Movatterモバイル変換


[0]ホーム

URL:


WO2005110990A1 - Hydroxy-substituted benzo-condensed heterocycles for use as beta agonists in the treatment of respiratory diseases - Google Patents

Hydroxy-substituted benzo-condensed heterocycles for use as beta agonists in the treatment of respiratory diseases
Download PDF

Info

Publication number
WO2005110990A1
WO2005110990A1PCT/EP2005/005027EP2005005027WWO2005110990A1WO 2005110990 A1WO2005110990 A1WO 2005110990A1EP 2005005027 WEP2005005027 WEP 2005005027WWO 2005110990 A1WO2005110990 A1WO 2005110990A1
Authority
WO
WIPO (PCT)
Prior art keywords
methyl
ethyl
optionally
hydrogen
cooh
Prior art date
Application number
PCT/EP2005/005027
Other languages
German (de)
French (fr)
Inventor
Ingo Konetzki
Thierry Bouyssou
Philipp Lustenberger
Marco Santagostino
Andreas Schnapp
Christoph Hoenke
Original Assignee
Boehringer Ingelheim International Gmbh
Boehringer Ingelheim Pharma Gmbh & Co. Kg
Priority date (The priority date is an assumption and is not a legal conclusion. Google has not performed a legal analysis and makes no representation as to the accuracy of the date listed.)
Filing date
Publication date
Application filed by Boehringer Ingelheim International Gmbh, Boehringer Ingelheim Pharma Gmbh & Co. KgfiledCriticalBoehringer Ingelheim International Gmbh
Priority to CA002565243ApriorityCriticalpatent/CA2565243A1/en
Priority to JP2007512067Aprioritypatent/JP2007537187A/en
Priority to EP05740683Aprioritypatent/EP1789394A1/en
Publication of WO2005110990A1publicationCriticalpatent/WO2005110990A1/en

Links

Classifications

Definitions

Landscapes

Abstract

The invention relates to the compounds of general formula (1), wherein the groups n, A, B, R1, R2 and R3 are defined as in the claims and in the description, and to methods for producing the same. The invention also relates to the use of these compounds as drugs, especially as drugs for use in the treatment of respiratory diseases.

Description

Translated fromGerman

HYDROXY-SUBSTITUIERTE BENZKONDENSIERTE HETEROZYKLEN ALS BETAAGONISTEN ZUR BEHANDLUNG VON ATEMWEGS ERKRANKUNGENHYDROXY-SUBSTITUTED BENZE-CONDENSED HETEROCYCLES AS BETAAGONISTS FOR TREATING BREATH DISEASES

Die vorliegende Erfindung betrifft Verbindungen der allgemeinen Formel 1The present invention relates to compounds of general formula 1

Figure imgf000002_0001
worin die Reste n, A, B, R1, R2 und R3 die in den Ansprüchen und in der Beschreibung genannten Bedeutungen haben können, Verfahren zu deren Herstellung, sowie deren Verwendung als Arzneimittel, insbesondere als Arzneimittel zur Behandlung von Atemwegserkrankungen.
Figure imgf000002_0001
wherein the radicals n, A, B, R1 , R2 and R3 can have the meanings given in the claims and in the description, processes for their preparation and their use as medicaments, in particular as medicaments for the treatment of respiratory diseases.

Hintergrund der Erfindung Betamimetika (ß-adrenerge Substanzen) sind aus dem Stand der Technik bekannt. Beispielsweise sei diesbezüglich auf die Offenbarung der US 4,460,581 verwiesen, die Betamimetika zur Therapie unterschiedlichster Erkrankungen vorschlägt.Background of the Invention Betamimetics (β-adrenergic substances) are known from the prior art. In this regard, for example, reference is made to the disclosure of US 4,460,581, which proposes betamimetics for the therapy of a wide variety of diseases.

Zur medikamentösen Therapie von Erkrankungen ist es häufig wünschenswert, Arzneimittel mit einer längeren Wirkdauer bereitzustellen. Hierdurch kann in der Regel gewährleistet werden, daß die zur Erzielung des therapeutischen Effekts erforderliche Konzentration des Wirkstoffs im Organismus über einen längeren Zeitraum gegeben ist, ohne eine allzu häufige, wiederholte Gabe des Arzneimittels durchführen zu müssen. Die Applikation eines Wirkstoffs in längeren zeitlichen Abständen trägt im übrigen in hohem Maße zum Wohlbefinden des Patienten bei. Besonders wünschenswert ist die Bereitstellung eines Arzneimittels, welches therapeutisch sinnvoll durch einmalige Applikation pro Tag (Einmalgabe) eingesetzt werden kann. Eine einmal pro Tag erfolgende Anwendung hat den Vorteil, daß der Patient sich relativ schnell an die regelmäßige Einnahme des Medikaments zu bestimmten Tageszeiten gewöhnen kann. Es ist daher Aufgabe der vorliegenden Erfindung, Betamimetika bereitzustellen, die einerseits bei der Therapie von Atemwegserkrankungen einen therapeutischen Nutzen entfalten und darüber hinaus durch eine längere Wirkdauer gekennzeichnet sind und somit zur Herstellung von Arzneimitteln mit längerer Wirksamkeit Verwendung finden können. Es ist insbesondere Aufgabe der vorliegenden Erfindung, Betamimetika bereitzustellen, die aufgrund ihrer langen Wirksamkeit zur Herstellung eines zur Therapie von Atemwegserkrankungen einmal täglich applizierbaren Arzneimittels eingesetzt werden können. Neben den vorstehend genannten Aufgaben ist es ferner Ziel der vorliegenden Erfindung, solche Betamimetika bereitzustellen, die nicht nur außerordentlich potent, sondern ferner durch ein hohes Maß an Selektivität gegenüber dem ß2-Adrenozeptor gekennzeichnet sind. Detaillierte Beschreibung der ErfindungFor drug therapy of diseases, it is often desirable to provide drugs with a longer duration of action. This can generally ensure that the concentration of the active ingredient in the organism required to achieve the therapeutic effect is given over a longer period of time without having to repeat the drug too often. The application of an active ingredient at longer intervals also contributes greatly to the well-being of the patient. It is particularly desirable to provide a drug that can be used therapeutically by applying it once per day (single dose). Use once a day has the advantage that the patient can get used to taking the medication regularly at certain times of the day relatively quickly. It is therefore an object of the present invention to provide betamimetics which, on the one hand, have a therapeutic benefit in the treatment of respiratory diseases and, moreover, are characterized by a longer duration of action and thus can be used for the production of drugs with longer efficacy. It is a particular object of the present invention to provide betamimetics which, owing to their long effectiveness, can be used to produce a medicament which can be applied once a day for the therapy of respiratory diseases. In addition to the above-mentioned objects, it is also an object of the present invention to provide those betamimetics which are not only extremely potent, but are also characterized by a high degree of selectivity towards the β2 -adrenoceptor. Detailed description of the invention

Überraschenderweise wurde gefunden, dass die vorstehend genannten Aufgaben durch Verbindungen der allgemeinen Formel 1 gelöst werden.Surprisingly, it has been found that the above-mentioned objects are achieved by compounds of the general formula 1.

Dementsprechend betrifft die vorliegende Erfindung Verbindungen der allgemeinen Formel 1Accordingly, the present invention relates to compounds of general formula 1

Figure imgf000003_0001
woπn n 1 oder 2, bevorzugt 1;
Figure imgf000003_0001
woπn n 1 or 2, preferably 1;

A eine zweibindige Gruppe ausgewählt aus der Gruppe bestehend aus -(C=O)-, -S(=O)-, -S(=O)2- und -C(R4R5)-;A is a double-bonded group selected from the group consisting of - (C = O) -, -S (= O) -, -S (= O)2 - and -C (R4 R5 ) -;

B eine zweibindige Gruppe ausgewählt aus der Gruppe bestehend aus -O-, -NR6-, -CH2-, -S-CR7R8-, -NR6-CR7R8-, -CH2-CR7R8-, -O-CR9R10- und -CH=CH-; R1 und R2 gleich oder verschieden, Wasserstoff, Cι-C4-Alkyl, Halogen, OH oder -O- -C lkyl;B is a double-bonded group selected from the group consisting of -O-, -NR6 -, -CH2 -, -S-CR7 R8 -, -NR6 -CR7 R8 -, -CH2 -CR7 R8 -, -O-CR9 R10 - and -CH = CH-; R1 and R2 are identical or different, hydrogen, -CC4 alkyl, halogen, OH or -O- -C alkyl;

R3 Wasserstoff, Cι-C4-Alkyl, OH, Halogen, -O-Cι-C4-Alkyl, -COOH, -COO-C,-C4-Alkyl, -O-C,-C4-Alkylen-COOH oder -O-C!-C4-Alkylen-CO-O-Cι-C4-Alkyl; R4 und R5 gleich oder verschieden, Wasserstoff, Cι-C4-Alkyl, OH, Halogen, -O-d-C4-Alkyl, -COOH oder -COO-C^-Alkyl;R3 is hydrogen, -CC4 -alkyl, OH, halogen, -O-Cι-C4 -alkyl, -COOH, -COO-C, -C4 -alkyl, -OC, -C4 -alkylene-COOH or -OC! -C4 alkylene-CO-O -CC-C4 alkyl; R4 and R5 are the same or different, hydrogen, -CC4 alkyl, OH, halogen, -OdC4 alkyl, -COOH or -COO-C ^ alkyl;

R° Wasserstoff oder Cι-C4-Alkyl; R7 und R8 gleich oder verschieden, Wasserstoff oder Cι-C4-Alkyl, R9 und R10 gleich oder verschieden, Cι-C4-Alkyl, bedeuten, gegebenenfalls in Form der einzelnen Enantiomere, Mischungen der einzelnen Enantiomere oder Racemate, gegebenenfalls in Form ihrer Säureadditionssalze mit pharmakologisch unbedenklichen Säuren sowie gegebenenfalls in Form der Solvate und/oder Hydrate.R ° is hydrogen or -CC4 alkyl; R7 and R8 are the same or different, hydrogen or -CC4 alkyl, R9 and R10 are the same or different, -CC4 alkyl, optionally in the form of the individual enantiomers, mixtures of the individual enantiomers or racemates, optionally in the form of their acid addition salts with pharmacologically acceptable acids and optionally in the form of the solvates and / or hydrates.

Bevorzugt sind Verbindungen der Formel 1, worin n 1 oder 2, bevorzugt 1 ; A eine zweibindige Gruppe ausgewählt aus der Gruppe bestehend aus -(C=O)-, -S(=O)2- und -C(R4R5)-; B eine zweibindige Gruppe ausgewählt aus der Gruppe bestehend aus -O-, -NR6-, -CH2-, -S-CR7R8-, -NR6-CR7R8-, -CH2-CR7R8-, -O-CR9R10- und -CH=CH-; R1 und R2 gleich oder verschieden, Wasserstoff, Methyl, Ethyl, Propyl, Fluor, Chlor, Brom, OH, Methoxy oder Ethoxy; R3 Wasserstoff, Methyl, Ethyl, Propyl, Fluor, Chlor, Brom, OH, Methoxy, Ethoxy, -COOH, -COOMethyl, -COOEthyl, -O-CH2-COOH, -O-CH2-COO-Methyl, -O-CH2-COO-Ethyl, -O-CH2-CH2-COOH, -O-CH2-CH2-COO-Methyl, -O-CH2-CH2-COO-Ethyl, -O-CH2-CH2-CH2-COOH, -O-CH2-CH2-CH2-COO-Methyl oder -O-CH2-CH2-CH2-COO-Ethyl; R4 und R5 gleich oder verschieden, Wasserstoff, Methyl, Ethyl, OH, Fluor, Chlor, -COOH, -COOMethyl oder -COOEthyl; R6 Wasserstoff, Methyl, Ethyl oder Propyl, bevorzugt Wasserstoff; R7 und R8 gleich oder verschieden, Wasserstoff, Methyl, Ethyl oder Propyl, R9 und R10 gleich oder verschieden, Methyl, Ethyl oder Propyl, bedeuten, gegebenenfalls in Form der einzelnen Enantiomere, Mischungen der einzelnen Enantiomere oder Racemate, gegebenenfalls in Form ihrer Säureadditionssalze mit pharmakologisch unbedenklichen Säuren sowie gegebenenfalls in Form der Solvate und/oder Hydrate.Compounds of formula 1 are preferred in which n is 1 or 2, preferably 1; A is a double-bonded group selected from the group consisting of - (C = O) -, -S (= O)2 - and -C (R4 R5 ) -; B is a double-bonded group selected from the group consisting of -O-, -NR6 -, -CH2 -, -S-CR7 R8 -, -NR6 -CR7 R8 -, -CH2 -CR7 R8 -, -O-CR9 R10 - and -CH = CH-; R1 and R2 are the same or different, hydrogen, methyl, ethyl, propyl, fluorine, chlorine, bromine, OH, methoxy or ethoxy; R3 hydrogen, methyl, ethyl, propyl, fluorine, chlorine, bromine, OH, methoxy, ethoxy, -COOH, -COOMethyl, -COOEthyl, -O-CH2 -COOH, -O-CH2 -COO-methyl, - O-CH2 -COO-ethyl, -O-CH2 -CH2 -COOH, -O-CH2 -CH2 -COO-methyl, -O-CH2 -CH2 -COO-ethyl, -O-CH2 -CH2 -CH2 -COOH, -O-CH2 -CH2 -CH2 -COO-methyl or -O-CH2 -CH2 -CH2 -COO-ethyl; R4 and R5 are the same or different, hydrogen, methyl, ethyl, OH, fluorine, chlorine, -COOH, -COOMethyl or -COOEthyl; R6 is hydrogen, methyl, ethyl or propyl, preferably hydrogen; R7 and R8 are the same or different, hydrogen, methyl, ethyl or propyl, R9 and R10 are the same or different, methyl, ethyl or propyl, optionally in the form of the individual enantiomers, mixtures of the individual enantiomers or racemates, optionally in Form of their acid addition salts with pharmacologically acceptable acids and optionally in the form of the solvates and / or hydrates.

Bevorzugt sind ferner Verbindungen der Formel 1, worin n 1 oder 2, bevorzugt 1;Also preferred are compounds of formula 1, wherein n is 1 or 2, preferably 1;

A eine zweibindige Gruppe ausgewählt aus der Gruppe bestehend aus -(C=O)-, -S(=O)2- und -C(R4R5)-; B eine zweibindige Gruppe ausgewählt aus der Gruppe bestehend aus -O-, -NR6-, -CH2-, -S-CR7R8-, -NR6-CR7R8-, -CH2-CR7R8-, -O-CR9R10- und -CH=CH-; R1 und R2 gleich oder verschieden, Wasserstoff, Methyl, Ethyl, Fluor, Chlor, OH, Methoxy oder Ethoxy;A is a double-bonded group selected from the group consisting of - (C = O) -, -S (= O)2 - and -C (R4 R5 ) -; B is a double-bonded group selected from the group consisting of -O-, -NR6 -, -CH2 -, -S-CR7 R8 -, -NR6 -CR7 R8 -, -CH2 -CR7 R8 -, -O-CR9 R10 - and -CH = CH-; R1 and R2 are the same or different, hydrogen, methyl, ethyl, fluorine, chlorine, OH, methoxy or ethoxy;

R3 Wasserstoff, Methyl, Ethyl, Fluor, Chlor, OH, Methoxy, Ethoxy, -COOH, -COOMethyl, -COOEthyl, -O-CH2-COOH, -O-CH2-COO-Methyl, -O-CH2-COO-Ethyl, -O-CH2-CH2-COOH, -O-CH2-CH2-COO-Methyl oder -O-CH2-CH2-COO-Ethyl; R4 und R5 gleich oder verschieden, Wasserstoff, Methyl, Ethyl, -COOH, -COOMethyl oder -COOEthyl; R6 Wasserstoff, Methyl oder Ethyl;R3 is hydrogen, methyl, ethyl, fluorine, chlorine, OH, methoxy, ethoxy, -COOH, -COOMethyl, -COOEthyl, -O-CH2 -COOH, -O-CH2 -COO-methyl, -O-CH2 -COO-ethyl, -O-CH2 -CH2 -COOH, -O-CH2 -CH2 -COO-methyl or -O-CH2 -CH2 -COO-ethyl; R4 and R5 are the same or different, hydrogen, methyl, ethyl, -COOH, -COOMethyl or -COOEthyl; R6 is hydrogen, methyl or ethyl;

R7 und R8 gleich oder verschieden, Wasserstoff, Methyl oder Ethyl, bevorzugt Wasserstoff oder Methyl, R9 und R10 gleich oder verschieden, Methyl oder Ethyl, bevorzugt Methyl, bedeuten, gegebenenfalls in Form der einzelnen Enantiomere, Mischungen der einzelnen Enantiomere oder Racemate, gegebenenfalls in Form ihrer Säureadditionssalze mit pharmakologisch unbedenklichen Säuren sowie gegebenenfalls in Form der Solvate und/oder Hydrate.R7 and R8 are the same or different, hydrogen, methyl or ethyl, preferably hydrogen or methyl, R9 and R10 are the same or different, methyl or ethyl, preferably methyl, optionally in the form of the individual enantiomers, mixtures of the individual enantiomers or Racemates, optionally in the form of their acid addition salts with pharmacologically acceptable acids and optionally in the form of the solvates and / or hydrates.

Bevorzugt sind ferner Verbindungen der Formel 1, worin n 1 oder 2, bevorzugt 1 ;Also preferred are compounds of formula 1, wherein n is 1 or 2, preferably 1;

A eine zweibindige Gruppe ausgewählt aus der Gruppe bestehend aus -(C=O)-, -S(=O)2- und -C(R4R5)-; B eine zweibindige Gruppe ausgewählt aus der Gruppe bestehend aus -O-, -NH-, -CH2-, -S-CH2-, -NH-CH2-, -CH2-CH2-, -O-CR9R10- und -CH=CH-; R1 und R2 gleich oder verschieden, Wasserstoff, Methyl, Ethyl, Fluor, Chlor, OH, Methoxy oder Ethoxy; R3 Wasserstoff, Methyl, Ethyl, Fluor, Chlor, OH, Methoxy, Ethoxy, -COOH, -COOMethyl, -COOEthyl, -O-CH2-COOH, -O-CH2-COO-Methyl, -O-CH2-COO-Ethyl, -O-CH2-CH2-COOH, -O-CH2-CH2-COO-Methyl oder -O-CH2-CH2-COO-Ethyl; R4 und R5 gleich oder verschieden, Wasserstoff, Methyl, Ethyl, -COOH, -COOMethyl oder -COOEthyl; R9 und R10 gleich oder verschieden, bevorzugt gleich, Methyl oder Ethyl, bevorzugt Methyl, bedeuten, gegebenenfalls in Form der einzelnen Enantiomere, Mischungen der einzelnen Enantiomere oder Racemate, gegebenenfalls in Form ihrer Säureadditionssalze mit pharmakologisch unbedenklichen Säuren sowie gegebenenfalls in Form der Solvate und/oder Hydrate.A is a double-bonded group selected from the group consisting of - (C = O) -, -S (= O)2 - and -C (R4 R5 ) -; B is a double-bonded group selected from the group consisting of -O-, -NH-, -CH2 -, -S-CH2 -, -NH-CH2 -, -CH2 -CH2 -, -O-CR9 R10 - and -CH = CH-; R1 and R2 are the same or different, hydrogen, methyl, ethyl, fluorine, chlorine, OH, methoxy or ethoxy; R3 is hydrogen, methyl, ethyl, fluorine, chlorine, OH, methoxy, ethoxy, -COOH, -COOMethyl, -COOEthyl, -O-CH2 -COOH, -O-CH2 -COO-methyl, -O-CH2 -COO-ethyl, -O-CH2 -CH2 -COOH, -O-CH2 -CH2 -COO-methyl or -O-CH2 -CH2 -COO-ethyl; R4 and R5 are the same or different, hydrogen, methyl, ethyl, -COOH, -COOMethyl or -COOEthyl; R9 and R10 are identical or different, preferably identical, methyl or ethyl, preferably methyl, optionally in the form of the individual enantiomers, mixtures of the individual enantiomers or racemates, optionally in the form of their acid addition salts with pharmacologically acceptable acids and optionally in the form of the solvates and / or hydrates.

Bevorzugt sind ferner Verbindungen der Formel 1, worin n 1 oder 2, bevorzugt 1 ; A eine zweibindige Gruppe ausgewählt aus der Gruppe bestehend aus -(C=O)- und -S(=O)2-; B eine zweibindige Gruppe ausgewählt aus der Gruppe bestehend aus -O-, -NH-, -CH2-, -S-CH2-, -NH-CH2-, -CH2-CH2-, -O-CR9R10- und -CH=CH-; R1 und R2 gleich oder verschieden, Wasserstoff, Methyl, Ethyl, Fluor, Chlor, OH, Methoxy oder Ethoxy;Also preferred are compounds of formula 1, wherein n is 1 or 2, preferably 1; A is a double-bonded group selected from the group consisting of - (C = O) - and -S (= O)2 -; B is a double-bonded group selected from the group consisting of -O-, -NH-, -CH2 -, -S-CH2 -, -NH-CH2 -, -CH2 -CH2 -, -O-CR9 R10 - and -CH = CH-; R1 and R2 are the same or different, hydrogen, methyl, ethyl, fluorine, chlorine, OH, methoxy or ethoxy;

R3 Wasserstoff, Methyl, Ethyl, Fluor, Chlor, OH, Methoxy, Ethoxy, -COOH, -COOMethyl, -COOEthyl, -O-CH2-COOH, -O-CH2-COO-Methyl, -O-CH2-COO-Ethyl, -O-CH2-CH2-COOH, -O-CH2-CH2-COO-Methyl oder -O-CH2-CH2-COO-Ethyl; R9 und R10 gleich oder verschieden, bevorzugt gleich, Methyl oder Ethyl, bevorzugt Methyl, bedeuten, gegebenenfalls in Form der einzelnen Enantiomere, Mischungen der einzelnen Enantiomere oder Racemate, gegebenenfalls in Form ihrer Säureadditionssalze mit pharmakologisch unbedenklichen Säuren sowie gegebenenfalls in Form der Solvate und/oder Hydrate.R3 is hydrogen, methyl, ethyl, fluorine, chlorine, OH, methoxy, ethoxy, -COOH, -COOMethyl, -COOEthyl, -O-CH2 -COOH, -O-CH2 -COO-methyl, -O-CH2 -COO-ethyl, -O-CH2 -CH2 -COOH, -O-CH2 -CH2 -COO-methyl or -O-CH2 -CH2 -COO-ethyl; R9 and R10 are identical or different, preferably identical, methyl or ethyl, preferably methyl, optionally in the form of the individual enantiomers, mixtures of the individual enantiomers or racemates, optionally in the form of their acid addition salts with pharmacologically acceptable acids and optionally in the form of the solvates and / or hydrates.

Bevorzugt sind ferner Verbindungen der Formel 1, worinAlso preferred are compounds of formula 1, wherein

R1 und R2 gleich oder verschieden, Wasserstoff, Methyl, Ethyl, Fluor, Chlor, OH, Methoxy oder Ethoxy; R3 Wasserstoff, bedeutet und worin die Reste n, A und B die vorstehend genannten Bedeutungen haben können, gegebenenfalls in Form der einzelnen Enantiomere, Mischungen der einzelnen Enantiomere oder Racemate, gegebenenfalls in Form ihrer Säureadditionssalze mit pharmakologisch unbedenklichen Säuren sowie gegebenenfalls in Form der Solvate und/oder Hydrate. Bevorzugt sind ferner Verbindungen der Formel 1, worinR1 and R2 are the same or different, hydrogen, methyl, ethyl, fluorine, chlorine, OH, methoxy or ethoxy; R3 is hydrogen, and in which the radicals n, A and B can have the meanings given above, optionally in the form of the individual enantiomers, mixtures of the individual enantiomers or racemates, optionally in the form of their acid addition salts with pharmacologically acceptable acids and optionally in the form of the solvates and / or hydrates. Also preferred are compounds of formula 1, wherein

R1 und R2 gleich oder verschieden, Wasserstoff, Methyl, Fluor, Chlor oder Methoxy;R1 and R2 are the same or different, hydrogen, methyl, fluorine, chlorine or methoxy;

R3 Wasserstoff, Methyl, Fluor, Chlor oder Methoxy, bedeutet und worin die Reste n, A und B die vorstehend genannten Bedeutungen haben können, gegebenenfalls in Form der einzelnen Enantiomere, Mischungen der einzelnenR3 is hydrogen, methyl, fluorine, chlorine or methoxy, and in which the radicals n, A and B can have the meanings given above, optionally in the form of the individual enantiomers, mixtures of the individual

Enantiomere oder Racemate, gegebenenfalls in Form ihrer Säureadditionssalze mit pharmakologisch unbedenklichen Säuren sowie gegebenenfalls in Form der Solvate und/oder Hydrate.Enantiomers or racemates, optionally in the form of their acid addition salts with pharmacologically acceptable acids and optionally in the form of the solvates and / or hydrates.

Bevorzugt sind ferner Verbindungen der Formel 1, worinAlso preferred are compounds of formula 1, wherein

R3 Methyl, Ethyl, Fluor, Chlor, OH, Methoxy, Ethoxy, -COOH, -COOMethyl, -COOEthyl, -O-CH2-COOH, -O-CH2-COOMethyl, -O-CH2-COOEthyl, -O-CH2-CH2-COOH, -O-CH2-CH2-COOMethyl oder -O-CH2-CH2-COOEthyl; bedeutet und worin die Reste n, R1, R2, A, B die vorstehend genannten Bedeutungen haben können, gegebenenfalls in Form der einzelnen Enantiomere, Mischungen der einzelnen Enantiomere oder Racemate, gegebenenfalls in Form ihrer Säureadditionssalze mit pharmakologisch unbedenklichen Säuren sowie gegebenenfalls in Form der Solvate und/oder Hydrate.R3 methyl, ethyl, fluorine, chlorine, OH, methoxy, ethoxy, -COOH, -COOMethyl, -COOEthyl, -O-CH2 -COOH, -O-CH2 -COOMethyl, -O-CH2 -COOEthyl, - O-CH2 -CH2 -COOH, -O-CH2 -CH2 -COOMethyl or -O-CH2 -CH2 -COOEthyl; means and in which the radicals n, R1 , R2 , A, B may have the meanings given above, optionally in the form of the individual enantiomers, mixtures of the individual enantiomers or racemates, optionally in the form of their acid addition salts with pharmacologically acceptable acids and optionally in the form the solvates and / or hydrates.

Bevorzugt sind ferner Verbindungen der Formel 1, worinAlso preferred are compounds of formula 1, wherein

R3 Methyl, Ethyl, OH, Methoxy, Ethoxy, -O-CH2-COOH, -O-CH2-COOMethyl oder -O-CH2-COOEthyl, bevorzugt OH, Methoxy oder Ethoxy, bedeutet und worin die Reste n, R1, R2, A, B die vorstehend genannten Bedeutungen haben können, gegebenenfalls in Form der einzelnen Enantiomere, Mischungen der einzelnen Enantiomere oder Racemate, gegebenenfalls in Form ihrer Säureadditionssalze mit pharmakologisch unbedenklichen Säuren sowie gegebenenfalls in Form der Solvate und/oder Hydrate.R3 denotes methyl, ethyl, OH, methoxy, ethoxy, -O-CH2 -COOH, -O-CH2 -COOMethyl or -O-CH2 -COOEthyl, preferably OH, methoxy or ethoxy, and in which the radicals n, R1 , R2 , A, B can have the meanings given above, optionally in the form of the individual enantiomers, mixtures of the individual enantiomers or racemates, optionally in the form of their acid addition salts with pharmacologically acceptable acids and optionally in the form of the solvates and / or hydrates.

Verbindungen der Formel 1, worin A -(C=O)- und B -CH=CH- bedeuten sind gekennzeichnet durch die allgemeine Formel la

Figure imgf000008_0001
Compounds of formula 1, wherein A - (C = O) - and B -CH = CH- are characterized by the general formula la
Figure imgf000008_0001

Ein bevorzugter Aspekt der vorliegenden Erfindung betrifft Verbindungen der Formel la worin n, R1, R2 und R3 die vorstehend genannten Bedeutungen haben können, gegebenenfalls in Form der einzelnen Enantiomere, Mischungen der einzelnen Enantiomere oder Racemate, gegebenenfalls in Form ihrer Säureadditionssalze mit pharmakologisch unbedenklichen Säuren sowie gegebenenfalls in Form der Solvate und/oder Hydrate.A preferred aspect of the present invention relates to compounds of the formula Ia in which n, R1 , R2 and R3 can have the meanings mentioned above, optionally in the form of the individual enantiomers, mixtures of the individual enantiomers or racemates, optionally in the form of their acid addition salts with pharmacologically harmless acids and optionally in the form of solvates and / or hydrates.

Verbindungen der Formel 1, worin A -(C=O)- und B -CH2-CH2- bedeuten sind gekennzeichnet durch die allgemeine Formel lbCompounds of formula 1, wherein A - (C = O) - and B -CH2 -CH2 - are characterized by the general formula Ib

Figure imgf000008_0002
Figure imgf000008_0002

Ein bevorzugter Aspekt der vorliegenden Erfindung betrifft Verbindungen der Formel lb worin n, R , R und R die vorstehend genannten Bedeutungen haben können, gegebenenfalls in Form der einzelnen Enantiomere, Mischungen der einzelnen Enantiomere oder Racemate, gegebenenfalls in Form ihrer Säureadditionssalze mit pharmakologisch unbedenklichen Säuren sowie gegebenenfalls in Form der Solvate und/oder Hydrate.A preferred aspect of the present invention relates to compounds of the formula Ib in which n, R, R and R can have the meanings given above, optionally in the form of the individual enantiomers, mixtures of the individual enantiomers or racemates, optionally in the form of their acid addition salts with pharmacologically acceptable acids and optionally in the form of the solvates and / or hydrates.

Bevorzugte Regioisomere der Verbindungen der Formel 1 in denen A -(C=O)- und B -C(Methyl)2-O- bedeuten, sind gekennzeichnet durch die allgemeine Formel lcPreferred regioisomers of the compounds of formula 1 in which A - (C = O) - and B are -C (methyl)2 -O- are characterized by the general formula Ic

Figure imgf000008_0003
Ein bevorzugter Aspekt der vorliegenden Erfindung betrifft Verbindungen der Formel lc worin n, R1 , R2 und R3 die vorstehend genannten Bedeutungen haben können, gegebenenfalls in Form der einzelnen Enantiomere, Mischungen der einzelnen Enantiomere oder Racemate, gegebenenfalls in Form ihrer Säureadditionssalze mit pharmakologisch unbedenklichen Säuren sowie gegebenenfalls in Form der Solvate und/oder Hydrate.
Figure imgf000008_0003
A preferred aspect of the present invention relates to compounds of the formula lc in which n, R1 , R2 and R3 can have the meanings mentioned above, optionally in the form of the individual enantiomers, mixtures of the individual enantiomers or racemates, optionally in the form of their acid addition salts with pharmacologically harmless acids and optionally in the form of solvates and / or hydrates.

Bevorzugte Regioisomere der Verbindungen der Formel 1_ in denen A -(C=O)- und B -CH2-NH- bedeuten, sind gekennzeichnet durch die allgemeine Formel ldPreferred regioisomers of the compounds of the formula 1_ in which A - (C = O) - and B are -CH2 -NH- are characterized by the general formula ID

Figure imgf000009_0001
Figure imgf000009_0001

Ein bevorzugter Aspekt der vorliegenden Erfindung betrifft Verbindungen der Formel ld worin n, R1, R2 und R3 die vorstehend genannten Bedeutungen haben können, gegebenenfalls in Form der einzelnen Enantiomere, Mischungen der einzelnen Enantiomere oder Racemate, gegebenenfalls in Form ihrer Säureadditionssalze mit pharmakologisch unbedenklichen Säuren sowie gegebenenfalls in Form der Solvate und/oder Hydrate.A preferred aspect of the present invention relates to compounds of the formula Id in which n, R1 , R2 and R3 can have the meanings mentioned above, optionally in the form of the individual enantiomers, mixtures of the individual enantiomers or racemates, optionally in the form of their acid addition salts with pharmacologically harmless acids and optionally in the form of solvates and / or hydrates.

Bevorzugte Regioisomere der Verbindungen der Formel 1 in denen A -(C=O)- und B -CH2-S- bedeuten, sind gekennzeichnet durch die allgemeine Formel lePreferred regioisomers of the compounds of formula 1 in which A - (C = O) - and B are -CH2 -S- are characterized by the general formula le

Figure imgf000009_0002
Figure imgf000009_0002

Ein bevorzugter Aspekt der vorliegenden Erfindung betrifft Verbindungen der Formel le 1 9 " worin n, R , R und R die vorstehend genannten Bedeutungen haben können, gegebenenfalls in Form der einzelnen Enantiomere, Mischungen der einzelnen Enantiomere oder Racemate, gegebenenfalls in Form ihrer Säureadditionssalze mit pharmakologisch unbedenklichen Säuren sowie gegebenenfalls in Form der Solvate und/oder Hydrate. Verbindungen der Formel 1 in denen A -(C=O)- und B -NH- bedeuten, sind gekennzeichnet durch die allgemeine Formel lgA preferred aspect of the present invention relates to compounds of the formula le 19 "in which n, R, R and R can have the meanings mentioned above, optionally in the form of the individual enantiomers, mixtures of the individual enantiomers or racemates, optionally in the form of their acid addition salts with pharmacologically harmless acids and optionally in the form of solvates and / or hydrates. Compounds of formula 1 in which A - (C = O) - and B are -NH- are characterized by the general formula Ig

Figure imgf000010_0001
Figure imgf000010_0001

Ein bevorzugter Aspekt der vorliegenden Erfindung betrifft Verbindungen der Formel lg worin n, R1, R2 und R3 die vorstehend genannten Bedeutungen haben können, gegebenenfalls in Form der einzelnen Enantiomere, Mischungen der einzelnen Enantiomere oder Racemate, gegebenenfalls in Form ihrer Säureadditionssalze mit pharmakologisch unbedenklichen Säuren sowie gegebenenfalls in Form der Solvate und/oder Hydrate.A preferred aspect of the present invention relates to compounds of the formula Ig in which n, R1 , R2 and R3 can have the meanings given above, optionally in the form of the individual enantiomers, mixtures of the individual enantiomers or racemates, optionally in the form of their acid addition salts with pharmacologically harmless acids and optionally in the form of solvates and / or hydrates.

Verbindungen der Formel 1 in denen A -(C=O)- und B -O- bedeuten, sind gekennzeichnet durch die allgemeine Formel lhCompounds of formula 1 in which A - (C = O) - and B are -O- are characterized by the general formula lh

Figure imgf000010_0002
Figure imgf000010_0002

Ein bevorzugter Aspekt der vorliegenden Erfindung betrifft Verbindungen der Formel lh worin n, R1 , R2 und R3 die vorstehend genannten Bedeutungen haben können, gegebenenfalls in Form der einzelnen Enantiomere, Mischungen der einzelnen Enantiomere oder Racemate, gegebenenfalls in Form ihrer Säureadditionssalze mit pharmakologisch unbedenklichen Säuren sowie gegebenenfalls in Form der Solvate und/oder Hydrate.A preferred aspect of the present invention relates to compounds of the formula lh in which n, R1 , R2 and R3 can have the meanings mentioned above, optionally in the form of the individual enantiomers, mixtures of the individual enantiomers or racemates, optionally in the form of their acid addition salts with pharmacologically harmless acids and optionally in the form of solvates and / or hydrates.

Verbindungen der Formel 1_ in denen A -CR4R5- und B -CH2- bedeuten, sind gekennzeichnet durch die allgemeine Formel li

Figure imgf000011_0001
Compounds of formula 1_ in which A is -CR4 R5 - and B is -CH2 - are characterized by the general formula li
Figure imgf000011_0001

Ein bevorzugter Aspekt der vorliegenden Erfindung betrifft Verbindungen der Formel li worin n, R1, R2, R3, R4 und R5 die vorstehend genannten Bedeutungen haben können, gegebenenfalls in Form der einzelnen Enantiomere, Mischungen der einzelnen Enantiomere oder Racemate, gegebenenfalls in Form ihrer Säureadditionssalze mit pharmakologisch unbedenklichen Säuren sowie gegebenenfalls in Form der Solvate und/oder Hydrate.A preferred aspect of the present invention relates to compounds of the formula li wherein n, R1 , R2 , R3 , R4 and R5 may have the meanings given above, optionally in the form of the individual enantiomers, mixtures of the individual enantiomers or racemates, if appropriate in the form of their acid addition salts with pharmacologically acceptable acids and optionally in the form of the solvates and / or hydrates.

Bevorzugt sind solcher Verbindungen der Formel li, in denen R4 Wasserstoff bedeutet und R5 eine der vorstehend genannten Bedeutungen aufweisen kann, gegebenenfalls in Form der einzelnen Enantiomere, Mischungen der einzelnen Enantiomere oder Racemate, gegebenenfalls in Form ihrer Säureadditionssalze mit pharmakologisch unbedenklichen Säuren sowie gegebenenfalls in Form der Solvate und/oder Hydrate.Preferred compounds of the formula Ii in which R4 is hydrogen and R5 can have one of the meanings mentioned above, optionally in the form of the individual enantiomers, mixtures of the individual enantiomers or racemates, optionally in the form of their acid addition salts with pharmacologically acceptable acids and, if appropriate in the form of solvates and / or hydrates.

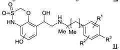
Bevorzugte Regioisomere der Verbindungen der Formel 1 in denen A -SO2- und BPreferred regioisomers of the compounds of formula 1 in which A -SO2 - and B

-CH2-O- bedeuten, sind gekennzeichnet durch die allgemeine Formel-CH2 -O- are characterized by the general formula

Figure imgf000011_0002
Figure imgf000011_0002

Ein bevorzugter Aspekt der vorliegenden Erfindung betrifft Verbindungen der Formel lj worin n, R1, R2 und R3 die vorstehend genannten Bedeutungen haben können, gegebenenfalls in Form der einzelnen Enantiomere, Mischungen der einzelnen Enantiomere oder Racemate, gegebenenfalls in Form ihrer Säureadditionssalze mit pharmakologisch unbedenklichen Säuren sowie gegebenenfalls in Form der Solvate und/oder Hydrate. In den Verbindungen der Formel 1_ kann die Hydroxylfunktion an 3 Positionen des Phenylrings verknüpft sein. Bevorzugt sind erfindungs gemäß diejenigen Regioisomere der allgemeinen Formel 1, in denen die Hydroxylfunktion entweder gemäß der allgemeinen Formel regio-1A preferred aspect of the present invention relates to compounds of the formula Ij in which n, R1 , R2 and R3 can have the meanings given above, optionally in the form of the individual enantiomers, mixtures of the individual enantiomers or racemates, optionally in the form of their acid addition salts with pharmacologically harmless acids and optionally in the form of solvates and / or hydrates. In the compounds of formula 1_ the hydroxyl function can be linked at 3 positions on the phenyl ring. According to the invention, preference is given to those regioisomers of general formula 1 in which the hydroxyl function is either according to general formula regio-1

Figure imgf000012_0001
resio-X oder gemäß der allgemeinen Formel reεio-2
Figure imgf000012_0001
resio-X or according to the general formula reεio-2

Figure imgf000012_0002
regio-2 verknüpft ist, wobei die Reste A, B, R1, R2 und R3 die vorstehend genannten Bedeutungen haben können, gegebenenfalls in Form der einzelnen Enantiomere, Mischungen der einzelnen Enantiomere oder Racemate, gegebenenfalls in Form ihrer Säureadditionssalze mit pharmakologisch unbedenklichen Säuren sowie gegebenenfalls in Form der Solvate und/oder Hydrate. Besonders bevorzugte Verbindungen der vorliegenden Erfindungen sind 1 7 'X
Figure imgf000012_0002
regio-2 is linked, where the radicals A, B, R1 , R2 and R3 may have the meanings given above, optionally in the form of the individual enantiomers, mixtures of the individual enantiomers or racemates, optionally in the form of their acid addition salts with pharmacologically acceptable Acids and optionally in the form of the solvates and / or hydrates. Particularly preferred compounds of the present inventions are 17 'X

Verbindungen der Formel reεio-2, wobei die Reste A, B, R , R und R die vorstehend genannten Bedeutungen haben können, gegebenenfalls in Form der einzelnenCompounds of the formula reεio-2, where the radicals A, B, R, R and R can have the meanings given above, optionally in the form of the individual

Enantiomere, Mischungen der einzelnen Enantiomere oder Racemate, gegebenenfalls in Form ihrer Säureadditionssalze mit pharmakologisch unbedenklichen Säuren sowie gegebenenfalls in Form der Solvate und/oder Hydrate.Enantiomers, mixtures of the individual enantiomers or racemates, optionally in the form of their acid addition salts with pharmacologically acceptable acids and optionally in the form of the solvates and / or hydrates.

Von besonderer Bedeutung sind dementsprechend Verbindungen der Formel la in denen die Hydroxylfunktion entsprechend der allgemeinen Formel regio-2aAccordingly, compounds of the formula Ia in which the hydroxyl function corresponds to the general formula regio-2a are of particular importance

Figure imgf000012_0003
reεio-2a verknüpft ist und in denen n, R1, R2 und R3 die vorstehend genannten Bedeutungen haben können, gegebenenfalls in Form der einzelnen Enantiomere, Mischungen der einzelnen Enantiomere oder Racemate, gegebenenfalls in Form ihrer Säureadditionssalze mit pharmakologisch unbedenklichen Säuren sowie gegebenenfalls in Form der Solvate und/oder Hydrate.
Figure imgf000012_0003
reεio-2a is linked and in which n, R1 , R2 and R3 can have the meanings given above, optionally in the form of the individual enantiomers, mixtures of the individual enantiomers or racemates, optionally in the form of their acid addition salts with pharmacologically acceptable acids and optionally in the form of Solvates and / or hydrates.

Von besonderer Bedeutung sind dementsprechend Verbindungen der Formel lb in denen die Hydroxylfunktion entsprechend der allgemeinen Formel reεio-2bAccordingly, compounds of the formula Ib are particularly important in which the hydroxyl function corresponds to the general formula reεio-2b

Figure imgf000013_0001
resio-2b verknüpft ist und in denen n, R1, R2 und R3 die vorstehend genannten Bedeutungen haben können, gegebenenfalls in Form der einzelnen Enantiomere, Mischungen der einzelnen Enantiomere oder Racemate, gegebenenfalls in Form ihrer Säureadditionssalze mit pharmakologisch unbedenklichen Säuren sowie gegebenenfalls in Form der Solvate und/oder Hydrate.
Figure imgf000013_0001
resio-2b is linked and in which n, R1 , R2 and R3 can have the meanings given above, optionally in the form of the individual enantiomers, mixtures of the individual enantiomers or racemates, optionally in the form of their acid addition salts with pharmacologically acceptable acids and optionally in the form of solvates and / or hydrates.

Von besonderer Bedeutung sind dementsprechend Verbindungen der Formel lc in denen die Hydroxylfunktion entsprechend der allgemeinen Formel reεio-2cAccordingly, compounds of the formula lc in which the hydroxyl function corresponds to the general formula reεio-2c are of particular importance

Figure imgf000013_0002
reεio-2c verknüpft ist und in denen n, R1, R2 und R3 die vorstehend genannten Bedeutungen haben können, gegebenenfalls in Form der einzelnen Enantiomere, Mischungen der einzelnen Enantiomere oder Racemate, gegebenenfalls in Form ihrer Säureadditionssalze mit pharmakologisch unbedenklichen Säuren sowie gegebenenfalls in Form der Solvate und oder Hydrate. Von besonderer Bedeutung sind dementsprechend Verbindungen der Formel ld in denen die Hydroxylfunktion entsprechend der allgemeinen Formel reεio-2d
Figure imgf000013_0002
reεio-2c is linked and in which n, R1 , R2 and R3 can have the meanings given above, optionally in the form of the individual enantiomers, mixtures of the individual enantiomers or racemates, optionally in the form of their acid addition salts with pharmacologically acceptable acids and optionally in the form of solvates and or hydrates. Accordingly, compounds of the formula Id are of particular importance in which the hydroxyl function corresponds to the general formula reεio-2d

Figure imgf000014_0001
reεio-2d verknüpft ist und in denen n, R1, R2 und R3 die vorstehend genannten Bedeutungen haben können, gegebenenfalls in Form der einzelnen Enantiomere, Mischungen der einzelnen Enantiomere oder Racemate, gegebenenfalls in Form ihrer Säureadditionssalze mit pharmakologisch unbedenklichen Säuren sowie gegebenenfalls in Form der Solvate und/oder Hydrate.
Figure imgf000014_0001
reεio-2d is linked and in which n, R1 , R2 and R3 can have the meanings given above, optionally in the form of the individual enantiomers, mixtures of the individual enantiomers or racemates, optionally in the form of their acid addition salts with pharmacologically acceptable acids and optionally in the form of solvates and / or hydrates.

Von besonderer Bedeutung sind dementsprechend Verbindungen der Formel le in denen die Hydroxylfunktion entsprechend der allgemeinen Formel reεio-2eAccordingly, compounds of the formula le are particularly important in which the hydroxyl function corresponds to the general formula reεio-2e

Figure imgf000014_0002
reεio-2e verknüpft ist und in denen n, R1, R2 und R3 die vorstehend genannten Bedeutungen haben können, gegebenenfalls in Form der einzelnen Enantiomere, Mischungen der einzelnen Enantiomere oder Racemate, gegebenenfalls in Form ihrer Säureadditionssalze mit pharmakologisch unbedenklichen Säuren sowie gegebenenfalls in Form der Solvate und/oder Hydrate.
Figure imgf000014_0002
reεio-2e and in which n, R1 , R2 and R3 can have the meanings given above, optionally in the form of the individual enantiomers, mixtures of the individual enantiomers or racemates, optionally in the form of their acid addition salts with pharmacologically acceptable acids and, if appropriate in the form of solvates and / or hydrates.

Von besonderer Bedeutung sind dementsprechend Verbindungen der Formel lg in denen die Hydroxylfunktion entsprechend der allgemeinen Formel reεio-2z

Figure imgf000015_0001
reεio-22. verknüpft ist und in denen n, R1, R2 und R3 die vorstehend genannten Bedeutungen haben können, gegebenenfalls in Form der einzelnen Enantiomere, Mischungen der einzelnen Enantiomere oder Racemate, gegebenenfalls in Form ihrer Säureadditionssalze mit pharmakologisch unbedenklichen Säuren sowie gegebenenfalls in Form der Solvate und/oder Hydrate.Accordingly, compounds of the formula Ig are particularly important in which the hydroxyl function corresponds to the general formula reεio-2z
Figure imgf000015_0001
reεio-22nd is linked and in which n, R1 , R2 and R3 can have the meanings given above, optionally in the form of the individual enantiomers, mixtures of the individual enantiomers or racemates, optionally in the form of their acid addition salts with pharmacologically acceptable acids and optionally in the form of Solvates and / or hydrates.

Von besonderer Bedeutung sind dementsprechend Verbindungen der Formel lh in denen die Hydroxylfunktion entsprechend der allgemeinen Formel reεio-2hAccordingly, compounds of the formula Ih in which the hydroxyl function corresponds to the general formula reεio-2h are of particular importance

reεio-2 verknüpft ist und in denen n, R , R und R die vorstehend genannten Bedeutungen haben können, gegebenenfalls in Form der einzelnen Enantiomere, Mischungen der einzelnen Enantiomere oder Racemate, gegebenenfalls in Form ihrer Säureadditionssalze mit pharmakologisch unbedenklichen Säuren sowie gegebenenfalls in Form der Solvate und/oder Hydrate. reεio-2 is linked and in which n, R, R and R can have the meanings given above, optionally in the form of the individual enantiomers, mixtures of the individual enantiomers or racemates, optionally in the form of their acid addition salts with pharmacologically acceptable acids and optionally in the form of Solvates and / or hydrates.

Von besonderer Bedeutung sind dementsprechend Verbindungen der Formel li in denen die Hydroxylfunktion entsprechend der allgemeinen

Figure imgf000015_0003
Figure imgf000016_0001
reεio-2\ verknüpft ist und in denen n, R1, R2, R3, R4 und R5 die vorstehend genannten Bedeutungen haben können, gegebenenfalls in Form der einzelnen Enantiomere, Mischungen der einzelnen Enantiomere oder Racemate, gegebenenfalls in Form ihrer Säureadditionssalze mit pharmakologisch unbedenklichen Säuren sowie gegebenenfalls in Form der Solvate und/oder Hydrate.Accordingly, compounds of the formula Ii in which the hydroxyl function corresponds to the general are of particular importance
Figure imgf000015_0003
Figure imgf000016_0001
reεio-2 \ is linked and in which n, R1 , R2 , R3 , R4 and R5 may have the meanings given above, optionally in the form of the individual enantiomers, mixtures of the individual enantiomers or racemates, optionally in the form of their Acid addition salts with pharmacologically acceptable acids and optionally in the form of the solvates and / or hydrates.

Von besonderer Bedeutung sind dementsprechend Verbindungen der Formel lj in denen die Hydroxylfunktion entsprechend der allgemeinen Formel reεio-2\Accordingly, compounds of the formula Ij in which the hydroxyl function corresponds to the general formula reεio-2 \ are of particular importance

Figure imgf000016_0002
reεio-2\ verknüpft ist und in denen n, R1, R2 und R3 die vorstehend genannten Bedeutungen haben können, gegebenenfalls in Form der einzelnen Enantiomere, Mischungen der einzelnen Enantiomere oder Racemate, gegebenenfalls in Form ihrer Säureadditionssalze mit pharmakologisch unbedenklichen Säuren sowie gegebenenfalls in Form der Solvate und/oder Hydrate.
Figure imgf000016_0002
reεio-2 \ is linked and in which n, R1 , R2 and R3 can have the meanings given above, optionally in the form of the individual enantiomers, mixtures of the individual enantiomers or racemates, optionally in the form of their acid addition salts with pharmacologically acceptable acids and optionally in the form of the solvates and / or hydrates.

In den Verbindungen der Formel 1 können die Reste R1 und R2, sofern sie nicht Wasserstoff bedeuten, jeweils ortho oder meta bezüglich der Verknüpfung zur benzylischen "-CH2"-Gruppe angeordnet sein. Wenn keiner der Reste R1 und R2 Wasserstoff bedeutet, ist die erfindungsgemäße Verwendung derjenigen Verbindungen der 1 7 1In the compounds of formula 1, the radicals R1 and R2 , if they are not hydrogen, can each be arranged ortho or meta with respect to the linkage to the benzylic “-CH2 ” group. If none of the radicals R1 and R2 is hydrogen, the use according to the invention of those compounds is 1 7 1

Formel 1 bevorzugt, in denen beide Reste R und R entweder ortho oder beide Reste R und R2 meta konfiguriert sind, wobei der Verwendung derjenigen Verbindungen, in denen beide Reste R Λ . u._ndJ τ R>2 ortho-konfiguriert sind, besondere Bedeutung zukommt. In den Verbindungen der Formel 1 in denen einer der Reste R1 und R2 nicht Wasserstoff bedeutet, kann dieser ortho oder meta bezüglich der Verknüpfung zur benzylischen "-CH2"-Gruppe angeordnet sein. In diesem Fall ist insbesondere die erfindungsgemäße Verwendung derjenigen Verbindungen der Formel 1 bevorzugt, in denen der Rest R1 oder R2 , der nicht Wasserstoff bedeutet, ortho-konfiguriert ist.Formula 1 preferred, in which both radicals R and R are either ortho or both radicals R and R2 are configured meta, the use of those compounds in which both radicals R Λ. u._ndJ τ R> 2 are ortho-configured, are of particular importance. In the compounds of formula 1 in which one of the radicals R1 and R2 is not hydrogen, this can be arranged ortho or meta with respect to the linkage to the benzylic “-CH2 ” group. In this case, the use according to the invention of those compounds of the formula 1 in which the radical R1 or R2 which is not hydrogen is ortho-configured is particularly preferred.

Besonders bevorzugt sind femer Verbindungen der allgemeinen Formel 1, die ausgewählt sind aus der Gruppe bestehend aus - 8-Hydroxy-5- { 1 -hydroxy-2-[2-(4-methoxy-phenyl)- 1 , 1 -dimethyl-ethylamino]- ethyl} -lH-chinolin-2-on; - 5-{2-[2-(2,4-Difluor-phenyl)-l,l-dimethyl-ethylamino]-l-hydroxy-ethyl}-8- hydroxy-3,4-dihydro-lH-chinolin-2-on; - 8-Hydroxy-5- { 1 -hydroxy-2-[2-(4-hydroxy-phenyl)- 1 , 1 -dimethyl-ethylamino]-ethyl} - 1 H-chinolin-2-on; - 5- {2-[2-(4-Fluor-phenyl)- 1 , 1 -dimethyl-ethylamino]- 1 -hydroxy-ethyl} -8-hydroxy- 3 ,4-dihydro- 1 H-chinolin-2-on; - 7-Hydroxy-5- { 1 -hydroxy-2-[2-(4-methoxy-phenyl)- 1 , 1 -dimethyl-ethylamino] - ethyl} - 1 H-chinolin-2-on; - 5-{2-[2-(3,5 -Difiuor-phenyl)- 1 , 1 -dimethyl-ethylamino] - 1 -hydroxy-ethyl} -7- hydroxy-lH-chinolin-2-on; - 7-Hydroxy-5- { 1 -hydroxy-2-[2-(4-methoxy-phenyl)- 1 , 1 -dimethyl-ethylamino] - ethyl} -3,4-dihydro- lH-chinolin-2-on; - 5 - {2-[2-(4-Ethoxy-phenyl)- 1 , 1 -dimethyl-ethylamino] - 1 -hydroxy-ethyl} -7-hydroxy- 3 ,4-dihydro- 1 H-chinolin-2-on; - 4-Hydroxy-7- { 1 -hydroxy-2-[2-(4-methoxy-phenyl)- 1 , 1 -dimethyl-ethylamino] - ethyl} -3H-benzooxazol-2-on; - 4-Hydroxy-7- { 1 -hydroxy-2-[2-(4-hydroxy-phenyl)- 1 , 1 -dimethyl-ethylamino]-ethyl} - 3H-benzooxazol-2-on; - 5-Hydroxy-8- { 1 -hydroxy-2-[2-(4-hydroxy-phenyl)- 1 , 1 -dimethyl-ethylamino]-ethyl} - 2,2-dimethyl-4H-benzo[ 1 ,4]oxazin-3-on; - 5-Hydroxy-7- { 1 -hydroxy-2-[2-(4-methoxy-phenyl)-l , 1 -dimethyl-ethylamino] - ethyl} -3H-benzooxazol-2-on; - 7-{2-[2-(4-Ethoxy-phenyl)-l,l-dimethyl-ethylamino]-l-hydroxy-ethyl}-5-hydroxy 3H-benzooxazol-2-on; - 6-Hydroxy-8- { 1 -hydroxy-2-[2-(4-methoxy-phenyl)-l , 1 -dimethyl-ethylamino] - ethyl}-2,2-dimethyl-4H-benzo[l,4]oxazin-3-on; - 8- {2-[2-(4-Fluor-phenyl)- 1 , 1 -dimethyl-ethylamino]- 1 -hydroxy-ethyl} -6-hydroxy 2,2-dimethyl-4H-benzo[ 1 ,4]oxazin-3-on und - 5-Hydroxy-8- { 1 -hydroxy-2-[2-(4-methoxy-phenyl)- 1 , 1 -dimethyl-ethylamino] - ethyl} -2,2-dimethyl-4H-benzo[ 1 ,4]oxazin-3-on, gegebenenfalls in Form der einzelnen Enantiomere, Mischungen der einzelnen Enantiomere oder Racemate, gegebenenfalls in Form ihrer Säureadditionssalze mit pharmakologisch unbedenklichen Säuren sowie gegebenenfalls in Form der Solvate und/oder Hydrate.Also particularly preferred are compounds of general formula 1 which are selected from the group consisting of - 8-hydroxy-5- {1-hydroxy-2- [2- (4-methoxyphenyl) -1,1-dimethylethylamino ] - ethyl} -IH-quinolin-2-one; - 5- {2- [2- (2,4-difluorophenyl) -1, l-dimethyl-ethylamino] -l-hydroxyethyl} -8-hydroxy-3,4-dihydro-1H-quinoline-2 -one; - 8-hydroxy-5- {1-hydroxy-2- [2- (4-hydroxyphenyl) -1,1-dimethylethylamino] ethyl} - 1 H-quinolin-2-one; - 5- {2- [2- (4-fluoro-phenyl) -1,1-dimethyl-ethylamino] -1-hydroxy-ethyl} -8-hydroxy-3,4,4-dihydro-1 H-quinoline-2- one; - 7-Hydroxy-5- {1-hydroxy-2- [2- (4-methoxyphenyl) -1,1-dimethylethylamino] ethyl} - 1 H-quinolin-2-one; - 5- {2- [2- (3,5-difluorophenyl) -1,1-dimethylethylamino] -1-hydroxyethyl} -7-hydroxy-1H-quinolin-2-one; - 7-Hydroxy-5- {1-hydroxy-2- [2- (4-methoxyphenyl) -1,1-dimethylethylamino] ethyl} -3,4-dihydro-1H-quinolin-2-one ; - 5 - {2- [2- (4-ethoxyphenyl) -1,1-dimethylethylamino] -1-hydroxyethyl} -7-hydroxy-3,4-dihydro-1 H-quinoline-2- one; - 4-Hydroxy-7- {1-hydroxy-2- [2- (4-methoxyphenyl) -1,1-dimethylethylamino] ethyl} -3H-benzooxazol-2-one; - 4-Hydroxy-7- {1-hydroxy-2- [2- (4-hydroxyphenyl) -1,1-dimethylethylamino] ethyl} - 3H-benzooxazol-2-one; - 5-Hydroxy-8- {1-hydroxy-2- [2- (4-hydroxyphenyl) -1,1-dimethylethylamino] ethyl} - 2,2-dimethyl-4H-benzo [1,4 ] oxazin-3-one; - 5-Hydroxy-7- {1-hydroxy-2- [2- (4-methoxyphenyl) -1, 1 -dimethylethylamino] ethyl} -3H-benzooxazol-2-one; - 7- {2- [2- (4-ethoxyphenyl) -1, l-dimethylethylamino] -1-hydroxyethyl} -5-hydroxy 3H-benzooxazol-2-one; - 6-Hydroxy-8- {1-hydroxy-2- [2- (4-methoxyphenyl) -1, 1-dimethylethylamino] ethyl} -2,2-dimethyl-4H-benzo [1,4 ] oxazin-3-one; - 8- {2- [2- (4-fluoro-phenyl) -1,1-dimethylethylamino] -1-hydroxyethyl} -6-hydroxy 2,2-dimethyl-4H-benzo [1,4] oxazin-3-one and - 5-hydroxy-8- {1-hydroxy-2- [2- (4-methoxyphenyl) -1,1-dimethylethylamino] ethyl} -2,2-dimethyl-4H -benzo [1, 4] oxazin-3-one, optionally in the form of the individual enantiomers, mixtures of the individual enantiomers or racemates, optionally in the form of their acid addition salts with pharmacologically acceptable acids and optionally in the form of the solvates and / or hydrates.

Ein weiterer Aspekt der vorliegenden Erfindung betrifft die vorstehend genannten neuen Verbindungen der Formel 1 als Arzneimittel. Die vorliegende Erfindung betrifft femer die Verwendung der vorstehend genannten Verbindungen der allgemeinen Formel 1 zur Herstellung eines Arzneimittels zur Behandlung von Atemwegserkrankungen.Another aspect of the present invention relates to the above-mentioned new compounds of formula 1 as medicaments. The present invention further relates to the use of the aforementioned compounds of general formula 1 for the manufacture of a medicament for the treatment of respiratory diseases.

Die vorliegende Erfindung betrifft bevorzugt die Verwendung der vorstehend genannten Verbindungen der allgemeinen Formel 1 zur Herstellung eines Arzneimittels zur Behandlung von Atemwegserkrankungen, die ausgewählt sind aus der Gruppe bestehend aus Obstruktive Lungenerkrankungen unterschiedlicher Genese, Lungenemphyseme unterschiedlicher Genese, Restriktive Lungenerkrankungen, InterstitielleThe present invention preferably relates to the use of the above-mentioned compounds of general formula 1 for the manufacture of a medicament for the treatment of respiratory diseases, which are selected from the group consisting of obstructive lung diseases of different origins, emphysema of different origins, restrictive pulmonary diseases, interstitials

Lungenerkrankungen, Zystische Fibröse, Bronchitiden unterschiedlicher Genese, Bronchiektasen, ARDS (adult respiratory distress syndrom) und alle Formen des Lungenödems.Lung diseases, cystic fibrosis, bronchitis of various origins, bronchiectasis, ARDS (adult respiratory distress syndrome) and all forms of pulmonary edema.

Bevorzugt ist die Verwendung von Verbindungen der allgemeinen Formel 1 zurPreferred is the use of compounds of general formula 1 for

Herstellung eines Arzneimittels zur Behandlung von Obstruktive Lungenerkrankungen die ausgewählt sind aus der Gruppe bestehend aus COPD (chronisch obstruktive pulmonale Erkrankung), Asthma Bronchiale, pädiatrisches Asthma, schweres Asthma, akuter Asthma- Anfall und chronische Bronchitis, wobei die Verwendung zur Herstellung eines Arzneimittels zur Behandlung von Asthma Bronchiale erfindungsgemäß besonders bevorzugt ist.Manufacture of a medicament for the treatment of obstructive pulmonary diseases which are selected from the group consisting of COPD (chronic obstructive pulmonary disease), bronchial asthma, pediatric asthma, severe asthma, acute asthma attack and chronic bronchitis, the use of which for the manufacture of a medicament for the treatment bronchial asthma is particularly preferred according to the invention.

Bevorzugt ist femer die Verwendung von Verbindungen der allgemeinen Formel 1 zur Herstellung eines Arzneimittels zur Behandlung von Lungenemphysemen, die ihren Ursprung haben in COPD (chronisch obstruktive pulmonale Erkrankung) oder αl- Proteinase-Inhibitor-Mangel.Preference is furthermore given to the use of compounds of the general formula 1 for the manufacture of a medicament for the treatment of pulmonary emphysema which have their origin in COPD (chronic obstructive pulmonary disease) or α1- Proteinase inhibitor deficiency.

Bevorzugt ist femer die Verwendung von Verbindungen der allgemeinen Formel 1 zur Herstellung eines Arzneimittels zur Behandlung von Restriktiven Lungenerkrankungen, die ausgewählt sind aus der Gmppe bestehend aus Allergische Alveolitis, durch bemfliche Noxen ausgelöste restriktive Lungenerkrankungen wie Asbestose oder Silikose und Restriktion aufgrund von Lungentumoren, wie beispielsweise Lymphangiosis carcinomatosa, bronchoalveoläres Karzinom und Lymphome.Preference is furthermore given to the use of compounds of the general formula 1 for the manufacture of a medicament for the treatment of restrictive lung diseases, which are selected from the group consisting of allergic alveolitis, restrictive lung diseases such as asbestosis or silicosis triggered by noxious agents and restriction due to lung tumors, such as for example Carcinomatous lymphangiosis, bronchoalveolar carcinoma and lymphoma.

Bevorzugt ist femer die Verwendung von Verbindungen der allgemeinen Formel 1 zur Herstellung eines Arzneimittels zur Behandlung von Interstitiellen Lungenerkrankungen, die ausgewählt sind aus der Gmppe bestehend aus infektiös bedingte Pneumonien, wie beispielsweise aufgrund einer Infektion mit Viren, Bakterien, Pilzen, Protozoen, Helminthen oder anderen Erregem, Pneumonitis aufgrund unterschiedlicher Genese, wie beispielsweise Aspiration und Linksherzinsuffizienz, Strahlen-induzierte Pneumonitis oder Fibröse, Kollagenosen, wie beispielsweise Lupus erythematodes, systemische Sklerodermie oder Sarkoidose, Granulomatosen, wie beispielsweise Morbus Boeck, idiopathische interstitielle Pneumonie oder idiopathische pulmonäre Fibröse (LPF).Preference is furthermore given to the use of compounds of general formula 1 for the manufacture of a medicament for the treatment of interstitial lung diseases which are selected from the group consisting of infectious pneumonia, such as, for example, due to an infection with viruses, bacteria, fungi, protozoa, helminths or others Excitation, pneumonitis due to different genesis, such as aspiration and left heart failure, radiation-induced pneumonitis or fibrosis, collagenosis, such as lupus erythematosus, systemic scleroderma or sarcoidosis, granulomatosis, such as Boeck's disease, idiopathic interstitial pneumonia or idiopathic pulmonary fibrosis (fibrosis).

Bevorzugt ist femer die Verwendung von Verbindungen der allgemeinen Formel 1 zur Herstellung eines Arzneimittels zur Behandlung von Zystischer Fibröse bzw. Mukoviszidose.It is also preferred to use compounds of general formula 1 for the manufacture of a medicament for the treatment of cystic fibrosis or cystic fibrosis.

Bevorzugt ist femer die Verwendung von Verbindungen der allgemeinen Formel 1 zur Herstellung eines Arzneimittels zur Behandlung von Bronchitiden, wie beispielsweise Bronchitis aufgrund bakterieller oder viraler Infektion, Allergische Bronchitis und Toxische Bronchitis.It is also preferred to use compounds of general formula 1 for the manufacture of a medicament for the treatment of bronchitis, such as, for example, bronchitis due to bacterial or viral infection, allergic bronchitis and toxic bronchitis.

Bevorzugt ist femer die Verwendung von Verbindungen der allgemeinen Formel 1 zur Herstellung eines Arzneimittels zur Behandlung von Bronchiektasen.It is also preferred to use compounds of general formula 1 for the manufacture of a medicament for the treatment of bronchiectasis.

Bevorzugt ist femer die Verwendung von Verbindungen der allgemeinen Formel 1 zur Herstellung eines Arzneimittels zur Behandlung von ARDS (adult respiratory distress syndrom). Bevorzugt ist femer die Verwendung von Verbindungen der allgemeinen Formel 1 zur Herstellung eines Arzneimittels zur Behandlung von Lungenödemen, beispielsweise toxischer Lungenödeme nach Aspiration oder Inhalation von toxischen Substanzen und Fremdstoffen.It is also preferred to use compounds of general formula 1 for the manufacture of a medicament for the treatment of ARDS (adult respiratory distress syndrome). It is also preferred to use compounds of general formula 1 for the manufacture of a medicament for the treatment of pulmonary edema, for example toxic pulmonary edema after aspiration or inhalation of toxic substances and foreign substances.

Besonders bevorzugt betrifft die vorliegende Erfindung die Verwendung der Verbindungen der Formel 1 zur Herstellung eines Arzneimittels zur Behandlung von Asthma oder COPD. Von besonderer Bedeutung ist fe er die vorstehend genannte Verwendung von Verbindungen der Formel 1 zur Herstellung eines Arzneimittels zur einmal täglichen Behandlung von entzündlichen und obstruktiven Atemwegserkrankungen, besonders bevorzugt zur einmal täglichen Behandlung von Asthma oder COPD.The present invention particularly preferably relates to the use of the compounds of the formula 1 for the preparation of a medicament for the treatment of asthma or COPD. Of particular importance is the above-mentioned use of compounds of formula 1 for the manufacture of a medicament for the once-daily treatment of inflammatory and obstructive respiratory diseases, particularly preferably for the once-daily treatment of asthma or COPD.

Femer betrifft die vorliegende Erfindung ein Verfahren zur Behandlung der vorstehend genannten Erkrankungen, dadurch gekennzeichnet, daß eine oder mehrere der vorstehend genannten Verbindungen der allgemeinen Formel 1 in therapeutisch wirksamen Mengen appliziert werden. Die vorliegende Erfindung betrifft bevorzugt Verfahren zur Behandlung von Asthma oder COPD, dadurch gekennzeichnet, daß eine oder mehrere der vorstehend genannten Verbindungen der allgemeinen Formel 1 in therapeutisch wirksamen Mengen einmal täglich appliziert werden.The present invention further relates to a method for the treatment of the abovementioned diseases, characterized in that one or more of the abovementioned compounds of the general formula 1 are applied in therapeutically effective amounts. The present invention preferably relates to methods for the treatment of asthma or COPD, characterized in that one or more of the abovementioned compounds of the general formula 1 are administered once a day in therapeutically effective amounts.

Ein weiterer Aspekt der vorliegenden Erfindung betrifft die vorstehend genannten neuen Verbindungen der Formel 1 in Form der einzelnen optischen Isomeren, Mischungen der einzelnen Enantiomeren oder Racemate. Besonders bevorzugt sind dabei Verbindungen der Formel 1 in Form der enantiomerenreinen Verbindungen, wobei die R-Enantiomere der Verbindungen der Formel 1 erfindungsgemäß von herausragender Bedeutung sind. Die R- Enantiomere der Verbindungen der Formel 1 sind darstellbar durch die allgemeine FormelAnother aspect of the present invention relates to the aforementioned new compounds of formula 1 in the form of the individual optical isomers, mixtures of the individual enantiomers or racemates. Compounds of the formula 1 in the form of the enantiomerically pure compounds are particularly preferred, the R-enantiomers of the compounds of the formula 1 being of outstanding importance according to the invention. The R enantiomers of the compounds of formula 1 can be represented by the general formula

R-lR-l

Figure imgf000020_0001
worin die Reste n, A, B, R1, R^ und R^ die vorstehend genannten Bedeutungen haben können. Verfahren zur Auftrennung von Racematen in die jeweiligen Enantiomere sind im Stand der Technik bekannt und können zur Darstellung der enantiomerenreinen R- bzw. S- Enantiomere der Verbindungen der Formel 1 in analoger Art und Weise zur Anwendung gelangen.
Figure imgf000020_0001
wherein the radicals n, A, B, R1 , R ^ and R ^ can have the meanings given above. Processes for separating racemates into the respective enantiomers are known in the prior art and can be used in an analogous manner to prepare the enantiomerically pure R or S enantiomers of the compounds of the formula 1.

Ein weiterer Aspekt der vorliegenden Erfindung betrifft die vorstehend genannten Verbindungen der Formel 1 in Form ihrer Säureadditionssalze mit pharmakologisch unbedenklichen Säuren sowie gegebenenfalls in Form der Solvate und/oder Hydrate.Another aspect of the present invention relates to the compounds of formula 1 mentioned above in the form of their acid addition salts with pharmacologically acceptable acids and, if appropriate, in the form of the solvates and / or hydrates.

Unter Säureadditionssalzen mit pharmakologisch unbedenklichen Säuren werden dabei beispielsweise Salze ausgewählt aus der Gmppe bestehend aus Hydrochlorid, Hydrobromid, Hydroiodid, Hydrosulfat, Hydrophosphat, Hydromethansulfonat, Hydronitrat, Hydromaleat, Hydroacetat, Hydrobenzoat, Hydrocitrat, Hydrofumarat, Hydrotartrat, Hydrooxalat, Hydrosuccinat, Hydrobenzoat und Hydro-p-toluolsulfonat, bevorzugt Hydrochlorid, Hydrobromid, Hydrosulfat, Hydrophosphat, Hydrofumarat und Hydromethansulfonat verstanden.Among acid addition salts with pharmacologically acceptable acids, for example, salts are selected from the group consisting of hydrochloride, hydrobromide, hydroiodide, hydrosulfate, hydrophosphate, hydromethanesulfonate, hydronitrate, hydromaleate, hydroacetate, hydrobenzoate, hydrocitrate, hydrofumarate, hydratate, and hydrotoxate, hydrooxarate, hydrooxarate, hydrooxarate, hydrooxarate, hydrooxate, hydrooxarate, hydrooxarate, hydrooxate, p-toluenesulfonate, preferably hydrochloride, hydrobromide, hydrosulfate, hydrophosphate, hydrofumarate and hydromethanesulfonate.

Von den vorstehend genannten Säureadditionssalzen sind die Salze der Chlorwasserstoffsäure, der Maleinsäure und der Fumarsäure und der Essigsäure erfindungsgemäß besonders bevorzugt.Of the acid addition salts mentioned above, the salts of hydrochloric acid, maleic acid and fumaric acid and acetic acid are particularly preferred according to the invention.

Als Alkylgruppen werden, soweit nicht anders angegeben, verzweigte und unverzweigte Alkylgruppen mit 1 bis 4 Kohlenstoffatomen bezeichnet. Beispielsweise werden genannt: Methyl, Ethyl, Propyl oder Butyl. Zur Bezeichnung der Gruppen Methyl, Ethyl, Propyl oder auch Butyl werden gegebenenfalls auch die Abkürzungen Me, Et, Prop oder Bu verwendet. Sofern nicht anders beschrieben, umfassen die Definitionen Propyl und Butyl alle denkbaren isomeren Formen der jeweiligen Reste. So umfaßt beispielsweise Propyl n- Propyl und iso-Propyl, Butyl umfaßt iso-Butyl, sec. Butyl und tert.-Butyl etc.Unless otherwise stated, the alkyl groups are branched and unbranched alkyl groups having 1 to 4 carbon atoms. Examples include: methyl, ethyl, propyl or butyl. Abbreviations Me, Et, Prop or Bu may also be used to denote the groups methyl, ethyl, propyl or butyl. Unless otherwise described, the definitions propyl and butyl encompass all conceivable isomeric forms of the respective radicals. For example, propyl includes n-propyl and iso-propyl, butyl includes iso-butyl, sec. Butyl and tert-butyl, etc.

Als Alkylengmppen werden, soweit nicht anders angegeben, verzweigte und unverzweigte zweibindige Alkylbrücken mit 1 bis 4 Kohlenstoffatomen bezeichnet. Beispielsweise werden genannt: Methylen, Ethylen, n-Propylen oder n-Butylen.Unless otherwise stated, alkylene groups are branched and unbranched double-bonded alkyl bridges with 1 to 4 carbon atoms. Examples include: methylene, ethylene, n-propylene or n-butylene.

Als Alkyloxygruppen (oder auch -O- Alkylgruppen oder Alkoxygruppen) werden, soweit nicht anders angegeben, verzweigte und unverzweigte Alkylgruppen mit 1 bis 4 Kohlenstoffatomen bezeichnet, die über ein Sauerstoffatom verknüpft sind. Beispielsweise werden genannt: Methylox, Ethyloxy, Propyloxy oder Butyloxy. Zur Bezeichnung der Gruppen Methyloxy, Ethyloxy, Propyloxy oder auch Butyloxy werden gegebenenfalls auch die Abkürzungen MeO-, EtO-, PropO- oder BuO- verwendet. Sofern nicht anders beschrieben, umfassen die Definitionen Propyloxy und Butyloxy alle denkbaren isomeren Formen der jeweiligen Reste. So umfaßt beispielsweise Propyloxy n-Propyloxy und iso- Propyloxy, Butyloxy umfaßt iso-Butyloxy, sec. Butyloxy und tert.-Butyloxy etc. Gegebenenfalls wird im Rahmen der vorliegenden Erfindung statt der Bezeichnung Alkyloxy auch die Bezeichnung Alkoxy verwendet. Zur Bezeichnung der Gruppen Methyloxy, Ethyloxy, Propyloxy oder auch Butyloxy gelangen dementsprechend gegebenenfalls auch die Ausdrücke Methoxy, Ethoxy, Propoxy oder Butoxy zur Anwendung.Unless otherwise stated, branched and unbranched alkyl groups with 1 to 4 are used as alkyloxy groups (or also -O- alkyl groups or alkoxy groups) Designates carbon atoms that are linked via an oxygen atom. Examples include: methylox, ethyloxy, propyloxy or butyloxy. The abbreviations MeO-, EtO-, PropO- or BuO- are also used to denote the groups methyloxy, ethyloxy, propyloxy or butyloxy. Unless otherwise described, the definitions propyloxy and butyloxy encompass all conceivable isomeric forms of the respective radicals. For example, propyloxy includes n-propyloxy and iso-propyloxy, butyloxy includes iso-butyloxy, sec. Butyloxy and tert-butyloxy, etc. In the context of the present invention, the term alkoxy may also be used instead of the term alkyloxy. Accordingly, the terms methoxy, ethoxy, propoxy or butoxy are also used to designate the groups methyloxy, ethyloxy, propyloxy or butyloxy.

Halogen steht im Rahmen der vorliegenden Erfindung für Fluor, Chlor, Brom oder Jod. Sofern nicht gegenteilig angegeben, gelten Fluor, Chlor und Brom als bevorzugte Halogene.Halogen in the context of the present invention is fluorine, chlorine, bromine or iodine. Unless stated otherwise, fluorine, chlorine and bromine are preferred halogens.

Die Herstellung der erfindungsgemäßen Verbindungen kann in Analogie zu im Stand der Technik bereits bekannten Vorgehensweisen erfolgen. Geeignete Herstellverfahren sind beispielsweise aus der US 4460581 bekannt, auf die an dieser Stelle vollinhaltlich Bezug genommen wird.The compounds according to the invention can be prepared analogously to procedures already known in the prior art. Suitable manufacturing processes are known, for example, from US 4460581, to which reference is made here in full.

Die nachstehenden Beispiele dienen der weitergehenden Veranschaulichung und Verdeutlichung der vorliegenden Erfindung ohne deren Gegenstand allerdings auf die exemplarisch erläuterten Beispiele zu beschränken.The following examples serve to further illustrate and clarify the present invention without, however, restricting its subject matter to the examples explained by way of example.

Synthese der ZwischenstufenSynthesis of the intermediate stages

Zwischenstufe 1 : 5-Benzyloxy-7-(2-ethoxy-2-hvdroxy-acetyl)-3H-benzooxazol-2-onIntermediate 1: 5-benzyloxy-7- (2-ethoxy-2-hydroxy-acetyl) -3H-benzooxazol-2-one

Figure imgf000022_0001
a") 1 -f 5-Benzyloxy-2-hvdroxy-3-nitro-phenyl l-ethanon
Figure imgf000022_0001
a" ) 1-F 5-Benzyloxy-2-hydroxy-3-nitro-phenyl-1-ethanone

Zu einer Lösung von 81.5 g (0.34 mol) l-(5-Benzyloxy-2-hydroxy-phenyl)-ethanon (bekannt aus US 4,460581) in 700 mL Essigsäure werden unter Kühlung mit dem Eisbad 18 mL rauchende Salpetersäure so zugetropft, dass die Temperatur nicht über 20°C steigt. Anschließend wird die Reaktionsmischung zwei Stunden bei Raumtemperatur gerührt, auf Eiswasser gegossen und filtriert. Das Produkt wird in Isopropanol umkristallisiert, abgesaugt und mit Isopropanol und Diisopropylether gewaschen. Ausbeute: 69.6 g (72%); Massenspektroskopie [M+H]+ = 288.To a solution of 81.5 g (0.34 mol) of l- (5-benzyloxy-2-hydroxy-phenyl) -ethanone (known from US 4,460581) in 700 ml of acetic acid, 18 ml of fuming nitric acid are added dropwise while cooling with an ice bath. that the temperature does not rise above 20 ° C. The reaction mixture is then stirred at room temperature for two hours, poured onto ice water and filtered. The product is recrystallized from isopropanol, suction filtered and washed with isopropanol and diisopropyl ether. Yield: 69.6 g (72%); Mass Spectroscopy [M + H]+ = 288.

b) l-(3-Amino-5-benzyloxy-2-hvdroxy-phenyl)-ethanonb) 1- (3-Amino-5-benzyloxy-2-hydroxyphenyl) ethanone

69.5 g (242 mmol) l-(5-Benzyloxy-2-hydroxy-3-nitro-phenyl)-ethanon werden in 1.4 L Methanol gelöst und in Gegenwart von 14 g Rhodium auf Kohle (10%ig) als Katalysator bei 3 bar und Raumtemperatur hydriert. Anschließend wird der Katalysator abfiltriert und das Filtrat eingeengt. Der Rückstand wird ohne zusätzliche Aufreinigung weiter umgesetzt. Ausbeute: 60.0 g (96%), Rf-Wert = 0.45 (Dichlormethan auf Kieselgel).69.5 g (242 mmol) l- (5-benzyloxy-2-hydroxy-3-nitro-phenyl) -ethanone are dissolved in 1.4 L methanol and in the presence of 14 g rhodium on carbon (10%) as a catalyst at 3 bar and hydrogenated at room temperature. The catalyst is then filtered off and the filtrate is concentrated. The residue is further implemented without additional purification. Yield: 60.0 g (96%), Rf value = 0.45 (dichloromethane on silica gel).

c) 7-Acetyl-5-benzyloxy-3H-benzooxazol-2-onc) 7-acetyl-5-benzyloxy-3H-benzooxazol-2-one

In eine Lösung von 121 g (0.47 mol) l-(3-Amino-5-benzyloxy-2-hydroxy-phenyl)-ethanon in 800 mL Pyridin werden bei 20 bis 40°C 52 g (0.53 mol) Phosgen eingeleitet. Die52 g (0.53 mol) of phosgene are introduced into a solution of 121 g (0.47 mol) of 1- (3-amino-5-benzyloxy-2-hydroxy-phenyl) -ethanone in 800 ml of pyridine at 20 to 40 ° C. The

Reaktionsmischung wird für 2 Stunden auf 50°C erwärmt, dann auf Eis gegossen und mit konz. Salzsäure angesäuert. Es wird ein rotbrauner Feststoff isoliert, der wiederholt in Ethanol unter Zusatz von Aktivkohle umkristallisiert wird. Ausbeute: 67.5 g (50.6 %); Schmelzbereich: 163-166°C.Reaction mixture is heated to 50 ° C for 2 hours, then poured onto ice and concentrated with. Acidified hydrochloric acid. A red-brown solid is isolated, which is repeatedly recrystallized in ethanol with the addition of activated carbon. Yield: 67.5 g (50.6%); Melting range: 163-166 ° C.

d) 5-Benzyloxy-7-(2-ethoxy-2-hvdroxy-acetyl')-3H-benzooxazol-2-ond) 5-Benzyloxy-7- (2-ethoxy-2-hydroxy-acetyl' ) -3H-benzooxazol-2-one

20 g (71 mmol) 7-Acetyl-5-benzyloxy-3H-benzooxazol-2-on und 8 g (72 mmol) Selendioxid werden in Gegenwart von Aktivkohle in 100 mL Dioxan und 3.1 mL Wasser über 8 Stunden unter Rückfluß gerührt. Der Feststoff wird ab filtriert, das Lösungsmittel abdestilliert und der Rückstand mit 50 mL Ethanol versetzt. Man lässt 15 Minuten refluxieren und filtriert dann über Aktivkohle. Der beim Abkühlen ausfallende Feststoff wird nach 3 Stunden abgesaugt und mit Ethanol und Diethylether gewaschen. Ausbeute: 7 g (29%); Schmelzbereich: 140-143°C. Zwischenstufe 2: 6-Benzyloxy-8-(2-ethoxy-2-hvdroxy-acetyl)-2,2-dimethyl-4H- benzo l,4]oxazin-3-on20 g (71 mmol) 7-acetyl-5-benzyloxy-3H-benzooxazol-2-one and 8 g (72 mmol) selenium dioxide are stirred in the presence of activated carbon in 100 mL dioxane and 3.1 mL water under reflux for 8 hours. The solid is filtered off, the solvent is distilled off and 50 ml of ethanol are added to the residue. The mixture is refluxed for 15 minutes and then filtered through activated carbon. The solid which precipitates on cooling is filtered off after 3 hours and washed with ethanol and diethyl ether. Yield: 7 g (29%); Melting range: 140-143 ° C. Intermediate 2: 6-benzyloxy-8- (2-ethoxy-2-hydroxy-acetyl) -2,2-dimethyl-4H-benzo 1,4, oxazine-3-one

Figure imgf000024_0001
a) N-(3-Acetyl-5-benzyloxy-2-hvdroxy-phenyl)-2-brom-2-methyl-propionamid Zu einer Lösung von 5.15 g (20 mmol) l-(3-Amino-5-benzyloxy-2-hydroxy-phenyl)- ethanon in 20 mL Pyridin werden bei 5 bis 20°C 4.64 g (25 mmol) 2-Brom-2-methyl- propionylchlorid getropft. Nach beendeter Zugabe wird 15 Minuten gerührt, mit Eiswasser und 100 mL Ethylacetat versetzt und mit konz. Salzsäure angesäuert. Die organische Phase wird abgetrennt, mit Wasser gewaschen und mit Natriumsulfat getrocknet. Nach dem Abdestilheren des Lösungsmittels wird der Rückstand in einem Diethylether/Petrolether- Gemisch auskristallisiert. Ausbeute: 6.8 g (84%); Schmelzbereich: 88-90°C.
Figure imgf000024_0001
a) N- (3-Acetyl-5-benzyloxy-2-hydroxyphenyl) -2-bromo-2-methyl-propionamide To a solution of 5.15 g (20 mmol) l- (3-amino-5-benzyloxy- 2-hydroxy-phenyl) - ethanone in 20 mL pyridine, 4.64 g (25 mmol) 2-bromo-2-methyl-propionyl chloride are added dropwise at 5 to 20 ° C. When the addition is complete, the mixture is stirred for 15 minutes, mixed with ice water and 100 ml of ethyl acetate and concentrated with. Acidified hydrochloric acid. The organic phase is separated off, washed with water and dried with sodium sulfate. After the solvent has been distilled off, the residue is crystallized out in a diethyl ether / petroleum ether mixture. Yield: 6.8 g (84%); Melting range: 88-90 ° C.

b) 8- Acetyl-6-benzyloxy-2.2-dimethyl-4H-benzo[ 1 ,4]oxazin-3-onb) 8-acetyl-6-benzyloxy-2,2-dimethyl-4H-benzo [1, 4] oxazin-3-one

6.60 g (16.2 mmol) N-(3-Acetyl-5-benzyloxy-2-hydroxy-phenyl)-2-brom-2-methyl- propionamid und 2.76 g (20 mmol) Kahumcarbonat werden 1 Stunde in 70 mL Acetonitril unter Rückfluß gerührt. Der Feststoff wird abgesaugt, das Filtrat eingeengt und der Rückstand mit 30 mL Ethylacetat versetzt. Nach erneuter Filtration und dem Abdestilheren des Lösungsmittels wird das Rohprodukt in wenig Methanol auskristallisiert. Ausbeute: 1.00 g (19%); Massenspektroskopie [M+H]+ = 326; Schmelzbereich: 148-150°C.6.60 g (16.2 mmol) of N- (3-acetyl-5-benzyloxy-2-hydroxy-phenyl) -2-bromo-2-methyl-propionamide and 2.76 g (20 mmol) of potassium carbonate are refluxed in 70 ml of acetonitrile for 1 hour touched. The solid is filtered off with suction, the filtrate is concentrated and 30 ml of ethyl acetate are added to the residue. After renewed filtration and distilling off the solvent, the crude product is crystallized out in a little methanol. Yield: 1.00 g (19%); Mass spectroscopy [M + H]+ = 326; Melting range: 148-150 ° C.

c) 6-Benzyloxy-8-(2-ethoxy-2-hvdroxy-acetyl)-2,2-dimethyl-4H-benzor 1 ,4]oxazin-3-on Die Darstellung erfolgt in Analogie zu dem für die Zwischenstufe ld beschriebenen Verfahren aus 8-Acetyl-6-benzyloxy-2,2-dimethyl-4H-benzo[ 1 ,4]oxazin-3-on.c) 6-Benzyloxy-8- (2-ethoxy-2-hydroxy-acetyl) -2,2-dimethyl-4H-benzor 1, 4] oxazin-3-one The representation is carried out analogously to that described for the intermediate ld Process from 8-acetyl-6-benzyloxy-2,2-dimethyl-4H-benzo [1, 4] oxazin-3-one.

Zwischenstufe 3 : 4-Benzyloxy-7-(2-ethoxy- 1 ,2-dihvdroxy-ethyi)-3H-benzooxazol-2-on

Figure imgf000025_0001
Intermediate 3: 4-benzyloxy-7- (2-ethoxy-1, 2-dihvdroxy-ethyi) -3H-benzooxazol-2-one
Figure imgf000025_0001

a) 7-Acetyl-4-benzyloxy-3H-benzooxazol-2-ona) 7-Acetyl-4-benzyloxy-3H-benzooxazol-2-one

Zu einer Lösung von 47 g (183 mmol) l-(3-Amino-4-benzyloxy-2-hydroxy-phenyl)- ethanon (bekannt aus US 4,460581) in 135 mL Pyridin werden 41 mL Chlorameisensäurephenylester getropft, wobei die Temperatur auf 75°C ansteigt. Es wird 4 Stunden bei 90-95°C gerührt, auf Eis gegossen und mit Salzsäure angesäuert. Der ausfallende Feststoff wird abgesaugt, mit Diethylether gewaschen und in 500 mL 95%igem Acetonitril für 30 Minuten unter Rückfluß erwärmt. Nach Abkühlung wird der Feststoff abfiltriert und mit Acetonitril und Diethylether gewaschen. Ausbeute: 50 g (97%); Schmelzbereich: 242-244°C.41 ml of phenyl chloroformate are added dropwise to a solution of 47 g (183 mmol) of 1- (3-amino-4-benzyloxy-2-hydroxyphenyl) ethanone (known from US 4,460581) in 135 ml of pyridine, the temperature rises to 75 ° C. The mixture is stirred at 90-95 ° C for 4 hours, poured onto ice and acidified with hydrochloric acid. The solid which precipitates is filtered off with suction, washed with diethyl ether and heated under reflux in 500 ml of 95% acetonitrile for 30 minutes. After cooling, the solid is filtered off and washed with acetonitrile and diethyl ether. Yield: 50 g (97%); Melting range: 242-244 ° C.

b) 4-Benzyloxy-7-(2-ethoxy-l,2-dihydroxy-ethyl -3H-benzooxazol-2onb) 4-Benzyloxy-7- (2-ethoxy-l, 2-dihydroxy-ethyl -3H-benzooxazol-2on

49.5 g (175 mmol) 7-Acetyl-4-benzyloxy-3H-benzooxazol-2-on und 19.6 g (177 mmol) Selendioxid und werden in Gegenwart von Aktivkohle für 8 Stunden in 200 mL Dioxan und 8 mL Wasser unter Rückfluß erhitzt. Die nichtlöslichen Bestandteile werden abgesaugt, das Lösungsmittel wird abdestilliert und der Rückstand mit 150 mL Ethanol versetzt. Man lässt 30 Minuten refluxieren und filtriert dann über Aktivkohle. Nach Zugabe einer Kristallisationshilfe fällt aus der abgekühlten Lösung das Produkt aus. Dieses wird abgesaugt und mit Ethanol und Diethylether gewaschen. Ausbeute: 30 g (50%); Schmelzbereich: 153-155°C.49.5 g (175 mmol) 7-acetyl-4-benzyloxy-3H-benzooxazol-2-one and 19.6 g (177 mmol) selenium dioxide and are heated under reflux in the presence of activated carbon for 8 hours in 200 mL dioxane and 8 mL water. The insoluble constituents are filtered off with suction, the solvent is distilled off and 150 ml of ethanol are added to the residue. The mixture is refluxed for 30 minutes and then filtered through activated carbon. After adding a crystallization aid, the product precipitates out of the cooled solution. This is suctioned off and washed with ethanol and diethyl ether. Yield: 30 g (50%); Melting range: 153-155 ° C.

Zwischenstufe 4: 5-Benzyloxy-8-(2-ethoxy-2-hvdroxy-acetyl -2,2-dimethyl-4H- benzo 1 ,41oxazin-3-onIntermediate 4: 5-benzyloxy-8- (2-ethoxy-2-hydroxy-acetyl-2,2-dimethyl-4H-benzo 1,41oxazin-3-one

Figure imgf000025_0002
a) 8-Acetyl-5-benzyloxy-2.2-dimethyl-4H-benzo[l,4]oxazin-3-on Zu 25.7 g (0.10 mol) l-(3-Amino-4-benzyloxy-2-hydroxy-phenyl)-ethanon und 41 g (0.30 mol) Kahumcarbonat in 215 mL Acetonitril werden 28 g (0.15 mol) 2-Brom-2-methyl- propionylchlorid getropft. Nach 8 Stunden Rühren unter Rückfluß wird der Feststoff ab filtriert, das Filtrat eingeengt und der Rückstand in Ethanol auskristallisiert. Ausbeute: 11.2 g (35%); Schmelzbereich - 124-126°C.
Figure imgf000025_0002
a) 8-Acetyl-5-benzyloxy-2,2-dimethyl-4H-benzo [1,4] oxazin-3-one To 25.7 g (0.10 mol) of l- (3-amino-4-benzyloxy-2-hydroxy-phenyl) -ethanone and 41 g (0.30 mol) of potassium carbonate in 215 ml of acetonitrile are 28 g (0.15 mol) of 2-bromo-2 -methyl propionyl chloride dropped. After stirring under reflux for 8 hours, the solid is filtered off, the filtrate is concentrated and the residue is crystallized from ethanol. Yield: 11.2 g (35%); Melting range - 124-126 ° C.

b) 5-Benzyloxy-8-(2-ethoxy-2-hvdroxy-acetyl)-2,2-dimethyl-4H-benzo[ 1.41oxazin-3-on 9.6 g (30 mmol) 8-Acetyl-5-benzyloxy-2,2-dimethyl-4H-benzo[l,4]oxazin-3-on, 3.3 g (30 mmol) Selendioxid und Aktivkohle werden über 7 Stunden in 90 mL Dioxan und 2 mL Wasser unter Rückfluß gerührt. Der Feststoff wird abgesaugt, das Filtrat eingeengt und der Rückstand in 100 ml Ethanol 30 Minuten refluxiert. Das Lösungsmittel wird abdestilliert und der Rückstand in 125 mL Ethylacetat gelöst. Es wird nacheinander mit Kaliumcarbonat-Lösung und Wasser ausgeschüttelt, mit Natriumsulfat getrocknet und eingeengt. Das zurückbleibende Öl (10.1 g) wird direkt weiter umgesetzt.b) 5-benzyloxy-8- (2-ethoxy-2-hydroxy-acetyl) -2,2-dimethyl-4H-benzo [1.41oxazin-3-one 9.6 g (30 mmol) 8-acetyl-5-benzyloxy- 2,2-dimethyl-4H-benzo [1,4] oxazin-3-one, 3.3 g (30 mmol) selenium dioxide and activated carbon are stirred under reflux in 90 mL dioxane and 2 mL water for 7 hours. The solid is filtered off with suction, the filtrate is concentrated and the residue is refluxed in 100 ml of ethanol for 30 minutes. The solvent is distilled off and the residue is dissolved in 125 ml of ethyl acetate. It is shaken out successively with potassium carbonate solution and water, dried with sodium sulfate and concentrated. The remaining oil (10.1 g) is directly converted further.

Zwischenstufe 5: 8-Benzyloxy-5-oxiranyl-lH-chinolin-2-onIntermediate 5: 8-benzyloxy-5-oxiranyl-1H-quinolin-2-one

Figure imgf000026_0001
a) 8-Benzyloxy-5-(2-chlor-acetyl -lH-chinolin-2-on
Figure imgf000026_0001
a) 8-Benzyloxy-5- (2-chloroacetyl-1H-quinolin-2-one

25.2 g (86 mmol) 5-Acetyl-8-benzyloxy-lH-chinolin-2-on (European Journal of Medicinal Chemistry 1984, 19(4), 341) und 50 g (142 mmol) Benzyltrimethylammonium dichloriodat in 500 mL Dichlorethan und 300 mL Methanol werden über Nacht unter Rückfluß gerührt. Die Reaktionsmischung wird eingeengt und der Rückstand in THF und 1 N Salzsäure über Nacht gerührt. Nach dem Abdestilheren des THFs wird der ausfallende Feststoff abgesaugt, mit Diethylether gewaschen und getrocknet. Ausbeute: 23.6 g (84%); Massenspektroskopie [M+H]+ = 328/30.25.2 g (86 mmol) 5-acetyl-8-benzyloxy-lH-quinolin-2-one (European Journal of Medicinal Chemistry 1984, 19 (4), 341) and 50 g (142 mmol) benzyltrimethylammonium dichloroiodate in 500 mL dichloroethane and 300 ml of methanol are stirred under reflux overnight. The reaction mixture is concentrated and the residue is stirred in THF and 1N hydrochloric acid overnight. After the THF has been distilled off, the solid which precipitates is filtered off with suction, washed with diethyl ether and dried. Yield: 23.6 g (84%); Mass Spectroscopy [M + H]+ = 328/30.

b) 8-Benzyloxy-5-(2-chlor-l-hvdroxy-ethylHH-chinolin-2-onb) 8-Benzyloxy-5- (2-chloro-l-hydroxyethyl-ethylHH-quinolin-2-one

Zu 52 g (159 mmol) 8-Benzyloxy-5-(2-chlor-acetyl)-lH-chinolin-2-on in 650 mL THF werden bei 0°C 238 mL einer 2 molaren Lösung von Lithiumborhydrid in THF getropft. Es wird zwei Stunden bei 0°C gerührt, dann auf Raumtemperatur erwärmt, mit 200 mL Dichlormethan und 75 mL Wasser versetzt und eine weitere Stunde gerührt. Der ausgefallene Feststoff wird abgesaugt und die organische Phase des Filtrats abgetrennt und vom Lösungsmittel befreit. Der Rückstand wird mit dem Feststoff aus der vorangegangenen Filtration vereinigt und wiederholt mit Diethylether und THF verrührt. Ausbeute: 51.6 g (99%); Massenspektroskopie [M+H]+ = 330/32.To 52 g (159 mmol) of 8-benzyloxy-5- (2-chloroacetyl) -lH-quinolin-2-one in 650 mL THF, 238 mL of a 2 molar solution of lithium borohydride in THF are added dropwise at 0 ° C. The mixture is stirred at 0 ° C. for two hours, then warmed to room temperature, mixed with 200 ml of dichloromethane and 75 ml of water and stirred for a further hour. The precipitated solid is filtered off and the organic phase of the filtrate is separated off and freed from the solvent. The residue is combined with the solid from the previous filtration and repeatedly stirred with diethyl ether and THF. Yield: 51.6 g (99%); Mass Spectroscopy [M + H]+ = 330/32.

c 8-Benzyloxy-5-oxiranyl-lH-chinolin-2-onc 8-benzyloxy-5-oxiranyl-1H-quinolin-2-one

Eine Lösung von 20 g (61 mmol) 8-Benzyloxy-5-(2-chlor-l-hydroxy-ethyl)-lH-chinolin- 2-on in 160 mL DMF wird bei 0°C zu 35 mL einer 4 molaren Natronlauge getropft und anschließend 2 Stunden bei dieser Temperatur gerührt. Die Reaktionsmischung wird mit 1.5 L Eiswasser versetzt, durch Zugabe von Trockeneis gepuffert und mit Ethylacetat extrahiert. Die organischen Phasen werden mit Natriumsulfat getrocknet, das Lösungsmittel wird abdestilliert und der Rückstand über Aluminiumoxid chromatographiert (Dichlormethan/Ethylacetat-Gradient). Die produkthaltigen Fraktionen werden bis auf 60 mL eingeengt und dann mit Petrolether versetzt, wobei ein Feststoff ausfällt, der abgesaugt und getrocknet wird. Ausbeute: 9 g (48%); Massenspektroskopie [M+H]+ = 294.A solution of 20 g (61 mmol) of 8-benzyloxy-5- (2-chloro-l-hydroxy-ethyl) -lH-quinolin-2-one in 160 mL DMF becomes 35 mL of a 4 molar sodium hydroxide solution at 0 ° C added dropwise and then stirred at this temperature for 2 hours. The reaction mixture is mixed with 1.5 l of ice water, buffered by adding dry ice and extracted with ethyl acetate. The organic phases are dried with sodium sulfate, the solvent is distilled off and the residue is chromatographed on aluminum oxide (dichloromethane / ethyl acetate gradient). The product-containing fractions are concentrated to 60 ml and then petroleum ether is added, a solid precipitating out, which is filtered off and dried. Yield: 9 g (48%); Mass Spectroscopy [M + H]+ = 294.

Zwischenstufe 6: 7-Benzyloxy-5-oxiranyl-lH-chinolin-2-onIntermediate 6: 7-benzyloxy-5-oxiranyl-1H-quinolin-2-one

Figure imgf000027_0001
a) Trifluormethansulfonsäure-2-acetyl-4-benzyloxy-6-nitro-phenylester 92.7 mL (660 mmol) Triethylamin werden zu 90 g (313 mmol) l-(5-Benzyloxy-2- hydroxy-3-nitro-phenyl)-ethanon in 940 mL Dichlormethan bei -10°C gegeben. Anschließend wird langsam eine Lösung aus 65 mL (394 mmol) Trifluormethansulfonsäureanhydrid und 40 mL Dichlormethan zugetropft. Nach 15 Minuten Rühren bei -5°C wird die Reaktion durch vorsichtige Zugabe von 400 mL Ammoniumchlorid-Lösung und 400 mL Natriumhydrogencarbonat-Lösung beendet. Die organische Phase wird abgetrennt, mit Natriumsulfat getrocknet und eingeengt. Der Rückstand wird in 150 mL Diethylether gelöst und dann durch Zugabe von 800 mL Hexan ausgefällt. Der Feststoff wird abfiltriert, in einem Diethylether/Hexan-Gemisch suspendiert und erneut abgesaugt. Ausbeute: 118 g (90%); Massenspektroskopie: [M+H]+ = 420. b) 3-(2-Acetyl-4-benzyloxy-6-nitro-phenvD-acrylsäuremethylester Zu einer Lösung aus 100 g (238 mmol) Trifluormethansulfonsäure-2-acetyl-4-benzyloxy- 6-nitro-phenylester in 360 mL Dioxan werden 5.88 g (6.42 mmol) Tris- (dibenzylidenaceton)-dipalladium, 3.50 g (12.01 mmol) Tri-tert-butylphosphonium tetrafluoroborat, 81.2 mL (371 mmmol) Dicyclohexylmethylamin, 105.8 g (286 mmol) Tetrabutylammoniumiodid und 32.6 mL (362 mmol) Methylarcrylat zugegeben. Die Reaktionsmischung wird 2 Stunden bei 80°C unter Stickstoffatmosphäre gerührt und dann mit 2 L Diethylether und 500 g Kieselgel versetzt. Nach 10 Minuten wird das Kieselgel abgesaugt, wobei wiederholt mit Diethylether nachgewaschen wird. Die vereinigten organischen Phase werden nacheinander mit 1 N Salzsäure, Natriumcarbonat-Lösung und Natriumchlorid-Lösung gewaschen. Das Lösungsmittel wird abdestilliert, der Rückstand in Ethanol auskristallisiert und der Feststoff abfiltriert und mit Ethanol gewaschen. Ausbeute: 32.2 g (38%); Massenspektroskopie: [M+H]+ = 356.
Figure imgf000027_0001
a) 2-acetyl-4-benzyloxy-6-nitro-phenyl trifluoromethanesulfonate 92.7 mL (660 mmol) triethylamine become 90 g (313 mmol) l- (5-benzyloxy-2-hydroxy-3-nitro-phenyl) - ethanone in 940 mL dichloromethane at -10 ° C. A solution of 65 mL (394 mmol) trifluoromethanesulfonic anhydride and 40 mL dichloromethane is then slowly added dropwise. After stirring for 15 minutes at -5 ° C, the reaction is terminated by carefully adding 400 mL ammonium chloride solution and 400 mL sodium hydrogen carbonate solution. The organic phase is separated off, dried with sodium sulfate and concentrated. The residue is dissolved in 150 ml of diethyl ether and then precipitated by adding 800 ml of hexane. The solid is filtered off, suspended in a diethyl ether / hexane mixture and suction filtered again. Yield: 118 g (90%); Mass spectroscopy: [M + H]+ = 420. b) Methyl 3- (2-acetyl-4-benzyloxy-6-nitro-phenvD-acrylate). To a solution of 100 g (238 mmol) 2-acetyl-4-benzyloxy-6-nitro-phenyl trifluoromethane in 360 mL dioxane 5.88 g (6.42 mmol) tris (dibenzylideneacetone) dipalladium, 3.50 g (12.01 mmol) tri-tert-butylphosphonium tetrafluoroborate, 81.2 mL (371 mmol) dicyclohexylmethylamine, 105.8 g (286 mmol) tetrabutylammonium iodide and 32.6 mL (362 mmol) The reaction mixture is stirred for 2 hours under a nitrogen atmosphere at 80 ° C. and then 2 L of diethyl ether and 500 g of silica gel are added, and after 10 minutes the silica gel is filtered off with suction, with repeated washing with diethyl ether Hydrochloric acid, sodium carbonate solution and sodium chloride solution, the solvent is distilled off, the residue is crystallized out in ethanol and the solid is filtered off and washed with ethanol. Yield: 32.2 g (38%); ace spectroscopy: [M + H]+ = 356.

c) 5 - Acetyl-7-benzyloxy-3 ,4-dihydro- 1 H-chinolin-2-onc) 5 - Acetyl-7-benzyloxy-3, 4-dihydro-1 H-quinolin-2-one

5.0 g (14.07 mmol) 3-(2-Acetyl-4-benzyloxy-6-nitro-phenyl)-acrylsäuremethylester werden mit 100 mL Ethanol versetzt und mit Raney-Nickel als Katalysator bei 4 bar hydriert. Der Katalysator wird abgetrennt und das Filtrat mit 15 mL 2 N Salzsäure angesäuert. Das auskristallisierende Produkt wird abgesaugt und getrocknet. Ausbeute: 1.0 g (24%0); Massenspektroskopie: [M+H]+ = 296.5.0 g (14.07 mmol) of methyl 3- (2-acetyl-4-benzyloxy-6-nitro-phenyl) -acrylate are mixed with 100 mL ethanol and hydrogenated with Raney nickel as a catalyst at 4 bar. The catalyst is separated off and the filtrate is acidified with 15 ml of 2N hydrochloric acid. The product which crystallizes out is filtered off with suction and dried. Yield: 1.0 g (24%0 ); Mass spectroscopy: [M + H]+ = 296.

d) 5-Acetyl-7-benzyloxy-lH-chinolin-2-ond) 5-acetyl-7-benzyloxy-1H-quinolin-2-one

13.0 g (44 mmol) 5-Acetyl-7-benzyloxy-3,4-dihydro-lH-chinolin-2-on werden in 130 mL Dioxan suspendiert und mit 15.0 g (66 mmol) 2,3-Dichlor-5,6-dicyanobenzochinon versetzt. Man lässt 30 Minuten Refluxieren, kühlt auf Raumtemperatur ab und rührt weitere 2 Stunden. Der Feststoff wird abfiltriert, mit Dioxan gewaschen und in 600 mL Dichlormethan/Methanol (9:1) gelöst. Die Lösung wird mit Natriumhydrogencarbonat- Lösung gewaschen, mit Natriumsulfat getrocknet und eingeengt. Anschließend wird der Rückstand in Methanol suspendiert, filtriert und getrocknet. Ausbeute: 8.3 g (64%); Massenspektroskopie: [M+H]+ = 294.13.0 g (44 mmol) 5-acetyl-7-benzyloxy-3,4-dihydro-1H-quinolin-2-one are suspended in 130 mL dioxane and with 15.0 g (66 mmol) 2,3-dichloro-5,6 -dicyanobenzoquinone added. Allow to reflux for 30 minutes, cool to room temperature and stir for a further 2 hours. The solid is filtered off, washed with dioxane and dissolved in 600 ml dichloromethane / methanol (9: 1). The solution is washed with sodium hydrogen carbonate solution, dried with sodium sulfate and concentrated. The residue is then suspended in methanol, filtered and dried. Yield: 8.3 g (64%); Mass spectroscopy: [M + H]+ = 294.

e) 7-Benzyloxy-5-(2-chlor-acetyl)-lH-chinolin-2-one) 7-benzyloxy-5- (2-chloroacetyl) -lH-quinolin-2-one

7.0 g (23.9 mmol) 5-Acetyl-7-benzyloxy-lH-chinolin-2-on und 19.0 g (54.6 mmol) Benzyltrimethylammonium dichloriodat werden in 43 mL Essigsäure, 7 mL Wasser und 147 mL Dichlorethan bei 65°C gerührt. Nach 4.5 Stunden wird die Reaktion durch Zugabe von 400 mL Natriumcarbonat-Lösung und 50 mL 5%iger Natriumbisulfit-Lösung beendet. Die unlöslichen Bestandteile werden abgesaugt, mit Wasser gewaschen und getrocknet. Ausbeute: 6.0 g (77%); Massenspektroskopie: [M+H]+ = 328.7.0 g (23.9 mmol) of 5-acetyl-7-benzyloxy-lH-quinolin-2-one and 19.0 g (54.6 mmol) of benzyltrimethylammonium dichloriodate are stirred in 43 mL acetic acid, 7 mL water and 147 mL dichloroethane at 65 ° C. After 4.5 hours the reaction is by adding 400 mL sodium carbonate solution and 50 mL 5% sodium bisulfite solution. The insoluble constituents are filtered off, washed with water and dried. Yield: 6.0 g (77%); Mass spectroscopy: [M + H]+ = 328.

f) 7-Benzyloxy-5-oxiranyl-lH-chinolin-2-onf) 7-benzyloxy-5-oxiranyl-1H-quinolin-2-one

6.0 g (18.3 mmol) 7-Benzyloxy-5-(2-chlor-acetyl)-lH-chinolin-2-on werden in 150 mL Tetrahydrofuran vorgelegt und bei 0 bis 5°C mit 434 mg 819.9 mmol) Lithiumborhydrid versetzt. Es wird 30 Minuten gerührt, dann werden 43 mL einer 2.5 molare Natriumhydroxid-Lösung zugegeben und man lässt weitere 4 Stunden unter Erwärmung auf Raumtemperatur Rühren. Die Mischung wird mit Natriumchlorid-Lösung versetzt, filtriert und wiederholt mit Ethylacetat/Tetrahydrofuran (1:1) extrahiert. Der abfiltrierte Feststoff und die organischen Phasen werden vereinigt und vom Lösungsmittel befreit. Der Rückstand wird in Methanol suspendiert, abgesaugt und getrocknet. Ausbeute 4.8 g (89%); Massenspektroskopie: [M+H]+ = 294.6.0 g (18.3 mmol) of 7-benzyloxy-5- (2-chloroacetyl) -lH-quinolin-2-one are placed in 150 ml of tetrahydrofuran and 434 mg of 819.9 mmol) of lithium borohydride are added at 0 to 5 ° C. The mixture is stirred for 30 minutes, then 43 ml of a 2.5 molar sodium hydroxide solution are added and stirring is continued for a further 4 hours while warming to room temperature. The mixture is mixed with sodium chloride solution, filtered and extracted repeatedly with ethyl acetate / tetrahydrofuran (1: 1). The filtered off solid and the organic phases are combined and freed from the solvent. The residue is suspended in methanol, suction filtered and dried. Yield 4.8 g (89%); Mass spectroscopy: [M + H]+ = 294.

Synthese der EndverbindungenSynthesis of the end compounds

Beispiel 1 : 8-Hydroxy-5- { 1 -hydroxy-2-[2-(4-methoxy-phenyl)- 1.1 -dimethyl-ethylamino]- ethylj - 1 H-chinolin-2-onExample 1: 8-Hydroxy-5- {1-hydroxy-2- [2- (4-methoxyphenyl) -1.1-dimethyl-ethylamino] ethylj-1 H-quinolin-2-one

Figure imgf000029_0001
a) 8-Benzyloxy-5- { 1 -hydroxy-2- 2-(4-methoxy-phenyl - 1 , 1 -dimethyl-ethylaminol-ethyl}- lH-chinolin-2-on
Figure imgf000029_0001
a) 8-Benzyloxy-5- {1-hydroxy-2- 2- (4-methoxy-phenyl-1, 1-dimethyl-ethylaminol-ethyl} - 1H-quinolin-2-one

587 mg (2 mmol) 8-Benzyloxy-5-oxiranyl-lH-chinolin-2-on und 358 mg (2 mmol) 2-(4- Methoxy-phenyl)-l,l-dimethyl-ethylamin werden in 5 mL n-Butanol 6 Stunden bei 140°C gerührt. Anschließend wird das Lösungsmittel abdestilliert und der Rückstand chromatographisch gereinigt (Reverse Phase; Wasser/ Acetonitril-Gradient). Ausbeute: 306 mg (32%); Massenspektroskopie [M+H]+ = 473.587 mg (2 mmol) of 8-benzyloxy-5-oxiranyl-1H-quinolin-2-one and 358 mg (2 mmol) of 2- (4-methoxy-phenyl) -l, l-dimethyl-ethylamine are dissolved in 5 mL -Butanol stirred at 140 ° C for 6 hours. The solvent is then distilled off and the residue is purified by chromatography (reverse phase; water / acetonitrile gradient). Yield: 306 mg (32%); Mass Spectroscopy [M + H]+ = 473.

b) 8-Hydroxy-5- { 1 -hydroxy-2-[2-(4-methoxy-phenyl l .1 -dimethyl-ethylamino]-ethyl} - lH-chinolin-2-onb) 8-Hydroxy-5- {1-hydroxy-2- [2- (4-methoxyphenyl l. 1 -dimethylethylamino] ethyl} - 1H-quinolin-2-one

306 mg (0.6 mmol) 8-Benzyloxy-5-{l-hydroxy-2-[2-(4-methoxy-phenyl)-l,l-dimethyl- ethylamino]-ethyl}-lH-chinolin-2-on werden in 10 mL Methanol gelöst und mit Palladium auf Kohle als Katalysator bei Raumtemperatur und Normaldruck hydriert. Anschließend wird der Katalysator abgetrennt und das Filtrat vom Lösungsmittel befreit. Ausbeute: 145 mg (59%>); Massenspektroskopie [M+H]+ = 389.306 mg (0.6 mmol) of 8-benzyloxy-5- {l-hydroxy-2- [2- (4-methoxy-phenyl) -l, l-dimethylethylamino] ethyl} -lH-quinolin-2-one dissolved in 10 mL methanol and with palladium hydrogenated on carbon as a catalyst at room temperature and normal pressure. The catalyst is then separated off and the filtrate is freed from the solvent. Yield: 145 mg (59%>); Mass Spectroscopy [M + H]+ = 389.

Beispiel 2: 5-(2-r2-(2,4-Difluor-phenyl)-l.l-dimethyl-ethylamino]-l-hydroxy-ethyl}-8- hvdroxy-3,4-dihydro-lH-chinolin-2-onExample 2: 5- (2-r2- (2,4-Difluorophenyl) -ll-dimethyl-ethylamino] -l-hydroxy-ethyl} -8-hydroxy-3,4-dihydro-lH-quinoline-2- on

Figure imgf000030_0001
a) 8-Benzyloxy-5- (2-r2-(2,4-difluor-phenyl)- 1 , 1 -dimethyl-ethylamino]- 1 -hydroxy-ethyl) - lH-chinolin-2-on 587 mg (2 mmol) 8-Benzyloxy-5-oxiranyl-lH-chinolin-2-on und 555 mg (3 mmol) 2-(2,4- Difluor-phenyl)-l,l-dimethyl-ethylamin werden in der für Beispiel la beschriebenen Weise umgesetzt und aufgearbeitet. Ausbeute: 220 mg (23%); Massenspektroskopie [M+H]+ = 479.
Figure imgf000030_0001
a) 8-Benzyloxy-5- (2-r2- (2,4-difluoro-phenyl) -1,1-dimethyl-ethylamino] -1-hydroxy-ethyl) - 1H-quinolin-2-one 587 mg (2nd mmol) of 8-benzyloxy-5-oxiranyl-1H-quinolin-2-one and 555 mg (3 mmol) of 2- (2,4-difluorophenyl) -l, l-dimethyl-ethylamine are described in Example 1a Implemented and processed in a way. Yield: 220 mg (23%); Mass Spectroscopy [M + H]+ = 479.

b) 5- {2-r2-(2,4-Difluor-phenyl)- 1.1 -dimethyl-ethylamino]- 1 -hydroxy-ethyl) -8-hydroxy- 3 ,4-dihydro- 1 H-chinolin-2-onb) 5- {2-r2- (2,4-difluorophenyl) - 1.1 -dimethyl-ethylamino] - 1-hydroxy-ethyl) -8-hydroxy-3, 4-dihydro-1 H-quinoline-2- on

Eine Lösung von 220 mg (0.5 mmol) 8-Benzyloxy-5-{2-[2-(2,4-difluor-phenyl)-l,l- dimethyl-ethylamino]-l-hydroxy-ethyl}-lH-chinolin-2-on in 10 mL Methanol wird in Gegenwart von Palladium auf Kohle bei Raumtemperatur und Normaldruck hydriert. Anschließend wird der Katalysator abgetrennt, das Filtrat eingeengt und der Rückstand chromatographiert (Reverse Phase; Wasser/ Acetonitril-Gradient). Ausbeute: 56 mg (31%); Massenspektroskopie [M+H]+ = 391.A solution of 220 mg (0.5 mmol) of 8-benzyloxy-5- {2- [2- (2,4-difluoro-phenyl) -l, l-dimethyl-ethylamino] -l-hydroxy-ethyl} -lH-quinoline -2-one in 10 mL methanol is hydrogenated in the presence of palladium on carbon at room temperature and normal pressure. The catalyst is then separated off, the filtrate is concentrated and the residue is chromatographed (reverse phase; water / acetonitrile gradient). Yield: 56 mg (31%); Mass Spectroscopy [M + H]+ = 391.

In Analogie zu den vorstehend genannten Synthesebeispielen können femer die nachfolgenden Verbindungen (Beispiele 3 bis 5, 7 und 8) erhalten werden:The following compounds (Examples 3 to 5, 7 and 8) can also be obtained analogously to the synthesis examples mentioned above:

Beispiel 3: 8-Hvdroxy-5-{l-hvdroxy-2-r2-(4-hvdroxy-phenyl')- l-dimethyl-ethylaminol- ethyl)-lH-chinolin-2-onExample 3: 8-Hvdroxy-5- {l-hvdroxy-2-r2- (4-hvdroxy-phenyl' ) - l-dimethyl-ethylaminol-ethyl) -lH-quinolin-2-one

Figure imgf000031_0001
Figure imgf000031_0001

Beispiel 4: 5- (2-r2-(4-Fluor-phenyl - 1 , 1 -dimethyl-ethylamino]- 1 -hydroxy-ethyl) -8- hvdroxy-3.4-dihydro-lH-chinolin-2-onExample 4: 5- (2-r2- (4-fluoro-phenyl-1,1-dimethyl-ethylamino) -1-hydroxy-ethyl) -8-hydroxy-3,4-dihydro-1H-quinolin-2-one

Figure imgf000031_0002
Figure imgf000031_0002

Beispiel 5: 7-Hvdroxy-5-{l-hvdroxy-2-r2-(4-methoxy-phenyl)-l -dimethyl-ethylamino1- ethyl ) - 1 H-chinolin-2-onExample 5: 7-Hvdroxy-5- {l-Hvdroxy-2-r2- (4-methoxy-phenyl) -l-dimethyl-ethylamino1-ethyl) - 1 H-quinolin-2-one

Figure imgf000031_0003
Figure imgf000031_0003

a) 7-Benzyloxy-5- { 1 -hvdroxy-2-r2-(4-methoxy-phenyl - 1 , 1 -dimethyl-ethylamino] -ethyl ) ■ lH-chinolin-2-ona) 7-Benzyloxy-5- {1 -hydroxy-2-r2- (4-methoxy-phenyl-1, 1-dimethyl-ethylamino] -ethyl) ■ 1H-quinolin-2-one

150 mg (0.51 mmol) 7-Benzyloxy-5-oxiranyl-lH-chinolin-2-on und 208 mg (1.2 mmol) 2- (4-Methoxy-phenyl)-l,l-dimethyl-ethylamin werden mit 1 mL Isopropanol versetzt und insgesamt 1 Stunde bei 135°C mit Mikrowellen bestrahlt. Anschließend wird die Reaktionsmischung mit Ethylacetat und 0.5 molarer Weinsäure versetzt, wobei ein Niederschlag ausfällt. Die organische Phase wird verworfen und der Feststoff und die wässrige Phase werden mit Dichlormethan/Methanol extrahiert. Die vereinigten organischen Phasen werden eingeengt und mit 8 mL Ethylacetat versetzt. Der nichtlösliche Feststoff wird abgesaugt und getrocknet. Ausbeute: 130 mg (54%).150 mg (0.51 mmol) of 7-benzyloxy-5-oxiranyl-lH-quinolin-2-one and 208 mg (1.2 mmol) of 2- (4-methoxy-phenyl) -l, l-dimethyl-ethylamine are mixed with 1 ml of isopropanol added and irradiated with microwaves for a total of 1 hour at 135 ° C. The reaction mixture is then mixed with ethyl acetate and 0.5 molar tartaric acid, a precipitate being formed. The organic phase is discarded and the solid and the aqueous phase are extracted with dichloromethane / methanol. The combined organic phases are concentrated and mixed with 8 ml of ethyl acetate. The insoluble solid is suction filtered and dried. Yield: 130 mg (54%).

b 7-Hydroxy-5- ( 1 -hydroxy-2-[2-(4-methoxy-phenyl)- 1 , 1 -dimethyl-ethylamino]-ethyl) - lH-chinolin-2-on 128 mg (0.27 mmol) 7-Benzyloxy-5-{l-hydroxy-2-[2-(4-methoxy-phenyl)-l,l-dimethyl- ethylamino]-ethyl}-lH-chinolin-2-on werden in 12 mL Methanol gelöst und unter Verwendung von Palladium auf Kohle als Katalysator hydriert. Die Reaktionsmischung wird über Celite filtriert, es wird mit Methanol eluiert und das Filtrat wird vom Lösungsmittel befreit. Ausbeute: 65 mg (63%); Rf = 0.25 (Kieselgel, Dichlormethan/Methanol/ Ammoniak = 18:2:1).b 7-Hydroxy-5- (1-hydroxy-2- [2- (4-methoxyphenyl) -1, 1-dimethylethylamino] ethyl) - 1H-quinolin-2-one 128 mg (0.27 mmol) of 7-benzyloxy-5- {l-hydroxy-2- [2- (4-methoxy-phenyl) -l, l-dimethylethylamino] ethyl} -lH-quinolin-2-one dissolved in 12 mL methanol and hydrogenated using palladium on carbon as a catalyst. The reaction mixture is filtered through Celite, eluted with methanol and the filtrate is freed from the solvent. Yield: 65 mg (63%); Rf = 0.25 (silica gel, dichloromethane / methanol / ammonia = 18: 2: 1).

Beispiel 6: 5-{2-r2-(3.5-Difluor-phenyl -l,l-dimethyl-ethylamino1-l-hvdroxy-ethyl)-7- hydroxy- 1 H-chinolin-2-onExample 6: 5- {2-r2- (3,5-difluorophenyl-l, l-dimethyl-ethylamino1-l-hydroxyethyl-ethyl) -7-hydroxy-1 H-quinolin-2-one

Figure imgf000032_0001
Figure imgf000032_0001

Beispiel 7 : 7-Hvdroxy-5 - ( 1 -hydroxy-2- r2-(4-methoxy-phenyl)- 1.1 -dimethyl-ethylamino] - ethyl)-3.4-dihydro-lH-chinolin-2-onExample 7: 7-Hydroxy-5 - (1-hydroxy-2-r2- (4-methoxy-phenyl) -1.1-dimethyl-ethylamino] -ethyl) -3.4-dihydro-1H-quinolin-2-one

Figure imgf000032_0002
Figure imgf000032_0002

Beispiel 8: 5-{2-r2-(4-Ethoxy-phenyl)-l,l-dimethyl-ethylamino]-l-hydroxy-ethyl)-7- hydroxy-3 ,4-dihydro- 1 H-chinolin-2-onExample 8: 5- {2-r2- (4-ethoxyphenyl) -1, l-dimethyl-ethylamino] -l-hydroxyethyl) -7-hydroxy-3,4-dihydro-1 H-quinoline-2 -one

Figure imgf000032_0003
Figure imgf000032_0003

Beispiel 9 : 4-Hydroxy-7- ( 1 -hvdroxy-2-r2-(4-methoxy-phenyl)- 1 , 1 -dimethyl-ethylamino] - ethyl) -3H-benzooxazol-2-on

Figure imgf000033_0001
Example 9: 4-Hydroxy-7- (1 -hydroxy-2-r2- (4-methoxyphenyl) -1,1-dimethylethylamino] ethyl) -3H-benzooxazol-2-one
Figure imgf000033_0001

172 mg (0.5 mmol) 4-Benzyloxy-7-(2-ethoxy-l,2-dihydroxy-ethyl)-3H-benzooxazol-2-on und 90 mg (0.5 mmol) 2-(4-Methoxy-phenyl)-l,l-dimethyl-ethylamin in 8 mL Ethanol werden 90 Minuten bei 80°C gerührt. Nach Abkühlung auf Raumtemperatur werden 19 mg (0.5 mmol) Natriumborhydrid zugesetzt. Es wird weitere 2 Stunden gerührt, mit 1 N Salzsäure angesäuert, 10 Minuten gerührt und mit Kaliumcarbonat-Lösung alkalisch gestellt. Das Gemisch wird mit 40 mL Ethylacetat versetzt und über Kieselgur filtriert. Das Filtrat wird eingeengt und der Rückstand chromatographisch gereinigt (Reverse Phase, Acetonitril/Wasser-Gradient mit 0.P/o Trifluoressigsäure). Der so erhaltene Benzylether wird in 5 mL Ethanol gelöst und in Gegenwart von Palladium auf Kohle (10%ig) bei 2.5 bar Wasserstoffdruck hydriert. Anschließend wird der Katalysator abgetrennt und das Filtrat von Lösungsmitteln befreit. Ausbeute: 20 mg (8%, Trifluoracetat), Massenspektroskopie [M+H]+ = 373.172 mg (0.5 mmol) 4-benzyloxy-7- (2-ethoxy-l, 2-dihydroxy-ethyl) -3H-benzooxazol-2-one and 90 mg (0.5 mmol) 2- (4-methoxy-phenyl) - l, l-dimethyl-ethylamine in 8 mL ethanol are stirred at 80 ° C for 90 minutes. After cooling to room temperature, 19 mg (0.5 mmol) sodium borohydride are added. The mixture is stirred for a further 2 hours, acidified with 1N hydrochloric acid, stirred for 10 minutes and made alkaline with potassium carbonate solution. The mixture is mixed with 40 ml of ethyl acetate and filtered through diatomaceous earth. The filtrate is concentrated and the residue is purified by chromatography (reverse phase, acetonitrile / water gradient with 0.P / o trifluoroacetic acid). The benzyl ether thus obtained is dissolved in 5 ml of ethanol and hydrogenated in the presence of palladium on carbon (10%) at 2.5 bar hydrogen pressure. The catalyst is then separated off and the filtrate is freed from solvents. Yield: 20 mg (8%, trifluoroacetate), mass spectroscopy [M + H]+ = 373.

Beispiel 10: 4-Hydroxy-7- { l-hydroxy-2-r2-(4-hvdroxy-phenyl - 1 , 1 -dimethyl-ethylamino] - ethyl) -3H-benzooxazol-2-onExample 10: 4-Hydroxy-7- {l-hydroxy-2-r2- (4-hydroxy-phenyl-1, 1-dimethyl-ethylamino] -ethyl) -3H-benzooxazol-2-one

Figure imgf000033_0002
Figure imgf000033_0002

Die Herstellung erfolgt analog Beispiel 9 aus 172 mg (0.5 mmol) 4-Benzyloxy-7-(2- ethoxy-l,2-dihydroxy-ethyl)-3H-benzooxazol-2-on und 83 mg (0.5 mmol) 4-(2-Amino-2- methyl-propyl)-phenol. Ausbeute: 29 mg (12%, Trifluoracetat); Massenspektroskopie [M+H]+ = 359.The preparation is carried out analogously to Example 9 from 172 mg (0.5 mmol) of 4-benzyloxy-7- (2-ethoxy-l, 2-dihydroxy-ethyl) -3H-benzooxazol-2-one and 83 mg (0.5 mmol) of 4- ( 2-amino-2-methyl-propyl) phenol. Yield: 29 mg (12%, trifluoroacetate); Mass Spectroscopy [M + H]+ = 359.

Beispiel 11 : 5-Hydroxy-8- { 1 -hvdroxy-2-r2-(4-hydroxy-phenyl)- 1.1 -dimethyl-ethylamino] - ethyl) -2,2-dimethyl-4H-benzo[1.4]oxazin-3-onExample 11: 5-Hydroxy-8- {1 -hydroxy-2-r2- (4-hydroxyphenyl) - 1.1 -dimethyl-ethylamino] - ethyl) -2,2-dimethyl-4H-benzo [1.4] oxazin- one 3-

Figure imgf000034_0001
Figure imgf000034_0001

Beispiel 12 : 5-Hydroxy-7- { 1 -hydroxy-2-r2-(4-methoxy-phenvQ- 1 , 1 -dimethyl- ethylamino1-ethyl)-3H-benzooxazol-2-onExample 12: 5-Hydroxy-7- {1-hydroxy-2-r2- (4-methoxy-phenvQ-1, 1-dimethyl-ethylamino1-ethyl) -3H-benzooxazol-2-one

Figure imgf000034_0002
Figure imgf000034_0002

Erhalten aus 172 mg (0.5 mmol) 5-Benzyloxy-7-(2-ethoxy-2-hydroxy-acetyl)-3H- benzooxazol-2-on und 90 mg (0.5 mmol) 2-(4-Methoxy-phenyl)-l,l-dimethyl-ethylamin analog dem für Beispiel 9 beschriebenen Verfahren. Ausbeute: 88 mg (36%, Trifluoracetat); Massenspektroskopie [M+H]+ = 373.Obtained from 172 mg (0.5 mmol) 5-benzyloxy-7- (2-ethoxy-2-hydroxyacetyl) -3H-benzooxazol-2-one and 90 mg (0.5 mmol) 2- (4-methoxy-phenyl) - l, l-dimethyl-ethylamine analogous to the method described for Example 9. Yield: 88 mg (36%, trifluoroacetate); Mass Spectroscopy [M + H]+ = 373.

Beispiel 13 : 7- (2- r2-(4-Ethoxy-phenyl)- 1 , 1 -dimethyl-ethylamino] - 1 -hydroxy-ethyl) -5 - hvdroxy-3H-benzooxazol-2-onExample 13: 7- (2- r2- (4-ethoxy-phenyl) -1,1-dimethyl-ethylamino] -1-hydroxy-ethyl) -5-hvdroxy-3H-benzooxazol-2-one

Figure imgf000034_0003
Figure imgf000034_0003

Hergestellt aus 172 mg (0.5 mmol) 5-Benzyloxy-7-(2-ethoxy-2-hydroxy-acetyl)-3H- benzooxazol-2-on und 97 mg (0.5 mmol) 2-(4-Ethoxy-phenyl)-l,l-dimethyl-ethylarnin analog dem für Beispiel 9 beschriebenen Verfahren. Ausbeute: 41 mg (16%, Trifluoracetat); Massenspektroskopie [M+H]+ = 387. Beispiel 14: 6-Hvdroxy-8-(l-hvdroxy-2-r2-(4-methoxy-phenyl)- l-dimethyl- ethylamino]-ethyl)-2.2-dimethyl-4H-benzo 1.41oxazin-3-onMade from 172 mg (0.5 mmol) 5-benzyloxy-7- (2-ethoxy-2-hydroxy-acetyl) -3H-benzooxazol-2-one and 97 mg (0.5 mmol) 2- (4-ethoxy-phenyl) - l, l-dimethyl-ethylarnine analogous to the method described for Example 9. Yield: 41 mg (16%, trifluoroacetate); Mass Spectroscopy [M + H]+ = 387. Example 14: 6-Hvdroxy-8- (l-hvdroxy-2-r2- (4-methoxy-phenyl) - l-dimethyl-ethylamino] -ethyl) -2.2-dimethyl-4H-benzo 1.41oxazin-3-one

Figure imgf000035_0001
Figure imgf000035_0001

385 mg (1 mmol) 6-Benzyloxy-8-(2-ethoxy-2-hydroxy-acetyl)-2,2-dimethyl-4H- benzo[l,4]oxazin-3-on und 179 mg (1 mmol) 2-(4-Methoxy-phenyl)-l,l-dimethyl- ethylamin werden in 5 mL Tetrahydrofuran für 30 Minuten bei 50°C gerührt. Es wird auf 0°C abgekühlt und mit 1.5 mL einer 2 molaren Lösung von Lithiumborhydrid in Tetrahydrofuran versetzt. Man lässt 30 Minuten bei 0°C rühren und gibt dann 10 mL Dichlormethan und 3 mL Wasser zu. Es wird eine Stunde bei Raumtemperatur gerührt und über Kieselgur filtriert, wobei man mit Dichlormethan eluiert. Das Filtrat wird eingeengt und der Rückstand chromatographisch gereinigt (Reverse Phase, Acetonitril/Wasser- Gradient mit 0.1 % Trifluoressigsäure). Der so erhaltene Benzylether wird in Methanol gelöst und mit Palladium auf Kohle (10%ig) als Katalysator bei 2.5 bar Wasserstoffdruck und Raumtemperatur hydriert. Der Katalysator wird abgetrennt, das Lösungsmittel abdestilliert und der Rückstand mittels Chromatographie gereinigt. Ausbeute: 144 mg (21%, Trifluoracetat); Massenspektroskopie [M+H]+ = 415.385 mg (1 mmol) 6-benzyloxy-8- (2-ethoxy-2-hydroxyacetyl) -2,2-dimethyl-4H-benzo [1,4] oxazin-3-one and 179 mg (1 mmol) 2- (4-methoxy-phenyl) -l, l-dimethylethylamine are stirred in 5 mL tetrahydrofuran for 30 minutes at 50 ° C. It is cooled to 0 ° C. and 1.5 ml of a 2 molar solution of lithium borohydride in tetrahydrofuran are added. The mixture is stirred at 0 ° C. for 30 minutes and 10 ml of dichloromethane and 3 ml of water are then added. It is stirred for one hour at room temperature and filtered through diatomaceous earth, eluting with dichloromethane. The filtrate is concentrated and the residue is purified by chromatography (reverse phase, acetonitrile / water gradient with 0.1% trifluoroacetic acid). The benzyl ether thus obtained is dissolved in methanol and hydrogenated with palladium on carbon (10%) as a catalyst at 2.5 bar hydrogen pressure and room temperature. The catalyst is separated off, the solvent is distilled off and the residue is purified by chromatography. Yield: 144 mg (21%, trifluoroacetate); Mass Spectroscopy [M + H]+ = 415.

Beispiel 15: 8- (2-r2-(4-Fluor-phenyl)- 1 , 1 -dimethyl-ethylamino]- 1 -hydroxy-ethyl) -6- hydroxy-2,2-dimethyl-4H-benzo 1 ,4]oxazin-3-onExample 15: 8- (2-r2- (4-fluoro-phenyl) -1,1-dimethylethylamino] -1-hydroxyethyl) -6-hydroxy-2,2-dimethyl-4H-benzo 1,4 ] oxazin-3-one

Figure imgf000035_0002
a) 6-Benzyloxy-8- (2-["2-(4-fluor-phenyl)- 1 , 1 -dimethyl-ethylamino]- 1 -hydroxy-ethyl) -2,2- dimethyl-4H-benzof 1 ,4]oxazin-3-on
Figure imgf000035_0002
a) 6-benzyloxy-8- (2- [" 2- (4-fluorophenyl) -1,1-dimethyl-ethylamino] -1-hydroxy-ethyl) -2,2-dimethyl-4H-benzof 1, 4] oxazin-3-one

385 mg (1 mmol) 6-Benzyloxy-8-(2-ethoxy-2-hydroxy-acetyl)-2,2-dimethyl-4H- benzo[l,4]oxazin-3-on und 167 mg (1 mmol) 2-(4-Fluor-phenyl)-l,l-dimethyl-ethylamin werden analog Beispiel 14 umgesetzt und aufgearbeitet. Abweichend wird der resultierende Benzylether an einer Kieselgelsäule chromatographiert (Dichlormethan/Methanol-Gradient). Ausbeute: 290 mg (59%); Massenspektroskopie [M+H]+ = 493.385 mg (1 mmol) 6-benzyloxy-8- (2-ethoxy-2-hydroxyacetyl) -2,2-dimethyl-4H-benzo [1,4] oxazin-3-one and 167 mg (1 mmol) 2- (4-fluoro-phenyl) -l, l-dimethyl-ethylamine are implemented and worked up analogously to Example 14. In deviation, the resulting benzyl ether is chromatographed on a silica gel column (dichloromethane / methanol gradient). Yield: 290 mg (59%); Mass Spectroscopy [M + H]+ = 493.

b) 8- (2-|"2-(4-Fluor-phenylV 1 , 1 -dimethyl-ethylamino]- 1 -hydroxy-ethyl) -6-hydroxy-2,2- dimethyl-4H-benzo[ 1 ,4]oxazin-3-onb) 8- (2- |" 2- (4-Fluoro-phenylV 1, 1-dimethyl-ethylamino] - 1-hydroxy-ethyl) -6-hydroxy-2,2-dimethyl-4H-benzo [1, 4 ] oxazin-3-one

280 mg (0.57 mmol) 6-Benzyloxy-8-{2-[2-(4-fluor-phenyl)-l,l-dimethyl-ethylamino]-l- hydroxy-ethyl}-2,2-dimethyl-4H-benzo[l,4]oxazin-3-on werden in 7 mL Methanol gelöst und mit Palladium auf Kohle (10%ig) bei Raumtemperatur hydriert. Anschließend wird der Katalysator abgetrennt und das Filtrat vom Lösungsmittel befreit. Der Rückstand wird in Dichlormethan gelöst und durch Zugabe von Methanol/Wasser ausgefällt. Weißer Feststoff. Ausbeute: 90 mg (39%); Massenspektroskopie [M-H]+ = 401.280 mg (0.57 mmol) 6-benzyloxy-8- {2- [2- (4-fluoro-phenyl) -l, l-dimethyl-ethylamino] -l-hydroxy-ethyl} -2,2-dimethyl-4H- benzo [1,4] oxazin-3-one are dissolved in 7 mL methanol and hydrogenated with palladium on carbon (10%) at room temperature. The catalyst is then separated off and the filtrate is freed from the solvent. The residue is dissolved in dichloromethane and precipitated by adding methanol / water. White solid. Yield: 90 mg (39%); Mass Spectroscopy [MH]+ = 401.

Beispiel 16: 5-Hydroxy-8- { 1 -hydroxy-2-r2-(4-methoxy-phenyl)- 1 , 1 -dimethyl- ethylamino1-ethyl)-2.2-dimethyl-4H-benzori,4]oxazin-3-onExample 16: 5-Hydroxy-8- {1-hydroxy-2-r2- (4-methoxyphenyl) -1,1-dimethylethylamino1-ethyl) -2,2-dimethyl-4H-benzori, 4] oxazin-3 -one

Figure imgf000036_0001
Figure imgf000036_0001

a) 5-Benzyloxy-8- { 1 -hydroxy-2- 2-(4-methoxy-phenyl)- 1 , 1 -dimethyl-ethylimino] -ethyl) - 2,2-dimethyl-4H-benzofl.4]oxazin-3-ona) 5-Benzyloxy-8- {1-hydroxy-2- 2- (4-methoxy-phenyl) -1,1-dimethyl-ethylimino] -ethyl) - 2,2-dimethyl-4H-benzofl.4] oxazine -3-one

10.1 g (26 mmol) 5-Benzyloxy-8-(2-ethoxy-2-hydroxy-acetyl)-2,2-dimethyl-4H- benzo[l,4]oxazin-3-on und 4 g (22 mmol) 2-(4-Methoxy-phenyl)-l,l-dimethyl-ethylamin werden in 100 ml Ethanol für 2 Stunden bei 60 bis 70°C gerührt. Nach dem Abdestilheren eines Teils des Lösungsmittels fällt beim Abkühlen ein Feststoff aus, der abgesaugt und mit Ethanol und Diethylether gewaschen wird. Ausbeute: 8.7 g (78%); Schmelzbereich = 138-140°C.10.1 g (26 mmol) 5-benzyloxy-8- (2-ethoxy-2-hydroxyacetyl) -2,2-dimethyl-4H-benzo [1,4] oxazin-3-one and 4 g (22 mmol) 2- (4-methoxy-phenyl) -l, l-dimethyl-ethylamine are stirred in 100 ml of ethanol for 2 hours at 60 to 70 ° C. After part of the solvent has been distilled off, a solid precipitates on cooling, which is filtered off with suction and washed with ethanol and diethyl ether. Yield: 8.7 g (78%); Melting range = 138-140 ° C.

b) 5-Benzyloxy-8-π-hvdroxy-2-r2-(4-methoxy-phenyl")- l-dimethyl-ethylamino]-ethyl}- 2,2-dimethyl-4H-benzo|"l,4]oxazin-3-on Zu einer Lösung von 8.6 g (17 mmol) 5-Benzyloxy-8-{l-hydroxy-2-[2-(4-methoxy- phenyl)-l,l-dimethyl-ethylimino]-ethyl}-2,2-dimethyl-4H-benzo[l,4]oxazin-3-on in 80 mL Ethanol werden bei Raumtemperatur 0.6 g Natriumborhydrid gegeben und man lässt eine Stunde rühren. Die Reaktionsmischung wird mit 20 mL Aceton versetzt, 30 Minuten gerührt, mit 50 ml Wasser verdünnt und mit Eisessig angesäuert. Nach dem Abdestilheren der organischen Lösungsmittel wird zum wässrigen Rückstand Ethylacetat gegeben. Man säuert mit konz. Salzsäure an und verdünnt mit Diethylether. Das als Hydrochlorid ausfallende Produkt wird abgesaugt und mit Aceton und Diethylether gewaschen. Ausbeute: 8.4 g (91%, Hydrochlorid); Schmelzbereich = 215-218°C.b) 5-benzyloxy-8-π-hydroxy-2-r2- (4-methoxyphenyl" ) - l-dimethyl-ethylamino] -ethyl} - 2,2-dimethyl-4H-benzo |" l, 4] oxazin-3-one To a solution of 8.6 g (17 mmol) 5-benzyloxy-8- {l-hydroxy-2- [2- (4-methoxyphenyl) -l, l-dimethyl-ethylimino] -ethyl} -2,2-dimethyl-4H-benzo [1,4] oxazin-3-one in 80 mL of ethanol are added at room temperature to 0.6 g of sodium borohydride and the mixture is stirred for one hour. The reaction mixture is mixed with 20 ml of acetone, stirred for 30 minutes, diluted with 50 ml of water and acidified with glacial acetic acid. After the organic solvents have been distilled off, ethyl acetate is added to the aqueous residue. You acidify with conc. Hydrochloric acid and diluted with diethyl ether. The product which precipitates as the hydrochloride is filtered off with suction and washed with acetone and diethyl ether. Yield: 8.4 g (91%, hydrochloride); Melting range = 215-218 ° C.

c) 5-Hydroxy-8- ( 1 -hydroxy-2- 2-(4-methoxy-phenyl)- 1 , 1 -dimethyl-ethylamino]-ethyl) - 2,2-dimethyl-4H-benzo[ 1.4]oxazin-3-onc) 5-Hydroxy-8- (1-hydroxy-2- 2- (4-methoxyphenyl) -1, 1-dimethyl-ethylamino] -ethyl) - 2,2-dimethyl-4H-benzo [1.4] oxazine -3-one

7.3 g (14 mmol) 5-Benzyloxy-8-{l-hydroxy-2-[2-(4-methoxy-phenyl)-l,l-dimethyl- ethylamino]-ethyl}-2,2-dimethyl-4H-benzo[l,4]oxazin-3-on hydrochlorid werden in 125 mL Methanol mit Palladium auf Kohle als Katalysator hydriert. Der Katalysator wird abgetrennt und das Lösungsmittel weitgehend abdestilliert. Man setzt Aceton zu, filtriert den ausfallenden Feststoff ab und wäscht mit Aceton und Diethylether. Ausbeute: 5.4 g (89%o, Hydrochlorid); Schmelzbereich = 200°C (Zersetzung).7.3 g (14 mmol) of 5-benzyloxy-8- {l-hydroxy-2- [2- (4-methoxy-phenyl) -l, l-dimethylethylamino] ethyl} -2,2-dimethyl-4H- benzo [1,4] oxazin-3-one hydrochloride are hydrogenated in 125 mL methanol with palladium on carbon as a catalyst. The catalyst is separated off and the solvent is largely distilled off. Acetone is added, the precipitated solid is filtered off and washed with acetone and diethyl ether. Yield: 5.4 g (89% o, hydrochloride); Melting range = 200 ° C (decomposition).

Geeignete Anwendungsformen zur Applikation der Verbindungen der Formel 1 sind beispielsweise Tabletten, Kapseln, Zäpfchen, Lösungen, Pulver etc. Der Anteil der pharmazeutisch wirksamen Verbindung(en) sollte jeweils im Bereich von 0,05 bis 90 Gew.-%, bevorzugt 0,1 bis 50 Gew.-% der Gesamtzusammensetzung liegen. Entsprechende Tabletten können beispielsweise durch Mischen des oder der Wirkstoffe mit bekannten Hilfsstoffen, beispielsweise inerten Verdünnungsmitteln, wie Calciumcarbonat, Calciumphosphat oder Milchzucker, Sprengmitteln, wie Maisstärke oder Alginsäure, Bindemitteln, wie Stärke oder Gelatine, Schmiermitteln, wieSuitable forms of application for applying the compounds of the formula 1 are, for example, tablets, capsules, suppositories, solutions, powders, etc. The proportion of the pharmaceutically active compound (s) should in each case be in the range from 0.05 to 90% by weight, preferably 0.1 up to 50% by weight of the total composition. Corresponding tablets can be mixed, for example, by mixing the active ingredient (s) with known auxiliaries, for example inert diluents such as calcium carbonate, calcium phosphate or milk sugar, disintegrants such as corn starch or alginic acid, binders such as starch or gelatin, lubricants such as

Magnesiumstearat oder Talk, und/oder Mitteln zur Erzielung des Depoteffektes, wie Carboxymethylcellulose, Celluloseacetatphthalat, oder Polyvinylacetat erhalten werden. Die Tabletten können auch aus mehreren Schichten bestehen.Magnesium stearate or talc, and / or agents for achieving the depot effect, such as carboxymethyl cellulose, cellulose acetate phthalate, or polyvinyl acetate can be obtained. The tablets can also consist of several layers.

Entsprechend können Dragees durch Überziehen von analog den Tabletten hergestellten Kernen mit üblicherweise in Drageeüberzügen verwendeten Mitteln, beispielsweise Kollidon oder Schellack, Gummi arabicum, Talk, Titandioxid oder Zucker hergestellt werden. Zur Erzielung eines Depoteffektes oder zur Vermeidung von Inkompatibilitäten kann der Kern auch aus mehreren Schichten bestehen. Desgleichen kann auch die Drageehülle zur Erzielung eines Depoteffektes aus mehreren Schichten bestehen, wobei die oben bei den Tabletten erwähnten Hilfsstoffe verwendet werden können. Säfte der erfindungsgemäßen Wirkstoffe beziehungsweise Wirkstoffkombinationen können zusätzlich noch ein Süßungsmittel, wie Saccharin, Cyclamat, Glycerin oder Zucker sowie ein geschmacksverbesserndes Mittel, z.B. Aromastoffe, wie Vanillin oder Orangenextrakt, enthalten. Sie können außerdem Suspendierhilfsstoffe oder Dickungsmittel, wie Natriumcarboxymethylcellulose, Netzmittel, beispielsweise Kondensationsprodukte von Fettalkoholen mit Ethylenoxid, oder Schutzstoffe, wie p-Hydroxybenzoate, enthalten.Correspondingly, coated tablets can be produced by coating cores produced analogously to the tablets with agents conventionally used in coated tablet coatings, for example collidone or shellac, gum arabic, talc, titanium dioxide or sugar. The core can also consist of several layers to achieve a deposit effect or to avoid incompatibilities. The same can also Drage sleeve to achieve a depot effect consist of several layers, wherein the auxiliaries mentioned above for the tablets can be used. Juices of the active substances or combinations of active substances according to the invention can additionally contain a sweetener, such as saccharin, cyclamate, glycerol or sugar, and a taste-improving agent, for example flavorings, such as vanillin or orange extract. They can also contain suspending agents or thickening agents, such as sodium carboxymethyl cellulose, wetting agents, for example condensation products of fatty alcohols with ethylene oxide, or protective agents, such as p-hydroxybenzoates.

Lösungen werden üblicher Weise, z.B. unter Zusatz von Isotonantien, Konserviemngsmitteln, wie p-Hydroxybenzoaten, oder Stabilisatoren, wie Alkalisalzen der Ethylendiamintetraessigsäure, gegebenenfalls unter Verwendung von Emulgiermitteln und /oder Dispergiermitteln, wobei beispielsweise bei der Verwendung von Wasser als Verdünnungsmittel gegebenenfalls organische Lösungsmittel als Lösevermittler bzw. Hilfslösungsmittel eingesetzt werden können, hergestellt und in Injektionsflaschen oder Ampullen oder Infusionsflaschen abgefüllt.Solutions are commonly used, e.g. with the addition of isotonants, preservatives, such as p-hydroxybenzoates, or stabilizers, such as alkali metal salts of ethylenediaminetetraacetic acid, optionally using emulsifiers and / or dispersants, where, for example, when using water as a diluent, organic solvents can optionally be used as solubilizers or auxiliary solvents , manufactured and filled into injection bottles or ampoules or infusion bottles.

Die eine oder mehrere Wirkstoffe beziehungsweise Wirkstoffkombinationen enthaltenden Kapseln können beispielsweise hergestellt werden, indem man die Wirkstoffe mit inertenThe capsules containing one or more active ingredients or combinations of active ingredients can be produced, for example, by inerting the active ingredients

Trägem, wie Milchzucker oder Sorbit, mischt und in Gelatinekapseln einkapselt.Ingredients such as milk sugar or sorbitol mix and encapsulate in gelatin capsules.

Geeignete Zäpfchen lassen sich beispielsweise durch Vermischen mit dafür vorgesehenenSuitable suppositories can be mixed, for example, with those provided for them

Trägermitteln, wie Neutralfetten oder Polyäthylenglykol beziehungsweise dessenCarriers, such as neutral fats or polyethylene glycol or the like

Derivaten, herstellen. Als Hilfsstoffe seien beispielsweise Wasser, pharmazeutisch unbedenkliche organischeDerivatives. Examples of auxiliary substances are water, pharmaceutically acceptable organic ones

Lösungsmittel, wie Paraffine (z.B. Erdölfraktionen), Öle pflanzlichen Ursprungs (z.B.Solvents such as paraffins (e.g. petroleum fractions), oils of vegetable origin (e.g.

Erdnuß- oder Sesamöl), mono- oder polyfunktionelle Alkohole (z.B. Ethanol oderPeanut or sesame oil), monofunctional or polyfunctional alcohols (e.g. ethanol or

Glycerin), Trägerstoffe wie z.B. natürliche Gesteinsmehle (z.B. Kaoline, Tonerden,Glycerin), carriers such as e.g. natural stone flours (e.g. kaolins, clays,

Talkum, Kreide), synthetische Gesteinsmehle (z.B. hochdisperse Kieselsäure und Silikate), Zucker (z.B. Rohr-, Milch- und Traubenzucker), Emulgiermittel (z.B. Lignin,Talc, chalk), synthetic rock flours (e.g. highly disperse silica and silicates), sugar (e.g. cane, milk and glucose), emulsifiers (e.g. lignin,

Sufitablaugen, Methylcellulose, Stärke und Polyvinylpyrrolidon) und Gleitmittel (z.B.Sufite liquor, methyl cellulose, starch and polyvinyl pyrrolidone) and lubricants (e.g.

Magnesiumstearat, Talkum, Stearinsäure und Natriumlaurylsulfat) erwähnt.Magnesium stearate, talc, stearic acid and sodium lauryl sulfate) mentioned.

Im Falle der oralen Anwendung können die Tabletten selbstverständlich außer den genannten Trägerstoffen auch Zusätze, wie z.B. Natriumeitrat, Calciumcarbonat und Dicalciumphosphat zusammen mit verschiedenen Zuschlagstoffen, wie Stärke, vorzugsweise Kartoffelstärke, Gelatine und dergleichen enthalten. Weiterhin können Gleitmittel, wie Magnesiumstearat, Natriumlaurylsulfat und Talkum zum Tablettieren mitverwendet werden. Im Falle wäßriger Suspensionen können die Wirkstoffe außer den obengenannten Hilfsstoffen mit verschiedenen Geschmacksaufbesserem oder Farbstoffen versetzt werden.In the case of oral use, the tablets can of course also contain additives, such as sodium citrate, calcium carbonate and, in addition to the carriers mentioned Contain dicalcium phosphate along with various additives such as starch, preferably potato starch, gelatin and the like. Lubricants such as magnesium stearate, sodium lauryl sulfate and talc can also be used for tableting. In the case of aqueous suspensions, in addition to the auxiliaries mentioned above, the active ingredients can be mixed with various flavor enhancers or colorants.

Bei der erfindungsgemäßen Applikation der Verbindungen der Formel 1 zur Therapie von Atemwegeserkrankungen werden besonders bevorzugt inhalativ applizierbare Darreichungsformen bzw. pharmazeutische Formuliemngen eingesetzt. Als inhalierbare Darreichungsformen kommen Inhalationspulver, treibgashaltige Dosieraerosole oder treibgasfreie Inhalationslösungen in Betracht. Im Rahmen der vorliegenden Erfindung sind von dem Begriff treibgasfreie Inhalationslösungen auch Konzentrate oder sterile, gebrauchsfertige Inhalationslösungen umfaßt. Die im Rahmen der vorliegenden Erfindung einsetzbaren Darreichungsformen werden im nachfolgenden Teil der Beschreibung detailliert beschrieben.In the application according to the invention of the compounds of formula 1 for the therapy of respiratory diseases, administration forms or pharmaceutical formulations which can be administered by inhalation are particularly preferably used. Inhalable dosage forms, inhalation powders containing propellant gas or propellant-free inhalation solutions come into consideration. In the context of the present invention, the term propellant-free inhalation solutions also includes concentrates or sterile, ready-to-use inhalation solutions. The dosage forms which can be used in the context of the present invention are described in detail in the following part of the description.

Erindungsgemäß einsetzbare Inhalationspulver können 1 entweder allein oder im Gemisch mit geeigneten physiologisch unbedenkliche Hilfsstoffen enthalten. Sind die Wirkstoffe 1 im Gemisch mit physiologisch unbedenklichen Hilfsstoffen enthalten, können zur Darstellung dieser erfindungsgemäßen Inhalationspulver die folgenden physiologisch unbedenklichen Hilfsstoffe zur Anwendung gelangen: Monosaccharide (z.B. Glucose oder Arabinose), Disaccharide (z.B. Lactose, Saccharose, Maltose), Oligo- und Polysaccharide (z.B. Dextrane), Polyalkohole (z.B. Sorbit, Mannit, Xylit), Salze (z.B. Natriumchlorid, Calciumcarbonat) oder Mischungen dieser Hilfsstoffe miteinander. Bevorzugt gelangen Mono- oder Disaccharide zur Anwendung, wobei die Verwendung von Lactose oder Glucose, insbesondere, aber nicht ausschließlich in Form ihrer Hydrate, bevorzugt ist. Als besonders bevorzugt im Sinne der Erfindung gelangt Lactose, höchst bevorzugt Lactosemonohydrat als Hilfsstoff zur Anwendung. Die Hilfsstoffe weisen im Rahmen der erfindungsgemäßen Inhalationspulver eine maximale mittlere Teilchengröße von bis zu 250μm, bevorzugt zwischen 10 und 150μm, besonders bevorzugt zwischen 15 und 80μm auf. Gegebenenfalls kann es sinnvoll erscheinen, den vorstehend genannten Hilfsstoffen feinere Hilfsstofffraktionen mit einer mittleren Teilchengröße von 1 bis 9μm beizumischen. Letztgenannte feinere Hilfsstoffe sind ebenfalls ausgewählt aus der vorstehend genannten Gmppe an einsetzbaren Hilfsstoffen. Schließlich wird zur Herstellung der erfindungsgemäßen Inhalationspulver mikronisierter Wirkstoff 1, vorzugsweise mit einer mittleren Teilchengröße von 0,5 bis lOμm, besonders bevorzugt von 1 bis 5μm, der Hilfsstoffmischung beigemischt. Verfahren zur Herstellung der erfindungsgemäßen inhalationspulver durch Mahlen und Mikronisieren sowie durch abschließendes Mischen der Bestandteile sind aus dem Stand der Technik bekannt.Inhalable powders which can be used according to the invention can contain 1 either alone or in a mixture with suitable physiologically acceptable auxiliaries. If the active ingredients 1 are contained in a mixture with physiologically acceptable auxiliaries, the following physiologically acceptable auxiliaries can be used to prepare these inhalable powders according to the invention: monosaccharides (e.g. glucose or arabinose), disaccharides (e.g. lactose, sucrose, maltose), oligo- and polysaccharides ( e.g. dextrans), polyalcohols (e.g. sorbitol, mannitol, xylitol), salts (e.g. sodium chloride, calcium carbonate) or mixtures of these auxiliaries with one another. Mono- or disaccharides are preferably used, the use of lactose or glucose being preferred, in particular, but not exclusively, in the form of their hydrates. Lactose, most preferably lactose monohydrate, is used as an auxiliary as particularly preferred in the sense of the invention. In the context of the inhalable powders according to the invention, the auxiliaries have a maximum average particle size of up to 250 μm, preferably between 10 and 150 μm, particularly preferably between 15 and 80 μm. If appropriate, it may seem sensible to add finer excipient fractions with an average particle size of 1 to 9 μm to the excipients mentioned above. The latter finer excipients are also selected from the group mentioned above Excipients. Finally, to produce the inhalable powders according to the invention, micronized active ingredient 1, preferably with an average particle size of 0.5 to 10 μm, particularly preferably from 1 to 5 μm, is admixed with the excipient mixture. Processes for producing the inhalable powders according to the invention by grinding and micronizing and by finally mixing the constituents are known from the prior art.

Die erfindungsgemäßen Inhalationspulver können mittels aus dem Stand der Technik bekannten Inhalatoren appliziert werden.The inhalable powders according to the invention can be applied using inhalers known from the prior art.

Erfindungsgemäße treibgashaltige Inhalationsaerosole können 1_ im Treibgas gelöst oder in dispergierter Form enthalten. Die zur Herstellung der Inhalationsaerosole einsetzbaren Treibgase sind aus dem Stand der Technik bekannt. Geeignete Treibgase sind ausgewählt aus der Gmppe bestehend aus Kohlenwasserstoffen wie n-Propan, n-Butan oder Isobutan und Halogenkohlenwasserstoffen wie fluorierten Derivaten des Methans, Ethans, Propans, Butans, Cyclopropans oder Cyclobutans. Die vorstehend genannten Treibgase können dabei allein oder in Mischungen derselben zur Verwendnung kommen. Besonders bevorzugte Treibgase sind halogenierte Alkanderivate ausgewählt aus TG134a und TG227 und Mischungen derselben.Inhalation aerosols containing propellant gas according to the invention can be dissolved in the propellant gas or contain in dispersed form. The propellant gases which can be used to produce the inhalation aerosols are known from the prior art. Suitable propellants are selected from the group consisting of hydrocarbons such as n-propane, n-butane or isobutane and halogenated hydrocarbons such as fluorinated derivatives of methane, ethane, propane, butane, cyclopropane or cyclobutane. The above-mentioned propellant gases can be used alone or in mixtures thereof. Particularly preferred propellants are halogenated alkane derivatives selected from TG134a and TG227 and mixtures thereof.

Die treibgashaltigen Inhalationsaerosole können femer weitere Bestandteile wie Kosolventien, Stabilisatoren, oberflächenaktive Mittel (surfactants), Antioxidantien, Schmiermittel sowie Mittel zur Einstellung des pH-Werts enthalten. All diese Bestandteile sind im Stand der Technik bekannt.The inhalation aerosols containing propellant gas may also contain further constituents such as cosolvents, stabilizers, surfactants, antioxidants, lubricants and agents for adjusting the pH. All of these components are known in the art.

Die vorstehend genannten treibgashaltigen Inhalationaerosole können mittels im Stand der Technik bekannten Inhalatoren (MDIs = metered dose inhalers) appliziert werden.The aforementioned inhalation aerosols containing propellant gas can be administered using inhalers known in the art (MDIs = metered dose inhalers).

Femer kann die Applikation der erfindungsgemäßen Wirkstoffe 1 in Form von treibgasfreien Inhalationslösungen und Inhalationssuspensionen. Als Lösungsmittel kommen hierzu wässrige oder alkoholische, bevorzugt ethanolische Lösungen in Betracht. Das Lösungsmittel kann ausschließlich Wasser sein oder es ist ein Gemisch aus Wasser und Ethanol. Der relative Anteil an Ethanol gegenüber Wasser ist nicht begrenzt, bevorzugt liegt die maximale Grenze jedoch bei bis 70 Volumenprozent, insbesondere bei bis zu 60 Volumenprozent und besonders bevorzugt bei bis zu 30 Volumenprozent. Die restlichen Volumenprozente werden von Wasser aufgefüllt. Die 1_ enthaltenden Lösungen oder Suspensionen werden mit geeigneten Säuren auf einen pH-Wert von 2 bis 7, bevorzugt von 2 bis 5 eingestellt. Zur Einstellung dieses pH- Werts können Säuren ausgewählt aus anorganischen oder organischen Säuren Verwendung finden. Beispiele für besonders geeignete anorganische Säuren sind Salzsäure, Bromwasserstoffsäure,The active compounds 1 according to the invention can also be applied in the form of propellant-free inhalation solutions and inhalation suspensions. Suitable solvents for this purpose are aqueous or alcoholic, preferably ethanolic, solutions. The solvent can only be water or it is a mixture of water and ethanol. The relative proportion of ethanol to water is not limited, but the maximum limit is preferably up to 70 percent by volume, in particular up to 60 percent by volume and particularly preferably up to 30 percent by volume. The remaining volume percentages are filled up with water. The 1_ containing solutions or suspensions are adjusted to a pH of 2 to 7, preferably 2 to 5, using suitable acids. Acids selected from inorganic or organic acids can be used to adjust this pH. Examples of particularly suitable inorganic acids are hydrochloric acid, hydrobromic acid,

Salpetersäure, Schwefelsäure und oder Phosphorsäure. Beispiele für besonders geeignete organische Säuren sind: Ascorbinsäure, Zitronensäure, Äpfelsäure, Weinsäure, Maleinsäure, Bemsteinsäure, Fumarsäure, Essigsäure, Ameisensäure und/oder Propionsäure und andere. Bevorzugte anorganische Säuren sind Salzsäure und Schwefelsäure. Es können auch die Säuren verwendet werden, die bereits mit einem der Wirkstoffe ein Säureadditionssalz bilden. Unter den organischen Säuren sind Ascorbinsäure, Fumarsäure und Zitronensäure bevorzugt. Gegebenenfalls können auch Gemische der genannten Säuren eingesetzt werden, insbesondere in Fällen von Säuren, die neben ihren Säuemngseigenschaften auch andere Eigenschaften, z.B. als Geschmackstoffe, Antioxidantien oder Komplexbildner besitzen, wie beispielsweise Zitronensäure oderNitric acid, sulfuric acid and or phosphoric acid. Examples of particularly suitable organic acids are: ascorbic acid, citric acid, malic acid, tartaric acid, maleic acid, succinic acid, fumaric acid, acetic acid, formic acid and / or propionic acid and others. Preferred inorganic acids are hydrochloric acid and sulfuric acid. It is also possible to use the acids which already form an acid addition salt with one of the active ingredients. Ascorbic acid, fumaric acid and citric acid are preferred among the organic acids. If appropriate, mixtures of the acids mentioned can also be used, especially in cases of acids which, in addition to their acidifying properties, also have other properties, e.g. as flavors, antioxidants or complexing agents, such as citric acid or

Ascorbinsäure. Erfindungsgemäß besonders bevorzugt wird Salzsäure zur Einstellung des pH- Werts verwendet.Ascorbic acid. According to the invention, hydrochloric acid is particularly preferably used to adjust the pH.

In diesen Formuliemngen kann gegebenenfalls auf den Zusatz von Editinsäure (EDTA) oder einem der bekannten Salze davon, Natriumedetat, als Stabilisator oder Komplexbildner verzichtet werden. Andere Ausführungsformen beinhalten dieseIn these formulations, the addition of editic acid (EDTA) or one of the known salts thereof, sodium edetate, as a stabilizer or complexing agent may optionally be dispensed with. Other embodiments include these

Verbindung(en). In einer solchen bevorzugten Ausführungsform liegt der Gehalt bezogen auf Natriumedetat unter 100 mg / 100 ml, bevorzugt unter 50 mg/ 100ml, besonders bevorzugt unter 20 mg/ 100ml. Generell sind solche Inhalationslösungen bevorzugt, in denen der Gehalt an Natriumedetat bei 0 bis lOmg/lOOml liegt. Den treibgasfreien Inhaltionslösungen können Co-Solventien und/oder weitere Hilfsstoffe zugesetzt werden. Bevorzugte Co-Solventien sind solche, die Hydroxylgruppen oder andere polare Gruppen enthalten, beispielsweise Alkohole - insbesondere Isopropylalkohol, Glykole - insbesondere Propylenglykol, Polyethylenglykol, Polypropylenglykol, Glykolether, Glycerol, Polyoxyethylenalkohole und Polyoxyethylen- Fettsäureester. Unter Hilfs- und Zusatzstoffen wird in diesem Zusammenhang jeder pharmakologisch verträgliche Stoff verstanden, der kein Wirkstoff ist, aber zusammen mit dem (den) Wirkstoff(en) in dem pharmakologisch geeigneten Lösungsmittel formuliert werden kann, um die qualitativen Eigenschaften der Wirkstoffformulierung zu verbessern. Bevorzugt entfalten diese Stoffe keine oder im Kontext mit der angestrebten Therapie keine nennenswerte oder zumindest keine unerwünschte pharmakologische Wirkung. Zu den Hilfs- und Zusatzstoffen zählen z.B. oberflächenaktive Stoffe, wie z.B. Sojalecithin, Ölsäure, Sorbitanester, wie Polysorbate, Polyvinylpyrrolidon sonstige Stabilisatoren, Komplexbildner, Antioxidantien und/oder Konservierungsstoffe, die die Verwendungsdauer der fertigen Arzneimittelformulierung gewährleisten oder verlängern, Geschmackstoffe, Vitamine und/oder sonstige dem Stand der Technik bekannteLinks). In such a preferred embodiment, the content based on sodium edetate is below 100 mg / 100 ml, preferably below 50 mg / 100 ml, particularly preferably below 20 mg / 100 ml. Inhalation solutions in which the sodium edetate content is 0 to 10 mg / 100 ml are generally preferred. Co-solvents and / or other auxiliaries can be added to the propellant-free inhalation solutions. Preferred co-solvents are those which contain hydroxyl groups or other polar groups, for example alcohols - in particular isopropyl alcohol, glycols - in particular propylene glycol, polyethylene glycol, polypropylene glycol, glycol ether, glycerol, polyoxyethylene alcohols and polyoxyethylene fatty acid esters. In this context, auxiliaries and additives are understood to mean any pharmacologically acceptable substance which is not an active substance but can be formulated together with the active substance (s) in the pharmacologically suitable solvent in order to improve the qualitative properties of the active substance formulation. These substances preferably have no or no significant or at least no undesirable pharmacological effect in the context of the desired therapy. To The auxiliaries and additives include, for example, surface-active substances, such as, for example, soy lecithin, oleic acid, sorbitan esters, such as polysorbates, polyvinylpyrrolidone, other stabilizers, complexing agents, antioxidants and / or preservatives which guarantee or extend the useful life of the finished pharmaceutical formulation, flavors, vitamins and / or others known in the art

Zusatzstoffe. Zu den Zusatzstoffen zählen auch pharmakologisch unbedenkliche Salze wie beispielsweise Natriumchlorid als Isotonantien.Additives. The additives also include pharmacologically acceptable salts such as sodium chloride as isotonic agents.

Zu den bevorzugten Hilfsstoffen zählen Antioxidantien, wie beispielsweise Ascorbinsäure, sofern nicht bereits für die Einstellung des pH- Werts verwendet, Vitamin A, Vitamin E, Tocopherole und ähnliche im menschlichen Organismus vorkommende Vitamine oder Pro vitamine.The preferred auxiliaries include antioxidants, such as ascorbic acid, if not already used for adjusting the pH, vitamin A, vitamin E, tocopherols and similar vitamins or pro vitamins occurring in the human organism.

Konservierungsstoffe können eingesetzt werden, um die Formulierung vor Kontamination mit Keimen zu schützen. Als Konservierungsstoffe eignen sich die dem Stand der Technik bekannten, insbesondere Cetylpyridiniumchlorid, Benzalkoniumchlorid oder Benzoesäure bzw. Benzoate wie Natriumbenzoat in der aus dem Stand der Technik bekanntenPreservatives can be used to protect the formulation from contamination with germs. Suitable preservatives are those known from the prior art, in particular cetylpyridinium chloride, benzalkonium chloride or benzoic acid or benzoates such as sodium benzoate from those known from the prior art

Konzentration. Die vorstehend genannten Konservierungsstoffe sind vorzugsweise in Konzentrationen von bis zu 50mg/100ml, besonders bevorzugt zwischen 5 und 20 mg/100ml enthalten. Bevorzugte Formuliemngen enthalten außer dem Lösungsmittel Wasser und dem Wirkstoff 1 nur noch Benzalkoniumchlorid und Natriumedetat.Concentration. The preservatives mentioned above are preferably present in concentrations of up to 50 mg / 100 ml, particularly preferably between 5 and 20 mg / 100 ml. In addition to the solvent water and the active ingredient 1, preferred formulations only contain benzalkonium chloride and sodium edetate.

In einer anderen bevorzugten Ausführungsform wird auf Natriumedetat verzichtet.In another preferred embodiment, sodium edetate is dispensed with.

Die Dosiemng der erfindungsgemäßen Verbindungen ist naturgemäß stark von der Applikationsart und der zu therapierenden Erkrankung abhängig. Bei inhalativer Applikation zeichnen sich die Verbindungen der Formel 1 bereits bei Dosen im μg-Bereich durch eine hohe Wirksamkeit aus. Auch oberhalb des μg-Bereichs, lassen sich die Verbindungen der Formel 1 sinnvoll einsetzen. Die Dosiemng kann dann beispielsweise auch im Milligrammbereich liegen.The dosage of the compounds according to the invention is of course strongly dependent on the type of application and the disease to be treated. When administered by inhalation, the compounds of formula 1 are highly effective even at doses in the μg range. Even above the μg range, the compounds of formula 1 can be used expediently. The dosage can then be in the milligram range, for example.

Ein weiterer Aspekt der vorliegenden Erfindung betrifft die vorstehend genannten pharmazeutischen Formuliemngen, gekennzeichnet durch einen Gehalt einer Verbindung der Formel 1_, als solche, besonders bevorzugt die vorstehend genannten inhalativ applizierbaren pharmazeutischen Formuliemngen.Another aspect of the present invention relates to the pharmaceutical formulations mentioned above, characterized by a content of a compound of the formula 1_ as such, particularly preferably the pharmaceutical formulations mentioned above which can be administered by inhalation.

Die nachfolgenden Formuliemngsbeipiele illustrieren die vorliegende Erfindung ohne sie jedoch in ihrem Umfang zu beschränken:The following formulation examples illustrate the present invention without it however, limit in scope:

A) Ampullenlösung Wirkstoff der Formel 1 25 mg Natriumchlorid 50 mg Aqua pro inj. 5 mlA) Ampoule solution Active ingredient of formula 1 25 mg sodium chloride 50 mg aqua per inj. 5 ml

Der Wirkstoff wird bei Eigen-pH oder gegebenenfalls bei pH 5,5 bis 6,5 in Wasser gelöst und mit Natriumchlorid als Isotonans versetzt. Die erhaltene Lösung wird pyrogenfrei filtriert und das Filtrat unter aseptischen Bedingungen in Ampullen abgefüllt, die anschließend sterilisiert und zugeschmolzen werden. Die Ampullen enthalten 5 mg, 25 mg und 50 mg Wirkstoff.The active ingredient is dissolved in water at its own pH or, if appropriate, at pH 5.5 to 6.5, and sodium chloride is added as an isotonic agent. The solution obtained is filtered pyrogen-free and the filtrate is filled into ampoules under aseptic conditions, which are then sterilized and sealed. The ampoules contain 5 mg, 25 mg and 50 mg of active ingredient.

B) Dosieraerosol (Suspension) Wirkstoff der Formel l 0.03 Gew.% Sorbitantrioleat 0.6 Gew. % HFA134A:HFA227 2: 1 99.37 Gew.%B) MDI (suspension) active ingredient of the formula I 0.03% by weight sorbitan trioleate 0.6% by weight HFA134A: HFA227 2: 1 99.37% by weight

Die Suspension wird in einen üblichen Aerosolbehälter mit Dosierventil gefüllt. Pro Betätigung werden vorzugsweise 50 μl Suspension abgegeben. Der Wirkstoff kann gewünschtenfalls auch höher dosiert werdenThe suspension is filled into a conventional aerosol container with a metering valve. 50 μl of suspension are preferably dispensed per actuation. If desired, the active ingredient can also be dosed in higher doses

C) Dosieraerosol (Lösung) Wirkstoff der Formel 1 0.03 Gew.% Ethanol abs. 20 Gew.% wässrige HC1 0.01 mol/1 2.0 Gew.% HFA134A 77.97 Gew.%C) MDI (solution) Active ingredient of formula 1 0.03 wt.% Ethanol abs. 20% by weight aqueous HC1 0.01 mol / 1 2.0% by weight HFA134A 77.97% by weight

Die Herstellung der Lösung erfolgt in üblicher Art und Weise durch Mischen der einzelnen Bestandteile.The solution is prepared in a conventional manner by mixing the individual components.

D) Inhalationspulver Wirkstoff der Formel 1 80 μg Lactose Monohydrat ad 10 mgD) Inhalable powder active ingredient of formula 1 80 μg lactose monohydrate ad 10 mg

Die Herstellung des Inhalationspulvers erfolgt in üblicher Art und Weise durch Mischen der einzelnen Bestandteile.The inhalable powder is prepared in the usual way by mixing of the individual components.

Claims

Translated fromGerman
Patentansprücheclaims1) Verbindungen der allgemeinen Formel 11) Compounds of the general formula 1
Figure imgf000045_0001
woπn n 1 oder 2; A eine zweibindige Gmppe ausgewählt aus der Gmppe bestehend aus -(C=O)-, -S(=O)-, -S(=O)2- und -C(R4R5)-; B eine zweibindige Gmppe ausgewählt aus der Gmppe bestehend aus -O-, -NR6-, -CH2-, -S-CR7R8-, -NR6-CR7R8-, -CH2-CR7R8-, -O-CR9R10- und -CH=CH-; R1 und R2 gleich oder verschieden, Wasserstoff, Cι-C4-Alkyl, Halogen, OH oder -O-Cι-C4-Alkyl; R3 Wasserstoff, Cι-C4-Alkyl, OH, Halogen, -O-Cι-C4-Alkyl, -COOH, -COO-C,-C4-Alkyl, -O-C,-C4-Alkylen-COOH oder -O-C,-C4-Alkylen-CO-O-C1-C4-Alkyl; R4 und R5 gleich oder verschieden, Wasserstoff, Cι-C4-Alkyl, OH, Halogen, -O-Cι-C4-Alkyl, -COOH oder -COO-Cι-C4-Alkyl; R6 Wasserstoff oder Cι-C4-Alkyl;
Figure imgf000045_0001
woπn n 1 or 2; A is a double-bonded group selected from the group consisting of - (C = O) -, -S (= O) -, -S (= O)2 - and -C (R4 R5 ) -; B is a double-bonded group selected from the group consisting of -O-, -NR6 -, -CH2 -, -S-CR7 R8 -, -NR6 -CR7 R8 -, -CH2 -CR7 R8 -, -O-CR9 R10 - and -CH = CH-; R1 and R2 are the same or different, hydrogen, -CC4 alkyl, halogen, OH or -O -CC4 alkyl; R3 is hydrogen, -CC4 -alkyl, OH, halogen, -O-Cι-C4 -alkyl, -COOH, -COO-C, -C4 -alkyl, -OC, -C4 -alkylene-COOH or -OC, -C4 alkylene-CO-OC1 -C4 alkyl; R4 and R5 are identical or different, hydrogen, -CC4 -alkyl, OH, halogen, -O-Cι-C4 alkyl, -COOH or -COO-Cι-C4 alkyl; R6 is hydrogen or -CC4 alkyl;R und R gleich oder verschieden, Wasserstoff oder Cι-C4-Alkyl, R9 und R!0 gleich oder verschieden, Cι-C4-Alkyl, bedeuten, gegebenenfalls in Form der einzelnen Enantiomere, Mischungen der einzelnen Enantiomere oder Racemate, gegebenenfalls in Form ihrer Säureadditionssalze mit pharmakologisch unbedenklichen Säuren sowie gegebenenfalls in Form der Solvate und/oder Hydrate.R and R are the same or different, hydrogen or -CC4 alkyl, R9 and R! 0 are the same or different, -CC4 -alkyl, optionally in the form of the individual enantiomers, mixtures of the individual enantiomers or racemates, if appropriate in the form of their acid addition salts with pharmacologically acceptable acids and optionally in the form of the solvates and / or hydrates.2) Verbindungen der Formel 1 nach Anspruch 1, worin n 1 oder 2;2) Compounds of formula 1 according to claim 1, wherein n is 1 or 2;A eine zweibindige Gmppe ausgewählt aus der Gmppe bestehend aus -(C=O)-, -S(=O)2- und -C(R4R5)-; B eine zweibindige Gmppe ausgewählt aus der Gmppe bestehend aus -O-, -NR6-, -CH2-, -S-CR7R8-, -NR6-CR7R8-, -CH2-CR7R8-, -O-CR9R10- und -CH=CH-; R1 und R2 gleich oder verschieden, Wasserstoff, Methyl, Ethyl, Propyl, Fluor, Chlor, Brom, OH, Methoxy oder Ethoxy; R3 Wasserstoff, Methyl, Ethyl, Propyl, Fluor, Chlor, Brom, OH, Methoxy, Ethoxy, -COOH, -COOMethyl, -COOEthyl, -O-CH2-COOH, -O-CH2-COO-Methyl, -O-CH2-COO-Ethyl, -O-CH2-CH2-COOH, -O-CH2-CH2-COO-Methyl, -O-CH2-CH2-COO-Ethyl, -O-CH2-CH2-CH2-COOH, -O-CH2-CH2-CH2-COO-Methyl oder -O-CH2-CH2-CH2-COO-Ethyl; R4 und R5 gleich oder verschieden, Wasserstoff, Methyl, Ethyl, OH, Fluor, Chlor, -COOH, -COOMethyl oder -COOEthyl; R6 Wasserstoff, Methyl, Ethyl oder Propyl, bevorzugt Wasserstoff; R7 und R8 gleich oder verschieden, Wasserstoff, Methyl, Ethyl oder Propyl, R9 und R10 gleich oder verschieden, Methyl, Ethyl oder Propyl, bedeuten, gegebenenfalls in Form der einzelnen Enantiomere, Mischungen der einzelnen Enantiomere oder Racemate, gegebenenfalls in Form ihrer Säureadditionssalze mit pharmakologisch unbedenklichen Säuren sowie gegebenenfalls in Form der Solvate und/oder Hydrate.A a two-legged group selected from the group consisting of - (C = O) -, -S (= O)2 - and -C (R4 R5 ) -; B is a double-bonded group selected from the group consisting of -O-, -NR6 -, -CH2 -, -S-CR7 R8 -, -NR6 -CR7 R8 -, -CH2 -CR7 R8 -, -O-CR9 R10 - and -CH = CH-; R1 and R2 are the same or different, hydrogen, methyl, ethyl, propyl, fluorine, chlorine, bromine, OH, methoxy or ethoxy; R3 hydrogen, methyl, ethyl, propyl, fluorine, chlorine, bromine, OH, methoxy, ethoxy, -COOH, -COOMethyl, -COOEthyl, -O-CH2 -COOH, -O-CH2 -COO-methyl, - O-CH2 -COO-ethyl, -O-CH2 -CH2 -COOH, -O-CH2 -CH2 -COO-methyl, -O-CH2 -CH2 -COO-ethyl, -O-CH2 -CH2 -CH2 -COOH, -O-CH2 -CH2 -CH2 -COO-methyl or -O-CH2 -CH2 -CH2 -COO-ethyl; R4 and R5 are the same or different, hydrogen, methyl, ethyl, OH, fluorine, chlorine, -COOH, -COOMethyl or -COOEthyl; R6 is hydrogen, methyl, ethyl or propyl, preferably hydrogen; R7 and R8 are the same or different, hydrogen, methyl, ethyl or propyl, R9 and R10 are the same or different, methyl, ethyl or propyl, optionally in the form of the individual enantiomers, mixtures of the individual enantiomers or racemates, optionally in Form of their acid addition salts with pharmacologically acceptable acids and optionally in the form of the solvates and / or hydrates.3) Verbindungen der Formel 1 nach Anspruch 1 oder 2, worin n 1 oder 2; A eine zweibindige Gmppe ausgewählt aus der Gmppe bestehend aus -(C=O)-, -S(=O)2- und -C(R4R5)-; B eine zweibindige Gmppe ausgewählt aus der Gmppe bestehend aus -O-, -NR6-, -CH2-, -S-CR7R8-, -NR6-CR7R8-, -CH2-CR7R8-, -O-CR9R10- und -CH=CH-; R1 und R2 gleich oder verschieden, Wasserstoff, Methyl, Ethyl, Fluor, Chlor, OH, Methoxy oder Ethoxy; R3 Wasserstoff, Methyl, Ethyl, Fluor, Chlor, OH, Methoxy, Ethoxy, -COOH, -COOMethyl, -COOEthyl, -O-CH2-COOH, -O-CH2-COO-Methyl, -O-CH2-COO-Ethyl, -O-CH2-CH2-COOH, -O-CH2-CH2-COO-Methyl oder -O-CH2-CH2-COO-Ethyl; R4 und R5 gleich oder verschieden, Wasserstoff, Methyl, Ethyl, -COOH, -COOMethyl oder -COOEthyl; R6 Wasserstoff, Methyl oder Ethyl;3) Compounds of formula 1 according to claim 1 or 2, wherein n is 1 or 2; A is a double-bonded group selected from the group consisting of - (C = O) -, -S (= O)2 - and -C (R4 R5 ) -; B is a double-bonded group selected from the group consisting of -O-, -NR6 -, -CH2 -, -S-CR7 R8 -, -NR6 -CR7 R8 -, -CH2 -CR7 R8 -, -O-CR9 R10 - and -CH = CH-; R1 and R2 are the same or different, hydrogen, methyl, ethyl, fluorine, chlorine, OH, methoxy or ethoxy; R3 is hydrogen, methyl, ethyl, fluorine, chlorine, OH, methoxy, ethoxy, -COOH, -COOMethyl, -COOEthyl, -O-CH2 -COOH, -O-CH2 -COO-methyl, -O-CH2 -COO-ethyl, -O-CH2 -CH2 -COOH, -O-CH2 -CH2 -COO-methyl or -O-CH2 -CH2 -COO-ethyl; R4 and R5 are the same or different, hydrogen, methyl, ethyl, -COOH, -COOMethyl or -COOEthyl; R6 is hydrogen, methyl or ethyl;R7 und R8 gleich oder verschieden, Wasserstoff, Methyl oder Ethyl, bevorzugt Wasserstoff oder Methyl,R7 and R8 are the same or different, hydrogen, methyl or ethyl, preferably hydrogen or methyl,R9 und R10 gleich oder verschieden, Methyl oder Ethyl, bevorzugt Methyl, bedeuten, gegebenenfalls in Form der einzelnen Enantiomere, Mischungen der einzelnen Enantiomere oder Racemate, gegebenenfalls in Form ihrer Säureadditionssalze mit pharmakologisch unbedenklichen Säuren sowie gegebenenfalls in Form der Solvate und/oder Hydrate.R9 and R10, the same or different, methyl or ethyl, preferably methyl, mean, optionally in the form of the individual enantiomers, mixtures of the individual enantiomers or racemates, optionally in the form of their acid addition salts with pharmacologically acceptable acids and optionally in the form of the solvates and / or hydrates.4) Verbindungen der Formel 1. nach Anspruch 1 , 2 oder 3, worin n 1 oder 2; A eine zweibindige Gmppe ausgewählt aus der Gmppe bestehend aus -(C=O)-, -S(=O)2- und -C(R4R5)-; B eine zweibindige Gmppe ausgewählt aus der Gmppe bestehend aus -O-, -NH-, -CH2-, -S-CH2-, -NH-CH2-, -CH2-CH2-, -O-CR9R10- und -CH=CH-; R1 und R2 gleich oder verschieden, Wasserstoff, Methyl, Ethyl, Fluor, Chlor, OH, Methoxy oder Ethoxy;4) Compounds of formula 1. according to claim 1, 2 or 3, wherein n is 1 or 2; A is a double-bonded group selected from the group consisting of - (C = O) -, -S (= O)2 - and -C (R4 R5 ) -; B is a double-bonded group selected from the group consisting of -O-, -NH-, -CH2 -, -S-CH2 -, -NH-CH2 -, -CH2 -CH2 -, -O-CR9 R10 - and -CH = CH-; R1 and R2 are the same or different, hydrogen, methyl, ethyl, fluorine, chlorine, OH, methoxy or ethoxy;R3 Wasserstoff, Methyl, Ethyl, Fluor, Chlor, OH, Methoxy, Ethoxy, -COOH, -COOMethyl, -COOEthyl, -O-CH2-COOH, -O-CH2-COO-Methyl, -O-CH2-COO-Ethyl, -O-CH2-CH2-COOH, -O-CH2-CH2-COO-Methyl oder -O-CH2-CH2-COO-Ethyl; R4 und R5 gleich oder verschieden, Wasserstoff, Methyl, Ethyl, -COOH, -COOMethyl oder -COOEthyl; R9 und R10 gleich oder verschieden, bevorzugt gleich, Methyl oder Ethyl, bevorzugt Methyl, bedeuten, gegebenenfalls in Form der einzelnen Enantiomere, Mischungen der einzelnen Enantiomere oder Racemate, gegebenenfalls in Form ihrer Säureadditionssalze mit pharmakologisch unbedenklichen Säuren sowie gegebenenfalls in Form der Solvate und/oder Hydrate. 5) Verbindungen der Formel 1 nach Anspruch 1, 2, 3 oder 4, worin n 1 oder 2;R3 is hydrogen, methyl, ethyl, fluorine, chlorine, OH, methoxy, ethoxy, -COOH, -COOMethyl, -COOEthyl, -O-CH2 -COOH, -O-CH2 -COO-methyl, -O-CH2 -COO-ethyl, -O-CH2 -CH2 -COOH, -O-CH2 -CH2 -COO-methyl or -O-CH2 -CH2 -COO-ethyl; R4 and R5 are the same or different, hydrogen, methyl, ethyl, -COOH, -COOMethyl or -COOEthyl; R9 and R10 are identical or different, preferably identical, methyl or ethyl, preferably methyl, optionally in the form of the individual enantiomers, mixtures of the individual enantiomers or racemates, optionally in the form of their acid addition salts with pharmacologically acceptable acids and optionally in the form of the solvates and / or hydrates. 5) Compounds of formula 1 according to claim 1, 2, 3 or 4, wherein n is 1 or 2;A eine zweibindige Gmppe ausgewählt aus der Gmppe bestehend aus -(C=O)- und -S(=O)2-;A is a two-member group selected from the group consisting of - (C = O) - and -S (= O)2 -;B eine zweibindige Gmppe ausgewählt aus der Gmppe bestehend aus -O-, -NH-, -CH2-, -S-CH2-, -NH-CH2-, -CH2-CH2-, -O-CR9R10- und -CH=CH-; R1 und R2 gleich oder verschieden, Wasserstoff, Methyl, Ethyl, Fluor, Chlor, OH, Methoxy oder Ethoxy; R3 Wasserstoff, Methyl, Ethyl, Fluor, Chlor, OH, Methoxy, Ethoxy, -COOH, -COOMethyl, -COOEthyl, -O-CH2-COOH, -O-CH2-COO-Methyl, -O-CH2-COO-Ethyl, -O-CH2-CH2-COOH, -O-CH2-CH2-COO-Methyl oder -O-CH2-CH2-COO-Ethyl; R9 und R10 gleich oder verschieden, bevorzugt gleich, Methyl oder Ethyl, bevorzugt Methyl, bedeuten, gegebenenfalls in Form der einzelnen Enantiomere, Mischungen der einzelnen Enantiomere oder Racemate, gegebenenfalls in Form ihrer Säureadditionssalze mit pharmakologisch unbedenklichen Säuren sowie gegebenenfalls in Form der Solvate und/oder Hydrate.B is a double-bonded group selected from the group consisting of -O-, -NH-, -CH2 -, -S-CH2 -, -NH-CH2 -, -CH2 -CH2 -, -O-CR9 R10 - and -CH = CH-; R1 and R2 are the same or different, hydrogen, methyl, ethyl, fluorine, chlorine, OH, methoxy or ethoxy; R3 is hydrogen, methyl, ethyl, fluorine, chlorine, OH, methoxy, ethoxy, -COOH, -COOMethyl, -COOEthyl, -O-CH2 -COOH, -O-CH2 -COO-methyl, -O-CH2 -COO-ethyl, -O-CH2 -CH2 -COOH, -O-CH2 -CH2 -COO-methyl or -O-CH2 -CH2 -COO-ethyl; R9 and R10 are identical or different, preferably identical, methyl or ethyl, preferably methyl, optionally in the form of the individual enantiomers, mixtures of the individual enantiomers or racemates, optionally in the form of their acid addition salts with pharmacologically acceptable acids and optionally in the form of the solvates and / or hydrates.6) Verbindungen der Formel 1 nach einem der Ansprüche 1 bis 5, worin6) Compounds of formula 1 according to any one of claims 1 to 5, whereinR1 und R2 gleich oder verschieden, Wasserstoff, Methyl, Ethyl, Fluor, Chlor, OH, Methoxy oder Ethoxy; R3 Wasserstoff, bedeutet, gegebenenfalls in Form der einzelnen Enantiomere, Mischungen der einzelnen Enantiomere oder Racemate, gegebenenfalls in Form ihrer Säureadditionssalze mit pharmakologisch unbedenklichen Säuren sowie gegebenenfalls in Form der Solvate und/oder Hydrate.R1 and R2 are the same or different, hydrogen, methyl, ethyl, fluorine, chlorine, OH, methoxy or ethoxy; R3 is hydrogen, optionally in the form of the individual enantiomers, mixtures of the individual enantiomers or racemates, optionally in the form of their acid addition salts with pharmacologically acceptable acids and optionally in the form of the solvates and / or hydrates.7) Verbindungen der Formel 1 nach einem der Ansprüche 1 bis 5, worin 1 77) Compounds of formula 1 according to one of claims 1 to 5, wherein 1 7thR und R gleich oder verschieden, Wasserstoff, Methyl, Fluor, Chlor oder Methoxy; R3 gleich oder verschieden, Wasserstoff, Methyl, Fluor, Chlor oder Methoxy, bedeutet, gegebenenfalls in Form der einzelnen Enantiomere, Mischungen der einzelnen Enantiomere oder Racemate, gegebenenfalls in Form ihrer Säureadditionssalze mit pharmakologisch unbedenklichen Säuren sowie gegebenenfalls in Form der Solvate und/oder Hydrate.R and R are the same or different, hydrogen, methyl, fluorine, chlorine or methoxy; R3 are the same or different, hydrogen, methyl, fluorine, chlorine or methoxy, means, optionally in the form of the individual enantiomers, mixtures of the individual enantiomers or racemates, optionally in the form of their acid addition salts with pharmacologically acceptable acids and optionally in the form of the solvates and / or hydrates.8) Verbindungen der Formel 1 nach einem der Ansprüche 1 bis 5, worin8) Compounds of formula 1 according to any one of claims 1 to 5, whereinR3 Methyl, Ethyl, Fluor, Chlor, OH, Methoxy, Ethoxy, -COOH, -COOMethyl, -COOEthyl, -O-CH2-COOH, -O-CH2-COOMethyl, -O-CH2-COOEthyl, -O-CH2-CH2-COOH, -O-CH2-CH2-COOMethyl oder -O-CH2-CH2-COOEthyl; bedeutet, gegebenenfalls in Form der einzelnen Enantiomere, Mischungen der einzelnen Enantiomere oder Racemate, gegebenenfalls in Form ihrer Säureadditionssalze mit pharmakologisch unbedenklichen Säuren sowie gegebenenfalls in Form der Solvate und/oder Hydrate.R3 methyl, ethyl, fluorine, chlorine, OH, methoxy, ethoxy, -COOH, -COOMethyl, -COOEthyl, -O-CH2 -COOH, -O-CH2 -COOMethyl, -O-CH2 -COOEthyl, - O-CH2 -CH2 -COOH, -O-CH2 -CH2 -COOMethyl or -O-CH2 -CH2 -COOEthyl; means, optionally in the form of the individual enantiomers, mixtures of the individual enantiomers or racemates, optionally in the form of their acid addition salts with pharmacologically acceptable acids and optionally in the form of the solvates and / or hydrates.9) Verbindungen der Formel 1 nach einem der Ansprüche 1 bis 5, worin9) Compounds of formula 1 according to any one of claims 1 to 5, whereinR3 Methyl, Ethyl, OH, Methoxy, Ethoxy, -O-CH2-COOH, -O-CH2-COOMethyl oder -O-CH2-COOEthyl, bevorzugt OH, Methoxy oder Ethoxy, bedeutet, gegebenenfalls in Form der einzelnen Enantiomere, Mischungen der einzelnen Enantiomere oder Racemate, gegebenenfalls in Form ihrer Säureadditionssalze mit pharmakologisch unbedenklichen Säuren sowie gegebenenfalls in Form der Solvate und/oder Hydrate.R3 denotes methyl, ethyl, OH, methoxy, ethoxy, -O-CH2 -COOH, -O-CH2 -COOMethyl or -O-CH2 -COOEthyl, preferably OH, methoxy or ethoxy, optionally in the form of the individual Enantiomers, mixtures of the individual enantiomers or racemates, optionally in the form of their acid addition salts with pharmacologically acceptable acids and optionally in the form of the solvates and / or hydrates.10) Verbindungen der Formel 1 nach einem der Ansprüche 1 bis 9, dadurch gekennzeichnet, dass sie in Form eines ihrer Säureadditionssalze mit pharmakologisch unbedenklichen Säuren vorliegen, welches ausgewählt ist aus der Gmppe bestehend aus Hydrochlorid, Hydrobromid, Hydroiodid, Hydrosulfat, Hydrophosphat, Hydromethansulfonat, Hydronitrat, Hydromaleat, Hydroacetat, Hydrobenzoat, Hydrocitrat, Hydrofumarat, Hydrotartrat, Hydrooxalat, Hydrosuccinat, Hydrobenzoat und Hydro-p- toluolsulfonat. 11) Verbindungen der Formel 1 nach einem der Ansprüche 1 bis 10, dadurch gekennzeichnet, dass sie in Form der R-Enantiomere der allgemeinen Formel R-l10) Compounds of formula 1 according to any one of claims 1 to 9, characterized in that they are in the form of one of their acid addition salts with pharmacologically acceptable acids, which is selected from the group consisting of hydrochloride, hydrobromide, hydroiodide, hydrosulfate, hydrophosphate, hydromethanesulfonate, Hydronitrate, hydromaleate, hydroacetate, hydrobenzoate, hydrocitrate, hydrofumarate, hydrotartrate, hydrooxalate, hydrosuccinate, hydrobenzoate and hydro-p-toluenesulfonate. 11) Compounds of formula 1 according to one of claims 1 to 10, characterized in that they are in the form of the R-enantiomers of the general formula Rl
Figure imgf000050_0001
vorliegen.
Figure imgf000050_0001
available.
12) Verbindungen der allgemeinen Formel 1 gemäß einem der Ansprüche 1 bis 11 als Arzneimittel.12) Compounds of general formula 1 according to one of claims 1 to 11 as a medicament.13) Verwendung der Verbindungen der allgemeinen Formel 1 gemäß einem der13) Use of the compounds of general formula 1 according to one of theAnsprüche 1 bis 12 zur Herstellung eines Arzneimiteis zur Behandlung von Atemwegserkrankungen.Claims 1 to 12 for the manufacture of a medicament for the treatment of respiratory diseases.14) Pharmazeutischen Formulierung, gekennzeichnet durch einen Gehalt einer Verbindung der Formel 1 gemäß einem der Ansprüche 1 bis 12.14) Pharmaceutical formulation, characterized by a content of a compound of formula 1 according to one of claims 1 to 12.
PCT/EP2005/0050272004-05-132005-05-10Hydroxy-substituted benzo-condensed heterocycles for use as beta agonists in the treatment of respiratory diseasesWO2005110990A1 (en)

Priority Applications (3)

Application NumberPriority DateFiling DateTitle
CA002565243ACA2565243A1 (en)2004-05-132005-05-10Hydroxy-substituted benzo-condensed heterocycles for use as beta agonists in the treatment of respiratory diseases
JP2007512067AJP2007537187A (en)2004-05-132005-05-10 Hydroxy-substituted benzofused heterocyclic compounds for use as beta agonists in the treatment of respiratory diseases
EP05740683AEP1789394A1 (en)2004-05-132005-05-10Hydroxy-substituted benzo-condensed heterocycles for use as beta agonists in the treatment of respiratory diseases

Applications Claiming Priority (2)

Application NumberPriority DateFiling DateTitle
EP04425342.52004-05-13
EP044253422004-05-13

Publications (1)

Publication NumberPublication Date
WO2005110990A1true WO2005110990A1 (en)2005-11-24

Family

ID=34932493

Family Applications (1)

Application NumberTitlePriority DateFiling Date
PCT/EP2005/005027WO2005110990A1 (en)2004-05-132005-05-10Hydroxy-substituted benzo-condensed heterocycles for use as beta agonists in the treatment of respiratory diseases

Country Status (4)

CountryLink
EP (1)EP1789394A1 (en)
JP (1)JP2007537187A (en)
CA (1)CA2565243A1 (en)
WO (1)WO2005110990A1 (en)

Cited By (34)

* Cited by examiner, † Cited by third party
Publication numberPriority datePublication dateAssigneeTitle
WO2008104781A1 (en)*2007-02-282008-09-04Cipla LimitedProcess for preparing isomers of carmoterol
US7700782B2 (en)2006-12-202010-04-20Astrazeneca AbCompounds 569
US7709511B2 (en)2005-08-092010-05-04Astrazeneca AbBenzothiazolone derivatives
JP2010516739A (en)*2007-01-252010-05-20ベーリンガー インゲルハイム インターナショナル ゲゼルシャフト ミット ベシュレンクテル ハフツング Method for producing β-mimetic
WO2010076553A1 (en)2008-12-302010-07-08Dr. Reddy's Laboratories LtdSulfonamide compounds for the treatment of respiratory disorders
WO2010150014A1 (en)2009-06-242010-12-29Pulmagen Therapeutics (Inflammation) Limited5r- 5 -deuterated glitazones for respiratory disease treatment
EP2280006A1 (en)2005-08-082011-02-02Pulmagen Therapeutics (Synergy) LimitedPharmaceutical composition for inhalation comprising an oxazole or thiazole m3 muscarinic receptor antagonist
EP2281813A1 (en)2005-08-082011-02-09Pulmagen Therapeutics (Synergy) LimitedBicyclo[2.2.1]hept-7-ylamine derivatives and their uses
WO2011051672A1 (en)2009-10-282011-05-05Vantia LimitedAzaindole derivatives
WO2011051671A1 (en)2009-10-282011-05-05Vantia LimitedAminopyridine derivatives as kallikrein inhibitors
WO2011051673A1 (en)2009-10-282011-05-05Vantia LimitedAminothiazole derivatives useful as klk1 inhibitors
US7951954B2 (en)2006-03-142011-05-31Astrazeneca AbBezothiazol derivatives as Beta2 adrenoreceptor agonists
WO2011098801A1 (en)2010-02-102011-08-18Pulmagen Therapeutics (Inflammation) LimitedInflammatory disease treatment
WO2011098799A2 (en)2010-02-102011-08-18Pulmagen Therapeutics (Inflammation) LimitedRespiratory disease treatment
WO2011098746A1 (en)2010-02-092011-08-18Pulmagen Therapeutics (Inflammation) LimitedCrystalline acid addition salts of ( 5r) -enanti0mer of pioglitazone
US8017602B2 (en)2008-06-182011-09-13Astrazeneca AbN-(2-(2-(5-hydroxy-3-oxo-3,4-dihydro-2H-benzo[b][1,4]oxazin-8-yl)ethylamino)ethyl)-3-(phenethoxy)propanamide derivatives, processes for their preparation, pharmaceutical compositions containing them and their use in therapy
US8058294B2 (en)2007-02-082011-11-15Astrazeneca AbPharmaceutical salts of N-[2-(diethylamino)ethyl]-N-(2-{[2-(4-hydroxy-2-oxo-2,3-dihydro-1,3-benzothiazol-7-yl)ethyl]amino}ethyl)-3-[2-(1-napthyl)ethoxy]propanamide
US8076489B2 (en)2004-11-292011-12-13Novartis Ag5-hydroxy-benzothiazole derivatives having beta-2-adrenoreceptor agonist activity
US8236786B2 (en)2008-08-072012-08-07Pulmagen Therapeutics (Inflammation) LimitedRespiratory disease treatment
WO2013035047A1 (en)2011-09-062013-03-14Novartis AgBenzothiazolone compound
EP1789405B1 (en)*2004-05-142013-07-17Boehringer Ingelheim International GmbhNovel enantiomerically pure beta-agonists, method for the production and the use thereof in the form of a drug
WO2014033654A1 (en)2012-08-302014-03-06Novartis AgSalts of benzothiazolone compound as beta-2-adrenoceptor agonist
WO2014132205A1 (en)2013-02-282014-09-04Novartis AgFormulation comprising benzothiazolone compound
US10288602B2 (en)2013-01-082019-05-14Atrogi AbScreening method, a kit, a method of treatment and a compound for use in a method of treatement
US11357757B2 (en)2017-09-132022-06-14Atrogi AbHeteroaryl substituted beta-hydroxyethylamines for use in treating hyperglycaemia
US11427539B2 (en)2017-09-132022-08-30Atrogi AbBeta-hydroxy heterocyclic amines and their use in the treatment of hyperglycaemia
US11648216B2 (en)2017-09-132023-05-16Atrogi AbFluorophenyl beta-hydroxyethylamines and their use in the treatment of hyperglycaemia
US11793774B2 (en)2017-09-132023-10-24Atrogi AbChiral beta-hydroxyethylamines and their use in the treatment of hyperglycemia
WO2023203223A1 (en)2022-04-222023-10-26Atrogi AbCombinations of beta 2-adrenergic receptor agonists and beta 3-adrenergic receptor agonists, and medical uses thereof
WO2024153813A1 (en)2023-01-202024-07-25Atrogi AbBeta 2-adrenergic receptor agonists for treatment or prevention of muscle wasting
WO2024170727A1 (en)2023-02-162024-08-22Atrogi AbCombinations of beta 2-adrenergic receptor agonists and metformin for use in treating obesity and reducing body fat
WO2024184408A1 (en)2023-03-062024-09-12Atrogi AbCombination of beta-2-adrenergic receptor agonists and glp-1 receptor agonists for use in treating hyperglycaemia
US12378216B2 (en)2019-03-202025-08-05Atrogi AbHeteroaryl(heterocyclyl)methanol compounds useful in the treatment of hyperglycaemia
WO2025186320A1 (en)2024-03-052025-09-12Atrogi AbCombinations of beta 2-adrenergic receptor agonists and sglt2 inhibitors for use in treating hyperglycaemia or a disorder characterized by hyperglycaemia

Citations (8)

* Cited by examiner, † Cited by third party
Publication numberPriority datePublication dateAssigneeTitle
JPS51128982A (en)*1975-04-291976-11-10Higuchi YoshinariNew corbostyril derivatives and pharmaceutical compositions containing thereof
JPS51141880A (en)*1975-05-281976-12-07Otsuka Pharmaceut Co LtdProcess for preparing carbostyril derivatives
JPS52283A (en)*1975-06-231977-01-05Otsuka Pharmaceut Co LtdProcess for preparation of carbostyril derivatives
DE2658544A1 (en)*1976-10-081978-04-13Otsuka Pharma Co Ltd CARBOSTYRIL DERIVATIVES, PROCESS FOR THEIR PRODUCTION AND MEDICINAL PRODUCTS CONTAINING THESE COMPOUNDS
DE3134590A1 (en)*1981-09-011983-03-10Boehringer Ingelheim KG, 6507 Ingelheim NEW BENZO HETEROCYCLES
US4460581A (en)*1982-10-121984-07-17Boehringer Ingelheim Kg(1-Hydroxy-2-amino-alkyl)-substituted benzoxazinones and benzoxazolinones
US4894219A (en)*1988-03-291990-01-16University Of FloridaBeta-agonist carbostyril derivatives, assay method and pharmacological composition
WO2004016601A1 (en)*2002-08-092004-02-26Novartis AgBenzothiazole derivatives having beta-2-adrenoreceptor agonist activity

Family Cites Families (2)

* Cited by examiner, † Cited by third party
Publication numberPriority datePublication dateAssigneeTitle
IL152140A0 (en)*2000-04-272003-05-29Boehringer Ingelheim PharmaNovel, slow-acting betamimetics, a method for their production and their use as medicaments
DE10253282A1 (en)*2002-11-152004-05-27Boehringer Ingelheim Pharma Gmbh & Co. KgTreatment of chronic obstructive pulmonary disease, using new or known N-substituted 2-amino-1-(benz-(1,4)-oxazin-3-on-8-yl)-ethanol derivative beta-mimetic agents, suitable for once-daily administration

Patent Citations (8)

* Cited by examiner, † Cited by third party
Publication numberPriority datePublication dateAssigneeTitle
JPS51128982A (en)*1975-04-291976-11-10Higuchi YoshinariNew corbostyril derivatives and pharmaceutical compositions containing thereof
JPS51141880A (en)*1975-05-281976-12-07Otsuka Pharmaceut Co LtdProcess for preparing carbostyril derivatives
JPS52283A (en)*1975-06-231977-01-05Otsuka Pharmaceut Co LtdProcess for preparation of carbostyril derivatives
DE2658544A1 (en)*1976-10-081978-04-13Otsuka Pharma Co Ltd CARBOSTYRIL DERIVATIVES, PROCESS FOR THEIR PRODUCTION AND MEDICINAL PRODUCTS CONTAINING THESE COMPOUNDS
DE3134590A1 (en)*1981-09-011983-03-10Boehringer Ingelheim KG, 6507 Ingelheim NEW BENZO HETEROCYCLES
US4460581A (en)*1982-10-121984-07-17Boehringer Ingelheim Kg(1-Hydroxy-2-amino-alkyl)-substituted benzoxazinones and benzoxazolinones
US4894219A (en)*1988-03-291990-01-16University Of FloridaBeta-agonist carbostyril derivatives, assay method and pharmacological composition
WO2004016601A1 (en)*2002-08-092004-02-26Novartis AgBenzothiazole derivatives having beta-2-adrenoreceptor agonist activity

Non-Patent Citations (6)

* Cited by examiner, † Cited by third party
Title
DATABASE CHEMABS [online] CHEMICAL ABSTRACTS SERVICE, COLUMBUS, OHIO, US; NAKAGAWA, KAZUYUKI ET AL: "5-(1-Hydroxy-2-aminoalkyl)carbostyrils and their pharmaceutical compositions", XP002300110, retrieved from STN Database accession no. 1977:453105*
DATABASE CHEMABS [online] CHEMICAL ABSTRACTS SERVICE, COLUMBUS, OHIO, US; NAKAGAWA, KAZUYUKI ET AL: "Carbostyril derivatives", XP002300112, retrieved from STN Database accession no. 1977:405825*
DATABASE CHEMABS [online] CHEMICAL ABSTRACTS SERVICE, COLUMBUS, OHIO, US; YOSHIZAKI, SHIRO ET AL: "Carbostyril derivatives", XP002300111, retrieved from STN Database accession no. 1977:453102*
DEYRUP M D ET AL: "STRUCTURE-AFFINITY PROFILE OF 8-HYDROXYCARBOSTYRIL-BASED AGONISTS THAT DISSOCIATE SLOWLY FROM THE BETA2-ADRENOCEPTOR", NAUNYN-SCHMIEDEBERG'S ARCHIVES OF PHARMACOLOGY, SPRINGER, BERLIN, DE, vol. 359, no. 3, 1999, pages 168 - 177, XP001199515, ISSN: 0028-1298*
YOSHIZAKI, SHIRO ET AL: "Sympathomimetic amines having a 3,4-dihydrocarbostyril nucleus", CHEMICAL & PHARMACEUTICAL BULLETIN , 26(5), 1611-14 CODEN: CPBTAL; ISSN: 0009-2363, 1978, XP009034840*
YOSHIZAKI, SHIRO ET AL: "Sympathomimetic amines having a carbostyril nucleus", JOURNAL OF MEDICINAL CHEMISTRY , 19(9), 1138-42 CODEN: JMCMAR; ISSN: 0022-2623, 1976, XP002291187*

Cited By (45)

* Cited by examiner, † Cited by third party
Publication numberPriority datePublication dateAssigneeTitle
EP1789405B1 (en)*2004-05-142013-07-17Boehringer Ingelheim International GmbhNovel enantiomerically pure beta-agonists, method for the production and the use thereof in the form of a drug
US8076489B2 (en)2004-11-292011-12-13Novartis Ag5-hydroxy-benzothiazole derivatives having beta-2-adrenoreceptor agonist activity
EP2280006A1 (en)2005-08-082011-02-02Pulmagen Therapeutics (Synergy) LimitedPharmaceutical composition for inhalation comprising an oxazole or thiazole m3 muscarinic receptor antagonist
EP2281813A1 (en)2005-08-082011-02-09Pulmagen Therapeutics (Synergy) LimitedBicyclo[2.2.1]hept-7-ylamine derivatives and their uses
US7709511B2 (en)2005-08-092010-05-04Astrazeneca AbBenzothiazolone derivatives
US7951954B2 (en)2006-03-142011-05-31Astrazeneca AbBezothiazol derivatives as Beta2 adrenoreceptor agonists
US7700782B2 (en)2006-12-202010-04-20Astrazeneca AbCompounds 569
JP2010516739A (en)*2007-01-252010-05-20ベーリンガー インゲルハイム インターナショナル ゲゼルシャフト ミット ベシュレンクテル ハフツング Method for producing β-mimetic
US8058294B2 (en)2007-02-082011-11-15Astrazeneca AbPharmaceutical salts of N-[2-(diethylamino)ethyl]-N-(2-{[2-(4-hydroxy-2-oxo-2,3-dihydro-1,3-benzothiazol-7-yl)ethyl]amino}ethyl)-3-[2-(1-napthyl)ethoxy]propanamide
US8236959B2 (en)2007-02-282012-08-07Cipla LimitedProcess for preparing isomers of carmoterol
WO2008104781A1 (en)*2007-02-282008-09-04Cipla LimitedProcess for preparing isomers of carmoterol
AU2008220617B2 (en)*2007-02-282012-12-06Cipla LimitedProcess for preparing isomers of carmoterol
US8017602B2 (en)2008-06-182011-09-13Astrazeneca AbN-(2-(2-(5-hydroxy-3-oxo-3,4-dihydro-2H-benzo[b][1,4]oxazin-8-yl)ethylamino)ethyl)-3-(phenethoxy)propanamide derivatives, processes for their preparation, pharmaceutical compositions containing them and their use in therapy
US8236786B2 (en)2008-08-072012-08-07Pulmagen Therapeutics (Inflammation) LimitedRespiratory disease treatment
US9078885B2 (en)2008-08-072015-07-14Pulmagen Therapeutics (Inflammation) LimitedRespiratory disease treatment
US8815837B2 (en)2008-08-072014-08-26Pulmagen Therapeutics (Inflammation) LimitedRespiratory disease treatment
WO2010076553A1 (en)2008-12-302010-07-08Dr. Reddy's Laboratories LtdSulfonamide compounds for the treatment of respiratory disorders
US8362064B2 (en)2008-12-302013-01-29Pulmagen Theraputics (Inflammation) LimitedSulfonamide compounds for the treatment of respiratory disorders
WO2010150014A1 (en)2009-06-242010-12-29Pulmagen Therapeutics (Inflammation) Limited5r- 5 -deuterated glitazones for respiratory disease treatment
WO2011051672A1 (en)2009-10-282011-05-05Vantia LimitedAzaindole derivatives
WO2011051673A1 (en)2009-10-282011-05-05Vantia LimitedAminothiazole derivatives useful as klk1 inhibitors
WO2011051671A1 (en)2009-10-282011-05-05Vantia LimitedAminopyridine derivatives as kallikrein inhibitors
WO2011098746A1 (en)2010-02-092011-08-18Pulmagen Therapeutics (Inflammation) LimitedCrystalline acid addition salts of ( 5r) -enanti0mer of pioglitazone
WO2011098799A2 (en)2010-02-102011-08-18Pulmagen Therapeutics (Inflammation) LimitedRespiratory disease treatment
WO2011098801A1 (en)2010-02-102011-08-18Pulmagen Therapeutics (Inflammation) LimitedInflammatory disease treatment
WO2013035047A1 (en)2011-09-062013-03-14Novartis AgBenzothiazolone compound
US8933108B2 (en)2011-09-062015-01-13Novartis AgBenzothiazolone compound
US9913828B2 (en)2011-09-062018-03-13Novartis AgBenzothiazolone compound
US10251868B2 (en)2011-09-062019-04-09Novartis AgBenzothiazolone compound
WO2014033654A1 (en)2012-08-302014-03-06Novartis AgSalts of benzothiazolone compound as beta-2-adrenoceptor agonist
EP3243817A1 (en)2012-08-302017-11-15Novartis AGSalts of benzothiazolone compound as beta-2-adrenoceptor agonist
US10288602B2 (en)2013-01-082019-05-14Atrogi AbScreening method, a kit, a method of treatment and a compound for use in a method of treatement
WO2014132205A1 (en)2013-02-282014-09-04Novartis AgFormulation comprising benzothiazolone compound
US11427539B2 (en)2017-09-132022-08-30Atrogi AbBeta-hydroxy heterocyclic amines and their use in the treatment of hyperglycaemia
US11357757B2 (en)2017-09-132022-06-14Atrogi AbHeteroaryl substituted beta-hydroxyethylamines for use in treating hyperglycaemia
US11648216B2 (en)2017-09-132023-05-16Atrogi AbFluorophenyl beta-hydroxyethylamines and their use in the treatment of hyperglycaemia
US11793774B2 (en)2017-09-132023-10-24Atrogi AbChiral beta-hydroxyethylamines and their use in the treatment of hyperglycemia
US12036210B2 (en)2017-09-132024-07-16Atrogi AbHeteroaryl substituted beta-hydroxyethylamines for use in treating hyperglycaemia
US12280023B2 (en)2017-09-132025-04-22Atrogi AbFluorophenyl beta-hydroxyethylamines and their use in the treatment of hyperglycaemia
US12378216B2 (en)2019-03-202025-08-05Atrogi AbHeteroaryl(heterocyclyl)methanol compounds useful in the treatment of hyperglycaemia
WO2023203223A1 (en)2022-04-222023-10-26Atrogi AbCombinations of beta 2-adrenergic receptor agonists and beta 3-adrenergic receptor agonists, and medical uses thereof
WO2024153813A1 (en)2023-01-202024-07-25Atrogi AbBeta 2-adrenergic receptor agonists for treatment or prevention of muscle wasting
WO2024170727A1 (en)2023-02-162024-08-22Atrogi AbCombinations of beta 2-adrenergic receptor agonists and metformin for use in treating obesity and reducing body fat
WO2024184408A1 (en)2023-03-062024-09-12Atrogi AbCombination of beta-2-adrenergic receptor agonists and glp-1 receptor agonists for use in treating hyperglycaemia
WO2025186320A1 (en)2024-03-052025-09-12Atrogi AbCombinations of beta 2-adrenergic receptor agonists and sglt2 inhibitors for use in treating hyperglycaemia or a disorder characterized by hyperglycaemia

Also Published As

Publication numberPublication date
EP1789394A1 (en)2007-05-30
CA2565243A1 (en)2005-11-24
JP2007537187A (en)2007-12-20

Similar Documents

PublicationPublication DateTitle
EP1789394A1 (en)Hydroxy-substituted benzo-condensed heterocycles for use as beta agonists in the treatment of respiratory diseases
EP1562603B3 (en)Novel medicaments for the treatment of chronic obstructive pulmonary diseases
EP1911749B1 (en)New long-working Beta-2 agonists and their use as medicine
EP1789405B1 (en)Novel enantiomerically pure beta-agonists, method for the production and the use thereof in the form of a drug
EP1794154B1 (en)Heteroaryl compounds for use as betamimetics in the treatment of respiratory diseases
EP1761509B1 (en)Substituted cycloalkyl derivatives for the treatment of respiratory diseases
EP1853596B1 (en)Novel, long-acting betamimetics for treating respiratory diseases
DE10253220A1 (en)New 2-(N-phenylalkyl-amino)-1-phenyl-ethanol derivatives, are beta-adrenergic agents especially useful for treating inflammatory and obstructive respiratory diseases such as asthma or COPD
EP1747208B1 (en)Novel sustained-action bronchodilating agents for use in the treatment of respiratory diseases
EP1765355B1 (en)Benzoxazine for treating respiratory tract diseases
DE10246374A1 (en)New 4-(2-alkylamino-1-hydroxyethyl)-3-alkoxy-benzene-1,2-diol derivatives, are beta-mimetics having a long duration of action, useful e.g. for treating asthma, chronic obstructive pulmonary disease or arrhythmia
EP1720546B1 (en)Novel, sustained-action beta-2-agonists and their use as medicaments
EP1856070B1 (en)Novel drugs for treating respiratory diseases
WO2005066140A1 (en)3-hydroxymethyl-4-hydroxy-phenyl derivatives for the treatment of respiratory illnesses
DE10258695A1 (en)New 2-(2-hydroxy-2-(3-methylsulfonylamino-4-hydroxyphenyl)ethylamino-4-(pyrid-2-ylamino)-2-methylbutane used e.g. for treating asthma and chronic obstructive pulmonary disease

Legal Events

DateCodeTitleDescription
AKDesignated states

Kind code of ref document:A1

Designated state(s):AE AG AL AM AT AU AZ BA BB BG BR BW BY BZ CA CH CN CO CR CU CZ DE DK DM DZ EC EE EG ES FI GB GD GE GH GM HR HU ID IL IN IS JP KE KG KM KP KR KZ LC LK LR LS LT LU LV MA MD MG MK MN MW MX MZ NA NG NI NO NZ OM PG PH PL PT RO RU SC SD SE SG SK SL SM SY TJ TM TN TR TT TZ UA UG US UZ VC VN YU ZA ZM ZW

ALDesignated countries for regional patents

Kind code of ref document:A1

Designated state(s):BW GH GM KE LS MW MZ NA SD SL SZ TZ UG ZM ZW AM AZ BY KG KZ MD RU TJ TM AT BE BG CH CY CZ DE DK EE ES FI FR GB GR HU IE IS IT LT LU MC NL PL PT RO SE SI SK TR BF BJ CF CG CI CM GA GN GQ GW ML MR NE SN TD TG

121Ep: the epo has been informed by wipo that ep was designated in this application
WWEWipo information: entry into national phase

Ref document number:2005740683

Country of ref document:EP

WWEWipo information: entry into national phase

Ref document number:2565243

Country of ref document:CA

WWEWipo information: entry into national phase

Ref document number:2007512067

Country of ref document:JP

NENPNon-entry into the national phase

Ref country code:DE

WWWWipo information: withdrawn in national office

Country of ref document:DE

WWPWipo information: published in national office

Ref document number:2005740683

Country of ref document:EP


[8]ページ先頭

©2009-2025 Movatter.jp