DIFFERENTIATION MODULATING AGENTS AND USES THEREFOR
FIELD OF THE INVENTION THIS INVENTION relates generally to methods and agents for antagonizing the differentiation and or proliferation of preadipocytes. More particularly, the present invention relates to fibroblast growth factor (FGF) signalling, especially FGF-1 and FGF-2 signalling, which causes the proliferation of preadipocytes and which potentiates preadipocytes to differentiate into adipocytes. Even more particularly, the invention relates to molecules that reduce, impair or abrogate FGF signalling, including antagonist molecules that are specific for Fgf or Fgfr polynucleotides or their expression products, and to the use of these molecules for the down- regulation of adipogenesis, including down-regulating the differentiation potential and/or proliferation of preadipocytes. In addition, the present invention extends to methods of screening for agents that are useful for antagonizing FGF signalling, including modulating the expression of a gene selected from a Fgf gene or a Fgfr gene or a gene belonging to the same biosynthetic or regulatory pathway as the Fgf gene or the Fgfr gene or for modulating the level or functional activity of an expression product of that gene. Furthermore, the invention relates to the use of such antagonizing agents in methods for treating or preventing adiposity-related conditions including, but not limited to, obesity, lipoma and lipomatosis.
BACKGROUND OF THE INVENTION
OBESITY Obesity represents a major health problem worldwide which is no longer confined to traditional 'Westernised' communities, as the high-fat diet and sedentary lifestyle of the traditional 'Western' countries is adopted in preference to traditional ethnic lifestyles (Doll et al. Int J Obes Relat Metab Disord 26(1): 48-57 2002) (Fall. Br Med Bull 60: 33-50 2001). The incidence of obesity and, in particular, obesity in children, is increasing at a faster rate than almost any other medical condition. Around 22 million children under the age of five years are overweight worldwide (Deckelbaum et al. Obes Res 9 Suppl 4: 239S-243S 2001), and over 7% of adults worldwide are obese with around a further 21% of adults being classified as overweight (Seidell Acta Paediatr Suppl 88(428): 46-50 1999). The World Health Organisation describes the high worldwide incidence of obesity in adults as a 'global pandemic'. The association of obesity with serious co-morbidities such as cardiovascular diseases and type II diabetes (Fall 2001 supra) is the cause of its classification as a serious medical condition (James et al Obes Res 9 Suppl 4: 228S-233S 2001). The consequential and significant financial impact of obesity on healthcare budgets has made obesity management and prevention a major priority for health promotion strategies. The aim of such strategies is weight reduction through caloric restriction and increased physical exercise, the premise of such goals being based on evidence that weight reduction m even morbidly obese individuals can lead to resolution or improvement of obesity-related pathologies (Mehssas et al Obest Surg 11(4): 475-81 2001). Unfortunately, such strategies have met with limited success. The continuing increase in the obesity rate worldwide has forced a shift in focus of these obesity management and prevention strategies to metabolic and genetic therapeutic interventions. In order for such interventions to be successful, a detailed understanding of the cellular mechanisms of fat deposition is required. Human adipose tissue is a dynamic organ with constant flux of both intra-cellular stored tπglyceπde and adipose cells throughout life. New adipocytes are formed by the proliferation and diffeientiation of preadipocytes, a process known as adipogenesis. Preadipocytes are fϊbroblast-hke cells found m the stromo-vascular compartment of adipose tissue. Therapeutic interventions which inhibit adipogenesis would have profound chnical applications m the management of severely overweight patients Research has, thus far, discovered several protein, neuropeptide and transcriptional regulators of the cellular and molecular events underlying changes in adipose cell size or number. The effects of these substances indicate that adipocyte number and size are altered in a complex interplay involving hormonal and nutritional cues, which trigger downstream signalling via molecules which act in a cell-cell or cell-matrix manner (Gregoire Exp Biol Med (Maywood) 226(H)- 997-1002 2001). The full repertoire of these molecules has yet to be established, as well as the way in which they interact and exert their effects on adipocytes. Much has been learned about adipogenesis through development of techniques allowing the isolation and in vitro replication and differentiation of animal and human preadipocytes. Further insight has been gamed by the study of murme preadipocyte cell lines (e.g., 3T3-L1) that differentiate in vitro to an adipocyte-hke cell. For human tissue, preadipocytes are isolated from adipose tissue using collagenase digestion and plated m serum-contammg medium. Upon reaching confluence (with or without previous subculture) the cells are differentiated in a serum-free chemically and hormonally modified medium. This process is relatively inefficient, both in time and m the low percentage of cells that acquire a mature adipocyte phenotype. The replication phase is enhanced by mitogens and insulin, and requires serum. The differentiation phase is completely inhibited by serum, and enhanced by insulin, corticosteroids, thyroid hormone and growth hormone. It has recently been shown that the thiazolidinedione (TZD) class of drugs stimulate differentiation via binding to PPARγ, a ligand-dependant transcription factor central to adipogenesis. In work leading up to the present invention, an hypothesis was pursued that an interaction occurs between vascular cells and adipocytes. It is known that adipogenesis is preceded by the establishment of a fine vascular network (Hutley et al. Am J Physiol Endocrinol Metab 281(5): El 037-44 2001) and a paracrine interaction between preadipocytes and the endothelial cells of the micro vasculature had been proposed (Hutley et al. supra) (Varzaneh et al. Metabolism 43(7): 906- 12 1994). In an attempt to isolate candidate paracrine compounds, the present inventors co-cultured human pre-adipocytes with microvascular endothelial cells (MVEC) and found that acidic fibroblast growth factor (aFGF), also known as FGF-1, was present in the culture medium. Initial studies indicated unexpectedly that the source of this growth factor was primarily the MVEC and, contrary to previous studies, co-culturing preadipocytes with FGF-1 markedly promoted their growth and replication and also had a significant positive effect on the differentiation of the cells into mature adipocytes. Due to the potential functional redundancy between different members of the FGF family, it is believed that one or more other FGFs may also be associated with directly or indirectly modulating adipogenesis. Indeed, initial investigations indicate a pro-adipogenic effect for basic FGF (also known as FGF-2) that is similar to that shown by FGF-1.
FGFS The fibroblast growth factor family of structurally related polypeptide growth factors comprises over 20 members with protean recognised actions. There is limited direct coding sequence homology across the family. The name is misleading as stimulation of growth is not universal among family members but, as a family, the FGFs have critical roles in growth and development, cell replication and angiogenesis, cell survival and apoptosis, tumour development and morphogenesis. The FGFs belong to the larger Heparin-Binding Growth Factor family which comprises a large number of growth factors, some with similar or complementary actions to the FGFs. FGFs are encoded by a number of different genes and have similar intron-exon organisation, with three coding regions in FGF- 1-6. A central core region of 120 amino acids is highly conserved (70-100% identity) whilst other regions show marked diversity of sequence. FGFs vary in the presence of signal peptides or localisation sequences and in glycosylation sites and post-translational modification. Many of the FGFs show diversity with alternative promoter usage (e.g., FGF-1), alternative splicing (e.g., FGF-1 and -2) and the use of alternative polyadenylation sites (e g , FGF-1 and -2) One mechanism of providing specificity of action is tissue-specific promoter usage (e.g., FGF-1). All FGFs can be released from cells but some also accumulate m the nucleus or cytoplasm of producing and target cells, hi addition, secreted FGFs are stored in the extracellular matπx and their further release is under protease control. FGFs are "released" from the extracellular matπx by one of two mechanisms. First, enzymatic cleavage of extracellular matπx components by proteases or hepaπnases results in release of FGF Second, FGF can bind to a carrier protein (FGF-BP) that can m turn deliver FGF to its receptor It is accepted that hepaπn or heparan-hke glycosammoglycans are essential for efficient FGF signalling. Tissue-specificity and/or differentiation stage-specificity of expression of some FGFs has been reported The association of the FGF family with components of the extracellular matrix is thought to serve two purposes: a) protection of FGFs from circulating protease degradation; and b) creation of a local reservoir of growth factor(s) The latter feature allows for strict spatial regulation of FGF signalling, as only cells m contact with the extracellular matrix are recipient to the FGF signal.
FGF RECEPTORS As with the ligands, the FGF receptors (FGFRs) comprise a gene family encoding five (at least) structurally related proteins They are members of the tyrosme-kmase class of receptors and are widely expressed. Ammo acid sequence homology of the five receptors is 60-95% with the best-conserved areas involved m signal transduction. FGFs have differing specificity m their binding to the receptors and this, along with cell-specific expression of the receptors and their splice variants, provides further diversity in signalling options. In addition to localisation in the plasma membrane, FGFRs are also expressed withm the nuclear envelope and matrix Signal transduction m response to FGFs occurs through receptor dimeπsahon and complex formation with heparan sulfate proteoglycans (HSPGs). Subsequent phosphorylation at multiple sites on the intracellular domain of the FGFR initiates recruitment and/or phosphorylation of multiple downstream signal transduction molecules and pathways There are up to three characteristic Ig- hke extracellular domains, placing the FGFRs into the IG super-receptor family (also contains PDGFR and IL-1R) FGF signalling diversity is provided by cell specific expression of receptor combinations, cell specific expression of receptor isoform combinations, vaπous hetero-dimer combinations and different repertoires of FGFs. HSPGS HSPGs are sulfated glycosammoglycans covalently bound to a core protein that act to facilitate FGF-FGFR interaction This may be due either to the HSPG inducing conformational changes in FGF and FGFR allowing each to dimeπse and bind or due to the HSPG forming part of an active signalling complex with the FGF and FGFR. Expeπmental evidence to support both models exists, and it is highly conceivable that both mechanisms exist. Some FGF early responses may be elicited m the absence of HSPG but the latter appears essential for sustained signalling. HSPG also acts to protect FGFs from degradation in the extracellular matπx. HSPGs implicated to date m FGF signalling include the syndecans (cell-associated transmembrane proteoglycans), the glypicans (proteoglycans anchored to the plasma membrane by a glycosylphosphatidylmositol group) and perlecan (an extracellular, basal lammaproteoglycan). Evidence that the HSPGs are involved m the regulation of FGF signalling comes from in-vitro studies and studies of individuals with known HSPG mutations. These studies show, for example, that glypican can promote FGF-2 - mduced mitogenesis but inhibit FGF-7 responses.
CYSTEINE-RICH FGFR Cysteine-πch FGFR (CFR) is an integral membrane sialoglycoprotem that lacks heparan sulfate chains and binds FGFs FGF binding to CFR and FGFR is mutually exclusive. CFR appears to have a role in FGF targeting to intracellular sites and in regulation of intracellular FGF concentrations
FGF SIGNALLING PA THWA YS
1. FGFR-Dependent Intracellular Signalling As outlined above, and with reference to the schematic representation of the FGF signalling pathway shown in Figure 1, ligand binding induces receptor dimerisation and auto- phosphorylation. Mutational analysis indicates that dimerisation alone is sufficient for signal transduction FGFRs have a number of intracellular phosphorylation sites (seven in the case of FGFR-1) and phosphorylation site mutated, kinase dead, receptors are unable to transduce many biological signals of FGFs. However, some effects are retained, indicating that non receptor- mediated signalling pathways are an important consideration.
The signalling pathways known to be utilized by FGF/FGFR are (1) the SHC/FRS2- RAF MAPKKK-MAPKK-MAPK pathway, and (2) the PLCy, PKC, Ca2+ pathway. a) SHC/FRS2-RAF/MAPKKK-MAPKK-MAPK pathway Subsequent to receptor phosphorylation src homology (SH-2) domain-containing and phosphotyrosine-bmdmg (PTB) domain proteins bind to specific intracellular FGFR phosphotyrosmes These proteins include PLCγ, SHC and FRS2 (FGFR substrate 2) and some of these molecules are specific to the FGFRs (e.g., FRS2) and others are more promiscuous (e.g., SHC). Upon phosporylation, these docking proteins bind directly to the GRB2-SOS complex which functions as an adapter to RAS. Membrane-associated RAS then recruits and activates the MAPK transduction pathway. It is noteworthy that each of the multiple kinases m the MAPK pathway are regulated by other signalling molecules downstream of FGF (and other) receptors, this "cross-talk" allowing much specificity of response
b) PLCγ, PKC, Ca^ pathway PLCγ is a SH-2 domain protein that binds to a specific phosphotyrosme m FGFRs (Y766 m FGFR-1) and subsequently hydrolyses phosphomositol to mositol 1,4,5 tπphosphate (IP3) and diacyglycerol (DAG) IP3 induces Ca2+ release from intracellular stores, whereas DAG activates PKC, a serme/threomne-specific kmase Overall, the biological outcome of FGF stimulation depends on the quantities, combinations and subcellular localisation of FGFs, FGFRs, HSPGs and signalling intermediates found m the cell, in addition to modulation from other signalling molecules and pathways.
2. FGF Target Genes FGF treatment alters expression of many genes, and can do so via non FGFR-mediated mechanisms. This is presumed to be a dnect effect, and many FGFs have nuclear targeting motifs and are found m the nucleus, the nucleolus and in association with chromatm. The effect of FGFs on gene transcription is cell-type specific. Further, FGFs have been demonstrated to maintain the expression of genes whose initial induction is dependent on other factors, hi addition to transcriptional regulation, FGFs also influence mRNA stability and translation and post- translational modification of proteins. 3. Interaction with other Growth Factor Signalling Pathways FGFs can antagonize or synergize with many other growth factors. FGF co-operativity with transforming growth factor (TGF), insulin-like growth factor- 1 (IGF-1) and WNT signalling is common. From the foregoing, it is proposed, in accordance with the present invention, that molecules of a FGF signalling pathway, especially of the FGF-1 or FGF-2 signalling pathway, can be used to provide both drug targets and regulators to inhibit adipogenesis in wter alia adiposity- related conditions and also to provide diagnostic markers for predisposition to obesity, as described hereinafter.
SUMMARY OF THE INVENTION Accordingly, in one aspect, the present invention provides methods for inhibiting adipogenesis, which are useful inter alia in the treatment or prevention of adiposity-related conditions. These methods generally comprise contacting a cell with an agent for a time and under conditions sufficient to inhibit a FGF signalling pathway, hi some embodiments, the FGF signalling pathway is selected from the FGF-1 signalling pathway and the FGF-2 signalling pathway. Representative members of these pathways include, but are not limited to, FGFRs, HSPGs, members of the SHC/FRS2-RAF/MAPKKK-MAPKK-MAPK pathway, members of the PLCγ-PKC-Ca2+ pathway, members of the FGF-1 nuclear translocation pathway and intracellular binding partners such as P34 and FIF (FGF-interacting factor). Non-limiting examples of suitable agents include small molecules, such as nucleic acids, peptides, polypeptides, peptidomimetics, carbohydrates, lipids or other organic (carbon containing) or inorganic molecules, as further described herein. In some embodiments, the cell is contacted with an agent that inhibits the expression of a gene or the level or functional activity of an expression product of the gene, wherein the gene is selected from a Fgf gene (e.g., Fgf-1 or Fgf-2) and a gene belonging to the same regulatory or biosynthetic pathway as the Fgf gene (e.g., P34 and FIF). In these embodiments, the cell is suitably a microvascular endothelial cell, or precursor thereof. In other embodiments, the cell is contacted with an agent that inhibits the expression of a gene or the level or functional activity of an expression product of the gene, wherein the gene is selected from a Fgfr gene (e.g., Fgfr-1, Fgfr-2, Fgfr- 3, Fgfr-4, Fgfr-5, especially Fgfr-1, Fgfr-2, Fgfr-3, Fgfr-4), a gene belonging to the same regulatory or biosynthetic pathway as the Fgfr gene (e.g., a gene involved in signalling via the Ras-Raf-MAPkinase pathway and or via the phospholipase C pathway), a gene whose expression is inhibited directly or indirectly by an expression product of the Fgf gene (e.g, PPARγ, IGFBP-3, IGFBP-6, IGF-2, IRS-2, PI3 kinase, PKCΘ), or that antagonizes the function of a FGFR with which a FGF (e.g, FGF-1 or FGF-2) interacts. In these embodiments, the cell is suitably a preadipocyte or precursor thereof. In some embodiments, the agent reduces the expression of a gene (e.g, Fgfr-1, Fgfr-2, Pparγ, C/Ebpa, Plcγ2, Igfbp-3, Igfbp-6) or the level or functional activity of an expression product of that gene (e.g, FGFR-1, FGFR-2, PPARγ, C/EBPα, PLCγ2, IGFBP-3, IGFBP-6). In other embodiments, the agent increases the expression of a gene (e.g, Fgf-1, Fgfr-3, Igf-2, Irs-2, Pi3 kinase, Pkcθ) or the level or functional activity of an expression product of that gene (e.g, FGF-1, FGF-3, IGF-2, IRS-2, PI3 kinase, PKCΘ). In still other embodiments, the agent antagonizes the function of a FGFR, including reducing or abrogating the interaction between a FGFR and a FGF. In these embodiments, the agents antagonize a FGF signalling pathway and are therefore useful for directly or indirectly reducing or abrogating the differentiation potential and or proliferation of a preadipocyte. Suitably, the agent increases or reduces the expression of the gene or the level or functional activity of an expression product of that gene by at least 10%, 20%, 30%, 40%, 50%, 60%, 70%, 80%), 90% relative to the expression, level or functional activity in the absence of the agent. In yet another aspect, the invention provides methods for identifying agents that inhibit a FGF signalling pathway. These methods typically comprise contacting a preparation with a test agent, wherein the preparation comprises (i) a polypeptide comprising an amino acid sequence corresponding to at least a biologically active fragment of a polypeptide component of the FGF signalling pathway, or to a variant or derivative thereof; or (ii) a polynucleotide comprising at least a portion of a genetic sequence that regulates the component, which is operably linked to a reporter gene. A detected decrease in the level and/or functional activity of the polypeptide component, or an expression product of the reporter gene, relative to a normal or reference level and/or functional activity in the absence of the test agent, indicates that the agent inhibits the FGF signalling pathway. Still another aspect of the present invention provides methods for identifying agents that inhibit a FGF signalling pathway. These methods generally comprise contacting a first sample of cells expressing a FGFR with a FGF and measuring a marker; contacting a second sample of cells expressing the FGFR with an agent and the FGF, and measuring the marker; and comparing the marker of the first sample of cells with the marker of the second sample of cells. In various embodiments, these methods measure the levels of various markers (e.g, glycerol 3-phosphate dehydrogenase; G3PDH, and intracellular components of the FGF pathway), or combinations of markers, associated with the proliferation and/or differentiation of preadipocytes. In accordance with the present invention, the agents broadly described above are useful for inhibiting adipogenesis in adiposity-related conditions. The adiposity-related conditions include, but are not restricted to, obesity, lipoma or lipomatosis. Thus, another aspect of the present invention contemplates the use of an agent, which is optionally formulated with a pharmaceutically acceptable carrier or diluent, for inhibiting or decreasing adipogenesis, or for controlling adipogenesis in obesity or in conditions of localized, abnormal increases in adipogenesis, wherein the agent antagonizes a FGF signalling pathway as broadly described above. The agent used in the above methods is characterized in that it binds to an expression product of a gene as broadly described above or to a genetic sequence (e.g, a transcriptional element) that inhibits the expression of the gene, as determined by: contacting a preparation comprising at least a portion of an expression product of a gene as broadly described above, or a variant or derivative of the expression product, or a genetic sequence that modulates the expression of the gene, with the agent; and detecting a decrease in the level or functional activity of the at least a portion of the expression product, or the variant or derivative, or of a product expressed from the genetic sequence. In some embodiments, an agent which inhibits or otherwise decreases adipogenesis binds to a FGF or FGFR or to a genetic sequence (e.g, a transcriptional element) that modulates the expression of a Fgfoτ Fgfr gene, as determined by: contacting a preparation comprising a FGF or FGFR polypeptide or biologically active fragment thereof, or variant or derivative of these, or a genetic sequence that modulates the expression of a Fgf ox Fgfr gene; and detecting a decrease in the level or functional activity of the FGF or FGFR polypeptide or biologically active fragment thereof, or variant or derivative, or of a product expressed from the genetic sequence.
In other embodiments, an agent which inhibits or otherwise decreases adipogenesis antagonizes a FGF signalling pathway, as determined by: contacting a FGFR and a FGF with the agent and measuring the binding of the FGFR with the FGF. In these embodiments, agents can bind to FGF or FGFR and test positive when they reduce or abrogate the binding of the FGFR with the FGF.
The agents can be small molecules or antigen-binding molecules specific for the FGF or the FGFR. In other embodiments, an agent which inhibits or otherwise decreases adipogenesis antagonizes a FGF signalling pathway, as determined by: contacting a FGFR and an HSPG with the agent and measuring the binding of the FGFR with the HSPG. In these embodiments, agents can bind to FGF or HSPG and test positive when they reduce or abrogate the binding of the HSPG with the FGFR. The compounds can be small molecules or antigen-binding molecules specific for the FGFR or the HSPG. In other embodiments, an agent which inhibits or otherwise decreases adipogenesis antagonizes a FGF signalling pathway, as determined by: contacting a FGF and a CFR with the agent and measuring the binding of the FGF with the CFR. In these embodiments, agents can bind to FGF or CFR and test positive when they reduce or abrogate the binding of the FGF with the CFR. The compounds can be small molecules or antigen-binding molecules specific for the FGF or the CFR. In still other embodiments, an agent which inhibits or otherwise decreases adipogenesis antagonizes a FGF signalling pathway, as determined by: contacting a first sample of cells selected from preadipocytes or their precursors with a FGF and measuring differentiation and/or proliferation of the cells; contacting a second sample of cells selected from preadipocytes or their precursors with an agent and the FGF, and measuring differentiation and/or proliferation of the cells; comparing the differentiation and/or proliferation of the first sample of cells with the differentiation and/or proliferation of the second sample of cells. In these embodiments, the agents antagonize the FGF signalling pathway by interfering with the association of the FGF and a FGFR, by interfering with the phosphorylation of a FGFR, by interfering with components of the signalling pathway upstream or downstream of the FGF/FGFR interaction, by interfering with the association of a FGFR with an HSPG, by interfering with the association of the FGF and CFR, or by interfering with the dimerisation of a FGFR. In some embodiments, agents that antagonize the FGF signalling pathway interfere with a signalling pathway selected from the TGF, IGF-1 and WNT signalling pathways. In further embodiments, an agent which inhibits or otherwise decreases adipogenesis antagonizes a FGF signalling pathway, as determined by: administering to an animal model, or a human, an agent that antagonizes the signalling pathway, and measuring the animal's responsiveness to the agent. In these embodiments, the method can be practiced with agents as described above and animals can be examined for inhibition or reduction of adipogenesis in obesity or in conditions of localized, abnormal increases in adipogenesis. Still another aspect of the present invention provides methods of producing an agent for inhibiting adipogenesis in adiposity-related conditions. These methods generally comprise: testing an agent suspected of inhibiting a FGF signalling pathway as broadly described above; and synthesizing the agent on the basis that it tests positive for the inhibition. Suitably, the method further comprises derivatizing the agent, and optionally formulating the derivatized agent with a pharmaceutically acceptable carrier and/or diluent, to improve the efficacy of the agent for treating or preventing the adiposity-related condition(s). Another aspect of the present invention contemplates methods for inhibiting or reducing adipogenesis in obesity or m conditions of localized, abnormal increases in adipogenesis. These methods generally comprise administering to a patient in need of such treatment an adipogenesis- lnhibitmg effective amount of an agent which impairs or interferes with a FGF signalling pathway as broadly described above, and optionally a pharmaceutically acceptable carrier or diluent Still another aspect of the present invention provides the use of an agent as broadly described above in the preparation of a medicament for treating or preventing an adiposity-related condition.
BRIEF DESCRIPTION OF THE DRAWINGS Figure 1 is a schematic representation of the FGF signalling pathway. Figure 2 is a schematic representation of the method for isolation and separation of microvascular endothelial cells (MVEC) and preadipocytes (PA) from human adipose tissue DPBS deiomsed phosphate buffered saline, RT room temperature; HBSS: Hank's balanced salt solution; FCS. fetal calf serum; EC: endothelial cells; PECAM-1 : platelet-endothelial cell adhesion molecule 1. Figure 3 is a photographic representation illustrating the morphology of adipose tissue- derived MVEC A. phase-contrast photomicrograph of MVEC isolated from human adipose tissue. Note the typical cobblestone morphology and the prominent, centrally located nuclei. B: immunocytochemical stammg for von WiUebrand's factor (vWF) shows prominent peπnuclear cytoplasmic stammg. C: immunocytochemical stammg for PECAM-1 shows junctional stammg consistent with plasma membrane expression. In B and C, nuclei counterstamed with propidium iodide (Bar = 10 μm; original magnification x200). Figure 4 is a photographic representation of a Western blot analysis, showing strong expression of FGF-1 m adipose-derived MVEC and also in 3T3-L1 adipocytes (expression was also shown m 3T3-L1 fibroblasts). FGF-1 protein is undetectable in both human preadipocytes (+/- exposure to FGF-1) and adipocytes. RT-PCR analysis coπoborated these expression patterns. Figure 5 is a graphical representation showing a marked increase in proliferation of human preadipocytes (PAs) m response to both FGF-1 and FGF-2 (with FGF-1 effects on proliferation greater than FGF-2). Figure 6 is a graphical representation showing a marked increase in differentiation of human preadipocytes (PAs) m response to both FGF-1 and FGF-2 (with FGF-1 effects on differentiation greater than FGF-2). Figure 7 is a graphical representation showing the effects of combination treatments of
FGF-1 and FGF-2. The results show that both FGF-1 and FGF-2 were adipogenic if present either during replication or during differentiation and that the adipogenic effect of FGF-1 during replication and differentiation are independent and additive. BRL = rosiglitazone; brackets denote replication treatment. Figure 8 is a photographic representation showing the differentiation of human preadipocytes (PAs) using a 3T3-L1 differentiation protocol that utilizes serum-containing medium (SCM) (+ insulin and, for the first 3 days, dexamethasone and rosiglitazone). Panel (A) shows PAs that have not been exposed to FGF-1 during proliferation prior to differentiation. Panels (B) and (C) show subcutaneous & omental PAs, respectively, that have been proliferated for six weeks in the presence of FGF-1 and subsequently differentiated in SCM. This is the first report of human PAs differentiating in the presence of serum. Figure 9 is a tabular representation showing the results of two separate gene array experiments which compared gene expression in human PAs grown to confluence in serum- containing medium in the presence and absence of FGF-1. Gene expression was considered to be influenced by FGF-1 if expression was consistently (CV<5%) increased or reduced by at least
50%. Figure 10 is a photographic representation showing that PLCγ2 is an intracellular molecule important in FGFR signal transduction. Both Western blot analysis and immunofluorescence confirmed that expression of this molecule is increased in human PAs grown to confluence in the presence of FGF-1 cf cells that have not been exposed to this growth factor. The immunofluorescence data also show that PLC γ2 expression is greatly unregulated at confluence - the stage at which induction of differentiation occurs. (Bar = 10 μm) Figure 11 is a graphical representation showing that inhibition of PLC markedly reduces FGF-1 induced differentiation of preadipocytes. Figure 12 is a graphical representation showing that neutralising anti-FGF-1 antibody abrogates FGF-1 -induced human preadipocyte replication, (Black bars, subcutaneous preadipocytes and white bars, omental preadipocytes). Figure 13 is a graphical representation showing that inhibition of post FGFR signal transduction pathways has marked effects on FGF-1 -mediated human adipogenesis. Figure 14 is a graphical representation showing that inhibition of post FGFR signal transduction pathways with anti-FGF-1 antibody has a marked effect on FGF-1 mediated human adipogenesis. Figure 15 is a photographic representation showing the inhibition of FGF-1 induced differentiation of preadipocytes with anti-FGF-1 antibody. Figure 16 is a graphical representation showing inhibition of FGF-1 mediated subcutaneous preadipocyte proliferation by Methyl l-oxo-3-phenyl-17J-indene-2-carboxylate. Figure 17 is a graphical representation showing inhibition of FGF-1 mediated omental preadipocyte proliferation by Methyl l-oxo-3 -phenyl- lH-indene-2-carboxylate. Figure 18 is a graphical representation showing inhibition of FGF-1 mediated subcutaneous preadipocyte proliferation by l-Deoxy-l-{[(2,4-dichlorophenoxy)acetyl]amino}-β- D-glucopyranuronic acid. Figure 19 is a graphical representation showing inhibition of FGF-1 mediated omental preadipocyte proliferation by l-Deoxy-l-{[(2,4-dichlorophenoxy)acetyl]amino}-β-D- glucopyranuronic acid. Figure 20 is a graphical representation showing inhibition of FGF-1 mediated subcutaneous preadipocyte proliferation by 3-[(3-(2-carboxyethyl)-4-methylpyrrol-2- yl)methylene]-2-indolinone. Figure 21 is a graphical representation showing inhibition of FGF-1 mediated subcutaneous preadipocyte proliferation by phosphopeptide ThrAsnGluLeuTyr(0- P03H2)MefMetMetArg. Figure 22 is a graphical representation showing inhibition of FGF-1 mediated subcutaneous preadipocyte differentiation by ThrAsnGluLeuTyr(0-P03H2)MefMetMetArg. Figure 23 is a graphical representation showing effects of anti-FGF Receptor 1, 2 and 3 antibodies on FGF-1 mediated subcutaneous preadipocyte proliferation. Figure 24 is a graphical representation showing effects of anti-FGF Receptor 1, 2 and 3 antibodies on FGF-1 mediated omental preadipocyte proliferation.
DETAILED DESCRIPTION OF THE INVENTION
1. Definitions Unless defined otherwise, all technical and scientific terms used herein have the same meaning as commonly understood by those of ordinary slάll in the art to which the invention belongs. Although any methods and materials similar or equivalent to those described herein can be used in the practice or testing of the present invention, preferred methods and materials are described. For the purposes of the present invention, the following terms are defined below. The articles "a" and "an" are used herein to refer to one or more than one (ie to at least one) of the grammatical object of the article. By way of example, "an element" means one element or more than one element. By "a gene belonging to the same regulatoiy or biosynthetic pathway" is meant a gene whose expression product can modulate or otherwise influence FGF or FGFR protein levels and or Fgf or Fgfr transcription levels. For example, a gene belonging to the same regulatory pathway as g may encode an upstream regulator of Fgf/FGF, or a downstream regulatory target of Fgf/FGF, instead of Fgf/FGF. Alternatively, a gene belonging to the same regulatory or biosynthetic pathway as a Fgfr gene includes genes which directly or indirectly modulate the expression of a Fgfr gene as well as genes which act as signal transducers for FGFR activation. Such signalling molecules are involved in communicating and/or mediating the effects of FGFR activation and are commonly known in the art. They include inter alia molecules involved in the phospholipase C (PLC)-γ, Crk, SNT-1/FRS2 and/or Src signalling pathways. The term "aberrant polynucleotide" as used herein refers to a polynucleotide which is distinguished from a "normal" reference polynucleotide by the substitution, deletion or addition of at least one nucleotide and which correlates with the presence or risk of adipogenic defects including an elevated rate of adipogenesis compared to a non-obese, reference value. The term "aberrant polypeptide" refers to a polypeptide which is distinguished from a "normal" reference polypeptide by the substitution, deletion or addition of at least one amino acid residue and which correlates with the presence or risk of adipogenic defects including an elevated rate of adipogenesis compared to a non-obese, reference value. "Amplification product" refers to a nucleic acid product generated by a nucleic acid amplification technique. By "antigen-binding molecule" is meant a molecule that has binding affinity for a target antigen. It will be understood that this term extends to immunoglobulins, immunoglobulin fragments and non-immunoglobulin derived protein frameworks that exhibit antigen-binding activity. "Antigenic or immunogenic activity" refers to the ability of a polypeptide, fragment, variant or derivative according to the invention to produce an antigenic or immunogenic response in an animal, suitably a mammal, to which it is administered, wherein the response includes the production of elements which specifically bind the polypeptide or fragment thereof. By "biologically active fragment" is meant a fragment of a full-length parent polypeptide which fragment retains an activity of the parent polypeptide. As used herein, the term "biologically active fragment" includes deletion variants and small peptides, for example of at least 6, 7, 8, 9, 10, 11, 12, 13, 14, 15, 16, 17, 18, 19, 20, 21, 22, 23, 24, 25, 26, 27, 28, 29, 30, 35, 40, 45, 50 contiguous amino acid residues, which comprise an activity of the parent polypeptide. Peptides of this type may be obtained through the application of standard recombinant nucleic acid techniques or synthesized using conventional liquid or solid phase synthesis techniques. For example, reference may be made to solution synthesis or solid phase synthesis as described, for example, in Chapter 9 entitled "Peptide Synthesis" by Atherton and Shephard which is included in a publication entitled "Synthetic Vaccines" edited by Nicholson and published by Blackwell Scientific Publications. Alternatively, peptides can be produced by digestion of a polypeptide of the invention with proteinases such as endoLys-C, endoArg-C, endoGlu-C and staphylococcus V8-protease. The digested fragments can be purified by, for example, high performance liquid chromatographic (HPLC) techniques. The term "biological sample" as used herein refers to a sample that may extracted, untreated, treated, diluted or concentrated from a patient. Suitably, the biological sample is a tissue biopsy, more preferably from subcutaneous or omental tissue biopsy. Throughout this specification, unless the context requires otherwise, the words "comprise",
"comprises" and "comprising" will be understood to imply the inclusion of a stated step or element or group of steps or elements but not the exclusion of any other step or element or group of steps or elements. The phrase "conditions of localized, abnormal increases in adipogenesis" as used herein includes pathologies characterized by and/or associated with anatomically localized disregulated adipogenesis that lead to circumscribed depositions of fat tissue. Such conditions include but are not limited to lipoma and lipomatosis. By "corresponds to" or "corresponding to" is meant (a) a polynucleotide having a nucleotide sequence that is substantially identical or complementary to all or a portion of a reference polynucleotide sequence or encoding an amino acid sequence identical to an amino acid sequence in a peptide or protein; or (b) a peptide or polypeptide having an amino acid sequence that is substantially identical to a sequence of amino acids in a reference peptide or protein. By "derivative" is meant a polypeptide that has been derived from the basic sequence by modification, for example by conjugation or complexing with other chemical moieties or by post- translational modification techniques as would be understood in the art. The term "derivative" also includes within its scope alterations that have been made to a parent sequence including additions or deletions that provide for functional equivalent molecules. The term "differentiation potential" as used herein means the capacity of a preadipocyte to respond, or the magnitude of the response, to a signal which promotes its functional maturation into an adipocyte. An "increase in differentiation potential" may be seen to be conferred by a test molecule wherein, for example, a co-culture of preadipocytes with the test molecule for a sufficient time and under appropriate conditions results in an increase in the response of the preadipocytes to a differentiation-inducing agent, which may be observed inter alia as a rise in the number of preadipocytes undergoing differentiation or an increase in the rate at which the preadipocytes undergo differentiation. By "effective amount", in the context of modulating an activity or of treating or preventing a condition is meant the administration of that amount of active ingredient to an individual in need of such modulation, treatment or prophylaxis, either in a single dose or as part of a series, that is effective for modulation of that effect or for treatment or prophylaxis or improvement of that condition. Non-limiting examples of such improvements in an individual suffering conditions of localized, abnormal increases in adipogenesis include reduced fat deposits, and an improvement in the symptoms relating to cardiovascular disease and diabetes. The effective amount will vary depending upon the health and physical condition of the individual to be treated, the taxonomic group of individual to be treated, the formulation of the composition, the assessment of the medical situation, and other relevant factors. It is expected that the amount will fall in a relatively broad range that can be determined through routine trials. As used herein, the term "function" refers to a biological, enzymatic, or therapeutic function. By "functional Fgf polynucleotide" or "functional FGF polypeptide" is meant an Fgf polynucleotide or an FGF polypeptide having no structural or functional defects and which do not correlate with the presence or risk of adipogenic defects including elevated or impaired adipogenesis. The term "gene" as used herein refers to any and all discrete coding regions of the cell's genome, as well as associated non-coding and regulatory regions. The gene is also intended to mean the open reading frame encoding specific polypeptides, introns, and adjacent 5' and 3' non- coding nucleotide sequences involved in the regulation of expression. In this regard, the gene may further comprise control signals such as promoters, enhancers, termination and/or polyadenylation signals that are naturally associated with a given gene, or heterologous control signals. The DNA sequences may be cDNA or genomic DNA or a fragment thereof. The gene may be introduced into an appropriate vector for extrachromosomal maintenance or for integration into the host. "Hybridization" is used herein to denote the pairing of complementary nucleotide sequences to produce a DNA-DNA hybrid or a DNA-RNA hybrid. Complementary base sequences are those sequences that are related by the base-pairing rules. In DNA, A pairs with T and C pairs with G. hi RNA U pairs with A and C pairs with G. In this regard, the terms "match" and "mismatch" as used herein refer to the hybridisation potential of paired nucleotides in complementary nucleic acid strands. Matched nucleotides hybridize efficiently, such as the classical A-T and G-C base pair mentioned above. Mismatches are other combinations of nucleotides that do not hybridize efficiently. Reference herein to "immuno-interactive" includes reference to any interaction, reaction, or other form of association between molecules and in particular where one of the molecules is, or mimics, a component of the immune system. By "isolated" is meant material that is substantially or essentially free from components that normally accompany it in its native state. By "modulating" is meant increasing or decreasing, either directly or indirectly, the level or functional activity of a target molecule. For example, an agent may indirectly modulate the level/activity by interacting with a molecule other than the target molecule. In this regard, indirect modulation of a gene encoding a target polypeptide includes within its scope modulation of the expression of a first nucleic acid molecule, wherein an expression product of the first nucleic acid molecule modulates the expression of a nucleic acid molecule encoding the target polypeptide. The term "obesity" as used herein includes conditions where there is an increase in body fat beyond the physical requirement as a result of excess accumulation of adipose tissue in the body. The term obesity includes but is not limited to the following conditions: adult-onset obesity; alimentary obesity; endogenous or metabolic obesity; endocrine obesity; familial obesity; hyperinsulinar obesity; hyperplastic-hypertrophic obesity; hypogonadal obesity; hypothyroid obesity; lifelong obesity; morbid obesity and exogenous obesity. By " obtained from" is meant that a sample such as, for example, a polynucleotide extract or polypeptide extract is isolated from, or derived from, a particular source of the host. For example, the extract can be obtained from a tissue or a biological fluid isolated directly from the host. The term "oligonucleotide" as used herein refers to a polymer composed of a multiplicity of nucleotide residues (deoxyribonucleotides or ribonucleotides, or related structural variants or synthetic analogues thereof) linked via phosphodiester bonds (or related structural variants or synthetic analogues thereof). Thus, while the term "oligonucleotide" typically refers to a nucleotide polymer in which the nucleotide residues and linkages between them are naturally occurring, it will be understood that the term also includes within its scope various analogues including, but not restricted to, peptide nucleic acids (PNAs), phosphoramidates, phosphorothioates, methyl phosphonates, 2-O-methyl ribonucleic acids, and the like. The exact size of the molecule can vary depending on the particular application. An oligonucleotide is typically rather short in length, generally from about 10 to 30 nucleotide residues, but the term can refer to molecules of any length, although the teπn "polynucleotide" or "nucleic acid" is typically used for large oligonucleotides. By "operably linked" is meant that transcriptional and translational regulatory polynucleotides are positioned relative to a polypeptide-encoding polynucleotide in such a manner that the polynucleotide is transcribed and the polypeptide is translated. The term "patient" refers to patients of human or other animal origin and includes any individual it is desired to examine or treat using the methods of the invention. However, it will be understood that "patient" does not imply that symptoms are present. Suitable animals that fall within the scope of the invention include, but are not restricted to, primates, livestock animals (e.g, sheep, cows, horses, donkeys, pigs), laboratory test animals (e.g, rabbits, mice, rats, guinea pigs, hamsters), companion animals (e.g, cats, dogs) and captive wild animals (e.g, foxes, deer, dingoes, avians, reptiles). By "pharmaceutically acceptable carrier" is meant a solid or liquid filler, diluent or encapsulating substance that can be safely used in topical or systemic administration to a mammal. The term "polynucleotide" or "nucleic acid" as used herein designates mRNA, RNA, cRNA, cDNA or DNA. The term typically refers to oligonucleotides greater than 30 nucleotide residues in length. The terms "polynucleotide variant" and "variant" refer to polynucleotides displaying substantial sequence identity with a reference polynucleotide sequence or polynucleotides that hybridize with a reference sequence under stringent conditions as known in the art (see for example Sambrook et al, Molecular Cloning. A Laboratory Manual", Cold Spring Harbor Press, 1989). These terms also encompass polynucleotides in which one or more nucleotides have been added or deleted, or replaced with different nucleotides. In this regard, it is well understood in the art that certain alterations inclusive of mutations, additions, deletions and substitutions can be made to a reference polynucleotide whereby the altered polynucleotide retains a biological function or activity of the reference polynucleotide. The terms "polynucleotide variant" and "variant" also include naturally-occurring allelic variants. "Polypeptide", "peptide" and "protein" are used interchangeably herein to refer to a polymer of amino acid residues and to variants and synthetic analogues of the same. Thus, these terms apply to amino acid polymers in which one or more amino acid residues is a synthetic non- naturally occurring amino acid, such as a chemical analogue of a corresponding naturally occurring amino acid, as well as to naturally occurring amino acid polymers. The term "polypeptide variant" refers to polypeptides in which one or more amino acids have been replaced by different amino acids. It is well understood in the art that some amino acids may be changed to others with broadly similar properties without changing the nature of the activity of the polypeptide (conservative substitutions) as described hereinafter. These terms also encompass polypeptides in which one or more amino acids have been added or deleted, or replaced with different amino acids. By "primer" is meant an oligonucleotide which, when paired with a strand of DNA, is capable of initiating the synthesis of a primer extension product in the presence of a suitable polymerizing agent. The primer is preferably single-stranded for maximum efficiency in amplification but can alternatively be double-stranded. A primer must be sufficiently long to prime the synthesis of extension products in the presence of the polymerization agent. The length of the primer depends on many factors, including application, temperature to be employed, template reaction conditions, other reagents, and source of primers. For example, depending on the complexity of the target sequence, the oligonucleotide primer typically contains 15 to 35 or more nucleotide residues, although it can contain fewer nucleotide residues. Primers can be large polynucleotides, such as from about 200 nucleotide residues to several kilobases or more. Primers can be selected to be "substantially complementary" to the sequence on the template to which it is designed to hybridize and serve as a site for the initiation of synthesis. By "substantially complementary", it is meant that the primer is sufficiently complementary to hybridize with a target polynucleotide. Preferably, the primer contains no mismatches with the template to which it is designed to hybridize but this is not essential. For example, non-complementary nucleotide residues can be attached to the 5' end of the primer, with the remainder of the primer sequence being complementary to the template. Alternatively, non-complementary nucleotide residues or a stretch of non-complementary nucleotide residues can be interspersed into a primer, provided that the primer sequence has sufficient complementarity with the sequence of the template to hybridize therewith and thereby form a template for synthesis of the extension product of the primer. "Probe" refers to a molecule that binds to a specific sequence or sub-sequence or other moiety of another molecule. Unless otherwise indicated, the term "probe" typically refers to a polynucleotide probe that binds to another polynucleotide, often called the "target polynucleotide", through complementary base pairing. Probes can bind target polynucleotides lacking complete sequence complementarity with the probe, depending on the stringency of the hybridization conditions. Probes can be labelled directly or indirectly. The term "recombinant polynucleotide" as used herein refers to a polynucleotide formed in vitro by the manipulation of a polynucleotide into a fonn not normally found in nature. For example, the recombinant polynucleotide can be in the form of an expression vector. Generally, such expression vectors include transcriptional and translational regulatory polynucleotide operably linked to the polynucleotide. By "recombinant polypeptide" is meant a polypeptide made using recombinant techniques, /. g. , through the expression of a recombinant or synthetic polynucleotide. By "reporter molecule" as used in the present specification is meant a molecule that, by its chemical nature, provides an analytically identifiable signal that allows the detection of a complex comprising an antigen-binding molecule and its target antigen. The term "reporter molecule" also extends to use of cell agglutination or inhibition of agglutination such as red blood cells on latex beads, and the like. By "vector" is meant a polynucleotide molecule, preferably a DNA molecule derived, for example, from a plasmid, bacteriophage, yeast or virus, into which a polynucleotide can be inserted or cloned. A vector preferably contains one or more unique restriction sites and can be capable of autonomous replication in a defined host cell including a target cell or tissue or a progenitor cell or tissue thereof, or be integrable with the genome of the defined host such that the cloned sequence is reproducible. Accordingly, the vector can be an autonomously replicating vector, i.e., a vector that exists as an extrachromosomal entity, the replication of which is independent of chromosomal replication, e.g, a linear or closed circular plasmid, an extrachromosomal element, a minichromosome, or an artificial chromosome. The vector can contain any means for assuring self- replication. Alternatively, the vector can be one which, when introduced into the host cell, is integrated into the genome and replicated together with the chromosome(s) into which it has been integrated. A vector system can comprise a single vector or plasmid, two or more vectors or plasmids, which together contain the total DNA to be introduced into the genome of the host cell, or a transposon. The choice of the vector will typically depend on the compatibility of the vector with the host cell into which the vector is to be introduced, hi the present case, the vector is preferably a viral or viral-derived vector, which is operably functional in animal and preferably mammalian cells. Such vector may be derived from a poxvirus, an adenovirus or yeast. The vector can also include a selection marker such as an antibiotic resistance gene that can be used for selection of suitable transformants. Examples of such resistance genes are known to those of skill in the art and include the nptll gene that confers resistance to the antibiotics kanamycin and G418 (Geneticin®) and the hph gene which confers resistance to the antibiotic hygromycin B. The terms "wild-type" and "normal" are used interchangeably to refer to the phenotype that is characteristic of most of the members of the species occurring naturally and contrast for example with the phenotype of a mutant. As used herein, underscoring or italicizing the name of a gene shall indicate the gene, in contrast to its protein product, which is indicated by the name of the gene in the absence of any underscoring or italicizing. For example, "Fgf-1" shall mean the Fgf-1 gene, whereas "FGF-1" shall indicate the protein product or products generated from transcription and translation and alternative splicing of the "Fgf-1" gene. As used herein, "alkyl" is intended to include both branched and straight-chain saturated aliphatic hydrocarbon group and may have a specified number of carbon atoms. For example, - Cio, as in "C Ci0alkyl" is defined to include groups having 1, 2, 3, 4, 5, 6, 7, 8, 9 or 10 carbons in linear or branched arrangement. For example, "Cι-Cι0alkyl" specifically includes, but is not limited to, methyl, ethyl, «-propyl, t-propyl, n-butyl, t-butyl, -butyl, pentyl, hexyl, heptyl, octyl, nonyl, decyl. The term "cycloalkyl" or "aliphatic ring" means a monocyclic saturated aliphatic hydrocarbon group and may have a specified number of carbon atoms. For example, "cycloallcyl" includes, but is not limited to, cyclopropyl, methyl-cyclopropyl, 2,2-dimethyl-cyclobutyl, 2-ethyl- cyclopentyl, cyclohexyl. The term "cycloalkenyl" means a monocyclic unsaturated hydrocarbon group and may have a specified number of carbon atoms. For example, "cycloalkenyl" includes but is not limited to, cyclobutenyl, cyclopentenyl, 1-methylcyclopentenyl, cyclohexenyl and cyclohexadienyl. "Alkoxy" represents either a cyclic or non-cyclic allcyl group attached through an oxygen bridge. "Alkoxy" therefore encompasses the definitions of allcyl and cycloallcyl above. For example, alkoxy groups include but are not limited to methoxy, oxy ethoxy, n-propyloxy, i- propyloxy, cyclopentyloxy and cyclohexyloxy. If no number of carbon atoms is specified, the term "alkenyl" refers to a non-aromatic hydrocarbon radical, straight, branched or cyclic, containing from 2 to 10 carbon atoms and at least one carbon to carbon double bond. Preferably one carbon to carbon double bond is present, and up to four non-aromatic carbon-carbon double bonds may be present. Thus, "C2-C6alkenyl" means an alkenyl radical having from 2 to 6 carbon atoms. Alkenyl groups include, but are not limited to, ethenyl, propenyl, butenyl, 2-methylbutenyl and cyclohexenyl. The straight, branched or cyclic portion of the alkenyl group may contain double bonds and may be substituted if a substituted alkenyl group is indicated. The term "all iyl" refers to a hydrocarbon radical straight, branched or cyclic, containing from 2 to 10 carbon atoms and at least one carbon to carbon triple bond. Up to three carbon-carbon triple bonds may be present. Thus, "C2-C6alkynyl" means an alkynyl radical having from 2 to 6 carbon atoms. Alkynyl groups include, but are not limited to, ethynyl, propynyl, butynyl, 3- methylbutynyl and so on. The straight, branched or cyclic portion of the alkynyl group may contain triple bonds and may be substituted if a substituted alkynyl group is indicated. hi certain instances, substituents may be defined with a range of carbons that includes zero, such as (Co-C6)allcylene-aryl. If aryl is taken to be phenyl, this definition would include phenyl itself as well as, for example, -CH2Ph, -CH2CH2Ph, CH(CH3)CH2CH(CH3)Ph. As used herein, "aromatic" or "aryl" is intended to mean any stable monocyclic or bicyclic carbon ring of up to 7 atoms in each ring, wherein at least one ring is aromatic. Examples of such aryl elements include, but are not limited to, phenyl, naphthyl, tetrahydronaphthyl, indanyl, biphenyl, phenanthryl, anthryl or acenaphthyl. As appreciated by those of skill in the art, "halo" or "halogen" as used herein is intended to include chloro, fluoro, bromo and iodo. The term "heterocycle" , "heteroaliphatic" or "heterocyclyl" as used herein is intended to mean a 5- to 10-membered nonaromatic heterocycle containing from 1 to 4 heteroatoms selected from the group consisting of O, N and S, and includes bicyclic groups. The teπn "heteroaryl" or "heteroaromatic" , as used herein, represents a stable monocyclic or bicyclic ring of up to 7 atoms in each ring, wherein at least one ring is aromatic and contains from 1 to 4 heteroatoms selected from the group consisting of O, N and S. Heteroaryl groups within the scope of this definition include but are not limited to: acridinyl, carbazolyl, cirmolinyl, quinoxalinyl, pyrrazolyl, indolyl, benzotriazolyl, furanyl, thienyl, benzothienyl, bezofuranyl, quinolinyl, isoquinolinyl, oxazolyl, isoxazolyl, indolyl, pyrazinyl, pyridazinyl, pyridinyl, pyrimidinyl, pyrrolyl, tetrahydroquinoline. As with the definition of heterocycle below, "heteroaryl" is also understood to include the N-oxide derivative of any nitrogen-containing heteroaryl. Further examples of "heterocyclyl" and "heteroaryl" include, but are not limited to, the following: benzoimidazolyl, benzofuranyl, benzofurazanyl, benzopyrazolyl, benzotriazolyl, benzothiophenyl, benzoxazolyl, carbazolyl, carbolinyl, cinnolinyl, furanyl, imidazoyl, indolinyl, indolyl, indolazinyl, indazolyl, isobenzofuranyl, isoindolyl, isoquinolyl, isothiazolyl, isoxazolyl, naphthpyridinyl, oxadiazolyl, oxazolyl, oxazoline, isoxazoline, oxetanyl, pyranyl, pyrazinyl, pyrazolyl, pyridazinyl, pyridopyridinyl, pyridazinyl, pyridyl, pyrimidyl, pyrrolyl, quinazolinyl, quinolyl, quinoxalinyl, tefrahydropyranyl, tefrazolyl, tefrazolopyridyl, thiadiazolyl, thiazolyl, thienyl, triazolyl, azetidinyl, aziridinyl, 1 ,4-dioxanyl, hexahydroazepinyl, piperazinyl, piperidinyl, pyrrolidinyl, morpholinyl, thiomorpholinyl, dihydrobenzoimidazolyl, dihydrobenzofuranyl, dihydrobenzothiophenyl, dihydrobenzoxazolyl, dihydrofuranyl, dihydroimidazolyl, dihydroindolyl, dihydroisooxazolyl, dihydroisothiazolyl, dihydrooxadiazolyl, dihydrooxazolyl, dihydropyrazinyl, dihydropyrazolyl, dihydropyridinyl, dihydropyrimidinyl, dihydropyrrolyl, dihydroquinolinyl, dihydrotetrazolyl, dihydro thiadiazolyl, dihydrothiazolyl, dihydrothienyl, dihydrotriazolyl, dihydroazetidinyl, methylenedioxybenzoyl, tetrahydrofuranyl, and tetrahydrothienyl, and N-oxides thereof. Attachment of a heterocyclyl substituent can occur via a carbon atom or via a heteroatom. As used herein, "alkylene" refers to a straight, branched or cyclic, preferably straight or branched, bivalent aliphatic hydrocarbon group, preferably having from 1 to about 20 carbon atoms, more preferably 1 to 12 carbons, even more preferably lower allcylene. The alkylene group is optionally substituted with one or more "allcyl group substituents." There may be optionally inserted along the allcylene group one or more oxygen, sulphur or substituted or unsubstituted nitrogen atoms, where the nitrogen substituent is allcyl as previously described. Exemplary allcylene groups include methylene (-CH2-), ethylene (-CH2CH2-), propylene (-(CH2)3-), cyclohexylene (- C6Hι0-), methylenedioxy (-0-CH2-0-) and ethylenedioxy (-0-(CH2)2-0-). The term "lower allcylene" refers to allcylene groups having 1 to 6 carbons. Preferred alkylene groups are lower allcylene, with allcylene of 1 to 3 carbon atoms being particularly preferred. As used herein, "alkenylene" refers to a straight, branched or cyclic, preferably straight or branched, bivalent aliphatic hydrocarbon group, preferably having from 2 to about 20 carbon atoms and at least one double bond, more preferably 2 to 12 carbons, even more preferably lower alkenylene. The alkenylene group is optionally substituted with one or more "allcyl group substituents." There may be optionally inserted along the alkenylene group one or more oxygen, sulphur or substituted or unsubstituted nifrogen atoms, where the nifrogen substituent is allcyl as previously described. Exemplary alkenylene groups include -CH=CH-CH=CH- and -CH=CH- CH2-. The term "lower alkenylene" refers to alkenylene groups having 2 to 6 carbons. Preferred alkenylene groups are lower alkenylene, with alkenylene of 3 to 4 carbon atoms being particularly preferred. As used herein, "alkynylene" refers to a straight, branched or cyclic, preferably straight or branched, bivalent aliphatic hydrocarbon group, preferably having from 2 to about 20 carbon atoms and at least one triple bond, more preferably 2 to 12 carbons, even more preferably lower allcynylene. The alkynylene group is optionally substituted with one or more "allcyl group substituents." There may be optionally inserted along the allcynylene group one or more oxygen, sulphur or substituted or unsubstituted nitrogen atoms, where the nitrogen substituent is allcyl as previously described. Exemplary allcynylene groups include -C=C-C=C-, -C=C- and -C=C-CH2-. The term "lower allcynylene" refers to allcynylene groups having 2 to 6 carbons. Preferred allcynylene groups are lower allcynylene, with allcynylene of 3 to 4 carbon atoms being particularly preferred. As used herein, "arylene" refers to a monocyclic or polycyclic, preferably monocyclic, bivalent aromatic group, preferably having from 3 to about 20 carbon atoms and at least one aromatic ring, more preferably 3 to 12 carbons, even more preferably lower arylene. The arylene group is optionally substituted with one or more "allcyl group substituents." There may be optionally inserted around the arylene group one or more oxygen, sulphur or substituted or unsubstituted nitrogen atoms, where the nitrogen substituent is allcyl as previously described. Exemplary arylene groups include 1,2-, 1,3- and 1,4- phenylene. The term "lower arylene" refers to arylene groups having 5 or 6 carbons. Preferred arylene groups are lower arylene. The term "acyl" either alone or in compound words such denotes a group containing the moiety C=0 (and not being a carboxylic acid, ester or amide). Preferred acyl includes C(0)-R, wherein R is hydrogen or an allcyl, alkenyl, alkynyl, aryl, heteroaryl or heterocyclyl residue, preferably a C|.2o residue. Examples of acyl include formyl; straight chain or branched alkanoyl such as, acetyl, propanoyl, butanoyl, 2-methylpropanoyl, pentanoyl, 2,2-dimethylpropanoyl, hexanoyl, heptanoyl, octanoyl, nonanoyl, decanoyl, undecanoyl, dodecanoyl, tridecanoyl, tefradecanoyl, pentadecanoyl, hexadecanoyl, heptadecanoyl, octadecanoyl, nonadecanoyl and icosanoyl; cycloallcylcarbonyl such as cyclopropylcarbonyl, cyclobutylcarbonyl, cyclopentylcarbonyl and cyclohexylcarbonyl; aroyl such as benzoyl, toluoyl and naphthoyl; aralkanoyl such as phenylalkanoyl (e.g. phenylacetyl, phenylpropanoyl, phenylbutanoyl, phenylisobutanoyl, phenylpentanoyl and phenylhexanoyl) and naphthylalkanoyl (e.g. naphthylacetyl, naphthylpropanoyl and naphthylbutanoyl); aralkenoyl such as phenylalkenoyl (e.g. phenylpropenoyl, phenylbutenoyl, phenylmethacryloyl, phenylpentenoyl and phenylhexenoyl and naphthylalkenoyl (e.g. naphthylpropenoyl, naphthylbutenoyl and naphthylpentenoyl); aryloxyalkanoyl such as phenoxyacetyl and phenoxypropionyl; arylthiocarbamoyl such as phenylthiocarbamoyl; arylglyoxyloyl such as phenylglyoxyloyl and naphthylglyoxyloyl; arylsulfonyl such as phenylsulfonyl and napthylsulfonyl; heterocycliccarbonyl; heterocyclicalkanoyl such as thienylacetyl, thienylpropanoyl, thienylbutanoyl, thienylpentanoyl, thienylhexanoyl, thiazolylacetyl, thiadiazolylacetyl and tetrazolylacetyl; heterocyclicalkenoyl such as heterocyclicpropenoyl, heterocyclicbutenoyl, heterocyclicpentenoyl and heterocyclichexenoyl; and heterocyclicglyoxyloyl such as thiazolyglyoxyloyl and thienylglyoxyloyl. As used herein, "heteroarylene" refers to a bivalent monocyclic or multicyclic ring system, preferably of about 3 to about 15 members where one or more, more preferably 1 to 3 of the atoms in the ring system is a heteroatom, that is, an element other than carbon, for example, nifrogen, oxygen and sulfur atoms. The heteroarylene group may be optionally substituted with one or more, preferably 1 to 3, aryl group substituents. Exemplary heteroarylene groups include, for example, 1 ,4-imidazolylene. As used herein, "alkylidene" refers to a bivalent group, such as =CR'R", which is attached to one atom of another group, forming a double bond. Exemplary alkylidene groups are methylidene (=CH2) and ethylidene (=CHCH3). As used herein, "arylallcylidene" refers to an alkylidene group in which either R' or R" is and aryl group. As used herein, "diarylalkylidene" refers to an alkylidene group in which R' and R" are both aryl groups. "Diheteroarylalkylidene" refers to an alkylidene group in which R' and R" are both heteroaryl groups. As used herein, "arylidene" refers to an unsaturated cyclic bivalent group where both points of attachment are on the same atom of the ring. Exemplary arylidene groups include, but are not limited to, quinone methide moieties that have the formula:
where X is O, S or NR'. "Heteroarylidene" groups are arylidene groups where one or two, preferably two, of the atoms in the ring are heteroatoms, such as, but not limited to, O, S and N. "Aralkyl" means allcyl as defined above which is substituted with an aryl group as defined above, e.g, -CH
2phenyl, -(CH
2)
2phenyl, -(CH
2)
3phenyl, -H
2CH(CH
3)CH
2phenyl, and the like and derivatives thereof. "Phenylallcyl" means allcyl as defined above which is substituted with phenyl, e.g, - CH
2phenyl also known as benzyl, -(CH
2)
2phenyl, -(CH
2)
3phenyl, CH
3CH(CH
3)CH
2ρhenyl, and the like and derivatives thereof. Phenylallcyl is a subset of the aralkyl group. "Heteroaralkyl" group means allcyl as defined above which is substituted with a heteroaryl group, e.g, -CH
2pyridinyl, -(CH
2)
2pyrimidinyl, -(CH
2)
3imidazolyl, and the likes and derivatives thereof. "Heterocyclylallcyl" group means allcyl as defined above which is substituted with a heterocycle group, e.g, -CH
2pyrrolidin-l-yl, -(CH
2)
2piperidin-l-yl, and the like, and derivatives thereof. The term "hydrocarbyl" as used herein includes any radical containing carbon and hydrogen including saturated, unsaturated, aromatic, straight or branched chain or cyclic including polycyclic groups. Hydrocarbyl includes but is not limited to Cι-C
8alkyl, C
2-C
8alkenyl, C
2- Cgalkynyl, C
3-Cι
0cycloallcyl, aryl such as phenyl and naphthyl, Ar (C
1-C
8)alkyl such as benzyl, any of which may be optionally substituted. As used herein, "pseudohalides" are groups that behave substantially similar to halides. Such groups can be used in the same manner and treated in the same manner as halides (X, in which X is a halogen, such as CI or Br). Pseudohalides include, but are not limited to cyanide, cyanate, thiocyanate, selenocyanate, trifluoromethyl and azide. It will also be recognised that the compounds described herein may possess asymmetric centres and are therefore capable of existing in more than one stereoisomeric form. The invention thus also relates to compounds in substantially pure isomeric form at one or more asymmetric centres e.g, greater than about 90% ee, such as about 95% or 97% ee or greater than 99% ee, as well as mixtures, including racemic mixtures, thereof. Such isomers may be naturally occurring or may be prepared by asymmetric synthesis, for example using chiral intermediates, or by chiral resolution.
2. Agents for inhibiting or reducing adipogenesis In one embodiment, the present invention relates to a method of inhibiting or reducing adipogenesis in obesity or conditions of localized, abnormal increases in adipogenesis comprising administering to a patient in need of such treatment an adipogenesis inhibiting amount of an agent which impairs or interferes with a FGF signalling pathway, and optionally a pharmaceutically acceptable carrier or diluent. The agent may be selected from small organic molecules, peptides, polypeptides, proteoglycans, proteins, sugars, oligosaccharides and carbohydrates as defined below.
(i) Suitable small organic molecules that impair or interfere with a FGF signalling pathway include:
(a) 6-aryl pyrido[2,3-d]pyrimidines and naphthyridmes of formula (I):
wherein
X is CH or N;
B is halo, hydroxy, or NR3R ;
Ri, R2, R3 and R4 independently are hydrogen, C C8 allcyl, C2-C8 alkenyl, C2-C8 allcynyl, Ar1, amino, Cι-C8 allcylamino or di-Ci-Cg alkylamino; and wherein the allcyl, alkenyl, and alkynyl groups may be substituted by NR5R6, where R5 and R6 are independently hydrogen, C C8 alkyl,
C2-C8 alkenyl, C2-C8 allcynyl, C3-Cι0 cycloallcyl or
and wherein any of the foregoing alkyl, alkenyl, and allcynyl groups may be substituted with hydroxy or a 5- or 6-membered carbocyclic or heterocyclic ring containing 1 or 2 heteroatoms selected from nitrogen, oxygen, and sulfur, and R9, Rjo, Rn and R[2 independently are hydrogen, nitro, trifluoromethyl, phenyl, substituted phenyl, -C≡N, -COOR8, -COR8,
-S02R8, halo C,-C8 allcyl, C,-C8 alkoxy, thio, -S-C C8 allcyl, hydroxy, Cι-C8 alkanoyl, C,-C8 alkanoyloxy, or -NR5R6, or R9 and R10 taken together when adjacent can be methylenedioxy; n is 0, 1, 2 or 3; and wherein R5 and R6 together with the nitrogen to which they are attached can complete a ring having 3 to 6 carbon atoms and optionally containing a heteroatom selected from nitrogen, oxygen, and sulfur;
R! and R2 together with the nitrogen to which they are attached, and R3 and R4 together with the nitrogen to which they are attached, can also be
or can complete a ring having 3 to 6 carbon atoms and optionally containing 1 or 2 heteroatoms selected from nifrogen, oxygen, and sulfur, and R] and R additionally can be an acyl analog selected from
in which R8 is hydrogen, -C8 allcyl, C2-C8 alkenyl, C2-C8 allcynyl, C3-Cι0 cycloallcyl optionally containing an oxygen, nitrogen, or sulfur atom,
and -NR5R6, and wherein the R allcyl, alkenyl, and allcynyl groups can be substituted by NR5R6; Ar and Ar are unsubstituted or substituted aromatic or heteroaromatic groups selected from phenyl, imidazolyl, pyrrolyl, pyridyl, pyrimidyl, benzimidazolyl, benzothienyl, benzofuranyl, indolyl, pyrazinyl, thiazolyl, oxazolyl, isoxazolyl, furnanayl, thienyl, naphthyl, wherein the substituents are R9, Rio, Ri1 and R12 as defined above; and the pharmaceutically acceptable acid and base addition salts thereof; provided that when X is N, B is NHCONHtbutyl and Ar is 2,6- dichlorophenyl, Ri and R2 cannot be hydrogen and 4-diethylaminobutyl. Particularly preferred 6-arylpyrido[2,3-d]pyrimidines include those of formula (la):
wherein R3, P . RS, Re, R9 and R,0 are defined in formula (I) above.
Exemplary compounds include: l-tert-Butyl-3-[6-(2,6-dichlorophenyl)-2-(3-diethylamino-propylamino)-pyrido[2,3-d]-pyrimidin- 7-yl]-urea; l-tert-Butyl-3-[6-(2,6-dichlorophenyl)-2-(3-dimethylamino-propylamino)-pyrido[2,3-d]pyrimidin-
7-yl]-urea; l-tert-Butyl-3-[6-(2,6-dichlorophenyl)-2-(3-dimethylamino-2,2-dimethyl-propylamino)-pyrido[2,3- d]pyrimidin-7-yl] -urea; l-tert-Butyl-3-(6-(2,6-dichlorophenyl)-2-[3-(2-me1hyl-piperidin-l-yl)-propylarnino]-pyrido[2,3- d]pyrimidin-7-yl)-urea; l-[6-(2,6-Dichlorophenyl)-2-(4-diethylamino-butylamino)-pyrido[2,3-d]pyrimidin-7-yl]-3-phenyl- urea; l-[6-(2,6-Dichlorophenyl)-2-(4-diethylamino-butylamino)-pyrido[2,3-d]pyrimidin-7-yl]-3-ethyl- urea; l-[6-(2,6-Dichlorophenyl)-2-(4-diethylamino-butylamino)-pyrido[2,3-d]pyrimidin-7-yl]-3-ethyl- urea, hydrochloride salt; l-Cyclohexyl-3-[6-(2,6-dichlorophenyl)-2-(4-diethylamino-butylamino)-pyrido[2,3-d]pyrimidin-7- yl]-urea; l-tert-Butyl-3-[6-(2,6-dibromo-phenyl)-2-(3-diethylamino-ρropylamino)-pyrido[2,3-d]pyrimidin-
7-yl]-urea; l-tert-Butyl-3-[6-(2,6-dichlorophenyl)-2-(2-diethylamino-ethylaιnino)-pyrido[2,3-d]-pyrimidin-7- yl]-urea; l-[6-(2,6-Dichlorophenyl)-2-(2-diethylamino-ethylamino)-pyrido[2,3-d]pyrimidin-7-yl]-3-ethyl- urea; l-tert-Butyl-3-{6-(2,6-dichlorophenyl)-2-[(3-dimethylammo-propyl)-methyl-amino]-pyrido[2,3-d]- pyrimidin-7-yl} -urea; l-[6-(2,6-Dichlorophenyl)-2-(3-diethylamino-propylamino)-pyτido[2,3-d]pyrimidin-7-yl]-3-ethyl- urea; l-[6-(2,6-Dichlorophenyl)-2-(3-diethylamino-propylamino)-pyrido[2,3-d]pyrimidin-7-yl]-3- isopropyl-urea; l-[2-(3-Dimethylamino-propylamino)-6-(2,6-dimethyl-phenyl)-pyrido[2,3-d]pyrimidin-7-yl]-urea; l-tert-Butyl-3-[2-(3-diethylamino-propylamino)-6-(2,6-dimethyl-phenyl)-pyrido[2,3-d]pyrimidin-
7-yl]-urea; and l-[6-(2,6-Dichlorophenyl)-2-(4-diethylamino-butylamino)-pyrido[2,3-d]pyrimidin-7-yl]-3-ethyl- urea. These compounds, methods for their preparation and their biological activity are disclosed in EP 0790997. The disclosed compounds are described as having an inhibitory effect on the protein tyrosine kinase activity associated with FGF.
(b) 2-arylbenzimidazole compounds of formula (II):
or a stereoisomer or a pharmaceutically acceptable salt thereof; wherein X is N or O;
Ri and R2 are at each occurrence independently selected from halogen, nitro, cyano, trifluoromethyl, hydrocarbyl, ORt, SR4, SOR5, S02R5, COOH, COR6, SONR7R8, S02NR7R8 and
NR7R8;
R3 is selected from H or R and is absent when X is O;
R9 and R10 are independently selected from H and R^ R4 is selected from H, hydrocarbyl, COR6, and CONR7R8;
R5 is hydrocarbyl;
R6 is selected from H, hydrocarbyl, OR5 and NR7R8;
R7 and R8 are each independently selected from H or hydrocarbyl, or one of R7 and R8 is H or hydrocarbyl and the other is COR5, COOR5, or CONR7R8, or R7 and R8 together with the nitrogen atom to which they are attached form a saturated or unsaturated heterocyclic ring optionally containing 1-2 further heteroatoms selected from oxygen, nifrogen and sulfur; m is 0 to 3 and n is 0 to 5. Exemplary compounds are those wherein
X is N, m is 1, R, at position 5 is a radical NHCOCH3, R9 and R10 are H, R3 is CH2-CH2-COOH, CH2-CH2-COOR5, or CH2-CH2-CONR7R8, wherein R5 is C Cg allcyl, preferably methyl, and R7 and
R8 are each independently selected from H or hydrocarbyl or R7 and R8 together with the nifrogen atom to which they are attached form a saturated or unsaturated heterocyclic ring optionally containing 1-2 further heteroatoms selected from oxygen, nifrogen and sulfur, n is 2 and R2 is Cι-C8 alkoxy, preferably methoxy, most preferably at positions 3 and 5 of the phenyl radical. A preferred compound is 3-(5-acetylamino-4-carbamoyl-2-(3,5-dimethoxyphenyl)-benzimidazol-lyl)-propionic acid. These compounds, methods for their preparation and their biological activity are disclosed in WO 03/020698. The disclosed compounds are described as having an inhibitory effect on tyrosine kinase activity associated with an FGFR.
(c) benzofuro[3,2-c]quinoline compounds of formula (III):
or a stereoisomer or a pharmaceutically acceptable salt thereof; wherein
R, and R2 are at each occurrence are independently selected from halogen, nitro, cyano, frifluoromethyl, hydrocarbyl, OR,, SR4, SOR5, S02R5, COOH, COR6, SONR7R8, S02NR7R8 and
NR7R8;
R4 is selected from H, hydrocarbyl, COR6) and CONR7R8;
R5 is hydrocarbyl; R6 is selected from H, hydrocarbyl, OR5 and NR7R8;
R7 and R8 are each independently selected from H or hydrocarbyl, or one of R7 and R8 is H or hydrocarbyl and the other is COR5, COOR5, or CONR7R8, or R7 and R8 together with the nifrogen atom to which they are attached form a saturated or unsaturated heterocyclic ring optionally containing 1-2 further heteroatoms selected from oxygen, nitrogen and sulfur; m and n independently are an integer from 0 to 4. Exemplary compounds are those wherein R3 is H, m is 1, Ri is selected from OH or dimethyl carboxamoyl, n is 2, R2 is selected from N02 or NH2, especially 3 -hydroxy 9-nifro-5H- benzofuro[3,2-c] quinoline-6-one and 3-methylcarbamoyloxy-9-amino-5H-benzofuro[3,2-c] quinoline-6-one. These compounds, methods for their preparation and their biological activity are disclosed in WO 03/020698. The disclosed compounds are described as having an inhibitory effect on tyrosine kinase activity associated with an FGFR.
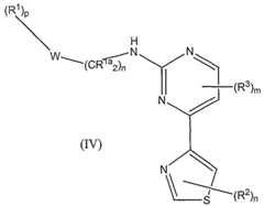
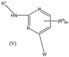
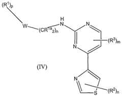
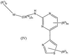
(d) pyrimidine derivatives of formula (IN):
wherein
Rla is independently selected from H, unsubstituted or substituted Cι-C10 allcyl, OR8, and N(R8)2; R1 is independently selected from H, unsubstituted or substituted C]-Cιo allcyl, unsubstituted or substituted C3-C10 cycloallcyl, unsubstituted or substituted aryl, unsubstituted or substituted heterocyclyl, halo, CF3, -(CH2)tR9C(0)R8, -C(0)R9, -(CH2)tOR8, unsubstituted or substituted C2-C6 alkenyl, unsubstituted or substituted C2-C6 alkynyl, CN, -(CH2)tNR7R8, -(CH2)tC(0)NR7R8, -C(0)OR8, and -(CH2)tS(0)q(CH2)tNR7R8; R2 is independently selected from H, unsubstituted or substituted C1- 0 allcyl, unsubstituted or substituted C3-Cι0 cycloallcyl, unsubstituted or substituted aryl, unsubstituted or substituted heterocycle, halo, CF3, -(CH2)tR9C(0)R8, -C(0)R9, -(CH2)tOR8, unsubstituted or substituted C2-C6 alkenyl, unsubstituted or substituted C2-C6 allcynyl, CN, -(CH2)tNR7R8, -(CH2)tC(0)NR7R8, -C(0)ORs, and -(CH2)tS(0)q(CH2)tNR7R8; R3 is independently selected from H, unsubstituted or substituted -C10 allcyl, unsubstituted or substituted aralkyl, CN, halo, N(R8)2, OR8, and unsubstituted or substituted aryl; R7 is selected from H, unsubstituted or substituted -C10 allcyl, and unsubstituted or substituted ar allc l; R8 is independently selected from H, unsubstituted or substituted C Cιo allcyl, unsubstituted or substituted aryl, unsubstituted or substituted heterocyclyl, unsubstituted or substituted C3-Cι0 cycloallcyl, and unsubstituted or substituted aralkyl;
R7 and R8, when attached to the same nitrogen atom may be joined to form a 5-7 membered heterocycle containing, in addition to the nitrogen, one or two more heteroatoms selected from N, O, or S, said heterocycle being optionally substituted with one to three R2 substituents; R9 is independently selected from unsubstituted or substituted C Cιo allcyl, unsubstituted or substituted heterocycle, and unsubstituted or substituted aryl; W is selected from aryl, and heterocycle; m is 0, 1 or 2; n is independently 0, 1, 2, 3, 4, 5 or 6; p is 0, 1, 2, 3 or 4; q is independently 0, 1 or 2; t is independently 0, 1, 2, 3, 4, 5 or 6; or a pharmaceutically acceptable salt, hydrate or stereoisomer thereof. hi this embodiment the term "heterocyclyl" encompasses saturated, unsaturated and heteroaromatic groups. Exemplary compounds include:
wherein R1 is independently selected from H, unsubstituted or substituted Ci-Cio allcyl, halo, unsubstituted or substituted aryl, unsubstituted or substituted heterocycle, CF3, -(CH2)tR9C(0)R8, -C(0)R9, and
-(CH2)tOR8;
R2 is independently selected from H, unsubstituted or substituted Cι-C10 alkyl, unsubstituted or substituted aryl, unsubstituted or substituted heterocycle, halo, OR8, N(R8)2, and CN; R3 is independently selected from H, unsubstituted or substituted Cι-Cι0 allcyl, and unsubstituted or substituted aralkyl;
R8 is independently selected from H, unsubstituted or substituted CpCio alkyl, and unsubstituted or substituted aryl;
R9 is independently selected from unsubstituted or substituted aryl, and unsubstituted or substituted heterocycle; m is 0, 1 or 2; n is O, 1, 2, 3, 4, 5 or 6; p is O, 1, 2, 3 or 4; t is independently 0, 1, 2, 3, 4, 5 or 6; or a pharmaceutically acceptable salt, hydrate or stereoisomer thereof. Preferred compounds include: 4-(2-amino-5-bromo-l,3-thiazol-4-yl)-N-(3,5-dimethylphenyl)pyrimidin-2-amine; 4-(2-amino-l,3-thiazol-4-yl)-N-(3,5-dimethylphenyl)pyrimidin-2-amine; 4-(2-amino-5-phenyl-l,3-thiazol-4-yl)-N-(3,5-dimethylphenyl)pyrimidin-2-amine; 2-amino-4- {2-[(3 ,5 -dimethylphenyl)amino]pyrimidin-4-yl} - 1 ,3 -thiazole-5 -carbonitrile; 4-{2-[(3,5-dimethylphenyl)amino]pyrimidin-4-yl}-l,3-thiazole-5-carbonitrile; or a pharmaceutically acceptable salt or hydrate thereof. These compounds, methods for their preparation and their biological activity are disclosed in WO 03/011838. The disclosed compounds are described as having an inhibitory effect on the tyrosine kinase activity of growth factor receptors.
(e) pyrimidine derivatives of foraiula (V):
wherein
W is selected from:
X and Y are independently selected from C or N, provided that when X is N, then Y is C and when
X is C, then Y is N;
V is C orN; R1 is selected from unsubstituted and substituted aryl or unsubstituted or substituted heterocycle, where the substituted group may have from 1 to 3 substituents selected from unsubstituted or substituted Cι-C6 allcyl, unsubstituted or substituted C3-C10 cycloallcyl, unsubstituted or substituted aryl, unsubstituted or substituted aralkyl, CF3, OR4, halo, CN, -(CH2)tR9C(0)R4, -(CH2)tOR4,
-(CH2)tR9C(0)NR7R4, where R4 and R7 may be taken together with the nitrogen to which they are attached to form a 5-7 membered heterocycle containing, in addition to the nitrogen, one or two additional heteroatoms selected from N, O and S, said heterocycle being optionally substituted with one to three substituents selected from R2; and -C(0)R4;
R2 is selected from H, halo, unsubstituted or substituted Cι-C6 alkyl, unsubstituted or substituted aryl, unsubstituted or substituted C2-C6 alkenyl, unsubstituted or substituted C2-C6 alkynyl, OR4, CN and N(R4)2;
R3 is independently selected from H, unsubstituted or substituted C]-C6 allcyl, unsubstituted or substituted aryl, unsubstituted or substituted heterocyclyl, CN, halo, OR4, and N(R4)2;
R4 is selected from H, unsubstituted or substituted Cx-C6 allcyl, unsubstituted or substituted aryl, unsubstituted or substituted aralkyl, and unsubstituted or substituted heterocyclyl; R7 is selected from H, unsubstituted or substituted Cι-C6 allcyl, unsubstituted or substituted aryl, unsubstituted or substituted aralkyl, and unsubstituted or substituted heterocycle;
R9 is selected from unsubstituted or substituted heterocycle; m is 0, 1 or 2; n is 0, 1, 2, 3, 4 or 5; and t is 0, 1, 2, 3, 4 or 5; or a pharmaceutically acceptable salt, hydrate or stereoisomer thereof. In this embodiment, the term "heterocyclyl" or "heterocycle" included saturated, unsaturated and heteroaromatic groups. Especially desirable compounds have the following formula:
wherein
X and Y are independently selected from C or N, provided that when X is N, then Y is C and when X is C, then Y is N;
R2 is selected from H, halo, unsubstituted or substituted C C6 allcyl, and OR4;
R3 is independently selected from H, unsubstituted or substituted C]-C6 allcyl, unsubstituted or substituted aryl, and unsubstituted or substituted heterocyclyl.
R4 is selected from H, unsubstituted or substituted Cι-C6 allcyl, unsubstituted or substituted aryl, unsubstituted or substituted aralkyl, and unsubstituted or substituted heterocyclyl;
R5 is independently selected from unsubstituted or substituted Cι-C6 allcyl, OR4, halo, and CN;
R7 is selected from H, unsubstituted or substituted -Cβ allcyl, unsubstituted or substituted aryl, unsubstituted or substituted aralkyl, and unsubstituted or substituted heterocyclyl;
R9 is selected from unsubstituted or substituted heterocyclyl; m is 0, 1 or 2; n is 0, 1, 2, 3, 4 or 5; and q is O, 1, 2, 3 or 4; or a pharmaceutically acceptable salt, hydrate or stereoisomer thereof. Exemplary compounds include: (4-Indol-l -yl-pyrimidin-2-yl)-phenyl-amine;
[4-( lH-Indol-3 -yl)-pyrimidin-2-yl] -phenyl-amine; [4-(5-Chloro-indol-l-yl)-pyτimidin-2-yl]-phenyl-amine;
[4-(5-Chloro-7-fluoro-indol- 1 -yl)-pyrimidin-2-yl]-phenyl-amine;
[4-(5-Chloro-indol-l-yl)-pyrimidin-2-yl]-(3,5-dimethyl-phenyl)-amine;
[4-(4-Chloro-indol-l-yl)-pyrimidin-2-yl]-phenyl-amine;
[4-(6-Chloro-indol-l-yl)-pyrimidin-2-yl]-phenyl-amine;
[4-(4-Fluoro-indol- 1 -yl)-pyrimidin-2-yl] -phenyl-amine;
[4-(5-Methoxy-indol- 1 -yl)-pyrimidin-2-yl]-phenyl-amine;
[4-(4-Methoxy-indol-l-yl)-pyrimidin-2-yl]-phenyl-amine;
[4-(5-Fluoro-indol-l-yl)-pyrimidin-2-yl]-phenyl-amine;
[4-(6-Fluoro-indoI- 1 -yl)-pyrimidin-2-yl]-phenyl-amine;
1 -(2-Phenylamino-pyrimidin-4-yl)- lH-indol-4-ol; l-(2-Phenylamino-pyrimidin-4-yl)-lH-indol-5-ol;
[4-(lH-Indol-3-yl)-pyrimidin-2-yl]-phenyl-amine;
(3,5-Dimethyl-phenyl)-[4-(li -indol-3-yl)-pyτimidin-2-yl]-amine; or a pharmaceutically acceptable salt, hydrate or stereoisomer thereof. These compounds, methods for their preparation and their biological activity are disclosed in WO 02/102783. The disclosed compounds are described as having an inhibitory effect on the tyrosine kinase activity of growth factor receptors.
(f) 2,2'-dittøobis(l#-indoles) of formula (VI):
wherein X is selected from CH or Ν; Ri is selected from H, C6allcyl, C2-6alkenyl and Cι-6alkylΝ(R4)2;
R2 is selected from H, halogen, C6alkyl, hydroxy, Cι-6allcoxy, -OCOC6alkoxy, frifluoromethyl, cyano, nitro, NH2, NHCpβaikyl and (Cι-6alkyl)2;
R3 is selected from COR5, Cr6alkyl, phenyl, SOzR5 and cyano;
Each R is independently selected from H and Cι-6allcyl;
R5 is selected from [C(R6)2]mN(R7)2) [C(R6)2]mC02R, [C(Rs)2]mphenyl, Ci-ealkyl or heterocyclyl; Each R6 is independently selected from H, C3alkyl, hydroxy, Cπal oxy frifluoromethyl, cyano, nitro and halo;
Each R7 is independently selected from hydrogen, Cι-3alkyl, [C(R5)2]mphenyl, [C(R6)2]mN(R8)2,
[C(R6)2]mOR8 and heterocyclyl;
Each R8 is independently selected from H and d-3alkyl; and m is 0 or an integer from 1 to 3; and wherein each phenyl group is optionally substituted with R2, C02H or C02Cι-3alkyl. Preferred compounds are those in which X is CH or (CR2);
R, is hydrogen or methyl, R3 is CH2CH2C02H, CH2CH2C02CH3, CH2CH(NH2)CONHPh or
CONHPh and R2 is selected from H, 4-chloro, 4-methyl, 4-methoxy, 4-acetyloxy, 5-fluoro, 5- chloro, 5-bromo, 5-methyl, 5-methoxy, 5-acetyloxy, 5-hydroxy, 5-frifluoromethyl, 5-cyano, 5- nitro, 6-chloro, 6-methyl, 6-methoxy, 6-acetyloxy, 6-hydroxy, 7-chloro, 7-methyl, 7-methoxy, 7- acetyloxy, 7-hydroxy, or when X is N, R, is methyl, R2 is hydrogen and R3 is CONHPh, or those in which X is CH, R, is hydrogen, methyl or (CH2)3N(CH3)2, R2 is H and R3 is CH3, phenyl, CONH2,
CONHCH3, CON(CH3)2, CONHPh, CONHCH2Ph, CONHCH2C02H, CONH(CH2)2N(CH3), CONHCH2CH(OH)CH2OH, CONHCH2Ph(4-C02H), CONHCH2Ph(4-C02CH3), CON(CH3)Ph,
CONHPh(2-C02H), CONHPh(3-C02H), CONHPh(4-C02H), CONHPh(2-C02CH3), CONHPh(3-
C02CH3), CONHPh(4-C02CH3), CONH(2-pyridyl), CONH(3 -pyridyl), CONH(4-pyridyl),
CONH(2-fhienyl), COCH3, COPh, COPh(4-C02H), COPh(4-C02CH3), CO(2-furyl), CN or
S02Ph(4-CH3). These compounds, methods for their preparation and their biological activity are disclosed in Palmer et al, J. Med. Chem, 1995, 38, 58-67 and Rewcastle et al, J. Med. Chem, 1994, 37,
2033-2042. The disclosed compounds are described as having an inhibitory effect on tyrosine kinase activity of growth factor receptors.
(g) 4-aniloquinazolines of formula (VII):
wherein
Ri is selected from halo, hydroxy, Cι-3allcoxy, SH, SCι-3allcyl, Cι-3allcyl, C2-3alkenyl, C2-3allcynyl or cyano;
R
2 is selected from H, OCι_
3allcyl, OC
2-3alkenyI, OC
2.
3alkynyl or OC
1.
3allcylOCι
-3allcyl; and R
3 is selected from Cj.
6allcyl, C
2.
6alkenyl, C
2_
6alkynyl, Cι.
3allcylO-Cι.
3allcyl, Cι.
3allcylS-Cι
-3allcyl, heterocycle, heterocycleCι.
6allcyl-, heterocycleC
2-6alkenyl, heteroaryl, heteroarylC].
6alkyl-, heteroarylC
2-6allcenyl; and m is 0 or an integer from 1 to 4. Exemplary compounds of formula (VII) include those where m is 1 to 3, R] is selected from F, CI, Br, I, OH, CH
3 and cyano, R
2 is selected from H, methoxy or 0(CH
2)
2OCH
3 and R
3 is selected from H, CH
3, (CH
2)
20CH
3, heterocyclyl, heterocyclylC
1.
4allcyl-, heterocyclylC
2-4alkenyl-, heteroaryl,
or heteroarylC
2.
4aIkenyl-. Preferred compounds of formula (VII) are those in which m is 1 to 3, Ri is selected from F,
CI, Br, I, OH, CH3 and cyano, R2 is selected from H, methoxy or 0(CH2)2OCH3 and R3 is selected from H, CH3, (CH2)2OCH3, l-(l,2,3-triazolyl)-(CH2)20, MeN(CH2CH2)2CH-CH20, MeO(CH2)20, 4-Me-piperazinyl-(CH2)30, 4-Me-piperazinyl-(CH2)30, 4-Me-piperazinyl-(CH2)2-0, 4- morpholiπyl-(CH2)30, 4-morpholinyl-(CH2)20, l-pyrrolidinyl-(CH2)30, (CH2)4N-CH2CH=CH- CH20, (CH2)4N-CH2CH=CH-CH20, (CH2)4N-CH2CH=CH-CH20, 4-pyridyl-N(Me)-(CH2)20, MeN(CH2CH2)2CH-0, MeN(CH2CH2)2CH-CH20, MeN(CH2CH2)2CH-CH20, MeN(CH2CH2)2CH- CH20, MeN(CH2CH2)2CH-CH20, MeN(CH2CH2)2CH-CH20, MeN(CH2CH2)2CH-CH20, HN(CH2CH2)2CH-CH20, HN(CH2CH2)2CH-CH20, HN(CH2CH2)2CH-CH20, HN(CH2CH2)2CH- CH20, HN(CH2CH2)2CH-CH20, MeN(CH2CH2)2CH-CH2CH20, MeN(CH2CH2)2CH-CH2CH20, HN(CH2CH2)2CH-CH2CH20, (R) MeN(CH2)(CH2)3CH-CH20, (R) MeN(CH2)(CH2)3CH-CH20, (S) MeN(CH2)(CH2)3CH-CH20. These compounds, methods for their preparation and their biological activity are disclosed m Hennequm et al, J. Med. Chem, 1999, 42, 5369-5389 and Hennequm et al, J. Med. Chem, 2002, 45, 1300-1312. The disclosed compounds are described as having an inhibitory effect on tyrosine kinase activity of growth factor receptors.
(h) 4-amhnoqumohnes and cmnolmes of formula (VIII):
wherein X is CH or N,
Ri is selected from halo, hydroxy, C]-3alkoxy, SH, SCι.3allcyl, Cι.3alkyl, C2-3alkenyl, C2-3alkynyl or cyano;
R
2 is selected from H, OC
]-3allcyl, OC
2.
3alkenyl, OC
2-3alkynyl or
and
R is selected from Cι.6allcyl, C2-6alkenyl, C2-6alkynyl, Cι-3allcylO-Cι.3allcyl-, Cι.3aιlcyl8-Cι.3alkyl-, heterocycle, heterocycleC ^allcyl-, heterocycleC2-6alkenyl-, heteroaryl, heteroarylCi-βal yl-, heteroarylC2-6alkenyl-; and m is 0 or an integer from 1 to 4. Exemplary compounds are those in which X is CH or N where m is 1 to 3, Ri is selected from F, CI, Br, I, OH, CH3 and cyano, R2 is selected from H, methoxy or 0(CH2)2OCH3 and R3 is selected from H, CH3, -(CH2)2OCH3, heterocyclyl, heterocyclylCι- allcyl-, heterocyclylC2.4alkenyl-, heteroaryl, heteroarylCι.4allcyl- or heteroarylC2-4alkenyl-. Preferred compounds are those in which X is CH or N, m is 1 to 3, Ri is F, CI or OH, R2 is
OCH3 and R3 is (CH2)2OCH3. These compounds, methods for their preparation and their biological activity are disclosed m Hennequm et al, J. Med. Chem, 1999, 42, 5369-5389 and Hennequm et al, J. Med. Chem,
2002, 45, 1300-1312. The disclosed compounds are described as having an inhibitory effect on tyrosine kinase activity of growth factor receptors.
(i) l-oxo-3 -aryl- lH-indene carboxylic acid derivatives of formula (IX):
wherein X is CH, C(Rι) or N; m is 0 or an integer from 1 to 2; each R] and R
2 is independently selected from H, C].
3allcyl, halo, N0
2, CN, OH, OCι
-3 allcyl, NH
2,
NH(C,.3allcyl) or N(C,.3allcyl)2; R3 is selected from Chalky!, unsubstituted or substituted phenyl or R3 and R2 together may be -
CH2CH2-, -CH2CH2-CH2-, -CH2CH2CH2CH2-, -CH2CH2CH2CH2CH2- wherein one or more -CH2- may be replaced by a heteroatom selected from O, S, NH or NCι-3alkyl;
R4 is hydrogen or when R3 is allcyl or forms a ring with R2, R4 together with the first carbon atom of R3 may form a double bond; R5 is selected from OH, OC^alkyl, NH2, NH(C1-3allcyl), N(C1-3alkyl)2, NH(CH2)nN(R8)2;
R6 is hydroxy;
R7 is hydrogen; or R6 and R7 together form =0;
Each R8 is independently selected from hydrogen and Cι-3allcyl; is a single or double bond; n is an integer from 1 to 3, and the phenyl in R3 may be substituted one or more times with a group selected from C,.3allcyl, frifluoromethyl, halo, hydroxy, OC1-3alkyl, N02, CN, NH2, NH(Cι-3alkyl) and N(C,.3allcyl)2. Exemplary compounds include those in which:
X is CH or C(R,); m is 0 or 1 ; each R, is selected from CH3, CI, N02 and OCH3;
R2 is H or OCH3;
R3 is C1-3 allcyl, unsubstituted phenyl or phenyl substituted with one or more substituents selected from methyl or halo; or R3 and R2 together are -CH2-CH2-CH2- or -CH2-CH2-CH2-CH2-;
R4 is hydrogen or together with the first carbon atom of R3 forms a double bond;
R5 is selected from OH, OCH3, NH2, NHCH3, N(CH3)2 or NH(CH2)2N(CH2CH3)2;
R6 is hydroxy; and R7 is hydrogen or Rs and R7 together form =0. Preferred compounds include:
1 -oxo-3 -phenyl - 1 H-indene-2 -carboxamide ;
3 -ethyl- 1 -oxo- 1 H-indene-2-carboxamide; l-hydroxy-3-phenyl-177-indene-2-carboxamide; l-oxo-3-[4-chlorophenyl]-lH-indene-2-carboxamide;
1 -oxo-3 -[4-methoxyphenyl] - li7-indene-2-carboxamide; l-oxo-3-phenyl-lH-indene-2-carboxylic acid;
1 -oxo-3 -phenyl- lH-indene-2-N-methylcarboxamide; l-oxo-3-phenyl-17 -indene-2-N,N-dimethylcarboxamide; l-oxo-3-phenyl-lH-indene-2-N-[N,N-diethylamino-ethyl]carboxamide;
Methyl 1 -oxo-3 -phenyl- l/J-indene-2-carboxylate;
Methyl 5 -methyl- 1 -oxo-3 -phenyl- l/J-indene-2-carboxylate;
Methyl 6-methyl- 1 -oxo-3 -phenyl- l/J-indene-2-carboxylate;
Methyl 5 -chloro- 1 -oxo-3 -phenyl-17 -indene-2-carboxylate; Methyl 6-chloro-l -oxo-3 -phenyl- l/J-indene-2-carboxylate;
Methyl 5 -nitro- 1 -oxo-3 -phenyl- lH-indene-2-carboxylate;
Methyl 6-nitro- 1 -oxo-3 -phenyl- lH-indene-2-carboxylate;l
Methyl 4-methoxy- 1 -oxo-3 -phenyl- lH-indene-2-carboxylate;
Methyl 7-methyl-l -oxo-3-phenyl-l/ϊ-indene-2-carboxylate;
These compounds, methods for their preparation and their biological activity are disclosed in Barvain et al, Bioorg. Med. Chem. Let, 1997, 7(22), 2903-2908. The disclosed compounds are described as fibroblast growth factor receptor-1 tyrosine kinase inhibitors.
(j) hidolinones of formula (X):
wherein R, is selected from cycloallcyl, cycloalkenyl, heterocyclyl, aryl or heteroaryl; Each R
2 is selected from hydrogen or Cι
-6alkyl; R
3 is selected from H,
OH, C
1-6alkoxy, halo, substituted Cι
-6allcyl, halo, CN, N0
2, cycloallcyl, C0
2H, C0
2Cι_
6alkyl, halosubstituted Cι.
6alkoxy, aryl, aryloxy, heteroaryl, heteroaryloxy, NR
5R
6, CONR
5R
6 or -C
1-6alkylene CONR
5R
6; R
4 is selected from R
3 or
wherein n is 0, 1 or 2; m is 1, 2 or 3; p is 0 or an integer from 1 to 3;
R
5 is selected from hydrogen or C
\.
6 alkyl; and Re is selected from aryl, heteroaryl, heterocyclyl, aminoallcyl, alkylaminoalkyl, dialkylaminoallcyl, hydroxyalkyl, acetylalkyl, cyanoalkyl, carboxyalkyl, alkoxycarbonylalkyl, heteroaralkyl, aralkyl, or heterocyclylalkyl wherein the allcyl chain in aminoallcyl, alkylaminoalkyl, dialkylaminoallcyl, aralkyl, heteroaralkyl, or heterocyclylalkyl is optionally substituted with one or two hydroxy or R
5 and R
6 together with the nitrogen atom to which they are attached combine to form saturated or unsaturated heterocyclylamino; wherein each cycloalkyl, cycloalkenyl, heterocyclyl, aryl or heteroaryl in Ri may be optionally substituted with one to four substituents independently selected from H, Cι
-6alkyl, OH, -Ci.
6alkyleneOH, -OC,.
6allcyl,
■€ι_
6alkyleneOCι_
6alkyl, -O-C
walkyleneOC
walkyl, -0-C,.
6alkyleneOH, halo, halosubstituted Cι.
6alkyl, halo substituted -OC
1-6alkyl, -CN, -N0
2, C
3-7cycloalkyl, -Q.
6alkylenecycloalkyl, C0
2H, C0
2C,.
6allcyl, -C,.
6allcyleneC0
2H,
CON(R
2)
2, C,.
6allcyleneCON(R
2)
2, aryl, aryloxy, heteroaryl, heteroaryloxy, N(R
2)
2, -Cι_
6allcyleneN(R
2)
2, heterocyclyl, heterocyclyloxy, -Cι.
6allcyleneheterocyclyl, -Cι
-6allcylenearyl, - Ci-βalkyleneheteroaryl; wherein each allcyl, aryl, heteroaryl, heterocyclyl and alkylene may be optionally substituted with C
1-3alkyl, C
1-3alkoxy, halo, CN, N0
2, C0
2H, COH, C0
2Cι
-3alkyl, COC,.
3allcyl, COC,.
3allcyl, NH
2, NH(C,.
3alkyl) or N(C
1-3allcyl)
2. Exemplary compounds of formula (X) include those in which any one of the following definitions apply: is optionally substituted aryl, optionally substituted heteroaryl, optionally substituted cycloalkyl, optionally substituted cycloalkenyl or optionally substituted heterocyclyl; Each R
2 is hydrogen, or C
halky!; R
3 is hydrogen, C,.
3alkyl, OH, C,.
3alkoxy, halo, CN, N0
2, C0
2H, C0
2C
1-3allcyl, NH
2, NH(d.
3alkyl) or N(C,.
3allcyl)
2; R
4 is H or
where m, n and p are defined above;
R5 is H or d.3alkyl;
Rδ is selected from aminoallcyl, alkylaminoalkyl, dialkylaminoallcyl, hydroxyalkyl, acetylallcyl, cyanoallcyl, carboxyallcyl, alkoxycarbonylalkyl, heteroarallcyl, or heterocyclylalkyl wherein the allcyl chain in aminoallcyl, heteroarallcyl, heteroarallcyl, or heterocyclylalkyl is optionally substituted with one or two hydroxy group(s); or R5 and R6 together with the nitrogen atom to which they are attached form saturated or unsaturated heterocycloamino; preferably saturated 5 or 6 membered heterocycloamino containing one or two nitrogen atoms, the remaining ring atoms being carbon. One of the ring carbons may be optionally replaced by carbonyl or oxygen and the ring may be optionally substituted with one or two substituents independently selected group the group consisting of allcyl, hydroxy, dialkylamino, hydroxyalkyl, alkoxyalkyl, and optionally substituted heterocyclylalkyl wherein said heterocyclyl ring is 5 or 6 membered and contains one or two nitrogen atoms, the rest of the ring atoms being carbon. More preferably, R5 and R6 together with the nitrogen atom to which they are attached form 4-methylpiperazin-l-yl, 3,5-dimethylpiperazin-l-yl, piperidin-1-yl, morpholin-4-yl, 4-(pyrrolidin-l-yl)-piperidin-l-yl, 2- (pyrrolidin-l-ylmethyl)pyrrolidin-l-yl (wherein the stereochemistry at the C-2 carbon atom of the pyrrolidin-1-yl is RS, R or S), 4-hydroxypiperidin-l-yl, 4-aminopiperidin-l-yl, 3- diethylaminopyrrolidin-1-yl (wherein the stereochemistry at the C-3 carbon atom of the pyrrolidin- 1-yl is RS, R or S), 4-(pyrrolidin-l-yl)-piperidin-l-yl (stereochemistry at the C-4 carbon atom of the pyrrolidin-1-yl is RS, R or S), 3-hydroxypyrrolidin-l-yl (stereochemistry at the C-3 carbon atom of the pyrrolidin-1-yl is RS, R or S), 3-aminopyrrolidin-l-yl (stereochemistry at the C-3 carbon atom is RS, R, S), 2-(hydroxymethyl)pyrrolidin-l-yl (stereochemistry at the C-2 carbon atom of the pyrrolidin-1-yl is RS, R or S), 2-methoxymethylpyrrolidi-l-yl (stereochemistry at the C-2 carbon atom of the pyrrolidin-1-yl is RS, R or S), or 2-(4-hydroxypiperidin-l- ylmethyl)pyrrolidin-l-yl (stereochemistry at the C-2 carbon atom of the pyrrolidin-1-yl is RS, R or S). Particularly R5 and R6 together with the nitrogen atom to which they are attached form 2- (pyrrolidin-l-ylmethyl)pyrrolidin-l-yl (wherein the stereochemistry at the C-2 carbon atom of the pyrrolidin-1-yl is RS, R or S), preferably (R). Preferred compounds are those where Rj is optionally substituted cyclopentyl, optionally substituted cyclohexyl, optionally substituted phenyl, optionally substituted pyrrole, optionally substituted pyridine, optionally substituted furan or optionally substituted pyrimidine. For example, in preferred compounds Ri may be
wherein X is CH
2, O or NH, especially NH and R
7 is hydrogen, alkyl, cycloalkyl, hydroxyalkyl, aminoallcyl, allcylaminoallcyl, diallcylaminoallcyl, carboxyallcyl, heterocyclylalkyl, aryl, heteroaryl, carboxy, alkoxycarbonyl, heterocyclycarbonyl, aminoalkylcarbonyl, alkylaminoallcylcarbonyl, diallcylaminoallcylcarbonyl, -CONR
5R
6, or -(alkylene)-CONR
5R
6.
R
s and R
9 are independently hydrogen, allcyl, cycloallcyl, heterocyclylalkyl, -CORio, -(alkylene)- CORio where io is alkoxy, hydroxy, or heterocycle, alkylamino, dialkylamino), -S0
2Rπ, - CONRι
2Rπ, or -(allcylene) -CONRι
2R
n (where R
ϊ2 is hydrogen or allcyl, and R
n is aminoalkyl, allcylaminoallcyl, diallcylaminoallcyl, hydroxyalkyl, acetylalkyl, cyanoallcyl, carboxyallcyl, alkoxycarbonyallcyl, heteroallcyl, or heterocyclylalkyl wherein the allcyl chain is aminoallcyl, heteroarallcyl, heteroarallcyl, or heterocyclylalkyl is optionally substituted with one or two hydroxy gi'oup(s), or when R
12 and R
11 are attached to a nifrogen atom R
12 and Rn together with the nitrogen atom to which they are attached form saturated or unsaturated heterocyclylamino); or R
7 and R
8 or R
8 and R
9 can combine to fonn a saturated or unsaturated 5 to 8 membered ring. Particularly preferred substituents include Cι.
3alkyl, especially methyl, halo and C,.
3alkyleneCO
2H. In other preferred compounds R, is optionally substituted phenyl, particularly 4-substituted phenyl. Prefeπed substituents include Cι.
3alkyl, halo, trifluoromethyl, cycloallcyl especially cyclohexyl, and heterocyclyl especially
where R' can be H, C
1-3allcyl, C0
2H, C0
2C
1-3allcyl, C(O)H or C(0)C
1.
3alkyl. Particularly prefened compounds include:
3- { 1 -[3,5-dimethyl-4-(2-carboxy-l -ethyl)-lH-pyτrol-2-yl]-meth-(Z)-ylidene} -1 ,2-dihydro-indol-2- one,
3-{l-[4-methyl-3-(2-carboxy-l-ethyl)-lH-pyrrol-2-yl]-meth-(Z)-ylidene}-l,3-dihydro-indol-2-one,
3- { 1 -[4-(4-formylpiperazin- 1 -yl)phenyl] -meth-(Z)-ylidene} - 1 ,3 -dihydro-indol-2-one;
2,4-Dimethyl-5-[2-oxo-5-phenylmethanesulfonyl-l,2-dihydro-indol-(3z)-ylidenemethyl]-lH- pyrrole-3 -carboxylic acid (2-diethylamino-ethyl)-amide, [5-(2-Cyano-phenylmethanesulfonyl)-2-oxo-l,2-dihydro-indol-(3Z)-ylidenemethyl]-2,4-dimethyl- lH-pyrrole-3 -carboxylic acid (2-diethylamino-ethyl)-amide,
2,4-Dimethyl-5 -[2-oxo-5 -(3 -trifluoromethyl-phenylmethanesulfonyl)- 1 ,2-dihydro-indol-(3Z)~ ylidenemethyl]-lH-pyrrole-3-carboxylic acid (2-diethylamino-ethyl)-amide,
5 -[5 -(3 -Methoxy -phenylmethanesulfonyl)-2-oxo- 1 ,2-dihydro-indol-(3Z)-ylidenemethyl]-2,4- dimethyl- lH-pyrrole-3 -carboxylic acid (2-diethylamino-ethyl)-amide,
2-{3-[l-[3,5-Dimethyl-4-(4-methyl-piperazine-l-carbonyl)-lH-pyrrol-2-yl]-meth-(Z)-ylidene]-2- oxo-2,3-dihydro-lH-indole-5-sulfonylmethyl}-benzonifrile,
3-[l-[3,5-Dimethyl-4-(4-methyl-piperazine-l-carbonyl)-lH-pyrrol-2-yl]-meth-(Z)-ylidene]-5-(3- methoxy-phenylmethanesulfonyl)-l,3-dihydro-indol-2-one, 3-[l-[3,5-Dimethyl-4-(4-methyl-piperazine-l-carbonyl)-lH-pyrrol-2-yl]-meth-(Z)-ylidene]-5-(2- nitro-phenylmethanesulfonyl)- 1 ,3 -dihydro-indol-2-one,
2,4-Dimethyl-5-[5-(2-nitro-phenylmethanesulfonyl)-2-oxo-l,2-dihydro-indol-(3Z)-ylidenemethyl]- l/J-pyrrole-3 -carboxylic acid (2-diethylamino-ethyl)-amide,
2,4-Dimethyl-5-[2-oxo-5-phenylmethanesulfonyl-l,2-dihydro-indol-(3Z)-ylidenemethyl]-17J- pyn-ole-3 -carboxylic acid (2-[l,2,3]triazol-l-yl-ethyl)-amide,
2,4-Dimethyl-5-[5-(2-nitro-phenylmethanesulfonyl)-2-oxo-l,2-dihydro-indol-(3Z)-ylidenemethyl]- lH-pyrrole-3-carboxylic acid (2-[l,2,3]friazol-l-yl-ethyl)-amide, 3-[l-(3,5-Dimethyl-liϊ-pyrrol-2-yl)-meth-(Z)-ylidene]-5-phenylmethanesulfonyl-l,3-dihydro- indol-2-one,
4- {3 -[ 1 -[3 ,5 -Dimethyl -4-(4-methyl -piperazine-1-carbonyl)- lif-pyrrol-2-yl] -meth-(Z)-ylidene]-2- oxo-2,3-dihydro-17 -indole-5-sulfonylmethyl} -benzoic acid, 4-{5-[5-(4-CarboxymethyI-phenylmethanesulfonyl)-2-oxo-l,2-dihydro-indol-(3Z)-ylidenemethyl]-
2,4-dimethyl- 1 H-pyrrole-3 -carbonyl} - 1 -methyl -piperazin-1-ium,
4-{3-[l-[3,5-Dimethyl-4-(4-methyl-piperazine-l-carbonyl)-lH-pyrrol-2-yl]-meth-(Z)-ylidene]-2- oxo-2, 3-dihydro-17 -indole-5-sulfonylmethyl}-3-nifro-benzoic acid,
4-{3-[l -[4-(2-Diethylamino-ethylcarbamoyl)-3,5-dimethyl-lH-pyrrol-2-yl]-meth-(Z)-ylidene]-2- oxo-2,3 -dihydro-li -indole-5-sulfonylmethyl} -benzoic acid,
(4- { 3 -[ 1 -[4-(2-Diethylamino-ethylcarbamoyl)-3 ,5 -dimethyl- lH-pyrrol-2-yl] -meth-(Z)-ylidene]-2- oxo-2,3 -dihydro- li7-indole-5-sulfonylmefhyl} -phenyl)-acetic acid,
4-{3-[l-[4-(2-Diethylamino-ethylcarbamoyl)-3,5-dimethyl-lH-pyrroI-2-yl]-meth-(Z)-ylidene]-2- oxo-2,3-dihydro-17 -indole-5-sulfonylmethyl}-3-nifro-benzoic acid, 3-[ 1 -[3 ,5-Dimethyl-4-(4-methyl-piperazine- 1 -carbonyl)- lH-pyrrol-2-yl]-meth-(Z)-ylidene]-l - methyl-5-phenylmethanesulfonyl-l,3-dihydro-indol-2-one,
5-[5-(3,5-Dibromo-2-hydroxy-phenylmethanesulfonyl)-2-oxo-l,2-dihydro-indol-(3Z)- ylidenemethyl]-2,4-dimethyl-li -pyπole-3-carboxylic acid (2-diethylamino-ethyl)-amide,
5-[5-(2-Fluoro-phenylmethanesulfonyl)-2-oxo-l,2-dihydro-indol-(3Z)-ylidenemethyl]-2,4- dimethyl-lH-pyrrole-3-carboxylic acid (2-[l,2,3]triazol-l-yl-ethyl)-amide,
2,4-Dimethyl-5-[4-methyl-2-oxo-5-phenylmethanesulfonyl-l,2-dihydro-indol-(3Z)- ylidenemethyl] - lH-pyrrole-3 -carboxylic acid (2-diethylamino-ethyl)-amide,
5-[5-(2-Fluoro-phenylmethanesulfonyl)-4-methyl-2 -oxo-1, 2-dihydro-indol-(3Z)-ylidenemethyl]-
2,4-dimethyl-lH-pyrrole-3-carboxylic acid (2-diethylamino-ethyl)-amide, 3-[l-(5-Methyl-3H-imidazol-4-yl)-meth-(Z)-ylidene]-5-phenylmethanesulfonyl-l,3-dihydro-indol-
2-one,
5-(5-(2-Chloro-phenylmethanesulfonyl)-2 -oxo-1, 2-dihydro-indol-(3Z)-ylidenemethyl]-2,4- dimethyl- lH-pyrrole-3 -carboxylic acid (2-diethylamino-ethyl)-amide,
4- {3 -[ 1 -(4-(2-Diethylamino-ethylcarbamoyl)-3 ,5 -dimethyl- li^-pynol-2-yl] -meth-(Z)-ylidene]-2- oxo-2,3-dihydro-l/J-indole-5-sulfonylmethyl}-benzoic acid methyl ester,
5-[5-(4-frifluoromethoxy-phenylmethanesulfonyl)-2-oxo-l,2-dihydro-indol-(3Z)-ylidenemethyl]-
2,4-dimethyl-l/J-pyrrole-3-carboxylic acid (2-diethylamino-ethyl)-amide,
5-(2,4-Bis-trifluoromethyl-phenylmethanesulfonyl)-3-[l-[355-dimethyl-4-(4-methyl-piperazine-l- carbonyl)-lH-pyrrol-2-yl]-meth-(Z)-ylidene]-l,3-dihydro-indol-2-one, 5-[5-(2,4-Bis-frifluoromethyl-phenylmethanesulfonyl)-2-oxo-l,2-dihydro-indol-(3Z)- ylidenemethyl]-2,4-dimethyl-17J-pynole-3-carboxylic acid (2-diethylamino-ethyl)-amide,
5-(4-Bromo-phenylmethanesulfonyl)-3-[l-[3,5-dimethyl-4-(4-methyl-piperazine-l-carbonyl)-lH- pyτrol-2-yl]-meth-(Z)-ylidene]-l,3-dihydro-indol-2-one, 5-[5-(4-Bromo-phenylmethanesulfonyl)-2 -oxo-1, 2-dihydro-indol-(3Z)-ylidenemethyl]-2,4- dimethyl- 1 H-pyrrole-3 -carboxylic acid (2-diethylammo-ethyl)-amide,
5-[5-(2-Iodo-phenylmethanesulfonyl)-2 -oxo-1, 2-dihydro-indol-(3Z)-ylidenemefhyl]-2,4-dimethyl- lH-pyιτole-3-carboxylic acid (2-diethylamino-ethyl)-amide,
3 - [ 1 - [3 ,5 -Dimethyl -4-(4-methyl -piperazine- 1 -carbonyl)- l/J-pyrrol-2-yl] -meth-(Z) -ylidene] -5 -(2- iodo-phenylmethanesulfonyl)-l,3 -dihydro-indol-2-one,
5-[5-(4-Cyano-phenylmethanesulfonyl)-2 -oxo-1, 2-dihydro-indol-(3Z)-ylidenemethyl]-2,4- dimethyl-lH-pyrcole-3-carboxylic acid (2-diethylamino-ethyl)-amide,
4- { 3 -[ 1 -[3 ,5 -Dimethyl -4-(4-methyl -piperazine- 1 -carbonyl)- lH-pynol-2-yl] -meth-(Z)-ylidene]-2- oxo-2,3-dihydro-lH-indole-5-sulfonylmethyl}-benzonifrile, 3-{3-[l-[4-(2-Diethylamino-ethylcarbamoyl)-3,5-dimethyl-lH-pyrrol-2-yl]-meth-(Z)-ylidene]-2- oxo-2,3 -dihydro-lH-indole-5-sulfonylmethyl} -benzoic acid methyl ester,
3-{3-[l-[3,5-Dimethyl-4-(4-methyl-piperazine-l-carbonyl)-lH-pynol-2-yl]-meth-(Z)-ylidene]-2- oxo-2,3-dihydro-lH-indole-5-sulfonylmethyl} -benzoic acid methyl ester,
3-[l -[3,5-Dimethyl-4-(4-methyl-piperazine-l-carbonyl)-li: -pynol-2-yl]-meth-(Z)-ylidene]-5-(3- trifluoromethoxy-phenylmethaiiesulfonyl)- 1 ,3 -dihydro-indol-2-one,
2,4-Dimethyl-5-[2-oxo-5-(3-trifluoromethoxy-phenylmethanesulfonyl)-l,2-dihydro-indol-(3Z)- ylidenemethyl]- 1 H-pyτro\e-3 -carboxylic acid (2-diethylamino-ethyl)-amide,
3 - {3 -[ 1 -[3 ,5 -Dimethyl-4-(4-methyl -piperazine- 1 -carbonyl)- 17J-pyrrol-2-yl]-meth-(Z)-ylidene] -2- oxo-2,3 -dihydro- lH-indole-5 -sulfonylmethyl} -benzonifrile, 5-[5-(3-Cyano-phenylmethanesulfonyl)-2 -oxo-1, 2-dihydro-mdol-(3Z)-ylidenemethyl]-2,4- dimethyl-l/J-pyrrole-3-carboxylic acid (2-diethylamino-ethyl)-amide,
3-[l-[3,5-Dimethyl-4-(4-methyl-piperazine-l-carbonyl)-l/-r-pyrrol-2-yl]-meth-(Z)-ylidene]-5-m- tolylmethanesulfonyl- 1 ,3 -dihydro-indol-2-one,
2,4-Dimethyl-5-[2-oxo-5-m-tolylmethanesulfonyl-l,2-dihydro-indol-(3Z)-ylidenemethyl]-l/J- pyrrole-3 -carboxylic acid (2-diethylamino-ethyl)-amide,
5 -(3 -Chloro-phenylmethanesulfonyI)-3 -[1 -[3 ,5-dimethyl-4-(4-methyl-piperazine- 1 -carbonyl)- 17J- pyrrol-2-yl]-meth-(Z)-ylidene]-l,3-dihydro-indol-2-one,
5-[5-(2,4-Difluoro-phenylmethanesulfonyl)-2-oxo-l,2-dihydro-indol-(3Z)-ylidenemethyl]-2,4- dimethyl-17 -pynole- 3-carboxylic acid (2-diethylamino-ethyl)-amide, 5-(4-tert-Butyl-ρhenylmethanesulfonyl)-3-[l-[3,5-dimethyl-4-(4-methyl-piperazine-l-carbonyl)- l /-pyrrol-2-yI]-meth-(Z)-ylidene]-l,3-dihydro-indol-2-one,
5-[5-(4-tert-Butyl-phenylmethanesulfonyl)-2-oxo-l,2-dihydro-indol-(3Z)-ylidenemethyl]-2,4- dimethyl-lH-pyrrole-3-carboxylic acid (2-diethylamino-ethyl)-amide, 5 -(2,6-Difluoro-phenylmethanesulfonyl)-3 -[ 1 -[3 ,5-dimethyl-4-(4-methyl-piperazine- 1 -carbonyl)- lH-pyrrol-2-yl]-meth-(Z)-ylidene]-l,3-dihydro-indol-2-one,
5-[5-(2,6-Difluoro-phenylmethanesulfonyl)-2-oxo-l,2-dihydro-indol-(3Z)-ylidenemethyl]-2,4- dimethyl-lH -pyrrole-3 -carboxylic acid (2-diethylamino-ethyl)-amide,
5-(3-Bromo-phenylmethanesulfonyl)-3-[l-[3,5-dimethyl-4-(4-methyl-piperazine-l-carbonyl)-lH- pyrrol-2-yl]-meth-(Z)-ylidene]- 1 ,3 -dihydro-indol-2-one,
5-[5-(3-Chloro-phenylmethanesulfonyl)-2-oxo-l,2-dihydro-indol-(3Z)-ylidenemethyl]-2,4- dimethyl- lH-pyrrole-3-carboxylic acid (2-diethylamino-ethyl)-amide,
5-(2,4-Difluoro-phenylmethanesulfonyl)-3 -[1 -[3 ,5-dimethyl-4-(4-methyl-ρiperazine- 1 -carbonyl)- lH-pyrrol-2-yl]-meth-(Z)-ylidene]-l,3-dihydro-indol-2-one, 3-[l-[3,5-DimethyI-4-(4-methyl-piperazine-l-carbonyl)-lH-pyrrol-2-yl]-meth-(Z)-ylidene]-5-(4- nitro-phenylmethanesulfonyl)-l,3-dihydro-indol-2-one,
2,4-Dimethyl-5-[5-(4-nitro-phenylmethanesulfonyl)-2-oxo-l,2-dihydro-indol-(3Z)-ylidenemethyl]-
IH -pynole-3 -carboxylic acid (2-diethylamino-ethyl)-amide,
3 -[ 1 -[3 ,5 -Dimethyl -4-(4-methyl-piperazine- 1 -carbonyl)- l/J-pyrrol-2-yl] -meth-(Z)-ylidene]-5 -(3 - nitro-phenylmethanesulfonyl)- 1 ,3-dihydro-indol-2-one,
2,4-Dimethyl-5-[5-(3-nitro-phenylmethanesulfonyl)-2-oxo-l,2-dihydro-indol-(3Z)-ylidenemethyl]- lH-pyrrole-3 -carboxylic acid (2-diethylamino-ethyl)-amide,
5-[5-(3-Bromo-phenylmethanesulfonyl)-2-oxo-l,2-dihydro-indol-(3Z)-ylidenemethyl]-2,4- dimethyl-lH-pyrrole-3-carboxylic acid (2-diethylamino-ethyl)-amide, 5-(3,5-Difluoro-phenylmethanesulfonyl)-3-[l-[3,5-dimethyl-4-(4-methyl-piperazine-l-carbonyl)- lH-pyrrol-2-yl]-meth-(Z)-ylidene]-l,3-dihydro-indol-2-one,
5 -[5 -(3 ,5 -Difluoro-phenylmethanesulfonyl)-2-oxo- 1 ,2-dihydro-indol-(3Z)-ylidenemethyl] -2,4- dimethyl- lH-pyτrole-3 -carboxylic acid (2-diethylamino-ethyl)-amide,
5 -(3 ,4-Difluoro-phenylmethanesulfonyl)-3 -[ 1 -[3 ,5 -dimethyl-4-(4-methyl-piperazine- 1 -carbonyl)- 1 H-pyrrol -2 -yl] -meth-(Z) -ylidene] - 1 ,3 -dihydro-indol-2-one,
5-[5-(3,4-Difluoro-phenylmethanesulfonyl)-2-oxo-l,2-dihydro-indol-(3Z)-ylidenemethyl]-2,4- dimethyl-lH-pyrrole-3-carboxylic acid (2-diethylamino-ethyl)-amide,
5-(2,5-Bis-trifluoromethyl-phenylmethanesulfonyl)-3-[l-[3,5-dimethyl-4-(4-methyl-piperazine-l- carbonyl)-lH-ρyτrol-2-yl]-meth-(Z)-ylidene]-l,3-dihydro-indol-2-one, 5-[5-(2,5-Bis-trifluoromethyl-phenylmethanesulfonyl)-2 -oxo-1, 2-dihydro-indol-(3Z)- ylidenemethyl]-2,4-dimethyl-l/ -pyrrole-3-carboxylic acid (2-diethylamino-ethyl)-amide,
5-(3,5-Bis-trifluoromethyl-phenylmethanesulfonyl)-3-[l-[3,5-dimethyl-4-(4-methyl-piperazine-l- carbonyl)-lH-pyrrol-2-yl]-meth-(Z)-ylidene]-l,3-dihydro-indol-2-one, 5 -[5 -(3 ,5 -Bis-frifluoromethyl-phenylmethanesulfonyl)-2-oxo- 1 ,2-dihydro-indol-(3Z)- ylidenemethyl] -2,4-dimethyl- l/J-pyrrole-3 -carboxylic acid (2-diethylamino-ethyl)-amide,
3-[l-[3,5-Dimethyl-4-(4-methyl-piperazine-l-carbonyl)-lH-pyrrol-2-yl]-meth-(Z)-ylidene]-5-(2- hydroxy-5 -nitro-phenylmethanesulfonyl)- 1 ,3 -dihydro-indol-2-one,
5-[5-(2-Hydroxy-5-nifro-phenylmethanesulfonyl)-2-oxo-l,2-dihydiO-indol-(3Z)-ylidenemethyl]- 2,4-dimethyl-lH-pyrrole-3-carboxylic acid (2-diethylamino-ethyl)-amide,
3-[l-[3,5-Dimethyl-4-(4-methyl-piperazine-l-carbonyl)-lH-pyrrol-2-yl]-meth-(Z)-ylidene]-5-(2- methoxy-5-nitro-phenylmethanesulfonyl)-l,3-dihydro-indol-2-one,
5-[5-(2-Methoxy-5-nitro-phenylmethanesulfonyl)-2-oxo-l,2-dihydro-indol-(3Z)-ylidenemethyl]-
2,4-dimethyl- lH-pynole-3 -carboxylic acid (2-diethylamino-ethyl)-amide, 3-[l-[3,5-Dimethyl-4-(4-methyl-piperazine-l-carbonyl)-li?-pyrrol-2-yl]-meth-(Z)-ylidene]-5-(2- fluoro-phenylmethanesulfonyl)-l,3-dihydro-indol-2-one,
5-[5-(2-Fluoro-phenylmethanesulfonyl)-2-oxo-l,2-dihydro-indol-(3Z)-ylidenemethyl]-2,4- dimethyl- lH-pyrrole-3 -carboxylic acid (2-diethylamino-ethyl)-amide,
3 -[ 1 -[3 ,5 -Dimethyl-4-(4-methyl -piperazine- 1 -carbonyl)- lH-pyrrol-2-yl] -meth-(Z)-ylidene]-5-(3 - fluoro-phenylmefhanesulfonyl)- 1 ,3-dihydro-indol-2-one,
5-[5-(3-Fluoro-phenylmethanesulfonyl)-2 -oxo-1, 2-dihydro-indol-(3Z)-ylidenemethyl]-2,4- dimethyl-lH-pyrrole-3-carboxylic acid (2-diethylamino-ethyl)-amide,
3-[l-[3,5-Dimethyl-4-(4-methyl-piperazine-l-carbonyl)-l/J-pyrrol-2-yl]-meth-(Z)-ylidene]-5-(4- fluoro-phenylmethanesulfonyl)- 1 ,3 -dihydro-indol-2-one, 5-[5-(4-Fluoro-phenylmethanesulfonyl)-2-oxo-l,2-dihydro-indol-(3Z)-ylidenemethyl]-2,4- dimethyl-lH-pyrrole-3-carboxylic acid (2-diethylamino-ethyl)-amide,
3-[l-[3,5-Dimethyl-4-(4-methyl-piperazine-l-carbonyl)-lH-pynol-2-yl]-meth-(Z)-ylidene]-5-(4- trifluoromethoxy-phenylmethanesulfonyl)- 1 ,3 -dihydro-indol-2-one,
3-[l-[3,5-Dimethyl-4-(4-methyl-piperazine-l-carbonyl)-lH-pynol-2-yl]-meth-(Z)-ylidene]-5-(2- trifluoromethyl-phenylmethanesulfonyl)-l,3-dihydro-indol-2-one,
2,4-Dimethyl-5-[2-oxo-5-(2-trifluoromethyl-phenylmethanesulfonyl)-l,2-dihydro-indol-(3Z)- ylidenemethyl]-17 -pyrrole-3-carboxylic acid (2-diethylamino-ethyl)-amide,
3-[l-[3,5-Dimethyl-4-(4-methyl-piperazine-l-carbonyl)-lH-pynol-2-yl]-meth-(Z)-ylidene]-5-(3- trifluoromethyl-phenylmethanesulfonyl)-l,3-dihydro-indol-2-one, 2,4-Dimethyl-5-[2-oxo-5-(4-trifluoromethyl-phenylmethanesulfonyl)-l,2-dihydro-indol-(3Z)- ylidenemethyl]-l/J-pyrrole-3-carboxylic acid (2-diethylamino-ethyl)-amide,
3-[l-[3,5-Dimethyl-4-(4-methyl-piperazine-l-carbonyl)-lH-pyτrol-2-yl]-meth-(Z)-ylidene]-5-(4- trifluoromethyl-phenylmethanesulfonyl)-l,3-dihydro-indol-2-one, 5-(2,5-Difluoro-phenymethanesulfonyl)-3-[l-[3,5-dimethyl-4-(4-methyl-piperazine-l-carbonyl)- lH-pyrrol-2-yl]-meth-(Z)-ylidene]-l,3-dihydro-indol-2-one,
5-[5-(2,4-Difluoro-phenylmethanesulfonyl)-2-oxo-l,2-dihydro-indol-(3Z)-ylidenemethyl]-2,4- dimethyl-lH-pyrrole-3-carboxylic acid (2-diethylamino-ethyl)-amide,
3 -[ 1 -[3 ,5 -Dimethyl -4-(4-methyl -piperazine- 1 -carbonyl)-lH-pyrrol-2-yl] -meth-(Z)-ylidene] -5 - (2,3,6-trifluoro-phenylmethanesulfonyl)-l,3-dihydro-indol-2-one,
2,4-Dimethyl-5-[2-oxo-5-(2,3,6-trifluoro-phenylmethanesulfonyl)-l,2-dihydro-indol-(3Z)- ylidenemethyl]-l/J-pyrrole-3-carboxylic acid (2-diethylamino-ethyl)-amide,
5-(2,3-Difluoro-phenylmethanesulfonyl)-3-[l-[3,5-dimethyl-4-(4-methyl-piperazine-l-carbonyl)- lH-pyrrol-2-yl]-meth-(Z)-ylidene]-l,3-dihydro-indol-2-one, 5-[5-(2,3-Difluoro-phenylmethanesulfonyl)-2-oxo-l,2-dihydro-indol-(3Z)-ylidenemethyl]-2,4- dimethyl-lH-pyrrole-3 -carboxylic acid (2-diethylamino-ethyl)-amide,
5-[5-(2,6-Dichloro-phenylmethanesulfonyl)-2-oxo-l,2-dihydro-indol-(3Z)-ylidenemethyl]-2,4- dimethyl- lH-pyrrole-3 -carboxylic acid (2-diethylamino-ethyl)-amide,
5-(Biphenyl-2-ylmethanesulfonyl)-3-[l-[3,5-dimethyl-4-(4-methyl-piperazine-l-carbonyl)-lH- pyπol-2-yl]-meth-(Z)-ylidene]-l,3-dihydro-indol-2-one,
5-[5-(Biphenyl-2-ylmethanesulfonyl)-2 -oxo-1, 2-dihydro-indol-(3Z)-ylidenemethyl]-2,4-dimethyl- lH-ρyrrole-3-carboxylic acid (2-diethylamino-ethyl)-amide,
3-[l-[3,5-Dimethyl-4-(4-methyl-piperazine-l-carbonyl)-lH-pyrrol-2-yl]-meth-(Z)-ylidene]-5-(2- fluoro-6-nitro-phenylmethanesulfonyl)-l,3-dihydro-indol-2-one, 5-[5-(2-Fluoro-6-nitro-phenylmethanesulfonyl)-2-oxo-l,2-dihydro-indol-(3Z)-ylidenemethyl]-2,4- dimethyl-lH-pyrrole-3-carboxylic acid (2-diethylamino-ethyl)-amide,
3-[l-[3,5-Dimethyl-4-(4-methyl-piperazine-l-carbonyl)-lH-pyrrol-2-yl]-meth-(Z)-ylidene]-5-[2-
(2-fluoro-phenoxy)-phenylmethanesulfonyl]-l,3-dihydro-indol-2-one,
5-[5-[2-(2-Fluorophenoxy)-phenylmethanesulfonyl]-2 -oxo-1, 2-dihydro-indol-(3Z)-ylidenemethyl]- 2,4-dimethyl-lH-pyrrole-3-carboxylic acid (2-diethylamino-ethyl)-amide,
5-(2-Chloro-phenylmethanesulfonyl)-3-[l-[3,5-dimethyl-4-(4-methyl-piperazine-l-carbonyl)-lH- pyrrol-2-yl] -meth-(Z)-ylidene]- 1 ,3 -dihydro-indol-2-one,
5-[5-(4-Chloro-phenylmethanesulfonyl)-2-oxo-l,2-dihydro-indol-(3Z)-ylidenemethyl]-2,4- dimethyl-17J-pyrrole-3-carboxylic acid (2-diethyIamino-ethyl)-amide, 5-(4-Chloro-phenylmethanesulfonyl)-3-[l-[3,5-dιmethyl-4-(4-methyl-pιperazme-l-carbonyl)-17J- pyrrol-2-yl]-meth-(Z)-yhdene]-l,3-dιhydro-mdol-2-one,
2,4-Dιmethyl-5 -[2-0X0-5 -phenylmethanesulfonyl-1 ,2-dιhydro-mdol-(3Z)-yhdenemethyl]- 1H- pyrrole-3-carboxyhc acid, 4- {3 -[ 1 -[3 ,5 -Dimethyl -4-(4-methyl -piperazine- 1 -carbonyl)-lH-pyτrol-2-yl]-meth-(Z)-yhdene]-2- oxo-2,3-dιhydro-lH-mdole-5-sulfonylmethyl}-benzoιc acid methyl ester,
2,4-Dιmethyl-5-[2-oxo-5-phenylmethanesulfonyl-l,2-dιhydro-mdol-(3Z)-yhdenemethyl]-lH- pyrrole-3 -carboxylic acid (3-dιethylammo-2-hydroxy-propyl)-amιde,
2,4-Dιmethyl-5-[2-oxo-5-phenylmethanesulfonyl-l,2-dιhydro-mdol-(3Z)-yhdenemethyl]-lH- pyrrole-3 -carboxylic acid [2-(2H-tetrazol-5-yl)-ethyl]-amιde,
5-Methyl-2-[2-oxo-5-phenylmethanesulfonyl-l,2-dιhydro-ιndol-(3Z)-yhdenemethyl]-lH-pyrrole-
3-carboxyhc acid (3-pyrrohdm-l-yl-propyl)-amιde,
5-Methyl-2-[2-oxo-5-phenylmethanesulfonyl-l,2-dιhydro-mdol-(3Z)-yhdenemethyl]-lH-p}ατole-
3-carboxyhc acid (3-[l,2,3]tnazol-l-yl-ρropyl)-amιde, 3-[l-[3-(3-Dιmethylammo-pyrrohdm-l-ylcarbonyl)-5-methyl-li7-pyrrol-2-yl]-meth-(Z)-yhdene]-
5 -phenylmethanesulfonyl- 1 ,3 -dιhydro-ιndol-2-one,
4-Methyl-5-[2-oxo-5-phenylmethanesulfonyl-l,2-dιhydro-mdol-(3Z)-yhdenemethyl]-17J-pyrrole-
3-carboxyhc acid (2-dιethylammo-ethyl)-amιde,
2,4-Dιmethyl-5-[2-oxo-5-phenylmethanesulfonyl-l,2-dιhydro-ιndol-(3Z)-yhdenemethyl]-liϊ- pyrrole-3 -carboxylic acid (2-pyrrohdm-l-yl-ethyl)-amιde,
2,4-Dιmethyl-5-[2-oxo-5-phenylmethanesulfonyl-l,2-dιhydro-mdol-(3Z)-yhdenemethyl]-li - pyrrole-3 -carboxylic acid (2-dιιsopropylamιno~ethyl)-amιde,
5-[5-(2-Fluoro-phenylmethanesulfonyl)-2-oxo-l,2-dιhydro-mdol-(3Z)-yhdenemethyl]-2,4- dιmethyl-lH-pyrrole-3-carboxyhc acid (2-pyrrohdm-l-yl-ethyl)-amιde, 5-[5-(2-Fluoro-phenylmethanesulfonyl)-2-oxo-l,2-dιhydro-mdol-(3Z)-yhdenemethyl]-4-methyl-
1H -pyrrole-3 -carboxylic acid (2-dιethylammo-ethyl)-amιde,
2-[5-(2-Fluoro-phenylmethanesulfonyl)-2-oxo-l,2-dιhydro-ιndol-(3Z)-yhdenemethyl]-5-methyl- li^-pyrrole-3 -carboxylic acid (3-pyrrolιdm-l-yl-propyl)-amιde,
5-[5-(2-Fluoro-phenylmethanesulfonyl)-2-oxo-l,2-dιhydro-mdol-(3Z)-yhdenemethyl]-2,4- dιmethyl-lH-pyrrole-3-carboxyhc acid (2-dιιsopropylamιno-ethyl)-amιde,
2-[5-(2-Fluoro-phenylmethanesulfonyl)-2 -oxo-1, 2-dιhydro-ιndol-(3Z)-yhdenemethyl]-5-mefhyl- lH-pyrrole-3 -carboxylic acid (3-[l,2,3]tπazol-l-yl-propyl)-amιde,
3-[l-[4-((3R,5S)-3,5-Dιmethyl-pιperazme-l-carbonyl)-3,5-dιmethyl-lH-ρyτrol-2-yl]-meth-(Z)- ylιdene]-5-(2-fluoro-phenylmethanesulfonyl)-l,3-dιhydro-mdol-2-one, 3-[l-[4.((3R)5S)-3,5-Dimethyl-piperazine-l-carbonyl)-3,5-dimethyl-lH-pyπol-2-yl]-meth-(Z)- ylidene]-5-phenylmethanesulfonyl-l,3-dihydro-indol-2-one,
5-[5-(3-Chloro-phenylmethanesulfonyl)-2-oxo-l,2-dihydro-indol-(3Z)-ylidenemethyl]-4-methyl-
17 -pyrrole-3 -carboxylic acid (2-diethylamino-ethyl)-amide, 2-[5-(3-Chloro-phenylmethanesulfonyl)-2-oxo-l,2-dihydro-indol-(3Z)-ylidenemethyl]-5-methyl- lH-pynole-3 -carboxylic acid (3-pyrrolidin-l-yl-propyl)-amide,
2-[5-(3-Chloro-phenylmethanesulfonyl)-2-oxo-l,2-dihydro-indol-(3Z)-ylidenemethyl]-5-methyl-
1 -pyrrole-3 -carboxylic acid (3-[l,2,3]triazol-l-yl-propyl)-amide,
5-[5-(3-Chloro-phenylmethanesulfonyl)-2-oxo-l,2-dihydro-indol-(3Z)-ylidenemethyl]-2,4- dimethyl- lH-pynole-3 -carboxylic acid (2-pyrrolidin- 1 -yl-ethyl)-amide,
5 -[5 -(3 -Chloro-phenylmethanesulfonyl)-2-oxo- 1 ,2-dihydro-indol-(3Z)-ylidenemethyl] -2,4- dimethyl- lH-pyrrole-3 -carboxylic acid (2-diisopropylamino-ethyl)-amide,
5-(3-Chloro-phenylmethanesulfonyl)-3-[l-[4-((3R,5S)-3,5-dimethyl-piperazine-l-carbonyl)-3,5- dimethyl- lH-pyrrol-2-yl] -meth-(Z)-ylidene] - 1 ,3 -dihydro-indol-2-one, 5-(3-Chloro-phenylmethanesulfonyl)-3-[l-[3-((R)-3-dimethylamino-pyrrolidin-l-ylcarbonyl)-5- methyl-lijT-pyrrol-2-yl]-meth-(Z)-ylidene]-l,3-dihydro-indol-2-one,
3-{5-Ethyl-2-[2-oxo-5-phenylmethanesulfonyl-l,2-dihydro-indol-(3Z)-ylidenemethyl]-lH-pyrrol-
3-yl}-propionic acid,
3 - {4-Methyl-5 -[2-oxo-5 -phenylmethanesulfonyl- 1 ,2-dihydro-indol-(3Z)-ylidenemethyl] ΛH- pyrrol-3-yl}-ρropionic acid,
3-[l-[3-Methyl-5-(4-methyl-piperazine-l-carbonyl)-lH-pyrrol-2-yl]-meth-(Z)-ylidene]-5- phenylmethanesulfonyl-l,3-dihydro-indol-2-one,
4-(4-Fluoro-phenyl)-2-methyl-5-[2-oxo-5-phenylmethanesulfonyl-l,2-dihydro-indol-(3Z)~ ylidenemethyl]-l -pyrrole-3-carboxylic acid (2-diethylamino-ethyl)-amide, 4-{5-Methyl-2-[2-oxo-5-phenylmethanesulfonyl-l,2-dihydro-indol-(3Z)-ylidenemethyl]-lH- pyrrol-3-yl} -benzoic acid,
3-[l-(4-Morpholin-4-yl-phenyl)-meth-(Z)-ylidene]-5-phenylmethanesulfonyl-l,3-dihydro-indol-2- one,
4-(2-Carboxy-ethyl)-3-methyl-5-[2-oxo-5-phenylmethanesulfonyl-l,2-dihydro-indol-(3Z)- ylidenemethyl]-lH-pyrrole-2 -carboxylic acid ethyl ester,
5-(2,6-Dichloro-phenylmethanesulfonyl)-3-[l-(3,5-dimethyl-17 -pyrrol-2-yl)-meth-(Z)-ylidene]-
1 ,3-dihydro-indol-2-one,
5-(2,6-Dichloro-ρhenylmethanesulfonyl)-3-[l-[5-methyl-3-(morpholine-4-carbonyl)-lH-pyrrol-2- yl] -meth-(Z)-ylidene] -1,3 -dihydro-indol-2-one, 5-(2,6-Dichloro-phenylmethanesulfonyl)-3-[l-[5-methyl-3-(4-methyl-piperazine-l-carbonyl)-li7- pyrrol-2-yl]-meth-(Z)-ylidene]-l,3-dihydro-indol-2-one,
2-[5-(2,6-Dichloro-phenylmethanesulfonyl)-2-oxo-l,2-dihydro-indol-(3Z)-ylidenemethyl]-5- methyl- lH-pyrrole-3 -carboxylic acid methyl-( 1 -methyl-piperidin-4-yl)-amide, 5-(2,6-Dichloro-phenylmethanesulfonyl)-3-[l -[5-methyl-3-(4-pyrrolidin- 1 -yl -piperidine- 1 - carbonyl)-lH-pyτrol-2-yl]-meth-(Z)-ylidene]-l,3-dihydro-indol-2-one, 5-(2,6-Dichloro-phenylmethanesulfonyl)-3-[ 1 -[3,5-dimethyl-4-((S)-2-pyrrolidin-l -ylmethyl- pynolidin-l-ylcarbonyl)-lH-pyrrol-2-yl]-meth-(Z)-ylidene]-l,3-dihydro-indol-2-one, 5-[5-(2,6-Dichloro-phenylmethanesulfonyl)-2-oxo-l,2-dihydro-indol-(3Z)-ylidenemethyl]-2,4- dimethyl- lH-pyrrole-3 -carboxylic acid (2-hydroxy-3 -morρholin-4-yl-proρyl)-amide,
5-[5-(2,6-Dichloro-phenylmethanesulfonyl)-2-oxo-l,2-dihydro-indol-(3Z)-ylidenemethyl]-2,4- dimethyl-l/J-pyrrole-3-carboxylic acid (2-hydroxy-3-[l,2,3]triazol-l-yl-propyl)-amide, 5-[5-(2,6-Dichloro-phenylmethanesuIfonyl)-2 -oxo-1, 2-dihydro-indol-(3Z)-ylidenemethyl]-2,4- dimethyl- lH-pyrrole-3 -carboxylic acid [2-(3 -oxo-piperazin-l-yl)-ethyl] -amide, 5-(2,6-Dichloro-ρhenylmethanesulfonyl)-3-[l-[4-(4-hydroxy-piperidine-l-carbonyl)-3,5-dimethyl- lH-pynol-2-yl]-meth-(Z)-ylidene]-l,3-dihydro-indol-2-one,
2-[5-(2,6-Dichloro-phenylmethanesulfonyl)-2-oxo-l,2-dihydro-mdol-(3Z)-ylidenemethyl]-5- methyl- lH-pyrrole-3 -carboxylic acid, {5-[5-(2,6-Dichloro-phenylmethanesulfonyl)-2-oxo-l,2-dihydro-indol-(3Z)-ylidenemethyl]-2,4- dimethyl-lH-pyrrol-3-yl}-acetic acid,
2-[5-(2,6-Dichloro-phenylmethanesulfonyl)-2-oxo-l,2-dihydro-indol-(3Z)-ylidenemethyl]-5- methyl- lH-pyrcole-3 -carboxylic acid [2-(3 -oxo-piperazin- 1 -yl)-ethyl]-amide, 5-(2,6-Dichloro-phenylmethanesulfonyl)-3-[l-[3-(4-hydroxy-piperidine-l-carbonyl)-5-methyl-lH- pyτrol-2-yl] -meth-(Z)-ylidene]- 1 ,3 -dihydro-indol-2-one, 5-(2,6-Dichloro-phenylmethanesulfonyl)-3-[l-[3-(3-diethylamino-pyrrolidin-l-ylcarbonyl)-5- methyl-lH-pynol-2-yl]-meth-(Z)-yIidene]-l,3-dihydro-indol-2-one,
5 -(2,6-Dichloro-phenylmethanesulfonyl)-3 -[ 1 -[3 ,5 -dimethyl-4-(4-pyrrolidin- 1 -yl -piperidine- 1 - carbonyl)-lH-pyrrol-2-yl]-meth-(Z)-ylidene]-l,3-dihydro-indol-2-one, 5 -(2,6-Dichloro-phenylmethanesulfonyl)-3 -[ 1 -[3 ,5 -dimethyl-4-(4-methyl-piperazine-l-carbonyl)- lH-pyrrol-2-yl] -meth-(Z)-ylidene] - 1 ,3-dihydro-indol-2-one,
5-(2,6-Dichloro-phenylmethanesulfonyl)-3-[l-(3,5-dimethyl-4-morpholin-4-ylmethyl-lH-pyrrol-2- yl)-meth-(Z)-ylidene]-l,3-dihydro-indol-2-one,
3 -[ 1 -[4-((R)-2-Cyclopropylaminomethyl-pyrrolidin- 1 -carbonyl)-3 ,5 -dimethyl-liϊ-pyrrol-2-yl] - meth-(Z)-ylidene]-5-(2,6-dichlorophenylmethanesulfonyl)-l,3-dihydro-indol-2-one, 5-(2,6-Dιchloro-phenylmethanesulfonyl)-3-[l-{4-[(S)-2-((R)-3-fluoro-pyrrohdm-l- ylmethyl)ρyrrohdιn-l-carbonyl]-3,5-dιmethyl-17 -pyrrol-2-yl}-meth-(Z)-yhdene]-l,3-dιhydro- mdol-2-one,
3-[l-[4-(4-Cyclopropylamιno-pιpeπdme-l-carbonyl)-3,5-dιmethyl-l/J-pyrrol-2-yl]-meth-(Z)- yhdene] -5 -(2,6-dιchlorophenylmethanesulfonyl)- 1 ,3 -dιhydro-mdol-2-one,
3-{2,4-Dιmethyl-5-[2-oxo-5-phenylmethanesulfonyl-l,2-dιhydro-mdol-(3Z)-yhdenemethyl]-lH- pyrrol-3-yl}-propιomc acid,
{2,4-Dιmethyl-5-[2-oxo-5-phenylmethanesulfonyl-l,2-dιhydro-mdol-(3Z)-yhdenemethyl]-lH- pyrrol-3-yl} -acetic acid, 5-[5-(2,6-Dιchloro-phenylmethanesulfonyl)-2 -oxo-1, 2-dmydro~mdol-(3Z)-yhdenemethyl]-2,4- dimethyl- 1 H-pyrrole-3 -carboxylic acid (3 -pyrrohdm- 1 -y 1 -propyl)-amιde, 2-[5-(2,6-Dιchloro-phenylmethanesulfonyl)-2-oxo-l,2-dιhydro-ιndol-(3Z)-yhdenemethyl]-5- methyl-lH-pyrrole-3-carboxyhc acιd (3-pyrrolιdm-l-yl-propyl)-amιde, 5-[5-(2,6-Dιchloro-phenylmethanesulfonyl)-2-oxo-l,2-dιhydro-mdol-(3Z)-yhdenemethyl]-2,4- dιmethyl-lH-pyrrole-3-carboxyhc acid [2-(3-fluoro-pιpeπdm-l-yl)-ethyl]-amιde,
2-[5-(2,6-Dιchloro-phenylmethanesulfonyl)-2-oxo-l,2-dιhydro-mdol-(3Z)-yhdenemethyl]-5- methyl-l//-pyrrole-3-carboxyhc acid (2-hydroxy-3-[l,2,3]tπazol-l-yl-propyl)-amιde, 2-[5-(2,6-Dιchloro-phenylmethanesulfonyl)-2-oxo-l,2-dιhydro-mdol-(3Z)-yhdenemethyl]-5- methyl- 1 H-pyπole-3 -carboxylic acid (2-hydroxy-3 -morphohn-4-yl-propyl)-amιde, 2-[5-(2,6-Dιchloro-phenylmethanesulfonyl)-2-oxo-l,2-dιhydro-mdol-(3Z)-yhdenemethyl]-5- methyl-lH-pynole-3-carboxyhc acιd (2-dιethylammo-ethyl)-amιde,
5-[5-(2,6-Dιchloro-phenylmethanesulfonyl)-2-oxo-l,2-dιhydro-mdol-(3Z)-yhdenemethyl]-2,4- dimethyl- lH-pyno 1 e-3 -carboxylic acid methyl-(l -methyl-pιpeπdm-4-yl)-amιde, 5-(2,6-Dιchloro-phenylmethanesulfonyl)-3-[l-[4-(3-dιethylammo-pynohdme-l-carbonyl)-3,5- dιmethyl-lH-pyrrol-2-yl]-meth-(Z)-yhdene]-l,3-dιhydro-mdol-2-one,
5-(2,6-Dιchloro-phenylmethanesulfonyl)-3-[l-[3-((3R,5S)-3,5-dιmethyl-pιperazme-l-carbonyl)-5- methyl-lH-pyrrol- 2-yl]-meth-(Z)-yhdene]-l,3-dιhydro-mdol-2-one,
5-[5-(2,6-Dιmethyl-phenylmethanesulfonyl)-2-oxo-l,2-dιhydro-mdol-(3Z)-yhdenemethyl]-2,4- dimethyl- 1 H-pynole-3 -carboxylic acid, 5-[5-(2,3-Dιchloro-phenylmethanesulfonyl)-2-oxo-l,2-dιhydro-mdol-(3Z)-yhdenemethyl]-2,4- dimethyl- 1 H-pyrrole-3 -carboxylic acid,
2-{5-[5-(2,6-Dιchloro-phenylmethanesulfonyl)-2-oxo-l,2-dιhydro-mdol-(3Z)-yhdenemethyl]-2,4- dιmethyl-lH-pyrrol-3-yl}-N-[2-(3-oxo-pιperazm-l-yl)-ethyl]-acetamιde, 5-(2,6-Dichloro-phenylmethanesulfonyl)-3-[l-{4-[2-(4-hydroxy-piperidin-l-yl)-2-oxo-ethyl]-3,5- dimethyl-l/J-pyrrol-2-yl}-meth-(Z)-ylidene]-l,3-dihydro-indol-2-one,
5 -(2,6-Dichloro-phenylmethanesulfonyl)-3 -[ 1 -[3 ,5 -dimethyl-4-(2-moφholin-4-yl-2-oxo-ethyl)- 1H- pyrrol-2-yl]-meth-(Z)-ylidene]-l,3-dihydro-indol-2-one, 5-(2,6-Dichloro-phenylmethanesulfonyl)-3-[l-[4-((R)-3-hydroxy-pyrrolidine-l-carbonyl)-3,5- dimethyl-l/J-pyrrol-2-yl]-meth-(Z)-ylidene]-l,3-dihydro-indol-2-one,
3-[l-[3,5-Dimethyl-4-(moφholine-4-carbonyl)-lH-pyrrol-2-yl]-meth-(Z)-ylidene]-5-(2,6- dimethyl -phenylmethanesulfonyl)- 1 ,3 -dihydro-indol-2-one,
5-(2,6-Dichloro-phenylmethanesulfonyl)-3-[l-{4-[2-((3R,5S)-3,5-dimethyl-piperazin-l-yl)-2-oxo- ethyl]-3 ,5-dimethyl- lH-pyrrol-2-yl} -meth-(Z)-ylidene]- 1 ,3-dihydro-indol-2-one,
5 -(2,6-Dichloro-phenylmethanesulfonyl)-3 -[ 1 - {3 ,5 -dimethyl -4-[2-(4-methyl-piperazin- 1 -yl)-2-oxo- ethyl]-lH-pyrrol-2-yl}-meth-(Z)-ylidene]-l,3-dihydro-indol-2-one,
5-(2,6-Dichloro-phenylmethanesulfonyl)-3-[l-(4-{2-[4-(ethyl-propyl-amino)-piperidin-l-yl]-2- oxo-ethyl } -3 , 5 -dimethyl- 1 H-pyrrol-2-yl)-meth-(Z) -ylidene] -1,3 -dihydro-indol-2-one, 2-{5-[5-(2,6-Dichloro-phenylmethanesulfonyl)-2-oxo-l,2-dihydro-indol-(3Z)-ylidenemethyl]-2,4- dimethyl- lH-pyπol- 3 -yl} -N-(2-diethylamino-ethyl)-acetamide,
2-{5-[5-(2,6-Dichloro-phenylmethanesulfonyl)-2-oxo-l,2-dihydro-indol-(3Z)-ylidenemethyl]-2,4- dimethyl- lH-pyrrol-3 -yl } -N-methyl-N-( 1 -methyl -piperidin-4-yl)-acetamide,
5-(2,6-Dichloro-phenylmethanesulfonyl)-3-[l-{4-[2-(3-diethylamino-pyrrolidin-l-yl)-2-oxo-ethyl]- 3,5-dimethyl-lH-pyrrol-2-yl}-meth-(Z)-ylidene]-l,3-dihydro-indol-2-one,
2-{5-[5-(2,6-Dichloro-phenylmethanesulfonyl)-2-oxo-l,2-dihydro-indol-(3Z)-ylidenemethyl]-2,4- dimethyl-lH-pyrrol-3-yl}-N-(2-pyrrolidin-l-yl-ethyl)-acetamide,
5-(2,6-Dichloro-phenylmethanesulfonyl)-3-[l-[3,5-dimethyl-4-((S)-2-morpholin-4-ylmethyl- pyrrolidine-l-carbonyl)-lH-pyrrol-2-yl]-meth-(Z)-ylidene]-l,3-dihydro-indol-2-one, 5-(2,6-Dichloro-phenylmethanesulfonyl)-3-[l-[4-(2-{(S)-2-[(ethyl-propyl-amino)-methyl]- pynolidin-l-yl}-2-oxo-ethyl)-3,5-dimethyl-lH-pyrrol-2-yl]-meth-(Z)-ylidene]-l,3-dihydro-indol-
2-one,
2-{5-[5-(2,6-Dichloro-phenylmethanesulfonyl)-2-oxo-l,2-dihydro-indol-(3Z)-ylidenemethyl]-2,4- dimethyl-lH-pyrrol-3-yl}-N-(2-hydroxy-3-morpholin-4-yl-propyl)-acetamide, 2-{5-[5-(2,6-Dichloro-phenylmethanesulfonyl)-2-oxo-l,2-dihydro-indol-(3Z)-ylidenemethyl]-2,4- dimethyl-lH-pyrrol-3-yI}-N-(2-hydroxy-3-[l,2,3]triazol-l-yl-propyl)-acetamide,
5 -(2,6-Dichloro-phenylmethanesulfonyl)-3 -[ 1 -[4-((R)-2-methoxymethyl-pyrrolidine-l-carbonyl)-
3,5-dimethyl-lH-pyrrol-2-yl]-meth-(Z)-ylidene]-l,3-dihydro-indol-2-one, 5 -(2, 6-Dichloro-phenylmethanesulfonyl)-3 -[ 1 -[4-((S)-2-methoxymethyl-pyrrolidine-l-carbonyl)- 3,5-dimethyl-lH-pynrol-2-yl]-meth-(Z)-ylidene]-l,3-dihydro-indol-2-one, 5-(2,6-Dichloro-phenylmethanesulfonyl)-3-[l-[4-((R)-2-hydroxymethyl-pyrrolidine-l-carbonyl)- 3 ,5-dimethyl- lH-pyrrol-2-yl] -meth-(Z)-ylidene] - 1 ,3 -dihydro-indol-2-one, 5-(2,6-Dichloro-phenylmethanesulfonyl)-3-[l-[4-((S)-2-hydroxymethyl-pyrrolidine-l-carbonyl)- 3,5-dimethyl-lH-ρyrrol-2-yl]-meth-(Z)-ylidene]-l,3-dihydro-indol- 2-one, 5-(2,6-Dichloro-phenylmethanesulfonyl)-3-[l-{4-[(S)-2-(4-hydroxy-piperidin-l-ylmethyl)- pyrrolidine-l-carbonyl]-3,5-dimethyl-lH-pynol-2-yl}-meth-(Z)-yIidene]-l,3-dihydro-indol-2-one, 5-(2,6-Dichloro-phenylmethanesulfonyl)-3-[l-[4-(4-hydroxy-piperidin-l-ylmethyl)-3,5-dimethyl- lH-pyπol-2-yl]-meth-(Z)-ylidene ]-l,3-dihydro-indol-2-one,
5-[5-(2,6-Dichloro-phenylmethanesulfonyl)-2-oxo-l,2-dihydro-indol-(3Z)-ylidenemethyl]-2,4- dimethyl- IH -pyrrole-3 -carboxylic acid (2- methoxy-ethyl)-amide,
5-[5-(2.6-Dichloro-phenylmethanesulfonyl)-2-oxo-l,2-dihydro-indol-(3Z)-ylidenemethyl]-2,4- dimethyl-17 -pyrrole-3-carboxylic acid (3-methoxy-propyl)-amide, 5-[5-(2,6-Dichloro-phenylmethanesulfonyl)-2-oxo-l,2-dihydro-indol-(3Z)-ylidenemethyl]-2,4- dimethyl-lH-pyrrole-3-carboxylic acid [2-(2-hydroxy-ethoxy)-ethyI]-amide, 5-[5-(2,6-Dichloro-phenylmethanesulfonyl)-2-oxo-l,2-dihydro-indol-(3Z)-ylidenemethyl]-2,4- dimethyl-IH-pyrrole-3 -carboxylic acid (2-hydroxy-l-hydroxymethyl- 1 -methyl -ethyl)-amide, 5-[5-(2,6-Dichloro-phenylmethanesulfonyl)-2-oxo-l,2-dihydro-indol-(3Z)-ylidenemethyl]-2,4- dimethyl- lH-pyrrole-3 -carboxylic acid (2 -hydroxy- 1 , 1 -bis-hydroxymethyl-ethyl)-amide,
5-(2,6-Dimethyl-phenylmethanesulfonyl)-3-[l-[4-((3R,5S)-3,5-dimethyl-piperazine-l-carbonyl)- 3,5-dimethyl-lH-pyrrol-2-yl]-meth-(Z)-ylidene]-l,3-dihydro-indol-2-one. 5-(2,6-Dimethyl-phenylmethanesulfonyl)-3 -[ 1 -[3 ,5-dimethyl-4-((S)-2-pyrrolidin-l -ylmethyl- pyrrolidine-l-carbonyl)-lH-pynol-2-yl]-meth-(Z)-ylidene]-l,3-dihydro-indol-2-one, 5-(2,6-Dimethyl-phenylmethanesulfonyl)-3-[l-[4-(4-hydroxy-piperidine-l-carbonyl)-3,5-dimethyl- 1 H-pyrrol-2-yl]-meth-(Z)-ylidene]-l ,3-dihydro-indol-2-one,
5-(2,6-Dimethyl-phenylmethanesulfonyl)-3-[l-[3,5-dimethyl-4-(4-pyrrolidin-l-yl-piperidine-l- carbonyl)-lH-pyπol-2-yl]-meth-(Z)-ylidene]-l,3-dihydro-indol-2-one, 3-[l-[3,5-Dimethyl-4-(4-methyl-piperazine-l-carbonyl)-17J-pyrrol-2-yl]-meth-(Z)-ylidene]-5-(2,6- dimethyl-phenylmethanesulfonyl)-l ,3-dihydro-indol-2-one,
5-(2,6-Dichloro-phenylmethanesulfonyl)-3-[l-[3,5-dimethyl-4-((R)-2-pyrrolidin-l-ylmethyl- pyrrolidine-l-carbonyl)-17J-pyrrol-2-yl]-meth-(Z)-ylidene]-l,3-dihydro-indol-2-one, 5-[5-(2,6-Dichloro-phenylmethanesulfonyl)-2-oxo-l,2-dihydro-indol-(3Z)-ylidenemethyl]-2,4- dimethyl- lH-pyrrole-3 -carboxylic acid (2-morpholin-4-yl-ethyl)-amide, 5-[5-(2,6-Dichloro-phenylmethanesulfonyl)-2-oxo-l,2-dihydro-indol-(3Z)-ylidenemethyl]-2,4- dimethyl- lH-pyrcole-3 -carboxylic acid (3 -moφholin-4-y 1 -propyl)-amide, 3-[l-[4-((S)-2-Cyclopropylaminomethyl-pyπolidine-l-carbonyl)-3,5-dimethyl-lH-pyrrol-2-yl]- meth-(Z)-ylidene]-5-(2,6-dichloro-phenylmethanesulfonyl)-l,3-dihydro-indol-2-one, 5-(2,6-Dichloro-phenylmethanesulfonyl)-3-[l-[3,5-dimethyl-4-(4-moφholin-4-yl-piperidine-l- carbonyl)-lH-pyrrol-2-yl]-meth-(Z)-ylidene]-l,3-dihydro-indol-2-one,
5-(2,6-Dichloro-phenylmethanesulfonyl)-3-[l-{3,5-dimethyl-4-[2-(4-moφholin-4-yl-piperidin-l- yl)-2-oxo-ethyl]-lH-pyrr.ol-2-yl}-meth-(Z)-ylidene]-l,3-dihydro-indol-2-one, 5-[5-(2,6-Dichloro-phenylmethanesulfonyl)-2-oxo-l,2-dihydro-indol-(3Z)-ylidenemethyl]-2,4- dimethyl- lH-pyrrole-3 -carboxylic acid (2-ethylsulfanyl-ethyl)-amide,
5-[5-(2,6-Dichloro-phenylmethanesulfonyl)-2 -oxo-1, 2-dihydro-indol-(3Z)-ylidenemethyl]-2,4- dimethyl- lH-pyrrole-3 -carboxylic acid (2,2,2-trifluoro-efhyl)-amide,
3-{5-[5-(2,6-Dichloro-phenylmethanesulfonyl)-2-oxo-l,2-dihydro-indol-(3Z)-ylidenemethyl]-2,4- dimethyl-lH-pyrrol-3-yl}-propionic acid, 3-[l-(4-{(S)-2-[(Cyclopropylmethyl-amino)-methyl]-pyrτolidine-l -carbonyl} -3, 5 -dimethyl -1/J- pyrrol-2-yl)-meth-(Z)-ylidene]-5-(2,6-dichloro-phenylmethanesulfonyl)-l,3-dihydro-indol-2-one, 5-(2,3-Dichloro-phenylmethanesulfonyl)-3-[l-[4-((3R,5S)-3,5-dimethyl-piperazine-l-carbonyl)- 3,5-dimethyl-lH-pyrrol-2-yl]-meth-(Z)-ylidene]-l,3-dihydro-indol-2-one, 5 -(2,3 -Dichloro-phenylmethanesulfonyl)-3 -[ 1 -[3 ,5 -dimethyl-4-((S)-2-pynolidin-l-ylmethyl- pyrrolidine-l-carbonyl)-l/ -pyrrol-2-yl]-meth-(Z)-ylidene]-l,3-dihydro-indol-2-one,
5-(2,3-Dichloro-phenylmethanesulfonyl)-3-[l-[4-(4-hydroxy-piperidine-l-carbonyl)-3,5-dimethyl- lH-pyrrol-2-yl] -meth-(Z)-ylidene] -1 ,3 -dihydro-indol-2-one,
5-(2,3 -Dichloro-phenylmethanesulfonyl)-3 -[ 1 -[3 ,5-dimethyl-4-(4-pyτrolidin-l-yl-piperidine-l- carbonyl)-lH-pyrrol-2-yl]-meth-(Z)-ylidene]-l,3-dihydro-indol-2-one, 5-(2,3-Dichloro-phenylmethanesulfonyl)-3-[l-[3,5-dimethyl-4-(4-methyl-piperazine-l-carbonyl)- lH-pyrrol-2-yl]-meth-(Z)-ylidene]-l,3-dihydro-indol-2-one,
5 -(2,6-Dichloro-phenylmethanesulfonyl)-3 -[ 1 -[4-((R)-3 -hydroxy -pyrrolidin-l-ylmethyl)-3 ,5 - dimethyl-lH-pyrrol-2-yl]-meth-(Z)-ylidene]-l,3-dihydro-indol-2-one, 5-(2,6-Dichloro-phenylmethanesulfonyl)-3-[l-[4-(3-hydroxy-piperidin-l-ylmethyl)-3,5-dimethyl- LH-pyrrol-2-yl]-meth-(Z)-ylidene]-l,3-dihydro-indol-2-one,
3-[l-[4-((S)-2-Cyclopropylaminomethyl-pyrrolidine-l-carbonyl)-3,5-dimethyl-l/J-pyrrol-2-yl]- meth-(Z)-ylidene]-5-phenylmethanesulfonyl-l,3-dihydro-indol-2-one,
3-[l-[4-((S)-2-Cyclopropylaminomethyl-pyrrolidine-l-carbonyl)-3,5-dimethyl-lH-pyrrol-2-yl]- meth-(Z)-ylidene]-5-(2,6-difluoro-phenylmethanesulfonyl)-l,3-dihydro-indol-2-one, 5-(3 ,5 -Dichloro-phenylmethanesulfonyl)-3 -[ 1 -[4-(4-hydroxy-piperidine-l-carbonyl)-3 ,5 -dimethyl- liϊ-pyπo 1 -2-yl]-meth-(Z)-ylidene]- 1 ,3 -dihydro-indol-2-one,
5-(2,5-Dichloro-phenylmethanesulfonyl)-3-[l-[4-((3R,5S)-3,5-dimethyl-ρiperazine-l-carbonyl)-
3 ,5-dimethyl- lH-pyrrol-2-yl] -meth-(Z)-ylidene] - 1 ,3 -dihydro-indol-2-one, 5-[5-(2,5-Dichloro-phenylmethanesulfonyl)-2-oxo-l,2-dihydro-indol-(3Z)-ylidenemethyl]-2,4- dimethyl-LH -pynole-3 -carboxylic acid,
5-[5-(2,6-Dichloro-phenylmethanesulfonyl)-2-oxo-l,2-dihydro-indol-(3Z)-ylidenemethyl]-2,4- dimethyl-lH-pyiTOle-3 -carboxylic acid (2-pyridin-2-yl-ethyl)-amide,
3-[l -[3,5-Dimethyl-4-(2-piperidin-l-yl-acetyl)-lH-pyrrol-2-yl]-meth-(Z)-ylidene]-5- phenylmethanesulfonyl- 1 ,3-dihydro-indol-2-one,
5-[5-(2,6-Dichloro-phenylmethanesulfonyl)-2-oxo-l,2-dihydro-indol-(3Z)-ylidenemethyl]-2,4- dimethyl-lH-pyrrole-3 -carboxylic acid (2 -pyridin-3 -yl-ethyl)-amide,
5-[5-(2,6-Dichloro-phenylmethanesulfonyl)-2-oxo-l,2-dihydro-indol-(3Z)-ylidenemethyl]-2,4- dimethyl-lH-pyrrole-3 -carboxylic acid (tetrahydrofuran-2-ylmethyl)-amide, 5-[5-(2,6-Dichloro-phenylmethanesulfonyl)-2-oxo-l,2-dihydro-indol-(3Z)-ylidenemethyl]-2,4- dimethyl-lH-pynole-3 -carboxylic acid cyclopropylmethyl-amide,
3-[l-{3,5-Dimethyl-4-[2-oxo-2-((S)-2-pyrrolidin-l-ylmethyl-pyrrolidin-l-yl)-ethyl]-lH-pyrrol-2- yl } -meth-(Z) -y lidene] -5 -phenylmethanesulfonyl- 1 , 3 -dihydro-indol-2-one,
3-[l-{3,5-Dimethyl-4-[2-(4-methyl-piperazin-l-yl)-2-oxo-ethyl]-lH-pyrrol-2-yl}-meth-(Z)- ylidene]-5-phenylmethanesulfonyl-l,3-dihydro-indol-2-one,
3-[l-{4-[2-((3R,5S)-3,5-Dimethyl-piperazin-l-yl)-2-oxo-ethyl]-3,5-dimethyI-lH-pyrrol-2-yl}- meth-(Z)-ylidene]-5-phenylmethanesulfonyl-l,3-dihydro-indol-2-one,
3-[l-[3,5-Dimethyl-4-(2-moφholin-4-yl-2-oxo-ethyl)-lH-pyrrol-2-yl]-meth-(Z)-ylidene]-5- phenylmethanesulfonyl-l,3-dihydro-indol-2-one, 3-[l-{4-[2-(4-Hydroxy-piperidin-l-yl)-2-oxo-ethyl]-3,5-dimethyl-lH-pyrrol-2-yl}-meth-(Z)- ylidene] -5 -phenylmethanesulfonyl-1,3 -dihydro-indol-2-one,
5-(2,6-Dichloro-phenylmethanesulfonyl)-3-[l-[3,5-dimethyl-4-(thiomoφholine-4-carbonyl)-17J- pyrrol-2-yl]-meth-(Z)-ylidene- 1 ,3 -dihydro-indol-2-one,
5-[5-(2,6-Dichloro-phenylmethanesulfonyl)-2-oxo-l,2-dihydro-indol-(3Z)-ylidenemethyl]-2,4- dimethyl-lH-pyrrole-3-carb'oxylic acid (2-fluoro-ethyl)-amide,
5-[5-(2,6-Dichloro-phenyImethanesulfonyl)-2-oxo-l,2-dihydro-indol-(3Z)-ylidenemethyl]-2,4- dimethyl- lH-pyrrole-3 -carboxylic acid (3 -imidazol- 1 -yl-propyl)-amide,
5-[5-(2,6-Dichloro-phenylmethanesulfonyl)-2-oxo-l,2-dihydro-indol-(3Z)-ylidenemethyl]-2,4- dimethyl-lH-pyrrole-3-carboxylic acid methylamide, 5-[5-(2,6-Dichloro-phenylmethanesulfonyl)-2-oxo-l,2-dihydro-indol-(3Z)-ylidenemethyl]-2,4- dimethyl-lH-pyτrole-3 -carboxylic acid amide,
5 -(2,6-Dichloro-phenylmethanesulfonyl)-3 -[ 1 -[4-(l , 1 -dioxo- 116-thiomoφholine-4-carbonyl-3 ,5- dimethyl-lH-ρyrrol-2-yl]-meth-(Z)-ylidene]-l,3-dihydro-indol-2-one, 5-[5-(2,6-Dichloro-phenylmethanesulfonyl)-2-oxo-l,2-dihydro-indol-(3Z)-ylidenemethyl]-2,4- dimethyl-lH-pyrrole-3-carboxylic acid [2-(4-acetyl-piperazin-l-yl)-ethyl]-amide, 5-(2,6-Dichloro-phenylmethanesulfonyl)-3-[l-[4-((3R,5S)-3,5-dimethyl-piperazin-l-ylmethyl)-3,5- dimethyl-lH-pyrrol-2-yl]-meth-(Z)-ylidene]-l,3-dihydro-indol- 2-one, 3.[l-[4.((3R)5S)-3,5-Dimethyl-piperazin-l-ylmethyl)-3,5-dimethyl-lH-pyπol-2-yl]-meth-(Z)- ylidene] -5 -phenylmethanesulfonyl- 1 , 3 -dihydro-indol-2-one,
5-(2,5-Dichloro-phenylmethanesulfonyl)-3-[l-[4-(4-hydroxy-piperidine-l-carbonyl)-3,5-dimethyl- lH-pyrrol-2-yl] -meth-(Z)-ylidene] - 1 ,3 -dihydro-indol-2-one,
5 -(2,5 -Dichloro-phenylmethanesulfony 1 )-3 -[ 1 -[3 ,5-dimethyl-4-((S)-2-pyrrolidin-l -ylmethyl- pyrrolidine- 1 -carbonyl)- lH-pyrrol-2-yl] -meth-(Z)-ylidene]- 1 ,3 -dihydro-indol-2-one, 5-(2,5-Dichloro-phenylmethanesulfonyl)-3-[l-[3,5-dimethyl-4-(4-methyl-piperazine-l-carbonyl)- lH-pynol-2-yl] -meth-(Z)-ylidene]- 1 ,3 -dihydro-indol-2-one,
5 -(3 ,5 -Dichloro-phenylmethanesulfonyl)-3 -[ 1 -[4-((3R,5 S)-3 ,5 -dimethyl-ρiperazine-1 -carbonyl)- 3,5-dimethyl-lH-pyn-ol-2-yI]-meth-(Z)-ylidenej-l,3-dihydro-indol-2-one, 5 -(3 ,5 -Dichloro-phenylmethanesulfonyl)-3 -[ 1 -[3 ,5 -dimethyl-4-(4-pyrrolidin- 1 -yl -piperidine- 1 - carbonyl)-lH-pyrrol-2-yl]-meth-(Z)-ylidene]-l,3-dihydro-indol-2-one,
5-(3,5-Dichloro-phenylmethanesulfonyl)-3-[l-[3,5-dimethyl-4-((S)-2-pynolidin-l-ylmethyl- pyrrolidine-l-carbonyl)-lH-pynol-2-yl]-meth-(Z)-ylidene]-l,3-dihydro-indol-2-one, 5-(3,5-Dichloro-phenylmethanesulfonyl)-3-[l-[3,5-dimethyl-4-(4-methyl-piperazine-l-carbonyl)- lH-pyrrol-2-yl] -meth-(Z)-ylidene]- 1 ,3 -dihydro-indol-2-one, 3-[l-[4-(4-Cyclopropylmethyl-piperazin-l-ylmethyl)-3,5-dimethyl-17J-pyrrol-2-yl]-meth-(Z)- ylidene]-5-(2,6-dichloro-phenylmethanesulfonyl)-l,3-dihydro-indol-2-one,
3-[l-{4-[2-((S)-2-Cyclopropylaminomethyl-pynolidin-l-yl)-2-oxo-ethyl]-3,5-dimethyl-17J-pyrrol- 2-yl}-meth-(Z)-ylidene]-5-(2,6-dichloro-phenylmethanesulfonyl)-l,3-dihydro-indol-2-one, 3-[l-[4-(4-Acetyl-piperazin-l-ylmethyl)-3,5-dimethyl-lH-pynoI-2-yl]-meth-(Z)-ylidene]-5-(2,6- dichloro-phenylmethanesulfonyl)- 1 ,3 -dihydro-indol-2-one,
4-{5-[5-(2,6-Dichloro-phenylmethanesulfonyl)-2-oxo-l,2-dihydro-indol-(3Z)-ylidenemethyl]-2,4- dimethyl- lH-pyrrol-3 -ylmethyl } -piperazine- 1 -carbaldehyde,
3-[l-{4-[(Cyclopropyl-methyl-amino)-methyl]-3,5-dimethyl-7/J-pyrrol-2-yl}-meth-(Z)-ylidene]-5- (2,6-dichloro-phenylmethanesulfonyl)-l,3-dihydro-indol-2-one, 3-[l-[4-(4-Cyclopropyl-piperazin-l-ylmethyl)-3,5-dimethyl-17J-pyτrol-2-yl]-meth-(Z)-ylidene]-5- (2,6-dichloro-phenylmethanesulfonyl)-l,3-dihydro-indol-2-one,
3-[l-{4-[2-((2R,4R)-2-Cyclopropylaminomethyl-4-hydroxy-pyrrolidin-l-yl)-2-oxo-ethyl]-3,5- dimethyl-lH-pyτrol-2-yl}-meth-(Z)-ylidene]-5-(2,6-dichloro-phenylmethanesulfonyl)-l,3-dihydro- indol-2-one,
3 -[ 1 - {4-[2-((2R,3 S)-2-Cyclopropylaminomethyl-3 -hydroxy-pyrrolidin- 1 -y 1 )-2-oxo-ethyl] -3,5- dimethyl-lH-pyrrol-2-yl}-meth-(Z)-ylidene]-5-(2,6-dichloro-phenylmethanesulfonyl)-l,3-dihydro- indol-2-one, 5-[5-(2,6-Dichloro-phenylmethanesulfonyl)-2-oxo-l,2-dihydro-indol-(3Z)-ylidenemethyl]-2,4- dimethyl- lH-pyrrole-3 -carboxylic acid [2-(3-acetylamino-pyrrolidin-l-yl)-ethyl]-amide,
2-{5-[5-(2,6-Dichloro-phenylmethanesulfonyl)-2-oxo-l,2-dihydro-indol-(3Z)-ylidenemethyl]-2,4- dimethyl-lH-pyrrol-3-yl}-N-(2-piperazin-l-yl-ethyl)-acetamide,
2-{5-[5-(2,6-Dichloro-ρhenylmethanesulfonyl)-2-oxo-l,2-dihydro-indol-(3Z)-ylidenemethyl]-2,4- dimethyl-lH-pyrrol-3-yl}-N-{2-[4-(2-hydroxy-acetyl)-piperazin-l-yl]-ethyl}-acetamide, 5-(2,6-Dichloro-phenylmethanesulfonyl)-3-[l-(4-{2-[(8)-2-((R)-3-hydroxy-pyrrolidin-l-ylmethyl)- pynolidin-l-yl]-2-oxo-ethyl}-3,5-dimethyl-lH-pyrrol-2-yl)-meth-(Z)-ylidene]-l,3-dihydro-indoI-2- one,
5-(2,6-Dichloro-phenylmethanesulfonyi)-3 -[ 1 - {3 ,5-dimethyl-4-[2-oxo-2-((S)~3-pyrrolidin- 1 - ylmethyl-piperidin-l-yl)-ethyl]-lH-pyrrol-2-yl}-meth-(Z)-ylidene]-l,3-dihydro-indol-2-one, 2-{5-[5-(2,6-Dichloro-phenylmethanesulfonyl)-2-oxo-l,2-dihydro-indol-(3Z)-ylidenemefhyl]-2,4- dimethyl- lH-pyrrol-3 -yl} -N-[2-(2,2,2-trifluoro-ethylamino)-ethyI]-acetamide, 3 -[ 1 -(4- {(R)-2-[(Cyclopropylmethyl-amino)-methyl] -pyrrolidine- 1 -carbonyl} -3 ,5 -dimethyl- 1H- pyπol-2-yl)-meth-(Z)-ylidene]-5-(2,6-dichloro-phenylmethanesulfonyl)-l,3-dihydro-indol-2-one, (2S,4R)-l-{5-[5-(2,6-Dichloro-phenylmethanesulfonyl)-2-oxo-l,2-dihydro-indol-(3Z)- ylidenemethyl]-2,4-dimethyl-lH-pyrrole-3-carbonyl}-4-hydroxy-pyrrolidine-2 -carboxylic acid cyclopropylamide,
(2S,4R)-l-(2-{5-[5-(2,6-Dichloro-phenylmethanesulfonyl)-2-oxo-l,2-dihydro-indol-(3Z)- ylidenemethyl]-2,4-dimethyl-lH-pyιτol-3-yl}-acetyl)-4-hydroxy-pyrrolidine-2 -carboxylic acid cyclopropylamide, 5 -[5 -(2, 6-Dichloro-phenylmethanesulfonyl)-2-oxo- 1 ,2-dihydro-indol-(3Z)-ylidenemethyl]-2,4- dimethyl-lH-pyrrole-3-carboxylic acid (2-hydroxy-3-pyrrolidin-l-yl-propyl)-amide, 5-[5-(2,6-Dichloro-phenylmethanesulfonyl)-2-oxo-l,2-dihydro-indol-(3Z)-ylidenemethyl]-2,4- dimethyl- lH-pyrrole-3-carboxylic acid (3-cyclopropylamino-2-hydroxy-propyl)-amide, 3-[l-[4-(4-Cyclopropyl-piperazine-l-carbonyl)-3,5-dimethyl-lH-pyrrol-2-yl]-meth-(Z)-ylidene]-5- (2,6-dichloro-phenylmethanesulfonyl)-l,3-dihydro-indol-2-one,
5-[5-(2,6-Dichloro-phenylmethanesulfonyl)-2-oxo-l,2-dihydro-indol-(3Z)-ylidenemethyl]-2,4- dimethyl-LfY-pyrrole-3 -carboxylic acid cyclopropylamide, N-[2-(3-Acetylamino-pyrrolidin-l-yl)-ethyl]-2-{5-[5-(2,6-dichloro-phenylmethanesulfonyl)-2-oxo- l,2-dihydro-indol-(3Z)-ylidenemethyl]-2,4-dimethyl-17J-pyrrol-3-yl}-acetamide, 5-[5-(2,6-Dichloro-phenylmethanesulfonyl)-2-oxo-l,2-dihydro-indol-(3Z)-ylidenemethyl]-2,4- dimethyl-l/J-pyrrole-3-carboxylic acid {2-[4-(2-hydroxy-acetyl)-piperazin-l-yl]-ethyl} -amide, 2-{5-[5-(2,6-Dichloro-phenylmethanesulfonyl)-2-oxo-l,2-dihydro-indol-(3Z)-ylidenemethyl]-2,4- dimethyl- l/J-pyrτol-3 -yl} -N-(2-hydroxy-3 -pyrrolidin- 1 -yl-propyl)-acetamide,
N-(3-Cyclopropylamino-2-hydroxy-propyl)-2-{5-[5-(2,6-dichloro-phenylmethanesulfonyl)-2-oxo- l,2-dihydiO-indol-(3Z)-ylidenemethyl]-2,4-dimethyl-lH-pyrrol-3-yl}-acetamide, 3-[l-{4-[2-(4-Cyclopropyl-piperazin-l-yl)-2-oxo-ethyl]-3,5-dimethyl-lH-pynol-2-yl}-meth-(Z)- ylidene]-5-(2,6-dichloro-phenylmethanesulfonyl)-l,3-dihydro-indol-2-one, 3-[l-[4-(4-Cycloρropylmethyl-piperazine-l-carbonyl)-3,5-dimethyl-lH-pyrrol-2-yl]-meth-(Z)- ylidene]-5-(2,6-dichloro-phenylmethanesulfonyl)-l,3-dihydro-indol-2-one, 3-[l-{4-[2-(4-Cyclopropylmethyl-piperazin-l-yl)-2-oxo-ethyl]-3,5-dimethyl-lH-pyrrol-2-yl}- meth-(Z)-ylidene]-5-(2,6-dichloro-phenylmethanesulfonyl)-l,3-dihydro-indol-2-one, 5-(2,6-Dichloro-phenylmethanesulfonyl)-3-[l-[3,5-dimethyl-4-((S)-3-pyτrolidin-l-ylmethyl- piperidine-l-carbonyl)-LY-pyτrol-2-yl]-meth-(Z)-ylidene]-l,3-dihydro-indol-2-one,
3-[l-(4-{(S)-2-[(Cyclopropyl-methyl-amino)-methyl]-pyrrolidine-l-carbonyl}-3,5-dimethyl-lH- pyrrol-2-yl)-meth-(Z)-ylidene]-5-(2,6-dichloro-phenylmethanesulfonyl)-l,3-dihydro-indol-2-one, 3-[l-{4-[2-((2R,4R)-2-Cyclopropylaminomethyl-4-hydroxy-pyrrolidin-l-yl)-2-oxo-ethyl]-3,5- dimethyl-lH-pynol-2-yl} -meth-(Z)-ylidene]-5-(2,6-dichloro-phenylmethanesulfonyl)-l,3-dihydro- indol-2-one,
3 -[ 1 -[4-(2R,4R)-2-Cyclopropylaminomethyl-4-hydroxy-pyrrolidine- 1 -carbonyl)-3 ,5-dimethyl- IH- pyrrol-2-yl]-meth-(Z)-ylidene]-5-(2,6-dichloro-phenylmethanesulfonyl)-l,3-dihydro-indol-2-one, 3 - [ 1 -[4-((2R, 3 S)-2-Cyclopropylaminomethyl-3 -hydroxy-pyrrolidine-l-carbonyl)-3 , 5 -dimethyl -\H- pyrrol-2-yl]-meth-(Z)-ylidene]-5-(2,6-dichloro-phenylmethanesulfonyl)-l,3-dihydro-indol-2-one, 5-(2,6-Dichloro-phenylmethanesulfonyl)-3-[l-{4-[(S)-2-((R)-3-hydroxy-pyrrolidin-l-ylmethyl)- pyrrolidine-l-carbonyl]-3 ,5 -dimethyl-LrY-pyrrol-2-yl} -meth-(Z)-ylidene]- 1 ,3 -dihydro-indol-2-one, 5-(2,6-Dichloro-phenylmethanesulfonyl)-3-[l-{4-[(R)-2-((R)-3-hydroxy-pyτrolidin-l-ylmethyl)- pynOlidine-l-carbonyl]-3,5-dimethyl-lH-pyrrol-2-yl}-meth-(Z)-ylidene]-l,3-dihydro-indol-2-one, 5-(2,6-Dichloro-phenylmethanesulfonyl)-3-[l-{4-[2-((R)-3-hydroxy-pyrrolidin-l-yl)-2-oxo-ethyl]- 3,5-dimethyI-lH-pyτrol-2-yl}-meth-(Z)-ylidene]-l,3-dihydro-indol-2-one,
5-(2,6-Dichloro-phenylmethanesulfonyl)-3-[l-(4-{2-[(R)-2-((R)-3-hydroxy-pyrrolidin-l-ylmethyl)- pyrrolidin-l-yl]-2-oxo-ethyl}-3,5-dimethyl-lH-pyrrol-2-yl)-meth-(Z)-ylidene]-l,3-dihydro-indol- 2-one,
(R)-l-{5-[5-(2,6-Dichloro-phenylmethanesulfonyl)-2-oxo-l,2-dihydro-indol-(3Z)-ylidenemethyl]- 2,4-dimethyl-lH-pyrrole-3-carbonyl}-piperidine-3-carboxylic acid cyclopropylamide, (R)-l-(2-{5-[5-(2,6-Dichloro-phenylmethanesulfonyl)-2-oxo-l,2-dihydro-indol-(3Z)- ylidenemethyl]-2,4-dimethyl-lH-pyrrol-3-yl}-acetyl)-piperidine-3-carboxylic acid cyclopropylamide,
3 -[ 1 -(4- { (S)-2-[(Cyclopropyl-methyl-amino)-methyl] -pynolidine- 1 -carbonyl} -3 ,5 -dimethyl- 1H- pyrrol-2-yl)-meth-(Z)-ylidene]-5-phenylmethanesulfonyl-l,3-dihydro-indol-2-one, 3-[l-{4-[2-((S)-3-Cyclopropylaminomethyl-piperidin-l-yl)-2-oxo-ethyl]-3,5-dimethyl-lH-pyrrol- 2-yl}-meth-(Z)-ylidene]-5-(2,6-dichloro-phenylmethanesulfonyl)-l,3-dihydro-indol-2-one, 3-[l-[4-((S)-3-Cyclopropylaminomethyl-piperidine-l-carbonyl)-3,5-dimethyl-lH-pyrrol-2-yl]- meth-(Z)-ylidene]-5-(2,6-dichloro-phenylmethanesulfonyl)-l,3-dihydro-indol-2-one, 5-(2,6-Dichloro-phenylmethanesulfonyl)-3-[l-(4-{2-[(S)-2-((R)-3-fluoro-pyrrolidin-l-ylmethyl)- pyrrolidin-l-yl]-2-oxo-ethyl}-3,5-dimethyl-lH-pyrrol-2-yl)-meth-(Z)-ylidene]-l,3-dihydro-indol- 2-one, 5-(2,6-Dichloro-phenylmethanesulfonyl)-3-[l-{4-[(S)-2-(4-fluoro-piperidin-l-ylmethyl)- pyrrolidine-l-carbonyl]-3,5-dimethyl-lH-pynol-2-yl}-meth-(Z)-ylidene]-l,3-dihydro-indol-2-one, 5-(2,6-Dichloro-phenylmethanesulfonyl)-3-[l-(4-{2-[(S)-2-(4-fluoro-piperidin-l-ylmethyl)- pyrrolidin-l-yl]-2-oxo-ethyl}-3,5-dimethyl-lH-pyrrol-2-yl)-meth-(Z)-ylidene]-l,3-dihydro-indol- 2-one, 5-(2,6-Dichloro-phenylmethanesulfonyl)-3 -[ 1 - {4-[(R)-2-((R)-3-fluoro-pyrcolidin-l -ylmethyl)- pyrrolidine-l-carbonyl]-3,5-dimethyl-lH-pynol-2-yl}-meth-(Z)-ylidene]-l,3-dihydro-indol-2-one, 5 -(2, 6-Dichloro-phenylmethanesulfonyl)-3 -[ 1 -(4- {2-[(R)-2-((R)-3-fluoro-pyrrolidin-l -ylmethyl)- pyrrolidin-l-yl]-2-oxo-ethyl}-3,5-dimethyl-lH-pyrrol-2-yl)-meth-(Z)-ylidene]-l,3-dihydro-indol- 2-one, 5-[5-(2,6-Dichloro-phenylmethanesulfonyl)-2-oxo-l,2-dihydro-indol-(3Z)-ylidenemethyl]-2,4- dimethyl-lH-pyrrole-3-carboxylic acid [2-(4-fluoro-piperidin-l-yl)-ethyl]-amide, 2-{5-[5-(2,6-Dichloro-phenylmethanesulfonyl)-2-oxo-l,2-dihydro-indol-(3Z)-ylidenemethyl]-2,4- dimethyl-lH-pyιτol-3-yl}-N-[2-(4-fluoro-piperidin-l-yl)-ethyl]-acetamide, 3-[l-[4-((2S,4R)-2-Cyclopropylaminomethyl-4-hydroxy-ρyτrolidine-l-carbonyl)-3,5-dimethyl-lH- pyrrol-2-yl]-meth-(Z)-ylidene]-5-(2,6-dichloro-phenylmethanesulfonyl)-l,3-dihydro-indol-2-one, 5 -(2,6-Dichloro-phenylmethanesulfonyl)-3 -[ 1 - {4-[(R)-2-(4-fluoro-piperidin- 1 -ylmethyl)- pyrrolidine-l-carbonyl]-3,5-dimethyl-lH-pyrrol-2-yl}-meth-(Z)-ylidene]-l,3-dihydro-indol-2-one, 5 -(2,6-Dichloro-phenylmethanesulfonyl)-3 -[ 1 -(4- {2-[(R)-2-(4-fluoro-piperidin- 1 -ylmethyl)- pyrrolidin- 1 -yl] -2-oxo-ethyl} -3 ,5 -dimethyl- lH-pyrrol-2-y 1 )-meth-(Z)-ylidene] - 1 ,3 -dihydro-indol- 2-one,
5-(2,6-Dichloro-phenylmethanesulfonyl)-3-[l-{4-[(S)-2-(3-fluoro-piperidin-l-ylmethyl)- ρyrrolidine-l-carbonyl]-3,5-dimethyl-lH-pyrrol-2-yl}-meth-(Z)-ylidene]-l,3-dihydro-indol-2-one, 5-(2,6-Dichloro-phenylmethanesulfonyl)-3 -[ 1 -(4- {2-[(S)-2-(3 -fluoro-piperidin- 1 -ylmethyl)- pyrrolidin-l-yl]-2-oxo-ethyl}-3,5-dimethyl-lH-pyrrol-2-yl)-meth-(Z)-ylidene]-l,3-dihydro-indol-
2-one,
3-[l-[4-(2-{(S)-2-[(Cyclopropyl-methyl-amino)-methyl]-pyrrolidin-l-yl}-2-oxo- ethyl)-3,5-dimethyl-lH-pyrrol-2-yl]-meth-(Z)-ylidene]-5-(2,6-dichloro-phenylmethanesulfonyl)- l,3-dihydro-indol-2-one,
3-[l-(4-{(R)-2-[(Cyclopropyl-methyl-amino)-methyl]-pyrrolidine-l-carbonyl}-3,5-dimethyl-lH- pyrrol-2-yl)-meth-(Z)-ylidene]-5-(2,6-dichloro-phenylmethanesulfonyl)-l,3-dihydro-indol-2-one, 5-(2,6-Dichloro-phenylmethanesulfonyl)-3-[l-[3,5-dimethyl-4-(l-methyl-piperidin-4-yl)-lH- pyrrol-2-yl]-meth-(Z)-ylidene]-l,3-dihydro-indol-2-one, 5-(2,6-Dichloro-phenylmethanesulfonyl)-3-[l-[4-(4-fluoro-piperidin-l-ylmethyl)-3,5-dimethyl-lH- pyrrol-2-yl]-meth-(Z)-ylidene]-l,3-dihydro-indol-2-one,
5-[5-(2,6-Dichloro-phenylmethanesulfonyl)-2-oxo-l,2-dihydro-indol-(3Z)-ylidenemethyl]-2,4- dimethyl-lH-pyrrole-3-carboxylic acid [2-(3-fluoro-pyrrolidin-l-yl)-ethyl]-amide, 2-{5-[5-(2,6-Dichloro-phenylmethanesulfonyl)-2-oxo-l,2-dihydro-indol-(3Z)-ylidenemethyl]-2,4- dimethyl- lH-pyrrol-3-yl} -N-[2-(3-fluoro-pyrrolidin-l -yl)-ethyl]-acetamide,
5-(2,6-Dichloro-phenylmethanesulfonyl)-3-[l-(4-{3-[(R)-2-((R)-3-fluoro-pyτrolidin-l-ylmethyl)- pyrrolidin- 1 -y 1 ] -3 -oxo-propyl} -3 ,5 -dimethyl- lH-pyrrol-2-yl)-meth-(Z)-ylidene]- 1 ,3 -dihydro- indol-2-one,
5 -(2 ,6-Difluoro-phenylmethanesulfony 1 )-3 - [ 1 - {4- [(R)-2-((R)-3 -fluoro-pyrrolidin- 1 -ylmethyl)- pyrrolidine-l-carbonyl]-3,5-dimethyl-lH-pyrrol-2-yl }-meth-(Z)-ylidene]-l,3-dihydro-indol-2- one,
5-[5-(2,6-Dichloro-phenylmethanesulfonyl)-2-oxo-l,2-dihydro-indol-(3Z)-ylidenemethyl]-2,4- dimethyl-lH-pyrrole-3-carboxylic acid [2-(3-fluoro-piperidin-l-yl)-ethyl]-amide, 5-(2,6-Difluoro-phenylmethanesulfonyl)-3-[l-[3,5-dimethyl-4-((R)-2-pyrrolidin-l-ylmethyl- pyrrolidine-l-carbonyl)-lH-pyrrol-2-yl]-meth-(Z)-ylidene]-l,3-dihydro-indol-2-one, 2-{5-[5-(2,6-Dichloro-phenylmethanesulfonyl)-2-oxo-l,2-dihydro-indol-(3Z)-ylidenemethyl]-2,4- dimethyl-lH-pyrrol-3-yl}-N-[2-(3-fluoro-piperidin-l-yl)-ethyl]-acetamide, 5-(2,6-Dichloro-phenylmethanesulfonyl)-3-[l-{3,5-dimethyl-4-[3-oxo-3-((R)-2-pyrrolidin-l- ylmethy 1 -pyrrolidin-l-yl)-propyl]-lH-pynol-2-yl} -meth-(Z)-ylidene]-l ,3-dihydro-indol-2-one, 5-[5-(2,6-Dichloro-phenylmethanesulfonyl)-2-oxo-l,2-dihydro-indol-(3Z)-ylidenemethyl]-2,4- dimethy 1 - l/J-pyrrole-3 -carboxylic acid {2-[4-(2-amino-2-methyl-propionyl)-piperazin- 1 -yl] - ethyl} -amide, 5-(2,6-Dichloro-phenylmethanesulfonyl)-3-[l - {3,5-dimethyl-4-[3-oxo-3-((S)-3-pyrrolidin-l - ylmethyl-piperidin-l-yl)-propyl]-lH-pynol-2-yl}-meth-(Z)-ylidene]-l,3-dihydro-indol-2-one, 5-(2,6-Difluoro-phenylmethanesulfonyl)-3-[l-[3,5-dimethyl-4-((S)-3-pyrrolidin-l-ylmethyl- piperidine-l-carbonyl)-17J-pyrrol-2-yl]-meth-(Z)-ylidene]-l,3-dihydro-indol-2-one; 5 -(2, 6-Dichloro-phenylmethanesulfonyl)-3 -[ 1 -[3 ,5 -dimethyl-4-(3 -moφholin-4-yl-3-oxo-propyl)- lH-pyrrol-2-yl] -meth-(Z)-ylidene]- 1 ,3 -dihydro-indol-2-one,
N-[2-(4-Acetyl-piperazin-l-yl)-ethyl]-2-{5-[5-(2,6-dichloro-phenylmethanesulfonyl)-2-oxo-l,2- dihydro-indol-(3Z)-ylidenemethyl]-2,4-dimethyl-lH-pynol-3-yl}-acetamide,
5-[5-(2, 6-Dichloro-phenylmethanesulfonyl)-2 -oxo-1, 2-dihydro-indol-(3 Z)-ylidenemethyl]-2,4- dimethyl-lH-pynole-3 -carboxylic acid [2-(4-hydroxy-piperidin-l-yl)-ethyl]-amide, 2-{5-[5-(2,6-Dichloro-phenylmethanesulfonyl)-2-oxo-l,2-dihydro-indol-(3Z)-ylidenemethyl]-2,4- dimethyl-lH-pyrrol-3-yl}-N-[2-(4-hydroxy-piperidin-l-yl)-ethyl]-acetamide, 5-(2,6-Dichloro-phenylmethanesulfonyl)-3-[l-{3,5-dimethyl-4-[3-(4-methyl-piperazin-l-yl)-3-oxo- propyl]-lH-pyrrol-2-yl}-meth-(Z)-ylidene]-l,3-dihydro-indol-2-one, 5-(2,6-Dichloro-phenylmethanesulfonyl)-3-[l-{4-[3-((3R,5S)-3,5-dimethyl-piperazin-l-yI)-3-oxo- propyl]-3,5-dimethyl-lH-pyrrol-2-yl}-meth-(Z)-ylidene]-l,3-dihydro-indol-2-one,
5-(2,6-Dichloro-phenylmethanesulfonyl)-3-[l-{3,5-dimethyl-4-[3-oxo-3-((S)-2-pyrrolidin-l- ylmethyl-pyrrolidin- 1 -yl)-propyl] - lH-pyrrol-2-yl} -meth-(Z)-ylidene] -1 ,3 -dihydro-indol-2-one, 5-[5-(2,6-Dichloro-phenylmethanesulfonyl)-2-oxo-l,2-dihydro-indol-(3Z)-ylidenemethyl]-2,4- dimethyl-lH-pyrrole-3 -carboxylic acid (l-methyl-piperidin-4- ylmethyl)-amide, 2-{5-[5-(2, 6-Dichloro-phenylmethanesulfonyl)-2-oxo- 1 ,2-dihydro-indol-(3 Z)-ylidenemethyl] -2 ,4- dimethyl-lH-pynol-3-yl}-N-(l-methyl-piperidin-4-ylmethyl)-acetamide, 3 -[ 1 - {4-[3 -((S)-2-Cyclopropylaminomethyl-pyrrolidin- 1 -yl)-3 -oxo-propyl]-3 ,5 -dimethyl-1/J- pyrrol-2-yl}-meth-(Z)-ylidene]-5-(2,6-dichloro-phenylmethanesulfonyl)-l,3-dihydro-indol-2-one, 5-(2, 6-Dichloro-phenylmethanesulfonyl)-3 -[ 1 - {4-[3 -(4-hydroxy-piperidin- 1 -yl)-3-oxo-propyl] -3,5- dimethyl-pyrrol-2-y 1 } -meth-(Z)-ylidene]- 1 ,3 -dihydro-indol-2-one, 5 -[(E)-3 -Chloro-2-( 1 -chloro-vinyl)-penta-2,4-diene-l-sulfonyl] -3 -[ 1 - {4-[3 -((R)-3 -hydroxy- pyrrolidin-l-yl)-3-oxo-propyl]-3,5-dimethyl-l /J-pyrrol-2-yl}-meth-(Z)-ylidene]-l,3-dihydro-indol- 2-one,
5-(2,6-Dichloro-phenylmethanesulfonyl)-3-[l-(4-{3-[(R)-2-((R)-3-hydroxy-pyτrolidin-l-ylmethyl)- pyrrolidin-l-yl]-3-oxo-propyl}-3,5-dimethyl-lH-pyrrol-2-yl)-meth-(Z)-ylidene]-l,3-dihydro-indol-
2-one,
5 -(2, 6-Difluoro-phenylmethanesulfonyl)-3 -[ 1 -[4-((R)-3 -hydroxy-pynolidine- 1 -carbonyl)-3 ,5 - dimethyl-lH-pyrrol-2-yl]-meth-(Z)-ylidene]-l,3-dihydro-indol-2-one,
3-[l-[4-(4-Cyclopropylamino-piperidine-l-carbonyl)-3,5-dimethyl-lH-pynol-2-yl]-meth-(Z)- ylidene]-5-(2,6-difluoro-phenylmethanesulfonyl)-l,3-dihydro-indol-2-one, 3-[l-{4-[3-(4-Cyclopropylamino-piperidin-l-yl)-3-oxo-propyl]-3,5-dimethyl-17J-pyrrol-2-yl}- meth-(Z)-ylidene]-5-(2,6-dichloro-phenylmethanesulfonyl)-l,3-dihydro-indol-2-one, 5-[5-(2,6-Dichloro-phenylmethanesulfonyl)-2-oxo- 1 ,2-dihydro-indol-(3Z)-ylidenemethyl]-2,4- dimethyl-l/J-pynole-3 -carboxylic acid (2-pyrrolidin-l-yl)-amide,
5-(2,6-Dichloro-phenylmethanesulfonyl)-3-[l-[5-methyl-3((S)-2-pyrrolidin-l-ylmethyl-pyrrolidine- 1 -carbonyl)-lH-pyιτol-2-yl]-meth-(Z)-ylidene]-l ,3-dihydro- indol-2-one, 5-(2,6-Dichloro-phenylmethanesulfonyl)-3-[l-{4-[(8)-2-((S)-3-fluoro-pyrrolidin-l-ylmethyl)- pyrrolidine-l-carbonyl]-3,5-dimethyl-lH-pyrrol-2-yl}-meth-(Z)-ylidene]-l,3-dihydro-indol-2-one, 5-[5-(3,5-Dichloro-phenylmethanesulfonyl)-2-oxo-I,2-dihydro-indol-(3Z)-ylidenemethyl]-2,4- dimethyl- lH-pynole-3 -carboxylic acid,
3-[l-{4-[(Cyclopropyl-methyl-amino)-methyl]-3,5-dimethyl-lH-pyrrol-2-yl}-meth-(Z)-ylidene]-5- [2-(2-moφholin-4-yl-ethoxy)-phenylmethanesulfonyl]-l,3-dihydro-indol-2-one, 3-[l-[4-((R)-3-Hydroxy-pyrrolidine-l-carbonyl)-3,5-dimethyl-lH-pynol-2-yl]-meth-(Z)-yIidene]- 5-[2-(2-moφholin-4-yl-ethoxy)-phenylmethanesulfonyl]-l,3-dihydroindol-2-one, 3-[l-[3,5-Dimethyl-4-(4-methyl-piperazine-l-carbonyl)-lH-pyrrol-2-yl]-meth-(Z)-ylidene]-5-[2-(2- moφholin-4-yl-ethoxy)-phenylmethanesulfonyl]-l,3-dihydro-indol-2-one, 3 -[ 1 -[3 ,5 -Dimethyl -4-((R)-2-pyrrolid- 1 -ylmethyl -pyrrolidine- 1 -carbonyl)- lH-pyrrol-2-yl]-meth- (Z)-ylidene]-5-[2-(2-moφholin-4-yl-ethoxy)-phenylmethanesulfonyl]-l,3-dihydro-indol-2-one, 3-[l-[4-(4-Cyclopropylamino-piperidine-l-carbonyl)-3,5-dimethyl-lH-pyrrol-2-yl]-meth-(Z)- ylidene]-5-(3,5-dimethoxy-phenylmethanesulfonyl)-l,3-dihydro-indol-2-one, 3 -[ 1 -[4-((R)-2-Cyclopropylaminomethyl-pyrrolidine- 1 -carbonyl)-3,5 -dimethyl- lH-pyrrol-2-yl] - meth-(Z) -ylidene] -5 -(3 ,5 -dimethoxy-phenylmethanesulfonyl)- 1 , 3 -dihydro-indol-2-one, 3 -[ 1 -(4- {(R)-2-[(Cyclopropylmethyl-amino)-methyl] -pyrrolidine- 1 -carbonyl} -3 ,5 -dimethyl- 1H- pyrrol-2-yl)-meth-(Z)-ylidene]-5-(3,5-dimethoxy-phenylmethanesulfonyl)-l,3-dihydro-indol-2- one,
5-(3,5-Dimethoxy-phenylmethanesulfonyl)-3-[l-[3,5-dimethyl-4-((R)-2-pyrrolidin-l-ylmethyl- pyrrolidine-l-carbonyl)-lH-pyrrol-2-yl]-meth-(Z)-ylidene]-l,3-dihydro-indol-2-one,
3 -[ 1 -[3 ,5 -Dimethyl -4-((R)-2-pyrrolidin- 1 -ylmethyl-pyrrolidine- 1 -carbonyl)- lH-pyrrol-2-yl] -meth- (Z)-ylidene]-5-phenylmethanesulfonyl-l,3-dihydro-indol-2-one,
5-[5-(2,6-Dichloro-phenylmethanesulfonyl)-2-oxo-l,2-dihydro-indol-(3Z)-ylidenemethyl]-2,4- dimethyl- lH-pyrrole-3 -carboxylic acid cyclopropyl-(R)- 1 -pyτrolidin-2-ylmethyl-amide, 5-[5-(2,6-Dichloro-phenylmethanesulfonyl)-2-oxo-l,2-dihydro-indol-(3Z)-ylidenemethyl]-2,4- dimethyl- lH-pyrrole-3 -carboxylic acid cyclopropylmethyl-(R)- 1 -pyπolidin-2-ylmethyl-amide, 5-(2,6-Dimethoxy-phenylmethanesulfonyl)-3-[l-[3,5-dimethyl-4-((R)-2-pyrrolidin-l-ylmethyl- pyrrolidine-l-carbonyl)-lH-pyrrol-2-yl]-meth-(Z)-ylidene]-l,3-dihydro-indol-2-one, 3 -[ 1 -(4- {(R)-2-[(Cycloρropylmethyl-amino)-methyl] -pyrrolidine-1-carbonyl} -3 ,5 -dimethyl -VH- pyrrol-2-yl)-meth-(Z)-ylidene]-5-(2,6-difluoro-phenylmethanesulfonyl)-l,3-dihydro-indol-2-one, 3 -[ 1 -[4-((R)-2-Cyclopropylaminomethyl-pyrrolidine- 1 -carbonyl)-3 ,5 -dimethyl- 17/-pynol-2- yl]meth-(Z)-ylidene]-5-(2,6-difluoro-phenylmethanesulfonyl)-l,3-dihydro-indol-2-one, 3-[l-(4-{(R)-2-[(Cycloproρylmethyl-amino)-methyl]-pyrrolidine-l-carbonyl}-3,5-dimethyl-lH- pyrrol-2-yl)-meth-(Z)-ylidene]-5-(2-fluoro-phenylmethanesulfonyl)-l,3-dihydro-indol-2-one, 3-[l-[3,5-Dimethyl-4-((R)-2-pyrrolidin-l-ylmethyl-pyrrolidine-l-carbonyl)-lH- pyrrol-2-yl]-meth-(Z)-ylidene]-5-(2-fiuoro-phenylmethanesulfonyl)-l,3-dihydro-indol-2-one, 5-(2-Chloro-phenylmethanesulfonyl)-3-[l-[3,5-dimethyl-4-((R)-2-pynolidin-l-ylmethyl- pyrrolidine-l-carbonyl)-lH-pyrrol-2-yl]-meth-(Z)-ylidene]-l,3-dihydro-indol-2-one, 5-(2-Chloro-phenylmethanesulfonyl)-3-[l-[4-((R)-2-cyclopropylaminomethyl-pynolidine-l- carbonyl)-3,5-dimethyl-l/ -pyrrol-2-yl]-meth-(Z)-ylidene]-l,3-dihydro-indol-2-one,
5-(2-Chloro-phenylmethanesulfonyl)-3-[l-(4-{(R)-2-[(cyclopropylmethyl-amino)-methyl]- pyrrolidine-l-carbonyl}-3,5-dimethyl-lH-pyrrol-2-yl)-meth-(Z)-ylidene]-l,3-dihydro-indol-2-one, 5-(2-Chloro-phenylmethanesulfonyl)-3-[l-[4-(4-cyclopropylamino-piperidine-l-carbonyl)-3,5- dimethyl-lH-pyrrol-2-yl]-meth-(Z)-ylidene]-l,3-dihydro-indol-2-one, 3-[l-[4-(4-Cyclopropylamino-piperidine-l-carbonyl)-3,5-dimethyl-lH-pyrrol-2-yl]-meth-(Z)- ylidene]-5-(2-fluoro-phenylmethanesulfonyl)-l,3-dihydro-indol-2-one, 5 -(2,6-Dichloro-phenylmethanesulfonyl)-3 -[ 1 - {4-[(R)-2-((S)-2-hydroxymethyl-pyrrolidin- 1 - ylmethyl)-pyrrolidine-l-carbonyl]-3,5-dimethyl-lH-pyrrol-2-yl}-meth-(Z)-ylidene]-l,3-dihydro- indol-2-one, 3 - [ 1 - [4-(4-Ammo-pιpeπdιne- 1 -carbonyl)-3 , 5 -dimethyl- lH-pyrrol-2-yl] -meth-(Z)-yhdene] -5 -(2- fluoro-phenylmethanesuIfonyl)-l,3-dιhydro-τndol-2-one,
3-[l-[4-(4-Armno-piperidine-l-carbonyl)-3,5-dimethyl-lH-pynol-2-yl]-meth-(Z)-yhdene]-5-(2,6- dιchloro-phenylmethanesulfonyl)-l,3-dιhydro-mdol-2-one, 3-[l-[4-(4-Ammo-pιpeπdme-l-carbonyl)-3,5-dιmethyl-lH-pyrrol-2-yl]-meth-(Z)-ylιdene]-5-(2,6- difluoro-phenylmethanesulfonyl)- 1 ,3 -dιhydro-mdol-2-one,
3-[l-[4-(-4-Ammo-pιpeπdme-l-carbonyl)-3,5-dιmethyl-lH-pyrrol-2-yl]-meth-(Z)-yhdene]-5-(2- chloro-phenylmethanesulfonyl)- 1 ,3 -dιhydro-mdol-2-one,
3-[l-[4-((S)-3-Ammo-pyrrohdιne-l-carbonyl)-3,5-dιmethyl-lH-p3ττol-2-yl]-meth-(Z)-yhdene]-5- (2-fluoro-phenylmethanesulfonyl)-l,3-dιhydro-mdol-2-one,
3-[l-[4-((S)-3-Ammo-pynohdιne-l-carbonyl)-3,5-dιmethyl-lH-pyπol-2-yl]-meth-(Z)-yhdene]-5-
(2-chloro-phenylmethanesulfonyl)- 1 ,3-dιhydro-mdol-2-one,
3-[l-[4-((S)-3-Ammo-pynolιdιne-l-carbonyl)-3,5-dιmethyl-l/J-pynol-2-yl]-meth-(Z)-yhdene]-5-
(2,6-dιchloro-phenylmethanesulfonyl)-l,3-dιhydro-mdol-2-one, 3-[l-[4-((S)-3-Ammo-pyrrohdιne-l-carbonyl)-3,5-dιmethyl-lH-pyrrol-2-yl]-meth-(Z)-yhdene]-5-
(2,6-dιfluoro-phenylmethanesulfonyl)-l,3-dιhydro-mdol-2-one,
3 -[ 1 -[4-((R)-3 -Ammo-pyrrohdme- 1 -carbonyl)-3 ,5-dιmethyl- li7-pyrrol-2-yl] -meth-(Z)-yhdene] -5 -
(2,6-dιfluoro-phenylmethanesulfonyl)-l,3-dιhydro-mdol-2-one,
3 -[ 1 -[4-((R)-3 -Ammo-pyrrohdme- 1 -carbonyl)-3 ,5 -dimethyl- lH-pyπol -2 -yl] -meth-(Z)-yhdene]-5 - (2,6-dιchloro-phenylmethanesulfonyl)-l,3-dιhydro-mdol-2-one,
3-[l-[4-((R)-3-Ammo-pynohdme-l-carbonyl)-3,5-dιmethyl-lH-pyrrol-2-yl]-meth-(Z)-ylιdene]-5-
(2-ch 1 oro-phenylmethanesulfony 1 )- 1 ,3 -dιhydro-mdol-2-one,
3-[l-[4-((R)-3-Arnmo-pyrrohdιne-l-carbonyl)-3,5-dιmethyl-lH-pyrrol-2-yl]-meth-(Z)-ylιdene]-
5-(2-fluoro-phenylmethanesulfonyl)-l,3-dιhydro-mdol-2-one, (4-{3-[l-[3,5-dιmethyl-4-(4-methyl-pιperazme-l-carbonyl)-lH-pyrrol-2-yl]meth-(Z)-yhdene]-2- oxo-2, 3-dιhydro-lH-mdole-5-sulfonylmethyl}-phenyl)-acetιc acid,
3 -[ 1 -[ 1 -[3 ,5 -dimethyl -4-(4-methyl-pιperazme- 1 -carbonyl)- lH-pyrrol-2-yl] -meth-(Z)-yhdene]-5 - pentafluorophenylmethanesulfonyl-l,3-dιhydro-mdol-2-one,
2,4-dιmethyl-5-[2-oxo-5-pentafluorophenylmethanesulfonyl-l,2-dιhydro-mdol-(3Z)- yhdenemethyl]-lH-pyrrole-3 -carboxylic acid (2-dιethylamιno~ethyι)-amιde,
5-[5-(2,6-dιchloro-phenylmethanesulfonyl)-2-oxo-l,2-dιhydro-mdol-(3Z)-yhdenemethyl]-2,4- dimethyl- lH-pyπole-3 -carboxylic acid,
5-[5-(2,6-Dιchloro-phenylmethanesulfonyl)-2-oxo-l,2-dιhydro-mdol-(3Z)-yhdenemethyl]-2,4- dιmethyl-lH-pyrrole-3-carboxylιc acid (2-hydroxy-ethyl)-amιde, 5-(2,6-Dichloro-ρhenylmethanesulfonyl)-3-[l-[4-((S)-2-methoxymethyl-pyrrolidine-l-carbonyl)- 3 ,5 -dimethyl- lH-pyrrol-2-yl]-meth-(Z)-ylidene]- 1 ,3 -dihydro-indol-2-one, and 3-[(3-(2-carboxyethyl)-4-methylpyrrol-2-yl)methylene]-2-indolinone. These compounds, methods for their preparation and their biological activity are disclosed in WO 02/096361 and in Manetti and Botta, Current Pharmaceutical Design, 2003, 9, 567-581. The disclosed compounds are described as having an inhibitory effect on the tyrosine kinase activity of FGFR 1.
(k) Aryl and heteroaryl compounds of formula (XI):
Ar' - V1 or Ar2 = V2 (XI)
where Ar1 is a monocyclic or fused bicyclic, tricyclic or tetracyclic aromatic or heteroaromatic group, where the heteroaromatic group contains one or two, preferably two, heteroatoms selected from O, S and N; Ar2 is a monocyclic or fused bicyclic, tricyclic or tetracyclic arylidene or heteroarylidene group, where the heteroarylidene group contains one or two, preferably two, heteroatoms selected from O, S, and N; V1 is selected from diarylalkyl, diheteroarylalkyl, alkenyl, aryl, heteroaryl, alkoxy, aryloxy, heteroaryloxy, aralkoxy, heteroaralkoxy, SR55, -N=N-R56, NR40R41 and -(CH2)k-S(0)s-R70, where lc is 0-6 and s is 0-2; V2 is diarylal ylidene, diheteroarylallcylidene or =NR52; R40 and R41 are each independently hydrogen, allcyl, arallcyl, heteroarallcyl, aryl or heteroaryl, or together form allcylene or alkenylene; R52 is aryl, heteroaryl or NRδ0R61; R55 is allcyl, arallcyl, heteroarallcyl, aryl, heteroaryl, fhioalkyl, thioarallcyl, thioheterarallcyl, thioaryl or thioheteroaryl; R56 is selected from aryl, heteroaryl and N = heterocyclyl; R60 and R61 are each independently hydrogen, aryl heteroaryl or S(0)m-aryl or - heteroaryl, where m is 1 or 2, or together form allcylidene or cycloallcylidene; and R70 is selected from allcyl, arallcyl, heteroarallcyl, aryl and heteroaryl. In all embodiments, the aryl, heteroaryl, arylidene and heteroarylidene moieties of the compounds of formula (XI) are unsubstituted or are substituted with one or more substituents each independently selected from Z, which, as defined herein, is halogen, hydroxy, nitrile, nitro, formyl, mercapto, carboxy, hydroxysulfonyl, hydroxyphosphoryl, allcyl, haloalkyl, polyhaloallcyl, aminoallcyl, diaminoallcyl, alkenyl containing 1 to 2 double bonds, alkynyl containing 1 to 2 triple bonds, cycloallcyl, cycloallcylallcyl, aryl, heteroaryl, arylalkyl, heteroarylallcyl, allcylidene, arylallcylidene, alkylcarbonyl, arylcarbonyl, heteroarylcarbonyl, alkoxycarbonyl, alkoxycarbonylalkyl, aryloxycarbonyl, aryloxycarbonyalkyl, aminocarbonyl, alkylaminocarbonyl, dialkylammocarbonyl, arylammocarbonyl, diarylammocarbonyl, arylalkylammocarbonyl, al oxy, aryloxy, perfluoroalkoxy, alkenyloxy, allcynyloxy, arylalkoxy, ammo, aminoalkyl, allcylaminoallcyl, diallcylaminoallcyl, arylaminoalkyl, diarylammoalkyl, alkylamino, dialkylamino, arylamino, diarylammo, all ylarylam o, alkylcarbonylammo, allcoxycarbonylammo, arylcarbonylammo, aryloxycarbonylammo, azido, allcylthio, arylthio, perfluoroalkyltliio, thiocyano, isothiocyano, alkylsulfinyl, alkylsulfonyl, arylsulfinyl, arylsulfonyl, aminosulfonyl, allcylammosulfonyl, diallcylammosulfonyl, arylammosulfonyl or diarylammosulfonyl, or any two Z groups substituting adjacent atoms may form 1,3-butadιenylene, l-aza-l,3-butadιenylene or 2-aza- 1 ,3-butadιenylene In one embodiment exemplary compounds include friarylme hane derivatives of the following formulae
and pharmaceutically acceptable derivatives thereof, where.
R' and R5 are each independently selected from hydrogen, alkyl, arallcyl, heteroarallcyl, aryl, heteroaryl, C02R20, S03R20 and PO3(R20)2, or, together with R13, form oxy;
R2 and R4 are each independently hydrogen, hahde, pseudohahde, allcyl, arallcyl, heteroarallcyl, aryl or heteroaryl, or, together with R3, form allcylenylammo, R3 is hydrogen, hydroxy, thioxy, alkoxy, aryloxy, SR40 or NR40R41, or, together with R2 or R4, fonr s allcylenylammo,
R6 and R10 are each independently selected from hydrogen, hahde, pseudohahde, C02R20, S03R20 and PO3(R20)2;
R7 and R9 are each independently hydrogen, hahde, pseudohahde, alkyl, aralkyl, heteroarallcyl, aryl or heteroaryl,
R8 is hydrogen, hahde, pseudohahde, hydroxy, alkoxy, aralkoxy, heteroarallcoxy, aryloxy, heteroaryloxy, NR40R41, C02R °, PO3(R20)2 or SOnR20 where n is 0-3;
Rn is selected from hydrogen, halide and pseudohahde, or, together with X, forms alkylenylammonium;
R12 is hydrogen, halide, pseudohahde, alkyl, arallcyl, heteroarallcyl, aryl or heteroaryl, or, together with X, forms allcylenylammonium;
R13 is hydrogen, or, together with R1 or R5, forms oxy;
R14 is selected from hydrogen, alkyl, aralkyl, heteroarallcyl, aryl and heteroaryl;
X is oxy, thio, NR40 or NbR^R41, or, together with Rπ and or R12, forms alkylenylammonium;
R15 is C02R20, S03R20 or PO3(R20)2; R16 is selected from hydrogen, alkoxy, aralkoxy, heteroaralkoxy, aryloxy and heteroaryloxy;
R17 and R18 are each independently hydrogen, halide or pseudohahde;
R20 is selected from hydrogen, allcyl, arallcyl, heteroarallcyl, aryl, heteroaryl and Na; and
R40 and R4i are each independently hydrogen, allcyl, arallcyl, heteroarallcyl, aryl or heteroaryl, or together form allcylene or alkenylene. In preferred embodiments, the compounds are of fonnulae (XIa) where RbR14 and X are selected as above. In these embodiments, the compounds are diphenylmethylidene quinone methides, diphenylmethylidene thiaquinone methides, and imminium derivatives thereof. Exemplary compounds include:
2-((4-oxo-3,5-dibromo-2,5-cyclohexadien-l-ylidene)(4-hydroxy-3,5-dibromophenyl)methyl)- 3,4,5, 6-tetrabromophenyl-sulphonic acid sodium salt or tetrabromophenol blue sodium salt, ethyl 2-((4-oxo-3 , 5 -dibromo-2 , 5 -cyclohexadien- 1 -ylidene)(4-hydroxy-3 , 5 - dibromophenyl)methyl)benzoate or 3', 3", 5', 5"-tefrabromophenolphthalein ethyl ester,
2-((4-oxo-3,5-dibromo-2,5-cyclohexadiene-l-ylidene)(4-hydroxy-3,5- dibromophenyl)methyl)phenylsulfonic acid sodium salt or bromophenol blue sodium salt, 2-(9a-aza-2,3,5,7,8,9-hexahydrobenzonaphtheno[5,4-e]-3a-aza-2,3,4,5,6- pentahydrobenzonaphtheno[9,8-b]-2H-pyran-4-yl)benzene-l,3-disulfonic acid monohydrate or sulforhodamine 101 hydrate,
4-((4-(N-(3-hydroxysulfonylphenyl)methyl-N-ethyl)imminium-2-methyl-2,5-cyclohexadien-l- ylidene)(2-methyl-4-(N-(3-hydroxysulfonylphenyl)methyl-N-ethyl)aminophenyl))methyl-N-(4- ethoxyphenyl)aniline sodium salt or brilliant blue G,
4-((4-(N-(3-hydroxysulfonylphenyI)methyl-N-ethyl)-imminium-2,5-cyclohexadien-l-ylidene)(2- methyl-4-(N-(3-hydroxysulfonylphenyl)methyl-N-ethyl)aminophenyl))methyl-N-(4- ethoxyphenyl)aniline sodium salt or Coomassie brilliant blue R-250,
4-((4-(N-(4-hydroxysulfonylphenyl)methyl-N-ethyl)imminium-2-methyl-2,5-cyclohexadien-l- yhdene)(2-methyl-4-(N-(3-hydroxysulfonylphenyl)methyl-N-ethyl)ammophenyl))methyl-N-ethyl- 2-methylanιlme sodium salt or page blue G90,
2-((4-oxo-3-bromo-5-ιsopropyl-2-methyl-2,5-cyclohexadιen-l-yhdene)(3-bromo-4-hydroxy-5- ιsopropyl-2-methylphenyl)methyl)phenylsulfomc acid sodium salt or bromothymol blue sodium salt,
4-((4-ammophenyl)(4-ιmmo-2,5-cyclohexadιen-l-yhdene)methyl)-2-methylanιlme hydrochloride or fuchsme, methyl 2-benzhydrylbenzoate α,α-bιs(3,5-dιchloro-2-ethoxyphenyl)-ortho-toluenesulfomc acid sodium salt, a, α-bιs(3 ,5-dichloro-2-methoxyphenyl)-ortho-toluenesulfomc acid sodium salt. In another embodiment compounds of formula (XI) include heteroaryl compounds of the following formulae
and pharmaceutically acceptable derivatives thereof, where:
R50 is allcyl, alkenyl, aryl, heteroaryl, arallcyl, heteroarallcyl, (N-alkyl-, alkenyl-, hydroxyalkyl- or hydiOxycarbonylallcyl-heteroaryhum)allcyl, alkoxy, aryloxy, heteroaryloxy, aralkoxy, heteroaralkoxy, SR55, -N=N-R55 or NR40R41; R51 is selected from hydrogen, allcyl, alkenyl, hydroxycarbonylalkyl, hydroxyalkyl, aralkyl, heteroarallcyl, aryl and heteroaryl; n is 0 or 1;
R40 and R41 are each independently hydrogen, alkyl, arallcyl, heteroaralkyl, aryl or heteroaryl, or together form allcylene or alkenylene; R52 is selected from aryl, heteroaryl and NR60R61; R55 is allcyl, arallcyl, heteroarallcyl, aryl, heteroaryl, thioalkyl, thioaralkyl, thioheteroarallcyl, thioaryl or thioheteroaryl; R36 is aryl, heteroaryl or N=heterocyclyl;
R60 and R6' are each independently hydrogen, aryl, heteroaryl or S(0)m-aryl or -heteroaryl, where m is 1 or 2, or together form allcylidene or cycloallcylidene; R70 is allcyl, arallcyl, heteroarallcyl, aryl or heteroaryl;
R80, R81, R82 and R83 are selected as in (i) or (ii) as follows:
(i) R80, R81, R82 and R83 are selected from Z, preferably from hydrogen, allcyl, alkoxy, halide, haloallcyl and pseudohahde; or
(ii) R80 and R81, or R81 and R82, or R82 and R83 form 1,3-butadienylene, l-aza-1,3- butadienylene or 2-aza- 1,3 -butadienylene which are unsubstituted or substituted with 1,3- butadienylene, l-aza-l,3-butadienylene or 2-aza- 1,3 -butadienylene, and the others are selected as in (i); lc is 0-6; and s is 0-2. Preferred compounds include: N-ethyl-2-(2-(4-dimethylaminophenyl)ethenyl)naphtho[2,l-d]thiazolium iodide, 3,3'- dioctadecyloxacarbocyanine perchlorate, N-ethyl-2-(2-ethyl-3-(N-ethylnaphtho[l,2-d]thiazolidin- 2-ylidene)propenyl)naphtho[l,2-d]thiazolium bromide, N,N'-dioctadecyloxacarbocyanine para- toluenesulfonate, 2-(2-acetanilinovinyl)-3-ethylbenzothiazolium iodide, 3-methyl-2-((3-methyl-2- benzothiazolinylidene)aminoazo)benzothiazolium tefrafluoroborate, 5-chloro-N-ethyl-2-(2-(5-(2- (5-chloro-N-ethylbenzothiazolin-2-ylidene)ethylidenyl)-l-diphenylamino-l-cyclopenten-2- yl)ethenyl)benzo-thiazolium perchlorate, N-ethyl-2-(2-hydroxypropen- 1 -yljbenzothiazolium- chloride, 3,6-dimethyl-2-(4-dimethylaminophenyl)benzothiazolium bromide, N-ethyl-2-(2-methyl- 3-(N-ethylnaphtho[l,2-d]thiazolidin-2-ylidene)proρenyl)naphtho[l,2-d]thiazolium bromide, 2-(4- dimethylamino)-styryl)-3-ethylbenzothiazolium iodide, N-methyl-2-((N,N'- dimethylbenzimidazolin-2-ylidene)aminoazo)benzothiazolium perchlorate, l-ethyl-2-(3-(N,N'- diethyl-5-cyanobenzimidazolin-2-ylidene)propenyl)-3-(4-hydroxysulfonyl-l-butyl)benzimidazole, 2-(3-ethoxy-lH-phenalen-l-ylidenemethyl)-3-ethylbenzothiazolium tefrafluoroborate, 3,3'-diethyl- 9-methylthiacarbocyanine iodide, 3,3'-diethylthiacarbocyanine iodide, 3,3'- diethylthiadicarbocyanine iodide, 3-methyl-2-bromothiazoIinone (l,2-dihydro-2-imino-l- naphthylidene)hydrazone hydroiodide, 2-(4-phenylaminoρhenylazo)-N-methylbenzothiazolium iodide, 2-(pentamethylphenyl)methylthiobenzothiazole, 2-(4-( bis (2- hydroxyethyl)amino)phenylazo)-7-methoxybenzothiazole, 2-phenyl methoxybenzothiazole, 2-(4- (3-(4-(N-benzothiazol-2-yl)piperidinyl)propyl)piperidinyl)benzothiazole, 2-(2-(4-methylphenyl- sulfonyl)aminophenyl)naphtho[2,3-d]oxazole, bis(2-benzothiazolyl)disulfide, 3,3'-di(2-propen-l- yl)thiacarbocyanine iodide, dipropylthiadicarbocyanine iodide, 2-(6-amino-l,4-dihydro-3-cyano-4- (4-cyanophenyl)-benzothiazolin[2,3-a]pyridin-5-yl)benzothiazole), 4-nitrophenylazobenzoyl N- methylbenzothiazolidinone hydrazine bishydrazone, 2-imino-5,6-benzo-3-cyclohexenone N- methylbenzothiazolidinone hydrazine bishydrazone, N-ethylbenzothiazolidinone 4- dimethylaminophenylimine, 3,4-propylenylbenzaldehyde N-methylbenzothiazolidinone hydrazine bishydrazone, 3-aminoacetophenone N-methylbenzothiazolidinone hydrazine bishydrazone, 4- dimethylaminobenzaldehyde N-methylbenzo-thiazolidinone hydrazine bishydrazone, N- methylbenzothiazolidinone 2-nitrophenylsulfonylhydrazone, 2-(3- trifluoromethylphenylthiomethyl)-4,5,6,7-tefrafluorobenz[d]oxazole, 2-(4- chlorophenylsulfonylmethyl)-4,5,6,7-tetrafluorobenz[d]oxazole and 2-(4- methoxyphenylthiomethyl)-4,5,6,7-tefrafluorobenz[d]oxazole. These compounds, methods for their preparation and their biological activity are disclosed in WO 00/30632. The disclosed compounds are described as antagonists of FGF.
(1) 8-prenylflavonones of formula (XII):
R, designates a hydrogen atom, a hydroxyl group in position 2', 3', or 4', a methoxy group in position 2', 3' or 4' or an ethoxy group in position 3' or 4', R2 designates a hydrogen atom, a hydroxyl group in position 3', 4', 5' or 6', a methoxy group in position 3' or 4' or an ethoxy group in position 5',
R3 designates a hydrogen atom, a hydroxyl group in position 4', 5' or 6' or a methoxy group in position 4', 5' or 6',
R4 designates a hydrogen atom or a hydroxyl group.
Preferably the compound of formula (XII) is 8-prenymaringenin in which Ri, R2 and R4 are hydrogen and R3 is a 4 '-hydroxyl group. These compounds, methods for preparing them and their biological activity are described in EP 1360959. These compounds are described as having an inhibitory effect on FGF-2 and VEGF.
(m) tetrahydropyridizines and tetrahydropyridizin-3-ones of formulae (XIII):
in which
B is an aromatic heterocycle having 1 to 4 N, O and/or S atoms, bonded via N or C, which can be unsubstituted or mono-, di- or tri-substituted by Hal, A and or OA, and can also be fused to a benzene or pyridine ring,
Q is absent or is allcylene having 1 -6 C atoms,
X is CH2, S or O,
R1 and R2 in each case independently of one another are H or A, R3 and R4 in each case independently of one another are -OH, OR5, -SR5, -SOR5, -S02R5,
R5, Hal, methylenedioxy, -N02, -NH2, -NHR5 OR -NR5R6,
R5 and R6 in each case independent of one another are A, cycloallcyl having 3-7 C atoms, mefhylenecycloalkyl having 4-8 C atoms or alkenyl having 2-8 C atoms,
A is allcyl having 1 to 10 C atoms, which can be substituted by 1 to 5 F and/or CI atoms, and Hal is F, CI, Br or l and their stereoisomers and physiologically acceptable, salts and solvates;
B is a phenyl ring which is unsubstituted or mono- or polysubstituted by R3, Q is absent or is allcylene having 1-4 C atoms, R1 and R2 each independently of one another are -OR4, -SR4, -SOR4, -S02R4 or Hal, or R1 and R2 together may form -0-CH2-0-,
R3 is R4, Hal, OH, OR4, OPh, N02, NHR4, N(R4)2, NHCOR4, NHS02R4 or NHCOOR4, R4 is A, cycloallcyl having 3-7 C atoms, allcylenecycloallcyl having 5-10 C atoms or alkenyl having 2-8 C atoms, A is allcyl having 1 to 10 C atoms, which can be substituted by 1 to 5 F and/or CI atoms, and Hal is F, CI, Br or I and their physiologically acceptable, salts and solvates;
in which R' and R' in each case independently of one another are -OR, OR5, -S-Rp -SO-R\ -S02-R5 or Hal, or
R1 and R2 together may form -0-CH2-0-,
R3 is NH2, NHA, NAA' or a saturated heterocycle having 1 to 4 N, O and/or S atoms which can be unsubstituted or mono-, di- or tri-substituted by Hal, A and/or OA Q is absent or is branched or unbranched allcylene having 1-10 C atoms,
R5 is A, cycloallcyl having 3-7 C atoms, allcylenecycloallcyl having 4-8 C atoms or alkenyl having
2-8 C atoms,
A and A' in each case independently of one another are alkyl which has 1 to 10 C atoms and which can be substituted by 1 to 5 F and/or CI atoms, and Hal is F, CI, Br or I, and the physiologically acceptable salts and solvates thereof;
in which
B is A, OA, NH2, NHA, NAA' or an unsaturated heterocycle which has 1 to 4 N, O and/or S atoms and which can be unsubstituted or mono- di- or tri-substituted by Hal, A and/or OA,
Q is absent or is allcylene having 1-6 C atoms,
R' and R2 in each case independently of one another are -OH, OR5, -SR5, -SOR5, -S02R5, Hal, - N02, -NH2, -NHR5 or -NR5R6, or R1 and R2 together are also -0-CH2-0-,
R3 and R4 in each case independently of one another are H or A,
R5 and Rδ in each case independently of one another are A, cycloallcyl having 3-7 C atoms, methylenecycloalkyl having 4-8 C atoms or alkenyl having 2-8 C atoms,
A and A1 in each case independently of one another are alkyl which has 1 to 10 C atoms and which can be substituted by 1 to 5 F and/or CI atoms, and
Hal is F, CI, Br or I, and the stereoisomers and physiologically acceptable salts and solvates thereof;
in which
R and R in each case independently of one another are H or A, R3 and R4 in each case independently of one another are -OH, OA, -SA, -SOA, -S02A, Hal, methylenedioxy, -N02, -NH2, -NHA or -NAA',
A and A' in each case independently of one another are allcyl having 1 to 10 C-atoms, and which can be substituted by 1 to 5 F and/or CI atoms, cycloallcyl having 3-7 C atoms or methylenecycloalkyl having 4-8 atoms,
B is -Y-R5,
Q is absent or is allcylene having 1-4 C atoms,
Y is absent or is allcylene having 1-10 C atoms,
X is CH2 or S,
R5 is NH2, NHA, NAA' or is a saturated 3-8 membered heterocycle having at least one N atom, and wherein other CH2 groups optionally may be replaced by NH, NA, S or O, which can be unsubstituted or monosubstituted by A or OH,
Hal is F, CI, Br or I
in which
R1 and R2 in each case independently of one another are H, OH, OA, SA, SOA, S02A, F, CI or
A'2N-(CH2)n-0-, R1 and R2 may also form -0-CH2-0-, R3 and R4 in each case independently of one another are H, A, Hal, OH, OA, N02, NHA, NA2, CN,
COOH, COOA, NHCOA, NHS02A orNHCOOA,
R5 and R6 in each case independently of one another are H or allcyl having 1 to 6 C atoms,
A is allcyl having 1 to 10 C atoms, which can be substituted by 1 to 5 F and/or CI atoms, is cycloallcyl having 3-7 C atoms, allcylenecycloallcyl having 5-10 C atoms or alkenyl having 2-8 C atoms,
A' is allcyl having 1, 2, 3, 4, 5 or 6 C atoms, n is 1, 2, 3 or 4,
Hal is F, CI, Br or I, and their physiologically acceptable salts and solvates;
in which R1 and R2 in each case independently of one another are H or A,
R3 and R4 in each case independently of one another are -OH, -OR10, -SR10, -SOR10, -S02R10, Hal, methylenedioxy, -N02, -NH2, -NHR10 or -NR10RU,
R5 is a phenyl radical which is unsubstituted or mono- or disubstituted by R6 and or R7,
Q is absent or is allcylene having 1-6 C atoms, R6 and R7 in each case independently of one another are -NH2, -NR8R9, -NHR10, -NR10Rπ, -N02,
Hal, -CN, -OA, -COOH or -COOA,
R8 and R9 in each case independently of one another are H, acyl having 1-8 C atoms which can be substituted by 1-5 F and/or CI atoms, -COOA, -S-A, -SO-A, -S02A, -CONH,, -CONHA, -CONA2,
-CO-COOH, -CO-COO A, -CO-CONH2, -CO-CONHA or -CO-CONA2, A is allcyl having 1 to 6 C atoms which can be substituted by 1-5 F and or CI atoms,
R'° and R" in each case independently of one another are A, cycloallcyl having 3-7 C atoms, mefhylenecycloalkyl having 4-8 C atoms or alkenyl having 2-8 C-atoms, and
Hal is F, Ch Br or l, and their physiologically acceptable salts and solvates;
R1 and R2 in each case independently of one another are H or A,
R3 and R4 in each case independently of one another are -OH, -OR10, -SR10, -S02R10, Hal, methylenedioxy, -N02, -NH2, -NHR10 or -NR10Rn,
R5 is a phenyl radical which is unsubstituted or mono- or disubstituted by R6 and/or R7,
Q is absent or is allcylene having 1-6 C atoms,
R6 and R7 in each case independently of one another are -NH2, -NR8R9, -NHR10, -NR10Rn, -N02,
Hal, -CN, OA, -COOH or -COOA,
R8 and R9 in each case independently of one another are H, acyl having 1-8 C atoms which can be substituted by 1-5 F and/or CI atoms, -COOA, -SO-A, -S02A, -CONH2, -CONHA, -CONA2, -CO-
COOH, -CO-COOA, -CO-CONH2, -CO-CONHA or -CO-CONA2,
A is allcyl having 1 to 6 C atoms which can be substituted by 1-5 F and/or CI atoms,
R10 and R11 in each case independently of one another are A, cycloallcyl having 3-7 C atoms, methylenecycloalkyl having 4-8 C atoms or alkenyl having 2-8 C-atoms, and
Hal is F, CI, Br or I, and their physiologically acceptable salts and solvates;
(Xllli)
R1 and R2 in each case independently of one another are H or A,
R3 and R4 in each case independently of one another are OH, OA, SA, SOA, -S02A, Hal, methylenedioxy, cycloallcyloxy with 3-7 C-atoms or 0-CmH2m+ι-kFk,
R5 is -NR6R7 or -N (CH2)n,
wherein one CH2-group may be replaced by oxygen,
R6 and R7 in each case independently of one another are H or A,
Q is allcylene with 1-6 C-atoms,
A is allcyl with 1-6 C-atoms, Hal is F, CI, Br or I, m is 1, 2, 3, 4, 5 or 6, n is 3, 4, 5 or 6, lc is 1 , 2, 3, 4, 5, 6, 7, 8, 9, 10, 11, 12 or 13, and their physiologically acceptable salts and solvates;
(XIIIj)
in which R
1 and R
2 in each case independently of one another are H or A, R
3 is H, OA or 0-C
mH
2m+1.
nX,„
X is F or CI,
A is allcyl with 1-6 C-atoms, m is 1, 2, 3, 4, 5 or 6 and n is 1, 2, 3, 4, 5, 6, 7, 8, 9, 10, 11, 12 or 13 and their physiologically acceptable salts and solvates.
in which R
1 and R
2 in each case independently of one another are H, OH, OR
5, -SR
5, -SOR
5, -S0
2R
5 or Hal, or
R1 and R2 together may form -OCH20- or -OCH2CH20-,
R3 and R3' in each case independently of one another are H, R5, OH, OR5, NH2, NHR5, NAA'
NHCOR5, NHCOOR5, Hal, COOH, COOR5, CONH2, CONHR5 orCONR5A',
R5 is A or cycloallcyl with 3 to 6 C-atoms, which can be substituted by 1 to 5 F and/or CI atoms, or -(CH2)„-Ar, A and A' in each case independently of one another are alkyl with 1 to 10 C-atoms or are alkenyl with 2 to 8 C-atoms, which can be substituted by 1 to 5 F and/or CI atoms, or
A and A' together are also cycloallcyl or cycloallcylene with 3 to 7 C-atoms, wherein one CH2 group can be replaced by O, NH, NA, NCOA or NCOOA, Ar is phenyl, n is 0, 1 or 2,
Hal is F, CI, Br or I and their pharmaceutically useable derivatives, solvates and stereoisomers, including mixtures thereof in all ratios. Also compounds:
1 -(4-ureidobenzoyl)-3 -(3 -ethoxy-4-methoxyphenyl)- 1 ,4,5 ,6-tetrahydropyridazine, l-(4-nicotinoylaminobenzoyl)-3-(3-ρropoxy-4-methoxyphenyl)-l,4,5,6-tetτahydropyridazine, l-(4-trifluoroacetamideobenzoyl)-3-(3-ethoxy-4-methoxyphenyl)-l,4,5,6-tetrahydropyridazine,
1 -(4-ethoxycarbonylaminobenzoyl)-3 -(3 -ρropoxy-4-methoxyphenyl)- 1 ,4,5 ,6-tetrahydropyridazine, 1 -(4-isopropoxycarbonylaminobenzoyl)-3 -(3 -ethoxy-4-methoxyphenyl)- 1 ,4,5 ,6- tetrahydropyridazine, l-(4-propoxycarbonylaminobenzoyl)-3-(3,4-dimethoxyphenyl)-4-ethyl-l,4,5,6- tetrahydropyridazine, l-(4-ethoxycarbonylaminobenzoyl)-3-(3,4-dimethoxyphenyl)-4-ethyl-l,4,5,6-tefrahydropyridazine and
1 -(4-acetamidobenzoyl)-3 -(3 ,4-dimethoxyphenyl)-4-ethyl- 1 ,4,5 ,6-tetrahydropyridazine, and their physiologically acceptable salts and solvates; Exemplary compounds include:
2-(4-nicotinoylaminobenzyl)-6-(3 -methoxy-4-frifluoromethoxyphenyl)-5 -ethyl -2,3 ,4,5 - tetrahydropyridazin-3-one,
2-(4-nicotinoylaminobenzyl)-6-(3-methoxy-4-difluoromethoxyphenyl)-5-ethyl-2,3,4,5- tetrahydropyridazin-3 -one,
2-(4-nicotinoylaminobenzyl)-6-(3-methoxy-4-fluoromethoxyphenyl)-5-ethyl-2,3,4,5- tefrahydropyridazin-3 -one, 2-(4-nicotinoylaminobenzyl)-6-(3-difluoromethoxy-4-methoxyphenyl)-5 -ethyl -2,3, 4,5- tetrahydropyridazin-3 -one,
2-(4-nicotinoylaminobenzyl)-6-(3-frifluoromethoxy-4-methoxyphenyl)-5-ethyl-2,3,4,5- tetrahydropyridazin-3 -one, 2-(4-nicotinoylaminobenzyl)-6-(3-fluoromethoxy-4-methoxyphenyl)-5-ethyl-2,3,4,5- tetrahydropyridazin-3 -one,
2-(4-nicotinoylaminobenzyl)-6-(3-methoxy-4-ethoxyphenyl)-5-ethyl-2,3,4,5-tefrahydropyridazin-
3 -one, 2-(4-nicotinoylaminobenzyl)-6-(3-ethoxy-4-methoxyphenyl)-5-ethyl-2,3,4,5-tefrahydropyridazin-
3 -one,
2-(4-nicotinoylaminobenzyl)-6-(3-hydroxy-4-methoxyphenyl)-5-ethyl-2,3,4,5-tetrahydropyridazm-
3-one,
2-(4-nicotinoylaminobenzyl)-6-(4-methylsulfonylphenyl)-5-ethyl-2,3,4,5-tefrahydropyridazin-3- one,
2-(4-nicotinoylaminobenzyl)-6-(4-methyleneoxyphenyl)-5-ethyl-2,3,4,5-tefrahydropyridazin-3- one,
2-(4-nicotinoylaminobenzyl)-6-(3-cyclopentyloxy-4-methoxyphenyl)-5-ethyl-2,3,4,5- tetrahydropyri dazin-3 -one, 2-(3-nicotinoylaminobenzyl)-6-(3-cyclopentyloxy-4-methoxyphenyl)-5-ethyl-2,3,4,5- tetrahydropyridazin-3 -one,
2-(4-nicotinoylaminophenethyl)-6-(3,4-dimethoxyphenyl)-2,3,4,5-tetrahydropyridazin-3-one,
2-(4-nicotinoylaminophenethyl)-6-(3 ,4-dimethoxyphenyl)-5-ethyl-2,3 ,4,5-tetrahydropyridazin-3 - one, 3-(4-nicotinoylaminobenzyl)-5-(3,4-dimethoxyphenyl)-3,6-dihydro-l,3,4-thiadiazin-2-one,
3 -(3 -nicotinoylaminobenzyl)-5 -(3 ,4-dimethoxyphenyl)-3 ,6-dihydro- 1 ,3 ,4-thiadiazin-2-one,
3 -(2 -ni cotinoylaminobenzyl)-5 -(3 ,4-dimethoxyphenyl)-3 , 6-dihydro- 1 , 3 ,4-fhiadiazin-2-one,
3-(4-nicotinoylaminobenzyl)-5-(3,4-dimethoxyphenyl)-6-ethyl-3,6-dihydro-l,3,4-thiadiazin-2-one,
3 -(3 -nicotinoylaminobenzyl)-5 -(3 ,4-dimethoxyphenyl)-6-ethyl-3 ,6-dihydro- 1 ,3 ,4-thiadiazin-2-one, 3-(2-nicotinoylaminobenzyl)-5-(3,4-dimethoxyphenyl)-6-ethyl-3,6-dihydro-l,3,4-thiadiazin-2-one,
3 -(4-nicotinoylaminobenzyl)-5 -(3 -methoxy-4-trifluoromethoxyphenyl)-6-ethyl-3 ,6-dihydro- 1,3,4- fhiadiazin-2-one,
3-(4-nicotinoylaminobenzyl)-5-(3-methoxy-4-difluoromethoxyphenyl)-6-ethyl-3,6-dihydro-l,3,4- thiadiazin-2-one, 3-(4-nicotinoylaminobenzyl)-5 -(3 -methoxy-4-fluoromethoxyphenyl)-6-ethyl-3 ,6-dihydro- 1 ,3 ,4- thiadiazin-2-one,
3 -(4-nicotinoylaminobenzyl)-5 -(3 -difluoromethoxy-4-methoxyphenyl)-6-ethyl-3 ,6-dihydro- 1,3,4- thiadiazin-2-one, 3-(4-nιcotιnoylammobenzyl)-5-(3-tπfluoromethoxy-4-methoxyphenyl)-6-ethyl-3,6-dιhydro-l,3,4- thιadιazm-2-one,
3 -(4-mcotιnoylammobenzyl)-5 -(3 -fluoromethoxy-4-methoxyphenyl)-6-ethyl-3 ,6-dihydro- 1,3,4- thιadιazm-2-one, 3 -(4-mcotιnoylamιnobenzyl)-5 -(3 -methoxy-4-ethoxyphenyl)-6-ethyl-3 ,6-dihydro- 1 ,3 ,4-thιadιazm-
2-one,
3-(4-mcotιnoylammobenzyl)-5-(3-ethoxy-4-methoxyphenyl)-6-ethyl-3,6-dιhydro-l,3,4-thιadιazm-
2-one,
3 -(4-mcotmoylamιnobenzyl)-5 -(3 -ethoxy-4-methoxyphenyl)-3 ,6-dιhydro-l ,3 ,4-thιadιazιn-2-one, 3-(4-nιcotmoylammobenzyl)-5-(3-hydroxy-4-methoxyphenyl)-6-ethyl-3,6-dιhydro- 1,3,4- thιadιazm-2-one,
3-(4-nιcotmoylamιnobenzyl)-5-(4-methylsulfonylphenyl)-6-ethyl-3,6-dιhydro-l,3,4-thιadιazιn-2- one,
3 -(4-mcotmoylammobenzyl)-5 -(4-methyleneoxyphenyl)-6-ethyl-3 ,6-dihydro- 1 ,3 ,4-thιadιazιn-2- one,
3 -(4-nιcotmoylammobenzyl)-5 -(3 -cyclopentyloxy-4-methoxyphenyl)-6-ethyl-3 ,6-dihydro- 1,3,4- thιadιazm-2 -one,
3-(3-nιcotιnoylammobenzyl)-5-(3-cyclopentyloxy-4-methoxyphenyl)-6-ethyl-3,6-dιhydro-l,3,4- thιadιazm-2-one, 3 -(4-nιcotinoylammophenethyl)-5-(3 ,4-dιmethoxyphenyl)-3 ,6-dihydro- 1 ,3 ,4-thιadιazm-2-one,
3 -(4-mcotmoylammophenethyl)-5 -(3 ,4-dιmethoxyphenyl)-6-ethyl-3 ,6-dihydro- 1 ,3 ,4-thιadιazm-2- one,
3-(4-nιcotmoylammobenzyl)-5-(3,4-dιmethoxyphenyl)-3,6-dιhydro-l,3,4-oxadιazm-2-one,
3 -(3 -nicotmoylammobenzyl)-5 -(3 ,4-dιmethoxyphenyl)-3 ,6-dihydro- 1 ,3 ,4-oxadιazm-2-one, 3-(2-nιcotιnoylamιnobenzyl)-5-(3,4-dιmethoxyphenyl)-3,6-dιhydro-l,3,4-oxadιazm-2-one,
3 -(4-nιcotmoylamιnobenzyl)-5 -(3 ,4-dιmethoxypheny 1 )-6-ethyl-3 ,6-dihydro- 1 ,3 ,4-oxadιazm-2-one,
3 -(3 -nιcotmoylamιnobenzyι)-5 -(3 ,4-dιmethoxyphenyl)-6-ethyl-3 ,6-dihydro- 1 ,3 ,4-oxadιazm-2-one,
3-(2-nιcotmoylammobenzyl)-5-(3,4-dιmethoxyphenyl)-6-ethyl-3,6-dιhydro-l,3,4-oxadιazιn-2-one,
3 -(4-nιcotmoylammobenzyl)-5 -(3 -methoxy-4-tπfluoromethoxyphenyl)-6-ethyl-3 ,6-dihydro- 1 ,3 ,4- oxadιazm-2-one,
3 -(4-nιcotmoylammobenzyl)-5-(3 -methoxy-4-dιfluoromethoxyphenyl)-6-ethyl-3 ,6-dihydro- 1,3,4- oxadιazm-2-one,
3-(4-nιcotmoylamιnobenzyl)-5-(3-methoxy-4-fluoromethoxyphenyl)-6-ethyl-3,6-dιhydro-l,3,4- oxadιazm-2-one, 3-(4-nicotinoylaminobenzyl)-5-(3-difluoromethoxy-4-methoxyphenyl)-6-ethyl-3,6-dihydro-l,3,4- oxadiazin-2-one,
3 -(4-nicotinoylaminobenzyl)-5 -(3 -trifluoromethoxy-4-methoxyphenyl)-6-ethyl-3 ,6-dihydro- 1,3,4- oxadiazin-2-one, 3 -(4-nicotinoylaminobenzyl)-5-(3 -fluoromethoxy-4-methoxyphenyl)-6-ethyl-3 ,6-dihydro- 1,3,4- oxadiazin-2-one,
3-(4-nicotinoylaminobenzyl)-5-(3-methoxy-4-ethoxyphenyl)-6-ethyl-3,6-dihydro-l,3,4-oxadiazin-
2-one,
3-(4-nicotinoylaminobenzyl)-5-(3-ethoxy-4-methoxyphenyl)-6-ethyl-3,6-dihydro-l,3,4-oxadiazin- 2-one,
3 -(4-nicotinoylaminobenzyl)-5 -(3 -hydroxy-4-methoxyphenyl)-6-ethyl-3 ,6-dihydro- 1 ,3 ,4- oxadiazin-2-one,
3-(4-nicotinoylaminobenzyl)-5-(4-methylisulfonylphenyl)-6-ethyl-3,6-dihydro-l,3,4-oxadiazin-2- one, 3-(4-nicotinoylaminobenzyl)-5-(4-methyleneoxyphenyl)-6-ethyl-3,6-dihydro-l,3,4-oxadiazin-2- one,
3 -(4-nicotinoylaminobenzyl)-5 -(3 -cyclopentyloxy-4-methoxyphenyl)-6-ethyl-3 ,6-dihydro-l ,3,4- oxadiazin-2-one,
3-(3-nicotinoylaminobenzyl)-5-(3-cyclopentyloxy-4-methoxyphenyl)-6-ethyl-3,6-dihydro-l,3,4- oxadiazin-2-one,
3 -(4-nicotinoylaminophenethyl)-5 -(3 ,4-dimethoxyphenyl)-3 ,6-dihydro-l ,3 ,4-oxadiazin-2 -one,
3-(4-nicotinoylaminophenethyl)-5 -(3 ,4-dimethoxyphenyl)-6-ethyl-3 ,6-dihydro- 1 ,3 ,4-oxadiazin-2- one,
2-(3-nicotinoylaminobenzyl)-6-(3-ethoxy-4-methoxyphenyl)-2,3,4,5-tetrahydropyridazin-3-one, 2-(4-isonicotinoylaminobenzyl)-6-(3-ethoxy-4-methoxyphenyl)-2,3,4,5-tetrahydropyridazin-3-one,
2-(4-pyrazinecarbonylaminobenzyl)-6-(3-ethoxy-4-methoxyphenyl)-2,3,4,5-tefrahydropyridazin-3- one,
2-(4-(isoxazole-5-carbonylamino)benzyl)-6-(3-ethoxy-4-methoxyphenyl)-2,3,4,5- tetrahydropyridazin-3 -one, 2-(4-nicotinoylaminobenzyl)-6-(3-cyclopentyloxy-4-methoxyphenyl)-2,3,4,5-tefrahydropyridazin-
3-one,
2-(4-nicotinoylaminobenzyl)-6-(3 ,4-dimethoxyphenyl)-2,3 ,4,5 -tefrahydroρyridazin-3 -one, hydrochloride, N-(3 -(3 -ethoxy-4-methoxyphenyl)- 1 ,4,5,6-tetrahydropyridazin- 1 -ylcarbonyl)phenyl)-4- methoxybenzoyl-3 -carboxamide,
N-(3-(3-ethoxy-4-methoxyphenyl)-l,4,5,6-tetrahydropyridazin-l-ylcarbonyl)phenyl)-4- methylbenzoyl-3 -carboxamide, N-(3-(3-ethoxy-4-methoxyphenyl)-l,4,5,6-tetrahydropyridazin-l-ylcarbonyl)phenyl)benzoyl-3- carboxamide,
N-(3-(3-ethoxy-4-methoxyphenyl)- 1 ,4,5,6-tetrahydropyridazin-l -ylcarbonyl)phenyl-3,4- dichlorobenzoyl-3 -carboxamide,
N-(3 -(3-ethoxy-4-methoxyphenyl)- 1 ,4,5,6-tetrahydropyridazin-l -ylcarbonyl)phenyl)-4- trifIuoromethyIbenzoyl-3 -carboxamide,
N-(3 -(3 -ethoxy-4-methoxyphenyl)- 1 ,4,5 ,6-tetrahydropyridazin- 1 -ylcarbonyl)phenyl)-3 - chlorobenzoyl-3 -carboxamide,
N-(3 -(3 -ethoxy-4-methoxyphenyl)- 1 ,4,5,6-tetrahydropyridazin- 1 -ylcarbonyl)phenyl)-4- fluorobenzoyl-3 -carboxamide, N-(3-(3-ethoxy-4-methoxyphenyl)-l,4,5,6-tetrahydropyridazin-l-ylcarbonyl)phenyl)-4- butoxybenzoyl-3 -carboxamide,
N-(3-(3-ethoxy-4-methoxyphenyl)-l,4,5,6-tetrahydropyridazin-l-ylcarbonyl)phenyl)-4- pentoxybenzoyl-3 -carboxamide,
N-(3-(3-ethoxy-4-methoxyphenyl)-l,4,5,6-tefrahydropyridazin-l-ylcarbonyl)phenyl)-4- ethoxybenzoyl-3 -carboxamide,
N-(3 -(3 -ethoxy-4-methoxyphenyl)- 1 ,4,5 ,6-tetrahydropyridazin- 1 -ylcarbonyl)phenyl)-3 ,4- dimethoxybenzoyl-3 -carboxamide,
N-(3-(3-ethoxy-4-methoxyphenyl)-l,4,5,6-tetrahydropyridazin-l-ylcarbonyl)phenyl)-3- methylbenzoyl-3 -carboxamide, N-(3-(3-ethoxy-4-methoxyphenyl)-l,4,5,6-tefrahydropyridazin-l-ylcarbonyl)phenyl)-3- methoxybenzoyl-3 -carboxamide,
3-dimethylaminopropyl{4-[3-(3-ethoxy-4-methoxyphenyl)-l,2,3,4-tetrahydropyridazin-l- ylcarbonyl]phenyl } carbamate,
N-methyl piperidin-4-yl- {4-[3 -(3 -ethoxy-4-methoxyphenyl)- 1 ,2,3 ,4-tetrahydropyridazin- 1 - ylcarbonyl]phenyl} carbamate,
3 -dimethylaminopropyl {4-[3 -(3 -isopropoxy-4-methoxyphenyl)- 1 ,2,3 ,4-tetrahydropyridazin- 1 - ylcarbonyljphenyl} carbamate,
3-dimethylaminopropyl{3-[3-(3-ethoxy-4-methoxyphenyl)-l,2,3,4-tetrahydropyridazin-l- ylcarbonyljphenyl } carbamate, 3 -dimethylaminopropyl { 3 -[3 -(3 -cyclopentyloxy-4-methoxyphenyl)- 1,2,3 ,4-tetrahydropyridazin- 1 - yIcarbonyl]phenyl}carbamate,
N-methyl piperidin-4-yl- {3 [3 -(3 -cyclopentyloxy-4-methoxyphenyl)- 1 ,2,3 ,4-tetrahydropyridazin- 1 - ylcarbonyl]phenyl} carbamate, 3 -dimethylaminopropyl {3 -[3 -(3 -propyloxy-4-methoxyphenyl)- 1 ,2,3 ,4-tetrahydropyridazin- 1 - ylcarbonyljphenyl} carbamate,
3 -dimethylaminopropyl {4-[3-(3,4-diethoxyphenyl)-l ,2,3,4-tetrahydropyridazin-l - ylcarbonyl]phenyl } carbamate,
N-methylpiperidin-4-yl-{4-[3-(3,4-diethoxyphenyl)-l,2,3,4-tefrahydropyridazin-l- ylcarbonyljphenyl} carbamate,
3-dimethylaminopropyl{3-[3-(3,4-dimethoxyphenyl)-l,2,3,4-tefrahydropyridazin-l- ylcarbonyljphenyl } carbamate
3 -dimethylaminopropyl {4- [3 -(3 ,4-dimethoxyphenyl)- 1,2,3 ,4-tetrahydropyridazin- 1 - ylcarbonyljphenyl} carbamate, 1 -(4-nicotinoylaminobenzoyl)-3 -(3 ,4-dimethoxyphenyl)- 1 ,4,5,6-tetrahydropyridazine,
1 -(3 -nicotinoylaminobenzoyl)-3 -(3 ,4-dimethoxyphenyl)- 1 ,4,5 ,6-tefrahydropyridazine hydrochloride,
1 -(2-nicotinoylaminobenzoyl)-3 -(3 ,4-dimethoxyphenyl)- 1 ,4,5,6-tetrahydropyridazine,
1 -(4-nicotinoylaminobenzoyl)-3 -(3 -ethoxy-4-methoxyphenyl)- 1 ,4,5 ,6-tetrahydropyridazine, 1 -(3 -nicotinoylaminobenzoyl)-3 -(3 -ethoxy-4-methoxyphenyl)- 1 ,4,5 , 6-tefrahydropyridazine,
1 -(4-nicotinoylaminobenzoyl)-3 -(3 -cyclopentyloxy-4-methoxyphenyl)- 1 ,4,5,6- tetrahydropyridazine, l-(3-nicotinoylaminobenzoyl)-3-(3-cyclopentyloxy-4-methoxyphenyl)-l, 4,5,6- tetrahydropyridazine, l-(4-nicotinoylaminobenzoyl)-3-(3,4-methylenedioxyphenyl)-l,4,5, 6-tefrahydropyridazine, l-(4-nicotinoylaminobenzoyl)-3-(3-methoxy-4-methylsulfonylphenyl)-l,4,5,6-tetrahydro- pyridazine, l-(4-nicotinoylaminobenzoyl)-3-(3-trifluoromethoxy-4-methoxyphenyl)-l, 4,5,6- tetrahydropyridazine, 1 -(4-ethoxy-carbonylaminobenzoyl)-3 -(3 ,4-dimethoxyphenyl)- 1 ,4,5 ,6-tetrahydropyridazine,
1 -(3 -ethoxycarbonylaminobenzoyl)-3 -(3 ,4-dimethoxyphenyl)- 1 ,4,5,6-tetrahydropyridazine, l-(2-ethoxycarbonylaminobenzoyl)-3-(3,4-dimethoxyphenyl)-l,4,5,6-tetrahydropyridazine, l-(4-ethoxycarbonylaminobenzoyl)-3-(3-ethoxy-4-methoxyphenyl)-l,4,5,6-tetrahydropyridazine,
1 -(3 -ethoxycarbonylaminobenzoyl)-3 -(3 -ethoxy-4-methoxyphenyl)- 1 ,4,5 , 6-tetrahydropyridazine, l-(4-ethoxycarbonylaminobenzoyl)-3-(3-cycloρentyloxy-4-methoxyphenyl)-l, 4,5,6- tetrahydropyridazine, l-(3-ethoxycarbonylaminobenzoyl)-3-(3-cyclopentyloxy-4-methoxyphenyl)-l, 4,5,6- tetrahydropyridazine, l-(4-ethoxycarbonylaminobenzoyl)-3-(3,4-methylenedioxyphenyl)-l,4,5,6-tetrahydropyridazine, l-(4-ethoxycarbonylaminobenzoyl)-3-(3-methoxy-4-methylsulfonylphenyl)-l, 4,5,6- tetrahydropyridazine, l-(4-ethoxycarbonyiaminobenzoyl)-3-(3-trifluoromethoxy-4-methoxyphenyl)-l,4,5,6- tetrahydropyridazine, 3-(4-ethoxycarbonylaminobenzyl)-5-(3-ethoxy-4-methoxyphenyl)-3,6-dihydro-l,3,4-thiadiazin-2- one,
3-(4-ethoxycarbonylaminobenzyl)-5-(3-cyclopentyloxy-4-methoxyphenyl)-3,6-dihydro-l,3,4- thiadiazin-2-one, 2-(4-butyrylaminobenzyl)-6-(3,4-dimethoxyphenyl)-2,3,4,5-tetrahydropyridazin-3-one, 2-(4-acetamidobenzyl)-6-(3,4-dimethoxyphenyl)-2,3,4,5-tetrahydropyridazin-3-one,
2-(4-trifluoroacetamidobenzyl)-6-(3,4-dimethoxyphenyl)-2,3,4,5-tetrahydropyridazin-3-one, 2-(4-methylsulfonamidobenzyl)-6-(3,4-dimethoxyphenyl)-2,3,4,5-tetrahydropyridazin-3-one, 2-(4-propionylaminobenzyl)-6-(3,4-dimethoxyphenyl)-2,3,4,5-tetrahydropyridazin-3-one, 2-(4-tert-butylcarbonylaminobenzyl)-6-(3,4-dimethoxyphenyl)-2,3,4,5-tetrahydropyridazin-3-one, 2-(4-isobutyrylaminobenzyl)-6-(3,4-dimethoxyphenyl)-2,3,4,5-tefrahydropyridazin-3-one,
2-(4-methoxycarbonylaminobenzyl)-6-(3,4-dimethoxyphenyl)-2,3,4,5-tefrahydropyτidazin-3-one, 2-(4-pivalylaminobenzyl)-6-(3,4-dimethoxyphenyl)-2,3,4,5-tefrahydropyridazin-3-one, 2-(4-cyclopentylcarbamoylbenzyl)-6-(3,4-dimethoxyphenyl)-2,3,4,5-tetrahydropyridazin-3-one, 2-(4-ethoxycarbonylaminobenzyl)-6-(3,4-dimethoxyphenyl)-2,3,4,5-tetrahydropyridazin-3-one, 2-(4-methoxalylaminobenzyl)-6-(3,4-dimethoxyphenyl)-2,3,4,5-tefrahydropyridazin-3-one, 2-(4-ureidobenzyl)-6-(3,4-dimethoxyphenyl)-2,3,4,5-tetrahydropyridazin-3-one, 2-(4-pentanoylaminobenzyl)-6-(3,4-dimethoxyphenyl)-2,3,4,5-tefrahydropyridazin-3-one, 2-(4-hexanoylaminobenzyl)-6-(3,4-dimethoxyphenyl)-2,3,4,5-tefrahydropyridazin-3-one, 2-(4-pentafluoropropionylaminobenzyl)-6-(3,4-dimethoxyphenyl)-2,3,4,5-tetrahydropyridazin-3- one,
2-(4-acetamidobenzyl)-6-(3,4-dimethoxyphenyl)-5-ethyl-2,3,4,5-tefrahydropyridazin-3-one,
2-(4-trifluoroacetamidobenzyl)-6-(3,4-dimethoxyphenyl)-5-ethyl-2,3,4,5-tefrahydropyridazin-3- one, 2-(4-methylsulfonamidobenzyl)-6-(3,4-dimethoxyphenyl)-5-ethyl-2,3,4,5-tetrahydropyridazin-3- one,
2-(4-propionylaminobenzyl)-6-(3 ,4-dimethoxyphenyι)-5 -ethyl -2,3 ,4,5 -tefrahydropyridazin-3 -one,
2-(4-tert-butylcarbonylaminobenzyl)-6-(3,4-dimethoxyphenyl)-5-ethyl-2,3,4,5- tetrahydropyridazin-3-one,
2-(4-butyrylaminobenzyl)-6-(3,4-dimethoxyphenyl)-5-ethyl-2,3,4,5-tetrahydropyridazin-3-one,
2-(4-isobutyrylaminobenzyl)-6-(3,4-dimethoxyphenyl)-5-ethyl-2,3,4,5-tetrahydropyridazin-3-one,
2-(4-methoxycarbonylaminobenzyl)-6-(3,4-dimethoxyphenyl)-5-ethyl-2,3,4,5-tetrahydropyridazin-
3 -one, 2-(4-pivalylaminobenzyI)-6-(3,4-dimethoxyphenyl)-5-ethyl-2,3,4,5-tetrahydropyridazin-3-one,
2-(4-cycloρentylcarbamoylbenzyl)-6-(3,4-dimethoxyphenyl)-5-ethyl-2,3,4,5-tefrahydropyridazin-
3 -one,
2-(4-ethoxycarbonylaminobenzyl)-6-(3,4-dimethoxyphenyl)-5-ethyl-2,3,4,5-tetrahydropyridazin-3- one, 2-(4-methoxalylaminobenzyl)-6-(3,4-dimethoxyphenyl)-5-ethyl-2,3,4,5-tefrahydropyridazin-3-one,
2-(4-ureidobenzyl)-6-(3,4-dimethoxyphenyl)-5-ethyl-2,3,4,5-tetrahydropyridazin-3-one,
2-(4-pentanoylaminobenzyl)-6-(3,4-dimethoxyphenyl)-5-ethyl-2,3,4,5-tetrahydropyridazin-3-one,
2-(4-hexanoylaminobenzyI)-6-(3,4-dimethoxyphenyl)-5-ethyl-2,3,4,5-tetrahydropyridazin-3-one,
2-(4-pentafluoropropionylaminobenzyl)-6-(3,4-dimethoxyphenyl)-5-ethyl-2,3,4,5- tetrahydropyridazin-3-one,
2-(4-acetamidobenzyl)-6-(3-ethoxy-4-methoxyphenyl)-5-ethyI-2,3,4,5-tetrahydropyridazin-3-one,
2-(4-trifluoroacetamidobenzyl)-6-(3-ethoxy-4-methoxyphenyl)-5-ethyl-2,3,4,5- tetrahydropyridazin-3 -one,
2-(4-methylsulfonamidobenzyl)-6-(3-ethoxy-4-methoxyphenyl)-5-ethyl-2, 3,4,5- tetrahydropyridazin-3-one,
2-(4-propionylaminobenzyl)-6-(3 -ethoxy-4-methoxyphenyl)-5-ethyl-2,3 ,4,5-tetrahydropyridazin-3 - one,
2-(4-butyrylaminobenzyl)-6-(3-ethoxy-4-methoxyphenyl)-5-ethyl-2,3,4,5-tetτahydropyridazin-3- one, 2-(4-isobutyrylaminobenzyl)-6-(3 -ethoxy-4-methoxyphenyl)-5-ethyl-2,3 ,4,5 -tefrahydropyridazin-
3 -one,
2-(4-methoxycarbonylaminobenzyl)-6-(3-ethoxy-4-methoxyphenyl)-5-ethyl-2,3,4,5- tetrahydropyridazin-3 -one, 2-(4-ρivalylaminobenzyl)-6-(3-ethoxy-4-methoxyphenyl)-5-ethyl-2,3,4,5-tetrahydropyridazin-3- one,
2-(4-cyclopentylcarbamoylbenzyl)-6-(3-ethoxy-4-methoxyphenyl)-5-ethyl-2,3,4,5- tetrahydropyridazin-3 -one, 2-(4-ethoxycarbonylaminobenzyl)-6-(3-ethoxy-4-methoxyphenyl)-5-ethyl-2,3,4,5- tetrahydropyridazin-3 -one;
2-(4-methoxalylaminobenzyl)-6-(3-ethoxy-4-methoxyphenyl)-5-ethyl-2,3,4,5-tetrahydropyridazin-
3 -one,
2-(4-ureidobenzyl)-6-(3 -ethoxy-4-methoxyphenyl)-5 -ethyl-2,3 ,4,5 -tetrahydropyridazin-3 -one, 2-(4-ρentanoylaminobenzyl)-6-(3 -ethoxy-4-methoxyphenyl)-5-ethyl-2,3 ,4,5-tetrahydropyridazin-3 - one,
2-(4-hexanoylaminobenzyl)-6-(3-ethoxy-4-methoxyphenyl)-5-ethyl-2,3,4,5-tefrahydropyridazin-3- one,
2-(4-pentafluoropropionylaminobenzyl)-6-(3 -ethoxy-4-methoxyphenyl)-5 -ethyl-2,3 ,4,5 - tetrahydropyridazin-3-one,
2-(4-acetamidobenzyl)-6-(3-cyclopentyloxy-4-methoxyphenyl)-5-ethyl-2,3,4,5- tetrahydropyridazin-3 -one,
2-(4-trifluoroacetamidobenzyl)-6-(3-cyclopentyloxy-4-methoxy-henyl)-5-ethyl-2,3,4,5- tetrahydropyridazin-3 -one, 2-(4-methylsulfonamidobenzyl)-6-(3-cyclopentyloxy-4-methoxyphenyl)-5-ethyl-2,3,4,5- tetrahydropyridazin-3 -one,
2-(4-propionylaminobenzyl)-6-(3 -cyclopentyloxy-4-methoxyphenyl)-5 -ethyl-2,3 ,4,5 - tetrahydropyridazin-3 -one,
2-(4-tert-butylcarbonylaminobenzyl)-6-(3-cyclopentyloxy-4-methoxyphenyl)-5-ethyl-2,3,4,5- tetrahydropyridazin-3 -one,
2-(4-butyrylaminobenzyl)-6-(3-cyclopentyloxy-4-methoxyphenyl)-5-ethyl-2,3,4,5- tetrahydropyridazin-3 -one,
2-(4-isobutyrylaminobenzyl)-6-(3-cyclopentyloxy-4-methoxyphenyl)-5-ethyl-2,3,4,5- tetrahydropyridazin-3 -one, 2-(4-methoxycarbonylaminobenzyl)-6-(3-cyclopentyloxy-4-methoxyphenyl)-5-ethyl-2,3,4,5- tetrahydroρyridazin-3 -one,
2-(4-pivalylaminobenzyl)-6-(3-cyclopentyloxy-4-methoxyphenyl)-5-ethyl-2,3,4,5- tetrahydropyridazin-3 -one, 2-(4-cyclopentylcarbamoylbenzyl)-6-(3-cyclopentyloxy-4-methoxyphenyl)-5-ethyl-2,3,4,5- tetrahydropyridazin-3 -one,
2-(4-ethoxycarbonylaminobenzyl)-6-(3-cyclopentyloxy-4-methoxyphenyl)-5-ethyl-2,3,4,5- tetrahydropyridazin-3 -one, 2-(4-methoxalylaminobenzyl)-6-(3-cyclopentyloxy-4-methoxyphenyl)-5-ethyl-2,3,4,5- tetι-ahydropyridazin-3 -one,
2-(4-ureidobenzyl)-6-(3-cyclopentyloxy-4-methoxyphenyl)-5-ethyl-2,3,4,5-tetrahydropyridazin-3- one,
2-(4-pentanoylaminobenzyl)-6-(3-cyclopentyloxy-4-methoxyphenyl)-5-ethyl-2,3,4,5- tetrahydropyridazin-3 -one,
2-(4-hexanoylaminobenzyl)-6-(3-cyclopentyloxy-4-methoxyphenyl)-5-ethyl-2,3,4,5- tetrahydropyridazin-3 -one,
2-(4-pentafluoropropionylaminobenzyl)-6-(3-cyclopentyloxy-4-methoxyphenyl)-5-ethyl-2,3,4,5- tetrahydropyridazin-3 -one, 2-(4-acetamidobenzyl)-6-(3-ethoxy-4-methoxyphenyl)-2,3,4,5-teti-ahydropyridazin-3-one,
2-(4-trifluoroacetamidobenzyl)-6-(3-ethoxy-4-methoxyphenyl)-2,3,4,5-tefrahydropyridazin-3-one,
2-(4-methylsulfonamidobenzyl)-6-(3-ethoxy-4-methoxyphenyl)-2,3,4,5-tefrahydropyridazin-3-one,
2-(4-propionylaminobenzyl)-6-(3-ethoxy-4-methoxyphenyl)-2,3,4,5-tetrahydropyridazin-3-one,
2-(4-butyrylaminobenzyl)-6-(3-ethoxy-4-methoxyphenyl)-2,3,4,5-tetrahydropyridazin-3-one, 2-(4-isobutyrylaminobenzyl)-6-(3-ethoxy-4-methoxyphenyl)-2,3,4,5-tetrahydropyridazin-3-one,
2-(4-methoxycarbonylaminobenzyl)-6-(3-ethoxy-4-methoxyphenyl)-2,3,4,5-tetι-ahydropyridazin-3- one,
2-(4-pivalylaminobenzyl)-6-(3-ethoxy-4-methoxyphenyl)-2,3,4,5-tetrahydropyridazin-3-one,
2-(4-cyclopentylcarbamoylbenzyl)-6-(3-ethoxy-4-methoxyphenyl)-2,3,4,5-tetrahydropyridazin-3- one,
2-(4-ethoxycarbonylaminobenzyl)-6-(3-ethoxy-4-methoxyphenyl)-2,3,4,5-tetι-ahydropyridazin-3- one,
2-(4-methoxalylaminobenzyl)-6-(3-ethoxy-4-methoxyphenyl)-2,3,4,5-tefrahydropyridazin-3-one,
2-(4-ureidobenzyl)-6-(3-ethoxy-4-methoxyphenyl)-2, 3,4,5-tetrahydropyridazin-3-one, 2-(4-pentanoylaminobenzyl)-6-(3-ethoxy-4-methoxyphenyl)-2,3,4,5-tetrahydropyridazin-3-one,
2-(4-hexanoylaminobenzyl)-6-(3-ethoxy-4-methoxyphenyl)-2,3,4,5-tetrahydropyridazin-3-one,
2-(4-pentafluoropropionylaminobenzyl)-6-(3-ethoxy-4-methoxy-phenyl)-2,3,4,5- tetrahydropyridazin-3 -one,
5 -(3 -methoxy-4-difluoromethoxyphenyl)-6-ethyl-3 ,6-dihydro- 1 ,3 ,4-thiadiazin-2-one, mp. 97°, 5-(3-methoxy-4-trifluoromethoxyphenyl)-6-ethyl-3,6-dihydro-l,3,4-thiadiazin-2-one, 5-(3-methoxy-4-trifluoromethoxyphenyl)-6-methyl-3,6-dihydro-l,3,4-thiadiazin-2-one, 5 -(3 -methoxy-4-difluoromethoxyphenyl)-6-methyl-3 ,6-dihydro- 1 ,3 ,4-thiadiazin-2-one, 5-[3-methoxy-4-(l , 1 ,2,2-tetrafluoroethoxy)-phenyl]-6-ethyl-3,6-dihydro-l,3,4-thiadiazin-2-one, 5 -(3 -methoxy-4-chloromethoxyphenyl)-6-ethyl-3 , 6-dihydro- 1 , 3 ,4-thiadiazin-2-one, 5 -(3 -methoxy -4-chloromethoxyphenyl)-6-methyl-3 ,6-dihydro- 1 ,3 ,4-thiadiazin-2-one, 5-(3-methoxy-4-pentachloorethoxyphenyl)-6-ethyl-3,6-dihydro-l,3,4-thiadiazin-2-one, 5-(3-methoxy-4-trifluoromethoxyphenyl)-6-propyl-3,6-dihydro-l,3,4-thiadiazin-2-one, 5 -(3 -methoxy-4-difluoromethoxyphenyl)-6-propyl-3 ,6-dihydro- 1 ,3 ,4-thiadiazin-2-one, 5-[3 -methoxy -4-( 1 , 1 ,2, -frifluoroethoxy)-phenyl]-6-ethyl-3 ,6-dihydro- 1 ,3 ,4-thiadiazin-2-one, 5-[3-methoxy-4-(l,l,2,-trifluoroethoxy)-phenyl]-6-methyl-3,6-dihydro-l,3,4-thiadiazin-2-one, 5-(3-methoxy-4-difluoromethoxyphenyl)-3,6-dihydro-l,3,4-thiadiazin-2-one, mp. 120°, 5 -(3 -methoxy -4-trifluoromethoxyphenyl)-3 ,6-dihydro- 1 ,3 ,4-thiadiazin-2-one, 5-(4-trifluoromethoxyphenyl)-3,6-dihydro-l,3,4-thiadiazin-2-one, 5-[3-methoxy-4-(l , 1 ,2,2-tetrafluoroethoxy)-phenyl]-3, 6-dihydro- 1 ,3,4-thiadiazin-2-one, 5 -(3 -methoxy-4-chloromethoxyphenyl)-3 ,6-dihydro- 1 ,3 ,4-thiadiazin-2-one, 5-(3-methoxy-4-trichloromethoxyphenyl)-3,6-dihydro-l,3,4-thiadiazin-2-one, 5-(3-methoxy-4-pentachloroethoxyphenyl)-3,6-dihydro-l,3,4-thiadiazin-2-one, 5-(4-difluoromethoxyphenyl)-3,6-dihydro-l,3,4-thiadiazin-2-one, 5-[3-methoxy-4-(l,l,2,2,3-pentafluoropropoxy)-phenyl]-6-ethyl-3,6-dihydro-l,3,4-thiadiazin-2- one,
5-[έω-3,4-(difluoromethoxy)-phenyl]-3,6-dihydro-l,3,4-thiadiazin-2-one, 5-[6z5,-3,4-(dichloromethoxy)-phenyl]-3,6-dihydro-l,3,4-thiadiazin-2-one, 5-[bis-3 ,4-( 1 ,2-difluoroethoxy)-phenyl]-3 ,6-dihydro-l ,3 ,4-thiadiazin-2-one, 5-[3-ethoxy-4-(l,l,2,2,-tetrafluoroethoxy)-phenyl]-3,6-dihydro-l,3,4-thiadiazin-2-one, 5-[3-methoxy-4-(l,2,2,-trichloroethoxy)-phenyl]-3,6-dihydro-l,3,4-thiadiazin-2-one, 5-[4-(2,2,2-frifluoroethoxy)-phenyl]-6-ethyl-3,6-dihydro-l,3,4-thiadiazin-2-one, mp. 102°, 5-[3-methoxy-4-(2,2,2-trifluoroethoxy)-phenyl]-6-ethyl-3,6-dihydro-l,3,4-thiadiazin-2-one, mp. 123-125°, 5-[3-methoxy-4-(2,2,2-trifluoroethoxy)-phenyl]-3,6-dihydro-l,3,4-thiadiazin-2-one, mp. 120°, 5-[3-(2,2,2-trifluoroethoxy)-4-methoxy-phenyl]-6-ethyl-3,6-dihydro-l,3,4-thiadiazin-2-one, mp. 120-121, 5-(3-difluoromethoxy-4-methoxy-phenyl)-6-ethyl-3,6-dihydro-l,3,4-thiadiazin-2-one, mp. 105°, 3-dimethylaminopropyl-5-(3,4-dimethoxyphenyl)-6-ethyl-3,6-dihydro-l,3,4-thiadiazinon-2-one, mp. 175°,
3 -dimethylaminopropyl-5 -(3 -methoxy-4-frifluoromethoxyphenyl)-6-ethyl-3 ,6-dihydro-l ,3 ,4- thiadiazinon-2-one, 3 -dimethylaminopropyl-5 -(3 -methoxy-4-difluoromethoxyphenyl)-6-ethyl-3 , 6-dihydro- 1,3,4- thiadiazinon-2-one,
3 -dimethylaminopropyl-5 -(3 -methoxy-4-fluoromethoxyphenyl)-6-ethyl-3 ,6-dihydro- 1 ,3 ,4- thiadiazinon-2-one,
3 -dimethylaminopropyl-5 -(4-methoxy-3 -difluoromethoxyphenyl)-6-ethyl -3 ,6-dihydro- 1,3,4- thiadiazinon-2-one,
3-dimethylaminopropyl-5-[4-methoxy-3-(2,2,2-frifluoroethoxy)-phenyl]-6-ethyl-3,6-dihydro-l,3,4- thiadiazinon-2-one,
3 -dimethylaminopropyl-5 -(4-methoxy-3 -fluoromethoxyphenyl)-6-ethyl-3 ,6-dihydro- 1,3,4- thiadiazinon-2-one, 3-dimethylaminopropyl-5-(3-methoxy-4-ethoxyphenyl)-6-ethyl-3,6-dihydro-l,3,4-thiadiazinon-2- one,
3 -dimethylaminopropyl-5 -(4-methoxy-3 -ethoxyphenyl)-6-ethyl -3 ,6-dihydro- 1 ,3 ,4-thiadiazinon-2- one,
3 -dimethylaminopropyl-5 -(3 -methoxy-4-hydroxyphenyl)-6-ethyl-3 ,6-dihydro- 1 ,3 ,4-thiadiazmon-2- one,
3 -dimethylaminopropyl-5 -(3 ,4-dimethoxyphenyl)-3 ,6-dihydro-l ,3 ,4-thiadiazinon-2-one,
2-dimethylaminoethyl-5-(3,4-dimethoxyphenyl)-6-ethyl-3,6-dihydro-l,3,4-thiadiazinon-2-one,
2-dimethylaminoethyI-5 -(3-methoxy-4-trifluoromethoxyphenyl)-6-ethyl-3 ,6-dihydro- 1,3,4- thiadiazinon-2-one, 2-dimethylaminoethyl-5-(3-methoxy-4-difluoromethoxyphenyl)-6-ethyl-3,6-dihydro-l,3,4- thiadiazinon-2-one,
2-dimethylaminoethyl-5 -(3 -methoxy-4-fluoromethoxyphenyl)-6-ethyl -3 ,6-dihydro- 1 ,3 ,4- thiadiazinon-2-one,
2-dimethylaminoethyl-5-(4-methoxy-3-difluoromethoxyphenyl)-6-ethyl-3,6-dihydro-l,3,4- thiadiazinon-2-one,
2-dimethylaminoethyl-5-(4-methoxy-3-fluoromethoxyphenyl)-6-ethyl-3,6-dihydro-l,3,4- thiadiazinon-2-one,
2-dimethylaminoethyl-5-(3-methoxy-4-ethoxyphenyl)-6-ethyl-3,6-dihydro-l,3,4-thiadiazinon-2- one, 2-dimethylaminoethyl-5-(4-methoxy-3-ethoxy-phenyl)-6-ethyl-3,6-dihydro-l,3,4-thiadiazinon-2- one,
2-dimethylaminoethyl-5 -(4-methoxy-3 -hydroxyphenyl)-6-ethyl-3 ,6-dihydro- 1 ,3 ,4-thiadiazinon-2- one, 3-moφholinopropyl-5-[3-methoxy-4-(l,l,2,2,3-pentafluoropropoxy)-phenyl]-6-ethyl-3,6-dihydro-
1 ,3,4-fhiadiazinon-2-one,
3-dimethylaminopropyl-5-[3,4-bis-(difluoromethoxy)-phenyl]-3,6-dihydro-l,3,4-thiadiazinon-2- one,
3-dimethylaminopropyl-5-[3-methoxy-4-(l,l,2-trifluoroethoxy)-phenyl]-3,6-dihydro-l,3,4- thiadiazinon-2-one,
3 -dimethylaminopropyl-5 -[3 ,4-bis-(chloromethoxy)-phenyl] -3 ,6-dihydro-l ,3 ,4-thiadiazinon-2-one,
3-moφholinopropyl-5-(3-methoxy-4-fluoromethoxyphenyl)-6-ethyl-3,6-dihydro-l,3,4- thiadiazinon-2-one,
3 -moφholinopropyl-5 -(3 -methoxy -4-trifluoromethoxyphenyl)-6-ethyl-3 ,6-dihydro- 1 ,3 ,4- thiadiazinon-2-one,
3 -piperidinopropyl-5 -(3 -methoxy-4-difluoromethoxyphenyl)-6-ethyl-3 ,6-dihydro- 1,3,4- thiadiazinon-2-one,
3 -moφholinopropyl-5 -(3 ,4-dimethoxyphenyl)-6-ethyl-3 ,6-dihydro- 1 ,3 ,4-thiadiazinon-2-one,
3 -piperidinopropyl-5 -(3 ,4-dimethoxyphenyl)-6-ethyl-3 ,6-dihydro- 1 ,3 ,4-thiadiazinon-2-one, 3 -pyrrolidinopropyl-5 -(3 ,4-dimethoxyphenyl)-6-ethyl -3 ,6-dihydro- 1 ,3 ,4-thiadiazinon-2-one,
3 -moφholinopropyl-5 -(3 -methoxy -4-ethoxyphenyl)-6-ethyl -3 ,6-dihydro- 1 ,3 ,4-thiadiazinon-2-one,
3-piperidinopropyl-5-(3-methoxy-4-ethoxyphenyl)-6-ethyl-3,6-dihydro-l,3,4-thiadiazinon-2-one,
3-pyπolidinopropyl-5-(3-methoxy-4-ethoxyphenyl)-6-ethyl-3,6-dihydro-l,3,4-thiadiazinon-2-one,
3 -moφholinopropyl-5 -(4-methoxy-3 -ethoxyphenyl)-6-ethyl-3 ,6-dihydro-l ,3 ,4-thiadiazinon-2-one, 3-piperidinopropyl-5-(4-methoxy-3-ethoxyphenyl)-6-ethyl-3,6-dihydro-l,3,4-thiadiazinon-2-one,
3-moφholinopropyl-5 -(3 -methoxy-4-difluoromethoxyphenyl)-6-ethyI-3 ,6-dihydro- 1,3,4- thiadiazinon-2-one,
3 -piperidinopropyl-5 -(4-methoxy-3 -difluoromethoxyphenyl)-6-ethyl-3 ,6-dihydro- 1,3,4- thiadiazinon-2-one, 3-piperidinopropyl-5-[3-(2,2,2-trifluoroethoxy)-4-methoxyphenyl]-6-ethyl-3,6-dihydro-l,3,4- thiadiazinon-2-one,
3 -moφholinopropyl-5 -[3 -(2,2,2-trifluoroethoxy)-4-methoxyphenyl] -6-ethyl-3 ,6-dihydro- 1 ,3 ,4- thiadiazinon-2-one, 2-moφholinoethyl-5 -(3 -methoxy-4-fiuoromethoxyphenyl)-6-ethyl-3 ,6-dihydro- 1 ,3 ,4-thiadiazinon-
2-one,
2-moφholinoethyl-5 -(3 -methoxy-4-trifluoromethoxyphenyl)-6-ethyl-3 ,6-dihydro-l ,3 ,4- thiadiazinon-2 -one, 2-[(3-chloro-4-{l-[3-(3-ethoxy-4-methoxy-phenyl)-4,6-dihydro-4H-pyridazine-l-yl]-methanoyl}- phenyl)-hydrazono]-malonitrile,
2-[(4- { 1 -[3-(3-ethoxy-4-methoxyphenyl)-5,6-dihydro-4H-pyridazine-l-yl]-methanoyl} -phenyl)- hydrazono] -malonifrile,
2-[(3-fluoro-4-{l-[3-(3-ethoxy-4-methoxyphenyl)-5,6-dihydro-47J-pyridazine-l-yl]-methanoyl}- phenyl)-hydrazono]-malonitrile,
2-[(4- { 1 -[3 -(3 -benzyloxy-4-methoxyphenyl)-5 ,6-dihydro-4H-pyridazine- 1 -yl] -methanoyl} - phenyl)-hydrazono]-malonitrile,
2-[(4- { 1 -[3-(3 ,4-difluorophenyl)-5 ,6-dihydro-4H-pyridazine- 1 -yl] -methanoyl} -phenyl)- hydrazono] -malonifrile, [(4- { 1 -[3 -(3 -ethoxy-4-methoxyphenyl)-5,6-dihydro-4H-pyridazine-l -yl] -methanoyl} -3- fluorophenyl)-hydrazono] -2-( lH-tetrazol-5 -yl)-acetonitrile,
2-(4-{ l-(3-(4-ethylphenyl)-5,6-dihydro-4H-pyridazine-l-yl]-methanoyl}-phenyl)-hydrazono]- malonitrile,
2-[(4- { 1 -[3 -(3 -propoxy-4-methoxyphenyl)-5 ,6-dihydro-4H-pyridazine- 1 -yl] -methanoyl} -phenyl)- hydrazono]-malonitrile,
2-[(4-{l-[3-(3-isopropoxy-4-methoxyphenyl)-5,6-dihydro-4H-pyridazine-l-yl]-methanoyl}- phenyl)-hydrazono] -malonifrile, and their physiologically acceptable salts and solvates; Especially preferred compounds include: 3-(4-nicotinoylaminobenzyl)-5-(3-ethoxy-4-methoxyphenyl)-3,6-dihydro-l,3,4-thiadiazin-2-one,
N-(3-(3-ethoxy-4-methoxyphenyl)-l,4,5,6-tetrahydropyridazin-l-ylcarbonyl)phenyl)-4- methoxybenzoyl-3 -carboxamide, l-(4-nicotinoylaminobenzoyl)-3-(3-ethoxy-4-methoxyphenyl)-l,4,5,6-tetτahydropyridazine,
1 -(4-ethoxycarbonylaminobenzoyl)-3 -(3 -ethoxy-4-methoxyphenyl)- 1 ,4,5 ,6-tetrahydropyridazine, 2-(4-ethoxycarbonylaminobenzyl)-6-(3 -ethoxy-4-methoxyphenyl)-2,3 ,4,5 -tetrahydropyridazin-3 - one, and their physiologically acceptable salts and solvates. These compounds, methods for their preparation and their biological activity are disclosed or refeπed to in WO 03/039548 and WO 03/037349. The disclosed compounds are Phosphodiesterase IV inhibitors
(n) Glucuronic acid deπvatives of formula (XTV):
wherein G is selected from the group consisting of 0(CH
2)
nC
3_
6cycloalkyl, 0(CH
2)
nphenyl, 0(CH
2)„heterocyclyl, 0(CH
2)
nheteroaryl, NHC(0)(CH
2)
nC
3-6cycloalkyl, NHC(0)(CH
2)
nphenyl, NHC(0)(CH
2)
nheterocyclyl, NHC(0)(CH
2)
nheteroaryl, NHC(0)(CH
2)
mOC
3-6cycloallcyl,
NHC(0)(CH2)mOphenyl, NHC(0)(CH2)mOheterocyclyl, and NHC(0)(CH2)mOheteroaryl, n is 0 or an integer from 1 to 6, m is an integer from 1 to 6, wherein each cycloallcyl, phenyl, heterocyclyl and heteroaryl may be optionally substituted with one or more hydroxy, d.3alkoxy, halo, cyano, nitro, thiol, Cι.3alkylthιol, NH2, NH(Cι-3allcyl), N(Cι_3alkyl)2, C02H or C02Cι-3alkyl, each cycloallcyl and heterocyclyl may also be optionally substituted with one or more carbonyl groups. Preferably heteroaryl and heterocyclyl are 5 or 6 membered heteroaryl or heterocyclyl groups. Prefeπed compounds are those in which G is 0(CH2)nheterocyclyl, n is 1 or 2 and the heterocyclyl group optionally substituted with one or two carbonyl groups; or G is NHC(O)(CH2)„Ophenyl or NHC(0)(CH2)nOheteroaryl wherein n is 0 or 1 and each phenyl or heteroaryl is optionally substituted with one or more halo or d-3alkoxy. Especially preferred compounds are those m which G is 0(CH2)2N-Succιmmιde, NHC(0)CH20[2,4-dιchlorophenyl], NHC(0)[3,4-dιfluorophenyl], NHC(0)[2-thιophene], NHC(0)[4-pyπdme], NHC(0)CH20[3,4,5- tπmethoxyphenyl] . A prefeπed compound of formula (XTV) is l-Deoxy-l-{[(2,4- dιchlorophenoxy)acetyl]amιno}-β-D-glucopyranuronιc acid. These compounds, methods for their preparation and their biological activity are disclosed in Muφhy et al , Bioorg & Med Chem. Lett , 2002, 12, 3287-3290. The disclosed compounds are described as inhibitors of FGF-2 binding to hepaπn. o) Compounds of the formula (XV)
or a pharmaceutically acceptable salt or stereoisomer thereof, wherein a is 0 or 1 ; b is 0 or 1 ; m is 0, 1 or 2; t is 1 or 2;
Ri and R5 are independently selected from H, (C=0)aObCι-Cιoallcyl, (C=0)aObaryl, (C=0)aObC2- C10allcenyl, (C=O)aObC2-C10alkynyl, C02H, halo, OH, ObC C6perfluoroallcyl, (C=0)aNR7R8, CN, (C=0)aObC3-C8cycloalkyl and (C=0)aO heterocyclyl, said allcyl, aryl, alkenyl, allcynyl, cycloallcyl and heterocyclyl is optionally substituted with one or more substituents selected from R6; R2 and R3 are independently selected from H, (C=0)aC1-C6al]cyl, (C=0)aaryl, C C6allcyl, S02Ra and aryl;ta or4b is H and the other is selected from (C=0)aObC Cιoalkyl, (C=0)aObaryl, (C=0)aObC2- doalkenyl, (C=O)aObC2-C10allcynyl, C02H, halo, OH, Obd-C6perfluoroallcyl, (C=0)aNR7R8, CN, (C=0)aObC3-Cscycloalkyl and (C=0)aObheterocyclyl, said allcyl, aryl, alkenyl, allcynyl, cycloallcyl and heterocyclyl is optionally substituted with one or more substituents selected from Re, R6 is (C=O)aObC C10allcyl, (C=0)aObaryl, (C=O)aObC2-C10alkenyl, (C=O)aObC2-C10allcynyl, (C=0)aObheterocyclyl, C02H, halo, CN, OH, ObC,-C6perfluoroalkyl, Oa(C=0)bNR7R8, oxo, CHO, (N=0)R7R8, and (C=0)aO C3-C8cycloallcyl, said allcyl, aryl, alkenyl, allcynyl, cycloalkyl and heterocyclyl is optionally substituted with one or more substituents selected from R6a; R6a is selected from (C=O)rOs(Cl-Cι0)alkyl, wherein r and s are independently 0 or 1, Or(Cr C3)perfluoroalkyl, wherein r is 0 or 1, (C0-C6)allcylene-S(O)mRa, wherein m is 0, 1 or 2, S02N(Rb)2, oxo, OH, halo, CN, (C2-C10)alkenyl, (C2-C10)alkynyl, (C3-C6)cycloallcyl, (C0-C6)alkylene-aryl, (C0- C6)allcylene-heterocyclyl, (C0-C6)alkylene-N(Rb)2, C(0)Ra, (C0-C6)alkylene-CO2Ra, C(0)H and (C0-C6)allcylene-CO2H, said allcyl, alkenyl, allcynyl, cycloalkyl, aryl and heterocyclyl is optionally substituted with up to three substituents selected from Rb, OH, (C C6)alkoxy, halogen, C02H, CN,
0(C=0)CrC6allcyl, oxo and N(Rb)2;
R7 and R8 are independently selected from H, (C=O)aObCι-Cι0alkyl, (C=0)aObCι-C8cycloalkyl, (C=0)aObaryl, (C=0)aObheterocyclyl, Cι-Cι0alkyl, aryl, C2-Cι0alkenyl, C2-Cι0allcynyl, heterocyclyl, C3-C8cycloalkyl, S02Ra and (C=0)N(Rb)2, said allcyl, cycloalkyl, aryl, heterocyclyl, alkenyl and allcynyl is optionally substituted with one or more substituents selected from R6a, or
R7 and R8 can be taken together with the nitrogen to which they are attached to form a monocyclic or bicyclic heterocycle with 5-7 members in each ring and optionally, in addition to containing nifrogen, one or two additional heteroatoms selected from N, O and S, said monocyclic or bicyclic heterocycle optionally substituted with one or more substituents selected from R6a;
Ra is (C|-C6)allcyl, (C3-C6)cycloallcyl, aryl or heterocyclyl; and
Rb is H, (C,-C6)allcyl, aryl, heterocyclyl, (C3-C6)cycloalkyl, (C=0)OC,-C6allcyl, (C=0)d-C6allcyl or S(0)2Ra. As used in this embodiment the teπn "heterocyclyl" encompasses all of saturated, unsaturated and aromatic (heteroaryl groups) heterocyclic groups.
Preferred compounds are those in which at least one of the following applies. R2 and R3 are H and Rs is H or F; R) is H; or Rta or ^ is H and the other is Cι-C6allcyleneNR7R8, said allcylene optionally substituted with oxo.
Prefeπed compounds include:
3-{6-[4-methylpiperazin-l-yl)carbonyl]-lH-indol-2-yl}quinolin-2(lH)-one;
N-methyl-2-(2-oxo-l,2-dihydroquinolin-3-yl)-N-pynolidin-3-yl-lH-indole-6-carboxamide;
3 - {4-[(4-methylpeperazin- 1 -yl)carbonyl]- lH-indol-2-yl} quinolin-2( 17 )-one; N-[2-(dimethylamino)ethyl]-2-(2-oxo-l,2-dihydroquinolin-3-yl)-lH-indole-6-carboxamide;
N-methyl-2-(2-oxo-l,2-dihydroquinolin-3-yl)-N-pyπolidin-3-yl-lH-indole-4-carboxamide;
3 -(6- {4-(methylsulfonyl)piperazin- 1 -yljmethyl} - lH-indol-2-yl)quinolin-2( lH)-one;
4-[2-(2 -oxo-1, 2-dihydroquinolin-3-yl)-17 -indol-6-ylmethyl]-piperazine-l-carboxylic acid methylamide; 3 - {4-[2-(2-oxo- 1 ,2-dihydroquinolin-3 -yl)- lH-indol-6-ylmethyl] -piperazin- 1 -yl} -butyric acid;
3 -[4-(4-methanesulfonyl-piperazin- 1 -ylmethyl)- lH-indol-2-yl] - lH-quinolin-2-one;
3-{4-[2-(2-oxo-l,2-dihydroquinolin-3-yl)-lH-indol-4-ylmethyl]-piperazin-l-yl}-butyric acid;
3 -[3 -fluoro-6-(4-methanesulfonyl-piρerazin- 1 -ylmethyl)-lH-indol-2-yl] - lH-quinolin-2-one;
4-[2-(3-fluoro-2-oxo-l,2-dihydroquinolin-3-yl)-lH-indol-6-ylmethyl]-piperazine-l-carboxylic acid methylamide;
3 - {4-[3 fluoro-2 -(2-oxo- 1 ,2-dihydroquinolin-3 -yl)- lH-indol-6-ylmethyl]-piperazin- 1 yl } -butyric acid;
3 -[3 -fluoro-4-(4-methanesulfonyl-piρerazin- 1 -ylmethyl)-lH-indol-2-yl] - lH-quinolin-2-one; and 3 - {4-[3 -fluoro-2-(2-oxo- 1 ,2-dihydroquinolin-3 -yl)- lH-indol-4-ylmethyl]-piperazin- 1 -yl} butyric acid; or a pharmaceutically acceptable salt or stereoisomer thereof. These compounds, methods for their preparation and their biological activity are disclosed in WO 03/020276. The disclosed compounds are described as inhibitors of the tyrosine kinase activity of transmembrane receptors such as growth factor receptors. Other quinolinone compounds that also display tyrosine kinase inhibitory activity are disclosed in WO 03/020699. These compounds include:
3-{5-[(5-oxo-l,4-diazepan-l-yl)methyl]-lH-indol-2-yl}quinolin-2(lH)-one;
3 -(5 - { [(3 S)-3 -methylpiperazin- 1 -yl]methyl} - lH-indol-2-yl)quinolin-2(lH)-one;
3-(5-{[(3R)-3-methylpiperazin-l-yl]methyl}-lH-indol-2-yl)quinolin-2(lH)-one; 3 -(5 - { [(3 S)-3 -methyl-4-(methylsulfonyl)piperazin- 1 -yljmethyl} - lH-indol-2-yl)quinolin-2( IH)- one;
3 -(5 - { [(3R)-3 -methyl -4-(methylsulfonyl)piperazin- 1 -yljmethyl } - lH-indol-2-yl)quinolin-2( 1H)- one;
3-[5-({methyl[(5-oxopyπolidin-2-yl)methyl]amino}methyl)-lH-indol-2-yl]quinolin-2(lH)-one; 3 -(5 - { [4-( 1 , 1 -dioxidotefrahydrothien-3 -yl)piperazin- 1 -yljmethyl} - lH-indol-2-yl)quinolin-2( 1 H)- one;
3 -[5 -( { [( 1 , 1 -dioxoidotetrahydrothien-3 -yl)methyl] amino} methyl)-lH-indol-2-yl]quinolin-2( 1 H)- one;
2-(4-{[2-(2-oxo-l,2-dihydroquinolin-3-yl)-17J-indol-5-yl]methyl}piperazin-l-yl)acetamide; 3-{5-[(4-acetyl-4-hydroxypiperidin-l-yl)methyl]-lH-indol-2-yl}quinolin-2(lH)-one;
1 - { [2-(2-oxo- 1 ,2-dihydroquinolin-3 -yl)- lH-indol-5 -yl]methyl}piperidine-4-sulfonamide;
3-(5-{[(4-hydroxycyclohexyl)amino]methyl}-lH-indol-2-yl)quinolin-2(l/J)-one;
3-(5-{[(2-aminoethyl) amino]methyl}-lH-indol-2-yl)quinolin-2(lH)-one;
3 -(5 - { [(2-amino-2-methylpropyl)amino]methyl} - lH-indol-2-yl)quinolin-2( lH)-one; methyl 3-({[2-(2 -oxo-1, 2-dihydroquinolin-3-yl)-lH-indol-5-yl]methyl}amino)pyrrolidine-l- carboxylate;
3 - {5 -[(pyπolidin-3 -ylamino)methyl]- lH-indol-2-yl} quinolin-2( l/J)-one;
N-methyl-3-({[2-(2-oxo-l,2-dihydroquinolin-3-yl)-l/ -indol-5-yl]methyl}amino)pyrrolidine-l- carboxamide; 4-{[2-(2-oxo-l,2-dihydroquinolin-3-yl)-lH-indol-5-yl]methyl}piperazine-l-carboxamide; methyl 2-methyl- 1 - { [2-(2-oxo- 1 ,2-dihydroquinolin-3 -yl)- lH-indol-5-yl]methyl}piperidine-2- carboxylate; methyl 2-methyl-l-{[2-(2-oxo-l,2-dihydroquinolin-3-yl)-lH-indol-5-yl]methyl}piperidine-2- carboxylic acid;
3 -(5 - { [4-(aminomethyl)piperidin- 1 -yl]methyl} - lH-indol-2-yl)quinolin-2( lH)-one;
N-[( 1 - { [2-(2-oxo- 1 ,2-dihydroquinolin-3-yl)- lH-indol-5-yl]methyl}piperidin-4- yl)methyl]methanesulfonamide;
1 - { [2 -(2 -oxo- 1 ,2-dihydroquinolin-3 -yl)- lH-indol-5 -yljmethyl} -L-prolinamide; 1 - { [2-(2-oxo- 1 ,2-dihydroquinolin-3-yl)- lH-indol-5-yl]methyl} -D-prolinamide; l-{[2-(2-oxo-l,2-dihydroquinolin-3-yl)-lH-indol-5-yl]methyl}piperazine-2 -carboxamide;
4-{[2-(2-oxo-l,2-dihydroquinolin-3-yl)-lH-indol-5-yl]methyl}piperazine-2-carboxamide;
3 - {5 -[(3 -oxohexahydroimidazol- 1 ,5-a]pyrazin-7(li )-yl)methyl]- lH-indol-2-yl} quinolin-2(lH)- one; 3-[5-(azetidin-l-ylmethyl)-lH-indol-2-yl]quinolin-2(lH)-one;
N-[2-(dimethylamino)ethyl]-2-(2-oxo-l,2-dihydroquinolin-3-yl)-lH-indole-5-carboxamide;
N-[2-(methylamino)ethyl]-2-(2 -oxo-1, 2-dihydroquinolin-3-yl)-lH-indole-5-carboxamide;
N-(2-aminoethyI)-N-methyl-2-(2-oxo- 1 ,2-dihydroquinolin-3-yl)- lH-indole-5-carboxamide;
N-methyl -2-(2-oxo- 1 ,2-dihydroquinolin-3 -yl)-N-pyrrolidin-3 -yl- lH-indole-5 -carboxamide; N-(l-methylpyrrolidm-3-yl)-2-(2-oxo-l,2-dihydroquinolin-3-yl)-lH-indole-5 -carboxamide;
2-(2-oxo-l,2-dihydroquinolin-3-yl)-N-pyrrolidin-3-yl-lH-indole-5-carboxamide;
3 - {5 -[ {3 -aminoazetidin- 1 -yl)carbonyl] - lH-indol-2-yl} quinolin-2( lH)-one;
3-(5-{2-[4-(methylsulfonyl)piperazin-l-yl]ethyl}-lH-indol-2-yl)quinolin-2(lH)-one;
3 - { 5 -[2-(4-methyl-5 -oxo-1 ,4-diazepan- 1 -yl)ethyl]- lH-indol-2-yl} quinolin-2( lH)-one; N-methyl-4-{2-[2-(2-oxo-l,2-dihydroquinolin-3-yl)-lH-indol-5-yl]-ethyl}piperazine-l- carboxamide;
3-{5-[2-(dimethylamino)ethyl]-lH-indol-2-yl}quinolin-2(lH)-one;
3-[5-(2-azetidin-l-ylethyl)-lH-indol-2-yl]quinolin-2(lH)-one;
3-{5-[2-(4-aminopiperidin-l-yl)ethyl]-lH-indol-2-yl}quinolin-2(lH)-one; 3-{6-[(4-methylpiperazin-l-yl)carbonyl]-lH-indol-2-yl}quinolin-2(lH)-one;
N-methyl-2-(2-oxo-l,2-dihydroquinolin-3-yl)-N-pyπolidin-3-yl-lH-indole-6-carboxamide;
3 - {4-[(4-methylpiperazin- 1 -yl)carbonyl] -lH-indol-2-yl} quinolin-2( lH)-one;
N-[2-(dimethylamino)ethyl]-2-(2-oxo-l,2-dihydroquinolin-3-yl)-lH-indole-4-carboxamide;
N-methyl -2-(2-oxo- 1 ,2-dihydroquinolin-3 -yl)-N-pyrrolidin-3 -yl- lH-indole-4-carboxamide; 3 -(6- { [4-(methylsulfonyl)piperazin- 1 -yljmethyl} -lH-indol-2-yl)quinolin-2( lH)-one; and
3-{5-[(l,l-dioxido-l,2,5-thiadiazepan-2-yl)methyl]-lH-indol-2-yl}quinolin-2(lH)-one; or a phaπnaceutically acceptable salt or stereoisomer thereof.
p) Compounds of the formula (XVI):
or a pharmaceutically acceptable salt thereof, wherein
W is Ν or C;
X = Y is C=Ν, N=C or C=C; a is 0 or 1 ; b is 0 or 1 ; m is 0, 1 or 2; t is 1, 2 or 3;
R,, R2 and R5 are independently selected from H, (C=O)aObCι-Cι0alkyl, (C=0)aObaryl,
(C=O)aO
bC
2-C
10alkenyl, (C=O)
aO
bC
2-C
10alkynyl, C0
2H, halo, OH, O
bC
rC
6perfluoroall yl,
C|0allcyl, said allcyl, aryl, alkenyl, allcynyl, cycloallcyl and heterocyclyl is optionally substituted with one or more substituents selected from R6;
R3 is selected from H, (C=0)aC C6alkyl, (C=0)aaryL Cι-C6allcyl, S02Ra and aryl; R4 is selected from (C=O)aObC C10alkyl, (C=0)aObaryl, (C=O)aObC2-C10alkenyl, (C=0)aObC2- C10allcynyl, C02H, halo, OH, ObC C6perfluoroalkyl, (CO)aNR7R8, CN, (C=0)aObC3- C8cycloalkyl, (C=0)aObheterocyclyl, S02NR7R8 and SO2Cι-Cι0alkyl, said alkyl, aryl, alkenyl, allcynyl, cycloallcyl and heterocyclyl is optionally substituted with one or more substituents selected from R6;
R6 is (C=O)aObC C10allcyl, (C=0)aObaryl, (C=O)aObC2-C10alkenyl, (C=O)aObC2-C10allcynyl, (C=0)aObheterocyclyl, C02H, halo, CN, OH, ObC, -C6perfluoroalkyl, Oa(C=0)bNR7Rs, oxo, CHO, (N=0)R7R8, and (C=0)aObC3-C8cycloallcyl, said allcyl, aryl, alkenyl, allcynyl, cycloallcyl and heterocyclyl is optionally substituted with one or more substituents selected from R6a; R6a is selected from (C=0)rOs(Cl-Cιo)allcyl, wherein r and s are independently 0 or 1, Or(d- C3)perfluoroallcyl, wherein r is 0 or 1, (Co-C6)allcylene-S(0)mRa, wherein m is 0, 1 or 2, oxo, OH, halo, CN, (C2-C,o)alkenyl, (C2-CI0)allcynyl, (C3-C6)cycloalkyl, (C0-C6)alkylene-aryl, (C0- C6)alkylene-heterocyclyl, (C0-C6)allcylene-N(Rb)2, C(0)Ra, (C0-C6)allcylene-CO2Ra, C(0)H, (C0- Cfi)alkylene-C02H and C(0)N(Rb)2, said allcyl, alkenyl, allcynyl, cycloalkyl, aryl and heterocyclyl is optionally substituted with up to three substituents selected from Rb, OH, (Cι-Cβ)alkoxy, halogen, C02H, CN, 0(C=0)C,-C6allcyl, oxo and N(Rb)2;
R7 and R8 are independently selected from H, (C=0)aObCι-C]oallcyl, (C=0)aObCι-C8cycloallcyl, (C=0)aObaryl, (C=0)aObheterocyclyl, C Cι0allcyl, aryl, C2-C10alkenyl, C2-C10alkynyl, heterocyclyl, C3-C8cycloall yl, S02Ra and (C=0)N(Rb)2, said allcyl, cycloallcyl, aryl, heterocyclyl, alkenyl and allcynyl is optionally substituted with one or more substituents selected from R6a, or
R7 and R8 can be taken together with the nitrogen to which they are attached to form a monocyclic or bicyclic heterocycle with 5-7 members in each ring and optionally, in addition to containing nitrogen, one or two additional heteroatoms selected from N, O and S, said monocyclic or bicyclic heterocycle optionally substituted with one or more substituents selected from R6a; Ra is (C,-C6)allcyl, (C3-C6)cycloalkyl, aryl or heterocyclyl; and
Rb is H, (d-C6)alkyl, aryl, heterocyclyl, (C3-C6)cycloalkyl, (C==0)OC1-C6allcyl, (C=0)C1-C6allcyl or S(0)2Ra. As used in this embodiment the term "heterocyclyl" encompasses saturated, unsaturated and aromatic (heteroaryl) heterocyclic groups. Prefeπed compounds are those in which at least one of the following applies; Z is
R2, R3, and R5 are H; t is 1; R4 is selected from OCι-C6alkylenelN[R7R8, (C=O)aC0-C6alkylene-Q, wherein Q is H, OH, C02H or OCι-6alkyl, OC0-C6alkylene-heterocyclyl, optionally substituted with one to three substituents selected from R6a, Co-C6allcyleneNR7Rs, (C=0)NR7R8 and OCi- C3allcylene-(C=0)NR7R8. Exemplary compounds include: 6-Chloro-3-(lH -indol-2-yl)-lH-indazole, 3-(lH-Indol-2-yl)-lH-indazole, 3-(lH-Indol-2-yl)-lH-indazol-5-ylamine, 3-(lH-Indol-2-yl)-6-methyl-lH-indazole, 3-(lH-Indol-2-yl)-4-chloro-lH-indazole, 3-(lH-Indol-2-yl)-7-chloro-l/J-indazole, 3-(lH-Indol-2-yl)-4-fluoro-lH-indazole, 3-(l/ -Indol-2-yl)-5- fluoro-lH-indazole, 3-(lH-Indol-2-yl)-5-methyl-lH-indazole, 3-(lH-Indol-2-yl)-6-frifluoromethyl-lH-indazole, 3-(lH-Indol-2-yl)-5,6-dimethyl-lH-indazole, 3-(17 -Indol-2-yl)-lH-indazole-6-sulfonic acid amide, 3-(lH-Indol-2-yl)-lH-indazole-5-sulfonamide, 3-(li -Indol-2-yl)-6-bromo-lH-indazole, 3-(17 -Indol-2-yl)-lH-indazole-6-carbonitrile, 3-[5-(piperazin-l-ylsulfonyl)-lH-indol-2-yl]-lH-indazole, 6-(2-Fluoro-pyridin-4-yl)-3(lH-indol-2-yl)-l/J-indazole, 4-[3-(lH-Indol-2-yl)-lH-indazol-6-yl]-lH-pyridin-2-one, 3-(lH-Indol-2-yl)-6-(l-oxy-pyridin-3-yl)-lH-indazole, 3-(lH-Indol-2-yl)-6-(lH-pyrrol-2-yl)-lH-indazole, 3-(lH-Indol-2-yl)-6-(lH-pyπol-3-yl)-l/J-indazole, 5 -[3 -( lH-frιdol-2-yl)- l/J-indazol-6-yl]- lH-pyridin-2-one, 3-(lH-Indol-2-yl)-6-(l-oxy-pyridin-4-yl)-lH-indazole, 3-(lH-Indol-2-yl)-6-(lH-tetrazol-5-yl)-lH-indazole, 3-{5-[(4-methylpiperazin-l-yl)carbonyl]-lH-indol-2-yl}-lH-indazole, l-[2-(l/J-Indazol-3-yl)-lH-indol-5-yl]-l-(4-methyl-piρerazin-l-yl)-methanone, 1 -[2-(6-Chloro- lH-indazol -3 -yl)- lH-indol-5 -yl] - 1 -piperazin- 1 -yl-methanone, 1 - [2-( 1 H-Indazol-3 -yl)- 1 H-indol-5 -yl] - 1 -piperazin- 1 -yl-methanone, 2-(6-Chloro-lH-indazol-3-yl)-17J-indole-5-sulfonic acid amide, Methyl [2-(6-chloro-lH-indazol-3-yl)-lH-indole-5-yl]sulfone, 2-(6-Chloro- lH-indazol-3 -yl)-7 -fluoro- l/J-indole-5 -sulfonic acid amide, 2-(6-Chloro-lH-indazol-3-yl )-6-fluoro-lH-indole-5-sulfonic acid amide, 2-(6-Chloro-lH-indazol-3-yl)-4-fluoro-lH-indole-5-sulfonic acid amide, 7-Chloro-2-(6-chloro-lH-indazol~3-yl)-lH-indole-5 -sulfonic acid amide, 2-(6-Chloro-5 -fluoro- lH-indazol-3-yl)-lH-indole-5 -sulfonic acid amide, 2-(6-Chloro-lH-indazol-3-yl)-lH-indole-5 -carboxylic acid methyl ester, 2-(6-chloro-lH-indazol-3-yl)-lH-indole-5-carboxylic acid, 6-Chloro-3-(5-fluoro-lH-indol-2-yl)-lH-indazole, 6-Chloro-3-(5-methyl-lH-indol-2-yl)-lH-indazole, 3-[5-(4-Methyl-piperazin-l-ylmethyl)-lH-indol-2-yl]-lH-indazole, 3-[5-(4-Methanesulfonyl-piperazin-l-yImethyl)-lH-indol-2-yl]-lH-indazole, 6-Chloro-3 -[5 -(4-methanesulfonyl-piperazin- 1 -ylmethyl)- lH-indol-2-yl] - lH-indazole, 6-Chloro-3-[5-(4-acetyl-piperazin-l-ylmethyl)-lH-indol-2-yl]-lH-indazole, l-[2-(6-Chloro-lH-indazol-3-yl)-lH-indol-5-ylmethyl]-4-methyl-[l,4 ]diazepan-5-one, 1 - (4-[2 -(6-Chloro- lH-indazol-3 -yl)-li -indol-5 -ylmethyl] -piperazin- 1 -yl} -2-hydroxy-ethanone, 3- {4-[2-(6-Chloro- lH-indazol-3 -yl)- lH-indol-5-ylmethyl]-piperazin- 1 -yl} -butyric acid, 6-Chloro-3 -[4-(4-methanesulfonyl-piperazin- 1 -ylmethyl)- lH-indol-2-yl] - lH-indazole, 3-{4-[2-(6-Chloro-lH-indazol-3-yl)-lH-indol-4-ylmethyl]-piperazin-l-yl}-butyric acid, or a pharmaceutically acceptable salt or stereoisomer thereof. These compounds, methods for their preparation and their biological activity are disclosed in WO 03/024969. The disclosed compounds are described as inhibitors of the tyrosine kinase activity of growth factor receptors such as growth factor receptors. q) Compounds of formula (XVII):
wherein R, represents OH, (C
rC
5)alkoxy, carboxyl, (C
2-C
6)alkoxycarbonyl, NR
5R
6, NH-S0
2-Allc, NH- S0
2-Phenyl, NH-CO-Ph, N(Alk)-CO-Ph, NH-CO-NHPh, NH-CO-Alk, NH-C0
2-Alk, 0-(CH
2)
n- cAllc, 0-Allc-C0
2R
7, 0-Allc-OR
8, O-Allc-OH, 0-Alk-C(NH
2):NOH, O-Alk-NRsRe, O-Alk-CN, O- (CH
2)
n-Ph, 0-Alk-CO-NR
5R
6, CO-NH-(CH
2)
m-C0
2R
7, CO-NH-Alk, wherein each Allc represents an allcyl radical or allcylene radical having 1 to 5 carbon atoms, each cAlk represents a cycloallcyl radical having 3 to 6 carbon atoms, n is 0 or an integer from 1 to 5, m is an integer from 1 to 5, R
5 and R
δ are the same or different and represent hydrogen, an allcyl radical having 1 to 5 carbon atoms or benzyl, R
7 represents hydrogen or an allcyl radical having 1 to 5 carbon atoms, R
8 represents an allcyl radical having 1 to 5 carbon atoms or CO-Allc, Ph represents a phenyl radical optionally substituted with one or more halogen, d-dalkoxy, carboxy or alkoxycarbonyl having 2 to 6 carbon atoms;
R2 represents H, (C C5)allcyl, (Cι-C5)allcylhalide, (C3-C6)cycloallcyl or phenyl optionally substituted with one or more halogen, d-dalkoxy, carboxy or alkoxycarbonyl having 2 to 6 carbon atoms; A represents -CO-, -SO- or S02-; R3 and ) are identical or different and each represent H, (Cι-C5)alkoxy, amino, carboxy, (C2- C6)alkoxycarbonyl, OH, N02, hydroxyamino, -Alk-C02R7, NR5R6, NH-Alk-C02R7, NH-C02-Alk, N(Rn)-S02-Alk-NR9Rιo, N(Rn)-S02-Alk, N(Rn)-Alk-NR5R6, N(Rn)-CO-alk-NR9R10, N(Rπ)-CO- Allc, N(Rπ)-CO-CF3, NH-Alk-HetN, O-Alk-NR9R10, O-Allc-CO-NRsRβ, O-Alk-HetN, where n, m, Allc, R5, R6 and R7 are defined as in Rb R9 and R10 may be the same or different and represent hydrogen or (C C5)allcyl, Rπ represents hydrogen or -Alk-C02Rι2 where R12 is hydrogen, (C C5)allcyl or benzyl, HetN represents a heterocycle having 5 to 6 ring atoms with one nifrogen and optionally a further heteroatom selected from nitrogen and oxygen; or R3 and R4 form together an unsaturated heterocycle of 5 to 6 ring atoms; or a pharmaceutically acceptable salt thereof
Prefeπed compounds include
(4-amιno-3 -methoxyphenyl)( 1 -methoxy-2-methylmdohzm- 1 -yl)methanone;
2-(4-ammo-3-methoxybenzoyl)-2-methyhndohzιn-l -yl carboxylic acid;
2- { [3 -(4-ammo-3 -methoxybenzoyl)-2-methyhndohzm- 1 -yljoxy} acetic acid;
(4-ammo-3-methoxyphenyl)-{l-[(4-chlorobenzyl)oxy]-2-methyhndohzm-3-yl}methanone,
(4-ammo-3 -methoxyphenyl)- { 1 - [(3 -methoxybenzyl)oxy] -2-methyhndohzm-3 -yl } methanone;
4-( { [3 -(4-ammo-3 -methoxybenzoyl)-2-methylmdohzm- 1 -yljoxy } methyl)benzoιc acid;
3-(4~carboxybenzoyl)-2-methyhndohzin-l-yl carboxylic acid;
Methyl 3-[(l-methoxy-2-methyhndohzin-3-yl)carbonyl] benzoate;
4-[(l-methoxy-2-methylmdolιzm-3-yl)carbonyl]benzoιc acid;
2-amιno-5-[(l-methoxy-2-methyhndohzm-3-yl)carbonyl]benzoιc acid;
2-ammo-5 -( { 1 -[(3 -methoxybenzoyl)amιno]2-methylmdohzm-3-yl} carbonyl) benzoic acid;
2-amιno-5-({2-methyl-l-[(3,4,5-tπmethoxybenzoyl)ammo]ιndohzιn-3-yl}carbonyl) benzoic acid;
2-amιno-5-5({l-{[(3-methoxyphenyl)sulfonyl]ammo}-2-methylmdolιzm-3-yl}carbonyl)benzoιc acid and their pharmaceutically acceptable salts. These compounds, methods for their preparation and their biological activity are disclosed in WO 03/084956 The disclosed compounds are described as inhibitors of FGF activity.
r) Complestatm having the formula:
This compound, methods for its isolation and its biological activity are disclosed in EP 955055 This compound is described as an FGF inhibiting substance.
s) Sulfonamide-contammg heterocyclic compounds having FGF inhibiting activity are disclosed m WO 03/074045 The disclosed compounds are also encompassed in some embodiments of the present invention. An exemplary compound of this type is:
t) tncychc-based mdolmone compounds, pyrazolylamide-based compounds, imidazolyl 2- mdolmone derivatives and phenyl 2-mdolmone derivatives have also been described as modulators of protein kinases. tncychc-based mdolmone compounds of formula (XVIII) or (XD ):
wherein (a) ring A and ring B share one common bond; (b) ring B and ring C share one common bond; (c) ring A, Ring B and ring R are independently selected from the group consisting of an aromatic ring, a heteroaromatic ring, an aliphatic ring, a heteroaliphatic ring, and a fused aromatic or aliphatic ring system, where the heteroaromatic ring and heteroaliphatic ring each independently contain 0, 1, 2 or 3 heteroatoms independently selected from the group consisting of nifrogen, oxygen and sulfur; (d) ring A, ring B, ring Q and ring R are each independently and optionally substituted with one, two or three substituents independently selected from the group consisting of allcyl, an aromatic or heteroaromatic ring, an aliphatic or heteroaliphatic ring, an amine, a nitro group, a halogen or trihalomethyl group, a lcetone, a carboxylic acid or ester, an alcohol or an alkoxyalkyl group, an amide, a sulfonamide, an aldehyde, a sulfone, a thio or thioester and a heavy metal; and (e) X is selected from the group consisting of CH and oxygen. hi prefeπed embodiments, ring A and ring B of formula (XVIII) and (XIX) are each independently selected from the group consisting of a 5-membered ring, a 6-membered ring, a 7-membered ring, 8-membered ring and a bicyclic or tricyclic fused ring system having preferably 8-13 atoms in the ring backbone. Preferably R is a 6-membered ring or a bicyclic or tricyclic fused ring system. pyrazolylamide-based compounds of formula (XX):
(XX) wherein (a) Ri and R
2 are independently selected from the group consisting of hydrogen, allcyl, an aromatic or heteroaromatic ring, an aliphatic or heteroaliphatic ring, an amine, a nitro group, a halogen, a lcetone, a carboxylic acid or ester, an alcohol or an alkoxyalkyl group, an amide, a sulfonamide, an alkoxyalkoxy group and a sulfone; (b) R
4 and R
5 are each independently selected from the group consisting of hydrogen, allcyl, an aromatic or heteroaromatic ring, an aliphatic or heteroaliphatic ring, an amine, a nitro group, a halogen, a lcetone, a carboxylic acid or ester, an alcohol or an alkoxyalkyl group, an amide, a sulfonamide, an alkoxyalkoxy group and a sulfone; (c) R
3 is selected from the group consisting of hydrogen, allcyl, an aromatic or heteroaromatic ring, an aliphatic or heteroaliphatic ring, an amine, a halogen or frihalomethyl group, a carboxylic acid or ester, an alcohol or an alkoxyalkyl group, an amide, a sulfonamide and a cyano group; (d) p and q are each independently 0, 1, 2, or 3; and (e) K and L are each independently selected from the group consisting of hydrogen and allcyl or K and L taken together may form a 3-6 membered aliphatic ring. Preferably R| is selected from the group consisting of hydrogen, alkyl, especially methyl, ra-propyl and t-butyl, an aromatic or heteroaromatic ring, an aliphatic or heteroaliphatic ring. Preferably R
2 is selected from hydrogen, allcyl and halogen, especially hydrogen and bromine. Preferably R
4 and R
5 are selected from hydrogen, allcyl, an aromatic or heteroaromatic ring, an aliphatic or heteroaliphatic ring, preferably hydrogen or an aromatic or heteroaromatic ring optionally substituted with 1 to 3 substituents selected from allcyl, frihalomethyl and alkoxy moieties. Exemplary compounds include: 2-benzyl-5 -tert-butyl -2H-pyrazole-3 -carboxylic acid (4-frifluoromethylphenyl)amide, 2-benzyl-5-tert-butyl-2H-pyrazole-3-carboxylic acid quinolin-3-ylamide, 2-benzyl-5 -tert-butyl -2H-pyrazole-3 -carboxylic acid (2,6-dimethoxypyridin-3-yl)amide, 2-benzyl-5 -tert-butyl -2H-pyrazole-3 -carboxylic acid (2,3 ,5 ,6-tetrafluoropyridin-4-yl)amide, 2-benzyl-5-tert-butyl-2H-pyrazole-3-carboxylic acid (3-methylquinolin-4-yl)amide, 2-benzyl-5-tβ7"t-butyl-2/J-pyrazole-3 -carboxylic acid (4,6-dimethylpyridin-3-yl)amide, 2-benzyl-5 -tert-butyl -2H-pyrazole-3 -carboxylic acid benzo[l,3]dioxol-5ylamide, 2-benzyl-5-tert-butyl-2H-pyrazole-3 -carboxylic acid (3-frifluoromethylphenyl)amide, 2-benzyl-5-te7-t-butyl-2H-pyrazole-3 -carboxylic acid (2-frifluoromethylphenyl)amide, 2-benzyl-5 -tert-butyl -2H-pyrazole-3 -carboxylic acid pyridin-2-ylamide, 2-benzyl-5 -tert-butyl-2H-pyrazole-3 -carboxylic acid isoquinolin- 1 -ylamide, 2-benzyl-5 -tert-butyl-2H-pyrazole-3 -carboxylic acid pyridin-4-ylamide, 2-benzyl-5-tert-butyl-2H-pyrazole-3 -carboxylic acid pyridin-3-ylamide, 2-benzyl-5 -te7"t-butyl-2H-pyrazole-3 -carboxylic acid (4-methylpyridin-2-yl)amide, 2-benzyl-5 -tert-butyl -2H-pyrazole-3 -carboxylic acid (3-methylpyridin-2-yl)amide, 2-benzyl-5-tert-butyl-2H-pyrazole-3 -carboxylic acid (5-frifluoromethylpyridin-2-yl)amide, 2-benzyl-5 -tert-butyl-2H-pyrazole-3 -carboxylic acid isoquinolin-3 -ylamide, 2-benzyl-5-te/"t-butyl-2H-pyrazole-3-carboxylic acid (5-frifluoromethylpyridin-3-yl)amide, 2-benzyl-5 -tert-butyl -2H-pyrazole-3 -carboxylic acid (4-methoxybipheηyl-3 -yl)amide, 2-benzyl-5 -tert-butyl -2H-pyrazole-3 -carboxylic acid (9-oxo-9H-fluoren-3-yl)amide, 2-benzyl-5 -tert-butyl-2H-pyrazole-3 -carboxylic acid (7-acetylamino-9-oxo-9H-fluoren-2-yl)amide, 2-benzyl-5 -tert-butyl-2H-pyrazole-3 -carboxylic acid (6-mefhoxybiphenyl-3 -yl)amide, 2-benzyl-5 -te7"t-butyl-2H-pyrazole-3 -carboxylic acid (2'-hydroxy-[l , l',3 ', 1 " 'teφhenyl-5 '-yl)amide, 2-benzyl-5 -tert-butyl -2/J-pyrazole-3 -carboxylic acid (9-ethyl-9H-carbazol-3-yl)amide, 2-benzyl-5 -tert-butyl -2H-pyrazole-3 -carboxylic acid (9-oxo-9H-fluroen- 1 -yl)amide, 2-benzyl-5 -tert-butyl -2H-pyrazole-3 -carboxylic acid (6-oxo-6H-benzo[c]chromen-2-yl)amide, 2-benzyl-5 -tert-butyl -2H-pyrazole-3 -carboxylic acid biphenyl-3 -ylamide, 2-benzyl-5 -tert-butyl -2H-pyrazole-3 -carboxylic acid (6-methoxybiphenyl-3-yl)amide,
2-benzyl-5-te7-t-butyl-2H-pyrazole-3 -carboxylic acid (6,3'-dimethoxybiphenyl-3-yl)amide, 5-methyl-2-(4-methylbenzyl)-2H-pyrazole-3-carboxylic acid (4-frifluoromethylphenyl)amide, 5 -methyl -2-(4-methylbenzyl)-2H-pyrazole-3 -carboxylic acid (3 -trifluoromethylphenyl)amide, 5-methyl-2-(4-chlorobenzyl)-2/J-pyrazole-3-carboxylic acid (4-frifluoromethylphenyl)amide, 5-methyl-2-(4-chlorobenzyl)-2H-pyrazole-3-carboxylic acid (3-frifluoromethylphenyl)amide.
Indolinone compounds of formula (XXI):
wherein (a) R], R
2 and R
3 are independently selected from the group consisting of hydrogen, allcyl, an aromatic or heteroaromatic ring, an aliphatic or heteroaliphatic ring, an amine, a nitro group, a halogen or frihalomethyl group, a lcetone, a carboxylic acid or ester, an alcohol or an alkoxyalkyl group, an amide, a sulfonamide, an aldehyde, a sulfone or a thiol or thioether; (b) A, B, D and E are selected from the group consisting of carbon and nitrogen; (c) R
4, R
5, Re and R
7 are independently selected from the group consisting of hydrogen, allcyl, an aromatic or heteroaromatic ring, an aliphatic or heteroaliphatic ring, an amine, a nitro group, a halogen or frihalomethyl group, a lcetone, a carboxylic acid or ester, an alcohol or an alkoxyalkyl group, an amide, a sulfonamide, an aldehyde, a sulfone or a thiol or thioether; (d) X is selected from the group consisting of NX
2β, sulfur, SO, S0
2 and oxygen, where X
26 is selected from the group consisting of hydrogen, allcyl, aryl optionally substituted with one, two or three substituents independently selected from the group consisting of alkyl, alkoxy, halogen, frihalomethyl, carboxylate, nitro, and ester groups, a sulfone of fonnula -S0
2-X
27 where X
27 is selected from the group consisting of saturated or unsaturated allcyl and 5-6 membered aryl or heteroaryl groups, and acyl of the formula -C(0)X
28 where X
28 is selected from the group consisting of hydrogen, saturated and unsaturated allcyl, aryl, and a 5-6 membered ring; (e) ring Y is selected from the group consisting of 5-7 membered aromatic, heteroaromatic or non-aromatic rings, where the heteroaromatic ring contains a heteroatom selected from the group consisting of nitrogen, oxygen and sulfur and where the non-aromatic ring in combination with R4 optionally forms a carbonyl functionality; and (f) G, J and L are selected from the group consisting of nifrogen and carbon. hi some embodiments, R] and R
2 are selected from the group consisting of hydrogen, methyl, ethyl, propyl and butyl groups optionally substituted with halogen, trihalomethyl, cyano and nitro groups; phenyl optionally substituted with 1-3 substituents independently selected from the group consisting of allcyl, alkoxy, halogen and nifro groups; an amine of formula -(Xι)
nl-NX
2X
3 where X
2 and X
3 are independently selected from the group consisting of hydrogen and optionally substituted saturated allcyl, and X) is optionally substituted saturated allcyl, and wherein ni is 0 or 1; a nitro group; a halogen or trihalomethyl; a lcetone of formula -CO-X
4, where X
4 is selected from the group consisting of methyl, ethyl, propyl and butyl; a carboxylic acid of fonnula -(X
6)
n6-COOH 115 -
In prefeπed embodiments, R6 and R7 are selected from the group consisting of hydrogen, methyl, ethyl, propyl and butyl groups optionally substituted with halogen, frihalomethyl, cyano and nitro groups; an amine of formula -(X,)nl-NX2X3 where X2 and X3 are independently selected from the group consisting of hydrogen and optionally substituted saturated alkyl, and Xi is optionally substitufred saturated allcylene, and wherein m. is 0 or 1; an alcohol of formula -(X9)n9- OH or an alkoxyalkyl moiety of the formula -(Xιo)nio-O-Xn where X9 and X]0 are independently selected from the group consisting of methylene, ethylene and propylene, and Xn is selected from the group consisting of methyl, ethyl and propyl, where n9 and nι0 are independently 0 or 1. hi other prefeπed embodiments, Y may be a 6-7 membered aromatic or heteroaromatic ring or a 6- membered aliphatic or heteroaliphatic ring. G, J, and L are independently nifrogen. X may be oxygen, nifrogen optionally substituted with allcyl or may be S, SO or S02. • Imidazoyl 2-hιdolinone derivatives of formula (XXII):
A, B, D and E are independently selected from the group consisting of carbon and nifrogen where it is understood that when A, B, D or E is nitrogen, R6, R7, R8 orRC, respectively, does not exist and there is no bond; G and I are selected from nifrogen and carbon such that when G is nifrogen, J is carbon and when J is nifrogen, G is carbon and when either G or J is nifrogen, then either R5 or R5. does not exist;
R2 and the imidazolyl ring may exchange places on the double bond so that the compound may exist in either the E or the Z configuration about the double bond at the 3-position; R, and R3 are independently selected from the group consisting of hydrogen, alkyl, cycloalkyl, aryl, hydroxy, alkoxy, C-carboxy, O-carboxy, C-amido, C-thioamido, sulfonyl and frihalomethylsulfonyl; 114 -
or ester of formula -(X7)n7-COOX8 where X6 and X7 are selected from the group consisting of a bond, methylene, ethylene and propylene and X8 is selected from the group consisting of methyl and ethyl and wheren6 andn7 are independently 0 or 1; an al oxy moiety of formula -0-Xπ where Xπ is selected from the group consisting of methyl and ethyl; an amide of formula -NHCOX13 where X13 is phenyl optionally substituted with one or more substituents selected from the group consisting of alkyl, halogen, carboxylate or ester; and a sulfonamide of formula -S02NX18X19 where XIg and X]9 are independently selected from the group consisting of hydrogen, methyl, ethyl, phenyl optionally substituted with one or more substituents selected from the group consisting of allcyl, halogen and trihalomethyl or where X,s and X]9 taken together form a 6-membered heteroaliphatic ring. hi some embodiments, E is nifrogen.
In some embodiments, R
4 and R
5 are selected from the group consisting of hydrogen, methyl, ethyl, propyl and butyl groups optionally substituted with halogen, frihalomethyl, cyano and nitro groups; an amine of formula -(X
1)
nl-NX
2X
3 where X
2 and X
3 are independently selected from the group consisting of hydrogen and optionally substituted saturated allcyl, and Xi is optionally substituted saturated allcyl, and wherein n, is 0 or 1 or where X
2 and X
3 taken together form a 5-6-membered aliphatic or heteroaliphatic ring, optionally substituted at a ring carbon atom or heteroatom with a substituent selected from the group consisting of methyl, ethyl, propyl, phenyl and alkoxyphenyl; a nitro group; a halogen or trihalomethyl; a lcetone of formula -CO-X
4, where X is selected from the group consisting of methyl, ethyl, propyl, τz-butyl and t-butyl; a carboxylic acid of formula -(XβXβ- COOH or ester of formula -(X
7)
n7-COOX
8 where Xβ and X
7 are selected from the group consisting of a bond, methylene, ethylene and propylene and X
8 is selected from the group consisting of methyl and ethyl and where n
6 and n
7 are independently 0 or 1 ; an amide of formula -NHCOX1
3 or -CONX
15XI6 where X
13, X
]5 and X
)6 are each independently selected from the group consisting of hydrogen, methyl, ethyl, propyl and phenyl; a sulfonamide of formula -S0
2NX
18X
)9 where X
18 and X
19 are independently selected from the group consisting of hydrogen, methyl and ethyl; an alcohol of formula -(X
9)„9-OH or an alkoxyalkyl moiety of the formula -(Xιo)
nio-O-Xn where X
9 and X
10 are independently selected from the group consisting of methylene, ethylene and propylene, and Xι ι is selected from the group consisting of methyl, ethyl and propyl, where n
9 and n
10 are independently 0 or 1; a sulfone of formula
where X
22 is selected from the group consisting of OH, saturated or unsaturated allcyl and 5-6-membered aryl or heteroaryl groups and X
21 is allcyl and n
2) is 0 or 1; and thioether of the formula -(X
24)
n24-S-X
25 where X
2 is independently selected from the group consisting of methylene, ethylene and propylene and X
25 is selected from the group consisting of methyl, ethyl, propyl and phenyl and where n
24 is 0 or 1. R
2 is selected from the group consisting of hydrogen, alkyl, cycloallcyl, aryl, heteroaryl and halo; R
t, R
5 and R
5' are independently selected from the group consisting of hydrogen, alkyl, cycloalkyl, alkenyl, allcynyl, aryl, heteroaryl, heteroalicyclic, halo, trihalomethyl, hydroxy, alkoxy, aryloxy, C- carboxy, O-carboxy, carbonyl, nitro, cyano, S-sulfonamido, amino and NR
]0Rιι; R
10 and R
n are independently selected from the group consisting of alkyl, cycloallcyl, aryl, carbonyl, sulfonyl, trihalomethanesulfonyl or may be combined to form a 5-6 membered heteroalicyclic ring;
R6, R7, R8 and R9 are independently selected from the group consisting of hydrogen, allcyl, trihaloalkyl, cycloallcyl, alkenyl, alkynyl, aryl, heteroaryl, heteroalicyclic, hydroxy, alkoxy, aryloxy, thiohydroxy, thioalkoxy, thioaryloxy, sulfinyl, sulfonyl, S-sulfonamido, N-sulfonamido, N-trihalomethanesulfonamido, carbonyl, C-carboxy, O-carboxy, cyano, nitro, halo, cyanato, isocyanato, thiocyanato, isothiocyanato, O-carbamyl, N-carbamyl, O-thiocarbamyl, N- thiocarbamyl, C-amido, N-amido, amino and NRι0Rn; R6 and R or R7 and R8 or Rs and R9 combined, may form a 5-6 membered aromatic, heteroaromatic, alicyclic or heteroalicyclic ring such as a methylenedioxy or ethylenedioxy group. In exemplary embodiments, at least one of the following applies: Ri is hydrogen, A, B, D and E are carbon, R2 is hydrogen, R3 is hydrogen,
R6, R7, R8 and R9 are independently selected from the group consisting of hydrogen, lower allcyl optionally substituted with halo, C-carboxy and -NRι0Rn; lower alkoxy optionally substituted with halo, C-carboxy and -NRioRπ! frihalomethyl; alkenyl, allcynyl, aryl optionally substituted with one or more groups selected from lower allcyl, lower allcyl substituted with one or more halo, C- carboxy, alkoxy, amino, S-sulfonamido or -NR]0Rn; heteroalicyclic optionally substituted with one or more allcyl optionally substituted with one or more halo groups, aldehyde, lower alkoxy carbonyl, hydroxy, alkoxy optionally substituted with one or more halo, C-carboxy, amino, S- sulfonamido or -NR10Rn; aryloxy optionally substituted with one or more of lower allcyl, frihalomethyl, halo, hydroxy, amino, sulfonamido or -NR10Rπ; thiohydroxy, thioalkoxy, thioaryloxy optionally substituted one or more halo, hydroxy, amino, S-sulfonamido, or -NR]0Rn; S-sulfonamido, C-carboxy, O-carboxy, hydroxy, cyano, nitro, halo, C-amido, N-amide, amino and -NR,0Rπ; one of Rio and R is hydrogen and the other is an unsubstituted lower alkyl group; R4, R5 and R5. are independently selected from hydrogen, lower allcyl optionally substituted on the furthest C from the point of attachment with a C-carboxy group, trihalomethyl, halo, hydroxy, alkoxy, O-carboxy, C-carboxy, amino, C-amido, N-amido, S-sulfonamido, nitro, amino and - NRio n.
Phenyl 2-indolinone derivatives of formula (XXIII):
A, B and D are independently selected from the group consisting of carbon and nifrogen where it is understood that when A, B or D is nifrogen, R3, R4, R8 or R5 respectively, does not exist;
R, is selected from the group consisting of hydrogen, allcyl, cycloallcyl, aryl, heteroaryl, hydroxy, alkoxy, C-carboxy, O-carboxy, C-amido, C-thioamido, sulfonyl and frihalomethylsulfonyl;
R2 is selected from the group consisting of hydrogen, allcyl, cycloalkyl, aryl and heteroaryl;
R3, R4, R5, R6, R7, R8, R9 and Rj0 are independently selected from the group consisting of hydrogen, allcyl, frihalomethyl, cycloallcyl, alkenyl, allcynyl, aryl, heteroaryl, heteroalicyclic, hydroxy, alkoxy, aryloxy, thiohydroxy, thioalkoxy, thioaryloxy, sulfinyl, sulfonyl, S-sulfonamido, N-sulfonamido,
N-frihalomethanesulfonamido, carbonyl, C-carboxy, O-carboxy, carbonyl, nitro, cyano, azido, halo, cyanato, isocyanato, thiocyanato, isothiocyanato, O-carbamyl, N-carbamyl, O-thiocarbamyl,
N-thiocarbamyl, C-amido, N-amido, amino andNRnRi2; Rn and Ri2 are independently selected from the group consisting of hydrogen, allcyl, cycloallcyl, aryl, carbonyl, acetyl, sulfonyl, trihalomethanesulfonyl or may be combined to form a 5-6 membered heteroalicyclic ring;
R3 and R4 or R6 and R7 or R7 and R8 or R8 and R9 or R9 and Rι0 may combine to form a methylenedioxy or ethylenedioxy group; and Q is selected from the group consisting of aryl, heteroaryl and fused heteroaryl cycloalkyl/heteroahcychc groups. hi exemplary compounds of formula (XXIII) at least one of the following applies: Ri and R2 are hydrogen; A, B and D are carbon; R3, R4 and R5 are hydrogen,
R6} R7, Rs, R9 and R10 are independently selected from hydrogen and lower allcyl; Q is aryl optionally substituted with one or more hydrogen, lower alkyl, lower alkoxy and heteroalicyclic, especially 4-formylpιperazm-l-yl; heteroaryl, especially pyrrol-2-yl, ιmιdazo-4-yl and thιophen-2-yl; or heteroaryhcycloalkyl/heteroahcychc group in which the heteroaryl moiety is selected from pyrrolo, thiopheno, furano, thizolo, oxazolo, pyπdmo and imadazolo. A panticularly prefeπed Q is 4,5,6,7-tefrahydromdol-2-yl. Q may also be optionally substituted with one or more hydrogen, lower allcyl, lower alkoxy, carboxy, carboxy salt, carboxyalkyl and carboxyallcyl salt. These compounds, methods for their preparation and their biological activity are disclosed m WO 99/48868. The disclosed compounds are described as modulators of protein kinase activity.
(11) Suitable sugars, ohgosaccharides and carbohydrates include:
a) Caπageenans, especially lambda, appa and iota caπageenans or deπvatives thereof, most especially iota caπageenan and derivatives thereof. Derivatives of caπageenan include those prepared by chemical or enzymatic hydrolysis using mild acid or caπageenase. The deπvatives may also have varying degrees of sulfation. Caπageenans, their denvatives, methods for their preparation and their biological activity are disclosed in WO 94/05267. Caπageenans and derivatives thereof are described as having growth factor antagonist activity, especially FGF-2 antagonist activity.
b) Salts or complexes of sulfated sacchaπdes, especially salts or complexes with an alkali metal or alkaline earth metal. Particularly prefeπed salts and complexes are formed with sodium, potassium, bismuth, calcium, magnesium, barium, aluminium, zmc, copper, titanium, manganese or osmium. Alternatively, the salt or complex may be formed with an organic base, for example, an ammo acid. Prefeπed sulfated saccharides are mono or ohgosaccharides and include xylose, fructose, glucose sucrose, lactose, maltose cellobiose, maltotπose, maltotetrose, altopentose and maltohexose or fragments of hepann small enough not to bind more than one hepaπn-bmding growth factor at a time. The sacchandes may be monosulfated, polysulfated or persulfated. Complexes and salts of sulfated sacchandes, methods for their preparation and their biological activity are disclosed in WO 95/34313. The disclosed complexes and salts are described as inhibitors of heparin-binding growth factor activity.
c) Sulfomannans having varying degrees of sulfation and varying chain length and optionally a terminal non-reducing phosphate group. Prefeπed sulfomannans have the formula:
wherein n is 0 or an integer from 1 to 4, each R is independently selected from S03Na or H;
R, is H, P03Na2 or S03Na. These ohgosaccharides, methods for their preparation and their biological activity are disclosed in Cochran et al., J. Med. Chem, 2003, 46, 4601-4608. The disclosed compounds inhibit the interaction of growth factors and their receptors with heparan sulfate.
d) In some embodiments, the agent interferes with binding of FGF-2 with FGFR by binding with high affinity and specificity to FGF-2. In illustrative examples of this type, the agent is penfraxin PTX3 or a derivative thereof. Non-limiting examples of this type of agent are disclosed in WO 02/38169.
e) Ohgosaccharides that have an antagonistic effect on FGF are described in WO 93/19096. Illustrative ohgosaccharides consist essentially of oligosaccharide chains which are substantially homogeneous with respect to FGF binding affinity and which contain at least four, preferably at least six, disaccharide units including sulphated disaccharide units, preferably aπanged as a contiguous sequence, that are each composed of an N-sulfated glucosamine residue (+6S) and a 2- O-sulphated iduronic acid residue. In some embodiments, the oligosaccharide is characterized in that: (a) it is composed predominantly of a molecular species:
where X is ηHexA-GlcNS0
3 (+6S), Y is IdoA(2S)-GlcNS0
3 (±6S), Z is IdoA-GlcR (+6S) or IdoA(2S)-GlcR (+6S) where R is NOS0
3 or NAc, and n is in the range of 4-7 ; (b) the content, if any, of monosaccharide residues having a 6-O-sulfphate group is less than 20%; (c) it is obtainable by a process comprising the steps of digesting a heparan sulphate with heparitinase so as to bring about partial depolymerisation thereof to the fullest extent, followed by size fractionating the oligosaccharide mixture produced using for example gel filtration size exclusion chromatography, collecting a fraction or fractions containing oligosaccharide chains having a particular size selected within the range of 12-18 monosaccharide residues, then subjecting said selected fration or fractions to affinity chromatography using an immobilized FGF ligand and recovering the more strongly FGF -binding constituents by eluting under a salt gradient over a range of salt concenfrations and collecting a selected fraction or fractions containing the bound material which desorbs only at the highest salt concentrations, hi specific embodiments, Y is exclusively IdoA(2S)-GlcNS0
3, n is 5 or 6 with ther being a total of 7 disaccharide units in all or is 4 with there being a total of 6 disaccharide units in all, and the content, if any, of residues having a 6-O-sulphate groups is less than 5%. These ohgosaccharides, methods for their preparation and their biological activity are disclosed in WO 93/19096. A number of the disclosed ohgosaccharides are described as inhibitors of FGF activity.
(iii) Suitable oligonucleotides, proteins, peptides or polypeptides that impair or interfere with a FGF signalling pathway include: a) Peptides having the following sequence: Phe-Phe-Phe-Glu-Arg-Leu-Glu-Ser-Asn-Asn-Tyr-Asn-Thr-Tyr-Arg-Ser-Arg-Lys-Tyr- Xaa2o-Xaa2ι-Xaa22-Xaa23-Val-Ala-Leu-Lys-Arg-Thr-Gly-Gln-Tyr-Lys-Leu-Gly-Xaa36- Lys-Thr-Gly-Pro-Gly-Gln-Lys-Ala-Ile-Leu-Phe-Leu-Pro-Met-Ser-Ala-Lys-Ser [SEQ ID NO: 1] wherein Xaa20 is Ser, Thr or D-Ser, Xaa2] is Ser, Ala or D-Ser, Xaa22 is Tφ or Met, Xaa23 is Tyr or Phe, Xaa36 is Pro or Ser and one or more of the residues in the 14 through 19 can be substituted by its D-isomer, and wherein the N-tenmnus may be shortened by deleting from 1 to 13 residues in sequence, that the C-termmus can be shortened by deleting from 1 to 30 residues in sequence, that an extension of up to 91 residues m the form appearing in a native mammalian FGF-2 peptide can be added at the N-termmus, and that the C-termmus may be optionally amidated. Prefeπed sequences include: Glu-Cys-Phe-Phe-Phe-Glu-Arg-Leu-Glu-Ser-Asn-Asn-Tyr-Asn-Thr-Tyr-Arg-Ser-Arg- Lys-Tyr-Xaa20-Ser-Tφ-Tyr-Val-Ala-Leu-Lys-Arg wherein Xaa20 is Thr or Ser [SEQ ID NO: 2]; Tyr-Asn-Thr-Tyr-Arg-Ser-Arg-Lys-Tyr-Xaa2o-Ser-Tφ-Tyr-Val-Ala-Leu-Lys-Arg wherein Xaa20 is Thr or Ser [SEQ ID NO: 3]; Tyr-Arg-Ser-Arg-Lys-Tyr-Xaa20-Ser-Tφ-Tyr wherein Xaa20 is Thr or Ser [SEQ ID NO: 4]; Pro-Ala-Leu-Pro-Glu-Asp-Gly-Gly-Ser-Gly-Ala-Phe-Pro-Pro-Gly-His-Phe-Lys-Asp-Pro- Lys-Arg-Leu-Tyr-Cys-Lys-Asn-Gly-Gly-Phe-Phe-Leu-Arg-Ile-His-Pro-Asp-Gly-Arg-Val- Asp-Gly-Val-Arg-Glu-Lys-Ser-Asp-Pro-His-Ile-Lys-Leu-Gln-Leu-Gln-Ala-Glu-Glu-Arg- Gly-Val-Val-Ser-Ile-Lys-Gly-Val-Cys-Ala-Asn-Arg-Try-Leu-Ala-Met-Lys-Glu-Asp-Gly- Arg-Leu-Leu-Ala-Ser-Lys-Cys-Val-Thr-Asp-Glu-Cys-Phe-Phe-Phe-Glu-Arg-Leu-Glu- Ser-Asn-Asn-Tyr-Asn-Thr-Tyr-Arg-Ser-Arg-Lys-Tyr-Thr-Ser-Tφ-Tyr-Val-Ala-Leu-Lys- Arg-Thr-Gly-Gln-Tyr-Lys-Leu-Gly-Ser-Lys-Thr-Gly-Pro-Gly-Gln-Lys-Ala-Ile-Leu-Phe- Leu-Pro-Met-Ser-Ala-Lys-Ser [SEQ ED NO: 5] or SEQ ID NO. 5 above having an N-termmus extension of Met-Ala-Ala-Gly-Ser-Ile-Thr-Thr-Leu, or an N-termmally shortened fragment thereof. These peptides, methods for their preparation and their biological activity are disclosed in WO 91/07982. The disclosed peptides are descnbed as having an antagonistic effect of FGF-2.
b) Peptides having the following sequence: H-Tyr-Cys-Lys-Asn-Gly-Gly-Phe-Phe-Leu-Arg-Ile-His-Pro-Asp-Gly-Arg-Val-Asp-Xaai- Val-Arg-Glu-Lys-Xaa2-Asp-Pro-His-Ile-Lys-Leu-Gln-Leu-Gln-Ala-Glu-Glu-Arg-Gly-Val- Val-Ser-Ile-Lys-Gly-Val-Y [SEQ ID NO: 6] wherein Y is OH or NH2, Xaai is Gly, Ala or Sar, wherein Sar represents Sarcosine, and Xaa2 is Ser, Ala or Thr or an N-terminally sequentially shortened fragment thereof, or a C-terminally sequentially shortened fragment thereof, or an N-terminally and C-terminally sequentially shortened fragment thereof, which fragment contains the sequence Pro-Asp-Gly-Arg. Preferably Xaai is Gly or Sar and or Xaa2 is Ser or Ala, especially those in which Xaai is Gly and Xaa2 is Ser and Xaai is Sar and Xaa2 is Ala. hi prefeπed embodiments, one to twelve residues from the sequence beginning at the N-terminus are deleted and/or one to 29 residues in the sequence beginning at the C-terminus are deleted, hi a prefeπed embodiment, the sequence is: H-Tyr-Cys-Lys-Asn-Gly-Gly-Phe-Phe-Leu-Arg-Ile-His-Pro-Asp-Gly-Arg-Val-Asp-Gly- Val-Arg-Glu-Lys-Ser-Asp-Pro-His-Ile-Lys-Leu-Gln-Leu-Gln-Ala-Glu-Glu-Arg-Gly-Val- Val-Ser-Ile-Lys-Gly-Val-NH2 [SEQ ID NO: 7]. These peptides, methods for their preparation and their biological activity are disclosed in
US 5,132,408 and EP 0246753. The disclosed peptides are described as being FGF-1 and FGF-2 antagonists.
c) Peptides having the sequence: H-Phe-Phe-Phe-Glu-Arg-Leu-Glu-Ser-Asn-Asn-Tyr-Asn-Thr-Tyr-Arg-Ser-Arg-Lys-Tyr- Ser-Ser-Tφ-Tyr-Val-Ala-Leu-Lys-Arg-Thr-Gly-Gln-Tyr-Lys-Leu-Gly-Pro-Lys-Thr-Gly- Pro-Gly-Gln-Lys-Y [SEQ ID NO: 8] wherein Y is OH or NH2, or a biologically active C-terminally shortened fragment thereof which contains the sequence Tyr-Arg-Ser-Arg-Lys-Tyr-Ser-Ser-Tφ-Tyr. Prefeπed embodiments have the following sequences: H-Tyr-Arg-Ser-Arg-Lys-Tyr-Ser-Ser-Tφ-Tyr-NH2 [SEQ ID NO: 9]; H-Tyr-Arg-Ser-Arg-Lys-Tyr-Ser-Ser-Tφ-Tyr-Val-Ala-Leu-Lys-Arg-Y [SEQ ID NO: 10] wherein Y is OH or NH2; H-Tyr-Arg-Ser-Arg-Lys-Tyr-Ser-Ser-Tφ-Tyr-Val-Ala-Leu-Y [SEQ ID NO: 11] wherein Y is OH or NH2; H-Tyr-Arg-Ser-Arg-Lys-Tyr-Ser-Ser-Tφ-Tyr-Val-Ala-Leu-Lys-Arg-Thr-Gly-Gln-Tyr- Lys-NH2 [SEQ ID NO: 12]; H-Phe-Phe-Phe-Glu-Arg-Leu-Glu-Ser-Asn-Asn-Tyr-Asn-Thr-Tyr-Arg-Ser-Arg-Lys-Tyr- Ser-Ser-Tφ-Tyr-Val-Ala-Leu-Lys-Arg-NH2 [SEQ ID NO: 13]; H-Tyr-Asn-Thr-Tyr-Arg-Ser-Arg-Lys-Tyr-Ser-Ser-Tφ-Tyr-Val-Ala-Leu-Lys-Arg-NH2 [SEQ ID NO: 14]; or H-Xaaιo6-Xaa1o -Xaa108-Xaaιo9-Xaaι1o-Xaam-Xaaπ2-Xaa113-Tφ-Tyr-Val-Ala-Leu-Lys- Arg-Y wherein Xaaι06 is Tyr, Xaaι07 is Arg, Xaaios is Ser, Xaaι09 is Arg, Xaano is Lys or D-Lys, Xaain is Tyr, Xaa2 is Ser, Xaan3 is Ser or D-Ser and Y is OH or NH2 wherein one of Xaaioe to Xaa,ι3 is in the D-isomer form [SEQ ID NO: 15], preferably Xaan3 is D-Ser. These peptides, methods for their preparation and their biological activity are disclosed in
US 5,252,718 and EP 0246753. The disclosed peptides are described as being FGF-1 and FGF-2 antagonists.
d) Peptides having the following sequence: Y,-Xaa,-Xaa2-Xaa3-Xaa4-Xaa5-Xaa6-Xaa7-Xaa8-Xaa9-Y2 [SEQ ID NO: 16] wherein Yi is hydrogen, an amino-derivative group or a peptidic structure having a formula (Xaa)a wherein Xaa is any amino acid structure and a is an integer from 1-15 inclusive; Y2 is hydrogen, a carboxy-derivative group or a peptidic structure having a formula (Xaa)b wherein
Xaa is any amino acid structure andb is an integer from 1-15 inclusive;
Xaaj is a tyrosine residue, a phenylalanine residue, a pyridylalanine residue or a homophenylalanine residue;
Xaa2 is a leucine residue, a norleucine residue, a phenylalanine residue, a pyridylalanine residue, a homophenylalanine residue or a isoleucine residue;
Xaa3 is an arginine residue, an aspartic acid residue, a glutamic acid residue, a serine residue, a tyrosine residue, or a glutamine residue;
Xaa4 is a glutamine residue, a leucine residue, a norleucine residue or a tyrosine residue;
Xaa5 is a tyrosine residue; Xaa6 is a methionine residue, a leucine residue, a norleucine residue, a lysine residue or an arginine residue;
Xaa7 is a leucine residue, a norleucine residue, a methionine residue, an aspartic acid residue, a glutamic acid residue, an asparagine residue or a serine residue;
Xaa8 is an arginine residue, a leucine residue, a norleucine residue, a serine residue or a threonine residue; and
Xaa9 is a leucine residue, a norleucine residue, a phenylalanine residue, a pyridylalanine residue, a homophenylalanine residue, a methionine residue or a valine residue, or an inverso or refro-inverso isomer thereof. Prefeπed sequences include: Asp-Val-Phe-Leu-Asp-Met-Tyr-Gln-Phe-Ser-Val-Ile [SEQ ID NO: 17];
Phe-Leu-Gly-Lys-Tyr-Met-Glu-Ser-Leu-Met-Arg-Met [SEQ ID NO: 18];
Phe-Leu-Met-Met-Tyr-Met-Met [SEQ ID NO: 19];
Tyr-Leu-Tyr-Leu-Tyr-Met-Val [SEQ ID NO: 20]; Phe-Met-Arg-Gln-Tyr-Leu-Asp-Thr-Tφ-Tφ-Leu-Ile [SEQ ID NO : 21 ] ;
Glu-Val-Phe-Tyr-Arg-Ile-Tyr-Leu-Ser-Val-Leu-Leu [SEQ ID NO: 22];
Ala-His-Asn-Leu-Arg-Gln-Tyr-Leu-Met-Arg-Phe-Leu [SEQ ID NO: 23];
Thr-Ala-Gly-Asp-Pro-Leu-Thr-Gln-Tyr-Arg-Met-Arg [SEQ ID NO: 24];
Ile-Gly-Ser-Gly-Thr-Leu-Glu-Gln-Tyr-Met-Gly-Arg [SEQ ID NO: 25]; Tyr-Phe-Asp-Gln-Tyr-Met-Leu-Phe-Phe-Tyr-Asp [SEQ ID NO: 26];
Tyr-Phe-Gly-Gln-Try-Met-Ala-Leu-Tyr [SEQ ID NO: 27];
Ser-Ile-Tyr-Phe-Arg-Glu-Tyr-Leu-Leu-Arg-Ala-Gly [SEQ ID NO: 28];
Tyr-Val-Ser-Leu-Tyr-Met-Asn-Tyr-Leu-Gly-Leu-Leu [SEQ ID NO: 29];
Val-Phe-Leu-Ser-Leu-Tyr-Tyr-Asp-Arg-Met-Arg-Tyr [SEQ ID NO: 30]; Gly-Ser-Tyr-Leu-Ala-Leu-Tyr-Thr-Glu-Gly-Leu-Arg [SEQ ID NO : 31 ] ;
Phe-Arg-Tyr-Leu-Leu-Tyr-Tyr-Met-Glu-Ser-Asn-Arg [SEQ ID NO: 32];
Lys-Ala-Leu-Glu-Tφ-Tyr-Lys-Ser-Leu-Met-Arg-Met [SEQ ID NO: 33];
Tyr-Leu-Tyr-Arg-Tyr-Ala-Gln-Phe-Arg-Thr-Ser-Asp [SEQ ID NO: 34];
Tyr-Ser-Leu-Thr-Tyr-Gln-Tyr-Leu-Leu-Thr-Val-Leu [SEQ ID NO: 35]; Arg-Lys-Tyr-Phe-Ser-Leu-Tyr-Arg-Asn-Leu-Leu-Gly [SEQ ID NO: 36];
Gly-Tyr-Ile-Glu-Lys-Tyr-Lys-Leu-Ala-Ile-Gly-Arg [SEQ ID NO: 37];
Xaa-Tyr-Leu-Ser-Tyr-Tyr-Arg-Ser-Leu-Thr-Ile-Ser [SEQ ID NO: 38];
Pro-Leu-His-Leu-Arg-Ile-Tyr-Ser-Asn-Tφ-Leu-Val [SEQ ID NO: 39];
Tyr-Leu-Ile-Leu-Tyr-Lys-Tyr [SEQ ED NO: 40]; Leu-Phe-Ile-Arg-Tyr-Tyr-Lys [SEQ ID NO: 41];
H-Gly-Tyr-Tyι--Leu-Leu-Tφ-Met-Val-Gly-OH*TFA [SEQ ED NO: 42];
H-Gly-Tyr-Leu-Tyr-Leu-Tyr-Met-Val-Gly-OH*TFA [SEQ ID NO: 43];
H-Gly-Phe-Leu-Met-Met-Tyr-Met-Met-Gly-OH*TFA [SEQ ED NO: 44];
H-Gly-Tyr-Phe-Glu-Tyr-Met-Ala-Leu-Tyr-Gly-OH*TFA [SEQ ID NO: 45]; H-Gly-Asp-Val-Phe-Leu-Ser-Met-Tyr-Gln-Phe-Ser-Val-Ηe-Gly-OH*TFA [SEQ ED NO: 46];
H-Gly-Ala-His-Asn-Leu-Arg-Gln-Tyr-Leu-Met-Arg-Phe-Leu-Gly-OH*TFA [SEQ ID NO: 47];
H-Gly-Ala-His-Tyr-Leu-Arg-Gln-Tyr-Leu-Met-Arg-Phe-Leu-Gly-NH*TFA [SEQ ID NO: 48];
H-Gly-Phe-Leu-Gly-Lys-Tyr-Met-Glu-Ser-Leu-Met-Arg-Met-Gly-NH*TFA [SEQ ID NO: 49];
Acetyl-Gly-His-Asp-Gly-Glu-Met-Tyr-Gly-OH [SEQ ID NO: 50]; H-Gly-Lys-Ala-Leu-Glu-Tφ-Tyr-Lys-Ser-Leu-Met-Arg-Met-Gly-NH*TFA [SEQ ED NO: 51];
H-Gly-Tyr-Leu-Ala-Gln-Tyr-Met-Ala-Arg-Gly-NH*TFA [SEQ ID NO: 52];
H-Gly-Ser-Leu-Met-Arg-Phe-Met-Gly-NH*TFA [SEQ ID NO: 53];
H-Gly-Ala-His-Tyr-Leu-Arg-Gln-Tyr-Leu-Met-Arg-Phe-Arg-Gly-NH*TFA [SEQ LD NO: 54]; H-Gly-Ala-His-Tyr-Leu-Arg-Gln-Tyr-Met-Met-Arg-Phe-Leu-Gly-NH*TFA [SEQ ID NO: 55] ;
H-Leu-Arg-Gln-Tyr-Leu-Met-Arg-Phe-Arg-NH*TFA [SEQ ED NO: 56];
H-Tyr-Leu-Arg-Gln-Tyr-Leu-Met-Arg-Phe-Arg-NH*TFA [SEQ ED NO: 57];
H-His-Tyr-Leu-Arg-Gln-Tyr-Leu-Met-Arg-Phe-Arg-NH*TFA [SEQ ID NO: 58];
H-Ala-His-Tyr-Leu-Arg-Gln-Tyr-Leu-Met-Arg-Phe-Arg-NH*TFA [SEQ ID NO: 59]; Arg-Gly-Arg-Gly-Ile-Gly-Phe [SEQ ID NO : 60] ;
Ser-Leu-Arg-Gly-Phe-Gly-Phe [SEQ ID NO: 61];
Tyr-Asp-Tφ-Asp-Asp-Leu-Leu-Gly [SEQ ID NO: 62];
Tyr-Thr-Tφ-Asp-Tyr-Leu-Leu-Gly [SEQ ID NO: 63];
Tyr-Asp-Tφ-Asp-Ser-Ile-Leu-Gly [SEQ ID NO: 64]; Tyr-Asp-Tφ-Asp-Asp-Leu-Leu-Ser [SEQ ID NO: 65];
Ile-Asp-Tφ-Asp-Asp-Leu-Leu-Ser [SEQ ID NO: 66];
Ser-Tφ-Gly-Asp-Tφ-Glu-Arg-Ser-Gly-Asp-Tφ-Phe [SEQ ID NO: 67];
Tφ-Gly-Gly-Tφ-Glu-Tφ-Thr-Gly-Leu-Tφ-Ser-Tyr [SEQ ID NO: 68];
Cys-Val-Leu-Leu-Tyr-Asp-Val-Tφ-Thr-Cys [SEQ ED NO: 69]; Cys-Val-Leu-Leu-Tyr-Glu-Arg-Tφ-Thr-Cys [SEQ ED NO: 70];
Cys-Phe-Asp-Leu-Tyr-His-Tyr-Val-Tyr-Cys [SEQ ID NO: 71];
Cys-Val-Asp-Leu-Tyr-His-Leu-Thr-Cys [SEQ ED NO: 72];
Cys-Val-Asp-Leu-Tyr-His-Tyr-Val-Tyr-Cys [SEQ ED NO: 73];
H-Ala-Asp-Gly-Ala-Ala-Gly-Tyr-Asp-Tφ-Asp-Asp-Leu-Leu-Ser-Gly-Ala-Ala-NH*TFA [SEQ ID NO: 74];
Biotin-Ala-Asp-Gly-Ala-Ala-Gly-Tyr-Asp-Tφ-Asp-Asp-Leu-Leu-Ser-Gly-Ala-Ala-NH [SEQ TD
NO: 75];
H-Ala-Asp-Gly-Ala-Ala-Gly-Tyr-Asp-Tφ-Asp-Asp-Leu-Leu-Gly-Gly-Ala-Ala-NH*TFA [SEQ
ID NO: 76]; Biotin-Ala-Asp-Gly-Ala-Ala-Gly-Tyr-Asp-Tφ-Asp-Asp-Leu-Leu-Gly-Gly-Ala-Ala-NH [SEQ ID
NO: 77];
H-Ala-Asp-Gly-Ala-Ala-Gly-Cys-Val-Asp-Leu-Tyr-His-Tyr-Val-Tyr-Cys-Gly-Gly-Ala-Ala-
NH*TFA [SEQ ID NO: 78];
H-Ala-Asp-Gly-Ala-Ala-Gly-Cys-Val-Leu-Leu-Tyr-Asp-Val-Tφ-Tyr-Cys-Gly-Gly-Ala-Ala- NH*TFA [SEQ ID NO: 79];
H-Ala-Asp-Gly-Ala-Ala-Gly-Ser-Tφ-Gly-Asp-Tφ-Glu-Arg-Ser-Gly-Asp-Tφ-Phe-Gly-Gly-Ala-
Ala-NH*TFA [SEQ ID NO: 80];
Acetyl-Gly-Ser-Tφ-Gly-Asp-Tφ-Glu-Arg-Ser-Gly-Asp-Tφ-Phe-Gly-NH [SEQ ED NO: 81]; Acetyl-Gly-Cys-Val-Leu-Leu-Tyr-Asp-Glu-Arg-Thr-Cys-Gly-NH [SEQ ID NO: 82];
Acetyl-Gly-Cys-Val-Asp-Leu-Tyr-His-Tyr-Val-Tyr-Cys-Gly-NH [SEQ ID NO: 83];
Prefeπed sequences include
H-Gly-Ala-His-Asn-Leu-Arg-Gln-Tyr-Leu-Met-Arg-Phe-Leu-Gly-OH*TFA [SEQ ID NO: 47];
H-Gly-Ala-His-Tyr-Leu-Arg-Gln-Tyr-Leu-Met-Arg-Phe-Leu-Gly-NH*TFA [SEQ ED NO: 48]; H-Gly-Ala-His-Tyr-Leu-Arg-Gln-Tyr-Leu-Met-Arg-Phe-Arg-Gly-NH*TFA [SEQ ED NO: 54];
H-Tyr-Leu-Arg-Gln-Tyr-Leu-Met-Arg-Phe-Arg-NH*TFA [SEQ ED NO: 57];
H-His-Tyr-Leu-Arg-Gln-Tyr-Leu-Met-Arg-Phe-Arg-NH*TFA [SEQ ID NO: 58];
H-Ala-His-Tyr-Leu-Arg-Gln-Tyr-Leu-Met-Arg-Phe-Arg-NH*TFA [SEQ ED NO: 59];
H-Ala-Asp-Gly-Ala-Ala-Gly-Cys-Val-Asp-Leu-Tyr-His-Tyr-Val-Tyr-Cys-Gly-Gly-Ala-Ala- NH*TFA [SEQ ID NO: 78]; and
Acetyl-Gly-Cys-Val-Asp-Leu-Tyr-His-Tyr-Val-Tyr-Cys-Gly-NH [SEQ ID NO: 83]. These peptides, methods for their preparation and their biological activity are disclosed in
US 6,214,795 and WO 98/21237. Peptides having Sequence ED Nos.17-59 are shown to have a binding affinity for FGFR2-IIIC. Peptides having Sequence ED Nos. 60-83 are shown to have binding affinity for FGF-2. Several peptides were shown to antagonize the effect of FGF.
f) In some embodiments, the FGFR antagonist is a mutant FGF that binds to and recognises an FGFR but that is unable to induce DNA synthesis and cell proliferation. In illustrative examples of this type, the mutant FGF varies from the coπesponding wild-type FGF by the deletion or modification of all or part of the nuclear franslocation sequence, which renders it inoperative. Non- limiting examples of such FGF mutants are disclosed in WO 91/15229.
g) Peptides from 10 to 30 amino acids in length comprising the amino acid sequence: (Xaa5-Xaa5-Xaa7-Xaa8)i-Xaa9-Xaaι0-(Xaan)m-(Gly)n-Tφ-Ser-Xaaι2-Tφ-(Ser-Xaa13-Tφ)z [SEQ ED NO: 84] where Xaa5 is selected independently from Arg, Lys, acetyl-Lys or acetyl-Arg; Xaa6 is Arg or Lys; Xaa7 is Phe or Ala; Xaa8 is independently selected from Arg or Lys; i is 0 or 1 Xaa9 is Gin or Ala; X)0 is Asp or Ala; Xu is Gly or delta-amino valeric acid (Dav) and m is 0 or 1 n is 0 or 1; Xι2 is His or Pro; and X13 is His or Pro and z is 1 or 0. In a prefeπed embodiment, the peptides comprise the amino acid sequence: Xaa5-Xaa6-Ala-Lys-Xaa9-Xaaιo-(Xaan)m-(Gly)n-Tφ-Ser-Xaaι2-Tφ-(Ser-Xaaι3-Tφ)z [SEQ ED NO: 85] where Xaa5 is selected independently from Arg or acetyl-Lys; Xaa6 is Lys; Xaa9 is Gin or Ala; X10 is Asp or Ala; Xu is Gly or delta-amino valeric acid (Dav) and m is 0 or 1; n is 0 or 1 ; X)2 is His or Pro; and Xι3 is His or Pro and z is 1 or 0. Prefeπed sequences of SEQ ED NO: 85 are where X9 and/or Xι0 are Ala; where m is 0 and n is 1; where Xn is delta-amino valeric acid (Dav), m is 1 and n is 0; where m and n are 0; where z is 0; where z is 0 and X12 is Pro; where z is 0 and X12 is His and where Xι3 is His and z is 1. hi another prefeπed embodiment, the peptides comprise the amino acid sequence: Xaa5-Arg-Phe-Lys-Xaa9-Xaaιo-(Xaaι1)m-(Gly)n-Tφ-Ser-Xaaι2-Tφ-(Ser-Xaaι3-Tφ)z-Xaaι4-Xaa15 [SEQ ED NO: 86] where Xaa5 is selected independently from Arg, acetyl-Arg, Lys or acetyl-Lys; Xaa9 is Gin or Ala; Xio is Asp or Ala; Xn is Gly or delta-amino valeric acid (Dav) and m is 0 or 1; n is 0 or 1; X is His or Pro; X is His or Pro and z is 1 or 0; Xaa1 is Ser or Ala XaaJ5 is independently selected from the group consisting of Ser, Ala and amides thereof, wherein said peptide optionally contains a C-terminal thio-containing acid, such as cysteine or cysteineamide, and where the peptide is optionally conjugated to a water soluble polymer. Prefeπed sequences include: Lys-Arg-Phe-Lys-Ala-Ala-Gly-Gly-Tφ-Ser-His-Tφ-Ser-Pro-Tφ-Ser-Ser-Cys-NH2 [SEQ ID NO: 87]
Lys-Arg-Phe-Lys-Gln-Ala-Gly-Gly-Tφ-Ser-His-Tφ-Ser-Pro-Tφ-Ser-Ser-Cys [SEQ ID NO: 88] Lys-Arg-Phe-Lys-Gln-Ai-g-Gly-Gly-Tφ-Ser-His-Tφ-Ser-Pro-Tφ-Ser-Ser-Cys [SEQ ID NO: 89] Acetyl-Lys-Arg-Ala-Lys-Ala-Ala-Gly-Gly-Tφ-Ser-His-Tφ-Ser-Pro-Tφ-Ser-Ser-Cys-NH2 [SEQ ID NO: 90] Acetyl-Lys-Arg-Ala-Lys-Gln-Ala-Gly-Gly-Tφ-Ser-His-Tφ-Ala-Ala-Cys-NH2 [SEQ ED NO: 91]; Lys-Arg-Ala-Lys-Gln-Asp-Dav-Tφ-Ser-His-Tφ-Ser-Pro [SEQ ED NO: 92]; Lys-Arg-Ala-Lys-Gln-Asp-Gly-Gly-Tφ-Ser-His-Tφ-Ser-Pro [SEQ ID NO: 93] and Lys-Arg-Ala-Lys-Gln-Asp-Dav-Tφ-Ser-His-Tφ-Ser-Pro [SEQ ID NO: 94]. This aspect also relates to refro-inverso peptides from 10 to 30 amino acids in length wherein said refro-inverso peptide comprises the amino acid sequence, from C-terminal (left) to N- terminal (right): ri-(Xaa5-Xaa6-Xaa7-Xaa8)i-Xaa9-Xaaιo-(Xaan)m-(Gly)n-Tφ-Ser-Xaaι2-Tφ-(Ser-Xaa,3-Tφ)z [SEQ ID NO: 95] where Xaa5 is selected independently from Arg, Lys, amide-Lys or amide-Arg; Xaa6 is Arg or Lys; Xaa7 is Phe or Ala; Xaa8 is independently selected from Arg or Lys; i is 0 or 1; Xaa9 is Gin or Ala; Xio is Asp or Ala; Xn is Gly or delta-amino valeric acid (Dav) and m is 0 or 1; n is 0 or 1; X]2 is His or Pro; and X13 is His or Pro and z is 1 or 0. hi a prefeπed embodiment, the refro-inverso peptides comprise the amino acid sequence: ri-Xaa5-Xaa6-Ala-Lys-Xaa9-Xaaιo-(Xaan)nr(Gly)n-Tφ-Ser-Xaaι2-Tφ-(Ser-Xaaι3-Tφ)z
[SEQ ED NO: 96] where Xaa5 is selected independently from Arg or amide-Lys; Xaa6 is Lys; Xaa9 is Gin or Ala; X10 is Asp or Ala; Xn is Gly or delta-amino valeric acid (Dav) and m is 0 or 1; n is 0 or 1 ; X12 is His or Pro; and Xn is His or Pro and z is 1 or 0. In another prefeπed embodiment, the refro-inverso peptides comprise the amino acid / sequence:
Xaa5-Arg-Phe-Lys-Xaa9-Xaaιo-(Xaan)m-(Gly)n-Tφ-Ser-Xaai2-Tφ-(Ser-Xaaι3-Tφ)z-Xaai4-Xaaι5
[SEQ ED NO: 97] where Xaa5 is selected independently from Arg, amide-Lys; Xaa9 is Gin or Ala; X10 is Asp or Ala;
Xn is Gly or delta-amino valeric acid (Dav) and m is 0 or 1; n is 0 or 1; XJ2 is His or Pro; Xι3 is His or Pro and z is 1 or 0; Xaaw is Ser or Ala, Xaa^ is independently selected from the group consisting of Ser, Ala, acetyl-Ser and Acetyl-Ala, wherein said refro-inverso peptide optionally contains an N-terminal thio-containing acid, such as cysteine or acetylated cysteine, and where the peptide is optionally conjugated to a water soluble polymer. Prefeπed sequences of refro-inverso SEQ ED NO. 95 are where X9 and/or X)0 are Ala; where m is 0 and n is 1; where Xn is delta-amino valeric acid (Dav), m is 1 and n is 0; where m and n are 0; where z is 0; where z is 0; where X]2 is Pro; where X12 is His; where X is Pro and where z is 1. Exemplary sequences include: ri-NH2-Lys-Arg-Phe-Lys-Gln-Arg-Gly-Gly-Tφ-Ser-His-Tφ-Ser-Pro-Tφ-Ser-Ser-tp [SEQ ED NO: 98]; ri-NH2-Lys-Arg-Ala-Lys-Gln-Arg-Gly-Gly-Tφ-Ser-His-Tφ-Ser-Pro-Tφ-Ser-Ser-Cys-acetyl
[SEQ ID NO: 99]; ri-Lys-Arg-Phe-Lys-Gln-Ala-Gly-Gly-Tφ-Ser-His-Tφ-Ser-Pro-Tφ-Ser-Ser-Cys-acetyl [SEQ ED
NO: 100]; ri-NH2-Lys-Arg-Ala-Lys-Ala-Ala-Gly-Gly-Tφ-Ser-His-Tφ-Ser-Pro-Tφ-Ser-Ser-Cys-acetyl [SEQ
ID NO: 101]; ri-NH2-Lys-Arg-Ala-Lys-Gln-Ala-Gly-Gly-Tφ-Ser-His-Tφ-Ala-Ala-tp [SEQ ED NO: 102]; ri-NH2-Lys-Arg-Ala-Lys-Gln-Dav-Tφ-Ser-His-Tφ-Ala-Ala-tp [SEQ ID NO: 103]; ri-NH2-Lys-Arg-Ala-Lys-Gln-Ala-Dav-Tφ-Ser-Pro-Tφ-Ala-Ala-tp [SEQ ED NO: 104]; ri-NH2-Lys-Arg-Ala-Lys-Gln-Ala-Dav-Tφ-Ser-His-Tφ-Ser-Ala-Ala-tp [SEQ ID NO: 105]; ri-NH2-Lys-Arg-Ala-Lys-Gln-Ala-Gly-Tφ-Ser-His-Tφ-Ala-Ala-tp [SEQ ED NO: 106]; ri-NH2-Lys-Arg-Ala-Lys-Gln-Ala-Gly-Tφ-Ser-His-Tφ-Ser-Ala-Ala-tp [SEQ ID NO: 107]; ri-NH2-Lys-Arg-Ala-Lys-Gln-Ala-Tφ-Ser-His-Tφ-Ala-Ala-tp [SEQ ID NO: 108] ri-NH2-Lys-Arg-Ala-Lys-Gln-Ala-Gly-Tφ-Ser-His-Tφ-Ala-Ala-acetyl [SEQ ED NO: 109]; ri-NH2-Lys-Arg-Phe-Arg-Gln-Ala-Gly-Tφ-Ser-His-Tφ-Ala-Ala-acetyl [SEQ ID NO: 110] ri-NHz-Lys-Arg-Ala-Arg-Gln-Ala-Gly-Tφ-Ser-His-Tφ-Ala-Ala-acetyl [SEQ ID NO: 111]; and ri-NH2-Lys-Lys-Ala-Lys-Gln-Ala-Gly-Tφ-Ser-His-Tφ-Ala-Ala-acetyl [SEQ ID NO: 112], wherein tp represents a thiopropionyl group. These peptides, methods for their preparation and their biological activity are disclosed in
US 5,770,563 and US 6,051,549. The disclosed peptides are described as inhibitors of the interaction between heparin or heparan sulfate with FGF-2.
h) Structural analogues of FGF-2 selected from Gln138FGF-2 and Gln128'138FGF-2. These polypeptides, methods for their preparation and biological activity are disclosed in EP 0645 451. The disclosed polypeptides are described as having FGF-2 antagonist activity in which they bind to FGFR with equal or greater binding affinity than native FGF-2, have decreased binding towards heparin-like polysaccharides compared to native FGF-2 and have decreased mitogenic activity compared to native FGF-2.
i) FGF mutein polypeptides that bind to heparin but have little or substantially reduced FGFR binding activity compared to the wild-type are also included. The FGF mutein polypeptides and the DNA encoding them have amino acid substitutions of at least one of positions 88, 93, 95, 101, 104 and 138 of FGF-2 or coπesponding positions in other FGF polypeptides (FGF-1 to FGF-12) when the conserved amino acids are aligned with those of FGF-2. h certain embodiments, the mutein polypeptides have substitution with a conservative amino acid at positions 95, 101, 104 or 138, preferably glycine, serine, alanine, methionine, leucine or tyrosine, such that the resulting mutein retains heparin binding ability but has reduced or substantially reduced binding affinity for FGF receptors, especially FGFR1. Optionally, the amino acid coπesponding to Glu96, which is highly conserved among the FGF polypeptides, is also conservatively substituted. Optionally, one or more cysteine residues, particularly those that contribute to aggregation and decrease solubility, may be replaced. Particularly prefeπed are cysteine residues coπesponding to those at positions Cys69 and Cys87 or Cys78 and Cys96 in FGF-2. Prefeπed mutein polypeptides are those in which amino acids coπesponding to Glu96 and Ala 104 of FGF-2 are replaced with glycine, serine or alanine, more preferably alanine. In another prefeπed embodiment, the amino acid coπesponding to Leul38 of FGF-2 is replaced with glycine, serine or alanine, more preferably alanine. In prefeπed embodiments, the FGF mutein polypeptides are selected from those where FGF-1 has been modified by replacement of the asparagine residue at position 110 with another amino acid; FGF-2 has been modified by replacement of the asparagine residue at position 104 with another amino acid; FGF-3 has been modified by replacement of the asparagine residue at position 127 with another amino acid; FGF-5 has been modified by replacement of the asparagine residue at position 172 with another amino acid; FGF-6 has been modified by replacement of the asparagine residue at position 159 with another amino acid; FGF-7 has been modified by replacement of the asparagine residue at position 149 with another amino acid; FGF-8 has been modified by replacement of the asparagine residue at position 139 with another amino acid; FGF-9 has been modified by replacement of the asparagine residue at position 146 with another amino acid; FGF- 10 has been modified by replacement of the asparagine residue at position 95 with another amino acid; FGF-1 has been modified by replacement of the asparagine residue at position 107 with another amino acid; FGF-2 has been modified by replacement of the asparagine residue at position 101 with another amino acid; FGF-3 has been modified by replacement of the asparagine residue at position 124 with another amino acid; FGF-4 has been modified by replacement of the asparagine residue at position 164 with another amino acid; FGF-5 has been modified by replacement of the asparagine residue at position 169 with another amino acid; FGF-6 has been modified by replacement of the asparagine residue at position 156 with another amino acid; FGF-7 has been modified by replacement of the asparagine residue at position 146 with another ammo acid; FGF-8 has been modified by replacement of the asparagine residue at position 136 with another ammo acid; FGF-9 has been modified by replacement of the asparagine residue at position 143 with another ammo acid, FGF- 10 has been modified by replacement of the asparagine residue at position 91 with another ammo acid; FGF-1 has been modified by replacement of the phenylalanine residue at position 100 with another ammo acid; FGF-2 has been modified by replacement of the phenylalanine residue at position 95 with another ammo acid; FGF-3 has been modified by replacement of the phenylalanine residue at position 117 with another ammo acid; FGF-4 has been modified by replacement of the phenylalanine residue at position 157 with another ammo acid; FGF-5 has been modified by replacement of the phenylalanine residue at position 162 with another ammo acid; FGF-6 has been modified by replacement of the phenylalanine residue at position 149 with another ammo acid; FGF-7 has been modified by replacement of the phenylalanine residue at position 139 with another ammo acid; FGF-8 has been modified by replacement of the phenylalanine residue at position 129 with another ammo acid, FGF-9 has been modified by replacement of the phenylalanine residue at position 136 with another ammo acid, FGF-10 has been modified by replacement of the phenylalanine residue at position 85 with another ammo acid, FGF-1 has been modified by replacement of the leucine residue at position 146 with another ammo acid; FGF-2 has been modified by replacement of the leucme residue at position 138 with another ammo acid; FGF-3 has been modified by replacement of the leucine residue at position 177 with another ammo acid; FGF-4 has been modified by replacement of the histidine residue at position 201 with another amino acid; FGF-5 has been modified by replacement of the histidine residue at position 214 with another amino acid; FGF-6 has been modified by replacement of the histidine residue at position 193 with another amino acid; FGF-7 has been modified by replacement of the histidine residue at position 187 with another amino acid; FGF-8 has been modified by replacement of the lysine residue at position 176 with another amino acid; FGF-9 has been modified by replacement of the histidine residue at position 186 with another amino acid; FGF-10 has been modified by replacement of the histidine residue at position 135 with another amino acid; FGF-1 has been modified by replacement of the proline residue at position 94 with another amino acid; FGF-2 has been modified by replacement of the valine residue at position 88 with another amino acid; FGF-3 has been modified by replacement of the tyrosine residue at position 111 with another amino acid; FGF-4 has been modified by replacement of the phenylalanine residue at position 151 with another amino acid; FGF-5 has been modified by replacement of the phenylalanine residue at position 156 with another amino acid; FGF-6 has been modified by replacement of the phenylalanine residue at position 143 with another amino acid; FGF-7 has been modified by replacement of the cysteine residue at position 133 with another amino acid; FGF-8 has been modified by replacement of the lysine residue at position 123 with another amino acid; FGF-9 has been modified by replacement of the leucine residue at position 130 with another amino acid; FGF-10 has been modified by replacement of the phenylalanine residue at position 79 with another amino acid; FGF-1 has been modified by replacement of the leucine residue at position 99 with another amino acid; FGF-2 has been modified by replacement of the phenylalanine residue at position 93 with another amino acid; FGF-3 has been modified by replacement of the glutamic acid residue at position 116 with another amino acid; FGF-4 has been modified by replacement of the threonine residue at position 156 with another amino acid; FGF-5 has been modified by replacement of the lysine residue at position 161 with another amino acid; FGF-6 has been modified by replacement of the lysine residue at position 148 with another amino acid; FGF-7 has been modified by replacement of the asparagine residue at position 138 with another amino acid; FGF-8 has been modified by replacement of the valine residue at position 128 with another amino acid; FGF-9 has been modified by replacement of the valine residue at position 135 with another amino acid; FGF-10 has been modified by replacement of the lysine residue at position 84 with another amino acid. The above amino acid positions are positions in the FGF-1 to FGF-10 polypeptide sequences which are disclosed as SEQ ED NO: 1 to 10 in WO 98/39436. Preferably the replacement amino acid is alanine, phenylalanine, glycine, serine, methionine or tyrosine, especially alanine. Prefeπed mutein polypeptides are those having substitutions in FGF-2 polypeptide. These peptides, DNA encoding them, methods for their preparation and their biological activity are disclosed in WO 98/39436 and WO 99/55861. Other methods for identifying FGF mutants having decreased binding affinity for heparin are disclosed in WO 95/34313.
j) Conjugates comprising a polypeptide reactive with a fibroblast growth factor (FGF) receptor and a targeted agent having the formula: FGF-(L)q-targeted agent, wherein: FGF is a polypeptide reactive with a fibroblast growth factor (FGF) receptor, the conjugate binds to an FGF receptor and internalizes the targeted agent in cells bearing an FGF receptor,
L is at least one linker that increases the serum stability or intracellular availability of the targeted agent; and q is 1 or more, such that the resulting conjugate retains the ability to bind to an FGF receptor and internalize the targeted agent. Preferably the polypeptide reactive with an FGF receptor is selected from FGF, FGF-1, FGF-2, FGF-3, FGF-4, FGF-5, FGF-6, FGF-7, FGF-8, FGF-9 or fragments thereof, more preferably FGF-1 or FGF-2 or fragments thereof, that bind to an FGF receptor and internalize the cytotoxic agent m cells beanng the FGF receptor. The linker may be a substrate of a protease present in an intracellular compartment, for example, cathepsm B substrate, cathepsm D substrate, trypsin substrate, thrombm substrate and recombinant subtihsm substrate, or may increase the flexibility of the conjugate, for example, linkers selected from (GlymSerp)n, (SermGlyp)„ and (AlaAlaProAla)n m which n is 1 to 6, m is 1 to 6 and p is 1 to 4. The linker may be a photocleavable linker such as a nifrobenzyl group, or an acid cleavable linker, such as bismaleimideothoxypropane or adipic acid dihydrazide. The targeted agent may be a cytotoxic agent such as πcm, πcm A chain, maize RIP, gelomn, diphtheria toxm, diphtheria toxin A chain, tπchosanthm, fritin, pokeweed antiviral protein (PAP), mirabihs antiviral protein (MAP), dianthms 32 and 30, abπn, momord , bryodm, shiga and pseudomonas exotox . hi a prefeπed embodiment, the cytotoxic agent is sapoπn (SAP) or a sapoπn that has been modified by insertion of a cysteine residue or replacement of a residue with a cysteine, wherein the saponn retains its cytotoxic activity. For example, a cysteine residue may be inserted at position 1 or withm about 20 ammo acid residues, preferably 10 ammo acid residues, of the N-termmus of saponn or an ammo acid withm 20 ammo acids, preferably 10 ammo acid residues, from the N-termmus or saponn may be replaced with cysteine. The targeted agent may be a πbosome inactivating protein or an antisense ohgonucleotide or the targeted agent may be selected from the group consisting of methotrexate, anthracychnes, diphtheria toxm and Psueudomonas exotoxm. The targeted agent may also be DNA that encodes a therapeutic protein. Prefeπed conjugates include: FGF-2 in which cysteine 96 is replaced with senne and recombinant saponn with a cysteine inserted at position 1; FGF-2-Ala-Met-SAP;
FGF-2 in which Cys78 and Cys96 are replaced with serine and SAP;
FGF-2 m which Cys78 and Cys96 are replaced with serine and SAP with cathepsm D substrate linker; FGF-2 and SAP with D. T. trypsin substrate linker;
FGF-2 and SAP with Gly4Ser linker;
FGF-2 and SAP with (Gly4Ser)2 linker;
FGF-2 and SAP with cathepsin B substrate linker; FGF-2 and SAP with Ser4Gly linker;
FGF-2 and SAP with (Ser4Gly)2 linker;
FGF-2 and SAP with (Ser4Gly)4 linker;
FGF-2 in which Cys78 and Cys96 are replaced with serine and SAP with trypsin substrate linker;
FGF-2-Ala-Met-SAP-Ala-Met-SAP; SAP-Ala-Met-FGF-2; or
SAP and FGF-2 with (Gly4Ser)2 linker. These conjugates, methods for their preparation and their biological activity are disclosed in WO 95/24928 and US 5,576,288. The disclosed conjugates can be used to deliver a target molecule into a cell expressing an FGFR and may be used to inhibit cell proliferation and other biological activity associated with the FGFR pathway.
lc) Bioactive material comprising a conjugate of a heparin-binding protein or polypeptide growth factor and heparin or heparan sulphate oligosaccharide coupled together through covalent bonds. Preferably the bioactive material is devoid of any significant binding affinity or has reduced binding affinity for heparin or for heparan sulfate glycosaminoglycans compared to the native heparin-binding protein or polypeptide growth factor. The conjugate may also retain the capacity to interact with cell surface receptors and to modulate or exercise the biological activity of the growth factor. In a prefeπed embodiment, molecules of the growth factor component are covalently linked through amide linkages to iduronic acid or glucuronic acid residues, preferably C6 of the iduronic acid or glucuronic acid residues within the molecules of the oligosaccharide component. The molecules of the oligosaccharide component may be in the form of linear chains of disaccharide units carrying one or more molecules of said growth factor coupled along its length. The covalent couplings between the oligosaccharide component and the growth factor component may involve side chains of the amino acids of the growth factor polypeptide molecules. In a prefeπed embodiment, the growth factor polypeptide is a member of the FGF family of proteins, preferably FGF-1 or FGF-2. Preferably the oligosaccharide component is composed of up to 30 monosaccharide residues, preferably less than 20 monosaccharide residues. In some embodiments, the molecules of oligosaccharide component are predominantly of the following formula:

in which
X is ΔHexA(±2S)-GlcNS03(+6S),
Y is IdoA(±2S)-GlcNS03(±6S),
Z is IdoA-GlcR(±6S) where R is NS03 or Nac and n is in the range of 3 to 7.
In another embodiment, the molecules of oligosaccharide component are predominantly of the following formula:
in which
X is ΔHexA(±2S)-GlcNS03(±6S),
Y is IdoA(±2S)-GlcNS03(+6S),
Z is IdoA-GlcR(±δS) where R is NS03 or Nac and n is less than 3. The oligosaccharide may also be linked to a drug or other therapeutically active agent, either directly to the reducing end of the oligosaccharide chains or through a spacer arm or linker. These materials, methods for their preparation and their biological activity are disclosed in WO 99/21588. The disclosed materials are described as being able to inhibit the biological activity of a growth factor.
1) nucleic acid sequences that modulate FGF-2 activity. Prefeπed nucleic acid sequences are those that bind with FGF-2 at a Kd of not greater than about 40nM. The nucleic acid sequences may be in the fonn of a single strand, a double strand, a bubble or stem loop structure, a pseudoknot or a closed circular structure. Prefeπed sequences comprise at least one of the following sequences GUGC, CUGC, AURWA, AUACC and CAUCAGCG. Prefeπed sequences include the following: GGGAGAAGUAGUGUAGGAAUUCAUUUCCAAAUUGAACCUCCUCCGCCUGUGUGCGA ACCCUUAUGAAGGUUCAUGUAGCAGUCUCGAGAGGUCACAGU [SEQ ED NO: 113] GGGAGAAGUAGUGUAGGAAUUCUAAUAGCGUCCGCCAAACACAAGCAAGG CACCAGCCGGUGAGUCCCGGCACUUGUGUUUCCUCGAGAGGUCACAGU [SEQ ID NO: 114] GGGAGAAGUAGUGUAGGAAUUCUUGGCCCGCUGUGCGCUAUUUGAAGUUA GCAUGCCCAUGGUAUCCUGAUUCCUGACCUCCUCGAGAGGUCACAGU [SEQ ID NO: 115]
GGGAGAAGUAGUGUAGGAAUUCUUGGUGAGAUACAUUUAGCUGGGUUCAU GAACUUCGUUGUGAUUUUAGCGGAGGUGCGAACUCGAGAGGUCACAGU [SEQ ID NO: 116]
GGGAGAAGUAGUGUAGGAAUUCCGCAUUGAUGUCCAAAUACGUAUGGCUC UCAUCUUAGUUAACUGUUAUCGAUGGUCCCCACUCGAGAGGUCACAGU [SEQ LD NO: 117] GGGAGAAGUAGUGUAGGAAUUCCUCGUGCGCUGCCUGGAUGGGCACGAUGUAGGG GAAUCUGUCAUCUCUCGGGUCGCUCCCCUCGAGAGGUCACAGU [SEQ ED NO: 118] GGGAGAAGUAGUGUAGGAAUUCUAAGUGAACGCCCAGUUCCAUGUUCACU ACGUUGGGAGGAUCC [SEQ ID NO: 119] GGGAGAAGUAGUGUAGGAAUUCAGCAUGCGUGCGCAGUUGAUCACUGCAUGUAGU GUGUUGACCU AC AGUG AGUAC AGAGCCCUCGAGAGGUC AC AGU [SEQ ID NO : 120] GGGAGAAGUAGUGUAGGAAUUCGUGAGUGUGCGUCUCAAAACAUAUAGCUUAUUU AAAUUGGUUGCUUACACGGCUGGCUCACUCGAGAGGUCACAGU [SEQ ED NO: 121] GGGAGAAGUAGUGUAGGAAUUCGGGUGUGCGUGGCAGCAAAACUGUCCACAUAAA ACUCGAACCGUUUUUAUCGAUGGUCACUCGAGAGGUCACAGU [SEQ ID NO: 122] GGGAGAAGUAGUGUAGGAAUUCUUCGCGAAGCCCCACUUUAAAAAGUGGGACAUG AAUAGGCUCUAAAUGACUCGAGAGGCUCGAGAGGUUCACAGU [SEQ ED NO: 123] GGGAGAAGUAGUGUAGGAAUUCUAGUCGUGCGUGGGUGUUGACGCCCCACAUGUA GGCGGGAGUUGGACCUGUGGAGCUGCUCGAGAGGUCACAGU [SEQ ID NO: 124] GGGAGAAGUAGUGUAGGAAUUCGUGCAUAAAGACGGGCAUUUCCAGCGGCCUGUCG UGCGCACGGCCGAAACUCUCCAAGCCUCUCGAGAGGUCACAGU (SEQ ED NO: 125]
GGGAGAAGUAGUGUAGGAAUUCCACAUGUAGGGCCGAGGGGGAGCCUAGCUACGGC UUGUGCGUGGGAUUCCGUGGACCUCGAGAGGUCACAGU [SEQ ED NO: 126] GGGAGAAGUAGUGUAGGAAUUCCACCACAUACCUAGCGCACACGUUACUGCGUGGU ACACACUACGACAGCUGAGAUUACGCUCGAGAGGUCACAGU [SEQ ID NO: 127] GGGAGAAGUA GUGUAGGAAU UCCGGUCGUU UAUGUGGUGA GCGGGCUGCG UGUGUGAUAG GACAUAUCGC CACAUACCCU CGCUCGAGAG GUCACAGU [SEQ ID NO: 128]
GGGAGAAGUAGUGUAGGAAUUCCGGACCAGAUGCGGCACUAAACCAGGAUACCGGG UGCCGUACCUCCUCUAUUCCUCUGCCCUCGAGAGGUCACAGU [SEQ ID NO: 129] GGGAGAAGUAGUGUAGGAAUUCCGUGCGCGAGAGCAGUCUCGCAUGUAGGUAUGU UAGAAAGCCCACUUCGCUUGGUAUCCUCUCGAGAGGUCACAGU [SEQ ED NO: 130] GGGAGAAGUAGUGUAGGAAUUCCUGCUCUUGAAUGUACAAGGUGCCCGAAUUCUA GUCCUUGCCGUUCAGUUCCGCCGUAUUUCGAGAGGUCACAGU [SEQ ED NO: 131] GGGAGAAGUAGUGUAGGAAUUCAUAAAACCCCACAUACCCAGCUUAGAGCUGCUGC GUGGAGUUUGUCUUAAGAUGUGUUGUCUCGAGAGGUCACAGU [SEQ ID NO: 132] GGGAGAAGUAGUGUAGGAAUUCCGUGGGGCCACCCGUGCGUUCCAGCGGCUGGAAC GAUCCAUCUCCACAUAAAGGGCGCCCUAUGAUGGUCACAGU [SEQ ID NO: 133] GGGAGAAGUAGUGUAGGAAUUCGUUGGAGCGCCGGAGAGUCCCGGCAUCAUUGACU UGUUCAGGCUCUGUAUGCUUAGUUUGCUCGAGAGGUCACAGU [SEQ ED NO: 134] GUGC [SEQ ED NO: 135] CUGC [SEQ ID NO: 136] AURWA [SEQ ID NO: 137] AUACC [SEQ ID NO: 138] GGGAGAAGUAGUGUAGGAAUUCCAAGCAGAACAGUCUGUUCCAAUGGGCUAGACUC CGCGCGCUGGAGUGAGUAUGGUUGAAUUAACGCGAAUUCAGGCCUGG [SEQ ED NO: 139]
GGGAGAAGUAGUGUAGGAAUUCGGGGGGGUACAAUGUGAGCUGCAUAACAGGCCG CAGUCCUCUGCGCAGUCAGCACACUUAACGCGAAUUCAGGCCUGG [SEQ ID NO: 140] GGGAGAAGUAGUGUAGGAAUUCCGUUUAUGUGGGUCUAGGUCAGAACCAUCAGCG GGGCGAGCGUAGGUAGGUCGAAGAUCUUAACGCGAAUUCAGGCCUGG [SEQ ID NO: 141]
GGGAGAAGUAGUGUAGGAAUUCGCAGCGUGGGGGCCGUGUAUCGCAUCGUGCGGGC AUUAUCACCGGGGGAGGCUCGCCGUUAACGCGAAUUCAGGCCUGG [SEQ ID NO: 142] GGGAGAAGUAGUGUAGGAAUUCACAUGAAACGGCGUUCGGUUGUCUGCGUGACGU ACACUACCUACCGUCUGCACUGUUCAUUUAACGCGAAUUCAGGCCUGG [SEQ ID NO: 143]
GGGAGAAGUAGUGUAGGAAUUCGGCUGUACUCAGUCGGAGCGGGCGGCACGAUCAU CAAGGAUAAUCUGAUUUAAUUCGAUUAACGCGAAUUCAGGCCUGG [SEQ ID NO: 144] GGGAGAAGUAGUGUAGGAAUUCAGACUCCGUGUGGGGCGCCUACUCACAUCUCGAA AUGUUGUCGAAGGCCUUGCAACAGCUUAACGCGAAUUCAGGCCUGG [SEQ ED NO: 145]
GGGAGAAGUAGUGUAGGAAUUCACUAUCCACGACGAAAUGUAAUCGGCCACAUCAG CGUGGUCGCUUUGUUAGGCGUGUGUUAACGCGAAUUCAGGCCUGG [SEQ ID NO: 146] GGGAGAAGUAGUGUAGGAAUUCCCCACUCUAAACACCAAUGGUCCACACGGUCAUA ACCAGUUCCGCGACUGCUCCACAUUAACGCGAAUUCAGGCCUGG [SEQ ED NO: 147] GGGAGAAGUAGUGUAGGAAUUCAGCCCCGGACAUAAAGUGAAAUCAUUGGACACG UUAGUCAUGAAAACUCUCUGCGUCCAUUAACGCGAAUUCAGGCCUGG [SEQ ID NO: 148]
GGGAGAAGUAGUGUAGGAAUUCCGGAUGACAGAUCCGAUGCACCAUUGGAUCGCAU CGCAGGUGGUGCAAUGCCGUUCGUUUAACGCGAAUUCAGGCCUG [SEQ ID NO: 149] GGGAGAAGUAGUGUAGGAAUUCUGCGGCAGUGAGGUGUAGUAUAAGGCGUGUGAG UUCAGAAUAGUGCGGCCGAGCGUGGCAUUAACGCGAAUUCAGGCCUGG [SEQ ED NO: 150]
GGGAGAAGUAGUGUAGGAAUUCAUCAGCGAAUUUGUGAGAUGACUUAGCAAGAAG CGGGUAUGUGUGUGUGGCUAGGUCUGUUAACGCGAAUUCAGGCCUGG [SEQ ID NO: 151] GGGAGAAGUAGUGUAGGAAUUCGUGGGGUGGGUGCGCUGCGACUGCUGCUGGCAU AAACCGCUCUCUAAACACUCAGUGUUAACGCGAAUUCAGGCCUGG [SEQ ID NO: 152] GGGAGAAGUAGUGUAGGAAUUCUACAGGAGGACAACUUGAGAGGUGGGUAAGCGG CGCCGUAUCAGCACGGGAUGUGGCUUAACGCGAAUUCAGGCCUGG [SEQ ID NO: 153] GGGAGAAGUAGUGUAGGAAUUCAGGCGCCCGGGUACACAGGAUGCGACGUUCAUAG GAACCUAAGUCUCCGCUUAGGGUGCAUUAACGCGAAUUCAGGCCUGG [SEQ ED NO: 154]
GGGAGAAGUAGUGUAGGAAUUCCCAGAUAUCGAAGCGCUGUGCUUUGGGUGAACA UGAAGUGGUGAUAUAUACCGACGUGCGUUAACGCGAAUUCAGGCCUGG [SEQ ID NO: 155] GGGAGAAGUAGUGUAGGAAUUCCCGGAUACUCAGGGGGGGUUCGUAUGAUAUCAU CAGCGGUGGCCAUAGAGCCAAUUCUCCUUAACGCGAAUUCAGGCCUGG [SEQ ID NO: 156]
GGGAGAAGUAGUGUAGGAAUUCGUGCGCCAUGUACGCUACAUAAGUCUUAGCGGU GCGCAAAGCGCAGUGAGAGAUCAUUAACGCGAAUUCAGGCCUGG [SEQ ID NO: 157] GGGAGAAGUAGUGUAGGAAUUCGGCAGGGGAUGUUGAAGUACCGUACCCAUCAGC GGGUGUGGCAGUGAUGGAAUUCUUAACGCGAAUUCAGGCCUGG [SEQ ID NO: 158] GGGAGAAGUAGUGUAGGAAUUCGGACACCCCUACUGGCCAGCGGUUGUUAAUGCUU UCUGGGCAGAUGAGUACCAUGGGUUAACGCGAAUUCAGGCCUGG [SEQ ED NO: 159] GGGAGAAGUAGUGUAGGAAUUCAGGGAUGGCACGUCCAGACCGUCUGGCGCAGCUC AGGGCCUGACGUUGUAGCAGGCGGCUUAACGCGAAUUCAGGCCUGG [SEQ ID NO: 160]
GGGAGAAGUAGUGUAGGAAUUCACCCGAUUUCAGCGGCUCAUGCACGUUAGCCCAA
GGUUGUAGCAUCAGCGCGGCAUCCUUUAACGCGAAUUCAGGCCUGG [SEQ ID NO:
161] GGGAGAAGUAGUGUAGGAAUUCCGGACUGACUCGAGGUGUUGAUGGUUAUAUACU
GCGCAUUCAUCGUGGGUGCAAUUGUUAACGCGAAUUCAGGCCUGG [SEQ EDNO: 162]
GGGAGAAGUAGUGUAGGAAUUCCAUCAUGUUGUCGUGGGGUGUGCGGUUAGACCA
UAUAGCCCCGGGUACUGCUAUGUGCUUAACGCGAAUUCAGGCCUGG [SEQ ID NO:
163] GGGAGAAGUAGUGUAGGAAUUCCCAGAGUUGUAUAGGCGGCUAGGUUACGAAAGU
UCAAAAUAGUGGCUUUUGUCGGGUCCAUUAACGCGAAUUCAGGCCUGG [SEQ ED NO:
164]
GGGAGAAGUAGUGUAGGAAUUCAUAGCUGUCGUCGAUCCGUGUUGCUUCUGAGGU
GAUGUUUAUGUGAUUUGUCCNGCCUUAACGCGAAUUCAGGCCUGG [SEQ ID NO: 165] CAUCAGCG [SEQ IDNO: 166]. These nucleic acid sequences, methods for preparing them and their biological activity are disclosed in WO 95/00528. The disclosed nucleic acids are described as inhibitors of FGF-2 activity.
m) Other compounds or proteins described as having an inhibitory effect on FGF activity, especially FGF-1 and FGF-2 include interferons, especially type I interferon, pirfenidone, heparin, heparin-like polyaromatic anionic compounds, heparin-sulfate based compounds, secreted or soluble FGF receptors and RGD-peptide. These compounds and their biological activity are disclosed in US 6,440,445 and WO 98/14169. The disclosed compounds are described as blocking the FGF interaction with the FGFR.
n) In other embodiments, compounds that bind to (e.g, antibodies or drugs), remove (e.g, enzymes) or prevent the expression of (e.g, antisense constructs) the surface of the extracellular domain of glypican-1 can be used to attenuate glypican-1 protein levels and the mitogenic response to FGF-2 and other growth factors. Illusfrative examples of this type include abrogation of FGF-2 mitogenic response by the enzyme phosphoinositide-specific phospholipase-C and transfection of a glypican-1 antisense construct. Non-limiting examples of such compounds are disclosed in WO 00/23109. o) hi some embodiments, the FGF antagonist inhibits high affinity binding of the growth factor to its receptor. In illusfrative examples of this type, the FGF antagonist is selected from (i) a soluble CD44 isoform carrying at least one chain of heparan sulfate, (ii) a recombinant chimeric fusion protein comprising the amino acid sequence of a soluble CD44 isoform fused to a tag suitable for proteoglycan purification, said fusion molecule being post-franslationally glycosylated to carry at least on chain of heparan sulfate; and (iii) a sugar molecule being a heparan sulfate derived from a CD44 isoform, or fragment thereof. Non-limiting examples of such FGF antagonists are disclosed in WO 03/014160.
p) Antibodies directed against an antigenic determinant of high molecular weight kininogen domain 5 have been shown to inhibit proliferation of endothelial cells in response to a typical growth factor such as FGF-2. Illusfrative embodiments of such antibodies include antibodies directed against a determinant located in the region formed by light chain amino acids Gly(440) to Lys(502). Non-limiting examples of such antibodies are disclosed in WO 01/34195.
q) Peptides designed to incoφorate the essential characteristics of FGF-2 required for binding to FGF2R are disclosed in Cosic et al, Molecular and Cellular Biochemistry, 130, 1-9, 1994. The disclosed peptides are described as antagonists of the stimulatory activity of FGF-2 on fibroblast thymidine incoφoration and cell proliferation. An exemplary peptide described has the following sequence:
Met-Tφ-Tyr-Arg-Pro-Asp-Leu-Asp-Glu-Arg-Lys-Gln-Gln-Lys-Arg-Glu [SEQ ED NO: 167]
r) Polypeptides that are structurally related to the protein, SPROUTY-1, are disclosed in WO 00/15781. The disclosed polypeptides are described as inhibitors of FGF-2/FGFR mediated signalling and inhibitors of adverse effects of FGF. In some embodiments the sequence of the polypeptide comprises at least 20 contiguous amino acids of the following sequence:
Met-Asp-Pro-Gln-Asn-Gln-His-Gly-Ser-Gly-Ser-Ser-Leu-Val-Val-Ile-Gln-Gln-Pro-Ser-Leu-Asp- Ser-Arg-Gln-Arg-Leu-Asp-Tyr-Glu-Arg-Glu-Ile-Gln-Pro-Thr-Ala-Ile-Leu-Ser-Leu-Asp-Gln-Ile- Lys-Ala-Ile-Arg-Gly-Ser-Asn-Glu-Tyr-Thr-Glu-Gly-Pro-Ser-Val-Val-Lys-Arg-Pro-Ala-Pro-Arg- Thr-Ala-Pro-Arg-Gln-Glu-Lys-His-Glu-Arg-Thr-His-Glu-lle-Ile-Pro-Ile-Asn-Val-Asn-Asn-Asn- Tyr-Glu-His-Arg-His-Thr-Ser-His-Leu-Gly-His-Ala-Val-Leu-Pro-Ser-Asn-Ala-Arg-Gly-Pro-Ile- Ser-Arg-Ser-Thr-Ser-Thr-Gly-Ser-Ala-Ala-Ser-Ser-Gly-Ser-Asn-Ser-Ser-Ala-Ser-Ser-Glu-Gln- Gly-Leu-Leu-Gly-Arg-Ser-Pro-Pro-Thr-Arg-Pro-Val-Pro-Gly-His-Arg-Ser-Glu-Arg-Ala-Ile-Arg- Thr-Gln-Pro-Lys-Gln-Leu-Ile-Val-Asp-Asp-Leu-Lys-Gly-Ser-Leu-Lys-Glu-Asp-Leu-Thr-Gln-His- Lys-Phe-Ile-Cys-Glu-Gln-Cys-Gly-Lys-Cys-Lys-Cys-Gly-Glu-Cys-Thr-Ala-Pro-Arg-Thr-Leu-Pro- Ser-Cys-Leu-Ala-Cys-Asn-Arg-Gln-Cys-Leu-Cys-Ser-Ala-Glu-Ser-Met-Val-Glu-Tyr-Gly-Thr- Cys-Met-Cys-Leu-Val-Lys-Gly-Ile-Phe-Tyr-His-Cys-Ser-Asn-Asp-Asp-Glu-Gly-Asp-Ser-Tyr-Ser- Asp-Asn-Pro-Cys-Ser-Cys-Ser-Gln-Ser-His-Cys-Cys-Ser-Arg-Tyr-Leu-Cys-Met-Gly-Ala-Met- Ser-Leu-Phe-Leu-Pro-Cys-Leu-Leu-Cys-Tyr-Pro-Pro-Ala-Lys-Gly-Cys-Leu-Lys-Leu-Cys-Arg- Arg-Cys-Tyr-Asp-Tφ-Ile-His-Arg-Phe-Gly-Cys-Arg-Cys-Lys-Asn-Ser-Asn-Thr-Val-Tyr-Cys- Lys-Leu-Glu-Ser-Cys-Pro-Ser-Arg-Gly-Gln-Gly-Lys-Pro-Ser [SEQ ED NO: 168] This sequence is the same as SEQ ID NO: 24 of WO 00/15781.
s) Phosphorylated peptide mimetics capable of inhibiting the activity of FGF are disclosed in
Dunican et al , 2001, Cell Growth & Differentiation, 12:255-264. The peptides are descnbed as antagonists of FGF-mediated mitogenesis. The peptides may be conjugated to a cell permeant peptide such as an Antennapedia internalization sequence, for example, RQIKIWFQNRRMKWKK
(Williams et al , 1997, J Biol Chem , 272:22349-22354; Derossi et al , 1998, Trends Cell Biol ,
8 84-87 In some embodiments the sequence of the peptide comprises the phosphorylated peptides:
ThrAsnGluLeuTyr(OP03H2)MetMetMetArg [SEQ ED NO: 169]; SerAsnGlnGluTyr(OP03H2)LeuAspLeuSer [SEQ ED NO: 170];
ThrAsnGluLeuTyr(OP03H2)MetMetMetArgArgGlnIleLysIleTφPheGlnAsnArgArgMet
LysTφLysLys [SEQ ID NO: 171];
ArgGlnIleLysIleTφPheGlnAsnArgArgMetLysTφLysLysThrAsnGluLeuTyr(OP03H2)
MetMetMetArg [SEQ ID NO: 172]; SerAsnGlnGluTyr(OP03H2)LeuAspLeuSerArgGlnIleLysIleTφPheGlnAsnArgArgMetLysTφLys
Lys [SEQ ED NO: 173], and
ArgGlnIleLysIleTφPheGlnAsnArgArgMetLysTφLysLysSerAsnGlnGluTyr(OP03H2)LeuAspLeu
Ser [SEQ ID NO: 174].
3. Identification of target molecule modulators
Methods of screening for an agent that modulates a FGF signalling pathway, including modulating the expression of a gene or the level and/ or functional activity of an expression product of that gene, wherein the gene is selected from a Fgf gene, a Fgfr gene, a gene relating to the same regulatory or biosynthetic pathway as the Fgf gene or a Fgfr gene, a gene relating to the same regulatory or biosynthetic pathway as the FGFR gene, or a gene whose expression product modulates (e.g, promotes, enhances or capacitates; or inhibits or impairs) the interaction between a FGF and a FGFR, or a gene whose expression is modulated directly or indirectly by an expression product of the Fgf'gene, or that antagonizes the function of a FGFR with which a FGF interacts, are also provided. The methods may comprise: (1) contacting a preparation with a test agent, wherein the preparation contains (i) a polypeptide comprising an amino acid sequence coπesponding to at least a biologically active fragment of a polypeptide component of the FGF signalling pathway, or to a variant or derivative thereof; or (ii) a polynucleotide comprising at least a portion of a genetic sequence that regulates the component, which is operably linked to a reporter gene; and (2) detecting a change in the level and or functional activity of the polypeptide component, or an expression product of the reporter gene, relative to a normal or reference level and/or functional activity in the absence of the test agent, which indicates that the agent modulates the FGF signalling pathway. Any suitable assay for detecting, measuring or otherwise determining modulation of adipogenesis (e.g, such as by detecting preadipocyte proliferation and differentiation potential), may be used. Assays of a suitable nature are known to persons of skill in the art and examples of these are described in a number of the citations in Section 2 Supra. Modulators falling within the scope of the present invention include antagonists of a FGF signaling pathway including antagonistic antigen-binding molecules, and inhibitor peptide fragments, antisense molecules, ribozymes, RNAi molecules and co-suppression molecules, phospholipase C inhibitors and kinase inhibitors, as for example described in Section 2. Candidate agents encompass numerous chemical classes, though typically they are organic molecules, preferably small organic compounds having a molecular weight of more than 50 and less than about 2,500 Dalton. Candidate agents comprise functional groups necessary for structural interaction with proteins, particularly hydrogen bonding, and typically include at least an amine, carbonyl, hydroxyl or carboxyl group, preferably at least two of the functional chemical groups. The candidate agent often comprises cyclical carbon or heterocyclic structures or aromatic or polyaromatic structures substituted with one or more of the above functional groups. Candidate agents are also found among biomolecules including, but not limited to: peptides, saccharides, fatty acids, steroids, purines, pyrimidines, derivatives, structural analogues or combinations thereof. Small (non-peptide) molecule antagonists of a FGF polypeptide or a FGFR polypeptide, are particularly prefeπed. In this regard, small molecules are particularly prefeπed because such molecules are more readily absorbed after oral adminisfration, have fewer potential antigenic determinants, or are more likely to cross the cell membrane than larger, protem-based pharmaceuticals Small organic molecules may also have the ability to gam entry into an appropriate cell and affect the expression of a gene (eg by interacting with the regulatory region or transcription factors involved m gene expression); or affect the activity of a gene by inhibiting or enhancing the binding of accessory molecules. Alternatively, hbranes of natural compounds m the form of bactenal, fungal, plant and animal extracts are available or readily produced. Additionally, natural or synthetically produced hbranes and compounds are readily modified through conventional chemical, physical and biochemical means, and may be used to produce combinatorial libraries. Known pharmacological agents may be subjected to directed or random chemical modifications, such as acylation, alkylation, esteπfication, amidifϊcation, etc to produce structural analogues. Screening may also be directed to known pharmacologically active compounds and chemical analogues thereof. Screening for modulatory agents according to the invention can be achieved by any suitable method. For example, the method may include contacting a cell expressing a polynucleotide coπesponding to a Fgf gene or a Fgfr gene or to a gene belonging to the same regulatory or biosynthetic pathway as a Fgf or Fgfr gene, with an agent suspected of having the modulatory activity and screening for the modulation of the level or functional activity of a protein encoded by the polynucleotide, or the modulation of the level of a transcnpt encoded by the polynucleotide, or the modulation of the activity or expression of a downsfream cellular target of the protein or of the transcript (hereafter refeπed to as target molecules). Detecting such modulation can be achieved utilizing techniques including, but not restricted to, ELISA, cell-based ELISA, inhibition ELISA, Western blots, lmmunoprecipitation, slot or dot blot assays, lmmunostammg, RIA, scintillation proximity assays, fluorescent immunoassays using antigen- binding molecule conjugates or antigen conjugates of fluorescent substances such as fluorescein or rhodamine, Ouchterlony double diffusion analysis, immunoassays employing an avidm-biotm or a sfreptavidm-biotin detection system, and nucleic acid detection assays including reverse franscπptase polymerase chain reaction (RT-PCR). It will be understood that a polynucleotide from which a target molecule of interest is regulated or expressed may be naturally occuπmg m the cell which is the subject of testing or it may have been infroduced into the host cell for the puφose of testing. Further, the naturally- occuπmg or infroduced polynucleotide may be constitutively expressed - thereby providing a model useful in screening for agents which down-regulate expression of an encoded product of the sequence wherein the down regulation can be at the nucleic acid or expression product level - or may require activation - thereby providing a model useful in screening for agents that up-regulate expression of an encoded product of the sequence. Further, to the extent that a polynucleotide is introduced into a cell, that polynucleotide may comprise the entire coding sequence which codes for a target protein or it may comprise a portion of that coding sequence (e.g, the FGF binding domain of a FGFR or the FGFR binding domain of a Fgf, or the HSPG-binding domain of a FGFR) or a portion that regulates expression of a product encoded by the polynucleotide (e.g, a promoter). For example, the promoter that is naturally associated with the polynucleotide may be infroduced into the cell that is the subject of testing. In this regard, where only the promoter is utilized, detecting modulation of the promoter activity can be achieved, for example, by operably linking the promoter to a suitable reporter polynucleotide including, but not resfricted to, green fluorescent protein (GFP), luciferase, β-galactosidase and catecholamine acetyl fransferase (CAT). Modulation of expression may be determined by measuring the activity associated with the reporter polynucleotide. In another example, the subject of detection could be a downsfream regulatory target of the target molecule, rather than the target molecule itself or the reporter molecule operably linked to a promoter of a gene encoding a product the expression of which is regulated by the target protein. These methods provide a mechanism for performing high throughput screening of putative modulatory agents such as proteinaceous or non-proteinaceous agents comprising synthetic, combinatorial, chemical and natural libraries. These methods will also facilitate the detection of agents which bind either the polynucleotide encoding the target molecule or which modulate the expression of an upstream molecule, which subsequently modulates the expression of the polynucleotide encoding the target molecule. Accordingly, these methods provide a mechanism of detecting agents that either directly or indirectly modulate the expression or activity of a target molecule according to the invention. In a series of embodiments, the present invention provides assays for identifying small molecules or other compounds (ie modulatory agents) which are capable of inhibiting the level and/or functional activity of target molecules according to the invention. The assays may be performed in vitro using non-transformed cells, immortalized cell lines, or recombinant cell lines. hi addition, the assays may detect the presence of increased or decreased expression of genes or production of proteins on the basis of increased or decreased mRNA expression (using, for example, the nucleic acid probes disclosed herein), increased or decreased levels of protein products (using, for example, the antigen binding molecules disclosed herein), or increased or decreased levels of expression of a reporter gene (e.g, GFP, /3-galactosidase or luciferase) operably linked to a target molecule-related gene regulatory region in a recombinant construct. Thus, for example, one may culture cells which produce a particular target molecule and add to the culture medium one or more test compounds. After allowing a sufficient period of time (e.g, 6-72 hours) for the compound to induce or inhibit the level or functional activity of the target molecule, any change in the level from an established baseline may be detected using any of the techniques described above and well known in the art. In particularly prefeπed methods, the cells are preadipocytes or micro vascular endothelial cells (MVEC). Using suitable nucleic acid probes or antigen-binding molecules, detection of changes in the level and or functional activity of a target molecule, and thus identification of the compound as an antagonist of the target molecule, requires only routine experimentation. In some embodiments, recombinant assays are employed in which a reporter gene encoding, for example, GFP, /3-galactosidase or luciferase is operably linked to the 5' regulatory regions of a target molecule related gene. Such regulatory regions may be easily isolated and cloned by one of ordinary skill in the art. The reporter gene and regulatory regions are joined in- frame (or in each of the three possible reading frames) so that transcription and translation of the reporter gene may proceed under the confrol of the regulatory elements of the target molecule related gene. The recombinant construct may then be infroduced into any appropriate cell type although mammalian cells are prefeπed, and human cells are most prefeπed. The transformed cells may be grown in culture and, after establishing the baseline level of expression of the reporter gene, test compounds may be added to the medium. The ease of detection of the expression of the reporter gene provides for a rapid, high throughput assay for the identification of antagonists of the target molecules of the invention. Compounds identified by this method will have potential utility in modifying the expression of target molecule related genes in vivo. These compounds may be further tested in the animal models to identify those compounds having the most potent in vivo effects, hi addition, as described above with respect to small molecules having target polypeptide binding activity, these molecules may serve as "lead compounds" for the further development of pharmaceuticals by, for example, subjecting the compounds to sequential modifications, molecular modelling, and other routine procedures employed in rational drug design. Methods of identifying agents that inhibit FGF activity are provided in which a purified preparation of a FGF protein is incubated in the presence and absence of a candidate agent under conditions in which the FGF is active, and the level of FGF activity is measured by a suitable assay. For example, a FGF inhibitor can be identified by measuring the ability of a candidate agent to decrease FGF activity in a cell (e.g, a MVEC and a preadipocyte). hi one embodiment of this method, a MVEC that is capable of expressing a Fgf, is co-cultured with preadipocytes, and the cells in the culture medium are exposed to, or cultured in the presence and absence of, the candidate agent under conditions in which the FGF is active in the cells, and an activity relating to adipogenesis such as the enhancement of the differentiation potential of preadipocytes is detected. An agent tests positive if it inhibits this activity. Methods of identifying agents that inhibit or prevent FGFR activation are provided in which a purified preparation of a FGFR protein is incubated in the presence and absence of a candidate agent under conditions in which the FGFR is able to bind a FGF ligand, and the level of FGFR activation is measured by a suitable assay. For example, a FGFR antagonist can be identified by measuring the ability of a candidate agent to decrease FGFR activation in a cell (e.g. a preadipocyte) from a baseline value in the presence of receptor ligand. In one embodiment of this method, a preadipocyte that is capable of expressing a Fgfr, is co-cultured with MVEC, and the cells in the culture medium are exposed to, or cultured in the presence and absence of, the candidate agent under conditions in which the FGF is active in the cells, and an activity relating to adipogenesis such as enhancement of the differentiation potential of preadipocytes is detected. An agent tests positive if it inhibits this activity. hi still other embodiments, random peptide libraries consisting of all possible combinations of amino acids attached to a solid phase support may be used to identify peptides that are able to bind to a target molecule or to a functional domain thereof. Identification of molecules that are able to bind to a target molecule may be accomplished by screening a peptide library with a recombinant soluble target molecule. The target molecule may be purified, recombinantly expressed or synthesized by any suitable technique. Such molecules may be conveniently prepared by a person skilled in the art using standard protocols as for example described in Sambrook, et al, (1989, supra) in particular Sections 16 and 17; Ausubel et al, ("Cuπent Protocols in Molecular Biology", John Wiley & Sons Inc, 1994-1998), in particular Chapters 10 and 16; and Coligan et al, ("Cuπent Protocols in Immunology", (John Wiley & Sons, Inc, 1995-1997), in particular Chapters 1, 5 and 6. Alternatively, a target polypeptide according to the invention may be synthesized using solution synthesis or solid phase synthesis as described, for example, in Chapter 9 of Atherton and Shephard (supra) and in Roberge et al (1995, Science 269: 202). To identify and isolate the peptide/solid phase support that interacts and forms a complex with a target molecule, suitably a target polypeptide, it may be necessary to label or "tag" the target polypeptide. The target polypeptide may be conjugated to any suitable reporter molecule, including enzymes such as alkaline phosphatase and horseradish peroxidase and fluorescent reporter molecules such as fluorescein isothyiocynate (FITC), phycoerythrin (PE) and rhodamine. Conjugation of any given reporter molecule, with target polypeptide, may be performed using techniques that are routine in the art. Alternatively, target polypeptide expression vectors may be engineered to express a chimeric target polypeptide containing an epitope for which a commercially available antigen-binding molecule exists. The epitope specific antigen-binding molecule may be tagged using methods well known in the art including labelling with enzymes, fluorescent dyes or coloured or magnetic beads. For example, the "tagged" target polypeptide conjugate is incubated with the random peptide library for 30 minutes to one hour at 22° C to allow complex formation between target polypeptide and peptide species within the library. The library is then washed to remove any unbound target polypeptide. If the target polypeptide has been conjugated to alkaline phosphatase or horseradish peroxidase the whole library is poured into a pefri dish containing a substrate for either alkaline phosphatase or peroxidase, for example, 5-bromo-4-chloro-3-indoyl phosphate (BCIP) or 3,3 ',4,4"- diamnobenzidine (DAB), respectively. After incubating for several minutes, the peptide/solid phase-target polypeptide complex changes colour, and can be easily identified and isolated physically under a dissecting microscope with a micromanipulator. If a fluorescently tagged target polypeptide has been used, complexes may be isolated by fluorescent activated sorting. If a chimeric target polypeptide having a heterologous epitope has been used, detection of the peptide/target polypeptide complex may be accomplished by using a labelled epitope specific antigen-binding molecule. Once isolated, the identity of the peptide attached to the solid phase support may be determined by peptide sequencing.
4. Methods of detecting expression of genes involved in an FGF signalling pathway
Since genes of the FGF signalling pathway (e.g, Fgf genes and Fgfr genes) are considered to be associated with adipogenesis, and in particular, in priming preadipocytes for differentiation, it is proposed that abeπations in expression of such genes may underlie or contribute to dysfunctional adipogenesis including elevated adipogenesis that may be linked with a predisposition to developing obesity or obesity-related conditions, including but not limited to: familial obesity, atherosclerosis, hypertension and diabetes. Accordingly, the present invention contemplates a method for detecting the presence or diagnosing the risk of obesity in a patient, comprising determining the presence of an abeπant gene involved in a FGF signalling pathway (e.g, an abeπant Fgf gene or Fgfr gene) or an abeπant expression product of that gene in a biological sample obtained from the patient, wherein the abeπant gene or the abeπant expression product coπelates with the presence of or predisposition to developing obesity or obesity-related conditions. In some embodiments, the method comprises detecting a level and/or functional activity of an expression product of the gene, which is different than a normal reference level and/or functional activity of that expression product. For example, the presence of, or the probable affliction with, obesity is diagnosed when a Fgf gene product or a Fgfr gene product is expressed at a detectably higher level compared to the level at which it is expressed in normal, non-obese patients or in non-affected patients. Alternatively, obesity is diagnosed by detecting a level or functional activity of an expression product of a Fgf gene or a Fgfr gene, which is increased or elevated relative to a normal, non-obese reference level or functional activity of that gene. Thus, it will be desirable to qualitatively or quantitatively determine protein levels or transcription levels of components of a FGF signaling pathway. Alternatively or additionally, it may be desirable to search for abeπant structural genes of the FGF signaling pathway and their regulatory regions. The biological sample can be any suitable tissue (e.g, a biopsy of subcutaneous connective tissue or omental tissue) or fluid. 4.1 Genetic Diagnosis One method useful in the present invention is a method for detecting an increase in the expression of a gene involved in a FGF signalling pathway. For example, one may detect the expression of a Fgf gene or a Fgfr gene by qualitatively or quantitatively determining the transcripts of the Fgf gene in a cell (e.g, a MVEC) or the transcripts of a Fgfr gene in a cell (e.g, a preadipocyte). Another method useful in the present invention is a method for detecting an increase in the expression or function of a gene involved in a FGF signalling pathway (e.g, a Fgf gene or a Fgfr gene) by examining the genes and transcripts of a cell (e.g, a MVEC). In these methods, nucleic acid can be isolated from cells contained in the biological sample, according to standard methodologies (Sambrook, et al, "Molecular Cloning. A Laboratory Manual", Cold Spring Harbor Press, 1989; Ausubel et al., "Cuπent Protocols in Molecular Biology", John Wiley & Sons Inc, 1994-1998). The nucleic acid may be genomic DNA or fractionated or whole cell RNA. Where RNA is used, it may be desired to convert the RNA to a complementary DNA. hi one embodiment, the RNA is whole cell RNA; in another, it is poly-A RNA. In one embodiment, the nucleic acid is amplified by a nucleic acid amplification technique. Suitable nucleic acid amplification techniques are well Icnown to the skilled person, and include the polymerase chain reaction (PCR) as for example described in Ausubel et al (supra); strand displacement amplification (SDA) as for example described in U.S. Patent No 5,422,252; rolling circle replication (RCR) as for example described in Liu et al, (1996) and International application WO 92/01813) and Lizardi et al, (International Application WO 97/19193); nucleic acid sequence-based amplification (NASBA) as for example described by Sooknanan et al, (1994, Biotechniques 17:1077-1080); and Q-/3 replicase amplification as for example described by Tyagi et al, (1996, Proc. Natl. Acad. Sci. USA 93: 5395- 5400). Depending on the format, the specific nucleic acid of interest is identified in the sample directly using amplification or with a second, Icnown nucleic acid following amplification. Next, the identified product is detected. In certain applications, the detection may be performed by visual means (e.g, ethidium bromide staining of a gel). Alternatively, the detection may involve indirect identification of the product via chemiluminescence, radioactive scintigraphy of radiolabel or fluorescent label or even via a system using electrical or thermal impulse signals (Affymax Technology; Bellus, 1994, J Macromol. Sci. Pure, Appl. Chem., A31(l): 1355-1376). Following detection, one may compare the results seen in a given patient with a confrol reaction or a statistically significant reference group of nonnal subjects. In this way, it is possible to coπelate the amount of an expression product detected with the progression or severity of the obesity. In addition to determining levels of transcripts, it also may prove useful to examine various types of defects. These defects could include deletions, insertions, point mutations and duplications. Point mutations result in stop codons, frameshift mutations or amino acid substitutions. Somatic mutations are those occuπing in non-germline tissues. Germ-line tissue can occur in any tissue and are inherited. Mutations in and outside the coding region also may affect the amount of FGF signalling pathway component produced, both by altering the franscription of the gene or in stabilizing or otherwise altering the processing of either the transcript (mRNA) or protein. A variety of different assays are contemplated in this regard, including but not limited to, fluorescent in situ hybridization (FISH), direct DNA sequencing, pulse field gel electrophoresis (PFGE) analysis, Southern or Northern blotting, single-sfranded conformation analysis (SSCA), RNase protection assay, allele-specific oligonucleotide (ASO), dot blot analysis, denaturing gradient gel electrophoresis, RFLP and PCR-SSCP. Also contemplated by the present invention are chip-based DNA technologies such as those described by Hacia et al. (1996, Nature Genetics 14: 441-447) and Shoemaker et al. (1996, Nature Genetics 14: 450-456). Briefly, these techniques involve quantitative methods for analysing large numbers of genes rapidly and accurately. By tagging genes with oligonucleotides or using fixed probe aπays, one can employ chip technology to segregate target molecules as high density aπays and screen these molecules on the basis of hybridization. See also Pease et al. (1994, Proc. Natl. Acad. Sci. U.S.A. 91: 5022-5026); Fodor et al. (1991, Science 251: 767-773). 4.2 Protein-based diagnostics
Antigen-binding m olecules Antigen-binding molecules that are immuno-interactive with a target molecule of the present invention can be used in measuring an increase or decrease in the expression of FGF signalling pathway genes. Thus, the present invention also contemplates antigen-binding molecules that bind specifically to an expression product of a gene involved in a FGF signalling pathway (e.g, FGF or a FGFR polypeptide or proteins that regulate or otherwise influence the level and/or functional activity of one or more FGF polypeptides or FGFR polypeptides). For example, the antigen-binding molecules may comprise whole polyclonal antibodies. Such antibodies may be prepared, for example, by injecting a target molecule of the invention into a production species, which may include mice or rabbits, to obtain polyclonal antisera. Methods of producing polyclonal antibodies are well Icnown to those skilled in the art. Exemplary protocols which may be used are described for example in Coligan et al, "Cuπent Protocols hi Immunology", (John Wiley & Sons, Inc, 1991), and Ausubel et al, (1994-1998, supra), in particular Section III of Chapter 11. hi lieu of the polyclonal antisera obtained in the production species, monoclonal antibodies may be produced using the standard method as described, for example, by Kohler and Milstein (1975, Nature 256, 495-497), or by more recent modifications thereof as described, for example, in Coligan et al, (1991, supra) by immortalizing spleen or other antibody-producing cells derived from a production species which has been inoculated with target molecule of the invention. The methods of the present invention also contemplate as antigen-binding molecules Fv, Fab, Fab' and F(ab')2 immunoglobulin fragments. Alternatively, the antigen-binding molecule may be in the fonn of a synthetic stabilized Fv fragment, a single variable region domain (also Icnown as a dAbs), a "minibody" and the like as Icnown in the art. Also contemplated as antigen binding molecules are humanized antibodies. Humanized antibodies are produced by transfeπing complementary determining regions from heavy and light variable chains of a non human (e.g, rodent, preferably mouse) immunoglobulin into a human variable domain. Typical residues of human antibodies are then substituted in the framework regions of the non human counteφarts. The use of antibody components derived from humanized antibodies obviates potential problems associated with the immunogenicity of non human constant regions. General techniques for cloning non human, particular murine, immunoglobulin variable domains are described, for example, by Orlandi et al. (1989, Proc. Natl. Acad. Sci. USA 86: 3833). Techniques for producing humanised monoclonal antibodies are described, for example, by Jones et al. (1986, Nature 321:522), Carter et al. (1992, Proc. Natl. Acad. Sci. USA 89: 4285), Sandhu (1992, Crit. Rev. Biotech. 12: 437), Singer et al. (1993, J. Immun. 150: 2844), Sudhir (ed. Antibody Engineering Protocols, Humana Press, Inc. 1995), Kelley ("Engineering Therapeutic Antibodies", in Protein Engineering: Principles and Practice Cleland et al. (eds.), pages 399-434 (John Wiley & Sons, Inc. 1996), and by Queen et al, U.S. Pat. No. 5,693,762 (1997).
4.2.1 Immunodiagnostic assays The above antigen-binding molecules have utility in measuring directly or indirectly modulation of FGF signalling pathway gene expression in healthy and diseased states, through techniques such as ELISAs and Western blotting. Illusfrative assay strategies which can be used to detect a target polypeptide of the invention include, but are not limited to, immunoassays involving the binding of an antigen-binding molecule to the target polypeptide (e.g, a FGF polypeptide) in the sample, and the detection of a complex comprising the antigen-binding molecule and the target polypeptide. Exemplary immunoassays are those that can measure the level or functional activity of a target molecule of the invention. Typically, an antigen-binding molecule that is immuno- interactive with a target polypeptide of the invention is contacted with a biological sample suspected of containing the target polypeptide. The concenfration of a complex comprising the antigen-binding molecule and the target polypeptide is measure in and the measured complex concenfration is then related to the concenfration of target polypeptide in the sample. Consistent with the present invention, the presence of an abeπant concentration, especially an elevated concenfration, of the target polypeptide is indicative of the presence of, or probable affliction with, adipogenic dysfunction including obesity. Any suitable technique for determining formation of an antigen-binding molecule-target antigen complex may be used. For example, an antigen-binding molecule according to the invention, having a reporter molecule associated therewith may be utilized in immunoassays. Such immunoassays include, but are not limited to, radioimmunoassays (RIAs), enzyme-linked immunosorbent assays (ELISAs) and immunochromatographic techniques (ICTs), Western blotting which are well Icnown to those of skill in the art. For example, reference may be made to Coligan et al (1994, supra) which discloses a variety of immunoassays that may be used in accordance with the present invention. Immunoassays may include competitive assays as understood in the art or as for example described infra. It will be understood that the present invention encompasses qualitative and quantitative immunoassays. Suitable immunoassay techniques are described for example in U.S. Patent Nos. 4,016,043, 4, 424,279 and 4,018,653. These include both single-site and two-site assays of the non- competitive types, as well as the traditional competitive binding assays. These assays also include direct binding of a labelled antigen-binding molecule to a target antigen. Two site assays are particularly favoured for use in the present invention. A number of variations of these assays exist, all of which are intended to be encompassed by the present invention. Briefly, in a typical forward assay, an unlabelled antigen-binding molecule such as an unlabelled antibody is immobilized on a solid substrate and the sample to be tested brought into contact with the bound molecule. After a suitable period of incubation, for a period of time sufficient to allow formation of an antibody-antigen complex, another antigen-binding molecule, suitably a second antibody specific to the antigen, labelled with a reporter molecule capable of producing a detectable signal is then added and incubated, allowing time sufficient for the formation of another complex of antibody-antigen-labelled antibody. Any unreacted material is washed away and the presence of the antigen is determined by observation of a signal produced by the reporter molecule. The results may be either qualitative, by simple observation of the visible signal, or may be quantitated by comparing with a confrol sample containing known amounts of antigen. Variations on the forward assay include a simultaneous assay, in which both sample and labelled antibody are added simultaneously to the bound antibody. These techniques are well Icnown to those skilled in the art, including minor variations as will be readily apparent. In accordance with the present invention, the sample is one that might contain an antigen including a tissue or fluid as described above. hi the typical forward assay, a first antibody having specificity for the antigen or antigenic parts thereof is either covalently or passively bound to a solid surface. The solid surface is typically glass or a polymer, the most commonly used polymers being cellulose, polyacrylamide, nylon, polystyrene, polyvinyl chloride or polypropylene. The solid supports may be in the form of tubes, beads, discs or microplates, or any other surface suitable for conducting an immunoassay. The binding processes are well known in the art and generally consist of cross-linking, covalently binding or physically adsorbing, the polymer-antibody complex to the solid support, which is then washed in preparation for the test sample. An aliquot of the sample to be tested is then added to the solid phase complex and incubated for a period of time sufficient and under suitable conditions to allow binding of any antigen present to the antibody. Following the incubation period, the antigen- antibody complex is washed and dried and incubated with a second antibody specific for a portion of the antigen. The second antibody has generally a reporter molecule associated therewith that is used to indicate the binding of the second antibody to the antigen. The amount of labelled antibody that binds, as determined by the associated reporter molecule, is proportional to the amount of antigen bound to the immobilized first antibody. An alternative method involves immobilizing the antigen in the biological sample and then exposing the immobilized antigen to specific antibody that may or may not be labelled with a reporter molecule. Depending on the amount of target and the sfrength of the reporter molecule signal, a bound antigen may be detectable by direct labelling with the antibody. Alternatively, a second labelled antibody, specific to the first antibody is exposed to the target-first antibody complex to form a target-first antibody-second antibody tertiary complex. The complex is detected by the signal emitted by the reporter molecule. From the foregoing, it will be appreciated that the reporter molecule associated with the antigen-binding molecule may include the following: (a) direct attachment of the reporter molecule to the antigen-binding molecule; (b) indirect attachment of the reporter molecule to the antigen- binding molecule; i.e., attachment of the reporter molecule to another assay reagent which subsequently binds to the antigen-binding molecule; and (c) attachment to a subsequent reaction product of the antigen-binding molecule. The reporter molecule may be selected from a group including a chromogen, a catalyst, an enzyme, a fluorochrome, a chemiluminescent molecule, a lanthanide ion such as Europium (Eu34), a radioisotope and a direct visual label. In the case of a direct visual label, use may be made of a colloidal metallic or non-metallic particle, a dye particle, an enzyme or a substrate, an organic polymer, a latex particle, a liposome, or other vesicle containing a signal producing substance and the like. A large number of enzymes suitable for use as reporter molecules is disclosed in United
States Patent Specifications U.S. 4,366,241, U.S. 4,843,000, and U.S. 4,849,338. Suitable enzymes useful in the present invention include alkaline phosphatase, horseradish peroxidase, luciferase, β- galactosidase, glucose oxidase, lysozyme, malate dehydrogenase and the like. The enzymes may be used alone or in combination with a second enzyme that is in solution. Suitable fluorochromes include, but are not limited to, fluorescein isothiocyanate (FITC), teframethylrhodamine isothiocyanate (TRITC), R-Phycoerythrin (RPE), and Texas Red. Other exemplary fluorochromes include those discussed by Dower et al. (International Publication WO 93/06121). Reference also may be made to the fluorochromes described in U.S. Patents 5,573,909 (Singer et al), 5,326,692 (Brinkley et al). Alternatively, reference may be made to the fluorochromes described in U.S. Patent Nos. 5,227,487, 5,274,113, 5,405,975, 5,433,896, 5,442,045, 5,451,663, 5,453,517, 5,459,276, 5,516,864, 5,648,270 and 5,723,218. In the case of an enzyme immunoassay, an enzyme is conjugated to the second antibody, generally by means of glutaraldehyde or periodates. As will be readily recognised, however, a wide variety of different conjugation techniques exist which are readily available to the skilled artisan. The substrates to be used with the specific enzymes are generally chosen for the production of, upon hydrolysis by the coπesponding enzyme, a detectable colour change. Examples of suitable enzymes include those described supra. It is also possible to employ fluorogenic substrates, which yield a fluorescent product rather than the chromogenic substrates noted above. In all cases, the enzyme-labelled antibody is added to the first antibody-antigen complex. It is then allowed to bind, and excess reagent is washed away. A solution containing the appropriate substrate is then added to the complex of antibody-antigen-antibody. The substrate will react with the enzyme linked to the second antibody, giving a qualitative visual signal, which may be further quantitated, usually specfrophotomefrically, to give an indication of the amount of antigen which was present in the sample. Alternately, fluorescent compounds, such as fluorescein, rhodamine and the lanthanide, europium (EU), may be chemically coupled to antibodies without altering their binding capacity. When activated by illumination with light of a particular wavelength, the fluorochrome-labelled antibody adsorbs the light energy, inducing a state to excitability in the molecule, followed by emission of the light at a characteristic colour visually detectable with a light microscope. The fluorescent-labelled antibody is allowed to bind to the first antibody-antigen complex. After washing off the unbound reagent, the remaining tertiary complex is then exposed to light of an appropriate wavelength. The fluorescence observed indicates the presence of the antigen of interest. Immunofluoromefric assays (IFMA) are well established in the art. However, other reporter molecules, such as radioisotope, chemiluminescent or bioluminescent molecules may also be employed. It will be well understood that other means of testing target polypeptide (e.g, FGF or FGFR) levels are available, including, for instance, those involving testing for an altered level of FGF binding activity to a FGFR, or Western blot analysis of FGF or FGFR protein levels in tissues, cells or fluids using anti-FGF or anti-FGFR antigen-binding molecules, or assaying the amount of antigen-binding molecule of other FGF or FGFR binding partner which is not bound to a sample, and subtracting from the total amount of antigen-binding molecule or binding partner added.
5. Method of modulating adipogenesis The present invention is predicated in part on the discovery that in vitro differentiation of preadipocytes into adipocytes (adipogenesis) can be enhanced by the presence of MVEC in a culture medium during the preadipocyte replication stage, and that this effect can be reproduced in the absence of MVEC by the addition of FGF-1 or FGF-2 to the culture medium. Not wishing to be bound by any one particular theory or mode of operation, the inventors consider that the in vivo production of FGF-1 and other members of the FGF superfamily by MVEC (or, possibly, other cell types) activate FGF receptors on adjacent preadipocytes, which directly or indirectly promotes their differentiation into adipocytes. Additionally, the present inventors have discovered that FGF-1 promotes human preadipocyte replication (more potently that IGF-1, FGF-2, or serum alone) and that FGF-1 freatment of human preadipocytes duπng the replication phase dramatically increases potential for subsequent differentiation (i.e , a "priming" effect). Further, the inventors have shown that this FGF-1 "priming" effect is dramatically increased by TZD freatment during differentiation, suggesting that FGF-1 is not a PPARγ ligand. It has also been discovered that human preadipocytes do not produce FGF and that the pro-prohferative effect of FGF-1 is abrogated by a neutralizing antibody to FGF. It is proposed, therefore, that modulators of a FGF signalling pathway, especially of the FGF-1 or FGF-2 signalling pathway, will be useful inter aha for the freatment or prevention of adiposity-related conditions including, but not resfricted to, obesity and conditions of localized, abnormal increases in adipogenesis. Accordingly, the present invention provides methods for modulating adipogenesis, comprising contacting a cell with an agent for a time and under conditions sufficient to modulate a FGF signalling pathway, especially a FGF-1 or FGF-2 signalling pathway. Representative members of a FGF pathway include FGFs (especially FGF-1 and FGF-2), FGFRs (e.g, FGFR-1, FGFR-2, FGFR-3, FGFR-4 and FGFR-5, especially, FGFR-1, FGFR-2, FGFR-3 and FGFR-4), HSPGs (e.g, syndecan-1, syndecan-2, syndecan-3, syndecan-4, glypican-1, glypιcan-2, glypιcan-3, glypιcan-4, glypιcan-5, glypιcan-6, perlecan and betaglycan), CFR, members of the SHC/FRS2- RAF/MAPKKK-MAPKK-MAPK pathway (e.g, SHC, Crk, FRS2 (FGFR substrate 2, also Icnown as SNT-1), Src, FAK, Nek, Shb, SHP2, GRB-2, SOS, 80K-H, pp66, Gabl, P38 MAPK (ERK), PI3K, AKT, PKB, RAS, RAF, ERK1,2, MAPKKK (RAF-1), MAPKK (MEK), MAPK, Jun, Fos, FPPS (farnesyl pyrophosphate synthase)), members of the PLCγ-PKC-Ca2+ pathway (e.g, PLCγ (phospholipase C γ), Fes, PEP2 , DAG (diacyglycerol), arachidomc acid, Ca2+ Channel , Ca2+, IP3 (mositol 1,4,5 tnphosphate), CaM kinase (Ca2+/calmoduhn-dependent kinase), PKC (protein lcmase C), PKA (protein lcmase A), cAMP, CREB, CBP (CREB binding protein), members of the FGF-1 nuclear franslocation pathway (e.g, STAT-1 and STAT-3), intracellular binding partners of FGF such as but not limited to P34 and FIF (FGF-mteractmg factor), and intracellular binding partners of FGFR such as STN-2, as well as their vanants, including splice vanants. In accordance with the present invention, an agent can target a cell that produces a FGF (especially FGF-1 and/or FGF-2) or a cell that is the target of FGF signalling. Thus, in some embodiments, the cell is a MVEC or a MVEC precursor, whereas in others, the cell is a preadipocyte or preadipocyte precursor. In embodiments in which a FGF-producing cell is the subject of the agent, the agent suitably modulates the expression of a Fgf gene (e.g, Fgf-1, Fgf-2) or an upsfream regulator of its expression or the level or functional activity of an expression product of such genes. In these embodiments, adipogenesis is decreased or abrogated by reducing or abrogating the expression of the Fgf gene or the level or functional activity of its expression product or by enhancing or reducing the expression of the regulator gene or the level or functional activity of its expression product, depending upon whether it is a repressor or activator of the Fgf gene or its expression product, respectively. In embodiments in which a FGF-targeted cell is the subject of the agent, the agent modulates the expression of a Fgfr gene (e.g, Fgfr-1, Fgfr-2, Fgfr-3, Fgfr-4, Fgfr-5, especially Fgfr-1, Fgfr-
3, Fgfr-4), or a gene belonging to the same regulatory or biosynthetic pathway as the Fgfr gene
(e.g, a gene belonging to a FGF signalling pathway, as described above), or a gene whose expression is modulated directly or indirectly by an expression product of the Fgf gene (e.g,
PPARγ, IGFBP-3, IGFBP-6, IGF-2, IRS-2, PI3 kinase, PKCΘ), or agonizes or stimulates the function of a FGFR or CFR with which a FGF (e.g, FGF-1 or FGF-2) interacts. In these embodiments, adipogenesis is reduced or inhibited by antagonizing the function of a FGFR or a
CFR, including inhibiting or abrogating the interaction between a FGFR and a FGF, or between a
CFR and a FGF, or by inhibiting or abrogating the interaction between an HSPG and a FGFR, by interfering with the phosphorylation of a FGFR, by interfering with components of the signalling pathway upsfream or downsfream of the FGF/FGFR or FGF/CFR interaction, or by interfering with the dimerization of a FGFR. Accordingly, when reduced adipogenesis is required, the agent is used to reduce or impair the adipogenic potential of preadipocytes including, for example, reducing or impairing the formation of adipocytes in the treatment of obesity or conditions of localized abnormal increases in adipogenesis. Conditions contemplated in such freatment regimes include pathologies which are associated with or secondary to, obesity, such as atherosclerosis, hypertension, diabetes and endocrine or other metabolic diseases or conditions. Conditions of localized, abnormal increases in adipogenesis may include adipose tumours (lipomas and liposarcomas) and lipomatosis. Suitable agents for reducing or abrogating gene expression include, but are not restricted to, oligoribonucleotide sequences, including anti-sense RNA and DNA molecules and ribozymes, that function to inhibit the translation, for example, of FGF- or FGFR-encoding mRNA. Anti-sense RNA and DNA molecules act to directly block the translation of mRNA by binding to targeted mRNA and preventing protein translation. In regard to antisense DNA, oligodeoxyribonucleotides derived from the translation initiation site, e.g, between -10 and +10 regions are prefeπed. Ribozymes are enzymatic RNA molecules capable of catalyzing the specific cleavage of RNA. The mechanism of ribozyme action involves sequence specific hybridization of the ribozyme molecule to complementary target RNA, followed by a endonucleolytic cleavage. Within the scope of the invention are engineered hammerhead motif ribozyme molecules that specifically and efficiently catalyze endonucleolytic cleavage of target sequences. Specific ribozyme cleavage sites within any potential RNA target are initially identified by scanning the target molecule for ribozyme cleavage sites which include the following sequences, GUA, GUU and GUC. Once identified, short RNA sequences of between 15 and 20 ribonucleotides coπesponding to the region of the target gene containing the cleavage site may be evaluated for predicted structural features such as secondary structure that may render the oligonucleotide sequence unsuitable. The suitability of candidate targets may also be evaluated by testing their accessibility to hybridization with complementary oligonucleotides, using ribonuclease protection assays. Both anti-sense RNA and DNA molecules and ribozymes may be prepared by any method Icnown in the art for the synthesis of RNA molecules. These include techniques for chemically synthesizing oligodeoxyribonucleotides well Icnown in the art such as for example solid phase phosphoramidite chemical synthesis. Alternatively, RNA molecules may be generated by in vitro and in vivo franscription of DNA sequences encoding the antisense RNA molecule. Such DNA sequences may be incoφorated into a wide variety of vectors which incoφorate suitable RNA polymerase promoters such as the T7 or SP6 polymerase promoters. Alternatively, antisense cDNA constructs that synthesize antisense RNA constitutively or inducibly, depending on the promoter used, can be introduced stably into cell lines. Various modifications to the DNA molecules may be infroduced as a means of increasing intracellular stability and half-life. Possible modifications include but are not limited to the addition of flanking sequences of ribo- or deoxy- nucleotides to the 5' or 3' ends of the molecule or the use of phosphorothioate or 2' O-methyl rather than phosphodiesterase linkages within the oligodeoxyribonucleotide backbone. Alternatively, RNA molecules that mediate RNA interference (RNAi) of a target gene or gene franscript can be used to reduce or abrogate gene expression. RNAi refers to interference with or destruction of the product of a target gene by introducing a single stranded, and typically a double stranded RNA (dsRNA) that is homologous to the franscript of a target gene. Thus, in some embodiments, dsRNAper se and especially dsRNA-producing constructs coπesponding to at least a portion of a target gene may be used to reduce or abrogate its expression. RNAi-mediated inhibition of gene expression may be accomplished using any of the techniques reported in the art, for instance by fransfecting a nucleic acid construct encoding a stem-loop or haiφin RNA structure into the genome of the target cell, or by expressing a transfected nucleic acid construct having homology for a target gene from between convergent promoters, or as a head to head or tail to tail duplication from behind a single promoter. Any similar construct may be used so long as it produces a single RNA having the ability to fold back on itself and produce a dsRNA, or so long as it produces two separate RNA transcripts which then anneal to form a dsRNA having homology to a target gene. Absolute homology is not required for RNAi, with a lower threshold being described at about 85% homology for a dsRNA of about 200 base pairs (Plasterk and Ketting, 2000, Current Opinion in Genetics and Dev. 10: 562-67). Therefore, depending on the length of the dsRNA, the RNAi- encoding nucleic acids can vary in the level of homology they contain toward the target gene transcript, i.e., with dsRNAs of 100 to 200 base pairs having at least about 85% homology with the target gene, and longer dsRNAs, i.e., 300 to 100 base pairs, having at least about 75% homology to the target gene. RNA-encoding constructs that express a single RNA franscript designed to anneal to a separately expressed RNA, or single constructs expressing separate transcripts from convergent promoters, are preferably at least about 100 nucleotides in length. RNA-encoding constructs that express a single RNA designed to form a dsRNA via internal folding are preferably at least about 200 nucleotides in length. The promoter used to express the dsRNA-forming construct may be any type of promoter if the resulting dsRNA is specific for a gene product in the cell lineage targeted for destruction. Alternatively, the promoter may be lineage specific in that it is only expressed in cells of a particular development lineage. This might be advantageous where some overlap in homology is observed with a gene that is expressed in a non-targeted cell lineage. The promoter may also be inducible by externally controlled factors, or by intracellular environmental factors. In other embodiments, RNA molecules of about 21 to about 23 nucleotides, which direct cleavage of specific mRNA to which they coπespond, as for example described by Tuschl et al in U.S. Patent Application No. 20020086356, can be utilized for mediating RNAi. Such 21-23 nt RNA molecules can comprise a 3' hydroxyl group, can be single-sfranded or double stranded (as two 21-23 nt RNAs) wherein the dsRNA molecules can be blunt ended or comprise overhanging ends (e.g, 5', 3'). In accordance with the present invention, various stages of a FGF signalling pathway can be targeted for modulating adipogenesis. In some embodiments, the level or concenfration of a FGF is the subject of the targeting. Suitably, the level or functional activity of a FGF, especially of an extracellular FGF, is reduced through use of anti-FGF antigen-binding molecules (e.g, neutralizing antibodies) as sold commercially, for example by R & D systems AF232 (R&D Systems Inc. Minneapolis, MN) or as disclosed m Cancer Res 1988. 48:4266. In other embodiments, the FGF-FGFR binding or activation is the subject of the targeting. For example, stimulation of FGFR signalling can be achieved by overexpression of the FGFR, or through mutations that promote FGFR dimeπzation ohgomeπzation in the absence of ligand and subsequent constitutive activation. Alternatively, non-hgand molecules that induce receptor dimeπzation can be used to produce a similar effect. Receptor mutations can also induce dissociation of biological effects, and could be utilized to "tailor" FGF-responses In other embodiments, inhibition or abrogation of FGFR signalling is achieved through reduction m FGFR expression, FGFR mutation (in particular, but not exclusively, of phosphorylation sites), prevention of receptor aggregation or through approaches that interfere with hgand-receptor interaction via blockade of the active binding sites or relevant associated motifs. Such strategies include blocking antibodies to the receptors and small molecule inhibitors of binding. Pharmacological strategies to impair receptor phosphorylation can also be effective. Exemplary FGFR antagonists include those provided in Section 2 supra. hi still other embodiments, the subject of the targeting is the CFR. In these embodiments, overexpression of CFR will lead to decreased intracellular accumulation of FGF-1 and FGF-2. Such strategies could regulate FGF actions, in particular by regulating presumed direct transcriptional effects The present invention also contemplates the use in the above method of gene or expression product inhibitors identified according to methods described for example in Section 4, infra. The modulatory agents of the invention will suitably affect or modulate adipogenesis. Accordingly, the cells that are the subject of testing are preferably MVEC or progenitors thereof, which are a source of FGFs, or preadipocytes that may express FGF receptors which are activated by FGFs Preadipocytes are the cell type whose differentiation via adipogenesis creates new adipocytes The accumulation of the latter cell type leads to increases in adiposity which precede obesity, and conversely, excessive loss of adipocytes m the absence of adipogenesis leads to excessively low adiposity, as occurs in cachexia or conditions of localized deficiencies m adiposity. Suitable assays for testing the effects of modulatory agents on MVEC include, but are not resfricted to, their co-culture with preadipocytes in the presence of putative FGF modulatory agents or FGFR modulatory agents. The ability of modulatory agents to inhibit or stimulate the differentiation potential of preadipocytes can be measured using cultured preadipocytes or in vivo by administering molecules of the present invention to the appropnate animal model. The inventors of the present invention have established a system for obtaining biopsies of omental and subcutaneous adipose tissue from individuals undergoing elective abdominal surgery and using the preadipocytes and MVEC from such biopsy material for cell culture. Assays for measuring proliferation and differentiation potential are well known in the art. Subcutaneous and omental preadipocytes are plated then exposed to MVEC-conditioned growth medium in the presence or absence of putative FGF or FGFR modulatory agents. Assays for measuring preadipocyte proliferation and differentiation are also well Icnown in the art. For example, assays measuring proliferation include such assays as assessment of preadipocyte cell number following exposure to a proliferative growth medium using a formazan colorimefric assay (Promega). Preadipocyte differentiation potential is assessed by the measurement of glycerol-3 -phosphate dehydrogenase (G3PDH) enzyme activity and friacylglycerol accumulation. In vivo evaluation tools, which are well Icnown to practitioners in the art, are available for evaluating the effect of FGF signalling pathway-modulatory agents as described herein on the differentiation potential of preadipocytes into adipocytes. Such differentiation results in the accumulation of adipose tissue, and assay means for measuring the amount of such tissue in a patient include skin fold measurements using an adipometer. This assay involves the integration of skin fold thicknesses from suitable areas (e.g, triceps, biceps, subscapular and suprailiac regions) to obtain a body fat percentage value. Other in vivo assays include underwater weighing, bioelecfrical impedance, dual energy x-ray absoφtiometry and radiological imaging (e.g., computerised tomography or magnetic resonance imaging).
6. Therapeutic and Prophylactic Uses In accordance with the present invention, it is proposed that agents that antagonize the FGF signalling pathway are useful as actives for the freatment or prophylaxis of excess adipogenesis, including obesity, obesity-related conditions, lipomas and lipomatosis. Such drugs can be administered to a patient either by themselves, or in pharmaceutical compositions where they are mixed with a suitable pharmaceutically acceptable carrier.
The adipogenesis-modulating agents of the present invention may be conjugated with biological targeting agents which enable their activity to be resfricted to particular cell types. Such biological- targeting agents include substances which are immuno-interactive with cell-specific surface antigens. For example, an agent which modulates the activity of a FGFR may be conjugated with an agent which is immuno-interactive with a preadipocyte-specific protein such as adipose differentiation related protein (ADRP). The presence of this immuno-interactive conjugate confers preadipocyte-specificity to the effects of the FGFR-modulating agent. Depending on the specific conditions being freated, the drugs may be formulated and administered systemically or locally. Techniques for formulation and adminisfration may be found in "Remington's Pharmaceutical Sciences," Mack Publishing Co, Easton, Pa, latest edition. Suitable routes may, for example, include oral, rectal, fransmucosal, or intestinal administration; parenteral delivery, including intramuscular, subcutaneous, mtramedullary injections, as well as intrathecal, direct infravenfricular, intravenous, infraperitoneal, intranasal, or intraocular injections. For injection, the drugs of the invention may be formulated in aqueous solutions, preferably in physiologically compatible buffers such as Hanks' solution, Ringer's solution, or physiological saline buffer. For fransmucosal administration, penefrants appropriate to the barrier to be permeated are used in the formulation. Such penefrants are generally Icnown in the art. Intramuscular and subcutaneous injection is appropriate, for example, for adminisfration of immunogenic compositions, vaccines and DNA vaccines. The drugs can be formulated readily using pharmaceutically acceptable caπiers well Icnown in the art into dosages suitable for oral adminisfration. Such caπiers enable the compounds of the invention to be formulated in dosage forms such as tablets, pills, capsules, liquids, gels, syrups, sluπies, suspensions and the like, for oral ingestion by a patient to be treated. These caπiers may be selected from sugars, starches, cellulose and its derivatives, malt, gelatine, talc, calcium sulphate, vegetable oils, synthetic oils, polyols, alginic acid, phosphate buffered solutions, emulsifiers, isotonic saline, and pyrogen-free water. Pharmaceutical compositions suitable for use in the present invention include compositions wherein the active ingredients are contained in an effective amount to achieve its intended puφose. The dose of drug administered to a patient should be sufficient to effect a beneficial response in the patient over time such as an enhancement or reduction in adipogenesis. The quantity of the drug(s) to be administered may depend on the subject to be freated inclusive of the age, sex, weight and general health condition thereof. In this regard, precise amounts of the drug(s) for adminisfration will depend on the judgement of the practitioner, hi determining the effective amount of the drug to be administered in the modulation of adipogenesis, the physician may evaluate tissue levels of components of the FGF signalling pathway, and degree of adiposity, hi any event, those of skill in the art may readily determine suitable dosages of the drugs of the invention. Pharmaceutical formulations for parenteral adminisfration include aqueous solutions of the active compounds in water-soluble form. Additionally, suspensions of the active compounds may be prepared as appropriate oily injection suspensions. Suitable lipophilic solvents or vehicles include fatty oils such as sesame oil, or synthetic fatty acid esters, such as ethyl oleate or friglycerides, or liposomes. Aqueous injection suspensions may contain substances which increase the viscosity of the suspension, such as sodium carboxymethyl cellulose, sorbitol, or dextran. Optionally, the suspension may also contain suitable stabilizers or agents which increase the solubility of the compounds to allow for the preparation of highly concentrated solutions. Pharmaceutical preparations for oral use can be obtained by combining the active compounds with solid excipient, optionally grinding a resulting mixture, and processing the mixture of granules, after adding suitable auxiliaries, if desired, to obtain tablets or dragee cores. Suitable excipients are, in particular, fillers such as sugars, including lactose, sucrose, mannitol, or sorbitol; cellulose preparations such as, for example, maize starch, wheat starch, rice starch, potato starch, gelatin, gum fragacanth, methyl cellulose, hydroxypropylmethyl-cellulose, sodium carboxymethylcellulose, or polyvinylpyrrolidone (PVP). If desired, disintegrating agents may be added, such as the cross-linked polyvinyl pyrrolidone, agar, or alginic acid or a salt thereof such as sodium alginate. Such compositions may be prepared by any of the methods of pharmacy but all methods include the step of bringing into association one or more drugs as described above with the caπier which constitutes one or more necessary ingredients, hi general, the pharmaceutical compositions of the present invention may be manufactured in a manner that is itself Icnown, e.g, by means of conventional mixing, dissolving, granulating, dragee-making, levigating, emulsifying, encapsulating, entrapping or lyophilizing processes. Dragee cores are provided with suitable coatings. For this puφose, concentrated sugar solutions may be used, which may optionally contain gum arabic, talc, polyvinyl pyrrolidone, carbopol gel, polyethylene glycol, or titanium dioxide, lacquer solutions, and suitable organic solvents or solvent mixtures. Dyestuffs or pigments may be added to the tablets or dragee coatings for identification or to characterize different combinations of active compound doses. Phannaceutical which can be used orally include push-fit capsules made of gelatin, as well as soft, sealed capsules made of gelatin and a plasticizer, such as glycerol or sorbitol. The push-fit capsules can contain the active ingredients in admixture with filler such as lactose, binders such as starches, or lubricants such as talc or magnesium stearate and, optionally, stabilizers. In soft capsules, the active compounds may be dissolved or suspended in suitable liquids, such as fatty oils, liquid paraffin, or liquid polyethylene glycols. hi addition, stabilizers may be added. Dosage forms of the drugs of the invention may also include injecting or implanting controlled releasing devices designed specifically for this puφose or other forms of implants modified to act additionally in this fashion. Controlled release of an agent of the invention may be effected by coating the same, for example, with hydrophobic polymers including acrylic resins, waxes, higher aliphatic alcohols, polylactic and polyglycolic acids and certain cellulose derivatives such as hydroxypropylmethyl cellulose. In addition, controlled release may be effected by using other polymer matrices, liposomes or microspheres. The drugs of the invention may be provided as salts with pharmaceutically compatible counterions. Salts tend to be more soluble in aqueous or other protonic solvents that are the coπesponding free base forms. Suitable pharmaceutically acceptable salts include, but are not limited to, salts of pharmaceutically acceptable inorganic acids such as hydrochloric, sulphuric, phosphoric, nitric, carbonic, boric, sulfamic, and hydrobromic acids, or salts of pharmaceutically acceptable organic acids such as acetic, propionic, butyric, tartaric, maleic, hydroxymaleic, fumaric, malic, citric, lactic, mucic, gluconic, benzoic, succinic, oxalic, phenylacetic, methanesulphonic, toluenesulphonic, benzenesulphonic, salicylic, sulphanilic, aspartic, glutamic, edetic, stearic, palmitic, oleic, lauric, pantothenic, tannic, ascorbic and valeric acids. Base salts include, but are not limited to, those formed with pharmaceutically acceptable cations, such as sodium, potassium, lithium, calcium, magnesium, zinc, ammonium, allcylammonium such as salts formed from triethylamine, alkoxyammonium such as those formed with ethanolamine and salts formed from ethylenediamine, choline or amino acids such as arginine, lysine or histidine. Basic nitrogen-containing groups may be quarternised with such agents as lower alkyl halide, such as methyl, ethyl, propyl, and butyl chlorides, bromides and iodides; dialkyl sulfates like dimethyl and diethyl sulfate; and others. For any compound used in the method of the invention, the therapeutically effective dose can be estimated initially from cell culture assays. For example, a dose can be formulated in animal models to achieve a circulating concenfration range that includes the IC50 as determined in cell culture (e.g, the concenfration of a test agent, which achieves a half-maximal inhibition or enhancement in activity of a FGF or FGFR polypeptide). Such information can be used to more accurately determine useful doses in humans. Toxicity and therapeutic efficacy of such drugs can be determined by standard pharmaceutical procedures in cell cultures or experimental animals, e.g, for determining the LD50 (the dose lethal to 50% of the population) and the ED50 (the dose therapeutically effective in 50% of the population). The dose ratio between toxic and therapeutic effects is the therapeutic index and it can be expressed as the ratio LD50/ED50. Compounds that exhibit large therapeutic indices are prefeπed. The data obtained from these cell culture assays and animal studies can be used in foπnulating a range of dosage for use in human. The dosage of such compounds lies preferably within a range of circulating concenfrations that include the ED50 with little or no toxicity. The dosage may vary within this range depending upon the dosage form employed and the route of adminisfration utilized. The exact formulation, route of adminisfration and dosage can be chosen by the individual physician in view of the patient's condition. (See for example Fingl et al, 1975, in "The Pharmacological Basis of Therapeutics", Ch. 1 pi). Dosage amount and interval may be adjusted individually to provide plasma levels of the active agent which are sufficient to maintain FGF or FGFR-inhibitory or enhancement effects. Usual patient dosages for systemic adminisfration range from 1-2000 mg/day, commonly from 1- 250 mg/day, and typically from 10-150 mg/day. Stated in terms of patient body weight, usual dosages range from 0.02-25 mg/kg/day, commonly from 0.02-3 mg/kg/day, typically from 0.2-1.5 mg/kg/day. Stated in terms of patient body surface areas, usual dosages range from 0.5-1200 mg/m2/day, commonly from 0.5-150 mg/m2/day, typically from 5-100 mg/m2/day. Alternately, one may administer the compound in a local rather than systemic mamier, for example, via injection of the compound directly into a tissue, which is preferably subcutaneous or omental tissue, often in a depot or sustained release formulation. Furthennore, one may administer the drug in a targeted drug delivery system, for example, in a liposome coated with tissue-specific antibody. The liposomes will be targeted to and taken up selectively by the tissue. hi cases of local adminisfration or selective uptake, the effective local concenfration of the agent may not be related to plasma concenfration. The present invention also contemplates a method of gene therapy of a mammal. Such a method utilizes a gene therapy consfruct which includes an isolated polynucleotide comprising a nucleotide sequence encoding a component of the FGF signalling pathway, or a biologically active fragment thereof, wherein the polynucleotide is ligated into a gene therapy vector which provides one or more regulatory sequences that direct expression of the polynucleotide in the mammal. Typically, gene therapy vectors are derived from viral DNA sequences such as adenovirus, adeno- associated viruses, heφes-simplex viruses and retroviruses. Suitable gene therapy vectors cuπently available to the skilled person may be found, for example, in Robbins et al, 1998. If "anti-sense" therapy is contemplated (e.g, Fgf), then one or more selected portions of a Tbg polynucleotide may be oriented 3'→ 5' in the gene therapy vector. Adminisfration of the gene therapy consfruct to the mammal, suitably a human, may include delivery via direct oral intake, systemic injection, or delivery to selected tissue(s) or cells, or indirectly via delivery to cells isolated from the mammal or a compatible donor. An example of the latter approach would be stem-cell therapy, wherein isolated stem cells having potential for growth and differentiation are transfected with the vector comprising a Fgf polynucleotide. The stem-cells are cultured for a period and then fransfeπed to the mammal being freated. Delivery of the gene therapy construct to cells or tissues of the mammal or the compatible donor may be facilitated by microprojectile bombardment, liposome mediated fransfection (e.g, lipofectin or lipofectamine), elecfroporation, calcium phosphate or DEAE-dexfran-mediated fransfection, for example. A discussion of suitable delivery methods may be found in Chapter 9 of Ausubel et al, (1994-1998, supra). For example, a polynucleotide encoding FGF-1 may be infroduced into a cell to enhance the ability of that cell to promote adipogenesis, conversely, Fgf-1 antisense sequences such as 3'→ 5' oligonucleotides may be introduced to decrease or impair differentiation of the cell to an adipocyte. hi an alternate embodiment, a polynucleotide encoding a modulatory agent of the invention may be used as a therapeutic or prophylactic composition in the form of a "naked DNA" composition as is Icnown in the art. For example, an expression vector comprising the polynucleotide operably linked to a regulatory polynucleotide (e.g. a promoter, transcriptional teπninator, enhancer etc) may be introduced into an animal, preferably a mammal, where it causes production of a modulatory agent in vivo, preferably in preadipocyte tissue. The step of introducing the expression vector into a target cell or tissue will differ depending on the intended use and species, and can involve one or more of non-viral and viral vectors, cationic liposomes, retroviruses, and adenoviruses such as, for example, described in
Mulligan, R.C, (1993). Such methods can include, for example: A. Local application of the expression vector by injection (Wolff et al, 1990), surgical implantation, instillation or any other means. This method can also be used in combination with local application by injection, surgical implantation, instillation or any other means, of cells responsive to the protein encoded by the expression vector so as to increase the effectiveness of that freatment. This method can also be used in combination with local application by injection, surgical implantation, instillation or any other means, of another factor or factors required for the activity of the protein.
B. General systemic delivery by injection of DNA, (Calabretta et al, 1993), or RNA, alone or in combination with liposomes (Zhu et al, 1993), viral capsids or nanoparticles (Bertling et al, 1991) or any other mediator of delivery. Improved targeting might be achieved by linking the polynucleotide/expression vector to a targeting molecule (the so-called "magic bullet" approach employing, for example, an antigen-binding molecule), or by local application by injection, surgical implantation or any other means, of another factor or factors required for the activity of the protein encoded by the expression vector, or of cells responsive to the protein. For example, in the case of a liposome containing antisense Fgf polynucleotides, the liposome may be targeted to MVEC by the incoφoration of immuno-interactive agents into the liposome coat which are specific for MVEC-surface antigens. An example of a MVEC-specific cell surface antigen is PECAM-1. C. Injection or implantation or delivery by any means, of cells that have been modified ex vivo by fransfection (for example, in the presence of calcium phosphate: Chen et al, 1987, or of cationic lipids and polyamines: Rose et al, 1991), infection, injection, elecfroporation (Shigekawa et al, 1988) or any other way so as to increase the expression of the polynucleotide in those cells. The modification can be mediated by plasmid, bacteriophage, cosmid, viral (such as adenoviral or retroviral; Mulligan, 1993; Miller, 1992; Salmons et al, 1993) or other vectors, or other agents of modification such as liposomes (Zhu et al, 1993), viral capsids or nanoparticles (Bertling et al, 1991), or any other mediator of modification. The use of cells as a delivery vehicle for genes or gene products has been described by Ban et al, 1991 and by Dhawan et al, 1991. Treated cells can be delivered in combination with any nutrient, growth factor, mafrix or other agent that will promote their survival in the freated subject. hi order that the invention may be readily understood and put into practical effect, particular prefeπed embodiments will now be described by way of the following non-limiting examples.
EXAMPLES
EXAMPLE 1
Biopsy, Isolation and Culture of Human Preadipocytes and MVEC
Materials and Methods
Production of Anti-PECAM-1 Antibody-Coated Magnetic Beads Dynabeads M-450 with covalently bound sheep anti-Mouse IgGl (Dynal) are coated with purified mouse anti-human monoclonal antibody to PECAM-1 (CD31) (PharMingen) as per manufacturer's instructions. Dynabeads coated with anti-PECAM-1 antibody are resuspended and stored sterile at 4° C in deionized phosphate buffered saline (DPBS) + 0.1 % BSA at a concenfration of 30 mg/mL. Prepared beads remain active for at least 4 months.
Subjects Paired omental (O) and abdominal subcutaneous (S) adipose tissue biopsies are obtained from 4 male (average age 69 years, range 66-70 yrs; average BMI 27, range 26-29) and 5 female (average age 55 years, range 39-67 yrs; average BMI 27, range 20-32) patients undergoing elective open-abdominal surgical procedures (either gynaecological or vascular surgery). None of the patients had diabetes or severe systemic illness and none were taking medications Icnown to affect adipose tissue mass or metabolism. The protocol was approved by the Research Ethics Committees of the Princess Alexandra Hospital and the Queensland University of Technology. All patients gave their written informed consent. Isolation of Stromovascular cells With reference to Figure 2, biopsies are transported to the laboratory in Ringers solution (transport time 15 minutes). Preadipocytes and micro vessel endothelial cells are isolated from the same biopsies. (1) After removal of visible nerves, blood vessels and fibrous tissue the fat is finely minced and incubated for 1 hour at 37° C in digest solution (25 mM HEPES, 5mM glucose, 120 mM sodium chloride, 50mM potassium chloride, and ImM calcium chloride) containing 3 mg/mL Type II collagenase and 1.5% bovine serum albumin. The ratio of digest solution to adipose tissue is 4:1. The resultant digest material is filtered through a 250 μm mesh (Sigma) and adipocytes and free oil are separated from the sfromo-vascular components by centrifugation at 250 g for 5 minutes at 4° C. (2) The sfromo-vascular pellet is resuspended, washed and centrifuged in DPBS + 10% BSA (600g, 5 minutes, 4° C). This is repeated and followed by a final wash in DPBS alone. (3) The resulting pellet is incubated in 0.25% trypsin containing 1 mM ethylenediamine tefraacetic acid (EDTA) (CSL, Brisbane) for 15 minutes at room temperature with occasional agitation. Trypsin is neutralized by addition of Hanks' balanced salt solution (HBSS) containing 5% foetal bovine serum (ICN). (4) Large fragments of connective tissue are removed by filtration through 100 μm mesh (Sigma). (5) The filtrate is centrifuged (600g, 5 minutes, 4° C) and the pellet is resuspended and plated into 1% gelatin coated 25 cm2 culture flasks (Corning) in endothelial cell (EC) growth medium (M-199; ICN) containing 10% FBS; 100 IU penicillin; lOOμg/mL streptomycin, 2mM L-glutamine (all ICN Biomedical Australasia); 90 μg/μL Heparin; 30 ng/mL β-endothelial cell growth factor (β-ECGF); 0.014 M HEPES; 0.15% NaHC03. This mixed cell population is cultured for 3-5 days at 37° C, 5%C02. Selection of microvessel endothelial cells with anti-PECAM-1 Dynabeads Still refeπing to Figure 2: (6) After a short culture period (approx. 3 days) the cells are incubated with 0.25% trypsin lmM EDTA for 4-5 minutes, followed by neutralization of trypsin with Hank's buffered saline solution (HBSS) + 5% FBS and centrifugation. (7) The pelleted cells are resuspended in lmL HBS8+5% FBS and incubated with 50 μL of anti-PECAM-1 coated Dynabeads™ (15 minutes, 4° C). (8) The cell/bead suspension is brought to a total volume of lOmL with HBSS+5%FBS and endothelial cells are selected using a magnetic particle concentrator for 3 minutes at room temperature. With the tube still in the magnet non-selected cells (preadipocytes) in the wash are fransfeπed to a fresh tube. Endothelial cells are then washed with a further lOmL HBSS+5%FBS and reselected using the magnetic particle concentrator (3 minutes). This wash/selection procedure is repeated x 5. (9a) Selected cells (endothelial cells) are plated onto 1% gelatin coated culture flask in EC growth medium (as above). (9b) Non-selected cells (preadipocytes - PA) are centrifuged and resuspended in DMEM/Ham's F12 1:1 (ICN Biomedical Australasia) containing 100 IU penicillin, lOOμg/mL streptomycin, 2mM L-glutamine, and 10% FBS (PA growth medium). Purification of endothelial cell cultures. Still refeπing to Figure 2: (10) Separation of endothelial cells from contaminating fibroblastic cells is achieved by treating the cultures with 0.25% trypsin/lmM EDTA (TV) for 30- 40 sec, neutralizing the T/V with HBSS + 5% FCS and fransfeπing the non-adherent endothelial cells to a 1% gelatin coated flask with EC growth medium. This frypsinization and transfer procedure is repeated 1 or 2 times over the first two weeks of culture until homogeneous endothelial cell cultures are obtained. Cell Culture Cells are maintained at 37° C in an atmosphere of 5% C02. The medium is changed every 2 to 3 days and cells are routinely passaged with frypsin EDTA. Endothelial cells are maintained in gelatin-coated flasks in EC growth medium whilst preadipocytes are in uncoated culture flasks in PA growth medium. As endothelial cell numbers increase, the concenfration of β-ECGF in the EC growth medium is decreased from 30ng/mL to lOng/mL. Both endothelial cells and preadipocytes are used in experimental work between passages 2 and 4.
Culture of other cell types The human dermal microvascular endothelial cell line, CADMEC (Cell Applications, Inc, San Diego) (cultured under the same conditions as adipose derived primary endothelial cells), and human skin fibroblasts (obtained by punch biopsy and cultured under identical conditions as the human preadipocytes) are used as positive and negative controls, respectively, for endothelial cell studies.
Characterization of endothelial cells. Microvascular endothelial cells (MVEC) obtained from adipose tissue biopsies are characterized in a number of ways. MORPHOLOGY Cultures are examined by inverted phase-contrast microscopy for the characteristic cobblestone moφhology of endothelial cells (Figure 3A). IMMUNOFLUORESCENCE Cells are evaluated by immunofluorescence using specific monoclonal antibodies for expression of von WiUebrand's Factor (vWF) (Clone F8/86, DAKO) and platelet endothelial cell adhesion molecule-1 (PECAM-1; CD31) (Clone JC/70A, DAKO). Cells are grown to confluence in individual wells of 24-well plates (1% gelatin coated). Control cells (human dermal microvascular endothelial cells - CADMEC), primary cultures of human preadipocytes and human dermal fibroblasts) are processed in parallel. After removal of medium, cells are fixed in 2% parafonnaldehyde (BDH Laboratory Supplies, England), 2 minutes at room temperature (RT). Cells are permeabilised with 0.1% Triton X100 (Ajax Chemicals, Australia), 30 sec at RT. Fixed and permeabilized cells are washed and blocked with 1% BSA in PBS (x3) prior to incubation for 4 hours at 4° C with primary antibodies applied after dilution in PBS + 1% BSA (all antibodies are used at 1:100 dilution). To preclude false positives produced by nonspecific binding of secondary antibodies, all cell types are also freated in a similar manner with either buffer substituting for primary antibody or with non-immune antibody (iso-type control). The cells are washed with PBS (x3) then incubated at room temperature for 30 minutes with fluorescein isothiocyanate (FITC)- labelled secondary antibody (rabbit anti-mouse IgG FITC; DAKO) at 1:50 dilution in PBS + 1% BSA. Cells are washed (x 2) with PBS then nuclei are counter-stained with propidium iodide (stock: 5 mg propidium iodide in 100 mL 0.1M frisodium citrate; working solution: 1 part stock to 3 parts 0.1M PBS) for 5 minutes at 4° C. Cells are washed a further 2 times with PBS before being examined and photographed using a Nikon Eclipse TE300 Inverted Microscope with a Nikon TE- FM Epi-Fluorescence attachment and a Nikon F70 Camera with Kodak MAX 400 ASA film. The expression of E-selectin (CD62E) is also investigated, using a monoclonal antibody (Clone BBIG- E4, R&D Systems, Inc) and immunofluorescence as above, in cells prefreated for 4 hrs in growth medium containing 10 ng/mL tumour necrosis factor (TNF) α (Biosource International, USA). Results shown in Figure 3. GENE EXPRESSION. MVEC and CADMEC are examined for expression of endothelial nitric oxide synthase (eNOS) by the NOS3 gene. Total RNA is exfracted from the cells using Tri-reagent (Sigma) according to the manufacturer's instructions. Two micrograms of RNA is converted into cDNA using Expand Reverse Transcriptase (Roche) with standard methodologies. PCR is performed in a total reaction volume of 25 μL containing 1 x PCR buffer, 1 μL of cDNA, 12.5 pmols of each primer, 1.5 mM MgCl2, and 0.625 U of Taq DNA polymerase. Primer sequences and thermal cycling conditions are as previously described (Rockett et al. In Vitro Cell Dev Biol Anim 31 : 473- 481 1998). PCR products are separated on 1.2% agarose gels containing 1 μg of ethidium bromide per mL in 1 x TBE buffer and viewed and photographed under ultraviolet light. φX174 markers are used.
Characterization of preadipocytes Preadipocytes are characterized on the basis of moφhology (phase contrast microscopy and cell counts) and differentiation capacity. The latter is assessed by G3PDH enzyme activity and friacylglycerol accumulation. G3PDH ACTIVITY.
Activity is assessed as previously described (Adams et al. J Clin Invest 100: 3149-53 1998) (Hutley et al in Primary Mesenchymal Cells 1st ed. Kluwer Academic 5: 173-87 2001). TRIACYLGLYCEROL ACCUMULATION Cell counts and Nile Red assay are used to assess lipid accumulation. Cell counts. After 14 days freatment in differentiation medium the number of lipid containing cells in each freatment is estimated under phase contrast microscopy using a 1 mm2 micrometer grid (Neubauer, West Germany) at 100-fold magnification. For each freatment 10 different areas are examined and both total number of cells and percentage of lipid-containing cells are evaluated
(data not shown).
Nile Red Assay. As previously described (Hutley et al. 2001 supra) preadipocytes cultured in 6- well plates are washed 3 times in phosphate buffered saline (PBS) (pH 7.4) and 150 μL of trypsin- versene is added to each well. Cells are incubated at 37°C for 10 minutes until cells detach from the culture plate. PBS containing Nile Red, at a final concenfration of 1 μg/mL, is added to each well and cells are further incubated at room temperature for 5 - 7 minutes. Fluorescence is measured at room temperature in a specfrofluorometer (Aminco Bowman Series 2 Luminescence Spectrometer) at 488 nm excitation / 540 emission. Results are normalized to surface area. Each treatment is caπied out in triplicate.
EXAMPLE 2
Effects of MVEC on Preadipocyte Proliferation and Differentiation To investigate the role of vascular endothelial cell-derived factors on adipogenesis, the inventors examined the effects of culturing preadipocytes in vitro in the presence of growth medium containing microvascular endothelial cell-derived growth factors.
Materials and Methods Methods of obtaining biopsy material, isolation and culture of preadipocytes and MVEC are as per example 1.
Preparation of conditioned medium. Separate cultures of human adipose-derived microvascular endothelial cells (MVEC), human dermal microvascular endothelial cells (CADMEC), and human skin fibroblasts (HSF) - all at confluence on 1% gelatin coated culture ware - are each exposed to EC growth medium (see above) containing lOng/mL β-ECGF for 48 hrs at 37°C, 5%C02. This medium is then collected, filtered using a 0.22μ low protein binding filter, and stored at -20°C prior to further use. EC growth medium + lOng/mL β-ECGF is also freated as above but in culture flasks minus cells (blank confrol). Just prior to use each medium is thawed and a further 5% FCS is added to each. Preadipocyte Proliferation Assays. Subcutaneous and omental preadipocytes and human skin fibroblasts are plated separately at about lxlO3 cells/well (subconfluent) in 96-well plates in DMEM/Ham's F12 1:1 plus 10% FCS (PA growth medium) and allowed to adhere at 37°C, 5%C02 for 16-20 hrs. The medium is then changed to EC growth medium which is conditioned (see above) by exposure to either confluent subcutaneous or omental MVEC, human sldn fibroblasts (HSF), or wells containing no cells (blank confrol) (each freatment is done in quadruplicate). In separate experiments subcutaneous and omental PAs are plated as above and subsequently freated with either S MVEC, O MVEC, human dermal EC (CADMEC) conditioned media, fresh EC growth medium, or blank confrol. After 48 hrs, preadipocyte cell number is assessed using a formazan colorimetric assay (Promega). The water soluble tetrazolium salt 3-(4,5-dimethylthiazol-2-yl)-5-(3-carboxymethoxyphenyl)-2-(4- sulfophenyl)-2H-tefrazolium (MTS) is added to each well at a concenfration of 200 μg/mL. After incubation at 37°C for 4 hrs, absorbance at 490nm is measured using a Bio-Rad 3550 microplate reader. The validity of this assay is tested in two ways; 1) preadipocytes were plated at 250; 500; 1000; 2000; 4000 cells per well (in quadruplicate) and absorbance is measured at 490 nm; 2) after measurement at A490 nm the cells are subsequently stained with propidium iodide and direct cell counts caπied out using fluorescence microscopy. A total of 4 fields per well are counted and these results are compared with those obtained with formazan absorbance at 490 nm.
Statistics The coπelation between cell number and optical density is estimated by means of
Pearson's coπelation coefficient. Proliferation data is evaluated by one-way analysis of variance for repeated measures. Post hoc comparison for the within condition effect is handled with paired-t tests at alpha = 0.05.
Results
Effect of MVEC conditioned media on PA proliferation To determine if any soluble factors affecting preadipocyte proliferation are secreted by MVEC the human preadipocytes were exposed to 48hr freatment with MVEC conditioned medium. The results demonstrate a significant increase in the rate of proliferation of preadipocytes (both subcutaneous and omental) compared to controls (p = <0.001). This result is similar for preadipocytes treated with MVEC conditioned media from both subcutaneous (S) and omental (O) adipose tissue sites, however preadipocytes freated with 'S' MVEC show a slightly higher trend in proliferation rate than those freated with 'O' MVEC. The mitogenic effect of factors produced by adipose-derived MVEC on preadipocytes shows some specificity, as proliferation induced by human dermal MVEC (CADMEC) is not as great as that induced by adipose derived MVEC (p = 0 001) Conditioned medium from human skin fibroblasts has no increased prohferative effect on preadipocytes over the blank confrol. The proliferation assay in these studies was validated using Icnown numbers of preadipocytes and results demonsfrate a linear relationship between cell number and absorbance at 490nm (r2 = 0 9). In a limited number of experiments direct cell count is also used to validate the results and shows a positive coπelation (Pearson coπelation coefficient = 0 97) with formazan absorbance at 490 nm m both test and expeπmental assays
EXAMPLE 3
Analysis of FGF-1 Expression in Preadipocytes, Adipocytes and MVEC Based on the observation that MVEC produce FGF-1, the investigators performed experiments to examine the role of the specific growth factor FGF-1 in the replication and differentiation of preadipocytes in vitro The results (data not shown) reveal that preadipocytes grown in the presence of purified FGF-1 from the time of isolation show similar differentiation potential when compared with preadipocytes co-cultured with MVEC. The investigators then designed experiments to confirm the identity of the FGF-1 -producing cells, and to quantitate the FGF-1 mRNA production in the cells identified
Materials and Methods Biopsies of omental and subcutaneous tissue and isolation of preadipocytes are performed as per the procedures outlined in Example 1
Immunofluorescent Labelling of Intracellular FGF-1 A specific anti-FGF- 1 antibody (Sigma F5421) is used for the detection of intracellular FGF-1 Visualisation of labelled, intracellular FGF-1 is performed using confocal microscopy
Assessment of FGF-1 mRNA Expression in Preadipocytes. Adipocytes and MVEC FGF-1 mRNA expression is assessed using real time RT-PCR. Total RNA is extracted from each cell type using a standard protocol (TRI-reagent), and cDNA is produced using the Superscript preamphfication system (Life Technologies). Expression of FGF-1 is then determined using the TaqMan™ assay, a fluorescence-based real time PCR technique using the ABI Prism 7700 Sequence Detector (Perlcm Elmer/ Applied Biosystems) Ouantitation of FGF-1 Protein Expression Western blotting is then performed to assess FGF-1 protein expression in whole-cell lysates of each of the sample cell types.
Results Initial data show that FGF-1 mRNA and protein are expressed at very low levels in mature human adipocytes, but neither mRNA nor protein is detectable in preadipocytes. Consistent with previous results, FGF-1 mRNA and protein are both expressed at high levels by MVEC.
EXAMPLE 4
Characterisation of FGF-1 -Induced Changes in Gene Expression
Materials and Methods Human omental preadipocytes are obtained by tissue biopsy from patients undergoing elective open-abdominal surgical procedures (either gynaecological or vascular surgery). None of the patients should have diabetes or severe systemic illness and none should be taking medications Icnown to affect adipose tissue mass or metabolism. The following protocol is approved by the Research Ethics Committees of the Princess Alexandra Hospital and the Queensland University of Technology. Preadipocytes are isolated and plated according to the methods outlined in Example 1. Preadipocytes are grown in the presence (+) or absence of (-) of human FGF-1-innoculated serum for 48 hours. Gene expression is then compared using a microaπay chip, according to the manufacturer's instructions. Spots are identified on scanned microaπay images using the ImaGene 4.1 (BioDiscovery) software platform. Data are inteφreted using GeneSpring 4.1 software (Silicon
Genetics). Expression of phospholipase Cγ2 (PLCγ2) protein is analysed using Western blotting with immunofluorescent-labelling procedures using a monoclonal anti-PLCγβ antibody (Santa Cruz sc- 5283). EXAMPLE 5
Targeting ofPLCy2 Modulators to Adipogenic Tissue As PLCγ2 is involved in a vast number of signalling pathways in all tissues of the body, use of agents to modulate its activity for pro- or anti-adipogenic puφoses requires preferential targeting of modulators to preadipocytes. Material and Methods
Immunological Targeting Protocols Monoclonal antibodies for the preadipocyte-specific protein, adipose differentiation related protein (ADRP) are raised using a standard protocol. Briefly, peptide sequences from the protein are synthesized and then used to inoculate five rabbits (in-bred albino rabbit strain) twice weekly over a period of twelve weeks. Immunological responses to the infroduced peptide are monitored during this period by testing serum from the rabbits for reactivity with ADRP using in vitro immunocytochemical serum-based assays. The rabbits are sacrificed after twelve weeks and isolated spleen cells are cultured for the isolation and testing of anti-ADRP antibody variants. The anti-ADRP IgG antibody with the highest affinity constant is selected for conjugation with U- 73122 using a carbodiimide amidation step to cross link the free carboxyl group on U-73122 to N- terminal residues on the anti-ADRP antibody.
Lipophilic Targeting Protocols The lipophilic benzodiazepine antagonist, flumazenil, is conjugated with U-73122 to promote the accumulation of this phospholipase inhibitor in adipose tissue. Conjugation is performed using a simple cross-linking reaction which forms a covalent bond between a selected carbon atom on each compound. To test the anti-adipogenic potency of each conjugated U-73122 compound, three dosages of each preparation are tested in the STZ-spontaneously diabetic obese rat strain from postnatal days 10 to 40. Twice-daily dosages are administered via infra-muscular injection. The body mass index (BMI) values of the test animals are tested daily and the rats are monitored for any adverse drug responses throughout the freatment period. The flumazenil-conjugate freatment group is closely monitored for any adverse cenfral nervous system effects.
EXAMPLE 6
Expression of FGF-1 in human adipose tissue, human adipose tissue microvascular endothelial cells and murine 3T3-L1 cells Whole cell lysates were prepared from differentiated 3T3-L1 adipocytes, adipose tissue
MVEC, omental and subcutaneous human preadipocytes in the presence and absence of FGF1 from the time of isolation (over 1 week) and omental and subcutaneous isolated human adipocytes. Following protein quantitation using BCA, 20 μg of total protein was loaded per lane and proteins resolved by SDS/PAGE and fransfeπed to nitrocellulose membrane. Protein of interest was detected using a panel of anti-FGF-1 antibodies and relevant secondary antibodies. Bound antibodies were detected using enhanced chemiluminescence. As shown in Figure 4, FGF-1 protein was detected in 3T3-L1 cells and endothelial cells, but not detected in human preadipocytes or adipocytes under any experimental conditions. Results were consistent with all antibodies tested and confiπned by quantitative RT-PCR analysis for FGFl mRNA (data not shown)
EXAMPLE 7
Effect of FGF-1, FGF-2 and IGF- 1 on omental and subcutaneous preadipocyte replication and differentiation REPLICATION Preadipocytes were isolated and plated in 96-well plates at 500 cells/well (sub-confluent) in serum containing medium for 12-18 hrs to allow adherence. Cells were then incubated in SCM + growth factors at 1 ng/mL for 48 hrs and a MTS proliferation assay (Promega) was performed.
Results shown in Figure 5, which are presented relative to a SCM confrol, demonsfrate marked increase in proliferation in response to both FGF-1 and FGF-2. DIFFERENTIATION For differentiation experiments, preadipocytes were isolated and subcultured in serum containing medium in the presence or absence of growth factor for up to 2 months and then allowed to reach confluence in 6-well plates. Cells were then differentiated in serum-free, chemically modified differentiation medium including 0.1 μM Rosiglitazone. Differentiation was assessed at day 21 using a standard G3PDH assay. Two controls were used, a serum containing medium of DMEM/Ham's F12 1 :1 10% FCS, glutamine, penicillin and sfreptamycin (SCM-1) and a serum containing medium of DMEM/Ham's F12 1:1 plus 10% FCS, glutamine, penicillin, sfreptamycin and heparin (SCM-2). The results presented in Figure 6 show that preadipocyte exposure to FGF-1 during replication promotes subsequent differentiation under standard conditions. As with the effect on replication, FGF-1 had a more pronounced effect than FGF-2, which was, in turn, greater that the effect seen with IGF-1. COMBINATION FGF-1 AND FGF-2 TREATMENTS EFFECTS Human omental and subcutaneous preadipocytes were isolated and subcultured in SCM in the presence and absence of FGF-1 or FGF-2. Upon reaching confluence, the cells were differentiated in standard chemically modified SFM + rosiglitazone in the presence and absence of FGF-1 or FGF-2. Differentiation was assessed by G3PDH activity. The results presented in Figure 7 demonsfrate that both FGF-1 and FGF-2 are effective in promoting preadipocyte differentiation potential when used during replication (treatment in brackets) but only FGF-1 enhances this potential further when used in the differentiation period. These data suggest that FGF-1 had a greater adipogenic effect than FGF-2 and that effects of FGF-1 during replication and differentiation are independent and additive.
EXAMPLE 8
FGF-1 allows human preadipocytes to be differentiated in vitro in the presence of serum A standard requirement of human preadipocyte differentiation in vitro is the obligatory withdrawal of serum. This confrasts with the murine adipocyte cell lines (e.g, 3T3-L1) that have high differentiation potential in SCM. It is assumed that the culture system developed for the human cells which includes the presence of serum, either induces down-regulation of factors necessary for differentiation, or promotes the expression of anti-differentiative factors (or both). In these experiments human omental and subcutaneous preadipocytes were isolated and subcultured in the presence of FGF-1. Cells were then differentiated in SCM plus insulin and (days 1-3) dexamethasone and rosiglitazone. The results presented in Figure 8 show complete absence of differentiation (as evidenced by lack of cytoplasmic lipid accumulation) in preadipocytes subcultured and differentiated in the presence of serum (A). In contrast significant differentiation occuπed in both subcutaneous (B) and omental (C) preadipocytes subcultured and differentiated in the presence of both serum and FGF-1. This is the first ever demonstration of human preadipocyte in vitro differentiation in the presence of serum, and provides compelling evidence for the cenfral role of FGF-1 in human adipogenesis.
EXAMPLE 9
Microarray analysis of human preadipocyte gene expression by FGF-1 Total RNA was isolated from confluent subcutaneous human preadipocytes isolated and grown in either SCM (confrol) or SCM + FGFl. cRNA was prepared and hybridized to chips and subsequently analysed using the Affymefrix® system. Each freatment was represented by duplicate samples and two independent experiments were performed. Gene expression was considered to be influenced by FGF-1 if expression was consistently (CV<5%) increased or reduced by at least 50%. Over 100 genes fell into each category, and those cuπently under investigation are tabulated in Figure 9. Up-regulation of FGFR-1 and FGFR-2 and down-regulation of FGFR-3 suggest that the FGF-1 effect in human preadipocytes may be mediated by FGFR-1 or -2. The upregulation of peroxisome proliferator activated receptor gamma (PPARγ) and CCAAT/enhancer-binding protein alpha (C/EBPα) indicates that these key transcriptional regulators of adipogenesis are mediating the FGF-1 adipogenic effect. FGF-1 could either be promoting their expression or preventing loss of their expression in SCM (or both). Increased expression of PLCγ2 is of relevance as this is a key post-FGFR signalling molecule.
EXAMPLE 10
Human preadipocyte PLCγ expression is increased by FGF-1 Human preadipocytes were cultured in SCM +/- FGF-1 in 24-well plates. PLCγ expression was examined by indirect irnmuno-fluorescence. Non-immune primary and secondary antibody- only controls gave no staining. The results shown in Figure 10 demonsfrate that expression of this molecule is increased in human PAs grown to confluence in the presence of FGF-1 as compared to cells in SCM alone. These results also show that PLC γ2 expression is greatly upregulated at confluence - the stage at which induction of differentiation occurs.
EXAMPLE 11
Inhibition of PLCγ impairs FGFl -induced human adipogenesis Human subcutaneous preadipocytes were isolated and subcultured in SCM in the presence and absence of FGF-1 with and without the PLC inhibitor U-73122 (Calbiochem). Cells were then allowed to reach confluence and differentiated using the standard chemically-modified SFM including rosiglitazone in the presence and absence of FGFl with and without U-73122. Differentiation was assessed by G3PDH activity. The results presented in Figure 11 show that U-73122 significantly impaired FGF-1-induced differentiation during the replication phase or the differentiation phase and that it also had an additive effect during both processes. EXAMPLE 12
Neutralising anti-FGF-1 antibody abrogates FGF-1-induced human preadipocyte replication Human subcutaneous preadipocytes were isolated and cultured in SCM with FGF-1 +/- anti-FGF-1 antibody. Replication was assessed as outlined above. The results presented in Figure 12 show a dose-dependent reduction in replication with the antibody. These data support the efficacy of extra-cellular FGF-1 -reduction strategies. EXAMPLE 13
Effect on preadipocyte differentiation of inhibition ofpost-FGFR signalling Human preadipocytes were isolated and subcultured in SCM + FGFl. For one week prior to differentiation, kinase inhibitors were added to the medium. The cells were then differentiated in SFM + rosiglitazone + FGFl +/- the inhibitors for the first 3 days. Cells were harvested on day 15 and differentiation assessed by G3PDH activity. The compounds used for these experiments were as follows: (1) Calphostin C (Cal C) - PKC inhibitor; (2) PD 98059 (PD) - MEK inhibitor; (3) Ly 294002 (LY) - PI3-K inhibitor; (4) SB 202190 (SB 190) - p38 kinase inhibitor; and (5) SB 202474 (SB 474) - confrol compound for SB 190. The results presented in Figure 13 demonsfrate that inhibition of post FGFR signal transduction pathways has marked effects on FGF-1 -mediated human adipogenesis. Inhibition of
PKC, PI3K and PLCγ (shown above) all significantly reduce differentiation. MEK and p38 kinase inhibition during preadipocyte replication phase alone significantly reduces subsequent differentiation.
EXAMPLE 14
In vivo assay of test compounds Male Wistar rats (250-300g) from the ARC Perth are used for these studies. The animals are weighed on aπival, placed in individual cages and given 1 week to acclimatize to their new suπoundings in the Biological Testing Facility (BTF) at the Garvan Institute of Medical Research.
After 1 week the animals are again weighed and divided into 3 or more groups (depending on study design) of equal average weight. The three groups are designated: Confrol group (no freatment but monitored for food and water intake and weight gain); Vehicle group (receive daily adminisfration of vehicle and monitored as in A); and Test group (receive daily adminisfration of test compound in vehicle and monitored as in
A)
Delivery of compounds Various routes of adminisfration can be used depending on the compound. Small molecules can be delivered by daily gavage dissolved in water or suspended in methylcellulose (volume not to exceed 2 mL). Protein or easily degraded compounds can be delivered by infraperitoneal or subcutaneous injection. It is also possible to deliver compounds continuously for up to 10 days using Alzet minipumps implanted subcutaneously. If different dosages of test compounds or different routes of adminisfration are required extra groups can be added to the protocol.
Monitoring Body weight: Animals are weighed 3 times per week. Food Intake is monitored by difference. Animals are given an exact amount of food
(approxl50g) and intake is determined by weighing the residual food on the days that the body weight is determined. Water intake is determined in a similar fashion by providing animals with a fixed amount of water and measuring the residual water in the water bottle on subsequent days. Serum parameters: Before the commencement of dosing and at one week intervals thereafter a blood sample (0.3 mL) is "milked" from the tail of each rat after 2 mm of the tip of tail has been removed using a shaφ scalpel blade. After centrifugation the serum is stored at -80° C and can be used for assay of glucose, fatty acids, friglycerides, insulin and leptin which is an important indicator of whole animal adiposity. These samples can also be used for monitoring the serum level of the administered compound or its metabolites.
Tissue Collection and Analysis At the end of the dosing period (to be determined) animals are euthanased with an overdose of phenobarbitone and adipose tissue depots (epididymal, refroperitoneal, perirenal, inguinal subcutaneous and scapular brown adipose tissue) are dissected and weighed. These adipose tissue samples (as well as samples of liver, muscle and other organs or tissues of interest) are then snap frozen and stored at -80° C for future analysis. A weight loss of 5% or greater, and significantly greater than placebo (vehicle), will be accepted as proof of efficacy. Adipose tissue depot weights will be used to confirm that weight loss represents adipose tissue loss, not loss of lean body mass. Alteration of markers of FGF activity (supra) will be used as assays to coπelate FGF system activity with weight loss. This will confirm that weight loss induced by the drug is resultant from the hypothesised alteration in FGF activity. EXAMPLE 15
Methyl l-oxo-3-phenyl-lH-indene-2-carboxylate (1)
Methyl l-oxo-3-phenyl-lH-indene-2-carboxylate was prepared by reference to the procedure of Barvian, M. R. et al, Bioorg. Med. Chem. Lett., 1997, 22, 2903-2908, and the procedure of Yost, W. L. and Burger, A, J. Org. Chem., 1950, 15, 1113-1118. 2-Benzoylbenzoic acid (3.09 g, 13.7 mmol) was dissolved in SOCl
2 (15 mL) and heated at 50 °C overnight (ca. 18 hours). The SOCl
2 was removed in vacuo (coevaporated with tetrahydrofuran) to afford the acid chloride, an amber oil, which was immediately caπied through to the next step. Dimethyl malonate (1.99 g, 15.0 mmol) in tetrahydrofuran (20 mL) was added to a solution of potassium tert-butoxide (1.69 g, 15.0 mmol) in tetrahydrofuran (80 mL) and the mixture was stiπed for 20 minutes. The acid chloride in tetrahydrofuran (30 mL) was added and the mixture was refluxed for 3 hours and then allowed to cool to room temperature overnight (ca. 15 hours). The solvent was removed in vacuo to afford an amber oil which was dissolved in Et
20 (200 mL) and washed with 5% HCl (3 x 200 mL). The solvent was removed in vacuo to afford an amber oil, which was suspended in 10% sodium carbonate solution (70 mL). This solution was heated (50 °C) until it turned clear (1,5 hours). A dark yellow oil appeared in the bottom of the flask and was collected with the aid of a separatory funnel. The solution was then neutralized by the addition of 6 M HCl and a dark yellow precipitate formed which was collected with the aid of a Buchner funnel. The oil and solid were purified separately by silica flash column chromatography (1:9 EtOAc/hexane) to afford compound (1) as a dark yellow solid (combined yield: 246 mg, 7%), m.p. 89-92 °C (no lit. m.p.). R 0.21 (1:4 EtOAc/hexane). EI-MS: 264 (M)
+, 233 (M-OCH
3)
+, 176, 88. Η NMR (500 MHz, CDC1
3) δ 7.61 (m, IH, Ar-H); 7.53 (m, 5H, 5Ar-H); 7.42 (m, 2H, 2Ar-H); 7.20 (m, IH, Ar- H); 3.75 (s, 3H, COOCH
3).
13C NMR (125 MHz, CDC1
3) δ 192.0, 165.6, 163.4, 143.1, 133.5, 131.4, 131.1, 130.5, 130.5, 128.5, 128.1, 124.0, 123.5, 123.5, 51.8. HRMS (El) calcd for Cι
7Hι
20
3 264.0786, found 264.0786. EXAMPLE 16
Methyl (2,3,4-tri-O-acetyl-β-D-glucoyyranosyl azide) uronate (2)
Methyl (2,3,4-fri-O-acetyl-β-D-glucopyranosyl azide) uronate was prepared by reference to the methodology of Tropper, F. D. et al. Synthesis, 1992, 618-620. Methyl 1,2,3,4-tefra-C-acetyl- β-D-glucopyranuronate (Bollenback, G. N. et al. J. Am. Chem. Soc, 1955, 77, 3310-3315) (1.23 g, 3.26 mmol) was dissolved in HBr/AcOH solution (20 mL, 33%> HBr in AcOH) and the solution was stiπed. After 3.5 hours the mixture was diluted with CH
2C1
2 (100 mL), washed with ice-cold water (2 x 100 mL), saturated sodium bicarbonate (3 x 100 mL), and brine (100 mL). The organic layer was dried (MgS0
4), filtered and the filtrate evaporated in vacuo to afford a pale yellow oil. This oil was dissolved in CH
2C1
2 (50 mL), and saturated sodium bicarbonate solution (50 mL), sodium azide (1.1 g, 17 mmol) and tefrabutylammonium hydrogensulfate (1.1 g, 3.2 mmol) were added. The mixture was stiπed vigorously for 16 hours and then CH
2C1
2 (150 mL) was added and the solution was washed with saturated sodium bicarbonate (3 * 200 mL), brine (1 x 100 mL), then dried (MgS0
4), filtered and the solvent evaporated in vacuo to afford Methyl (2,3,4-fri-O-acetyl-β- D-glucopyranosyl azide) uronate as a white crystalline solid (1.00 g, 85%), m.p. 135-137 °C [lit. m.p. 153 °C (Gyorgydeak, Z. and Thiem, J. Carb. Res., 1995, 268, 85-92)].
lH NMR (500 MHz, CDC1
3) δ 5.23 (t, IH, J = 9.1 Hz, H3); 5.18 (t, IH, J = 9.5 Hz, H4); 4.91 (t, IH, J = 8.8 Hz, H2); 4.68 (d, IH, J = 8.7 Hz, HI); 4.09 (d, IH, J = 9.6 Hz, H5); 3.73 (s, 3H, COOCH
3); 2.03 (s, 3H, COCH
3); 1.98 (s, 3H, COCH
3); 1.97 (s, 3H, COCH
3).
13C NMR (125 MHz, CDC1
3) δ 169.9 (C=0), 169.2 (C=0), 169.0 (DO), 166.5 (C=0), 88.0 (CI), 74.2 (C5), 71.8 (C3), 70.4 (C2), 69.0 (C4), 53.0 (COOCH
3), 20.4 (COCH
3), 20.34 (COCH
3).
EXAMPLE 17 Methyl l-Deoxy-l-{[(2, 4-dichlorophenoxy)acetyl]amino)-2, 3, 4-tri-O-acetyl-β-D- glucopyranuronate (3)
Methyl l-Deoxy-l-{[(2,4-dιchlorophenoxy)acetyl]amιno}-2,3,4-tn-0-acetyl-β-D- glucopyranuronate was prepared by reference to the procedure of Muφhy, P. V. et al, Bioorg Med Chem. Lett , 2002, 12, 3287-3290. Methyl l-Deoxy-l-{[(2,4- dιchlorophenoxy)acetyl]ammo}-2,3,4-tπ-O-acetyl-β-D-glucopyranuronate (0.29 g, 0.81 mmol) was dissolved in tetrahydrofuran (70 mL) and 10% Pd C (ca. 300 mg) was added. The mixture was stiπed at 0 °C under an atmosphere of hydrogen. After 5 hours the mixture was filtered (Celite
®) and the solvent was evaporated in vacuo to afford the amme, a pale brown oil, which was immediately earned through to the next step. The amme was dissolved in tetrahydrofuran (40 mL), and 2,4-dιchlorophenoxyacetιc acid (356 mg, 1.60 mmol) and 1-hydroxybenzofrιazole (218 mg, 1.60 mmol) were added. The mixture was cooled (0 °C) and then 4-dιmethylammopyπdme (cat, -10 mg, 0.08 mmol) and 1,3-diisopropylcarbodnmide (224 mg, 1.80 mmol) were added. The mixture was stiπed at 0 °C and allowed to warm to room temperature overnight. After ~15 hours the mixture was filtered to remove precipitated 1,3-dnsopropylurea. The filtrate was evaporated in vacuo to afford an oil which was dissolved m ethyl acetate (EtOAc, 200 mL) and washed with 5% HCl (3 x 200 mL), saturated sodium bicarbonate (3 x 200 mL), and brine (100 mL). The organic layer was dried (MgS0 ), filtered and the filtrate was evaporated in vacuo to afford a brown oil (0.66 g). The crude product was punfied by silica flash column chromatography (30 g Sι0
2; gradient elution: 400 mL of 2:3 EtOAc/hexane; 200 mL of 1:1 EtOAc hexane; 200 mL of 3:2 EtOAc/hexane; 15 mL fraction volume.) to afford Methyl l-Deoxy-l-{[(2,4- dιchlorophenoxy)acetyl]ammo}-2,3,4-tn-O-acetyl-β-D-glucopyranuronate as a colourless oil (160 mg, 37%), m.p. 133 °C (no lit. m.p.). R
/0.30 (1:1 EtOAc/hexane, nmhydnn dip). ES-MS: 558 and 560 (M+Na)
+.
l NMR (500 MHz, CDC1
3) δ 7.49 (d, IH, J = 9.3 Hz, CONH); 7.36 (m, IH, Ar- H); 7.15 (m, IH, Ar-H); 6.75 (dd, IH, J= 8.8, 1.4 Hz, Ar-H); 5.37-5.30 (m, 2H, H3, HI); 5.14 (m, IH, H4); 5.03 (dt, IH, J = 9.5, 2.7 Hz, H2); 4.53 (dd, IH, J = 14.9, 2.9 Hz, OCH
2CO); 4.43 (dd, IH, J = 14.9, 3.3 Hz, OCH
2CO); 4.15 (dd, IH, J= 10.0, 2.3 Hz, H5); 3.69 (s, 3H, COOCH
3); 1.99 (s, 3H, COCH
3); 1.98 (s, 3H, COCH
3); 1.90 (s, 3H, COCH
3).
13C NMR (125 MHz, CDC1
3) δ 169.9 (C=0), 169.6 (C=0), 169.4 (O=0), 168.2 (C=0), 166.9 (C=0), 151.4 (Ar), 130.3 (Ar), 127.7 (Ar), 127.7 (Ar), 124.3 (Ar), 114.6 (Ar), 77.4 (CI), 73.9 (C5), 71.9 (C3), 69.8 (C2), 69.5 (C4), 68.1 (OCH
2CO), 52.9 (COOCH3), 20.4 (COCH
3), 20.3 (COCH
3), 20.3 (COCH
3). EXAMPLE 18 l-Deoxy-l-{[(2,4-dichlorophenoxy)acetyllamino}-β-D-glucopyranuronic acid (4)
l-Deoxy-l-{[(2,4-dichlorophenoxy)acetyl]amino}-β-D-glucopyranuronic acid was prepared by reference to the procedure of Muφhy, P. V. et al, Bioorg. Med. Chem. Lett., 2002, 12, 3287-3290. Protected sugar, l-Deoxy-l-{[(2,4-dichlorophenoxy)acetyl]amino}-β-D- glucopyranuronic acid (43.9 mg, 0.082 mmol) was dissolved in a mixture of MeOH/water/tefrahydrofuran (2.5:1:0.5, 16 mL). LiOH.H
20 (27.5 mg, 0.655 mmol) was added and the solution was stirred for 18 hours. The mixture was diluted with water (40 mL) and then ion-exchange resin [Amberlite
® IR-120 (H
+)] was added to reduce the pH to ~3. The resin was removed by filtration and washed with MeOH. The filtrate and washings were combined and the solvent was evaporated in vacuo to afford a colourless oil which was purified by silica flash column chromatography (5 g Si0
2; the sample was pre-adsorbed by dissolving it in MeOH, adding -0.2 g Si0
2 and then removing the solvent in vacuo; gradient elution: 120 mL of EtOAc, 130 mL of 3:7 MeOH/EtOAc, 160 mL of 3:2 MeOH/EtOAc, 100 mL of MeOH; 10 mL fractions.) to afford l-Deoxy-l-{[(2,4-dichlorophenoxy)acetyl]amino}-β-D-glucopyranuronic acid as a white solid (8.20 mg, 25%), m.p. 208 °C (decomposition, no lit. m.p.). ES-MS: 394 and 396 (M-H)
".
:H NMR (500 MHz, d
6-DMSO) δ 8.56 (d, IH, J= 9.1 Hz, CONH); 7.58 (d, IH, J= 2.5 Hz, Ar-H); 7.34 (dd, IH, J= 8.9, 2.5 Hz, Ar-H); 7.08 (d, IH, J= 8.9 Hz, Ar-H); 4.99 (d, IH, J= 5.0 Hz); 4.92 (d, IH, J = 4.5 Hz); 4.73 (t, IH, J = 9.0 Hz); 4.66 (d, 2H, J = 4.3 Hz, OCH
2CO); 3.20-3.08 (m, 2H).
13C NMR (125 MHz, d
6-DMSO) δ 173.1, 167.7, 152.6, 129.2, 128.0, 124.9, 122.4, 115.6, 79.3, 77.1, 75.9, 72.3, 72.1, 67.4.
EXAMPLE 19 ThrAsnGluLeuTyr(0-P03H2)MetMetMetArg (FGF-Derived Phospho-Peptide) were prepared by manual synthesis using Fmoc chemistry on Wang Amide MBHA resin. [General method: Schnoelzer, M.; Alewood, P.; Jones, A.; Alewood, D.; Kent, S.B.H. In situ neutralization in Boc- chemistry solid phase peptide synthesis. Rapid, high yield assembly of difficult sequences. International Journal of Peptide & Protein Research 1992, 40, 180-193.]. After washing and drying the resin, the peptide was cleaved using TFA/water/friisopropylsilane (95:2.5:2.5) and purified by RP-HPLC on a Vydac C-18 column using aqueous acetonifrile containing 0.1% formic acid.
EXAMPLE 20 Proliferation assay to assess effects of inhibitors
To assess effects of inhibitors on preadipocyte proliferation, cells were seeded at a density of approximately lx 103 cells per well in a 96-well plate format (all freatments were examined in quadruplicate). Cells were then maintained for 48 hours in medium containing FGF-1 at lng/mL +/- individual inhibitors at concenfrations listed. Following 48 hours an MTS proliferation assay (Promega, Madison WI USA) (Hutley et. al, 2001, Am. J. Physiol. Endocrinol. Metab. 281:E1036-E1044) was perfoπned to assess cell number (compared to controls) in response to various inhibitors. The results of such assays with inhibitors are shown in the Figures as follows: Compound (1) from Example 15 (Figures 16 and 17), Compound (4) from Example 18 (Figure 19), 3-[(3-(2-carboxyethyl)-4-methylpyπol-2-yl)methylene]-2-indolinone (commercially available) (Figure 20) and phosphopeptide ThrAsnGluLeuTyr(0-P03H2)MetMetMetArg from Example 19 (Figure 21).
EXAMPLE 21
Differentiation assay to assess effects of inhibitors Following approximately 2 months in culture, either in the presence or absence of FGF-1 (lng/mL), cells are induced to differentiate using a chemically defined serum-free medium containing hormonal inducers of adipose differentiation +/- FGF-1 (lng/mL). Cells are maintained in this medium +/- FGF inhibitors (at concentrations listed) for a period of 21 days. At the end of this 21 day period the degree of preadipocyte differentiation in response to various freatments is assessed both moφhologically, using lipid accumulation (photomicrographs), and biochemically using analysis of glycerol-3 -phosphate dehydrogenase (G3PDH) activity. G3PDH is an enzyme found in adipocytes but not preadipocytes therefore activity of this enzyme is used as a marker of the degree of adipose conversion of preadipocytes (Hutley et. al, 2003, Eur. J. Clin. Invest. 33:574-581; Hutley et. al, 2004, Diabetes, 53:3097-3106). The results of these assays with inhibitors are shown in the Figures as follows: PLC inhibitor (Figure 11), kinase inhibitors including Calphostin C (Cal C) - a PKC inhibitor, PD98059 (PD) - a MEK inhibitor, Ly 294002 (LY) - a PI3-K inhibitor, SB 202190 (SB 190) - a p38 kinase inhibitor and SB 202474 (SB474) - a confrol compound for SB190, (Figure 13), anti-FGF-1 antibody (Figures 14 and 15), and phosphopeptide ThrAsnGluLeuTyr(0-P03H2)MetMetMetArg from Example 19 (Figure 22). The disclosure of every patent, patent application, and publication cited herein is hereby incoφorated herein by reference in its entirety. The citation of any reference herein should not be construed as an admission that such reference is available as "Prior Art" to the instant application. Throughout the specification the aim has been to describe the prefeπed embodiments of the invention without limiting the invention to any one embodiment or specific collection of features. Those of skill in the art will therefore appreciate that, in light of the instant disclosure, various modifications and changes can be made in the particular embodiments exemplified without departing from the scope of the present invention. All such modifications and changes are intended to be included within the scope of the invention.