccat
1201 gggctgggta catgataaaa tctcccatct tcaagaagtg tggtggaact aactgtacaa
1261 ggcactgatg attcaatgat aagtcctgct tagtatttgc cagaagtgga cggtccacaa
1321 ggaaagaaag gcatgcatac cttgttgttt tcaaatagta gtagtatcct ttctatggta
1381 cggagatgac aaatagtatg cttaaaaaaa aaaaaaaaca ggcaaaaggc agagtaaaat
1441 tatctaacag gaccgacgtc ttcagtcaca tgcctcctgc cccttaagaa acggatttca
1501 tgccaaggaa tagtcccgtg ttttcaagta ctttggtgat taattctaga ataatagata
1561 aggatgaaag tatattcatt tagaaatttg caaatgcatc cttggtaatc atgtctgtgt
1621 gttttcctat tttggtaagc caggagcatt tgaccaaatt gtggttatat ttcttacatt
1681 caggactttt agatattatg gttgaaaatt ttctgaagag aaaacagctt ttttgttcta
1741 ttgccactgt tttttttctc cttcaaatca tgggatgcca ctttRaaaaa aaatcaagga
1801 attacacttg cttttagggt aaatataggt gttgtgctgc atggtgtagt acttagtaaa
1861 agaacatttt atataaacct tcactgtcac atgccaggca ctgttctatg cattttatac
1921 acagtaatgg gtttaatcct tacagtgctc tgcagaaact gttatgattt tactgatgag
1981 caactgaggc acatagatga taactgacta gtacgtggca agcctaggat ttgaacccag
2041 gtagtctgaa gggccatgct cttagccgct atgctacatt gcttctggtt cactgtgttg
2101 gatatgtgcc tttagtttga gttcagttga ttattagggc acaaacccac ttttaagtga
2161 aaattacaaa ctctagagat gatgcatttt aggacaaaat aaagaagcaa acttggttgc
2221 tgattcattt caattgattc catgttaaag atttcagttg gcatcactct tatttatgga
2281 atctaaaatc ctatgtaaac ttctggaaga cattttccct ttgatgcatt aacactttga
2341 gtttcaagac ttaaaaatca ggagcaaaaa agttacattt ggtgcttcaa cattttctta
2401 ttttactttc taattgtgtc aacatttcca gaaactatta gaagggttat agaaatgtaa
2461 gtatgcattt atatacttta taaaattgat tgaaggccgg ttgcggtggc tcacacctgt
2521 aatcccagca ctttgggagg ccgaggtggg cagatcacga ggtcaggacg agaccatcct
2581 ggctaacaca gtgaaaccct gtctctacta aaaatacaaa aaattagctg ggcgtggtgg 2641 cgggcgcctg tagtcccagc tacttgggag gctgagggag gctgaggcag gagaatggcg
2701 tgaacccggg aggcggagct tgcagtgagc cgagatagcg ccactgcact ccggcctggg
2761 cgacacggca agattctgtc tcaaaaaaaa aaaaaaaaaa ttgattgaaa atctacagtg
2821 aaaacatttt tggaaagcaa attcaacagc gaacacttga ccataccatt tgagaaatgt
2881 tctttgtgta ttgactgttt tagaagaaaa cagcttgatt atgggccaaa atgtttataa
2941 tttgactact gattcagacc agttagctct ttagatgaca gttctgtatg gatcaattgg
3001 cttcactctg ttttatggtt atagtctgca actacagaat ggccgattaa tcttgggaag
3061 ggtaagacag ggtcaaaaga aagtcagaaa tctataaacc ttgctataga ttaagcttag
3121 aatgcaagtt ctgttgacaa aagtttctag catcagctga gtataatttg gcttccgtca
3181 ttaggaatga gataaatcct aactgtccaa cagaaatatg gacttgtttc taaaggagtt
3241 aaatatgttt gacctgaaag tttaaaccta ttacattaaa tgattaaagg gacctttttt
3301 ggcagtctga tcaatgggtt gcaaatgctc tgcagatggg aggtgacgat aggaaggaat
3361 tatgcaacaf catccttcct ctagtttagc aggaaatatt tctggtagga agacatacat
3421 gaaaataggt otgctgtgta atgtcatttt agaaccaaac tttgttgggt taagatgctt
3481 ttacagaaaa catcctttta aaaacttggt actgtatgtt ttagttaaga tRacactttt
3541 tgtgtccttg tttgctgaaa acgttcaagt acataaagaa ttgtattatt aaattaccca
3601 ctgacaacaa tttctttaaa gtttatatat ttgtgggaag gtcacaattt acatacttcc
3661 aaaaaacaaa ataccttggt ttatacattg tcaaaacagt ctgtaaaaat caaaacaaat
3721 tgaaacaaag gcagagatac taggcgaaag aggcagagac ttcctatata cactacaact
3781 tcctattcaa atttcaaagt gcttgtttca agagaacaca tttctcacct actaccttta
3841 aactaacatg cttctggaaa tgtggttttc ctccaaggac agggattcaa tttagctcag
3901 ctctggctca ttagtgtgaa taaacagaag ggctttgctt cagggaggta gacaggaatc
3961 acaacaaggc ttgactttaa tgagaccaca ttaccacaga ggttctcttt tccagatgac
4021 ttccaacatt gtcagtgaca gtcaactgtt gggagcagat cttgggacaa accttttagg
4081 gaaaatgaac taaatcagca tgagccactg tcaagtttaa ggtgacagct gaaggctggg
4141 tgtggtggct catgcctgta accccagcac tttgggaggc tgaagcagga gcatcgcttg
4201 agcccaggag tttgaaacta gcttgggcaa catagcaaga cctcatctct acgaaaaaat
4261 taaagactta gccaggtgtg cacatctgta gtaccagtta ctgggcaggc tgaggcggga
4321 ggaaggcttg agcccagtag ttcggggctg cagtgagcca tgattgtgcc actgcactcc
4381 agcctagcaa cagagtgaga ccttgtctct aataataata aaaggggcag ctggagtcca
4441 ccaagaagta ttgtccatca gggatctttt cagcaggcac taaactgctg gggaaagagt
4501 ttcatcttga gcctttacaa caacaaacaa cttttttctg tgaatctgac tgattgcota
4561 ggtagaaatg tccttttcgg tggcctcagt gatacattga tactgtttat ggtcatttac
4621 agtaaagaaa atatgtcctg caaagagaca gaccaccaga atatttagtt ctatggcaaa
4681 taccttattt gaggagctca tgagcttcat gaccagtcac ttctggagag tgcaggagtt
4741 cagagtgtcc cagccccttt tRctcttcag tgtttcaaaa tacatgtgtg gagaagctgt
4801 tttcttgcaa agaagttatg atctctggat tgtcatgcca tcattggcac acaactcccc
4861 tctggaagag gagctgtttg ccagaaatat tttctcagtg tgatttatgg cattccacct
4921 ggctctctcc atcagtctct actagcagag ccactcccaa atgacccaga gccatccttt
4981 ccactccaat ggagaggctt ccagaacatg ctgcagttgg gtccttggca ttgacttgca
5041 actgaagctc ctcaggagtt ggtaggagga agtagaggga ctggtgcctg tagctcctgg
5101 ctttcctctc tgaccaacgc atagcgcctg gcttttctag ggtcgggctc tggcgtctcc
5161 tctgcccatc tccccacacg gcgcacacct ttggccacct tgggtgcgtt cctgcaagga
5221 ttgtggtcat agatgaccag cttcagactt gacaggtgcg ccaggctggg gaagtaacgg
5281 atgctgttcc agtccacatc aatcacctcc aggaagggca tgtgaagcag cacagtggga
5341 aagtcagtta gccggttgcc cgagagccag atggtcctca gctcctggag gcgccggagc
5401 tggcctggca gcaaacgcag ggcgttggag ccggcatgca gagtcttaag gagactcagc
5461 tcacagacca catccggcag ctgggtgagg cagttggcct cgatccacag ggtcctgagg
5521 ■ ttctggagca ggctcagctc actggggagg tcgcagagtt tgttgttgcc caggtagagg
5581 atgcagagct gtttcaaggt gcacaccacc tggggcagag ccttgaagtt gttgaaatcc
5641 aaggccagaa tctgcaggtt ctgtagctgc cccagctccg gaggcaggct attgaggtgg
5701 ttgtcgctca ggtagagctt gaccagctcc ctgaaggagc acacgtgcag ggggaagcgg
5761 cgtaactggc tcccactcag atccaccatc ttgtccagcg gcatctcacg gaggtccctg
5821 accacatagt tctggcaacg gtcagcaggg atgaaggcca cgagggccct gatggtgttc
5881 cccatgcgga ggctgggggc atggcgagcc ccagaggaca gactcactga gcggggctgg
5941 ctcagctgac tgctctgggg cctatcctac cctcccatta taacttgggg attgcatgac
6001 aaaagccagt cactttgaca gagaaaagtg ctcctgatag caacttgagt gtccggcgac
6061 agcgcaacag tccggcaggg gctgggaggc catgtctgac tcacatgctt gcctttaatc
6121 acctaagccc caatcccctt tatcaacctt ttttcatttc aagctgaaaa tagctttgct
6181 gtttttttcc ctaatgataa aatattaaca cattacataa aggtgtaaaa gaagaaaatg
6241 aaaaacaccc atagttctat tacccagaga taaatactgt acacatttgc atgtgtcctc
6301 tagtcttttc gctataagta atcatttgtt ttttaaaatt gcactttagg agcttttttt
6361 tttttttttt ttgacagggt ctcattctgt cacacaggcg ggagtgcagt ggtgcaatct
6421 tggctcacta cagcttctac ctccctggct ccagcaatcc tcacacctca gcctcctgag
6481 tagctgggac tacaggtgca caccaccgtg cccagctaat ttttgtattt tttgtagaga 6541 tgaggtttcg ccatgttgcc caggctggtc ttgaactcct gggcYcaaga gatctgcccg
6601 ccctggcctc tcaaaatgct gggattacag gcgtgagcca tggtacttga ccaggaacct
6661 tattttttaa tcatgacgta tcatggacat attttcatgt ttgcagatat ctatgcaatt
6721 attttaaacc cctgcatagt attccattac atggatgtgc agtaatttaa acagttttct
6781 gtggttaggc atctaggttg tttacaaagc atgactatta taaacatcca tgtgcataca
6841 gatgtgagca gcaatccact catttcttta gaaaccgtcc ttagaagtgt tgctggagca
6901 ggccaggtgt ggtggctcac gcctgtaatc ccagcacttt gggaggccaa ggtgagccaa
6961 tcacttaagc ccaggagttt gaggtcagct taggctacat ggtaaaaccc catctctact
7021 aaaaaaaaca aaaattagct gggtgtggtg gcacacacct ataatcccaa gtacttggga
7081 ggctgaggca ggagaatggc gtgaacccag gaggcggagc ttgcagtgag ccgagattgc
7141 gctactgcac tccagcctgg gcgacagagc aagactccat ctcaaaaaaa aaaaaaaaaa
7201 aagtgttgct ggatcataga tatgcatcat ttacaggttt ttcattgatg gctcctctgt
7261 accccaccaa atctgagcca gtacacacac ccaccagcaa tggttacagg tttctaattt
7321 ctcatgtctt cattcttatc agatgatatc tttccacagt ttaaaaactt gcctttgaca
7381 aaagataagt agaaaagcag aagaaagaga agcaagctag ccttctgcat gttaaataaa
7441 ttYggatgta ttcctacagt gcacctttgt caggtatgtt tgaccaccca ttaaaggttt
7501 gtgtttccct tccacagtgt ccagttgttc cagaoaagca gctgtccagc caggacaatt
7561 tcctagtgct ggtctacagg ggaaactctt caagttctgg ccaaagtaat gtgggcagaa
7621 gtgttagatg tcacctctag acttggttca ttgtaaaaca aaccttttgc ccttctccac
7681 actctccttc cccatctact ggctggatgt tgtcacccag agtgactata gcagccacca
7741 agtatatgga agtcatatgt tgcaggtggc agggccgtgg tcatcctaga ttcctgaata
7801 agtgctaaga gcaaaacatc tccttaccct cctcactccc acttgatccc caataggatt
7861 gaggtaaatg agaaataaat gttaattatg tgaagtcatc gagattgggg gcttatcttt
7921 tatactactt tatacataca gcagttgcta aaaataagga ggcaaatcca catatactga
7981 tatgggaagt gattccggat aaataaagta gggagggaaa aaagcaaatt tcagaatagt
8041 tttttaatga ttcccatctg tgaaaaaata tatctttgtg tgtgcataaa aatatctgta
8101 agaaataatg gtgattaact ctggaaaatc tacctgaggg tttgtgggtg atagggatgc
8161 tgacttttcc atttacatcc ttttgtactc ttgatttttt taaaaaacta gaggcactta
8221 tcattttaaa tttaaaaact ctagtccaaa aacaaccaat ccatcagcct acctgctctc
8281 tggatagagt ttcagggtgg gtgagggagc ctggcacacc cttgctccgc gtccaatgac
8341 tttgctgctg aattgcttgt aacggaccac actgttgaga agcacctcgt gaatggcgat
8401 tctacagagc tgtttggtga tgcagcagag ctacccactt tctgctcaca ggtcatgact
8461 gaagccagtg ttcttcctgg actttctaca cattgaatgt caagggctat tatcttgagc
8521 cctcttcttg ctttgcttat ttgtattaaa ataactggcc tgtcaactct gctttactgc
8581 tatatttagc atggtcagtg gtgaccacaa atggttatga agcagctgcc ctagtgtcat
8641 ccctagaaat gataatgata ataatgttgc taccaggtgc cttatatata atctattctt
8701 gcaacaccag ccagataaat atgttttacc ttacttttca gatgagaaaa ctgtgtgtgg
8761 ttcagagagg tttaatgata ttatcaaata ttgactgaac acctactatg ctttagatgc
8821 aggtaatcaa atgagtaaca agatagataa aaccctgatc tcacacagtg tacaattcta
8881 tcagggtagg ctcctgttga accatacaag gtgacaaact ttgccctgcc aaacggaatt
8941 tccatgcagc actttagata acaaaacact tgaagaagat ctcctacgtg aaaatcagag
9001 attgaaataa gaatgtttaa aatcaagaca aaaaaatgaa gtgaatagaa gaaaataata
9061 aactataaca taatattttc agagagttaa tgatagcact tgcgtgctgg gtgtggtatt
9121 attaggtcat ttaatcctta cagcaatcct aaaatgtatg tactgttatt gtttccactt
9181 gataaagaaa gaaattgggg aacaaggagt ttatgcaacc tgaacaagct agcgcgcagc
9241 cgagcaggga tctgaaccca gatcatcttg ctctacagtc tgtgttccaa atactgtgcc
9301 tttcttggat gacataacat ccataaaaag agtaggatgc tattagaaag aaagaaatat
9361 tctaagaata agaaagggct cttggaaata aagatatgaa aaaagcacaa ttaaaaataa
9421 aatagaagaa aaacagaagg tgtttcctca aaaaattaaa aatagaatta ccaaatgatc
9481 caacaattcc acttctgggt atatatccaa agaaaataaa aataaaaaca ggatottttt
9541 tttttttttt ttgagacaga gtttcactct tgttgcctag gctggagtgc aatgacacga
9601 tttcggctca ctgcaacctc cgcctcccat gttcaagtga ttctcctgcc tcagcctcct
9661 gaatagctgg gactacaggg gtgtgccact atgcccagct tttttttttt tttttgtatt
9721 tttcgtagag atggagtgca caccattttg gccaggctgg tcttgaactc ctgacctcag
9781 gtgatccacc tgcctctgcc tcccaaagtg ctgggattac aggtgtgagc caccacaccc
9841 ggttaagatg ggaaattttt gcatatttta ccacaattta aaaaataaaa ttaaaaaata
9901 taatagaagg cttgagaaca tctcatcaaa agttgaagaa aaggctgggt gtggtggctc
9961 atgccaataa tcccagcaat ttgggatgct aaggtgagag aagtttaaga ccagcctggg
10021 caacacaggg aaaccctggc tctacaaaaa attaaaaaat taactaggtg tagtggcgtg
10081 ctcaccggta gtcccagcta cttgggaggc tgaggtggga ggactgcttg agcctaggag
10141 gttgaccagt cagccatgat tgtgacattg tgctccagac tgagtgacag agtgagaccc
10201 tgtcttaaaa ataaaattaa atttaaaaag agagacaggc tgggcatggg ggctcacgcc
10261 tgtaatccca ctctttggga gaccgaggtg ggggatcact tgaggtcagg agttcgaaac
10321 cagcctggcc aacgtggtga aaccctctct ctactaaaaa tacaaaaatt agccgggcgt
10381 ggtggcaggc acctgtagtc cctgctagct gggaggctga ggcaggagag tcgcttgaac 10441 ccaggagaca gaggttgctt gaacccagga gacagaggtt gcagtgagcc aagatcatgc 10501 cactgcactc cagcctgggt gacaagagca agacttcatc acacacacac acacacgcac 10561 acgcacaaaa gaaaaaaaag ggagagacaa cgatgaaaga agtacatgaa agagttttct 10621 agggctgaca tatatgagtt ctctgatgaa cttgtcaact ttgtagcaca ataaatgaaa 10681 aagaccaaca ccactgtaaa atttcagcac tctggaaaga agagcccaaa ggtttctaga 10741 tagaagacaa cagagtacac acacacacag ctagaaacga gaacatcatt gggcatttca 10801 gtaccactat tggaaactag aagataacag agcaatgcct tcaaaattct aaggtaaaat 10861 aatctccagt atagaatctc acacccagta aaagtaggat ttagaatgat tttcttttca 10921 agcagaaaag atgtcaaaaa gtttccctct catgcacaaa ttctcagaaa gctacttaag 10981 gaagtgcttt atcaaaatgg aagacacaga atccaggaac caacagcccc agcaaaggaa 11041 acaagaagat ttcaggtgac agctggctat gctggcggtg aaggcggagc agggagagcc 11101 acaggagcct ggccaagagt gcatcgctgt cccgaggagt gcagtgtgga gcgccccggt 11161 tggaaggtgt ctccgaagga cccacgggag cacctccagg aaagggccag tatttgtgca 11221 tctgttgcaa cagaaggcat gtatctgcct aaggggaact gaaaacagaa ccactgagcg 11281 aaacagtctc gtcctccttc tgtgcccaag cctggagggt ctaggagcag gggccagggg 11341 agaagacgtg gagcaaagaa ggaaaacagc aggctctgta tccccctccc cttcaccccc 11401 gctactcagc ccggagaccc tctccccaac cccagctctt tctcgttgtt gatccctaag 11461 ccacaggcca ggcctcacct gggagaagga aggaagtttt aaattgaatg agatgctaaa 11521 agtttggatg agactttaaa gttttgacat acatttgact gaaaatttta atacccgaaa 11581 gtgtcgagaa agctgtacaa Cctacccaag atgtgatcca ggggtcgggg tgtgggtagg 11641 ggtttcatag aatgtgtgtg aggaaggagg aggagggaca aggctgatgg tggattattc 11701 cctactgggt tcagccccca tatgaaaccc gcatcgtcgg gaataaaatg atcaaggtga 11761 ccctcagaaa aactgaaaac agcctatacc aaaaggaaaa caσactcgtg cgtacacacc 11821 tacatcccaa agaaaaaaca atgcatatta gtgatatcgt aactatatat ataagttttc 11881 gcccatggtt cctggctcat aactcccata gcccctgtca cagtcctttg ttgtaatgtt 11941 gaggcacttt aggtgccaag agcaggtcta aggaaacaga agctcaggac tcgaatctgc 12001 ttgtgggtca taagaccctc attccagaaa gggttttgct tcattccctg gaggaaagaa 12061 ggctRcacag agtccaagaa gaatctgaac agatgggcct tgctgggttt agatcatatc 12121 ctttttgtca aatctcattt ctaaatgatt gtcaatcatg aagattgtca atcatgaaga 12181 ttgtcaatca tgaagattgt caatcagtga agtctccata aaaggcccaa gaggagaggg 12241 tccagggagc ttccagctag ctaagcgcgt ggaggttcct gaagggctgt gcccagggag 12301 gacgtggaag ctccacaccc cttcccccat gctgtgccct atgcatctct tcatctctac 12361 cctttgtgat atcctttata ataaaccggt aactgcaagt gtttccctga gttcggtgag 12421 ctgctccagc aaattaattg aacctagagg gcggttgtgg gaaccttaac ttgaagctga 12481 tcaatcagaa gttctggagg ctggaacttg tgactcgtgt ctgaaggcgg ggtggcgctt 12541 ttggggactg agccctcaac ctgtgggatc tgatactctc accaggaagg cagagttgga 12601 atggaattgg aggacaccca gctgatttcc actgcaacgc tgctcccttg ctggctggtg 12661 gggagaaatc tccacacata ttttggggtc acagaagtct tctttgttga tgattgttgt 12721 ggtggtgttg ggagaacaga ggaaaaatag ggcttgaatt tttaoaaacc gtattgcaaa 12781 agatagaaga aaaagtgttg aaagtaaaaa ccataaagtg aactgttctg ttttccagtt 12841 agtcagcttt gaggtgcagc tggcttctcc ttggtttaaa atcatggtga cgctgatgct 12901 ggacacagag aagagcccca caggcagaat cctgggcctt ccagaagagc agtccagaag 12961 caaccttgtc ccaccaagct tgggtctgac catttgcacc tgttggattt gaattcaact 13021 gctccatgga ggtgtttgcc caaaccttgg cttcaagcta attaatgttg ggtcttcaaa 13081 tacttcaagg tgcagttcta gtgttacagt tcttaatttc agYgcaatag aaactgtctt 13141 tgaatgattt ggatgaaaag gaatttatta tgttaggaag ctcacagacc tccttgcctg 13201 tgctgtggaa ctgggcttgg atgctatagc tgggaccaaa gtcctaaatt gcagtgcaga 13261 actggtcttg tgatggtatc attgtcactg cctctgggcc cagcccccca ctgcttgtac 13321 ttccgagccc actggtgctg gctgctgcct ccgaacctgg tgtagccccc accatggcta 13381 cctccctctt cagaagggat tttgcctaag tcYtgctttt ttgtatcact aagagttgaa 13441 tcggggccaa cggggaagac tcattgatca catgccgcag ctgagccaca agggaggctg 13501 gggttcagct ttcggcttct ataatgcgga gttgtcattt tccaccacca agatttataa 13561 ggtgagaagc tccccaaacg tggagagctg tcagtcaaaa aaaaaatcac agatactcac 13621 cacaactagc ctgtagttca ctcccatcat cccacagctg tcaaggaggg tcttcctgac 13681 catgctattt aagctaggct gcctctactc ccagtttctc tccatgttag cacttatcac 13741 aatttgtgat ggttttattt cttagttctc ttgcttccct gctggactgt aaactccctg 13801 aggccaggga ttgtgccaat cctgttcact gttgcatttt tagcactaac aacagcactt 13861 caaacaatat gggcattcat ctattcaata aataaggggt gcacaatgga cacaatttcc 13921 tgccctccca gagcatctga atgaatgaat gaatgaacaa aagatgcatt actcttagct 13981 tactaatgta aactcaaatc gctggcatcc agtgacttga caatatatat ttatgaataa 14041 ataacatttt tctactcttg attatcattg agataaagga gagtggttct gagaagaact 14101 tgtaaaattt atcagaagag ttaataagat atatacaggg ttggaagaac ccagaaacga 14161 attcacattt ggttgttaac tataagataa gctccaatct ttgactttac agaaaacaat 14221 gcgagggagg aagctaaaga cttcccctga gactttagcc taccactatg aaaatgtgct 14281 gagcctgctc tatggacgca gtcggagcag gattccagac aagtScccca agatattctg 14341 taagttaatt agattctctt tcaatgctga actactggaa actgttcaac agcaactgct
14401 gtgctaagac aattattctg agaaaagtga gcttcaataa tcgccgtgaa atgaaacttg
14461 aatcctgaag gaattccatc atcaactcac agggtgagga gctggggcaa agttgagccc
14521 aagtgggagg gaagggtggg aagggtggcc tttttttttt tttttttttt tttttgagac
14581 aaagtctcac tctatcccta ggctggagtg taatggcata atcttggctc actgcaactt
14641 ctgcctcttg ggttcaaacc attcttgtgc ctcagcctcc Ygagtagctg ggattacagg
14701 tctgctccac cacgcccggc taattttttt gtatttttag tggagaaggg gttttgccat
14761 gttggccagg ctggcctcga actcctgacc tcaagtgatc cacccgcctc agcctcccaa
14821 agtgctggga ttataggcat gagctactgc acccagccag gggcggcatt ttatagcctg
14881 taagtgtgcR aaaggaacca aggtcaggag aatgggcctt ggtagagttc tgctttatag
14941 tccccaggaa ccggcaatga ggggatgtgc tctctgaagc tgggcttcct gatggcctgg
15001 agagaggcct ggcccaggat tacagccaga ggatgctttg gtccattttg gtgatcatct
15061 gctccctact tcacaaaggt aaaggtagga tttgccatca gaacgcacat cagtctcaga
15121 gtggcctttg gacaaaaaca aaaagcaaaa gcaacaaaac cccacagatc agcatttctt
15181 catcagagag tttccatgat tccgttgggc ttaatgcagg cttctaagta cgtcctccaa
15241 atgtatcagc ctctgccagg ggacagttgg caatgtctga agacattttt ggttgtcaca
15301 ctgagagggt gcttctggca tctagtgagt agggcctagg atgctggtaa acatcctgca
15361 ttacatagga cagctgccgg caacaaagct tatctggacc aaaatgtcag tagtgctgag
15421 gttgagaacc cσtgggccat aatgccagcc agctgtcttc cagggaagtg catccccgtc
15481 atcataaaat aaatacaaca actagtattt tatcttcctg actggaataa attttgtctt
15541 cagtctcagg gaaggttttc tttcaattta ataaagtggg gtgggatcaa atacaaccat
15601 acttccaaga atttcatttg gcagctttga tatttccaga tctgcttgac aagtaaagag
15661 ctgataatgt gcaggcagct ttgggttggg actcatgaaa tctgagtcaa ctataagcct
15721 tataaaagat gcatgaagtc tcctataagg ctttttgttt tgtttttgtt tgttttttga
15781 tggagttgga ggtgggggct ggtggatctt gcaatgcatt ttccagtaga aataatgcta
15841 taaattatgg tattttacat cagtctataa aagttggttt aattcataga acaacagtat
15901 ggtgatggta gggtgactgc agtcttactg actgctgtgt gtaagatggt ttctgtgtgg
15961 aaacagattc tgagctgcag Ytcaagcaac agggccagta gctagaggtg gtttcagagg
16021 atggtagatg ccatctgggg ccacctgggg ctgtgcatat tgctgcctca gtacaaccag
16081 ggttcttcca gcatgcaaga aaagagaggt gaggaaggaa acccacagtg cctggcactg
16141 gaatgtatga tgtgtgtggg ttggcagtca gttggatttg ggatagaatt tcatttctac
16201 catttcccaa ctgtatggcc ttggagacat tgcttaacct ctttgaaagt ctttctacat
16261 ttgtcaaatg gagatagtaa tgataactaa gttaaacaga gataagtaaa tggagatgat
16321 aataataata atcatggtaa ggggccgggc gcagtggctc atgcctgtaa tcctagcact
16381 ttaggagacc gaggtgggtg gatcacttga ggtcaggagt tcaaaaccag cctgcccagc
16441 atggtgaaac ccccgtctct actaaaaata caaaaaatta gcagggcatg gtggtgcacg
16501 cctgtaatcc ctagctactt gggaggctga ggcaggaaaa tcgcttgaac ccggcgggtg
16561 gaggttgcag tgagccaaga ttatgccgtt gcacagcagc ttgggcaaca gagcaagact
16621 ctgtcttaaa aaataaaata aaatcatggt aaggattaaa tgacagtacc tgaaatacag
16681 ctgaaatgga atacatgtca gtttcctcct gccacccctc ccaactttct ctgttgccaa
16741 catagtcctt gtctggtgtc atctcacatc ttcaaagaat gtcaatattt gcccaaatct
16801 ttggtcagct ccagccatat ccataaaact cctgccaact tagaacctcc tggaatcgag
16861 caacctcaca actttgggaa ccaatgagct accaagaagc ctgaggagta gagagaggct
16921 gctgaacaag agcagagaag ctgatcttgg tggctctgtc atgctttctg attgtcacgg
16981 gcatggggag gtaaggggac cttggcataa cataaggcct tgacgttgtc tctccttggt
17041 tgtcacctct catcgccccc acacagcggg gctgactcga atgagatgat ttgaaactgg
17101 gcaggggact gacaccgtga gcttactcat ctttttctct ccttttagga tttctttgat
17161 ccaactcatg tccagcaggc atcatgtctg agaagcaggg accctggagg agttcaggac
17-221 agaccaccag ctggacgttt ctctttgagc tagctatctg agactgtttc ctctgaaagt
17281 gtatttatgt gcccagatga tataagagca cttacataat tatgtgagtg gattctgtga
17341 gttgactgga gatctgtgga catctggctc tgaaacgcca caaaccaacc tggactcccc
17401 aaggggctca gggtgagctg tgcttttctt ttgttggaga gtttttccta tttgcatgtg
17461 gagggagaag tggcattggt tcaatatggt ctgtctcagg tgactttcag acagtagggt
17521 tcagtgtgga gctttgctga atcctgccct gttggagtcc tactgatggg actgggagtg
17581 gtattgcggg gagggtcctg gacttgcgct ctgaagatct gcatttgaat tttttaaatt
17641 gctgcgtaac cttgagcaag tagtttaact tctcatgatc tcctcccatc atctggaaac
17701 aagagagtca gaccagatca ccccaaagga tcataacagg cttggcagca cggacttccc
17761 actgggtgac tctgatgtca ctgaacatgt gtatcgctct gctgcaaatg taggttaacg
17821 gtggggcaag tgaggtggga tcatgcttga gaaaaacatt gttttaattt tagttaaatg
17881 ctgggccaca aaactaaaat tggcaaagac ctttcttttt gtttttttag acagggtttc
17941 actctatcgc ccaggctgga gtgcagtggt gtgatctcag catactgcag tcttagcttt
18001 ccaggctcaa gcaaccctcc tgcctcagcc tcctgagtag ctgggactac aggcatgcac
18061 caccatgtcc aggcaatttt tgtattcttt gtagagacag ggttttgcca tgttgcccat
18121 ggcaggtttt gaactcctgg gctcaagtga tccacctgcc tcagccttcc aaagtgctgg
18181 gattacagac ttgagccaYg gtgtctggcc aggcaaagac cttggcccag ccaccctttt 18241 gtgtaatggc caagatgctc agaggggcca gcatgacaaa tggaaggagg aagcatgggc 18301 tttgtagtca gaaaaatttg agtcgtacta tcagctctgc cactgacaag gaaaaattgt 18361 ttaccttctc tgagcctcaa ttctgcaaaa ctggaataag aacacccact gcataaggtt 18421 ttcctgaggt taaaaaatga taatgtgttt aaatattttg cacatggaag gtgcttgaaa 18481 actggtttgt atgattatcc ttttcttatt catgttataa tcaggtattg ggctgtgact 18541 attccagggt gtactgataa atgctcaagt gagttaagcc tgagcaagct ctggtactga 18601 ttcctcactt cctgggtcct gtctggcccc ctggtttgct gtcaggaaga cctaaagctg 18661 gctgggccga ctgtataccc tcctggttca ctgtcccctc cttcaactct tcctcctacc 18721 ataatatata acacgtaaca cataaagtag tcctatggtc tgtaatgtag atatttactt 18781 ccttacaaag caaagacagc tttttattga ccttgaatgg cgttctttga aatgttggca 18841 agatgctatt gtttgagcag tacctcacca tgtctcatgt ccccttttcc agggcataaa 18901 gtattattcc actgggttcc caccaagcgg ggaatcaact agcattcaat aaacctagtt 18961 acatgccttg aaaggtggtt cataaacctg cagaaaaccc taaatcaggc agacgagtgg 19021 aagtggcttg gttgtcactg actatgtatg tcttaagacc aagtcggctt gctccttcat 19081 cagaagcaca gccctggaaa gtgcgtttca ctaaaaatag ggcagttgga ggcatgactg 19141 caccagcaga tagttttcgc agcagctttt ggggcaggct gactgataaa gctttctgct 19201 ctgggtgctc cagattactc acagctgttt ccagaccaaa gcgccctggg gaggctggca 19261 tcacgccacg cgtcaggtgc ttgttatcaa acactgcgcg tgaggccaga gtcggcctaa 19321 tcagcctcca agccttgcct ggatggaatg gatcagggag ggctggcgac ctgttctgtc 19381 actgtattct tttttttaag acggagtttc gctcttgttg cccaagctgg agtgcagtgg 19441 ctcgatctcg gatcactgca acctccacta ccctcctgcc tcagcctccc gagtagctgg 19501 gattacaggt atgcaccatc atgccccgct aatttttgta tttttagtag agacagggtt 19561 tcaccatgta ggccaggatg gtcttgatct cttgaccttg tgattcaccc accttggcct 19621 cccaaagtgc tgggattaca ggtgtgagcc atcgtgctcg gcctctgtca ctgtattcta 19681 aaacccagca gtttccttta cgtgtgtgtg tgtgtgtgtg tgtgtgtgtg tgtgtgtata 19741 acttctaaaa aaaagttgga tttttccttc cattgcaagt tgagggtagt atagcatagt 19801 ggttaatggg tatgcttcag agccagactt cctgggtttg aagcctgttc tcttttgttt 19861 gttttaaatt aacaaacata attctatttt ttttcttttg tagaggtgag ggtctcacta 19921 caKtgtccag cctagtcttg aactcctggc ctcaagaacc gtctcacctt ggactcctaa 19981 aactgctggg attacaggta tgagccacca cacccggcct caaacttaat tcttttagag 20041 tagttttagg ttcacagcaa attgagcaga aagtgcagag agttcctata taccccttgt 20101 ctcctcccct gctattcccc tccagataat atttcttaca gctgatgaac ccatattgac 20161 atgtcgttat cactcaaagt ccatagttta cattagggtt cactcttggt gttgtagatt 20221 ctatggcttt tgacaaatgt ataatatgtt tccctcgttg tggtatcata cggagtattt 20281 tcactgccct aaaaatcctc tgtgctctgc ctattcatcc atccctcccc ccggaaacca 20341 ctgatctttt tactgtctcc atagttttgc cttttccaca atatcataca attggaatca 20401 tacagtatgt agccttttcg gatcagcttc tttcacttag taaaatgcat ataagttatc 20461 tttatgtgtt ttcatggctt gataactcat ttctttctag aactaaatga gattccattg 20521 tccgaatata ccacagtgat ttgttcattc acccactgaa ggatatcttg gttgcttcta 20581' agttttggca attatgaata aagctgctat gaacatctgt gcaggttttt gtgcggacat 20641 aaatttgcaa ttcatctgga tgaataacaa gaagcgtgat tgctggatca tagggtaaga 20701 gtaggtttag ttttgtaaga aactgccagg ctgtcttcca aagtagctgc accattttgg 20761 tttcccacca gcaataaata aaagccacgg ttgctccatg tcctccagcg cgcttgatgt 20821 tgtcagtgtt tggggttttt ggagcctgtt tttgctactt cttagctttt gatgacttga 20881 ggcaagtcat taaacctctc tgccttggct tcttagtttg tgaagcacaa aacagtagga 20941 cctccatgac tgggttgatg tgagggttaa ataaagagat tcatggaagg catgaggaat 21001 agggctggcg cctgcatgta gactcaataa acattagcta tgatgtttgg attaggttgg 21061 atttctgtcc taagaaacag ctgagattct tgagcgcaaa acagtgttta ggctgcggga 21121 tggattccac gaagctcttt ccttctttct ttctttcttt ttttttgaga tggagtctcg 21181 ctccattgcc caggctggag tgcagtggca tgatctcggc tcactgcaac ctccgcctcc 21241 caggttccag cgattctcct gcctcagtcc ctggagtagc tgagactaca ggcatgcgcc 21301 atcaggctcg gctaattttt gtattttcag tagagatggg gtttcgccat gttggccagg 21361 ctggtctcaa actcctgacc tcaggtgatc cacccacctc agcctcccaa agtgctggga 21421 ttactggaat gagccacaac gcctggccca cgaagttatt tctaataata acatgccatc 21481 accatgctga gggatataat ctcatttgaa caacacσact aggtgacaag gtagacacac 21541 aaattgtctc cactgtcaga tgaagaaata ggagggtgac acctggagca ggaggctccc 21601 aggacccctt gtcagcacca tggctgtcct cctgttgctc cggtctgagc gtttacataa 21661 tttggtctta cccctggtaa agttcttcct gtgtccttgg gaaataggac agggaagagg 21721 ggagagcggc ggggggagca ggagggtctt caggcagtct ccctctccgc ctggtgcctg 21781 aatagtgctg agaggatgca ggggtctgca cattccagat gaaggatgtg ctgtttccac 21841 gcccagctac ccactgcaca gacaacgctc catggcttcc ttcatgagct gtctatatgg 21901 agaaagtttc tagaacaaca gccaccattt gttgaacccc cactacatgc tYggtaccca 21961 ggaaaatgcc cgtttaaccc tcctagccac tctgtgaggt atgaatgatt attagcctca 22021 ttttcagata aggaagcagg tcagagaggt taagtagtgc ccaggcccag agtgagtaag 22081 tggcagactt gggagcctga cctggaagcc acagcctcac agggactatg cccagtgggg 22141 aatgtcttgg tactgcaaga agaagactca gaagcttctg acgaatgagt aagggggcca
22201 ctttttagga aactgcagaa aaaggaaaaa aaaaattgtg gagagatctg ctacatagcc
22261 atgttcctct ggcatccaga acaaaaggat cccaagcccc atggatgtct gccctggggc
22321 tcatgccctg gggcttacca ggcttggagc. ctgggtcact ttctgtttgg aagtgaggca
22381 gccacaagRc ccctcttgtt ccctctggga cacctgccct gaatatagtg cattcagatg
22441 gaccccgtga cctgtcctga ggtttcacgt ccacactcag tctcctggct ctgtgggagg
22501 agcgctaggc caggctggga tgagacagag ctcctgccat ggaagtctgg cacagactgt
22561 cctggatgtc caagcaatac ctattgcctt gtgatatggt ttggatctgt gtccctgccc
22621 atatctcaca tggaattgta atcgccRatg ctgggggtgg ggtctggtgg aRgcgattgt
22681 atcatggggg cagattgccc ccttggtgct attctcatga tagtgagtga gttctatcta
22741 gatctgtttg ttttaaagtg tgtggcgcct ccccgccccc actcctgccc ctgccatgta
22801 aagatatgcc tgctccccct ttgccttcca ccatgatcgt aagtttcttg aggcctcccc
22861 agaaggagaa gccactgtgc ttcctgtaca gcttgcagaa tcgtgagcca attaaacctc
22921 ttttcttata aagtaccgag tctcaggtat ttctttatag gaatgagaga atggacaaat
22981 acaccttgac tcaaaactgt ggaaatcaca tttaagaata gaaagtgctt gaaaaaagat
23041 ctttaaaaat attattcaat ggacagcttg ggcaacatgg caaaacccca tctctaccaa
23101 aaaataMaaa aattagctag gcatggtggt gcacacctga ggtctcagct actccagagg
23161 ctggggtggg aggatcactt aagcccagga ggcagggttt gcagtaagct gtgatcatgc
23221 cactgcactc cagcctgggt gacagagtga taaYctgtct caaaaaaaaa aaaaattcaa
23281 tagagaattt atattatacc ttatatatat atattaattt aggttatacc ttgattacag
23341 ttatgaaaaa aagatgaaag gagaaagaaa aagattggaa ggaagcatgt tcaaatgata
23401 aYcggtgatt tctttttctt tccatttttt ccaaaacacg tgacacattt actttacaat
23461 gcaaaacata tatttaaaat ttttcccttt tcctcttgga cagcttatgt ccatctcaag
23521 gagttagaag gagattagat aaccaggaag agaccaatct tttctataaa tttccttctt
23581 tgtaaaatgg gggaaacagt agaagaacag tataacttta taggattagt ctgagcatta
23641 aatgggacaa tctgggtaaa atttttattR caagtctagc acatggtaaa tggtctgtgt
23701 tagtgattag cagcatcacc atcaccttca tcattagtgt tagaccatca ggacactcct
23761 ggacttggga gttcaccatt ccactagaca tcacagttcc aatattgtgt gcctgtggca
23821 tgtgaagagg aagcagaaat gccacttcct agttggctga tctgtgagtt tctagccatg
23881 agctgagaga gaaatcagcc ttagagttgg aagtggtgaa ctttctgtag cgatagtaga
23941 agctgacctt gtcactccca ggaatgcacc tgccactcaa atcaaacctc cctgtgagca
24001 aggagggcag gcattcttcc ttcagtacag caccaggaat ctcctgggga cagggggagg
24061 agagatgggg caggtcagaa agcctgctgt ctctgcatgg aaagggRgtg gaattctgga
24121 cctagccaag gttaagttcc tagccaagtt catccagtaa catgacttct ttcttttggt
24181 tgatagctcc actatctcta tctagccctc acctttcctc taagacttgt tttatataca
24241 gttgtctatt cgacatctct acttggatgg ggtttaatat accccaaata atactctatt
24301 ctttttttat tagcacgccc tcaacctaca agtcttcctc tcctttccat ctcacagaat
24361 agcaccacaa actacctact tgcttgaggg aaaatttagg agtcaccttc aattcctcct
24421 ttcttcaacc atatccagtt catcaaatgg ctctgatata tatcctgaat aatctcctca
24481 cccctgctcc cccactccct acctccagag ccatagtcca gtccaagcca ctaacacctt
24541 tccaaaccat tcttcacaca gcaatcagag tgctgcacaa acaaggtaaa tcaggtcata
24601 gaaactggca taagaactcc aatggcttcg tactgcMcct ggaataaaac ccRaactccc
24661 tactctgaac gScaaggcct gtgtKatctc acttccatcc acctccccaa ggctttgatt
24721 caaacgcact cacatctatt tgtcagacgc acggagcgct tgcccacagc agggcctcac
24781 tgctccttcc atctggtata cccttccgat ggctaaccct ttttatactc aactatcagg
24841 tcaaatggca gctcctcaga aggccttccc tggccttcca aagcccccat cacatctgag
24901 taagacaccc ctctgtccct aatggtgact accacattgc tctgttgatt ttccttatac
24961 ccctcattac actgtgaaat tatcttgttc actcatttac caggttttgg ctgtttcccc
25021 caaatgggga taaatgccac aaaagaaggg tgttgtcMgt catgtgcatc attgcatgtc
25081 ttgctcctgg aacagcatgt gggacatact ggttgccaaa tgtgaaaggg aggcaggagc
25141 agatgatttg tgtacaggta tgtggggccc ggttcgggga tccaggcgga gttgagtatg
25201 atgcctgata ggattgtcat gcccagttgt tgcagtttag atgccaaaac ctccacccga
25261 ggtgaactct gaaacttccc cgatagcccY actgcagtgc gtgggcttct tccttcctgg
25321 gctgttttct cacctttgtt acaaacagct tggcWatact agcatgatgg aataagggtt
25381 gagagaatca tctttgagct ggatgacctt tgtcctggca caactggatg gtgtttgatc
25441 tgatgtaccc agcactgtca gcagggggat ccacttccta tcccatcttc acaaggtgaa
25501 ggatcaggaa tcggtgaaga aaccaagttt tctttctcat gaacWggaga aacgtaggct
25561 tttaatatca aatgaatgtg tgaacccgga ttatctgaga caggtctcag tcagtttagg
25621 aagtttattt tgccaaagtt aaagacacat gccagtgaca cagcctcagg aggtcctgac
25681 gacgtgtgtc caaggtggtc cgagcacagc ttggttttgc acacaYactt tagggagaca
25741 tgagacatca atcaatatat gtaagatgaa cattgattca gtccggaaag gccggaccat
25801 tggaagcaga ggcggggcaa ctcaaagtgg ggagggggct tccaggccat agatagataa
25861 gggacaaaaa gttgcattct tttgagtttt tttgtttgtt tgctttaatt gagtcagggt
25921 ctcactctgt cacccacact ggggtgcagt ggcgccatct cagcactgca acttttgcct
25981 cccgggttca agtgattctc ctgcctcagc ctcccaagta gctgggacta gaggcgcctg 26041 ctaccatgcc cagctaattt ttgtattttc agtagagaca gggtttcacc accttggcca
26101 ggctggtctc gaactcctga cctcaagtSa tctgatgtac ccagcactgt cagtgggggg
26161 atccacttcc tatcccacct aggtctccca aagtgttagg attacaggtg tgagccatgg
26221 agcttggcct cttttgagtt tttgattagc ctctccaatc agatatgcat ttacctcagt
26281 gagcagaggg atgactttga atagaatggg aggcaggttt gccctaagca gtttccagct
26341 tgacttctcc ctttggctta gtgattttgg ggctctaaga tttattttcc tttcacaaat
26401 ggatctgatg actggaaaat ggttcccctg actcagagcc tctgctctga cctagagcac
26461 tatctccttt atctagaaca ctctttctca tataccgcgt gacttcctat cccatctttt
26521 atatgattgc tcaaacatcc cattcttcat gaggtcctcc tcagctactt ttacaaaaat
26581 tctttgctca ctttcaccca gcctgcttag tttttctcca gagcactatc accatctacc
26641 aagctataga ctttattgag tgatgtgttt attgtccccc accctccaRt gtaagctcca
26701 tcagtgagga gactttgttt ctttggttcc ctgtgtatct ccagcattca gaccaatgct
26761 caccacatca catgtgctca ctacatatct gctggatgaa ataaaatcta ggtatcagaa
26821 tcacaggttc atggcgtggg aggatttctg ggctaaggca tcctaataag aaatggcatc
26881 aagcctgaga tgtcactgaa aatgaagttt aaaacaaaaa aaccaaagca ctgaagctaa
26941 gtacgtgtcc cagggctaca aaattataca tctcttagat ttaatggagc cacaaaccaa
27001 ggtacttaga atgaaaaaga tttccttcct tccttcctcc ttccttccct ccccctcccc
27061 cttccttcct tcctactttc tttcttcccc ttccttcctt ccttccttcc ttccttcctt
27121 ccttccttcc ttccttcctt ccttccttcc ttctttcttt ctttctttct ttctttcttt
27181 ctttctttct ttctttcttt ctttctttct ttcctttttc tttttttgat ggagtctcgc
27241 tctgtcgccc aggctggagt gcagtggcgc catctcggtt cactgcaagc tctgcctcca
27301 gggttcacgc cattctcctg cctcagcctc ctgagtagct gggactacag gcgcccgcca
27361 tcacacccgg ctaatttttt gtatttttag tagagatggg gtttcactgt gttggccagg
27421 atggtctcga tctcctgacc ttgtgatcta cccgcctcgg cctcccaaag tgctgggatt
27481 acaggcgtga gccaccactc ctggtctctc tctctctctc tctctctttc tttcttgttt
27541 ttctgagaca gagtcttgct cttgttaccc aggctggagt acaatggcac aatctcagcg
27601 cattgcaacc tctgcctccc gggttcaaac aattctcctg cctcagcctg ctgagtagct
27661 gggattacag atgcgcacca ccacgcctgg ctaattttta tatttttagt agagacgggg
27721 tttcaccatt ttggccaggc tggtctcgaa ctcctgacct cgtgatcacc tgccttggcc
27781 tcccaaagtg ctgggattat aggcatgagc caccgcacct ggctaagatt tgtattttag
27841 aaagaatttt acttattttg taattgatag ttggtatgga ttgagtattt gtgctccctt
27901 gaaagcccta tgttaaagcc ctgatcccca gtgtgatggt atttggaggt gaggtctttg
27961 gagataatta gggttagatt aggtcaggag ggtggggcct tcatgatgtc ctcattaaaa
28021 gactacRaga caggagacca tgtgaggata cagctagatg tctacaagcc gggaagcagg
28081 ccctcaccag atgtcaaatt tttcagtacc ttgattttgg gctttccagc ctccagaact
28141 gtgagaaata aatttctgtt gtgtataagc cacccagtct atggtacttt gttatggcag
28201 cccaattgac taagatactg gagtggtatt atagaacagt gttataacct ccttgaattg
28261 cagtgctagt tggaggacta aactctagga ggcagtgttg catattctga agaaattgtt
28321 ctttctaact ctcctaagaa cacacagtgt gaccttagac cagccacttt ccagccttga
28381 gccttcgagt cctcatccgt gatgggaagg aaatagattg gacatacttt aagtttctca
28441 gtcaatgcta acatctgtaa tcaattcagt gtgcaagatg atgttaattt gcctagatct
28501 tttttcatct aatattcacc tttatgttta tttacccaat gtcctcactg ttggtgcaga
28561 gtaaattcta tctggaacca ctgcttagga ttgctgtctc agtggaaaat aatatctttc
28621 tttctccaga tgtcattgtt ttcctctttt taattcctta cctttcctac aatccagaat
28681 tgtaagaaaa caaatattag aataatattt gaccaaatat ctgggcatta tggcccagcc
28741 aagtcgacac ataaaattag ccatcacata gtaccgacta cttatgcttt gcttttctaa
28801 aagtgttcta tatgctttat ctaagtgttc tatatgcttg atataagaaa tgctgaggcc
28861 tggagggatt gaaatggctt gtccaaggtc acacaataag tggcaccatg ggacaaaacc
28921 ccaggtcctg ttattctgca tcccatgctc tttctccctc atcctgctgc ttctccagag
28981 ttggcagtta ccaggagcat gtcattcatg gtgatttgta cctggctgtg aaaggccctc
29041 tggatcagag gcacaatcac tgacagtctg atttggaatc cttggtcttg tgacacaaaa
29101 cacaatcagc cctagctcgg atggacggtt ttgagaaggt gtgagttttt ccttttgctt
29161 tgcttttttt tcattgttgc aagcaatttg gcttcctgat gtctattttt tcatttctca
29221 gccatgacaa aggccatggt gatgagttgc ttctgtgagg tattgaccat cccttgtact
29281 cgggatcaat tcactgggtc cagctcacag aaagacgttR cagacagatt actggcaata
29341 aatgtgaaca aagccacaat gatggaaata catctaagtt tctcctgggc tcttttgctt
29401 tatttaccta ttgacttttc agcaccatgt ctttcagatg tgtctaggaa atgcctcgta
29461 tatctcctta ctagcattag tcacaactat cagctgacaa tgaattttgt cctaggttgt
29521 tgggagttgc catgatgctt aaggactcta tggaataaaa gagggagagt atctttggaa
29581 gtttaatttg gttgacctgg gaggacgtct taggagtaaa ataagatcca cattagcaca
29641 tgataaaatg gccctRttgt tctgtggagc gtttttttct ttttttcttc tttttttttt
29701 tttttttgag atggagtctc actctgttgc ccaggctgga gtgcactggc atgatctcgg
29761 ctcactgcaa cctccacctc ctgggttcaa gcaattctcc tgcctcagcc tcctgagtag
29821 ctgggactac aagcacaagc cactatgcct ggctaatttt tgtattttca gtagagatgg
29881 gggtttcacc atgctggcca ggctggtctt ggactcctga cctcaggtga tcctcctgcc 29941 ttggcctccc aaagtgctgg gattacaggt gtgagccact gtgcctggcc tggagcagtt
30001 ttttccttgg gaagccaaat ggtagtagag ttagtttcaa ctaaaccctg cctttggttc
30061 agtgggagcc agtaacattg aaacatgtga tgtctgggcc ttggcaacca tcaagacaaa
30121 attcaatttg ccctagaatt ttcacactca ggggaaacac acatgcgcac atacacacac
30181 atcaaaagaa agtttgccaa aggttcgggg tagcaggagg gacaagggga aaagctttca
30241 tttaagaaca gtcatgaatg gttagcatat gaaaggtatc acaccaggtc ctgggcctgc
30301 agcctctgta gcctcacaga gctcatggtc tccRaaaggc aaattcaaca aatatttatt
30361 aaggtcctac tgtgtgttag acacggaatg aaatgtccca tcctatttgg tgccatcaca
30421 gaacttcagt ccaatagggc ataggtgctg tgatagggga gacagaggat atggaattct
30481 gtagcctgcc ctggcctgga aagcatggga aagctttcta gataaagtga catcagagcc
30541 gccctcttaa ggatgtgtag aagtcaacca aatggaggcc atttttgggc atggtggttt
30601 caYtcaggag aaaaacaaac gttttggttg gaagagatac gaggccattg gtagaactga
30661 aatacaggca gataggctgg aaaaggcgag tacaaagcga ggctggggaa tggctggggc
30721 aggaggaggg gagtggtgag aggtgaggct gaggagggga ccaggggcca gagctggggt
30781 gccttgtatg ccatattgag gaatttgggc ttcgctttta gtcttttgaa agattttaag
30841 atttttaaaa attatgaatg aaacaatgag gcctgaggct ttgaaagttc actctgtctg
30901 caatttgctg tgatatgtcc tttaatatag attgcccaat tgcccagaga gtacttctag
30961 agcatactcg aggatgcaga agcaaggtaa agggatgtgg ggacaggcgg ggctgtgtct
31021 gttgccatca gcagctctgg gctccctctt gggaactctg tggcactcct ggtaccttct
31081 ctgatgtctc tgtcatccat gatagtcgta tgctcctggc cttc'agggtg gaggctgtca
31141 ccgccctctc tgtgattttg atcacagttt acgtctggct tgccgccccg aatctttggc
31201 aaactttctt ttgatgtgtg tatgtgcgcg tgcatgtttt ccctgagtgt gaatattcga
31261 gggcaaattg aattttgtct tgatggttgt caagccactg cagattcaga tacttccctc
31321 actgctggct tctctacaaa tccagcagct tctgtcttgg tgcctgccaa cacccagtga
31381 agcagtgaag aggcaagtcc agagcctcag tgaggagact cagctcaaag atgaaaagca
31441 cactcctgtt ctctccctgt tctatttgtt actggcaaag tcttacttgc tggggtagta
31501 acagaaactt gctgcctgga gactgacagg cttgaatgct ggttctgctg cctgatagct
31561 atgtggcttt gagaaggcaa tgtgaacctt cctgaacctc agaccttttt tttttttttt
31621 tttttttgag acagtctcgc tctatcaccc aggctggagt gcagtggtgc aatcttggct
31681 cactgcaagc tccaccttct gggttcacgc cattctcctg cctcagcctc ctgagtagct
31741 gggactaaag gtgcacgcca ccacacacgg ctaatttttt gtatttttaa tacagacggg
31801 gtttcaccat gttagccagg atggtctcga tctcttgacc ttgtgatccg cttgccttgg
31861 cctcccaaag tgctgggatt acaggcgtga gccaccgcgc ccggccccct cagactttca
31921 tctgtaaata atgactgaca ctgcatggtt gctgtgagac tagtaggtgc accataaata
31981 ggtcaaagaa aacaacagga tcaaaggcaa agctgtcgct ggtagtgacc ttgaggagaa
32041 aataagttgg catctctgtc tttatttgat gatttcttct tataataaca ctttcaatat
32101 tttaattaaa tttcattttt tcaactattg tccagatatt tttgccttgg agtttttaaa
32161 gtgtaggctg gagtacagtg gtgtgatctt ggctcactac aacctccacc tcccaggttc
32221 aagagattct tgtccctcag cctcctgagt agctgggatt acaggcgtgc accaccaggc
32281 ctagctacct cttgtatttt cagtagagat ggggtttcac catgttggct agttgacctc
32341 aaatgatctg cccaccttgg cctcccaaag tgctgggatt acaggtgtga gccactacac
32401 ccggtcaaga gtgtcgaatg ttgattgaca acagtaagcc taaggttagt ccttggaatt
32461 gtcattgttg ctcagagacc ttgtgattat ggtactggca gtaacgggat ctggaatatt
32521 actaaacggt aatatgggag agagggctga tactatgaag aggtcctgag ataaaattct
32581 aggatatgtt gttgtattag ttaggatacc agctgaaatg ctataacaaa gggaccccca
32641 aatccagtgt cacacaaKtc atgaaacagg tccagggtca gggggtggct cctgtcatcc
32701 tcaacacgtg gcttccaaga tcgctccagt cacccatctc tcagacagca ggaatgcaga
32761 aagggagcgc cacagcttct ccttccagga gatgatctgc aaattgcacc tgtcatgctt
32821 tgctcacatt ctattgccca aatgtagtca cttgtgatcc atagaatgga tactgggaga
32881 caattagtag actttgctac aggtagccaa tagcccagcc tgcagagtca cgtcagatat
32941 gaaatcccaa agttcctcct gactattggc aacaacaatc actaactgct actacaaaaa
33001 ggtaaaacaa aaatgaactt acactttcaa aatatcattc atgtatatta aacaaatact
33061 tcttgagtgt ctacccagtg ccagacagtg gtctaggttc tgggaggtac agcatcgtgg
33121 gccacatggt tagaagctga gtgttcσtaa caaggaggct gattttgctg ctctactttg
33181 cactggttaa aaaaaaaatt ccacctccca cccatcaaat atggggagta ctgtgcttgc
33241 ttctgggtgc acatttgagt aggaccattt atgacaccgc cagcagagac agatcaggac
33301 agtggaagga ctcaagatca tcagatgtaa agaacaattt gattcttggt ttggcaaggt
33361 ttggtctcaa gaaacggtgt gtgtgtgtgc acgcgtgtgt gtgtgtgtgt gttgagggca
33421 tgtatagaag catcatactc ttcagatgtt tgaggcaggt cctgagcagg caggaggatg
33481 gactacttag gtgtggaccc acaggcagaa tcagaaccag tgggatctgg ctgtcagggg
33541 acagcttttc actcaacatg gagaaggcct ctaaagagtg taatgtccca gcatgcagtg
33601 tgttgtctca ggaagggtga attgtctttc actaaaggga ttccagctgg atgaatcttg
33661 gcaggatgat tgtagagaga attctaccac acaacaaggc actgaaccag gtgacacaaa
33721 aatttccttc tcacctcaag gttctaagaa cagaaggtca gtgacatgaa gacctactgt
33781 gaatgcattt actccaacca accgggagcc agtgggtatc agcagcctct gaggtctatt 33841 ccttgatgtc ttgcagatga agaggctctc cattccacat tccccactga tttgaagaga
33901 ttctccatgt tggtcaggct ggtctcgaac tcctgacctc aggtgatcca cctgcctcgg
33961 cctcccaaag tgctgggatt acagacgtga gccaccgtgc caggcccata tccccctcct
34021 gataagaccc tcagctgcca atttcttgga ttctgtcttt ggtaagcaat ccatttagaa
34081 ggggagattt taaacattaa caagagctta aagaaataat taaagtgtgt gtgcttgtgt
34141 attatcttgg actcagggat gcagaacccc ccgcccataa gaaaggctgt ttctactcaa
34201 aagcccctct gtgctttgaa gcatcttcct ctaaagtttc tcatattcaa gtccctccct
34261 ggtgcctggg actggcgggg ctggcaatgc catctggaca aggcgctcta aggcgtgtgg
34321 ggtttcctgc aggccctgct tccaggagta acctgactga tgcatgggtc actcctgggt
34381 ctggtgcggt gttttgtttt tttcaacata ctgatttgga atgactcaaa ttatttacac
34441 acacaggggc tctgcatacg ttaggggcag ccctgatcgc cccagccctg tccatccatg
34501 tcccaagcct ccttccccag aggcaatgac aagtgcatct gagaatcttc agtcgccctc
34561 agggatgaac atagcttcca cccttggttt cagatggatt gaagcggagg ctctcatctg
34621 ggccttttga ggctcgccat gctaagtgct gccacctgga ggcagcgtgg agaaaccctc
34681 gctggtgttc ctcccttggc ctttgcttct gccacgtgta gtttgttata cgctgttttt
34741 atcaaatcgg tccaaggtag gagatttaag aaataatgtc catagatatt tgacttcgca
34801 aaatagtcac ttatatactt tcagggaaga aacattaaaa attatgaaat ctgaggaggg
34861 ggaaggagag gaaaaaaaat cccaaatgtt ttgctccaaa gtctggccca ttttattaac
34921 taatattaaa aatagttaat aattattgag tcataacttt gcatcagacc ccatattaat
34981 agctttatct tcacaatttc atttaatttt tcaaacaacc tgacgaggaa ggttctggca
35041 ttaacacaat tttgtagttg atgaaattga ggttaaggga tgttcggtag cttgctcaag
35101 gtcttacagc tagtaagtgt ttgagcccga ctagagcagt gcctcagctc ttaatcacca
35161 tactatttaa taatatgatg atataaacat gatggcaagt atgtattgtg tatgctatat
35221 ggctagctgt gtaatatgag tttattaata cccacaaaaa taggtattac tattatctcc
35281 atttcatttg tgagaaaacc aagtcacaga aaggttaagt aacttgtcac caaaagtggt
35341 ctatccaaga tttgaatcca tgaaatctaa gtccaaagct catattccac tttttttttt
35401 tttttttttg agagagagaa tctcgctctg tcacccaggc tggagtgcca tggtgcaatc
35461 ttagcttact gtaacctctg ccgcctgggt tcaagtgatt cttctgcctc agcttcctga
35521 gtagctggga ttacaggcac ctgccaccaa gcctggctaa tttttttggt atttttagta
35581 gagatggggt tttgtcatgt tggccaggct gctctccaac tcctgacctc aggtgatctg
35641 cccaccttgg cctcccaaag tgttgggatt acaggcgtga gccaccatac ccggcccaaa
35701 gctcatattc ttacttttat gttcaaagac ctcacttctt cacaaatgtt gaccaggcca
35761 tgtttgaaat ttggttttat atgtggaata tgtaatatgt tttttatgtg gaatgtatat
35821 ataaaacata tataaaaaca tatataaaaa tatgttttat atgtggaatg taaaatcaga
35881 gctcataaac caggcacagt ggcatatcgc agtagtccca gctactcaag aggctgaggt
35941 gggaggatca cttgagtcca ggagctcagg gccagcctgg gcagcatagc aagatccatc
36001 aagatccatc tctaggaaaa acaaacaaac aaacaaaaaa caagaagaac ttactcccct
36061 ggtatactgt ggaccacaga ccatagaaag tacacattgt ctgctgaaaa atacgtagag
36121 aagatacctg gctggtaccc agccagcagg tgttatggat gcagggcggc agtgatgccc
36181 atgccaccct gtatctgctc ttttaggttc taggaggccc tgagggaggg ggattgtgtg
36241 tatcagtttt agatgtcacc accaactctg aacagctctg aatcctagga cacatactta
36301 tatctgattt ttactgcatg tttttgtttt gttttgtttt ttggagacag tctcacttca
36361 tcacccaggc tgaagcacag tggcgtgatc atagctcact gccgccttga ccccctaggc
36421 tcaggccatc ctcctgtctt agctttctga gtagctggga ctataggcac atgccagcat
36481 gcctggttaa tttttaagtt tttttttgtg tgtgtggaga tggggtctta ctatgttgcc
36541 caggtgggtc tcaaactcct ggcctcaagc aatcctcttg ccttggcctc ttaatgttgg
36601 gattacaggt gtgagccact gtgccccacc ctacgctgca tgtttcagtg gggtaacaac
36661 agagtgggat ttgcaaaaac tgtgtgtggg agagacatcg actcccttag ccttgggtac
36721 tggaggtgag gcagctgcag agaactgcac tggtggctgg ggggccatac cccatcgacc
36781 ttgatggaac agctgaagga cacggttgtt tccactctga cgctggcttt ctgctctttg
36841 ctctcaaacg cctcagtgct ccttccacag gctctctgag tatcacttga aatattcaga
36901 ggaaagtggc tctaaacttt atgttggcca aacacaaagc cagtgcccat cacggaaaga
36961 actcaagaac atgggcatat tcttgcctct tatatttgac gttttgccta actccagtct
37021 tttatcaact tttggactta taacttttag aagttttatt tcccctgcag tgagggggct
37081 tgatcttgtc cttagtcatc tctcccacca gcaggattta ccaactctgg cttagctgtt
37141 tcttcctcca cttactggct tgcctttgtc cttaggagag taaagctggc tttaacacat
37201 tccatatccc aggctgggca cagtggtgca cgcctgtaat cccagcactt tgggaggcca
37261 aggtgggcag atcacttgag gccaggagtg gcctggccag catggtgaaa ctccgtctct
37321 actaaaaata caaaaattag ccgggtatgg tggggcatgc ttgtaatccc agcgactcag
37381 aaggccgagg cacgagaatc acttgaaccc aggaggcaga ggttgcagtg tgatgagatt
37441 gtgccactga acaccagcct gggtgacaga gtgagactcc atctcaaacc cctgtacccc
37501 catccccccc aaaaaaaccc attccaaatc ttttcatctc ctctctctgt ggagtgctct
37561 ctgttgctca gcgctccatg cccattgctg tggagctgac ctgggagtga ctgatggctc
37621 ctgaggctga aggatggaaa tagcaggagg gctcctggct gccccgcctg tggcaagagc
37681 caaccagcct gccaggtacc gtgaacagca gctgtggcta tacaaccctg aatgaagagg 37741 ctcgagtttc ctgagtggga atggcatggc aatgacatgc tgttcctgag ttgtctggga
37801 tctgacatct ctgccagacc tgctgccaat ggggcctggt gaagcagggt tggttggtgc
37861 tgggagtccc cgcgggttgg atgatttaca ctgtcatcca gccaggggga acaccatgac
37921 tgtgtacttc acccagagag gcaggtcaac aagagaaaag catgcaggtt taacgtgtct
37981 gagtgatagc acggggctgc tggaagttta tagaagtgag cagaaagatg atctgagaac
38041 tttaacttct gtattttctt atgctttccc tgagtgcatt tgtggaactc acagtggttg
38101 aggtcttcat ggagccggtg atgctttagt aaaagaagta caaactcaag atacctatga
38161 gagccaggta ggcaacaaat gagtgaagca ggcctagtgt aggacaatag ggagtggcgg
38221 agactgcagt aaattggagc atgttggcca aaaaaacaga gctatctgaa aatcagattc
38281 agactaccag ccaccttccc actgcagacc aaaattgtat atctaattgt gtttcagact
38341 gctaaattaa gaaacttatt agtaaacatt attttgctta atgtaaaaaa aaagacaaaa
38401 actagattca gtaaaattgc tttaagcgct tctgctgttc cacttttcat catggaaact
38461 ggtacttctg gaatgcccca gtttaaaccc ttgagtgagt aataccatat gtgaagggtg
38521 ggccctaaag tcagcacaca taacactggt agagtgaaaa ttaccattaa aatctcctgg
38581 gaaggtacca tgttgggcat taataaagtg catttcttag gaactccaca tgcctggatg
38641 ctaaaaagtg gagaatgttt ttcagttgag cagcagatga gattgttggc ttgtgtttag
38701 gagccaagtt gttttgaaag attcgagtgt tgtaccttta accaccagga tcactcttag
38761 cacactggaa ttgaggctga gggagtggga tttttatatc ttccatcttc cactcattct
38821 taggcatctg tttcctgggg agaaggggag aagggagaat ggtcttttct ttctacacgt
38881 atacaggtgc ttctcttttc ttcgccaaac tcacagagtt gaattcacat aggccaccac
38941 acatttaatg taatttcagt gttctgaagc atggtcccag aacctaaaaa cctcacatgt
39001 gtacaaagaa gaaggaattg ctggtcttgc attggatctt cagatgtgtt tcaggcaccc
39061 aaaccagctt tgactaatga caaagtacca tcccatatca tacccaagag tttaagttgt
39121 tgccagtgaa gcaagggagc aggaggggag caggtacaac tgtagggaat gtatttatag
39181 agaaataagc tctagggttg ggctatatcc ttcagggaag tcacatattt gcctcatggt
39241 ttatgtgcag gcctgatttt gaaacgcaac tctgctaatt Rtcagctctg tgacatggat
39301 acagtagttt atttccccaa accccagttt ccttacctat aaaatggaca tagagctact
39361 tcacagctcg ttaagagaat taaatgtgct aagtaattgt tataacttta aaaaaatttc
39421 ttttagcata atttggctct gttgttttac ttggtctttt agaaggaaaa gtttatttga
39481 aataggggga ggaggattgt aagaggtttt agtgagagtt gttttaataa gtttttgtat
39541 taattttttg gcaYagggta tgatgcagta ttttatgaga ataagtaact ctattttaat
39601 ggctagagag atgaggattg aggacataag gtttttttat ttactgaacc aattttttat
39661 taaatttgtg aagggattgt ttagttcaga atttttggct agcttatttg ataggacagt
39721 aagattctgt aatgctttag ttatggttcc actgggagta atgttgttag gcatRtaagt
39781 acagcattgg gttttgatta tgacacaaac tccactttct tttgctagta gtatgtttaa
39841 tgctatttta gttttccagg ccatttgact ggcaggtcct aattgtttag ctatttttta
39901 .aaatagtatt tttagtataa ttgataaatc attgctgatt gtaatacatg taatttattc
39961 aatttacatt tttatttaca gttaactatt agaagaatgt agattcaaat ccatcagcta
40021 tttggttttg ggccttaaat ttatttgata cttttcttgg gacttcaatg gcatttatat
40081 aaatatgaga attgaagaac ctatgggggg cctcttttct ttgatgatat ttggtWttta
40141 ttttttctgg ttgatgaaat gccagggtga aagggatggc caattgaatt acagcacaaa
40201 ttttgctcta gttatttggc agagtgttca gtattggttt attataatat taccacacat
40261 ccgctagagg atggctaagg gcagactgat gagtaaggtt ttggaagggc taaagctcac
40321 tgagtttttg ttaaggctcc caggaacgct aagttttttc cccaaaccct agtttcctta
40381 cctataaaat gggcatagag atacttcaca gcttgttaag agaattaaat gtgataaggt
40441 atggacagca cttactgcag taactgccac ctaataggtt caataaatgt tggtttccca
40501 aggttcctcc atggacctca aagggtaagt cggcagaggt ggttgagtgg ttacggtgat
40561 tgctgattga ctgttcatca gttgtgtgct gcaaacataa ctttctatcc taacctagtt
40621 aactgttaca gatgcggtgt ggaatagcag aatcagcaat gagcctaggg gacctgtgtt
40681 caaatcccag attgaaattt taattgttgt gtaacctgta gcaagttatt taccttttct
40741 atattcctcc tatttaatgg gtaatagggc tttgtagctg tcgtgaggac cgattgaagt
40801 gatatatata aaacaccagg cacatcctaa gtacccaata gttgtaaccc tccctttcct
40861 gacctcactc tcctttttct ttcaccattt aggtcaattt tctaatgttc atcacaaccg
40921 tctctttctt cctcctccag gtatagaatc tccagatatg ttactggtac cagcatttga
40981 gaaggattta tttatttatt tgagatggag tctcgctctg tcacccaggc tggagtgctg
41041 tggcatgatc tcggctcact gcaacctctg cccccSaggt tcaagtgatt ttcctgcctc
41101 agcctctcga gtagctggga ttacaggtgc ctgccaccat gctcagctaa ttttttgtat
41161 ttttagtaga gatggggttt tgccatgttg gccaggatgg tctcaaactc ctgacctcaa
41221 gtgacccacσ agtctcagcc tcccaaggtg ttgggattac aggcgtgagc caccgtgcct
41281 ggccttgaga gggattttaa atcacttagt ctaaccattc atttagagat gagctaaagg
41341 aagtccagag tattcaagta acttgactga gatcacacag ctaagtttgt ggttatactt
41401 gattgagatt ttcaggtcta ctaactttgg atctagatct gatttggttt tatttattta
41461 tttttttctt tccttcaagc atccatgcac ctaatttttt ttttttgata tggtcagaca
41521 cttttctaat ccctggagat gcactggttg aaaaagccag tgaatggagc ttacatccca
41581 gtggaaaggc ctggctgcct tctaaggcaa gtgggcacat gtctcatttc cactgtaccc 41641 atgagaaggg cattgtccca cctggcccct caccagctaa acctttttcc ctgcagagca
41701 tcaggggcac atagcctctg catcagggcc agggggagca aaaccatgtt gaagagagat
41761 gaatgaatgt gacagaaatc tgcctgtctt cctccattct ttagttatga aagtaatcgg
41821 gttccatttt tatttggaaa aaatgactga ttgaaagtgt tttctaatct tggttgtgct
41881 tttcctttgg agtcagtagg gtccagtaaa catgtggatt aataccaagc ttatcattag
41941 aattgaagat gccgccactt ccagaaagtt ttgttccttg gggaataaaa aaaaagatga
42001 gattcattca cttctgaacc catctgcaac catccaagca tggcagctga tttctaagga
42061 cagaaccaag gagggcagta aacactcagt attcacccat ctttgaggcg taaaggggag
42121 taaagactta gactgtaggt ccagagcaga cctcagcaag taagaacaag tgatgctggc
42181 catttggtgt aagcctccac ctttgctgat cccaggctct aaatagaatt tgattgtgga
42241 ctccatctct ctgaatttgc tcctgccttc ttctgagtgt tgaaggatcc tgaactatca
42301 tctccgtttc tccttaaaca acagctcctt aagtagcagg ctttactctt gcagtttagt
42361 gtgatacaag agttggccKa tttttagtYg gcttttgtgc aaatgagtgc tatgccccaa
42421 gctctgaaag gggaaacgtc accactcaca ggtagcagaa gggcaggcat ttggaaggaa
42481 gttagtattc agtggggagg agctggagtt ttatttcttt tcttccactc atatgaccct
42541 ctttctcccc tctttcagat gctgtttgtt tcataccagt gtatctaatt tgcaaaaaat
42601 atgtagaact tatgaaaggt tgtttagtag atggggggat aattggctca ctctatggag
42661 aaaaaaacaa caaaacttat ccctacttaa cactgtaaag gaaataggac aaaaaatgta
42721 ggcgaatatc atgggagagg gatggggaag gatttctcat acaaaacttc aaaagcataa
42781 aacaaaaaaa ttgatgaatt tgattatatt aaattaagga tttctattca acaaatacca
42841 tggatacttt taatagacac acaaaggatc agaaaagacc accacaatgt ctgaaaccaa
42901 caagggtcta ttattagtct agaaaaagaa ggaactcctg aaaatcaaca agaaaagtac
42961 agWaactcca ttagataaaa aagcaaagaa gttgaaaagg caattttcag aagaagagtc
43021 ctaaaaggat gcRcaggcac atgaagagat gcttaatggc attagtaatg agactaatgt
43081 caattaaaca acaattaggc atccctttac atttttcaga ctggaaaaaa cagatagtga
43141 ggcgatgcca agcttggggt tggggaaagg gatgtagaga tgcaaggaca cttctggagg
43201 tcaatctgtt cgtgggtcta caccccaaag aaactcttct Rtggatccct aggttctctg
43261 gagggagatc cctagggtct ctggagggag gtggaggcaa ttgggacagt atgtaagtga
43321 gatatgagac atcctggagt atgcagcggc tagaagcaat tggggcagta gataagattt
43381 acaagaggga atttgggggg atctgaaaaa catagtacta agtgaaaaat aaacagatga
43441 gacctatact acaaaagcat ttgcacacaa aactatgcat tttataagaa tgtatacaag
43501 caaagggctt catgttaaac aaactgaaat agttRggatg gggaacggga ttgtggatga
43561 agaaaacaaa ctcaggggca aacatgaatg aacttcagaa ggcatgttct tatttctcag
43621 gacctgcaga gagagtggca gatccattag ggaggatggg aKggacagaa cttcccggac
43681 actcagcttt agcggaatgc ctgacWctca atagttgctt aatgtttcat gaatgactat
43741 gaatacaagt ccaactggtg acatcatcca ggatttcacc aattccttga tgttattctc
43801 ctggaagtct gaggcagagg aatccatgag tttgcttggc ccagggaagg tagtaaactg
43861 acccaatSct ttgtaactat tttctacaaa aaagtccttt ctacataaag taccaaatta
43921 catgtctaga agatacagtt tgttcagtcc tcagaaagac acatataaaa gctgaagcta
4398]! gatcagttgt ctatccacag tctagcagct tattggcaca agttcttcaa taatattggt
44041 aagaatttat tattattatt tgagacagac ttgctctgtt gcccaggctg gagtgcagta
44101 gcatgatctc agttcactgc aacctctgcc tcccgggttc aagtgattcc cgtgcctcag
44161 cctcccaaga gctgggatta oacgtgtgcg ccaccacgcc cggctaattt ttgtactttt
44221 ttttagtaga gacacgattt tgccatgtta gccaggctag tctcaaactc ctgacctcaa
44281 gcgacctgcc cgccttggcc tcccaaagtg ctgggattat tggcatgagc cactgtgccg
44341 gatttgttgt cactctttat ataaagtata atctaaggaa attacaatca tgccagcaat
44401 ggcatttagc tactcttact ggtaggagcc attcaaggaa tctaagcatg aacctcgggg
44461 ttcaaatctg atttttctga atttgagata tcagatcctc tatcatcaag ggagaaatgg
44521 taattacttc acagcttgta catagaatag gaatttagcc tgttgctggg ctaatctgtt
44581 ctcttctagt tctatttctt cctctagctc atctcttatc attaatctcc ttgatggttg
44641 tctcattttt accttcttat tggcctaaat cagctttctc aaacttggta tattgggcca
44701 aatagttgtg gacgtctgtc ctgtgccttg taggatgttt agcagcattt ctggcctcta
44761 cccactagat gccagaaata ctccccagcc tgacaactaa aattatctcc agacattgtc
44821 aaatatcttc tgggtgcaaa gccatctctg gctgagagcc actggcctag acaaaaaacc
44881 tggaacgcac cagcgctttt gtgcaaaacc cattttagaa acgttcttat ttgttttctg
44941 gatacaagat acaacattcc ctttgctgct tctggcaaat gtctaaaatt agaagatcag
45001 agatgattct aggtaaccac ctggccacat ctacctgtgg caaaaggaag gtttgagtcc
45061 actttctgaa ttaactcaga gacaaaacaa aataaaacac aaaaacgtaa tctccaaact
45121 gaattaatta tttgagcaaa tgtggttttt gggtctctat tttacaggga aattggtgca
45181 ttttccat.tt gccatggcca ggcatgagct gactgcacag gtggaggtga tgaagagaga
45241 gagtttggag agaggtgaat gtttgttagg attctgtctc tcaagctttg ccagtgaata
45301 ggaatatttt ttctgggttt tgtaaatttg caaaaagaga atgatcctgg tattcttgaa
45361 ttggttcttt cgactcagtg gccacatgag tggaaaagcc tgtcccaaaa attaaggtcc
45421 atagaactaa aaaaacaaaa aagcatgcaa aagtattgag gacctatctg acatagttca
45481 acaagacaaa atgaggaaat ccttggttgt tactgttaat agcccagcac atcagaaaat 45541 gtttgttgtt gatcatgtag atgattgtga taagagaggg gcagggggaa ttaggtttca
45601 acctgctctt gottaggagt ttttacagtt gtagttgttc tttctaatta actgatccag
45661 gaccaggttt agggagatta gatacctcaa gagggtcttc taactttgaa ccaggggttc
45721 taaatcctct agatttatag tggagaaaac agaagcaact acttttctcc agttccatgt
45781 tttgattgag gggatggaga cacataatgg gttagaggag gaattcattg ccatggtgat
45841 gaggcctggg atatggtgga cagtgaagaa ctatgacaaa aaacactgca gagaaagaag
45901 atgtgggagg agttgggaag catatgaaag gaaaaaaaaa ccaagagaga aatgactaga
45961 ttaataattt ggaagcttaa tggtgtgtgt cttagaagaa aagttttctg agccaggcac
46021 agtggtgcat gtctgtaagc cccagcttct ccggaggctg agacaggcag atctcttgag
46081 ctagggagtt caaggccagc ctgggcaaca tagcaggact tgtctctaaa aaaagaagga
46141 aagcttcctg aatgaaagag gctagaatcc tgtagaataa gtagatcctg gcaaacaagt
46201 gactaaatga ggaagagagg aagggctttt tctgaagttc atagtgaatc catgggaaca
46261 ttaatcccca gtcatgcttg ccatccatac agtgctgctg cattcccagc ctcctctcac
46321 gatgcctcat gaagggcaag tgaaatgagc cagaaaagag cccattttat agatgagaat
46381 aagaagttca gaagaacgca gacttgttca aatttgtaaa ggaaaacact ggttttcctt
46441 atcccattat aactcatggc cacttgggct cagtagattc tcagagagta gattttatga
46501 cattaagagc tcagaaaaat gacttaaaat ggaatcaaac agggtgtggt ggctcatgcc
46561 tataatccca gcactttggg aggccaagat gggtggatca cttgaggtca ggagttcaag
46621 accagcctgg ccaacatggt gaaaccctgt ctctactaaa aatacaaaaa aattagccag
46681 gtgtgatggc gggtccctgt aatccaagct actcgggaga ctgaggcagg agaattgctt
46741 aaacccagga ggtggaggtt gcagtgagca gagattgtgc cactgcactc cagctctggg
46801 cgacaaagtg agactctgtc tcaaaaaaaa aagaaaaaaa aaaaaagaaa gaaaaaaatt
46861 gaattgattt ttctggagaa gaaggaagct agaggcgaaa acaccaaaaa caagaggagt
46921 atttctaaga tttaaacaaa tctttacttt catggcaaat tttacatttc tccattccat
46981 ttaaaatatt ttccatagct tagctgaacc aggctgaaag tggatgtctg gagtggtgga
47041 ggcgatacac catgaagtag acaggacaat aaaggaaggg gagataacag ccttctttgt
47101 tttgctgggt gccagtcatt ctctaaaatt cttggaaaat tgagaaaaag ttagtgggcc
47161 atttccttac tgaactacaa accccagcat cagggcagag ttatctctac aaagcaggga
47221 gagaacgcaa caaatagagc ttggcctcac cgcactctct ggcttttgga tcacatttaa
47281 tgtgagagag ttgagcctgt tcttggaatg ggcaaactca aaagattaag ccaccaggcc
47341 atgtgaccat tcatccaggt gggtgaaggt tccaggactc agggaaaaag gagctaggca
47401 ggcaatgaaa tcaggtacat gagaagaaat cattttgttt ttttcaaccg tggtctgtgt
47461 tgagtaaaaa ctcattttag aattaataga gaatttcttc atctgctctg agcaattgct
47521 ggtttgattt tatagctgaa ttcaaccaca cgggctcatt gagcatgtca taatttagtt
47581 ttcattgcaa gaagaaaatg agagtctatc tcaaattttg aagaaatatt gaggaaatta
47641 aaaaattatc tggataaaag tgcataaggg gcgtgtggaa gcagagataa atgaacactg
47701 ccagcccttc ataaatgtat tattatattt gtgtataatt tatcaccttg gatttaggaa
47761 tgaaaactga ttatgtttca aaagcagcta agtagaaact tacttgaatt tgagcaacag
47821 acagagctaa agagaagaga atagacagac tgaaattgaa atacccaaga aaatagcatt
47881 aagagcctgg tgactgggag aaggttaggg atcctgcctt ctagaagtgt tatattggct
47941 cttgatccca tagtctatac gtagtgcttt gggaataacg gggctttccc agatgctaac
48001 actaccaacc aacatagaga accatcaagg tatagcattt cctctaatat tatttctttt
48061 cagtcctttg agaaaagtca gttaaagtaa atgtcattgt tgtcatgcag cttggaggcc
48121 tgggagatat gaggtcttgt gaaaatgtgc taatttgaac attgcgtatc aggaggagtt
48181 ggtgaaggga aggagggtcc tgccaacttt tttctgtcat gaaaaatgaa gaggactatg
48241 ggtggtactc caagctggag caatgccctt ctctatgaat gcataaaaga cgcaSgtaga
48301 cttgagcggg gaggacccag agaggccctt gaggctggag agatttagcc tgaatctgtg
48361 agttgggcat gcctcccttg gggcatoctc cagaatgctg ggcaaattgc tggcagattc
48421 agggccttac acatagcaca gggcagtgag aaagcatagt ggttaacagt gtgggctctt
48481 gagtcagata aacctgggtt tgaagatgaa cactgtcact tctcggctat gtgattttag
48541 gcaaatacct tacttctcta aagcctgttt ctctcgtctt taaaatggaa ataacagtat
48601 atcagtctca taagattcgc tgctgcctgg aacagtgtaa gMactcaata aatggtagtt
48661 ttgagggtta ttttatttct aaagccatat gtagtcaagt gccatcatat gacaaatggt
48721 aagtgcagca gtcgtaaggc atggcctagg cacttgggag cccaYgacaa acagctgtcc
48781 tgagagctcc ctgggaggag taccaacatc cgatccccat tatgcagctc tggaccccat
48841 tagcctccca gctccagtat cctgcccatt cccaaatgac ccgatagaca cagtaactgg
48901 tcccgtgttg cgacacgatt aggatttttg cataagagtt caagttaaac agatgtgagt
48961 catcttattc tttggttcca tagcatttgg ctatgcaaat ttcatattct cttggcttcg
49021 tttttctcca gtgcccaaca ccaaatagtg gaagcagaaa gaaatgtcaa tggctgcaag
49081 ggcacggggg gaaccatcac tcctatatgc cttccactgg aagtgagact ggaagggtat
49141 caggctggat ttgttgacac ctttgatgat tctgtaggag gctttgccaa tgtcttatat
49201 tttgaaattc atggcaagac ataagcaaca gatttggcaa gaggaaatat tataacctga
49261 aaaatgggac agattactag aaaagcagca caaccaggga gaagggaagg gaaaaaaagg
49321 atgacagaat aaaaggaaaa gagagaaaag taaaaaagga aattgaagag aattaagtgt
49381 tctggtgctg atgaagctta agaatcagga agtgataata acaataatag ttataaaagt 49441 aggaatgaga tggttagaaa gcctcaaaca aaaacgttag gaaggagggg atctttcagg 49501 cattaggtga tccatctcct ttctttatgg ctaaagaaaa aaagaaagag aaaaaagaag 49561 agaaatagag aaccctgcgt gtctgggcct ttgggtctag gggattggac tatgatctat 49621 gagactcttt ccacaactaa taatctatga atttataagt catgtatgtt tttcagattc 49681 ctttttttgg ttaagactta tttggctaaa tcactgtggt ctgtgtaact tctgatgaaa 49741 gccatgttgt gttggatgac gtgaatgcgt ttgatttttc gcagctctca aaaagtcagg 49801 atcataatgc ccttcaaagt tctaagtagc ttatacagtg tgatcatgtt ttttaaaaag 49861 tcgaccagcc ttcaggtatg tcctgggcct aatatgctgc ttttggggag gtaagaatct 49921 aggctagaac caggtcctag aacttggtgg cactcatttg ggtgattcct cagtttcctt 49981 gttcagctct atgatatctg tttccttggt gtccaggttt tccattaaat acagcatatc 50041 agaagagact cgagagccag ccacaatgtt gatcccactg atctctgagg atgtttctgt 50101 gtcaattaaa agagctggct gagagctcat ggggtctgga cttaggtttc ccagggaagt 50161 gtggctggac cccaggaatc ccggaagact ccaccttttt agaaaggtat caccagggtc 50221 ttcttcacag ttgaatatat tttcctcagc gctggctgaa actgtctggg gactggggcc 50281 tccaggaggt gtctccttct ctgagggaga caggatggat cccatggggc cctgctgctg 50341 ctcagtcttg cttggctgaa cccctgtaaa ctcagagctc aagatggagg tagcggaatc 50401 atggtggtag ccccctgatg tgggcactgg tgcttcggct gctgtgatca atacctcagg 50461 taccagtggc attttgatgg gggaagttct cacactggac tgtggggtca ggctctgtaa 50521 agtgcttgtc tggctggtct ccctgatggt ggacagctct cccatgctga agtgcagcgt 50581 ggggcttcct tctgggaagc aggatttctt ccaggtgggt gaggccctgg gggggtttct 50641 tgagggcaca tccagtaggt ccctggctgg gctgaggtca tctcggggta agaacatgga 50701 gctgtcactt gtctgcctcc tgtagcttct tcttctgggg ctggaggggt gttcgtgggc 50761 actcaggaac cgcttgactc ttcttatcat ggaatgccga tggccatgct tctcataatc 50821 ccacagccac tcctcgtcag gaaagtcgga cccagacagc ctgaaacaca caatgacaag 50881 atccaggcag agtagcttcg ggggcctagc tttgggggca gagtctcaaa gttaagagat 50941 gactttggta tttttgcctt atagattttt taaatggggg tttgaggact tgagatagtc 51001 tagcagaggc tcacacactt tttgatctca gatccctttt aaactcttaa aaattattgc 51061 gtatcccaaa gagatttgct tatgtgggtt atatctatta ctctttactg tatttaaaat 51121 tataactgtg gaatgtctga aacacaagca cgtacaagca cacattccgt tgactgctaa 51181 gtgatgacat caccacatat cttgtggcct ctggaaaatt ccactggaca ctcttgacag51241 aatgagaatg aaaaaggcaa ataacatgtt gtgctattat gaaaacattt ttgaccttca 51301 ggactctctg gagtggtctt agggatcccc agatatcccc agactacact ttgagaatca 51361 ccgatctaga gaottggaca ttaagaaata tctatatatc tatatctatg aatctatctg 51421 tctgtctgtc tatctatcta tctatctgtc atctagtata tgttctttct cccttagtac 51481 agttgaatta aggccaagtt tcccaaggac ccataaaacc ccccttaaca atggatcata 51541 ggtaaattca cgagcgtgcg atgcccagct cacatttatt gactatatac taaggcccag 51601 ctaagcacct cctatgcatt gattcattta gttatcacaa taattagatg agttggtatt 51661 agtattatat cattacaata cagtgaggta ttactgtatt actataaagt gaggtattag 51721 tatcctcact ttacaaatga ggaaactgag gcctggagag attcactaaa tgtacgtagc 51781 tagttagagc aaattcggaa gtctggctcc aagcccttgc tcctaatccc tttgatggaa 51841 agcctactac acaggggtca agggatgagc tagagcccag ggtggaatag tgagtaaagc 51901 acagtccttg ctcagaggta atttgtaaac attcctgata aggctttgca tttatgtctg 51961 tacaattagg gttaaaaaaa gagaaattgg aaccttgtgg aaaggatata ttcatccagt 52021 tagggtgaac ttgcatcgcg attgggctct gcttgtgata aaatttgatg gattggctac 52081 caagaatttc ctgctgaatt tctaccattt aaaaaataaa acaaataatt ctaccattta 52141 attagttaat ttatttattt gagacagagt cttactctgt cgcccaggct ggagtgtagt 52201 ggtgtgatct cggctcactg caacctctgt ctcccaggtt caagtgattc tcatgcctca 52261 gcctccccag tagctgggat tacaggtggg tgctaccaca cccagctaat ttttgtattt 52321 ttaatagaga gggagtttta ccatgttggc caggctggtc tcgaactcct gacctcaaat 52381 aatctgccca ccttgccctc ccaaagtgct gggattacag gcatgagcca ccacacttgg 52441 ccaaacctac cattttaaat ctccttcagg actgacataa aatgaataat tgaggtgaga 52501 taagcctgtt tggtagtttg gtctactctg gcctcggatt acatagttat ttgccacaca 52561 tctctgtgga attacagcct taatggggtt tgaagaacaa cttaaagcct tgcccttgaa 52621 ctacaaatgc tcatcatgct agctctggga gcaacagtaa ccagctggtc ccagtccact 52681 attggtagtg acatctctgg tgacaagatg ccgggtgcat tttatgtgac atgaaggaga 52741 acattgggac agtataatat tggtgtaact tgaaagggca aagcaagcag ccaaagaaac 52801 gtcgttcctc atgtttatga ataaaacatg gatgactgag atgattaact ggctgaatgt 52861 ccYgggacgg cgttcgatta caaccttgtg ctgtttttct aaagcctcag cagcgccctt 52921 ggctaccRga tagccttctg acccaccctc cactgtgtga gggtcagatt ctattacatc 52981 gacttgagaa atgcagactc atgcttcagt ggccttggtg accctgctgg gtggattgca 53041 tttggtcagc tctccagtca cactccacag gcacccattt agttagggag gaggacacca 53101 gaggagccac aagtgaactt gttcactaac acagccactc tggatgtgtt ctgggaatca 53161 aggacaagct ggcaWtctct ctatatagga caggcgtctg tcttccattt gggatctcaa 53221 ctatttattt aggatttgtt tttttaaact acctctaaag gttgcaatct tgtaagaaag 53281 acagtcttct aggaaaaaag tttatatttt taatacttca aactttgtga ctcaaaagac 53341 aaaaacctta tgccctggta taggacatat gtattatacc ttcaactgca gcaagaggta 53401 taaactcctg ggtcatagat gggggaaaat agacaagttg caacaagcaa actgcaaaac 53461 gtctggtgct cttgctatgt tggactgatt cataactgac attgggtagg tctgccaaga 53521 agaccctatt gtaccttcct ggctcataag actatggagt agatgcatga ggtttatctg 53581 tttattcacc cgactaaatt tattgagcac ttatcataaa caatttgttg cattaggtac 53641 cttttaaatt atcacttaaa aggagagaga agacatataa ataaatattt acatttgggg 53701 caaagcaagt ttttgagcta ggctttgaca ctgagtggga attggatgga tagaaaaggg 53761 acagagcatt ccaggtgaaa gaagtgactt gaacaaataa ggcagcagga aagtttaggg 53821 tgtttgtgag aaataggaga tacttgaatc tgtgtgaaac acacagaaaa gtgtcaggcc 53881 taggctggaa agaggtcctt ggaccgtgcc atgaagagtc gtataccagg ttgtgggatg 53941 tgaactttat ccYggagaca gagggcagct gtggattgtc tttgagaatg gagggcattg 54001 ctagggttgt gtggtgtggg taggggtgtc catggtggaa gggtacacaa aaagcaacgt 54061 tgatgactgc tttagataag aaacatgact tgaaaacttt tcactccttt agtctgaaac 54121 agggtcttta gaagcacgct tggtgatcag tgctctgggg ggcagtttta agtatcttac 54181 actgagtggt gaatgatgcc ctccaggtct taatgctgta acagagcagt agggaaactc 54241 cccagcatga caaacctaaa gacatttctt ctaaatgctt ccatggaaga tctcattgcc 54301 aacacacact gttcatctcc tcctttctct ggtagccact attcccaata tgacagcaga 54361 agctgtgctt taagaacaaa atagtttaaa atagaatacg tatatattta tttatttaga 54421 gacaaagcct cactctgtga cccaggctgg agtgcagtgg cacaatcatg gctcactgta 54481 gccttgacct cttgggctaa agtgatcatc cYaccttagc ctcccaagta actaggaccg 54541 tgggcgtgca ccaccatgcc tggctaattt tttatttttg gtagagatgg ggtctcccta 54601 tgttgcccag gctggtcttg aactcctggc ctcaagtggt cctcctgtct tggcttccca 54661 aagtgttggg attataggcg agagccacca cactcagcct tagaatagtt tgaaagagta 54721 tttcccaaat gggaggctgg agtataaatt ttagtttctt ttattttttt ttttatgctc 54781 cttatttgat atttaaagtg tcctcttagt ctagggttag tacaatcctg aggctcaata 54841 taataccact taaccaacta atagcagaaa tattatacga tagaataaaa gtaccctcat 54901 tatattccta tgtattaggg agagtcagct gaaaaagcta ggttttatRt tctggaactt 54961 atttggactg agagaggcag gtaattagag ataggaggac attcatgRaa agtgtcatgc 55021 ggccatcagt ttccagggat aaaatttgag cactgtctct gtggtgggaa aaataattta 55081 ttttgagagc ttgcagagcc aggattgctg tgtctatgct gacaccaacc agctgtgtga 55141 tctttgggga ctcatttaat ctcttgtgac ttagcatoat tcttggtaag ctggtgataa 55201 ttatccttta cctgcctttt aggttgtttg aaagttcaaa aggggtgacc tgtgtagaaa 55261 agctttgaaa gtagaagatg taaaaaggac tctgtcaatg actggcaaac tttcagaagt 55321 ggtttccaag ttatcattga cttctcagac agggttggag gagatgataa tgtgtgtctg55381 aaggtcactc ccttttcttc ttcaagattg tccttttaaa aatgttacta cacctaggag 55441 atatcactta acaacacctt caaaagggat gacttagcca tttaatgata agccatttaa 55501 tgatagggca ctgggtgggt gaagaggaaa tataagaact ggaagaagct gggttatttg 55561 agggaaggaa gagaggtctg ctccaatggt gaaaattgtg gagacagact gccctgacct 55621 tgcctctcaa tattgttttt ttttgtgcca ttttccaaac atcatcaaac cctgcaatac 55681 acacttattg tgcaatagaa accatcaata caaaaatata gaaaacatga gaatgagaac 55741 ggttgtgtca catattggtc tatttttgaa agggagaaga gtaaaagaag gagaaagaga 55801 aaaggttatc ttaagccagt caggctggtt agttatagtt gagtccagaa gaagggagag 55861 catgcattat ttccacaggt taggtagatg tctggattaa aattatttta atctcaagtg 55921 ttaataaaaa acccaaattt caaaatacat atggaatacc tacacaaaca tcagccccat 55981 ggtttccctt gcaaatgaca aatatccaag ggcataagca gccatgattt aattagaaac 56041 tttaaaagat gcttgggctg gtcaggggtg cagaagaaca tgcttcaccc tctgctgcca 56101 taacaaagag gcaagaaaca ggctgatgaa gatgtcagca gactgccata cttgttgggg 56161 tgtgtctaat atagaaRgac aaaaatagcc ctgattgctt gaaggattta atgcatttct 56221 ccaaagaaag ctttttgcaa agcaaccccc ttctcacgag agtgattagg taaatataga 56281 gcttcaaaaa gattgaaaga taaaactgga tgatgcttgt ctctctttct ctgctctact 56341 tttgaagcgg tattttgaca atttWaattc gaataataag aggccttttt aacagaattg 56401 aaaKgaggaa tttaggaaaa tgatatttag tatgatgaat tctacttctc actgcagatt 56461 tattgttttc aaattgctag tgtactcaca gtcaggcgac tgccttggag ggagccgata 56521 atttgcctga gaatctatca gggcagagac atgtgtggag aagcattttt ttcatgggca 56581 aagcaaaatg tactcttcaa acccatctga ggcgcatgcg gctattttta accatctgca 56641 ctgcagaatc atcatcaaag ctgtagccaa ggatttataa aatgggcaag gcaaccctcc 56701 ctctgagctg ggaggtgtgg ggctaagggt tatgaggaaa atccagtgga ccaaatattg 56761 tattcatcca gcctccctca accctctttc aggtggacag ttccaagctc cagagcatcc 56821 tagaaggtag cccagaaagc tgcatttagg gctgatgacc ccactactac ccgtgttggc 56881 ctatctggtc attgaaccaa gggctttggc aaatctggtt gaagaagtgg cctcttgtgc 56941 ctttaaagag gcttatctag ctacatccta ccaccctggt tatgttctct Yggctcttgc 57001 tggctgacac aaaaagaagt tatggccaaa agtgggggtt cacttaaagt tccctcttta 57061 atattgttat attctatagg aattttgtta aaaaaggaaa tcaaKccatg tacacatctg 57121 ataccattta aagatgaaaa ctgattgccc atggtgacct cacatcacag tatgaaagaa 57181 tccttgagta agttctaaaa ttataaactt aatgcacatt catctccttg gaagtttcca 57241 tttctccttc ctttctggta cattaagtga aaaatcaatg ttcccagaat acacttttgt 57301 tgaagttagt aattcagaat ttgagatatt tttggtagtt tgtaatataa gcatgcaatt 57361 gtatgtatca gactacgtat tttcttgtaa agctaaaata tttgaatata gttgactaaa 57421 aaggattact aagtatcatc aacatagaag tatatttaac cacactttaa taaagtcttc 57481 actYactaaa atatgtattt tggtatattt gaattaatat cactaaaaat aWttctgacc 57541 tactgtataa ccctaaatat tttgtgcaca ttaagtacat ttgcatgttt gtataattac 57601 taaaaaatca tgttacatat tcgtagaact tttcgaataa agatagataa gtagaaatta 57661 ttatttctga caaagtttca tagtaccaaa tacgtcttaa ataaattcct caacccctag 57721 ccagaaggag ctctttaaaa ttttgaatat ttttcctctt tactaagtgg atccttaatt 57781 ggcttcatag accccctttt taagattatt atatatgtga gaacattttg acataattat 57841 ttgaattata gcagaagagc ccaataaaac aaagctcttt aaatgggatt acagtcagca 57901 gtttaaagtt taoaggcttg gagcatgctt ttagattagc aagacagtta gagcaagcac 57961 tctggacaca cttgagtgat ccatttcata agcagttaca gcctctcttc tccagaattt 58021 caaatccttt agctgttatg aatggatagt ttgttagggt ttttccaaKg cccttaaggg 58081 attatcttct ttactgttgg Rtgttttgat tttcaagata ggactaaagg gcattatgag 58141 acttcaggtc ttaaatttct gtgtttcatt cctcagagtc ttaaacattt gtgttaatgg 58201 gtaatcccaa gtaattgaaa gatagtaaga attttgaagt gacttatgat gatataatgt 58261 gaagacaggc attctaactc tacctcaagc cagttgtgac aggatagttc tggaccttga 58321 tttttgttca tttKttttta aaaattattt tcagcaacac tggcttgaat ttaagcattt 58381 aaaatttctt tgggtaaagt tatttttatc atgcatgtgt ttattattgt cccaggaaaa 58441 ctcattatta cattagggtt tgggtatact tcctcgctgt gcatcttaca tacaatgttc 58501 ttttggctac ttgtgggtgt tttctcgatc ttggttaata gcatctccat agttaagcta 58561 atgaaaagat gccttaatta aaacgcagat caaggctggg tacggtggct cccaccagta 58621 atcccaacac tttgggaggc cttggtggga ggatctcttg agatcaggag ttcaagacca 58681 gagtgggtaa catagccaga tctttgcctc ttaaaaaaaa agccaggcat ggtgtcatgc 58741 acttgtagtc ccagctactc aggaggctga ggcagga'aga tcgcttgagc ctaggagttc 58801 gaggctgcag tgagctgtga ttgcaccact gtacactcca tcctgggtga cagagggagt 58861 ccctgtctca aaaatacaaa agRcaaaaac caaacaaaag caagaacaaa actccagcag 58921 attagaaagg attccgcagt attacaaaag aacaagcaaa acagagtcaa ctgaagggat 58981 cccacatgag ataatggtaa aagaattcac acaagaaata ctttttcatt gcttattaac 59041 tcataaaatg gcaaagtgta gattactggc catgcaataa ttatcactat ttagtaaatg 59101 ctcaagactg gcatatttat gaaagcattt ctattttggg gactgcattc agatttttaa 59161 ctggcctttt ttcatttgga gtgttgattt tgaagctgat ttttaacatg ccccatgcaa 59221 agatcaagag acggaacttc agcactggtt tggtgttaaa gcttataaaa tgcaatttta 59281 aaacagtagc tctttggtcc cagattaKac agagaaagat gagctctgtt aaagcttcct 59341 ttagattaag acacgatgac tagatgaagc aagaacattg gttcctgctt tcctggctgc 59401 acaggcacca tctccccctc tccccttact gtatccaact tcaactgctt ccctgtagct 59461 caggcactgg gacctccccc cgccacccgg ggccagttct gtgWcttctt taggaccttg 59521 ctctgtdatc cccccttgct cctgtgtctt tcctctcttc cagtgggctc cttttgctca 59581 gcctgtcttt tttccttcct ttttocaaac aaggagagtt gttaatttgt ttctttatca 59641 catcttgctt catcttacaa aggatttgat gtggccttct ggaaatacat acaatgcaat 59701 aatattatat actatatcta acatataaaa tattatattt atatattata taaatatata 59761 taatataaaa aatcaagcca atatagtaga ggtagaataa gaaacaatga taaaagatac 59821 agactctaga aatacattcc aaaaaaatcc cattccacag acttagtaaa ggtaggctac 59881 aaatttgatt gtcagcttcc cagcagccaa aatgaaaagg aaaccatcat taattataca 59941 attataaagt ttgtaagata aatagcgtaa gatttgccca gaagaggcaa agctttcttt 60001 cttcgccacc aacatctgaa atgcatttcc tcctgtgagt cctctgctaa aagggatgcc 60061 aagtcacaca gtggacagca ctacagcgaa caccagaggg agtcttaatg gctctgtcca 60121 aacaaggcca gggtacagca gcaaagtgaa attcagtaaa agggatgcca agtcacacag 60181 tggacagcac tacagcgaac accagaggga gtcttaatgg ctctgtccaa acaaggccag 60241 ggtaσagcag caaagtgaaa ttcagtaaaa gggatgccaa gtcacacagt ggacagctct 60301 acagcgaaca ccagagggag tcttaatggc tctgtccaaa caaggccagg gtacagcagc 60361 aaagtgaaat tcagtatagg tggtgacgat aattctaagg aggccaaggt gggcggatca 60421 cttgaggtca gcagttcaag accagcctgg ccaacatggt gaaaccccgt ctctactaaa 60481 aatacaaaaa ttagctgggt gtggtggtgc acgcctgtaa tcccagctac ttgggaggct 60541 gaggcagggg aattgcttga acccgggaag tggaggttgc agtgagctga gatcatgcca 60601 ctgcactcca gcctgggtga cagagagaga ccttgtctac aaaacaaaac aaaacacaaa 60661 aaaacaaaca aaaaaaaagg caagtaaaaa atatgccatt agccttactg aagacaaaac 60721 aaaaaagcca tccctagaag tctgaattga ggagggaaac agaccagagt ccctgtctct 60781 tagtgaatac agtctggtct atttacccca tcaattcaga cttctcaaaa acatagtcca 60841 tggatactta atgaattgag gaattatatg cgttttgggt ttgttttatt tttgtttttt 60901 taagtatgaa aatggcatta tgatctattt gctttaccat gatcaaatgg tggggaagat 60961 aaaggcgggt ggagaatgaa acaagactgg ccgtaacttg ataattgaag Kggtgatggg π51O21 tacatggagc tttttcatag cttgttctct acctttggaa ctgcttaaac ttcttttttt 61081 ttctgagaca aggtctcgct ctgtcaccca aactgtagtg cagtggcatg agcttggcta 61141 actgcaacct tcccctcctg ggttcaagtg attctcctgc ttcagcctcc caRatagctg
61201 ggactacagg tgtgcaccac catgccggct aatttttgta tttttggtgg agatgggttt
61261 catcatgttg gccaggttgg tctctaactt ctggcctcaa gtgatctgcc tgccttggcc
61321 tcccaaagtg ctgggattac aggcgtgggc catcatgtct ggcccggttt gaatttttct
61381 acaataaaat tattttttaa aaacagctta cactggcaat ttgaccttct tacttatcaa
61441 tcacttctaa cctactatgg tttaatttct accccacact ctcacttaag cctctgatga
61501 ccctaacatg caaaacctat ggcatgcttt tcaggcttta tttggaaact ttgtaccttt
61561 ggcctcttgg cagggcattt tctgggttac tctgcatcta tattgaccat tcctactctg
61621 actacccttt tcctctgacc accctttcag taatagtatt ctacccttcg tattctgctc
61681 tgtttccttg atactgttct gattgctccc acccactctt tggttctacg tactgatacc
61741 agtaaaatgc atcttctgtc cctggactca ctgcatgctg gccatctcca tgtgaattgc
61801 ccatagaggc ctcaaattca acacatgcaa aagggagagc tcataatctt ttccttagag
61861 cagtttcacc cttacactct ctcatctttg gtttattacc gttcttcact ccttctcctt
61921 tcttgaatct gtcccttctg tcacctctac cgtctacatc ccttgtgata cacctacttc
61981 aggcccttat cctctcctgt ttaaatgaca acagcctgct aactctggct ctggtcttat
62041 cctcagctat ctgtctttca gccagctgcc aggctaatct ctccaaagca aaaatgtgac
62101 cctgtcactt aatagctttg aataRtggct gaaaccctta cctggcctat aaaaccctcc
62161 atcttctccc ttgcctcctc tccagattca tttcttggct cttctgcttt gcctatcaaa
62221 ttgttactct gagtatacta tttattattc ctttctgtct ttgcccatat tggcctgaaa
62281 tgWgccctct gctgaatccc ctcaattcta tctgtgcact ggctcctaat tcattctttt
62341 tttctttttt tgagatggag ttttgctctt cactcttgtc gcccaggctg gagtataacg
62401 gtgcgatctY ggttcactgc aacctcctct gcctcctgga ttcaagcgat tctcctgcct
62461 cagcctcctg agtagctggg attacaggct gtgccaccat gctcagctaa ttttgtattt
62521 gtagtagaga ctgggtttca ccatgttggc caggctggtc togaactgct gacctcaact
62581 gatccacctg cctcagcctc ccaaagtgct gggattacag gcatgagcca ccatgcccgc
62641 ctcctaactc attcttaaRg atgcatatta gagtccctga ctccaagagg ctttctttga
62701 gtcaccaggc tgggtgaagt gtgtcttcat tgcgtgtgtt cccataaggc tgagcgtttc
62761 tccactgtag catttaccac attgtaatgt cacttttctc caccttacat ctgtgagctt
62821 gggaggtgtt tttttctttt ctttttttga ctacctctag catctggcat agaacctacc
62881 tcatagtagg ccctgaaaaa gatttaccag aataaataaa cgagcacatt ctgtatgtga
62941 gggtccaagg gaaaatatat tttaaatttg tgcttaagat agaaagaagg aaaattaatt
63001 tatttgagtt atatatattt .ggtaaatatg cagaaaatag ggccatgttt tgaacatgtc
63061 ccttaatata gagaataaag acattgtctc caaggagttt ccttctgaag tggaaatgaa
63121 cagtgtgctg aatgtgaaca gcgctgttga atgtgctggc tgggagKcag gtcttcttgc
63181 aggtggccct tggagagtag tacttttgct ctgttcttga aggatattgc tttgatttta
63241 gaatatccgg gttatgggaa ttgtggctac aaacccaaaa cattgatatg aaaaggtaag
63301 gaaaatttga tttctgaatt aaatatgctg ggaacataca ccttaaagag aataagaaaa
63361 tttaaaaaaa tctcatccag gaaaggattt tatatggtca ccaagaggca ggcactttta
63421 taaaatgtaa tgcttgtgtc tacagcatct tgacacgtga tcttcactct catgcaaaga
63481 gctcattggc tcagtcagca ccaacaagac caccagtgct acagttctta acttttacct
63541 tccccttgcc cttagcctca gtcaggtggc tcatttgaca ttgaccttgt atttggtgag
63601 ggaaccattc attgcttagg gaattatctt ctatgatttt agagaacatc tattgttttt
63661 gctagcccag cgaaaccatt cacocttctg ataatagcac cctgcttttt cttgagatat
63721 cacatactcc atatggttgg acggggctga ctataaccct tggttcaaag atggacctat
63781 aaaccagcca tgaatagtca aaatattgtc tccctgttga tagtaattag ctcagaaatg
63841 gatatgtgag cccgagccca gtcagtcata gcaaatccat cacttcagtt tcaagagttg
63901 gaaaagagat gtgctctttc cataggttag ctgagaaggt aagctgtaag cctggagctt
63961 gccattttgc catttttgcc ctcaggatgg gagagcctgc ctgaaacctg agccagtgga
64021 gagaaaagca gacctgagag ggatggggca acagtgagtc ctggtgacat tctctgagcc
64081 tctggatcta gtgacaccca aagctaggct cgtctctgga tgtgaaacta taaacctcct
64141 ttagcttaag aaagtttgaa tttggttttc tgtcataggc aaccagaaac actttttcta
64201 ataccacaat cataggaaaa ataggcatta agaaatccaa agggggccat ttctatcaac
64261 tcagggcttc tgatcgccta ttttcctgca gtaaattttc ctggattgtg gtccacttta
64321 atggtcctca tttatacaga aaatcaagat caagtgagct tttgcctaat tgtttctttg
64381 aacaattggt tctagcagat cgagttaaac ctctcacaaa accctctccc aataggttct
64441 ggcctttgtc tgttcctctc tccatcctgc tggtaaatag gccattttag ttggaggact
64501 tctctctgac aactgataat tttttgctgc agttttaaat attgtacctc ctggttttct
64561 ctcagttgtt ttattttctg taccaaattt ccagggtaag tttaatatga agaatagctt
64621 aaagtgattt aatctttctc tgcttcagtt tgacatccac aaataaagct tgactaggtg
64681 ataataatca tcatgctcta tgattttata tagagcatct taatgtttac aatctcatct
64741 aatcttccca atgatctttt ggggaaggaa ttttctctga gatcttgtca atccctattt
64801 ctgtttctgt atttagaaac aagagaaatg tgttttaata tttgctaaag aacatgaaca
64861 tttatgtagt aatctgcaga attatgatga ttaggataaa taagtagRtc aggataaaaa
64921 ttttgagacc ttcaaaaaat tatcttaacc atggggtaac aacaactcaa tggacataag
64981 aaatagagtg tttggagcat ttgcagtcta aatagagtta tcacaatgat gctctgattc 65041 tatcagtatt gctggtctct tttcttttca agttaaatcg tcaagtactt tgcattaatc
65101 aatggtgaga gtgaggaaaa ggataaagca tatttaatta tctaaaatca aactcacaga
65161 agaacagctc ttattaattc tgaaaattga gatgattgct ggatRtccat gaagctctgc
65221 ccctgcagaa ggtatcatga aggctgagac atgcatacaa caagagattc ctatccatgg
65281 aaactgagaa tacactgagg gcagggatga gctctctggc ctggaaggag ccctgggtgg
65341 gtgggtctgg tcttagaagg ctagctagaa gcagaagcaa atctagcctg gagtaggcaa
65401 ccttctctaa gatgtgcttt gcgggcaaca aggcaaatct cctggctcct aaatcgttct
65461 cattatttgc tggaactact gaaattccaσ tttcagtctt ccttttcttt gggtctggaa
65521 aggttttcag cctcagaggc ccctttggaa gagaagtgcc aYaaaccatc actgatgggg
65581 attaggagac attcggcaaa gggaacaggg ttgaagcgag atctcctgaa agtagaagga
65641 ggagggcagg ccacttcagg gaggagggaa agaagggtca taggcagcaa ccacaggaca
65701 caaaoccact gcacaaatcc gcttacagca ggcctcaggg aactatgagc cacagtcttg
65761 ccaagaatta taagaaaaat tccacaaaag tttccccttt tgctacagtt tttttgtttt
65821 gttttgtttt gttttgtttt tgagtggaga gtttcttact ttctgaatta gtctgtgctt
65881 ttctctttaa tttacttgga aactgtggca totgccttca gcaaatatac ttaaacttct
65941 cccacattca cacacttctc caatatcaaa tacatgctca gacttaatga aattattata
66001 gaactgtacc tgatttactt caggcctcaa ctcatttatt taaagctcat tatacttagg
66061 ggtgattgct gtgttaaaac cactgaacag agactgactt acatactaag cctaggtaga
66121 aaaaaatgcc aaaaaaggta aaaagattag aacagtgatc tatctgttca tttcctagat
66181 attggagata tttattttaa ttttcgtgaa ttaattaatt atttttcttg agacagggct
66241 tcactttgtc acccaggctg gagtgcaatg gcacaatcac agctcactgc agccttgaac
66301 ccctgggctc aagcaatcct ccaactgcag cctccccaag tagctaggac tacaggtgac
66361 atcacagttg gctactttaa attattttat ttcttttttt ttttttatag agacaaggtc
66421 tcactatgtt gctcaggctg gaaaatatta gagatttttt aaaaatgcac ttaccccatc
66481 tggactgttg accccagaaa tgagggtatg cagtagtcag cagctgccaa tgtgtatggt
66541 gggcgagcag cagaatcgtc ccagtaaatg tccttcttca tcttgggtaa gctcatgtgc
66601 atttcgtcca cagctaaaag agagacctaa aatcattgtt atattgttag aataactcag
66661 atgtaaatta aataaaaagg agaagttttt ttgggcagat gagagttaga Ytgggctagg
66721 acacagtcta aatgagtgaa tatacaaatg tctgtagttc atacttgcca tgaccacagc
66781 tgccacagag agttgtatct gttgtttact actcgagagc acttggcgat gaggataagt
66841 ggggcttgaa gcctcccaca ctccgggatc aaaccacaca ctctagagtg gaRttgcctc
66901 ttagctggag ggaggggagc catcttttta ttctttgctc acaattgtgg tgttgtttta
66961 cctgatagca cctacttaac cccaaatatt acaggaaggt gaagattccg cttttcattc
67021 tgttaaccct gtaaacacat tttta'cttga catcacttct tatatgccct ggtttcttgt
67081 tcatttcttt gtttggaaaa acataacaag aagtctatac tgctcagtgc tatggtgctc
67141 tctcctcttg gctttgacaa agtgatgcat gaatacatta ttaatcctct gggattccaa
67201 ttttgacaaa gtgagtgacc taggcattat gcgtcctccc taagagactg acattgggat
67261 ctactgtgag atgtttgaac ttacttaact gccgagtaag ggcttgaaac aaatgaaaaa
67321 tgtgaaggcc ttcacaggga agagaatggt ctagggagag tcϊtgcctaa aaggaaaatt
67381 ccttagtgct gtttcttcat gaaaagctct ctggaatagt gcttcagggt aagKgccctg
67441 gggcccattt agtgcattYc atgcagattt gagacacaag ctggcatggc ccaggctccc
67501 agtgtccagc tggtggctat ctgactgctg ggattgacgt gataccactt tgggaactcc
67561 caccagcttg tgtctggatg ccattttaag tcactattaa cctctctggt tggcaacaga
67621 aaacagacta aagaacaatt taaaatactg ctctatgctg agatgaaaga ggctggaaaa
67681 agctaataga gggcttacaa agaaaattgg cttgaaattc tacttaaaag gaactaaatt
67741 tcactggagc tgaaatctcg gatgtgtaag cttctgaaag gacctgagac agcacagtgc
67801 acagccaagc ctctttcatt tgtggctaaa gctctgaagc caaggggtgt gcatttgaaa
67861 tctgcttaga tttgaaatat cgcaagtgat ttattattaa catttgaaaa agaaagaaaa
67921 attcctctaa cctgcaaatt tctgtcaatg caccagttag tttcaaaatc atcatcatct
67981 tctccaaaag ggttgataag ctgctctgct acctgtagtt gagaacataa aataaatcca
68041 tcatgatacc tgtgaaaact cagaatagag actgaagatg attcctgttt tcctctctgc
68101 ttccttgtgt gactttctaa taYgaagagt agaggggagt agattgttct accgagatat
68161 ttattagcga gcaagacatg attctcaaac catgaatgat gcaccttcgt aggtatgctc
68221 tccaaatgga tctgtccatt caactggtga caatgcaggc cctatcaggg gaagccatgt
68281 cctatttagg agccaaatca aatgactgaa tagtgaagga gaaccagcta tttgcaaggc
68341 actctgaagg gtacacaggc tatgctttca gggaattaca gggcccagat gataagacaa
68401 aatgtacaca gggagaaggt taaacagtaa agaaagactt aaatcacact taaagaaaat
68461 aatRtaagag gctttcacaa tttattttta tttttatttt tttagacagt gtctcgccct
68521 gttgcccagg ctggagtgca gtggcataat ctcggctcac tgcaaactct gcctcccagg
68581 ttcaagcaat tctcctgcct cagtctcctg agtagctggg actacaggcg agcactatca
68641 catccagcta atttttttgg attttttttc agtagagatg gggtttcacc atgttggcca
68701 ggctagtctt gaacccctga gctcaggtgt tctgcccttc tcgacctccc aaagtgttgg
68761 gattacaggt gtgagccact gtgcYtggcc gagctttcac agttattgaa cataactgct
68821 aagtaaatga gttagagagc tagtaagtcc taaagttgga aattgaggct tacctagttt
68881 ttaccctaaa ggatttactc ttatccagta agttagtttt cctgccggga aaatgttagg 68941 tagctattgt cacaaatctt ttaatatttg atcaatatta aatattctta tcatgttcct
69001 gaattgaata gccttcttga tgagaggttt atRtataaaa tacaactcat ctatcatttt
69061 ccttgttgaa aaatttccct tggtttttat tatctggaca tgcgtgcatg ctcgtgtgtR
69121 tgcgtgagag agagagacag ggagagagtt gggggagagg gagattttac attgagtcta
69181 gatggaaaaa aattttaaat gtgtaaaata aaggcaccat gtgattagtt tctagagtct
69241 aaacattcta gattctgaaa ctattcagta gaaaatctac ctacttatct tttaggattt
69301 aagtcaacgt attaatactt agagca'gtgt ttttcaacct tggctgcaca ttaaaatcac
69361 ccgaggagct. cttaaaaaaa cccgattgat gcctgggtcc ctccccgaga gattctgatt
69421 taagcagtgt gaggttgagg ccaggcatca gtgtcaggta aagctcccag aggattttca
69481 tatgtggctc ttattttaag tgcctttcct tgggcaggtc tgtgccctga atcagtaagc
69541 ctcacagtga tatctatgtt gaagttcttg tcactagttc catggggcta tctgcccttt
69601 cttgcctgga gatttactta gattaattaa gggtactggt tgagtcctga aacctatttt
69661 tattccatcc agattttcat ttttatgcaa tcagtcctgc atgtattatc gtagtctaca
69721 ttaaattgac aaaatggcat gtatgattct gaattgacca atctcaaaat atatctttta
69781 ttccactggg ggctgcattt tcagcaagta actgagtgat atactattca taaggttaag
69841 atagcttttc tgcacttaga aaacatttat aaatatccta attgttgaga tagaacagct
69901 gtttagaaat ggaggcacaa cccatggttt aggtttgcct tttttttttt tttttttttt
69961 ggagacagag tttcgctctt gttgcccagg ctggagtgca atggcttgat ctcggctcac
70021 cgcaacctcc gcctcccagg ttcaagtgat tctcctgcct cagcctccca aagtgctggg
70081 attacaggcg tgtgccacca cacccagcag gtttgcctat cctttaatgg agctaagatt
70141 gtgcctttta atattttgtc ttttaagatt tatttttttt attttagaca gggtcttgct
70201 ctgttaccca ggctggagtg cagtggtgtg aacatggctc actgcaccct cggcctcctg
70261 ggctcaagtg acccttccac ctcagcctcc cacgtatgtg ggactgcagg catgcgccac
70321 catgcctgct aatattttgt attttttttg tagagatggg gtttcgccat attgcctagg
70381 ctggtcttaa actcctgagc agtcctccta cctcagcctc ccaaagtgct ggggttacag
70441 gcatgagcca ccgcacctga ttttaaaaca gtttataaag gaaaaggatg taaatatttt
70501 agaaagcatg tcagagggaa ggaaccatta tctgctcttt atgggctggt caagcRcctt
70561 acatggagac aaaacaaaga ataaaaactt ggtgcaagtc aggggaaaga aagaaaagta
70621 ctttttgaga atgattattt gggccactgt ggtgatttta tatttataaa gctaaagtct
70681 actttttcct ctaatggaaa atgaaagtca ttagtctctt ctgctttctt gctcttacgc
70741 aggtagaaat aattaagaat cacagtaatc tgattaaaaa ttcttttgcc atttgtaagg
70801 gacttggctt tactctttgg agtataattt gaaatatcaa catattattt ttttttggtg
70861 aagagtoaaa ccaatgaaag gaaagScttc tgcagggaaa atttcactgc aacctgaagg
70921 ccccagtggg tcacgacaag gtatggctct ttggaaggcc aaacatttga aaattctact
70981 ttacgaatat catctgcata tcatcattgc ctttgaatga acttaatgaa gccattgtca
71041 ttgatttttt ttctatcaca tacttcccat ttggaagttt acagaggtga tggaagaatc
71101 aggtctctga tatttacaca catacatttg aggaggtggt ggtgaaggga ggggaagcaa
71161 ggaaaattct acacagatag ttaggcaaac cattctcacc tcctgaacct gtttaattcc
71221 ctggcaaacc agatgttgtc attgtttctg gtgtttctgg ttctgattct gatgaattct
71281 gagtctcagt tctggttttg aaaatggggt acatttagac caggcgcggt ggctcacgcc
71341 tgtaatcctc gggaggctga ggtaggagaa ttgcttcaac ctgggaggcg gaggttgcag
71401 tgagctgaga ttgcgttact gtactccatc ctggacgaca gaacaagact ctgtctcagg
71461 gaaagtaaaa aaaaaaaaaa gaaaatgggg tacacttaat gttgtgggac acctagcaga
71521 atttcaggga attgcaataa ctatagagtt gagcagaacc aagattctac tacaatatta
71581 atggttaagt ctgatttaca aggcttcttg ttgactcttt tactctgcct agttgcttgt
71641 tgtggtatac aatatcaatg caagtacact tactacttta gttacattat tataatccta
71701 atgggaacac acagagactt aaaagagaat caatagccat aagagtgttc ttctaatgtc
71761 tttgcacaaa tgagctgttt ctatccctgt cacttgaatc tctga,atctc tggcagaaaa
71821 gtaataacat tgctgagcca ttacatgtta aatctacctt tgactcactc atgaatgatt
71881 tgctaaagac tcagtaaagg attagtgtgg agagtctgga acataacaca ttacaaagtg
71941 gggccctgag accactggct accttaagcc atcctgcata gaagaagaat tgtaggaggg
72001 tgaagatggg aatgtaaaga tccaagtcat gccctgcgta gcctttggtg ggatccaaaa
72061 actggcgtcc aatcaggcac gcaaagaaga aggtatagac agcaagagtg acaacctgga
72121 acagagagag aocagagtga ggggacagtg ctggcctccc gcagcgaagc tacagtgcca
72181 aggtaggcaa gtagaaataa agaattccRt gaaaagtatt tcttacctgg gtgtaaacca
72241 gcggaatccc aacccagtca taaccgaata agaggctgca ccaagagcgg tatcgattca
72301 tttcctaagc cagaaacaga tcaagcatga tttactaaga tgacgggtgt ggtaataagt
72361 acttactggg actcagaatg tgagcatgtc ttttacagga ctgactgtaa ggctagtaaa
72421 ctgattccca aggatactcc aaaaggaaag ttctaaaaat gacaatcaat caatgaacat
72481 cattggagca atgagtttgt tgacaagtac atttggacat tttaaaaaat attaaaataa
72541 gtcatggcca ggtgtggtgg ctcatgccta taatcccagσ acttagggag gccgaggcag
72601 gaggatctct tgagcccagt agtttgagat aagcctgggc aacatagaaa gacattgttt
72661 ctacaaaaaa tacataaatt agctgggctt ggtggcacac gcctgtagtc ccagttactc
72721 cagaggctga ggtgggagaa tcacttgagt acaaaaggtc aagcctgcag tgagccatgR
72781 ttgtgccact atgctgcatg tagcctggac aacagagtga gactctattt ccaaaaaaaa 72841 aggacttcat agaaatatcc ccccgccatt ctattgaacc cataatttcc aacatgtata
72901 ttggcccaaa gtcatggtga gaaggaaatt gttaatgttt taaataagta atttttatcg
72961 attttggtag gtaatctgga aagcaaattt tttgtttctc tcattttaaa acatgcttac
73021 Ygtagatctt agaaaagaga tataattact cctgtttcct cccacaaatg gagactataa
73081 cactcatatt gatagaaaat ctatctctga agcaggaagg acaggaKtct ttgatttttt
73141 tcatcgattg cacaaagtta ttatggaaga ctagggaaaa gagttcacat caatttgggc
73201 gctattttta aacaattcac ttccgttagc ctaatccagg gaggggactg tcatggcaca
73261 aatataccca gcccYtatat aaaaaaaatt tttttcagat gatttcaggg ttattttgat
73321 taatgaaaat actattttac ttactagagt atcKgaaagg ctggcttaac ctcgcgatat
73381 tccagttttg gggaaatatt aggctgggga ggtttatttc tcctccaggt ttttttcaag
73441 gatcctggag ccaggtatgg caaatatact acatgggcac catagctttt cgagcccttg
73501 gcgacccttg gctaatcaat caaggaatac tttcttacag agcctattac aaagcatgat
73561 tctgtttaaa acRcagcttc caaggaacca tttccaagca acctgagttt aacctgtgta
73621 ccacctctgt cctgcatgtt gagaggtctg acactagtcc aatctttoca gttcctctgg
73681 aaccaggact gaacaaagct gactcttcct ggtctaacgt gttatatcca ggtccttctt
73741 ggtctStaat tagcgtattt ttcttatgat ttatgatata cttacagtca tcaatgattg
73801 cagatcaaca ctgtctctga ttctaccttc attccgggct ttagttgcaa gatttccaaa
73861 ccagatgaat ggaacccaat atttcagatg aggagacttg aggtggttga ataatttcct
73921 ttcatctgtt gtcataaaac ctttacaaaa aaataaaaat cggtaggtat acagacttag
73981 tttgacacta atacgttacc atatttcagc atctatataa aagcatataa tgaggggata
74041 ttaaagaaat atggaataaa gcttcctgtc tcaagtagtt tatacttgca ttagagttaa
74101 ggaatgtgtg tgtgtgagcg cacatgcaca cacacataca tatacatgca cacccacaag
74161 ttatataaaa tccctgatag agKaggccat taggaggtaa ggagacatta aatgtgaact
74221 agaacatttg gggaaatttc ttctttaggt tttggtttag tcatctaaag ttgggaacca
74281 taatacttgg aattgttacg attaaaataa taaaatatga taacgtatat aaagcacttg
74341 gcatagtgcc gaacacatga ctcacatgac ttttctcctg atctctcctt tccaagtcct
74401 acttaatcat gtcctcctct ctgaagcctt ccttgagtcc ttctttctct ttcctgaggg
74461 atttcttccc tttaaagttc ccacatggta ctcgctcttg gcttgcatca tagtaatatt
74521 acacataaat gtttccctta ctatgaccct tttgaagggc aaagagtata ttaatgttca
74581 tcgtccccat agcattttgc acatacttta aaattgtttc tttgWggcag ggtgcagtgg
74641 ctcacgccct taatcccagc actttgggag gccaaggtgg gtggatcact tgaggtcagg
74701 agttcaacac gagcctggcc aacatggtga aaccccatct ctactaaaaa tacaaaaatt
74761 agccgggcat ggtggcacac gcctgtaatc ccagctgctg gggaggctca ggcatgaaaa
74821 tcgcttgaac ccaggaagcg gaggttgcag tgagctgaga tcgtgccact gcactccagc
74881 ccaggctata gagcgagact gtctcccctg ccccaaaaaa agggtttctt ggtgtgtgtg
74941 tgtgcatgtg tgtatgcatg cgtgtgtgtg tgtgtgtgtg tgtgtaaaat gcaatttgct
75001 tgggcttgca gtgaactctc tgagcctcaa ttttctcatc tgtaaaagag agataatatt
75061 tgcttcacag ggatgttgta gaattacctg agatgatgaa catgtgtcaa gatgttattt
75121 agcataaYgc ttagcacaca cttagcaccc acaaagcact aaggtatatt atgtgaaact
75181 ttaattttcc tctgcctWct cctccctccc caaacaccaa gggaagggga gattgaatga
75241 ctgaataaga ggaataaggt aacaggttta tttaataaac atttattgaa ggcctgctat
75301 ataccagggt ttgtttgcaa caagatgcac tttaaaactt acagtttaca cttgatcttY
75361 tttttttttt ttttagatgg agtcttgctc tgtcacccag gctggagtgc agtggcgcga
75421 tctcagctca ctgcaagctc tgcctccagg gttcaggcca ttctcctgcc tcagcctccc
75481 gagcagctgg gactacaggc acctgccacc acgcccggct aagtttttgt atttttagta
75541 gagacggggt ttcaccatgt tagccaggat gtctcaatct cctgacctcg tgatccgccc
75601 tcctcggcct cccaaattgc tgggattaca ggcgtgagcc accgccccta gccgatcttt
75661 tctttttaaa aattttgact gaataattca aatggtacaa aaatcccaaa gggccaaagg
75721 actgttagtg gagaaagtct ccttttccca gccataaaRt ttccctccct ggaggaaatc
75781 acgatgatct gtttattgtg tatctttcca gagaaRtctc atggattttc atacaggcct
75841 atttttaaaa acacaaatga ttttatacta catatgtatc tgccatttgc ttctattttt
75901 caggtatatc ttgaagattt aaaaaattaa tatatagaga gcagcagcat tccttttaat
75961 ggctgctctc tatatattaa cattaattaa tagttaatag tatataatat tttatttagc
76021 tagttccttt ttgaatagac atttaagaca tttaagttgt tttttatttt tttgctacta
76081 aaaataatgc tgtaatgact ctcctggtat ttaccccctt ggctcWttaa gtagctttta
76141 aatgttaatt atgatttaat ataaatagtg ttttctgaat taaaacttac ttctaaaact
76201 gatttttatt agatattaat ttttgagttt ttttttctca gaaatgcaat catttgctta
76261 tggaattctg atactacatt cagacgaaaa tcaacttttg ccctaatata acacattttt
76321 ctatctttaa ccatctRtaa tcagttaaca aatctggttg tcctatttaa ggtaatcctt
76381 ttgccgggtg cagtggctca tgcctataat cccagcactt tgggaggccc aggcaggagg
76441 attacttagg ccaggagttt gtgaccagcc tgggcaatat agcaagactt catctctaat
76501 aaataaattw aaaaaatcct ccctccttat gatgcaggcc aaattttatt taagaggtag
76561 tgtttcagta aaaaaaatgt caaaggagga gtgaggtatg cccattttta gagtcatcaa
76621 tttatagagc tttggtgttc tctagatctt tgaYgtgact taggccgttg ttcttaagaa
76681 taagatccaa aggccatagg tctgaatcac ctgtgatatc tattaaatat ggagaggcct 76741 ggaccccgac cctgactact aaatcagact cagtagggca ggagttctca acccaagtct
76801 gYaccttaga atctcataag gggactttta gaaaatacca atggcagcaa ggcgtggtgg
76861 ctcacgcctg taatcccagc actttgggag gccgaggcgg gtggatcact tgaggtcagg
76921 agttcgagac cagcctgacc aacatggtga aacccagtct ctactaaaat tacaaaaatt
76981 agccgggtgt agtggtaggg acctgtaatc ccagctgctt gggaggctga ggcaggagag
77041 ttgcttgaac ccgggaatgc agaggttgca gtgagccgag attgtgccat tgcactccag
77101 cctgggtgac agagtgagac tccgtctcaa aaaaaaaaaa aaaaagaaga aaataccaat
77161 ggctgggtct tatatcctta gagattctga ttcaattgaY ctaggatgag gccaggcatc
77221 agcattcttt taaattttcc tgggtgattt aatagaattg ggtctaggca gttgcatatt
77281 taccaagctg tgcagaaaat tctgacacat agtggtgttt gaaaatcact gtcccactaa
77341 ctgaaggttc tgtttattca ggatttgaaa taaacaaagt aacaactaca aagccaatat
77401 ttaccaacag gagactagtt ttagataaca cttgggttat ttatactagc ttagaagggt
77461 tctctccatg cctggagaat ggtactctcc ctggaagtgt aaaataaaaa tgagcttggt
77521 gattctcttc ttgtttctca gtgcatctca gagttgttgc acaatctaaa aMatctgttt
77581 tgttgtttgt tttttaaaga attgcagagc atgattaaWt tttttttttc aatttttaat
77641 gggacagagt ctccgtctgt catccagact ggagtgcagt ggtgtgatct ttggctcact
77701 gcagcctcaa cctcctgggc tcaagcaatc cYtccacctc tgcctcctga gtagctgggt
77761 ctactggcgc atgccactat gctgggctaa tttttgtatt ttttgtagag actgggtttc
77821 accatgttgc caggctggtc ttgaacttcc tgggctcaag tgatctgccc accttggcct
77881 cccaaagtgc tgggattaca gctatgtgYc actgtgcctg gccagttaaa tcttattgga
77941 tgaagttaat agataaactt gatctgtctt ggctttatgc ttaaagactt gctgtagcct
78001 attctcacat attccatatc aattgtctaa cagttatatt cttgagacat atagtgcaat
78061 tttaaaaaat gatotcattt atatattggc ttcaatctct gtcacttgac caaagaataa
78121 ctttatctct ggttattttt tattcagaag catggatcaa attgtgctag caagtccttt
78181 cttagcttct aagcagaaag caaatatgca gagtgagggt ttatttggtg caaacactaa
78241 agcaagagat tgaaagagga caagtagagc aagaagagct ggtgattttg tttttagcac
78301 aaatttattg agtattttgc tgggYgctgt gaaagatgaa tgacaatcac tgagacatta
78361 atgtatcctc taagaatata taagcagaat aatttttgtt attccttgca gggtcacaca
78421 tcttacttat ccaaagtgtg aaaggaaaat atcttgggtc cccaaaatca ctaagctaaa
78481 gggaaaagtc aagttgggaa ctgcttacgg catacatgcc tcccattcta ttaaagtcat
78541 tgctccRttc actgagataa atgcatatct gattgcctcc tttggagaga ctaatcagaa
78601 acccagaaga atgcaaccat ttgtctctta cctacctatg acccggaagc cccctcccca
78661 ctttgagtca tctctggctt ttccagactg aaccaatgtt tatcttacat atgttgatcg
78721 atgtctcatg tcttcctaca atgcataaaa ccaaactgtt ctgaccgctt tgggcacaYg
78781 tcatcaggac cacctgaggc tgtgtcacgg gtgcacatcc tcaaccttgg caaaataaac
78841 tttctaaatt aactgagacc tgtctcagat tttgggggtt cacaaaagta actccacctt
78901 tggaaatcaa agtYggtcaa ctgaaagaaa atctctaggt tgttggtcaa gtccattcca
78961 aaagtatttg ttatgaaatg gaatgtcacc ctcatcagga cttcaagcca ttttaagcag
79021 agaccaatat ttttttcaga atatgatcat tattgtcatt gctgaggctR tgctaattat
79081 agttactgat ttgctacagt tcggcaacac tctgagtggg cttgtcctcc caccacttgg
79141 ttccctgcac gtgtctgtct ccatgccatg ctctcctcag gccccatcac acccctggca
79201 tagctatttt atcctgccgt tgcatctgcc tacagtttct cttgctatcg ctttttcttc
79261 tggctggctc agctctgctc agcaattttc atattgttta tccccaaatc cctccttcat
79321 ctttctaatc agagtaaaat ctatctctca atatagatac atgtttgcat ttactcccaa
79381 ttgagttgtg Stttgatgga gcaggatctg ctactttaag acaaaatttt attgccctYg
79441 agccaaagga ttaattacat ccattgatag acaaaattcc agtcatcata gagattctgc
79501 ctgctgtaca gttgctctat ttttccttga ttgaagttga ggcagatgtc ttttgccttt
79561 caagcagagt attcaaacga ggctctatta gcagaggaac taaaagctct gcatctcaaa
79621 acttgaaggc agaatgggtt tcatgccagt tctttctgaa agagagagtt gtgtattcag
79681 catctgagcc cttctccaag ggatgacact ttttcaggaa gagtgcaacg tgcctggctt
79741 gtttttatct ctgtgttttc caaatgaatg gaatgaagcc accagcttca gctacagctg
79801 tcctttccat tcaatggaag aggtttagaa atccctgtca attgggaaaa tcaagggggg
79861 agcaaaatga gattgagaga gggatgaaat cacattgcaa caacatcatg cagggcagga
79921 tgtcaaccag gttttttcgt ttgtttgttt Ktttaccata aaccatagta agatatatgt
79981 tgttcacaaa acagttattg gccctgccac atgatgtgct ttctgctgtt ctattctatt
80041 ctattctatt ctattctatt ctattctatt ctattctatt ctattgttct ccattccatt
80101 ccactaaaaa tgctggttac aacccgttaa cctgatttaa gaatcccata atgagttaca
80161 aaccacagct ggaaaagcct gaaataggct acggtggagt aaaatcagtt tctgggagta
80221 gcaataagga aYagagacag acactcctct attatattga tatgagcaaa tctctagtta
80281 cccatatcct tgtccataaa ttagtatccc atctggtaat tcactgcctt ctccataatc
80341 acacacaaga aataacatac aaagaaatca gtgcttttaa atcctcatct gcacagtggc
80401 ccagaatttt atttgccctg ggtagaatag atctgaggca atttgcagat gaaatcggag
80461 gaattaattg atgtgttcta gtgcagctgt tcctaaactc tgctatacat tacaatggtc
80521 tggggagttt tgaaaaatcc tgatgcccag gttgctctac atacctaatg aatcctaata
80581 tctgagaatg ggagtcaggc gtcagaattt ttaaaagatc accagagatt ccaacatgca 80641 gcaaagttta ggttgaacaa ctgccctagt gctgatcatt tcagcattct cagtctgggt
80701 caaacatcct gcagtgcttc tagggagcct gtttaaaatg tcaatttcta ggtcctaagc
80761 cctagatcta gattctgatt ccctaggttg cctaggaatc tgcagtttaa ataagcaccc
80821 tggctaatca gtgaatgtgg tctgcaacca tactttgaga aacattgagt ggatagcctt
80881 tatttaactc ctgagacaga aatgtggggg gaaccttcaa acactgacca accgacactg
80941 cctatccatg ctattaattc aagaagggct agttttgcat gcactttctc tcatgtgcag
81001 agcaactaca cataggtgag tcaagtttca ctcacaggat gacattctgt ctgttccggg
81061 ctcatcatgt gagactacag aggggtgact tactcagcct ctaaaagttc agccaacaga
81121 ggaaaaactg gcacagctgt gaataccact atccccttgg ctctcactct tgtaacacaa
81181 ggcagtggag attcagagac caaggaaccc cagagctgtg taatggatca ggaaaaaaaa
81241 aaaaaMaaac agcccaccca gggcagaaat gttataccag attcaattaa ttttgtgaat
81301 gttacataat atgttatata aaagtcattt tagtttacct agtgagagag gagaagatca
81361 cagattaaat gatctgtctg tgccagaaac gcaaatgtgg ttctaacagt attaattcca
81421 tgttagagaa aagcttgctt gtttgaataa tattattgtt ttccttgagt ttgtacatta
81481 gtcccaaaaa acagcctcaa gaaaacagga ccttcaacag agataaaaga aaatatgctg
81541 gctgggctcg gtggctcacg cctgtaatcc cagtaatttg agaggccgag gtgggatcac
81601 ttgaggccag gagttcgaga ccagcctggc caatatggtg aaaccctgtc tctactaaaa
81661 atacaaaaat tagccgggtg tggtggcctg tgcctgtaat cccagctact tgggcagctg
81721 aggcagaaga agcacttgaa ctggggaggc agaggttgca gtgagccaag atttcaacac
81781 tatactccag cctgggcaac agagcaagat tctgcctcaa aaaaacaaaa aaaaaagaaa
81841 gaaaagaaaa aaagaaagaa ggaaaatatg ctgaccaaca gctctgggaa tgggctgact
81901 agcctgtaag aataggctga tggcacctgc agaaggtcgc aaaactttca ccaagaaagc
81961 aatgattaac tgcccagctg actgaaactg ctcacatttc acaagactgt tttgatcttc
82021 atttctctta atttccctta gaaatccttt acctagaggc acaattctga aaggtggcct
82081 ttcaacccag ttcactgcct tcccctggtt gctgacttct caaataaagc taacgttcct
82141 tttaccaaag ttcctgagtt gtttggcttt taagcagtaa gtgacccaga cctgagttcc
82201 atttataggg ctagacttag agccagagca tctgaagtta gaacttttat ctcaacatcc
82261 attgacagct ggtggcttgc ttggttatat taatgtctgt taaccataag tgtcactgaa
82321 aattccagtg gagtctcatc aggctccctg tagtcataga agacagtcaa gaatctttac
82381 attaagattc cagggcaggc caggtgtggt ggctcacacc agaaatccca gccctttggg
82441 aggctatggt gggaagattg cttgaggcca ggagttcaag accagcatag gcaacatagt
82501 gagactctgt atcaaaaaag aaaaaaagga aaaaaaggga ttaaacaaat aaataagtaa
82561 attggccagg cacagcggYg cacatctgta gtcctagttg ctcaaaaggc tgaggcagga
82621 ggatggcttg agcccagaag tttgaggtta ctgtaagcta tgaccgtgct actgcactcc
82681 aggttgggca actgagtgag aacgtgtctc aaaaaaaaaa aaaaaaagac tccaaggctt
82741 taagaaaatt aaagggtgtt tttttcctca gaggttactg tcttataact actcttatga
82801 actactaaat acagacagaa actatttatt ttagagagag agaattgcaa tgcagagatg
82861 taaRgtttaa ctgtaaatat atttgtgctt gtttatgaca atgattaatt taagataaga
82921 tttgtagtaa attttactaa tccttgagta tggggaccat atttgttctg cttataaggg
82981 tagtcccagt gcccagcaca gtgcctggca tatattgtac acacaataaa cctttgttgc
83041 atgagcaaag gcgtaatagt tctagcacca gcttggtaat gtttctttaa gaggaat'gta
83101 tataatttcc tattacatat cattgtgctt ctggtaagta attttgaaga taactacttt
83161 cctctcctga tgcttgtaaa tactagataa gatgttttga ttcagtatga gaccatacta
83221 tatgcacaca actaaggtca tcacttgact cagccaggat ctggaattgt gcatctgact
83281 tgacttggaa tgaatgacat ctcccagggc aggtgattgg aatgactgga attttccaga
83341 gcagatttgt agccaatagg caaaagtaac agagactgtt gcagtttctc tgataaataa
83401 ctgatcacag accagttcag ggacttttca gcataataga cattattccg aattccactg
83461 ttgtattttt attttcatat aagcagaaac aaaaactttt ttatttttaa tttgagaaat
83521 ttaacctgta gcatcaaatt atatatattt ccccagcagc atgtgttttg gtcttgttat
83581 ttttcagaat aatgtaactt gactgtccaa cttaaaagca agaRaagttc aaggatgagc
83641 aggtatgtga cctagttcaa ccagcgccag ccaagaaatt gccagatgct tcagaaggag
83701 gtgctggtcc tcactcttgg ccctctcgct tatttccttc tggccagcac tgaatctatg
83761 gaggcaaaaa cccttgcaga agaaagagaa gctggaggga aactgattgc ctcaaagccc
83821 attgcttccc agagcacaag ccagggacca ccagcctcag agtctccagg agtttgttca
83881 actcattgat tcctggagcc cattccagac ctactgagtc agaatctctg ggagtggtat
83941 cgtgggatcc aaatttttag caatattgat tttaacaata tgtaatgcac cctgaagttt
84001 gagaacatgt actttttctt acaggtgatt ttatgtagag aattcaactg acaagaaggt
84061 ccctcgtgcc cttaaccttg tccccacccc tttggggccc tcagtgcttt acttaccagt
84121 cctctctgcc ctcaggcagg agcaggtgct ccggctttgg actcagggaW tctgccaaac
84181 attttccgcc atccctgaac ttcctgttct tcccagaaac cttggcacag gcaaaggaca
84241 gtcagagagt ggcggaggca tatgcccagt tggaagaWct tggaagcaga ccccatgtgc
84301 agactctgag tcagccctct ctgctgggga aagcagcagg aagttcagtg agtcagcgct
84361 gccggtgaca gcgggtgccg gcctggggca gccaggaaga caggcctccg aagcgtctct
84421 cctggcttag aggatagtgg cttggaacct ttgccctgcc gcctaacaca caatgcttgc
84481 gtatagtatg gtcttatact gaatcaaaac atcttatcca gtatttacaa gcaccaagag 84541 aagaaagtag ttatcttcaa aattacttac cagaagcaca atatattcct gtggggacaa
84601 gatgtaccta ctacctcttt tctgcctttt gagaaaatac ttaggaatta atgagagcaa
84661 ctgggacctt ttcactgaga taatcagtga ttgtgtcaca ggacccttgg aaaggctttc
84721 acctcatcac agctcctctg tcaattctct tctcccttca tccgcttcag acaaaccaac
84781 caaaaagttt aagtcagaac aatgcttgtt acatccaagc aggtggaatt cagatccctt
84841 atacagtagc ctcccaccag actgcttcct caaagctctt ctttgtaatt catgaccctc
84901 aagctgaaac ctcgaatcoa tcctttctta attgctgctg ctttgttatc agtaatgagt
84961 tggtggttgc caaagccttt tgccccagga gtgagaaaaa gggtttaaaa aataagcatc
85021 ccagaaaaga tgcaatactt ctcaaacttt ggggtactaa aaaaaccaac acaggagcat
85081 gtttcactgc agattcctag gccgtacatc caaaggttct attaggttct ataataattc
85141 agagggactg acgtgggtgg gacccaggaa tatgcatttt aaataaataa actcaagtta
85201 ttcaagatgt agagggcctg tgggtctgtg gatcactcct agagactagt ttaaatgtac
85261 atccagaagt gaaggactca ttttgagatt cccttggaat ggcagaaaca ttggtagctg
85321 agcagataga agtatttcag tattccacat gcctcggaaa gggaaaagtc tgaatgcaag
85381 tacatggcag acatctgtao aaKtttgaga gggagtgggc ctttgtattc tgaaaaatac
85441 actcMaagga aatgaaatca cgtcattttc ctatttgcct ccctatatct acttgcccct
85501 cagacctgag cacagctcag tcctcggagc tcatgtctga ccagaggccc cagaggcctc
85561 tccattgcca gccaacctgg cttcttcctg gtgtgctttt aatatgaagg tgacactaag
85621 aagatgagat ttgctttgag gattggaccc ggcatctgat tcctgtcaga atgcactctc
85681 ttcatttcaa ggatgcgtca gaactagaga aatatcacct ctgttcatcc aagtaaactt
85741 tagctcatca acttggaata ggtcatacgt ttcttgtttg tttttaggtc tttcttagag
85801 acggtaattc ttaatctatt tgttcctgga gacattaagg taagataaaa ttgagctgtc
85861 tagtagcatt tttaactagg tcattctgaa acagtattct actttcatat ttggaggaag
85921 gatggcaatt aatttttttt taaagttcct actgatttta cattatcata tacctgtaca
85981 tgtgccaggc cttcagaccc tccccctgaa tcccccttaa ccaactcctg gcacccatta
86041 ctttctcata tctcactctg cRtctctaac aacatcatct acacccttct tccttatttc
86101 aaccttgaca ttcacaacct cttgatcaaa gtagataaaa aagacctggg atattatatt
86161 aataacaagt cttctaaagt ggctactgtg ctatgttatg ctgttgtttg agatgtaatt
86221 tcattacaat ggcaagaaat tatgcagcac ttactgtgtg ccaggaatgc tctaaacatt
86281 ttgcaaatgc taactttttt aatcctcata acaagcctat gggatatatg aggtaggtgc
86341 tattataagt tactttaagt ccattttatg gataaggaaa ctgaggaaca gaatggttaa
86401 ctaactcaga caaagtcatg tagctagtaa gctgtgagat aaagtttcaa acccttactc
86461 cgtgttctta atcattgtga aatttgataa cataattggg tcattcttgt cgtacccaac
86521 taaaacagag tcaagaagcc accaggaaaa agcagttgag gccaggcatg gtggttcacg
86581 cctgtaatcc cagcactttg ggaggccgag gtgggcggat cacaaggtca agagattgag
86641 accatcctgc caacatggtg aaaccctgtc tctactaaaa tacaaaaaat tagccaggcg
86701 tggtggtgtg cgcctgtagt cccagctgct cgggagtctg aggcagggga atcgcttgaa
86761 cccaggaggc agagattgca gtgagccaag atagcgccac ttcactccag cctggccaca
86821 gagcaagact ctgtctcaaa aaaaatattc tttgcaggcc tggttgctga aactgcctgc
86881 tattacctga aaccagtttt atagttgctg aaatgatctg ctgcaacttg aagactaatt
86941 ttacccacct ccatcactca ccagtcaaaa cttgccagct ccccagaaac ttactagtgc
87001 caatgaactt tctcaaagag caatatgtaa catttctgtc tttttataaa acctccaacc
87061 ttctctttgt attttggaca tactgaatac catctggtct gtgtgtatgc ctcaaactgg
87121 agttctttct tctcaaataa aatgtgaaat atagacattc atctctacag ttttattttg
87181 acttcagtag ttactatctg tattagccat ttaagaaggc aaaacaaaaa caacaacaac
87241 aaaagaagcc aacacaaact ccaaaacaaa caaaatccga aaatatctat ttttcaggac
87301 atttcagaaa aggagactaa atactgcaaa ctaatgtgag actggactca atgtgaaggc
87361 agaatcacct cacgcttctc atccatatgt gccaagaatt atctcatgta atcctcgccc
87421 tactgaaggc tgacttaaca gcttctttgc taaatattta tacaccaaag agaatcatcc
87481 tttaactatc tacatctcct ttgaggcaca agagacaaga ggtccatact aaaacagctt
87541 ttgactgtca cctctcagtg tctgcctaga tgaaactgac attgccagtt cctaccagaa
87601 tctattagaa agtattaact taggagtttg gagcctaaat tttaattctg gcttttccac
87661 tgatcagctg tgtaattcag ggcaggttat aacctttctg aatctatttt ctaccttttt
87721 catgttttct tgaagtccaa atgaaatagc tataaaggag acaaaccgta tagtgctgga
87781 aaactgtaag ttaatgtgac agattatttt tatttattta ttttttgggg actgatgggg
87841 accttgtcgc ccagggtgga atgcaatggc atgatcttgg ctcactgcaa cctccacttc
87901 ccaggttcaa gcgattctcc tgcctcagcc tcccgagtag cgggaattac aggtgggagc
87961 cagcaagccc agctaattat tgtattttta gtagagacag ggtttcacca tgttggccag
88021 gcttgtctgg aactcctgac ctcaggtgat ccacccgcct gggccttcca aacagctcgc
88081 ccagccagat tgtttaataa atatgataat tattatgttt accttaaggc aacgttacta
88141 tctgccactt tctctcYccc acctctgaag taaacttgag ggcaggaacc atgtcttatt
88201 catctKtgtc tcttagtttg cttctggcac atagtaggta atcaataaat gtttcttttt
88261 cttttctttc cttttctttc tctctctctc tctttttttt ttcttttttc tttttttttt
88321 tttgagacag gtctggctct gtggcccagg ctggagtgca gtgctgcaat ctcgggtcac
88381 tgcaacctct gcctccgcct cccgggttca agtgattctc atgcctcagc ctccccagta 88441 gctgggatta caggcacacg ccaccacgcc cggctaattt tttctatttt tagtagagat 88501 ggggtttcgc catgttggcc aggttggtct caaactcctg acctcagatg atccgcccgc 88561 ctccaccttc caaagtgctg ggattacagg catgagccac cgcgcccaac caataaatgt 88621 ttcttgagtg aataaacaaa cataaagaat tttcaaagga attctggagg tcctgtctca 88681 gctgagaaga gcccatggaa ggaaaagcca ttcatagtac ctgcttcaac cacgtggtcc 88741 attgtgggaa atcttttgta cacagcagtg ctcaccgagc gaaagatgag cagggaggtg 88801 agattgacgt agcgcatcag cgtccttcta agcaggcgcc cgtgctcgtc gcttccgtga 88861 acactgctag agatgaggaa cattagcctg tctggccagg gcaaattcac aaactggttc 88921 caccatcggt tcactaccag agtaacataa aaccctgtag aataacagga aattataaag 88981 cagtttctta cagcagacac gttggtgaca ctgatgcttt tagctgaatt ttagcctttt 89041 tagaggttgg aggacaaaaa tatattatta tccatatctt ctgattttgc cttccagaaa 89101 aaaaatgtca tttgtgcctg gcaatgccta agcaccctgt aagtgggtat tagatctcaa 89161 atattgactg caaaaatgga gagttagtga agagaaagct taaatgtcca atagcagatt 89221 atttcctcaa acttgtttgg tgttaatttc gcaaaagcag ccgtgaaggc aaaccttatg 89281 gatgattctg gttctattgc aagcggtggc ttttcaggca tgcctctcag cttggaaaca 89341 ctcccatgca gagtcatcgg tgtcatccta acggagacag ctatgtggct gcaatctgYg 89401 tgtgacctat acttaccaag cacaaaggtt actggaattt gttcagcata tctgtcacag 89461 taaattgata atttttcaaa gtaacgtttt tggactcctg taagtaacaa tctggagcaa 89521 aaataaaatg cacagccctt tatgatatta tacttctgca cctgctttgc aagtgacatt 89581 aagtgcaaac aattaagcac aaataatctt ttatttttga aggatcaata attttttcct 89641 tttttcttaa actgatgtgt ctcaaaagct ttttaattgc ttaatgtctc aagtgctaac 89701 attttgtaaa catgattggc tattaaatag tgggattaat taatcatttt attttaaaaa 89761 ctttatattt taaaagtttt atatgattga ttcattggat ttagagcaag gtatgttaca 89821 aaatagttca gttttcaatt attcatcagg aataccttaa aaagagtgta ttattgatta 89881 agtatgaatt agcattatta agtaattgtt aaataataac actgaatttg acaccttgat 89941 atttctcctg aatatgcaac ttagcacatt cttgattatc atgtgtataa tatcccttca 90001 agggatatta taactgttca ttttaaagcc cagaattgtt tggagtctaa aacaaattta 90061 acaatgagaa atgaaaactt tcattattaa atttagtcac tctctcaaaa tttatattat 90121 agatctaacc caacctgccc aaaccccatt ttctggtatt gttaaacata agtgcattta 90181 atgagactat tattgatatt tacattatag ggaagagatt cagagtctgg agaaatgttt 90241 taaggcaaac taataataat gaccaaaata caggaaggaa agccaaacag atgaatttga 90301 ataaatcgac gagtgtagct gttccaaagg aggaaggaac tcaaggaaag atccattata 90361 acaagcatca aaggctcatt tgggtcagta gaactttgat aaaggaagca aagggataat 90421 gagataacag taagcaacca attagattgc agatagagag ctgttgggag ctggtcctga 90481 caaagaaggt gtgtggggta cagggtgagc ttggagttcc tgccccagct ttggaagagg 90541 tgttagaatt actgaagtca gggaaagctg acaggagagg taccagattg ttgcagaggt 90601 ctatcagggt tatgctgatg acaattacag ccagaatggt ttctgatgtt caaatagaca 90661 tggtcaaaga ggatttaaat gtggaaagca tggacctttt ttaaggtcag acaaagccag 90721 attttaattc caagtctgac acttatgaat ttggactttg agcatatttt tgaactctct 90781 gagtctcagt tttctcatct gtaagtgggg ataaaaatat ctatatataa gaggcattgt 90841 aaagattaaa taatatatgt atacatatat ataaccactt aacaaattgc ctcatactta 90901 gttaataata aaatggttca tattaatagt tggccaaaga aaaaatattt ggctaataga 90961 tgtagaaatt ttaatagcta gaaagtattt cagaaattat tttgtcaaat tcctccaaaa 91021 atagaaataa atgtaatcaa attaatgaat ctggttcctc cttataattt ttgttaggaa 91081 taattatgta cctataatag agctaataaa gacttagaga atgaaactac atctatattt 91141 ttctatagat gtgtttgatt ttcttgacaa actcatccta tagttcttgg tatacctttg 91201 attaagatag aaagatctat tttaataagg tattacaatt gaactttaaa aatttaagga 91261 tgacttgaac tgataatttt tgttataaat gtaagccctc tgctttagaa gaaatatatg 91321 cataaaatgt tgtggggtat aagtatgata ttggaacaaa agttgaggcc ccaaggaaca 91381 tttctagcta cattgcaact gtactaaggg ctattctgtt ctattcttag cagaagtagc 91441 agcaataaat tcacattagt aaaaatgaac taatgagat'a attatcacga aacaccattg 91501 tatcttttac catttcatat tctgaaggct taggtgatac ctacctaaat tgccaaaata 91561 atatcatatt atatgacatg tctgaaaaat tattaSaggt tgttaatagg actttccctc 91621 taaaaatatt ttgtcaaRat atataccaat gcatacactt gcttggaagg gttgttttga 91681 catgtggaaa aatagctgta cctattttac ttttaataat tatcagtcaa ctacattaat 91741 atccctcttt tccaaaggag aYcctgttgc tgcaaggaag aatgtgagag caatgaaaca 91801 caaatttgtt tatctgtatg cagaagaaaa ataacaaact atgaacatag aaaaaatgga 91861 aatacagcct caaaaacctt tagctttcct gttttaaatt ttagcttcct ccagagaaga 91921 aatttatgca ttcaatttta ataaaaaaag ctttaaaatc tcataagtct tcccttttat 91981 catactgatg aaattttatt aagactataa cttttcatca taaaaatatt tcttggactt 92041 gatattgctc aaatttcctg tcaatctgac aggcatatgt tgtaatgtta taaagaataa 92101 gcacctcctt ttgtgaacat aatataccct caactcagaa aacggaaaga aaataaatta 92161 ttctacaggc ctttgcttta gttgaggtac tgttaagtgt ggcaggcatc atcctggata 92221 agatattttc attccaggcc aaaagaagga aagcttttcc ctgacataca ccaatcatga 92281 acatgttgat tatataggta gttgctacaa gctgtcaaat catcaactat gaatgacaag 92341 ttgacagaag cacaaataat tattgtctgt ggactttgcc cattcaaaag tctttacaca 92401 gtaaagatct aaggataatc cttccatttt gtgcctattg caacagtctc gaggcacaac 92461 tggggctgga atgaaggcca cctgaatctt aacagtgagg gtctatttta caacctaaca 92521 atggttagtg gtggattaaa atctgtcctg aggggaagaa gacaaatgag aggctcacgc 92581 aaaaaaggag ttccataatg cgaagtcagt ggcaatcaaa agKttcagat ttttgagact 92641 gtatcttaca caatatctga tggccattta aggagacatg taaagaaaag tacctgtata 92701 ccaaacttat tgctgtataa agaacagcaa aaacaataaa ttccctgtac agtagtttgt 92761 agatgctgcc tctccacttg aggagtaacc tatgaaatcc aaaaaaagtt gcatttgcta 92821 ctttactgga gtaagtgaca gtcatcttgg atagtttttt ctagaagagc aagaagacaa 92881 aacacaagta aaaagcaatg tttaaaatag ggcataaatc tgtatgtctg tatatcaagg 92941 aaattcaagc cagcaactag tcagccatat ctctgttttg tctttcttag tttctataat 93001 tcggaacttt cagataacca ttatctcagt ttagcagaaa gcaggaggaa agcagtctct 93061 gggaagagta atattagaca tcttaaactt gccttaactg ttaaatatta tttttagatt 93121 atatagccat tggccaatat atatttgaat gaacaaatga gacaaacaag gccctcgtga 93181 gaatttaatt gatggggcac ttttggtggg tttgattgca tgtagatgtc tctctagtgg 93241 aggtccaaat gcatcgttag cactcattgc atttcaaaag tcagccaaaa agttgggtca 93301 tagtgataaa taagaatggt gcagtttccc catgacaagt tgtacataaa tgcttaggga 93361 tggttcacat tctctttgga gttgaacaaa atgaggtcat tatttacaac tctttctact 93421 tgagtccatt tcatgaatgt ggttaggatg agcactgggc ccaaaagcct tgttttYggt 93481 gagttctttg gaattccacc acttttcacc aagacattaa atattcaggt tttgaaacag 93541 acagcgcaaa gctaatcttt gaaaatcttg ctcaatttct ggctaagata gaacatatgc 93601 aaataaaatg agatttattt aaaatcttac ttttctcaaa aggatctatg aggagagtct 93661 tatagagcta cttagactga aatcatgaag cttttagata gaattgtact agacacaaaa 93721 aataaattct gtagcagatt tcttttgtaa agtagcctac accacacatt ttatcataaa 93781 caagaaaatt ttctatcttt actcattgct ggaaaaacaa ttcaactctg atttgcctat 93841 tttccctaag gaaatgaaac tctggagcta cgtttacagc attttctaaa atcacaaact 93901 tagctttcaa cattactgat tttaataaag aaggtagggc cttttggcac aagtaagtgg 93961 cattacaaaa ggatgggact catgccacaa aaccggtttt atttttccat ctttaccttg 94021 tctatttgcc tagtgcgaat acagccaaaa ttgggagagg agcataataa attaaaccca 94081 tttcataatt tgttctcatg gactcccggt agttttaaat aacagtcctt aattaacttt 94141 cctttctttc atttagtagt tcactcttct tttcaagctc tgccaggaaa atgaaaatca 94201 cagcaagtag aggtcagaat taaaatgcat aggtttactc tgggcactaa cctatttatt 94261 tggtttgtag tctccgacag gaaagagaat cttcaaattt ogggctcccc cgaagaggtg 94321 ccttcaggtc ggtgctgcac gcccggtgtc acccttcgct cgtgcacagt cagattttct 94381 ttctgttctc tggccactga gaggacccag agtgtgacaa gaacaggggt taaatgtttt 94441 tccacttgta gaggcctgtt tatgccagtt taSccactga tgacagttat agctgggaac 94501 aaacagaagc aacagctgct gatgctgctt ttttctaagc tataattata actccacctg 94561 ccRccccaag tacccctttg aatgagaagt tggcagtgac atgaaggatg ttgggccgtt 94621 tgtctgttag attcatttga ctccaccctg ggatcaagga agaaaggttg atttggccct 94681 aaagagttca aaaaagaggc cccaccagcc aaaaaaaaaa aaaaaaagtc tttttgtgct 94741 tgaaatgaag attaaattct taaaactggg ctggaacgcg gtggcccaca cctgtaatcc 94801 tagcactttg ggaggctgag gcaggcagat cacctgaggt caggagttcg agaccagcct 94861 ggccaacatg gtgaaacgct gtctctacta aaaatacaaa aattagctgg gtctggcggt 94921 gggctcctgc aatcccacct acttgggagg ttaaggctgg agaatcactg gaacccagga 94981 ggcggaggtt gcagtgagct gagatcacac cactgcactc cagcctgggc gacagagcga 95041 gactctgcct caaaaaacag atgaaaaaat tcttatgaag ccataaactg gggcagacaa 95101 gaatataaac aggatttttg ccacttgaga ggtgttgaaa atgttcttca attaaaagca 95161 acgattatgt gttagtgtgt gtgtggtgtg tgtttgtgtg ttagaagaac acatagagaa 95221 tcatgatata ttgatggctt agtgtagtgg gaaataataa cacatggatt catcacattt 95281 tttttctttt aagatggagt ctcgctctgt cgcccaggct ggagtgcagt ggcacgatct 95341 tggctcactg caacctcacc tcccgggttc aagcgatttt cctccctcag cctcccaagt 95401 agctgggatt acaggtgcac accatcacac cggctaattt tttatatttt tggtagagat 95461 gaggcttcac catgttggcc aggctgatct cgagctcctt acctcaagtg atctgcctgc 95521 ctcggccttc caaaatgctg ggattacagg cgtgaggcaa cgcacccggc cagattcatc 95581 acatttgtta tccttccatg gtcagctagg aaattttttc tttttttttt tgagatggag 95641 ctttgctctt cttgcccagg ctggagtgca atggtgccga tcacggtgca ctgcaacctc 95701 cgcctcccgg gttcaagcga ttctcctgcc tcagcctcct gagtagctgg gattacaggc 95761 atgcgccacc atgcccagct aattttgtat ttttagtaga gacagggttt ctccatgttg 95821 gtcagtctgg tcttgaaccc ccgacctcag gtgatatgcc tgcctcggcc tctcaaagtg 95881 ctgggattac aggtgtgagc ccaccacacc cggcgcatag tttctttctt ttcttttcct 95941 tccttccttc cttccttcct tccttccttc cttccttcct tccttccttc cttccttcgt 96001 tccttccttc gttccttcct tccttccttc cttccctccc tccctccctc cctctctctc 96061 tctctcttct ttctttcttt ctttttttga gacacagtct cactctgtcg cttaggctgg 96121 agtgcaatgg cacaatcttg gctcactgca acctctgcct cctgggttca tgcaattctc 96181 ctgccttagc ctcccgagta gctgggacta caggcgtgtc ccaccacacctggctaattt 96241 ttgtattttt ggtagagagg gagtttcacc atattggtca ggctggtctt gaactcctga 96301 cctggtgatt cgccctcctc agcctcccaa agtgctggaa ttataggcgt gagccatcgc 96361 gcccagcccc atattttctt tcttaaaaga gagaattcac cagcgttctt taagtaataa 96421 aataMataat ttcagggcca attcctggga cttttccaac cttctaaagt aacttgtgca 96481 cccttgcacc ttaacttaaa gaaaatgtat ttttgtggag aaagatatag aaaaaaatgc 96541 ttattctaaa attaagatta catataatta aatttttcta aaacaKtaag ttttatatgc 96601 atttcgctgg attctttatc aaattctagg taccttagat tagagcaaag ccagggctgt 96661 aggtatcttt ttaatttctt gcccccatcc ctgttcataa ttccagtatg gagccctgtg 96721 aataatgaat atttagtatg tatttgctgt ttgattattc cttaccttca ctattataat 96781 tctgttggtt atttgaggga atttgtgaac atttaaaaag catatataca atgttgcaca 96841 tcttatgttg tgttgccatg aaaagtggtc tgatagatct gatgttatgt ttataaaggt 96901 ttgcaagacg aatctcagca aatctaaacc caaatgctta tgaaatagga acatcggagg 96961 tattttgtaa aattctcact cttgcatctc ctattggttg tgtggtggcc ctgacagctg 97021 gcatattccc agcagccatg actgcatagc taggggatct gcctctgtgg ggcactgaac 97081 gcactgttgg ttggtttcat ttctaaacag ggataattat gttcctctct cccattgggt 97141 tgttttgagg aatgactaat taatggttgg agacagcatt ctaaatgcaa attagtcaat 97201 aatgatcaga ttgaatgaac aaactcccat tgttgagctc tgaatctggt ggtgatttct 97261 aacaggtact gaaagaggcc ttgtcgaaat agccctgctt agaggagaca agccactaaa 97321 gcttatttta aaatatccaa caaacaccgg attgcaaagt tgaaggctca tatcactttt 97381 taaatcgaac tttaaagttt ctttagaaat ttttttccag attctaaaag taaaatatga 97441 ttattaaaaa ataaaaagga aaacaacata taaagaagac agtggcactc tgtcctgcca 97501 cactagaggg gtggtatcat ttggcataaa gttaatcttg ctagactttt gtggaaaata 97561 ttttaaccct ataattaata gcaaacgata tgatagaccc ttaggcaatt tcagggctct 97621 atgaaataac tataccagcc Rtattttccc ttgacagtaa acatcaagtt atgtgatttt 97681 gaccactctg attttcaaca gtccagagta gcacatttgt ctttgattcc agtaaacctc 97741 caatgacagg gcaattcata gaaaagaaca aggaatcatt tccacttgga atcctgatat 97801 tcacctatag atgtcaaaat aaatctcttt gttccttaag gaaacaggaa
[0337] FollowingisagenomicnucleotidesequenceofaGPR97region(SEQIDNO:2).
GPR97 REGION GENOMIC >16:57451601-57537350
1 ccaggctcac cagggacctc tttcctggaa gtgtcaggga tgatgatgag tggccctggg
61 gaatgcctaa gtgtctcctc tagctcatct catgctagct aatgaccttt gggacagctc
121 aaaggggaag ggaggggagg gggctggagg tgctggcagg cttctgtgtg gcgtcaagat
181 ttctgagagc ttttttccat gtggataaca ggtgtccgtg caaaaaaggc tctaccttca
241 Ygttgggttg ggaaactgcc caaccaagct ttatgggttt ctttcctgca ggacttatca
301 gagcctttga tatgctaata tacaacagaa agtatggccc acaagcattt ctctaatctg
361 gggactagtg ctccctgaaa gtgctttggc aagttacctc atggtaaaga tggggagact
421 gagtcccaga gaagagaaag aactcagaag accacaatgg ctaaaagttt gggcttggag
481 gttaggcgga cctgagtttg agtcccggct tttctgctta tttgctgtgt gatcttgggc
541 attacttaac ctctttgggc ttcagtttcc taaagtgggg acactgatag catttgcttc
601 accaagttgc tgcgaggatt gcatgattca tgggctctgc tcatagggtt actgtgagga
661 ttgaacaatt aattttttgc caagtgcttt gcaggatgcc agcggctaat tgagcacttg
721 gtgagtggaa gctgtgatcc tccctctcct cttagaatct ccctggattc cagggccctt
781 ttcactgcac cagataagac ccctgtttag tcccactcat catctggtgt cctgccaggc
841 atggggactg ggaggatgtg ggggcctgag gccaggacac tgggactctc acagacgtgt
901 cacaaggttg tcatcacagg gaggaggacc agtgtgtgca aaggcttgga ggtgggagca
961 tccaaggcca ggcttcttcc tggctggatg actatatgtt ggcttctctg aggcctctta
1021 agcaaatgcc cagttccgca tatgggaggc agcagggcag ccggctttgg acaactgact
1081 ctctgggagg acttggagtc ccttcctatg agtgggtcct tccctctcag gctggcaggg
1141 agtgccccaa cttctcccct ttgtcactct tcccacaggg tgtgtctggg caggcagagg
1201 . gtgttgtggc tcaagcactt ggttggacca gaagccacgg ggacagtgag gcctgagctg
1261 gcggtatggg gggtgggggg tgtccagcag gtctggtgta agagtgtgag Sctcaccctg
1321 ggcagtgagt gggccaggcc tgggcacctg ccagcctccg aggcaggcag cttgcttcat
1381 tttattctcc tttattgtag gaaaattcct gaaaactgaa gtcactctgc ttctgccagt
1441 gatcctggaa tacccctctt ggggagctct ctgtggtcac ctagcttgga cttcMgtcac
1501 tcacttgggg agtgggaatg ggggagggga gtgggaatag gggaggagag tgcttctgcc
1561 tttgcaagct gttatcccag gacccatggg tgcRgctgag gggtgggggg actgggctgg
1621 gggtggggcg tagccctgag tgccacctgg gtctgacagg ggtgtctact ttgagctgtt
1681 gRgtacatgc tatttccaag taagatttac ttttattaaa aaagtttgga aaccgttgga
1741 gggagggtcc tctcagacgc cacgccaccc accatggagg aaacacctgc aagagccctg
1801 ctctttgcac tgtgccccgc cctccctgtc cccttcccag ctttgaagtc tgttcctctg 1861 Mggagctccc cSccttctct tgctttctcc tcctggcccc atgcatccct gtgtatgcac
1921 gggcacacgc actcatgcac acacactcat gcacacacat gcacagtcat gcacgggcac
1981 acacactcat cacacactca tgctcaggca cacactcatg cacacaagga cattcatgca
2041 tgggcacaca cactgatcac acactcatgc acgggcacac agccatgtgc acacagacat
2101 atgcacacta atgcatgggc acacacactc gtcacacact cctcacacat tcatgcacat
2161 gcacacactc atgcacgggc acacacaccc atgcacacac atatgcacac tcatgcatgg
2221 gcacacacac tcatcacaca catgcgcagg cacacacatg cacacacgga cacttatgca
2281 caagcacaca cactgatcac acactcatgc aagggcacac acccatgcgc acacacatgc"
2341 acactcatgc atgggcacgc acactcatca cacactcctc acacactcat gcacaagcac
2401 acacatgcac gggcacacac tgatcacacg cactggcaca cactgatcac acgtatgcac
2461 gggcacacac ccatgcacac acacatatgc acactcatgc atgggcacac actcatcact
2521 cctcacacac atgcacacac tgatcacact catgcagggc acacacaccc atgcacacac
2581 acatgtacac tcatgcatgg gcacacacac tcatcacttc ataactcatg cacacacaca
2641 ctcatgcacg ggcacccact gatcacacac tcatgcatgg gcacacaccc ccatgcacac
2701 acacatgcac actcatgcat gggcgcacac actcatcaca cactcatgca catacacaca
2761 ctcatgcaca cgcacacaca cccacatgcc tgtgtaactc gcaggagttc atcctcaccc
2821 tgccgcccga ccccctgggc caaatccttg cttccaaagg ctcagcagct cagtgtcgtg
2881 ccccagcagc ccacaggaga gcagctgcgg acgggagggg agctagggca gtggaagttg
2941 agctgggggg gtcttcccct ctgcctctcc cagcgagggc ccatttaagg ggaaggcctc
3001 caggtgggca agactaggct ggaacctgga gattgcctcc ggggctccct cgttcctccc
3061 tccttggctc ccttcccacc ccaccacccc ccaacctgat gcctgccctt ctcctgatgt
3121 ctttcaggaa gccccttcca gggccccgct aaatgctggg ggagccacag aggagSctga
3181 tgggtctgcg tcacagggca gggaagagag tgctggaacg caggctgccc tggccccgag
3241 tccaggccct accatctagc agctgaggga tgcggggcca gtccctcccc tctctgacca
3301 tctctaaacc agggctgctg gtgcctttcc ctggttcata agcccgtggt tcccaagcct
3361 gcagtatgtc catcaacggg atgcttgtta aagccaagct cccaagccca ccccatcaga
3421 ccctctttgg gccgggactg tgaatctgca tttcagctca ctcccagagg aaggtctgac
3481 ccaccggcag gcttgggagc ctctgatgtg agcgcctgtg gcaatggggg gcgtgttgtg
3541 ttgagggtgg gttgtgggcc agcaggaaca tgcgttaatt ttggcaagga atggacgggt
3601 aggtgaggct tcatggggag gacttgtctt agctcgtctc aaagatgagc ggaatgtcac
3661 ggggctaagt gctatccaag gcaaagggac accaaggggc aaaggtctgt gggtgggatg
3721 cctgtgctcg ggggcgggca gtggtcactg tgtgtaaagg gaagaaggaa gcagtggatg
3781 gccaggttcg tgggtcttcc cggcaggaga cagcagagag gcgcctgccc gggaagggtt
3841 aatcccagag ccgtccaggt cctgtccact caacttccac ctccatcctc tgaggaaatg
3901 ggttttccag gagcttggcc tgggcagcgg tgactcgtgg ctccacacgg aagtgactca
3961 ggtcccccgg gagaaagcga gccgtgggtc cccactgccc accgtgcaga ggggcagggc
4021 tgagccaggt ctggagctgg agccctgggg gtggggcggg ggatgggctg gtggtggggt
4081 gggggtctca gctcagacaa accctggcca ccttccactc tgctggatcc ttggggaacc
4141 ccatgatgtg gcccccattg tgtcagactg gactggcctg ttctgtcctg tgtgtgttta
4201 cggaaggtct gaggtcaagg gcggctgctc tggaagctgg gggttgtggg ggcttccttg
4261 ggcctcagcc ccagcaccct ctatcccagg ctggattctc tgctactctc cattctcctc
4321 tccttccctt tgtggggatt ctaaagccgg ggagttggga aggatgtgca tctctggggc
4381 ctttatcaat gccagctcta caaggagggg gagacttggc accacgctcg tgtgatctca
4441 gaacacacag ccttccccag cctcagtgtc cgcatctgta aaatggtagc agtgagaccc
4501 gtatcacagg gtggttctga gggtttggtg tgataacgtg gatgtcacca ctaacattat
4561 cattgcgggg gtgttgctag aatgccccct gctcagccac tccctctggc tctgtgtgag
4621 cagaggcagg gcccttgcct gtggggccgt ggttggtact gagcgcctga tggctgaggc
4681 cctgtagcgc tggggatctg cggctccaga ggcagagaca ggtcaggtcc caggggtctg
4741 tgcggagact catgctacat ccctggcgcc tgggtgggtg ggtgggcagg tggcaggtgt
4801 gtgtgcgtgg ggcagacctg gaggggtggc ataggcaggg atgaaggagg ggcgctaagt
4861 ggacaagcgt gacagtgtcc ccctgcccaa tctgtgtggc aactttcttg tccccagccc
4921 agctctcctg tcccaacggg cttctggagg agggaagttt tctgggtggg gtttaacctt
4981 ccattgcact ctcccggaaa ggaagcttca tgctctaaga atttcccctc aaggtgctct
5041 ggtgggtgag ctggttgctg ggggccgtac gggaagaggg ggaaacaggg aggaggggcc
5101 tgtgacaggc ccagggggct gagttagggg caggcatgag ctgtttagaa agtacagaga
5161 tacttagctg agactgatgg cacctgcctc taagccgttt acaggtatca attcatttaa
5221 ttctcacaat gacctttgag tgaggttgac ttctttattc ttctttacta gtgaggaaag
5281 cgaggcccag agaaggtgag taactagccc aaggacacac agctagtgag ggagtcagga
5341 tttgaaccca ggcagtctgg ctctagagtc taccccatgg gttaaaggaa gccagccagc
5401 ccctcccctc aagcctcaag catgttaatg gagccagggc tgtccacctt ggagtagttg
5461 ttcaaacagc tgaggtggag tggggatgac tcaggaagtg gcagggacag ttggtccctt
5521 gtgtgtgtct ggatttcttc cgtggaaccc catgttgtcg cttcacttgt ttccttccaa
5581 tgatggggag ctctctacct gtactcccct cctttactct caagggccaa tccaggaggg
5641 ctgaagtgac Rcggtggttc tgctttgtcc ttcagccatg cctactgaca gtgaaggctc
5701 actttgaagg tcagtaagcc agggagatgc atggattctg gccagttcct tccttgcttg 5761 ctatgtgacc tcaRgaggtc actggccctc tttgggcctt ggatccaaat tctccaaatg 5821 atttgtcagc ttcgagttta caggtaggga gtggtggtag cagtgagggg ctgcttggag 5881 gaagtggcat ttgaactgac aatcagaggg ggacagcaac agagactgac aggaaacaga 5941 aggaaagagg gggtccggaa gggacatgtc cctgtccccg gatgttgggt ttccttccag 6001 tggtcagagg tgRcaggagg cagtttcaaa aggaatcaaa atgcttacaa atcacaacct 6061 gggaaatggt gYccttccct aaaacacttt cacatccttc ttctcaaagg gctctgtgat 6121 gccaccaggg caagatgatg Wgcctatttg acctacgact gaactgacaa ggcctgagaa 6181 attggggttc cattccacat ggtgggacgc agggaactgg ctctcagtcg aaggggccag 6241 gtttatttga gggaggactg gcccaggaag gagacattga gctcctgcct gggacacccc 6301 tYcttttaat gctgctctca atgatttggt tcaaaagcca cctcttcctg aaagtcctcc 6361 ttggtttctc ttaaactcag actccacgtg tgttctccgg cttgtggccg atgactgcct 6421 ctgtcactgt ggccagctgc cgcgccacgc aggatgaggt tctgtctgtg tctgtgagca 6481 cccagctctg ccaoagggcc ggctggccat agggagggcc aagccttctg gcaagtctac 6541 aagtgccagg gccacaggtt ccctgccagg cactatagtc ctgaccaggc agggaaagcc 6601 cctggcctYg ggagcatttt tgggcaagtc atttaactcc atgggcctca ggttctccat 6661 ctgtgcaatg ggtcaacagc agtgcccact tcagagggtt ggagtgggaa tcaatgcaga 6721 tgcaggggtg ggaYgggtca acacagaggc tggcagatag tagccgctca gctaatagag 6781 agcttagggg gtcagatttg ctccatcctt gccagggcgg ggcaataccg agtccttgtc 6841 cccagcagaa accgtggtcc ctttgctgtt ccagatgctc tggacccYgg gtactggctc 6901 cccctggcgg tcatgatagg aagYgccctt cccctctggc tcctgtagag ggcgtcgcgg 6961 atgcattgat cctttagttc cttcactgtc catccccaca gcctttatcc agcaacctct 7021 gtacagccag ggcctgccca cagagatgga tcaggtgctc cctggctgac caaggaggag 7081 ggaatgcacg tctcccacta cctggaggag gctactgggg gtggggaggg gctttggcca 7141 gtggtgtgaa ccaaaggagg ctgggactga ctctggaggg agttgaggag ggcttcctgg 7201 aggaggtgtc ctctgagcta ggtctcagga atgatgatag ggaggtagct ggggagaact 7261 ctgggagccc ccttttttct gtgttccctc cgggcctgga ggggcaaggt ggtgacggtt 7321 ccaggtagaa ccctcatgcc agattctaga taagataatc ccgtcactct gggttcagga 7381 gggaggtact acgattagcc cgattttgag tgacttacac aaggtcctgc agcgggcaaa 7441 aggtggaact gagactggaa ctcagctgga ctctggacag ccactccccc gccttttttt 7501 ttttaaagca gggtctcact ctgtcaccca ggctggagtg cagtggcgca gttatagctc 7561 actgcagcct cgaMctcctg ggctcaagtg atccttccac ctcagcctcc ctagtagctg 7621 ggaccacagg catacaccgc catgcctggc taattttgtt tatttattgt agagataggg 7681 tctcactgtg ttgcccaggc tggtctgaat tcctgtgctc aagcgatcct cctttctcag 7741 cctcccaaag cgctgggatt acagacataa gtcaccacgc ctggcctcac tgcctcttgg 7801 ggagcggcct ctggccgctc tggggaggtc catgggcttt ttccacactt gcttccccac 7861 ctcacctccc acatccatgc cacactggcc tcctcttctg cagggccagc ccaaccacca 7921 cacagtccac actcccagct aacactcctg gtctcttcca ggtggtgact tccaagagtg 7981 actccgtcgg aggaaaatga ctccccagtc gctgctgcag acgacactgt tcctgctgag 8041 tctgctcttc ctggtccaag gcaggtcttc ccaggggtgc cctgggctgt tggaacttac 8101 gttaaaatgc ccctgtgcct agggtggctg ccagcacaca tgctaactcc tttaggcagt 8161 tacagctcgg ctagtggagg gtaccttgga gaaaagcaaa agacactcct tccttctggc 8221 aggtgcagcc ctgcagtgca cagcttaggg tatggaatat ggatggggta ctggccccac 8281 tcacctctgc agccagagca ttcttgtgca gtgtaccacc tgcacaaccg tctatgtcag 8341 ccatggcctc attaaatact tcattgctgt taaaaatatg ttttcccctt gaaattacta 8401 ttcgttttca gtttcctctt tttttttttt tttttgagac ggagtcttgc tctgtcgccc 8461 aggctggagt gcagtggcgg gatctcggct cactgcaagc tccgcctccc gggttcacgc 8521 cattctcctg cctcagcctc ccaagtagct gggactacag gcgcccgcca ctatgcccgg 8581 ctaatttttt gtatttttag tagagacggg gtttcaccgt tttagccggg atggtctcga 8641 tctcctgacc tcgtgatccg cccgcctcag cctcccaaag tgctgggatt acaggcgtga 8701 gccaccgcgc ccggcctcag tttcctcttt ttatagtttg atgctgataa gttttgagtg 8761 ggaaagacta acacattttt gtagaccctt ggaatgtgtg tgaatcbcag gctccaggtt 8821 cacatgtact cagcctaggt cctgtcccct tccatgcctc tggtcagccc ctgccacggg 8881 gtcccatctg cagcctctgc ctcctcaggt gcccacggca ggggccacag ggaagacttt 8941 cgcttctgca gccagcggaa ccagacacac aggagcagcc tccactacaa acccacacca 9001 gacctgcgca tctccatcga gaactccgaa gaggccctca cagtccatgc ccctttccct 9061 gcagcccacc ctgcttcccg atccttccct gaccccaggg gcctctacca cttctgcctc 9121 tactggaacc gacatgctgg gagattacat cttctctatg gcaagcgtga cttcttgctg 9181 agtgacaaag cctctagcct cctctgcttc cagcaccagg aggagagcct ggctcagggc 9241 cccccgctgt tagccacttc tgtcacctcc tggtggagcc ctcagaacat cagcctgccc 9301 agtgccgcca gcttcacctt ctccttccac agtaaggcaa cttccaggcg gagggaacaa 9361 ctgggcagtg gtctagaggc agggaaggca aaatgcaaag tggactgggc tcacaatatc 9421 agatcatgaa gactgggctt tgctcacagg cactggggag ccagtgaagg tgtctgagga 9481 ggggaggagt gtaatccaag tgctaggatt acaggcatga accactgcgc tcggccccac 9541 tgtcccttga tggttacttt gtgggcaggc aggggtgagg atggaagggc aagggcccgt 9601 cctgaggctg cagagaaggt cttggtgaag gaggatgagg tctgaatagg gtgagagagc 9661 agagactgga aagggactga agatcaagag ccccaggaag aattcttcct cagcatcagt
9721 gtagactgtt tatttccttt cacagaggag gaaactgggg cacagagagg atgcccaaag
9781 ctgcacagct agccaatggg agagccagga tttgaaccca gcagctgatt ggagtggggt
9841 aggggtgagg ggcggagtat gagaggtcaa aggtcaggaa agcagtgggg ttgactctga
9901 ggtccagaag ctgcatcttc ccccttgagt gtgacaggta catgtggcca ctgccattca
9961 gcaccattaa atgctgaatg gtggccagga agggaggagc atcagaagga gcttgaaggt
10021 ttactggggg gttttcatgt ctttccagca cctcaagttt gaggcagggc tttcaggggt
10081 Rgggggcaca gcactttgaY tgtgtcagtg taacaggcta atgattatgt ccagtgcaac
10141 aggcaggccc aggcccgtca gtggtggggg gttccccaca ccccaggctg ggattctgcc
10201 ccgcaacctg ggaggattta gggcaaagtt gatcctagtt gcaaattggc attctgaaga
10261 ccagactgaa cttggtcttg tttggcctgt agagggtttt taaaaaacat ggaccaggga
10321 tttcaaatca cctaaaaccc aggctttctc ggttatgcat tcaaaagatg gagctaccca
10381 gggcctgcct tcctcagtgg cacagaaagt ataccctcca acccccactg tttgtcttcc
10441 tcatctgagt cccagctaat ccctggagac accttagtcg gccgccttag taggccgccc
10501 acgctacctg ggcagagggg cccgagcctg gagtcaggga ggctggtggg tgtggRgtcc
10561 caggaaccac caccaagccc cgcacatccc tcctaaggag gcctggctgg gccctctctg
10621 ctccgtgtgt gtagccgaag gtgtctgcgg agggtgctga gcaaggcaca tcccacccca
10681 tcccgctggg gctggcattg ctggcgggtt ctgtaagaca caacccccac gggttggcct
10741 catctgagtg gccttggcag agtccactct gcttcttgaa gcctcagttt cccctttgta
10801 aagtaaagat cgaggcattc agagtcatgt cagggtggta gggggcagaa tgggagggtc
10861 ctgggacctg aatcggcagc ctcggcgggg gcctgtccac ccctccccca ggtcctcccc
10921 acacggccgc tcacaatgcc tcggtggaca tgtgcgagct caaaagggac ctccagctgc
10981 tcagccagtt cctgaagσat ccccagaagg cctcaaggag gccctcggct gcccccgcca
11041 gccagtaagt ttggcacctg gggctgtgag gggaggcagg aaggcatcag agatctggac
11101 ctgggcaggg Ygggacctgg agtaggggct actgcgaggc cttccctggg actggaatgc
11161 ttctttgatt tctctttctg ccttctggga gtcaacacat gccccccagg ctgagccctc
11221 tcctgtctga gtcagtaacc aacatcacat ccaccatccc aagccctcct ccccctcata
11281 aagaaaggat gggtggtcca cagtacagcc cagcagacca aggctcagag acggcagagc
11341 cgctccaagg ccacagagta ggttggcaca ggcggagctg ggcccaaacc catggtgctg
11401 agtcccagga cagcccccac cacaccattg ctctcctttc ccttggctcc caggtcctgg
11461 cctcctctgt ctgaccctac cccagctcat tctttctctc ccacacgcag atgcctgctt
11521 ttctcttttg tctgctctcc actctctctt gcccacccca cccctctctc tgcctctgcc
11581 tctgcctctg cctcttccct gtgtctctgt ctgagtctct cgtcctcctg cctcagtctc
11641 cctggtggcc cggccccctc cccaccatca ccaccgcttt ctcctccctg ccaggcagtt
11701 gcagagcctg gagtcgaaac tgacctctgt gagattcatg ggggacatgg tgtccttcga
11761 ggaggaccgg atcaaogcca cggtgtggaa gctσcagccc acagccggcc tccaggacct
11821 gcacatccac tcccggcagg aggtcagggg caggcctggg caggaagcag atgcgggttg
11881 ggccggggcc agatggaggt gggggctgtg agcactccct gaagctcagt gccgtcgcag
11941 cctctccctg gggcctcccg agaaggttcc aggcccgagg atagccatcc taagtcagta
12001 gttcaaccgt gggattgagg accctgtgtg ggcacagtgg cagggtctgc ttcctatacc
12061 agtctcctgg ggccacccgt gtgaacagaa gaccagcccc taaacgcctg tccacgcacc
12121 cccccccccc gttttttttt tttcgagaca gggtcttgct ttgtcaccca gactggagta
12181 cagtggggta atcatgtctc actgcagcct caaactcctg gtctcaagcg attctcccac
12241 ttcagcctgt gagcagctgg gactgcaggc ttgctaccac acctggcttt aaaaaattct
12301 ttgcaaggct aggtgcagtg gctcacatct gtaatcccag cattttggga ggccgaggca
12361 ggcagatcac ttgaggtcag gagttcgaga ccagcctggc caacatggtg aaaccctgtc
12421 tctactaaaa atataaaaat tagccgggca tggtagtaca tgcctgtaat tccagctact
12481 cgggaggttg aggcaggaga atcgcttgaa cccgggaggc ggaggttgca gtgagctgag
12541 attgtgccac tacactccag cctgggcaac agagcgagac tctgtctcaa aaaacatttt
12601 tttatttttg taaagacaag gtcttgctac gttgtccagg ttggtcttga cctccggggt
12661 tcaagcagtc ctctcgccct ggcctctcaa agtgctggga ttacaggcgt gagccactgc
12721 acccagccac acMccccatc ttgagactgc cccctgagtg gctctggtta gctgggaacc
12781 acccacactg cccacatggc cacccccaag ttggctgctg taggcagagc tggcatctga
12841 agccccagac aacagaacat catgtggttc tcccagggct atttgccctg gagtcctgga
12901 ttctaaccac aagactcccc agccagagct ggtagcaggg aagggaggga tgaggagggc
12961 tgtcatgagt caggcttgac ttcctgaaga aatgggctta gaagtggcag cgtccaggaa
13021 cggatgggtg tgtgtgtgtg tgtgctaggg tggggggcac ggatctaggg gtccgcattt
13081 ggctgagccc taaagggacc tctgcaggag gagcagagcg agatcatgga gtactcggtg
13141 ctgctgcctc gaacactctt ccagaggacg aaaggccgga gSggggaggc tgagaagaga
13201 ctcctcctgg tggacttcag cagccaagcc ctgttccagg tatggggtcc tcaccctcat
13261 gcctcccagg agaaagcagt ttttttctga cagaggtgga aagaaggcac gcagatgagc
13321 tccttcctct gggagtcaaa gcctttcctt gtaaagttac aaattgcact gcaatgtgca
13381 aatctccctg tgagagggct aagcaatgtt cttcttacta tagtgtaaat gactacatgg
13441 gcaaaagtgg ttccagaggg agacgcagca tctcaaggca atgtgctggg agagggttat
13501 ctagagaggg taaggggctt ctgggccctt cttctcagtc ctgaactccc tccctactct 13561 cttcctccaa ccccatgtat ctaggacaag aattccagcc aagtcctggg tgagaaggtc 13621 ttggggattg tggtacagaa caccaaagta gccaacctca cggagcccgt ggtgctcacY 13681 ttccagcacc agctacagcc ggtgagtggg ggccagccat caagagaaca agcgcccctc 13741 ggccatgtca ccctttcctc tccctccctc cagactcatt tgtctttata atgaaacgat 13801 tgcctgatcg agcagtcagg tccaaatggg gcgggtggtg gcttgactgt gttctagact 13861 tcctctgcct ggcctgtaaa gttggagggg tggggggctg tcacagaaac cactctcctt 13921 tcttgtccct acagaagaat gtgactctgc aatgtgtgtt ctgggttgaa gaccccacat 13981 gtgagtatgc aggggtctct gggctggaca agtatctgga agagaaatag agtcctgggg 14041 ggtgggggag gtggggttaa tcaccgaggg cttcctggag aaaggaggac tttgaagaga 14101 gagcgatggc aggctRtgag taggccgggt ggaagaatga cacagtcgtg cttttggggg 14161 tggacacagt ggggtcctgg aggactggac ttgattggag ccccgtgctg tcccctcctc 14221 agtgagcagc ccggggcatt ggagcagtgc tgggtgtgag accgtcagga gagaaaccca 14281 aacatcctgc ttctgcaacc acttgaccta ctttgcagtg ctgatggtga gggtccctgc 14341 tcccacctcg cagccacacc ccaggccgtg tgcttgttct gtgcaagcac ttttcatata 14401 ttcagtcatt tattcctcat aacagctctc caaggtagct tctattgttg tcccatttta 14461 tagatgagga aatggaggct cagagaggtt aagcaattta cccgtggcca cacagctagt 14521 cagtgaaaga gctggtttgt agagcccctg ctctttattc ccaaattttg gtgtgtacga 14581 aaatgcagat tcctggccct cacctagggt tctgatttgg cagtgatggg gccaagagtg 14641 tttctaatga ggcccctgag gtggoctcca gtgcccccaa gacctcagaa ttcatgctcc 14701 caggactgta ggattctgcc tgtgggtatc cacctggggc ttgaacaccc ctgggtgtgg 14761 gaatctcatt ccctcacagg aaacctattc ccatgttaaa tgttatagaa gaataatcaa 14821 tgccaggaca gaataggggt tctctcatga agggttcttg gcctctgtgg gtcaggaagc 14881 cgcttgagaa tgtggtcaaa tctaaagatg cccccactcc agaaaaatgc acttatggga 14941 ccacattctg ctcagttggg agagggggtt cttaggcttc cgaggcccac cagggacccc 15001 aggttagccc ctcacgcagg gcaagcctcc aggttgtgtg ggggacacag aggccagctc 15061 tMtcctgtct cctggggcca ggtctcctcg gtggaggtgg acgccgtgca caagcactac 15121 ctgagcctcc tctcctacgt gggctgtgtc gtctctgccc tggcctgcct tgtcaccatt 15181 gccgcctacc tctgctccag gtgaggcctg aaaggggtgg gacaggggag gggaccctcc 15241 attgcacaca cctccaccag ggcgccgcac acatctccgg tcatggcccg cccgcatgac 15301 ctggaactgt gtgtgtggtt aggggagctg tttggggtaa gctgaccctt gggggccacg 15361 tctcctcctc agatcagtgg tgtttggata acatagtatt tacaaatttt agctgtcgac 15421 attgtattta tttattttta tttttatttt attattatta tttttttgag acagagcctt 15481 gcctctgtcg cccaggctgg agtgtagtag catgatctcg gctcactgca acctctgcct 15541 cccgggttca agtgattctt gtgcctcagc ctcctgagta gttgggacta ctggcgcctg 15601 ccaccacacc tggctaatct gtatattttt agtagagacg gggtttcacc atgttgctca 15661 ggctggtctc gaactcctga cctcaagtga tccacccacc tcagcccccc gaagcgctgg 15721 gattacaggc atgagtcact gtgccaggct aattgtcaac atttaaaatt gagagagtcc 15781 acctaagaat ctgtttcttt cctagagtaa gacaggaaag caaaataaaa aacttaaaaa 15841 aggaaagatt tttcatttct gcctttgaat aagcagattt gtgagagcac tgggtggaca 15901 caataatatc acagcggtaa tgatcatact taacgtgtgt caaacttccc gtgtgccatg 15961 cactgttcta agtgttttac atgtgtgaac tcaattcatc ctcacaacag ccctatgaag 16021 gaacactcag agagggtaag tgacttgctt gaggtcacac agcaaggaag tggcagaggt 16081 cagattgtca gtgcttggct tggcctaaat tggggtccac ttgccctcag cgctgaaccc 16141 atttgggtag aggagaggca ccctcggttc tcactgtccc cagccacgag gaaggagagg 16201 aaagtgaagc tgtatttatg cgtgtgcaca agcacgtgtg tgcctatatg actgtcctgt 16261 gtgtgcacag ctgtgtacct ggggagctaa gtaggtgatg gtgatgagga aggacagctg 16321 ggtgatgaga tgggctcggc ggaaggctgg gggtggaggc agaagtcctc aacacccagt 16381 tgctcacaaa catgcccaag gacacagcac aggaaccctt aggaactgag caccttatct 16441 gtgtcagatg ctttgtgtca gtgtaactct caccccaacc ctatgagggt accatcctcc 16501 cacttcacag ataggcaaac tgagagtctc aaggggaggg gaccagctga agatggtgcc 16561 atgagttagg ggcagggcag ggtgggactc caggatggtg acactggggc ctgcatgttc 16621 tgctgcaccc tctagggcca tgtagaatcc tggagtgggg gtggggtggg gtgtgcacac 16681 attgacttgc aaacctcaga cagaccgatg cgggcagccc acactcagac tcacaggtgc 16741 acagttgtgc agacagacgg gaagacacag aatgtggatg gcatggattc tccaacatgg 16801 tgaaaatgcc aaagtgtttc cgctctgact ttgagagtat ctggtttatt actgtggttg 16861 tcttcctcgc tctgcctggc tgaggcttct gttaaacgtg cacgtggtgc ctgagtctgt 16921 gggtgctggg cacacagtag gtgcacaggg ggatgtgggg aacagtttgg ctgcagccac 16981 aggaatagga taggggccat gtatgactgc atgtgtgtgt cggggtgggg ggcagtctgg 17041 gaaggcttcc tggaggagat gtgggcacac tcccctctct accttcccac actggcccac 17101 cagggtgccc ctgccgtgca ggaggaaacc tcgggactac accatcaagg tgcacatgaa 17161 cctgctgctg gccgtcttcc tgctggacac gagcttcctg ctcagcgagc cggtggccct 17221 gacaggctct gaggctggct gccgagccag tgccatcttc ctgcacttct ccctgctcac 17281 ctgcctttcc tggatgggcc tcgaggggta caacctctac cgactcgtgg tggaggtctt 17341 tggcacctat gtccctggct acctactcaa gctgagcgcc atgggctggg gtaagtggtt 17401 gggcgggggg tgcctcagac ctgcctctcc cacttggctc tggcaaaacc caggcacctg 17461 gttctgcctc tccacctatc tctctgactt ccctcctggc ctccttcact catcctcagg
17521 tgtccttcac cttggctgaa tcaaggtccc ctttaggaag aagcagtgag ccctgtcccc
17581 aagaaacact tccaaattct ccacatcact cactccattg caaaggggat ttacgagcag
17641 ggccaccgtg tgtgaatgtg caggttgtgc actgctcaaa ggcacccagt tcagagatca
17701 gaggggctga aatccagtcc cgctccagtc atttaattca ctcgggctgg cagtggccct
17761 gcctcaggat ccccctggac cttgggtaac agattccctg tggcttggca ttttgttctt
17821 ggccaatgac tgttcaattc acctgtggcc agccctctta tgtcagacct acagcccagg
17881 ggctcatgat gccacaagtc tgtttggaca ttgcacagac ccctcaacct ccgcatgccc
17941 ctgactccag cttgctgctc ttcgcgggtt tgtcattggg ccccttcttt gtccattccc
18001 ccatttgcat gaaattcctt tggaggtgtc tctgtgtcag gactttgtgt ttggaggtgg
18061 gcagccccct ctagggagct tctaatctcc accgaacggg cgaggtcaag gcccagtgca
18121 gacgtcccct gatggcagaa ctcttgccgt ccctcctaaa ctgtctgccc ctcccatctc
18181 ccctgtgaca tccagccctg cagcagagac ccacaggcct ttctcccagg ggcccccagg
18241 gtgacgaagg gcagggctaa ggttggagga gatggcatcc ccttatagga aacccatact
18301 ggaatgggga gggggagggt ccaaacttgg gggaacttcc coaccagatg gggctgggtg
18361 ggcttcagga gcccaaactt cagaggggcc cttgccctcc agactccctg aggccagcag
18421 ggaatgggca ggcctcagag agcgggaagt agagcaacat gcattgccac cctcaggctt
18481 ccccatcttt ctggtgacgc tggtggccct ggtggatgtg gacaactatg gccccatcat
18541 cttggctgtg cataggactc cagagggYgt catctaccct tccatgtgag tggctgtgtg
18601 caatgggggc aagaaggtgg gtctctgggc acagaggcca gagtgcagcc cRggcccagg
18661 tcatgctggc caggggacac ctgggttcca gtctcctcga ggaattggcc tggcagtggc
18721 tgaagcactg gtctaagagt catggagggt gagaaaaggc ctggatctac cactcactca
18781 ccaggtgacc ttgcacaggc cccggccctt ctctgagcct cggtttcctc atgcatgaat
18841 gggggtatgg gttggagcag atgagcctca ccacattcct cagcagcacc tctctgtctc
18901 cccatgcaga tgggaagaca gaggctcagg gagggaagag atccgctctt ggccacactg
18961 agggctggtg tgctgttcgg aggcagagga tgagtggggt tgaagtccag tccttctcca
19021 ctcacctgat tcacccaggc tggcagcggc cctgcctgtg gatcccctga acccaaaccg
19081 gaagccaggg ttcctgagct ccagcctggg aaggaatcct tcccattggc tcagtggttt
19141 tgaaattttc agctctttat gttgtgaccc agtgatttct gcctcacttt tgtactatct
19201 atattattac ttacttaaca ttttccttta aacaatctga cttgttaact caaatgtatt
19261 tttaaaatta catcaacact gtaaatagaa aacaagcgca cttgctRtaa acagtggata
19321 atcctgaaaa caaacatgac aaccacagcc caggaaatgc tgcccgtgct ggccacacgc
19381 tgagccctcc tgcctttgcc Ygcaggtgct ggatccggga ctccctggtc agctacatca
19441 ccaacctggg cctcttcagc ctggtgtttc tgttcaacat ggccatgcta gccaccatgg
19501 tggtgcagat cctgcggctg cgcccccaca cccaaaagtg gtcacatgtg ctgacactgc
19561 tgggcctcag cctggtcctt ggcctgccct gggccttgat cttcttctcc tttgcttctg
19621 gcaccttcca gcttgtcgtc ctctaccttt tcagcatcat cacctccttc caaggtaagg
19681 agaagacccg tcccttggcc caggcagggt gtctacacat ggagcaaggg cagggaagag
19741 atcacccagg gaacctgaag acttcccttc tctgggcctc agtcatccca ttcataaaat
19801 ggggacatcc aggccacagt caacaagtct tgattgagca cctactatgt gcaggccctg
19861 tgttaagcca cagggcttat ggctgagctg gttgggtgtg ggccttgttc ttttggaact
19921 cagctctact ggggaagact gcgcatgagc aggcaagcat atagccatca aaggtggtcc
19981 cagatagtag ggacatcgtc gtgagcacgt gctgcacagg gcctcggctg gggtggggga
20041 caccctaaga agggtggcca gggaggcctc tctggatatg agacgtgtga agacaagaga
20101 aggatccccc catggagaga tgggggggcc tccctactcc aggYgcggtc cacagaccag
20161 cagcagcagc gttgttagga gctttttgga aacgcagcct ctgggccacc cgggccctgc
20221 cacatcagaa tctgcatttt cacaaatgcc caaggggtca cgtgcacatg ataggatcag
20281 gagccctggt ctaggggaag gaagctccag gcagagggag aggcaagaac aaagatcctg
20341 aggttggaac cggttgtgtg taggaaggac agtgagggag agcgtggcca gatggcggcg
20401 ggtcggggcg gagRggtggg atcccagggc agggtcatga tggctctggc ttgatgccaa
20461 cagggtccct ttctgtgcat gtacctgtgt gtgtacattg aggtgcacac acaggcatgc
20521 acacccctct gttcctggcc gtgcagaatg gaagggggtt gtatggccag gcccaggggc
20581 tctcatgggg ttcaaggcca gcctcccata cagggtcacc ctagaatggg agctgggagt
20641 tggtggtggg gagatgttac cacatttcgg ttatttaaca ttcaagcctt cattcctgcc
20701 tgtgagatga ggggactcag gattgtaagt gaggcccata cattcacaca gacatttact
20761 aagctgtgga tacatcatag tgctattaat ttgaggggtg caaaatctca cagtgcttaa
20821 gtgggtggac ttcagagcct gttcaccaca gtttgagccc tggctcagcc acgtcccttt
20881 acctgagcct cctgggcctc agtttccttg tttacaaaag agaatagtaa tgaataggat
20941 gggcctagga agtttgtgac agtgagaggc cacacgggga cgcagcacag tgcccggctc
21001 ataggaggtg ctcgctgggt ctcatgggtg cccgacagca cgtgcttggc aaacactatg
21061 gagaggtggg gcagacccga gtcacaatgg ctggggaggg aggaggaggg atggggtggg
21121 gctcccccac ctgctgaccc cgtgccctca ctgcccgcag gcttcctcat cttcatctgg
21181 tactggtcca tgcggctgca ggcccggggt ggcccctccc ctctgaagag caactcagac
21241 agcgccaggc tccccatcag ctcgggcagc acctcgtcca gccgcatcta ggcctccagc
21301 ccacctgccc atgtgatgaa gcagagattc ggcctcgtcg cacactgcct gtggcccccg 21361 agcccggccc agccccaggc cagtcagccg cagactttgg aaagcccaac gaccatggag 21421 agatgggccg ttgccatggt ggacggactc ccgggctggg cttttgaatt ggccttgggg 21481 aStactcggc tctcactcag ctcccacggg actcagaagt gcgccgccat gctgcctagg 21541 gtactgtccc cacatctgtc ccaacccagc tggaggcctg gtctctcctt aYaacccctg 21601 ggcccagccc tcattgctgg gggccaggcc ttggatcttg agggtctggc acatccttaa 21661 tcctgtgccc ctgcctggga cagaaatgtg gctccagttg ctctgtctct cgtggtcacc 21721 ctgagggcac tctgcatcct ctgtcatttt aacctcaggt ggcacccagg gcgaatgggg 21781 cccagggcag accttcaggg ccagagccct ggcggaggag aggccctttg ccaggagcac 21841 agcagcagct cgcctacctc tgagcccagg ccccctccct ccctcagccc cccagtcctc 21901 cctccatctt ccctggggtt ctcctcctct cccagggcct ccttgctcct tcgttcacag 21961 ctgggggtcc ccgattccaa tgctgttttt tggggagtgg tttccaggag ctgcctg'gtg 22021 tctgctgtaa atgtttgtct actgcacaag cctcggcctg cccctgagcc aggctcggta 22081 ccgatgcgtg ggctgggcta ggtccctctg tccatctggg cctttgtatg aKctgcattg 22141 cccttgctca ccctgaccaa gcacacgcct cagaggggcc ctcagcctct cctgaagccc 22201 tcttgtggca agaactgtgg accatgccag tcccgtctgg tttccatccc accactccaa 22261 ggactgagac tgacctcctc tggtgacact ggcctagRgc ctgacactct cctaagaggt 22321 tctctccaag cccccaaata gctccaggcg ccctcggccg cccatcatgg ttaattctgt 22381 ccaacaaaca cacacgggta gattgctggc ctgttgtagg tggtagggac acagatgacc 22441 gacctggtca ctcctcctgc caacattcag tctggtatgt gaggcgtgcg tgaagcaaga 22501 actcctggag ctacagggac agggagccat cattcctgcc tgggaatcct ggaagacttc 22561 ctgcaggagt cagcgttcaa tcttgacctt gaagatggga aggatgttct ttttacgtac 22621 caattctttt gtcttttgat attaaaaaga agtacatgtt cattgtagag aatttggaaa 22681 ctgtagaaga gaatcaagaa gaaaaataaa aatcagctgt tgtaatcRcc tagcaaactg 22741 gcgtaagcat tttgggtcat ttccttctga gctttttcct gtgcttctat tgaaagagtc 22801 actgatacta atacaaatac cttggggcca atcaggaaac atgaaagaga gaagagggct 22861 gtgtgtgaag aaaaaaaaaa aatcgactgc tggaaacctc atcaaccagg gcacagggga 22921 agataaatgg caacttggtg tctgtgctgg ggaggcaatg gggagtggtg gggcctgtgg 22981 cgaactggag actcccaacc ccatgctgag agcgtggctg ctcatcagct ccagctggtc 23041 actaccttgc agggatgagg gcσcatgtag ccagaccacc tgccttttat gagaaatggg 23101 aaatccagac tgtggtttga catcccctga ttttaaaatt ttggcgaatc caaaacattt 23161 tctggccaaa gagattacag tcaaaagctg cctggtcctg ggatttatgc aaccagttta 23221 ctgatcactc tgcagcaggt gggctgcaag aattaaatca ctggacttct ctcccatccc 23281 tgcctttaac cttgttccac caaatcaatc tctcctcccS ctcctaaggc ccaggtgagg 23341 cagatcacgc aggttcccat cttccctgtg atgagggcag tcacaacgga tcattgctac 23401 tgtgttcagg taagaggtcc cagtgcagcc aaagtcctcc ccaaggccca cagtccactc 23461 tctcccttct gcaggctcct ccctcctccc ctggccactc tagggggatg cccagcaggg 23521 gaagaggctc agagtcttgg attggacaag gtgggtgtga ggcagctggg tctagactgg 23581 cagtgccctc tgaggggcgt gaatgtggga tcttgggacc tgcagggaσc aagaacccct 23641 gtgccctgct gctctcccag ccctccctcc accccctcca ctccctccac tgacctctgt 23701 ccccaccttt ctgcaggtgg ggggctcctc ttatgccccc agctccaaag gacagaggcc 23761 aaaccttccc aagcctcccc taccccagtg tccggattgg gcagccccgg gggatcaaag 23821 ccagcttccc tccttacagg cttctaggtc tccgtgaggg gggtctctca gagccccatg 23881 gctgggctag gtcctgggat gggσgttgag gcaactcccc ccatcttcca gaatgggggg 23941 gaaatgaccc agccccgttc ctccgcaatt ctcctgcttc tcaaacattt tgtttctgca 24001 tctgaggctg gctcaggtag tggggagggg tcttgggttg ggtctcacct tctcaggtag 24061 gccctgcaca gggcaccaac agttccatgc tgatcctttt accccgatgg ttattatcat 24121 gcactttccc aggctgtggg gctttggaca gtgggatcgc cσtttctgcc agcatgtggc 24181 caggcgtgca tctggaaaca tccctttagc ttgggaaatg gattggagca gctgagggct 24241 gaatgctggc tgggtctcgc tggaggactt gaggccctgc ccactggagc cattgggaga 24301 agctggggca ggaggcggca ggaagggaca ctactgtttt gttggccctg gggttggggg 24361 gggtctcagg gttctgtgag tggctccagg ctagtccctg gtccccaggg ggcgtttcag 24421 ggaaggggcc ttaggaaaag gtggccctcc ttccagccct gcctgacctt cccctgcacc 24481 tgccctctgc ccacttccca ggtgggctgg ctgctcggaa tctcagtctg ctcaccccca 24541 ggcgcttctt cacacactgg tacctgcgag cctctctgag ggcccaggtg ccaggatggg 24601 gcttcagcga tgggcccagc acatccaagt ccactgcccc acctcaccct cacctgcagc 24661 tgggagggag gtctgcagat cttccaggag aaggctggcc aggtgtggag cagtggcagg 24721 cccagccatt catctgcctt cgcagccctc cctgcagagg aagtttctgg ggctcaggaa 24781 gccctgggct ctgacctgct gctccatgct gaattcccac ctgctcccac accatgagtg 24841 accctgacat cccctcccta ccccttccca gacccagagg gctcagcagg agacactgag 24901 tgggaggagg aggaaatgga ggccagcagg ggctgagcgg ctccccagtt caatcccaag 24961 gctgagtagg gctagtgcca gccccgtggg ccagaggggg atgccagcaa ccacacacct 25021 tggtgggatg cccttcacct tccaattgcc aagtggccat ggcctcatgc acagtgcatc 25081 cgtggggcct ccagagttgg cccgagtggc tggcgcccta attcctttag gctgaagccc 25141 aggagtgttt gccaccccca cctcccacct gatcagtgac catttggggt gtaaagacaa 25201 caatttcaca gctctgatga tcagaaatga tgtaatggcc acaggcggct ccgcctgcgt 25261 catccatgat ttcatcacac acctcgggag gctcagggtg acagacagtg catgcaaggt 25321 cacccggcca ggaagtggcc aggatggatg ttagctcagg cctgaccagc ccccggggcc 25381 gcactgctgt cttcccgcta ccσtgcctct gggtccgtcc tgttatccag gctggtgggg 25441 gaagctcagg ctgcagggcc agctcctgct ctcctcccac accctccagc ctggttcaag 25501 ccataggcac catctgggtc ttcgtcctca tgcccagagc caggctctgt gcccagcttg 25561 ttgcaggtct catcaaaccc tgacacagcc ttaggaggca gccccattgc catcttcact 25621 ttacagagga ggaaactgag gctcagagag gctcccagct tgtgagagga ggggtctgag 25681 taggtgcgcc tgactccaaa gcctgtgctc accacagttc ccagggatcc gctctgagcc 25741 aggcccctgt ggccacccag cccctagccc cgtagatccc accccagtgg ggccccgggg 25801 gcacatacct gggtgggctc agcagctccc tctgcaggtg gacccagggt gcggtgagac 25861 tgggagcact gcccagttcc ccacactcac ctttcacaac ccaaccaatg gcgccatcga 25921 gcaggaaggg tgagaaagag gacacaggaa gccagagtgg tggggctgca gggtgggggc 25981 aggccagctc agcagagcct ggggccagag ggccagacag ccacagagct cctggcgtgg 26041 gcaaggctgg ccaaggatgg cgacgcccag gggcctgggg gccctgctcc tgctcctcct 26101 gctcccgacc tcaggtgagt ggctggcacc tcatcccctc ctgccacgct gggccgaccc 26161 tgccctgccg agggagggat ccagggacag acgcagggac tggagaaggt gaggagttgg 26221 ggtgtctggg atgtgtcctc cgataccccc cgtggccgcc tcagcacctt ctctagccct 26281 gtccctttgg gtcagtcctg tccttccact aaaccttgct caggactggt ctcaggttcc 26341 ctttgttgct ccacagtgcc ctggagatag gggaggtcgg agggtgctcc ctgactcccc 26401 aacctgggct gtgtctccct gacaggcctg gctctgagac aggggttggc cccgggcagg 26461 caattctcca gctggcttgt gagatcctgg ggacgggatt cagacactct ggaagctgag 26521 gccaggaagg tctgtcacct cgttcttctg gacctctcct cccgcacatg tcaccccaca 26581 ccggctccct ctcccagtct cagccacaac ctcttggtcc tcagtggcct gagccaggat 26641 ccacactcct ccccgtcact ctcccgtctc acacacaaac acatggtgcg tctccagagg 26701 ccatggaagt gcccgggcct tgcctttgct ggcctctctc ccaggaaagc tgtcccccta 26761 ccccttgccc acttagccag ctccatttac ccttcttggc ctctgtggcg tcttagcaac 26821 cctctcggac agagggaggt gctcccccgt tagtgctccc tcctcagtgc tcctgtctca 26881 gggccttgca ggccactctc tttttgctcc tgactcggtg aggggcctgc atgtccatct 26941 ccctgtgtgt ccagcgtgtg gtcgcgtgac tttggccaca tagatcaact tatttggtct 27001 tcaaataacc ctcttctttt caaacattgg aagattcagt ggagtgaatc agtccctggc 27061 tcaaaaaagg gtgggagatg acagcactgt cctcctagtg gccccgggag gccctggtac 27121 agagcaggcc accaggcagc ccttgataga tgaatgaacg gagccaccga tggcagctgt 27181 gaccagggct catgggcgtc ctcaggtccc agctgtcatc gctggttggg ccttcaagcc 27241 tcctccaggt gatgctgttt cccccatggt gatgtgggtg ctctggttgg ggcagagcag 27301 cagccatttg attgagcaag gagctctgag aggtctacac acaggaaggt ctgcacactt 27361 cctgtgtgga cagtgatgtg ttagtctcca ttctccattt gcgcattcat tcattcattc 27421 attcattcag gaagcatcga tggtgccctc tgctcctgct ggtaccactt ggcccctgcc 27481 ctcaaaaggc tcacagtctg caggagtgac acagtgtggt gggggctcgc atgtgagacc 27541 cagctgttag ggctgagcaa ggggtggatg caatggaggg cctggcatga agggaoacgt 27601 gacaaaggtg cgggcagggc acggggagca aggagggtgg tcactgggca ggctggcacc 27661 tggggcagcc ttcagcaccg tgaggtctaa agRggccagg agggagtggc cccctgggct 27721 tctacagcca gactgtggct acaggaggga aatggcggtg gtttgctcac ggtgagccag 27781 caggggctga aggagccatg cggggtgggg gcaaatgccc actctgccct cctcctgccc 27841 tctgacctcc agtccacttt ccacttgctg acccccaaat gaggcagtcc atggaggcca 27901 ggctctggag catagagggt ctggagagga ggggagtgct atcccaccca caggcctagc 27961 acagggtctc cttgtctaca tgaaatgctt gcagtgtctt caaagaataa acacagaaaa 28021 gatatttaat gatcctgtct gtgtagggtg cttgccaaga gcttcactta catgcctgcg 28081 ctgaaattca tggcaatccg ggagggaggc ctgcacctgg acccattcat gacagcaggg 28141 ccgggatggc agagaatggc acccgtcctc aagctgacaa tgttatctcc cctcctctcc 28201 tgtcctcttc cttcccctct caacccctcc tcccctctcc tctcttccct ctccctgttt 28261 ctgtcttctt cctcctctcc ctcttctccc cttttttaaa aagccaacat agatcatact 28321 atattcatgc tcatctatca ttttcatttc ccattaaaca atgcatcata aatatcttta 28381 taaactaaca gaaatttaca gttcctttat aaactatcta aaacgaatta tcacatatag 28441 agtccattat tacaaaatcc cctctaaaat gttatttttt taccctgctg ttactcttta 28501 ttcagccatt atttttatca tgtctttttt gtcttaatga ttaaaaatga acagtttttt 28561 aaaaaatgtg acagtaatac tggacatgat ttttaaaaaa tcaaatacca gggagggaaa 28621 taaaaaatgg aaagcagatg agcccctgcc cgcctcagcc cccagcacca cccatcgcag 28681 agggagctct cctaacactt cctgggggtg gcaatccgaa aagtgacaat gcagagccaa 28741 gacccacttc ccaccctcaa agggagaagg atacaacaaa gcacttcaga gtaaaagaca 28801 taaaagtggc cgcagatata caggtagatg ctcaaactcc ttaaatggaa ataagattca 28861 atgtcatccc tcagactagc aaaaatccaa aagttcagta agctatagaa taataggcat 28921 gtggatagtc actcttatcc actttgagtg agagtataaa taggtacacc attttctgga 28981 gggaaattca ataatacccg gcagtttttt aaagcacata cagaaagtcc tagaatagga 29041 gttttttttt tttttttttt ttttttcgag acagagtctc tctttgtctt ccaagctgga 29101 gtgcagtggt gtgatcttgg ctcactgcaa cctccgcctc ccgggttgaa gcaattctcc 29161 tgcctcagcc ttctgagtag ctgagattac aggcacccac caccacgtcc ggctaatttt 29221 tgtatgttta gtagggcttc cccatgctgg ccaggctggt ctcaaactcc tgacctcagg 29281 tgatccaccc atctcggcct cccaaagtgc tgggattata ggcgtgagtc accgcactca 29341 gccttcctgg cggtgtttta aagcacatac agttagatac agaaagtcct aagataggaa 29401 tgttttctat gagttctcaa cacaagctga aaagatgcac actcaagaat tcttatggca 29461 gattgtgaaa aacaatgtcc accaagaggg gaccggttaa aaaagtgttg caatgcccat 29521 ggaatggaat agtttgcaac tatataaaga atgaggtgga aaagttcttc aagatatatt 29581 gctagtccaa gcgtggtagc tcatgcctat aaatcgcagc actttggaag gccagggtga 29641 gcggatcgct tgagcccagg ggtttgagat cagcctgggc aacacagcaa aaccctgtct 29701 ctaaaaaaat aaaaataaac aacataaaaa aaggaaaaac tagccaggca tggtggcatg 29761 tgcctgtagt cccagctact tgggaggctg aggttggagg atcgattgag cctgggaggt 29821 ctaggctgca gtgagctgtg atcatgctac tgcactccag cctgggtgac agagcaagac 29881 tctgtctcaa aagaaaaaaa aaagatatat tgttaagtga tcttatttgt gtaaatttaa 29941 aaaacgatgt atcggcaggg cttggtggct cacacctgta atccagcaat ttgggcagct 30001 gaggcaggag gatcgcttga ggacaggagt tcgagaccag cctgggcaac atagtgagaa 30061 coccctcttc ttaattaaaa cattttttcc ttaaaaaaat gatgtactta taaatacttg 30121 catatgcata ccttctgcaa aatttccaga aggctgtgca ataaaccgtt aaagatggta 30181 aactctttga acacctacaa tgagctatgt atgtccttta tctctaatcc ttcccaaaac 30241 ttgcaaggaa tgtattatta gctccatttt gctggcaaaa gattgagcct caggttgttt 30301 aagtaacttg cctcaggaca tacagttagt agatgaccca aagcttccat tttgtgccct 30361 gtattaggtg aaagggaacc gaactaaaag tcacaaaagc tggtctttag tcctggagca 30421 gcctccaact agctagtaac ctttctcaag tcattttgct cgaggggcct tggtttgctg 30481 tattttctac ctgtcccagg aggtagctgt gatggttgtg tgtgcttctt agcacaggtg 30541 tgagccacca cgccctgcca atacatcatt ttttaaattt acacaaataa gatagtgtga 30601 atgtgggaga atgaggcaaa ccaagacaga atacatccaa gagtttaacc aggaggccac 30661 agttgcaagg gctttggaag gtctgatgtg gaataactga aaagccaggc agactccctg 30721 gaggaagggg taaaggagta atagcacaaa catatgaaac cttttattta cagagccatg 30781 tgccaagcct tttgtacatg ctttccccaa agcatcctac cagccctggg agatggggta 30841 tttgctttta ccttggaaac agccccagag agggtctgca tcctgctcaa gtgcaccgtt 30901 agtgtgatgc atggagctgg aattctagcc caaccaccag actctggagc cccagctcct 30961 ttccctgctc ctcatccttg ctgcccatct tcgtccagcc cattcacact ctctgcattc 31021 cttccttagg tcaggaaaag cccaccgaag ggccaagaaa cacctgcctg gggagcaaca 31081 acatgtacga catcttcaac ttgaatgaca aggctttgtg cttcaccaag tgcaggcagt 31141 cgggcagcga ctcctgcaat gtggaaaact tgcagaggtg agggggcccc ctgagctgga 31201 gggggaatct gaagctgctg ggaggaggac tatcaggaag ggatggggcc atcttccccc 31261 atggccccag aaaatgttgc tcccatctga ctcttccacc ttgtttgaca ccacagtccc 31321 cctgacccaa catccccatt ctagcagttg gggtacctac tgatctaggg tattcagaga 31381 tgaatccact cctatcctgg cccttgggag ttgtggaatg acagacacag acccaaataa 31441 tgatgactcc agagtgtata cagaatggca gacaaggtgc caggttagcc cagaggaggg 31501 aagttggcca aggcttcaca gaggaggaaa cctggaaagg gctttgaggg tgcacaggag 31561 ttttccagct ggatctaaac aatggtgagg atacaggcaa cagaacttga aagtaatggg 31621 ggataactgc aatgctttga actgtaacaa tgtaaaccgc gtggggatgg aagagacaat 31681 gggcagatgc gatgggtggg agataggact ggaaatataa gcagagacta aggtgtgaag 31741 ggttgtgtaa gttataccaa tgggtgaggg cggcagggca atgacatatt ttaagcgcag 31801 ggagagtata gtcaactctg cgttttggaa tgattgctca ggcttcaggg acSggtgatg 31861 caggaagaca tgacccagta ggatgcatca caggggtctg ggtgggagtg agggccaagt 31921 cagcaccact agcagcaatt ggcattgcgt gcttggaaag gagagatgga ttggggagat 31981 gatacgatgt agactccgta agacaagaga ctggttagat gtgggggtga gggaaatgaa 32041 ggggtttaga atacaacatc tttaggagcc atctccaaaa atatctctgc ctcYctttcc 32101 ttttcccact cctaatcaaa gttgcccata actcttctgg gatgcctaga aaagcacgtg 32161 gcttacatta gtacttaata aatatgtgtt aaaggaatga gttaaagccc tgcgctctca 32221 ggcttggtgt taggacagcc atctcattgg atcatgttat ttcagtggcc tgaaaaggcY 32281 tccattccca cctgcaggtg atccaggagc ttcttagcac cccagagctg ttcagaggct 32341 cctctttgtg ctgcccaggt atatgcccaa aagaatttaa aacaagtctc caaacaaaag 32401 cttatacatg ggccaggcac ggcggctcac acaagtaaKc ctagcacttt gggaggccga 32461 ggtgggcaga tcacttgagg tcgggagttt gagaccagcc tggccaacat ggtgaaaccc 32521 tgtctctact gaaaatacaa aaaaaaaaaa aaaaaattgc caggcttggt gacaggcgcc 32581 tgtaatccca gctactcggg aggctgaggt gggagaattg cttgaaccca ggaggtaaag 32641 gttgcagtga cctgagatca ctccactgca ctccagcctg ggcgacagag tgagactcca 32701 tctcaaaaaa aaaaaaaaaa aagcagcagc agcagcagca gcagcatctt gtacgtgaat 32761 atttgtagca gcacttttca cagtagccaa aaaaaaaaga ggaaaatacc caaatgtccc 32821 tcaatggata acggcataat taaaatatga tctctccata tgatgaaata gtattcatcc 32881 ataaaaagaa ataaaataca ggggccaggc actgtggctc gtgcccaaag tcatcccagt 32941 actttgggag gctgaggcag gaagatcact tgaggccagg agctcaagac cagcctgggc 33001 aacagagtga gacaccgact ctacaaaaaa taatttaaaa aaagaaatag ggccaggtgc 33061 agtgggttca tgcctgtaat cccagcactt tgggaagccg aggcaagcgg atcgcttgag
33121 gtcaggagtt cgagaccagt ctgaccaaca tggtgaaacc ccatgtttct ctactaaaaa
33181 tacaaaaaaa ttagttgggt gtggtggctc acacctgtaa tcccagctcc tcgggaggct
33241 gaggcagcag aatcgcttga acccgggagg cggaggttgc agtgagctga gattgtgcca
33301 ctgcactcca gcctgggtga cacagtgaga cagtctcaaa aataaaataa aatggaatac
33361 tgatacatgc tacaacatag atgaaccctg aaaacattat gctgagtgaa agaagtcaga
33421 aacaaaaggc tgcatgttgt atgattccat ttgtgtgagc tatctggaac aggcaaactc
33481 agagacagaa ggcagattag tgattgcagg ggctggggga agggggaagg gagagcttca
33541 tgggtacggg tttcctttgg ggtgatgaaa tattctggaa ctaggtagtg tgacggttgc
33601 acaacattgt gacttacttg atgccattga attggacact ttaaaatggt taaaatggta
33661 aattttatgc tatgtgtact ttaccatatg cacaaaaaaa gacaaacaca taaaatactc
33721 agagggacgc ctagctggaa ttctgcagga gcagcctgga cggcccccaa gccacttttc
33781 ttcctcctgt cctgatccca gggtctttac tttgatagtt tgggtcagcc ctctcacccc
33841 aggagcctga tgagtgagta actcagcctg caggatccta ccctcccccc atccctggcc
33901 ctttgcagat actggctaaa ctacgaggcc catctgatga aggaaggttt gacgcagaag
33961 gtgaacacgc ctttcctgaa ggctttggtc cagaacctca gcaccaacac tgcagaagac
34021 ttctatttct ctctggagcc ctctcaggtg aagagctccc cagccctctt ggctggttcg
34081 gaccctattt ttcttggacg tatatttcaa aactctaaga gagttatatc ctgtgatata
34141 actagggctt gtccctcccc cacgtcccaa ttggcagagc tgcgtctgta aaatgagctc
34201 taagattcct ccaagcctaa aatttccgtg agctcctcta ctgagggaac atatttgaaa
34261 tgaggtaaag ggttcgatgg acagactctg ggtttatgct ggtctggatt caaatcccag
34321 ctctgccctt caccagccat tgtgatcatg ggcaaattac ttttctgagc ctcggYttct
34381 ctgtctataa aaagatgaag gtattgccca ctttcaagat taacatggcc aggtgcagtg
34441 gtgcacaccc gcaatttcag cactttggga ggctgaggta ggaggatggc ttgaggccag
34501 gagttctaga ccagcctggg caacacagtg agagtccatc tctacgaaaa caaaacaaaa
34561 cacaaaacaa acaaaagatg aatgagagga gcaaatgaga taatgcacag ggaatgcttg
34621 ggatagtgag ggcttagaaa gcctcctgcc ttctggaaga aatggatgtg gtggtggaac
34681 ttcaggcagc aaggtgagtt ggttagcact gaggtacttt taggtttgtc tggagaaagg
34741 ggaatggaag agagattctt tctcaaccct ttattatgtc actcaagcag ctgagccctc
34801 tgcaggggtt atgtactggc cccagaaatc acctacatgt cctttYgttg ggagtctgga
34861 ctgggaagga gaaagYtggg gccttcagct ccagccataa accccctgtg ccaatgtgca
34921 tggggtgttt ctgaggcagg ccctgggtgg gtcaggctgt agcccttagg ggaacaggga
34981 gctcagagaa tgaatgaaac atgctttgca gccgggcaca gtggctcacg cctgtaatac
35041 cagcactttg ggaggccaag gcggacggat catctgaggt caggagttcg aaaccagcct
35101 ggccaacatg gtgaaacctt gtctctacta aaaatacaaa attagctggg catggtggtg
35161 catgcctgta atcccagcta cttgggaggc tgaggcagga gaatcgcttg aacctgggag
35221 gcggaggttg cactgagctg agatagcgcc attgcactcc agcctgggca acaagaatga
35281 gactccatct caaaaaaaac aaatgctttg caatgaccac tgaaatgtat ttcaatattc
35341 tgacgattct ttgttttttR aaaatgtgtt gttgttgttg ggcggggagg atttgacatt
35401 cagagtaaac gtgtgtgtcc tccctctctg cccttgttct ctcgcttcct gaacttcctt
35461 cctgacggtt ttattctttc catttattcc tgagtcagaa gccagacact gtcacaatca
35521 agccctgtgt aaacactggg actgttaggg ccctggccaa aagcacatgc cctccagccg
35581 tcctcatact tgcacattca gcttgcccag gcatcaggtg cccagacagg cacaagctta
35641 gctctactct ctgtattggg aaaaccgagg ctccacaagg gctataactt gtctagggat
35701 gcacagcctg tgaggagcag agcttgcact gtgccccagg tgtcctgcct ctcagagctg
35761 acagtcccca ggtgctgccc cctacccagt gtgcctgctt cccctcccag ctgggggagt
35821 ggcaggactc gtgttggggg gtgggtacag atgggagctg ctgtgtctgt ggttgtaggt
35881 tccgaggcag gtgatgaagg acgaggacaa gccccctgac agagtgcgac ttcccaagag
35941 cctttttcga tccctgccag gcaacaggtc tgtggtccgc ttggccgtca ccattctgga
36001 cattggtcca gggactctct tcaaggtgag gactcaggga agctccaagg ttaagtgcta
36061 ggtcctctgg gggctccatg ccacagtttg ctgtcactgg agcctgccga gggatccaat
36121 ggggacagag caggcagtga gcctcttagt gtttctaatg cagcccgtgg ccatctcaga
36181 cacctgtcac tagagtctat ggtcttcaga ctcacactgg tcacacgctc tcagatgttt
36241 gacccccaca catgagtgcc ctttggcttg tctatgtgtc ctgtgggtgc tcgtgtgctc
36301 tgtgtgtcct cgtgcatgca caaacatgca catccttttc tattcttgtg cacgcacaag
36361 cccatgtact cagctgtgat catatccaca cgagcaagtg tacccatgcc cttgcacatg
36421 tgtataccag gtatgtgcac ccagaggtgt gcatccactc ctgtgcagac gtgtgtaccc
36481 ctgagggcta gtgtgctccc cccaccagcc tcctttctac cgaatgcaca ctcacgctaa
36541 gaccctcagg ggcacgctat cctccccgct gacttccatt tcttggctga tcttggcccc
36601 atgccccctc tagttaagag ggcagaggag ctctggaggc cagcaatgga gagctgtcag
36661 gtgcacagct ttgcagccag ttgacctggc ccagcccaag caggagacca ctgggagcag
36721 cagggaggag gctgcctgtg actccttggc tccctggtcc cctggtctcg aactctgccc
36781 tccaagcaaa ggccatgggt tcctggaggc tcctaggaac cccagcgttg gtgggttggg
36841 atggcccctt ctgcagcctg gcctccccga tctccccttt cacagggccc ccggctcggc
36901 ctgggagatg gcagcggcgt gttgaacaat cgcctggtgg gtttgagtgt gggacaaatg 36961 catgtcacca agctggctga gcctctggag atcgtcttct ctcaccagcg accgccccct
37021 gtgagtcccc tgctcaggcc tggcagYcac tgcagggcag acaggcgagt gggcacacct
37081 gggcccatgg gccctgcatg ggacactaca tatctgtccc ctacccttcc acagtcgccc
37141 aggaggagcc attagggcca tacacataat tggatccaag gccacacacc atagaggtgc
37201 acatgaggac ctggcaagcc cacctgcata cacatggcat tccacatcct ccacacccat
37261 gctcccctga cacgcacaca tgcatgcaga caggcaaacc ctcctgccca cagccccaca
37321 ccacagtcgc acRcttcaca cgccggccca gggctcatca aatggtgcac ttaatttttc
37381 tgtgtggccc atgggtgtga accttgcttt ctacctaatg cacactcaca ctaggactcg
37441 ggggagcaca ccgtcctccc gcttcccctg ccctccccca aacttccctt ttcctctctc
37501 ctgacttcca ctcttcggtt tcagaacatg accctcacct gtgtattctg ggatgtgact
37561 aaaggtaggg cccggaggac cttctctggg gtaagacagg aagggagggt atgggctgca
37621 ttgtggggcg gggctagctc cactggctga gtccctcccc tgccttcctc tcccctcccc
37681 tcccctcctc tttgctccct gcatcccctc ccttcccctc ccctcccccc cctcctcacc
37741 tccccttcct cctcccctcc cttccctata ttcccttccc ctctgttccc ctcccctccc
37801 ctcccctctc ctctcctccc ctccctatat tcccttcccc tctgttcacc tcctctcccc
37861 tcccttaccc tcccctccct atattccctt cccctctgtt cccctcctct cccctccctt
37921 gccctcccct ccctatattc cctttccctc tgttcccctg gcctcctctc cagggaccac
37981 tggagactgg tcttctgagg gctgctccac ggaggtcaga cctgagggga ccgtgtgctg
38041 ctgtgaccac ctgacctttt tcgccctgct cctggtaaca gccccctcca ctctgatccc
38101 agccatccca ggggcttcca gctcctgccc tggggagggg gctgcctggt ggtctttggg
38161 tatatgggcc tggcctccaa ctgacgtggt cccggttctg gggtcaccca cagagaccca
38221 ccttggacca gtccacggtg catatcctca cacgcatctc ccaggcgggc tgtggggtct
38281 ccatgatctt cctggccttc accattattc tttatgcctt tctgaggtga gtgatcccca
38341 cctccccacc atgtctccct cccgccctca agggaggcag cagggcaggg tgggaagcat
38401 tcaggttgtg cagcctctga ccgttgtccc ctccacacgt tagtgtcctc atcccaaaat
38461 ggggttgggg gttgaaatgt gtcagagcta tttcaggagc aagtggcaga aactcaactc
38521 aaattggctt aaacataata gggaatgtgt ggttcacgta actgagaata gcaaatagca
38581 aatagggttc atgtaattga aaaacccaag gtgcatggac ttctggcagg gttcgatcca
38641 gggggtcaaa agaggtcccc agaacttggt ctccctctao ctctcacagc tttgctcgcc
38701 ccttgacagt cacatcgggc agctttacca ccctcagggg ccctggctgc ctcaggattg
38761 catcatagct ccttagctgc ttaggcagaa ataaaagaga tctcctcttt ccaagtattc
38821 taagatgaat cccaggattg agaaggattt tattttgaga taaaacagaa agatgcaaaa
38881 atagtgcaga gtcctgtggt tcgttctccc agattccccc tgtggataca tcatagacaa
38941 ctgtagttca atatcaaaac cagcagctgg tggtacagta ctgttgacta gaatacagac
39001 tttgctcagt tttcaccatt ttttatgtac attcatgtgt gtgtctgtgt gtgtgtctgt
39061 gtgtgtgtgt gtgtgtgtgt gtgtgcgcgc gtgcgtgcgc gcaggacata tcatttgatt
39121 ggcccagtcc aaaatgaaaa taaagaaggc tgggcgtagt agctcatgcc tgtaatccca
39181 gcactttggg aggccgaggc aggtagatca cctgaggtca ggagttcgag accagtctgg
39241 ccaacatggt gaaagcccat ctctactaaa aatacaaaac aaaagttagc tgggcgtggt
39301 ggtgcgcgcc tgtaatccca gctactcagg aggttgaggc aggagaatcg cttgaaccaa
39361 ggaggcggag gttgcagtga gccgagatca caccattgca ctccagcctg gacaacaagt
39421 gcaaaactcc gtctcaaaaa aaaaaaaaaa aaaaagagag agagagagag aaagaaaata
39481 tatggcccct tattcaaaaa attttaagaa tgtcaagatg gcgacagtag aacattaagt
39541 ccttctgcgt atggggtcct acagaggtca catgctcatg aaactggccc tgtgtgagca
39601 tgtgtgtgca tgtctgtgta tatcagccta tgcagtttta tcccgtgtat acaccagagt
39661 tgagtcttac tggtctaact tggaccatgt gcccatgcct gtctgggtca ctgtggtcaa
39721 gagctggaat acacagattg gccggccagg ccatgtgtct gctcttgggt ttgagctaac
39781 aaagaacccc tggcccctga cttatgagag tggggacggg cgttccttag ggaaacctgg
39841 ggctgtgtcc agaagaggtg ggagtgagtg caggacaggc agaaacagca gagagcactg
39901 cagcctgggc ccaggccatg gctgagggac ccacaggatc tgccagcttg aaggagccta
39961 ggggagctgc cagtgctcca gcttgtcctg tcccctgcct cctgggggtc cctgggggtg
40021 gcctaaagca gcccttgggt ctcctgcccc cgcatccagg gccgtccctc cgccctctcc
40081 acgtgcctct gtgtcagcat ttggccctag gctgcagccc caactaggcc cacccaatcc
40141 atcacagacc aacccatgag tgtaaatggt gcccctcacc cccaccctcc aagccctggc
40201 ctaggacatg gtccccatcc ccaacaagcc gagtgtgact tgccagctgg ccgcattgct
40261 ggaccctgtg agcggggctt ggagcgccag gagaaattac caccagctcc ccagggtggg
40321 gcctggcatc tcaggtgagg tggacatgat cccagatgct cctccaggaa gcccccggct
40381 cccctccctc ggctgagagc ccttttggat ctggtttgct aagaattcag agtgggggct
40441 ccagagagag ggaggtgagc ctggtgagtc actggacagg gagtctggag cccagggttg
40501 gagcccctgc cctgctctgt gaccccataa ggctcccgtc cctctctaag cctcactctc
40561 ctactgcatt ttcggcttca tgcatccacc catctgtcca tccacttcac caatggatcc
40621 ctggtcccWc cactgttagg cctgaagttc acagcatggg aRagacccRa ggagagagag
40681 gatggggagt tacactatgc tgctgggaaa tgtccagttc agctcaggct aaggggcatt
40741 cagagatggc ctccccagaa ggaaacctcc aaggggcatt tgaaaggcag aagaagagga
40801 gtcaggcaaa gaaggtggga ggagctgggg agcagggaaa ggcattgaga acagtgggaa 40861 gagctgacct ctgcgaaatg agatcagcct caccttggta tagtttgggt cattccaggt
40921 gttttttttc ttctcttccc aaggctgcct aatctctagc cagtgtctgg cttttgactg
40981 ataggtgtgt tgctcagtta ctttgggccc gtgtacgttt gtgtgtcacc tccatcccat
41041 aattttaagt acatgcatga tatgcagccc atatgcatga accttaagta gctaattatc
41101 atacagggtt atgtgaaaga aactttttct ctctaatgta aatgcccatc tctgaagagc
41161 tgccccttac tggtttggtc cggatcttgc cggccacggg gtcccttttt tatgtcactt
41221 ttgtcttgcc tgctgaacct ctgcttttca tctcacttct tgctcacccg tcccattcac
41281 cgtgcttcta ttctctgctt ttacttattc tgccctttat ccaactttta attccctttg
41341 ctattctcct gcctcatttt ctggcctcat tttccctatt atcctgcctc acattgatca
41401 agggatgagg ctggcaggat ccggaaccca cagggccccg tgggccatga gaggctcctg
41461 gacttgaacc tcaggacact cccactctgg ctgccggcag ggatggaagc tggatgagca
41521 ggcaggagct ggcagtgggg gtggagagcc ataggctatt ggggtggaca ggcttgggtg
41581 cctcatggga gctccccatg ggagctgtgg ccccttgggg cctcttattt ctcaccccag
41641 gctttcccgg gagaggttca agtcagaaga tgccccaaag atccacgtgg ccctgggtgg
41701 cagcctgttc ctcctgaatc tggccttctt ggtcaatgtg gggagtggct caaaggggtc
41761 tgatgctgcc tgctgggccc ggggggctgt cttccactac ttcctgctct gtgccttcac
41821 ctggatgggc cttgaagcct tccacctcta cctgctcgct gtcagggtct tcaacaccta
41881 cttcgggcac tacttcctga agctgagcct ggtgggctgg ggtaggtgct gcctggatgg
41941 acagaataaa cggccggccc tgagggtgca gagggaaata gccttgggga gagagaggag
42001 gggttcccag agctggaggg atggccatct ggaggggacg tggaggagga agtgccagta
42061 agccccagtg gtgtcatgcc atttcccctt gtgcccaggc ctgcccgccc tgatggtcat
42121 cggcactggg agtgccaaca gctacggcct ctacaccatc cgtgataggg agaaccgcac
42181 ctctctggag ctgtgagtgg cggctgtggg agcaggggtg atgccagctc cccggctaca
42241 catattgggg ctggagagag gtggggagag gagggatttc taggaaaatc tagaccaaat
42301 atgtcaagac cagaagaatc ctcagatcca gctagctcat ggcacagaga agtaaactga
42361 agcctaRaga gagagagggg aagtgaaatg agagaggggg cctgagaaag gagagggaga
42421 actggaccag gaggcaggat gccttacttg agcctgggcc aacacgagcc cacatggcac
42481 cttgaggcaa agtaaagaag gtcaccccgt ccgcatgcgg ggtgcgcagc ctggagagtg
42541 gagggtgtgt tggatttcag cccccacctg ctgcccagcS aggtgtcctt gttcaggcca
42601 ccacctgccc agtgattcMc agtagccctg ggtctagtct gggctctgcc ctgcctgcta
42661 tgtgtgtgat cttggcaggc ccgatctctc ccagggcctc agtctcctca tctgcaccat
42721 gggggaactg atcaacatgc tctttgaggc cctttgcccc tgcagtgcag agggcagtgg
42781 agctgagttc agtttctaga ctcacacctt gggatccatg gggcacccac cactgggccc
42841 atggctctgt gctaagagga gctggtgagg ccttggacct gtccccaggc ctcaaaagca
42901 ggggccccag gagctggagg ggtcacaaag gtgcaggcag tgggccaggt ggggactgca
42961 gcggactggc agtcacaagc ccatctaatt agcggtcagt tactatcctt caggagggca
43021 tccacagagc tgccaggtgt atgattttat aggagaagca gaaatctagg tgtttatacc
43081 aaagcttctg attttaaagg cggccactaa ttccgttttt ttcacaatgt aatatggggc
43141 aaatgaaaca tgtctttgag gtcactttgg cattaaagag acaccagact ggagccaggt
43201 gacggcccct cccacagcgg gagagccagg gattgatggg tggaaatggg agaggcacct
43261 tcacagacag aaaagctcag ccaggggact tcctgggttt gctggccaga ggtaccactc
43321 ccagtcccac cacagctgcc ccctcctcca gatgctggtt ccgtgaaggg acaaccatgt
43381 acRccctcta tatcaccgtc cacggctact tcctcatcac cttcctcttt ggcatggtgg
43441 tcctggccct ggtggtctgg aagatcttca ccctgtcccg tgctacagcg gtcaaggagc
43501 gggggaagaa ccggaagaag gtgctcaccc tgctgggcct ctcgagcctg gtgggtgtga
43561 catgggggtt ggccatcttc accccgttgg gcctctccac cgtctacatc tttgcacttt
43621 tcaactcctt gcaaggtgag gcccctgcac cagggaggtg atgggctgtg ttgtctgtcc
43681 caggaggtat tgggaggtgg ggaagagggt ggtttgcaag acacaggact ctgttcaggc
43741 tagctgaagt caaggatgtt gatttcaaat actcagagca aggatccagg gcagcaaagt
43801 ttggctgctg tattagtccg tttgtgttac tagaatacaa aggaatactc gagactgggt
43861 aatttataaa gaaaatgggg ttaattggct catggttctg caggctttag acaaagcaca
43921 acaccagtat ctgctcctgg tgaggcctca ggaagcttcc aatcatggtg gaagataaag
43981 gggagccagc gtatcacatg gcgagagtgg gagcaaggga gtggggaggc accatgcYgt
44041 tttaaacagc gagatctcgc atgaactcca agtgagcact cactcatcac caaggggata
44101 gtgctaagcc atgcatgagg atccgctcca aggatccaat ctcctcccct caggccccac
44161 ctccaacatt gggaatcaca tttggacatg agatttggaa gSaacaaaca tcccagacat
44221 atcagctgcc ttcatgggag ctgctaccag aatcagaaaa agccacccaa accaaagcag
44281 atacRttctc tatctttttc ctggagctat ggagtctctc acctagtgtc tgtggaaact
44341 ccttcattct ctctccactY accctttact acccatggcc ccaaattgtt acccaacatg
44401 gctgccRtaa ccctacctga ccttgcaagt tgggtgtcca tcgtccatct ctggtccaat
44461 cagctgcgac cagaagggca gaatcatgtg atatgatgtc cacatgacat ggatgggatc
44521 tccagggatc tatggaggta ggaaggaaat gcttgctgta tttgttactg gccccYgcag
44581 ggcccttcct ctgRgatccc agcaaagggg taagagcagt ccatgtgcta tggtttatat
44641 gtgttctctt tgctccttac atccacagcc cagagaggca tcacagtctg actgtgagag
44701 aaacagccaa gacaggagtg acgagactca acctgttcag ggaagtcact agaaacccag 44761 gcgtcctaga tgcagcgggt ataagccccc aagaccagga ctggctccca gcgccccatg 44821 agagatgtgt ggcttagtgg ctagggccag gcagccctgg gtccaaatcc tagccccatc 44881 cctgacccag caagtcactc agctccttcc gtcctcattc atcKcgaaat tgggataatc 44941 ccRtacttat ctcaccagct tttttttttt tttaattgag atggagtctt gctctgtcac 45001 ccaggctgga gtgcagtggc acgatctcag ctcactgcga cctccacctc ctgggttcaa 45061 gtaattcttc tggtttcagc ctcctgagta gctggaacta caggcacatg ccaccatgcc 45121 cagctaattt ttgaattttt agtagaaatg gggtttcacc atactggtca ggctggtctc 45181 aaactcctga cctcagatga tctacctgcc tcagcctccg aaagtgctgg gattacaggc 45241 gtgagccact gtgcctggcc tgccagattt cacaatgaac aatgacaatg catatgtggg 45301 aactactagg tcttcaatat gtgggaacta tattaataat catagaaatt atgactgtaa 45361 ggccatctga ggctgtctcc aggtggagaa tcatgagtcc atgcctggag aatcccaggg 45421 gttgatggtt ggggagaaat gaactttgaa actatagctg acatcgttat tctttcagag 45481 gttaccttaa tatgtaagcc tgcacacttc actctactaa gtttccactg ggtctgagtt 45541 attctgtatt tctctcttcc tctccaatac aacagagccc ttggtatact tgaattgccc 45601 attgaactct tctcaatatt tgtcttgcat atagaggttt agttacagat ttccttgaaa 45661 catagagttt ttctaagtca tgttctgtac ttactataat ttctttcacc ccacactttc 45721 ccttttcctc ttgctggagt gcctcccata ataatccttt atagagggag tgatggttgt 45781 tttgtatgtc tgaaaattcc tctattttgc tctttctttt ctgtaatagg cataggtaga 45841 tattttattt gaaggtctct gtttttcatt tccaagattt cgatttggtt cttttttatt 45901 tcatttttga aatggttgtg aaatggttgc atttttgcct ttcccagcag ttcttgagtg 45961 gttacggtgg gtctcctccc tctcagcagc caccagccca ggctgcccca ctctctgccc 46021 acccctttcc aggctcaccg aggcctctcc ttcctaacag gtgtcttcat ctgctgctgg 46081 ttcaccatcc tttacctccc aagtcagagc accacagtct cctcctctac tgcaagattg 46141 gaccaggccc actccgcatc tcaagaatag gaaggcacgg ccctgcaata tggactcagc 46201 tctggctctc tgtgtgacct tgggcagctc cgtgcctctc tctgtactcc ctcagtttcc 46261 ttctctgtac aatgtggctg gggagggaga ggatgggacc aggttggacc acgtggcatc 46321 agaggtccca tccagatcca actataggtc caagagtcca cgtaagcagg tttgcaaggc 46381 tctaaagttc ctatagtcct gagaccccct gccagcaaag agtgacagtc acctccatgc 46441 cctgccctca ttgcaaagcc ctcactcacc ttctggtctc agcaagggag gagagtctgt 46501 tgctggcata gccctggaag gagcccccag cctctcccct cctcctcctt gtcactggcc 46561 tcccacaact ccccttctgg ctgcctgtaa ccttgagggg cattcaggag gccagcgttc 46621 cctcaggcac tgggggtttg ttttgggggg tgggagttga tcctcccacc cagtctgccc 46681 ctggtctctg cccatccaat cagagcccac cctcctggaa gagacccccg tgttcagagt 46741 gctggcagcc ctgcacgtgt ccagggacac tgcatttcaa agaaccactg agtgggtgag 46801 ctaccttggg caaacccccc actcctgact ctgactgcca cgtgggtggc ccgacctctg 46861 acctgctgtc atcRtagagg tagaaagcaa acaatctggg gctcagcaca cctgggggtg •46921 ctcccactca ttcagtgtgt ggggcccctg agcagaggct gggcattgcc actagRacct 46981 gagctcctag agaacaagRa cctgggtggc ctcgcttact gttccagccc aggccaagca 47041 cagggtctgg ctcgtggcaa accttgaata aatatttgtt ggctgaatga gtggatgtat 47101 gagtttggca ccagcctggc agatccctga gccaaggggg gtgtctcagg ccagacctag 47161 gttgggcagg gtacttccag cagctggggc tccatgtcac aatcgcatgc aggtttctca 47221 gtaggaaaca aaaagaggca gagatagcag agatggggta gagatacaga gatggagaga 47281 aggagagaga gacttaacag acaggctgac acaaagaggg agaacggtgg cggagagaca 47341 gatgcagaga gatggcagcc ccacgccggc tccagcgacc cccctcctcg gggggagcag 47401 tgagtgttga catcattccc ctccctggag cctcaccgca caagtccatc cctcactcta 47461 ctcacaactt accaaccatt ctccctaccc ggcccccgac cctctccagg gagctctgtg 47521 gactgtcaag ccctgtctgc aggtgagaag ttactgtcac tgttaggcct cccccaacag 47581 ccctggaagc tgcgggctgc agcccacctc cccgtccgga tgctgggtgc tgacgttgac 47641 tgcaaatgga tgcgcttcgc ttcccctccc agcccacaag cagttgaaag acaggaaggt 47701 gggccctcac tttatgcaag gcgctgtgtt cctggaaggg aaattctggg gcgtggacat 47761 tgcatcattt gagccacagg agcagttctg gtggacaaac ttggtgtgtt ttggggctta 47821 tcttcacaga catctgtttc tcacactgaa ggtctcaact tccttatctc aaagcctcag 47881 ggatggtaac ctgagaaaca gctgttccac catctgatag gtctgggctt aaatcctggc 47941 tcggctactt aggagctgtg tgatcctggg cattttactt cacctctctg agcctcagtt 48001 tccccatcca taaaatgggg attataaagt cctcacctca tcctgacagσ attaaatgaa 48061 gtgacagaaa taaagtgccc agcactgact ccgcaggagt tagtcagctc ccccaccctg 48121 ccttgattta aagaaagacc agccaagggt aatggcatga ggaaatggag gtccagacag 48181 gcccagccac ctgcccaact aaggtcactc catgggctgg gttgaagcta gggccaggcc 48241 tccccgggtt gccctcatcc cagagtggtc cctgagttta aggattatca cctggtcctt 48301 gactgggctt ggtggctcac acctgtagtc atagcacttt gggaggccaa ggcaagagga 48361 ttgcttgagc ccaggggttc gagaccagcc tgggcaacat ggtgaaaccc cgtctctact 48421 aaaatacaaa aaaaattagc tggacatggt ggcgtgcgcc tgcagtccca gctactcagg 48481 aggctgagtc aggagaattg cttgaacctg ggaggtggag gttgcagtga gctgagattg 48541 tgccactgta ctccagcctg ggcaacagag caagactctg tctcttaaaa aaaaaaaata 48601 tatctaggca tggtagctac ttggaagaag aagcaggaag accactcgag cccagcagtt 48661 caagactgca gtgagctatg atgacgtaac tgcactccag cctggatgac aaatcaagac 48721 catgttttta aaaaaaaaaa ggaggagaag aaggaagaga aggaaggagg agaaggaaga 48781 ggagggagaa ggaggaggag gaggaagaag gagggagaag gaggaggagg aagaaggagg 48841 gagaaggagg aggaggagga agaaggaggg agaaggaggg agaaggagga ggaggaagca 48901 gaaaaaagaa gaagaataag aattatcatc tggtcccagc ccccagtctc aaggaaaatc 48961 ctgggttgca gagtttccca aactgcttag tgggatgctt agtgcttgtt gtgggaccaa 49021 caagaccRca agtcctggat ggctgggcct cctggctcag aaggagaggg cagataagaa 49081 ggtgtggcta gcattggggg tgcactgctt ttctggcttg ctctccatcc tggggctagg 49141 caggggctga ggggctggag ttcctcatca cctgcggttc ctgcaaaagc agctccaagt 49201 gccatgttga gcacccataa ggccaagggg gctatggtga aaatacaccc caaagcccag 49261 agcagatgga tggagttcct ccgtcattgc acagcagcaa tagcaaccta ggaggtgggc 49321 catcatcaca ggtgggagca cagaccctga tctccgttca ccagtttcaa attctgtctt 49381 tgcaacttgt cttgggcaaa ttcttcaact actgagcctg taaagcagaa acagcagtag 49441 ctgccccaca gggttaatga aggaaatgaa taaatgagac agtgcctgca aggactgccc 49501 actgcctggc ctgcctggcc cagaatgaat gtgacaaagc cagagctttg ccttggccat 49561 catctcatca ggtcctgggt acagagaggg tcccttctgc catggctcct gcctggttct 49621 ctsttctgcc caaatctctt cattccttgt attttttcat tacaacataa caaatacaca 49681 ggaaaaaaga agacttattt gctccatgct gtcagatagg caacactaaa agatataaat 49741 ccttcatcag ttaatgaatt caaYgaaatt acagtaaaga ttttggggcg ggcacggtgg 49801 ctcacatctc taatttcagc actttgggag gctgaagcag gaggattgct tgagcccagg 49861 agttccagaa cagcctgtgc aacatagcaa gaccctgtct ctacaataaa ataaaataag 49921 ggaaaaaaat aaatattcta atttattttt ttttgcttct ccagaaactt ttaaaattga 49981 tatggaggca tatagacctc aaatagctaa gtYaatctta atgaaagagg gcatacagga 50041 ggYggaggtt gcagtgagtc gagatcatgc ctgtgcactc tagcctgggc gacagagcta 50101 gaccctgtct cagaaagaaa aaacagaaag aggggcatag aaggaagact tgacctctag 50161 acataaagat attacaaggc cagtttggta aatgcaacgt ggtgtctgtg cagggatagg 50221 aaagaagatc agtggaacag cacagagtgc tcagaggcag acccatggac acctggggga 50281 tttaatacgt gaoaaaggtg gcatcattat tttcagagga ggaaatacct aaaactaaca 50341 cRttagttca tgaagacaca tttaaaatca ttagtcatca gagagctgca gaYtgaaatg 50401 acaatgagac ctcattgtat ccttattaaa ctgatgaact agaaagctag atggtaccaa 50461 tgggcaggga cRatatggga gccagggaga gtctagactg cttcagctgc ctggagaaaa 50521 acacagtgct tctgctgagc cagcaatctt gctactggtt gtttatcttg aagaaacatt 50581 cttccagatc tagacccctc tagacctgtg tagcattgtc tgtgatggaa gggagctggt 50641 agcaaatctg agtggtctgt ccagcccacc caatgtctgc tggggagttc cctcaagact 50701 gccccaaacc gtcaagaggt agggccagtt ggaattccaa agaaataaac actaagcgcc 50761 ggggtgatcc gtatccRtcc aaagcattta ttagggaaac gtacataggg aaggctgtag 50821 tgttctcatg acagacagca agaagggaga tgagtctgtt cataacgagg aggtgggttt 50881 atggagttta tatgagtgtt taagggattc ggttcaKggc tggggcacgt ttagcatttg 50941 tWtgatcttt ccatgttWcc agcaacaacc taaacaacta tcagtgcctg gggacattga 51001 aagctccctc tagaacacct ggacaccgag tgcccgtcac tggaaggacg aagaggtaat 51061 aagtgtggat ccacacaata acgtggagag atcttaaaaa cacagccctt catgaaaata 51121 taagaaccag aaggatatat ttgttcagtc tcatattaaa catatattaa aaacaccagc 51181 Rtgccaaaca atactcattt tggaaaaaaa aaatacacat cagaatggtt actttataga 51241 ggtgggaaat gaaagtgggt atgaagagaa aaaggaatga ataaatatgt aaaaggaatg 51301 aagtgttgca tagggttgaa aaaggacaat gaagcctatg ctgcatccca ctagcataac 51361 gcatcacctg ttttcctttc tcctccctcc tcccttcctg ccttcatccc agccagttcc 51421 ccacagaggt aattacgagt tgcttagcac caagtctgaa atactacaca cactgtctcg 51481 tgagctctcc acagtgcaat tgatccttta gcaccaagtc tgaaatacta cacacactgt 51541 ctcgtgagct ctccacagtg caattgatcc tttacagctt atttttatgg ctgcatgata 51601 ttccagctgg gagggggaac atcattctct attcatgaga attgaggcaa ttcctaagtt 51661 tctagcagta acactaactg tgcaaacttg tcagcacagt gacagtctgg attccctcct 51721 ggcagcccta tcccctgacc aaaaaaggcc catgcacccc tccctccaaa aataaaacag 51781 tgaagattat attttaggac tgtattggta aaaacacaga tataattcag ggcagattca 51841 cacttatata gtcattatta ttctcatttt tttcttctga atttaaaaga aattaaacat 51901 tttcatgagc cactagccta atggataggt tttccccgta cttcgaggta atgttctaca 51961 tcacagctcc ggcctggact agaacccagg actcagtcaa ggcagcctgg ttctgtccaσ 52021 cgcagctggc agctactcca ggccccacac tggtttctgt ctgtctcgat caaggccaca 52081 ttcggcatgc cgtggggcag gggctgtgct gtgctggtaa atgtttaaca actggctggc 52141 tcagaggaaa agccctggtc ttggcgtttg ctaatttttg tggtgtaaat aaccccatgg 52201 ccaatttttt tttttttttt ttttagagag gttctcacta tatattgccc aggctggttt 52261 tgaactcatg ggctcaaagg attctcccgc cctggcttcc caaagtgctg ggattacaag 52321 tgtgagccac cgtgcccagc cctcttaatt tttaataatg gctgtgtttc acaaaaattt 52381 tggaaagttt aacaactatc aagttgatgc cccactatac cagtgcaccg ctggcagaag 52441 gacccatgaa acctgggaag actacatttc ccagaagcct cctctcccag gaccggcgtt 52501 cagcttccca ggttgttacc atggagatgg ctaacagcta gagcaggctg tcctcggagg 52561 ggtgaggagg gagcaaggga cttggggtgg ctggaccctg tctggcaggg aaagggtgag
52621 gctggtggcc cccttctgcc tgggggcctc cagccctgat ctttctgggg aagttgttgg
52681 tggggtgtgt gtgcgtgttt atgtgtgttg ggaggaggaa gttgctggtg gagagggggt
52741 gcagggaagg gccggtgggt tggggcagaa tctaaggaac cttgagataa gactgccttc
52801 cccacactgg gctatagctg aagaggccac ctgtgtaggg aataaagtgc tgtgggttct
52861 tctccccagc tctgcctctg atggtgttct gggactgaca cgtcggcttc ctcttcagcc
52921 tacttctttc cttgcccacc actcccccac ccccaccatc ccttctagca cttccccatc
52981 tcatatctct tccagcctga gacacacagg tttcacaacc agaaatacag gggttcaaat
53041 cccagacctg ctacttactg gctgtacctt aagcagtgca cttaacttct ctgggcccca
53101 atcttctcat ctgcaaagtg ggtgtcctca gtgtctgcct catagagtca gtagaggata
53161 agtgagatga tctccgtaca accctcagca caggtctgac acacagtagg cattcagcaa
53221 actgtaaatg ccttgtaatg gtgatgactg cccttcctgg gctcattgtc tctgggacca
53281 agaggccaac aaatggatct gatcactgag aagtgctgct tggctagagg ttctcccctg
53341 aggatctggg gtcctgaatg gtgttgggct acYtaggcct tgggtggctt ccagccagat
53401 gagcattcgt cccctcctga gtcccagagc acagaatgtc agaattggac agaaaatatc
53461 tgccctccct tcctactata aagagaaact Raggcacaga aaggcgcaga cagtgaccca
53521 agggtccagc aggagctact ggcaaagcca gggtttcccc aaccaggctc agtcgtggct
53581 ggtggccagg gactcacctc cctaggaggc cgaggtggcc catgtgggtg tggagttgga
53641 aattggggcc agcctttatc tgctgctccc ttctgccctc ttgctcctgg, cttcacccag
53701 ggaagtgggg gatgattaga aaatcaaggg gattctgctt tttttcctta ctactcgccc
53761 cctttgtcct gtgggtttcg tttgttttcc tcatctctgg acccccattt gccgtaagga
53821 aaacagatgt tcgaggacag aaatggaaag accccagctg ggaggctgca gatagtgcat
53881 cagctgggat ggcRttgggt ggtgtggaac agggaccccc atagaagctg aggtttctta
53941 tataaggaaa ggctagaggt ggcactccag gcctctgtgg cactgctggg gaccccagct
54001 cccccatctc tcggccctgc cgtccatagc aggcagcttt agccctcatg tgtggccacc
54061 tcatggtctc gccttggctg ccccacctcc cactttatct ccacattcca ggtgggagga
54121 ggagaagggc agagggctcc ccaatcactt ctgcccacat ctcattggcc agaaccgggt
54181 cacatcgcag ggccacctct agctgcaaga gaatctggga agctgagcaa ttcaaaccag
54241 gcacactgct gccccccaca caactggggt tctgccgtat agaagaggag actggatctt
54301 tgggtaggtg actagcagtc cccgctcagt gtggctctgc tctgtgacca caggacatat
54361 ggtgagcaca tgtggcgtct ctgcgtggat cacagaatga agcctgttct ctgggccaac
54421 acaggccttg gccaagagag agtaggctgt gttaccccca ccccccactc cctgtttgta
54481 tgccctggtg caggcacctt cactctctgt gcctcggttc ccagtttgat caggtgagat
54541 atcattcacc tgccatcctc atttttgggt gggttgtaga tcatatcacc ttaccgttag
54601 gattttcttt aaaccaatct atttatttat tatttatttg agacagagtc tcactctgtc
54661 acccaggcta gagtgcagtg gtgcgatctc aacttactgc aacctctgcc tcccaggttc
54721 aagtgattct cctgcctcag actcctgagt agctgggatt acaggcgtgt gccaccacgc
54781 ctggctaatt tttgtatttt tagtagagac ggggtttcgc catattggcc aggctggtct
54841 cgaacttctg acctcaagtg atccacctgc ctcggcctcc caaagtgctg ggatcacagg
54901 catgagccac cgcacccagc caattcattt atttaaataa gaaacttgac aatactatag
54961 taatccccac agcattcaca gtacttgtca ttgataactg tcagctggca caatggctca
55021 tgcctgtaat cccagcactt tgggaggcca aagcaggaag atcgcttgag gccaggagtt
55081 tgagcctggg caacatagcc agaccctgtc tctaccaaaa aaaaaaaata gccaggtgtg
55141 gtggtgtgca cctgtggtct cagctactgg ggaggctgag gtgggaggat tgcttgagcc
55201 tgggagtttg aagctgcggt gagccatgat cgtgctgctg cactccaagc ctgagtgaca
55261 gagcaagacc ctgtctcaaa aaaataaaaa atttaaaaaa aaagataact gtcaaatata
55321 ctaaaagcaa atcgacacgt gcctttccct gtcctgtcct gaggatggct tccaaccgga
55381 ggcctgcttt gtctttgttg taaaggaata tttgccagga ttagaaaggt gttacagatg
55441 gggtagcacc aaacagagac tttctccatg tttgaaagga agtcaaagag ggaatcactc
55501 cctatgtgtt cgacacctcc tcaaaaccat ctcccaggcc tcccggggat gcccagatgg
55561 tgttggtggc tcctgcctgg gctgacagtc ggccatggag tatacttacc cttccccaca
55621 gagacattcc atctccagac acccagagac Rctccagaat ggaggtcctg agggagaagg
55681 tggaggagga ggaggaggcc gagcgggagg aggcggccga gtgggctgaa tgggcgagga
55741 tggagaaaat gatgaggcca gttgaggtgc ggaaggagga aatcacctta aagcaggaga
55801 cgctcagaga cctggagaag aagctgtcag agatccagat cactgtctca gcggagctcc
55861 cgtgagtgtg gcagggtggg ggccctggca agggtagacc ggggctgggc acagggagac
55921 ccaggcagag tgctggtgcc tggtctggta gggtgaccag gagatagagg gaagcagtta
55981 tgagtgaagg ctttctgctt tcaaatggcc tgggccgagt gtccatgctc tcccaactag
56041 ctgtgtgacc ttgggcaagt cactcagcct ctcggtgcct cagtgccttt atctgtctaa
56101 aagtgcaggt gctggccagg cgctgtgtct cacatctgta gtcccagcac tttagaagga
56161 aaaggtggga ggatcgcttg aggccaggag ttcgagacca gcccgggcaa catagcaaga
56221 cccccccacc catgtctaca aaaaatacaa aaattagcca ggtgtggtgg tgcctatagt
56281 cccagctact tgggaggctg aggtgggagg gtcacttaag cccaggagtt caaggctgca
56341 gtgagctatg attgtgctat cacactccag cctgggcaac agagcaagac ctgtctctta
56401 aatatatata tgaaaatgtg cagatgttaa tgatacctgc cttctcagta gccgtgagga 56461 ttaaatgagg aaggggtaga gccaatggca actcagtgga accagggctc ctgtgtgcca
56521 ggcatggctt ccctaatgcc atccctgttg tggcacaggg cctttaccaa ggacactatt
56581 gacatctcca agctgcccat ttcctacaaa accaacacac ccaaggagga acacctgctg
56641 caggtggcag acaacttctc ccgccagtac agccatctgt gcccggaccg cgtgcccctc
56701 ttcctgcacc ccctgaacga gtgtgaagtg cccgtaaggc tggcatgttg agggcagggc
56761 tggggagcct ggggctggag agcagagggc acagggaagt ggggcaggtt ctccaaggtc
56821 actgggccaa atcacggacc tcctgtgggc cagagcgctt ctagtctggg ggcaacataa
56881 agtcgaacgc cagcaggcct cagcaggctc agtgcagatt accctggagg gcggtggtgg
56941 tctggagacc ccatgccccc gcctaaagag gcagctgctg attgctgcgg ggaaactgca
57001 ggcctggggt tacctgatca agaggagact cgggatttgt gtgggagtct ctggttttta
57061 aatgctggca gctgacataa atgctaaaca ttgccacgtg ggccaaataa agcgggtctg
57121 tgggtccctg tcagctcgtg ggcagctgtt tcccaccccc tggatgaatc ccatgtcatt
57181 ccatctacag atggagaaac tgaggcccag aaaggctcag agacatgctc tgggtcacag
57241 ggctggaagg aaaaagccag agcttaggtt cttatgcctg tcctggtcca atttgtctta
57301 tttctctgtc cttccctgga caggctgacc tctgaggctt cagactgtac tggtcgccag
57361 ctggccccag cccagaacct ctgtaggccc cagggagagc atcgctcctg ggaggagagc
57421 acagtgctcc caggaacccc aggaaacaga cctgatctcc tcattcagcc ctgacttgct
57481 gggtcacctc aggcagctct caagcctgct ctgggcctca ggtgtctcca caatgcccta
57541 ggggttgaag gcggcaaaac ttcaaagccc ttcaaagtcc agatccagaa tatgcttgtg
57601 ctgtctccgg gtgctggcaa catgataagg gcctcccagt cattgccact gcgccactga
57661 tggctgccat gtgccagatc tgggcatcac cttcccagcc aagggctgct ctgccacccc
57721 aggtcatgtg ggcctggcct cctgcatttg ctcaggcctc tagggtcccc ctgtggattc
57781 aaggaaggσc ccaagcttga tctcacaagt tcttattgcc ttgaccccac tggcaccatc
57841 tctctccttg cagaagttcg tgagcacaac cctccggccc acactgatgc cctaccccga
57901 gctctacaac tgggacagct gtgcccagtt tgtctccgac ttcctcacca tggtgcccct
57961 gcctgaccct ctcaagccgg taagcaccac tcacaggctg catgcctgag cccaccagga
58021 ctaagatggt gtgagaaaca aactcaccca tccaaaccca aagaatggac ttagaggccg
58081 ggcgtggtag ctcatgcctg taatcccagc attttgggag gccaaggcgg gcagatcaca
58141 aggtcaggag tttgagacca gcctgaccaa catggcgaaa ccccgtctct actaaaaata
58201 caaaaattag cagggcgtgg tggcacatgc ctgtaatcct agctactggg gaggctgagg
58261 caggagaatc gcttgaacct gggaagcgga agttgcagtg agccaagatg gcaccactgc
58321 aotctagcct gagtgataag agcaaaactc tcaaaaaact ctctcaaaaa aaaaaaaaaa
58381 aaaaagaatg gacttagaga cctggagaac agcgaaagtg agacttttaa tgatggtctt
58441 gcaagattgg gtgtctgata ggcagacaca cccagcatag ttttaacaag cagtttatcc
58501 cctagtgcgc aggtccctcc cctggttcct cacaggctga gtactatggg gtcacaatct
58561 tcccagacat cgcctattga ttgttaggσa ggggctttag gtgttttttc tagggttgtt
58621 ttgcagcatt ttattgcaac ccacaatgca ttgcaatcct agttagctca ggggctcttt
58681 aagtatttga cttatgacct gagtagctgg gcaggctgat aagaacagac aaagcgagct
58741 attttgcaga ctagtaaact tttatcttag gctaaacttt tttggtttga gtgagggcaa
58801 ctaaggcggt aggtaagggg gaggaaggag aaggctgaca aacaggcatt ggctattcaa
58861 gcaggggcct agtatatcct ggggtttttg tagtttgctg acctaagcct attcaaggca
58921 ctttgccttg gaaacggatc actgtgtaca tgatttcctt caatgggatg tcaggcacgg
58981 tctgggaaaa ggaagctcag ccaggctcag ggtacagcct ctcagggccc ctaagggcaa
59041 acaggcctag agagagacag ccacttgcct gaggacacac agcaagcctg ggcttctggt
59101 tcccacctct tttctccttt gcattcagag cttccctgcc atggcttcaa gcggtacagg
59161 aaagagagag gggaggcccg gctgcccgtg gccctaaccc catctttggg cttctgacca
59221 aattcgtcag cttctccttc agaatagagg gagggaggaa gaaagggcaa ggtcaacagt
59281 ggagaactga taaagggagg aggaggaaag gtgggtatMg aaggaagggg gagcattgga
59341 gcaaaacagt aaacttacca gtcagagggc attagatcag acactcctac agtccagaag
59401 gtttccccct atcaggaagt ccatagcccc ttcaaatgac aggcaaatgt gaatggcatg
59461 gtgtctggtt gtcattccat tcttagcagg ctccctgacc ccacaagggt taggggccca
59521 aagcaggtcc agcctgtgca ttggtcctgg ctccccaccc tgacaggtgg tgggctgtga
59581 ccggtgggga ggacaggctg gggcagcggg gccccagctg tgctgaccgt cccactgtga
59641 ccagccctcg cacctgtact cctcgaccac tgtgctcaag taccagaagg ggaactgctt
59701 .tgacttcagt acgctgctct gctccatgct tatcggctct ggctatgatg cttactgcgt
59761 caacggctac ggctcgctgg acctgtgcca catggacctg acgcgggagg tgtgcccact
59821' cactgtgaag cccaaggagg tatggtcggg cttgagctgc ccgggtttcc caaaggatga
59881 acattcccgg tgctgtcgtg ccatccttag agacgtccat cactgccgcc tcatccccag
59941 ccctggccac gcggacacag atccctcacc accagccctt ccgctgccct ggagttcata
60001 tttcaaacca ccagtgattt atgtcctcgg tgtcttaaca catccagccc agttttccaa
60061 gctggctgtt cttctctgtc tgttgtaact cagttttcag ctactatgct ccctgcttgg
60121 taaattttat gaatgccaca tagcttatat cttaagtcaa acgattccaa atttacccta
60181 tgcatttgat aaaaatccag ccagccattt ttatataaga aaataggcca ggtgcggtgg
60241 ctcatgcctg taatcccagc actttgggag tccaaggcga gcaaatcact tgaggtcagg
60301 agttcgagac cagcctggcc aacatggcga aaccctgtct ctatcaaaaa tacaaaaaaa 60361 ttagccacgc atggtggcat gtgcctgtag tcccagttac tcaggaggct gagacaggag 60421 aatcacttga aacccgggag gcaaaggctg cagtgaactg agattgcgcc attgcactcc 60481 agcctgggtg acagagcaag actccatctc aaaaaataaa taaaagaaat aaaaaataac 60541 agacaagtga acagacattt ggttctcagt cccacactcc cgaggtaaaa agcctgcttt 60601 ttttttgaga cagggtctct tccactctgt cactcaagct ggagtgcagt ggcatgatct 60661 cggcccactg caacctcaac ctcctggact caagccgtcc tcctgcctca gcctcccaag 60721 tagctgagac tacaggcgag taccaccacg gccagctaat tttgtttgtt ttttataggt 60781 tctcactatg ttgtccaggc tggtcgtgaa ctcctggact caagcaatcc tcccgcctca 60841 gccttccaaa gtgctgggat tataggcctg agccaccgtg cctggccctc aaggcccctt 60901 tttaatagca aaaaaaaaaa aaaaaaaaaa aaaaatcacc aactgttcag tggctggtgg 60961 ctgtgttttt agatctgctc attaagatct ccataaggac cacaggctgc tacagacaca 61021 agaaatactc tggaatgaat atcagaatca caaatgcatc tctttacatt tagaaaatag 61081 tcatgctaca gacagaaaat gctcttcatg aggtggatta attccaggac tctgggatca 61141 gggtcaggct cctgtgggtg tccgcagctt ggagatgggg atccagggac ctgaggcatc 61201 cagcaggatc actgtgtacc tgggttatac ctgggtgagc acccagggac cccagggtgg 61261 gtgctctggt gggagaaggg cgagacagaa ggggaagcac aagaagagcc ttgctctctc 61321 aggcccacct ccccaagaga agatggagca cgagctccgc catggctttt ggcttcaaaa 61381 gcctctggct gggcacggtg gctcattttg ggaggctgta atctcagcat tttgggaggc 61441 tgaggcaagt ggaccacttg agcgcaggag ttccagacca gcctggccaa catggcaaaa 61501 ccccgtctct actaaaaata taaaaattag ctgggtgtgg tggtgcatgc ctgtaaaccc 61561 agctactcgg gaggctgagc caggagaatc gcttgaacct gcaaggtgga ggttgcagtg 61621 agctgagatc gcaccattgc actccagcσt gggcaacaga gggatactct ggctccaaaa 61681 aaaaaaaaaa aaaaaaaaag cctctgagct cccacccggg catctcagct ctcagctcag 61741 ccaaaagctt aatgattaac attatatcaa taacaaacag atgcagagaa ctttcgggtt 61801 taaaatccgc tttcatgtcc attgtgcttg ttgctcccca cgatggccca gtgtggtaga 61861 tattgtcact tttatgttac agatgagtat gttgatgaaa tcaaaaggta acataatgtg 61921 gccaaagtca cacagcagga aaatggagac tcagggaact tgaaacgctg gagattcact 61981 atttctcctt catgactatc acaggcccac ctctgcagcc tctgcagtgc tctttcctgg 62041 gaatacttct tgccacttag cacacatttg tagacacgca agcgtacaca cacacacaca 62101 cacacacaca cacacggttt cttctccttc ctggcccagc aaactgttaa agtcaacata 62161 tgaggccctc cgatgacaag atctgaaaaa tccaactcct gacaattctc cccacttctg 62221 gatcagaccc aggtcatggc taggatgggt ggtgaggatt gaagaggaga aagccacacc 62281 tcctgagctc ctggccctga caggtacctc cctcgggcat tttttctgtc tttacttctc 62341 agaaagaggc tggggagaaa gttcctatta ttctcacacc atgaacctga gattcagaga'62401 agtgagagga cctcccaagg tcatggagct ggagctgcat ttagagccag aaaggccaca 62461 ggctacagga gtagctgcca tcccccggtc tgagggactg gctgggcggg tctcacctct 62521 tggagttgca catgtaaagg ggggatgcag ggccactgac ccttcctctt cttttgggtg 62581 acagaccatc aagaaggagg aaaaggtgct gcctaagaag tataccatca aaccccccag 62641 ggacctgtgc agcaggtttg agcaggagca agaggtgaag aagcagcagg agatcagagc 62701 ccaggagaag aagcggctga gggaggagga ggagcgcctc atggtgggtc ctcagccctg 62761 aatcccctgg gctcagctat cgagaaagga ctgctaggga tgggaaaaga ggcataggtc 62821 atggagggga tgtgtgtatg gaccccccaa ctaggtccac ctcacaatca cccccaacct 62881 ctacctggcc ctgcaggaat ctcccactgg tggtcagcca gcttctcatg atggactcct 62941 aacatcaggg cactgtactg cctggggcag cccattctat gctaggcagc tctggtgtcc 63001 tctttgctct agactcttac tggggatata cctgcataca ccctcccatc cattcatcct 63061 cccatctctc ctcccatcca tcctcccatc tcccctccca tccatcctcc cattcgccaa 63121 tccatccatc catccatcct cccatccatc ctctgatctc tcctcccatt catcctccca 63181 tctgtccatc tcccatccat ccatcctcct acccaacctt ccatccatcc atcctcccat 63241 ccacccatcc tcccatccat ctgtcctccc acccacctcc catccatcca tcctcccaac 63301 catccattct cccatctctc ctcccatcca tccttccatc catccatcct cccacccatc 63361 ctcccatcca tccatcttcc catccatcca tccatcctcc catttatcct cccatccatc 63421 atcctcccat ccatccatcc tcccatccac cctctgatct ctcctcccat ccatcctccc 63481 atccatccat cctcccatcc atccatcctc ccatttctcc tcccatccat cctcccatcc 63541 atccatcotc ccatctatcc accctcctac ccacttattc tcccatccat ccatcatccc 63601 actcatcctc ccatccatcc atccattctc ccatccatcc tctcatccat ccatcctccc 63661 atccatcctt ccatccatcc atcctcccac catcctccca tccatccatc ctcccaccat 63721 cctcccatcc atccatcctc ccatccaccc atcctcccat ccatccatcc tcccattttg 63781 cctcccatcc atccatcctc ccatccatcc atcctctcat ccatgcttcc atccatccat 63841 tctcccatct tcccatccac ccatcttccc atccacccat cctcccatcc tctcatccat 63901 ctatcctccc atccacccat cctcccatcc atccatcctc ccacccaccc tcccatccgt 63961 ccatcctccc aactatccat cctcccatcc attctcccat ccatcctccc accatcctct 64021 gatccagcca tccttccttc catttctcct ccaacccatc ctcccatctg tccatcctcc 64081 catccatcca ccctcctacc cactgttctc ccatccatcc attgtcccac tcatcctccc 64141 atccatccat cctcccattt ctcctcccat ccatccatcc tcccatccat ccgtcctctc 64201 atccatgctt ccatccatcc atcctcccac cctcccatcc acccatccac ccatcctccc 64261 atcctcccat ccatccatcc tcccatccac ccatcctccc atccgtccat cctcccaccc
64321 acccccccat ccgtccatcc tcccatccat tctcccatcc atcctctcac catcctccga
64381 tccatccatc cttccttcca tttctcctcc aacccatcct cccatccgtc catcctccca
64441 tccatccacc ctcctaccca ctgttctccc atccatccat tgtctcactc atcctcccat
64501 ccatccatcc tcccatccac ccatcctccc atccatccat cctcccatcc acccatcctc
64561 ccatccatcc atcctcccct ctctcctccc atgcatcctc ctatccattt ttcctgccat
64621 cagtcctctc atccatcctg ccagccatcc tcctacccat ctcccatctc ttcttccaac
64681 tccacactcc tatccttcct ccaatcctct ttccccactc ccttctttcc tttccttcca
64741 tagagtattc cttgagcttc ttttctggtc cagacctatt tatacataac aatgaacaac
64801 aagacagtca cagttctctc agagggaggc agataagaaa ggtacttggt ctcccatttc
64861 ctttctgtgg atgaaacctc acccaaagtc ataacatata aagccggtaa cccccagatg
64921 cccagtgccc caaagagtcc gatttgtaaa ccacagatct agtcagactc tcccattgtt
64981 ttgattttac aaatgggctc agtggttggg tgatgggagg ggagatgggc cgtcacactc
65041 cggttgatgg tgcagtctac atcagaactc agctctcctg ctggttcccc agccccaggg
65101 agatgtctgg gcccctgaca ctcctcttcc agccatctga ctcgtagtca cccacctttc
65161 cttggcagga agcggagaag gcaaagccgg atgccctgca cggcctgcgg gtgcactcct
65221 gggtccttgt gctatcgggg aagcgcgagg tgcctgagaa cttcttcatc gacccattca
65281 caggacatag ctacagcacc caggatgagc acttcctggg catcgaaagc ctgtggaacc
65341 acaagaacta ctggatcaac atgcaggatt gσtggaactg ctgcaaggtg cctagggagg
65401 gggagctggg tgggtgtggc aggcacagtg caggtgatag gaatagaggg aagcaatggc
65461 agccagacct tggggagagc gagacaccag gccacgaggg ctttgaacct tctccatagc
65521 tgcgtctcca tggcccactc ccttgcccat gaataaccat tctgatacga ttattgtctc
65581 tcctgatttg tgtatccttc taaagtgtgg attgtttgaa tgcatttttt aaaaactcta
65641 tattgaagtg taacctacat gcagaaaagt acactcatcc catgcataca tacagttcag
65701 tgaaatccca caaatttaac acaccttggt ttcctacacc cagaccaaga aatagaatat
65761 tgcccaaacc ccacaaagtc cctttgcaca attactatct tcctccaaat gtatttttaa
65821 ctcacgtatg tggcactggt acacacacgc gcctacaaga gggtacagag gaggtcacaa
65881 tcctaagtgt acataccatt gaattatcac acactgaaca cacctgtgta gccaggacca
65941 ttagaagccc cctcatgtct cctcctggcc accaacccta ccatcgtccc cagagttaag
66001 cactatcttg acttctaacg acatccatta gtttcatctg tttttggagt ttacatcagt
66061 tgaatcacac agtgattcaa tactcttact cttggattcc ttcactcatt atgtttatga
66121 aattcattgt ggttttttgt gtggtttgtt cattttcatt ttttattact ttccattatt
66181 tgaatacacc agaacttatt tgtcctttct acagttgcac attgagactg tgtccagttt
66241 gggactattt tgaataatgc cgccatgaat atttgtatac atatatttca gtgaacacat
66301 acacacattt ctgttgggta actactgagg ggtggaatcg ctgagtcaca gggtgggcac
66361 atactcagtt ttagtagata ctgcccgatt tctcaagtga ttgcatccat ttacactccc
66421 accagcaatg tatgagggtt ctcagagctc catccacatc cttgccaata ctggatactt
66481 tcttttccat tttagctatt gtagtggaca tgtaatggta ttgcactgtg gttttattta
66541 atgcaattga tttttggctg agtgtggggg ctcacacctg taatcccagc actttgggag
66601 gctgaggagg gtggatcatt tgaagtcagg aattcaagac cagcctggcc aacatggtga
66661 aaccccgtct ctactaaaaa tacaaaaaat agccaagtgt ggtggtgggc acctgtaatc
66721 ccagctactt gggaggctga ggcagaagaa ttgcttgaat ctgggaggcg gaggttgtag
66781 tgagcctata ttgcgtcact gcactccagc ctgggcgaca aagcaagact ctgtctcaaa
66841 aaaaaaaaaa aaaagcaatt gctttttgca aactgttcac atatccagta agttttaaac
66901 ctgcttattc attttaaaaa ttaatctgta aagactttgg ggttttctgc atatacaatc
66961 agttctatag ctgaatgatg gccgttttgt ttcttcattt ttaatcctta tactttttca
67021 tttctttttc ttgttttatt tctctggtta gtacatccag tataatgtca aattgaagtg
67081 gggattctga acatccttgt ctcagtcctg attcacaagt aacgccttag tatcataaca
67141 tttcactatt tgtgtgatgt ttatcttgac tgtagggttt ttatagctag ctacccttta
67201 tttaactaag ggatttcttt ctcagttcac tagcaggttt ttttttaatc aaacaaaatt
67261 tgtttatatc aaatgttttt ttcatctatt aaatgatcat aattttttct tctattaagt
67321 ggtaaattag actgattgtg ttcccccctt tttaaaattg aggtgtaatt gacataacat
67381 aaatccacta aagtgcacaa gttagtggct tttagtatat ttacaagatt gtgcaactat
67441 caccactatc taattccaga attttttcat caccccaaaa gaagattttt atttttgaga
67501 cagggtcttc ctttgttgac caggctggag tgcagtgatg caatcacggc tcactgcaac
67561 ctctggactc aagcaattct tccacctcag cctcccgagt agctgggact acagactgca
67621 ggcatgtgcc actatgccca gctaattttt gtatttttta tagagacaaa aaatgggttt
67681 tgcaatgttg cccaggttgg tctcaagcaa gccacccacc ttggcctcca aaagtgctgg
67741 gattacaggc ttgaaccact gtcccgggcc ccaaaaagaa gattgtggtt gagattatac
67801 tggatccata gatcaattga gagagaaccg ttttcttaac aatattgaat ttttcaccca
67861 tgaaccatgg tatctctctt cagttattta agtcttttaa aatttctatc agcaacattt
67921 tgtaggtttc agtgtacagt tcttgcacat cttttgtcag atttattcct aaatatttcg
67981 ctttttgatg ctatgatttt tttaaatttc accttctgac tattctttgt tagtgaatag
68041 aaatgcagtt gatttttaca tattgatctt ctatcctgaa atcttcccaa attcacttat
68101 ttgccctaat agcctttgcg tggattccat caatgtttat acagataatt atgttatctg 68161 tgaataaaaa cagttttact tcttttccca tctggatgct tttcttccct tatcacactg
68221 gctggaatca tcagtaaatg ttaaacagaa gtgatgaaag caaacctgtt tattcctgat
68281 cttacggaga gcatttagtc tgataccatt aagtatagta ttagccacag gtttctctta
68341 ttggttccca ttatcaaata aaggaagttt ttctccagtc ctagtttgct gagagttttt
68401 tcagaaatag atgctagatt tttgtcaaat actttttctg agtctattga gattattatg
68461 atttttcttt tttagtttat ctacatggta agttacttgg attgattttg aatgttagac
68521 taaccatggt tttcctggga taaacctcat ttcattgtga tggttaaatc ttttatatat
68581 tattggtgtt gaactgaaaa ttttgcttag aatttctgta tctttgttga agagagatat
68641 tgttctgtag ttttcttaga atatatttgc caggttttgg tatcacagta atgctggcct
68701 catggaatga gttgggaagt ttcccttttc ttcagttttc tggatgagtt tctgtagaat
68761 tggcatgatt tcctttgtac gtttgctgga cttcacaagt gaagccatct ggggctggaa
68821 ttttctttgt ggaaggattt taaggtacaa attcaatagg aagactcaag ctgtttttga
68881 gtgaggtttg gtgtttgtat ctttcaagaa atttgtccat ttcatttgtt ttcaaattta
68941 ttgttatgaa agtgttcaaa atagctcctt attttccttc taatatgtta aagtctttag
69001 tgacattacc ccattcattc ttaatattgg tagtttgtgt gttctctctt ttgctcctga
69061 tcaatctggt tagaggttta tcaattttgt tgctcttgat gcaggggcag gccccaaaat
69121 cagggctttg ccagtgagga ttcgtggctt tttccaggaa agaattcaag ggcaagctgg
69181 tggtgttaga ggcaacttta cttgaagtgg cagcgtacgg cagcagcaga tggactgctc
69241 cttgtggagc agggctaccc cataggcagt gtgcccagat tgtaaccacc caaggggttc
69301 accttgccag ctgcctagac agagctgatt caagactggg gaattgcaat agagaaagag
69361 taattcacgc agagcaggct gtgtaggaga ccagagtttt gttattactc aaatcagtct
69421 cccagagcat tcgtgcattc agggagcaga gtttttaggg acaacttggt gggttggggg
69481 atgccaggga accaggagtg ctgattggtc agagatgaaa tcacagaaag tcaaagctgt
69541 cttcttgcac caagtcggtt cctgggtggg gctcacaaga tcagatgagc cagtttatcc
69601 atctggtggt gccatctgat ccatcaagtg tagggcctgc aaaatatctc aagcactgat
69661 cttaggagca gtttagggag ggtcagaatc ttgtagcctc cagctgcatg actσctaaac
69721 cataatttct aatcttgtag ctaatctagt ccctaagcaa gaaggaggtc tgctttggga
6,9781 aagggctgtt attgcctttg ttttaaacta taataaacta agtttctccc aaagttagtt
69841 cagccttcac ctaggaatga acaaggacag cttggaggtt agaagcaaga tggagtcgat
69901 tgagatctct ttcagtgtct tagtcataat tgtgcaaagg cggtttcaag agtagcggct
69961 cagaggcagt tcσacagtca catttatatc cactttaatc atatgcaaat taaggggcag
70021 attatgcaga aatttctaga aatagagtgg taacctctgg ttcactttgt cattgccatg
70081 gaaaggtgta atttctgggt gttgccttgg ccccgtttta gotagtcctc aatttggtcc
70141 agtgtctgag cccccagctt ggaagtcaag tcccaccttc tggtcagtaa gtcccacctt
70201 attgtcaata aaccagtttt tggttttgtg gtttttctcc gttgtttttg ttttctatct
70261 cattgatgtc cactctgatc tttattattt tatactttat gcttactttg agcttcattt
70321 acttttttct agtttcttaa ggtggaagct gagatgattc atctaagact gttttttgtt
70381 ttgttttttt tttgagacag agtttcgctc ttgttgccca ggctggagtg caatggcgcg
70441 atcttcactc actgcaatct ccacctcctg ggttcaagcg attctcctgg ctcagcctcc
70501 tgagtagctg agattacagg catgcaccac gcccagctaa gcctgttctt ttctaacata
70561 agccttcttt ctctcggaag tactacttta gtgacatccc acacatttta ctctatcatg
70621 tattcatttt ctttccattc aatatgctct ccaatttccc ttttaatttc tcctttaatt
70681 catgggccat ttgaaaatgt gtttagttta cagatattta gaaactctct agagatattt
70741 ctattgttga tttctaattt aattctgtag tgattagaga atataacttg gtatgacttc
70801 tattatttta cacttgctat agtttgtttt atggaccata atatggtctg tctaggaaat
70861 tcaccaaatt cttaatatag tgaattttct gtgtgtactt gacaagaatg tgtattttgc
70921 tgttgggtgg aatgttctat aaatgtcaat aatctcaagt tgattggtag tgttattcaa
70981 atcttatata tctttgctga ttttctgcct acatttcttt caattattga caacattatt
71041 gaaatgttgg gctacaattt tggatttctc tatttcttct ttcagttcta tcagtatttg
71101 cttcatgtat tttgaagccc tgctattaga tgagtaaatg tttgagattg ttatgtcctc
71161 atgatgaatt aacctctcta tcggtatgaa ataatcagct ttatccctag taatattttt
71221 cattctgatg tctattttgt ctgatattaa tatagccact ggagctttga tttgtattag
71281 cattggttat cctctttgca gaactgtgag tccattaaac ctctttttct ttgcaaatta
71341 cccagtctcg ggtatgtcta tcagtgctct ttcgttgtct cgaaggcact ctgtttctga
71401 ccaggccagt ttcccttggg ccctttttaa ggtgaccctg aggaacggct cgctcatttg
71461 tttggtggct tggactgtct gtσcatctgc atggcggacg tagccagtct gctgctcctg
71521 aactcccgtc tcaccatcct gtcccagctg ccctcatggt gtatgagcct cttcctgcaa
71581 caacaggtca gaatactttg gggcagcaag taggtcagct acctggtccc tttagttaca
71641 ctcagtacat tgccagcatt gatgggaggt gcaggttgtt cacaggctta acaccaaaac
71701 tgcctgggag tccatggtca agttttgcag tagtcaggac ctggaaatgt acagaaagct
71761 gtctcatctt cctttgaccg agttatcatg gagataactc aagtgataat cactcgttct
71821 gttgctaccg ccatcacaca tcccttctgc atgattactg agatttgtgg tacaattcac
71881 tgacagagag tccaagtact gtgaactttg tgactccata gtaaccatct attgagaaga
71941 aggcatccta ggatttctca tgtgtcttat tcctcacctc ctaggcaaca tcatttcttt
72001 atggctctgt aactcactgg cctacctcat caatacctat gcactctggt ggggcatggc 72061 ggcttacgcc tgtaatcctg atactttggg aggatgaggt gagaggatcg cttgagctca
72121 ggagtttgag acaagcctgg gcaacaaagt gagacctcgt ctctataaaa aaaaattcaa
72181 aaaaattagc caggcatgat ggcatgcacc tgtagtccca gctactaggg aggctgaggt
72241 gggacgattg cttgagcccg ggaggtcaag ggtgcagtaa gccatgattg tgccactgca
72301 ctccagcctg ggcaacagag agagagagtc tctctctctc tgtcacacac acacacacat
72361 acatatgcac tggacagtga ggtttctatc gggaatgaaa tgaagagtat gaagagttat
72421 tctcaagatg tcacagcact gtttgccagt atgttgacct atccctttgt gcttgtctct
72481 aatcttatgg ctgtcaacag ccatgggctt gctggtggac ccccttcttc cttcccagta
72541 tatactactt gcatacattg ctggtgcatg ctacaaaaag agggaaatat gagccgagga
72601 aatagcttgt ttttcccaaa gcatcccttt gggaagactt gttgtgacct gagaatgcta
72661 atttgaagat gtagggcagg acagtgacat ttctatagtc ccagatgcac caaattatgg
72721 gagacaatgt tgatttctat atagttttcc acacttttat tttattttat ttttgagaca
72781 gactcttgct ctgtcaccca ggctggagtg cagtggcgcg atcttggcac actgcaatcc
72841 ccgcctcccg ggttcaagtg atcttctcac ctcagcctcc tgagtagctg ggattacagg
72901 catgcactac cacaagtggc taattttttt gtatttttag tagagacagg gtttcaccat
72961 tttggccagg ctggtcttga actcctgacc tcaagtgatc tgcccacctt ggcctcccaa
73021 agtgttggga ttacaggcat gagccactgt acctgatgac ctgctttttt aatggtcatt
73081 tagtcttggg gaatgaataa ataagtaaat aagtgtcaga ggggcgactg ccagcccctg
73141 cgggagacag gcagacttga tgcatgattg ctttgccggt tgctctgtct ttgtgaagaa
73201 gtcagaagct ctgagatgag aaacttctgc cttcagcaaa ggagaYgcct ctcRtcactc
73261 tgcctccctt aggcactgat tccagggttg tgggaagtaa cactcagtag atgcttagaa
73321 tagtctctag ctgttcaata aatgttaact attgttgctc ccatcttaca ggtaaggaaa
73381 ctgaggccaa gtaaagtgag Rtcatttctc ccacgccaca cagagggggc agagccgaca
73441 ctgccctccc ccagggcctg ggctcataag caccaYggtg gtcggtgtcc tctgaaggat
73501 aacagccctt cagaggatgc tacagtcctt cagcccctct tccagcctga atgtcctcat
73561 ctcatccatc aggctcYgag gtgaaggtgg aagtgaggcc agaggggcag tgctgtgcca
73621 agtgagggca tgaggaagag atgatggcat aggctgtcac ttttaccagc acacgaacat
73681 tggagcagct gctttgtttc ttcaaagaac cttgaaatag cgaggggttg gaggaggatg
73741 gcaaggcatc cacagagtga ctgcctggcg caaacgtacc ctgggcacat ggatgtggct
73801 gttgtccatt caattatgct ttttctaaag aaatagaact taagttaaag taacaaagca
73861 taatatctaa ctactgctta cactggttta caaaagtaac aaaatttagg ccaagagtgc
73921 gaataggttg gccgggcaca gtggctcacg cctttaatcc caggactttg agaggccgag
73981 gtaggtggat cacttgaggc caggagttca agaccagcct ggccaacatg gtgaaaccct
74041 atctctacta aaaatacaca aattagctgg gtgtggtggc gggcacctgt aatcccagct
74101 actcaggagg ctgaggcatg agaatcgctt gaacccagga ggcagaggtt gcagtgagcc
74161 gagatcatgc cactgcactc cagcctgggc aacagagcaa gactccatct gaaaaaaaaa
74221 aaaaaagagt gaaaaaaggc aaatatctat acaattgggt tcctatccac taagcccatt
74281 aagctttgcc acagtcgctg tgacatctac cagcagttct ctccccaact ctcctctgct
74341 gtgcccccca cttctctccc ctccacccac gagctagggc agagaaatac tcaggagccc
74401 tcccaggacc cacacatgac agtgagtact aggcttagag ttggcttcag gacagcttaa
74461 tattaacacc cctccaggca gctgttctgc agcctctgat ttcctctgga acatgattta
74521 gggtggggag aacaccttgc tctaggaagg ttgattagaa tgtgaggtgc tccccacctt
74581 ctaggaatta tctgacagat gagccacttt tattgagggg actgaggact caggtgggct
74641 gggtgaaaag aggtcaggag tttgagacca gcctgaccaa catggtgaaa ccctgtctct
74701 actaaaaatg caaaaattag ctgggctgtg gtggcgagca cttgtagtcc cagctactca
74761 ggagactgag gtaggagaat cacttgaacc ggggagatag aggttgcagt gagccgagat
74821 cataccactg cactccagcc tgggcaacag agggagaccc tgtctcaaaa aaaaaaagaa
74881 aagaaaaata aaagaaggtg gcagacacac tccatggagg agaaattccc acccacctgc
74941 tgtttttttt ttttttttgg agagacaggg tcttactctg tctcccaggc tggagtacag
75001 tggtgtgttc acagctcgct gcagcctcaa cttcctggaa tcaagtgatc ctcctgcctc
75061 agcctcccaa gtagtcagaa ctacaggtgc ataacaccat gcactggctt aaaaaaaaaa
75121 aaaaaggcca ggcacggtgc ctcatgcctg taatcccagt actttgggag gccaaggcag
75181 gcgtatcact tgaggtcagg agttcgaaac cagcctggcc aaaatggtga aaccccatct
75241 ctactaaaaa tataaaaatg agccaggcat ggtggcatgt gcctgtaatc ccagctactc
75301 aggaggctga ggcaggaaaa tcgcttgaac ctgggaggca gaggttgcag tgagccgaga
75361 tcacgccact gcactccagc ctgggcgaca gagtgagact ctgtctcaaa aaaaaaaaag
75421 aaaagaaatt gtggagatgg gatctccctt tgctacccag gctggtcttg aactcctggg
75481 ctcaagtgat ccttctgtgt tggcctccca aagtgctgga actacaggca tgagccacca
75541 tgcccggctc tccacctgca tcttatgtat aacttccacg tgtgcctgcc tatttccctt
75601 gttcctggca tgggtaaaat aaacaggagg aagccttttt aaaaaacctt ccacttcctg
75661 ggagttgcta gacccttctg ccatcaaatc ttgctggttt gttttcattg gctctaagca
75721 ctgcccagcc gatgcggaaa gacctgcaca tccaggtcta gcccaggcca gagagcctcc
75781 ttgtctttca cagaggtcaa cacgagattt cctcacaggg aggctgaRtg atgggcaggg
75841 agttctgctc cccctcgggg cctcagtttc cctgttggga tgaggagtgt gggcatggac
75901 tctcagagcc acctgggact gacgttctgc ttccccaagc cctgggccca ggtcccttct 75961 ctgccccgga gtagccatct cccaactccc catggatcag gtggggacgt ggtggctgtg
76021 gggtacactc agttgactgc cctcatcccc aacaggactt gatctttgac ctgggtgacc
76081 ctgtgagatg ggagtacatg ctcctgggga ctgataagtc tcagctgtcc ttgactgaag
76141 aagacgacag tgggataaac gatgaggatg atgtggaaaa tctggtgagt ctcagcagct
76201 cgagagccca gggaatgtgt gtgaaggctt cagggagcct gacaagtgtc cccagcagca
76261 tatgtgtggc agtgggggat ggcccaagta gaccagtgat gggttcctca aagcaggaag
76321 gcttgagcaa ttcccttatt ttacagatgg gcacattgag gcccagaaag gccagaaacc
76381 tacccaggac ctcccagtgg gttacggaag ggacaggact tgacgtcagg tcttctgccc
76441 cccatatcgt ccaccttgtt caggagttgc cctgctcctt tggaaagcat gtcccttgcc
76501 agcctgggca acatagtggg accctgtctc tacaagaaaa tttaaaaatt agctggctgt
76561 ggtggcatgc acctgttgtc ccagctactt gggaggctga ggcaggagga tcacttgaga
76621 ctgggaggcc gaagctgcag tgagccatgt tcatgccact gcattccagc ctgcgcaacc
76681 ccaccccacc acaaaaaata aaaataaaaa taaatttaga aaaagaaagt tgcagagcgg
76741 ggtcataaca ccccgctctg caaccccctg ggagtcccag agctggctgt tctcagttct
76801 atcccaagta gccatcatga gccccacatg ctgccaggcc tttcttgtct gttctgtcag
76861 ttcctctgaa tgtcgttggc cagggcctta cccacatcac cagcctocct tctctgaatt
76921 cagtttcagc ctttatgtga aatggaggca gaaggatcat agttgtattc atagtaattc
76981 taataagtgc attcgtctgg catcacaaRg caccacagat gcggttgctt aaatgacaga
77041 aattaatttt cttacagttc tggaggctgg aagtctgaga tcaaggtgtg gacagggttg
77101 gttccttctg agccccctgt cctcggcttg tagatggctg tcttctccct gtcttcacat
77161 tgtcttccct ctgtacaaat ctatgtccta atctgttctt ataaggacac cagtcatttt
77221 tctttttatt tttttttgag acagggtctc ctctgttgcc caggctggag tgcagtggca
77281 cgatcatagc tcactgcagc ctcgaactcc tgggctcaaa tgatccttcc actttggcct
77341 ctggagtagc tgggactaca gacacacacc accataccca gctaattttt gtttttcaga
77401 gagacatggt cttgctatgt tacctaggct ggtctcgaac tcctgggctc aagagatccc
77461 cttgccttgg cctcccaaag tgttggtatt acaggcatga gccaccatgc ccaaccaaca
77521 ccagtcatat tgggttaggg cccactctaR tgaactcatt ttaccttaat cacctctcta
77581 aagaccctgt ctctaaaaac aatcattcaa acMgtaagtg atcaagacaa caacaacaac
77641 aaagaaaaaa taagaaaaat aaataaaaca aatacagtca ctttoagggc ttaaaacttc
77701 aacctatgaa ttttaggggg atgccattca gcccgtagca aaaggtagca ctcacatggt
77761 ccttactaag cactgggatc cattgtatct acttaacctg aagtaactca tttaaatccc
77821 cacagccacc tggtgaggtg ggcactggta ttaccacctg tgattaatat tatcccattt
77881 taccgatggg aagactoaca cacagagagg ttaagtcact tacccaRagc gatacagctg
77941 gtaagtgaca gagctgggat ttgaacctac acagtctggc tccacagtct gggttctcaa
78001 tggtaactct gttctacctc ctggggctgc ttgatgtgat gtgcttggca cagcagtgta
78061 gaccRtctca aaagggtgct aaatgttctc agcatcctca tctccagaga ctggggaYat
78121 cttgtgtgca gtaaatccag gcataggtgc cccctgctgg ccttggggca tggaccagcc
78181 agggcctgag agcccagccc tgcaggcagc cggctgagca cccacatggc taataatcaa
78241 acagttccag tcacagagtc ctggtccacc ctggcccaag agccctcatt acagcaaaga
78301 cggacagagg gcagcccaaa gagtcagaac ccagtcatgg acccccagga aaaaccagac
78361 cccgggtgac agcccaccca cctgaccatc ttagagattt ttgacaatac taactgctga
78421 ctgctcactc atttttgtcc cctgcaaaat gtcacaatta gataaacagt tgtcagaggt
78481 atgagcaatg tttgtggaaa aaaggtttta agtcgagaaa gtcttatcca agtttctgtg
78541 attatctagt ttgaggacca tttatctaga tcgggcctta tttcacaaat ggggaaatta
78601 aggctcagag aggaaataat aataggccgg gcatggtggc tcatgcctgt aatcccagca
78661 ctatgggagg ccaaggtggg catatcattt gaggtcagga gttcaagacc agcctgggca
78721 acacggtgag acaccaccct cctcccccgg ccgtctctac taaaaataca aaaatcaact
78781 gggtgtggta ggtgcatgcc tgtaatccca gctactcagg aggctgaggc aggagaatca
78841 cttgaacctg ggagacggag gtttcagtga gccaagattc actgcactcc agcctgggca
78901 acagaacaag actccatctc aaatgataat aataataata atgtcagcca atcagagccc
78961 caaggccttt acagacatta tatcatttaa tcctcctaaa aggtccagtt tacagttaag
79021 aaaactaagg cttagagcag ttaaaggact tgcccaggac cccttagctg gtcttggaga
79081 gagggtgggg cttgggtacc ctgactccag aaacacctct ctaatcacga agggcctgca
79141 gccagggcag ggggtgctgc tgtcctaagc caggcaagta tagggaaggg ctccctgccc
79201 agagtcgact cctccttttc cacatcatgg gtcgtgctca tgacctccag ttcccctgcg
79261 gaagccaacg gaccaccttg gcttggctct gcaggcagag acagagcttt gaccataact
79321 tctgcttcaa caccctgacc agcaccacct cccccacccc cttctctccc atcagggcaa
79381 ggaggatgag gataagagct tcgacatgcc ccactcgtgg gtggagcaga ttgagatctc
79441 cccggaaggt attttctatt tgtgtattca cttatcctct ccagatccag ttcctgggcc
79501 tccagagagg tctgcaacag cgaggcaggg ggacacagca gggaatgcca tgccccacat
79561 ttccaccctt ctcaccttca gctgcaccct ccctccctcc ctccccσctt cctgccacac
79621 gcactcagct ctgaccccga gggcctgacg accagtctgg cacacggggc gatgcagttc
79681 agtgagcatg tgtgggatga tggcgtgtag gtgacagcaa ggcctggaaa cccagcccat
79741 tcccctctca cactcttcta cccagaggag gccatgggca gtgcccagat ggtgcggggg
79801 gtctcaggac cggagagggg caggtagaga aggcaggagg gcagggactg tcatgctcca 79861 tgtcaatatc tgctggtgcc cacctaggga gcacccagac ctatggggag ggcatgggcc
79921 acttcaacag ggtgggaagt gccagagagg ctgtcatggg aacccagagg ggggcgcacc
79981 cagcccagca ctggggctag ggcctgggga tgggtgagca gaaaggggta ccagaagtag
80041 gctaggggtc acctgggtga agtttKgaag gatctgaagg agtcagtcca acaaggggag
80101 gaggggatga cggtgtttct ggcagagacc tgtacaagca aaggcctggc aatgtgagag
80161 tgtggttggc tgcagggcag accctctgat ggggctcaaa tcccattctt gggtggatct
80221 gtgcttctgc ctggcctgag aacccctcta gggctggagc cacccctggt gattattctc
80281 ctcggcctcc ctggatcagg cttggggctg gaggagttca gtacacagag aacgggcagt
80341 ggatggatga atggctgggc ggggctggcc ctcccttccc ccaaactagc aagaagagac
80401 cacagctgac tgtgtccaca gcatttgaga cccgctgccY gaacgggaag aaggtgattc
80461 agtacaagag ggcaaagctg gagaagtggg ccccgtacct caatagcaat ggccttgtga
80521 gccgcctcac cacctatgag gacttgcagt gtaaggggga ttgctctgga catgggtcca
80581 ggccagccca ggggcggggg cggcttctac tctctctggg gtcattgYtg gcctctgtgt
80641 gcctggaata aggggggttg aaggctaggg gagctggcct ggctgcggca agtgtccatc
80701 ggccccacag gtaccaatat tttggagata aaggagtggt accagaaccg ggaagacatg
80761 ctggagctga aacacataaa caagaccaca gacctgaaga cagactactt caagcctggc
80821 cacccccagg ctctgcgcgg tgcgtggctc ccctttcctg ggccacccag gagcctgggg
80881 tagaggcctc acacaccctg tggcaggtgg tatgtggtgg caggaaccag catacatatt
80941 atacatgggt tcttgggcag caagcagtag aagctgccct gcctccctca gcaaacccga
81001 tgtgtgggag gtcagggaaa gctcagaaat tctaaggaaa tataacaaat gctcctccag
81061 gaaagctaaa gggggcgcca catacccgtt ctgtggttgg aatcaggccg gaacctcacc
81121 atggggtcac acggtggagg ccacatttaa aggaggcagt gccggacaca ggggctcaca
81181 cctgtaatcc aagcgctttg ggaggccaac atgggcagtt gagcccaggg gttcaagacc
81241 agcctgggct atatggtgaa accccatctc tacaaaaaat ataaaaatta gccaggcatg
81301 gtggcatgtg cttgtaatcc cagctactca ggagactaag gcaggagaat cacttgaacc
81361 caggaggtcg aggctgcagt gagccgagat tatgccactg cactccagcc tgggtgacag
81421 atagagatcc tgtctcaaga aaaaaaaaaa aatcctgacc aagaaattta caaaagaaaa
81481 gcataggagt aatatacatt ttttttaaat gatcaacctc atttggaagt tgataataaa
81541 aaaaaagaaa ctaataaggt ccctaaccaa taaaggacca tcttataacc cccatgttgg
81601 caaagatgaa aaaaatggtc ctactgggta tgaacaagta tgggagcaac agtcactctg
81661 tgtcactgtt gatgggacag cagattggaa cttttctgga ggacagttgg gcaaaatatt
81721 gataatgacc ataaaacgtg tacgcttttg gctgggcaca gtggcgcaca cctataatca
81781 cagcactttg ggtggatcac ctgaggtcag gagtttgaga ccagcctggc caacatggtg
81841 aaaccccgtt tctactaaaa atacaaaaat tagccaggtg tggtggcagg tgcctgtagt
81901 cccagttact tgggaggctg agacaggaga gtcacttgaa cccaggtggc ggagactgcR
81961 gtgagctgag atcacaccac tgcactccag cctgggtgac agagcgaggc tgtgtctcaa
82021 aaaaaaaaaa aaaaaaaaag tacacttttg gRcccagcaa ttccactgct gagaatttat
82081 tcttagcaaa taatggacaa gaacaaaaaa tgcacgatgc agatgttcat catggtgttg
82141 gtaataatca gaaaaagttg tacgcaacct aaacacccag caatagggga ctggttcata
82201 gctaacctca tccataatgt gggtctgtct tctccctggg cctggggttg ggcgaccaag
82261 ccagcagcca tacttcctag tgcttatgaa gctgtctcct cccaactccc gctccccacc
82321 cagtgcactc gtacaagtcc atgcaacctg agatggaccg tgtcattgag ttttatgaaa
82381 cggcccgtgt ggatggcctg atgaagcggg aggagacacc caggacaatg acagagtact
82441 atcaaggacg cccagacttc ctctcctacc gccatgccag cttcggaccc cgagtcaaga
82501 agctcactct gagcagtgca gagtcaaaMc cccggcccat tgtggtaaga gctcgcgggg
82561 gctggggaca ggtcgccctc cttctctggc agctgatgtc acctctgaat ggtgagagcc
82621 ctggctctgg ggtggcatta aggcctgaga catatccaag ggcaccaatg atgaaccaag
82681 cattttacca aatgtattag tctgttctca tgctgctttg aagaaatacc tgagactggg
82741 taatttataa agaaaagaag tttccttgac tcacagttct gcatggctgg ggagccctta
82801 ggaaacttaa aatcatggca gaagggtcct tttcaccttc tgcctagtga aaagggtcct
82861 ttccaccttc tgcctagtga aaagggtcct tttcactaga atcagggcag caggagagag
82921 aataagtgct gagcaaaggg gaagctgctt ataaaaccat cagatcgtgg gagaactcac
82981 tcactatcac gagaatagca tgggggaaac cacctccatg attcaattat ctccacctgg
83041 tcccgccctt gacctatggg gattacagtt caaggtgaga ttttggtggg gggacacgaa
83101 actaaaccat atcaccaaat gcgccatcct ggggttgtct ggtgtcagac tgtgccctca
83161 gccatggggc caaggatgtg ttacttcctt attgttatac aaaaatacac actcatgact
83221 aaacatttgg aaaatatgta aaaatgtaga gaaaagtaaa catatctcag aatggcatct
83281 ctcatatgtt gccacggatt ataggtttgg ttttgagagt tttttctaat gtaattgaga
83341 tcgggaccca gggattagag tccctgtatt acccacttaa catgaaattg tgcattttcc
83401 ccttcatgtc attacaaatt agttggcaac tgtgtgtaat ggcagcatgc caaagaagct
83461 ctttctagca gtaagggatg tctagcaatg gagtaggctg cctggagagg tggtgagctc
83521 cccatctctt gaggtaggca agcagagtct tgaaggagct gaggaggggc ccagcaccat
83581 atgggagtgg agtggcctgg ccctgagaac ccacgaaatc cattgtctgg ctaggagggg
83641 Ytattccacg tgaatcgcca aacgacccca gactccagtg tcctgaacgt tcgttgctcc
83701 tgcctgcggg catgcacaga aatctcctct cacacgctca tcctttgctc atcctttgca 83761 tgttctggcc tcccagaaaa tcacagagcg gttcttccgc aacccagcga agcccgcgga 83821 ggaggacgtg gcagagcgcg tgtttctggt cgcggaggag cgcatccagc tgcgctacca 83881 ctgccgtgag gaccacatca cggcctccaa gcgcgagttc ctgcggcgca ccgaggtgga 83941 cagcaaaggc aacaagatca tcatgacgcc cgacatgtgc atcagcttcg aggtgggcct 84001 gggggccacg gcgggcaggg gtcggctgca ggaggaaccg gggctctctg tcttattcca 84061 gccacttggg agaaccagga tgggcgctgg tgaatcccgg cgaggaaatt catctttgct 84121 ctttgggaaa accaaaagtt cccatctggg gacccttctc tttgagctcc tctgaaaatc 84181 ttccttttcc accaaaaaag cgaactcagc aggctaagac gactctgcag tcctggtcag 84241 ggcaaacctc agatcctagg gaggctctgt gggaggggaa gagtctcact acctctgagg 84301 ggctagcYtt cctagtcaaa cgctcactct cccggcacag tccccagctt ttctgagtct 84361 tcagttcotc ttttattatt atctgtattt ttataagtga gaaaattaag gctcagagag 84421 gtttagcaac ttgctcgagg tcacacagct ggaaagtggc aggggtagat ttgaacccag 84481 gtggtcctat gccccgatca tggcagcctc tctgtgttac taaggtggtt gttgtcccag 84541 gtggagccca tggagcacac caagaagctg ctctaccagt acgaggccat gatgcacctg 84601 aagagggagg agaagctgtc cagacatcag gtctgggagt cagagctgga ggtagggtcc 84661 tgtgggagag tgagcaggtg ggcggtatct ttgtttttga gatagggtct cgctctataa 84721 cccaggctgg aatgcagtgg cgcaattatg gctctacatc ccgggctcag gtggtcctcc 84781 cacctcatcc tcccaggtaa ctgggaccac tagcgcacac caccatgcct ggctaatttc 84841 ttgtttttgt ttttgttttt taacagatgg ggtttttcca ttttgcccag gctggtctca 84901 aactcctgaa ttcatgcaat ctgccctcct tggcttccca aagtgctggg gttacaggag 84961 tggaggaggg gtgtctccat cacgccctcc aacacttctc atttcaggtg ctggagattc 85021 tgaagcttcg agaggaagag gaggcggcgc acacactgac catctccatc tatgacacca 85081 agcggaatga gaagagcaag gaatatcggg aggccatggt cagtcccaat cccttctcca 85141 ggccccagct tttcctagac ccccctggtc tccagggtgg tggggaccat gagggattct 85201 gctgagaaac cctctgtggg ggatacggtt attgatacca tgcggtcatc cttgctgctg 85261 aactgaccat ttctatggtt catcccaaag agtacttggg atttgggcaa ggtttccccc 85321 catccccagg ggctgtagcc aagccaaggc αtgtggttgg gaaaagaatt aaaattatgt 85381 gcccacctct actcagggct cccactgagg ttgcaccctg ggccagtggc cccagtgagc 85441 tacctctggc tccaggcctg agctctcctg ctctccagca cagggagggc attcaggtta 85501 caccttcMgg ttgcaaggcc ccgcctggtt ttcagggccg gcttctgaat ccctttcacc 85561 aaccaagttg agattttagt ttgggggtcg tgaggcagga tgggcatcag atgactgttc 85621 tcagatccca ggggagggtg tcagccccca cgtctccaac ttcactgccc cctgtctgca 85681 gatggaggac acaggcccca gggtggaaaa gaaaagtgaa gggagttact ggcagttttt 85741 aactaacatc
[0338] Following is a genomic nucleotide sequence of a ADCYAPlRl region (SEQ ID NO: 3).
ADCYAPlRl GENOMIC REGION >7:30778201-30872200
1 ccagagcaat ggctcctgtc gagttcσtcc ctctagggcc caaggggttc agtgaatcta
61 attggaagca gctttttagt cctgtgaccc agaggcttgc tgagggcgtg gggaggggac
121 cagattgtgg agagccaggc ctgaggccag cagagtctat tgcgcaacct gcaggctgca
181 cagccccagc cctgggggtt gcatttctcc ctttaccttt tccccattca atYcacaata
241 gcggtctggt ggcagacacc acattcctgg cactgtggag gctaagtcac caagagggcc
301 gcacactccc tcatagagct gctcagagct ctctccaccg tggcccgggg ctcaggcttc
361 aaagtggagg gcctcttcct ctcttgcctc tcccttcttg gaggcatggg ttccggagtg
421 ggcactacgt ttgtcgttag ttgcacttgg gttcaagcca ggtttggggg cacaggaaga
481 tatggtggct attcaactat tcaacccgcc ccctcaaata aaatcccact atgactgaaa
•541 ataaatccta ttatttgtga agtcctcccc atttcactca aagtaaaaca ccaaaggctt
601 tacaatggcc tRcgcaggac tacaaagacc tccgagtctt gcctctctgg acgaatcttc
661 tttcttttct ttctttcatt gctcacgcaa ctccagcctt gctgacttcc ttgcagttcc
721 tgccccaggg cgtttgcact tgtcactccc tctgcctgga gcaggttccc tcagacaccc
781 atatgactca ctcacctctt cactcttagt cccacctgca gcctctgcag tggcttttgc
841 tatttcttca ctttattttt ttctccatgg tgcttactac taaaatgcca cataacttgt
901 ttatttactt tgttgtatca tttctgtttc tccattagaa tgtaagctgc ataagggtgg
961 attttttgtt ccgtttgttc agcagtgcct agcacagagc aggcatgaga aaaatgtttg
1021 tggaaatgaa ttgaaattga attaaaatag tcataaggat gtccagaatt ctaatttctc
1081 ccatgacttc cctgaagttt ccgtatcaaa ttatttgaaa cccacgtcac ctaaaagaat
1141 cttttctgtt ttcctttggg tgaattccag ctctgattca gggcatagcc acacaatggY
1201 ctgctacaaa caagcacttg gagggtttct gaggccaggc tctatgctgg atgctgtaaa
1261 tagagatgcg agaaagagag acaccaccct gctctctgga gctcacagcc ttgggggagg
1321 cccacRagga gcaggtggca atgacgagag ttatgacagg gaagcccggg ggctgtgggc 1381 gcccatggga agggagaaag ttccagaagg agagaacagt cagtgtatgt ctcttaactc 1441 cttggagctc tttcctcgtg ttaaggctga gcctgtgagc tgacttggag ggcaaatgag 1501 aggaccagct gcagggcgct ctgcaggtga cacgcagatg ctggctttca tttcttgctc 1561 ctcactagga aagcaggaag gcagggtgga gattagtaag cccattttcc agattttacc' 1621 atgtttatta taaattatat gttattatat caacaaataa tttattattt attaatatct 1681 tttcctgtgt gtaacttttc cccccttcct caaattttag ttacatcgag aactcctgaa 1741 gggctgggac ccttccacgt ttcttgtttc cttcttgccc ccttctcagc agagcccaga 1801 tccagccttg gtaaatcagg atgttgggac tcagagaggg agagtcactc gtctatggtc 1861 acacagagaa tcagagcttg ggcaggggct gaggccaggc ctcctgcttc cttgcctgag 1921 gctcttctac tgccagacac gtgctcttcg gagcccatct ctagcctgtg tctagggttc 1981 ccccggaaga agccgtggcc cctgaccctg ctaagccttc ctccactcct ccagcacccc 2041 tggggccatc aagctcagag ctgcaggcct gtggggatgg ctggaggcgt gggagtcagg 2101 gcaaagccgg ttctcactga ggtctttgcg tgcctctgcc agggctcccc agtgctctgg 2161 ctcctccctt tctcctctga ggatggccag ctcactggag oagctctggg aaggaccaca 2221 gcccgccctt ttgcgacaga ctctcccaag cgtcaagaaa actgatcttc agggctagat 2281 gggctgtcat aaaaattcag tgtcatacct cttcttaaca tcatatagat gaggaaactg 2341 aggattagag aaggcaagtg gcctgcccag gtccaggggc ccaaggcagg actaggtcta 2401 gaattagagt tccgtgtcac cattgagcct gaaggtatct gctcttttaa ggcctctagt 2461 gtgtttcctc tgggctggac tcctagcgtc tgggtaacct tgtgtattcg tccattctca 2521 cactgctata aggacatacc tgagactggg taatttataa aggaaagagg tttaattgac 2581 caagtttggc agggccggga aggcctcagg aaatttacaa tcgtggcaga agggggagca 2641 aacatatcct tcttccatgg cggcagcaag aagtgcccag caaaaaggaa aaagcccctt 2701 ataaaaccat cagatcttgt gagaactgac tcagtatcac aggaatagca tgggggaaac 2761 cgctcccacg attcaattac ctcccatcgg gtccctccca tgacacgtgg ggattatggg 2821 aactacaatt caagatgaga tttgggtggg gacacagcca aaccttatcg cctcacatag 2881 ctccaatgac agggtgccca ctaccagtct gtgcttcctc ttggttcctc tccatttcca 2941 ttctcttgag tcccggaccc aggtcttagg ggtcaggttt cctgtggcct tccctgctct 3001 cccacagggt gctgctaagg acctcctgag cttctctcta cccWtgtcta tacagagggc 3061 tcctgacact tcttctctgc tctacacagc acactggggc ccaagacaag gtttgctcat 3121 tcttgtcatt catttattca aaaatatcta ggtgtggtgg catgcatgtg tagtcccaga 3181 tactctggag gctgaggtgg ttggatcRct tgagcacagg aatttgaggc tgcagtgagc 3241 catgatagtg ccactgcact ccagtctggg tgacagagca agactctgtc tctaaaaaac 3301 aaaaagaaac aggctgggcg cagtggctca tgcctgtaat cccagcactt tgggaggccg 3361 aggggggcag atcacgagtt caggagttcg agaccagcct gaccaacatg gtgaaacccc 3421 gtctctacta aaaatacaaa aattagccag atctggtggc atgtgcctgt aatcccagct 3481 actcaagagg ctgaggcagg agaatcactt gaacgcggca ggcagaggtt gcagtgagct 3541 gagatcacgc cattgcactc cagtctgggt gacagagcga gactccgtct caaaaaaaaa 3601 aaaaaggggg ggaaacaaaa aaccccaaac atgtttatta aacctatgat gtactgtgta 3661 ccaggtactg ttccaggcat catggataga gtaatgaaaa caaaaatatc agaccaagaa 3721 aagatgtgag cagtccctga cttagatgcc tcactaccat tacagaccct cttgcaatgg 3781 tgagacccat aaccagaagg acagactgKc aaggcaatta agagacggat agatacacag 3841 ggaaaaaaag ggaagttcaa aacagaaata gggtgaggca cagggaaacg ttgcaaagca 3901 ctggttccga ggttagctac agtccttctc taccaggaRa tgacaagcct atcctttgac 3961 ccttttcagg acttggaggc ggaggagccc ttgggaacat ctggaacatc tgtgagccat 4021 tctctcccac tgaggaggac tgggccaggg ctaatgtggg cagggggtgg acaaatagat 4081 ccagtgggac accccccagg cctcttcctg ctcccaaacc ccaaacattg cttccggaac 4141 ctgtgcggcc tggctctttc coagcctcac cgcaagactc cctagtcctg cctctggctc 4201 agcatgggcc aagcctaccc cgtccacacc ctctgcaggg ttccttccag gctgggggta 4261 gcaggagaga aagccagagc tgtgtgagat tagaggagga agagcaggcc agggaggagg 4321 ctttctgcgg gcgagggcat ggctgggagg aactgaacta gggtgaggca atggaggggc 4381 caggtagagg ggggataaca gaggggagca acttctactc cagactgaca gtgacatgaa 4441 tcgaaacttg ccccccaccc ttgctcttgg agttgaaact tgaggatgga aggtgttatg 4501 gacttaattt tgttccccca ccccctgatt tatatgctga agtcctaacc cccagtcttt 4561 cagagtgtga ttattcagac acagaacctt tgaagaggta atcacgttaa aacgagttca 4621 ctggggtggg ctctaatcca acatgacggg tgtctttata agaagaggag attcagacac 4681 agacagacaa aggaagaagg ccatgtgaag acacagccag aaaacatctg tctacaagcc 4741 aaggagagag aggcctcaga agaaacaacc ccgcagatac cttgattgtg aacttccagg 4801 ttccagaatc ataaggaaat gcctttctgt ggtttaagcc ccccgatctg tggaattggt 4861 tatcccggtc tgtggaatcg gttatcccgg tcgtctgtgg aattggtcac atcagcccga 4921 gctgaccacg caagagtgac gctgttcaaa cggcaccatc cactgtctta gggatgggta 4981 ctttcagttc actgggacac cccactgtct gggcactctg ctgggaaaga gacacacaca 5041 ccttcaggct cacagtcctg gcttatgatt tcccatgggt tagggtcaaa actggggcaa 5101 ctggagaagt tgatactctt catttgaact agacagggtg atctttgaca gaaatcagtc 5161 tacttggtga gttgtatttg ctttcaagaa cataggaaaa aaacaggtac aacattgcca 5221 gtacagagac caaccagagg tggaagtgcc actgccttcc tcttggactc tgaagggata 5281 gaagtgtctg cttcctgcct agagccatca gattcaggga ctcataaaca tatagcaaat
5341 gcctgaggca gggcagttca caaagctcaa ggatgtactg ggctgctgaa acacttaacc
5401 ttgaggggaa gggttggttg tccatggaat aattgtgcaa atagctaatt ctttcctatt
5461 ccagacatcg gcaacagact gcatgtttaa agcatgtcac gtgtcacctt aattaatcct
5521 cacaaaaccc cagtcactat cagcatctca ttttacaaat gggaaaattg aggcaoaaag
5581 agatgatgta acttgaccaa ggttactccg ctgataagga ggaggggtag taacatcagt
5641 tggagaaggo gtgtgaagag gaaacctctg gggaaaggtg agggagcagg ggagcagtca
5701 cgtgagctgc cttctgaagt, cttgcctctc agtttggagt gactttggga cacttatttg
5761 aacacttcag taaaaaataa acactccttt ttgaggtcca gagagaattt agtctgagga
5821 agataagccc tacaagatgt ggttattgag acaaccaaaa aagtcagtca aagtggacaa
5881 tcgtaaacaa tgacaaacac cttaaatatt tggagacagc ttaaaaatca tatatattca
5941 ttaagcactc ttgatgtgtg gccaaggtct cttttttgaa cagcagtctg ctggctgatg
6001 agagttcttt tatatcttta tttttaaaaa accacgtgca tgatgtctca tctttgattt
6061 cctgttctgg tttctttata gagtaaggaa agcataaaat ccctcgctgg gtgtcataag
6121 ggctgagtcc ccattcccta gctctctttc tttctgtgca tagtgtagga tggccctttg
6181 gtgcccatct ggagttagtt atggtcacat gacttagctt gatcagtcga ctgtaataga
6241 aacaatgagt gtcacttctg ggcagacgct ttaagagttg gctgaggccg ggtgcagtgg
6301 ctcacacctg taatcccagc actttgggag gtggaggcgg gcgaatcatc tgaggtcagg
6361 agttggatac cagcctggcc aacatggtga aaccccatct ctactaaaaa tacaaaaagt
6421 agctgggcac agtggcgggc acctgtaatc ccagctactc aggaggttga ggtaggagaa
6481 ttgcttgagc ctgggaggca gaggctgcag tgagccaaca ctgcgccact gcactccagc
6541 ctgggcaaca gagtaagacc ctgtctcagg gggaaaaaaa aaatagaaag aaaaaagaaa
6601 aaaaaaagga aaagaaaaga gttggotggg catggtggcc caggcctgta ttctcaacac
6661 tttgggaagc caaggtagga ggatcactgg agcccaagag tttgaggttt gagtgagcta
6721 tgattgcact actgtactac agcctggctg acagactgag atcctgtctt tattcttttc
6781 agaagagtca atacatactt caccatgtac ctacaacctc aggtactgga aaaggttcag
6841 atatattggg ggaaccatcc atttgggcct gaggcagagc cccatttaac ccatgatagg
6901 catgtagcat gagtaagaaa aaaacctgtg tgagatttaa actactgaga tttcgaggat
6961 atttgttact gcagcctacc ctttcttatc ctaactgaca cactcatgaa gttctatgag
7021 catagtctta ttcttggcta gatgtattta gatacgtttc tccagtattt taatatgggt
7081 ctcactcaga cctcatttca caacaattct ttttagatac ttgcttttac tgtgtgatat
7141 tcaggaaccc agcccttctt cctgatgtta cttctatagt gaaaatatgg aactgcaacg
7201 aggcatccac tgtgcatgta caaggcagct cttataggta tggtcatctg gagcatcctg
7261 agggcaggta caaggccctt ctcttctcct agttgagaga gacaatttcc cctgttgtga
7321 gagacaattt gccatggtcc atgagaaaat ttgccatgga cccatccctg aacattcttg
7381 ctcggtgtgc cgagaatgca aggctctagt cactctttac ccgggctgtt tcgcagggct
7441 gtatttgcca tgagcagcca tgagagatgc agtaacacct cccaccagga aaagaccagg
7501 tttctttcca ctcgctagag aagtggcaaa tgttccaagc tcagtgttac tctcctgtaa
7561 tgcgatccat tgggtgactc accatcatgg gccctttgca ttgtctttgt gggacttggg
7621 tgatgtcgga gaaccgaagc aatcctatgc agctctggct agtgcttttg ctgtgagtga
7681 tgaagtcctt tgtctctgac ccaggaatct tgtatctttg gctggcatcc atggaacaat
7741 agcaggctaa cttgttagct tgtaaattgg gtaaaaatct cagacactgc actgttcctg
7801 acatcccaac tccagttcag cacaggactg ggcatgtagt ggaatgatgg gaagtaaggc
7861 ttgtgctttt cacttattga tcttggggca agggagtccc aggatagcct ttctccatac
7921 ttaattctct ggtggccttt tcacttcctg agcctctgct ttaccctctg caatggggat
7981 aacaatctag gacccgtggt tctcactcag ggctgttaga tttgaaagtc tgggggaaga
8041 tgactgctgc tctctcataa gcaccagctg acttctgtct tttctcaagg taatgctagc
8101 aaacttagac ccctcccaga gagacttagg gcagaggaag gaacaactca ctgtcagtga
8161 gaaagaggaa tgtgactagg agagatccag ttggctgtgg agtcttccct tctggagctc
8221 tgcacaaaca ggacaggagc ttgcatgttt tcaggaggca gggtcagact ggatacctcc
8281 cagggctctg tttggaatgg gaagcatgac acccacctcc aggaagctgW tgggaaagac
8341 ttgccctagt ttctagccag gaatttgagt ttgctatgtc aggacagcag cagtggccta
8401 gcaaaggtag atggcagcca gaaacaacgt gagatgcatg tgccatctct ccctaggcag
8461 tgctggaatt tgtccccaaa cacataccta gcaaagacag ggtgcattca tgcatttcac
8521 atttaataaa tcttgaaaaa ataactcagt gcaaaattga gggaaaaagg gaagggatag
8581 ttgtttgtct gcaccctctc caactgtggc atctttgctg tgccctcaat aactgtcaca
8641 tgggaacctg tgtgcccttg aatttctccg ctacacttca gggaaggagg ctggcttagg
8701 gaagggtgat ttgtgtatgc tcacaggtca gactggaagg tgagagagag acRaggtggt
8761 aggatggctg cagcagccct ggtgaaaggt gaggagggcc tgaactaggg agaagttcaa
8821 ggacgttggt gaggtctact tctcagctgg ggatgcagct cctgactgtc tgtggggccc
8881 cagggtggca tccatgaaaa cccttgtgtt tgYtcagccc ctgcacctgg ctgagggcct
8941 cctcttctgc agaggattct gggagaggtt gcccctgcca gcctttagtc ctcagggatg
9001 ggggttgggc caggctcagg aacccagcct gggcctcgcc atcccagacc ctccccacgc
9061 cacaccaagg aagggcctgt caccaggaga agtatgaccc tcccgtgtct gagtcctcat
9121 ttcacttaca gctcggcgct aatccaattg ctggctctaa cctaattctc cattgttgct 9181 agagtccttt gcctgccgat attaaaaatc ttttcattta attgtgcaga agatagatcc
9241 tcctcagcca tcaggtggta aatatagaat agctgatgtg tagctctaat ttcttccctg
9301 gcaggcctcc tgcagttctg agtaattggg gaccaagaag ctctgggagg aaggagacag
9361 gaaggagaga agagggaggc agggcgagga gctgggacct tgctattgtc aggaggttac
9421 agatcagagg aatctggtca gtatgtccat ttctgcagga ccagttgttt ttcttctgaa
9481 tctctcacgc tgcctggtga ctggggtctt gagatgttgc aggagaatca cgtgttcctc
9541 caccatggga gatcaagatg caccatccga acgtaYcttt ggtgaaagtc ttgggatccc
9601 caggtcacca agaaccacag ctatttgata caccaagacc ctttgtgatg attgagtgta
9661 accctctggt ttggggacca catggtttcc cagccaggca ctgaaagagt tgatgacaga
9721 tgacaagcat cttgatttct atccaaggaa ggaaaactat gtggaaccct gtggtcactg
9781 tgtgttccca taggagaggg acagtggcat tgaagtgagg ctccaggagc cattagcagg
9841 ctagggtcct ctctccttca cccagaaaag ggcagggctc cagttaaagt tactggcctc
9901 acacttggcc accaaggaag aaggaagcat cctaggaaga gccactggtc accagacact
9961 gcctctctgg tggctoagtc ccaactgggg cttcccagga gttcacagct tccaggactc
10021 cctggtgccc tggagaacat ggcaggctac tcYgtctσtt ggagggaggg ctgcagcttc
10081 ctctcaactg catgctcaac tgctgtgagc tcccagctcc tcatgcctgt ccactggcag
10141 acctgagctt ctgagactgc tcctgcttcc ctgtaagaag ttttgctgca cctcagctct
10201 tggaccccct tctctccacc ccaccctctc acaggctgtg ggggcattcc tcctcccaga
10261 ctggggacct caggtagcct ttctttccct tttccctcct gcctcagagg gagacacaga
10321 tatttcatgg agtacctgtt tcctgagcac ttgggggatt ctcagggctc catccccgcc
10381 tggccccatc accccaggcc ctctgggtag gtctgtgctc tctgactcca ccccctgtac
10441 tctccaagac cagctcctcS tctcccccac taatactggg ttttgcaacc ccctcttctc
10501 tacccttctc taoctgctga ttcaagatcc ttgggggaag aggagggaac actcactgct
10561 tgggagotgc tgaatcctct gaccagggga tgctgaagaa ggtgactaag gtggtttcca
10621 agaccctggc ctggaatatt cccactgccc ttctctgtga gttattctcc tctacggctc
10681 ctgcatcttc agaacaaaca acagcagagc acgtgactgc tggaaacgcc cagatggctc
10741 cagtcacagg atccctgcat gtccgggcca gaatggccag cacagctgtc cccttccctg
10801 ttctcaggtg aggaaatgaa cagcatgtgg gaaggccacc caagctcatg cagtggctcc
10861 atgctaggac cccggcttcc tggctacagt ctagacgcta gacatttctg ttcctgttgt
10921 gagaatgata gagaactcac aaggatgggg gtcaggatga cagagcgtca aaaccaacta
10981 tcccctctgc cagcggtgtg acctccagca agttactcaa cctctctggg cctccatttc
11041 ctcatctgta aaattagggt gacaatggta tctgcctcgt gaggtgacac gagaatccgc
11101 ttagataacc ctcccaaaga taaccctcca gcaccctatc tcacacatgg taagtgataa
11161 ttagctatca cagaaaattc agctccattg gattgaaaat ttctcctcaa accagtgtga
11221 ggagoattag cttttcaagc aatgagcagg catttaattt actcctttgg aaaattgaag
11281 ggttctgtgt cggggaacta tttggatgac ttttccagaa aaacaaggtt gtgcagatgt
11341 cttttttgcc tccatagaag attcccagca tagaacaggg gcaacggagt ctttctgctc
11401 atctagacac tgcccctgga agcagaggga gccacccagg ccaggctgct gctggtttta
11461 ctctggaagg cctgcagaag ctcagggctg ccccaactgc agcctgtcct gcatctccgg
11521 ctgtgcaggg ctgtgggaat ccctgccctg cctccctgga ggcttcagag caatgactac
11581 gccccacggt tcagaccctg gccgggcttc aagcaaaact gctgatgttt actagggctg
11641 gggctaaaga gtgcctactc acctgggctg caaaatttaa ggagtgcccc aaaccccata
11701 atcaaaatac ataataatgt cctgtattta caaaacaaaa ttaattaaaa aatccatgat
11761 gaacagagca tcaaacttaa gtaaaggcag catttgacct tgtgccggca ggagcctgag
11821 aacaagtgcc tttctcattt cgccctaccc cagccctgag tcttggggct cctcccagat
11881 cagtggagtt ggcctctctg ggaatgggat caagatggta atatttggga aaagctcttc
11941 agRtaattct gctatcagag gtttgagtac tcccactctg aaagaaataa tacatgaaac
12001 ctgaaggttg cagaggggaa gggatgggag atgccatatg gtcccttcag aagggactgc
12061 actgtttaag agttatatgc taacagacaa gagaggtccc atcggccaag gggactgcca
12121 ttctgctttt ccacttccat Gcctttggga cattctctgt gaattctctt agaattcaga
12181 aactcctaga atgattagct gatacgacaa attaacttgc tctgtctttg aagacccttt
12241 gctctatcgt ctcctactcc agaaaactag ggtccctccc tctgctcatc cacatcctac
12301 acagacttct aggcgcagcc catgtcttct ctcttccagg aagtccttcc caatgcctcc
12361 tgtcccggga tctctccctc cattccttct gtagcataca tttgagatcc tactatatga
12421 caggccggat tacggatata cagggattga atttttaaaa agctgtatgt ggggaattca
12481 gataatacca tcatataatt taattctact agaaggttta gaatgaaaag cagcaatctt
12541 tgttccctgt ttctccaagc ccagtgcctc ctttaggttc taatcaccct taattctcct
12601 gggtgtttcc tctagttttt aactcaattt ttaaatatac gcttacacag tatttttttt
12661 tgatacatca gttttgggca ttagcttttg ccatggtaaa tagcaggtaa atctcccatc
12721 tccctcctgc ttctctcccc ccatcctctc atcatcatta tgttccagtt tttgattgag
12781 gacaagcact gtcgaggcca ttacacatta tgactatgca ttctttttta tacagccctc
12841 ctttgttctg gagttaataa ccccttttta actcgcctga tgtctagtat ctattgttaa
12901 ttttttctaa gtgctccaca tctctaccac tcactaatca gaaatcatct ccgttcaatc
12961 gaatgtatcY gtttcgtttt cccctctgtt tcctggctct tctctgaact ccttgcttgc
13021 tggatctgct actcgactgt cctcttagga cctctctctt cagcctgaga tttaccttct 13081 ctgcccttct ccattaagtt tctcatttct ggaatctctt ttcttcctct tccttggttt 13141 gttccctgtt tttgttgcat acatcctccc atagtgttct gagaaagggg acttaggaaa 13201 ggggacttaa gaagcaacat gttcagtgcK tttacatctg aaacgcctga aaaYgtgtta 13261 ctctctgcac atttgattga tggcttccct aggttaccta ggtgggaaat acttttacct 13321 cacagtctca aaagtcctga ccattgtctt ctaattccca ggattactaa aaagcaacct 13381 aatgtcgttt tgattctttg tcctttgtga cttgctttgt cactgtgtta ggccattctc 13441 gcattgtcat aaagaaattc ctgagactgg gtcatttata aagaaaagag attgaatσgg 13501 ctcatggttc tgtaggctgt gcaagaagca tgatgctggc atctgctcag cttctgggag 13561 gtctcaggag acttaaaatc atggtggaag gcaaggggga gcaggcaagt tacatggcaa 13621 gagcaggagc aagagagaca gtggggaggt actacacact ttcaaataac cagatctcag 13681 gagaactcac tatcacaaaa gactgtacca aggggacggt gcaacaccat tcatgagaac 13741 tcctttccca tgatccaatc acctcccacc aggctcctcc tccaacactg ggaattacat 13801 ttcaatatga gatttgggtg gggacacaga tccaaaccac accggtcacc ttggaggctt 13861 ctcagatgtc ttcactgccc tccctctgct tgtctgtgtg tcctttttca tccattgtgc 13921 tgggcactga atatcccttt tattccagaa accctgtcct aggccagtaa acttttatgt 13981 gtaatttttc tgataatttc ttcttaattt cccctcacct taYgttctgg aattttcttc 14041 agccagatgt tgggcttcct acaatggagc tctaattttt gttgttctgt ttccccccta 14101 tgttccgtat cttttacttt tttaaatttt taaaataaat ttcttgtact ttatctctca 14161 ttcttctatt gatttggtaa tttattaata ottcaaaaaa tttttccaag agctcatttt 14221 tcttctctgg tccttcttca aagctttctt gtgtctggat tctctctcta tatatatttc 14281 attaagaacg ttaatcatag tttgaagttt tcttctgttc cctgcatctt ctctattttc 14341 tctaggttat tttttttcag tttctttgtt tggatgttgg tctttaatgt tggaggattt 14401 tctcacatgt ctggtgatcc ttgactgcca gttcatattt aagagagact ctcagaggct 14461 gactgaagcc cactgtgcct ggacagggtg gggctaccag tgggattcac acagtaagcc 14521 tgcctttctg ttaggggatg cccaaatgtc agatcttacc tttttctgtg gctttgttca 14581 ggccacaaaa aaaaattgtt caggccacaa aaaaaaattc ttcttcttga gaagaatcag 14641 catcctgact gagtggtggc tactggctct ctgggatgca gaagcactag tgggaatcac 14701 ctgggagatg tttcagaagt gaaattccac aggacttatt ttttttccta aagttaggga 14761 tttttttttt gtttgcttgt tgtttacgta gttttctata tacctatcat gaattctccc 14821 tcaaaatctg caacaaaacc taaaatggct ttcaattctg ccaccctctt cagggaatgt 14881 atcagttcaa attgttattc tttttttgga gacatgctcc ttagagcctc ctgttcctgc 14941 ctggaagggc tgctctccag gtctccccag ctatcattct agaactgtcc ttcctcatct 15001 tgttgaaggt tttcttctcc tctctttcta atcaactcca ctgtgtcttg gaggcaatgg 15061 cttccaactt ctttgctaac ttccttgttt gggtgtagca cactctccag taacttcctg 15121 aaaagcatat acagaaggta gagtttgtga ctccttttat gtctgattgt gtatttattt 15181 cacttttatt tactctttgt tttatctaca agatggatag tttggttagg tatgatattc 15241 taggttgcaa aaaaatttct ctcaaagagt ttgaaggcat tgctcagttg ttttcccatt 15301 tccagtattt gctgttgaaa ggtctcatgc catgctcagt ccttgtcctt tgtcctttgt 15361 atgtgacccg ttctccccct tgtttttagt tttttctgcc cctgatattc tgaatttcat 15421 gatcatgtgc gttggtatgg attctctatg agttgtccta tgattcatgg gtgtttcaaa 15481 gcagagactc atatccttgg gttctagaaa atcttgtatc atctctttga aaaatctcct 15541 ccttttgctt tcacttgctg gaactcctgt tagtaagggg ttagcgctta atgatttgaa 15601 cotcccattt catataaaag atatttatat ctctcttatt ttctaacttg tcatcttgtt 15661 ctattttcca aaagatgttt tcaacttaat ctttcagcct ttcaattgaa cttttttatt 15721 tttattttta ttttttttga gacatagtct ctatcttttg cccaggctgg agtgcagtgg 15781 ggcaatcttg gctcactgcc acttctgtct tctgggttca agtgattctc ctgcttcagc 15841 ctcccgagta gctgggatta caggcgtgca ccaccaggcc tggctaattt tttgtatttc 15901 tagtagagat ggggtttcag tatgttggcc agactggtct caaactcctg acctcaagca 15961 atccacctgc ctcggcctcc caaagtggtg gtgggattac aggtgtgagc caccgggccc 16021 tgcctcattt gaatttttaa tttaagctat gatatttttc tttttacttt ctagaaactt 16081 ttgcttattc ttcggatgtt tcttataaaa atagattggg tgcagtggct catgcctgta 16141 atccctgcac tttggtaggc tgaggtaggt ggatcacctg aggtcagaag tttgagacca 16201 gcctgaccaa catgatgaaa ccccatctct actaaaaata caaaaaaaaa ttagccgggc 16261 atggtggcag gcgtctgtaa tcccagctac tcaggaggct gagggaggag aatctcttga 16321 acctgggggg tggtggtggt agtgagctga gatcacgcca ctacactcca gcctgggcga 16381 caagagcgaa actctgcctc aaaaaaaaaa aaaaaatgta ttatgttcYt ccccattctg 16441 cccgccaacc ccatgtatcc aatatatttt attaattttc taagggtatt agctgtattt 16501 ttagtttttt ctcatatttg tctctgtttc cttgaagtct ctgtctctgt ctatctagtc 16561 atttcctagc tcctcctctc tggctgatgt ctttcatgta gaagacattt ctaaaatgtt 16621 tggggaccct tggcaggagt ccatatttaa gacagaggca ccaacaatct gacaggagag 16681 tatgtgtgca tagacagggc ttgtcctggc atgggctttc ctggaggtga tcaggtggca 16741 agtccaagtg cttctaggtc tttttcctct tgggctggtt agcttttcca gagaggagct 16801 atctaatttc tctctgggga tggttagtgt tctgcaagtg gagtagcagc taggggctgg 16861 agtcccacaa ttctgtgcat aatcccctgt tttcagtatg gtgtctcatc ctccaccctg 16921 cttcacagcc ccagRgtcac caagacctga gactctgggt gcatttcttg tgagagtaaa 16981 ctttccatcc tcagccaggt gggaagggaa tttaagagtg caatggggag tgtttaagtc
17041 cttttttaag gagatgttca ccactccttc tgtgtccagc ctcactcctg ctttcggagg
17101 aactgggtgc tctacgtcct gagcctttcc Rggtgcccag gtgaaatcca tcccctgaca
17161 agcacttagc tttccgcctt ctcagctctg ccaaggcatt tactgttcct ccactttcct
17221 tttcaaacat Rttgcttccc gttgtctcct ctggttgtct gttcctgtca gtgggggctt
17281 tgcaggggtc tgtgtagaga acataaatga ccgtggaaga tccagaagtc tcctgaaggc
17341 catctagtca gggcctcata agcctcctgg cccctctcca tgctgacgac ccctggttcc
17401 actcaccagc ccagctctct cctcagaggc ctgggtgcat ggtgtggacc acaggcccct
17461 cacattcaac atccctgaag ctgatctcat ccccactccc tccaaagctg ctctttctct
17521 tgtgtcctgc cataggggat acccctgcca ttcaccttat gcatcccacc aagacacgca
17581 gctgtcacgc acttcaaatt ccacttcctc ttgactctgg tcaccccctt tcactgccac
17641 cttgatcagt ctggcccatg catcggttct ccactggact gcagctgcct cttaagtggt
17701 ttcgttctcc caagtctggc tcagagagac acctctccat ctcatcatgc tgctcatgcc
17761 caaatacaca aggaagctcc cccgcagttc ctcactgccc cagcccagga ggcttgtcat
17821 caggcccgtc tgctgcatcc ccacttccca ccttgagtgc tctggagtcc aaatagtgct
17881 catcacactt gacgtctcac ctcgagccct cagagttgtc cctgtctctt ctccctattc
17941 cttccctgta tcttctgtct tctccttctc ctcgcctctt ttcctctgcc cgacctccct
18001 tcttcatcgg gtgtcagctt aaatgtcact cccccaggaa gccttctgca actctgcagc
18061 cctccccacc tcaccaaaat tgcatgggtg ccccttctgc ccatccttct tcatactgca
18121 acatcctccc ctggtcttgt cctgtcttcc catcacgctg caagctctgt gaaagcaggc
18181 tcctgactgc cctgcccagg gtgtgtgaac ctgcccaccc tgσctccaga ggctggccta
18241 gtgctcggca gaaagcaggc atggagttgt taaacctgtt aattaatgtt atagttaatt
18301 tataattata tatagactgt atgttacgta ttcatataaa tatattttat atataattat
18361 acaggttata aattaatgtt acaaggtatt tagtgttcaa ttaaatactt gttaaattat
18421 ggatgggtga agtccactgt ggtctgggca gtgggcagcg ttttacctga ggagggagaa
18481 ctgccttggt tttcaggagc ctgtgatgag tgagaagtcc ctgccaatta ctgtgccctg
18541 gcctcagagg gacccagatc tgggtcacca tggaccccaa ggagaaaggt gtgtccagag
18601 taagcaggga catttcttct gctgctcttg ctgtgacggt ggctgtgccc ctcctgtcac
18661 acctctctgc tttcacagtc ttcccatcgc agctctaatt gggaccccag agaggctggg
18721 cacagatcca gggctgggtg ggtggggaaa ctgtcactag catgtgccaa ctcctccgcc
18781 tccacctggg cctcagtgag aagctcagtg aggtgcagcc acctcagtgg ggaacagtcc
18841 ctggcaatgc accagccctt tccccattgc cactgccact gctgtcactg cttcccccat
18901 agcctcttaa tgaaacatca tctcccagta tttccccaaa ccaccttctt ctcactattc
18961 ctaccacccc tgccagccat agattaggct ccagcatgtc tggtctatgt tttatttgcc
19021 cccMccgggc acattgcctg tgctgggtgg gcaggaggca ggagcacagg atggccaagg
19081 gcagagactt tggagcagct gcctggattt gaaaaccaga gtcccatcac tgctccatgc
19141 ctcagtgttc tcacctacaa aacctgtatg aatataacac tagcaaatta gattgttgta
19201 cggattaaac cagctggtgc atgcaaagtg cttagaactg tgtccagcac acataagcct
19261 tacaaaagtt ttgccaatta tcacaaagtg ggcactcaag aaagatttgc tgggtggaat
19321 tgtgtcaggg tgctggaggt gggctgtccc tttggctctg gacagccaca gcttcctggc
19381 aggtcccctt gtgtcctgct aaccccctcc caatctgccc tctccactgt tggattgcca
19441 aggctttcag gagcctgagc tttacatgct ctggcccctt cccacttctc tgtttttctc
19501 agccatacac acacaaacat gtgcacacac acatgcatgt atatgcacac atgcgcacac
19561 acacatatgt acacacaagg tacatatata tgcacatgca cacacaccct tcccatgggt
19621 cccccatgct cctggctgtt cccatcctct aggctttgct aggtcctctc tgcctgccag
19681 ctgctgcccc tgctttttgc cccatgaggt cctcatgctg gctttggttc tgttgtcact
19741 ttctctggga tgcctcttct gctcagatag ctcacattca gggagagccg aatcatactc
19801 acccacctca ttactctcac ctgaagctcc ctaaggagac cttccatctc ccatgcagtg
19861 atggagccgt acctgtttac ctgggggtct ccctatctgt cagtgagcat ctaaagcccc
19921 tgttggatgt taggggcagg tgtaaatccc atagggcaca gcatcttcct tctgtctctt
19981 agcttccctc cccaggctca ggggccacgg ggccccaggt agaggcagct ccttgacctg
20041 cccccattgg ctgggccttg gccacctgct ggggctcagc accccccccc ccccgccacc
20101 tgcctctgct cctgacctcc atgcccacca cctatccttc ctcctcaccc ttccttcctt
20161 cattccacaa cctgaattgg aagcctgggg tccgatgtga aggcgaagtc ccactgaggt
20221 gcagtctggt gggacatcat catgccatgc tctccaccac tgttcatcca attctctcct
20281 tgttcaggag gctgaggccc agggaggaga cactgtgctg agggagctga gggcagagct
20341 aggcctagac gccacttctc tccactcaca ggtccaaata tgggccctaa ggctcactat
20401 ctgccctttc ccatcacctc agtcccRctg ttcctccccc aacactcctc cccgctcctg
20461 ctgcccaacc actgcttttc agaagctgtc ccaccctagg ggaatgggat ggagggcaag
20521 atgttggtga tgactgtcct tcagctcaca tggtgagcat tcaggcagtg gcccatgctg
20581 gtggtttgtc ccctgaaggg actggtgtgg gcaggggctg gggttgggca gagagtcaga
20641 ctcactccct tcttcatctt gtgcgatctc agagaagtag aaaatgctcc cagatgttca
20701 gcctggctcc tcaagactta aatgccactg tcacaggccc gctcctcatg ccacttgaag
20761 ccttatcagt cacttatact ttggtgtgaa tgaaggaagg gggctaggga gtgaagtggg
20821 aggatttagg gaaccagaaa gggagacgcσ ttgtctgaag tcacacagcc tgggccaggc 20881 agagcggggc agcttctgaa cctacatacc tgggctacag ctgctcctct gagccttgca 20941 ctgccccctc ccccgcagtc ctctgctcac catcctgaat agcgccagat cagatggaca 21001 ctattaagaa gctctgggtc agctgtaagc caccagtgag catgcagaaa atggagtgca 21061 gcccaggagg gaaaatggaa aagtcccttt ggaattgccc cacccactct gcttctggtt 21121 ccttgcagat taccaaattY ccagcactgt gcttttttgg ggggatatag gggaagggcc 21181 ttgccccact tccctcttag tggagggtgg agttttgttg tttttgcagt gtttttggca 21241 tcaaaggtga actctggttg tcatgggaac tccagcagag ggaggaaggg agagggcctg 21301 aggaggctga attaatttca gtttcggctg gttctccaag ggggMatctg cRgggggtaa 21361 agagtgaggg tcccaggaaa gaccctcacc caggaaggcc ccttagtgcc ccacgtctca 21421 catgcccagc ctggctccag gaggctcccg cgtctgccat gcaggcgttc ttccttttgg 21481 gaggaggcat gggcttcccc tgctgccaca ggaggttctg ggtctagaga aggttgtctt 21541 agcatgggtg aagaaagggg atgagggagc cccccagaga atgtcagcag gctggggacc 21601 tgtgcagacc cttcagtcct gttggggcag cagggagcRg caagtagggc agggccaggt 21661 ggtctctgag tggcttgaga accctgactc aattgctaga agcctcaggc tgggacatcc 21721 aataagagca caggaccagg caagtggtgg gtcgacatgt tgtactttcc aaggaaatag 21781 tccccttttg ctatcttttg taaaacacac atgtcctctc atcctccagt tcaattttct 21841 acctttgata gtgacacagt gatagagtaa tcaatctcta ctaaagcaac agctcaggtc 21901 cagtggtaga tgccagctgg cgttagggat ggggagcaat ggggattggt gaggagtgtg 21961 gttaagggga gagctttggt tctggatgag gggactgttc tacacgctgc atctgactgc 22021 tgtcacatgc tgggtcaatg ctgccagatt gtccaactgc tcagacgaag ccagaaatac 22081 agattatgtg gacttccctg atgtgtgcct ttttccttac tatagtcctc attccagctt 22141 cctctgccca cgtaggccca agccttctca agatcatgga tgagggaaac cttgctgtta 22201 ccttgaacag ttaagataaa ccaagccctt agaaatggtc ttatttgtct catcctgcta 22261 cagataggga aactggggcc cagtggggca gagacctcct tagccaaagg cactggatgg 22321 gttagtagta agccgcagct ggaggtatcc agggcagata aacagaagga tgacccaaga 22381 atgcatgtgc tcctgtgagt acgtgacaag cgatgtgtcc catcagggtg agacgagacc 22441 acaaaggtgt gggaatgatg ttaattttag cccacattta ttgggacagg caccagaaca 22501 agcagagttt gggtctattg aaaagatatt ttatttttgt accacacagg ccctttaaac 22561 tgtattatgg gagaaatcct tgcttgcttt atgagctgaa aactcaggta ggtcccatgt 22621 tttttctgct cactcctRtg tcacagacaa aatgttcatt aaaattctga aattgattta 22681 atggcacttc ttttccccat gccagactca gggctggaac ctgcagtgga aggggcaggg 22741 ggtgaggaca tggccagttt ctttgttctc cttggccttc tctcttccag ccgccctcca 22801 gtttataagc cagtttctga cccctcctgg gtgtgggtag ggcaggaggg aggtgggaga 22861 gagggctggt aatgggaggc aaagtcttgc tggaactggc tttgcacact ctctgggcct 22921 ggcaggtggg tagcactggc tcttcttctg caatactcag tgggggccac ctctattctg 22981 cccccctggg gaaggagatg gcattcatca tgggtagcaa tgcccacccc acagcccacc 23041 acagccacag gacccacatc atctggggca tcccaaggaa cttgatctgt gcctcatata 23101 gcctctcttg gtcttagttt cctcatctgt taaataaaga gccttgtata aggttgtctt 23161 tctgtggcga ggagcagtca ggtcctccaa ggagcggggg caagagagtt agccttttct 23221 cctggctctc acctgggctc aagcagaaga ccaaagccac ttctgagctg ctgggggact 23281 cctgagttca tccccccacc acctcccagg acctttagag ctcctgctat ctgccagggg 23341 cccctcctgg ctcctgtggt ctcccacttc ctacaacttc atgaacaagg agggaggtca 23401 gaaggcccca ccctcaccca cacttcctcc atagcaccac caatgccagc aggaggagca 23461 gctgaccatt caggggtggg gcggtggggg ctgtggggag ggcctgggaa gatgtgaggc 23521 aggagtactt gacaccaggt gatgctctgg actttctcct cctccttgtc ccccatctcc 23581 tgaccctagc ctgtcaccca ggacaaggcc atgatgatag gaagctggct atggatcaga 23641ιgtgaggacac tagagggcca agtcagtgcc cagatatgag gtgcaggggt acagggtgag 23701 gggcccagct ggaagctggt gctagtcttg gtggaggaga atttgctatg aaagagagga 23761 taatgggtgg aggcttccca gctgggaggg gagaactctg tgctttcttt σcacctcagt 23821 cagagagcta cagaagcagc gtcttccctt ccttgtttgt acccctggcc tccctgggca 23881 tcagccgtgc tggctgggga caggagtgtg gggtggggta gagattgggt gggagatggg 23941 tccatcccca ggagtttctg atcctccttc aagcctcagc acagatatca taaatgccct 24001 tgtaggtagg tcatcaacac atccatgttc aaaagagatg aatcagctca gggtgatcag 24061 gaagtgcacc aggaggcttt ccaaatacca gagaacaggc ccattcctca ggctctgtga 24121 gcctctctat ggaagcctct atatgccctt cgcacactga gaggaattgc cactcctctg 24181 ccacccgggg cctgggctgt gtccttttca tctctgaccc ccaggcccag gcctcatacc 24241 tggcacagaa taggcattgg attggtgctt gcagaatgaa tgaatgaatg caggaggaag 24301 gtagatggaa agaagagagg agagagagaa ggggcaggtg tcctggagga gaggctaggc 24361 gtgggtgtca cttctggcca gctgggaccc tctggccaga agtgaccaga gaaggtgggg 24421 cgggggtcca ggatgtttga gcccaagatc tgcccatgct ggcttttgtg ctgtaagctc 24481 tgcagccaga gtgagcagca acacactttS ctcattctca cactctgccc ttgtctggga 24541 ggggaagcca ctttcgtggg ggaggggcag gtagacatat ggagatttgg ggaaacacaa 24601 aagggagaga gcaggaggtg tgagccagag gcagctccag gtggaacagg atggagggag 24661 gggaagagta gggtggagac ctggagaaaa gaaagaggcc aagagggagg cagaagggag 24721 aagcaatgga gggcctggga gggttttgtt ctccccattc cttacccttg gtcagacaaa 24781 acagaatctc cctgtttata ggaaatgcta aagtgtacct tcttcaggaa tgactcctgg 24841 tttgcatgag ctggtgacca ctctgagcca tccaggttca ttccctctct ctccaggtgt 24901 ctggtccttg gagtcatggg gcattgagtg gtctgtgagg ggtcatggcc tagtgtgcat 24961 tggagatcag actgtctggg ctcaaatatc tgcctgctgc tgactaaatg attctagggg 25021 caactagctt gaatgctgtc tccctcagtt tgtccatcta taagctggag ataataaaat 25081 aaccatctca aggtggtgat gtgatgtttg aatgagataa tataagtaga gtgctgagcc 25141 cggggcatca tagggtctgc ataaatatgt attattatta ttattattat tattattttg 25201 agatggagtc tcgctctgtc acccaggctg gagtgcaatg ■gtgcaatctc agctcactgc 25261 aacctctgcc ttctgggttc aagcgattct cctgcctcag cctcctgagt agctgggatt 25321 acagacatgc gccaccacgc ctggctaatt tttgtatttt ttgtagagac agggtttcac 25381 catgttggcc agcctggtct cgaaatcctg acctcaggtg atccacccat ctctgcctcc 25441 caaagtgctg ggattacaag tgtgagccag tacgcctggc cgaatatgta ctattattgc 25501 ttggggtgct tcaaacagat gcagagacag caggccacat ttaactcctg cacacctgtc 25561 tccttattca cagaaaagag gagaatgagc ctggctcaga cagcctgcca tggatggtga 25621 gagaatccat gttgatgatg gactgtaaca gcgactgttg ccaatgactg gcttcctcct 25681 tgKctttaaa aaacatttct caccctttga gggaggtatt aatgtccatt gtacagatga 25741 ggaaactaag gctgagagaa gacaggtagt ttgcccagag ccacatggag gatctcacca 25801 gctggggagg ctgggactcc ctgtgcctga ggagactcct ttcaatttga tctctggaga 25861 gaaacctcag ggggtgttga gggctgggga catggtgggg aggagagagg acaggttcag 25921 ttcctgcccg acaactctca ttatctgtcc catttattgc tccttgctga ttctgaacag 25981 catgtactag gtcttaatgc tacaatcacc tgcctatttg aggagaaaat tggactaaaa 26041 tggcctggag ctttcagcct acagttcagg agaaaggcgg gtgatgagca gcacatggag 26101 cagggaggaa gagaatagct tccgaatcaa agggtgtcag caaggcccga gagcagccat 26161 cagtcccagg tagatgctgg gggagaagaa aatgccagag tcagggggcc tggcccaggc 26221 ttctcctctg caagatgcag gctcctaaac ccctcaccca acaagacatg gtacaaaact 26281 cttccagaac aactgggggc ccagagtttt tcccctgaga cataaagctg ttgttcaggc 26341 caggtaaggg ccaatggcat gaagtggtct ttccagatgc tggagggcgg tttgccctgc 26401 actccctccc ccgagttctg gacccccttg ggagacatct ctaattacat agtcccccgt 26461 cccacagaga ttgtgctgtg tcctagttca agtgttggct gagagttact ggcaagaagg 26521 agaagaaggt caggacccac accctgggga ccaccctcct tgaaggggag gggcgaggct 26581 tacccaggga ggcagaggag gcgtggcagt gggtgggatc aaggaggctg aggggtgtgg 26641 tcataggtgt cctgtgctac agagacagag taaggtgagg catgaggcta gcaggcccag 26701 tgaccaggag gtcatgggga ctctgagtcc tcctgggggc agctgatgga aaagcccaag 26761 tctcagaagc caagtcaggc ctgcoattgt cagcacccct tgggtaggct gggatctcca 26821 agctgtcctg ggaagaatgt ggggctgcac tactccaggc ccccaaagtc ccatcttgtg 26881 attatggatg gggaagctga ctcacagcag ctctacccta tcccagcgca tttgccctgg 26941 gtcttggcca gctgccctcc tacctacttt tctctcttcc tcccactttc agggccagag 27001 gactagacca ccacaggcct gagtgtgtcc tcattcctgc cctctcccag gacttagaac 27061 tttctctttc caggagtgca ggagtactca gactgaacct gaattttatg ctgcagctca 27121 gacctctgat ttcatggatc gcttatgact gggcttgggg gattagactt ttaagaggag 27181 gctcaagctg agaccagact ttgaagtgac aaagttcacc agcaagttgg ctataggagc 27241 actggctggg gcagcatgaa tggctctatg ttgccctccc catcacagtg gtcaaaaatc 27301 agtgctcaca gctatggcaa aggttgaggg agggagtcta cacccttggt agtggggagc 27361 tgatagcaca gcctccttga ggcacatata ggggtcacct ggtgatctgg gcagtgactg 27421 agtcatcctt gcagccactg ggcctggaac atccagtccc cactggtgga caggcactta 27481 tttggaccat gtgcctgtct gcctatgtct gatgtgatct ccttcagggg cctatgtttg 27541 cctgcagcac ggaggccctg cagacgtggg ctgaggaggg gtaagggagg acccttgaaa 27601 tctatggctc ctgtattcgt cccttctcac aatgctgtaa agaaatgtgg ggactaacaa 27661 gagcgatgcc atttctctac attggtgact gtgttttcta ccttggtgac ggtgttccca 27721 gaaacaaagc aggtgtcaac cttgcccata cttttaatag agcataacaa ccctaaccac 27781 aacagagcct gatggccctt accacatcct tctccagccc ccaacagttc caacctgcca 27841 gcacttacgc aaaccctccc ctatagaaac tttattataa aaacctcagt ttctaagtga 27901 cagggtctca gccacattcc tgactgggac ccctcacagg cttattcttg taaataaacc 27961 tgtttggcca tcaagttgcc ttctttctct cttccttcat attttcctaa caagaactac 28021 ctgagactgg gtaatttatg aagaaaagag gtttagttga ctcacagttc tgcgggctta 28081 acaggaagca tggctgggag gcctcaggaa acttacaatc atggcaaaag gcagagggga 28141 agcaagcaoc ttcttcacat ggtggtagga gagagcgagc aaagggggaa atgccacaca 28201 cttttaaacc atcagatctt ttgagaactc actcactatc atgagaacag caagggggaa 28261 atccaccccc atgatccaat cacctcccac caggcccctc ctccaattca acatgagatt 28321 tgggcagtga cacaaattca aaccatatga gctccctaga ccaatgccca agtcttgggt 28381 cttggggaca gagagtgagc tcctacctgg agaggaaagg gattctggct tccactttaa 28441 caacctccac cacgtgtgaa cccctgaact gtagccgcct ccccaaggga tgcccatatc 28501 ttacccctgc gctcaaacgt ccttccaaga tcaggaatgc caggctatgc ccagaaccga 28561 ggcttgctgg gggtaggcaa gctggcaaca agaaaggcag agggccttaa acgtggaaag 28621 gcctttaaag aaagtcttgt ccagtgtggt ttctcaaaca tttttagcag ctcaaaggac 28681 tgggcatctt agaagctcaa atgattaaaa cagatgaaag tagtcaatct gatcgcagtg 28741 tgggtggaag gcYtgggctc acttactgac cctgctattc ctgcctaccc atatcagcca 28801 ctgagtgtcc ttgatgaact cctagggctc caggtagcag agtttgaaaa actgtctctt 28861 gacttcagtc cctctgcatt ctatatttgg cctgcctgtt ttatggatag gcacactgag 28921 acttaagaaa gaaggagtga cttacacaag gacgtttgtg gcacagccag ggacaaaaac 28981 ccaagttctt gcatcccagc ctgattcctc ccagctgcct gctagaactc catcttcctg 29041 cctactgatt gcatcccaac agctctgttt taaagaataa ttttattgtc ctaattatgc 29101 atttcaatat tcgaaaccac cttacatttg ctctggaagc aggaagagta aacatcataa 29161 atgcacatat aaaatcatta tgctcccttt tcgtttgact ctggtatctg ctcccttgtg 29221 ggaggaaatg aaggaggctg aatttggccc ctgcccttga caagctcatg gtcaggatga 29281 gagtttggaa agagagggtg gtggactctg gggctaccct caggagctgc aggcagggtg 29341 gaaaggggag ctcgcaccct gcctcaattg ggtgggggca ttctgtgtag ctgcagggta 29401 aaggcagatg acccacattt tctgtgtcac acagcctgaa tgctattaag aagatggact 29461 gccacgtaat agctatgagc ttcagcaagt ttgctaacct ctctgtgcct cagtttcctc 29521 atctgcaatt tatcatgtgt caatttatgc aaaacactta gccctgtatc cagcatatgg 29581 taaatgctca caacggttag ctgataataa tgagtgtccg ccctggaggg gagctgtggt 29641 gtgtgggctc tcccagtagc agccctcttt gtctgaagct tggtcactgg aactctggtt 29701 gaaggttgaa tgaggtggcc tattgcagag gaaagagccc tgtctcagaa acaagagaSt 29761 tggaacaccg agcctcactc tgccaccaag gaccttgggc aggtctgtat cttctcggag 29821 cctcagtttt tgcatctgta aggtgggtaa cattacagca aatatacagc attgttgctg 29881 tgagtgttag attagataaa tgtgtaaaac acttatcatt Ktacatggca ggatgaaggc 29941 atgttggagt tagggaatgt tagtttccct coctaagagg acgggcagga gggccctgga 30001 taaagtgtca tgacaaggat cctccttata aattagggag aagatggagg tggcagccat 30061 agcagctaac agaggtggaa gccatgagag aggccaggct gggagagagg aaactttcac 30121 tttcactcac ttagcatgtt tccaggatat tgaccatgtc tggccctagg ctggatccag 30181 gggctgacag gtgagaccac agcagcccag gctgacatct cctcaaatga acaccatgcc 30241 agctggaggt gcaaaggctc actggaggca ggaggacccc ttcagctagg gagggttggg 30301 gttttgtttt tgaactgggg ttttaggggc aactaagata gaagaaatgt aggcatgcca 30361 ggtagcttga agggtatccc aggtggtggg aacccatggg gaagcacgga gacaggaaat 30421 cgtgagcggt gtgaaggtct aagtcacgat tatctttttc CGcaaaggga gacaagctgg 30481 atctgtagct gcgctgcatc ccgacggcct gcccaggttt cccgattcca cgggaacatt 30541 cttcctggag gagtccacaa gtcttctagc ctagagccat ctccaaaatc cctacaaagc 30601 aacaaacggt gtgacccaga gtctcattct gaaatagact gaagctctag ggccgcacag 30661 aggaMcattg actgaaatct cacagtgggc cctgggaggg tcaggggacc ctgcagagag 30721 cctgggcagg gtcagcccag gcccagaagg cttctcagag gaggtgatgc tggcggaggc 30781 ctgcctgtgt ccgtatcagg agaaagcaat gtcaagaaca gcaaggtcgc tcactcactt 30841 cctattgtag atcagagctg ggagttttcc tcagattact tctcactaag aagacagccc 30901 tcttctcagg cgccgctgct gacatgtttt gttttcccca gatggggata atcagcctgt 30961 ttgggagtcg ggctgacagc tcaggcagca ggcgggggct gggggcggga ggctgcaggc 31021 agctccgagc tctcagggag cagactctgc cctgcctgcg tgacaagctc cagcaggtgg 31081 gggggatttc cgtttgcgcc aaagaggagc gggctgtaga gtgatttagc ttagttatgt 31141 gaaccttgag aggctgcccg actcctctcc ccgtttaatt tatgcttgag tgccagagct 31201 gaagaccttc aagccgtccc ctgctatacc ggaagggacc catcaggatc ctggcttgga 31261 gctttgctgg gtatttccag acgttccaca gaaggtgggg acagggctgg ctgtgctctc 31321 tccctcccct tctctgggaa gacttccaca tcttccccat cccttcctga tggccccacc 31381 ccaccgtctc ccagcccYaa gagtctcagc ctcaccttcc cacccttgcg caggcccagg 31441 tctgggctct tcactgactc atgttttgga agaaggggta gagtcaccca ccagcctcgg 31501 ggctgtctga ggcaggtcaY agttgttctg agggccggac cccagggcct tgggctgctc 31561 agcatttcta ggcactgggc tggaaggttt gcatcccaga catagcaggg ctgaggaacg 31621 gctatgttag aatcaccttg agtggaataa ccatgcccac ctgaggatca tgggtcccct 31681 cctgtgggtg ggtctctgga ggtctgagga ggcctgacac cttcaggcag gctgcagtgg 31741 gcccttttct gttctttctc ccccagtccc gcttcaagga gggacgacca ggccagagac 31801 agccttcctg agagacttgc accctgccct cacccaatac acaactgatt tccttctgtg 31861 tggaatgaag cccgtggact tcccatctcc aaggcccagc cagctctcgg ttctctggtt 31921 atgggtcccg cctcccagtc tcagcacttc ttttctgact ccccactggg cctaacacag 31981 agcctagcct ctgcctgtca gtgcttgccc acttacatcc tatgcaccca gagctgggag 32041 ccttcctcag actctgggcc tacacaaggc agctgctccc aaggacaagg gttaatagag 32101gtctttgata gagtctgagg tctttccaga gggaaattta gctcccagag gggcctgggt 32161 gggggcctga gagacctggc cacagacacc tatgagcccc tctgaccatg ttcttggctg 32221 cagcctcatg aggccatcag ggctcggcgc gggaggcagg gcccgggctc tgtccccagc 32281 tcctggccac acaccttcag tggccatgaa tctgcccttc accccctgca cctcagtttc 32341 ctcgtctgcc ccgcagcatc catgggactg cagtagtgtg tatatgcggc tgtggcccct 32401 gggagaggca cctctgggac cactggccat ctggccctcg gtagccgtgt ggcgcagatt 32461 tcctcctccg tggtctcccg ggcaacgcgg agctgcctgc caagcctgct gccgggcctg 32521 gctcctgcac agatctttag tgccacacag agatggctga tggcaggagc cagggtgagg 32581 cccagcctcc ccagctgtca cagggagcaa atcagacaaa ggYtgagttg ggaggggtgg
32641 ggcgccggag ccaggggggc ctgggaaagt agctcggagg ccccagctgc cccctcccac
32701 ctcatcctcc caatactgcc ctctcagtga cccctgcttc ccagaacact cagccgtgga
32761 cctcagtttc cccatctatc aaatgggagg ggccaggtct ctgaccctcc agactaatgg
32821 cctaagacaa gaacccagcc tggatgacag aggcctgagg aatggacatg ctttgatggc
32881 taatggcctt cagacagatg cccacactgc cactgcagga ctttggaggg tgcatgtttc
32941 aagggcattt attagctaat gtctccaggg ccatttgctc caaaccaccc gctgcttctc
33001 actccatgcc actggtgagg actcttctcc caggatggct ttgcccttgt agttttttct
33061 gccgctccca ggacttgcag gctctggagg ctgggcagtt ctgttttaga tcacagccac
33121 tcctgcattg aggccaccat tccacccctg ccccgagtga gacagaagct ggagctgacc
33181 ttgggacatg gggttgaagg cagggtgtgc agagagtaga gagtcctgca gactgctgct
33241 tctgtatgtg agtagctggg cagggagggc agcacccaca gaccaaggat aagggaagga
33301 ggtgctgtcc tacctacagc agacccccag gtccagagca gagacccagg cattccccca
33361 tccaggttgg gtcccaoaaa tgaccaagag gctttcagca ctagcaggca caactgctgc
33421 agtggggagc tcccttggga gggggcagct ggcaccatca ggcagccaga taggcaagga
33481 tgttgtcggg ggcccctttt gtgaattaga ataaaagacg ccctctcttg gcagtcatgg
33541 ccctgcagtg catggatttc agtccctcac acctccctag ggtgccatcg aatggagcag
33601 aacctgaatt gctgtatata gcagtctgcc aagcagaatt ggagaggcag Ygaatctttg
33661 accaaatact ggaaaatcaa gggaggttcc tggcatggtt gcctggggaa ggctttgctg
33721 accttgagcc tgagccccag aggccagtac agaaagggca tgggttcaac tcaacaaata
33781 tgaattgaga acacctatcc agtgcctggc actctttcgg atgctgggaa gagagtgata
33841 tcaagatagt taaggtccct gtggtcttgg agcttgtgtc ttagaggaaa gagtcagaca
33901 atagtaacct agaaaaatta tcagacagca aagacttcaa acacaggatg gatggtgggt
33961 gaaaggtgat gttagatttg ggggtggggg gtaggtatct ggcaagaccc actgagMttt
34021 aagctgagaa cagagtgata tgaaggaatc agcaaagtaa gcatcaaggg gaggagtggg
34081 gcaagtcaag ggaccaggtg ggagaagatt gcactgaagg catgaacgtg gccttgtccg
34141 ggaactgaac aaggaggctg gtRggactgg gggatgcaga ggagagaaga ggggatgcac
34201 tctggaggca ggggccagat cttgggactc agtcacccac tgtgaggggt ctggactttt
34261 tcctcagtgc aatgagaagc catttgagga actgacccag aagcgactct agaacaatga
34321 ttctcaatcg ggtgttatcc tcgcaactcc cagggatttt tagcaatgtc aacagagggt
34381 gagggtagga gtgStactgg cagctggtgg gtagaggcca gggacactgc taaacattct
34441 gcgacgcaca gggcagacag ctctccactc ccaacaaaga attatctgaa cccaaatgtc
34501 agtaataccg aggttgagaa actctgctct agatgttggt gtcccccggg tccttgctct
34561 tttagaataa cccagggtca ctgtactcca gcctgtggct ctttctatat atactctggg
34621 ttcaaatttt atcttcaccg cttgtccaaa atgtcaacgg tggccgggcg cggtggctca
34681 cgcctgtaat cccagcactt tgggaggccg aggcgggtgg atcacgaggt caggagatcg
34741 agaccatcct ggctaacaag gtgaaacccc gtctctacta aaaatacaaa aaattagccg
34801 ggcgcggtgg cgggcgcctg tagtcccagc tactcgggag gctgaggcag gagaatggcg
34861 tgaacccagg aagcggagct tgcagtgagc cgagattgcg ccattgcagt ccgcagtccg
34921 gcctgggcaa cagagcgaga ctccgtctca aaaaaaaaaa aaaaaaaaaa aaaaaaaaaa
34981 tgtcaacggt gcagaggttg agaaactact gtacaggaag aagggaagca gcacaactac
35041 ttagacctgt gctgaatgca gtagccactg gccacatgtg gcttttgaat acctgaagtg
35101 gtcgggcgtg gtggctcatg tctgtaatcc cagcactttg ggaggccgag gtgggtggat
35161 tatttgaggt caggagtttg agaccagcct gaccaacatg acgaaacccc atctccacta
35221 aaaataaaaa ttagccgggc atggtagtgt gtgcctataa tcccagctac ttgggaggct
35281 gaggcaggag aactgcttga acccgggagg tggaggttgc agtgatggtg ccactgtacc
35341 ccaggctggg tgacagagca agacttcatc tcaaaaaaca aaacaaaaac ctgaaatgtg
35401 gctagtccaa ctgaagtgct gtgagtataa aatatcagat ttcagactca gcacaataca
35461 aagaataaaa tatctcactt gtgtttttat atggattaca tttttaaatg ataaaatttt
35521 gtatatattg ggttaaataa aatatatcat taaaattaat tccacttgtt ttttttaata
35581 atgtggaact tttaaaactc catatatagc tcccatttat ggatcgcaaa ttatgtttct
35641 gttgcccagc attgagttga ctagtgataa tactcatcgt accagttcct atgtcccagc
35701 actgttctgt tttatgcacg tcacttagtt ttcacaacaa tctcataagg gagatattgt
35761 tactattttt cggcttatat atgagggggc tatggccctg agaggttaag taacctgccc
35821 aaggccacac agggagtaag catagagttg gttccagggt ctggatgtcc tgaggatggt
35881 ggcttggcta tgatgaaaat ggtggcgaca gagtgataga gtttggatgt tcgttccctc
35941 caaatctcat gttgaaatgt gatcctcaat gttagaggtg gggcctggtg ggaggtgttt
36001 gtgtcatggg ggcagatccc acatgaatgg ctccatggcc tccccatggt aatgagtgag
36061 ttctggctct gttagttcac ttggaggctg gttatttcaa ggtacctggc atttcctcct
36121 ctctctcttg ctccctccct cgccatgtga cacgcttgct cctccttccG cttccgccat
36181 gacaggaagc ttcctgaggc ctcaccagaa gcaggtgctg atgccatgct tcttttacaa
36241 cctgcagaac tgagagccaa ataaaσctct tttctttaga aattacccag cctcaggtac
36301 tcctttatag caatacaaaa tggactaaca catggagaga ggggagatgg ttcagggtcc
36361 gcaggggctc ctcaggactc acagatggag tgggcgtggt gatgtgtaag ggaagggaag
36421 aaggcaagaa cactcagtag ggctttgctg tgaacagcga ggtggggggt gatgtctttg 36481 gctgagatgg ggaagctggg ggtggtatag ccttggaaga agagctgcag agttctgtgt
36541 cggtcctgct aagtttgaga tgactataga catataagaa agcagctgga tttgcagaga
36601 gacaccaggg gtggagagag acatttgggg gtcagcctta gtacattgac agaatttaaa
36661 gccatgagga atgtgatcac ctagagaaat tgtagatgtt ggagagaagg ttgctaagac
36721 agagcctgaa gcacaccagc agttagagga tgagccatgg agaaggatca atgcaggagg
36781 ctgggagaga gactccagtg aggcaaaagg aagaccaggc atgagaagaa gtatctcaag
36841 tgggagggtg tggtcagttt ccaggctcac tcacattttg cctgtgagcc tctggctggt
36901 tggagcaaga tagcagcagg gctcattgac ccaaggtagg gcatctgggg agctgggctc
36961 atttctgggc ccaaggcctg caggttggcc agcttcatgc tgagcccctg cagctaggca
37021 tttcagctag gctcctcctg aaaagacacg gaggagcagg agagtgtcaa gtggcccagc
37081 tgaggcaaga ggaaggccct gaggtgtggg cagggtggcc caggtggctc atttRaagca
37141 gctaacccta cctgcttcaa agtgacttct gtacttaaga taaacttagc tcctacatat
37201 ccttcttttg ggtgaagaca aaaRacacag ggaaggtcta gggagaatca ggcccacaat
37261 gggtggatgg gggactccct cccctgatct ctcttaaaca tgtcaaccct atctccccta
37321 gactacgcct tctttcttag gccataagag aagtttctcc accttgtaaa agccccacac
37381 attcagctct gggctctgac agagtttggg gttcaggaca tgaggggaga ggtgggtaga
37441 aactctgatc tgagcttttt gtgtcatgac cctggcacta gaagcttcca gttggccccc
37501 atccctcact ccagctgtct ctcagctgat tcacaaggtc tctgtctcca ggaatctgtt
37561 ctctgcRgca cgtgtttctg gtctggcatc tgctcactgc cacctggatc ctggcaccac
37621 tcgacctggc ttttgtcctc agtctgccca ctcttggcta ccttgggcac cccccacctc
37681 cagccccagc ctggttttgt ctctcccacc tcctccttgg atctgccatt ccagcttacc
37741 agcctctgtg cgttccctgt cactaatttc cccatcagca gcttgccttc aaccacactg
37801 cccgcagaac caagtgcttt gtcgatgaaa aagccctctg ggggcaaaca caggaaatta
37861 aagaotctgc acatRgtaag aaaatccatt ctctttcatg gatttctgca gtccaattgc
37921 ttctacttct gctgagtggc tgggatcttc tggtcactca cacccatggg ggctggccag
37981 tgggggtgat gttaacaagg agggcttctg tctgagattc catcatccac agttcatgtc
38041 tttggggcat ggaggctgcc tcctgcatca ctagggtacc tatggcagga gagcacctta
38101 ggatcactgt cagaggcaaa cacctagagt ggatgtgtYg ttggctgaga gagaatgtgt
38161 cctgctggag gagaggtgca caagtccaac ctagctttgt gttctgagag gaatgtgcta
38221 agggaacagc cttctacagg gagaagaagg aaccacccat catgtgttct actcccagca
38281 ggttagtact tttcaccctc ttgtctaaaa aataaagggg cttggatcag atggtgttta
38341 aggtcccttc caggtataat ttattcagca aacatgggtg aagctctatc catgtgccag
38401 aactttcagg agcctcaact aattgtgccc tgggccccaa atcaaacagg cagaagttgc
38461 ctctctctta cctcccaggg ccaacccctg tggagaggcc aggctcaggt cgcagcccgg
38521 agaacaagct cattggcctc gatgtttgaa agcccttgaa ccacaaaggg gcctcaggga
38581 cactcagatc aggctggcat cttctctgag aactccaaga ccccatgaag ggcacttcaa
38641 cacottggcc aggctctgaa cacagaggtg gaggcttggt caccaagaag gcaggccagg
38701 tgctgggaga ggaagtcagg caactccctt aaggtagctg ggcagagcac agggaaacac
38761 aacctcagat tgagattctc cctgctcccc tcgaccccaa agaaggaaag agcagggcct
38821 gggcagatgg gaaatggaag actccttgaa gttacttagg acctgccagt gtgtcccagt
38881 ggagggactg ggagctgagg ttgcagccag ccctgggaga atctttcaac tcaaggatct
38941 gggtggtggc cacagtacag acactgggag agcaattcct acagggcagg ataggcaatc
39001 ctggtcccag aggcacagca gcaggggaag aaggaggggc tggagaacca gtaggcatca
39061 gggtaggggc tcagcagcca attatccaag tctgcctgga catgggatcc aggagcccac
39121 ctattcatcc atacatctac ccacctgcct tagtcatttg tgctgctata acaaaatact
39181 tgaggctggg tcatttccaa ataatgaaaa tttattcctc acagttctgg aggctgaaag
39241 tccaagagta aggcactgga agattcgggg tctggtgaag cctggctctc tgcttctaag
39301 atgatgcctt gctgctgtgt cctcctgtgg tggaaggcag agggcaaaaa ggactagggc
39361 acccccttca acctctttta taaggtaact aatcccattc atgagggctc caccctcatg
39421 acttaatcac ctcctaaagg tcccacctct tagtactatc acattggcaa ttaagtttca
39481 acaaatgaat tctgggggac acgttcagac cacagtacta cccatccaat aaatgttttc
39541 ttctaggctt tcctttcctc cccattccca tagtgctcct gcccagtggg tgcctcccac
39601 acccacccac cacaggcatg attctctcta gactttccct gtgtcagaca ggtcctccta
39661 gccctgtgtc tgctctttca catctgatcc tagcagccta ggtggataac cagctgctca
39721 cacttgtgga tggtcagccc agctctgtct cacaaagtcc tcacccctac aagccacaaa
39781 gctgctggac atctcactgt tacagcacgt tgacagtctt ctggggctat acttgggcca
39841 cactgaaggt ttacatgatt aaatttaaat gaagaagagg aacaaatata ttgtgaacat
39901 ctaatctagg tcagattttt tgcaagttta ctcacagccc tctgaatttg gtataatcct
39961 gctaacaaca aaagtaacta atatttacta ttgactacta ctatattcta ggcattagct
40021 gagtaatctg tagatgaaga aacaggctca gaaaggataa gcaattagta actttcccag
40081 tggcacataa ccagagggtg gcaacgctga cattcaaaac tgggtctgga tgaccctttg
40141 gaaaatcctt ctggtgggcc tccctgcatc ctccctttcc cactggccct agctctgtaa
40201 atcacggcct cctcctgacc taaatgctat gggctttttc ccttctgggc tttcactcgt
40261 gtctggcaca ttcttctgta agctccctaa gagcagcagg gactttatag accccttcat
40321 ctctctgtct ctctctcttg ctcttctgtc cactctaatc caaagaacag tagaggtagg 40381 tccagtgaaa ggtacttcat aaattcttat tgtctcatta atgactttga tgctcacgaa
40441 aaacctacct tcttggtagt gttgagcata gctattccat tttatagatg agcaagttga
40501 ggtccaggaa aacaaacaaa aaaactggct ggtcagataa taagtaagtg gtagatgtcc
40561 ctgagtgctc atctgtgtgt ttgcagtgca gcctgacctg gcacttgaag acagggccat
40621 cagctgcagt gacagacatt tgtggtcttg ccctgggcag gggctccttc ccaggagggc
40681 gagtggagct cactccctgt cagcctgtgg ccaggtcagc tgtgaagacc agagcagctt
40741 cctagtggcc aggaggcagc cctgggaggg agggaggaga cagagcagtg ctgtcactcc
40801 aaggccctgt ctgagaggac tactgtgctt cctatctggc tttccttgcc acagtccata
40861 tggggactgt gctggggatg gctggacagt tgctacgtgt cacccgctct ttctcacatc
40921 ccagcagggc ccaggagatg tgagaggcac tgcaattgat gagacctgaa gactgattca
40981 tttctcactc tatocttcct ccctgggcca tcttatccac tcccatgatt tcaattacca
41041 tccataccag tggttctcag ccctggctgc atgctagaat cacctgggga gcttttaaaa
41101 acatgtccat gccaggcccc cttcccagac ctgataaact cagaatctct gggttgggac
41161 cgaggtgtca ggatttacca agttctcctg tgcagtcaga gttgagaacc gcagattaat
41221 tcaccctctg attgcacttt cttccaactc ccatctctct tctgagcacc ctgcctgctc
41281 ccttgatgtt tctccctgtg ttcccctcaa ggtacctcca acttacttgc ccaagtcata
41341 atctctacca ccactgcctc gctccatctc aaagcctgtt tctctgacca ggactccctg
41401 tgtcaatgaa catgaccacc gcacatccag tggtgtaaga cagggacctt aggaccagcc
41461 ggccttccct ctcttttcca tcatcttcat gtgtaatcca ccactctgtg aatatttgat
41521 tcagcagctg tagcagagag acccaaaata gcagtgccca aacaaaatag aaattgcttt
41581 cttcctcaca taaaaatgtg agtaggcaat tcagggctgg tatgccagtt ccgtaatcac
41641 gggtttgggc agcggtgggg ttgggtgggc gtggggggct cctgctaagt cacatggctt
41701 tgctctcctt acaaagcagc ttcctcotct ttgcccaaga ttgttgccct agttcccacc
41761 atcgcgtcgc cattccagcc agtggggaga gaaaagggaa agtggaggcc atacccctcc
41821 cttcagaggc acaaactaga tgttgttcct atcactcctg ctcacacccc actgccctga
41881 atttagtcac gactcacacc tggctgcaag ggaatctggg aactgtagtc ctgotggctt
41941 tatctcctaa ggtggtctcc agttcctcca tctctctcta cctctcccac cattccatta
42001 gtcaaaacca tagtcttttg cctcacctac tgcaacaagc ttccttattg atttccctgc
42061 atccttcaat ccgatttttc ccctgcatcc tgggtgatat ttttaaaatg caaatgaggc
42121 ttcctcatgt gttcagcagc ttcccactag tctgaggtaa agccccaggc cttgatgggc
42181 cctgggcctg acctggccct ccggcctcaa atccaacctc tctcccttgc tctctgtcct
42241 ccagccatgc tggtctgagt ccagtgggtt gagtgcttgg tgcctccctc tctactcaca
42301 gcttgctctt gtttcttact cttctgcagt atccccaccc tctctgtgcc cacccaactc
42361 ccagctccct ttacttgttc ttcagatctg agataaactg actatttctt tgggaagcct
42421 ccctgaccct tgggtaagat caggatgtct tgttacatag gtttatggca ttctattctt
42481 tatttcacta tcacaggttg ttttacatta tttgtgtgat tattgtttca attctgtgta
42541 ctgcatctga ctataagctt caggagggca gggaccattg cgacctcagt ggttggcact
42601 gtgcctggcc cacaggaagc ctgtgctaaa tgctcgttgc tcaggtgaat catgagggct
42661 ggagaagtat gaagaatgac tcccaggttt ccagtttacc caggagatga atgtggtacc
42721 atctgtggag gtggaacacg gcgggtgcag atcctgtgtc cagtgttgca aagaccgagc
42781 tggatgtgtc tgtgaagcca ctggggtcaa caggtgctgg acatggctct ggacctctgg
42841 ggagatgtcc tatttcaacc agctgacatt ggattcttga tctggaccca ggttatcaag
42901 ggtcaaggct gctaagaggg cagccattca gaaggtcttg gcatgtgtcY gacattagat
42961 ggaaggaatc tgggaactgg gagctactct aattcttact gaattctaat cttgaaaggt
43021 cctgttctga gcccttcaga tggtcaagga agccaaggtt ctgagtagca agcacagtga
43081 gcacaggagg actggatctg tgctccccct cctgtgtaac attgcacact tcccaccaca
43141 agttcaaatc catgagcagt ctagctcagc aaacactcat ggaatgtcca ctgaatacca
43201 ggcctgtggg atgggtgatg atggctgtgg tagtggcaga gtagtggcag tagtaatagc
43261 tactgtttat aaggtagatt cacaccaaat accatcctag gcattataac atttaaacac
43321 acttaatctt cacagcaacc ctatgtgcca ttattcttca cattttacag ctgggaaaac
43381 tgaggcaata aaaaattaaa aacaagatca cagctagtga gtggcaagaa atgaaaagaa
43441 agactatagt ccctttgctt aaaaaagttt agaggtggcc aggcgcggtg gctcacgcct
43501 gtagtcccag cactttggga ggctgaggca ggtggatcac gaggtcagga gatcgagacc
43561 atcctggcta acacggtgaa accccatctc tactaaaaat acaaaaaatt agccaggtgt
43621 ggtagtgggt gcctgtagtc ccagttactt ggaaggctga ggcaggagaa tggcatgaac
43681 ccaggaagca gagcttgtag tSagccgaga ttgcgccact gcactccagc gtgggtgaca
43741 gagcaagact ccatcccacc cctccaaaaa aaaaatgttt acaggaatgg ggctatctcc
43801 ttggattctc tgtaaataat ggggataggc attgtcactc cccttggaca gacagggaaa
43861 ctgaggtcca caaaggggtt tctggtaaat gtgatgttta gctgcacgaa ttctcacttg
43921 ctttcttttg tccttcccat cttgtacatg ttaagactaa tcaagctttc cttggaagag
43981 actaaactaa ttttaaggag acaggtagct gatggcctgg ctgcaagtca gtgaatggta
44041 atggggaaca atttccaagg atgactttca gccatctggt ggaattcaca gagcttcgca
44101 gtttaacagg tcctttacag aacttgaccc tgtgagatag atagtatcat ccctgagtta
44161 taaatgagaa aatggagact ctgagaagtt aagtgactta ccagaatcct aaggctggct
44221 ggtaggttgt ggaaggggga catataagtg aactcagttc tctagacttc cagcctagag 44281 ctgtctgtct gacacgcctt cttattgctt ctgtctgtat cagcaactcc aaatctaggt 44341 gtcctgattt attcccacct agatctttca ttttcctggt ggtacatttt cctttttcct 44401 caccccacct agtgtccatt ctttagtgcc ctgactgcgc taatttttaa ttgctgtgtg 44461 gatgaatcat tgaatttgtg ctaaaatgtt aatgactaat aatggctcaa ggtatttatt 44521 ctctagagat tttccctatt tttcttcttt tttaaaaata tgattaaaaa caataacaaa 44581 aattattctt atgggtcctg cccttggagt tttcaaaaat ggttcccatt catttatctt 44641 attctcttct cagatccagc cctgtccttt tctatctgtg gccactgctc agcctttcac 44701 catctgccct ctggactgtt tcagtaggtt cccagttgat ctccccgtct ccaatacatc 44761 ctccatcctg cagcccaagc tatcctgctt aacattcctt gctctaagct cttccctggc 44821 tttgtatcct ccaagaataa attcaatccc ttggcctggc attcacggcc ataatctggt 44881 cctgctcacc ttccaactgc ttttcacact gcgcttcttc tagcacctta tcccccaaac 44941 tgtccattgt tcttcctaca cctcactctg ggatgtgtca ctgtgcagtc agctgcccat 45001 ccctgagtca cccaatttca ggggaaactt tccaagatct ccaaagagtc tttcaagctc 45061 cttttacttg attgaggtga caggaagatt cccttcctac ctgccttgct tggatgtccc 45121 caagaaatgt atcctcagag gttttcactt tctaaagtcc tcaccttcta ttacctgcat 45181 gtaggggtgg gggtgtggga taatgttggc taaacaggtt tgaggccact ctctttgcaa 45241 gtctttcatg gacaatctct caagatagtt ctcaaagggg taaagggtgg gcaatgtgtg 45301 ggggtgtttt gaatgtcaca gtgactgggc aatgacatta gcatttagga ccaaggtcta 45361 gaatgctaac catgtaggat gctaaatggt ttgtgtggca aagggcagσc taccaataaa 45421 gaagtgtcct gattaacaca cctgccRtgc tgccctcctt gagaagtgaa catggggtca 45481 ggtggcagaa gcatcaggaa ggagcagagg attggagctc cgagagggtc catccttc.ct 45541 tcccagagag aactcccttg aacttctggg agtgagcagg tgtgtcagac caagtgtcta 45601 agggggaagc ctccggctct gctgtgcagc catactggcg ggaagaaggt aactcttcct 45661 . ccaccttgga gatgctaaaa ggagaaaaag ggaacacgca gactcagatt tgttatttcg 45721 attgttacaa aattcctcct aaaaatttcc agactcatga aggaaaaaca atgagagaaa 45781 agaaaagttg aaagaccgac atgggtatgt ggctactgct gggtttagga atattcatct 45841 gtagctccat ctccatttgt taacatcatc aaagtctgca tctccacctc caacaccacc 45901 agggccacct ccaggatcac tcacccacca ccacaatcag catcacctcc aactttgcca 45961 attccatccc caagacactg ttccctgtgt cttgactctg ggtcaaatta actgcctggt 46021 ccaccaacct ccttccagat actctttccc aWattgggaa gaactcaggg tttggagcgg 46081 aactgttcct ggagcagaag actctcctcc atcaggaagg ggatgagtca gcttgctgtg 46141 ggctttgaca aggactgcag ctcaagtttt tgcagctgta ggtttccata agccagcatg 46201 tttagggggc tccatttgac caKtttaagg aagtccactg gtcttttgaa ctttttaaga 46261 tgaatcctgt tttcagtgat ctgtgggctc atctaagcat catttttgga ggaatctgta 46321 gttgggatga gtactctgcc ttgagttagg gttaaagatc agtctgtgac cagagcagga 46381 acttgttctg aggctgggat tagaggcoaa actgagatgg agtcagggtt gaatgtctga 46441 cctgggccga agctctggct ggggttgagt tagttctttg ggtagaacta gtgtcaaggt 46501 cattagttga acttctgtca tatgtccaaa atttcttaca aagtacgccc attttatcta 46561 tccttgaggg attcctccac cctccagccc ctgcttatca ccaccctact tttagcccta 46621 agtttgcccg ggctcaaggc acagccacac tcctgctctg gggtagggac ttcagaacaa 46681 ggtggataaa cttttgaatc caaagccctc tgctgcctga gcccacaatt ggaggagggg 46741 agggcatagc caaggcctga tgcctgccag ccctggcagc tggatgagca gctgtaatgg 46801 gattagggct ggctatgccY gcctccctgc atgccgcccc gaagccctcc ctcccttcct 46861 cccccagcat tctgatcagg attcagccct cggctctacc taccccggcc aggccagccc 46921 cattgtcctc tccttccctg gtgccggtgc ctagcaacac tcacagggga gctcttttcc 46981 caccgccatc ctggcccctc accctgcccc tcggctctga gcacacacaa gcaccacttg 47041 cctttttatc actgcaaaaa aagccagtga aaggaagcca gctggtttca ccagattctc 47101 ccagtgatcc gattacaagc ctgtcttctg aaattctggg cttcctttcc aagattccta 47161 ggKcctacta ccagcaatcc tcagattaca tttgaagatt gcagagtttc attctggaat 47221 tctcaagtcc tggagtccac tctaggactc catgaattct agaattccag gactttgcga 47281 catgggcctc agaccattta attgtattct agaattgagt tattgtattt caggggagtc 47341 tatgattcca gaaacggagt ctgtggccat aaatcagggt gagaggggtt aagagatgat 47401 ggggacatgg aagatgcatt tttgttgtct ttaaattgca gtttctgagg gtgaagagaa 47461 gaatgaacct gctatctgga gacagggaag gtgggattca ttcaccaact caacaaacac 47521 tattagctgc tctaagctgc tctaagcaac tctaagcaca ggggacagag cattgagcaa 47581 agaaggaccc tgccctcaag cagctcgcat tcacctaggg gagacagatc tgaaacaaac 47641 tgacagacag tatgctacat gtcagatcta tgaagaaaaa gagctaaaaa tgaataattg 47701 atactatatt gtacttattc tgtgctaggt actgttctaa atgctttaca tgcattcact 47761 tatttaaatc ttacactaac attaaaaggt agatgcgatg gttcaatccc actgaataga 47821 tgaaggaact gaagcacagc aggttaaata acttgtccaa atggcaaagc caggatttga 47881 acccaataat ctagctccaa aacctatggg caacσactgg gcagggttag gggtggaaag 47941 tgatggaggg tgtagcttac atagggcggg taaggacctt caaacagata cttaaagaag 48001 gtgagggggt gacggatatg gatatctggg gaagggaggt ggggcagacg tgtccctcag 48061 ggattgagcc aggttccttc ttccaataag gtggactagt gttctctgtg ctggggggct 48121 ggaggaaggt tttccagggg cacctggtgg gaggggaagg ctcagagaga Ygcttattgg 48181 tgtgggcata caaagacccc tttgctggct ccagtcaaat tcctgtgtgt cctctcctcc
48241 ctggccactg cagatggatc ccctccttaa cagagaagtg ttctcagaac acaaaagaaa
48301 aagctggaag agacaatccc tcatgacagg actaatcagK ctggctaatt atgagtaatt
48361 agaaacacct ctctcccccg tgggtggccc tgtcccagtg tgaaacagaa tgaggactta
48421 attcccccgg gaaggaagcg ggactgggca gaggcatgag agggaggata cgtccaggag
48481 cccctggccc tccctgcatg cctggtctcc tgaccctgca ctcagtctgt cctgcttgca
48541 gacacagaca atggcacata gaaaagggag catctgggac atcagggtgg agccgagaca
48601 gagagagcta gaagcatctt tggatgagtt gtttcacctc tccaagactt ggtttcttta
48661 tctgtaaacc tgggataatc ataattccta atcacagctt tacaacaatc tagggaggca
48721 agctagcaag atagccgagc atggggcctc agtaaattgt agtgcttatt actgttttgt
48781 tttgtcatct gttgctttga atgacttaaa acagttcttt cccttctctg ggcctcagtt
48841 tccccatcaa ggtactatgg aggtagggat gggttactca cttactcaat caataaatat
48901 ttcctgagca ctgactttat gcccagccct ggaggtggaa taagactgac atgggctctc
48961 acattccagg gagctcctca gggagcttgg tcaatgggtt gcccccagct gtcacattcc
49021 aggctagaat ggggggaccg tagtagactg gcttctaagg tccccaaggt tcctgccccc
49081 tagaatacaa gcccgtacaa gtccttcctc ttgactgtgg gcaggaccta tagataagat
49141 ggggttttga tctcctgatc aggccagtta tgcggcagag gggaagggat tctgtggatg
49201 ttattaaaaa ctctaatgag ttgtcttcaa gtttatctaa agagagatga tcctaagagg
49261 acttgagcYa attacatgag cccgttagaa gagggcctag agaaagcttt tacactgctg
49321 gtgggagtgt aaattagttc aaccattgtg gaagacaatg tggcgattcc tcaaggatct
49381 agaactagaa ataccatttg acccagcaat cccattgctg ggtatatacc caaaggatta
49441 taaatcatgc tgctataaag atacatgcac acatgtgttt attgtggcac tattcacaat
49501 agcaaagact tggaaccaac ccaaatgtcc atcagtgata gactggatta agaaaatgtg
49561 gcacatatac atcgtggaat actatcaacc atacaaaagg atgagttcat gtcctttgca
49621 gggacatgga tgaagctgga aatcatcatt ctaagcaaac tatcacaagg acagaaaacc
49681 aaacaccata tgttctcact cataggtggg aattgaacaa tgagaacaca tggacacagg
49741 gcggggagca tcacacactg gggcctgtca ggaggtgggg ggctggggga gggatagcat
49801 taggagaaat acctaatgta aatgaggagt tgatggatgc agcaaaccaa catggcacat
49861 gtatatctat gtaacaaacc tgcacattgt gcacatgtat cctagaactt aaagtataat
49921 aaaagaaaaa aaaaaagaag agggcctaga aatccaggat ggagaagcag tggggtctct
49981 ctcctgtggc cttgacaaac cacactgcca tgagtggaga aaactatgag gcggcaaatg
50041 gtgggtgacc tctagaagct cagggcctga gtcctacaac cacaaggaac agaattctgc
50101 taacaacctt gggaggggac cctaatcctc agatgagacc ccaggcctgg ctcactttga
50161 ctgtagcatt ataagacttt gagcaggaga ctctgaccca tgggaatggt gggataaaca
50221 atgtgtgctt gtttaagcca ctgtttgctg taacttgtta tagggccctt gaatgtatgc
50281 aaggccttgg gccagcccca tcctgccggc tcacactaac cttcccagcc cctgatttgg
50341 gactaaagcc ctgggtgcct caatgaattt ctcacagaca gtcctcccat cacccatggc
50401 aaaatattgt ttcatcagct gccaacctgt tcccaaagtt ggtcatcaaa gattgttctg
50461 ttggccctac ttttaatata attatcggca tcatttgcat gacaccgagt cagggctcag
50521 gctgtcacag gccccatatt atcctgagct gcttttctgg gaaaggctgt atccctgcct
50581 catgcaggct gcttcctccc acacaaatta tctgtaattt ccacacctcc atgcttgccg
50641 tggccctgcg ttaaagccag gacttgtgtg gagctggagc acactgttat tttcaaagca
50701 gtcaagccag gctccaggaa gctataggaa cagcaggagg gacctagctt tgactgcagc
50761 acctgcaagg ggggacaggc agagggggta cggtgttcac cccaagagta tctagaccca
50821 gaccactgag gacagcaaat gtgcagacgg cagggcatgt gcaatgtggc tcctgaacac
50881 acatgatatg gcctatttgt aggatactca tcagggtccc ttctgtagcc aacgaatatt
50941 atgcacaaat gccagggtgt gcagaagatg gaggagagga tgcaggtaga gataagaaaa
51001 ggaagtcctg tgaatagaga tttggaagcg agaatggaaa tatttcattc tccttcaacc
51061 aggggccctg gagggtactc agctcccatg agtaaacagc tgtgtctctg ggaggagact
51121 acagcaggtg aatggaaagt gtcactcact ctctgacaag aattgcctga cagcgatgaa
51181 gctatgcctσ tgcagacagg cctgctgcct gcctgagagt ctgcaggaga gggaacatct
51241 ctatctcggt ggagaagatg tgctttccta ttccagatct gtggatggcg tgtatgtgtg
51301 tgtgtgtggc aggcctgcgc aactgagtgc atgcacatac ttggaccgta tgtgaatgca
51361 cctctgggca tacatgttaa atggaaatgc acgtgtgcat gtgtgcacag tgtactcgtg
51421 tgtagcaata agtatgcata tttgagtata tgctcatctg ggtataaggg tgcatttggg
51481 tatttatgta cactaaggac agagactaag ggcatttaat gcttcacata tgtctcttgc
51541 tattgctcca ggcttcaaga aattacttct tccacccacc ccacccccaa cacacccaca
51601 ctttccagct ccctagaggc atgtcttccc ttctaacgtc atgtttctgg ggatagagca
51661 caggactaaa agcccagaga cctggtgtgt tggcccagct ctgccactag ttagccccat
51721 aacagaacaa atcatttctg tttcttgagc ctcattttct tcatctgtga aagggggtgg
51781 taaatggtca agtctgcact tagcattcag agtccaagtc ctttgattcc tggccccacc
51841 cgcacccact cccaacggcc cttctcccct tgcgtgtcct cacccattgc tgtgccctgt
51901 ggtcagtagg ggacagagag gactcaggcc taatctgtga ggagctccca ggcatctctt
51961 aacatgggta tcccttcctc cttgactcta ggctttttgt gaggcagctt caaggatttc
52021 tagagctctt ggaatacagt ttgaaaatca tggatctaag caacctaacc ttcattccct 52081 tggtttctca gaggattcca agcgtcctgg ggaccagggt ccatggggtg actgaaaagg 52141 ttctagatgg cattggttca tctgatgagg atgctacctc ctggctcctc tatgagacat 52201 caggggaaag gagtgcactt gaccttctag ggcctgcttc tggggtgggt gttctcccag 52261 ggaactcagc cctgccactg gaatgtctct ggagcctgtg cgttcaggga caaagggcct 52321 tagtggggca atgggcatgg cttacccagc ttaggggggc tgagctttcc aaggcctctc 52381 tgttgcttgc tctattctga tgctgatgct tccaggcctt ccagggagca ctctctgagg 52441 cacctggggc ttctcagagt ctctctggcc atctgacccc agtgcagatg tagcagaccg 52501 gagggcattc tgaatgaagc tttcccatag acagaaacgc tatttcacag tctggcattc 52561 aaggctcaca ccattcccca aacagggatt aaatgggcca atgcacaaaa ggcagttact 52621 tcccagcctt tccataccct ggtgcctgtg gaaaatgaaa acatttatat gtctcctgag 52681 gaaagtggaa aaggctgctt atggctgccc aggaggctga gggaccagca actcagcaca 52741 cttctaacct gttctggaca tacgagcatg ctatcttggg atgcttgccc gcaaagtatt 52801 agcaaagggc tgacgacagg ggtgcctaac catggctgca cattagcatc ccctggggag 52861 ttgtaaaaca ttctcttgcc caggcctcac catggaccaa ttgtctaatt atcttgggtg 52921 gtgaggcctg ggtgtaggta ttttttaaaa gctccccggg gggattctgt agcgcccgga 52981 gggttgacaa gcactggtgc aagacatggt gagcattcgg tcgatgtcag ctgtctacaa 53041 taaagcacct gggtccttgt gtgtgctgtt cttgcctgag cagcgtaaaa gctggagtgg 53101 ggtggggtag agtggggtgg gctggggtgg gRgccctgta gtcagggagg aaactgttgc 53161 ttaggaaaga tgaatgctgg gtagggtggc ctggcatcca tctccctcag ccacgtctca 53221 gaaaattgaa ttaaaaccca tatttttcag ctgctgcccg cctggctggc tggcttgtgg 53281 aagggagtga ggcagtgagc acctcaaggc agggaaaagc tggtgagggg ggcccccagc 53341 ctccttccct aggagacaga aggcagccca aggggtcctc tgagagaaga cccttcccag 53401 gggtggtccc ttggcctcag gtcttcccaa agccaggcac gtaggggtag ggtgggagtg 53461 gtaggctggc tggcttabaa ggtcagagct agatctggag gtgaagttga ttttttgggt 53521 gaatgggtgg ggaggcagag aagaggggcc tgtccctggg gaggcctaat ctcagggaac 53581 agaattggca tagctcctct tccaagatta tttggagaga ccacagtggc atgcctgtga 53641 caggcggaga acagcgcagg acgtgaaagc ctgagtggct tccagaatta agggggtggg 53701 aagagctcac aaggtagaac aacactaagt tgggcagcag gataagattt ctgataagaa 53761 agttgcctgt gtgtccttgg gctagtcttg ttgcccctct gggctaaggt accccaccca 53821 tagagaagga gactagacaa ccctcctgga tcccagctct aatgtgtgtt ccatgcctca 53881 cccaggctga tgctactcgg ggggctggaa ttagaatcga aatctacgag ggctgctagc 53941 ctacacggca tctttaagac agttagagag gtgccgcctc caggtgaatc cactagaaaa 54001 aactgccctt tttgggtaga tgggggcatg cctggtttgg tgggcagtgg gtagagcagg 54061 atctggattt ccagccccac tggccccttc caggggatct ggaacccgca gtggaaactg 54121 gagaaccaag agtacggaaa gagaataaat ctggaactga gtgctgaact tcaaagtagg 54181 ggggcctcta tctggaagcc tggccatcca cattcccagg atgggctggt ctgccataga 54241 tgaccttgat cttcaccctt cctctcactc ccaggccctc tacgtcctgc actctgagtc 54301 cctcttgact ctgagactcc tggcagcctc ctttccctca cacttagttt cacagtttat 54361 agagagtttt tatacacatc atctcatttg atcttcacaa caccagagtt ggaggcagat 54421 gaagaaagcg gctctcagct ctcaggggtt agggcaacaa gctaagaagg ggttagccag 54481 gattaaaggg aggtcctgtc tgtgtctgat tttagcacag cacctggccc ttttctctcc 54541 attatttctt ctctcctttc tcttcattct ttcttgatat agataagact gatattctcc 54601 tccaccagga agctctcctg gactgaaagg aacatgaacc aatcagacta ccagtgtgtt 54661 gtgtcaatgg gggtcagcgg tcattggtca gtaaagagaa acatggacct aggaacctcc 54721 acgcgtcttt ctgggccctc agattgcttc tttcaagttt ccatatggat tcctctccat 54781 ccacaggtcc tttcctcttt ggtagactgg cgaccccaaa ggaaggctca aggctctccc 54841 tcctccttcc cccttcttga ggcctcctgg acaaggtggc catacctaga acttggaccc 54901 aaagggaagc tgagcgagaa tttacttgaa tgggcaagaa cagagcctgg ctgcagaact 54961 gagagctctc agagactgac gcctgaggca gggaccaaaa accgagagca gaggcaggca 55021 ggagcagctg tgggatgggg gctgggtggg gtgggcagag ggtgagaact tgcctgggag 55081 tgggtaacta actactctca gttaagtttg ggcttcgctg ccaacccgct aggccacctt 55141 tacctgtgta gttctcctta ttaagccatt tgcactagga ggaggttgga caggactgta 55201 ataacagtag caatagtaat ttattcagca tcggcgaatc aatgatacca gggagaaact 55261 actatggggt gagtgtacca tttttattta atgctgctgt gaagagacct gggggccggt 55321 actattgttc ccttgtgcag atgaagaagc tgaagctcag agaggctgag ccacttaccc 55381 aagctcacag agctgtggca cagcagggac tggagccagg cagtctgata ttttaagttg 55441 cctctgtcct gtaagcacca ccatcccctt cctggtcttt ctccgggggc gggggggtca 55501 cattggagga catcccgaca ggcaccccaa aactagctga ccctcccagg cctgggcggt 55561 aggggcaaag aagagcccaa ggagggtctg agacttgcct ggtaaggaag gcttcttgga 55621 ggagagggaa gacaggctct gatacacagg aaatcttgag gacctaggga gaagaaagaa 55681 ggctttctag tcctggctat gatggagaga ctggaaagag ggtggtgagc ccaggaggcc 55741 cagagtcaga ggagacgggg atgacagggg gctgagggct ccacctcagc gcccccgacc 55801 cccgccgctg ggatttcccg ccgcagctcc tgctccagtc tgtgctgcgg gtggggtcgg 55861 gttgagcagc ccggcgcccc ccaccgcgcc ccccaccgca ccgccctcga tctaaccccg 55921 cccccgggcg ctcattggcc tgcagcaccc cctccccagc ctgtgaagtg agcaggggga 55981 ggcggtggtc ggtcgcctcc ctccagcgcc cagcctggct tcgcggcgga ggcggcgcct 56041 ctoccgcagg acggagccaa gctggactgc cgcgccgcgc ggggcgggca aagggggcgc 56101 tgcgctcggc cccgggcagg gagtgacggc ggcggcggcg gctccgggcg agcgtggtcc 56161 ccgcgtgcgc acacgcacac gccgccgcgc agggacacac ggaccccggc cgccagccgg 56221 ccacacaggc gcggagaccc ggctcggcgc gcgctcctcg gcgcacacgc tccccatccc 56281 cgcgccgcgc gggccgcgga cttgcaggct gcgcgtcctt tgcggagtct gccccggccc 56341 cacggacagg ccccgcagtg agcaggtaag ggtcgccccg ccgcggctgc ccctccacgc 56401 ctcggccgtc ttctccccct ccagaacctt cgcccagccg ggacctcgga tcccctcctc 56461 tggcttggcg gtctccgcca gccgcgacct ccaccgacgg agagcgggcg agggccggcg 56521 ccaggcaagc ctcccagatc tgaaatgaag ccccctcccg ccgctgcgcc cttcctgcgc 56581 gtcaggctga caccccccaa cccaagtgtc tggcgctgcg ctcggggcgg ccgatcgccg 56641 cagactgccg gggtgggggt cgacctagct atctcacgcc cctcctgatg cggagaaggg 56701 agaccagggg ggcaggcaag coatgcggcc ggagggaccc ggagggacat gcctccctac 56761 ccttaggtgg acggacgcac ctacgcggat cgggaaggca gggctggagg gtcccccggg 56821 gctaggtacc gcaatccgca cggggtttga ggggtgggca agcaatgtgc taggtggggg 56881 ttggggtagg ggccagtgta gaatgcccct ctgtggtgac acatccggga ttgttcaaaa 56941 gagtgtcgtc ttcgtttccc gtggcgcgga ggggctgggg ttggggatgc cagggcttca 57001 gtggtcccca gaagaaacgc cctgcggggt ctgtggggaa acgcaccggc cttcccaggt 57061 tgaagtgggc ccgctgagac ccctgcctgc cgctttagag gcagaagctc ctgcggcggc 57121 tgcggggggc ggaggccaca tcctcggcgg gaccttggca ggttaggggg ctcagaaggg 57181 acaggggagc cgatggatgc aactagaccc tcaggaggga acccagccgg aagccgattg 57241 catttcacgt ggagctgagg aggggagcct cacccctgga tggagctcag cccctttttg 57301 gaagatgggg gtggggtggt ggacacctgc taattcttcc gaccattttt atgtttttga 57361 gtgcaggtgc gtcagactcc ctttatcttc cccagcctta caatgtcccg caaagccccc 57421 ctggccctct ccaagacaca gcatttggct cttcccatga gcggccctgg ggaggagttg 57481 ggggatggga aggggctgga cgcagcatgt ggagggcaac ttgccctggg actgcagctg 57541 gccagaggca gacaagcatc ctgaaggtca agctagaagc tttgagtggc ggtaggattc 57601 ccaagcagat ggaaaactat gtttgagcct ttgggggcag gggcagcagg cagcacccag 57661 gttttctcag gagaccccNa attaaatgag tttggtgctg ggtacaagta gcactggtgg 57721 agtccccagt cctaagctaa gttctgctcc tcactgacct tggggagggc aggcagaggc 57781 accagcttgg acacaagccg aaatctgaac atacagattg gaggtggaac acgctgagca 57841 ggccctgggc cagctcttcc aacYgatcca tcaacaagtg tgtgtggggt gacgatggag 57901 gcgggcctga tacttttcct ctttggcσat gggtggttca tgggtggttg ggtgtctggg 57961 acaagacccc caaaagtctg tttgtcccca tgtgtggtga ggggaggtgt ctgtggggag 58021 cctctgaaag gatccctctc ctgcactctc gggactgatc taagctaagg ggtgcattaa 58081 gtcctgtttt gtataaggtt caggctggca ggggattgat tggagaaaca ctttgggacc 58141 catggctttt cacatggcca cctctctctg ttgtgcgtca actttgggac actccctcaa 58201 tttgtgtcga ataaataaat acacacatgg gagtttatag tatatgtggc tgagaggcta 58261 ggaaagctaa ggccacaggg tggcttttct cttggggaca gggcttaagc tggagtgtcc 58321 caggttgccg ccctcccagg gacaagcatt tcattgacct ggggctggca ctgattaagt 58381 ggaggacatc ttgtgctgtc tgccacaggg cagaaccaag gtgtgccaag tgcagagccg 58441 gagcttagct cggtgccagg aaggccttgc ttgcctgaga cccacccacc atggggctga 58501 cactggaggt gacaatgagt ttcctgtcct gggcaggttt gtgagcagag ggatgatgcc 58561 ccagacagga gctgccaagt ggctttccac cctggaaggc ctagaggcct cagagaccct 58621 cagccttccc tgaggagagg aatctgattc cagggtctga atgagttggg cttagtggtc 58681 cagccgcctg gcaagatgga gactggaaac tcctcagctg cgacgtgttt gtaccgagct 58741 ctggatgccg tcagaggcaa atggtgacag ccacccccac agtgacacac agagagggaa 58801 tgaoacacag ctgggacggc atataggctt tctatgacac ctgccagaga gctggggcac 58861 aatagtgaca agcaacacca gaaagacaaa tggacgttga gacacaccct ctcacacaga 58921 tctgggcaca cccggggact cagagatatt tgcccaaaga tcacaaaggt cttcattaat 58981 aaaagtccag ctgagtattg aattgaatgg aggaaagtgt gtgtgtgtgt gtgtgtgtgt 59041 gtgtgtgcac gcgcgtgttg cataagccta gaacaagggt aggcaacctt tttctgtaaa 59101 gtgccagata gcaattattt tacgcttgtg tccatataca actacttaat tccactgtgt 59161 agcctactgc agccttagat gatatgtaaa caagtgagca tggctctgtt ctgatacatt 59221 ttatttatgg acactgaaat ttgaatttca tacattttgc ctgtgtcgtg aaatatgatt 59281 cttttaattc tttccaacca tttagaaatg taaaaagcat tcctggctca ctggccgtac 59341 aaaaataggc tacaggctgg atctgactgg ctggaagggg ttgccagctc ctgcgatgta 59401 aggttaggaa agataaataa atggtcagag aggttgacaa agggaggggc ttagctctga 59461 tagctgcaga tgcctgatgg tacctaggat gcttcgctcc attctacgtg gagctcagag 59521 tgcccatctg tttaatgggt caggcctagg agagggtccc tgcctggcct cagcaccctc 59581 ccccagattg gcctctgctt tgtccctgtg atYgattccc ccactctaaa gacacctgga 59641 gacaacattc aggactgaaa aactgactgc tgtcacttga gcttgccaaa cagttcctga 59701 gcccccttca ccattoaccc tttgtgtcca agtctgtgcc catcctcatg ggtggggaag 59761 ccacacggaa acctgggcat gccccttgtt tctagacaag actcgaaact cacaatgaac 59821 atgatgagac ctgaaacagc tccaaggaga ggggctcctt atctcagggc tagggcttct 59881 cagtggaggg caaggtcata aagggcgggt gctgcctgag tgggcttcct ggaggtggtg
59941 gtgggggttt gagttggcct tggaggatgg ctggacactc tcatcccagc tctccgcaga
60001 ctccatgcat tgccttagct gccctcatct ttctccctcc tgatcgatgg gcactgcaga
60061 gggttggctg agacaaacat atatatatcc ttcctaggca cctctgaact tcccagctgc
60121 tgatctaagg cctgtggact tgtgtagtga accaggtcct gccttctgtt tcttcctttc
60181 tctactgcct cctcctgaaa tttccttcct gccacctgtg gtgggggtgg gccaaggaga
60241 cacacctctc tcatttttcc gtgtctctgg attctgtccc ccactttcca tcccaaccgc
60301 cttcctgctc agcttagtcc cccatcacct ctaccctaga tccgggaaag ggcctcaggg
60361 tacatttctg cctgcacttt cccccttcat ctctgctccc cagcctttga agggatattt
60421 tctaaatgag aagctgatca ctccactcca ttgcttagaa ctcttcattg cccσacccct
60481 gtctggtgga acaaccctcc agcttccaca gactggcacc agccctccac cttctcatcc
60541 acctcatcac ctcctgatat cttgttgtgt tccttgacac cctggaatca ccttcccaaa
60601 tccatccagg gggcgctcat ccaggttttc tgggcactcg tgtgtcttgc ctgtgccagg
60661 tgctgtgggc acacgcacgt cagagctggg ctcatgctca cttaggagag gctgaagctt
60721 aaccagcgtc tgcacaaagg gaaaggcgct cagtgcagag ctactcctct ccacaccaca
60781 ccccctgccg ggtaggtgct cagtgaacat ttccacaagc ttgtgcctcc ctctggccag
60841 gcttcctgtt ctccttcctc ccctccctcc tctcattcgc tccgtccttt cccttcctac
60901 ctccctcttc tccccgcatt tatcttctgc cttcttcctc cccctcctct tacctggccc
60961 agggggtgca ctccctgact cctccaggtc aggagaggtc cctgcaccat ccagtatgga
61021 agagaactcc tcacaggacc ctgggaagga ctctgcagca tgaccttggg gaagtttcct
61081 ggtctcctag ggcctcagag cctcaccagt gagatgggat gatactgcca acgggcacag
61141 gtgccccagc ctggcccttc cttgctttgg acctggttcc ctacccaagc ttgtgcgaaa
61201 tgcagggcat gagtgggatc atcactgggg cccctctggt ggcctgactc ctgtcacctt
61261 gtcacgcctg ccattgccgg gaggcccctg gcccaggagt ttgtctgtgc cctttatcag
61321 ctctggtctt gaggaggaaa gaggttctag agggtttccc ctccttccct gcagcagctt
61381 ctgtccctcc ctttgagggg tgagtgggag gggggcagtg tttcatcttt cagccttctg
61441 tcccttgttc ctggccctag gagggagagg aggaagtagg ggcggtccag ctcccctgtc
61501 atgagtaaat ggagcacggg gagagcaggg taggcgagtg atgtacttag cctggccatc
61561 tcctttctgg tatccaggct tgtcctgccc tctgatgggg agggatgctg agtggccaga
61621 agattccagt aggaggtggc acagatggcc ccagccccat gatgggcaga tgagagtccc
61681 agggctgtgt ggcccaaaga agaggtgggg taggctgtcc acacacccct gtgtgggctt
61741 atgtgaggca gaggaaactg tgctgctctg ggctggttgg gaagggcaca gggacatcag
61801 agcttcccac tgtgggcctg ggccagacgc tggagtgggg caagtgtcca tctcaagagc
61861 agagttgcct tcagccaggg gaagcagaag ggctctgcca ggctttggac agtacaggga
61921 tggctggagg gtctctgagt cccctctgca cggagatgtg gaaagtcttc gagcccagtg
61981 agtcaccgct cgctcccatg tgctgcctga tgatgctatc ctgtgtgtgc aggggccacc
62041 acttcctggt gcagcgactc agaggaggac atggctgctg tagtcagttt cactccaggt
62101 tcggtggctg ggcttatgag gcctgaggag gaaaggggaa tggtgtgcta ttgggatccc
62161 cctgaattcc cttacagtcc aggtatctgt aWcacatccc attcctgcca ggcaagcctc
62221 caggctctat attgtgtgac cttggaaagt gtgtcgcctt ctctggcctc agtttcccta
62281 tctgcacctt gggaggtggg ctttaaagtc tatttcaggt ctgaaatgtt gtgtctgtaa
62341 ctaactcttc ctaaggagga aactagatat agatatgtga atgggtgtag tggcggacct
62401 gaccagcccc tggaggtgtg tgtgggggtc cctactaggg taccagtgga ctctgaactg
62461 atcttcattt gaccagtaag agagggcagt ggaagcatag ggatggagtg caccaacttt
62521 ggagccagac tgcttgggtt tacttcccag ccctaccagg gacttgctgt gtgattttgg
62581 ggaagttgct taccctctct gtgtgtcggt cacctccgcc atagaaggag ctaatgctag
62641 taactatttc aggcaggtta aatgagttaa cacatgttta ttgcttggaa gagtgtctgg
62701 cacatactaa gtatttaata aatgttagcc attagtaaat aaaagcacag gaggcctgct
62761 attcccattt tgattgtgac acggtgctgt gggggtggag gtgacagcaa cagggtacaa
62821 aaagtctgaa cacaaagtgg tgagataata ataatagtta acacatgtat agcccttact
62881 gagtgccagg ctatagtata tactctatag tttctttgta taaatttgct gatgcctcac
62941 tgtaacatct atgagataga cattaatatt attcccattt ttcagatgat aaaaagaagg
63001 cacagagaag ttaagcagtt ttcccaagct cctggggcag aaacctctgg caaaatggtc
63061 ccaagtctgt catactaaat gccaggaggt gactttaatc atcctcaaaa actatctgcc
63121 ccaacagagt ctggacccaa gagagagagc cagggaatat ggagtgaccc attttcccat
63181 cctgagccac ttttgtggct gggctgaaat ccatcctcag ggaggggaga gatcaaccct
63241 gggctgcagt ggtggggctt ggcctgtccc ttgagggtgt cactagcagc ttgggagagt
63301 ctggaggagg aggagccact ggcagggctg gggtggccag caagtgaggg gaggcatctt
63361 agagggacac tgcagagaag cacttggttt ggggcaggca gcctaagtct gtaagctctg
63421 agcgttgtcc agttgggggc agtgcagggt tgcggtgggg gcagaagtgc ctggaggggc
63481 tgaaaggatt accgcccaga gaggggagag gctgcgggag gtgatccctg aggtccccag
63541 cggagtcgag gcctgggagc tcccaggttc tctctctcct cctctttgct ggcgggggcg
63601 tctgtgtcca gttgggcagg gggtggactg taatgggtgt ggggaccaag agaaggtaac
63661 agtgggaatc aagaaccctg ggtctagttc cagaagaggc accctattga gagtgcccca
63721 gctcocttac cctgggtcac tgggctgggg acacacctgt ctcctagtaa gcagcctggc 63781 gatgaagcag agggctgggg gtgggtcggg gctggggcct ctgctggagc ttgtcttcag
63841 tccaccgcag ctacagctga gaagctgccc ttcccaMagc aggggcgagg cccctgcaag
63901 tctgggcatc cctgcatgtg tgcgtgcatg tacacacatg tgcatgtgtg cctatacctg
63961 cacccatatc tgaatccaag tatatcttat tgcctctcta tagctgaatg cctttgctga
64021 gtgagtgtgt gtaagcgtga attgttctgt atatctacag tctgatatgt gacatatctg
64081 aatatctgaa ttgtcatgtg cttacatctg cacatatctt tgttctgtgt gtggtcctct
64141 atgtgtctgt gaaggagtgt gtgtgtctgt gaaggagtgt gtgtgtgtgg tgtgtgtgtg
64201 tgtgtgtggt tgcctgtcgg tccctgaagg aatctccacc ttgtgtatcc ccatcatggg
64261 agtttgtatt gataccttca agtggtggcc ctggggataa atgtctctct ttgtctctgt
64321 agggttgaca tgtctttatg atcatctctg tggacctatt tctgtgtatt tgtgtgtgtt
64381 tgtgtgtgtg agagagagag agaaagagag agaaacagaa tcagaaatcc accagtcctc
64441 aaaacacaaa ctcactctct gtctatttgc tgccaccggc tcccccaccc caccagagct
64501 gttcaaactc ctagttcctc tgtgccagct ccctgggttc taataaaggt taaaatagag
64561 gctttataat tctagctata cacgagcatc acctggagaa ctttaaacaa cactgctgcc
64621 cgaaccacag ctgagagctt ctgattcatt tggcccgggg tagttgtgga aagctctgat
64681 gactctagtg ggcagcccag gtttcatact ggggtcagag gttagggctt tgctggggaa
64741 gcagtgagta tctgctaggg ggcagcccag tcctaacSgg ggtagtgctg ctgccacctc
64801 aacgtgttgc tgggagcaag gagctctgtt ttcacctttt tggcctgagg tcgcggaagg
64861 tgcagggaat cgacgcctga tcttggaggc tctctgcctt gcaggatctg cctgcaacac
64921 tctgctggcc tagagagatg gcctccagcc tctgtcactg gtgccagaca ctcctccctc
64981 gcagccaggc aagtcaggag ggttgtctct ttgcaggcag agccttgggt tcccNagggc
65041 tggtagaagt gaccaagccc tttaggggcc accagtgcta ggtcacgcca gaggcagcct
65101 gtggccacca ggggcgtggc aagccctggg agctggtaca gagacggaag cctgagtgcc
65161 tggtagagat ggtgcctcag ggtgcctaga agtgctgagg ccagtgcttg cccagcctgc
65221 cctgtcctcc ctgacccaca ggaggaggct gggccagtgt1 tgccatggct cccaggcttc
65281 tcggagcatc tcttgggata tctgaggcct ccctccccat ctctgcataa tatggggaga
65341 tgggggctcc ctctttttga gccttcctgc agctggtttt atttctgctt tttggatgcc
65401 tgcttatctc cagcttaagc ttggagaggc cctgtgggag gcaaggagag agggagggga
65461 cgtggttaRg cagagagtga gggacacaaa gacccctggg gtgcagcagc tctgcctgct
65521 ggtggggggg tgtgcgaaga ctaatggttg ggatgcacat gtaggatttg cttgggcccc
65581 ccatggcctc ccgggccagg cacctgtggg ttagcagtgc cctgatatgg gcctactcaa
65641 tctcttttat aataatttaa tagtaataat aatttttaaa taaccataac catcgtacag
65701 ctgaactgga gcctatttag cagtgcctgt tgacggatgc tttgctgtcc cattttttat
65761 tgttgatgct attttaaagg atgctgtggt gaatgtgctt gcatatgctt ctttttgtcc
65821 aattgcaaat atttatcaga tgcagaattg ctgtgttgta gggtatatgt cgtaatgatc
65881 aattttagaa gcagaRtata ctcttcccct gggagcgtgc tgggctcttg cagcctcctt
65941 ttttgactcc ctgtaacctg tctctctggt ccccaccagt ggccccagtc cttgcaggcc
66001 tgcMcccttg gagctcctgc agctctgagg cctgagcaca tgcttcacct gtcaccgtgt
66061 tttccgtgtc atggtttaag acttcatccc gaagatgaag tagagtgagg tagggcaaaa
66121 agtgggtgta attgttaggg taccaggcca ggcagctgga acaaagaggc cttttaaggg
66181 ggtaaattag ctagaaggtg gtttccctct ggcgtaacag tctggRgcta ggtgggcctc
66241 caggcaggct gggtggctgg gctccacgag gttgcttggc gatcctgcct cctcttgcag
66301 cattgcgccc tacccactca gatacggttc acgtccacac tgtcaaagtg gggtttgtta
66361 tttgggaagg gttaaagagc aagagcagag atcatgccat gccctcatgc acagagggtg
66421 cagatgggac cacatgctgc cactcacatt ccataagtgc taataacttc atcatgtgcc
66481 cacacctcca agcaagagat accaggaaat atcatctcta ggtgagcatg catgtgccag
66541 ctaaaacttt gtcactgtgg aggaggggga aaatgcaaag gtttggggag gcaatccctc
66601 tgttgccaag gagaaagcca ttccagacca tgccaggaga ctggtggagc tgagccagtg
66661 tgtgcccaca gtatcgccag cacctagcac agactgagtg cctagcacat gtttgcaggg
66721 cagaagaaga aagagcaaga cggatgcagg cagggaggtg gggttatcct tggaggctga
66781 gagccgtgct gcagggagct gggggaataa ggaagggagg tggtcttgcc cccggccact
66841 gcactgggct cacaggattc acacctttcc ttcctctcta gcccagagac acattggggc
66901 tgacctgccg ctgctgtcag tgggaggcca gtggtgctgg ccaagaagtg tcatggctgg
66961 tgtcgtgcac gtttccctgg ctgctctcct cctgctgcct atggtaaggg cccaggaaca
67021 tctctctggg agccccaSgc tcacctgagt ccccgctcca gagaactcat gttttttctg
67081 taccctcagc tcagctcttc atctggctgg tatttctgcc aacaccacca ctgggccacc
67141 cagtgccttt gtgtgaatca gaaaagacat gccttcctca agaccctgta ctgatttgac
67201 cagaaatgat tacaaaattt acaaatcttt atgatgcaac ctttagagtt gcacagtaca
67261 caacctgctc aactgaatgc aggagccctg gtcagggctg cagaagcctc tttcaatttt
67321 ctcgtcacca gcccacaatg ccctgccagg atagaactca gaagcctgcc ccctgctcag
67381 gtctctccct gagtgaaggt" ggggatgggg agtgagcaga ggaggactcc caggttttgg
67441 tcccgccact ctacctgaga gttcagagta gcagtgggtg aggctgtcct cagaaccctg
67501 ggtaccagtc ctgcctctgg cctgactcac tgtgtggcca tagacaagcc tgtccctttc
67561 cctgagaact gcctgcacat ctgtgaatag tagggattgg actatgtccc caaaaatggc
67621 ccttggcaat caaatgcctt gtgactgcct ccacacttgc tgacatcccc ctgggaacca 67681 tccctgccct ggggttttga gttaaaggga cggcatttgg cagcagctgt catgatagca 67741 gtgcatgggc tgtgaagtta cttggtcctg aacttgaagc ccatatctgc tattaaccag 67801 tggtataact ttgggctgga gtttcttaac ctctctgagc cccagtttct ccttctgtaa 67861 ataagggtgg cgagtaggcc ccactaaata gcagcactgc tccttagcct gcagctgccg 67921 ggggcacttt tttcctgagt tcctggagaa gagagaaaat gagctttctc agcctgactt 67981 ctcccctacc acttgttttc tcctctaaac tgcagtagta gcctcgtggc tgctagagtc 68041 aggcctcctg ggttcgaatc ctggcttttc agcctactga gccatatgac tttgagcaag 68101 tgacttaaca tctctgtact taagtttcca catcagtaaa atggaaaatg ataaaaatag 68161 tacttcatag tactctccag atccatacac acacacacat atgacactca gaataatgca 68221 tgcacagagt gaagtgctat atgcgcttgc taatattatt ataagatgtg gaaactgaga 68281 ccccaggagg gagtgggacc tgtccaaagc cacacattga gttggtgact gagaagagcc 68341 cttatggtgt ctctcaaggt gaatgtcagg gcccctgctg gccctgacat ctcttgtcac 68401 cctcctotct gcttctgctc cccactcccc ccaagacact gcccctgggg ctttggtagg 68461 agagcttaca gatgggcctc ctacccgctc ccaccatcca tcctgtgttc tcctacaggc 68521 ccctgccatg cattctgact gcatcttcaa gaaggagcaa gccatgtgcc tggagaagat 68581 ccagagggcc aatgagctga tgggcttcaa tgattcctct ccaggtgagc ggggcRgcag 68641 ggagcatgcc acgtccccag tgccagcttt tagaactgtt ttcctgtgct caggctcggc 68701 cagtgagtgg tcaaggtatg ggtttctggg gacttcagaa ggccctcgag aatactgatg 68761 tcctggatct gctctgggca atgatgctgg ggttgctctc ctcaaggctg atgtggtctg 68821 gatgcctcac agctgttctg ggtgactgga catggctgcc ttctctccca caggagctgg 68881 gatagcactg gtgcctgagc tgggcagtgg ctgtcaagag cttgttagca ggcagcatgg 68941 gcctggtggc agcagggaca cagctattgc ctgtggctga gctgtacagc acttggtcaa 69001 cccagggcag gaaacgtggg gtcctttccc acctcttctg ctcattgcat cagaagccag 69061 agaagaaagc agcagcagga acttcagtct tgaagacttg ggtacaacgc ttctcctggg 69121 gctgcctttg aggagggtcc tgcttccctc cactggagga agcacacatt gcaggacatt 69181 gagcgttctt agcctctccc tctaaatgcc cataacgtcc ccgatcccaa tgacaatcac 69241 aaaatgcctc ccaagatttc aaatgtccca agggagtggc acgatccctg gtaagaacca 69301 gtggccccat cgaacccctc tcctaactct ccattgtgca gatgggaagc taaggctcac 69361 agagcaaagg cgccctcagc tcttggcctc aggggaagtt ggggatttag gggagggggc 69421 atcacagagg cctctccaac ctcacttttg ccttaatcgt tgaaggactg gctccgtgct 69481 gcctaagggt agggctctct gctcaggctg gagggattca ttttccttct ggatcctcct 69541 ggctcctctg agcaccatgt atttaagcac ttgactaatc tgcagcccag ttaaatggaa 69601 tggtcccact ggacggagct gcccagccag ttgottctca gtgagcatta actggtgagg 69661 gagctactct ggaccgtgcc ggcctttgcc tccgctgagc tcttgctcag ccctaaccaa 69721 ggttgaacgt ggattcgggg ccccaccagt gagggaaact gaggcagggg gccagaaggg 69781 cacacagttg gaggagaccc aaagaatatc ccaagaatat ctggtccaag tctctgtttg 69841 gaggatggga ctgccgagcc ctgagggcag ggatggtgtg gatcacatgg aggatcaggc 69901 tgaggtgggt ctggaaccca ggtgtcctgc tcccaaccca gggccattgt tcctgcattg 69961 cgtgtctcag atacatttgg ggttgagcga caaaatcatc caggagggaa gaataaaggY 70021 aggggctggg gtgggacagg gacctcggtg taggctgtgt gcagtttaat tgctcacctg 70081 cttgttgaac tctgggctga cagggcaaga caggcctgtc cacagggatg tcgtggcaga 70141 gaagggagat ggatgccagg ctggaaatac agcatccctg gaagggccag gccagtgctg 70201 gggaggaggt ctcacctgca ggtgtcctca ggagaggaag agatgagttc tttgtgggaa 70261 ggattcatat attgaaactg gatccttgct tcttaaacct ggctgcacat ctgaatcact 70321 ggggaacttt cagaaaaacg tactccagcc acaatccaaa ccaattaaat cagaagcttg 70381 ggtctgtcat agtcaccata gtttttaaaa gctccccagg cgattctaat gagaagctgg 70441 tgttgagaac ccttgagcta ggcccaaggg ataagtaggc atttgaaggt ggtggagaat 70501 tgagggacag acgaatgggt gaacactgta ggctgaggaa tccacaagag gcaggagcct 70561 ggtgtttttg gcagtagtga gtaacctcct gtatttggaa ctcagtattg gagcagatgg 70621 gttgggctat tgagggggca tggctgaggg cccagggagc agatattgtg tatttcatgt 70681 catctccact ggagatgaag gtgggggaaa acagtggccg gctcccactg agctggcatc 70741 tctgcaactg ccccaggggc tccacttgtg ccctctcagg gaccttgtga gtcagggctg 70801 gccataggag gtcagggtgt gaaggattct ccaagaattg agtgaatagc tctcctttaa 70861 ccctgtccag gtgggagagg aggctgcacc ctctcacgat ctgctaagga gaggRtccct 70921 catctatccc tactcgtccc ctcccttgaa tcatagggtg gggctttata aaatagagct 70981 gagctaatta agcagaagca aagggcagcc attaggtggg aaagaggaaa agagtaaagg 71041 cccagttgga ccaccaactc catgaccctt tcctgctctg ggcctcagga gcttctcttt 71101 taaaatgagt ggagtggggt ggatcatgtt aatagccaga ccctctatag acttcctgtg 71161 tgccaggctc tgtgccagca cttcattcta tcaccacagc agctggaggg tgggggtggg 71221 tctattatga cccctatttt atagataagt gaactgaggc acaaggaggt actttgctta 71281 aggacatagt ccattaagag gcagaggcag cctgtaccct caactgctgg gatgcaccac 71341 ctctaaagag tgacatgctg tgggtcccag cacccccccg ggcgcagcac cagccatggg 71401 atctttgaag ggcccttaac accttaattt tcatgtctga aaaatggagg aaaaatgata 71461 cctaccacat aggattattg cattaagtga taaaagcctg tgagaagtgc taaggacagc 71521 gtatgggatt tactaagcac ttaactaaga cactgtagtt attaggagct gtcatcttgg 71581 agtgttgggg gtttccaggg ctcccacctt ctgctacatc ccagttcttc tggggagtag
71641 agagacatct ctaggaagca ggtcagcgcc acttggaaca atcctggaag cccctctgga
71701 agagcagggg agaagttagg gagcagatct gggcttcaga gggcagatgg agagtacagg
71761 aaggtggaga gaagcgttcc gctggggaag ggtggaaagg gagcagtgag taaggtgggt
71821 gggcaccgta acagccagca cttcaaggcg ggcactgggt tctctgtctc tgtctctctc
71881 agacacgcac gcatgtgcgc gcgcacacac acacacacac acacacgtac aagaacgcat
71941 ttaaccctca ccagcctatg ggctgggtag agttttaccc ccacttaaca gatgaggctg
72001 cttagacaca gagacgttag gttgcttgtc tcttacctag taaacccctc agccgggaag
72061 gtggagccaa gctgtgcatg tggatggttc tggagtccgt gccttcaccc ctgggctgca
72121 tttgctgctc agaagaggag tgaggagacg ccctggccct cagctttccc cttgtcaggg
72181 tgaaaggtca tacagcagag gcagttgcaa tgaggctgga aagaggcctt gggagacagg
72241 gaccctgaaa tgtgctccag gtccaccctt ttcttagcta tgaaaaggcc aaagggtgtt
72301 tgtgtttcta aggcccagga gagaatgagg tctcggcctc taatgacttg cttgggaagg
72361 agaggggcag gccagggtga ggggaggccc ctggggaggc tgtcctgaga agcagtgtcc
72421 atcttgctca ctttggggct gttgtctgaa gagcttgccc tgcaggctga ggttggggga
72481 ctcccctcaa gggcctcaag ttcagggata gcattgacct tgctgtcact catcagggga
72541 ggccttactc ttcccccatt gaaccttcaa gaacctctgg cctgctctta ggggtacctg
72601 gctggagctg ggcttcttgg ctccaaatta aacacacttg tgaaagatgg gcctctaccc
72661 ctctcatcat acctgcagca ctgtagagcc cccaggagca tttaaaggtg ctgatgtcga
72721 ggcccctctc cagaccaaag tcctcagcat ttgggttggg ggggtccatg cagatctgtg
72781 ttaaaagcct ccaggtgatt ctaaagtgta cccaggtctg agaaccactg gccagagcac
72841 agcatccacc agggtactca agtgatctca ggcagagagc agcccctcag ggcccagata
72901 aaccaggctg gggagctcac tactagctga gtcaaatctg agcgtaccaa agaatcgaca
72961 tctgtgcRtt gtgttattaa tccgtgccag tcctcctgct gcatctcttt cctgcacctt
73021 ccctgcccgg gtggtcccca agcacacacg ccatgcacag aacgctggcc aaaggtcagc
73081 tgatgtcctt gaaacacact tgaaaaagga aacctggcag cttgttccaa tgcctgttga
73141 gtgtaaactc acaacagtgt cttttatcta ggtttaatat aYttgtatat attttgtgtg
73201 tctctcataa ttttttaaat ctagtaatat gagtcaattg gaacaagagc cctgatctgt
73261 tagttgaatt atgtctgtgg cactgtgtgt gtggctgggg ggctccaggg ggatccagga
73321 aagtacttgt ttccttcaag cccctgctcc tcactggtcc tgggacctct accctaaaga
73381 gaaNctagga tggtgctgtg cagagtggcc ttcagagtgg tagccaggag acagatgcac
73441 tgaggggagg cacccatggt agcaggcagc ttaatggggg tgaaaaatag agcccagaga
73501 ggtggccgtg gggagtgaaa gcaagcttgg agcctgcctt gcattgtttg caaaatcctt
73561 ggcatgtttt aaaggtgttt attgaggaga ggagggggtt tggagacata gtcattttgt
73621 cccttgttcc aaacccccaa atgctaatgg gatttaagcc aataccaagt tggctctgtc
73681 atatgatgcc cacagaggct gaggccagag gtggtggtca ttggccaacc acattggggg
73741 ccagagccag ctctggggtg ggatccaggt ctgttatatc agacagggag tgccctttct
73801 cccacagtgc tcttgtgacc agaagggagg gacaaaggac gcctgtacct gggaattggc
73861 atctccaggc cacacagccc ccaggc€ccg ttccttctgc agtctgcctg cccagaatga
73921 gaccagccag catctcctct ttgcagggct gcaggttttc atcagcccag aaaccttccc
73981 tgcatctaag cagggttggt cggtgtggtc ctccatgggg gtccccacac tctagtggag
74041 gaggaagagg aggcctgtgg tggccatggc aggggcagca gagagcagac ttggagggag
74101 gagggaaagg cctgctcatt gctattctga cctggtctca gaggcctgcc cagggcacca
74161 aatgccttga accagtcctc tctacgttca atagagggga gaggccaaga ggaaggaagc
74221 acatcagggc tgggcccagg cttccccatc cttagagcag gaggagcttc ttgtctgggc
74281 ctctcagctg ctctgagact caaaaggcat caagcctgag gaaagggtgg tgtctgcagg
74341 gaccctcatg ctgaggaact tattcgctgt ctgacacagg gtgtcacttc tatccaaact
74401 tgtgtcttcg tgaagtctgg tcattctaaa acttgaatat cagatcttct gttaaaacac
74461 agattgctgg gcccacctcc agaagtttct gattcagtag atctggatga ggcctgagca
74521 tctgcatttc cagcaagttc ccaggtgatK ttgccggtct gtggtccata tcttgagaat
74581 cactgacttc caaaggcgag ggcggcatct ttagtcctat gccaccccca gcactcagct
74641 cacagtggga tcctcatttc atggaacaga aacattggcc ataaagtaaa tttcggtaaa
74701 ttgaattgtt tttaccctta gattgcatgc taaaatgggg accttgttct aacaatacct
74761 gggcatcctc aggtggcttc tcaaagggag gaccatggct ttgcctgagt ctctttggtg
74821 ccctgctcta tggagttttg aacactgtgg aactggacaa aatcatcacc atgacaaccc
74881 aggattagct ccttattttg ttccagacaa aagctaatag cttatgcgtt ctctttcagt
74941 cgctctgcct gagtggatcc ctttcctcct gctctcacac ttcactgcca ctcctgggca
75001 ctttataagg tcttaggtgg aagcagctag ggagagtgta cgcagcactc cccgacccac
75061 ccctgggcct gaattcctct ccccatgtcc cccaStgggg gcctatacac agatggagcc
75121 atgaggcttg gagtgttgtc aggagtggag aggtctcaca gagaacagga tctgttctca
75181 ttttcaacct ctggaggacg aaggggagga cgggaacttg gcctgggctg cactcggcca
75241 tctcctccct gaaacatgtt ttcctggctg ctgtgtccct tgcctgtcct ggttttcttc
75301 ctcagtcttc tttgccaagg ccttttctaa atgctggcat ttctgttggg gccMggccta
75361 ttctctcctg ttttcttccc tgatctttgc tctctcacta gRaaaaccat ccatgtccgt
75421 ggactaaata gtatccctgt gctgcctact ccctgccctc ttctccagtt gctacttctc 75481 tagactcYag acttttttcc agctgcctac ttcgacagct gtctcctctt ggctcttagc 75541 accatctcaa actgaacata ccccagacta agctcttgct ttccaacttg cctaattccc 75601 ccaacatctg gttctcacct ggccctttcc actgtggtaa atgatccatc catccatcca 75661 tccatccatc catccatcca tccatccagc cacccaccca cccacccacc catcaatcta 75721 cttgttcatc cagacgctga agccagaaac ctgggagaca tccttggtac ctctctcccY 75781 tgcactgtgt tggcctcgac tctgcagcag taacaaatca atcttaaaat ctcagaaact 75841 tagcacagta acatttcttg cgtgcatgta tcataggcca gtgtgatcag cagaggtagg 75901 aggtggagct caacttcaca cagtcattca gggatccagg tttctaccat cttggaacac 75961 tgctaccctt aacatgtggc cttcaagggt ggtccagaga aggaagaaag gcaggctgtg 76021 gaagcttatg agggacattt tagaggtgga ttctgcactt ccaccctctc accattggcg 76081 tgccctcagt catgtgatgt gggtgaacac taaccgtctt ttgcagactt gccagccagg 76141 tccagccagt gtgttgccaa gccctgtcag ctctgctccc gactctgtct gacacaggac 76201 tcctctccaa ccctgctgcc attgctccaa atcaagcttt ttcatctcac ccctagacta 76261 tagccatgtc ctaacaggct tccccatgtc tgcatgtctg ctattggact atatgatctt 76321 ccccacacaa ccaaatccaa gtgtgactcc ttgtcttaaa gcctctctgt ggtaggtcga 76381 ataatgcccc caccccggcc tgagaggccc acgtcatcct aatccctgaa acctgtaata 76441 tgttacttta cataacaaaa agaactttgc agagggaatt aaggatcttg aactgagaat 76501 tttatcctgg gttatttggg tggacacaga ataatcacat gggtccttat aagtgaaaga 76561 tggaagcagg agaatcagag aagagagact tgaggatgca aagctgctgg tttcaaagag 76621 ggaggaaggg gccatgggcc caggaatgtg ggtggcctct taactctgga aaaggcaagg 76681 aaatggattc tcccctagaa cctccagatg aaatgcaacc ctgctgacac cttaatttta 76741 gcccagtgag acccatttca gacttctgac ctgcaggaat ataagatgat gagttgtgcc 76801 attttaagac agtaagtttg cttacaaact tacagcagca gtagggaatg agtacaccat 76861 ccagtgtcat ctctaaacat tgagcataaa aatctaaaat tattaacaca acccactgga 76921 ctaagagctc tgtgaaggca gagactgggc cctttctatt cactcttgta ttgctctgca 76981 ttgtctgact cggtatgtct tgaataaatg agtaattaag agagagaggg agaagaaagt 77041 gggaagaaaa aaagataaaa ggaggagggg gagaagaatg acaaaaggca tcttgaaatc 77101 ttccagtctc aacaaaattt agctttgttg agactggagt gtggaacata tgggtctgta 77161 gaagctggac gtactgtgtg tgagtggaag gaaaatcagt tgctgttttt agttagaaaa 77221 acccaaggct gtctcaggag cccaactccc atcctcccaa gctccaggga aaggggcctg 77281 gaaggattca gctccaatcc gctgaggcoa gagcaatttc cattcaaaag aggagaggag 77.341 gtgggagcct gctgggtcct cccatctgtg ctaggctggg aggtggtaac tgcaagagaa 77401 atgggcacoa gggcattctg gggagcccca gggaggcagc tgtgagtctc ttgagacccc 77461 agcaatgcag gctagagggc tggatggagg ccttcaagct ctcgataggg tcagggacat 77521 tgtctttggg tcctggggtc ctgaggtctc attctaggtt tcccacctgc cctggtacta 77581 tacgaattgt ctttaggact ctagaggggg ctcaggctgg ggacataagg gttaccagga 77641 gggctttgag agctgtggaa gatgcatcct gagagctccc aggccccggc ctggggtggg 77701 gcaccttagc agatgccctt taggcagctg tagctgcccc agccatcctc tgggcaccag 77761 taggtcctgg gtgaatctct gttccagatt tgagctctgg tcactcaaag ctgggagctc 77821 acagagacac tcagttgtcc ctgtgcacat aggaaacgtg aatcatggtg gagggggcgg 77881 tgactgtcct gagtcacaag tgagcctgcg gcggaaggaa atcagaactc aagttttggg 77941 gcttccggtg ctaatgctga gtagagacct gccgtttccc ctcactctat cctcaaacat 78001 caatttcaca gctttgtctt tttctccacc actggccctg gtgcatagat ggtccctggc 78061 acaaggtagg cactcagtaa atagttgtta ggagaatgca tcccctgtcc tgctgccaac 78121 atgagagccc ccttctcccc ttgtgccacc cgcccgacct ctgcagccct cctcgccctc 78181 aacactcatg accctgctca ttcgctctga agtggccctg tgacctcggc agtgtcagct 78241 ggcagcagca gctggctgtg cctgagccta atgttctcca ttaagggaac atctgttggc 78301 tggggcatgg gccagacgca gccatgctcc acggccgttc cacggtcaac atgggctgct 78361 gtagccaaag atgtgctatt gggtctαttt caaggacatg atgtcacagc caagcacatg 78421 ctggctagat gtcctctgct aatggttaca caggaattat tgatgactgg cctactgcta 78481 ttagacctga tacccagctc ccctcatctg gcctttaatg tctttgcctt cttgggttat 78541 tcttctcaga gctttctatg gtacatctgg ttcccaaact ctgtctttcc atgagcagga 78601 tgctatgggc caatgtgact gggtgcgaac tccaaaatag ccgggtgtga attctgagag 78661 acaggatttt ctccgtctaa aagctgtgga taccttctgg tccaaatagc actcaagcgt 78721 cacagacccc aacagagact gtgagctcat ggcgcctgct ccaggcccct cctcttccca 78781 gcaccttccc aggggtcctc tggacctgtc agcagccctg ccccaggcca tctcaccttg 78841 caggtccctg ctttacctcc ctgcctatgg aggcctctcg gggcaatggt tcccagggac 78901 acctaactgg gataatgaaa ttaatgattc tgtcggcagt gaacaggcat tgaatgagcc 78961 tggctctatt ctgagagctt tgcacgtatg aactcattaa tcctcacagc agccctgtga 79021 ggcgggcact gtcggtcacc tactgtccct gacatggcac agaagccctc tccatagcct 79081 tcctttatgM tcccctaaaa gctgcaggcc tctttcctgc aactctactc tgctgcctgg 79141 cactccacac tcctgcctcc ccaccatcct ctgccactct ctcctgctca catcactacc 79201 tgtgcttcct ctgcccactc cataaatatg ggttctccag ggttccttcc tccatgctct 79261 tctcacttta tgtcccttct caaagtgagc tgtctcRtcc catggcctca atcactaccc 79321 acaggctgga aggaaaagtg agtggcaggg ccgtaggtag ggtcgtaaat accatgttaa 79381 ggattgaggg tgctaagagc ccagaaagca tgggattgtt ggtggggggc ttgtgacatg 79441 gccagatatt cattttgaaa agcttctggt catagctgtg tggggtttgt gtacctgtgg 79501 tctcagtgag gggtcctgag cctcttcact gagtagggtg aagggataga gagtgggSca 79561 tggatttcac aaggtttcaa ggtaaaacca gcaagggctt gatcaggagc actaaaggga 79621 aggagctgaa gtggggtgac tcccaggttt ccagctgggg ctggaacagg caatcaggtt 79681 tgggcaggag atgctgcact gagtcttgga ctgctgtgtt tgaatcatct ttggttcttc 79741 aaggtggggg tgtccagcag gcaactagct gtgggctcta ccctoacaga gtggRcagga 79801 cagagttgtc cacatgaaat tctgtaacat ccatgagcag ggtgagctca tccaaggtgg 79861 gcagggtggg cggccaaagg caggacagct accagcacct gcattcggtc agggccgctg 79921 ggcgggaccc agtaagggct gaaattgttc cttggatttg gcagtgaaga ggtcgctggt 79981 gaccttggtg agaggtgttt cagcattgtg ggaggacaga gtcagagaag cagggatgga 80041 gcaggaagag gtggtgtcag gcagtgoggg gaactctaca gaggctggca gggctagaag 80101 gagaggcagg cacccgggag aggggagccg ctgggccccc tagacctgaa aatctggtca 80161 taaagcttga cagtttcctc ttccttgcag ctcatgtcca Rtgaggcacc aaatcttggg 80221 gattcctcaa cacctctcag ttcgtctgtc ccttcctctc catcagtctg gagatgctgt 80281 ggggggcctc tgcagcaatc ccggcctcca cctcttctgg ttccgggtcc tttcacaRtt 80341 cttgcttggc gcgtgcaggc ttctgcctgg ctggctttcc cctcttctcc agctgatgaa 80401 tttgtgtccc ctgctgggcc tgccttggga gtaggtgggg ggagtggagc agcagcctta 80461 gaccagcctg ttcctgcccc tccccttagg gcggatgggg ggccctgctg agggggtgga 80521 tctgaagtgg gaccctcagt ggtggctgag gaggggctag ggtgggcatg tgggagaggc 80581 tgctgcagag acccctgcat ctcagcatct cattcctagg gatccagccc tggcctgctg 80641 tgtctcccct ccccacacac ctgtgatgtt gtgcagctgt ggggctgcgg gtcttcgggg 80701 gtgtggggMg gtgtaaaaac aggtgagggc tccctccttc ccgacccagg agctcctgaa 80761 gtgccttgcg tctccattcc tgtttgaggg atattaccgg tgcagggctg agccctccct 80821 cagactgtag gccttgcctt tcctctccta aaccactccc ggccccctgc aagggcctgg 80881 cttgtaagcc gtggagcaca cctcagtgtg tgtatatata agtgtgggtg tgtgtgtaca 80941 tgtgtgatgt gtgtgtgggt gtggtgcatg tgtgcacatt catgtgtgat gtgtgtggta 81001 tgtgcttaca tgtgtatggt gtgtgtgatg tgagtggtgt gtgtgtgatg tgtatgtgtc 81061 tggtgtgagt ggtgtgtatg tgatgtgtgt ggtgtgtgtg tgatgtgtgt gtggtgtata 81121 tgtgtgattg tgtgtggtgt gtgtggtgca tgtgtgtggt gtgtgtagtg tgtgtgtgtg 81181 tagtgtatgt ggtatatgtg gtgtgtgtgt gatctgtttg tggtgtgtgt aatgtgtgtg 81241 tggtgcatgt gtgatgtgtg tgtgttgtat gtgtgtgtga tgtgtgtgtt gtgtgaatgt 81301 gtgtgtgtag tgtgtatgat atatgtgtgt ggtgtgtgtg atgtgtgtgt ggtgtatgtg 81361 tgagtggtgt gtggtgtgtg tggtgtgtgt gatgtgtgtg taatgtgtgt gtggtgtatg 81421 tgtgatgtat gttgctgtgt ggtgtctgtg atgtatgtgt agtgtgtgtg tgtgatgtgt 81481 gcggtgtctg ttgtgtggtg tgtgtgtgat gtgtgtttgt tggtgttgtg tgtgtgttgt 81541 gtgtgtagca tgtatgttgc tgtgtgtggt gtotgtggtg tgtgtggtgt gtatgttggt 81601 gtgtgtgatg tgtgtggtgg tgtgtgtgta tgggtgtgtg tggctggccc ctctcaccat 81661 ggctgtctta cccaoaggct gtcctgggat gtgggacaac atcacgtgtt ggaagccYgc 81721 ccatgtgggt gagatggtcc tggtcagctg ccctgagctc ttccgaatct tcaacccaga 81781 ccaaggtggg tttagcccag tctctttagg ccacgctggc ctagcctgct ccccaaattc 81841 ggccccaggc aagcaccaag gacagggagg ccaccctgtg ggcagacagt ccctgctcct 81901 gagctcacat gtggtgtggg ggatgaaacc acagacactt gcacacacgg ggacacaggt 81961 acacatggga accatcgttg tggatgaaag caaggctgtg ccctcacgcg tgggatccat 82021 gccagctgtc actcaccctc cagcccaggt ccctgtctgt cagctgggta tgtggcccgg 82081 tggccccctc ccagggtgct tctgtgaggg taatgtgaag cgatgctgtg gacgccactt 82141 agcacaggac ttggcgcgct ttgaaYgtgc agtagtaaat gttagctggg ataattgtca 82201 ccatcctccc acagccacag atcctcagcg cccagtggga ggcatggaga gagacgcRca 82261 tgtagacacc cccctcaggc agaatgagac gcgtggggaa ggcagctgga cacaagacac 82321 ccacgtccac atgcagagcc acttagacRc aggcacaagg cccgttgggg ctggcgcaca 82381 ctcacgtttg ctcagcagag cattttctgg gccctagctg ccctcaggca gttacacggg 82441 ctcaagatgg gaggagctgg accttgggct acctggggag agggtgccac acacggggag 82501 cagtgccaca gtgctgtcgg tgacttgtgg acgtgggctt ggaggcgcgg gtgtgcgatg 82561 gcgcctccct gagagggaag gctgggtggg tgcggtgtcc tgcagacctg ggtttggggc 82621 atatctgtgt ttgaggtctc tgagggccac tgaagtgctg tggagatatc caggggccac 82681 caaaacgata gagcagcccg tgagtgggca gagtggctga gctttgtgca caggtgggat 82741 gtagggtgag ggcaggggag agaaggcgat gctctaccca caggcagaag ccctggtagc 82801 cccatctcca ttgcaggggg tgtctgaggg aaaggggtag ctgtagatga cttctttgga 82861 tatgggtccc ttgggctctt ccagaacggt tcctgccttt cggctgggac ctgtgaactc 82921 ctccatgggc cttctacccc atccctgtga gtgtcacagg aggcagggtg gccagctgaa 82981 ggcactgagt tggggctggg cagggagagc tggagggact ggctccagcc aggtgactta 83041 ctgagccacc tcctggccat caagccatgg gcgggggctc ccgagggtat cagagggatc 83101 tgagttgtgt gtggccatgt gacctggcct tagcgttctt cttttccagc ctaaggctta 83161 ggctgatgtc ctagaagggg cgagtttcca ggctccactc cagcactgag tcctgcctgc 83221 tgcagtcccc tgtcttctct gagaggcaaa aggcaaattt gctaatttgc tgtcaaacct 83281 cgaattccaa taactgactc tgtcctggag ggggaggggc ttgcaggagg tggcagagaa
83341 aacagtggcc tgtgttgggg gtcccaggtc cccccgtctc tggctcccac cccaaggttt
83401 gtctaagatg cactgcactc tgcagcaaca cctccacctc cagaccaccg gccggcccgg
83461 gaggagggtg gcattgaact ctcccatctg agggcctggg gattgggtgt gacctgagca
83521 gtccagagtg aattttgaaa ggggatacag gcagcggaag tgctggagtg agagatacag
83581 tgggactggg gggcagtcag gcatggtggc agccagtgag tgattcagcc tgatttccaa
83641 ttcattcctg tagaagccaa cttaatcact tcctccattc atgtatttct ttcgttccgt
83701 catttattta aagtttgttt attgaacatc tactctgggt cagattccat gccagactcc
83761 gtcttctcaa caacgaaagg caaaatgaat caatggtaaa ataagatttt cttaagacac
83821 actttcctcc acactccctc cttcctctgg cagtggcaca atgaaggtgt tatttacacc
83881 tgattcttaa tggttcatta aggcagggcc ttttagcaσc tctgttcaca aaacttgatt
83941 ggtgagactt gccttgaata ctttgcaagg agagaatggg attcctgtgt ttcttctcag
84001 ttcccaggta gcctgttgtg atgactgtgg ctgtgtagga tattggagag actggagatg
84061 tgggagcacg gatctccctc ctcctctcaa atgcctctgc ttgtttctgt tctggaggtc
84121 tccagtgtcc ccagcttata gtcctgatgc cttctgggtc ccccagagcc cctctttaat
84181 gtttggggtt gggaaggagg aggaagtgat cagcaagacc caaggagagc agcccctgac
84241 ttttctcacc ccgctgctca cctctgactt ttctctctct ctctttctct ctgtttcaRt
84301 ctgggagacc gaaaccattg gtaagaggaa ccttggtgag gatagaccgc tgtctttctg
84361 tccatccagc aggagcccag cctcaggaga tcccaggctc cggctgctgg gattggggtg
84421 ggggtggagt aagaggctca ctgggtatca ggttctttcc tccttccttc ctcccctctc
84481 cccgaccttg gccattctgg aggtcggggg gcacaggaag atgcacaaca caagcacgac
84541 ctcaggtccc tcacaggctt gtttgggagg acaggactta ccaatggagg ggctaagaaa
84601 caagctcacg catgagtgta gαtgcatata tgtgcatatg cccagacctg aacatgtgca
84661 tcagtccatg cagatattga catccctgac agctaagaag ccggaatgca cagtgagcaa
84721 gagaacagaa gagcaaatga tgcagcatgc aggcagaata gtgaagaagt caggggaggc
84781 ttccaggaag aggtggcatg tcagctggac cttgggaaag gagttttgag aagcggggat
84841 ggggtggaaa tggggtctca ttgctaacag ggggtttggc ataagaaaag ggtggaaatg
84901 ggaataaagg gtagggagag aagaaaaatt gtctgaagat gaagtcttct ggattccctt
84961 tgacggagag cagttttgga ggctgaggtg gagggtcgag caccaaaaag gaaaccccaa
85021 gccctgggcc cacgttgctg tggtttgccc tttttttgaa aaggcccaac catccctttt
85081 cattttctcc cattcctctc cattctggag gccctcccat cctcctggca gtgcccattt
85141 ccattacctg tggtggtgga gaactgagtc ctggaccatc ctgaacgtca cagaaatgca
85201 aagcaagtga gagtggtgtt agaaggtgta gtgtgtgaga aaggtgcgcg gctgctatgt
85261 gtgatattgc ctcttggcca ggactccatc ccctacttcc tgtagaccag gggtagcctg
85321 agccttccag ggtggagagt aaacagtagc taactgtaag ccaggcattt tgatatatgc
85381 ctatgtctgt atttttcagg agagtctgat tttggtgaca gtaactcctt agatctctca
85441 ggtaaggggt taggctgggg ttgaccatgg actggctgga gggagggcgt ctgctgacat
85501 gtgagctttg agaaccccat cccaggctgg gctctgctcc tctgtggctg tgtgatcttt
85561 ggcaggtgac ttYttttctc tgataaaggt acagattatc ttcatggaaa agcacacaga
85621 tagaacatcg tgtgtagaat ttcagggggg ccacagatgt cttagagtcc ctttgtggac
85681 ttcaaataaa gagctcctgg attggatgat ccttgactgt ttctgaactc cagcatctag
85741 aacagtagct ctcaaacttt aaccgtgcat cacagctacc ttgtgcactt gttaaaccca
85801 ggttcctggc agtctctaat ttattccgcc tggggtgggg cctgagaatg tgcttgtctc
85861 gccagtctcc caggtgatgc tgatgggctg atccgggacg ggcacccctt cgggaaacgc
85921 tgcccaaaag tttcgtgttc ctgtgcagtt actggggcga atcagcctag tgaagtaggc
85981 acaatgaccg cggggttttg acaatctcaa gagcactcca tcttccggag atttctatca
86041 gaacaataca gtggcaaatt cacagaacag ttctgaacaa aagggtttat acttctctga
86101 gcccacactg tgttataaaa aggaaaaaaa gaaagaagga aaataaaaga aaggaaaccg
86161 cttttccttc tagaacactg ttttcaaaaa aattgttttt caaagcagct tccctttcct
86221 cttcccacca tcctgatgtg agcaaagcag agaggaaatg aggcccaggg aggggaagga
86281 acttggccac ggtggtgatt tccctgggac attcagactt tctgaaagaa gtgttcagag
86341 ggacttaaaa ggaggttgcc tgagacagat ttgctggaag aagggacagt ttggcatcag
86401 ctgtgggaca gaagtgagct cctttgctct ctctgggctt gccaaacttc ccccttagcc
86461 tgtgccgtag aactcagagc tggagaagga ctgttggagt ctccctgttg tgggcagaac
86521 tctcctttcg ggcagagWta cccatcccag gaagttcatt tctgactttc ttggctaaag
86581 agaactggcc ttagatcttc taatgcagga agcRagggac acagattgga aaagtggaag
86641 gatctcttct cttggcctct gcctcccaca gaggctgacc tgctgccctc cttgcctctt
86701 tYctgagctc cctggaggtg gccttggcca cagaggggag gtttctgtcc agcagtatgg
86761 gtactggagc cccttttctg caggtgtctc ttgttttata caatgtcttg gtctttgaat
86821 gctgtgaagg gaagaaccaa ccacatgtgt cctgatagac cgggtacgct cccagtgtca
86881 ggcgggggcc acactcaggt gctgggctgg aggaaaaggg agctgcttgc tcacccccct
86941 gccctggaca tgagtggctc accattataa accatcgggt gaagggagag tgaaaaagca
87001 atcatgaaag actaacatgg ccctgggcag ggcaaaaacc agcctggaσt tcactgtgca
87061 gccagcaaat gactcattta atggccatga ctgatcccac cccctcgagt gtcccactga
87121 atggccttaa agtcaaccaa aagcaaatta aagtacatta gtgacaggaa acagccctcc 87181 caaactctga aagacaacac tttaaaagaa acccaaatat atatcttcgt aagatccggc 87241 . cctacgttag tggaaatctg gaccttgtta atgaagcaag ccctgtgtcc ccttgatgtg 87301 agatgttgca gctgctgtga ggcttagagc tctgagggaa agcatcacat caagctgtgt 87361 tcccaaggtg tgccaaggac cccacccaca ccctgcagtc accagagggg attcctgaaa 87421 gtgcccagat ctcctgacag agaatcccta agggcaggcc tggaatctgc atttgtgatc 87481 agtctcctag gtggttctgc acactgacat ttgagaagtg ctgatccagg gcccagggga 87541 ggactcaggc ccatccctga tgagcatttg gaaatgttcg agaggggagg gatgcaggga 87601 tgctggattc agctggcgca gtctccccat ctttggttga gatgagcttg ctctttgtct 87661 ctccatccct ctgatcagca atcactgatt tctgaaacct ttccccatgc ttccoagttg 87721 gtcatagggg tttccaggaa ttcccactga atacgtaatt tttgcataag aaNttcaggg 87781 ccctcttaat catttctggg cctcgctgag ttttcttttt gctgcagaca tgggagtggt 87841 gagccggaac tgcacggagg atggctggtc ggaacccttc cctcattact ttgatgcctg 87901 tgggtttgat gaatatgaat ctgagactgg ggaccaggtg agtgtctgca ccctgctccc 87961 cagaggtggt gagggtaggg ctgaggaaat ttaggtcagt aggcagcatt catgagcacc 88021 tgctggggct gagaagcaac tgggatgctg cctactcctc cccacctgca cctggctact 88081 cttacaggat actggaatta atgccactgg gttaatgcca ggcccagcaa ggggcttcct 88141 ggacctttgt gtagtccaag gctgtgtctg ttctgattgg acagcgctct tgccttcaac 88201 agcatatatt gagcatctgc agaatgctga cagtgtgcaa aggggaccaa gaggcttggc 88261 caggggtggg aggtggtgga gatgatatca gcagaagaga ggaaggagga gctaggcctg 88321 gaggtgggca ggccctggcc tgggagactg ggtgcaggcc tgaggcagcc tggctgtggg 88381 caggtctcac atgaagtcct gcatgtcctg tgctctgctt caggattatt actacctgtc 88441 agtgaaggcc ctctacacgg ttggctacag cacatccctc gtcaccctca ccactgccat 88501 ggtcatcctt tgtcgcttcc ggtgagaccc tcagcaacat tcaagcaagc accagagctg 88561 gccagggcct cagaggcctt ggtgcatctc tcccctcccc ccttgatgtc agccctagaa 88621 gacccctttg aaggcatttc tcccacccca aggataacag atgggaaact tcactccaga 88681 gagggcaact gacttgtcca gggctatgca gccaggcaga gcσtgggcag gagatctgca 88741 ttccttgctt ttgtcttcct ggtctagaaa gacagaggcc acaggaggga gaagtctggc 88801 catgtggggt ggtggagctg ggttataggg gcctggaagt cagtgaggat ttagagaggt 88861 ggcaggaagg agggtggcct gggtgggaga cctgctgaga taaagccaca gagttggccc 88921 accacagatg cccacatgga gggtgtgaaa tgctgtgggg tccaaggctt ctttctcccc 88981 tggcccactc atgtaggaag ctgcactgca cacgcaactt catccacatg aacctgtttg 89041 tgtcgttcat gctgagggcg atctccgtct tcatcaaaga ctggattctg tatgcggagc 89101 aggacagcaa ccactgcttc atctccactg tgagtgagcc aagcagaccc attaggctct 89161 gccgggaagg tcccgcacca tccccttggt tccccaggac gcacatNacc tgcctgacac 89221 cctgcagatc aagtgtgtcc ctgcaggtga aggcattgcc ccaccccccc ggtttatgtg 89281 aaaactcacg aattaagtta ctagtagctg atgagccaat gtacgacatc acttccagcc 89341 aaaatgcttc ctgtctcttg gcctgggtgt tgcatttggc aaggcagaag aggaaggtca 89401 ggtgggaaca ccaagtccca cttgaatgaa gaggaaactg atgctgagag agggcttacc 89461 tagcccctgg tcatttaact agcctgggat ggagcccagg tgctgattgg ccaggggtct 89521 ttccagacac ctccccaggt ctcacacttc tggaggaggt agSatgtgga gaagctggtc 89581 tttgaggagg taggttagga agaagagtgt aaagtccagg gccttgacca ggaggacatg 89641 cttggggagc ctctatgagt agagatttct ggaagctagg aatatgtatc cccccacctg 89701 aaaggtgtcc aaatcctcat tataccaagg agcctcctgc agggtcctct ggctgcttct 89761 ctccctactc ctctcctctg tgggagatag ggaaggagca ggaaagtgaa ggaggatgag 89821 ctggtggtgg ggaggctctg tgtctgccac ccgtctttgt cctgtgtgtg cagttttgcc 89881 tccatgggca gctttgactc agaatcatgg gatgctgcaa ttttcaactc tttgatccag 89941 gaatattgac tctcttagat ccttgggatg tttgaacctg agcatgccag agccaacggg 90001 ccctaggatt ctcccttgct cctgttcctg ttgggctcac gcccctcacc ctggcgcttc 90061 tccctgcagg tggaatgtaa ggccgtcatg gttttcttcc actactgtgt tgtgtccaac 90121 tacttctggc tgttcatcga gggcctgtac ctcttcactc tgctggtgga gaccttcttc 90181 cctgaaagga gatacttcta ctggtacacc atcattggct ggggtaggtt cctggctgtg 90241 gcttggacag gttcaggtcc cgtggtcagg tgtgtccagg tgtgtctttg gttccatctt 90301 caggaagtgt caggtgagga ggggccactg ccctgcccga gtctaatggc ctaggctctg 90361 tcttggactc tttctcaatc ttcttgcctg tggaaagccc actatctcag ggaggagtta 90421 aatccaggag tcctctgaga gacaagacag cccttggtct gagggagata tagaccctca 90481 ggaggcctgg gtgtgaggga cagttagaat tcccaggaat tccaagtctc atgggggagc 90541 aatagcctct cggagcccca ggtctacggt ggacattgga catgttggtt ttcctgttct 90601 cacggacctc tttttcttgt tctcccaggg accccaactg tgtgtgtgac agtgtgggct 90661 acgctgagac tctactttga tgacacaggg ttagtacatg cgcgagagtc agggccacag 90721 cacagagtag attcttaσag atgggttctc agtagctgcc ctgacttcac atgaactgcc 90781 cgcaacaaac cattcaatgc caggcccaga ctaaagccca gcactgggca ccacctgagc 90841 catggcccca tgcaggtgac ccacccagct gcgtctcagc cagcaaccca gcaagagaat 90901 gtgctaggtg tctgagccct tgtctacttc tgtactcagc tgagtgtctg ttttgctttt 90961 agggagggga tgaagcatgt tgagggggag gtcacatcct aagagctgta ggtcttatgg 91021 ggaaaaatgg tcctttccca ggagctcact ggtgatactg acttttgggc ttcatgccct 91081 gccttgatag gtgagcagag ggaaagatag aggctcagaa ggaggggatt ttcagagcca 91141 ggaccaggct ggagtctgta gcccgctgga gagctcttgt tccagccagc ccctcctcag 91201 agagctgcgg tggtgaaagt gtcgggcacc cagctaggca gggcagtgtc ccgcaggctt 91261 ctatgctgcc gactcacaga cgtgatcttg cttctctctg tccatctttc agctgctggg 91321 atatgaatga cagcacagct ctgtggtggg tgatcaaagg ccctgtggtt ggctctatca 91381 tggtgagtgt ccttgggatg aagaggaagg gaagagacag ggtcttgggc agaaaggcac 91441 gcgaggaaga gaaatgaaag agtccccaca caacctgact tcctcctctg tcatggctgc 91501 attataatct gtaacaggga tgcacaaact ctttagctat tcccctaaca ctggagattt 91561 atattgtccc attttttcct tattacaaaa aatagaaata gttttgtgca taattttgag 91621 catgtggaaa tatttcttta gaataaatoc ttagaagtgg aattgctggg ttgaaagggg 91681 tacacattta aaatttcaga tcccaaattg ctttgcaaaa accctttaac aatttattcc 91741 tcctcaggaa gagtgattca tttccccatt tcattgtcta cgcttaatca ataatttaat 91801 tttttgcaca ggcttctgga ggataatgct ggcttataat tttaatgtac atttctccat 91861 ctcgctagcg taactgagca cttgtttcca aacattaatt gacaatttgt ttttatcgtg 91921 aatattcctg tttatttctc ttgttcagtt ttctatcaga ttttattagt tacagtttaa 91981 aggatagtta acacttccga tgttgtgtat gttgcaagta tatttccatt tctgcatagc 92041 atttatacag tcaaatggtc aagatttccc ttagtgaatt ccaagcctta tttctggttg 92101 atggaggcct ttcccaaccc aagacataaa aatattgttc ttgtttgtaa cacttttgtg 92161 gatgtaaaac aaagtctaca ctttttgtgg actattacat gtgcatcttc aatccagctg 92221 aaattttatt gttttgtctg gtctgaaatg atattcaatt ttatctaatt ttcaatggat 92281 ggacattcta ccctctcaat cctttttatt gaatcctttc tccattatgt tgaaatgtca 92341 ttttattata aacactcaat atactggtct ttggttccag actttctatt ctgtgttact 92401 aatgtatttg tccattccca tggcagatgc accattatgc tagttactgt aaccttgtag 92461 catgttctgg tatgcagatt ttcccttcat tattcttttg ttttcttcag attttccttg 92521 cacgtttact gtttctggtg tacttttgaa tatccttgtc aagttgcacc aaaaatgtct 92581 agttaagatt tgtgtaggaa ttgcattgcg tttacagact aatttggaRg agaatttatt 92641 ttcttaaaag attgagtcat cctctccaag aatgtggcat gattctccat gtattcagtc 92701 tttcttatag agtcattttg gttaagtttt ttagttttct tccttgttct tgttatgttt 92761 acctctaagg tgttttccag tttgggcttt aagtgagtct aggaatcatt ctttcattgt 92821 attttctaat gggctattgc tggtgtacag gaaagctatt gttttttatg tattgtgtcc 92881 tttcttagtt gtgtttctga attctcttat tggtttttat cccttttcac ttggttctca 92941 tggattttct aggtggaaaa ttatataatc ttcaaatgaa aataaatttt gctctttctt 93001 tccagtgttt acatctcttg gcccttgttt tgtagggatg atgtttgctc tagttttggc 93061 agttaccctt cattgaattg ggaaagtttt tcatcttggc ttgtttcagt tttttttttt 93121 tttttttaat caggaatggg tattgaattg tatcaaatgt gttttggagg cattcattca 93181 agtaatgatt tatttagtca tggctattta tagtattcca cttttccttc attatgagca 93241 gtgccRcaat gaatatattt gtgcatatct tgagcatacg tgaatacgtc cttagaataa 93301 atctcaagag tggaatttct gggacgaagg gtatgtacat ttaacatttt catgcagatc 93361 agattgctct caatgagcaa ggtacaagag cRctcatttc ccatgtcttt gttgatgttt 93421 ctgttgctga attatacttg ctggtcttat ggaggataat ggaagcttgt tttaatctgt 93481 tattgtaaca aatattagat ttttgggggt gcatttctgg gataaaacct ttattaacat 93541 gatctgttta ttcttttact gtattgctaa attttgtttt ttaatatttt gtttaaagtt 93601 tttggcattg ttcataaaat tctatggtct taggtacacg tgtgtgtgta tctgtgtgtt 93661 ttctctcctt attctgtttt tgtagcaaaa ttttgttagc ctcataggta atcctgaagg 93721 ttttcttttt tttatttgcc ttgaaacaat tMagcagtat gtaaattaca tctttgttaa 93781 tgttattctg gaactggtct ataaaattat ctggacctgg taccttttaa tgcatacacc 93841 tttaactact ttttaacttc ttctgaggtt attgctctac ttagattttc tatttcttct 93901 tacgttgatt ttgttgatat ttattttccc atcttattca attttctctc atcatttaaa 93961 atattgtgta tgtctattgt cttgccatct ttctcattcc
[0339] Following is a genomic nucleotide sequence of a ERBB4 region (SEQ ID NO: 4).
ERBB4 REGION GENOMIC >2:212847801-212946950
1 gtgagtttca gttgacctgg aaagcctctt cttataaata gagtgtcaaa ggccttctat
61 ggtgtgggtc aggtgcaagt ccttactttc tcaaaacagc attaaaaagg cagctgagct
121 gccacttgat cttagtgcat tcttttttaa acacatttta gattctgtta gttctctttg
181 ctaatatttt attcagaaaa attgcatctg aattcataag tgatcttaag ttcttttgtt
241 ttttNtttta ttaaaacagg tccataaaaa tctgttttat cggtatttta gaaaaatgat
301 cttttggatt catacagatt caatgtatcc tttccatgtc tgatgttttt catatattcc
361 catttccata atttagggtt ttatttaaaa atatcttttg aaaacagtgt gatttcattc
421 tgtgtataca tttatgcaaa gttagatgta ttgtatgtct aatgcacaca aactgaagct
481 gtactaaaat acatcgaggg taaattttct tgctactttt ttatttctta ttttttgctt
541 tactacacaa taccttagaa aggcacatct attttaccta aatattttca tatagaagga
601 gtaacacaag ttggtaatgt aatagaKgag gtttaattgt actctatctc gagaattcta 651 tttcaagaaa gctagttata tgtaatacaa agtgcaatat taattaggag tgggtcatta
721 ctatgatatg taaaagtcac tgaaaaaaaa gtttaaaaca tggacagaat gaatgcaggc
781 agaacatctg gttaaaσaag taattagtcc tggaattatg ttcatgatta tagtggtatc
841 tatgaatttg ccaattcccc ctctcccact tcagttgtta gttggtattt ggttctagaa
901 agcaactaag aatgagtgat gtacctggcg taatcaaaga aaaaggttgt agggactgga
961 gcagctgagg attgttcttc tcagtgtctt gatgagctaa acctatgaga gacaaccttc
1021 tagttactaa aacacactta aaatgtagaa acatagttaa atgtcaatga atatataatg
1081 aaaatgtaac tgtcacatat tttaaaaata cttctgtcct catatggtca attcatataa
1141 aaattataat tgcaaggtcc tttattcttt tgtcataaga aatcaccctt ggattgacac
1201 attaactcat ttattgctcg taatagccct atgaagttga taataataac agctcctggg
1261 caaaaaaaaa gaaaaaccta tgtgtaatct ttcaggcagg agcacagaca attactttac
1321 ctggcaggcc tcctggggct tcaaagctgt cctcccacgc cagacttggt gcccagtcaa
1381 tgcactgcag tctctaaggg ggttgcagta agacactcag ggtttgctga ccagccatgt
1441 ctcatatatg tctcccatcc tggcccaggt acgctattca tagacctctt tattaaggtc
1501 ttttgacagc ggttttcctt aggtgctttc actaaaatct ccKtaagggg aggaRgtaag
1561 ggggcctgga agacaccttt tctccactct gactccatac ttagtacttt tcactcaggc
1621 cttcccaccc ctctctcctt caagcttcca ggttcataaa actttcagaa ccattttttt
1681 tgccactccc tcctcagtga aacaattccc catgtctgca ctcatccatc tgaccctcag
1741 ctggcactgt tctatggaag aaacatgaga ctgtgaagtt gatgcttttt ctggtttagc
1801 ctttggaata aactattgca gtaagtgatt aaaagcttga ctgttatcct catttttgct
1861 tgtctgaatt gaccactgtc acctagcagc ttagctgtca gctcagctca gctcagctca
1921 gctcttgaca ctctctgtct tttataggta aggagataga gtgactgagg gcatagatga
1981 cttgcttaag gtcaaattgc tggtaagcag cagtgccatg atgtaaataa gttgccctct
2041 aaaatttaag caaataggaa tatacaagaa cattaatatg gaaaaataga gaaacaatga
2101 tttctcatca gagaagatgg tgtagttcag agaatggatt cgggagccaa actgtgtggt
2161 attatttctg agggctctgt tctgttccat tggtctatat ctctgttttg gtaccagtac
2221 catgctgttt gggttactgt agccttgtag tacagtttga agtcaggtag catgatgcct
2281 acagctttgt tcttttggct taggattgac ttggcgatac gggctctttt ttggttccat
2341 atgaacttta aagtagtttt ttccaattct gtgaagaaag tcattggtag cttgatgggg
2401 atggcactga atctataaat taccttgggc agtatggcca ttttcatgat actgatcctt
2461 cctatccatg agcgtggaat gttcttccat ttgtgtccta ttttatttca ttgagcagtg
2521 gtttgtagtt ctgcttgaag aggtccttca catcccttgt aagttggatt cctaggtatt
2581 ttattctctt tgaagcaatt gtgaatggga gttcaccatg atttggctct ctgtttgtct
2641 gttattgatg tataagaatg cttgtgattt ttgcacattg attttgtatc ctgagacttt
2701 gctgaagttg cttatcagct taagaagatt ttgggctgag acaatggggt tttctaaata
2761 tataatcatg tcatctgcaa acgggacaat tagacttcct cttttcctaa ttgaataccc
2821 tttatttctt tctcctgcct gatggccctg gccagaactt ccaacactgt attgaatagg
2881 agtggtgaga gagggcatcc ctgtcttgtg ccagttttca aagcgaatgc ttccagtttt
2941 tggccattca gtatgatatt ggctgtgggt ttgtcataaa tagctcttat tattttgaga
3001 tacgtcccat cagtacctaa tttattgaga gtttttagta tgaagggctg ttgaattttg
3061 tcaaaggcct tttctgaatc tattgagata atcacgtggt ttttatcttt ggttctgttt
3121 atatgctgga ttacgtttat tgatttgcgt atgttgaacc acσcttgcat cccagggatg
3181 aagcccactt gatcatggtg gataagcttt ttgatgtgct gttagattcg gtttgccagt
3241 attttattga ggatttttgc atcaatgttc accagggata ttggtctaaa attctctttt
3301 ttttgttgtt tctctgccag gctttggtat caggatgatg ctggcctcat aaaatgagtt
3361 agggaggatt ccctcttttt ctcttgattg gaatagtttc agaaggaatg gtaccagctc
3421 ctccttgtac ctctggtaga attagactgt gaatccatct ggtcctggac tttttσattg
3481 gtaggctatt aattattgcc tcaatttcag agcctgttat tggtctattc ggggattcaa
3541 cttcttcctg atttattcat aattacagtt aaaaaaagag aacataatat ttaccatctt
3601 aaccactttt aagtgtatgt ttagtaatgt taagtatatt cacattgttt tccaacagat
3661 ctccagaact ttttcaacct tgagcaattg caacttgact cgttaaagag caattggaca
3721 tttagccttc cttccaacac ctggctacca ccattctaca ttctgttttc tttgagtttg
3781 acagttgagt tacttcatgt aagtgaaatc atacagtatt tatgtttttg tgactggctt
3841 atttccttta gcatagtgtc ctcaagattt attcatgttg tagcatgtga ccagatctcc
3901 ttcctttttc aagctggata atatttcatc attgtatgta tatactgcat tttgtttatt
3961 caatcatcca tatatgacat ttgggttgct tccacctctc agttattatg aataatgctg
4021 ctatgagcat agatatgcaa atatctcatt gagaacctgc atttaattcc tttggatata
4081 tatccagaag tgggattgct gtgtcatatg ataattctat ttttaatttt tgagaaacca
4141 ccagactatt ttccatagtg gtcacaccat tttacaatcc caccaagaag gattccaatt
4201 tcttcacctc ctcacatttg ttattttctt ttttatattt taatattaga catcctaata
4261 agtgggagac aatatcttat tgtggttttg atatgatttt ggggttggtt tttctctaat
4321 gattagtaat gttgagcatc tttttatatg cttgttggcc ctttgtgtac catcttgtag
4381 aaatgtctaY acaaatcttt tgctcacttt ttcattggat tatttgcttc atgttattga
4441 gttgcaggtt ctacatatat tctggatatt aattccctat cagatacatg atttacaaat
4501 atttttccct ttctataggt tacctttcat tctgttgatt gtaccttttg atgcacagcc 4561 tttttttttt tttttttttt attttttgag acggagtctc actctgtccc caggctggag 4621 tgcagtggtg ccatctcggc tcactgcaag coccgcctcc tgggttcacg ccattctoca 4681 gcctcagσct cccgagtagc tgggactaca ggtgcctgcc accacgcccg gctaattttt 4741 tgtattttta gtagaggcgg ggtttcaccg tgttagccag gatggtctcg ctctcctgat 4801 cgcgtgatcc gcccacctca gtcttccaaa gtgotgggat tacaggcgtg agccaccgcc 4861 cccagccgca cagacgtttt taagtttaat atcgtcccat ttgKctattt tagcttttgc 4921 tgttggtgtt tttggtgtta tatccacgaa tttattgctc aacctagggt cataaagctt 4981 tccccctata ttttctgcca agacttttat agttttaagt cttatgctta ggtctgtaat 5041 tcgcttttga gttaattttt gaacatggca tatgatgagg cccaagttca atcttttgca 5101 catggatatc cagttttccc aacaccattt gttgaagaga cttcccttta aaatatatta 5161 tttatgccta tcactgcttg aaaatgatat tagatattaa tcctactgct aatattttta 5221 atttaatgta tgaataagca tattactata ttaggtatct gtttcttaag cattttgata 5281 aatgtatctc aacctaactt attttccttg taatccattg taattcattt tatgtattta 5341 ttgattgcta tgcattcatg aattaaagta tttgttttgt gctcattttt tcttctaaaa 5401 atattatgag aagaggtcaa tgggcttcac caggatgcta cagtgtccat tgcctcaaaa 5461 aatattaaaa attcagagtt tgttttagta atttagacag atgaagtctt gaactagggc 5521 aatcataata ataaatatgt aaaatcaaga aatgggcaaa gatcaggatg actcggtgat 5581 taactcccaa gagccaagtg aaagtaaaga taataatgac cccccaaatt tttaacttgg 5641 ttgagtgatt ggttggtggt atgtagttct agggagtcat caacctagag gttgcattta 5701 aaaccctgag agtgtctgag attaccYctg gggagaagac agagaaataa attgactaaa 5761 gataaaacca taatagtcaa aaaacagtca attcattatt aatagctatg gtgtcatgca 5821 gtacatataa tgtgtcagca aataaaacta ctatgtaaat aataaaactt tggcaatcaa 5881 ttggtagtta atttgtaaaa gaccattggt tatgactcta ctctgcattt ataatttttg 5941 cacctgcaat tatttacatg aaaaaaacaa tacagccaca gttgcctaat tataggcaca 6001 accatccaaa tttgtcttca aaaagaatag cacaaagaga caccatctgt gaaagtgcag 6061 caaacccctc agacctttcc tgctccaaat tctgtaaggc tggtgggcac acttcccttt 6121 tggcttctgt ctcaggctct attcttgcac gatcttattc atgccttaca gaccagtcag 6181 tctgataagc tgagagtcag caggtctttc cttttaccca accaatatcc acacctcccc 6241 accactaccc tgccaatata atatgtgcaa tagcatgggc agactgaaaa cagaaggcat 6301 ttctgaaaca catcatttgt cttgttaatg tgaaaagatt ccatttttct cacatgtaat 6361 tttacaaagt aggcaacatg aatgccataa agggaaaatc ccatacaaat ttctgttcaa 6421 aggtgacaag aaaattatgt tactctactt tttacataaa gttttagcca tttattaaaa 6481 acacagctgt cagttttgat caaatacatt catatttccc attatattat tagggccatg 6541 atgaaattta ataattgtcc cttggagttt gatttttcac aaaaatgtca taacacaatc 6601 agtaatatag caaataatta ttgaactatg ttgagacagt tatgatttca ggtgggaaat 6661 atataataga tgagaaatat aaaacccagg ttaacacttg atgaaaattc tgttttcata 6721 caaatgtcag taataataaa tgtggggatc acatagcctg ctttatgaaa atgaaacaga 6781 taccagacag aataattttc aaaggtttaa atcatggttc aaatattact tgcttattat 6841 taaatcatat taaacacttt aaatctgata aattctttgt ggtagaaaga atacacattt 6901 taagaatgag aaattcagta gtttattcga ctaatgacta aaatcagact gtaacatgtt 6961 tcttctatat gaaatctata tttctccatt ccataagtgt ttgaaattat cataaagtat 7021 gaccacgaag gcttcagggg caaatgaagg cttaagaatt ctcaatgttc actagttttt 7081 acttttttat tgaaaaaatt atagtgaata ggaaggtaca tttttgttct actacctttg 7141 tctcaatggg atatgggtca cagagacttg aagcaatagt tagataccag ccttaagttt 7201 gtggatagtg gaacacacat ttgtacattg gaagtatgat aaagtaattt aaattaagca 7261 aagaggaaca tgttaacaaa atgagaattt gtgaagagga aacatgattt ccaaaagaga 7321 attagctaga agtaaaaggt tgatcagcca tttgttctgc catatataac tgaacatttc 7381 aatgaatgca atcaaagttc aaaatattag taatgacata ataagcataa ctcattcatc 7441 gccacatagg gtagaacatt ttgagaaatt aaaaagaata attctactta catcctgaac 7501 taccatttgt tgacacaaga gtcaagttgg aaggccatgg gttccgaaca atatcttgcc 7561 aatgaatggt gtctgcataa caaaggaatt tgttctggtc tacatagact ccaccattta 7621 ggatttctgt attaaaaaac aaataaacaa attttttgtc aaactgcttg ttgatgaaaa 7681 ggtaatcaac aaaagtgatt tgctcttaac tattttcaat gttaaattag agtcatgttg 7741 ctaatagcca agatatcttt taaaatatct ttcaatgaat catatacatt gattacagga 7801 atttgaaaag attaaaaatt acaaaagtga aaaacaacca ctcatattct acactctgag 7861 agtaacactc ctaacatttt ggtataaatg ttacagtctt ttatctgttt tcttccctgg 7921 aattgaaata atattttata taatatttta taacctgctt gtttagttta atattatgta 7981 gtgagtactt aatggtaatt actactctgt attttaatga gaacaggata tgtcatagta 8041 taaattaaat ggtaattatt taaccaatcc tctcttgttg gtaatttaac ttatttatct 8101 ctcattggtc tttacaacaa atttccacac atgacattcc aaggtcatag agtgtggata 8161 gttttaagat atttggtatc aattgtcata ttatccttag agagattgtt tcagtcaagg 8221 tgacattgac tgcagtcagt aggtaagtaa ttagcacaaa gtggaagcta aaattaatgc 8281 ctcaatcaca aaaatgttgt catctcaaat gaaatcgata agattgccaa ttattcttaa 8341 caacacaaag caatgtataa caaatcctgt ggttcactga agtaaggata cggctgtggg 8401 ataacatgca ctaaagccaa tttgtacttg attctttatt tcacaacact ggccttgatt 8461 agctaatttg tcctccacaa acaatgactg accacagaaa tgaattctct ttcggatagc
8521 tttaagttat ccaggaaaat aaaaactgaa atatatcctc tgaaaatatt attcttatta
8581 tttgaagaaa ttagctacaa atacacatag caccttccag cccaatatgt accacatttc
8641 cccttcctgt tcaatacaaa agcaatttaa gagaaatcat gcatcagtcc ataaagtgtt
8701 caactacaat taatcaaaac ccaatcaaca gtttatagag ataggggatt tcttttttca
8761 cataagaaac ctataggagg cagttgcaga tattagttca gctgttccgc agtgcccact
8821 atctgttctg ccatcctcag tgtgtcagtt ttattcattt caggcacaag atggctgcta
8881 catctaaaaa ctaaactgca gtccttctga attgcaggca ggatgaagtc acaagagcaa
8941 gcaagagact tcctcctagt gaagctgtga ctttttattt gagaagaaat gctctccttg
9001 aggattatgt ctgcatttaa ctggccagaa caatatccca tggttatctc taccgcaaga
9061 gagattgaat aagtaactat tgaggtggaa atattgctac tgggacaaaa cccagaccag
9121 caggggtgtt agtgaggaag aagagggaca tggatattgg gaaggcaacc gacaccatct
9181 cccacggtag ccttgagaaa ttcatctcto ttgtgtggaa ccccaagcta agtttgtagg
9241 agtcatcttc aactgaagag agataaatga aaggaacgtg tcacaccaca agagggttat
9301 ttgtggactg gtggtcacat cccaagtgcc ttactgcatt gcatgtacga aaccctccag
9361 attagttttg atattgtagt tctttctaca tttaaaatca ctcccatttt catcatcagt
9421 catttcactg actattggtt ccattttgtc ggtgaggaaa aaaaaagaaa agaaattaga
9481 tcatctttct acttctaaaa cccagttcat tattttttat gacctaacca tacaaccttc
9541 atcaaagcag aagggagacg taagacgtaa gaaagattgt gaaatggatt tctacattaa
9601 tgtttggcat taagttttta tctacgaaat gtgatgatct catactaata gctttctcat
9661 gagacattag gtgatgctct tctgctctag gaataatttt ccattaggtg acaaagaaag
9721 gagattttga ctgctatcca ggaaataaag gttatttttc agtctacatt tagaaaagtt
9781 ctacttaaaa aaaaaagtga aaaggtaata gctcaaacat tgcagaaaga gtgtatattt
9841 ttcaggagtc acattgtatt tcaaatagtt catacaaagg aacacagtat ccatctccaa
9901 cttcctatct aaaatttttc aaatagaatc agattatatt atactgaata atagtcttat
9961 caaatccctt tcttcaacag tattaatctg ctatgaatgt tgacatttgt ttcttagaaa
10021 tagtctgttc gagagcttgg cttatacttg gaaaagggat ttagaaagga gacaataata
10081 aatccagcat aatcttacac gttaacattt caaattaaga cacatgatca atccagatga
10141 tacttttatc attcctaatt caaaactcag catctgctag caattctggt caggaggatt
10201 tataaatgtt tagcaattaa tgatgggtag tttatttatg tattgtttgt tttccttgaa
10261 aatattcttt tttcctttat gtttggtata caccctattc tgctgttgaa tgtcaaagcc
10321 tcacagtcag agaatgtaga atttcattga cacttatagg acagttttaa tgtacagtct
10381 tacactttct tttgattaat ttgattacct aaatatgtgt cagaaagtaa tgttataatg
10441 gcatttacat atattcttaa agttttcatt gattttgtaa ctttacattt ttaaaatatg
10501 aatttgacat atttttgtga gaaaatatac tcaggtatgt ttattactgt attaaaaaaa
10561 ttctagagaa tagatactaa cctgtaagaa agttcttaga gatacaaatt atttacttgt
10621 tagaagKact gcctaatgtt tctgtcttgg ttgactacag aggcttgacc gcatttttta
10681 gataagaaag agggacaagg attaggaaaa gagaaaagtt tgtttagatg tttatctaat
10741 aagagtacaa aaatgtctgg ctatatttag atcttgtggt gacacacaag aataacaaag
10801 ttttccacaa gttttatcaa agattttaca aaggaatcac ctgtgttaYa ccaaccaaca
10861 gtttcccccc actaacatga aataaagtaa caaataaatg ttaagaaaga taggcaaagg
10921 aggcacacat ttaattgata ctcaaagaaa gatgcaaagt gtctggatga gtgcagaagc
10981 taaaaaaaaa atgttgaatg cgtgaatgag ttcaaagtat ctcatttcat tttattttac
11041 ttccactgca gaaaattatc agagtaaatt gagagagaca cagatagatt cttggtcatt
11101 gaatcaattg atagaaaaaa gctgctatga gttttcttat catattatac acaaatattt
11161 ctggcaagtt cacaaaacag aactgtctct ttttaataaa tgtcatggtt aaatagagta
11221 agatatatta gacatgacat cgatgaaaaa agtatcattt cattgctgaa aatttccagt
11281 aaacacttaa atatgtttgt gtctcaaacg tttccgacta gattaatgca tgcaagttga
11341 gtaaaagatg tcacgaatct ttttttattt agagtaaatt gtaatctaca ctattttcca
11401 atatcttgaa tttaacttat atatagcata gtatttgtag ctgagatata attagactaa
11461 gccccatgaa ggtaagaaat gtttttcagt gctgtatcta tagcatcaaa cctagagcaa
11521 cagtcactcc atgaataatt gttagattta attgtgtatg gaaaaaaagt accatggaat
11581 ttgcaatcaa tatttataag gtaacttcta ttgtagttcc taattttaaa ttatattctg
11641 accaaatcaa agtaagaatg aaagttatcg tttcccataa acactctaca ggttatcttg
11701 actggtccta tgtttcataa agtatgaagc tgttactgtt ttgttcaaaa ccatatctcc
11761 agtttcaRta ttatgcaagg ctcaaggtga tacacaataa atatttgatt aattgaaata
11821 tctatacaga atatcttgaa tttaagaaaa tatatatata taattctgtg gttagagaaa
11881 gccgaaagga aaatagcatt tattatataa aacgcatata actgataata tacaatatta
11941 ctgcagacaa tacatttgat atttataagg catttttact ccctaaccta ttttgtacac
12001 aaaactcaat tattagttac caggtaaata atgacgatct ttagctatcc catacagacc
12061 aaatttctct aagcctgtgc aaatcacctt gcatatgcta cagagaagcc taaattttct
12121 tgtattgaac tgtaagtcta cctcacattg tccttacatt tttcagaaag gtataaactg
12181 ccaatatgac atttgaaaaa ggacagaaag tatttgtatc tttgtcattc actccacaaa
12241 ggttaaccat tggaccatgt ctttccttga tttccatttt catgagtcta ataaataagg
12301 aaatgtttgt gttatttaaa taacttcttt tgtattcttc atttcttgtc aaatgctagt 12361 tactgcagtg aatttgggga tgagtgccca ttaacagaat cattgacatt ttgcaaatat 12421 attatctcca aaactatggt aaaatactga ataatagctt tttttctctg ccctgtatga 12481 aatgacctaa ttgtgatgta acatccctgc tgaaaataca gattaatatg acccctttac 12541 taggtttaag aaatttacaa aattgcatgg accccatgca caatttgtaa ccattttgtg 12601 aataagattg aatatctttc tctttttcca aaataaagat tataatttta aatgcagtta 12661 cactatattt cactttagtc tatatgatcg atattatcag tgaacatttt aattctactc 12721 aaaatctacc aaccatatga tataagaagg atctaataaa caggaatgaa atatttaacc 12781 tctatccctg attgtatatc taagtatttt gttttgcagg ggtgcatcta caggtcaacc 12841 ttagaattaa aatgataatt aaaataataa agattagaaa tattgcactt atctaatcac 12901 aataggcgca tttaaataat gcatatgtca gacttatact atctatctaa gtcaaagggc 12961 agaatcaaga atcaaaatcc aaggcagcaa aacccatttt caagatgaag ccacagaaag 13021 cagttacaag actttctcRg acataaagca atgtatcttt ctcactgtca tcaccttaag 13081 ccacacaagt ctgttggcag ataatgatac aaaagtaata tagctcacat catccaccta 13141 tgatacttaa tacatgatct ctggaatgga cttggtccag agattcctgt atctttccca 13201 aacccagacc tttcagctgg gagcacaatg aattgctgct accccactgg gtcagccctc 13261 aaggttcatt attaataagc tgagactcaa aaggctaatg agaaccgggt gcttgaggag 13321 acaatggctc attcatcatc aatcaagctt tgaagttttt atacagatga tttaaggaga 13381 gttgaagtgt gcaaaattga aatgtcacgt ttgtattggg agcgggtaga gggtgataat 13441 gtaaatgagt gacgtaacct tctatatttc agctcgatga tcagagtcaa aagctcatgg 13501 atgcagatac caaatgtttt tccatcagag tatagcaatt tcaagatgaa attattagat 13561 ccactggctg aaaatcagct taagatagaa aataatatct tgatttcaat tgaatgaagc 13621 tcagtaatgc ttgttgcaat gttctaactt attaatacat acttcagtat ccactacaat 13681 tcttagcttt cattatgttt caggtttgag ttctagctcc tctgagaggt ttgctatgac 13741 cacctagttc ttagagttcc cccttcctct aactcctgta acactgatta cccgagccac 13801 ttatctgaca tagagcaaat gctaccttac cttcttatat attcttttgt gtatttgcct 13861 tgtctcccct atcttattgg aggtccctca aggattagaa ctatgatgta cacctctttg 13921 tgtccctagt gccaaagaaa gtgtcaagca catagtagaa tttcaaatgt ttttgatgat 13981 tatgataatg ataacatcca tagaacatga ccaacttttg taaaaaatta cttgcttagt 14041 gatagcataa tgttagtgat atgcactaga tatttacatt gtaaatccca taaaatattg 14101 aatacattta ttttgatctt aatatattct ttctgtccta atattaagaa agtagtaatc 14161 cacttaaact cattgatatt ccccggaaaa aattaaaact atattttatc ttgtaacagt 14221 actcaaatta tgaacatagg atttccttct caaattgtct tattatataa tcccatacgt 14281 gtgtcaacgt ctaacttttt tctaataatt ttcccgagat ttgtattctc cctgtgtttt 14341 cttatttctg ttaaaatcaa cataaatgct gtaaaagtca catagactca aagtttgaaa 14401 tttattacta tttcctttat ttctatattt aaccatttat ggtgctctac agaaaatttc 14461 tcatagtgtc tctttttata tccacaactg ctacttaatt caggttctat catctcatac 14521 cagatttaac ttcttgcctg taatctattc tccccacaaa tccatcttgc atattaaagt 14581 cataatatat gctatattat aaagagatag ataatatact ctaggtaggt ggagagagac 14641 aggtggtagg ggagagaaat cctgctctat cacggctttg aattgtaaag gcaataatac 14701 tgaatctagt tgactggata aaataaagct cataatctag ttttgtttca acaaagcaaa 14761 ggtgggcctt gtccaccttt atgaagctga gtttgctcaa ttctgtgatg ggtttattgt 14821 actcacggta tctgtcgcat agttgcttct attataattt taaattgcta attatttaaa 14881 tagtggttac ttcttggtat gagcaaggaa tatgcttctt ttgagtattc atactaacat 14941 tgctttaatc agtattagat taggttgtag tttaaagagt atagacattt ttttcttcta 15001 tataaaaatc tggctaggtt atttaaggct attatataaa aatccacaat catcagggag 15061 ccccattcta ttttgttctt gtttctctac catcttcaat acaagaggag tttccaactg 15121 gcaaaaacca tgcaaaagac ggagaaaatc atgaaggaca aaagaacaga ggaagagtac 15181 atgtatttta atgaaaattc ctgcaaattg ccacagcaca attatacttg tatctcgttg 15241 gtcagaatga agtcaacgag ccacagctag gtgcatggaa ggaagggaat taaagtattc 15301 attctgggtg atcatatgag tagctaaact ttatatacta tttaaaattt agaaagtggt 15361 aatagatatt ggtgacaact agcagtctct gttatagtga ctcaaaagaa acctcgcatc 15421 ttctggatat ttataaaaca taaatcttgt gacttgaaca aatgtaaagc tttttaagaa 15481 actttttaat tgaattataa tatacacaca tagatgtgca ttatcatatt caattaactt 15541 ttacaaactg aacacactta tgtaaccagc actcagatca agagcttgag ccataccaac 15601 accacagcag ccttcctcat actttccacc tcatgtcact ctatcagaac cctgatcctg 15661 actttgagca agataatgtg tgcttatttt tgtattttac gtatatagaa tcataccata 15721 cgtattctct tgtgtctggc tccttttgct cgatattatg tttgtgaaat tcatctatat 15781 tgtttatttt cattgttgtg tggtattcca tggtttgtca attctgcatt gatgggcatt 15841 tggatacttt ccacacttgg gctattataa ataactgctg ctatgcactt cctagaaaat 15901 gcctttagat gattatatgt acacatttat gttgcgtgta tacctagaag tagtactgct 15961 gggtcatagt gataatcact ttttatttaa ccaatttaac ttatttatat gcccattagt 16021 agtatatgag aaatctagtt gcttcttgac cttgtcaagt cttgattatt agttggtttt 16081 .gttgtatttc attgtagtca ctcttattgg tgtatagtgg tattatttta atttgcactt 16141 ccctagtgac tactgaagtt gaccttctta aatactatct ttaaagagta atttttaaag 16201 gcaagagatt tatttctgtt tactccaaga aaggtcttac tatgtgtaaa acatttacaa 16261 agcactgtta aaaacctgat ctttaagtta ttggcaaaca atttagtaaa ataatttatc 16321 aggtgtaacc ctcataactt atttttgttg ttattgttaa gagatctggt tcaatgtttt 16381 gaaaatgaca ctttaaaatg tcttagaaaa aattaaaact acattaataa ttataaagag 16441 taaaatacga tttctggaag acggatggga aaattcacag taggtgatta tctctctgat 16501 aacagacaaa cacaaccaaa ggtatataaa aaggatgaga aatttaatgt cttcttgcta 16561 ttaaaataga acactctttt acataaagct cacatatttt tattcctata tccaccagaa 16621 agccctcatt acagacaaca atcctcttaa ataactgttc caagtttcca gaaaatgtaa 16681 ttgcttcagt agaacaaatc agtagagttc aatgttttca ttaccaataa ggggacggtc 16741 atattagtac tcagaaatga tttgtccctt ttatttacag gatttaatac. aataagcctg 16801 gggatatact gcaaggtcac tttcaaatat ctcacccact atattagttt gtatagtttt 16861 aataactctt ctcacaatgt gtgatttcta cactatttct tttttagaat acttcaaaaa 16921 agtatgattt ttcttgatga cagtaataat aaataatatt gctatgtatg tttgttgctg 16981 gcatgttaag acttgcaaat aaaagataaa gcaagagaaa gaataatgat ttactcttgt 17041 aagatgatta tatgattttc aaatatgtca agatttttaa aaggctatat ttgtgaatat 17101 taaaaatata aataagtgat ttgggggcta gaagtctcag ctaaaatgcc tagaatgtta 17161 attttaaaaa taacacataa agacaacact ttacaaaata agaaattaaa gaaggagtca 17221 taaaataaga ttgcaagcaa gccatactgg aagattattt taaaagccac aacacgaagg 17281 tccaaattaa ttttctttta aaatgaagtt taaatctgga gaaaatcagg aaggaataat 17341 tgaataacag taatcatcat tttataaagc actggttgtc aaaatacaaa atatcaggta 17401 ctgtggcaaa atagaaagaa atggcttttt agattgcttt gtatacagtt tcaaattagt 17461 atacattaac tacagtaaaa tggacaaatt ttaagctcta tgttttacat atacatgtat 17521 acaatatttg tacatctgta tcaagcagcc gccacccaga taaagacaca gcatatctct 17581 atcactccag aaaattttcc ctgcttcatt ccagtcaata ctgcatagaa gtcagcatag 17641 aaagtcagcc actatgctga cttctaccac aacaaattag ttttgcctct ttattaaatt 17701 catagaaata gaatcacaca atatgtatct tattcctttt tcttatcttc tttccctgaa 17761 aataatgttt ttgagattta tttatgctgt tgctttaatt cataggctgt tcatttttat 17821 tgttccgtat tattccagtc tgtgaatata ccacaatttg tttatacatt agttcacttt 17881 ttaaccatag atttggcact tttactaggt ggttgcaggc aaattacttc acgtttcttt 17941 tctaccatct acaaaattgg aataataatc tttactttgt tgggttacaa tgagaaatac 18001 agataatata tacaaaactc cagttacata ctaggtgttc aaaaggtact agctatttca 18061 aaataagtta ataatatagt tcaggagctt tgtctaaact attttaaaac ctatgtacat 18121 tggtcaaagt acaggttttg ggggagaaat gatgaccaaa tgaaaacctt tgagagatac 18181 atgaaatccc cattaagttt ggtgcctagc ataacaattt tagagataga tatattgagc 18241 taaaatatta ttaaatgtct tactaaagtt agttaattaa aaaattgggt ttctctgtat 18301 ttcataagtt aaattcttcc taagaacaag atcataaatt ctataactta ctatctttcc 18361 cacactgaag tatcttagat atctggttga gttaaccctt tagtaatttc ctgtcatttc 18421 tctaactata ttctgtgaca gcatttagag ctgctagatt tccctctgtt tggatcaggt 18481 tggtgcatag ttcgtaggtc acaaaacctc cctcacaatc tccaggtggc ctttacctct 18541 gctgtcacta ccactgtgct tcaaataaat tagcataaat tccaaagtct tgtacaagag 18601 agctgagctc ttttcttcca ggccaagggt ctggaatttt tacagtagaa taatgaatta 18661 attcaaaaac acaatattct atggtcctta ccaccaccca atcattttct ccactgtaaa 18721 aattattttc atattgtcac atctgaggtc ataagagaat agcctccatt atagctctgt 18781 aatgtgtatt accatgtctt ctaaattaca taaaggaaca tcttttattt tagaatgttt 18841 ctgctttcat agggtaaata aatattttaa aatctttgcg gatctttgtc tgcttcttga 18901 ggctagacat aaagaaaaat tctaacatgt ctaacaatgc cagatggttt agtccactca 18961 agatgccaac attcaagaag ggaaaactat tgagaaattg atatctgcag gggactgggt 19021 aaccatgact ctgccataga gcaacagcct ttcaggaagg gaattatcaa aaagtatgag 19081 ataatttttg taggtatcct ccccaaatct cagttctctt ctctataaaa tggtgataac 19141 tcatagtgcc acgttcatga ggcaactgaa aggagaaaat gagttatcat atgtatatgt 19201 tgaccacagt gtctgccatg caacacatgt tcagttgatg tactattatt attattgagg 19261 gaaagataag aagagttctc tgataagcag atttcttcta tcctgcttga tgatttttct 19321 ccatttcctg tcataaatac ccttttcaga gagagctaaa accagggcaa gactactagg 19381 ccacgttaaa attcatgggt ttgtgcattt gctcatttaa aaaaatatat tttaacccac 19441 ttttatgagt ttcacatgcc ctttttggag cacattatgc ttctggacac ccataaaatt 19501 attcacaatc actaaatata gaactttcct ttttaagggt gggatttctg caccccaaag 19561 gcatagtaag tgagacacac aatgatgaag caagttgcca aatgcctcat gcatagttgg 19621 ggatcagact aggattccaa agtctgtctg cctggctcca cagccccatt gttagccacc 19681 tcactgtaca ctcttcataa atgctgccat tgtgtgaata cttataatgc agtatttctc 19741 ttaatcctta cagaaatcct atgaggtaat tattactaat ctcattttac agatgaaaaa 19801 actgaggttt agagagctaa ataactggta agagttcgaa agaaccatga ttccaactta 19861 gtctgatggc tgagttggct tttaaatttt tagtctgtgc tctccccatt gtagaaagga 19921 aagcgtgagt aatctaaatg gaaaacaaaa caaaacaaaa cagtttaagc agagatgagg 19981 cacaatttta tcttatgtaa tctacttcta agtataatta agaactcaca gtaatttccc 20041 tgaagtcctt tttgaaaata ttttatggag ttgaaaggta aaattatgct tttaagggat 20101 cttttctaca tgaaaaactg tgcgttaaaa aaaaaaaaaa aaaaaaacct cttggctctg 20161 gtagatgtct ggaccatatc ccaacctcgt ctcttgaggt gcgtttcttt tgcctctgtc 20221 aaaagtagat gcagaggaaa aggcagcaca ataaaaaact tcaagaattc agcccactta 20281 aggaaaagca cttcaatttg gtaaaaaaat agaaaataaa aaagtgaatt aaaagaaagc 20341 caattttatt attgtcaagt actgtgggaa ctctatgctt agtgtttgaa agctctgctt 20401 taatgaatag ggtaaaatga ttttaattac catatccaaa ctcataaact tataaagaat 20461 ttatctctat gtgctttata gctgtatttc taaaaatata aaattgatat tcaaatgtgt 20521 agggcattca gttcttctaa ccgaattcca ttccccttat aatttatttc ctattatttg 20581 ttgagtaatt cacataaaga aagcaaaagt gcaaaatatt tacattatta attcaaataa 20641 atgaaaatgt atttaaacat taagcttaat attctaatca ctgtaaaggt aaattggatt 20701 catatgatgg ggaaaaaaag ggaatccaaa attaaaacag gtggttaaat gtagccttat 20761 cacagtatct tttgttaggt gaacttactg gattaaatac cgctcaatat catacgagaa 20821 ctgaaatatc ttcttgaaat atatattttt taaatcatct tttttctttg cttgatatag 20881 ttaaaaatat tcatctttag acatgcctat tagctaactt ttatttaaaa tagtgaaaaa 20941 aggaagctga ttttatttgt gagtttggga tattttcttt attttatgta cattaatttc 21001 ataaatgtgc tgagttaaaa ggtaatataa tatattgtac acagaagagt ttttattcta 21061 gcacaaacaa aaggatatgt tcacttctaa agatataatt atctttaaaa gtagaaagtt 21121 cttaactaaa actttctcag atataaagta aaataagaga aaatattttt agaagtttca 21181 tgaaactaaa catttatttg tgaatttaaa aagatttaaa ctggacttta cagaagagaa 21241 taatacaaag agtatcttgt atacattcat gttctacgcc taatttattt ttgtagggca 21301 tgtgtttata tagttatatc atatttgaaa gaatcttaca tagaaaatta agctctggtg 21361 ataatctcta gttcatgcta cctagctgag atgcaaggga gacaaaaagg aacactaatc 21421 agattagcat aaaactggaa tacaggccgg gcacggtggc tcacgcctgt aatccctgca 21481 ctttgggagg ccgaggcggg cggatcacga ggtcaggaga tcgagaccat cctggctaac 21541 acggtgaaaa cccgtctcta ctaaaaatac aaaaaattag ccgggtgcgg tggcgggcac 21601 ctgtagtcgc agctactcgg gaggctgagg caggagaatg gcagaaactc gggaggcgga 21661 gcttgcagtg agccgagata gcgccgctgc agtacggcct gggcgaaaga gcgagactca 21721 gtctccaaca aaaaaaaaaa aacacaaaaa actgaaatac aggtagtggg aatgctaata 21781 agagtaccaa tagtgtcctc agttctaatt tcaccattgt cacatacata tctttcctta 21841 caattaatga catcacaaga acattattta ctaaaaagct ataatatttt gagaacttaa 21901 ctattaggtt ctctat±ctc attttacttt gaagttcaga acaattagct ggcaacaaac 21961 atcttgaaga attgttgcaa accagatgct aaacctaagc cttctaaaag tatctgtgtg 22021 ctgacatgtg gaaaagagaa tgatgattta ttaataaata ccggaaatac atttttgaaa 22081 taaaaatatg tttaaaatgt tgtttcactt gtaattgttt aatattttat tttctccaga 22141 gcttcaagag ttataatcta aattgcaact gaaggaagct taagctagct gatatgcacc 22201 tagctatttc cccgcttcaa agcctacaga accatctgct tgttggcagg tgtaattaat 22261 tagctaagtg gagaagacgc tcccttttag agtgaatagg aggagaggag ggagaactct 22321 gtgaaagcct aatcctaggc agacccatca gctgggtgcc tctgggcaaa tttccgatgc 22381 tgaaaactca ttgaatttaa tggttcttaa tttcacaaga tttctaatta cagctaggat 22441 aataagatgc gatccaaaag ttgaaaaaaa gttggcacat tttcaaggaa aatcctttca 22501 cacaatgtag acatcctaaa gtgtagaagt tcatttattt acacattttc cacttattcc 22561 ctcaactttg ctaataagca attttgaatc tatttggctg acaggtggca aatgcctatt 22621 aataatagta aaatgtgtca tgctaaattt tgtatctaat ccaacattgc ttttcagaat 22681 agtcaaagaa aagtccatcc aagcaacatt attattcatt ttcaatagat tttaaaagga 22741 ctacattcta agaatagaaa tggggggaaa tataacacta agaccataaa acttcctata 22801 attttatcag tatagattat attagattat caccgaagag tccagaagat aataaactct 22861 acaacacttc cttcttttaa acactctgtc agaaacaaaa ttccctctta aacatctcct 22921 ggtatttggt tttaatgggt aaggtgagac aggtataagg aatagagtga gtagaactat 22981 ggcaaactgg aaagcaccca tcacaactaa aagagcactg actgctcagc cccagaagat 23041 gttactaaga gacaatgtga actcagggtt gccagaggtt ggttttattc agaggggcca 23101 gaaatgcaga atttatcggt aaattccctc aaattttaaa cactcttcta tgcaaagcac 23161 gtctgtagat tacagtcttt gagacagcag tttaccacat ctggtttatt gaataattgt 23221 atctgtgaac tcctcaatga tgagcaagct cttactacat caataaccag actgagatat 23281 gctctcatgg aactagtctt cacagctcct ctacctattg ataaagaatg gaaagggaaa 23341 gggaggcagt tatacagttc atgagagagt aaagaaaagt gcagaagccc ctactgttac 23401 atgaacagta gagaccagaa ggcactgaat tccataagac ttcttcatac ttcttgtcat 23461 catttgttgc aatggagtag aataagcgtc tggctatcta atgattcttg aaatgtgtgc 23521 tgcagacatg tcaccccaga atatcacact tccactgctg aatatttact tccacgtgta 23581 aattttgaat aggaaaggct tacatgtcat ctggaagata aaatcaaata actggctgtc 23641 atgttagtat ggacctgttt ataggattaa cataataaca taaaaaatct aaagattaga 23701 gggactggaa ggttaaatta taatttagaa aaaggaagca aatgtacaaa aaggttgcag 23761 tcagggatat gttcccaagt tttgttagtc ctgcattaat cactcaggtg agactatata 23821 cttgatcctt gggagtagac gtggcatagg agaaaggaaa ttttcaacct gcttatttca 23881 taatgctgaa tggtcttcta cttgttcttt ggaaacaaat gaattgagtg actttcagct 23941 cccctaccac tgaatccaat aggccaatac aattccaaaa aagtctttcc aatagtcaga 24001 atttcaaaag acaaattatc tcaggaattg acatcagtca actagtatgc tctcagccag 24061 aagttgggtg cagggaaaat tatagctgcc cattgtgggg ttttttaatg ctctataaac 24121 acgccaggta ataccaaaag acttatggga atcaaattgg agtccaaggt tgatttcttt 24181 tctgtattca gtacacagga atttaaagag acctgggctc tttcccttag ctccatctct 24241 taggatttct ggcattgtag ccttccttct ttaactgtcc attttagagg aacatggtta 24301 gagtgaatcc ttctaaatga gctcttcatc cctaacagtg agtgttcttt ctacttctga 24361 gcagaggtta cagctctttc aaaatattct tttttttttt ttttgagatg gtgtgttgct 24421 ctgtcaccca ggctggagtg caacggcatg atcttggctc actgcaacct ccgcctcaaa 24481 ggttcaagtg attcttctgc cttagcttat ccagtaacta ggattatagg cacctgccac 24541 cacactcagc taaatttgta tttttagtag agacagggtt tcaccatgtt ggccaggctt 24601 gtctcaaact cctgacttca agtgacccat ccgcctgtgc ctcccaaagt gctaaagtgc 24661 tgggattaca ggtgtgagcc actgtgcctg gcccttttta aaagattcta ttcaactcct 24721 ccatgccata ggctggaagt tggtctgtga tcctcaaatc cttttttgtt ttctttgagt 24781 atggagaaga gttgagtgag aacaagaatc tgtctgatca aatatccgag ggtaatgata 24841 gtttctggaa aggaaatcag tggagaaaaa taatataaaa gggtgttaaa agtcaaagaa 24901 agaaaacaca agagtatgag catagaaaaa tctaaataga acaaggagag acgtatttat 24961 ttaaaatatt ttacctatgt attacttcca ttgatttgtt ctaagtcttt caagagatgg 25021 gtggcctctt cgccaaacca tgtcatctct tgccagaaaa cagcactgtg tctctttgct 25081 tattctcttg cctttaaaca attaatttgt caoagtcagt caatgtggtc ttttcaaaac 25141 caaaattaaa ttgttataag atgaacRaca agggtggaac caataccaaa aatagataat 25201 tcagaagcta gtatctatgt caagatatat ctagttcata ttcacagata atttgagaaa 25261 aaaatacaaa aaaaattcta ttctatagga aagaataatc aatgaagaaa caagtattct 25321 tgaaaattgc aaatgtcata tctgataaaa tatttaataa atataatatt taacaaaatt 25381 gaagaagtct cctagaaagt agagaaaaaa gagaaatata aagaagagaa aaaaataaaa 25441 gaaataaagg atacatccag gaagtcaagc attacaagtt atagagagaa gaaagaacat 25501 Rtagaagaat acattatcaa taaattgagg caaataattt cccttaagtt taatcgagcc 25561 aaataatttc ccataattat gcagaaaaag attttaaaac aaaataaatg cctagatgtg 25621 tatatttaaa atttcagaat cttaaaaaaa atgtaaaatc ctacaaaaga ataggacagg 25681 gatataagaa aggcagagac agctagaatg agaatgagag actaaggaga gagagacagc 25741 agggatcaaa atcacatcag acttctcaac agggacaccg tgtgaaaagt agtaacttca 25801 aatactaagt gaaattcttt ttaacttaga attctaaacc cagtcgccat taatcaaacc 25861 atcactaaat tatgagtata gaaggagaca ttttgatatt caagaaccca gtaaatttac 25921 ccttcaσcat ttttttaagg aatattttaa agataccctt caagaaaata agggagcaca 25981 gcaagatagt gaaaaatagg tgatgcagga tccagcccag gaagtaacta aagagaagta 26041 tcacaatgca acagaaatgt aσagaaaata atacggattg gtgacataaa actgagaggc 26101 caaagaaggt agtctccagg gaaaaggggg actgatataa tgcatcatag gaaatctgac 26161 aataattgga ctataacaaa aacatgtagt gtaagaaaat gaaagccaag tggaaacatc 26221 aagaaaaaac aagcaaactg cacaaggaaa taaatataat catagtacat tcttccctct 26281 gctatgattt tttaaaagtt gcatgaatgt aaaaatcaca ataatgtaag tataatgcat 26341 attgattttc aacttttaga caaagatagt atcttttaac aatatctttt aaagatactt 26401 ttaaagatag tatctttaaa caatattgtt taaaagacag tatcttttac acaacaaaaa 26461 cgtcaagatt gataatatat tctgttcaat agatgcctta aatgataaat caagaaataa 26521 ttaattatat tttaaatata ttcagagata tgttaataat catcagaaac agcttaatga 26581 gctagagagt agacaaaaca ggagactgtt gatttttttt ttaattatac tttaagttct 26641 agggtacatg tgcacaacgt gcaggtttgt tacataggta tacatgtacc atgttggttt 26701 gctgcaccca ttaactcgtc atttacatta ggtatttctc ctaatgctat cccttcccct 26761 ggcccccacc ccaagacagg cccctgggtg tgacgtttcc tgcgctgtgc ccaagtgttc 26821 tcattgttca gttcccacct atgattgaga acacgcgatg tttggttttc tgtccttgtg 26881 atagtttgct caggatgatg gtttctagct tcatccatgt ccctacaaag gacgtgaact 26941 catccccttt tatggctgca cagtattcca tggtgtatat gtgccacatt ttcttaatcc 27001 aatctatcat tgatggatat ttgggttggt tccaattctt tgctattgtg aatagtgcca 27061 caataaacat atatgtgcat gtgtctttac agtagcacga tgtataatcc tttgggtata 27121 tatctaataa tgggattgtt gggtcaaatg gtatttctat ttctagatcc ttgaggaaca 27181 atggttgaac tagtttacac tcccaccaat ggtgtgaaag agttcctatt tcttcacatM 27241 ctctccagca tctgttgttt cctgactttt taatgatctc cattgtaact ggtgtgagat 27301 ggtatctcat tgtggttttg atttgcattt ctctgatggc cagtgatgat gagcattttt 27361 tcacgtgtct gttggctgca taaatgtctt cttctgagaa gtttctgttc atatcctttg 27421 cccacttttt gatggggttg tttgcttttt cttgtaaatt tgtttaagtt ctttgtagat 27481 tctggatatt agccctttgt cagatggata gattgtaaac atttttttcc cattctgtag 27541 gttgcctgtt cactctgatg gtagtttctc ttgctgtgca gaagctcttt agtttaatta 27601 gatcccattt gtcaattttg gcctttattg ccattgtttt tggtgtttta gacatgaagt 27661 ccttgcccat gcctatgtcc tgaatggtat tgcctaggtt ttctcctagg gttttcatgg 27721 ttttaggtct aacatttaat tctttaatcc atcttgaatt aatttttgaa taaagtgtaa 27781 ggaagggatc cagtttcagc tttctacata tggctagcca gttttcccag caccatttat 27841 taaataggga atcctttccc cattgctttt tttttgtcag gtttgtcaag gatcatatgg 27901 ttgtagatgt gtgatgttat ttctgaggcc tctgttctgt tccattggtc tatatctctg 27961 ttttggtacc agtacaatgc tgttttggtt actatagcct tgcagtatag tttgaagtca 28021 ggtagcgtga tgctttcagc tttgttcttt ttgcttagga ttgtcttggc aatgcaggct 28081 cttttttggt tccttatgaa ctttaaagta gttttttcca gttctgtgaa gaaagtcatt 28141 ggtagcttca tggggatggc attgaatcta taaatcactt cgggcagtat ggccatttta 28201 acaatattga ttcttcctat ccatgagcat tgattgttct tccatttgtt tgtatcctct 28261 tttatttcat tgagcagtgg tttgtagttc tccttgaaga gtctttcaca tcccttgtaa 28321 gttggattcc taggtacttt attctctttg tagcaattgt gaatggcagt tcactcatga 28381 tttggctctc tgtttgtctg ttattggtgt acaggaatgc ttgtgatatt tgcacattga 28441 ttttgtatcc tgagactttg ctgaagttgc ctaacagctt aaggagattt tgggcttaga 28501 tgacagggtt ttctaaatgt acagtcatgt catctgcaaa cagggacaat ttgacttcct 28561 cttttcctaa ttgaataccc ttcatttctt tctcttgcct gattgccctg gccagaactt 28621 ccaacactat gttgaatagg agtggtgaga gagggcatcc ctctcttcat aaaatgaatt 28681 agggaggatt ccctcttttt ctattgattg gaatagtttc agaaggaatg gaaccagctc 28741 ctctttgtac ctctggtaga atttgtctgt gaatccatct ggtcctggag tttttttggt 28801 tggtaggcta ttaattattg ccttaatttc agagcctgtt attggtctat tcagagattc 28861 aacttcttcc tagtttagtt ttgggagggt gtatgtgtcc aggaatttat ccatttcttc 28921 tagattgtcc agtttatttg catagaggtg tttatagtat tctctgatgg tagtttgtat 28981 ttctgtggga ttggtggtga tatccccttt atcgtttttt attgcatcta tttgattctc 29041 ctctcttttc ttctttatta gtcttgctag cagtctatca attttgttga tcttttccaa 29101 aaaccaggtc ctggattcac tgattttttt gaaggggttt tgggtctcta tctccttcag 29161 ttctgctctg atcttagtta tttcttgcct tctgctagct tttgaatttc tttgctcttg 29221 cttcactagt tcttttaatt atgatgttag ggtgttgatt ttagatcttt cctgctgtct 29281 cttgtgggca tttagtgcta taaattttcc tctacacact gctttaaaag tgtcccagag 29341 attctggtac attttgtctt tgttctgatt gatttcaaag gaaattttta tttctgcctt 29401 catttcgtta tttacccagt agtcattcag gagcaggttg ttcagtttcc atgtagttgt 29461 gctgttttga gtgagtttct taatcctgag tactaatatg attgcactgt ggtctgagag 29521 atagtttgtt gtgatttctg ttcttttaca tttgctgaag agtgctttac ttccaactat 29581 gtggtcaatt ttggaataag tgtgatgtgg tgctgagaag aatgtatatt ctgttgattt 29641 ggggaagcga gttctgtaga tgtctattag atctgctcag tgcagagctg agttcatgtc 29701 ctggatatcg ttgttaacct tctgtcttgt tgatctgtct catattgaca gtggggtgtt 29761 aaagtctccc attattattg tgtgggagtc taagtctctt tgtaggcctc taaggacttg 29821 ctttatgaat ctgggtaatc ctgtattggg tgcatatata tttaggatag ttagctcttc 29881 ttgttgaatt gatcccttta ccattatgta atggcctttt ttgtctcttt tgatctttgt 29941 ttgtttaaag tctgttttgt cagagactag gattgcaacc ccggcYgttt ttttgctttc 30001 catttgcttg gtagatcttc ctccgtccct ttattttgag cctatgtgtg tctctgcatg 30061 tgagatgggt ctcccgaata caacacactg atgggtcttg actctttatc caatttgcca 30121 gtctctgtct tttttttttt tttttttttt gagacggagt ctcgctctgt cgcccaggtg 30181 ggactgcgga ctgcagtggc gcaatctcgg ctcactgcaa gctccgcttc ccgggttcac 30241 gccattctcc tgcctcagtc tcccgagtag ctgggactac aggcgcccgc caccgcgccc 30301 ggctaatttt ttttgtattt ttagtagaga cggggtttca ccttgttagc caggatggtc 30361 tcgatctcct gacctcatga tccacccgcc tcggcctccc aaagtgctgg gattacaggc 30421 gtgagccacc gcgcctggcc cagtctctgt cttttaattg gggtgttcag cccatttaca 30481 tttaaggtta atattgttac ctgtgaattt gattctgtta ttatgatgtt agctggttat 30541 tttgcccgtt agttgatgca gtttcttcct agcatcgatg gtctttacaa tttggcatgt 30601 ttttgcagtg gctcgtactg gttgttcctt tccatgttta gggcttcctt caggagctct 30661 tgtaagacag gcctggtggt gacaaaatct ctcagcattt gcttgtgttt aaaggatttt 30721 ttctctcctt cacttatgaa gcttagtttg actggatatg aaattctgtg ttgaaatttc 30781 ttttctttaa gaatgttaaa tatcggcccc cactctcttc tggcttgtag agtttctccc 30841 gagagatccg ctgctaggct gatgggcttc cctttgtggg taacctgacc tttctctctg 30901 gctgccctta acattttttg tttcatttca accttggtga atctgacaat tatgtgtctc 30961 ggggttgctc ttctcgagga gtatctttgt gaggttctct gtatttcctg aatttgaatg 31021 ttggcctgcc ttgctaggtt ggggaagttc ccctggataa catcctgaag agtgttttcc 31081 aacttggttc cattctcccc atcactttca agtacaccaa tcaaatgtag atttggtcct 31141 ttcacatagt cccatatttc tcagaggctt tgttcgtttc tttttactct ttttttttct 31201 aaacttctct tctcacttta tttcattaat ttgatcttca aacactgata cccattcttc 31261 catttgatcg aatcagctat tgaagcttgt gcatgcgtca tgtagttctc gtgccatggt 31321 tttcagctcc atcaggtcat ttagggtctt ctctacactg tttattctag ttagccattc 31381 atctaatctt ctttcaaggt tttcaaggtt gttagcttcc ttgtgatggg ttcaaacatc 31441 ctcctttagc atggagaagt ttgttattac cgaccttctg aagcctcctt ctgtcagctc 31501 gtcaaagtta ttctctgtcc agctttgttc tgttgctggt gaggagctgt gatcctttgg 31561 aggagaagac gcgctctgct ttttagaatt ttcagctttt ctgctctggt ttctccccat 31621 ctttgtggtt ttatctacct ttggtctttg atgatggtga cttacagatg gggttttggt 31681 gtgggtgtcc tttttgttga tgttgatgct attcctttct gtttattagt tttccaacag 31741 gtccctcagc tgcaggtctg ctggagtttg ctggaggtcc actccagact ctgtttggct 31801 gggtatcacc agcggaggct gcggaacagc aaatattgca gaacagcaaa tattgctgcc 31861 tgattcttcc tctggaagct tcatcccaga ggggcacctg cctgtatgag gtgttagtcg 31921 gcccctactg ggaggtgtct cccagttagg ctacacaggg gtcagggacc cacttgagga 31981 ggcagtctgt ccattctcca agctcaaaca ctttgctgga agaaccactg ctctcctcag 32041 agctgtcaga cagggacgtt taagtctgca gaagtttctg ctgccttttg tccagctatg 32101 ccctgccccc agaggtggag tcatacaggc agcaggcctt gctgagctgc cgtgggctcc 32161 atccaatttg agcttcccca gttgctttgt tgacctacac aagcctcagc aatggcagat 32221 gcctctcccc ctacaggctg ctgcagtctc acaggtcaat ctgagactgc tgtgctagca 32281 gtgagcatgg ctctgtgggc atgggaccca ctgatccaga catgggatat tatctcctgg 32341 tgtgccattt gctaagacct ttggaaaaat gcagtatttg ggcgggagtg tcccgttttt 32401 ccaggtactg tctgtcatgg cttcccttga ctaagaaagg aaaatcccct gaccctttgc 32461 acttcccggg tgaggtgatg tcccgccctg ttccagctcg ccctctgtgg gctacatcta 32521 ctgtccaaat agtcccaatg agatgaacca ggtacctcag ttggaaaggc agaaatcacc 32581 tgtcttctgc gtcaatcacg ctgggagctg cagaccggag ctgttgctat ttggccatct 32641 tggaatggaa atcaagattg ttgattttaa ctatgtgaat gtaatatatg ttttaaaata 32701 caaggagaaa aaaagaagct gaaataattc agcaatggtc gtgtataatg gaattctctg 32761 agattagggt aacatgctgc caagtgttat aatagcaggt aaatccagtt gcaacgctgt 32821 gtggttttga gacctctaca ataatgaatc ttgaaacatt aaaataatat aaagaaatga 32881 attcagcagg gacacatttt attccatggc acattctaca cttaccttca gtttgctaca 32941 tgaagaatcc aatttccttc tatttcatat attgactttt ttcaaagaaa ttccaggtgc 33001 ttccctacat tttctatccc gtttatcttt gcatgcagtg aatgttttta atcatgtcat 33061 tattttaaat aacacttttt ttctgggagt ttttttcccc tttgactctg tattactatt 33121 cctatcctac aagtgtgaaa tccaagaYat gtagaaatta actgacttac ttcaagaaag 33181 acaggacagt aaactagttc tcattgcctt tcagaaacct tgctacttga gtacttaatt 33241 ttttaaatct gatatacttg aaaatcctaa tgttaaaaat acctttaaac gactctcaaa 33301 attaattcat caaaaaaatc aagaacctta aattagtaat tctcttttaa ttagagcatt 33361 ggacaaaaaa taatataaat catataaatg aatatttgtg ggagtattaa atataaaatg 33421 ccaaatattg aaaattgcaa aatatctagc aaaagtacat caattaatta cacattatgt 33481 atacatattc taaaaactat acagccatta taaacatgtt actaagtttt aaaatatggg 33541 aataatttca tgaatacgtg agtaaaaaat tgagactaca gaagtctaaa tacaaatata 33601 aatgcaattt gtctaaaata caccttaggc atatatattc ataacgcata gatgtcatac 33661 tgggacaaaa taccatcctt aacacctgta taatcttagt aaaattctaa acttcacttt 33721 cttcatcaga aaaatgtgta actttacttc atagtaggat aaaatgagat gatgcataca 33781 aaaactaatc acatttttgg ccaaacagtg agaagtgtct gtgtatttac tataaacata 33841 aggcatgtaa tatatgactt agaattatat gataatgtat tcagaataat taacttaaga 33901 cattaaatta aaactctaat attgtagcaa attgcacaga aaataattag aatagtatag 33961 aggtactaag atgaaaaact gaaatcaaca atatttaaat tacaaataca accagggccc 34021 aaattacagt cttattaagg aacctattta aaccaataga aagcaaagca ggcattttag 34081 cgagacagat aaaaagtcac taccaaaaaa aaaagtaaat ttacaaagaa aagggtcctt 34141 tggtccttct tgaagaagtc tcaaaacagg tagaaactca cttatctggt aaatcatagg 34201 ctttgagtca gaaatttata ttatctaatt taacaaataa taaaatcaat ctgaaagttt 34261 ctcgataatg tttcccagca ttattgtgag tgtcatagta caatgatagg aagtaggttc 34321 cagagcctgt gcttacagtt gctatggcac aggaccttaa ttacatatgc cacatttata 34381 cacaYgaata caccattaca aactgatgga aacaccacag gtgctgtgcc tacacctctg 34441 atttccaggg acaggctcag ttgataggtg tttttccaga gtaattataa ataatacctc 34501 tttttcctct caaaaggctt ctcgcatggg gaccctattc attaaaaaag tgtaaggact 34561 tataaaattt ctataagaac agtcttcaca aaggaaaaaa tcaaggttga agcttaaatg 34621 cttgctacat ttcaacgcaa agcaattata tgataaagaa agtaactcat agggttatta 34681 tgacaatcta ctagaataat agcaactatg gatttgatta gacatatagt aaattataaa 34741 aacataaagt gttatagtta ttcaaaacaa tattttaaaa ataattccaa atacgcattt 34801 cataggaata actttataat agaaagaaaa gtgtttgact ctcctcaggt gttatgtttt 34861 cttgttttgt caaaaaattc agcagttcac cttttcccaa aagagtaagg taaaaagcaa 34921 tctatcaaat ttttagagat tgtcaaaaaa gttaagaaat gataacaaaa taaaaaggag 34981 attttttttc cccataggaa tttcaacccc tcaaatattc cacttttaag tctaccaaaa 35041 atatttaatt cattgtaaac agcactcaac taaatttttg tttatggtgt atgtgatagt 35101 taatattaga tgtcaactag accagattga gggatgccta gatggccaat gaagcattgt 35161 tcttgggtat gtctgtgagg atgttgccag aggagattgg cagttgagtc agtggactga 35221 gagaggcaga cccaccctca gtgtggtggc aacatataat catcKgccag cgcagctaga 35281 acaaagtaag cagaagaagg gggataagca gctttcagaa tcctctcact ctccctttgc 35341 tggatgcttc cttcctctcc ggcccttgga cgtcagactc caggttcttt gaacttgcac 35401 cagctgcctc cctgggagtg ttgggggtga gggattctcg gtcctttagc ctcaggctaa 35461 gggtctcact gtcagcttcc ctggttttga ggctttctga ctcggactga gccaccctac 35521 cagcttctct ctttccccag cttgcagatg gcctgttgtg agacttgcct tgtaattgtg 35581 agccaattct ccctaataaa ctcccttttt tatatcctgt tggttctgtc cctttggaga 35641 accttaatac agtgtacaat gctgattaaa tgtaaaagta tatttagctg ttaataaaat 35701 atcagttttc atataaagat aacttggcca ggcacggtgg ctcatgcctg taatcccagg 35761 gctttgggag gctgaggtgg gcagatcact tgaggtcagg agtttgagac cagcctgggc 35821 aacatgatga aaccccgtct ctactaaaat tacaaaaatt agctggatgt ggtgtcacac 35881 gcctgtagtc ccagtgactt gggaggctga ggcacgagaa ttacttgaat ccaggaggtg 35941 gaggctgaag tgacccaaga tcataccact gcactccagc ctgggtgaca gagcgagagc 36001 ccgtctcaaa aaaaaaaaaa aaaaaaaaaa gatatcttaa tgtgtattat tcatgaataa 36061 gcattgataa acatttctaa aaataaaaac aatattttga aaaacttatt gaccatgttg 36121 gtgatacaga aacacatatc tcaactaatt ttaaataaaa tagttatatc acataaacgg 36181 accaccacca ctaccagtca ccactactac caccaacaaa acacagaact ctcctgaaca 36241 aataatcaaa aagtgaatca ataagaaaaa tctttgtgat tcagtactta gcattcactt 36301 ccctgtttgt agaaatgtca gtagttagca agcaatggag ctggaagcac tgtgttccca 36361 taggtactgt tttctagatg acatgtaaaa ctctatgctt gaccataaac agcctttaaa 36421 aaaatcccag ggcaoctttc agggaaatag cagtgtttgc ctcaacatct tggcttagtt 36481 ccaactcact aattacattc agcctgcctg gataatttta gatagtttta atgtgaaagt 36541 gcattgcctt tgtttgatta tagtccctgg ctcttccttt gaaaagtcca tcctcaaaca 36601 gtcacggggg gatttttaag gctgattatt tctcttaaac aaaaatgaag acctgggctg 36661 gcctagcatc ttcctcaaag ataaataatt agtgtcccca cattgaatta atactgaaat 36721 tttggataca cttatagatt taggcaagtc ctcagagaag ggaaaggaaa cctttacatt 36781 tggagcctca atagagcgga gtaccttctt gttaaagggg ttgtcgtaga cagagctagg 36841 caattctaat tactttattg aacttctctt tggtatagtt gcaaaaatct ggttattact 36901 ctactcaata tcaaataaca aacatataca tgtatatcaa ccctgtaaaa atagatggtt 36961 ttattttcca ggacaaaact ttgaaaaggt atcataaatt tacttttccc ctttgatgct 37021 gtggcaggga ttgctatcag tccccctaaa tcttgtccct ccctgtcttc tacagtaatg 37081 gaattttcac tgggcatatg ttcaccaaac caaggcagta ttccctcctt gcagctaaat 37141 atggacacat gactaagtcc tgatcattgt gaagtgagca gaagtgagat gtgccacttc 37201 tggattttgc ctttaaaggt aagagatgag cccttatctt tcccatttcc tgttcctcaa 37261 ggccacatga ttgaaaacca tcttcaattg tacacatgac agcaacattc aaggggatgg 37321 aaagaatttc cacaagatgg aaagaatttg ggaccccaac attgcagaac tatcgaatcc 37381 tctatatacg ttcttgcagg ctggatgtct ttaagctgct atagaagaca gataagaact 37441 catatcttgt taaagttact ctaaagtagt tcattgttca ttgactctgt atcttaatac 37501 agatgatatt acacattgtt tttctcttcc catctottcc attaaaattg acaaattgaa 37561 gatcacattc ctcatctgaa actagaagtt gcttcacatg tccagccacc tttgcaggaa 37621 tataaacata gggttgaata atcctcagga tttttatttc aagagatact gaaaatccct 37681 atgtttaagt attaggaaaa aaatatctaa atatttaggg gacaccatgc tggacaaaac 37741 acttctagag cctgttggtg cagaagttgt ggtgcattgc tgatataaca aacacagttt 37801 ccaccatctg tctaatgaga gatcagatac aatatggcaa ggagtaaatt ctttctcagg 37861 gtactctgag aacatacagg agggcgaatt ttaaggagat acgttagctg ggtttcgaat 37921 taccagtatg tgctagttag ataaatgtgg gtgggggttg gggcagaagg gtattccaat 37981 aaaagaaact atcaattaac aatggtctcc aaataacaga aatcctatct acttatgttt 38041 aagtacttaa agggagcaca aaataaggca gtttttcact taataaagga taatatctct 38101 gacttttgaa aagatgataa ttcaggcatt agctcttgga ataaatacac taaaactcaa 38161 ctacatattt ccattaactt gaaactattt tttcaacaaa aacattgaat atgtttttaa 38221 aaatacattc cacaggtcca caatgaagac agattctgtg aggaatgata tagtcagttc 38281 tcttataggt ggatggggat gtatgatcac taagaagaga acaaagaagt aaggaaggta 38341 gttcttgtct ccaattgaaa catttttcaa atgtatttat aaaatgtctg ctctaaaata 38401 aacaagtgac acagttttaa atttctaaaa gcaatatttt aaattatttt ttcttgattg 38461 tctatcaaat ttgaaaatga agcataatat tggcttatgg tagcctaatt ttcagtagat 38521 gccacaagat aaaacccaaa taatctgatt tgaaccttgc ctaaaatctt ctctcaccat 38581 tgttttcctg tggcagagaa tatatccatg attatttaga taaaatcatt ttttgcattc 38641 atgtattcaa ttttcattca tttatttgct aattcagaaa acattttRtg attgcacatt 38701 ctgagacaga catggtgcta agatctagag atataaaaaa atgaaatgac atggtctctg 38761 atcacataga aaacactaac taaattaaca ggaagatata aaaataaatt atcacaagaa 38821 aagacacatg ttataatgga gatacataca aagtacaaag ggagaactaa cagtactgga 38881 atctgccaag gggaaatagt aaaagcttta gtctgaaact tgtctcgagg actagaaaga 38941 gcattctagg aagatcccca gaatttgcag aaaatagaaa tgttagaaaa tgcttataga 39001 cagtaactat taggagtatt tctgcatctt tagagtacac atagcataaa ttaagcaagg 39061 gaggatggac ttaagaacag agcagagagg caggggcact ttcacaaagg tctcaaaatt 39121 ttttaggtgt aatgggaaat tatcaagtaa ttctgagatg gtaagtggta tgttttaatt 39181 gttaggatag tgaaagattt ttggaagcaa tgctaagaaa gggtagaaca aactagaggt 39241 gaaaaaaaca gtaaggaggg tattgcaata gcctgaggag agtgttgacc tggattagtg 39301 gcaacaggga taaagagagt aggaaataga ttttgtttaa gttgtgatag tttttagatg 39361 tgggtgataa aggacattgt ataataagtt ccatgcatca cacttaaata aatgaataaa 39421 tagcaaattt tagaacagat gagacccacc agattgggaa aagcaaaatg acacattgac 39481 tattagatgg agttcagttt aaggtgcttg tgggaaatgt ttcacattca aatcattaac 39541 cattattcta atggttaatt gagtaaggta cataaacaga taattcaaaa gcagatatca 39601 acaactcaca aatacatata aaaagtatat aacttttaaa taaccaatgg aatatctaat 39661 gaaaaagaag tactaattta tgcttgctta acagcagcaa caactgagaa ttagggactg 39721 ttcatgctgg tgcaagttga atgaaatagt gtctcttcta ctgtgaacaa ctatatgcca 39781 ataaatttga aaacctagag gaaaagaata aatttctgga tacatacaac ctaccaagat 39841 tgagccaaga agaaacaaaa atcctgaaca caccaatgac aagtaacagg tttgaatcag 39901 ttaataaaat atctcccaac aaagaaaagt ctaagaccaa tggcctcatc actaaattct 39961 accagatctt tatttaaaga agatttaata ccaattcttt tctaactatt caaaaaattg 40021 aaaaggagga aatttcttcc tcatttaact aggccagtat aaccctgata ctaaaactag 40081 gcaaagacac agtaaaacaa gaaaacttca ggccaatatc tctgatgaca tagacacaca 40141 cacacaaaat cacaccaaaa tatgaggaaa ccaaatctaa caacacacta aaaagataat 40201 acataatgat caagtgcggt ttattccaga agtgcaagga taggtcaaca cacaaaaatg 40261 aataaacatg acacgtcacc tcaacaaaat gaaagacaaa aactatgtga tcatcttaat 40321 ggatgcagaa aatcaggata agaactctca ataaataagg tatagaagga aagtacctca 40381 acacactaaa aacaattatg ccaaactcat acgtaacatc aaaagtttcc agcttttccc 40441 ctaagaactc aaataaaaca aggatgccca atatcaccac tcatattcaa cacagtaata 40501 gaagtcttag ccagagtaat ttagcaagag acataaataa aggacatcca aactggaaaa 40561 gaggaaatca aattgtccct gtttgtagat gacacaatct tatatataga cagatctgaa 40621 gactaccaaa aaacttagga ctgacaaact caataaagtt gcagattgca aaatcaacat 40681 acaaataaca aaccagctaa aaaagaaagc tagaagacaa tctcatttac aatagctact 40741 agaaaaataa aataaaatac ctagaaataa atttaaccaa gtaggtaaaa taattggaca 40801 aggaaaacta caaaacactg atgaaataaa ttgaagagga tacaaacaaa agaaaaagta 40861 tcccatactc atgaatcaga ataattaata ttgttaaaat gaccatacta tctaaagcaa 40921 tctacagatt caatgcactc cctatcaaaa tatcaatgat gtttttcaca gaaatacaaa 40981 atatcctaaa atttgtatga aaccacaaat gacgctaaac agacaaaaca atcctgatca 41041 aaaggaagca tcacataacc agacttcaaa atatactaca aagctctagt aaccaaaaca 41101 gcatggtact gacataaaag cagacatgca gatcaatgca agagaataga gaacccagaa 41161 attaattcat gtatctacag ctatctgact tttgacaaag ctgctaaaaa tacacattgc 41221 agaaagaaca gtttgtttaa caaatggcgc taggaaaact ggaaatctaa atgcagaaaa 41281 ttaaactaga tccctaactc tcatgctaga tatagttaat tcaaaatgga tcaaagacct 41341 aaatgtaaga ccagaaagta tacaactact agaagaaaac ataggaaaaa tgcttcaaga 41401 cattgttttg ggaaaagatt ttatgaataa gaccctaata acacaggcaa caacataaaa 41461 ataaacaaat gggatgaaat tggagaacat caggttaaat gaaataagcc agaaacagaa 41521 agttaaactc tgcatgatct cactagtgga agctaaaaaa atttgatctc ttagaagtaa 41581 aaagtagaaa agaagatatt agaggttggg aagggtaggg gaaagagagg gatgaggaga 41641 gatttgttaa agaatacaca attacagcta gatagcaggg ataaattcta ctgttctaca 41701 gcactgtagg ataactatgg ttaataataa tatatagttt aaaatagcta gaaggagaat 41761 attgaatgct ccctacacaa agaaatgttt gagataatgg atatgctaat tagtctgatc 41821 tgatcactat atattatgtg tatcacaaca tcactatgta ccccataaaa atgtatagat 41881 ataacgtgtc aatttaactt ttttaactga aaaataaatt taaaaagaac taatgtatca 41941 cttgtagctg atggagttgc aataactttt aaaagtcaga catctatctg tacactttgg 42001 ccaaataatc catcttcagg gaagctatcc tgatgaaaga atattccata gaaagaaaat 42061 tacatgcaca aggatgtaca ctgctgtatt acataagtaa tgcaacaaac caaaatccac 42121 ataaatgttt cagaagYtgg ggagatttat ataaaatatg gcataattat ttgatagaat 42181 attgtataac tatttattat ataatgatgc atcaRtataa ctgtggtaaa tcgaatcatt 42241 agccacaaca ttcctttgtc tctgacaacc acatgcttgt catggcttct ctgtagcaaa 42301 agcacacttt cctatcactt ggttttaggc tgggccctat gattttcttt ggccagggga 42361 gtggcagaaa tgagaatgtg ccatttctaW atctagagct taataggcat cgtggatttc 42421 tgctcccttt tatggactgt accatcatca tgggaagaac ttccaatgct gttacaactg 42481 ttagcccttc ccctgggcca cagaataaat cactatggaa caaaactgcc ccaatccaac 42541 ctagatgaac ttgtgcttgg agcagagctt ttccagtcaa gccctgtata aatcaccaga 42601 ccagaMctta gccaacaaca gattcataag aatacataat tgttgttcca agtcattgag 42661 ttttattagg atgtttttgg atgaatcatc ttggggcaat agStaagtga aacaatagct 42721 atgtgaggac attcatatgg aaaatgacaa aagaaaatat tcaaaattac aattgctagt 42781 gtatgtgggt tttgYgattg tgagatgcca gacccaagct taatctagta ttttcatgta 42841 tttgaactga aaccaacata aggggtaagc atctcttaga gacagaattt tttaatgaaa 42901 aatataaaat attcatttta tatgtatctt cattttaaaa taaaaatata tattattttg 42961 ctttaggtta tttttgtttc tttaaaaaat cccactaaaa ctcattccta gcagaattca 43021 ctttattact Ytcagctgca aatggagaat ctatagaacc ttatgtaatc ttatctaact 43081 taaaatatct tccttatgct attgtggtaa attcaatgtt aatacaaatt catatttcta 43141 ctgcattatc aaagtatatt aactcaaata gtttcacagc ttgaaaatgt cattaatcaa 43201 tgatggggct tctataatct gtgtaatttt tgtcctctga taaggtcagg ttttctaaat 43261 gactggcacg tgctaagcat ttcactattt ctgtcattta atttttgagg gcccaattgg 43321 ccaattcata gttaattact caatgtttac attcaaagag aagtagaaat gggagatata 43381 atacacaata tgtaaaattg tgtatgaaag aaaatgtttt caatagcatg gacaacatga 43441 ataaaaatta ttacgaccaa gaccagcttt gtgcagaatg gtgatttagg ctccccgact 43501 ctgtccaggc ttgggcatgg agtgttctca cacaatctgt atacttttcc ttatggcaag 43561 tgctttccca ttgccctcta gctgccagta actctccact gaagcatttt acgagtactg 43621 cttaaaaata tttcctactt cctttcatcc ttccccttaa ggtttaagct gcctagattc 43681 tcattccttc tcagctaatt gctttcgaaa aacagtatct tgtaaattaa gtccccttaa 43741 aggactgctt aatgtgatac ctggtttagg aatagttact atttagcaaa tggtacctgt 43801 gtatgcctca tcgctaacgt atgcagttct gttgtatggt atctctggca ttatggaagg 43861 caaggatagg aaataattca ggcaagcaaa gttccagagc acgcttcaaa tcataccatt 43921 tagacaactg tctattttat ttataatgtg atctgtcctg caaccaaatt acttcttttt 43981 aagttaaatt caacccataa aactaattta tattoctgag aaaaacgaaa tgctacttca 44041 aaagttttat gaaagttcat atttttacaa gttttaccta agtagaatag attatttaca 44101 tgtattataa tagaaggaat atatatttac aatagaaaag aaatgaactt gacaatgatg 44161 atttgattgt caaaattaga taagacttaa taattaaaaa gaccgaaaat aattaaaaag 44221 aaaactcact tcaaactata attttacgtt atttttccta ctttcaatgt tctctgaaaa 44281 aaatatgttt gtttttacac aaaatttgca gtggcaccaa cttatttaaa atgttaatta 44341 ccRgactgta atgaagaatt tttagcaaga cacatatttg acttcatctt tgttaatatc 44401 tctacattct acactagggt acagtaaaac ttctgtatct tacctgccat ctagtaatac 44461 tgttggaaag attattatga ttgcattatg aatgactgat ttaaataaag ttaataaatc 44521 aaaagagagg aacaaagcct ttgcaggaga ccagaacaga tataaatttt tccataagag 44581 aagaaaagga cagtctattc ttttatatca aaaatcactt ttttttcagY agaataagtc 44641 tgttttaaga tgttaaattt actgaatagt ttggacaaaa ttaaaacatg tagatttatt 44701 atcatcatca taatgataat aagtagttaa cggtaatgaa catatacgta tttccaaagc 44761 ttttatgaga ctacacattg agaatacata cttataggcc cttattattt ctttaatgca 44821 gaaactctga acaggctcat tgaaaagagc aaaagatggc attgtataaa tagcaaaatg 44881 aattcaagct tttattattt tttgtctctt ctgacttcta taacttagca acaacaaatt 44941 aaatcccatt tcaatgtaac actatcatga aattctctat ttaacaaaat gtcttctaga 45001 ccccagctga ttatctaatt gttctgagca tttagcaatt cagtcacttt tattaaatat 45061 ccactatgtg ctatgtgctt tgaaggacag agagataaat gtgagtcagt ccaggagctt 45121 ataatctggt gggtaaggta gacttttaaa aacattttat aaaacaaagc tgaattaaat 45181 atgatgttta aaacagtcct ggtagaaatg taatatattt gtcattatat atatattata 45241 tattattaat aatatatcaa tgatatattt atataataca ttagttatat aatgtattaa 45301 tatattacac tatattttat tatattatat taatctacaa tatagattaa ttatattata 45361 taatatatat aggataatcc tgttaatttg ggagctttgg cttaggaaaa aatctcttaa 45421 gatttttcta gagcagaact tccaagttag actaacattt tggatattaa tggtctacat 45481 atagcttcco tagaatcaac ctaatcccaa gaagacatgg agatcaattt acaatgagct 45541 tttgggcttc catacagaac taagaaaaca gactgaaata taatcaacao aaacactaaa 45601 agttaaaatt tcaatgtatt tcaaaaacat tttgaaatga agtagtgtgg tataaggaga 45661 attgcacaaa attagtaaga atcatagagt gcataatcct tcattgottt ttttaaaaaa 45721 atccagcaca tattgattga atgcctgcta tatttcaggc actgtgttat ggattacgga 45781 tataatcata atcaaataca tatattggtc ctgtctttat ggaaccttct atctcaagta 45841 gtaaatgttc aaaaaatttg ttaagtaata agttatgaat cataaaaata tatttcaaYg 45901 caggtcccta ttgtgtttcc atccatagcc cttattatct tctcttatac tatattattt 45961 atttatttat tgtatttatt gcagactatc tccccaaact aaaataacat ctcacaaggg 46021 agtagatctc tgtctgtttt atttcctcct ggctcccaag gacctaSaac agtgtctggt 46081 atcaataaat atttgttaag tgaatggata ggcctgactt tgcttaacac caaKtatgca 46141 gaatgggaac a'ggaaRctaa atttagcaaa caggtactac cctgatagcc acaaaaggat 46201 acaccaatat aaaataaagg aagctgacta attctctaac accacataca agacacattc 46261 atatgctata tgtgtatttc tgcatttatc aaaacatttt aatgacatat tttacttaag 46321 gcaatcctta gagtttaaag aatgaattaa acttcttgcc caactgttat ttgcagagat 46381 ggcttttgta aaggacttgt tcttcccttt tgcatgtgtg tatatattta aacacatgca 46441 ggtacacggt tttcagttaa gtttgtgttg ggataaacac acagcatgaa tcctgggggc 46501 tatgaaatac atctgtgtat atataatcca aaatttatta tggaaacaca agaaaattct 46561 tcacttttaa gtatggttag attggggatt aagaataaaa tttagaatgt tagactctta 46621 ccctacccat gctctatccg aaaatgactt tctacccatg ttgagtgtac cctcttctca 46681 ttatctccag ctctgattta ctcattcatt cattcacatg ataatttatg agtgctgttc 46741 taagtccttg gagttaccta agagctcttc taagcactgt tgggacaggg ttatttcctt 46801 ctgcaagaca caataagaag gtttttgttt gttttgtttt gttgtatatc ttttcaaatt 46861 gccattcatc attattgaca atccacatac cacttagttt gtgaatatgt ttgtgtattt 46921 agtttgacat tttgggtgga aataaaagcc ttctgtttgt agttaattaa aaatgaaagt 46981 attcatgttg ggattttatt tttaaaaatt gatctggtaa gacaaagtgg tttttttttc 47041 aatcttgctg atatacagtt ctttttttaa tgaaaaaatg tcaaaaaact taagtaaatt 47101 aaRttttgct atctgctgta tttgttcaat ttagttggaa agtttaaaaa tacctccaat 47161 ccatctatat ttgctgaaga ataaatctag actttatatg tatatattat tatacattga 47221 tggctataag acacattcat gatcatgcag tttcttcatt tgcacataat atttacaaca 47281 tatgcaatta ttttattttt attatataca ataaaaggca ggccattttc actttttaaa 47341 agtctcctct gaatgataca ttgatggcta taagacacat tcatgatcat tctaggccag 47401 ccccctcact ttacaggtga ggaaacagag gcaaaaaagc aagtcttgcc ttagcagagc 47461 tatgctagaa ttcacatctt ttgacattaa tctgtattgt gtttattcca ggactccaga
47521 ttaatgttaa tctgtaggat aatatatgag tttaagatta gaaaaatctt agggaatgtg
47581 aacaatatca atgtgactga acagagtctt agtcatatta attaaagtgg attgactttt
47641 atatgttcag ttggatggga aatcagtgtt ctatcagtat ttcctcaata tcatattcat
47701 ggcagaatat tcctttagaa ttttcaaaac acattttgct actatgaatt gtgtagttac
47761 gtattaacga ggatggttgt atggttatca ttttcgcacc agaagaaaaa taaacccaca
47821 atacacaacc ctgaaataag gaaagtagaa caagctcttc tactatcaaa ttttcttcca
47881 gagcctgtgg catgcctcca catctgtgat ctgtgtctgg gccctagaat tcttctaggg
47941 tcatcacaat gctgcagaga tggactcaaa tcagatgcaa atttaatcag gtgaacaaca
48001 acagactcag aacacatcta agatgattat ttttacattt ttttgtcact gttgctactg
48061 ttaagcagtg gtctcttgct aaaacacaac ctcactcaga aaccaatata taaagaaagg
48121 ttccctagat gaaactgagt gccccacaga aatgtctggt tcagtctcat tattttacaa
48181 ggattgaaaa ggaagccaga ttgggagtcc Ytcccacggt ctacatctag agtctggact
48241 tacttctcac cactcctgca cacactggct cttcccaggt ctcactccac cttttccttc
48301 ctgccaagca tgctccagca tcacatgctg cctccttttc tgggagcact gttgccacag
48361 tcttgataca gctccttcgt gttgaggttt cagctcaatt ttgcctattc aggaaatttg
48421 ctggtaccaa ccactctctt tccttcttta ttgagagaaa ctcagttgca taaaattgga
48481 ctaatcttaa tctttggttc atgaagcatt ctcatattgg agccatgcat ggtttccttt
48541 actttcatta gttacttaat tagttatttt aaatgtgtac taattacctg tcagcttaaa
48601 gcacacacaa aaagctagga tcttgataat gacttacatg tattacttcc attaacccgt
48661 ccctatgcct tctccaatct gaactctgtg gtcacatcat tattttcagt tatatgtact
48721 ttcattgcgt ccatatataa catacacaca cacacattat tttagttgtt ttaaacttta
48781 gtaaatagtt atcagtctgc atgcaatctt ttaggactta caatttttat ataatatttg
48841 attgttgaac ttgattcata tattcatatg ctactcaagt tcacttattt tggttaccgt
48901 taagtatctc attgtgtggc ttattcaccc atcagttact ttctacgtca tcactctgtc
48961 ttatttgctt cataaaacat agcagtattt gtagaacata ccaactttat taatttgttt
49021 acttgtttat catctgcttc tcactgctag gacatacttt ttaaaggaca gagatatatc
49081 ttatttatca cgctatttca aattattcat gtaacatata ttgcattaaa aaaatgaaaa
49141 aagaattcac tctagacaaa ctgaacacct tgagtttcct taatatgtca ggttgtttct
49201 tatctattgt ccttccttca ttgcctttaa agctctgcca cttagatttg tgatttgaag
49261 cagcctaaca tacgcctgct tctttttact 'tatcgtctat atttacaaat ttaaaatgga
49321 tgacttatca taaaaaatta taaatgacat aaaatataca aaatgcctgg cacattctga
49381 atggtcagca aatagtaaca agtatgactg ctactccaat cacatYactt ggagtgaata
49441 taacccccat ccccctgggt agttttctca tccatcaagg ctcagcaaaa gtttcaccYg
49501 cttcagggaa gctctgagat acctctctat cccctgtacc tatcctaaca ctagcacact
49561 gctctgaatt tgttattcta cttatccacc cccatatccc acaactcttt cttggggact
49621 gtgtcttatt tgtttactta ttgactagtc ctctttcctc taatgccatg ttaaacaagt
49681 accctttgag tggctcattc cagcttccag ttattgtaaa tcacactgga ttttattaac
49741 ttgagggcat catcagtatc tgcttccctg atctctatgc taacaaccca gttaagaaat
49801 aaggggctta atcaaggtgc taaatttgag gagcctactc tacttggcca aataactaat
49861 gggctctttc ctatgacacc ctttctttat aatgattccc tttttatttc gtaccacttc
49921 tattttactc ttttgactta aagatacatt taattattag cctttaattt gtttatttct
49981 atgtttgatc ttttaaattt cctactgtta acaatatatt tttagttaac tttatagWag
50041 cttctaaaat tagcataact aaaataaatt aacgttgaat actagaaagc aataaacatc
50101 attccaaaat gaaacaaaat aYcaaaattt gtataatttt catattttta tcaatgcaat
50161 aaaaatataa aaatgtatgt ttaagtaggt cacattaaaa aataaaatac aacccaggta
50221 gcagaaatgt ttataacaat gaagtgaaat gagattacat ttcatctacR tgatctttta
50281 attatatttt tattaatctt gcaccattaa ttaatagggt tataagacag cacatttaac
50341 aaggactgca tagagcactt tgatatggcc acataaggca tgagaatcta atactgatgg
50401 tcatatattc tataaaactt aacatatacc aggatgaaaa tagagtggaa cacattaaaa
50461 tgtaggttaa aaaaataatW aaaaaaaacc caagtcataa aagcttatgc taaattaaat
50521 acagagggat agaaagaaaa acagcaaaca ttatttgcta atgaaaaagt acttagcttg
50581 gagatgaatg aataaaaatc ataattaaag aatctctaat taggctcatt ctaatgtttc
50641 agttcttgta agacagttcc aactacgctt tccaaaggtt tttcaaaatt tcagagttaa
50701 gtggctactg ggacaacaaa ggcaaccctc gtgtccactt caaacaagtc cagtctaata
50761 ctgaaataga tgttttactc atgaagggtc atgttatgtg tgcagttcac tgtgctctct
50821 atatcaattg gataatgaga gagcttttca gggtcttgtt aaaaacttta gccagatgtc
50881 accccaaatc accaccacta atttccgtac tacaaaacag cctttgacct aatgagtagt
50941 caaatattcc agctatggct ttttcttagt gtttctacaa acatgactgt tatctaagaa
51001 aaaagactaa gaaaaatcat tggaatgtta tgtttcctaa caaactatta agtatgattt
51061 agttacttaa aataatagta atgttgccag tcatggtaac attaatacct gtaatcccag
51121 cactttggga ggctgaggtg ggtggatcac ctgaggtcag gagttcaaga ccagcctggc
51181 caacatggtg aaaccccata tctactaaaa atacaaaaaa ttagccaggc gtggcagcag
51241 gtgcatataa tcccagctac ttgggaggct gaggcaggag aatcacttga acctgggagg
51301 cagaggttgc agtgagccga ggtcgcgcca ttgcactcca acctgggcaa caacagcgag 51361 actctgtctc aaaaaaaaaa atagtaatgt cttcactgta cttttaaaag taaatcatcc 51421 atttgtattt ctttttaact agaaactaga ccagaagttc tgcagtaaca ggacaaatgt 51481 ggcgtcaagc caaggtgaca cactcatttt tgttcttccc aagaacatct tcagctgtct 51541 gtacttgaaa gtaaaaggtg aataaatacc tgaatataaa aattcatata gctactgtag 51601 cttttatacc tatcatgtca cagcattcaa attagttttc agtaaatatt aactattatg 51661 tcttactcta gtgatagcat ctccacagac ttgaMatata agccatggat ttgaaaaaaa 51721 agttgattat tatgagagat gcatatgcct gagtattctg tccttactga gaataatttt 51781 ttatatctta caaattaata agatacgttt agagcatagc actcttcaca aaaatacatt 51841 attaaaacta aaaatacatt tttctcttta agaactgtca caaataaaat gattctattt 51901 atgtattagc ctttagtctc tgataattgg atttatcttt taaaatattt tagacataat 51961 gcattaaaga taaaaactct ccttatcaaa tactgaaata tgtttcttga aataacaatt 52021 aaataaatat atgtatgtgt gtgtgtatat atatatacac ataaacgtgt gtgtgtatat 52081 atatatacat atatatacac acatatatgt aaccagcatc cttgtgtatc agaaggggtt 52141 agattctagt gatggcaatt tcaaaaaggg gctggcatgt aaagtaaata tgtgaaccat 52201 cctggataga acagggagcg aggggtcaga ggatagctga agaacacatt ccctgtctat 52261 acgcattgat attaaaatag tttgatgcac tgaattgaat aaactacata tatatagttt 52321 atatatatat aaataaataa gactatatat atagtttata tatatgtttg caggtgatat 52381 gttgacatat aaattagaat tcttgtgttc aaatttcagt ttggcagcta tgaaatctct 52441 agaaactgat caaatatttt ctaggttcag atattctgcc tgtgaagtga ggataacact 52501 tccttcacaa gtaaaggaaa aataatatat aagagtagat ataaaaactg cctggaacag 52561 tgcctgacaa acagcagata cccagcatat tctagaatcc tttccccatc cccttgtaat 52621 cacaatctat caggatgacc ttgggtgcaa gtgcagtgaa gtatcatatg gtttttcaag 52681 taaggagctg atgattgcac ataagtactc tagaaataag gcagctccct gactggttaa 52741 ttcaattact taaagatgtc ttaagtctaa ggacgtctta gttttcaggt tctctccatt 52801 tttctgctct gccattctca gtgttccact gaaaagaaac tcctttacat tgatttcttc 52861 atccagtaga ggaaaccctt cccagaagct tctcagcaga gttcactttg taaatataag 52921 gcataattac aaaagattcc cataσtctaa tcaagacctg gcaaggagaa tggactacaa 52981 tgatttgttt agactcagat ctagctctga gctatagata gatatgatca tcttccctga 53041 gggatggata gaaaaaatag gaatttttct gttaagcagg aagaaaagat atgaatttgg 53101 attggcaacc aaccaaggat actcatgttg gattctgtaa atatatcaat tttcacttcc 53161 attaatttta tgattagcat aattgttcaa gcagaagcag cattcttggc taacatggct 53221 caggtttcca ctgagtcatt ctaatatcaa gctaaatgaa tatcagatta gactagacct 53281 ggtcattttc aaactatatt aaagtatcct ttttaaaatg aaactttcta gaagagtccc 53341 aatttatcta ggagataaaa agtagatctg cctggttgaa ctgaagcatg gtatgtgact 53401 gtaccccagt tcactggatg ccacccctag gtgcatattc agagcattta ctatgaaaaY 53461 gagtgtagtc gatctttaca gtcccttcta gacctttaat tttatgtcta tgaaacWgac 53521 aatatgtcat ccttccgcaa tttgctaSca tgtcagtttg cttcaagatg tgtttgatgg 53581 gttgcatatt tttatgatac gacaaaggag tagtataaag atatcagaga aattaccata 53641 taacacaatt gaaataggct agttgaaagg aaaatgcaaa atcaaaaaca aaacaaagca 53701 aagtcactgt aaattcaccc tgaagcaaaa ctggaggcag tgcaggagaa ttctagtccc 53761 ctggaaaggc aggtggcaaa gtcactgcga ctgctcaaca acttacagac tcttaacagc 53821 agatctcaaa ggagtgatga tgaaaacagc tgcagctgct aaccagagag taggggcaaa 53881 atacatatgg atagcttgaa ctgtaagatc tttcgtgtaa atttttgttt tatcaacaag 53941 tgggtcactt aaaaaaaaaa aagaaggggg gtaggggcaa ctgactttaa gggaagaaga 54001 cattttttaa ttagatcata ttaggagaac agttaatatt tttttacttt gttccaaata 54061 aactaggtag aaatcaagat aaccaataaa atattcctga aagactcaat aaatatcgaa 54121 tttgatgtca tcaatatgga agtgggccag tacaaggcct ggaaacagta aatctcagca 54181 gatatcaata caatttgttg tagaatctga atctcacaaa gtgaaattta ggatcacttg 54241 ttcagcagca gggtcaaact taaaggtgga gtaatagcaa tttaccttct tgatgtacca 54301 cttgggtaat ctgtgaaaga tgctggcctg taaggagaat ctaaagtctc ccagggggac 54361 caaatttcaa atggtaaagt catatagatt ttaaaaacct attcatatat tttaaaactt 54421 ttttcctaag ctaatgtagg ccaaagcttt acattcagtc ataatgcata aacatgtcaa 54481 ccacaatcct ttactgagag atcctacaat ctcctcatag ggaatatttt tccttaatat 54541 ttttagggaa agatcttttt taagcccatt aaagttgcaa aggctaatga aatgttaaat 54601 aatgggggat cttattggat ttaatcatca ccccagctct gcttcattaa ccatctctgc 54661 tcagccttcc acaacttcag ctcttcaaaa gttacgcaaa gtaacaaaaa tacatctttt 54721 gaaggctgat ggagcaaata atccagatga atatttagaa atgcatggct ccattgtgat 54781 ttcctggttc tctaccatgc catttttctg cctccagtat gagttagcca caaggactct 54841 ctacataaaa ccactctgac acttgaagtt ttatgtgttc aggaaagggt aaaaacacta 54901 tgcaaggaat atctaattgt ggtttaaaat ttctgttgac tggaaaaaat agggcatgtg 54961 agattcttga ttaatttttt ttattttgaa tggtcctaaa atttcatctt atgatgtata 55021 atcaatatga agtcacattc agtaaataga gtcatggtta atttgaagca gatcctaaaa 55081 catttaatga aaaacatcat ttccactcac cttcattctt tcaaagaatt cagtctttga 55141 attcctatgt cattttattt tttggtaggt tctgatgaag acaaatcatt tgcttatgga 55201 tactttggct gagatgcatt taatgaaaga ttcagtaccg tgaagtaggt catgatcata 55261 ttaaatgaga atacaagcaa atattgatac aagtgaagca acaataaagt tgcaaaacca 55321 aggggaacct gacctacgag aaatgtggga gtgtgtgttt gaggaacagt tgaatacctt 55381 ggggttgcag ggttgaataa aggagcttcc tagaattaga actgggaaga gtatacaaga 55441 cacataaggg aaaacttaac agtattgcct atgtttattg ctacttaaaa ggcaaagaaa 55501 tgctaagtat aaataaaaat aagccaacaa aatcatgtca ggtctttatc taaaaatagg 55561 ttgtataata tatatcttgc cttcttgatg gggatttctg aagaagttag aaagatgaag 55621 tgagttaacg atggaaaaat attttgtaaa tgatggctgc tctgggagtc cccaacatta 55681 gccttcattc agatatatag acacacgggt ctcaatatac agttttactc atggataaaa 55741 ttgattacag caatgaaaat aagaacacac tttcagatca taaggtaaaa agtcacaggc 55801 agagtctgca agaatccata tgcaaactta cttataccca cttcctccca tgaagggtta 55861 cacagagagc attcttcccc cagaaataaa catgtagcaa catgtgtgtg atatttctac 55921 gagggaaatc cattagagat ttaggcatcc aaaattttta ttagaaggta gtcacatata 55981 ttggtactct ctgcttagta cataccaaac ttccagagtc atagaaggaa agcaggtgtt 56041 cagcataaac cacattgttt gcacaacaat cgaaggacaa tagaccatgc atatcagttg 56101 aagaatagtg agaacactac aaatattcaa cttcccaaac accagacaag ggccaatctt 56161 gcaagcaagc ccttctatga atagcagttt caggtctgct gtgttaatta actcttttct 56221 gcacaatgac agctgcaaaa tagcttgcta tatattatta tataatattt cggtaatatt 56281 ataaattaga aaagattata tgaaatgagg ttattaaatt ataaggaagc tttagtttta 56341 ataagaaatt atgtgtaaca tacaaaggca caatgggagc caaatagtta agtacagtag 56401 aagtaagaga aaagtttttt aaaatattgt tccatctcta aaaaaggaaa ccagttttag 56461 gcaatagaag aaaaatgcca ttaagcaact tttaaaactt cttttatggt tccaaaacca 56521 tttgattatg aaatacatct aaataataaa ttttggtggt taaacttcaa acatggcaag 56581 attatacata aaataSatct taaaattcta taattccata tcacaggata ttgtgcatga 56641 taaattgttg acaggttaat cctaatccaa atctatgata ctgaatctgt tcgattcaca 56701 gctaaacatg acttgaagag tttccaccaa agtgctccaa aatgcttata gaattcagac 56761 atcaattcta gagggaaagg ttaaaagtac ttgggttatt gaaccagtag tcaagtgaat 56821 gactgaaaaa ctcctctcaa gtacataaag ggctcttaaa tagattctct gcaccaaaga 56881 aagcaYgaga ggcttaatct aaagcataga ggattaaggt tagataaaag gaaaaattta .56941 taggcaagga gagttgttta acacagacat gtatcgtaga ttctcctcgg gaaatattaa 57001 gacttaaagg cttatgtagc aaagggttta aaatcataga ctctcaatcc aagctgccta 57061 gggttgaatc tccttctcac taactaactg ggtaggcttg ggcaagttat ttaacttctc 57121 tgtaactcag tagtctccac atctttaaaa atgaaatact aatcgagYtt gtgtgtgaat 57181 aaaaaataca cataaaagcc ctagaatagg tcctgtσatc tctctaggca ctaggttccc 57241 atttactaat gttgtcattt tctgtggata atatattatg ttccaggtat tatacagggt 57301 agcaaataaa .gacagatggt gagacaatgc agttatagag gtgaatcaga aaatgactca 57361 tattcttgaa gaaacttcta atctagtggg gaaggtggtc ataaacatat ctacaaagca 57421 catgggagga gctctgtggc ccgtgctgag ggttagctga atgccaaagt ggactgcttg 57481 ggtaccatca ttcagatggt gaattacaca gtgctatttc atgggtaatg actgtgaaat 57541 cagagtgaaa aagtaggagt accagagtgc ggagaatcaa cagcagagct ggtgtcaccc 57601 tcacttgtgt'tcgctttcca tgtattgcaa ctttctgtag tttacaatgg cccacttgag 57661 tgagtttatg aaagtctggt tatttgagta atttctgtga gtgtgtgtca gcggggtggg 57721 ggatggtggt ggtatttgat cctatctgaa agttatccaa gctcttgact tccaataatc 57781 agtaccagcc atcatctcta catagcctct gcttcagtca tcccctcagt gtttaacttg 57841 agataatttt aaaacacatg ttaaatatca catatgatac agctttacct ttaaaatgca 57901 gaatattttc cacttattac ttagtttata attactatgg acagcatatt cttgaaagca 57961 gctgttataa aactcaagat attaaaagtg aagtttttta acSattcttt tcccattgtc 58021 ttcacttcaa ctttcaaaaa caaatacaat tcatatcctt attgcagttt caggcatttt 58081 ctgcttatgt gggtatRtcc aaaaatgtca gtgtaaaatt ggcattatat tgtatgtaaa 58141 caaaattcaa taatattaaa cccttcttaa tgataaacat tttatagttt aaaaatatat 58201 ttgaaataga caaataattc cagaaacaca ataacgggtc tgtgattcgg actaacgggt 58261 ctgtattgga ggtcacagct cctattttaa ggtacagtgc aaactggatc accttccaac 58321 atgttggcta gaactgaagc taKtgaactc tgatttttca cccaaggaaa agctattttc 58381 taagcatcct actgtgaaat ttgcttacag caagaaaaaa gaaaagcaga aatgatttac 58441 caactgaata agtgtaggta attttactgt atgtgcattc ttaaatgttt aatacaacaa 58501 tggaccacct ctttgcatgg agttaaagat tcctttttac ataatgtgtc ccaataaaca 58561 aagaagcaaa atattgaaag aaataaagag agagagagag ggagagaggg agagagagaa 58621 ggaggaggag gaggaggagg aggaggagga ggaggaggag ggaaagaaag aaagagagag 58681 agagagaaag agagaaagaa gagaaaagaa aagaaaagaa agaaagaaag acctaattgt 58741 cacccttcac gctcatattt ctcttctgtg ccttaagctc tagttcactt aaaaagtagc 58801 tcttcatgga gaatagatat acaagatata ataaaaaaaa atacttgacc tctaggggct 58861 acataacact tatgagatgg gtatagagaa aactgtatta taagcattaa ggtgaaaaag 58921 attaaaagta tattctgact ggtccccaaa acaattctca actaggtttt tttctcaggt 58981 gcatgtaact atttttccac agtacagtag atccatacca caagaagata gtcatgagtc 59041 atcattcaat ataataataa caataactgc atatttctta ttctgcagca aaatcattga 59101 cataaatatt ctataatcca aatctctttg taaRtatatg gtattggtac tgaaagataa 59161 aatgcttaaa acactggtgt aaattaaaaa catgtcttga tttccttctc aagtgttgtt
59221 aaacactata ggtttacatt catattacgt gtagttctct atgccaatgg tctccaagat
59281 gggtgagtgt gcactcctat gtacaaaaag acctactggg ttaaaaaaac aaaatgttaa
59341 aagttctatt cattgtttta ttttaaaaat aagaagaaaY gaaactaagc tttgctaata
59401 ggtaacatgt agactgacac tgcccttact tagtgggtat tctccagtcc tgttacatgg
59461 acaggatgga ggaatcatga aggaaaaact gaagctgcaa cagaagagga tgacagtgaa
59521 gctctgtgat acggtttggg tgtgtaccta cccaaatctc atcttgaatt gtaactccca
59581 taattcccac gtgttgtggg agggacctgg tgggacctaa cagaatcatg gSgtgggtct
59641 ttcctgtgct gttctcatga tggtgaataa gtctcaagag atctgatggt tttctaaagg
59701 ggagttccct tgcacactcg ctttgcctgc caccaagaaa gacgtgactt tgctcctcct
59761 ttgccttcca ccatgattgt gaggtctctc cagccatgtg gaactgtgaa tcaattaaac
59821 ctctttcctt tataaattac ccagtcttga atatgtcttt attagcagcg tgagaacaga
59881 caaatacact ctgccttact ctcacttgta acgtttgccc tcagcatatc acaacttgct
59941 gcagtttcca tggatgggcc tgcttaagga gttgatagat ttatgatcca gttttaatta
60001 aacttaacct cacaaaaagc ataaaattgg ctttaaaaaa ggttcttcag aactattgag
60061 gaaaacatga atttttcctc aaaaacagca caagaatggc taagctggtt ctcctaatag
60121 tgcaagttct tcatggacat tatgcagtag acactgtgat gatccaatcc aatcagacaa
60181 gaagttgaca gaaattcaaa aatatatgga tttatgtcca atatcattaa tgataaacct
60241 tgattcagca aggttttgtg cttgaaatat tatctaataa tagcaatgca tttatgtaat
60301 ttataaacaa atacagtatt tgttctcaac aatggggWRt gcaatttaaa ctttggagat
60361 caagtgggac acttgccaaa tgctttagac taagtaaaac attttactaa tgtcacataa
60421 taaaatgtat tttttctaca ttccctaaac taatggcata taccaatatg tgcttagatt
60481 agtcaattct gttatagtga agaatataat tcaaattcag tgagccaaat tttacactaa
60541 tttgaacatt gaaaatttga aattatacat taatatactt tatgaagaaa attttagata
60601 attccctcca caaaaaataa aatcaagaat cttataattt caaggctgga aaactgaagt
60661 tgccactata gttagataaa tgtgctctta ttagtttcca atgtgctata tttgtgttta
60721 cagacaaagg atttctctga gtaattgtgg tgactattgg gctattttga Yactaacagc
60781 tattgaagtc aaaattaact tttacaactg taacaatgtc aaccaaaatt catcaagtaa
60841 tgattctaat tatggttctg aaatattgtg cctgacaata acatcatcat gaaatgcttt
60901 aagaaagcaa aatgatacca tgacacattg tattgttact ttaggccaca ccttttgaaa
60961 tattaaagtt agtgtggaga aaataaaatg tggcattaag gtaaggtata gtataaggat
61021 tatatatttg gatattttga aaatgtgtta ttttcattta tcctctgata catttcatat
61081 attattttat tatttaattt taaatttatc tccatgtttt tattccacca attaaggaac
61141 aattagaata tttaatatga ggccttcaaa aatattttcc ttaaatgaaa tatggcttcc
61201 ctggaattct caaatgtcta caatacattc acatatgatt ttaaagcaga attaccaatt
61261 gtatttgact tgattggaat taaaatttgt tagcacctgc taggtattca tcagttgcac
61321 agtgggaact tgtagcctag tgaatctaga caaatattta aaagttggta atggataatt
61381 cagcagttaa aattatatat ggacattttt gcctgacaat tcatgtttca ataatttttt
61441 ttcaaatatg tcccagaatt accaccctca aggaagcaag tattatttac aattctgtcc
61501 caaatttcta aacatatgtc tgtttattaa gtcaaaagtg atggcaaRac agcaatttac
61561 caattcctaa attaagttgc cgattataga ttactcttaa agttagtaat taaaacaagg
61621 tgatttgaat ttttttgaat attgttgctt gctggacaaa taacaatatt tctgaatttc
61681 tgacatgttg tacatatcac aaaaaggaat aaggctgttg ggtttttttt tggtagtaat
61741 ttctggtagg aaataaaggg gttgatatta gcaaacattt ttccttgtta atacaatgtg
61801 tttgagattt caaatacgtt tccacttttt ttttctgaca taaatctgta aacacacaag
61861 gtaacaattc attcaaactt gagataaatg tagtcaatat cttttctgga aaatgtattt
61921 tcaagaaata gattattttt gtatgtgact acaggtagtc tcaaataaca catttcaatg
61981 tacctatatt gcaaacataa tgtgtacaac atagaatatc tcctatcttt ttcagtgcca
62041 cattgtgata tttaaagtca aaggaactgc cattaaaccc tgcctaaaca ttttattttg
62101 ttaagttatt caggaatagt ctttgaaatt agaaatatca cctcacctcc cgccactgac
62161 acaaacactg agtttattta tattcaagat ttaattctct attttgaata atttaaattt
62221 aaaagatatt taaaccaaag aaaataaatt tgaatccttt caacacaggK gtcgtatctg
62281 tctttttaaa ttattacatt ccaaatgact ataacagtgc ttggccggta gttggcatgc
62341 tgtaactatt tgtggactaa ataaacacat tattcttaca aacaaatctg atagctacat
62401 gatcctggac aactccactt cttctggtcc actcatcttt aaagttataa aacagttaaa
62461 atcattcaat ggaatagttg atgtttataa tagagactca tacaggcaaa agcactaaca
62521 gctattgaag tcaaaattaa cttttgacta acataagttc tatgttagtt tgagacatga
62581 aaaccctaat taaagaacat ggagtagata acattattct tattatgttg ttttgaatat
62641 atgtttttaa tgacttgcct ctactgatat ttcctttttg actttcacta tttatcttct
62701 cctagaaatt gtagatgtat ccttaaatca acttttaaaa agtcagcttt catattgggt
62761 gaagacaaat aatgttccaa aaaagccagt ctaaataaga agatgcRtcc tagagctttg
62821 cttttttagc tgtcggtact agcaggccaa cactcaggct ggtgcacatg tgcgtgcgtg
62881 tgcacacaca cacacacaca cacagcatca aaccaggata gttttgcata atggctctag
62941 aagtcattgt ataccacaga ctgagaaaga ttggtatttt aaaagtcctc ttgccttata
63001 taactttgaa gagaaaaatt taaaagatag ctattcttct aaacaagtga ttggatggca W
63061 gcaaaggaga ttttaaaaat gtttttctag acatccttaa gctagtttta tgtttatctt 63121 agtttcgttc tgtgttccct tttaatgata tgtgaagtct taactagcaa aaaaatattt 63181 taatgagctt tcattgtttt aactaccaag aaaaggctat ttgctctgta taaatatcat 63241 aaatgatcat gtctactcca taattagtgt atatcactag tacttgataa atgtattaca 63301 agtaaaaatc taagcaggtt tgacaatatt tataagaaaa cgtgactttc ttaataatat 63361 ttacagatga tgccttcata cacaaagaaa atgagtttca gaggggtcaa atgaattgcc 63421 aacttttcac agagagcaag agaggttgaa gtggattttg aactagttta ttattaatgc 63481 tgatgttttg tttattctat ctacactgcc tcacacatag tgacagactt cgtcaaataa 63541 aatccctgaa aatacacatc cctggctatt tcaagttcta tgttagtgtg agaaatgaaa 63601 acactaattt ttttgactta ctagatgaat gaacacatac gtaaagtaat atttattaat 63661 cattaatcac aatagttatt ttatctaaat atcatactaa gggcaaaaac atttttaaaa 63721 gtaagttgat ttttccaaaa ggtggttgaa aagtgtgatc ccttattaaY accttcacat 63781 tttatttgga taatagcact agatattttt cacttatctt cataaccatg tagatatagt 63841 gttgtgctca tttaaaataa tgataaatga ataaactaat tttcagaatg ataaagcaat 63901 ttgtcaaata tctcaactct gataaatatc tgacccatgt ctcttgatca aaagctttat 63961 ttctctcagt tgaattWttg attgctaacc tagtggtctg agaacctctg aaattgtatg 64021 tataactctg tgtggactgt Ygagggagaa gcttcataac tttctacaac atctcaacag 64081 acttgacaat tcaaaattct taagaaccac agatgacact tttataaaca ttatatataa 64141 tagatttaca tattttcaac tgttgtttgt ttagtttggc tgcattcaca ataatggatg 64201 atacatgact atagtatttc ttcaatattc cagagtgaca ctgaatttta aatacaatct 64261 attgaaatct aacgactaca ttaagcacca tttaactgtg gatattcaat gcctgagatt 64321 actcagtgat ggataaccca cacatctttt atagactaat ttattcttag tgtcctccag 64381 caaagccatc aggcattctt gggacagctg aagggcactg cactgagaga aagaaggggt 64441 ggcattcoat ggaagtcatg atggtgttct tcaccaattc ttgtagcatt gggaggcact 64501 ctgctctgaa ttgaaggaag catggtcagt attgtcctca aagagagtgg gctctgtttt 64561 tgttttcagt ccattccctc tttatgagta acaggtggaa ggtttcccca aagctcctgc 64621 agcatgccag ctcccgacta acagctggca tgaatactga gcaattgtcc tcaaatatac 64681 caatacccta gacaaatcaa atcagaaacc acgctccatc actatcccca ccaccaagaa 64741 aagtgccaca tcagaattgg taaaagctgt tccctgggtt atttaagtag gtagccaagg 64801 ttaagaactt ctttgttcag taaagccatc ctaggcaggc aaaatctcat gagacgatat 64861 taacacctat agaggactgg ctgagtatta ttcccagata ggaatgttaa aagtctttgt 64921 ttcttcattg ctgtttttgg taccagcagc cagctaacac agttagcagt ggcttcagac 64981 ctctcagggg atctacaaat ctctcactag ctcaccagat tgccttgatc acaggttgct 65041 gggcttgtgt ggaccatgat tacaaattta agaaacatgt atttttagcc ctttgtgaat 65101 gggaacctca atctgacttt agtacatcca acttttgtaa tggttttaga aacaattttc 65161 tgggaaaaaa agaagactct gtattttatg tttggctatt tgtttaaaaS ttgaatgttg 65221 tgcaaaacgt actcatctat tacaacttgt tcaatcttat ctactttttg tcagagtgac 65281 ataagcctct cctcctacaa ggtacaatag ctatgctaat ttgctagccc ttttgttgtc 65341 tggttatcaa aagccatgag tgacacttag gatttgagag catgcaaatt atttcttaat 65401 ctttatgtat tccctgaatt gtcaattaca cttaagaaac gaaaagaaag agaaagcact 65461 atttccaaca aataagcata actgacaatt tttttcaact acaatactgt taattgttgt 65521 tttttttttt catttatagt gaatatcatt catgttgtcc actctaggaa aaaaaaatca 65581 tccctagggc atttccctct agcaattcta gttttagcca tatcactcac tgtaacagat 65641 gagattaatg cagcttttca accatcttta ggaagaatat tcagatgctt tagcagctgc 65701 ccagcttctt aagaactcac taatccttta atctccagac actttttttc ataaaagatt 65761 cacaagcaaa acaaatgcaa tatggatcaa aaaatttaat cagaatgctt aaaatgcaat 65821 tacattcatc agggtgttct gttaggctgg gtattaaatc tgggctttat tcaatatcct 65881 ccttttatta taaagcaata tttttccact ctgtaaacca tctgatccct aggctaatgt 65941 cctctcagct taaatattaa aaagagagcg ctatgaaaaa tgagctggag aaatattcct 66001 cttatttcag tggaaaaagt tcaaaccagt ctcttcctga aatcttgttt tataaatgac 66061 cagataattt gaccacctgg aattctaaag ttacactttc aaacagtggc tgcaggatca 66121 ttatcctact ttaaatgtca aatgtatatc ctcctacaca cctcctcaat tgagtaaaaa 66181 atgtcaacaa tttgaacttg aaaataatag tctatttttc cctaattcgg catttgcaaa 66241 gtctgaaggc aatgctgatt tcttcatgca agcacagaac cctgaaaagt ttaaaaaaat 66301 ccatcttagt tatatttctc cagttcccta tttcacatct aatagcattc aactgtaaca 66361 atagctttga aataaagagc tgtccagcac agcatgattt gaaacagttg agtgcttctt 66421 ttaagtctat accctagcta taacatggtg gttggagttt tgtaagacat atggaagtta 66481 agtgaagcag tggaggaagt tcaaggattt cctctgacaa atgccatcct cagagtaaga 66541 gaaacttggt ccataaatgc agacacacta acatcttgag ctgtgcttaa catttaatgg 66601 attctttgta aaattagtaa gtggcccaat tatgcaggga gtcagttttc cctgtttcct 66661 cctaaaatga gtttgtgcaa ataaaaaata attaaatttc acttttcaat tccaatgttt 66721 ccacattaga tgaaaacaga aacaattgag cagtgaatta tcatagtcct atattcagtc 66781 aacaagcggt tacaataacc aacaagtagt tactacaata atgttaaaat ctatcataca 66841 taattaattc atttgccact cattatgctg ccaactgagc ccacatgaag ttacaataag 66901 gatttgcaag aagatttaag gtttcaaatg gcccaatgca caactgactg taagttatct 66961 ataaaggcta gacaatggcc acaggcaaag atactataca gcaagcttgt ccaacctgca 67021 gtccacaggc cacatgtggc ccagaacagc tttgaatgtg gcccaaaaca aatttgtaaa 67081 ctttcttaaa acattatgat ttttttttgc aatttttttg gctcgtcagc tatggttagt 67141 gttagtgtat tttatgtatg gcccaagata attcttctaa tgtggccctg ggaagccaaa 67201 agattgtaca cccggctaca gccatcactt ctattaccag tagtgcaatt attgaggctt 67261 tcctttgtgc caggtttaat atgcactaac tgattaaatt ttcataatag cgtgatgcoa 67321 ttgtgtgtat tatacaattt ctcatctagg ccgtttttgt ctaactttga tatatgtggt 67381 tatagtaatt actcttgttg cagataagaa aactaagaag tagaaaagtt atataccttg 67441 agcaaggcca tactaaaagt aagagagaca gagcggggct tcaaacccag gccgtctggc 67501 ttaagacccc atgttcctaa ttctccagac taattctgcc ttccaaattc attctgtatc 67561 ctctatttaa tttcctatct aggcctgttt gtcccaagtt attttgaagc atacagttta 67621 aaatattatc tacctgatat tggctcaaca agtagaatat ttagaaacac agcccctagc 67681 taaagtgggt ccatttctgg gtataaagtt tgtaccacct tgtgtcatct gtgggatagg 67741 ccacatccag acacagcata gcctgtatga cacagaaaga aataaaaaca aaMcaaaaca 67801 aaaaacttgc aagtaatatg gtgtgataag acttctttat atggaaattg caattgaacc 67861 tggaatcatg gcctgtcttc tagtctagcc taatggagta aaatgacaca agtccattgc 67921 tttctgggct tgtatgtttc tcaggtctct oaaggctgca ctgaccacct gacttaggga 67981 ctgcctcttt aggaattggg aagcaatatc tattaatgtg tatcctcatg tataattgtt 68041 .ctgtttatgg ataaactgaa gggagaacaa tcttgaacct attcaaagat gtcagtctta 68101 taatactaca aaaccatatt ggtctttgtg gccaatcctg ccacaaaaag tactatgcag 68161 ggaagaatcc aatagactag agattaggca cctggaagtc acccaacaca gtatagcata 68221 ttcttggacc tctttctaga gatttcaaat atgaggggtg gtggagtgta atgcatgaat 68281 aacaaataga atatatcaaa ataaaacagt agtttatcag ctggtatgca actagcagat 68341 gctcagctga gcttgacatt tgtcactcct tattcttcat ggtacataaa tttatttcca 68401 aagtgattgg tatgtcattg agcaaactac atacaaaatg actttctcag caggtaatgg 68461 ttcaaatttt atgcaaaacc taatgatttt cacattcaac tattttttaa atccctgcta 68521 attcttagac tgtggaaaac tatgaatggt gtgtatgtaa ccaataaacc aataagtaca 68581 gtgttttttt cctatgcaga aatatggaag acatattttc ctgatagata tcaacatgaa 68641 aaagtattat gactagatag ttctgcttta taaatagtat gcatatatta tttatcaccc 68701 aatctgagat gattttgata gtggaaatat acattaataa ctaatactag aaaaacagat 68761 gggagtattc taagaaagct tgtgcatggt taccatattt ataaagtact acagattaat 68821 ttgtactttt attgtatatg atttgaagtt tgaaatataa ttcctacttc tatattacaa 68881 ttaattaaag caatttcaat gaaacagtag tacccaatta ttatagtaat aacacataat 68941 tattttttct gtgcaatgtt taattattaa agttgatatc tatcttgagc aagattcctt 69001 taaaataggt atatggtgct aactcttaga tttccaacta tgcccagatc ctttatagac 69061 atatttaaat gtacttctta ctattgtttg aagatgtaga gaagcctact cattattttt 69121 ctttctttta aggcaatatt tggtttttct ttttactatt aatgtgaaaa attactaaca '69181 tctcatttat aaagataaaa ccatacatag ccactgaatg gcatttttat taagatcatc 69241 tttctatatt ggcattccaa agagtagaac caaaagtata tcttactgcc cagcaaaatg 69301 caaatgaggt ggagaatagc acattttatg cacaaatagc atgtttggtt ttaataatga 69361 ctataggata aaaccacaaa ttattcaaat aagggtttct ccatgaatct cagcttttaa 69421 tctcttgcta ggctgtttaa aaatatatac agaattgacc aaactgtttt caagacgctg 69481 cctgcaatta tcacactgat gctttttaac atttctatct tccatccaac cttctatgct 69541 tccatcgctg tttgcataga accatatatt tattcactga aagttaccag ttcttaatta 69601 cattttgttt ccatttaagc tatggtagta agcagtgtat tgtaatatta gcaataatcc 69661 agtgagaatt ccccaaaatg caatgctttg tctgKgttgg tgcttaaatt gtattatatg 69721 ttgagtttag tctttgagtt cttccacttt aagttactgt tctcttattc tctaagaagc 69781 agtatatatg ccttttattc atatacatat tcatatacat attcaacata tatgtagtgt 69841 atatatatgt tgaataattt ttcaacttgt gttgaatata tatatgtata catatatagg 69901 gtttactctc tcaaacaaca tacagtcaag cagagaacaa aggtaattag atatgatctc 69961 agatatttag aagtatatta aacaacaggg tacagctttc tacaggcatt cagaagccag 70021 aacagatgcc tagttgggat aactagagaa gatattgata agttaacaat tgacagagat 70081 ggtggaaata ttcatttcag ctgggggagc tgtcatgtat gattagaagg agcaaggtgt 70141 ttggagaaca gYattaattc atatggctgg taggtatttg acatgtaggg tcagagtggc 70201 agatgaggct gttaggggcc agatcatggc ttagtcatca agaattcaat attatctaca 70261 gacaggtaag acagcactat ctaaaattat ttttcttttt attagaactg aaagataatc 70321 taaaactaag taataatatc aattatatta agacactgaa gagtttagat tctgatgtgt 70381 acacaattat atgtatcagg tttaaggcag cacatttgga ccttgcaatt tgactcaaag 70441 ttgttttgac tctgctctgc ctgatagtca atacaactga taatctgcag ctgatcttaa 70501 attgtctcag atactcatat tgaaaataaa ttattacctt tagaactaac cagcctgcaa 70561 taaaactaac aacagataaa gtagtataca acactttttg ttttgaataa aaattgaaaa 70621 tgatgtacaa aatttgactg aacaaaatgg aactccatag aagaaactgc aaaagaaaat 70681 tcacaagtga aataacccat tacgtaatat gaactaatga ttcagttcat ggtgttaagg 70741 tctgcaagaa atataattta tttaatgaaa ataaattcaa aagaaaaaat caaaatggaa 70801 aaattatatg tcaaaaatag gtcaagaaat taaattggct taatccaatt caatccagaa 70861 aataatttta aaatataact aggtcaaaat atcagaagca aagcatctct gggtcaaaat
70921 gttgtggccc aattatcttt aatacactag agtttccctc ttcgctaaac taaaagcgct
70981 ggcttcttgc tcatgtttag ataatgggga tgtagcacaa gttctaaaat atggtaacaa
71041 acatatgtaa gttgaagagc atatttgctg taaaacataa ccttgtgcat catcaaaaaa
71101 taatcattgt tataaggatc acgtggtata ttttgggata atatttatat cccataaaat
71161 agcccttgcc ttcaaaaggt gtttgatcct attgtgataa gagaatagtg aaaaagcaaa
71221 taagagatat atgcattgaa ttcttagaat acagaaattt caagacaaat ttcttgagaa
71281 gagtttctca agaatttttt taatcaaaag ctaaagagat atgagcaaag gctaaatatt
71341 ctacatttta ctttattaaa cagtctgaat atctaccttg atgagtgctt ttattaagcc
71401 caataagacc tttactgata ttttcttcta tagagacatc ttgtgaaata gtcacagaaa
71461 acaataaaaa tattaacaag cttcaacatg aatttatatc actattgtca ttatctgtaa
71521 ctttcattca gtttacagtt cttctactct agtccaggct cttatcattc tatgtcagtc
71581 tcttttgggc tttgaatgct tccaatatct tcaaatttta attcatttat tacttgcaga
71641 ttaatcatcc aaaaacacta ttttccatac attgccccat gttgaagcca tggaaaagct
71701 ctctgacttc agtaaaatta aaaatgagga aaacatttaa atctttttaa aaaaatgact
71761 tggggccagt attRgtacat tttaatatag aaaaagatga ttgatagtat gctgaatcgg
71821 cactgacact ggccttaagc tagaaaacac taccctatat aaaatcttgg acatcatttt
71881 -atttgggaga agggtttggt aagtattatt ttagtctact gcagtaaagt aggtccttat
71941 gcagtatcat caattgRttc ttggaaactg tgacttttaa gtgaaatgac atacagcagg
72001 tcctcaaatt acattgtttt gttcaacatc attcccctat aatgttgatg agaacaaaaa
72061 ctacactaag tgaggactta ctgtacatgg tacaatggcc aacttttttt ttttttttgc
72121 cRttgccatc actaagctgt ctatccactc ttcaatagat acacaaaact tttttttttc
72181 ctaatggcct acatttattt agtttgtcta aatatgtggg aaaagaagat gtttcatgtt
72241 tgtcctttgg gctcctacta cttgctgcaa aagattcagc ttttctcagc tcaatactac
72301 ctaaacaaga agtgagttgc aagatccttt ctctggagct attactggca gctagaattt
72361 acaggtatgc tctattagaa aataaataat agataYcatc acctctggca tactatctta
72421 acttcctaaa tttttcatgt gactgttgtt ggtctaatag tcttgtcatc acagcctact
72481 actggatcta gttctgtcga tttgtgcttc ccttttgctg tcatcccttt ctgtgcttgg
72541 ggaaacacag gtcttgcttc tgaagggggc ataaagaata atattaagta gaacagtctc
72601 tgagatttca cagagcttcc caatgcttat atggttttag gctggaaata gagatcagat
72661 tcttgcataa ttgtgtgaaa gagactgaat catcaacaga tcttgctctt tttttttctt
72721 cacttaccta tagtacatca atgagtgaat aggtccagag tgagcagtct atgttgcctt
72781 tcttttaact gggaatccat tctctatgca ttttaggtca aaacgtttat tccaaggtga
72841 caacttcagt catatggttc tgaaaacctc tttggtctac ttgtatgact tgcattaaaa
72901 attattactc ccatggctgt tcaaactctg ttgataacct ctggcagatt cagaccatta
72961 ctctgttagg cacactaatt agttcttgat gacccagtcc tggagatcat tagcctcttt
73021 cctttcaaaa agaactacac actcttgagt gatatggagg cagtggtctg aggtactgcc
73081 tttatacaaa attagttatt gactgctaag cagaaacaag cattcccaaa tgattcctct
73141 taccttattc caaagcatac acaacaaaaa ctcccctgca attatcagaa atatatgtgt
73201 ttttttctat ttaggacttt acactattgt gattatgata gacaataatc caattagtta
73261 cattttacca caatttgtca acatgtacaa aggaggacaa caatgactca ataaaaagca
73321 atacattagt tataatgact taaaaaggag tcatcaccag atgccactgt gagattggtt
73381 atgtgtgttc agaaaagggg ctttaattct ttattcaaac aacagatatt ttctcattct
73441 taacaatatg aaccttttaa cccatttgga ccatttgaac atttacctcc aaggaaaaca
73501 gtagatctta tccaccoaaa ggaacaatgt tacggtgttt gaattttctc aaattgttgc
73561 ttgagaatat aaattgtgta acaacagtaa aaattagacc tagacctata ttttatgaaa
73621 ttacaaatct cttttcagaa aatatagaga tgattattag gatagtttta tcatctacaa
73681 aatcaaggag tccatagtta gaaggcctca ttatttgagc aggaaRaata aactttgtgt
73741 taattctcat attatcatat gtgtagtttg gatatttaat tgttaaatat tatattgaag
73801 tgtgccatac atggaaaaat gatgaaatca gaaatatgtt catcaatttt cacatttttt
73861 taaaaagggc aaaacactcg tgtagtcacc accctgttca agatataaaa cacagtcagt
73921 gctgagttcc ttttgtgtcc cttcacaatt gctacatcct cacctttcaa caggcaatgc
73981 catcatgact tcttgaagca catattagtt ttacctaatt gtaaataaac tatataaatg
74041 aaatgacaga gttggtatgc tttcatctct attctctttc actcaacatt atctttgtaa
74101 gattcaaccc gtgttgtaca aaagacagta ttccatccac tttcacgact gtatagtatt
74161 ctatgtgtgc ctataacaaa attaatcatc tcagcctact actgattgaa atttaggttg
74221 ttagcaccaa taatgctacc atgaatattc ttaagcttgt cctttgaagt gtgtgtgtgt
74281 gcatttgtat atgtgtgtgt atgtgtatat gtgtaaattt cttttgaata taaacataaa
74341 agtgaattct aagtttctag atcacatggt aggcatatta tacctttagc cgctattgct
74401 acgcagtttc ccaaagtgga tgtaccaatt taaactccca cctatagtgt atatgagttc
74461 ccattcctcc atgtactcaa caacattcgt tactttaagc cagtctggtg ggcacatgag
74521 ggtactacac tcttacttta atttgctttt ttttctgatt agtaattatg ttgggaagct
74581 tttcatgtat acagtgggtc tttggatatc ttctgttgga gagtgctcct tcaagatttt
74641 gcacattttt tattgagtta cctgtctttg ccttaaggaa ttgtagaatt cctttttata
74701 ttttggatat aagtctttgc cagttataaa catttgaaaa gtctcccact aaatgacttt 74761 tcttgtcact cttaaaatta tgccctttga tgaatgaagt tctaatttta gtataagatt
74821 tatcaatctt ttgcttcata attagtggat tggtatgtat acatgtgtat gtgtgtcctc
74881 aaggtaataa aaatattctc gttttcctct aaaagttttt tacctttaac atttacatcc
74941 acaatctacc agtaattgat ttttgtctat ggtgtgagat ttgaatcaag acaatttcta
75001 catagatatc tcattattcc aacaacattt attaaaaaca ctggccttca tccacttttc
75061 tcctccaata ccaattcttt cataaagact ccctctatgt gagaattata ttactttgtc
75121 tatttctctg cccttttacc aataataggc atactgtgta ctgtagcttt atgatgagtc
75181 ttaatatcca gtagttttag tcccccaaat ttgatStttt tcttcaagaa tattctgttt
75241 gtccttgggc ctttgcaatc tttaagttta ttttcctagc cagggaaatt gggaaaggaa
75301 aagaaataaa gggtgtaaag attaaaaagg aagaagtgaa actattataa tttgcagata
75361 agatacttat gtatgtagaa aaataaaaaa gattctacag atgaatgatt aaaattaata
75421 ggtgaattta gaaaatctca ggatacaaag tcagaatgaa aaactacttc atgggtacaa
75481 cgtaccttat ttgggtgacg ggtacaotaa aagctaagaa ttaaccacta cacagtgtac
75541 ccatgtaaca aaattgcatt tatacttctt aaatattata ccacaaattg cctacctaag
75601 aacaatataa tgaaaaatat ttcagtttta accttggttt aaaaattact atggaaacat
75661 aattcccaat gactggaagt ctggtgtcag tctaggaagt cctcataggt tacttaatcc
75721 tcagataatg ccctttctga tttcaattag gcaattacag cccagagctg tgaagtctgg
75781 ggaatgttct tcattaagtc acttttctca gccctagcta gtcttgtaat ttctatttat
75841 ttatttattt atttatttat ttatttatct gagatggagt ctcgctctgt cgcccaggct
75901 ggagtgcagt ggcacaatct cggctcactg caagctctgc ctcccgggtt cacgccattc
75961 tcctgcctca gcctcccgag tagctgggac tacaggcacc cgccaccacg cccggctaat
76021 ttttttttta ttttcagtag agacggggtt tcaccgtgtt agccaggatg gtctcgatct
76081 cctggcctcg tgatccgccc gcctcggcct tccaaagtgc agggattaca ggcgtgagcc
76141 actgcgccca gcctagtctt gtaatttctt tctagtctgg aggaaagaaa gcagacttct
76201 ggagacagta aggctatatt tccatggctt atctcatttc ttccagaata tttaaatttg
76261 atacaactat tattaatata gctgtttcaa tgtttatgaa catatgaaac tagattttcM
76321 acaatatgat agaaaacaaa gtagaagaaa taatgtagga gtacttttgg tgttgtacaa
76381 tcaacagatt tagatcttta gtaaatctca gatttactat ctcgaattta gaactttaga
76441 caaaattatt taaaaagtta ttatatgtaa tataattgta tgttataata tttcagcttt
76501 caggttgtta aaatgtatat cttgaaaata ttctggcata tggttgtcag gtaacattKc
76561 taggaagtcc tacattttat tctgagtttt tgttαctctg actctgtgta tatctctgtg
76621 tgtgtttgtg tgtgtgtgtg tgtttgtgtg tcttaggtat tgtttcttta ataaaagaat
76681 aaYgatagtt tttgcaactg atattttaaa tgtccttcct ttgcaaaata gttggcagtc
76741 acacttaaat tcctccaatt aaaagaaaaa atttctagtt cataaaatct gttaagtcca
76801 ataagtgttg ctataagaaa cccttttaac ctatgtatat atcctgaaat tctgctccta
76861 aaagtccctt caccctaaaa aatcctcaca gcaaactgga agagcaactg aactataata
76921 cattttaaac ggcattgcct cttgctcaaa taacttgaaa attacttttt tttttgtctc
76981 ctccagcttt tcttcagcat ggtttctgaa ttttaatcaa aacataaaaa tacaaaagaa
77041 taaaaggaat aacagaaaat ctaatttgga ataaaaacaa atgaoaattg gataagcctc
77101 agcatattct gggaaatgtt aaaagcatcc tttcaaataa attatttgcc aaatttgaat
77161 acaatttacc tacctgaaac tgtttcattc aggtaaagtc tattacaaag gtatacatga
77221 gattataggt taatgtttta cacattacga caagtagctc aagaggcaag atgattgttt
77281 gagaaaaggt aatttgaaag tactgaattc tccgctattg ggaaatgcat gtatttatta
77341 tagtaagagt gaagcacacg ggtaagRatc tcacRacaat aaatcctctg tcatctgtat
77401 gaggaaaatg gtgagtacct ccaggatctg agaagttatt attaatagat ggcacgatga
77461 atgtaagcgt gcttctaatt ctgtaatttg aaagcatgca tatgtttctc gatgtaacac
77521 acacatttat ttactcatag acaaagctgc agttatgttc acacacataa cgtcttaggg
77581 aaataagact gaaggaggtg agaagaaaga gagtgtggaa gagRtgaaga aagagatgga
77641 gaMaaggaga SagagtKcac agtgatactg agaccaagag atggaggttt caaaaggcct
77701 gcataaagat gacttggctg atgcacatag tgagaaaaag caatgagctg attggaagac
77761 tgcacagYac ccttacagtc ccgtagacag ttccataacc aaagttaatt gctttgatcc
77821 tccaatgttt ttgacatata aaagtatatt cagtaaatta acttccctaa atctgaaatt
77881 taaagcttat gaaaagtcaa aacaaatgtt tgaagactaa tcaaaataaa gtcctcagca
77941 tggtttgatt tagaccattt tgtactagct taccaaaatt ctctattgag ttaaataagg
78001 aatgtaacta actaaaactg ggaacagagt taataaaatc atggctcaca aaaagccatt
78061 ttttttttat tttggccagc aataaaatcc ttggctagcg tttctctgtt agctataaca
78121 aaaacctagt tgtaaataag aaataaaatt ttgagacaga tgttagctgt aacatagaaa
78181 tatactttcc attaacaatc Yggcatgttg tatggtggtt ctactccaaa aggcaatgta
78241 tcttttaatt atttattYat tttttttgag atggagtctt gctctgtcgc ctgggctgga
78301 gtgcagtggt gcgatctccg ctcactgcaa cttccaactc cccgttcaag cgattctcct
78361 gccttagcct cccgagtagc tgggattaca ggcatgcacc accacaccag gctaattttt
78421 gtatttttaa tagagacagg gtttcaccat gttggccaga ctggtcttga actcctgacc
78481 tcaggtgatt cacctgcctc agcctcacaa agtgctggga ttacaggcat gagccactgt
78541 gcttggccgg caatgtatct tttaatgtaa cttgataata ttgtcctctg cctctgcagc
78601 cttcccagac atattactaa aattaattca attttagcaa tcaaaactgt aaatgaactt 78661 agttattcag caatcaatga aatctaaatg aagagtcact gttatccaat tcctcatgca 78721 ttcccttaaa atctctttct ctagaaaaag tctttagata aaggcagttc acaaatatat 78781 ggcaacccta acttataact tgattatcat gttatcacat ccctatctgg ttcacataaa 78841 ttatctaacc tttgtcaaat tagaaaaata tttggattca cattttttag gctgaatttc 78901 atgaatactg taatatacct attttgtatt ttataagctt agatagtaaa atcattcagg 78961 taaatgacta ttctttaaaa gatgtgttat gtttaataaa gtttaatat-t aaaattccta 79021 aaagttaatt ttaagttcac tccagagtta tggagctatg tcttcctctg taagaaataa 79081 tacaaaatga atcctgactt tgtagtgaaa caattccctc gttttattgt agaaatattt 79141 tgggggtggt gactctgtga ttgctttgga attaaagcaa tctgctcatt atctcatatt 79201 ggatatgaaa gctgaaggca agaataatgc aaagcacaca tataattagt aggttatata 79261 cccagaagta atcagttctg taagacacac ttcttcaatg tccaataagc agaaatgatt 79321 agcagcaatg aaaaagaaat gtaaatgttt tccattaact tcttttccta tttctggtag 79381 aaaaaccaca aataagtgat tcattacaaa cgtattggca atggtaaaac aaagaaaaat 79441 tgttaatgca atcattaaat ttatcttaca agtttctgta attgtttaaa aacataaatg 79501 gtggttatta tacgccaaaa catctcttgt cattcatttt aaatatttgt caaaatcaat 79561 ttaattctgg aagtctatgt gagaaaagtc acaagccaac tgctattgta agtcgcaaac 79621 ttcttagaag agctctttca ttactaagta aagtatacca tgattgtatg atactggaca 79681 tagagaaaca agatttgcct ttcactcttt gtaatttgac ttgtttgtgc ttttaagtta 79741 ctccaattat tttctaactt tcaacattat tctgattaag tcctagctac agagtcttca 79801 aaagactttt ataagcctaa ctcttaaatt gctgctttct ttgttttagc aagcaccaag 79861 gaactaataa aacaagttta ctcatgtcaa attttagatt aaaaacagat tgctcctttt 79921 atgtgataac agagttgaag caggatgaag tcacctcaat tatcattgtc cctgggtttt 79981 attgtacact actcatttaa gacaaataat tacctaggcc tcttagcttg caagtgattc 80041 acacattata agtctgtaat gttctgcatt tctgctctct tgctagtaca attaaagttt 80101 attgacagta aatatagtaa attttaattt ttgccatata aatacttagt gctatgttac 80161 tgacagaaag atgatttccc aaaccttagg aaatacttat gcaatgtttt atttaaatat 80221 taaaaatagg aatattcact cctacattaa cactagcatg ttataatact accatggtgt 80281 taggctctat aataaccatt agagaataat ttggcatgaa aataaatcat taattttatt 80341 tctctgaaat aaaaaataca actcaaaaag aattaggaaa aaacaaagac aatatattac 80401 attatatata ttttatatat atataaatat ataaatatat ttaaatatat tatataatat 80461 aatatattat atatttatat atttatatat atataaatat aatatattta tatatttata 80521 tatatataaa tataatatat ttatatatta taaaatatat aaatacatta tatatattta 80581 tatatatatt ttatatatat atatatatat atatatatat attaaaaaaa agtagttttt 80641 tttttttttg agacagagtc tcactctgtc acccaggctg gagtgcagtg gtgtgattat 80701 ggctcactgc agcctccacc ttctgggctc aagcactcta cctcagcctg atgagttgct 80761 gggaccacaa attcatgcca tcagtccagg cgtgtttttt tttttgtttt ttttttgttt 80821 tttttttttt ttttttRctt ttagcagaga agaggtttgg ctgtgttgcc taggctagtc 80881 tcaaactcct gagctcaagt catccgtcat cctcccactt cagcctctcg aagtgctagg 80941 attacagaca cgagtcacta cacccagccc aaaaacaata ttgatggaac ccaaacacaa 81001 tttgaatatt gccattaaca atataaagaa aaacctataa atattggcta aagactaaca 81061 atgaattgtt tttataattt tcttcatctc tcacaggtga tacatgcaca atatgttcac 81121 acacgaagtc ttgggttatc tttaagaata aaaatactca ttaaaaaatt acagaaaatg 81181 tattactcta gaatgggtgg gatttgaggc ttggaacaac aaggaagcta caactaaaca 81241 aacaactcag tggatgaaat gaatgtgtgt gatcagcaaa cagcaaggaa atgaaaaaac 81301 taaaacagag gatttggaat gctgaccaat ggggttataa aatgaaatgc taattttttc 81361 actactatta aagccagcaa atgatctttt aaaaaatttt aaagcataaa tgggtaaagt 81421 catgtgaaat aaaggacaat ttcttttctt tttctatatt cagcatttta aattctttaa 81481 agttgtatcc aagttaatat aaaacatatt tattcaaaaa ttttatttaa ccttgctgtt 81541 actaaaatat ttaaagacac agataaaagg tagtgccata tctctcttaa aaatctcatt 81601 caagattctg attgcatgac atgtagaata atcattagat ctagcaagtg tttattttca 81661 agctagaact caaattttcc attttaattt ttaacatatt tatcRgctaa agggataaaa 81721 acaataacaa gtttacaata attgtatgat gataaaatσa cagctaatag tttgttaaag 81781 ccaaattaat gctaYaacat ctgtttctta tcagcagaaa ataagagttt ttacactata 81841 tttttaattc agtagagaat atatgctttg ttctcaattt ttttcaagca ttgtcttaga 81901 tgagaaaagg cRattttccM gagattcctg ttcaaacata acttctacag aatatgttca 81961 taagtcaaaa ctcactagat taattcatgg agacaacact gcataattga aactcttgtc 82021 attgcaatca ctgattaaaa ctattttctt ggctatattt ttgtgaaata aaaaaggaac 82081 ttttagaata ggtgaagaag acttctaaat atatagtaaa gatactttgc tcaaagaatt 82141 taaaatggaa tgaactgcat aaaactgata tatcagatca ttattttact tagaaaaaag 82201 ggaatttaat atggttctat ctaaaaataa agtgtgagta agataatacc ataaaaggaa 82261 ttgtgctgaa gaaaaatagt gagaggtgaa gccagttgga cttcctgggt cgagtgggga 82321 cttcgagaac ttttctgtct agctatagga tcgtaaatgc accaatcagc gctctgtgtc 82381 taactaaagg attgtaaatg caccaatcag cactctttaa aaatgcacca atcagcactc 82441 tgcgtctagc taaaggattg taaatgcacc attcagcact ctgtctagct aaaggattgt 82501 aaatgcacca atcatcactc tgtaaaaacg caccaatcag cactctgtgt ctagctaaag 82561 gattgtaaat gcacaaatca gcactctgta aaaacacccc aatcagcact ctgtgtctag 82621 ctaaaggatt gtaaacacac caatcagcac tctgcaaaaa cgcaccaatc agtgctctgt 82681 gtctagctaa aggtttgtaa atgcaccaat cagcaatctg taaaacgaac caatcagctc 82741 tctgtaaaat ggaccaatca gcactctgta aaatggacca atcagcagga catgagcagg 82801 gacaaataag ggaataaaag ctggcσaccc cagccagaag cagcaaccca ctcaggtccc 82861 cttccatgct gtggaagctt tgttcttctg ctcttcacaa taaatcttgc tattgctcac 82921 tttttgtgtc cgcactacct ttatgagctg taacacttac cacaggggtc tgcggcttca 82981 ttcctgaagt cagcgaaact aagaacccac tgggaggaac aaactactcc agacgtgcca 83041 cctttaagag ctgtaacact cactgtgagg atctgcagct tcactcctga agtcagtgag 83101 accaggaacc caccagaagg aagaaactcc agacacatct gaacatctga agtaacaaac 83161 tccagacaca ccatctttaa gagctgtaac gctcactgtg aaggtcσgtg gcttcattct 83221 tgaagtcagc aagaccaaga acccaccgga aggaaaaaat tccagacaca gtgggatatg 83281 acatcctaac tcaatatatg aacctatagg ggtctaacat tcataggttt ctgtgtattc 83341 agtggaaaaa ttgagaggat tcatcattca attatctttt ctttcctcct ttttcttgac 83401 cctctgcttc atagagaggg cttggaggta ggatccagag tgagcctctg ttagaagcat 83461 tgagagagaa gccagaaggt ccagtcctgc tggcagtagc aaggggccaa gaccactagg 83521 cctgcctgtg ttctcacaag ccccactacc atctctagat tttctcatca cccagtcttg 83581 aaaaatctgt gcctgcccct tcagtagctt tgccatttct tgattccttt cctctgtggg 83641 tgttctggca ctggcccttt ttcccacctc tccttctttt ctgggatgct gctgctgttg 83701 ctatctcctc tatccttcca tccttggcat ctggccctta atcctcagac tgggtgggag 83761 cccatccctt gtcttttggg atttgcaaac tcctaccctg aacccacatg aaagtgactg 83821 ctttcctgct tctggggatc tctttggcac ttcccaggaa ctcctccacc tggagcagta 83881 actccaggct gcttcaggct gcatgcttgc acaaaagctg gtggttcagg tcaagaaagt 83941 ctgtaaactg ccccagcaaa atgataccag ggtσtgaaaa gctcaagatg ctgaccttgg 84001 cagaaaattg ggatattatt atttcgaaca taaaatagca atcctaaatg cttgatattt 84061 acgtaccaag agacttagaa ataatcatac atacagtgaa tccttttgaa tctctgccat 84121 tatgtaaagt gataaagatt gattagaact ggccaggtgt ggtggctcac gcttgtaata 84181 ccagcacttt gggagttcca ggcgggcaga tcacttgagg tcaggagttc aagaccagcc 84241 tgggcaacat ggtaaaaccc cgtcgctact aaaaatacaa aaattagctg agtgtggtgg 84301 caccctgtct ctactaaaaa tacaaaaatt agctgagcgt ggtggtgggt gcctgtaatc 84361 ccatctactt gggagggtga ggcaggagaa tcacttgaat cttggaagca gaggttgcat 84421 tgagccaaga ttgagtcact gtactcctgc ctgtcctgga gagtgaaact ctgtctaaaa 84481 aataaaaaat aaataaataa aagattgact ataatttcct agaagtggtc cttcataaaa 84541 ggggcttaaa attccttttt tgggtgcttc cttgcagaca tctactaaaa agtctctaga 84601 tcttccaata ttttcacaaa taaacttcat taaagtatat atctatacct atatatatct 84661 atatctataa agtatatatc tatatgtata tatagatata tcataaagat ttatctgtta 84721 ttgcttagga gattggaaaa aacctgtcct gaccataata ttaaatagct ctggaaaacg 84781 cataccatat ttggttcttt ttaacttatc tttggattgg catctcttta attacctccc 84841 aacttatttc ttggagcagc taggcctaaa tggatgtagt ctatttaaaa tagtcatgtg 84901 atattctgtg atattcctct gtttaggtaa aataagttga taattatatc ttttattttt 84961 atttttttct tgagacggag tttcactctt gtttcccagg ctggagtgca atggcgtgac 85021 cttggctcac tgcaacttct gcctcccagg ttcaagtgat tσtctcgcct. cagcctccca 85081 agtagctggg attttctgtc tacttgaatg tctgttggga ataactaact gttccatctc 85141 cccaaacata ctttttaatc agtttttccc atattaatta atagcaagat cagccatcca 85201 tttgctcaga ccaaagagta agaagtcatt cctatttcta acccaatata accacaagtc 85261 gtgccagttc tatctccaaa atagattatg aaatagacac attatttcca gtaccattca 85321 tattatacta cttaagaaga aaatgagaga ctcttaattc tttaaagtgt aaaataaatt 85381 aaacacaccc ctttgaagcc ctaaaattat atccttttgt aattagaatt aaatatacac 85441 ttatactgtg accgataaaa actatcagga gaatatacac ttatactgtg acctataaaa 85501 actatcagga gaacgagacc atcctggcta acacagtgaa accctgtgtc tactaaaaat 85561 acaaaaaatt aacctggtgt ggtggcaggt gcctgtagtc ccagctactc gggaggctgg 85621 ggcaggagaa tcgcctgtac ccgggaggcg gggcttgcag tgagccaaga tcacgcccct 85681 gcagtccagc ctgggcaaca gagcgaggct ccatctcaaa attaaaataa actaaaataa 85741 aacctatctt atgatcttgt ctctgggttc cactctgaac ttatgtccta tcactctttc 85801 tttgattttt attctttgga tgttttccta ttttgtaatt atgactagtt attcctgcct 85861 aagaatacct agaccatgcc tgccttaaat gttttataga atctagtatc aaaaatctaa 85921 gctctacaat actatattat tgtacaagtt tatgcatggg ccttcaaatg aattgtcagc 85981 aaggagaaat cgaagctaag tttcttgata atgcaacaat tgctctactc agaatctgaa 86041 acacatagac tgtgcattcc tattgtctta taatcaagta caattatata aatgaagatt 86101 ttaataaaca ttaaaaaact taaccagtaa aacagcatta gttgattctg tgactaacat 86161 taatcccact gtttataaaa agtattatct aagcttgtct tcctataaaa atcctcaatt 86221 gtttttcaat aaaggtgaat ataaatttta aaatacgcca atagagctat gattacaaat 86281 acattgacct aaaattatct atgattttta ttttgctttt caagtgaaaa aaataaaagg 86341 aacaaacaca taaaccaaaa aagggggacc tcctctttca gctttagagt gctcccctcc 86401 ctctgtctct gtatggggga gcttcttcct tctgtcttct cccttccttc ttgccccttc 86461 ttgcctatta aactctccat tccttaaaac caaaaaaaaa aaaaaaaaaa aaaaaaaaga 86521 tcgtgttctt tccagaactt tcagtgtgat atgaggaata aaagtaatct gaactatcaa 86581 aaagtatgaa atgtat'aaaa tggcaactaa ttccatacat ttattacgta tttgtttgtt 86641 tcgctcaatg cagatgaagg ataagtcaat gtagttaata ttttgtatct gctattcact 86701 ttactttttc ggctttgatt cagctgtata aaaacaacag tccaggcaga aaattggcaa 86761 atggacctga aactcacatt ctctccggtg aaatcatctt ataatcattt gcaagaattg 86821 aaaatttctg caaatatata gatctgcaca aagcaaaatt taσaagtatg taaacacaca 86881 catcatccoa gatttaatga taaaataaga ataaaataaa tgcagaaaat caaatagtaa 86941 ttttaaaatg taagtttaca aacttcagtg gcatgaatat caaaaatggt aacactttac 87001 acataattgt aaaaatcaca taaaacatgt agatatatga atgtgtatac tcttataaag 87061 ctcttcattt ctttatttct ttaagagatg gggtcttgct atattgccca tgctggcctt 87121 gaactcctgg gtgatcatcc tgcctcaacc tcctgagtag ctgagactat aggtgtgtat 87181 ctccatgcct ggctttgagt attttatttt tatcaaatca gctattagac taaatctttg 87241 tggaacaact taaaccgtat gtttattgtt atatatgtaa caaatcttca tactagaatc 87301 atgtttttac agctgttgca ctatgtatgt tcaatccatc cacagtaatt aatctctatg 87361 actgaggact ttaactgctt tcctctggga atcactagca ttσtttgctt tccttttcaa 87421 tgaaaagcat cttttacaat catggcatct gctcaagaat gggataagat ccatagtact 87481 ttttgaagtt ccagattcta ctatgatatc caagactata tactgcagtg tttccagtac 87541 atagaactgc agttctctct ctgattagtg ttatctttgc agattttaag tcagatttct 87601 tagataggaa aaaacctggt atgtatagag gaaagttaaa tatggtattt ctacagaatg 87661 atgagtcatt tctggaatgc aactgaaagt tgatctggac aggaagatac acaggatcta 87721 gagaatggga ggttttaacc tcacagaaaa tgtgtatttg aagcaataag aattaggaaa 87781 ttaatgaagt tctgctatcc tttaacaatg cttctctctt taggttttgt gaaatgaaat 87841 cattcttgtt cccataagtt gctattgcca aacatggttt tatggctcac tgccaggttc 87901 ttcctatatg tctgataccc tgaagtgaaa tagaatggct cttataaacc ttttaaacta 87961 gatggcatag tgaagataag ccatgtaaag tatgataatt gtgaataata cagaattatc 88021 tttgaaaacc aataaataac attcataagt gatcattttt gtgttatttt gtttattcta 88081 tgtgtcctct agctcaactg ttgggttgtt ctttgatcaa aggaaccctt attttattcc 88141 tttttgcatt tcccaagatt ctgatactct ataccctgct gctctatgtt gcatactata 88201 aaatatattg aaatgactta ataaagactt aaaaatgtta tttagtgtca tggttcttgt 88261 ctttctcact ggatctctca atatttttct gactcaattt ttcattgatt tctaaaataa 88321 tgcctcaaat tcgttacttt cactatgtct aagtcccaat tttccttacc tctcaataaa 88381 tctattgcaa cagcctccta accatgatgc ttgtcttgat ttttttctaa acctcatttc 88441 aatttcataa acatcattat gttgctccct acataaaaat gttttatgac ttaacatttt 88501 ctctaagtta aagtctaaat atcccagcac agcatataag cccctttgga atcttgtccc 88561 aacaattttt tcacttgatt ccatgaactc tatcatccag tcacaccgaa tggcttcaat 88621 cctgccaaga acgaactctg tattatcctg atacacagca cagcataatg cttaagagca 88681 taggctctga agccagatgg cctgcagtga aacatacctg tgtttttaac agttagcaga 88741 cacaagtatg gctaatatga ttgttagtcc tttctacaat cactgtcatc tccctgagtc 88801 tgcttaacgt gacatcctcc tgctctagga catgcctgta catcactgta tgatttagct 88861 taaatgtaat ttcatctaac atgatatttc caaccttccc agttgctatc ctgtaataat 88921 agttacatag ttgatatagc attttatcac ctagcagaat tatggtctgt ttatattatt 88981 tctctatcac tacaaaagtg agttattagg ttgcataggc caacttgtta ttttagtaac 89041 cccggtacct agcctatttc ctggcatata agaaagtttt cagtaaatgt ttattgaact 89101 aagttaggaa aaaaataatg caaaaattaa attacattgc ttaaaatata acattggacc 89161 cccaaaatta tcaggtccat catgtgtcta agaaatattt tcatattctg agtgaaatta 89221 ttgcatcttc tctaatagag tggtatatat acaaattata ttgatatttt taacatatta 89281 ttttcttcat gatttacaaa ctctcaacag aagtttcttc tgaaaatagc accacaaaaa 89341 cctatttgat tttactttta aatttccatg gatgcaaatg acttacctgg gtggattgct 89401 ggttataatt accttgagag ctgctaaaag tcctaaaagt atttgtgacc tagactgtca 89461 tatttagtaa gacttcactg tcctccttgt gattctccca gtatccatca tcttcctttt 89521 ctttctccaa ttgtttcctt cttcctttat tgtctaccac tctttttata gttgcccata 89581 caactctaat aggttttgta aacttttaat ttgaaaattg ttccatttag cattccataa 89641 atttgggaag taaaactcaa tatagattat tttaatgcat gtcattgtcc ctgccaatta 89701 tctgtaaaat atatttttgt gttctcaagt acaagtggcc ataaaaaaag tacaattcct 89761 tcataaaagt gacatcaagc ttataaaatg tctttacatt ttcaatttac cttagttgtg 89821 gaattgtatt gaaatatact gtcctaatca ttcatattct agacacttgt tattaatagg 89881 tatttatact aaaataagat ttccattgtt atgtcctatt attttgaaac ttagtcatat 89941 gccctttatt gagatatcta catcgaaata agattattat aagatatcat gctaagttac 90001 tataagatca aaattctaat ctcaagcagt gatatgttct aatagaccat aaatcactag 90061 caccctttgt ggtaatataa caaccttggc ataaatataa tgttatagtg catgtgaagc 90121 acacaaatga gaggactaaa atacagtttt ccaggtaaga atacaacttt cattctcaaa 90181 gggactcσtc aaacttggta atttttatta tatatatatg tatatatact ctcagtgtct 90241 acttgtatga atttcagaga catcagtgaa aatccccatc tgtggacttg tgaaataaag 90301 acttttgggt tttgatcaag aatgcctgat ttctcatttt cagtataagg gaattcaatt 90361 tgttcgttca ttcaacaatc aattactaag tttctatcac gcagaaaatg tggcacaagg 90421 ccctggcata aatttaaata agacctagaa attctaaaag tcaagcttag tgtgggaaca 90481 caattctaag tgtcacatca tcatgtgatt agtgctatat ttgaaggtga gtaatatttt 90541 agtatcatca ggcaagaagt aaatatcttc cattaataaa tttaaactgt ggaaaggcag 90601 attatcaggg aacataacac cagaaaagag gataatacac tgcatacaga ggtagaagat 90661 gtgagtccaa aattttttaa gctgccaaaa gatatttggg catgccgaca gtcccaacta 90721 cttgggtggc caaggccaga ggatcacttg agcccaggag ttccagtcca ctctgggcaa 90781 catagcaaaa tctatttcta aaataaataa ataaatacaa ttttgtgtta actgctatat 90841 attggggcca ttttttctgg tagttaatca agtaattttc tctatgccaa taaattaatt 90901 gattagactc catctctcta ccatgtgcct tataaagggc cttttccaaa agcagtgagc 90961 agtgctttgg cattaaaaaa aaaaaaaacc ctctagtcat gggtcattca gactttattg 91021 tgggacattt ttagagcatg gaggcacacc tatgttcacg tactacatct atataaaatg 91081 gtattcccta gcagtaagta taggacaata tttcaaatct tatatcaaaa gtgaataaag 91141 aaaatctaat tgaagcaaaa gctctttctc taagctgttt tccatcataa accaaaaata 91201 tatatttcta ttacaaatca cttttaaact ctatctaaag aagttacatt acagtgacag 91261 ctacggctat tagttattca ccttgcaatc agcactaaat ctagtaaata tggattcaag 91321 agactatatg tgctcgctgt gatagaaatg tatggagaga gagggaggag aagcaggagg 91381 aggaagacag gggaaacatc taaaggggag gaagttacta agagatgcag agggtacagg 91441 aagcatgtct ccaaataaaa atcaccagat taaataagca cacattttag tattatgctt 91501 tatgaagtca gacatacatt tcaataattg cttttaatga ttattcatga atgaattatt 91561 aattttctag accaaaaata tcattccgtg cttgctaaat aacatttgct caaatgaaaa 91621 aatacatata taaaaaggct aaagcctttc acatcattag tactgctgta gagggttagt 91681 atttgatctt gttataattc atgctcagtt tgttagaaca tttccacatc acaaattaca 91741 acattcgggt tcaaggatgg atataaagta cacagagaaa gtattgtaag agaattattt 91801 tgcagtgagc ctgataatag aattatgtgt gtacctatgt atggttttga gtggaagcct 91861 atgcaaatgt cagcaaaagg cggggRttct tttcaatttt tcttgagaac accaattttt 91921 ctgacagtct tgtccttttt aagatttact gagttatatc tataaaatcc cctcagttta 91981 cagataaaat agatttccaa attatcacaa aatttatttt ttttatctta tttagtgaaa 92041 aataaattca gagtcatgct agaatatgtt aaacatcagg tcagtatatt taaaggtcaa 92101 tatggtatga taattgcccc ttcaaaaaat aattattcaa gtcaggttag aaataattgt 92161 tgtgcattta ttttccagtt ttcctattac aaatttactt ttactgtaag tgatacaatt 92221 ttatcgtaag taaaattgta ttgttttact gtaagtaaaa ggtacattta cttttattgt 92281 aagtgatatt atatgtctgt taattcagta ggctttattg gttttactga taaactacac 92341 aaggtggagg gagaacaaga tacactttag ttataaacat acaatgtaaa atatttttgg 92401 actagataac tatatgaagc atacaatttt taaattaaga actcaaatcc atcacattgt 92461 ttctagttgt gctagaaaaa gtgaaatctt aaaaagtgaa atctttagtg acttcctaat 92521 ggtattcctt aaaatatgat gggacagtga gaatgattcg gtccaggaag aaggagtgag 92581 ataagaaatt ctaaattgca gttggagtgc cacgagtaag ctaagccctt ccatttcagc 92641 acagcagatt tcatatctct cccatctctc agcatcacag agtcttagaa ctagaaggac 92701 cccagataat acctgaacct cccattgctg atgcatagat gacctcaaca acatgttaag 92761 cgtgtagtca tctacttttc taaaaacctg tggcaaagtc actcacctct tgcaatctca 92821 gagaagcctt tttaaatttt aaaaattata ttaatgagat gacaatgcaa acttctctgt 92881 agtttctctt cataatacaa aaatgtacaa atgtagacta cataagatta ccaaaacttc 92941 actcctaaca tgtagattat gaagattacc aaaatcccat gcctaaRata ttttcactat 93001 ttacatacac ctacatattt ttttccccaa aagtagtgtt gtatatgttc tccaactggc 93061 aattttcact aactgtattc tgaagaaaat ctttcatttt cattagaact agctaattcc 93121 attgtgtaac tgtacaacat aaactgtata aatatatttt tctttaatca tttatttSgg 93181 ggtgagattt tggttgttgc caaattttca ctatggacaa ttatgcaaaa ttcctcatac 93241 gtatatattt ttttgtccag ggtgttaagt cttctgtggc ataggtttct ggaagtaaaa 93301 taattgtgta aaacaatgtg ttcttaaaaa aaataataga taYagatact ctgccttcaa 93.361 aaatgtattg actgtataac tcatggtata tataaaaagg cttcaaaatc ttcactctga 93421 ttcttccaaa gtcattaaga tttttaatat atcaagtgaa tgtgttaaaa gctttgttaa 93481 atacagccag acatggtggt gtgcacctgt agtcccagct acttgggagg cttaggcgag 93541 agaatcactt gaggctggga gactgagtct gcaatgagcc atgatcacat cactgcattc 93601 cagtcaaaaa aagcaaacaa acaaaaacaa aacaaaaaaa cctgctgctc tcattttttt 93661 tctcattttg ctagttatat ctatttacac tgaagaataa agacaaaata gaatattttg 93721 atagcagcct ctagttcctt tatactcagc caataagaga gctcctttaa taatctgaat 93781 agagaactgt aatccatctt tatttttcag ctttgcatot aactttgttc ttgtcttacc 93841 ctatctactc ttgatcatca gctattctta tttccagagt tttttgttta cttttaaatt 93901 aagtcttcat atttgcttgt gtaattattt aatgctaggt cttcaaataa tgaattttaa 93961 aggactgggt gaaggtaata tctcctttga taaattaggt aaaatttagg atctgaccat 94021 gaatcttctc tgtatctcca ctctcaacac tcttgatctg caaaatccct tcagggacca 94081 gtgctctctc catactagag tgataacctt atggcaggtg gagttctttc ctattgtgag 94141 tgtaaacttg actcttcact gctccttaat ttcatgσcat gccatacagc aacagagatt 94201 cctcttcagc agtttagcca tcttccattc tgtagatgag gcatttgttt ttcatttgaa 94261 gtgaaagaag ttcagctatg tccctttggt ttcagaatta catttaaata aaaatataaa
94321 tcacattttt cctgcacaaa acatttttgt taatgctaaa atatatcaaa ttgccaaaat
94381 aatgttttac acaaaaggtt tgtcaaagac acacaatatg tgcgctgtat ttcttaccaa
94441 atgcccactc tttaagctaa ggcttgtatt gtcatgcttc aaatagaaat gcaaaaaaaa
94501 aaaaaaaaaa aaaaaaacaa actcaaataa aatgctttta atctaaggaa catgcagata
94561 acgttttttt ttttccaaag cagacatatc tgcatttctt tggttgttgg ttattaatat
94621 ttcattaatt ttcaagctac tgcaaattcc ccttgagata tcattaataa aataccattc
94681 aaatcagcaa gattatagtc aaaatagcca aactacagag gccatttaat tacctagaaa
94741 atttaagagt gctgagcact tgctttaatt taaagaactg aataatccga tgctttgatg
94801 attacaaaga gtctttagct ttccctgttt tgttggtaat tttaattatt tctcatactt
94861 tccccactta gatgcattcc tttatttgcc cttttagaat aataatgagc aaattttgaa
94921 gaagaagaaa caagtaccca aatacagtca tgaactacac aatgtaattt cagtcaatga
94981 cagactgcac atatgatggt ggtctcataa gattttaatg gatctgaaaa atgtttagtg
95041 tctagtgatg tcatagctgt agcaatgttg cagcacaatt attatatttt taaaataagt
95101 ttagtgtagc ctaagtgcag tgtttataaa gtatacagta gtgcaatgtc acaggccttc
95161 acattgactc atcatttact cattttctta tccagaacaa ccaccagtcc agcaaactcc
95221 attcatggaa ggtgtcctac acaagtgtag catttttaat attttatacc atattttcta
95281 ctgtaccttt tctatgttca gatacacaca tacattttgt tacaattgct tacagtattc
95341 agtatggtag catgctgcac tggtttgtag taacaggcta gaccatatag cccagacgtg
95401 taggaggcta taccatttag atttgtgtaa atacactcta tgatgttcac aggataatga
95461 aatcacataa caacacattc cccagaacat gtcctcacca ttaagcaaca catgactgta
95521 cttctgaaat aaattttaaa atagacaaat acacaggcac tcagcagtca taagaaggct
95581 ttctctcttc acttacttca gtgacacatt caatttttga tcaagaaaag tagtcaaaaa
95641 attaatagca tcacattttg ccaaaatatt gtatacactt agagaatacc aattttgctg
95701 attctgagtg tttccttgca cacgtcagta ggtattttgg atttatgtgt caaagagact
95761 cttaatttta ctctaactct atctcacaaa tggttatgca cctgaYcaca ccacatccac
95821 ttaaagaatg gcaagacaga ggaaggagaa gaattacact ttcaccatta tgcgatgtgt
95881 attcatactg gagccttgtt tatttcaaaa ttttaccaga ttatatagag caattaaagt
95941 ttattctttt tagttaatat taatagatac ttttccctca tgaatgtgtt gttttctgga
96001 taaatcatag agactgtgtg ttcggtgaga aaaaccagtt ataaaagggt atatgtaatg
96061 attggattca tgtgaagttc aagaacacat aaaatgtgtt tatgtggata gaaattaaat
96121 actattaata atttctggct attgagggga caggtattga ctggtaagag gcatgaggga
96181 atcttctgca ggcaacggga atactttgaa tgtttaaatg tatatacata taWaaaaatt
96241 aagctttaca ctgaagatcg atccactttc cttcatataa attgtaatca gtttttaaaa
96301 tgttttttta tcatgccaaa acaaatattt taaaaaccta aatattaaac agtattaaat
96361 gaaaaaatta acaaagtttt atatctattt tcttctttct ggtttcattg ttoccgttca
96421 aatactgcta ttccacatct taactactga aaagcctact gaggcaaagg ctcataactt
96481 gttctttctt ccttaattac ggaacctctc ctttctatat gcattagcct ttctttagct
96541 aaatgtagtc ataagtgaat gattttggac aataagacgt aagtggaggc agtgtgtaca
96601 actcttagga cgagtacatt taagaaaagg tatatgtatt ttatcccttc ttgcttcttg
96661 tcagctggca ttatgacgtg gtggctgaag ctcgagtagc cttattggac tatggcagaa
96721 tttatgtgct gaggttggat gagcaattag acagaactgt ggggtcataa cattcaggaa
96781 gccagatcag ctctgaactc actacctcca gattatgctt tttttacttg agaaagaaat
96841 atatttttat ttaagccaca gttaatgtat tgcctgtttt gccattaata gctgagccta
96901 atataaattg atttacttta tataaacact gtttttctat caactctttc tcactataat
96961 ctattattca agcatacttt cggggttttt ctgagaacgt atctgattat gccgccttcc
97021 tctttaaaat gtcttttttt ttttccattt cagggatatt gctattagtc cagacattaa
97081 aatatgtttg ctactataca gtcatgttac aaaattgaaa aatctgattc tgcattttta
97141 aatgaaaaca atttgtatag gaaataaata cctgaatata ctcaccaaaa tgtaactact
97201 tattattttg ggtttaagaa ataatagata atatttttat ttacattgta tgtcttcaaa
97261 tttactaaat ttatgtcggt aacaatgcat caggccaggc gaggtggttc atgcctgtaa
97321 tcccagcact ttgggaggcc gaggcgggcg ggtcacctga ggtcaggtgt ttgagaccag
97381 cctggccaac atggcaaaac ctcgtctcta ctaaaaatcc aaaaattagc gtggcatggt
97441 ggtgggtgcc tgtaatccca gctattcagg aggctgagga agcagaatat cttgaaccca
97501 ggaggcagag gttgcagtga gcctagatca cgccactgcc ctccggcctg aggaacagag
97561 cgagacgcca tctcaaaaca aacaaacaaa caacaacaaa aaacaatgta tcaccgtaga
97621 aattaaaaca actttttcta aacaaattaa aatcttccat cgaaatttat cttataattt
97681 aaaacagttc tcattagagt caggaatcag taaaaaagtt gccactctca ttataaccat
97741 tttccattgt cctttaggcc taaacaacta aagaaaaaaa atttaaataa caaaataact
97801 ttttgaaaga aagagataac tttgtcatta gttgtggatg atatattgat attatggaaa
97861 atacaatagt attcattgaa aaagtaataa aaggtatttg attttagcat agtgatgaat
97921 ttcataaaaa tatgctgaaa gcaaaagcat tcttttatca catcaaaagt ctaattgtta
97981 aaattccatt aataatacat gtaggtattt acagttttca ggataaatat caaaataatc
98041 aagaaataat gaatatttta aacatggcat ggagaaaatt agttatccac tttaggaaaa
98101 aaaattaaga caaattaagt tttgtttttt tttttttcct tgagatggag tttccctctt 98161 gttgcccaga ctggagtgca gtggcgcaat ctcagctcac tgcaacctcc gcctcctggg
98221 ttcaagtgat tctcctgcct cagcctcccg agtagctggc attacaggca aattaaaatt
98281 ttaagtagaa aaaaacaaaa aacaaaaatt gcattagaga aaaacacagg ataattctat
98341 aatttttgac tagagaaagt cttttaaaat tagcacaaat gataataaca agaaagacta
98401 acattcactg agttcttaac agatactctc ctaggtgctt ttacatgtgt tgatttatgt
98461 gtgtcctcta accctctagg agaaaggagc taatacatga aaggcacaca gacattaagt
98521 catggttggt aaatgctggg gctatcttaa cccaagctat ctggttgaag atgctgcatt
98581 cttatctaca ttcttttccc ctagaattca cacagaaaat cctagacaaa aatgactact
98641 taatatcaca aatgtctgca taaaaaaaaa agacaacata aaacaggtta gtgaaaacct
98701 gtttttccca aatctagaaa aacatatttg caacattaat gatagctaag agattaataa
98761 gattatgagc tcataattcc ataaggaaaa ttgatgaata ccatatagaa taacaggcaa
98821 aatatataaa tagggagttc ccattgaaag caatgaacat taccaaataa aatgatgttt
98881 aacctcattg ataatcaaat acaaatttaa ataaatatat cctatgtYtt catctattac
98941 actagcaaat gtcaaaatgg ttgttattgc cagtttggcc agggtgtggc aacacaggca
99001 ctctcatgta ctatgttagg aggataaatt aacaaaactt tttgaaagat aatataggat
99061 ctgtacccaa gattaatgtg tatgaatctt tcttggtgag actgcccttt taagatttag
99121 cctaattaaa taaaagggaa aatgtagctg
[0340] Following is a VMD2L3 coding nucleotide sequence (cDNA, SEQ ID NO: 5). VMD2L3 - NM_152439 ccacgcgtccggcagagagggctgactcagagtctgcacatggggtctgcttccaagttcttccaactgggcatatgcctccgccactctctgac tgtcctttgcctgtgccaaggtttctgggaagaacaggaagttcagggatggcggaaaatgtttggcagaatccctgagtccaaagccggagca cctgctcctgcctgagggcagagaggactggttttatgacaacagatgaaaggaaattattcaaccacctcaagtctcctcatctgaaatattggg ttccattcafctggtttggaaatcttgcaactaaagcccggaatgaaggtagaatcagagacagtgttgatctgcaatcattgatgactgaaatgaat cgataccgctcttggtgcagcctcttattcggttatgactgggttgggattccgctggtttacacccaggtagcagagcagcttatcaacccttttgg agaagatgatgatgattttgaaactaactggtgcattgacagaaatttgcaggtctctcttttagctgtggacgaaatgcacatgagcttacccaag atgaagaaggacatttactgggacgattctgctgctcgcccaccatacacattggcagctgctgactactgcataccctcatttctggggtcaaca gtccagatggggctgtctgggtccgactttcctgacgaggagtggctgtgggattatgagaagcatggccatcggcattccatgataagaagag tcaagcggttcctgagtgcccacgaacacccctccagccccagaagaagaagctacaggaggcagacaagtgacagctccatgttcttaccc cgagatgacctcagcccagccagggacctactggatgtgccctcaagaaacccccccagggcctcacccacctggaagaaatcctgcttccc agaaggaagccccacgctgcacttcagcatgggagagctgtccaccatcagggagaccagccagacaagcactttatagagcctgacccca cagtccagtgtgagaacttcccccatcaaaatgccactggtacctgaggtattgatcacagcagccgaagcaccagtgcccacatcagggggc taccaccatgattccgctacctccatcttgagctctgagtttacaggggttcagccaagcaagactgagcagcagcagggccccatgggatcca tcctgtctccctcagagaaggagacacctcctggaggccccagtccccagacagtttcagccagcgctgaggaaaatatattcaactgtgaaga agaccctggtgatacctttctaaaaaggtggagtcttccgggattcctggggtccagccacacttccctgggaaacctaagtccagaccccatga gctctcagccagctcttttaattgacacagaaacatcctcagagatcagtgggatcaacattgtggctggctctcgagtctcttctgatatgctgtatt taatggaaaacctggacaccaaggaaacagatatcatagagctgaacaaggaaactgaggaatcacccaaatgagtgccaccaagttctagg acctggttctagcctagattcttacctccccaaaagcagcatattaggcccaggacatacctgaaggctggtcgactttttaaaaaacatgatcaca ctgtataagctacttagaactttgaagggcattatgatcctgactttttgagagctgcgaaaaatcaaacgcattcacgtcatccaacacaacatgg ctttcatcagaagttacacagaccacagtgatttagccaaataagtcttaaccaaaaaaaggaatctgaaaaacatacatgacttataaattcatag attattagttgtggaaagagtctcatagatcatagtccaatcccctagacccaaaggcccagacacgcagggttctctatttctcttcttttttctctttc tttttttctttagccataaagaaaggagatggatcacctaatgcctgaaagatcccctccttcctaacgtttttgtttgaggctttctaaccatctcattcc tacttttataactattattgttattatcacttcctgattcttaagcttcatcagcaccagaacacttaattctcttcaatttccttttttacttttctctctn^ tattctgtcatcctttttttcccttcccttctccctggttgtgctgcttttctagtaatctgtcccatttttcaggttataatatttcctcttgccaaatctgttgct tatgtcttgccatgaatttcaaaatataagacattggcaaagcctcctacagaatcatcaaaggtgtcaacaaatccagcctgatacccttccagtct cacttccagtggaaggcatataggagtgatggttccccccgtgcccttgcagccattgacatttctttctgcttccactatttggtgttgggcactgg agaaaaacgaagccaagagaatatgaaatttgcatagccaaatgctatggaaccaaagaataagatgactcacatctgtttaacttgaactcttat gcaaaaatcctaatcgtgtcgcaacacgggaccagttactgtgtctatcgggtcatttgggaatgggcaggatactggagctgggaggctaatg gggtccagagctgcataatggggatcggatgttggtactcctcccagggagctctcaggacagctgtttgtcgtgggctcccaagtgcctaggc catgccttacgactgctgcacttaccatttgtcatatgatggcacttgactacatatggctttagaaataaaataaccctcaaaactaaaaaaaaaaa aaaaaaaaaaaa [0341] Following is a GPR97 cDNA sequence (SEQ ID NO: 6). GPR97 - NMJL70776 ggccagacagccacagagctcctggcgtgggcaaggctggccaaggatggcgacgcccaggggcctgggggccctgctcctgctcctcct gctcccgacctcaggtcaggaaaagcccaccgaagggccaagaaacacctgcctggggagcaacaacatgtacgacatcttcaacttgaatg acaaggctttgtgcttcaccaagtgcaggcagtcgggcagcgactcctgcaatgtggaaaacttgcagagatactggctaaactacgaggccc atctgatgaaggaaggtttgacgcagaaggtgaacacgcctttcctgaaggctttggtccagaacctcagcaccaacactgcagaagacttctat ttctctctggagccctctcaggttccgaggcaggtgatgaaggacgaggacaagccccctgacagagtgcgacttcccaagagcctttttcgat ccctgccaggcaacaggtctgtggtccgcttggccgtcaccattctggacattggtccagggactctcttcaagggcccccggctcggcctggg agatggcagcggcgtgttgaacaatcgcctggtgggtttgagtgtgggacaaatgcatgtcaccaagctggctgagcctctggagatcgtcttct ctcaccagcgaccgccccctaacatgaccctcacctgtgtattctgggatgtgactaaagggaccactggagactggtcttctgagggctgctcc acggaggtcagacctgaggggaccgtgtgctgctgtgaccacctgacctttttcgccctgctcctgagacccaccttggaccagtccacggtgc atatcctcacacgcatctcccaggcgggctgtggggtctccatgatcttcctggccttcaccattattctttatgcctttctgaggctttcccgggaga ggttcaagtcagaagatgccccaaagatccacgtggccctgggtggcagcctgttcctcctgaatctggccttcttggtcaatgtggggagtggc tcaaaggggtctgatgctgcctgctgggcccggggggctgtcttccactacttcctgctctgtgccttcacctggatgggccttgaagccttGcac ctctacctgctcgctgtcagggtcttcaacacctacttcgggcactacttcctgaagctgagcctggtgggctggggcctgcccgccctgatggt catcggcactgggagtgccaacagctacggcctctacaccatccgtgatagggagaaccgcacctctctggagctatgctggttccgtgaagg. gacaaccatgtacgccctctatatcaccgtccacggctacttcctcatcaccttcctctttggcatggtggtcctggccctggtggtctggaagatct tcaccctgtcccgtgctacagcggtcaaggagcgggggaagaaccggaagaaggtgctcaccctgctgggcctctcgagcctggtgggtgtg acatgggggttggccatcttcaccccgttgggcctctccaccgtctacatctttgcacttttcaactccttgcaaggtgtcttcatctgctgctggttca ccatcctttacctcccaagtcagagcaccacagtctcctcctctactgcaagattggaccaggcccactccgcatctcaagaataggaaggcac ggccctgcaatatggactcagctctggctctctgtgtgaccttgggcagctccgtgcctctctctgtactccctcagtttccttctctgtacaatgtgg ctggggagggagaggatgggaccaggttggaccacgtggcatcagaggtcccatccagatccaactataggtccaagagtccacgtaagca ggtttgcaaggctctaaagttcctatagtcctgagaccccctgccagcaaagagtgacagtcacctccatgccctgccctcattgcaaagccctc actcaccttctggtctcagcaagggaggagagtctgttgctggcatagccctggaaggagcccccagcctctcccctcctcctccttgtcactgg cctcccacaactccccttctggctgcctgtaaccttgaggggcattcaggaggccagcgttccctcaggcactgggggtttgttttggggggtgg gagtt
[0342] Following is a ADCYAPlRl cDNA sequence (SEQ ID NO: 7). ADCYAPlRl - NM 001118
Figure imgf000286_0001
GCGAAAATGGCGAAGCTGGAAGGTGAACCGTTACTTCGCTGTGGACTTCAAGCACCGACACCCGTCTCTGGCCAGCAGTGG GGCCACCTGAGCCATGCTCCCCT
Domains and regions: signal peptide region from position 224 to 283 of the mRNA sequence; type I adenylate cyclase activating polypeptide receptor region from positions 284 to 1627 of the mRNA sequence; and adenylate cyclase-coupled calcitonin receptor region from positions 287 to 1621 of the mRNA sequence. [0343] Following is an ERBB4 cDNA sequence (SEQ ID NO: 8). ERBB4 - NM_005235
AATTGTCAGCACGGGATCTGAGACTTCCAAAAAATGAAGCCGGCGACAGGACTTTGGG TCTGGGTGAGCCTTCTCGTGGCGGCGGGGACCGTCCAGCCCAGCGATTCTCAGTCAGT GTGTGCAGGAACGGAGAATAAACTGAGCTCTCTCTCTGACCTGGAACAGCAGTACCGA GCCTTGCGCAAGTACTATGAAAACTGTGAGGTTGTCATGGGCAACCTGGAGATAACCA GCATTGAGCACAACCGGGACCTCTCCTTCCTGCGGTCTGTTCGAGAAGTCACAGGCTAC GTGTTAGTGGCTCTTAATCAGTTTCGTTACCTGCCTCTGGAGAATTTACGCATTATTCGT GGGACAAAACTTTATGAGGATCGATATGCCTTGGCAATATTTTTAAACTACAGAAAAG ATGGAAACTTTGGACTTCAAGAACTTGGATTAAAGAACTTGACAGAAATCCTAAATGG TGGAGTCTATGTAGACCAGAACAAATTCCTTTGTTATGCAGACACCATTCATTGGCAAG ATATTGTTCGGAACCCATGGCCTTCCAACTTGACTCTTGTGTCAACAAATGGTAGTTCA GGATGTGGACGTTGCCATAAGTCCTGTACTGGCCGTTGCTGGGGACCCACAGAAAATC ATTGCCAGACTTTGACAAGGACGGTGTGTGCAGAACAATGTGACGGCAGATGCTACGG ACCTTACGTCAGTGACTGCTGCCATCGAGAATGTGCTGGAGGCTGCTCAGGACCTAAG GACACAGACTGCTTTGCCTGCATGAATTTCAATGACAGTGGAGCATGTGTTACTCAGTG TCCCCAAACCTTTGTCTACAATCCAACCACCTTTCAACTGGAGCACAATTTCAATGCAA AGTACACATATGGAGCATTCTGTGTCAAGAAATGTCCACATAACTTTGTGGTAGATTCC AGTTCTTGTGTGCGTGCCTGCCCTAGTTCCAAGATGGAAGTAGAAGAAAATGGGATTA AAATGTGTAAACCTTGCACTGACATTTGCCCAAAAGCTTGTGATGGCATTGGCACAGG ATCATTGATGTCAGCTCAGACTGTGGATTCCAGTAACATTGACAAATTCATAAACTGTA CCAAGATCAATGGGAATTTGATCTTTCTAGTCACTGGTATTCATGGGGACCCTTACAAT GCAATTGAAGCCATAGACCCAGAGAAACTGAACGTCTTTCGGACAGTCAGAGAGATAA CAGGTTTCCTGAACATACAGTCATGGCCACCAAACATGACTGACTTCAGTGTTTTTTCT AACCTGGTGACCATTGGTGGAAGAGTACTCTATAGTGGCCTGTCCTTGCTTATCCTCAA GCAACAGGGCATCACCTCTCTACAGTTCCAGTCCCTGAAGGAAATCAGCGCAGGAAAC ATCTATATTACTGACAACAGCAACCTGTGTTATTATCATACCATTAACTGGACAACACT CTTCAGCACAATCAACCAGAGAATAGTAATCCGGGACAACAGAAAAGCTGAAAATTGT ACTGCTGAAGGAATGGTGTGCAACCATCTGTGTTCCAGTGATGGCTGTTGGGGACCTG GGCCAGACCAATGTCTGTCGTGTCGCCGCTTCAGTAGAGGAAGGATCTGCATAGAGTC TTGTAACCTCTATGATGGTGAATTTCGGGAGTTTGAGAATGGCTCCATCTGTGTGGAGT GTGACCCCCAGTGTGAGAAGATGGAAGATGGCCTCCTCACATGCCATGGACCGGGTCC TGACAACTGTACAAAGTGCTCTCATTTTAAAGATGGCCCAAACTGTGTGGAAAAATGT CCAGATGGCTTACAGGGGGCAAACAGTTTCATTTTCAAGTATGCTGATCCAGATCGGG AGTGCCACCCATGCCATCCAAACTGCACCCAAGGGTGTAACGGTCCCACTAGTCATGA CTGCATTTACTACCCATGGACGGGCCATTCCACTTTACCACAACATGCTAGAACTCCCC TGATTGCAGCTGGAGTAATTGGTGGGCTCTTCATTCTGGTCATTGTGGGTCTGACATTT GCTGTTTATGTTAGAAGGAAGAGCATCAAAAAGAAAAGAGCCTTGAGAAGATTCTTGG AAACAGAGTTGGTGGAACCATTAACTCCCAGTGGCACAGCACCCAATCAAGCTCAACT TCGTATTTTGAAAGAAACTGAGCTGAAGAGGGTAAAAGTCCTTGGCTCAGGTGCTTTT GGAACGGTTTATAAAGGTATTTGGGTACCTGAAGGAGAAACTGTGAAGATTCCTGTGG CTATTAAGATTCTTAATGAGACAACTGGTCCCAAGGCAAATGTGGAGTTCATGGATGA AGCTCTGATCATGGCAAGTATGGATCATCCACACCTAGTCCGGTTGCTGGGTGTGTGTC TGAGCCCAACCATCCAGCTGGTTACTCAACTTATGCCCCATGGCTGCCTGTTGGAGTAT GTCCACGAGCACAAGGATAACATTGGATCACAACTGCTGCTTAACTGGTGTGTCCAGA TAGCTAAGGGAATGATGTACCTGGAAGAAAGACGACTCGTTCATCGGGATTTGGCAGC CCGTAATGTCTTAGTGAAATCTCCAAACCATGTGAAAATCACAGATTTTGGGCTAGCCA GACTCTTGGAAGGAGATGAAAAAGAGTACAATGCTGATGGAGGAAAGATGCCAATTA AATGGATGGCTCTGGAGTGTATACATTACAGGAAATTCACCCATCAGAGTGACGTTTG GAGCTATGGAGTTACTATATGGGAACTGATGACCTTTGGAGGAAAACCCTATGATGGA ATTCCAACGCGAGAAATCCCTGATTTATTAGAGAAAGGAGAACGTTTGCCTCAGCCTC CCATCTGCACTATTGACGTTTACATGGTCATGGTCAAATGTTGGATGATTGATGCTGAC AGTAGACCTAAATTTAAGGAACTGGCTGCTGAGTTTTCAAGGATGGCTCGAGACCCTC
AAAGATACCTAGTTATTCAGGGTGATGATCGTATGAAGCTTCCCAGTCCAAATGACAG
CAAGTTCTTTCAGAATCTCTTGGATGAAGAGGATTTGGAAGATATGATGGATGCTGAG
GAGTACTTGGTCCCTCAGGCTTTCAACATCCCACCTCCCATCTATACTTCCAGAGCAAG
AATTGACTCGAATAGGAGTGAAATTGGACACAGCCCTCCTCCTGCCTACACCCCCATGT
CAGGAAACCAGTTTGTATACCGAGATGGAGGTTTTGCTGCTGAACAAGGAGTGTCTGT
GCCCTACAGAGCCCCAACTAGCACAATTCCAGAAGCTCCTGTGGCACAGGGTGCTACT
GCTGAGATTTTTGATGACTCCTGCTGTAATGGCACCCTACGCAAGCCAGTGGCACCCCA
TGTCCAAGAGGACAGTAGCACCCAGAGGTACAGTGCTGACCCCACCGTGTTTGCCCCA
GAACGGAGCCCACGAGGAGAGCTGGATGAGGAAGGTTACATGACTCCTATGCGAGAC
AAACCCAAACAAGAATACCTGAATCCAGTGGAGGAGAACCCTTTTGTTTCTCGGAGAA
AAAATGGAGACCTTCAAGCATTGGATAATCCCGAATATCACAATGCATCCAATGGTCC
ACCCAAGGCCGAGGATGAGTATGTGAATGAGCCACTGTACCTCAACACCTTTGCCAAC
ACCTTGGGAAAAGCTGAGTACCTGAAGAACAACATACTGTCAATGCCAGAGAAGGCC
AAGAAAGCGTTTGACAACCCTGACTACTGGAACCACAGCCTGCCACCTCGGAGCACCC
TTCAGCACCCAGACTACCTGCAGGAGTACAGCACAAAATATTTTTATAAACAGAATGG
GCGGATCCGGCCTATTGTGGCAGAGAATCCTGAATACCTCTCTGAGTTCTCCCTGAAGC
CAGGCACTGTGCTGCCGCCTCCACCTTACAGACACCGGAATACTGTGGTGTAAGCTCA
GTTGTGGTTTTTTAGGTGGAGAGACACACCTGCTCCAATTTCCCCACCCCCCTCTCTTTC
TCTGGTGGTCTTCCTTCTACCCCAAGGCCAGTAGTTTTGACACTTCCCAGTGGAAGATA
CAGAGATGCAATGATAGTTATGTGCTTACCTAACTTGAACATTAGAGGGAAAGACTGA
AAGAGAAAGATAGGAGGAACCACAATGTTTCTTCATTTCTCTGCATGGGTTGGTCAGG
AGAATGAAACAGCTAGAGAAGGACCAGAAAATGTAAGGCAATGCTGCCTACTATCAA
ACTAGCTGTCACTTTTTTTCTTTTTCTTTTTCTTTC
TTTTTTTTTTTAAAGCAGATGGTTGAAACACCCATGCTATCTGTTCCTATCTGCAGGAAC
TGATGTGTGCATATTTAGCATCCCTGGAAATCATAATAAAGTTTCCATTAGAACAAAAG
AATAACATTTTCTATAACATATGATAGTGTCTGAAATTGAGAATCCAGTTTCTTTCCCC
AGCAGTTTCTGTCCTAGCAAGTAAGAATGGCCAACTCAACTTTCATAATTTAAAAATCT
CCATTAAAGTTATAACTAGTAATCATGTTTTCAACAC^
TGCTCTGACCGATTCCTTTATATTTGCTCCCCTATTTTTGGCTTTAATTTCTAATTGCAA
AGATGTTTACATCAAAGCTTCTTCACAGAATTTAAGCAAGAAATATTTTAATATAGTGA
AATGGCCACTACTTTAAGTATACAATCTTTAAAATAAGAAAGGGAGGCTAATATTΓTTC
ATGCTATCAAATTATCTTCACCCTCATCCTTTACATTTTTCAACATTTITTTTTCTCCATA
AATGACACTACTTGATAGGCCGTTGGTTGTCTGAAGAGTAGAAGGGAAACTAAGAGAC
AGTTCTCTGTGGTTCAGGAAAACTACTGATACTTTCAGGGGTGGCCCAATGAGGGAAT
CCATTGAACTGGAAGAAACACACTGGATTGGGTATGTCTACCTGGCAGATACTCAGAA
ATGTAGTTTGCACTTAAGCTGTAATTTTATTTGTTCTTTTTCTGAACTCCATT^
TGAATCAAGCAATATGGAAGCAACCAGCAAATTAACTAATTTAAGTACATTTTTAAAA
AAAGAGCTAAGATAAAGACTGTGGAAATGCCAAACCAAGCAAATTAGGAACCTTGCA
ACGGTATCCAGGGACTATGATGAGAATTCCATGGAATTTCTAGTATGAGACTATTTATA
TGAAGTAGAAGGTAACTCTTTGCACATAAATTGGTATAATAAAAAGAAAAACACAAAC
ATTCAAAGGCCAGCACATTATCTTCATATGTCACCTTTGCTACGCAAGGAAATTTGTTC
AGTTCGTATACTTCGTAAGAAGGAATGCGAGTAAGGATTGGCTTGAGCTTAGGGATAG
GTCCTTGGGTCAAAAGTTGTAAATAAATGTGAAACATCTTCTC
[0344] Following is an ABCBl cDNA sequence (SEQ ID NO: 9). ABCBl - NM_000927 cctactctattcagatattctccagattcctaaagattagagatcatttctcattctcctaggagtactcacttcaggaagcaaccagataaaagaga ggtgcaacggaagccagaacattcctcctggaaattcaacctgtttcgcagtttctcgaggaatcagcattcagtcaatccgggccgggagcagt catctgtggtgaggctgattggctgggcaggaacagcgccggggcgtgggctgagcacagcgcttcgctctctttgccacaggaagcctgag ctcattcgagtagcggctcttccaagctcaaagaagcagaggccgctgttcgtttcctttaggtctttccactaaagtcggagtatcttcttccaaga tttcacgtcttggtggccgttccaaggagcgcgaggtcgggatggatcttgaaggggaccgcaatggaggagcaaagaagaagaacttttttaa actgaacaataaaagtgaaaaagataagaaggaaaagaaaccaactgtcagtgtattttcaatgtttcgctattcaaattggcttgacaagttgtata tggtggtgggaactttggctgccatcatccatggggctggacttcctctcatgatgctggtgtttggagaaatgacagatatctttgcaaatgcagg aaatttagaagatctgatgtcaaacatcactaatagaagtgatatcaatgatacagggttcttcatgaatctggaggaagacatgaccaggtatgcc tattattacagtggaattggtgctggggtgctggttgctgcttacattcaggtttcattttggtgcctggcagctggaagacaaatacacaaaattag aaaacagttttttcatgctataatgcgacaggagataggctggtttgatgtgcacgatgttggggagcttaacacccgacttacagatgatgtctcc aagattaatgaaggaattggtgacaaaattggaatgttctttcagtcaatggcaacatttttcactgggtttatagtaggatttacacgtggttggaag ctaacccttgtgattttggccatcagtcctgttcttggactgtcagctgctgtctgggcaaagatactatcttcatttactgataaagaactcttagcgt atgcaaaagctggagcagtagctgaagaggtcttggcagcaattagaactgtgattgcatttggaggacaaaagaaagaacttgaaaggtacaa caaaaatttagaagaagctaaaagaattgggataaagaaagctattacagccaatatttctataggtgctgctttcctgctgatctatgcatcttatgc tctggccttctggtatgggaccaccttggtcctctcaggggaatattctattggacaagtactcactgtattttctgtattaattggggcttttagtgttg gacaggcatctccaagcattgaagcatttgcaaatgcaagaggagcagcttatgaaatcttcaagataattgataataagccaagtattgacagct attcgaagagtgggcacaaaccagataatattaagggaaatttggaattcagaaatgttcacttca[g/a]ttacccatctcgaaaagaagttaaga tcttgaagggtctgaacctgaaggtgcagagtgggcagacggtggccctggttggaaacagtggctgtgggaagagcacaacagtccagctg atgcagaggctctatgaccccacagaggggatggtcagtgttgatggacaggatattaggaccataaatgtaaggtttctacgggaaatcattgg tgtggtgagtcaggaacctgtattgtttgccaccacgatagctgaaaacattcgctatggccgtgaaaatgtcaccatggatgagattgagaaagc tgtcaaggaagccaatgcctatgactttatcatgaaactgcctcataaatttgacaccctggttggagagagaggggcccagttgagtggtgggc agaagcagaggatcgccattgcacgtgccctggttcgcaaccccaagatcctcctgctggatgaggccacgtcagccttggacacagaaagc gaagcagtggttcaggtggctctggataaggccagaaaaggtcggaccaccattgtgatagctcatcgtttgtctacagttcgtaatgctgacgtc atcgctggtttcgatgatggagtcattgtggagaaaggaaatcatgatgaactcatgaaagagaaaggcatttacttcaaacttgtcacaatgcag acagcaggaaatgaagttgaattagaaaatgcagctgatgaatccaaaagtgaaattgatgccttggaaatgtcttcaaatgattcaagatccagt ctaataagaaaaagatcaactcgtaggagtgtccgtggatcacaagcccaagacagaaagcttagtaccaaagaggctctggatgaaagtata cctccagtttccttttggaggattøtgaagctaaatttaactgaatggccttattttgttgttggtgtattttgtgccattataaatggaggcctgcaacca gcatttgcaataatattttcaaagattataggggtttttacaagaattgatgatcctgaaacaaaacgacagaatagtaacttgttttcactattgtttcta gcccttggaattatttcttttattacatttttccttcagggtttcacatttggcaaagctggagagatcctcaccaagcggctccgatacatggttttccg atccatgctcagacaggatgtgagttggtttgatgaccctaaaaacaccactggagcattgactaccaggctcgccaatgatgctgctcaagttaa aggggctataggttccaggcttgctgtaattacccagaatatagcaaatcttgggacaggaataattatatccttcatctatggttggcaactaacac tgttactcttagcaattgtacccatcattgcaatagcaggagttgttgaaatgaaaatgttgtctggacaagcactgaaagataagaaagaactaga aggtgctgggaagatcgctactgaagcaatagaaaacttccgaaccgttgtttctttgactcaggagcagaagtttgaacatatgtatgctcagag tttgcaggtaccatacagaaactctttgaggaaagcacacatctttggaattacattttccttcacccaggcaatgatgtatttttcctatgctggatgtt tccggtttggagcctacttggtggcacataaactcatgagctttgaggatgttctgttagtattttcagctgttgtctttggtgccatggccgtggggc aagtcagttcatttgctcctgactatgccaaagccaaaatatcagcagcccacatcatcatgatcattgaaaaaacccctttgattgacagctacag cacggaaggcctaatgccgaacacattggaaggaaatgtcacatttggtgaagttgtattcaactatcccacccgaccggacatcccagtgcttc agggactgagcctggaggtgaagaagggccagacgctggctctggtgggcagcagtggctgtgggaagagcacagtggtccagctcctgg agcggttctacgaccccttggcagggaaagtgctgcttgatggcaaagaaataaagcgactgaatgttcagtggctccgagcacacctgggca tcgtgtcccaggagcccatcctgtttgactgcagcattgctgagaacattgcctatggagacaacagccgggtggtgtcacaggaagagattgt gagggcagcaaaggaggccaacatacatgccttcatcgagtcactgcctaataaatatagcactaaagtaggagacaaaggaactcagctctct ggtggccagaaacaacgcattgccatagctcgtgcccttgttagacagcctcatattttgcttttggatgaagccacgtcagctctggatacagaa agtgaaaaggttgtccaagaagccctggacaaagccagagaaggccgcacctgcattgtgattgctcaccgcctgtccaccatccagaatgca gacttaatagtggtgtttcagaatggcagagtcaaggagcatggcacgcatcagcagctgctggcacagaaaggcatctatttttcaatggtcag tgtccaggctggaacaaagcgccagtgaactctgactgtatgagatgttaaatactttttaatatttgtttagatatgacatttattcaaagttaaaagc aaacacttacagaattatgaagaggtatctgtttaacatttcctcagtcaagttcagagtcttcagagacttcgtaattaaaggaacagagtgagag acatcatcaagtggagagaaatcatagtttaaactgcattataaattttataacagaattaaagtagattttaaaagataaaatgtgtaattttgtttatat tttcccatttggactgtaactgactgccttgctaaaagattatagaagtagcaaaaagtattgaaatgtttgcataaagtgtctataataaaactaaact ttcatgtg
[0345] Following is a first ABL2 cDNA sequence (SEQ ID NO: 10). ABL2 (isoform a) - NM_005158
AGAGGTATGGTCCTTGGGACAGTTCTCCTTCCACCTAATACTTATGGCAGAGATCAGGA CACTTCACTTTGCTGCCTGTGCACTGAGGCCTCAGAATCTGCTCTACCCGACTTAACAG AAGCTTTGCATCGTCCCTATGGTTGTGATGTTGAACCCCAGGCACTAAATGAGGCTATC AGGTGGAGCTCCAAGGAGAACTTGCTCGGAGCCACTGAGAGTGACCCTAATCTCTTCG TTGCACTTTATGATTTTGTAGCAAGTGGTGATAACACACTCAGCATCACTAAAGGTGAA AAGCTACGAGTCCTTGGTTACAACCAGAATGGTGAGTGGAGTGAAGTTCGCTCTAAGA ATGGGCAGGGCTGGGTGCCAAGCAACTACATCACCCCAGTGAACAGCCTGGAAAAAC ACTCCTGGTACCATGGACCTGTGTCACGCAGTGCAGCTGAGTATCTGCTCAGCAGTCTA ATCAATGGCAGCTTCCTGGTGCGAGAAAGTGAGAGTAGCCCTGGGCAGCTGTCCATCT CGCTCAGGTACGAGGGACGTGTGTATCACTACAGGATCAATACCACTGCAGATGGCAA GGTGTATGTGACTGCTGAGAGCCGCTTCAGCACCTTGGCAGAGCTTGTACACCATCACT CCACAGTGGCTGATGGGCTGGTGACAACATTACACTACCCAGCACCCAAGTGTAATAA GCCTACAGTCTATGGTGTGTCCCCCATCCACGACAAATGGGAAATGGAGCGAACAGAT ATTACCATGAAGCACAAACTTGGGGGCGGTCAGTATGGAGAGGTTTACGTTGGCGTCT GGAAGAAATACAGCCTTACAGTTGCTGTGAAAACATTGAAGGAAGATACCATGGAGGT AGAAGAATTCCTGAAAGAAGCTGCAGTAATGAAGGAAATCAAGCATCCTAATCTGGTA CAACTTTTAGGTGTGTGTACTTTGGAGCCACCATTTTACATTGTGACTGAATACATGCC ATACGGGAATTTGCTGGATTACCTCCGAGAATGCAACCGAGAAGAGGTGACTGCAGTT GTGCTGCTCTACATGGCCACTCAGATTTCTTCTGCAATGGAGTACTTAGAGAAGAAGA ATTTCATCCATAGAGATCTTGCAGCTCGTAACTGCCTAGTGGGAGAAAACCATGTGGT AAAAGTGGCTGACTTTGGCTTAAGTAGATTGATGACTGGAGACACTTATACTGCTCATG CTGGAGCCAAATTTCCTATTAAGTGGACAGCACCAGAGAGTCTTGCCTACAATACCTTC TCAATTAAATCTGACGTCTGGGCTTTTGGGGTATTGTTGTGGGAAATTGCTACCTATGG AATGTCACCATATCCAGGTATTGACCTGTCTCAGGTCTATGACCTACTAGAAAAAGGAT ATCGAATGGAACAGCCTGAGGGATGCCCCCCTAAGGTTTATGAACTTATGAGAGCATG CTGGAAGTGGAGCCCTGCCGATAGGCCCTCTTTTGCTGAAACACACCAAGCTTTTGAA ACCATGTTCCATGACTCCAGCATTTCTGAAGAGGTAGCTGAGGAGCTTGGGAGAGCCG CCTCCTCGTCATCTGTTGTTCCATACCTGCCCCGGCTACCTATACTTCCTTCCAAGACTC GGACACTGAAGAAACAGGTGGAGAACAAGGAGAACATTGAAGGGGCACAAGATGCCA CAGAAAATTCTGCTTCCAGTTTAGCACCAGGGTTCATCAGAGGTGCACAGGCCTCTAGT GGATCCCCAGCACTGCCTCGAAAGCAAAGAGACAAGTCACCCAGCAGCCTCTTGGAAG ATGCCAAAGAGACATGCTTCACCAGGGATAGGAAGGGGGGCTTCTTCAGCTCCTTCAT GAAGAAGAGAAATGCTCCTACACCCCCCAAACGCAGCAGCTCCTTCCGAGAAATGGAG AATCAGCCCCATAAGAAATACGAACTCACGGGTAACTTCTCATCTGTTGCTTCTCTACA GCATGCTGATGGGTTCTCTTTCACTCCTGCCCAGCAAGAGGCGAATCTGGTGCCACCCA AGTGCTATGGGGGGAGCTTTGCACAGAGGAACCTCTGTAATGACGACGGTGGTGGGGG TGGGGGCAGTGGCACTGCTGGGGGTGGGTGGTCTGGCATCACAGGCTTCTTTACACCA CGCTTAATCAAAAAGACACTGGGCTTACGAGCAGGTAAACCCACAGCCAGTGATGACA CTTCCAAGCCTTTTCCAAGGTCAAACTCTACATCTTCCATGTCCTCAGGGCTTCCAGAG CAGGATAGGATGGCAATGACCCTTCCCAGGAACTGCCAGAGGTCCAAACTCCAGCTGG AAAGGACAGTGTCCACCTCTTCTCAGCCAGAAGAGAATGTGGACAGGGCCAATGACAT GCTTCCAAAAAAATCAGAGGAAAGTGCTGCTCCAAGCAGGGAGAGACCAAAAGCCAA GTTATTGCCCAGAGGAGCCACAGCTCTTCCTCTCAGAACACCCTCTGGGGATCTAGCCA TTACAGAGAAGGACCCTCCAGGGGTGGGAGTGGCTGGAGTGGCAGCTGCCCCCAAGG GTAAAGAGAAGAATGGTGGGGCACGACTTGGGATGGCTGGAGTTCCAGAGGATGGAG AGCAGCCGGGCTGGCCTTCTCCAGCCAAGGCTGCCCCCGTCCTCCCAACCACTCACAA CCACAAAGTGCCAGTCCTTATCTCACCCACTCTGAAACACACTCCAGCTGACGTGCAGC TCATTGGCACAGACTCTCAGGGGAATAAATTCAAGCTCTTATCTGAGCATCAGGTCAC ATCCTCTGGAGACAAGGACCGACCCCGACGGGTAAAACCAAAGTGTGCCCCACCCCCA CCACCAGTGATGAGACTACTGCAGCATCCGTCCATCTGCTCAGACCCTACAGAAGAGC CAACTGCCCTAACTGCAGGACAGTCCACATCAGAAACACAGGAAGGAGGAAAGAAGG CAGCTCTGGGCGCAGTGCCCATCAGTGGGAAAGCTGGGAGGCCAGTGATGCCTCCACC TCAAGTGCCTCTGCCCACATCTTCCATCTCGCCAGCCAAAATGGCCAATGGCACAGCA GGTACTAAAGTGGCTCTGAGAAAAACCAAACAGGCCGCTGAGAAAATCTCAGCAGAC AAAATCAGCAAAGAGGCCCTGCTGGAATGTGCTGACCTACTGTCCAGTGCACTCACGG AACCTGTGCCCAACAGCCAGCTGGTAGACACTGGACACCAGCTGCTTGACTACTGCTC AGGCTATGTGGACTGCATCCCTCAAACTCGCAACAAATTTGCCTTCCGAGAGGCTGTG AGCAAACTGGAACTCAGCCTGCAGGAGCTACAGGTTTCTTCAGCAGCTGCTGGTGTGC CCGGGACAAACCCTGTCCTTAATAACTTATTGTCATGTGTACAGGAAATCAGTGATGTG GTGCAGAGGTAGCCACTGTTAGCCTGGTGGGAAAATGCACACATTTCTGAGGGGAGAG GGAAAAGGACTTGTTTTCCTGTGTTCTTGTTTTCAGAAAATGAAAGACTC
[0346] Following is a second ABL2 cDNA sequence (SEQ ID NO: 11). ABL2 (isoform B) - NM_007314 aaaagcagaatctgtgagtcgcctggaggcagcgcggcggctgccgtgaggaggccgggtgcggagccgccggtggcccagccgctcag ggccagggcctgggctgggagggagagaccggagcagcgccaggagcccgaggccggagccgaggaggaatgtgaccaggggtcgg cgggggcgcgggagtacgcgagagcagggatggggcagcaggtgggccgcgtcggggaagctccggggctccagcagcctcagcccc gcgggatccggggcagcagtgcagccaggccctccggccgcaggcgggacccggcggggcgcaccacagagaccggcttcaatatcttc acccagcatgatcactttgccagctgtgtggaggatggatttgagggagacaagactggaggcagtagtccagaagctttgcatcgtccctatg gttgtgatgttgaaccccaggcactaaatgaggctatcaggtggagctccaaggagaacttgctcggagccactgagagtgaccctaatctcttc gttgcactttatgattttgtagcaagtggtgataacacactcagcatcactaaaggtgaaaagctacgagtccttggttacaaccagaatggtgagt ggagtgaagttcgctctaagaatgggcagggctgggtgccaagcaactacatcaccccagtgaacagcctggaaaaacactcctggtaccatg gacctgtgtcacgcagtgcagctgagtatctgctcagcagtctaatcaatggcagcttcctggtgcgagaaagtgagagtagccctgggcagct gtccatctcgctcaggtacgagggacgtgtgtatcactacaggatcaataccactgcagatggcaaggtgtatgtgactgctgagagccgcttca gcaccttggcagagcttgtacaccatcactccacagtggctgatgggctggtgacaacattacactacccagcacccaagtgtaataagcctac agtctatggtgtgtcccccatccacgacaaatgggaaatggagcgaacagatattaccatgaagcacaaacttgggggcggtcagtatggaga ggtttacgttggcgtctggaagaaatacagccttacagttgctgtgaaaacattgaaggaagataccatggaggtagaagaattcctgaaagaag ctgcagtaatgaaggaaatcaagcatcctaatctggtacaacttttaggtgtgtgtactttggagccaccattttacattgtgactgaatacatgccat acgggaatttgctggattacctccgagaatgcaaccgagaagaggtgactgcagttgtgctgctctacatggccactcagatttcttctgcaatgg agtacttagagaagaagaatttcatccatagagatcttgcagctcgtaactgcctagtgggagaaaaccatgtggtaaaagtggctgactttggct taagtagattgatgactggagacacttatactgctcatgctggagccaaatttcctattaagtggacagcaccagagagtcttgcctacaatacctt ctcaattaaatctgacgtctgggcttttggggtattgttgtgggaaattgctacctatggaatgtcaccatatccaggtattgacctgtctcaggtctat gacctactagaaaaaggatatcgaatggaacagcctgagggatgcccccctaaggtttatgaacttatgagagcatgctggaagtggagccctg ccgataggccctcttttgctgaaacacaccaagcttttgaaaccatgttccatgactccagcatttctgaagaggtagctgaggagcttgggagag ccgcctcctcgtcatctgttgttccatacctgccccggctacctatacttccttccaagactcggacactgaagaaacaggtggagaacaaggag aacattgaaggggcacaagatgccacagaaaattctgcttccagtttagcaccagggttcatcagaggtgcacaggcctctagtggatccccag cactgcctcgaaagcaaagagacaagtcacccagcagcctcttggaagatgccaaagagacatgcttcaccagggataggaaggggggctt cttcagctccttcatgaagaagagaaatgctcctacaccccccaaacgcagcagctccttccgagaaatggagaatcagccccataagaaatac gaactcacgggtaacttctcatctgttgcttctctacagcatgctgatgggttctctttcactcctgcccagcaagaggcgaatctggtgccaccca agtgctatggggggagctttgcacagaggaacctctgtaatgacgacggtggtgggggtgggggcagtggcactgctgggggtgggtggtct ggcatcacaggcttctttacaccacgcttaatcaaaaagacactgggcttacgagcaggtaaacccacagccagtgatgacacttccaagccttt tccaaggtcaaactctacatcttccatgtcctcagggcttccagagcaggataggatggcaatgacccttcccaggaactgccagaggtccaaa ctccagctggaaaggacagtgtccacctcttctcagccagaagagaatgtggacagggccaatgacatgcttccaaaaaaatcagaggaaagt gctgctccaagcagggagagaccaaaagccaagttattgcccagaggagccacagctcttcctctcagaacaccctctggggatctagccatt acagagaaggaccctccaggggtgggagtggctggagtggcagctgcccccaagggtaaagagaagaatggtggggcacgacttgggatg gctggagttccagaggatggagagcagccgggctggccttctccagccaaggctgcccccgtcctcccaaccactcacaaccacaaagtgcc agtccttatctcacccactctgaaacacactccagctgacgtgcagctcattggcacagactctcaggggaataaattcaagctcttatctgagcat caggtcacatcctctggagacaaggaccgaccccgacgggtaaaaccaaagtgtgccccacccccaccaccagtgatgagactactgcagc atccgtccatctgctcagaccctacagaagagccaactgccctaactgcaggacagtccacatcagaaacacaggaaggaggaaagaaggc agctctgggcgcagtgcccatcagtgggaaagctgggaggccagtgatgcctccacctcaagtgcctctgcccacatcttccatctcgccagc caaaatggccaatggcacagcaggtactaaagtggctctgagaaaaaccaaacaggccgctgagaaaatctcagcagacaaaatcagcaaa gaggccctgctggaatgtgctgacctactgtccagtgcactcacggaacctgtgcccaacagccagctggtagacactggacaccagctgctt gactactgctcaggctatgtggactgcatccctcaaactcgcaacaaatttgccttccgagaggctgtgagcaaactggaactcagcctgcagg agctacaggtttcttcagcagctgctggtgtgcccgggacaaaccctgtccttaataacttattgtcatgtgtacaggaaatcagtgatgtggtgca gaggtagccactgttagcctggtgggaaaatgcacacatttctgaggggagagggaaaaggacttgttttcctgtgttcttgttttcagaaaatgaa agactc [0347] Following is a VMD2L3 amino acid sequence (SEQ ID NO: 12). VMD2L3 -NP 689652
MTTDERKLFNHLKSPHLKYWWFIWFGN^^
SLLFGYDWVGEPLVYTQVAEQLINPFGEDDDDFETNWCIDRNLQVSLLAVDEMHMSLPKM
KKI)IYWDDSAARPPYTLAAADYCIPSFLGSTVQMGLSGSDFPDEEWLWDYEKHGHRHSMI
PvRVKRFLSAHEHPSSPRPJRSYRRQTSDSSMFLPRDDLSPARDLLDVPSRNPPRASPTWKKSC
FPEGSPTLHFSMGELSTIRETSQTSTL
[0348] Following is a GPR97 amino acid sequence (SEQ ID NO: 13). GPR97 - NPJ740746
MATPRGLGALLLLLLLPTSGQEKPTEGPRNTCLGSNNMYDIFNLNDKALCFTKCRQ
SGSDSCNVENLQRYWLNYEAHLMKEGLTQKVNTPFLKALVQNLSTNTAEDFYFSL
EPSQVPRQVMKDEDKPPDRVRLPKSLFRSLPGNRSWRLAVTILDIGPGTLFKGPRL
GLGDGSGVLNNRLVGLSVGQMHVTKLAEPLEIVFSHQRPPPNMTLTCVFWDVTKG
TTGDWSSEGCSTEVRPEGTVCCCDHLTFFALLLRPTLDQSTVHILTRISQAGCGVSM
IFLAFTIILYAFLRLSRERFKSEDAPKIHVALGGSLFLLNLAFLVNVGSGSKGSDAAC
WARGAVFHYFLLCAFTWMGLEAFHLYLLAVRVFNTYFGHYFLKLSLVGWGLPAL
MVIGTGSANSYGLYTIRDRENRTSLELCWFREGTTMYALYITVHGYFLITFLFGMV
VLALVVWKIFTLSRATAVKERGKNRKKVLTLLGLSSLVGVTWGLAIFTPLGLSTVY
IFALFNSLQGVFICCWFTILYLPSQSTTVSSSTARLDQAHSASQE
[0349] Following is a ADCYAPlRl amino acid sequence (SEQ ID NO: 14). ADCYAPlRl- NP_001109
MAGΛ^VHVSLAALLLLPMAPAMHSDCIFKKEQAMCLEKIQRANELMGFNDSSPGCPGMWD
NΓΓCWKPAHVGEMVLVSCPELFRIFNPDQVWETETIGESDFGDSNSLDLSDMGWSRNCTE
DGWSEPFPHYFDACGFDEYESETGDQDYYYLSVKALYTVGYSTSLVTLTTAMVILCRFRK
LHCTRNFIHMNLFVSFMLRAISYFIKDWILYAEQDSNHCFISTVECKAVMVFFHYCWSNY
FWLFIEGLYLFTLLVETFFPERRYFYWYTΠGWGTPTVCVTVWATLRLYFDDTGCWDMND
STALWWVKGPVVGSIMVNFVLFIGΠVILVQKLQSPDMGGNESSIYLRLARSTLLLFFLFGIH
YTWAFSPENVSKRERLVFELGLGSFQGFVVAVLYCFLNGEVQAEIKRKWRSWKVNRYFA
VDFKHRHPSLASSGVNGGTQLSILSKSSSQIRMSGLPADNLAT
Domains and regions: signal peptide region from position 1 to 20 of the polypeptide sequence; and adenylate cyclase-coupled calcitonin receptor region from positions 22 to 466 of the mRNA sequence.
[0350] Following is an ERBB4 amino acid sequence (SEQ ID NO: 15). ERBB4 -NP_005226
MKPATGLWVWVSLLVAAGTVQPSDSQSVCAGTENKLSSLSDLEQQYRALRKYYENCEVV
MGNLErrsmHNRDLSFLRSVREVTGYVLVALNQFRYLPLENLRIIRGTKLYEDRYALAIFLN
YRKDGNFGLQELGLKM--TEILNGGVYVDQNK-FLCYADTIHWQDrVRNPWPSNLTLVSTNG
SSGCGRCHKSCTGRCWGPTENHCQTLTRTVCAEQCDGRCYGPYVSDCCHRECAGGCSGP
KI)TDCFACMNFNDSGACVTQCPQTFVYNPTTFQLEHNFNAKYTYGAFCVKKCPHNFVVD
SSSCVRACPSSKMEVEENGIKMCKPCTDICPKACDGIGTGSLMSAQTVDSSNIDKFΓNCTKI
NGNLΠ?LVTGMGDPYNAIEAIDPEKLNVFRTVRE^^GFLNIQSWPPNMTDFSVFSNLVTIGG
RVLYSGLSLLRLKQQGITSLQFQSLK-EISAGNTNTDNSNLCYYHTINWTTLFSTINQRIVIRD
NRKAENCTAEGMVCNHLCSSDGCWGPGPDQCLSCRRFSRGRICRESCNLYDGEFREFENGS
ICVECDPQCEKMEDGLLTCHGPGPDNCTKCSHFKDGPNCVEKCPDGLQGANSFIFKYADP DRECHPCHPNCTQGCNGPTSHDCIYYPWTGHSTLPQHARTPLIAAGVIGGLFILVIVGLTFA
VYVRRKSDOΩCRALRRFLETELVEPLTPSGTAPNQAQLRILKETELKRVKVLGSGAFGTVY
KGIWVPEGETVKJPVAIKILNETTGPK^NVEFJVΩEALIMA^MDHPHLVRLLGVCLSPTIQLV
TQLMPHGCLLEYVHEHKDRØGSQLLLNWCVQIAKGMMΥLEERRLVHRDLAARNVLVKSP
NHVKITDFGLARLLEGDEKEYNADGGKMPIKWMALECΠΓYRKFTHQSDVWSYGVTIWEL
MTFGGKPYDGIPTREIPDLLEKGERLPQPPICTID VYMVMVKCWMIDADSRPKFKELAAEFS
RMARDPQRYLVIQGDDRMKLPSPNDSKFFQNLLDEEDLEDMMDAEEYLVPQAFNIPPPΓYT SRARDDSNRSEIGHSPPPAYTPMSGNQFVYRDGGFAAEQGVSVPYRAPTSTΓPEAPVAQGAT AEIFDDSCCNGTLRKPVAPHVQEDSSTQRYSADPTVFAPERSPRGELDEEGYMTPMRDKPK QEYLNPVEENPFVSRRKNGDLQALDNPEYHNASNGPPKAEDEYVNEPLYLNTFANTLGKA EYLKNNILSMPEKAKKAFDNPDYWNHSLPPRSTLQHPDYLQEYSTKYFYKQNGRIRPIVAE NPEYLSEFSLKPGTVLPPPPYRHRNTW
[0351] Following is an ^LBCBi amino acid sequence (SEQ ID NO: 16). ABCBl - NP_000918 MDLEGDRNGGAKKKNFFKLNMCSEKDKK-EKKPTVSVFSMFRYSNWLDKLYMVVGTLAA
ΠHGAGLPLMMLVFGEMTDIFANAGNLEDLMSNΓΓNRSDINDTGFFMNLEEDMTRYAYΎYS
GIGAGVLVAAYIQVSFWCLAAGRQIHKIRKQFFHAIMRQEIGWFDVHDVGELNTRLTDDV
SKINEGIGDKIGMFFQSMATFFTGFIVGFTRGWKLTLVILAISPVLGLSAAVWAKILSSFTDK
ELLAYAKAGAVAEEVLAAMTVIAFGGQKKELERYNKNLEEAKRIGIKKAITANISIGAAFL
LIYASYALAFWYGTTLVLSGEYSIGQVLTVFSVLIGAFSVGQASPSIEAFANARGAAYEIFKI
RONKPSIDSYSKSGHKPDNIKGNLEFRNVHF[S/N] YPSRKEVKILKGLNLKVQSGQTVALVG
NSGCGKSTTVQLMQRLYDPTEGMVSVDGQDIRTINVRFLREIIGVVSQEPVLFATTIAENIR
YGRENVTMDEFFIKAVKEANAYDFMKLPHKFDTLVGERGAQLSGGQKQRIAIARALVRNP
KILLLDEATSALDTESEAVVQVALDKARKGRTTIVIAHRLSTVRNADVIAGFDDGVIVEKG
NHDELMKEKGIYFKLVTMQTAGNEVELENAADESKSEIDALEMSSNDSRSSLIRKRSTRRS
VRGSQAQDRKLSTKEALDESIPPVSFWRMKLNLTEWPYFVVGVFCAIINGGLQPAFAΠFSK
IIGVFTRIDDPETKRQNSNLFSLLFLALGIISFITFFLQGFTFGKAGEILTKRLRYMVFRSMLRQ
DVSWFDDPKNTTGALTTRLANDAAQVKGAIGSRLAVΓΓQNIANLGTGΠISFIYGWQLTLLL
LAWPΠAIAGVVEMKMLSGQALKDKKELEGAGKIATEAIENFRTVVSLTQEQKFEHMYAQ
SLQWYRNSLRKAHIFGΓΠ'SFTQAMMYFSYAGCFRFGAYLVAHKLMSFEDVLLVFSAVVF
GAMAVGQVSSFAPDYAKAKISAAHIMΠEKTPLROSYSTEGLMPNTLEGNVTFGEVVFNYP
TRPDIPVLQGLSLEVKKGQTLALVGSSGCGKSTVVQLLERFYDPLAGKVLLDGKEIKRLNV
QWLRAHLGWSQEPILFDCSIAENIAYGDNSRVVSQEEIVRAAKEAMEΪAFIESLPNKYSTKV
GDKGTQLSGGQKQRIAIARALVRQPHILLLDEATSALDTESEKVVQEALDKAREGRTCIVIA
HRLSTIQNADLIWFQNGRVKEHGTHQQLLAQKGIYFSMVSVQAGTKRQ
[0352] Following is a first ABL2 amino acid sequence (SEQ ID NO: 17). ABL2 (isoform a) - NP_005149 MVLGTVLLPPN[TZS]YGRDQDTSLCCLCTEASESALPDLTEALHRPYGCDVEPQALNEAIR
WSSKENLLGATESDPNLFVALYDFVASGDNTLSIΓKGEKLRVLGYNQNGEWSEVRSKNGQ
GWVPSNΎΓΓPVNSLEKHSWYHGPVSRSAAEYLLSSLINGSFLVRESESSPGQLSISLRYEGRV
YHYRINTTADGKVYVTAESRFSTLAELVHHHSTVADGLVTTLHYPAPKCNKPTVYGVSPIH
DKWEMERTDITMKHKLGGGQYGEVYVGVWKKYSLTVAVKTLKEDTMEVEEFLKEAAV
MKEKHPNLVQLLGVCTLEPPFYΓVTEYMPYGNLLDYLRECNREEVTAWLLYMATQISSA
MEYLEKKNFIHRDLAARNCLVGENHVVKVADFGLSRLMTGDTYTAHAGAKFPIKWTAPE
SLAYNTFSIKSDVWAFGVLLWEIATYGMSPYPGIDLSQVYDLLEKGYRMEQPEGCPPKVYE
LMRACWKWSPADRPSFAETHQAFETMFHDSSISEEVAEELGRAASSSSWPYLPRLPILPSK
TRTLKKQVENKENIEGAQDATENSASSLAPGFIRGAQASSGSPALPRKQRDKSPSSLLEDAK
ETCFTRDRKGGFFSSFMKKRNAPTPPKRSSSFREMENQPHKKYELTGNFSSVASLQHADGF SFTPAQQEANLVPPKCYGGSFAQRJNLCNDDGGGGGGSGTAGGGWSGΓΓGFFTPRLIKKTL
GLRAGKPTASDDTSKPFPRSNSTSSMSSGLPEQDRMAMTLPRNCQRSKLQLERTVSTSSQP
EENVDRANDMLPKKSEESAAPSRERPKAKLLPRGATALPLRTPSGDLAΓΓEKDPPGVGVAG
VAAAPKGKΈKNGGARLGMAGVPEDGEQPGWPSPAKAAPVLPTTHNHKVPVLISPTLKHTP
ADVQLIGTDSQGNKFKLLSEHQVTSSGDKDRPRRVKPKCAPPPPPVMRLLQHPSICSDPTEE
PTALTAGQSTSETQEGGKKAALGAVPISGKAGRPVMPPPQVPLPTSSISPAKMANGTAGTK
VALRKTKQAAEKISADKISKEALLECADLLSSALTEPVPNSQLVDTGHQLLDYCSGYVDCIP
QTRNKFAFREAVSKLELSLQELQVSSAAAGVPGTNPVLNNLLSCVQEISDVVQR
[0353] Following is a second ABL2 amino acid sequence (SEQ ED NO: 18). ABL2 (isoform B) - NP_009298 MGQQVGRVGEAPGLQQPQPRG]RGSSAARPSGRRRDPAGRTTETGFNIFTQHDHFASCVED
GFEGDKTGGSSPEALHRPYGCDVEPQALNEAIRWSSKENLLGATESDPNLFVALYDFVASG
DNTLSΓΓKGEKLRVLGYNQNGEWSEVRSKNGQGWVPSNYITPVNSLEKHSWYHGPVSRSA
AEYLLSSLINGSFLVRESESSPGQLSISLRYEGRVYHYRINTTADGKVYVTAESRFSTLAELV
HHHSTVADGLVTTLHYPAPKCNKPTVYGVSPIHDKWEMERTDΓΓMKHKLGGGQYGEVYV
GVWKKYSLTVAVKTLKEDTMEVEEFLKEAAVMKEIKHPNLVQLLGVCTLEPPFYIVTEYM
PYGNLLDYLRECNREEVTAVVLLYMATQISSAMEYLEKKNFIHRDLAARNCLVGENHVVK
VADFGLSRLMTGDTYTAHAGAKFPIKWTAPESLAYNTFSIKSDVWAFGVLLWEIATYGMS
PYPGIDLSQVYDLLEKGYRMEQPEGCPPKVYELMRACWKWSPADRPSFAETHQAFETMFH
DSSISEEVAEELGRAASSSSWPYLPRLPILPSKTRTLKKQVENKENIEGAQDATENSASSLA
PGFIRGAQASSGSPALPRKQRDKSPSSLLEDAKETCFTRDRKGGFFSSFMKKRNAPTPPKRS
SSFREMENQPHKKYELTGNFSSVASLQHADGFSFTPAQQEANLVPPKCYGGSFAQRNLCN
DDGGGGGGSGTAGGGWSGΓΓGFFTPRLIKKTLGLRAGKPTASDDTSKPFPRSNSTSSMSSG
LPEQDRMAMTLPRNCQRSKLQLERTVSTSSQPEENVDRANDMLPKKSEESAAPSRERPKA
KLLPRGATALPLRTPSGDLAITEKDPPGVGVAGVAAAPKGKEKNGGARLGMAGVPEDGE
QPGWPSPAKAAPVLPTTHNHKVPVLISPTLKHTPADVQLIGTDSQGNKFKLLSEHQVTSSG
DKDRPRRVKPKCAPPPPPVMRLLQHPSICSDPTEEPTALTAGQSTSETQEGGKKAALGAVPI
SGKAGRPVMPPPQVPLPTSSISPAKMANGTAGTKVALRKTKQAAEKISADKISKEALLECA
DLLSSALTEPVPNSQLVDTGHQLLDYCSGYVDCIPQTRNKFAFREAVSKLELSLQELQVSSA
AAGVPGTNPVLNNLLSCVQEISDVVQR
[0354] FollowingisagenomicnucleotidesequenceofaABCBlregion(SEQIDNO: 19). [AIG]atposition238ofSEQIDNO: 19. >7:86791601-86792050
1 gtctgcccac tctgcacctt caggttcaga cccttcaaga tctaccagga cgagtgagaa
61 aaaaacttca aggcaattca cagacacagg atataggaac tgactgttca ctaggtttaa
121 atatacatgc acttttttat aatctctaca agaaaacatc agaaactctt cattcaatag
181 attaattgtt gattaatcat ttatcactgt accttaactt cttttcgaga tgggtaaYtg
241 aagtgaacat ttctgaattc caaatttccc ttaatattat ctggtttgtg cccactcttc
301 gaatagctgt caatacttgg cttctaaaca gaatcaaatt ttaagagatt actaggttac
361 aataactact tttagtgata ttttgtggag agctggataa agtgacaaag aaattgactt
421 aactggacaa tcttttagat aggtggatag
[0355] FollowingisagenomicnucleotidesequenceofaABL2region(SEQIDNO:20). [G/C]atposition226ofSEQIDNO:20.
>1:176351301-176351750
1 atattccccc aagaaagcac acaaactttc actgaccaag aatgaagaca aaaacagtag
61 cagataagat gaattttttg aaatcttcat tcacacttga ttaatgtggt tatcaagcct
121 ccctgaaact atcaactctg aaccatacct gttaagtcgg gtagagcaga ttctgaggcc
181 tcagtgcaca ggcagcaaag tgaagtgtcc tgatctctgc cataaStatt aggtggaagg 241 agaactgtcc caaggaccat acctctgccc agaagcacaa aagttaaact gttctgtgta
301 aagaggaagt cttagaattc cattctctga caagcaatac cacatgcatg tgacatttac
361 tcatgtactc agtggccaga gggaaccaat aaaatggtga gcattcacaa ttcccaaagt
421 gggtggagag tgacctaaag gaaaatttcc
[0356] Modifications may be made to the foregoing without departing from the basic aspects of the invention. Although the invention has been described in substantial detail with reference to one or more specific embodiments, those of skill in the art will recognize that changes may be made to the embodiments specifically disclosed in this application, yet these modifications and improvements are within the scope and spirit of the invention, as set forth in the claims which follow. Also, citation o f the above publications or documents is not intended as an admission that any of the foregoing is pertinent prior art, nor does it constitute any admission as to the contents or date of these publications or documents. Each patent, patent application and other publication and document referenced are incorporated herein by reference in its entirety, including drawings, tables and cited documents.

Claims

What is claimed is:
1. A method for identifying a subject at risk of type II diabetes, which comprises detecting the presence or absence of one or more polymorphic variations associated with type II diabetes in a nucleic acid sample from a subject, wherein the one or more polymorphic variations are detected in a nucleotide sequence in SEQ ID NOS: 1-11, 19 and/or 20, a substantially identical sequence thereof or a fragment of the foregoing; whereby the presence of the polymorphic variation is indicative of the subject being at risk of type II diabetes.
2. The method of claim 1, which further comprises obtaining the nucleic acid sample from the subject.
3. The method of claim 1, wherein the one or more polymorphic variations are detected at one or more positions selected from the group consisting of rs2547020, rs727948, rs39679, rs282Q4, rs2920838, rs810272, rs710748, rs35638, rs40335, rs776405, rs776406, rs776407, rs42874, rs710746, rs776409, rs776413, rs808980, rs3886392, rs776414, rs776415, rs776416, rs776417, rs776418, rs776419, rs776420, rs776421, rs776422, rs776423, rs776424, rs710745, rs710744, rs776210, rs776209, rs776208, rs776207, rs800371, rs710743, rs776203, rs710742, rs710741, rs4761163, rs776179, rsl596545, rs796538, rs776178, rs776177, rs4325346, rsl867445, rsl477333, rsl477332, rs776176, rs4761251, rs4761252, rs776175, rs4761253, rsl979715, rs2547016, rsl0906, rs710739, rs710738, rs4761254, rs710737, rs698129, rs710736, rs710735, rsl373453, rs710734, rsl373452, rs710733, rs710732, rs775511, rs775510, rsl968996, rsl609485, rs811348, rs2197359, rs2547015, rs775508, rs775504, rs775503, rs3909408, rs710731, rs710730, rs710729, rs710728, rs710727, rs4761164, rs3847772, rs3910824, rs796513, rs710726, rs71O725, rs2277389, rs710724, rs710723, rs710722, rs710721, rs710720, rs710719, rs710718, rs775498, rs775497, rs775496, rs775495, rs775492, rs775491, rs3741755, rs775490, rs775489, rs775486, rs775485, rs3099057, rs775484, rs775483, rs775481, rs775479, rs775478, rs775477, rs775476, rs775474, rs775473,' rs2588442, rs775471, rs4761257, rs710717, rs775470, rs775469, rs775468, rs710716, rs710715, rs710714, rs2870895, rs710713, rs710712, rsl992611, rsl348522, rs710711, rs775419, rs2870894, rs775420, rs775421, rs775422, rs775425, rs3937886, rsl 158868, rs775426, rs7754275 rs775428, rs710710, rs775430, rs775431, rs775432, rs4761258, rs775438 and rs775439.
4. The method of claim 1, wherein the one or more polymorphic variations are detected at one or more positions selected from the group consisting of rs28204, rs710748, rs40335, rs42874, rs3886392, rs710742, rsl596545, rsl867445, rs776176, rs2547016, rslO906, rs710739, rs710738, rsl373452, rs811348, rs710724, rs775492, rs775485, rs775479, rs775478, rs775476, rs775474, rs775473, rs2588442, rs775470, rs775468, rs710716, rs710715, rs710714 and rs2870895.
5. The method of claim 1, wherein the one or more polymorphic variations are detected in a region spanning positions 4762 to 79951 in SEQ ID NO: 1.
6. The method of claim 1, wherein the one or more polymorphic variations are detected at one or more positions selected from the group consisting of rs935742, rs3785325, rs3785327, rs3785329, rs935743, rs4471674, rs4545809, rs3785331, rs935746, rsl965226, rs733465, rs733464, rs733463, rs733462, rs3859051, rs3848271, rs3859052, rs3859053, rs4784837, rsl317953, rs2004823, rs935747, rs2305307, rsl 868681, rsl801257, rsl376041, rs23053'08, rs2305309, rs2278808, rs2278809, rs2290176, rs2290177, rs4784838, rs4784001, rs4784002, rsl823479, rs3211127, rsl043540, rs3180467, rs4784839, rs4784840, rs935748, rs4784841, rs4784842, rs4784003, rs4784843, rs744457, rs730733, rs736570, rs4238795, rs4784006, rsl814520, rsl814521, rs2006654, rs727217, rs727216, rs727215, rs2290178, rs731960, rs935738, rsl463235, rsl965227, rsl965228, rs4556777, rs2290179, rs2896940, rsl965229, rslO64326, rslO64327, rsl 1551326, rs4328432, rs4531722, rs4453481, rs2923130, rs2967175, rsl901105, rsl901106, rsl901108, rs2078553, rs4238799, rs4638560, rs4603550, rs4450390, rs2923131, rs2967180, rs4784851, rs3760065, rs3743926, rs2404688, rs4254319, rs2404689, rs4429289, rsl463236, rs2923134, rs2923135, rs2923137, rs2923138, rs2923139, rs2923140, rs2923141, rs2923142, rs3809611, rs3809610, rs2923143, rs2965772, rs2923144, rs4784008, rs2965771, and rs2967126.
7. The method of claim 1 , wherein the one or more polymorphic variations are detected at one or more positions selected from the group consisting of rs4471674, rs3848271, rsl868681, rsl376041, rs2290176, rs4784001, rsl814521, rs4556777, rs2896940, rslO64326, rslO64327, rsl 1551326, rs2967175 and rs2967180.
8. The method of claim 1, wherein the one or more polymorphic variations are detected in a region spanning positions 1861 to 53491 in SEQ ID NO: 2.
9. The method of claim 1, wherein the one or more polymorphic variations are detected at one or more positions selected from the group consisting of rs6948808, rs6942576, rs7796657, rs7778048, rs6974221, rs4723040, rs7792595, rs7792373, rs6943292, rs6947652, rs6948072, rs7786414, rs7787089, rsl476700, rs6973634, rs7794503, rs7794804, rs7794821, rs6462246, rs6978324, rs6962626, rs7796157, rs7795940, rs880935, rsl203188, rs736556, rs736557, rs2893400, rs733317, rs6966288, rs886824, rs878014, rs4723043, rs4321886, rs4395795, rsl894847, rs2041042, rs2041043, rs4559150, rs732558, rs740334, rs740335, rs4370438, rsl894845, rs6976040, rs6980078, rs6942498, rs6462247, rs7794247, rsl203189, rs741050, rs741054, rsll57655, rs7795339, rs6944986, rs7784067, rs7801470, rs7456608, rsl981701, rs5883267, rs741051, rs741052, rs4720027, rs2391937, rs3779247, rs3837113, rs7801540, rs6969928, rs6969839, rs6970447, rs7807667, rs758995, rsl468687, rs2041571, rsl006622, rs741055, rs5883268, rs758996, rs2284221, rs2284222, rs758997, rs2249714, rs7385315, rs2267725, rs887703, rsl468688, rs2299907, rs2267726, rs2267727, rs2267728, rs7804302, rs7805043, rs7804958, rs7805487, rs6945903, rs2302475, rs2267729, rsl541516, rs2267730, rs5883269, rs3214344, rs6976615, rs7797489, rs69657005 rs6965991 and rs6969805.
10. The method of claim 1, wherein the one or more polymorphic variations are detected at one or more positions selected from the group consisting of rs6942576, rsl 157655, rs741051, rs3779247, rs6969839, rs6970447, rs2041571 and rs887703.
11. The method of claim 1, wherein the one or more polymorphic variations are detected in a region spanning positions 612 to 79297 in SEQ E) NO:3.
12. The method of claim 1, wherein the one or more polymorphic variations are detected at one or more positions selected from the group consisting of rs7423708, rs7593089, rs7605388, rs6753227, rs6756725, rs7588431, rs6435670, rs6435671, rs6435672, rs4673633, rs4672626, rs7422785, rs7423439, rs6435673, rs7583346, rs2118891, rs6757087, rsl371203, rsl439248, rsl439247, rs6435675, rs7573807, rsl439246, rs7600511, rs4672627, rs4672628, rs4673635, rsl371202, rsl371201, rsl371200, rsl371199, rsl439244, rsl439243, rs4606869, rsl439242, rs2371344, rsl439241, rsl439240, rsl439239, rs4673636, rs714393, rs7l43945 rsl371198, rsl439238, rsl439237, rsl561473, rs991477, rs991476, rsl020126, rs75946Q4, rs4673637, rs2218106, rs75863315 rs6435677, rs7589350, rs991495, rs4673638, rsl439236, rsl439235, rsl439234, rsl4392335 rs6435678, rsl439255, rsl439254, rsl 159709, rs7570078, rsl439253, rs7597246, rs4673639, rs7577632, rs7608500, rs7565912, rs7595501, rs7595439, rs5006043, rs5006044, rs984776, rs984775, rs984774, rslO25753, rs984773, rslO25752, rs2017322, rs4366845, rs983562, rs983563, rs4377282, rs983566, rsl439252, rs2556338, rs2662640, rs2556337, rs7569728, rs2165097 and rs2068401.
13. The method of claim 1, wherein the one or more polymorphic variations are detected at one or more positions selected from the group consisting of rs4673633, rs2118891, rs6435675, rsl371202, rsl371201, rsl37l200, rsl371199, rs4606869, rsl439242, rsl439241, rsl439240, rs4673636, rs714393, rs714394, rsl439238, rsl439237, rs991477, rs991476, rs7594604, rs4673637, rs7589350, rs991495, rs4673638, rsl439236, rsl439235, rsl439234, rsl439233, rsl439254, rs7570078, rs7597246, rs4673639, rs7595501, rs5006043, rs984775, rs984774, rs984773, rsl439252 and rs2068401.
14. The method of claim 1, wherein the one or more polymorphic variations are detected in a region spanning positions 13039 to 98928 in SEQ ID NO: 4.
15. The method of claim 1, wherein a polymorphic variation is detected at position rs2229109.
16. The method of claim 1, wherein a polymorphic variation is detected at position rsl318056.
17. The method of claim 1, wherein the one or more polymorphic variations are detected at one or more positions in linkage disequilibrium with one or more positions in claim 3, 6, 9, 12, 15 or 16.
18. The method of claim I5 wherein detecting the presence or absence of the one or more polymorphic variations comprises: hybridizing an oligonucleotide to the nucleic acid sample, wherein the oligonucleotide is complementary to a nucleotide sequence in the nucleic acid and hybridizes to a region adjacent to the polymorphic variation; extending the oligonucleotide in the presence of one or more nucleotides, yielding extension products; and detecting the presence or absence of a polymorphic variation in the extension products.
19. The method of claim 1, wherein the subject is a human.
20. A method for identifying a polymorphic variation associated with type II diabetes proximal to an incident polymorphic variation associated with type II diabetes, which comprises: identifying a polymorphic variation proximal to the incident polymorphic variation associated with type π diabetes, wherein the polymorphic variation is detected in a nucleotide sequence in SEQ TD NOS: 1-11, 19 and/or 20, a substantially identical sequence thereof or a fragment of the foregoing; determining the presence or absence of an association of the proximal polymorphic variant with type II diabetes.
21. The method of claim 20, wherein the incident polymorphic variation is at one or more positions in claim 3, 6, 9, 12, 15 or 16.
22. The method of claim 20, wherein the proximal polymorphic variation is within a region between about 5 kb 5' of the incident polymorphic variation and about 5 kb 3' of the incident polymorphic variation.
23. The method of claim 20, which further comprises determining whether the proximal polymorphic variation is in linkage disequilibrium with the incident polymorphic variation.
24. The method of claim 20, which further comprises identifying a second polymorphic variation proximal to the identified proximal polymorphic variation associated with type II diabetes and determining if the second proximal polymorphic variation is associated with type II diabetes.
25. The method of claim 21, wherein the second proximal polymorphic variant is within a region between about 20 kb 5' of the incident polymorphic variation and about 20 kb 3' of the proximal polymorphic variation associated with type π diabetes.
26. The method of claim 21, wherein the second proximal polymorphic variant is within a region between about 5 kb 5' of the incident polymorphic variation and about 5 kb 3' of the proximal polymorphic variation associated with type II diabetes.
27. A method for identifying a candidate molecule that increases glucose uptake in a cell, which comprises:
(a) introducing a test molecule to a system which comprises a nucleic acid comprising, a nucleotide sequence in SEQ ID NOS: 1-11, 19 and/or 20, a substantially identical sequence thereof or a fragment of the foregoing; or introducing a test molecule to a system which comprises a protein encoded by a nucleotide sequence in SEQ ID NOS: 1-11, 19 and/or 20, a substantially identical sequence thereof or a fragment of the foregoing; and (b) determining the presence or absence of an interaction between the test molecule and the nucleic acid or protein, whereby the presence of an interaction between the test molecule and the nucleic acid or protein identifies the test molecule as a candidate molecule that modulates cell proliferation.
28. The method of claim 27, wherein the system is an animal.
29. The method of claim 27, wherein the system is a cell.
30. The method of claim 27, wherein the nucleotide sequence comprises one or more polymorphic variations associated with type II diabetes.
31. The method of claim 30, wherein the one or more polymorphic variations associated with type II diabetes are at one or more positions in claim 3, 6, 9, 12, 15 or 16.
32. A method for treating type II diabetes in a subject, which comprises administering a candidate molecule identified by the method of claim 27 to a subject in need thereof, whereby the candidate molecule treats type II diabetes in the subject.
33. A method for identifying a candidate therapeutic for treating type II diabetes, which comprises:
(a) introducing a test molecule to a system which comprises a nucleic acid comprising a nucleotide sequence in SEQ ID NOS: 1-11, 19 and/or 20, a substantially identical sequence thereof or a fragment of the foregoing; or introducing a test molecule to a system which comprises a protein encoded by a nucleotide sequence in SEQ ID NOS: 1-11, 19 and/or 20, a substantially identical sequence thereof or a fragment of the foregoing; and
(b) determining the presence or absence of an interaction between the test molecule and the nucleic acid or protein, whereby the presence of an interaction between the test molecule and the nucleic acid or protein identifies the test molecule as a candidate therapeutic for treating type II diabetes.
34. A method for treating type II diabetes in a subject, which comprises contacting one or more cells of a subject in need thereof with a nucleic acid, wherein the nucleic acid comprises a nucleotide sequence in SEQ ID NOS: 1-11, 19 and/or 20, a substantially identical sequence thereof, a fragment of the foregoing, or a complementary nucleotide sequence of the foregoing; whereby contacting the one or more cells of the subject with the nucleic acid treats type II diabetes in the subject.
35. The method of claim 37, wherein the nucleic acid is RNA or PNA.
36. The method of claim 38, wherein the nucleic acid is duplex RNA.
37. A method for treating type II diabetes in a subject, which comprises contacting one or more cells of a subject in need thereof with a protein, wherein the protein is encoded by a nucleotide sequence which comprises a polynucleotide sequence in SEQ ID NOS: 1-11, 19 and/or 20, a substantially identical sequence thereof or a fragment of the foregoing; whereby contacting the one or more cells of the subject with the protein treats type II diabetes in the subject.
38. A method for treating type II diabetes in a subject, which comprises: detecting the presence or absence of one or more polymorphic variations associated with type II diabetes in a nucleic acid sample from a subject, wherein the one or more polymorphic variation are detected in a nucleotide sequence in SEQ ID NOS: 1-11, 19 and/or 20, a substantially identical sequence thereof or a fragment of the foregoing; and administering a type II diabetes treatment to a subject in need thereof based upon the presence or absence of the one or more polymorphic variations in the nucleic acid sample.
39. The method of claim 38, wherein the one or more polymorphic variations are detected at one or more positions in claim 3, 6, 9, 12, 15 or 16.
40. The method of claim 38, which further comprises determining blood glucose levels in the subject.
41. The method of claim 38, wherein the treatment is selected from the group consisting of administering insulin, a hypoglycemic, a starch blocker, a liver glucose regulating agent, an insulin sensitizer, a glucose level monitoring regimen, dietary counseling, a dietary regimen for managing blood glucose levels, and combinations of the foregoing.
42. A method for detecting or preventing type II diabetes in a subject, which comprises: detecting the presence or absence of one or more polymorphic variations associated with type π diabetes in a nucleic acid sample from a subject, wherein the polymorphic variation is detected in a nucleotide sequence in SEQ ID NOS: 1-11, 19 and/or 20, a substantially identical sequence thereof or a fragment of the foregoing; and administering a type II diabetes treatment or detection procedure to a subject in need thereof based upon the presence or absence of the one or more polymorphic variations in the nucleic acid sample.
43. The method of claim 42, wherein the one or more polymorphic variations are detected at one or more positions in claim 3, 6, 9, 12, 15 or 16.
44. The method of claim 42, wherein the type II diabetes treatment is selected from the group consisting of administering insulin, a hypoglycemic, a starch blocker, a liver glucose regulating agent, an insulin sensitizer, a glucose level monitoring regimen, dietary counseling, a dietary regimen for managing blood glucose levels, and combinations of the foregoing.
45. A method of targeting information for preventing or treating type II diabetes to a subject in need thereof, which comprises: detecting the presence or absence of one or more polymorphic variations associated with type π diabetes in a nucleic acid sample from a subject, wherein the polymorphic variation is detected in a nucleotide sequence in SEQ ID NOS: 1-11, 19 and/or 20, a substantially identical sequence thereof or a fragment of the foregoing; and directing information for preventing or treating type II diabetes to a subject in need thereof based upon the presence or absence of the one or more polymorphic variations in the nucleic acid sample.
46. The method of claim 45, wherein the one or more polymorphic variations are detected at one or more positions in claim 3, 6, 9, 12, 15 or 16.
47. The method of claim 45, wherein the information comprises a description of a type II diabetes detection procedure or treatment.
48. The method of claim 47, wherein the treatment is selected from the group consisting of administering insulin, a hypoglycemic, a starch blocker, a liver glucose regulating agent, an insulin sensitizer, a glucose level monitoring regimen, dietary counseling* a dietary regimen for managing blood glucose levels, and combinations of the foregoing
49. A composition comprising a cell from a subject having type π diabetes or at risk of type II diabetes and an antibody that specifically binds to a protein, polypeptide or peptide encoded by a nucleotide sequence identical to or 90% or more identical to a nucleotide sequence in SEQ ID NO: 1- 11 or referenced in Table 4.
50. The composition of claim 49, wherein the antibody specifically binds to an epitope comprising a serine corresponding to position 399 in an ABCBl polypeptide or a threonine corresponding to position 12 in an ABL2 polypeptide.
51. A composition comprising a cell from a subject having type II diabetes or at risk of type II diabetes and a RNA, DNA, PNA or ribozyme molecule comprising a nucleotide sequence identical to or 90% or more identical to a portion of a nucleotide sequence in SEQ ED NOS: 1-11, 19 and/or 20 or referenced in Table 4, or a nucleotide sequence complementary to the foregoing.
52. The composition of claim 51, wherein the RNA molecule is a short inhibitory RNA molecule.
PCT/US2004/0239812004-07-222004-07-22Methods for identifying risk of type ii diabetes and treatments thereofWO2006022638A1 (en)

Priority Applications (1)

Application NumberPriority DateFiling DateTitle
PCT/US2004/023981WO2006022638A1 (en)2004-07-222004-07-22Methods for identifying risk of type ii diabetes and treatments thereof

Applications Claiming Priority (1)

Application NumberPriority DateFiling DateTitle
PCT/US2004/023981WO2006022638A1 (en)2004-07-222004-07-22Methods for identifying risk of type ii diabetes and treatments thereof

Publications (1)

Publication NumberPublication Date
WO2006022638A1true WO2006022638A1 (en)2006-03-02

Family

ID=35967750

Family Applications (1)

Application NumberTitlePriority DateFiling Date
PCT/US2004/023981WO2006022638A1 (en)2004-07-222004-07-22Methods for identifying risk of type ii diabetes and treatments thereof

Country Status (1)

CountryLink
WO (1)WO2006022638A1 (en)

Cited By (7)

* Cited by examiner, † Cited by third party
Publication numberPriority datePublication dateAssigneeTitle
US9233204B2 (en)2014-01-312016-01-12Aseko, Inc.Insulin management
US9483619B2 (en)2012-09-112016-11-01Aseko, Inc.Means and method for improved glycemic control for diabetic patients
US9486580B2 (en)2014-01-312016-11-08Aseko, Inc.Insulin management
US9886556B2 (en)2015-08-202018-02-06Aseko, Inc.Diabetes management therapy advisor
US9892234B2 (en)2014-10-272018-02-13Aseko, Inc.Subcutaneous outpatient management
US9897565B1 (en)2012-09-112018-02-20Aseko, Inc.System and method for optimizing insulin dosages for diabetic subjects
US11081226B2 (en)2014-10-272021-08-03Aseko, Inc.Method and controller for administering recommended insulin dosages to a patient

Citations (1)

* Cited by examiner, † Cited by third party
Publication numberPriority datePublication dateAssigneeTitle
WO2003030922A2 (en)*2001-10-092003-04-17DeveloGen Aktiengesellschaft für entwicklungsbiologische ForschungBestrophin and bestrophin homologous proteins involved in the regulation of energy homeostasis

Patent Citations (1)

* Cited by examiner, † Cited by third party
Publication numberPriority datePublication dateAssigneeTitle
WO2003030922A2 (en)*2001-10-092003-04-17DeveloGen Aktiengesellschaft für entwicklungsbiologische ForschungBestrophin and bestrophin homologous proteins involved in the regulation of energy homeostasis

Non-Patent Citations (1)

* Cited by examiner, † Cited by third party
Title
DATABASE NCBI [online] 20 October 2000 (2000-10-20), NATIONAL CENTER FOR BIOTECHNOLOGY INFORMATION, NATIONAL LIBRARY OF MEDICINE, NIH (BETHESDA, MD, USA), XP002988865, Database accession no. (RS1439242)*

Cited By (46)

* Cited by examiner, † Cited by third party
Publication numberPriority datePublication dateAssigneeTitle
US9897565B1 (en)2012-09-112018-02-20Aseko, Inc.System and method for optimizing insulin dosages for diabetic subjects
US9483619B2 (en)2012-09-112016-11-01Aseko, Inc.Means and method for improved glycemic control for diabetic patients
US11733196B2 (en)2012-09-112023-08-22Aseko, Inc.System and method for optimizing insulin dosages for diabetic subjects
US11131643B2 (en)2012-09-112021-09-28Aseko, Inc.Method and system for optimizing insulin dosages for diabetic subjects
US10629294B2 (en)2012-09-112020-04-21Aseko, Inc.Means and method for improved glycemic control for diabetic patients
US10410740B2 (en)2012-09-112019-09-10Aseko, Inc.Means and method for improved glycemic control for diabetic patients
US9773096B2 (en)2012-09-112017-09-26Aseko, Inc.Means and method for improved glycemic control for diabetic patients
US9811638B2 (en)2012-09-112017-11-07Aseko, Inc.Means and method for improved glycemic control for diabetic patients
US10102922B2 (en)2012-09-112018-10-16Aseko, Inc.Means and method for improved glycemic control for diabetic patients
US9965596B2 (en)2012-09-112018-05-08Aseko, Inc.Means and method for improved glycemic control for diabetic patients
US10535426B2 (en)2014-01-312020-01-14Aseko, Inc.Insulin management
US9604002B2 (en)2014-01-312017-03-28Aseko, Inc.Insulin management
US12288620B2 (en)2014-01-312025-04-29Glytec, LlcMethod and system for insulin management
US9892235B2 (en)2014-01-312018-02-13Aseko, Inc.Insulin management
US9965595B2 (en)2014-01-312018-05-08Aseko, Inc.Insulin management
US12127831B2 (en)2014-01-312024-10-29Aseko, Inc.Insulin management
US12027266B2 (en)2014-01-312024-07-02Aseko, Inc.Insulin management
US10255992B2 (en)2014-01-312019-04-09Aseko, Inc.Insulin management
US11857314B2 (en)2014-01-312024-01-02Aseko, Inc.Insulin management
US9898585B2 (en)2014-01-312018-02-20Aseko, Inc.Method and system for insulin management
US9710611B2 (en)2014-01-312017-07-18Aseko, Inc.Insulin management
US10453568B2 (en)2014-01-312019-10-22Aseko, Inc.Method for managing administration of insulin
US9233204B2 (en)2014-01-312016-01-12Aseko, Inc.Insulin management
US9486580B2 (en)2014-01-312016-11-08Aseko, Inc.Insulin management
US10811133B2 (en)2014-01-312020-10-20Aseko, Inc.System for administering insulin boluses to a patient
US11081233B2 (en)2014-01-312021-08-03Aseko, Inc.Insulin management
US11804300B2 (en)2014-01-312023-10-31Aseko, Inc.Insulin management
US9504789B2 (en)2014-01-312016-11-29Aseko, Inc.Insulin management
US11158424B2 (en)2014-01-312021-10-26Aseko, Inc.Insulin management
US11311213B2 (en)2014-01-312022-04-26Aseko, Inc.Insulin management
US11468987B2 (en)2014-01-312022-10-11Aseko, Inc.Insulin management
US11490837B2 (en)2014-01-312022-11-08Aseko, Inc.Insulin management
US11783945B2 (en)2014-01-312023-10-10Aseko, Inc.Method and system for insulin infusion rate management
US11621074B2 (en)2014-01-312023-04-04Aseko, Inc.Insulin management
US11783946B2 (en)2014-01-312023-10-10Aseko, Inc.Method and system for insulin bolus management
US10403397B2 (en)2014-10-272019-09-03Aseko, Inc.Subcutaneous outpatient management
US11694785B2 (en)2014-10-272023-07-04Aseko, Inc.Method and dosing controller for subcutaneous outpatient management
US11678800B2 (en)2014-10-272023-06-20Aseko, Inc.Subcutaneous outpatient management
US11081226B2 (en)2014-10-272021-08-03Aseko, Inc.Method and controller for administering recommended insulin dosages to a patient
US10128002B2 (en)2014-10-272018-11-13Aseko, Inc.Subcutaneous outpatient management
US12023127B2 (en)2014-10-272024-07-02Aseko, Inc.Subcutaneous outpatient management
US9892234B2 (en)2014-10-272018-02-13Aseko, Inc.Subcutaneous outpatient management
US11574742B2 (en)2015-08-202023-02-07Aseko, Inc.Diabetes management therapy advisor
US10380328B2 (en)2015-08-202019-08-13Aseko, Inc.Diabetes management therapy advisor
US12040096B2 (en)2015-08-202024-07-16Aseko, Inc.Diabetes management therapy advisor
US9886556B2 (en)2015-08-202018-02-06Aseko, Inc.Diabetes management therapy advisor

Similar Documents

PublicationPublication DateTitle
US20250041457A1 (en)Use of adeno-associated viral vectors to correct gene defects/ express proteins in hair cells and supporting cells in the inner ear
KR101708544B1 (en)Methods and nucleic acids for analyses of cellular proliferative disorders
KR102046668B1 (en)Methods and nucleic acids for determining the prognosis of a cancer subject
KR102526525B1 (en)Compositions for modulating tau expression
US20090305284A1 (en)Methods for Identifying Risk of Breast Cancer and Treatments Thereof
CA2941594A1 (en)Genetic polymorphisms of the protein receptor c (procr) associated with myocardial infarction, methods of detection and uses thereof
KR20220012230A (en) Methods and compositions for modulating splicing and translation
CN109476698B (en) Gene-based diagnosis of inflammatory bowel disease
KR20150092739A (en)Use of masitinib for treatment of cancer in patient subpopulations identified using predictor factors
KR20180049093A (en) New biomarkers and methods of treatment of cancer
KR20130123357A (en)Methods and kits for diagnosing conditions related to hypoxia
WO2006022629A1 (en)Methods of identifying risk of type ii diabetes and treatments thereof
CA2497597A1 (en)Methods for identifying subjects at risk of melanoma and treatments
IL179831A (en)In vitro method for detecting the presence of or predisposition to autism or to an autism spectrum disorder, and an in vitro method of selecting biologically active compounds on autism or autism spectrum disorders
EP1729930A2 (en)Methods for identifying risk of osteoarthritis and treatments thereof
WO2006022636A1 (en)Methods for identifying risk of type ii diabetes and treatments thereof
WO2006022638A1 (en)Methods for identifying risk of type ii diabetes and treatments thereof
WO2006022634A1 (en)Methods for identifying risk of type ii diabetes and treatments thereof
WO2006022633A1 (en)Methods for identifying a risk of type ii diabetes and treatments thereof
AU2017209307A1 (en)Compositions and methods for screening and identifying clinically aggressive prostate cancer
US20090258344A1 (en)Methods for identifying risk of breast cancer and treatments thereof
US20040138441A1 (en)Novel gene functionally related to dyslexia
RU2823361C1 (en)Compositions for modulating expression of tau protein
CA2887830A1 (en)Genetic polymorphisms associated with liver fibrosis methods of detection and uses thereof
CN114053413A (en) Application of a COL4A4 gene as a therapeutic target for acute ischemic stroke

Legal Events

DateCodeTitleDescription
AKDesignated states

Kind code of ref document:A1

Designated state(s):AE AG AL AM AT AU AZ BA BB BG BR BW BY BZ CA CH CN CO CR CU CZ DE DK DM DZ EC EE EG ES FI GB GD GE GH GM HR HU ID IL IN IS JP KE KG KP KR KZ LC LK LR LS LT LU LV MA MD MG MK MN MW MX MZ NA NI NO NZ OM PG PH PL PT RO RU SC SD SE SG SK SL SY TJ TM TN TR TT TZ UA UG US UZ VC VN YU ZA ZM ZW

ALDesignated countries for regional patents

Kind code of ref document:A1

Designated state(s):BW GH GM KE LS MW MZ NA SD SL SZ TZ UG ZM ZW AM AZ BY KG KZ MD RU TJ TM AT BE BG CH CY CZ DE DK EE ES FI FR GB GR HU IE IT LU MC NL PL PT RO SE SI SK TR BF BJ CF CG CI CM GA GN GQ GW ML MR NE SN TD TG

121Ep: the epo has been informed by wipo that ep was designated in this application
NENPNon-entry into the national phase

Ref country code:DE

122Ep: pct application non-entry in european phase

[8]ページ先頭

©2009-2025 Movatter.jp