Movatterモバイル変換


[0]ホーム

URL:


WO2006005126A1 - Reversible thermoelectric nanomaterials - Google Patents

Reversible thermoelectric nanomaterials
Download PDF

Info

Publication number
WO2006005126A1
WO2006005126A1PCT/AU2005/001018AU2005001018WWO2006005126A1WO 2006005126 A1WO2006005126 A1WO 2006005126A1AU 2005001018 WAU2005001018 WAU 2005001018WWO 2006005126 A1WO2006005126 A1WO 2006005126A1
Authority
WO
WIPO (PCT)
Prior art keywords
energy
states
nanostructured thermoelectric
temperature
nanostructured
Prior art date
Application number
PCT/AU2005/001018
Other languages
French (fr)
Inventor
Tammy Ellen Humphrey
Original Assignee
Newsouth Innovations Pty Limited
Priority date (The priority date is an assumption and is not a legal conclusion. Google has not performed a legal analysis and makes no representation as to the accuracy of the date listed.)
Filing date
Publication date
Priority claimed from AU2004903820Aexternal-prioritypatent/AU2004903820A0/en
Application filed by Newsouth Innovations Pty LimitedfiledCriticalNewsouth Innovations Pty Limited
Publication of WO2006005126A1publicationCriticalpatent/WO2006005126A1/en

Links

Classifications

Definitions

Landscapes

Abstract

A nanostructured thermoelectric material is described. There is a spatial variation in temperature between a first end (108) and a second end (109, 110) of the material. The material has a substantially delta-like density of states (DOS) and a spatial variation in an energy gap between a central energy of the DOS and a quasi-Fermi energy of the material is proportional to the spatial variation in temperature such that the Seebeck coefficient of the material is substantially spatially invariant. The spatial variation in the energy gap may be determined by inhomogeneous doping (7) or by a spatial variation in the energy of the miniband (102, 104) of the material.

Description

REVERSIBLE THERMOELECTRIC NANOMATERIALS
Field of the Invention
This invention relates generally to thermoelectric materials and more particularly to nanostructured thermoelectric materials such as superlattices, quantum dot superlattices (QDSL) and superlattice nanowires (SLNW).
Background of the Invention
High efficiency solid-state power generators and refrigerators have enormous potential for applications in, among many others, the automotive, microelectronics and refrigeration industries. Thermoelectric materials directly convert thermal energy into electrical energy or vice versa, hi particle exchange (PE) heat engines, there is a transfer of heat between at least two reservoirs via the continuous exchange of particles in a finite energy range in the presence of a field against which work is done. Reversiblity is achieved when particles are transmitted only at the energy where the occupation of states in the reservoirs is equal. Heat exchange is then isentropic but nonisothermal. Most PE heat engines are discrete, with particles moving elastically between two reservoirs only, and include three-level amplifiers, solar cells and light-emitting diodes,' and ballistic electron heat engines.
Irreversible effects in thermoelectric materials limit their efficiency and economy for applications in power generation and refrigeration. The quality of thermoelectric materials is characterised by a dimensionless figure of merit,
L 7LT - — —^1— 1T ,
Kel+ Kph where σ is the electrical conductivity, S is the thermopower (the ratio of the open
circuit voltage over the applied temperature difference) and where JQI is the thermal
conductivity due to electrons and κpi, the thermal conductivity due to the lattice.
A problem in developing high efficiency thermoelectric materials with ZT≥l is the
interrelationship of σ, S and /ς,/. Increasing S generally decreases σ, while increasing σ
results in a proportional increase in K^ in bulk semiconductors according to the
Wiedemann-Franz law.
Recently, it has been noticed experimentally and theoretically that nanostructured thermoelectric materials which exhibit quantum confinement of carriers have exceptionally high figures of merit. It has so far been thought that this is due to a combination of two effects: 1) a low lattice thermal conductivity due to high interface density in these materials, and 2) an enhanced Seebeck coefficient, although the physical mechanism for this enhancement has not been clear.
Summary of the Invention A nanostructured thermoelectric material is described hi which high efficiency is achieved by the combined effects of a low lattice thermal conductivity and an electronic thermal conductivity at open-circuit which tends to zero for materials with a delta- function density of states (DOS).
A benefit of using a nanostructured, rather than bulk thermoelectric material is
that Kei is no longer proportional to σ (i.e. the interrelationship of σ, S and K^, which
limits the efficiency of bulk materials, is avoided). Instead, using the described arrangements, ZT is limited only by finite lattice thermal conductivity. Carnot efficiency
is approached as κph -» 0. According to a first aspect of the invention there is provided a nanostructured thermoelectric material having a spatial variation in temperature between a first end of the material and a second end of the material, wherein: the material has a substantially delta-like density of states (DOS); and a spatial variation in an energy gap between a central energy of the DOS and a quasi-Fermi energy of the material is proportional to the spatial variation in temperature such that the Seebeck coefficient of the material is substantially spatially invariant.
According to a further aspect of the invention there is provided a nanostructured thermoelectric material having a substantially delta-like density of states (DOS), the material having n-type and p-type legs that are inhomogeneously doped such that the Seebeck coefficient of the material is substantially spatially invariant.
According to a further aspect of the invention there is provided a nanostructured thermoelectric material having a spatial variation in temperature between a first end of the material and a second end of the material, wherein: electronic states of the material exist in a narrow miniband; and an energy at which the miniband occurs varies spatially between the first end and the second end in proportion to the spatial variation in temperature such that the Seebeck coefficient of the material is substantially spatially invariant.
According to a further aspect of the invention there is provided a method of preparing a nanostructured thermoelectric material having a high thermoelectric figure of merit, the method comprising the steps of: fabricating a material having a delta-like density of states, wherein an electronic thermal conductivity of the material at open circuit tends to zero as the density of states becomes more delta-like; and - A - doping n-type and p-type legs of the material inhomogeneously such that a Seebeck coefficient of the material is substantially spatially invariant.
According to a further aspect of the invention there is provided a method of preparing a nanostructured thermoelectric material having a high thermoelectric figure of merit, wherein electronic states of the material exist in a miniband, the method comprising the steps of: determining a barrier spacing of a superlattice structure of the material, said barrier spacing varying between a first end of the material and a second end of the material such that, in use, an energy of the miniband varies between the first end and the second end in proportion to a spatial temperature variation; and fabricating the material having the determined variable barrier spacing.
Brief description of the drawings
One or more embodiments of the invention will now be described with reference to the drawings, in which: Fig. IA is a schematic diagram of the bandstructure of a thermoelectric quantum dot superlattice or superlattice nanowire having an inhomogeneous doping according to a first arrangement;
Fig. IB shows a graph of the Fermi occupation function at several positions along the positive x-axis of the structure of Fig. IA;
Fig. 2A shows a graph of the Seebeck coefficient versus (Eo-μc) for the
arrangement of Fig. IA, for decreasing ΔE;
Fig. 2B shows a graph of the electrical conductivity versus (Eo-μc) for the
arrangement of Fig. IA, for decreasing ΔE;
• Fig. 2C shows a graph of the electronic thermal conductivity versus (Eo-μc) for
the arrangement of Fig. IA, for decreasing ΔΕ; Fig. 2D shows a contour graph of the figure of merit, ZT, versus (E0-μc) and ΔΕ
for the arrangement of Fig. IA;
Fig. 3A shows a graph of the figure of merit ZT versus lattice thermal
conductivity for different ΔΕ in the arrangement of Fig. IA;
Fig. 3B shows schematically the variation of β with decreasing ΔΕ resulting from
the scaling used in the results of Fig. 2;
Fig. 3 C shows a graph of the figure of merit versus temperature in a thermoelectric power generator, contrasting the performance obtained using homogeneous doping with the performance of the inhomogeneous doping according to the present disclosure;
Fig. 4A shows a TΕM image of a nanocrystalline Si/SiO2 superlattice wherein the Si layers in the superlattice are continuous;
Fig. 4B shows the Si nanocrystals of the superlattice of Fig. 4A; Fig. 5 shows a graph of Si dot packing density against Si coverage; Fig. 6A is a TΕM image of a Si quantum dot superlattice with 8 bilayers of Si dot and SiO2;
Fig. 6B shows the lattice image of the superlattice of Fig. 6 A; and Fig. 7 is a schematic diagram of the bandstructure according to a second arrangement in which the central energy EQ varies across the material in proportion to the temperature.
Detailed Description
Irreversible effects in thermoelectric materials limit their efficiency and economy for applications in power generation and refrigeration. While electron transport is unavoidably irreversible in bulk materials, conditions may be derived under which transport is reversible in nanostructured thermoelectric materials. Carnot efficiency can be achieved in principle using the same physical mechanism as used in optical and quantum heat engines. The present disclosure provides design rules for thermoelectric nanomaterials and numerically demonstrates increases in the thermoelectric figure of merit which may explain recent experimental results for quantum-dot superlattices. 1.0 Designing reversible thermoelectric nanomaterials
High efficiency solid-state power generators and refrigerators have enormous potential for applications in, among many others, the automotive, microelectronics and refrigeration industries. A recent breakthrough has been, the development of nanostructured thermoelectric materials as described, for example, in R. Venkatasubramanian, E. Siivola, T. Colpitis, B. O'Quinn, Nature 413, 597 (2001); T. C. Harman et al, Science 297, 2229 (2002); and K. F. Hsu et al, Science 303, 818 (2004).
Such nanostructured thermoelectric materials have remarkably high figures of merit that are thought to result from a combination of two distinct effects. Firstly, it is known that phononic heat conduction is reduced in materials with a high interface density. Secondly, quantum confinement effects can produce sharp peaks in the electronic density of states (DOS).
While the underlying physical mechanism has not been clear, delta-like DOS have been found to result in (i) an improvement in the thermopower, S, without a
corresponding reduction in electrical conductivity, σ, (ii) an electronic contribution to the
thermal conductivity, JQI, equal to zero at open-circuit which leads to (iii) a theoretical
maximum in the dimensionless figure of merit, ZT.
The DOS may be regarded as delta-like when ΔE<kT, where k is Boltzmann's
constant and T is the operating temperature. For a temperature of 300K, the DOS is
delta-like when ΔE<25meV, and for a temperature of 800K, ΔE<70meV. Thus, ΔE<70meV is necessary to get reasonable results for high temperature power generation,
and ΔE <25meV is required for low temperature refrigeration applications.
The present disclosure explains the fundamental thermodynamics responsible for this second group of effects. Conditions are established under which electrons in a nanomaterial subject to opposing thermal and potential gradients can be in a state of equilibrium. Our results contradict a long held view that thermoelectric effects are inherently irreversible phenomena and the present disclosure thus provides 'design-rules' for thermoelectric nanomaterials with ultra-high efficiencies.
The efficiency of any heat engine is bounded above by the Carnot limit, which can only be achieved in systems infinitesimally close to an equilibrium state. An electronic system in equilibrium is characterized by a spatially invariant occupation of states given by the Fermi-Dirac (FD) distribution function:
fFD = [Qχp{S(r)/k)+lY, (1)
where s(E,r)=[E-μ(r)]/T(r) corresponds to the entropy change in the system if
one electron with energy E is added to the system at the spatial coordinate r. A spatially invariant probability of occupation of available electronic states can be achieved in a number of ways, two of which are well known, while further approaches are pointed out here.
Firstly, a state of global equilibrium is attained when the electrochemical potential
/z(r) and the temperature T(r) are both constant as a function of r. This corresponds to the
textbook definition of an equilibrated electronic system.
Secondly, equilibrium can be approached when the only available electronic states in the system are at very high energies (for instance in an intrinsic semiconductor with
bandgap, Eg -> ∞) where occupation tends to a spatially constant value of zero, irrespective of finite gradients in μ(x) and T(j). In this case the thermopower tends to
infinity, but there are no electrons available to carry current.
The present disclosure identifies further ways in which equilibrium can be approached in continuous electronic systems, which are denoted as 'energy-specific equilibrium'. The results are equally valid for continuous or discrete systems in which particles obey Bose-Einstein or Maxwell-Boltzmann statistics. The present disclosure considers a first arrangement in which (i) the DOS for electrons is very sharply peaked at
one energy E0, and in which (ii) μ{r) and T(r) vary across the system in such a way that
-v+1(Eo,r) is spatially invariant, such that the population of electron states at the specific energy E0 is the same throughout the material (Fig 1). Under these conditions the entire electronic system is in equilibrium, in spite of the thermal and potential gradients.
In a second arrangement described in section 1.2, rather than varying the quasi- Fermi energy, μ, the central energy E0 is varied in proportion to the temperature, so as to
keep [E0 (r)- μ]/T(r) constant across the material.
In both the first and the second arrangements, the energy gap between the centre of density of states peak, Eo, and the quasi-Fermi energy, μ, varies across the thermoelectric material in proportion to the spatial variation in temperature. 1.1 First arrangement: varying μ across the material The rate of entropy production per unit volume, s , in the material due to the movement of electrons in response to temperature and electrochemical potential gradients is:
Figure imgf000009_0001
where Jn is the number flux of electrons in the direction of decreasing temperature and Jq the heat flux due to electrons, and where μ, T and Jq depend on r. In the limit that only electrons with energy E0 are transmitted, the heat current in the material is given by
Figure imgf000010_0001
To find the conditions under which electrons move through the material without
increasing the entropy of the system (reversible transport) we set S(E0 ) = 0 to obtain a
differential equation which may be solved by integration with respect to r to find E0 = μ(r)+Ω/T(r).
Here Ω is an integration constant, evaluated using the boundary condition
μc- Ω Tc = μH- Ω TH, where the subscripts c andH refer to the cold and hot extremes of the system respectively. At open circuit, this yields
Ω = -eVoc/AT,
where
Figure imgf000010_0002
AT= (TN - TC)
and where AT and μc (or alternatively μπ) are freely chosen parameters.
We then arrive at an expression for a spatially varying chemical potential that ensures that electron transport at Eo is reversible at open circuit:
Figure imgf000010_0003
(The subscript 0 refers to the state of energy-specific equilibrium). To clarify the physics involved in Eq. 4 we note that
S0 ≡ Voc/AT = [E0 - μ0{r)]/eT{r) (5)
is the thermopower (Seebeck coefficient) corresponding to energy-specific equilibrium, which can be physically interpreted as the entropy carried by one Ampere of current (that is, eSo=s(βo)). AS S0 is spatially invariant, there is no entropy increase when an electron with energy E0 moves through the material, and therefore no thermodynamically spontaneous direction for current to flow, despite the finite thermal and electrical potential gradients, confirming that the electronic system is in equilibrium.
In practice, reversible electron transport can be approached by (i) creating a nanostructured material, such as a quantum dot superlattice (QDSL) or a superlattice nanowire (SLNW), with a DOS for mobile electrons that is sharply peaked at one energy E0, and that is (ii) inhomogeneously doped such that Eq. 4 is fulfilled.
The bandstructure 1 of a suitable thermoelectric QDSL or SLNW is shown in FIG. IA. In the illustrated coordinate system, the vertical axis represents energy E. The horizontal axis represents the spatial coordinate x. The hot extreme of the material is at position x=0, and the cold extreme is at x=±L. The bandstructure 1 has narrow minibands 3, 5 with width ΔE for electrons (holes) located at energy E0 for the n-type and (-E0) for the p-type material. The temperature at the hot extreme is TH and the temperature at the cold extreme is Tc. The open-circuit voltage across the legs at the cold extreme is Voc- The doping level 7 varies across the material to ensure that μ(x) satisfies Eq. 4, providing constant population of states at E0 across the material under the open-circuit (zero current and power) conditions shown. As seen in Fig. IA, this requires high levels
of doping at x = ± L where the temperature is lowest, and low doping in the center (x =
0) where the temperature is highest.
Reversibility is obtained when ΔE -» 0 and κpj, = 0. To obtain finite power, ΔE
must have a finite width, and a voltage V> Voc for refrigeration or V< Voc for power generation must be applied. Note that for simplicity, band-bending near the metallic contacts has not been considered.
Fig. IB shows the Fermi occupation function at several places along the positive x-axis in Fig. IA, demonstrating spatially constant occupation probability at E0 12. The arrow 10 illustrates the direction of increasing x, which corresponds to decreasing
temperature and increasing μ.
The extent to which a nanomaterial conforms to Eq. 4 may be tested by checking for spatial invariance of the Seebeck coefficient in the presence of a temperature gradient across the material, for instance using the scanning probe technique recently developed by
Lyeo et al, Science 303, 816 (2004), the disclosure of which is incorporated herein by cross-reference.
In the absence of phonon heat leaks such a material will have a thermoelectric efficiency approaching the Carnot limit. To show this, we note that the heat flux withdrawn from the hot end of the system by electrons is
\Jq(TH)\ = (E0 - μH)\Jn\
At open circuit the power is
Figure imgf000012_0001
giving an efficiency
Figure imgf000012_0002
which is the Carnot limit for power generation.
Similarly, if the system is operated in reverse (Jn —> -Jn) as a refrigerator, then the
coefficient of performance can be shown to be equal to the Carnot limit
,, = =J^. (7)r 1 H ~l C These results also provide an explanation for the large thermopower of nanomaterials with delta-like DOS such as quantum dots and QDSL disclosed, for example, in C. W. J. Beenakker, A. A. M. Staring, Phys. Rev. B. 46, 9667 (1992) and T. C. Harman et al, Science 297, 2229 (2002). The physical origin of such large thermopower has not to date been clear. In fact, SQ is the theoretical upper limit upon the Seebeck coefficient S for a particular choice of μc and ΔJT (dropped across an
infinitesimal length of material). To show this, we evaluate μ(r) and T(r) in Eq. 4 at the hot end of the material to obtain
S0AT= (Eo - MH)(I-TCZTH).
This means that S = So when the Carnot fraction, (1-TCZTH), of heat removed by
each electron with energy E0 from the hot reservoir, (EO-MH), is converted to useful work
S0ΔΓ = eFoc- £0 therefore represents a theoretical maximum, as S > SQ would imply an
efficiency greater than the Carnot limit.
The presence of inelastic scattering in thermoelectric materials does not affect these results. Inelastic scattering processes produce heating via the relaxation of carriers from a non-equilibrium occupation of states to an occupation given by a FD distribution
with the appropriate local value of μ(r) and T(r). Since in the described arrangement 1
states at E0 are occupied with the same probability throughout the material, as seen in Fig IB, inelastic processes that scatter individual electrons into these states are just as likely as processes that scatter electrons out of these states, so there is no net exchange of energy between free electrons and the lattice due to the movement of electrons with energy E0.
If the DOS is finite in some range around E0, electrons occupying states at energies above (below) EQ are, on average, scattered to lower (higher) energy states, depending upon the difference between the local probability of occupation and that of the arriving electrons. This process results in local heating (cooling) of the lattice. However, the nearer these electrons are in energy to E0, the smaller the heating (cooling) effect, due to the small variation in the occupation of states between adjacent regions of the material.
To quantify the advantage of using a delta-like DOS and inhomogeneous doping according to Eq. 4, we now numerically characterize a nanomaterial in which we vary the
DOS from delta-like to bulk-like. We assume a finite lattice thermal conductivity (κPh ≠ 0) and a single miniband of width AE. We use the Boltzmann transport equation under
the relaxation-time approximation, σ, S, and /ς>/ can all be expressed as a function of the
integral
Figure imgf000014_0001
where /3(E) = DOS(E)τ(E)v(E), τ(E) is the electron relaxation time, v(E) is the
electron group velocity, and where a= 0, 1 or 2. Then
σ = e2r0,
Figure imgf000014_0002
Ke1 = [K2 -Kx1IK0)IT
and the dimensionless figure of merit is
ZT= TaS2I(Ke^-KpI1).
We use Kph = 0.33 Wm4K*1, the value measured by Harman et al. , Science 297,
2229 (2002) for PbSeTe/PbTe QDSL. For simplicity and transparency in the numerical
results, assume that /3(E) = /3 is constant over the energy range AE, a reasonable
assumption for the small values of AE in which we are primarily interested. To isolate the
effect upon ZT of changing AE from effects due to variations in σ, we scale the
magnitude of /3 with ΔE such that for all values of AE, σ = 5xlO5 Q4Hi"1 at /^=E0 (see
Fig. 2B for details). This choice means that at the values of μc for which ZJ1 is optimized
at Tc = 300K, we obtain σ » 6x104 Ω4m4 for AE « 200meV, the same conductivity as
measured in Harman et al, Science 297, 2229 (2002). In addition, we obtain
σ « Ix 105 Q4ITi'1 for an optimized ZT at ΔE » 60 meV, which is similar to the
value obtained by numerical modeling in Yu-Ming Lin, M. S. Dresselhaus, Phys. Rev. B 68, 075304 (2003) for a PbSe/PbS SLNW with a 60 meV wide miniband. The results are seen in Figs. 2A to 2D, which show numerically calculated
thermoelectric parameters as a function of (E0 - μc) for ΔE = 500meV, 250meV, lOOmeV,
and 60meV (arrows 14, 16, 18 in Figs. 2A, 2B and 2C indicate decreasing AE) and T(L) =
300K. For each ΔE the value β = 5xlO5/
Figure imgf000015_0001
is used to calculate K0, Kx and
K2 for /4 ≠. E0. Fig. 2A shows the Seebeck coefficient; Fig. 2B shows electrical
conductivity; Fig. 2C shows electronic thermal conductivity and Fig. 2D shows a
colormap of ZT for κpι, = 0.33 Wm-1K'1. As the colourmap is not reproduced in colour,
region 20 is indicated as the area of Fig. 2D having the highest figure of merit.
. Fig. 2A is antisymmetric and Figs. 2B - 2D are mirror symmetric with respect to
(Eo - μc) = 0. Only the portion for (E0 - μc) >= 0 is shown.
Fig. 2A shows S as a function of (E0-μc) at the position x = L for different AE. As
ΔE decreases, the system approaches energy-specific equilibrium and S approaches <SO ,
the theoretical maximum Seebeck coefficient given by Eq. 5.
Fig. 2B and 2C show σ and /ς,/, respectively, as a function of (E0-^c)- Note that
although σ at μc — Eo is kept constant with decreasing AE, tQi at μc — Eo decreases, that
is, -» K2. The reason for this is that as the heat carried by an electron is
proportional to the difference between its energy and the Fermi energy, materials with
narrow DOS, which 'cuts off the high energy end of the Fermi distribution, have low /Qi.
An implication of this result is that the Wiedemann-Franz law, often used by
experimentalists to calculate JQI from the electrical conductivity, is not applicable to
nanomaterials with delta-like DOS. This result also means that thermoelectric nanomaterials are not subject to the conundrum that limits ZT of bulk thermoelectrics: the
interrelationship of S, σ and K . To emphasize this point we show in Fig. 2D that for small AE the figure of merit is optimal at values of (Eo-juc) where S (Fig. 2A) and Ka (Fig.
2C) are both relatively small.
In other words, the best strategy to maximize ZT in nanomaterials is to minimize
Kei leaving ZT limited only by finite κph. The fact that this is possible without at the same
time decreasing σ, illustrates a fundamental difference between the thermodynamics of
nanostructured and bulk thermoelectric materials.
Fig. 3 C quantifies the difference between inhomogeneous doping according to Eq.
4 (μ(x) = JUQ(X)) and homogeneous doping (μ(x) = μo(L/2)). Fig. 3 C plots two curves of
ZT versus temperature in the range 300K to 800K. One curve 24 illustrates homogeneous doping and the other curve 22 shows inhomogeneous doping in accordance with Eq 4. At L/2, where the electrochemical potentials are equal, the two curves are comparable, but at lower and higher temperatures the inhomogeneous doping 22 provides a significantly higher figure of merit.
The techniques outlined in G. D. Mahan, J. Appl. Phys. 70, 4551 (1991), the contents of which are incorporated herein by cross-reference, are used in generating Fig. 3 C. Fig. 3 C illustrates that inhomogeneous doping can double ZT at 300K for AE
=10meV, TH = 800K, T0 = 300K and κph = 0.05 Wm-1K"1 (which corresponds to a 15%
relative increase in the efficiency). The physics behind this improvement is now clear; inhomogeneous doping increases ZT as it brings thermoelectric materials closer to a state of energy-specific equilibrium.
Finally, Fig. 3A shows ZT at 300K as a function of κPh, demonstrating that while a
decrease in κpιt is always beneficial to the figure of merit, a decrease in κph combined with
a decrease in ΔE results in larger increases in ZT. Consequently, the development of
nanomaterials with a κpt, that is 20% lower than that of previously known materials and
optimized, delta-like DOS may provide ZT= 10 at T - 300K. Such a figure of merit is well within the range of ZT > 5 required for economical adoption of thermoelectric technology for main stream refrigeration and power generation.
The marked points 25, 26 and 27 are experimental values for κph obtained at 300K.
It can be seen from Fig 3A that the benefits of a δ-like DOS decrease as κPh
increases, until at about 2 Wm4K'1 there is no advantage to be gained. Consequently, a
κPh < 2 Wm4K"1 is required to see any difference in ZT, κPh < 0.5 Wm4K"1 is necessary
for substantial improvement in ZT, and κPh < 0.2 Wm-1K"1 in combination with a δ-like
DOS gives spectacular increases in ZT over materials with bulk-like DOS.
The finite coherence length of electrons, which places a lower limit on the width of DOS peaks resulting from quantum confinement, will also in principle limit the efficiency of thermoelectric nanomaterials. However, as all heat engines are in reality operated at finite power, away from maximum efficiency, quantum efficiency limits are not expected to be a practical design issue.
From a fundamental point of view, the present disclosure suggests that continuous nanostructured thermoelectric materials actually share the same underlying thermodynamics with a number of (mostly theoretical) heat engines based on discrete systems which have previously been studied independently, such as quantum Brownian heat engines for electrons (described, for example, in T.E. Humphrey, R. Newbury, R.P. Taylor, H. Linke, Phys. Rev. Lett. 89, 116801 (2002); T. E. Humphrey, thesis, University of New South Wales (2003). http://adt.caul.edu.au/; and J. M. R. Parrondo, B. J. de Cisneros, Appl. Phys. A-Mater. 75, 179-191 (2002)), three- and two-level optical quantum heat engines (described, for example, in H.E.D. Scovil, E.O. Schulz-DuBois, Phys. Rev. Lett. 2, 262 (1959); T. Feldmann, R. Kosloff, Phys. Rev. E 61, 4774 (2000); M. O. Scully, Phys. Rev. Lett. 88, 050602 (2002); E. Geva, R. Kosloff, Phys. Rev. E 49, 3903 (1994); and S. Lloyd, Phys. Rev. A. 56, 3374 (1997)) and thermionic devices based on resonant tunneling. The citations are incorporated herein by cross-reference.
In particular, all these systems utilize energy-specific, rather than global equilibrium to achieve Carnot efficiency. Such types of heat engines may therefore be viewed as a class, distinct from other heat engines such as the Carnot, Otto or Brayton cycles, which instead achieve maximum efficiency when the working gas is kept close to global equilibrium.
1.2 Second arrangement: varying Eo across the material In a second arrangement, the central energy EQ of the narrow energy range of
electrons transmitted is varied to keep [E0 (x) - μ]/T(x) constant across the material.
Practically, this may be implemented in superlattices, superlattice nanowires (SLN) or quantum dot superlattices (QDSL) in which electronic states exist in a narrow
miniband (i.e. ΔE ≤ kBT , where AE is the width of the miniband, kβ is Boltzmann's
constant and T the average temperature) by varying the period of the superlattice to change the energy at which the miniband occurs across the material. This is illustrated in the example band-structure 100 of Fig. 7, which may be in a superlattice, superlattice nanowire (SLN) or quantum-dot superlattice (QDSL).
Although the performance of the device is best for materials with a ΛE<kT, some
gain is still obtained for ΔΕ up to 1OkT. That is, the performance gradually gets worse as
ΔΕ increases up to 1OkT. After this point there is negligible decrease in performance for
increasing ΔΕ.
The coordinate system in Fig. 7 has energy Ε on the vertical axis and the spatial variable x on the horizontal axis. The point 108 on the x axis is the position of the hot extreme of the material, where the temperature is TR. The cold extreme of the material is at points 109, 110, where the temperature is Tc. In the bandstructure 100 the quasi-Fermi energy 106 is constant with respect to x. However, the energy E0 102 of the n-type leg and the energy E0 104 of the p-type leg vary as a function of x. The barrier spacing (e.g. 112) varies with x.
The barrier spacing, ax, in the x-dimension which is required to achieve a
resonance at a particular electron wave-number kx is given by ax = TiIkx. Similar
equations, ay = %lky and az = %lkz, can be written for the other two dimensions of the
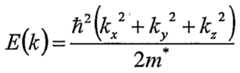
superlattice material. hi general, a knowledge of the dispersion function, E{k), for the superlattice material is then required to calculate the energy of an electron with wave-numbers kx, ky and kz. In some cases, this may be calculated via the Kronig-Penny model as outlined in detail in J. H. Davies, 'The physics of low-dimensional semiconductors' (Cambridge University press, Cambridge, 1998), the contents of which are incorporated herein by cross reference. For example if the dispersion relation is close to that for free-electrons
Figure imgf000019_0001
where m is the effective mass of an electron in the material, the spacing ax(x) that is required at a point x in the superlattice is given by
Figure imgf000019_0002
where C is the constant value of the ratio of the energy gap between the centre of
the DOS and the quasi-Fermi energy μ(x), and T(x) is the temperature at x.
Note that the superlattice spacing in the other two dimensions remains constant, as it is assumed that the temperature only varies along the x dimension. hi a further arrangement, both E and μ are varied with x so that the energy gap varies in proportion to the spatial change in temperature. 2.0 Materials
The arrangements described above will maximise the efficiency of any thermoelectric nanomaterial with a sharp DOS. The improvement obtained from inhomogeneous doping or a variable barrier spacing is, however, most substantial when the thermoelectric nanomaterial operates over a wide temperature range.
Therefore, while the results discussed above apply to all nanostructured thermoelectric materials, the materials described below, such as silicon-based quantum dot superlattices fabricated via sputtering, are intended for power generation over a large (>100K) temperature gradient. As observed by Harman et al. in US Patent 6,605,772 issued on 12 August 2003, the best approach for producing thermoelectric nanomaterials is to begin with materials which are good thermoelectrics in bulk form. Silicon-Germanium alloys are currently used for high temperature power generation applications in thermoelectrics, with Sio.7- Geo.3 having an efficiency of 6% (11% of the Carnot limit) when operated between a source and sink at 10000C and 3000C
Suitable materials include Si/SiO2 superlattices and Quantum Dot Superlattices (QDSL). Self-organised Si/SiO2 QDSL may be fabricated via the technique described in Cho et al 'Silicon nanostructures for all-silicon tandem solar cells' presented at the European photovoltaic solar energy conference, Paris, June 2004 and incorporated herein by cross-reference. The paper of Cho et al is available at http://www.pv.unsw.edu.au/conf.html.
Si/SiO2 quantum well superlattices may be fabricated by sputtering alternating layers of Si and SiO2. This technique can be adapted to fabricate self-organised Si/SiO2
QDSL by depositing silicon-rich-oxide (SRO) layers instead of pure Si layers. Nanocrystalline silicon quantum dots are then created in the SRO layer by a self- organizing process during high temperature annealing. Spatial distribution (packing density) and the radius of Si quantum dots are controlled by the composition and the thickness of the SRO layer, respectively.
Si/SiO2 superlattices with the thickness dimension down to 3nm may be made by a precision sputtering process. Alternate deposition of amorphous Si and SiO2 is repeated up to the desired numbers of Si and SiO2 bilayers. Amorphous silicon layers are crystallized upon high temperature annealing in either conventional furnace or by rapid thermal annealing (RTA). Figs. 4A and 4B show a high resolution transmission electron microscope (HRTEM) image of a Si/SiO2 superlattice with ~4nm nanocrystalline Si layer. Si layers in superlattices are continuous (Fig. 4A) and contain Si nanocrystals.(Fig. 4B).
Si quantum dot superlattices (QDSLs) may be fabricated by depositing a silicon- rich-oxide (SRO) layer instead of the silicon layer in Si/SiO2 superlattice. SRO is deposited by co-sputtering of Si and quartz (SiO2) targets. One interesting point is the SiOx layer thickness. When SiOx films are ultra-thin (< lOnm), the diameter of the created nanocrystals is equal to the SiOx film thickness, depending on the annealing conditions. This feature offers uniform size controllability of Si quantum dots.
The spatial density is controlled by the stoichiometry of the SiOx. Different composition of the SiOx layer is achieved by a combination of Si and quartz wafer. A Si wafer having different openings is used to obtain the different Si area coverage over the quartz target as shown in Fig. 4. Small areas of a Si wafer are cut out by high power laser scribing and etched to remove the debris in 30% NaOH solution. The Si coverage was adjusted from 16% to 63% of the total area of the quartz wafer. Continuous Si layers result from a target of 55% Si covering the quartz wafer, while no layer was observed when using 16% Si target in the superlattices (multilayer) structure of Si and SiO2. The packing density of Si quantum dots is easily controlled using the described techniques. The packing density shown in Fig. 5 was calculated from HRTEM, where samples were crystallized by conventional furnace under nitrogen atmosphere (HOO0C, 1 hour). The SiOx layer formed a Si precipitate leaving a SiO2 matrix during the high temperature process. The diameter of the Si quantum dots was equal to the. thickness of the SRO layer. As a typical example, Fig. 6A shows a Si quantum dot superlattice with 8 bilayers of Si dot and SiO2. The size of Si dots is ~5nm and packing density is around 69%. Fig. 6B shows the lattice image of the superlattice of Fig. 6 A.
The methods described above have already been used to achieve 50 bilayers of the Si quantum dot with the dot size diameter of ~5nm. Further reduction of Si dot diameter may be possible with a controlled crystallization process and a reduced SRO layer thickness. A diameter of Si quantum dots would be equal to that of thick SRO layer. Raman spectroscopy of the annealed thick SRO layer (~20nm) indicates that the size of the Si nanocrystal is around 2nm.
Si/Ge superlattices and QDSL may also be used in producing the reversible thermoelectric nanomaterials described in section 1, as may SiA (where A is another element) superlattices and QDSL formed via RF Magnetron sputtering.
Suitable materials require a DOS which is reasonably narrow, preferably <100meV. The DOS may be measured via photoluminescence spectroscopy and/or electrical characterisation such as current-voltage measurements at cryogenic and room temperature.
To achieve the inhomogeneous doping profile of Equation 4, the materials of interest may be doped with Phosporus (n-type) and Boron (p-type) via a process of diffusion, in order to generate a variation in the chemical potential from close to the centre of the bandgap at the end of the material which will be in contact with the hot reservoir to be close to the conduction (n-type) or valence band (p-type) at the other extreme of the material. Information on the diffusion process may be found in standard textbooks such as "Semiconductor Devices, Physics and Technology" by S.M. Sze (John Wiley & Sons, 2nd Ed. 2002), which also describes techniques for measuring the doping gradient.
The aim is to produce a material with a conductivity σ>lxlθ4 Ω^m"1 and
preferably close to 1x105 Ω'W . In accordance with Eq. 4, the resulting doping profile
provides a Seebeck coefficient that is substantially constant across the material.
The following procedure may be followed in developing new QDSL materials having the desired doping profile. 1) Fabricate a quantum dot superlattice material with quantum dots less than ~5nm
(pref. ~2nm) apart in the direction of transport and of a size which gives resonances which are 5-1OkT (where k is Boltzmann's constant and T the approx. temperature of operation) apart. This is in order that transport of electrons only occurs through the lowest resonance (electrons flowing through higher resonances will lower the efficiency). Also, the lowest resonance should be found at an energy which is not too high, otherwise the conductivity of the material will be too low. The diameter for the quantum dots is in the range 2nm<d<10nm, preferably around 4nm.
2) Measure the actual width and position of the resonance in the fabricated Q-dot material. Suitable techniques include optical and/or electrical characterization methods such as photoluminescence (which finds the energy of the first resonance
only, the broadening of peaks giving an indication of AE) or Current- Voltage
experiments (which show peaks at the position of the resonances, the width of
which gives ΔE convolved with the Fermi-distribution). 3) Determine the electrical conductivity (obtainable from the Current- Voltage measurements above) and the total thermal conductivity (sum of electronic and lattice contributions) by standard means (for example, as described in "Thermoelectrics:, basic principles and applications" by G.S. Nolas, J. Sharp and HJ. Goldsmid, Springer (2001)).
4) Determine via numerical means using the equations of section 1.1 what value of
doping (E0 - Me) at the room temperature end will give a maximum ZT. At this
point it is also possible to determine via numerical means the predicted values of the lattice and electronic contributions to the thermal conductivity. Various values of homogeneous doping should then be tried to ensure that the value determined by numerical means is in fact the best for optimal ZT. Once this optimization procedure is done, the inhomogeneous doping discussed above is used to further improve the efficiency.
5) Implementing the doping gradient requires a knowledge of the spatial distribution of the temperature gradient in the material (see Eq. 4). The spatial distribution
may be measured for a particular Δrby applying a temperature gradient and then
determining the small temperature drop across each small piece of the material being considered. Note that as QD superlattices tend to be very thin (hundreds of nanometers) such measurement is more readily implemented if the device is designed to have electron transport occur along the plane which will generally have a width of several millimeters.
6) In principle, the doping gradient could be implemented by changing the concentration of doping atoms in each plane of QD superlattice in the growth direction, where the device is designed to have electron transport occur perpendicular to the plane. However, if transport occurs along the plane, as discussed in 5) then doping is preferably done by thermally diffusing dopants in from one side.
7) Measure the spatial variation of the Seebeck coefficient. This can be done for relatively large samples via the technique described in "Thermoelectrics: Basic principles and new materials developments" or microscopically via the technique published by Lyeo et al, both of which references are cited above.
8) As the doping gradient affects how the temperature drops across the material, which in turn affects what the doping gradient should be, it will be necessary to repeat 6 and 7 until 'self-consistency' is achieved. The lattice thermal conductivity of SiGe alloys is ~10 Wm-1K'1. It is known that a high interface density (such as is found in superlattices with a layer thickness of <10nm) reduces the lattice thermal conductivity. For the materials discussed above, with a layer spacing of ~4nm, the lattice thermal conductivity should be <2 Wm4K"1.
The foregoing describes only some embodiments of the present invention, and modifications and/or changes can be made thereto without departing from the scope and spirit of the invention, the embodiments being illustrative and not restrictive.

Claims

The claims defining the invention are as follows:
1. A nanostructured thermoelectric material having a spatial variation in temperature between a first end of the material and a second end of the material, wherein: the material has a substantially delta-like density of states (DOS); and a spatial variation in an energy gap between a central energy of the DOS and a quasi-Fermi energy of the material is proportional to the spatial variation in temperature such that the Seebeck coefficient of the material is substantially spatially invariant.
2. A material according to claim 1 wherein the material has n-type and p-type legs that are inhomogeneously doped between the first end and the second end and wherein the spatial variation in the energy gap is dependent on the inhomogeneous doping.
3. A material according to claim 1 wherein the variation in the energy gap is dependent on a spatial variation in the central energy of the DOS.
4. A material according to claim 3 wherein the material has a superlattice structure and wherein the spatial variation in the central energy is dependent on differences in a barrier spacing of the superlattice structure.
5. A nanostructured thermoelectric material having a substantially delta-like density of states (DOS), the material having n-type and p-type legs that are inhomogeneously doped such that the Seebeck coefficient of the material is substantially spatially invariant.
6. A nanostructured thermoelectric material according to claim 5, wherein the n-type and p-type legs of the material are inhomogeneously doped according to the equation://0(r) = E0 -eFoc[r(r)/Δ7'],
where μ0 is an electrochemical potential, E0 is an energy of the substantially delta-like
density of states (DOS) in the leg, _T(r) is a temperature profile across the material and AT
is a temperature difference across the material, Voc - Mc - βH is an open circuit voltage,
and μc and μπ are electrochemical potentials at the cold and hot extremes of the material
respectively.
7. A nanostructured thermoelectric material according to claim 1 wherein the material is a quantum-dot superlattice (QDSL).
8. A nanostructured thermoelectric material according to claim wherein the material is a superlattice nanowire (SLNW).
9. A nanostructured thermoelectric material according to claim 1 wherein the material has a low lattice thermal conductivity and an electronic thermal conductivity at open circuit that tends to zero as the density of states becomes increasingly delta-like.
10. A nanostructured thermoelectric material according to claim 1 wherein the density of states is less than 100 meV wide.
11. A nanostructured thermoelectric material according to claim 10 wherein the density of states is less than 25 meV wide.
12. A nanostructured thermoelectric material according to claim 9 wherein the lattice thermal conductivity is less than 2 Wm-1K"1.
13. A nanostructured thermoelectric material according to claim 1 wherein the material has a conductivity greater than Ix 104 Ω~lm~l.
14. A nanostructured thermoelectric material having a spatial variation in temperature between a first end of the material and a second end of the material, wherein: electronic states of the material exist in a narrow miniband; and an energy at which the miniband occurs varies spatially between the first end and the second end in proportion to the spatial variation in temperature such that the Seebeck coefficient of the material is substantially spatially invariant.
15. A nanostructured thermoelectric material according to claim 14 wherein the material has a superlattice structure and wherein the variation in the energy of the miniband is dependent on a period of the superlattice structure that varies between the first end and the second end.
16. A nanostructured thermoelectric material according to claim 14 wherein the miniband has a width less than or equal to 10kβT, where T is an operating temperature and kβ is Botzmann's constant.
17. A method of preparing a nanostructured thermoelectric material having a high thermoelectric figure of merit, the method comprising the steps of: fabricating a material having a delta-like density of states, wherein an electronic thermal conductivity of the material at open circuit tends to zero as the density of states becomes more delta-like; and doping n-type and p-type legs of the material inhomogeneously such that a Seebeck coefficient of the material is substantially spatially invariant.
18. A method of preparing a nanostructured thermoelectric material according to claim 17, further comprising the step of: optimising the material to reduce a lattice thermal conductivity.
19. A method of preparing a nanostructured thermoelectric material according to claim 17, wherein the n-type and p-type legs of the material are inhomogeneously doped
according to the equation: μ0 (r) = E0 - e Voc [τ(r)/AT] ,
where μ0 is an electrochemical potential, E0 is an energy of the substantially delta-like
density of states (DOS) in the leg, T(r) is a temperature profile across the material and Δ T
is a temperature difference across the material, Voc= Mc - MH is an open circuit voltage,
and μc and MH are electrochemical potential at the cold and hot extremes of the material
respectively.
20. A method of preparing a nanostructured thermoelectric material according to claim 17 wherein the Seebeck coefficient approaches the spatially invariant value S0 ≡ Voc/AT = [E00{r)]/eT{r) .
21. A method of preparing a nanostructured thermoelectric material having a high thermoelectric figure of merit, wherein electronic states of the material exist in a miniband, the method comprising the steps of: determining a barrier spacing of a superlattice structure of the material, said barrier spacing varying between a first end of the material and a second end of the material such that, in use, an energy of the miniband varies between the first end and the second end in proportion to a spatial temperature variation; and fabricating the material having the determined variable barrier spacing.
22. A nanostructured thermoelectric material substantially as described herein with reference to Figs. IA to 3C or Fig. 7.
23. A method of preparing a nanostructured thermoelectric material substantially as described herein with reference to Figs. IA to 3C or Fig. 7.
PCT/AU2005/0010182004-07-122005-07-12Reversible thermoelectric nanomaterialsWO2006005126A1 (en)

Applications Claiming Priority (2)

Application NumberPriority DateFiling DateTitle
AU20049038202004-07-12
AU2004903820AAU2004903820A0 (en)2004-07-12Reversible Thermoelectric Nanomaterials

Publications (1)

Publication NumberPublication Date
WO2006005126A1true WO2006005126A1 (en)2006-01-19

Family

ID=35783448

Family Applications (1)

Application NumberTitlePriority DateFiling Date
PCT/AU2005/001018WO2006005126A1 (en)2004-07-122005-07-12Reversible thermoelectric nanomaterials

Country Status (1)

CountryLink
WO (1)WO2006005126A1 (en)

Cited By (4)

* Cited by examiner, † Cited by third party
Publication numberPriority datePublication dateAssigneeTitle
WO2008106732A1 (en)*2007-03-052008-09-12Commonwealth Scientifc And Industrial Research OrganisationThermoelectric material
US8404336B2 (en)*2005-10-202013-03-26State Of Oregon Acting By And Through The State Board Of Higher Education On Behalf Of The University Of OregonSuperlattice and turbostratically disordered thermoelectric materials
US8545991B2 (en)2009-01-232013-10-01State Of Oregon Acting By And Through The State Board Of Higher Education On Behalf Of The University Of OregonLow thermal conductivity misfit layer compounds with layer to layer disorder
CN114462178A (en)*2020-11-092022-05-10南京理工大学Design method of wearable two-dimensional asymmetric material with high thermoelectric conversion efficiency

Citations (2)

* Cited by examiner, † Cited by third party
Publication numberPriority datePublication dateAssigneeTitle
US20030042497A1 (en)*2000-05-022003-03-06Gerhard SpanThermoelectric element
US6605772B2 (en)*1999-08-272003-08-12Massachusetts Institute Of TechnologyNanostructured thermoelectric materials and devices

Patent Citations (2)

* Cited by examiner, † Cited by third party
Publication numberPriority datePublication dateAssigneeTitle
US6605772B2 (en)*1999-08-272003-08-12Massachusetts Institute Of TechnologyNanostructured thermoelectric materials and devices
US20030042497A1 (en)*2000-05-022003-03-06Gerhard SpanThermoelectric element

Non-Patent Citations (1)

* Cited by examiner, † Cited by third party
Title
HUMPHREY T E ET AL: "Reversible quantum brownian heat engines for electrons.", PHYSICAL REVIEW LETTERS, vol. 89, no. 11, 9 September 2002 (2002-09-09), pages 116801*

Cited By (4)

* Cited by examiner, † Cited by third party
Publication numberPriority datePublication dateAssigneeTitle
US8404336B2 (en)*2005-10-202013-03-26State Of Oregon Acting By And Through The State Board Of Higher Education On Behalf Of The University Of OregonSuperlattice and turbostratically disordered thermoelectric materials
WO2008106732A1 (en)*2007-03-052008-09-12Commonwealth Scientifc And Industrial Research OrganisationThermoelectric material
US8545991B2 (en)2009-01-232013-10-01State Of Oregon Acting By And Through The State Board Of Higher Education On Behalf Of The University Of OregonLow thermal conductivity misfit layer compounds with layer to layer disorder
CN114462178A (en)*2020-11-092022-05-10南京理工大学Design method of wearable two-dimensional asymmetric material with high thermoelectric conversion efficiency

Similar Documents

PublicationPublication DateTitle
Dmitriev et al.Current trends in the physics of thermoelectric materials
US10305014B2 (en)Methods and devices for controlling thermal conductivity and thermoelectric power of semiconductor nanowires
Lin et al.Thermoelectric properties of superlattice nanowires
Humphrey et al.Reversible thermoelectric nanomaterials
ShakouriRecent developments in semiconductor thermoelectric physics and materials
Chen et al.Heat transfer in nanostructures for solid-state energy conversion
ShakouriNanoscale thermal transport and microrefrigerators on a chip
Martín-González et al.Nanoengineering thermoelectrics for 21st century: Energy harvesting and other trends in the field
Alam et al.A review on the enhancement of figure of merit from bulk to nano-thermoelectric materials
Nielsch et al.Thermoelectric nanostructures: from physical model systems towards nanograined composites
Minnich et al.Bulk nanostructured thermoelectric materials: current research and future prospects
Hochbaum et al.Enhanced thermoelectric performance of rough silicon nanowires
Snyder et al.Complex thermoelectric materials
US7508110B2 (en)Surface plasmon coupled nonequilibrium thermoelectric devices
Hillhouse et al.Modeling the thermoelectric transport properties of nanowires embedded in oriented microporous and mesoporous films
Kumar et al.Tuning the thermoelectric material’s parameter: a comprehensive review
Xie et al.A brief review on the recent development of phonon engineering and manipulation at nanoscales
Wang et al.Ballistic thermoelectric transport in structured nanowires
Liu et al.Thermoelectric properties of holey silicon at elevated temperatures
Tervo et al.State-of-the-art of thermoelectric materials processing
Bahk et al.Electron transport engineering by nanostructures for efficient thermoelectrics
WO2006005126A1 (en)Reversible thermoelectric nanomaterials
Gupta et al.Advancements in Ge-based thermoelectric materials for efficient waste heat energy conversion: a comprehensive review
Davami et al.Nanowires in Thermoelectric Devices
He et al.Thermal‐Electrical Energy Conversion from the Nanotechnology Perspective

Legal Events

DateCodeTitleDescription
AKDesignated states

Kind code of ref document:A1

Designated state(s):AE AG AL AM AT AU AZ BA BB BG BR BW BY BZ CA CH CN CO CR CU CZ DE DK DM DZ EC EE EG ES FI GB GD GE GH GM HR HU ID IL IN IS JP KE KG KM KP KR KZ LC LK LR LS LT LU LV MA MD MG MK MN MW MX MZ NA NG NI NO NZ OM PG PH PL PT RO RU SC SD SE SG SK SL SM SY TJ TM TN TR TT TZ UA UG US UZ VC VN YU ZA ZM ZW

ALDesignated countries for regional patents

Kind code of ref document:A1

Designated state(s):BW GH GM KE LS MW MZ NA SD SL SZ TZ UG ZM ZW AM AZ BY KG KZ MD RU TJ TM AT BE BG CH CY CZ DE DK EE ES FI FR GB GR HU IE IS IT LT LU LV MC NL PL PT RO SE SI SK TR BF BJ CF CG CI CM GA GN GQ GW ML MR NE SN TD TG

121Ep: the epo has been informed by wipo that ep was designated in this application
NENPNon-entry into the national phase

Ref country code:DE

WWWWipo information: withdrawn in national office

Country of ref document:DE

122Ep: pct application non-entry in european phase

[8]ページ先頭

©2009-2025 Movatter.jp