Movatterモバイル変換


[0]ホーム

URL:


WO2005057467A2 - Tissue characterization using an eddy-current probe - Google Patents

Tissue characterization using an eddy-current probe
Download PDF

Info

Publication number
WO2005057467A2
WO2005057467A2PCT/US2004/040461US2004040461WWO2005057467A2WO 2005057467 A2WO2005057467 A2WO 2005057467A2US 2004040461 WUS2004040461 WUS 2004040461WWO 2005057467 A2WO2005057467 A2WO 2005057467A2
Authority
WO
WIPO (PCT)
Prior art keywords
coil
tissue
electrical conductivity
coupled
biological tissue
Prior art date
Application number
PCT/US2004/040461
Other languages
French (fr)
Other versions
WO2005057467A3 (en
Inventor
Karen Jersey-Willuhn
Manuchehr Soleimani
Original Assignee
Subqiview Inc.
Priority date (The priority date is an assumption and is not a legal conclusion. Google has not performed a legal analysis and makes no representation as to the accuracy of the date listed.)
Filing date
Publication date
Application filed by Subqiview Inc.filedCriticalSubqiview Inc.
Publication of WO2005057467A2publicationCriticalpatent/WO2005057467A2/en
Publication of WO2005057467A3publicationCriticalpatent/WO2005057467A3/en

Links

Classifications

Definitions

Landscapes

Abstract

In a medical imaging apparatus (100), a planar probe (104) is configured for positioning on a body surface and adapted to create an electromagnetic field in biological tissue and acquire signals for creating a mapping of electrical conductivity in the biological tissue.

Description

TISSUE CHARACTERIZATION USING AN EDDY-CURRENT PROBE
Karen Jersey-Willuhn Manuchehr Soleimani
BACKGROUND OF THE INVENTION Field of the Invention The invention relates generally to physiological monitoring devices and, more particularly, to tissue monitoring devices and methods for detecting abnormal conditions. Relevant Background Early and accurate diagnosis is essential for the proper management of cancer patients. Early detection of cancer increases the cure rate. Because many cancers are diagnosed late, the survival rate is impacted. Current diagnostic methods are inadequate. Evaluation and diagnosis of potential malignant tumors remains a major obstacle to early treatment. Diagnosis is difficult and often is initially missed or delayed. In addition, physicians face challenges imaging abnormal tissue and guiding instrumentation to the abnormal tissue during a procedure such as therapeutic ablations. Post-procedure imaging using Magnetic Resonance Imaging is often completed to monitor results of past intervention. Intervention may need to be repeated due to limited intra- procedural imaging tools, particularly during minimally-invasive procedures in which physicians have limited visibility. What is desired is an imaging device enabling imaging of tissue characteristics for screening, detecting, and diagnosing abnormal tissue. Also of interest is a capability for usage in real time and/or intra-procedurally to improve identification of abnormal tissue characteristics, enabling improved image guidance during a therapeutic procedure. A further desired functionality is post-procedural monitoring of tissue characteristic status..
SUMMARY OF THE INVENTION In accordance with an embodiment of a medical imaging apparatus, a planar probe is configured for positioning on a body surface and adapted to create an electromagnetic field in biological tissue and acquire signals for creating a multiple-dimensional mapping of electrical conductivity in the biological tissue.
BRIEF DESCRIPTION OF THE DRAWINGS Embodiments of the invention relating to both structure and method of operation, may best be understood by referring to the following description and accompanying drawings. FIGUREs 1A, IB, and IC are perspective pictorial diagrams illustrating an embodiment of a medical imaging apparatus adapted for imaging using an eddy-current sensor. FIGURE ID is a pictorial overhead view showing an embodiment of a shielding layer that may be used in the coil element. FIGURE 2 is a mixed pictorial and block diagram depicting an embodiment of a medical imaging apparatus adapted for tissue characterization using an ablation catheter for different types of cancer. FIGURES 3A, 3B, and 3C are schematic perspective pictorial diagrams illustrating examples of sensors which may be implemented into various catheter embodiments. FIGURES 4 A, 4B, and 4C are pictorial diagrams illustrate respective top, frontal, and side views of an embodiment of a robotic which may be used in a medical imaging apparatus to scan a coil element over a body segment. FIGURE 5 is a schematic block diagram depicting an embodiment of a signal acquisition and processing device suitable for usage in the disclosed medical imaging systems. FIGUREs 6A and 6B are pictorial views showing an embodiment of a catheter configured for internal body usage. FIGURE 7 is a highly simplified pictorial diagram illustrating an embodiment of a medical imaging apparatus including a planar probe adapted for sensing eddy-currents evoked by electromagnetic field application. FIGURE 8 is a highly simplified flow chart showing an embodiment of a technique or method which is adapted to process eddy-current measurements. FIGURE 9 is a highly schematic pictorial diagram illustrating structures addressed in the forward problem of the eddy current analysis. FIGURE 10 is a pictorial view showing an embodiment of an image that may be acquired and mapped using the various medical imaging apparatus embodiments. FIGURE 11 is another embodiment of a medical imaging apparatus for usage in scanning for ovarian cancer. FIGUREs 12A and 12B are perspective pictorial diagrams illustrating assembled and exploded views of another embodiment of a coil structure. FIGURE 13 is a pictorial diagram illustrating another embodiment of a coil that may be used in the eddy-current scanner and/or magnetic induction tomography imager.
DESCRIPTION OF THE EMBODIMENT(S) Referring to FIGUREs 1A, IB, and IC, perspective pictorial diagrams illustrate an embodiment of a medical imaging apparatus 100 adapted for imaging using an eddy-current sensor 102. A planar probe 104 is configured for positioning on a body surface and adapted to create an electromagnetic field in biological tissue and acquire signals for creating a multiple- dimensional mapping of electrical conductivity in the biological tissue. Electrical conductivity maps and/or information derived from electrical conductivity maps may be used to monitor various body tissue characteristics as a functional monitoring and clinical diagnostic tool during diagnosis and therapy. Electrical conductivity mapping and usage of derived information may be used intra-procedurally and may be effective for monitoring results of therapeutic intervention. Potential applications include cancer diagnosis, detection and/or observation of occluded vessels, image guidance during surgery, including minimally-invasive surgery, and others. One or more coil elements 106 are arranged on the planar probe 104. The planar probe 104 depicted in FIGURE 1A has a two-dimensional arrangement of coil elements 106. The individual coil elements 106 comprise a transmitting coil 108 and a receiving coil 110 positioned along an axis 112 and positioned between electrostatic shielding layers 114 and 116. The individual coil layers, 108, 110 are mutually separated and electrically isolated by intervening free space, air gaps and/or dielectric materials. Typically, the coil layers 108, 110 are physically separated. The thickness of intervening gaps between the coil layers 108, 110 may be varied, for example to enable measurement of the inductive portion of trans-impedance between the coils. Transmitting coils 108 are used to transmit an electromagnetic field to the body. The response of eddy current from the body is detected by the sensing coils 110. In the embodiment illustrated in the assembled and exploded perspective views shown in FIGURES IB and IC, the coil element 106 is arranged with a transmitting coil 108 positioned between two receiving coils 110A and HOB along the axis 112. The three axial coils 110A, 108, and HOB are positioned between the shielding layers 114 and 116. FIGURE ID is a pictorial overhead view showing an embodiment of a shielding layer 114 or 116 that may be used in the coil element shown in FIGUREs IB and IC. The structure with two receiver coils 110A and HOB enables mirroring of received signals with respect to the transmitter coil 108. For example, the signal received at the second receiver coil HOB may be subtracted from the signal at the first receiver coil HOA to eliminate or reduce the effect of the primary field. Accordingly, the axial alignment of the transmission and receiving coils form an axial gradiometer that enables cancellation of a large background signal. A gradiometer includes a pair of coils wound in opposite directions, enabling cancellation of common background noise. Bipolar leads are wound in the same direction. The planar probe 104 is generally constructed from a rigid substrate material to ensure highly accurate relative positioning of the first and second receiver coils HOA and HOB to accurately account for measurement positioning of the primary and secondary fields. The illustrative coil element 106 has top and bottom shielding layers 114, 116, forming a sensor with electrostatic shielding. In some embodiments, shielding is printed in conductive inks constructed from appropriate inks such as the inks shown in Table I. The shielding is applied at top and bottom layers over the coil system. In an illustrative embodiment, the individual coils 108, 110 may have a suitable number of turns, for example 15 for either transmitting or receiving coils. One suitable coil size and geometry has a 3 cm diameter and 5 mm distance between measuring coil segments HOA, 108, and HOB, and a 1.5 mm gap between the outer receiving coil segments HOA and HOB and respective shielding layers 114 and 116. In various configurations, the coil-coil sensor creates a highly suitable current distribution inside tissue, facilitating impedance measurements and increasing sensitivity. The coil-coil structure may also assist in creation of detectable induced voltages in high contrast objects in the tissue. The coil element 106 includes electrode arrays configured of flex-coils of flexible printed circuits, composed of kapton polyimide film. The sensor may be photo-etched on the circuits as integral inductive coils and wound in a plane, enabling materials, such as copper, silver, or any highly-conductive metal or alloy, with consistent conductive properties to be used, improving magnetic field consistency, simplicity of assembly, improved reliability, and miniaturization. Usage of materials with consistent conductive properties may also facilitate calculation of electrical resistivity for electrical conductivity maps. In some embodiments, multiple-layer conductive inks may also used in configurations whereby multiple layers form the coil. The coil-coil configuration may be enclosed within a biocompatible material, which is suitable for external and internal use. Suitable shielding materials include clear polyester with a printed conductor (MSD-4) or clear polyester with a printed silver/carbon blend (MSD-6) either at a 5 mil thickness. Other shielding materials are 15 or 20 mil thermoformed with or without laminate (MSD-8). Other materials include clear polyester with 1.4 Mil Copper foil (DEV-586) with 5 Mil thickness, copper foil with acrylic adhesive (DEV-583) with a 1.4 Mil thickness, "half-hard" aluminum with acrylic adhesive with 2 Mil thickness (AL-806), and "dead-soft" aluminum with acrylic adhesive with 3 Mil thickness (AL-807). The example materials are available from Conductive Technologies, Inc. of York, PA. The top and/or bottom surfaces of the coil elements 106 may have one or more disposable, peel-away liners constructed from plastic, paper, any paper-like material. The liner may include a nonconductive adhesive material that may be used to attach the sensor 106 to the topical skin and maintain the sensor over the area of interest. The liners also enable a user to peel the liner away to open and deliver the sensor within a sterile field. A typical minimum shielding specification attenuates at least 30 dB at 1-1000 MHz. The electromagnetic shielding layer 114, 116 is generally constructed from materials such as printed conductive inks with a conductive character. Suitable materials include silver/carbon blend materials and others such as any suitable conductive material or combination of conductive materials. Examples of suitable conductive materials include conductive plastics, elastomers, and coating compositions, conductive carbon fibers and powders, metallized foil laminates and tapes, electroless plating, vacuum metallization, thermal arc sprays, and the like. Suitable separation between the transmitter 108 and the body is attained by forming a space between the coil layers. Adhesives, stiffeners and various substrate materials can be used to construct suitable spacing between the layers, supply stability, and fasten or attach the layers. Nonconductive dielectrics may be used to construct layers on a base material. Air gaps may be formed between the layers to supply thickness and separation between the layers. A probe structure that includes air gaps is typically constructed by forming a frame of rigid structural materials, adhesive, and stiffeners. In some configurations, as shown in FIGURE 1A, the planar probe 104 may comprise a substrate 118, a two-dimensional arrangement of coil elements 106 mounted on or integrated into the substrate 118. A connector 120 is formed on the substrate 118 and multiple conductive traces 122 are formed on the substrate 118 and arranged to connect the coil elements 106 to the connector 120. The substrate 118 may be constructed as a rigid sheet including stiffener and adhesive materials. Usage of a stiff or rigid substrate 118 results in a generally non-flexible sensor. The conductive traces 122 may be constructed from any suitable conductive materials including carbon, carbon/silver blends, silver, silver/silver chloride compositions, metals such as silver, gold, and platinum. Other suitable materials include specialty composites and materials, and others. Various embodiments of the medical imaging apparatus 100 can have any appropriate number of coil elements 106 and any suitable number of coil layers in a coil element.
Accordingly, a sensor may include a single coil or multiple coils. The distance between coils can be varied, typically depending on the particular biological tissues and structures to be imaged and the particular imaging application. Generally, the individual coils are electrically isolated from other coils. The coils may be formed in various configurations. The coils may be formed in multiple layers stacked along the axis 112. Other embodiments may have other configurations. Coils may be constructed from any suitable conductive material such as shaped metal wires, various conductive composite materials, conductive printed inks and the like. For example, coils of any suitable shape or geometry can be constructed by printing ink onto an appropriately shaped substrate. Referring to FIGURE 2, a mixed pictorial and block diagram illustrates an embodiment of a medical imaging apparatus 200 adapted for tissue characterization using an ablation catheter 210 for different types of cancer. Tissue characterization can be used in ablation operations and for diagnostic monitoring of patients both preliminary to ablation therapy and post-ablation. The medical imaging apparatus 200 performs imaging using contactless sensors which generate electromagnetic waves in a cancer diagnostic operation. The illustrative medical imaging apparatus 200 includes a signal acquisition and processing device 202 coupled to a planar probe 204. The signal acquisition and processing device 202 includes one or more signal channels adapted to activate the planar probe 204 to create an electromagnetic field in biological tissue 206. The signal acquisition and processing device 202 also may electronically multiplex multiple channels and process the signals, thereby creating a multiple-dimensional mapping of electrical conductivity of eddy currents in the biological tissue 206. In an illustrative application, the medical imaging apparatus 200 executes an electro-conductivity imaging operation to create a two-dimensional or three-dimensional image highly distinguishable from images produced using magnetic resonance imaging. The sensor transmitter coil generates interrogating electromagnetic waves and creates an image based on changes in conductivity resulting from the action of the electromagnetic waves on tissue. In some implementations, tissue characterization can be performed in combination with cryo-surgery, laser-cryo surgery, and the like. Images are generated based on conductivity, permeability, and/or permittivity changes with temperature variation during application of heating and cooling. A controller 208 connects to the signal acquisition and processing device 202 and accesses information from the various signal channels. The controller 208 typically executes a program logic that is adapted to image passive electrical properties of the biological tissue 206 by applying a time-varying magnetic field to the biological tissue and recording a secondary magnetic field from the tissue. The probe 204 includes a current in a volume conductor - the tissue - and produces a time-varying magnetic field, thereby creating a magnetic induction field. According to Faraday's law, the magnetic induction field produces an electric field which leads to a change in voltage accounting for a rise in sodium current which excites cellular membranes. Various measurable passive electromagnetic properties include conductivity, permittivity, permeability, and the like. Variations in the passive electrical properties can be measured using a sensor that does not make conductive contact with the body. The passive electrical properties can be measured using application of the magnetic field at multiple frequencies for example to facilitate imaging in three dimensions, or at a single frequency. Multiple frequency analysis enables differentiation of physiological signals including signals that may interfere with diagnostic data points. Inclusion of additional frequencies also enables imaging of deep target tissue, such as ovarian tissue. Some embodiments may implement frequency down-conversion to avoid effects of phase instability during signal distribution and processing. In some embodiments or in some applications, the medical imaging apparatus 200 may include or be used in conjunction with a catheter 210 for internal body usage. A sensor 212 may be mounted on or formed into the catheter 210. The sensor 212 may be activated to acquire signals for creating a mapping of electrical conductivity internal to the body. The sensor 212 is also coupled to a signal acquisition and processing device 214 which pre-amplifies a received signal from the sensor 212 to enable processing of signals internal to the tissue. In an embodiment adapted for diagnosis of ovarian cancer, the medical imaging apparatus 200 is configured as a diagnostic system including electronics hardware 202 and 214, catheter 212 and abdominal 204 coil-coil sensors capable of characterizing tissue for normal and abnormal electrical distribution properties in ovarian tissue. The controller 208 processes data acquired from the catheter and abdominal sensors, and executes diagnostic algorithms for reconstruction of three-dimensional images enabling quantitative analysis of tissue based on electrical conductivity, thereby facilitating detection and diagnosis of ovarian cancer. The illustrative medical imaging apparatus 200 may be used for various clinical applications. For example, the medical imaging apparatus 200 may be used for diagnostic imaging and imaging during therapy of ovarian cancer. The disclosed medical imaging apparatus 200 improves over various existing imaging methods. For example ultrasound is able to estimate ovarian size and detect masses as small as 1 cm. and distinguish solid lesions from cysts. However, ultrasound often misses early ovarian cancer. Ultrasound diagnosis involves analysis of morphology and early stage tumors frequently do not reflect morphological changes that be easily detected. Abdominal X-ray imaging may conventionally be performed as part of the tests. Tumor characteristics using Magnetic Resonance Imaging (MRI) are not well-defined. Positron emission tomography (PET) and PET combined with CT are useful for staging of distant metastasis and suspected recurrent cancer, but are too costly and complex for usage in routine screening. Current methods of assessment by human observation, blood testing (CA-125) and ultrasound imaging or contrast X-ray imaging, generally supply inadequate information on tissue characteristics. CA-125 is a test done on a blood sample drawn in a laboratory. The assay (analysis) assesses the amount of an antibody that recognizes an antigen in tumor cells. The illustrative medical imaging apparatus 200 enables real-time identification of suspicious anomalies of ovarian tissue demonstrating abnormal dielectric tissue properties for usage as a diagnostic indicator of ovarian cancer. The medical imaging apparatus 200 and corresponding method enable accurate, efficient, low cost, and painless diagnostic information without subjecting a patient to ionizing radiation or intake of fluids prior to the test. The medical imaging apparatus 200 also enables relatively immediate access to results without requiring the patient to return for subsequent testing. Referring to FIGUREs 3 A, 3B, and 3C, schematic perspective pictorial diagrams illustrate various examples of sensors 302A, 302B, and 302C which may be implemented into various catheter embodiments 300A, 300B, and 300C, respectively. FIGURE 3A depicts an embodiment of a catheter 300A with a sensor 302A implemented as a receiver element 304A in the form of a coil 306. Electric current is induced with the coil 306 and trans-impedance data between a sender and receiver coil is measured and induced voltage is measured using electrodes. FIGURE 3B illustrates an embodiment of a catheter 300B with a sensor 302B which is a receive element 304B operative as a Hall-Effect sensor 308. A magnetic field is generated using the sensor 302B to generate an electrical field. The Hall-Effect sensor 308 generates a time-varying magnetic field and the induced voltage is measured with contact electrodes to reconstruct the subsurface electrical conductivity distribution characteristics. FIGURE 3C shows a catheter embodiment 300C, also a receiver element 304C, in the form of an electrode 310. In some configurations, electric current is passed through the electrodes 310 and the current distribution is detected using a magnetometer. Typically, the sensor 302A, 302B, and 302C is implemented as a receiver and operates in association with a transmitter which is positioned exterior to the body, for example on an external probe. Accordingly, the sensor on the catheter can directly measure the magnetic field within the tissue imaged by the probe. In other configurations, magnetic sources can be used to generate specified eddy current levels and sensors analyze voltages found sufficient to generate the eddy current levels. Referring again to FIGUREs IB and IC, in some embodiments the medical imaging apparatus 100 may be implemented as a single coil element 106, for example including a transmitting coil 108 positioned along the axis 112 between two receiving coils HOA, HOB. Electrostatic shielding layers 114 and 116 are disposed along the axis 112 at the outer surfaces of the receiving coils HOA and HOB to prevent or eliminate capacitive communication between the imaged body and the coil 106. The structure enables the coil element 106 to create an electromagnetic field in biological tissue and acquire signals for creating a mapping of electrical conductivity in the tissue. The single coil element 106 may be used to create a multiple-dimensional mapping of electrical conductivity by moving or scanning the coil element 106 over a spatial area. A mapping is typically acquired by scanning over a two-dimensional plane and generating a two- dimensional electrical conductivity map in that plane. Electrical conductivity measurements may also be processed to obtain depth information, enabling mapping in three-dimensions. Manual scanning may be sufficient in some applications. More accurate mappings can generally be acquired through usage of an automated electronic or mechanical scanning device. Electronic scanning can be performed using a probe such as the planar probe 104 depicted in FIGURE 1A. Referring to FIGUREs 4A, 4B, and 4C, pictorial diagrams illustrate respective top, frontal, and side views of an embodiment of a robotic 402 which may be used in a medical imaging apparatus 400 to mechanically scan a coil element 406 over a body segment. The robotic 402 coupled to the coil element 406 and is adapted to scan in a two-dimensional plane relative to a body surface. A typical implementation may include a stepper motor coupled to the robotic 402 to drive X and Y axis positioning, and in some implementations Z axis positioning, to accurately steer the sensor to a desired position. Although a single coil element 406 may be sufficient to acquire and display a multiple-dimension image, some embodiments may implement multiple coil elements. The illustrative robotic 402 has two tracks 410 and 412 along which a robotic head 414 moves to enable scanning in X and Y dimensions. The robotic may also include gears and members 416 enabling motion in the Z dimension. A typical scan may involve movement in the X and Y directions alone, maintaining the Z level the same throughout the scan. In some embodiments or applications, the robotic 402 may move the coil element 406 in all three dimensions, for example to scan in two dimensions at an angle from the X-Y plane, scan in radial dimensions, or any other suitable scan geometry. The medical imaging apparatus 400 may further include a signal acquisition and processing device 418 communicatively connected to the coil element 406. The signal acquisition and processing device 418 includes one or more signal channels adapted to activate the coil element 406, creating an electromagnetic field in biological tissue. The signal acquisition and processing device 418 is also used to process the signals and create a multiple-dimensional mapping of electrical conductivity in the biological tissue. The medical imaging apparatus 400 further includes a controller 420 adapted to control the robotic 402, the coil element 406, and the signal acquisition and processing device 418 to image passive electrical properties of the biological tissue by applying a time-varying magnetic field to the biological tissue and recording a secondary magnetic field from the biological tissue. An embodiment of the signal acquisition and processing device 418 is depicted in FIGURE 5. In some embodiments and/or applications, the medical imaging apparatus 400 may include or be used in combination with a catheter. Referring to FIGUREs 6A and 6B, pictorial views show an embodiment of a catheter 600 configured for internal body usage. A sensor 602 is mounted on the catheter 600 and acquires signals that can be used to create a mapping of electrical conductivity internal to the body. During radio frequency ablation, energy is delivered through a probe, for example a metal tube 604, inserted into a tumor 606 or other tissue. When the probe 600 is in place, metal prongs 608 open out as shown in FIGURE 6B to extend the area of therapy. Radio frequency energy causes atoms in cells to vibrate and create friction, generating heat up to 100°C and results in cell death. Referring to FIGURE 7, a highly simplified pictorial diagram illustrates an embodiment of a medical imaging apparatus 700 including a planar probe 702 adapted for applying an electromagnetic field to a patient's body tissue and sensing eddy-currents evoked by the electromagnetic field application. A controller is communicatively coupled to the planar probe 702 and operates to control the planar probe 702 to apply a time-varying magnetic field to patient tissue, record a secondary field from the tissue, and create a multiple-dimensional mapping of passive electrical properties in the tissue. A suitable planar probe 702 is depicted in FIGUREs 1A, IB, and IC and includes a two- dimensional arrangement of coil elements with the individual coil elements comprising a transmitting coil between two receiving coils and positioned along an axis between electrostatic shielding layers. The planar probe 702 is typically constructed as a substrate 704 with a two-dimensional arrangement of coil elements. In the illustrative embodiment, the substrate 704 is perforated by at least one aperture 706 configured to enable a catheter 708 to pass through the substrate 704. The catheter 708 is configured for internal body usage and has a mounted sensor 710 enabling acquisition of signals for creating a mapping of electrical conductivity internal to the body. For example, the sensor 710 enables measurement of the magnetic field generated at the position of a tumor 712 internal to body tissue. The medical imaging apparatus 700 functions at least partly on the basis that cancer cells exhibit altered dielectric properties compared to normal cells, enabling a safe, convenient method of characterizing ovarian tissue by using analysis of electrical conductivity properties. A three- dimensional image of eddy currents is formed to supply information on suspicious abnormal electrical tissue properties facilitating detection and diagnosis of ovarian cancer. In some embodiments or measurement configurations, a patient may be scanned using two non-body- contact coil-coil sensors including an abdominal sensor and a trans-vaginal sensor (not shown). Imaging may be in real-time and the results immediately made available. Referring to FIGURE 8, a highly simplified flow chart illustrates an embodiment of a technique or method which is adapted to process eddy-current measurements and transform the measurements into diagnostically useful information. The illustrative algorithm processes a finite element formation of eddy currents 800 in the imaged section of biological tissue. The technique uses an iterative algorithm with regularization to facilitate recovery of passive electrical property material distributions including one or more of conductivity, permeability, and permittivity. In an illustrative embodiment, the method can be an efficient formation based on an adjoint field theorem. The sensor acquires electrical impedance data from real and imaginary points from tissue. Input information 802 to the method may include measured signals such as a conductivity distribution of the imaged object, information relating to the sensing coil geometry, and excitation current. The magnetic field produced by one or more excitation coils generates a secondary eddy current field within the conductive tissue, which in turn produces a secondary magnetic field that can be detected by the sensing coils. In an application for ovarian cancer imaging, impedance data is acquired from ovarian tissue and tissue surrounding the ovary, applying fast, highly efficient reconstructive algorithms based on a highly efficient Jacobian matrix method. A finite integration method 804 is performed to address the forward problem. Magnetic induction tomography (MIT) is a technique used to reconstruct the unknown conductivity distribution of materials in a non-destructive way. Magnetic inductance tomography and electrical impedance are recent contactless methods of electrophysiological imaging. The forward problem 804 is an eddy current problem. The Jacobian matrix is used to solve the nonlinear and ill posed inverse problem for image reconstruction. Referring to FIGURE 9 in combination with the flow chart shown in FIGURE 8, a highly schematic pictorial diagram illustrates structures addressed in the forward problem 804 of the eddy current analysis. A time-varying current flowing in an exciting coil 902 placed near to the specimen 900 induces eddy currents in the specimen under testing. The induced eddy currents, depending on the spatial values of the resistivity and magnetic permeability, affect the signal detected by the surrounding or internal pick-up coils 904 or magnetic sensors. Finite Integral Method (FIM) formulations are well suited for electromagnetic analysis of
MIT problems. Unknowns are a two-component vector potential T (J=VxT) defined in the conducting region Vc. The current density vector potential T is then expanded in terms of co-tree edge-element basis functions Υk: according to equation (1) as follows:
T -∑αfctø (i) where N is the number of degrees of freedom. The gauge is imposed by means of a tree-co-tree decomposition of the finite element mesh and the condition J n=0 at the boundary of the conducting domain, for simply connected regions and a suitable choice of the tree, is automatically enforced by imposing the tangential component of T to be zero at the boundary.
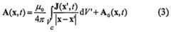
For a linear non-magnetic conducting material and assuming time harmonic fields, equations (2), (3), and (4) are pertinent:
E = -jωA-Vφ (2)
Figure imgf000014_0001
η J = E in Vc , otherwise J = 0 (4)
where φ is the scalar electric potential and A is the divergence-free magnetic vector potential, μo is the magnetic permeability of the vacuum, A0 is the contribution of the external current density, η is the resistivity of the conductors, ω is the angular frequency and 7 is the imaginary unit. The numerical formulation follows by solving equations (2)-(4) with respect to J and by applying the Galerkin method as shown in equation (5): Z I = U (5)
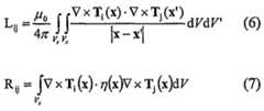
where Z=R+ ωL, I = {Ik}, U = {Uj and equations (6), (7), and (8):
Figure imgf000014_0002
Ui = -^ JV xTi(x)- A0(x)dF . (8) With reference to MIT measurements, the measurement is assumed to describe the impedance matrix between coils. The numerical model for predicting the measured impedance matrix can be obtained by observations described in equations (9), (10, and (11):
U = -y«MI0 (9) V0 = jωMτl + (/.BL0 + R0)l0 (10)
MΛ £ jV x T,(x)- A2(x)dr (11) v,
where A° is the vector potential in the free space due to an unitary current flowing in the fc-th coil, lo and V0 are the column vectors containing currents and voltages at the coils, L0 is the matrix of mutual inductances when the specimen is removed and Ro is the diagonal matrix containing the resistances of the coils.
The impedance matrix Zcou at the coils (V0 = Z„I0 ) easily follows from equations (5), (9)-(l l) according to equation (12):
ZβΛ =a>ϊM,'Z-|M + ( fflLβ + Rβ) . (12) Finally, since Lo and R can be measured and don't depend on the specimen, data processed by the inversion algorithm is assumed to be the reduced impedance matrix Z'coll defined in equation (13):
Z'C0„ =-ω2Mτ(R + jωL)-'M . (13)
Induced voltage in each coil is the trans-impedance of that measurement divided by electric current in excitation coil, completing all possible measurements.
Referring again to FIGURE 8, an initial conductivity distribution is calculated 806. For example, Jacobian matrix may be calculated 806.
The Jacobian matrix solution 806 is one example of a technique for performing sensitivity analysis. The linear sensitivity of the induced voltage measurement as a result of changes in conductivity may be calculated by perturbation or "Born approximation". Technically, the analysis is a calculation of the Frechet derivative of the voltage data with respect to conductivity. While the linearization is well known for the full Maxwell's equations, results for the eddy current approximation are given in terms of magnetic vector potential, which is computationally convenient and which may be extracted directly from the finite integral solution of the forward problem 804. The sensitivity of the voltage induced in the same coil used to drive current is derived to a change in conductivity. If the total current in the coil is I0 then the sensitivity of the induced voltage to the conductivity is given by equation (14): \ At.Ajdvd Vϋ 2nk ιr^ = -ω -^—r(i4)
where ΩD k is the volume of the perturbation, At and Aj are the solution of the forward solver when excitation coil ( i ) is excited by I0 and sensing coil ( j ) is excited with unit current.
The inverse problem is solved 808, and the image is displayed 810. The inverse problem 808 solution reconstructs the image. The inverse problem in three-dimensional eddy current imaging is both ill-posed and non linear. In general, both low and high contrast conductivity distributions may be used for the optimal reconstruction depending on the application. For a more general solution, the regularized Newton-Raphson (N-R) method may be used. The process starts with an initial conductivity distribution, which may be assumed to be zero. The forward problem is solved and the predicted voltages compared with the calculated voltages from the finite element model. The conductivity is updated using a regularized inverse of the Jacobian 808. The process is repeated until the predicted voltages from the finite element method agree with the measured voltages. The update formula is shown in equation (15):
°n+\ = <rn +\ Jn Jn +R) Jn tymea red~ Fiσnl) (15)
where " is the Jacobian calculated given the conductivity " ,measured is the vector of voltage measurements and the forward solution ^ "Ms the predicted voltages from the FE model with conductivity " . The matrixR = a L L is a regularization matrix, which L is a discrete version of the Laplacian operator anda is the regularization parameter, which penalizes extreme changes in conductivity removing the instability in the reconstruction, at the cost of producing artificially smooth images. To solve the full problem, it is necessary to utilize the information calculated from the solution of the forward problem. The aim is to calculate a conductivity distribution £31 given a set of excitation current patterns i and a set of measured voltagesmeasureι* .
Data is applied to complex reconstruction algorithms and image processing to generate an image that displays a three-dimensional electrical conductivity distribution of tissue. Using sensitivity maps, a Jacobian matrix is calculated and sensitivity, current, and voltage fields of electrical fields are modeled for the imaged tissue, for example ovarian tissue, and surrounding tissue. Calculations are performed in three dimensions using x, y, and z axis to reconstruct and measure the change in conductivities as the perturbing process occurs in the tissue under examination, for example malignant ovarian tumor versus non-cancerous tissue. Analysis enables variation and evaluation of current injection patterns. Changes in electrical distributions track and are substantially proportional to the injected current pattern and inversely proportional to the conductivity of the tissue, enabling reconstruction of 3D-MIT images. The three-dimensional image is generated and displayed in color and in real-time, with suitable boundary definition. Three dimensional color images depict electrical distributions including complex spatial relationships for visual examination and interpretation as a diagnostic tool. Conductivity measurements increase in amplitude with applied frequency. Tissues appearing most bright in the color 3D image are the tissues that demonstrate the greatest change in conductivity between two applied frequencies.
Various methods can be implemented for image reconstruction including back-projection, sensitivity matrix, nodal finite element modeling, adaptive methods, layer stripping algorithm, iterative inversion method, Newton's One-Step Error Reconstruction (NOSER), and Jacobian matrix. The most commonly used approach for reconstruction is based on linear approximation (Jacobian Matrix). An initial conductivity distribution is calculated 806. The forward problem is solved and the predicted voltages are compared to a calculated voltage from a Finite Integral Method (FIM).Conductivity is then recalculated using a regularized inverse of the Jacobian. The above calculations are repeated until the predicted models match.
The finite integral method (FIM) for simulation of the eddy current may be developed based on sensitivity, current and voltage distributions. The sensitivity maps demonstrate a capability to calculate a Jacobian matrix as a basis for future modeling and we can model 3D electrical fields utilizing geometries of various human organs and tissues.
Multiple-frequency electrical conductivity tomography can be used to detect ovarian cancer based on the premise that cancer cells exhibit altered dielectric properties which are identifiable by electrical conductivity distribution maps. Visual examination of regional electrical conductivity distributions in tissue in color three-dimensional images can provide real-time information on abnormal electrophysiological tissue properties which can be correlated to patterns indicative of abnormal tissue characteristics, thereby facilitating diagnosis of cancer and other abnormalities. Referring again to FIGURE 7, the medical imaging apparatus 700 enables diagnosis of tissue characteristics and real-time identification of suspicious anomalies of ovarian tissue of diagnostic relevance, demonstrating abnormal dielectric tissue properties as a proposed diagnostic indicator of ovarian cancer. Using magnetic induction tomography, electrical conductivity visualization is not blocked by hard or otherwise imaging-opaque tissue such as bone. The medical imaging apparatus 700 enables accurate, efficient, low cost, painless, without ionizing radiation and does not require the intake of fluids prior to the test or injects, or logistically returning. Results are available immediately and can be performed in any setting without preparation. The images have substantial boundary definition that exceeds the boundary definition of current imaging modalities for improved interpretation. The three dimensional measurement system enables a method to quantitatively analyze the tissue based on electrical conductivity.
The medical imaging apparatus 700 executes Magnetic Inductance Tomography (MIT) that improves diagnostic capabilities over Electrical Induction Tomography (EIT) in several aspects. While traditional electrical impedance tomography (EIT) characterizes tissue, many applications exist with morphological constraints. Using EIT, visualization of tissue deep within a body has an unavoidable loss of sensitivity and resolution as the distance increase from the electrodes. In addition, use of continual surface contact electrodes is impractical in many applications. The medical imaging apparatus 700 and associated method uses noncontact coil-coil sensors without physical boundary limits in the region sensed. The actual sensitivity area is finite and contribution from measured points in a distant point, do not differ from noise. The proposed MIT method enables small phase shifts without usage of high resolution A/D converters and high precision components, allowing improved resolution and accuracy. Phase shifts resulting from propagation delays created by tissue permittivity may adversely affect imaging. Circuitry with relatively high phase precision may be implemented to reduce or eliminate effects of phase shift.
Electrical impedance tomography is the traditional surface, contact electrode, electrical tomography method. Three-Dimensional Magnetic Induction Tomography (MIT) is a more recently developed method. Both have advantages and disadvantages. Conventional electrical impedance tomography uses applied and measured voltage with contact electrodes. The coil-coil structure uses pairs of coils to measure impedance. One coil applies magnetizing current and a sensing coil or coils to detect voltage that is produced by secondary magnetic fields from eddy current. Measurements of voltage along the boundary of the object are used to reconstruct an image.
MIT has some clinical advantages over EIT. EIT requires a continuous surface, body- contact electrode. MIT uses a coil that does not contact the body. The configuration enables scanning of a larger site with the abdominal sensor and may include a trans-vaginal sensor that uses the natural passage way to acquire measurement data. EIT cannot implement trans-vaginal scanning due to the need for a contact sensor in EIT. EIT images are also degraded by an unavoidable decrease in sensitivity acquiring data deep within the body. The illustrative MIT implementation uses a noninvasive, coil-coil sensor technique using an abdominal sensor in combination with a trans-vaginal sensor for 3D-MIT that enables acquisition of improved measurements with improved precession and accuracy, The configuration also enables scanning of an area approximately four times the size of the sensor to obtain more precise, and accurate information.
The traditional EIT implementation in an ovarian cancer imaging application may result in stray capacitance between the patient and ground especially when frequencies are above 500 Hz. The illustrative MIT technique results in less stray capacitance and improved accuracy. The MIT implementation enables use across a wide range of frequencies that is desirable to adequately address the diagnostic uses of the proposed application. The use of MIT also creates a better current distribution inside of an object, resulting in an improved ability to identify impedances, increased sensitivity, and enabling small phase shifts without the need for high resolution analog to digital (A/D) converters, and high precision components allowing better resolution. Magnetic Inductance Tomography may also have diagnostic advantages over Doppler
Impedance. While Doppler impedance is a component of color flow Doppler, vascularity and blood flow are believed to be factors resulting in increased sensitivity and specificity. Doppler impedance measures flow velocity and acoustic impedance using a transducer that contacts tissue. The medical imaging apparatus 700 enables a method of obtaining electrical impedance data that is an entirely different dimension of information. Medical imaging apparatus 700 enables acquisition of more precise, accurate information by obtaining data from the ovaries by use of that can obtain signals from four times the sensor diameter to an extended field deeper into the tissue including cross sectional slices of information. The method can potentially detect changes in electrical impedance distribution indicative of abnormalities and may be useful in early identification of neovascularization.
Referring to FIGURE 10, a pictorial view shows an embodiment of an image 1000 that may be acquired and mapped using the various medical imaging apparatus embodiments. Human tissues 1002 are composed of cells and extracellular elements immersed in an ionic fluid. Electrical characteristics of a tissue are related to the cell density, structure and fluid characteristics. Electrical behavior of a single cell is related to its internal composition and structure. Tissue consists of components that contain both resistive and charge storage properties that produce complex electrical impedances. Many researchers have provided useful information about the physiological and the pathological status of the human body by measuring the bioimpedance of different parts of the body. Tumor tissue has been shown to exhibit a larger permittivity, and conductivity than normal tissue. Tumor cells have a higher water content and sodium concentration than normal cells, as well as different electrochemical properties in cell membranes, resulting in abnormal conductivity. Conductance values in malignant tissue are 20-40 times higher than in normal tissue. Malignant tissue can be differentiated from benign tissue since benign tissue displays electrophysiological parameters similar to normal tissue. Tissue flow vascularity mediated by angiogenic tumor factors results in abnormal impedance in blood flow, even in early stage cancers and is a component of increased sensitivity and specificity in color Doppler ultrasound studies. In angiogenesis, the architecture of neo vessels is heterogeneous and disorganized with a unique vascular architecture of tumor blood vessels that are highly permeative, hypervascular and lack a lymphatic system. Permeability is frequently increased. Color Doppler measures acoustic impedance. When electrical characteristics are measured in ovarian tissue, the illustrative method displays an abnormal impedance distribution as a component in 3D-MIT image when angiogenesis is present in ovarian tumors. A probe 1004 is used to generate an electromagnetic field and sense electrical conductivity in a spatial field that results from the applied electromagnetic field. Electrical conductivity is mapped. In the illustrative application, the electrical conductivity mapping is acquired during thermal ablation using an ablation catheter. The electrical conductivity map can be converted to a thermal map indicative of the effectiveness of the ablation operation. For example, in some embodiments the thermal map can be converted from electrical conductivity using a stored lookup table holding conductivity-thermal conversion information accumulated during clinical testing. In other embodiments, conductivity and thermal characteristics can be modeled by equations based on clinical study results. Abnormal tissue such as cancer cells exhibit altered dielectric properties that can be identified by analysis of eddy-currents and electrical conductivity in the tissue. The illustrative system and technique enable three-dimensional ovarian tissue imaging to identify tissue regions that display abnormal electrical conductivity. A clinician can visually examine color three- dimensional eddy current images in real-time, and interpret the electrical conductivity distribution profiles to identify regions of normal conductivity, and abnormal conductivity. The multiple- dimension images depict electrical conductivity distributions including morphology and complex spatial relationships that can be analyzed by visual examination and/or programmed pattern recognition analysis. Presence of an abnormal electrical conductivity distribution in the ovarian tissue may indicate the presence of cancer. The absence of abnormal electrical conductivity may indicate the absence of cancer. The illustrative system and method enable characterization of ovarian tissue by monitoring electrical conductivity properties. The visual images may be color coded so that tissues which appear brightest on the display represent tissue with a change in conductivity between the different frequencies. Conductivity measurements increase with frequency. The tissues appearing brightest in the color 3D-electrical conductivity images are tissues that demonstrate the greatest change in conductivity between the different frequencies. Patients with ovarian cancer demonstrate an abnormal electrical conductivity profile with a bright image. Patients without cancer display electrical conductivity images with normal conductivity. A system optimized for diagnosis of ovarian tissue using electrical conductivity reconstruction algorithms forms electrical conductivity maps that generate and display color three-dimensional (3D) images in real-time. The system may include a 3D measurement system for quantitative analysis of the size and characteristics of the ovarian tumor, also based on electrical conductivity of the x, y, and z axis data that defines tumor borders. . The illustrative system enables anatomical access and obtains highly precise measurements from deep within the pelvis. The combination of abdominal and trans-vaginal sensing enables more accurate measurements of the ovary and improves the ability to identify suspicious anomalies. In some embodiments, the illustrative medical imaging apparatus may be supplemented or operate in combination with other systems, for example to combine the illustrative electrical conductivity imaging with other imaging modalities to fuse images of electrical conductivity distribution with computed tomography (CT), magnetic resonance imaging (MRI), and/or ultrasound imaging concurrently. The fused images enable measurements and quantitative analysis of image segments defined by boundaries detected using electrical conductivity mapping. In an example implementation, electrical conductivity maps may be analyzed to define boundaries of tissue structures in the image, generation of three-dimensional modules, calculation of volume and surface area define by the boundaries. Area size and volume of abnormal electrical conductivity regions can be quantified, enabling real-time tracking of electrical conductivity distribution changes over time and quantitative analysis of the electrical conductivity that can be utilized for tracking tumors. The information can also be communicated to other systems for further analysis and/or storage. Medical applications include detection of ovarian cancer for primary care physicians, surgeons, gynecological, oncology, and/or radiology physicians in a stand-alone or complimentary method to identify anomalies in ovarian tissue to detect, diagnose, and characterize ovarian tumors. Results complement current methods to diagnose ovarian cancer. Imaging can be conducted in any environment or setting and generates prompt and accurate results. The illustrative system can be implemented as an accurate, easy to use, portable, efficient, and low cost, enabling a new dimension of diagnostically relevant information that is unavailable by any other method of imaging or diagnostic test. The medical imaging apparatus and associated method may be used in other applications including assessment and detection of other gynecological cancers, angiogenesis, tumor progression, guidance in minimally invasive surgery and stroke detection. Still other applications may include investigation and monitoring of angiogenesis, monitoring of tumor progression, improving the ability to diagnose other gynecological, and prostate cancer, solid pediatric tumors, and may be useful for the guidance of instrumentation during minimally invasive surgery, and/or monitoring the response of a tumor to a therapeutic intervention such as an ablation. The system may also be useful for rapid imaging of pulmonary emboli. The system also has potential use in research and development. Referring to FIGURE 11, another embodiment of a medical imaging apparatus 1100 is depicted for usage in scanning for ovarian cancer. An abdominal sensor 1102 has one or more coils that are not in contact with the patient and freely movable, enabling scanning of the abdomen to obtain eddy current data from the ovarian tissue 1106 and surrounding tissue, during dynamic (difference) imaging of the site. Multiple perpetrations of the magnetic field measure objects exposed to the field enabling the electronics to record the resulting voltages. The coil-coil sensor configuration enables extension of the measurement field to include real data from x, y, and z dimensional cross sectional ovarian tissue at controlled depths, supplying precise real measurements from the desired depth, beyond the physical contact points of the coils. Imaginary measurements are calculated from the x, y, and z axis measurements to produce a three-dimensional MIT image representing electrical conductivity maps. The configuration also includes a trans-vaginal sensor 1104 which uses the natural passageway of the vagina to gain closer anatomical access to the ovary and to obtain higher precision and accuracy electrical conductance measurements. The apparatus 1100 and associated method supplies diagnostically relevant information to characterize tissue for anomalies and assist detection of malignant ovarian tumors and enables improved accuracy of ovarian cancer diagnosis, for example by combining the results with other screening tests. The illustrative medical imaging apparatus 1100 can be used for ovarian cancer detection using a non-body-contact coil-coil intra-cavity or internal sensor 1104 and an abdominal sensor 1102. Real-time three-dimensional electrical conductivity tomography may enable dynamically (difference) imaging of tissue and visual examination of color displays to identify normal and abnormal electrical properties of tissue. The illustrative system enables imaging of an electrical conductivity distribution profile to detect, diagnose and characterize ovarian tumors. The system will include a 3D measurement system for quantitative analysis of the size and characteristics of the ovarian tumor also based on electrical conductivity of the x, y, and z axis and definitions of tumor borders. Presence of cancer in ovarian tissue may be reflected in electrical distribution patterns, enabling analysis of patterns and correlations to distinguish neoplastic and non- neoplastic disease within ovarian tissue. The illustrative new noninvasive, coil-coil sensor technique analyzes information using an abdominal sensor 1102 and an intra-cavity or internal sensor 1104 for access to more precise measurements and more accurate information. In addition to enabling contact-free operation, the coil/coil sensor creates an excellent current distribution inside an object for an improved ability to identify impedances, increasing the sensitivity and attaining more accurate results. The method may improve accuracy of cancer diagnosis with usage of the two sensors resulting in a higher predictive value. Referring to FIGUREs 12A and 12B, perspective pictorial diagrams illustrate assembled and exploded views of another embodiment of a coil structure 1200. The coil element 1200 is arranged with a transmitting coil 1208 positioned between two receiving coils 1210A and 1210B along the axis 1212. The three axial coils 1210A, 1208, and 1210B are positioned between the shielding layers 1214 and 1216. In various embodiments of a medical imaging apparatus, poor resolution may be overcome by adjustments in coil configuration such as size and geometry, and modification in amplifier gains, multi-frequency profiles and/or algorithms. Three dimensional Magnetic Induction Tomography (MIT) functions by utilizing coils as sensors and receivers to obtain the electrical impedance data from the tissue of interest. A magnetic field is produced by one or more excitation coils 1208 and generates a secondary eddy current field within the conductive object material, in turn producing a secondary magnetic field that can be detected by the sensing coils 1210A and 1210B. Referring to FIGURE 13, a pictorial diagram illustrates another embodiment of a coil 1300 that may be used in the eddy-current scanner and/or magnetic induction tomography imager. Any suitable coil type or configuration may be used in various systems. In another embodiment, a Magnetic Induction Tomography (MIT) imaging approach addresses the problems of imaging and definitions of boundaries in areas that cannot be visually examined during minimally invasive surgery (MIS) of liver ablations by developing and providing 3D magnetic induction tomography (3D-MIT). An integrated system tracks electrical conductivity with real-time imaging and monitoring of tissue for electrical conductivity. Three dimensional MIT is suitable for routine use intra-procedurally, in any location. MIT is portable, and low cost, and may fill a significant medical need by providing a new imaging modality and method to dynamically (difference) image regional tissue to characterize tissue in situ by electrical conductivity properties. The illustrative MIT configurations enable monitoring and image-guidance during liver ablations for primary, and metastatic liver tumors. MIT may be useful to noninvasively detect and diagnose cancer, and monitor angiogenesis and tumor progression. MIT may be used in combination with lung, prostate and bone ablations for improved image-guidance. Three-dimensional magnetic inductance tomography (3D-MIT) can be used to improve image-guidance during minimally-invasive surgery (MIS) and to monitor lesions in planning; execution and post-operative follow up of minimally-invasive surgery (MIS) procedures by monitoring of electrical characteristics. MIT can be implemented as a real-time system for noninvasive dynamic (difference) imaging, using three-dimensional magnetic inductance tomography (3D-MIT) for sensing of electrical and characteristics with contact free, coil-coil sensors. MIT can be implemented in image-guidance of instrumentation performed using a MIS approach and may be used to generate temperature maps for visual feedback during ablation. The coil-coil tomography maps can be utilized to generate temperature maps, that have the potential to generate useful information for use in heat and cold based ablations. Temperature maps can be used to improve the feedback information that can be used to provide a visual indicator of the temperature during an ablation. The maps may be used to improve energy delivery and create the desired size and depth of lesions for application in ablating tumors and cardiac arrhythmias. In various embodiments, the imaging system may be optimized for imaging particular tissues, for example, cardiac, reproductive, liver tissue, and the like. In particular embodiments, the sensors can be physically designed or configured and analysis coefficients can be stored that enable usage and imaging of other tissues including liver, spleen, muscle, lung, intestines, and others. Temperature mapping is useful for ablation therapy since tumors located adjacent to blood vessels are not heated to temperatures sufficient to destroy tumors. The eddy-current probe and/or magnetic induction tomography imaging enable visualization of electrical conductivity distribution information, and current and temperature distribution in tissue, enabling observation of heating effects for various ablation modalities including radio frequency, microwave hyperthermia, or cooling to attain lethal destruction of tumors. The information can be used to optimize delivery of therapeutic energy to destroy tissue within a selected location. The eddy- current probe and/or magnetic induction tomography imaging may also be used to determine areas of abnormal electrical conductivity for improved placement and positioning of catheters during chemo-embolization. The proposed instrumentation may be of optimized for use in minimally-invasive surgery (MIS) procedures in liver tissue to execute and a biopsy or interventional procedure by cold (cryo-therapy) heat-based (radiofrequency, microwave or laser hyperthermia), via percutaneous or laparoscopic MIS approach for liver cancer. Three-dimensional MIT instrumentation and associated methods measure and display electrical distribution and temperature maps, which are optimized for the liver. The liver imaging applications also use three dimensional MIT reconstruction algorithms based on the Jacobian matrix, determining conductivity distribution maps that generate and display color 3D-MIT images in real-time. The system has good spatial resolution and boundary definition to generate images with well-defined borders and boundary definitions demonstrated by computer modeling, tissue phantoms and during in vivo animal trials using a model. In an example of a liver imaging embodiment, two movable coil-coil sensors may be constructed from materials and in a configuration capable of sender-receiving measurements of mutual inductance of the sender-receiver pair. The configuration may be constructed to support coil-coil three dimensional MIT. A "frame-like" sensor may be used for external scanning and dynamic (difference) imaging. A coil-coil electrode array sensor may be used intra-procedurally as an attachment to a catheter /probe which is inserted into the body using a percutaneous or laparoscopic approach during the minimally-invasive surgery (MIS) for liver cancer therapy. The disclosed "frame-like" coil-coil sensor design enables a clinician to trans- abdominally and dynamically scan a tissue site noninvasively so that the location of abnormal electrical patterns can be identified and targeted. The sensor design further enables accurately instrumentation guidance during a minimally invasive surgery procedure. A first sensor may be positioned on the abdomen. A second sensor may be attached to a catheter/probe to be inserted by a minimally invasive surgery percutaneous and/or laparoscopic approach into the minimally invasive surgery site with the instrumentation. The coil-coil sensor design supports use of smaller surgical incisions for increased healing time, fewer wound complications, less trauma to organs and safer, more operationally effective surgical procedures. The eddy-current scanner enables acquisition of electrical conductivity characteristics that are unavailable from other imaging modalities. Acquired data is generally compliant with existing methods to image liver tissue during a minimally invasive surgery liver procedure. The eddy-current scanner and associated method supports planning, image-guidance, control, and monitoring of tissue during a therapeutic intervention. A series of tests can be performed to evaluate the coil-coil sensor using the instrumentation by comparing both surface injection and induction, optimizing the frequencies, current application strategies, and optimal patterns. Tests may be performed to verify the algorithms, sensitivity maps, patterns, outcome variables, images, and conduct an exploratory analysis; examining the impedance, and investigate meaningful relationships between the color 3D electrical distribution maps (images) from MIT. Imaging tools are sought to characterize tissue during MIS for liver cancer and to monitor electrical and temperature characteristics. A tool implementing the disclosed MIT imaging supports image-guidance of instrumentation in MIS. The disclosed instrumentation may be configured for usage in an MIS procedure to perform intervention such as a biopsy or by application of chemicals, cryo-therapy, and heat-based therapy such as radiofrequency, microwave, or laser hypertherrnia using a percutaneous or laparoscopic MIS approach for liver cancer. Integrated three dimensional electrical and temperature maps can be generated by the
MIT instrumentation to supply information for a contactless ablation system. The MIT instrumentation can be implemented in combination with an ablation system to create larger lesions, destroy larger malignant tumors, and create larger deeper lesions for cardiac ablation in ventricular tachycardia. Measured electrical conductivity information is identified with position in three dimensions so that the information can be used for robotic-stereotactic image-guidance. The information may also be used for computer aided diagnosis (CAD) to identify areas displaying "out of bounds" abnormal electrical conductivity distribution patterns. The MIT technology may be used in diagnosis of liver cancer-targeted drug delivery systems, brachytherapy, and in combination with microspheres to locate tissue with abnormal electrical conductivity properties. The MIT system may be used to monitor the response of the liver tissue to the other intervention. The MIT system may be useful in other interventional biopsies and interventions. Current medical goals and trends show an increase in biopsies and therapeutic interventions by minimally-invasive surgery (MIS) to minimize the size of incision, decrease tissue trauma, decrease scars, reduce costs, and increase speed of recovery. Image-guided surgery enables better resolution, improved orientation and context setting, a desire to visualize well- defined borders and higher contrast of diseased versus nondiseased tissue. Image-guided surgery further enables visibility inside solid objects. Planning of instrumentation trajectory, and monitoring of the response to the therapeutic intervention in situ. As MIS approaches replace conventional open surgical approaches, additional challenges exist with hand-eye coordination and a lack of tactile perception. The disclosed MIT system facilitates a capability to separate pathological tissue from surrounding healthy tissue by enabling tissue visualization. Other diagnostic modalities have difficulty in identifying borders of a tissue anomaly. Present intra-procedure imaging modalities are limited in defining the borders. Physicians currently rely on intuitive surgical skills to locate the tumor and decide when to stop destroying tissue. The disclosed MIT system is an imaging tool that supports noninvasive imaging and characterization of tissue intra-procedurally. The MIT imaging system facilitates a liver ablation procedure in a minimally-invasive surgery (MIS) therapeutic intervention. The MIT imaging system enables optimal choice of secure trajectories for the probe, successful destruction of a maximum number of cancerous cells, and a minimal amount of affected healthy tissue. The MIT system facilitates planning and treatment. During many minimum invasive surgery therapeutic interventions such as radiofrequency
(RF) liver ablations, natural real-time feedback parameters are unavailable to assess morphological changes in tissue resulting from the therapeutic intervention. The illustrative MIT imaging system enables tracking of such morphological changes. The magnetic induction tomography system can be used as an imaging tool to characterize tissue and improve image-guidance of instrumentation and monitor the response of tissue during radio frequency liver ablations. The magnetic induction tomography system can be configured for planning, executing, and follow up of situ treatments such as radio frequency ablations, cryo-ablations laser photocoagulation, microwave or other therapeutic interventions in liver cancer. The magnetic induction tomography system may further be used for image-guidance during lung, kidney and painful bone ablations where conditions present additional imaging challenges with the current imaging modalities. The magnetic induction tomography system can also be used for computer-aided surgery and/or intelligent autonomous and stereotactic robotic assisted procedures that screen tissue, characterize tissue for electrical properties by 3D-MIT, compute the optimal biosystem or interventional site, and accurately place an apparatus. The magnetic induction tomography system may also be used for targeting a site for micro-spheres insertion, Brachytherapy, targeted drug delivery, and usage as a diagnostic tool. Following successful tumor ablation, most local reoccurrences develop in tumors with a diameter of less than 5.0 cm and occur at the periphery of necrotic tissue of the ablated tumors. Within the center of thermal lesions produced by radio frequency ablation, reoccurrence or persistence are rare or nonexistent. Within 18 month post-ablation, new occurrences of additional hepatic or extrahepatic metastasis occur in about half the patients. Long-term success following tumor ablation is most dependent on underlying tumor biology and the ability to accurately define tumor borders. Generally, tumors reoccurrences result from two conditions. First, ablation lesions may inadequately cover the tumor. Second, a tumor is adequately covered but the application of energy does not kill the entire tumor. Therefore, an initial precise determination of ablation margin adequacy decreases or minimizes the local reoccurrence rate. The illustrative eddy-current scanner and/or magnetic induction tomography enable clinicians to define tumor borders and separate the necrosis, improve monitoring of lesions to effectively ablate the tumor, and offer the potential to ultimately reduce the rate of tumor reoccurrence. Current state of the art in cancer therapy includes the use of laparoscopic image-guidance with ultrasound, x-ray fluoroscopy, and endoscopes. Images are visually displayed for positioning of the instrumentation and assessing morphological changes. Use of magnetic resonance imaging (MRI) with angiography is emerging with MRI guided catheterization for some soft tissue procedures. MRI-guided focused ultrasound exploits the thermal sensitivity of MRI for guidance in ultrasound therapy. The imaging modalities offer benefits, although imaging challenges persist. The illustrative Magnetic Induction Tomography (MIT) imaging system supplies tools adapted to characterize tissue based on electrical characteristics, thereby facilitating the image- guidance. The disclosed magnetic induction tomography system may be optimized for use in a medical application and enables procedures such as in-vivo measurement of electrical conductivity. A particular application is in-vivo measurement of electrical conductivity for hepatic tumors during radio frequency ablation. Tissue temperature maps are conventionally measured and displayed by commercially- available ablation systems based on information acquired from a thermistor. Three-dimensional temperature information is not available. The illustrative medical imaging apparatus uses eddy- current scanning and magnetic induction tomography to supply three-dimensional near and far field electrical information in addition to three-dimensional temperature maps. The illustrative eddy-current scanning instrumentation and associated method are used to physiologically image tissue to characterize liver tissue. Electrical distribution maps are formed to enable lesion targeting and improved image-guidance of instrumentation during minimally invasive surgery. The disclosed instrumentation and sensing technique uses reconstruction algorithms and image processing to enable efficient, rapid processing for real-time 3D-MIT displays of electrical conductivity distribution within tissue. Clinicians can visually examine three-dimensional color electrical distribution maps displaying differences in frequencies by color to identify abnormal electrical properties of tissue and differentiate tissue with normal electrical characteristics from abnormal tissue. The electrical conductivity measurement data may be acquired to locate and differentiate tissue regions with abnormal and normal electrical distributions. While conventional electrical impedance tomography uses applied and measured voltage with contact electrodes, the disclosed MIT implementation coil-coil arrangement uses pairs of coils to measure impedance. One coil applies magnetizing current and sensing coils(s) to detect voltage that is produced by secondary magnetic fields from eddy current. The coils and implementation of multi-frequency analysis enable precise measurement from near and far fields within the tissue, without a loss of sensitivity since no limitations arise due to contact of the sensor for accurate real pixel data. Measurements of voltage along the boundary of the object are used to reconstruct an image, resulting in well-defined border definitions. Sensors may be electrode arrays composed of flex-coils. Flexible printed circuits of kapton polyimide film may contain photo-etched circuits with integral inductive coils wound in a plane. The sensor structure enables consistency of a copper conductor for improved consistency of the magnetic field, simplicity of assembly, improved reliability, and miniaturization. The coil- coil electrode array may be housed within a protective biocompatible material. A trans-abdominal sensor may have a coil-coil configuration that is frame-like whereby the area of interest is within the frame. The senor for insertion into the liver by MIS may be in a probe/catheter like configuration with the tissue of interests surrounding the coils for endotomography or may be adjacent to the probe. While the present disclosure describes various embodiments, these embodiments are to be understood as illustrative and do not limit the claim scope. Many variations, modifications, additions and improvements of the described embodiments are possible. For example, those having ordinary skill in the art will readily implement the steps necessary to provide the structures and methods disclosed herein, and will understand that the process parameters, materials, and dimensions are given by way of example only. The parameters, materials, and dimensions can be varied to achieve the desired structure as well as modifications, which are within the scope of the claims. Variations and modifications of the embodiments disclosed herein may also be made while remaining within the scope of the following claims. For example, the illustrative structures and techniques may be used in configurations with any number and type of coils. Various sensors may have different forms, shapes, and geometries depending on the particular tissue to be imaged and the condition to be monitored. In the claims, unless otherwise indicated the article "a" is to refer to "one or more than one."

Claims

WHAT IS CLAIMED IS:
1. A medical imaging apparatus (100) comprising: a planar probe (104) configured for positioning on a body surface and adapted to create an electromagnetic field in biological tissue and acquire signals for creating a multiple-dimensional mapping of electrical conductivity in the biological tissue.
2. The apparatus (100) according to Claim 1 further comprising: at least one coil element (106) arranged on the planar probe (104), the individual coil elements (106) comprising a transmitting coil (108) and a receiving coil positioned (HO) along an axis (112) between electrostatic shielding layers (114, 116).
3. The apparatus (100) according to Claim 1 further comprising: at least one coil element (106) arranged on the planar probe (104), the individual coil elements (106) comprising a transmitting coil (108) between two receiving coils (HOA, HOB) and positioned along an axis (112) between electrostatic shielding layers (114, 116).
4. The apparatus (100) according to Claim 1 further comprising: a two-dimensional arrangement of coil elements (106) on the planar probe (104), the individual coil elements (106) comprising a transmitting coil (108) between two receiving coils (HOA, HOB) and positioned along an axis (112) between electrostatic shielding layers (114, 116).
5. The apparatus (100) according to Claim 1 further comprising: a substrate (118); and a two-dimensional arrangement of coil elements (106) coupled to the substrate (118), the substrate (118) perforated by at least one aperture (706) configured to enable a catheter to pass through the substrate (118).
6. The apparatus (100) according to Claim 1 further comprising: a substrate (118); a two-dimensional arrangement of coil elements (106) coupled to the substrate (118); a connector (120) coupled to the substrate (118); and a plurality of conductive traces (122) formed on the substrate (118) and arranged to connect the coil elements (106) to the connector (120).
7. The apparatus (100) according to Claim 1 further comprising: a substrate (118) configured as a rigid sheet including stiffener and adhesive materials.
8. The apparatus (200) according to Claim 1 further comprising: a signal acquisition and processing device (202) coupled to the planar probe (204) including at least one signal channel adapted to activate the planar probe (204) to create an electromagnetic field in biological tissue (206) and adapted to electronically multiplex process the signals for creating a multiple-dimensional mapping of electrical conductivity in the biological tissue (206).
9. The apparatus (200) according to Claim 1 further comprising: at least one signal communication channel coupled to the planar probe (204); and a controller (208) coupled to the at least one signal channel and adapted to image passive electrical properties of the biological tissue (206) by applying a time-varying magnetic field to the biological tissue (206) and recording a secondary magnetic field from the biological tissue (206).
10. The apparatus (100) according to Claim 1 further comprising: a catheter (210) configured for internal body usage; and a sensor (212) coupled to the catheter and adapted to acquire signals for creating a mapping of electrical conductivity internal to the body.
11. The apparatus (100) according to Claim 10 wherein: the sensor (212) is a receiver element selected from among a group consisting of one or more coils, one or more sensors, and one or more electrodes, and one or more magnetometers.
12. The apparatus (100) according to Claim 1 wherein: the apparatus (100) measures passive electromagnetic properties including electrical conductivity, permittivity, and permeability.
13. A medical imaging apparatus (100) comprising: at least one coil element (106) comprising a transmitting coil (108) between two receiving coils (HOA, HOB) and positioned along an axis (112) between electrostatic shielding layers (114, 116), the at least one coil element being adapted to create an electromagnetic field in biological tissue and acquire signals for creating a mapping of electrical conductivity in the biological tissue.
14. The apparatus (400) according to Claim 13 further comprising: a robotic (402) coupled to the at least one coil element (406) and adapted to mechanically scan in a two-dimensional plane relative to a body surface.
15. The apparatus (400) according to Claim 13 further comprising: a signal acquisition and processing device (418) coupled to the at least one coil element (406) and including at least one signal channel adapted to activate the at least one coil element to create an electromagnetic field in biological tissue and adapted to process the signals for creating a multiple-dimensional mapping of electrical conductivity in the biological tissue.
16. The apparatus (400) according to Claim 13 further comprising: at least one signal communication channel coupled to the at least one coil element (406); and a controller (420) coupled to the at least one signal channel and adapted to image passive electrical properties of the biological tissue by applying a time-varying magnetic field to the biological tissue and recording a secondary magnetic field from the biological tissue.
17. The apparatus according to Claim 13 further comprising: a catheter (600) configured for internal body usage; and a sensor (602) coupled to the catheter and adapted to acquire signals for creating a mapping of electrical conductivity internal to the body.
18. The apparatus according to Claim 17 wherein: the sensor (602) is a receiver element selected from among a group consisting of one or more coils (302A), one or more sensors (302B), one or more electrodes (302C), and one or more magnetometers.
19. The apparatus according to Claim 13 wherein: the apparatus measures passive electromagnetic properties including electrical conductivity, permittivity, and permeability.
20. A diagnostic apparatus (200) comprising: a planar probe (204) adapted for applying an electromagnetic field to a patient's body tissue (206) and sensing eddy-currents evoked by the electromagnetic field application; and a controller (208) coupled to the planar probe (204) and configured to control the planar probe to apply a time-varying magnetic field to patient tissue, record a secondary field from the tissue, and create a multiple-dimensional mapping of passive electrical properties in the tissue.
21. The apparatus (200) according to Claim 20 further comprising: a two-dimensional arrangement of coil elements (106) on the planar probe (204), the individual coil elements (106) comprising a transmitting coil (108) between two receiving coils (110) and positioned along an axis (112) between electrostatic shielding layers (114, 116).
22. The apparatus according to Claim 20 further comprising: a substrate (118); and a two-dimensional arrangement of coil elements (106) coupled to the substrate (118), the substrate perforated by at least one aperture configured to enable a catheter (210) to pass through the substrate.
23. The apparatus according to Claim 20 further comprising: a catheter (210) configured for internal body usage; and a sensor (212) coupled to the catheter and adapted to acquire signals for creating a mapping of electrical conductivity internal to the body.
24. The apparatus according to Claim 23 wherein: the sensor (212) is a receiver element selected from among a group consisting of one or more coils (302A), one or more sensors (302B), one or more electrodes (302C), and one or more magnetometers.
25. The apparatus according to Claim 20 wherein:
The apparatus measures passive electromagnetic properties including electrical conductivity, permittivity, and permeability.
PCT/US2004/0404612003-12-022004-12-01Tissue characterization using an eddy-current probeWO2005057467A2 (en)

Applications Claiming Priority (2)

Application NumberPriority DateFiling DateTitle
US52644203P2003-12-022003-12-02
US60/526,4422003-12-02

Publications (2)

Publication NumberPublication Date
WO2005057467A2true WO2005057467A2 (en)2005-06-23
WO2005057467A3 WO2005057467A3 (en)2006-02-23

Family

ID=34676614

Family Applications (1)

Application NumberTitlePriority DateFiling Date
PCT/US2004/040461WO2005057467A2 (en)2003-12-022004-12-01Tissue characterization using an eddy-current probe

Country Status (1)

CountryLink
WO (1)WO2005057467A2 (en)

Cited By (52)

* Cited by examiner, † Cited by third party
Publication numberPriority datePublication dateAssigneeTitle
WO2007072343A2 (en)2005-12-222007-06-28Philips Intellectual Property & Standards GmbhMagnetic induction tomography system and method
WO2008011649A1 (en)*2006-07-242008-01-31Technische Universität GrazDevice and method for magnetic induction tomography
US7555343B2 (en)2004-10-152009-06-30Baxano, Inc.Devices and methods for selective surgical removal of tissue
US7578819B2 (en)2005-05-162009-08-25Baxano, Inc.Spinal access and neural localization
GB2462243A (en)*2008-05-282010-02-03UgcsMagnetic induction tomography with two reference signals
US7738969B2 (en)2004-10-152010-06-15Baxano, Inc.Devices and methods for selective surgical removal of tissue
US7857813B2 (en)2006-08-292010-12-28Baxano, Inc.Tissue access guidewire system and method
US7887538B2 (en)2005-10-152011-02-15Baxano, Inc.Methods and apparatus for tissue modification
US7918849B2 (en)2004-10-152011-04-05Baxano, Inc.Devices and methods for tissue access
US7938830B2 (en)2004-10-152011-05-10Baxano, Inc.Powered tissue modification devices and methods
US7959577B2 (en)2007-09-062011-06-14Baxano, Inc.Method, system, and apparatus for neural localization
WO2011100691A1 (en)*2010-02-122011-08-18Delphinus Medical Technologies, Inc.Method of characterizing the pathological response of tissue to a treatmant plan
US8048080B2 (en)2004-10-152011-11-01Baxano, Inc.Flexible tissue rasp
US8062298B2 (en)2005-10-152011-11-22Baxano, Inc.Flexible tissue removal devices and methods
US8062300B2 (en)2006-05-042011-11-22Baxano, Inc.Tissue removal with at least partially flexible devices
US8092456B2 (en)2005-10-152012-01-10Baxano, Inc.Multiple pathways for spinal nerve root decompression from a single access point
US8192436B2 (en)2007-12-072012-06-05Baxano, Inc.Tissue modification devices
US8221397B2 (en)2004-10-152012-07-17Baxano, Inc.Devices and methods for tissue modification
US8257356B2 (en)2004-10-152012-09-04Baxano, Inc.Guidewire exchange systems to treat spinal stenosis
US8366712B2 (en)2005-10-152013-02-05Baxano, Inc.Multiple pathways for spinal nerve root decompression from a single access point
US8394102B2 (en)2009-06-252013-03-12Baxano, Inc.Surgical tools for treatment of spinal stenosis
US8398641B2 (en)2008-07-012013-03-19Baxano, Inc.Tissue modification devices and methods
US8409206B2 (en)2008-07-012013-04-02Baxano, Inc.Tissue modification devices and methods
US8430881B2 (en)2004-10-152013-04-30Baxano, Inc.Mechanical tissue modification devices and methods
US8568416B2 (en)2004-10-152013-10-29Baxano Surgical, Inc.Access and tissue modification systems and methods
US8613745B2 (en)2004-10-152013-12-24Baxano Surgical, Inc.Methods, systems and devices for carpal tunnel release
US8712138B2 (en)2009-10-132014-04-29Koninklijke Philips N.V.Device and method for generating soft tissue contrast images
US8801626B2 (en)2004-10-152014-08-12Baxano Surgical, Inc.Flexible neural localization devices and methods
US8845639B2 (en)2008-07-142014-09-30Baxano Surgical, Inc.Tissue modification devices
CN104068854A (en)*2013-03-292014-10-01通用电气公司Soft-field tomography imaging system and soft-field tomography imaging method
US9101386B2 (en)2004-10-152015-08-11Amendia, Inc.Devices and methods for treating tissue
US9207197B2 (en)2014-02-272015-12-08Kimberly-Clark Worldwide, Inc.Coil for magnetic induction to tomography imaging
DE102015202151A1 (en)*2015-02-062016-01-28Siemens Aktiengesellschaft Method and device for generating a cardiac cardiac conduction card
US9247952B2 (en)2004-10-152016-02-02Amendia, Inc.Devices and methods for tissue access
WO2016054348A1 (en)*2014-10-012016-04-07The Board Of Trustees Of The University Of IllinoisThermal transport characteristics of human skin measured in vivo using thermal elements
US9314253B2 (en)2008-07-012016-04-19Amendia, Inc.Tissue modification devices and methods
US9320451B2 (en)2014-02-272016-04-26Kimberly-Clark Worldwide, Inc.Methods for assessing health conditions using single coil magnetic induction tomography imaging
US9442088B2 (en)2014-02-272016-09-13Kimberly-Clark Worldwide, Inc.Single coil magnetic induction tomographic imaging
US9456829B2 (en)2004-10-152016-10-04Amendia, Inc.Powered tissue modification devices and methods
US9763641B2 (en)2012-08-302017-09-19Delphinus Medical Technologies, Inc.Method and system for imaging a volume of tissue with tissue boundary detection
US9814441B2 (en)2010-02-122017-11-14Delphinus Medical Technologies, Inc.Method of characterizing tissue of a patient
US9844347B2 (en)2009-02-132017-12-19The Ohio State UniversityElectromagnetic system and method
US10123770B2 (en)2013-03-132018-11-13Delphinus Medical Technologies, Inc.Patient support system
US10201324B2 (en)2007-05-042019-02-12Delphinus Medical Technologies, Inc.Patient interface system
US10285667B2 (en)2014-08-052019-05-14Delphinus Medical Technologies, Inc.Method for generating an enhanced image of a volume of tissue
EA035279B1 (en)*2017-12-282020-05-25Белорусский Национальный Технический УниверситетEddy-current system for control of biotissue parameters
US10736551B2 (en)2014-08-112020-08-11The Board Of Trustees Of The University Of IllinoisEpidermal photonic systems and methods
US11064946B2 (en)2014-08-112021-07-20The Board Of Trustees Of The University Of IllinoisDevices and related methods for epidermal characterization of biofluids
US11160458B2 (en)2014-08-112021-11-02The Board Of Trustees Of The University Of IllinoisEpidermal devices for analysis of temperature and thermal transport characteristics
US11249068B2 (en)2015-11-092022-02-15Ohio State Innovation FoundationNon-invasive method for detecting a deadly form of malaria
CN115998302A (en)*2023-01-102023-04-25东南大学 A flexible sensor for ECG signals to measure respiration and heartbeat
US20240057885A1 (en)*2017-05-222024-02-22Smith & Nephew PlcSystems and methods for performing magnetic induction tomography

Family Cites Families (3)

* Cited by examiner, † Cited by third party
Publication numberPriority datePublication dateAssigneeTitle
US5432450A (en)*1993-03-091995-07-11The Five Oaks Research InstituteTruncated nuclear magnetic imaging probe
ZA948393B (en)*1993-11-011995-06-26Polartechnics LtdMethod and apparatus for tissue type recognition
FI114613B (en)*2001-10-172004-11-30Nexstim Oy Method and apparatus for dose calculation in magnetic stimulation

Cited By (88)

* Cited by examiner, † Cited by third party
Publication numberPriority datePublication dateAssigneeTitle
US7938830B2 (en)2004-10-152011-05-10Baxano, Inc.Powered tissue modification devices and methods
US8617163B2 (en)2004-10-152013-12-31Baxano Surgical, Inc.Methods, systems and devices for carpal tunnel release
US9456829B2 (en)2004-10-152016-10-04Amendia, Inc.Powered tissue modification devices and methods
US9247952B2 (en)2004-10-152016-02-02Amendia, Inc.Devices and methods for tissue access
US7555343B2 (en)2004-10-152009-06-30Baxano, Inc.Devices and methods for selective surgical removal of tissue
US7553307B2 (en)2004-10-152009-06-30Baxano, Inc.Devices and methods for tissue modification
US11382647B2 (en)2004-10-152022-07-12Spinal Elements, Inc.Devices and methods for treating tissue
US9463041B2 (en)2004-10-152016-10-11Amendia, Inc.Devices and methods for tissue access
US7738969B2 (en)2004-10-152010-06-15Baxano, Inc.Devices and methods for selective surgical removal of tissue
US7738968B2 (en)2004-10-152010-06-15Baxano, Inc.Devices and methods for selective surgical removal of tissue
US7740631B2 (en)2004-10-152010-06-22Baxano, Inc.Devices and methods for tissue modification
US9101386B2 (en)2004-10-152015-08-11Amendia, Inc.Devices and methods for treating tissue
US10052116B2 (en)2004-10-152018-08-21Amendia, Inc.Devices and methods for treating tissue
US7918849B2 (en)2004-10-152011-04-05Baxano, Inc.Devices and methods for tissue access
US9320618B2 (en)2004-10-152016-04-26Amendia, Inc.Access and tissue modification systems and methods
US9345491B2 (en)2004-10-152016-05-24Amendia, Inc.Flexible tissue rasp
US8579902B2 (en)2004-10-152013-11-12Baxano Signal, Inc.Devices and methods for tissue modification
US8652138B2 (en)2004-10-152014-02-18Baxano Surgical, Inc.Flexible tissue rasp
US8048080B2 (en)2004-10-152011-11-01Baxano, Inc.Flexible tissue rasp
US8647346B2 (en)2004-10-152014-02-11Baxano Surgical, Inc.Devices and methods for tissue modification
US8801626B2 (en)2004-10-152014-08-12Baxano Surgical, Inc.Flexible neural localization devices and methods
US8613745B2 (en)2004-10-152013-12-24Baxano Surgical, Inc.Methods, systems and devices for carpal tunnel release
US7963915B2 (en)2004-10-152011-06-21Baxano, Inc.Devices and methods for tissue access
US8192435B2 (en)2004-10-152012-06-05Baxano, Inc.Devices and methods for tissue modification
US8568416B2 (en)2004-10-152013-10-29Baxano Surgical, Inc.Access and tissue modification systems and methods
US8221397B2 (en)2004-10-152012-07-17Baxano, Inc.Devices and methods for tissue modification
US8257356B2 (en)2004-10-152012-09-04Baxano, Inc.Guidewire exchange systems to treat spinal stenosis
US8430881B2 (en)2004-10-152013-04-30Baxano, Inc.Mechanical tissue modification devices and methods
US8419653B2 (en)2005-05-162013-04-16Baxano, Inc.Spinal access and neural localization
US7578819B2 (en)2005-05-162009-08-25Baxano, Inc.Spinal access and neural localization
US8366712B2 (en)2005-10-152013-02-05Baxano, Inc.Multiple pathways for spinal nerve root decompression from a single access point
US8062298B2 (en)2005-10-152011-11-22Baxano, Inc.Flexible tissue removal devices and methods
US9125682B2 (en)2005-10-152015-09-08Amendia, Inc.Multiple pathways for spinal nerve root decompression from a single access point
US7887538B2 (en)2005-10-152011-02-15Baxano, Inc.Methods and apparatus for tissue modification
US8092456B2 (en)2005-10-152012-01-10Baxano, Inc.Multiple pathways for spinal nerve root decompression from a single access point
WO2007072343A3 (en)*2005-12-222007-10-18Philips Intellectual PropertyMagnetic induction tomography system and method
JP2009520549A (en)*2005-12-222009-05-28コーニンクレッカ フィリップス エレクトロニクス エヌ ヴィ System and method for magnetic induction tomography
US8125220B2 (en)2005-12-222012-02-28Koninklijke Philips Electronics N.V.Magnetic induction tomography system and method
WO2007072343A2 (en)2005-12-222007-06-28Philips Intellectual Property & Standards GmbhMagnetic induction tomography system and method
US8585704B2 (en)2006-05-042013-11-19Baxano Surgical, Inc.Flexible tissue removal devices and methods
US9351741B2 (en)2006-05-042016-05-31Amendia, Inc.Flexible tissue removal devices and methods
US8062300B2 (en)2006-05-042011-11-22Baxano, Inc.Tissue removal with at least partially flexible devices
WO2008011649A1 (en)*2006-07-242008-01-31Technische Universität GrazDevice and method for magnetic induction tomography
US7857813B2 (en)2006-08-292010-12-28Baxano, Inc.Tissue access guidewire system and method
US8845637B2 (en)2006-08-292014-09-30Baxano Surgical, Inc.Tissue access guidewire system and method
US8551097B2 (en)2006-08-292013-10-08Baxano Surgical, Inc.Tissue access guidewire system and method
US12161505B2 (en)2007-05-042024-12-10Delphinus Medical Technologies, Inc.Patient interface system
US10201324B2 (en)2007-05-042019-02-12Delphinus Medical Technologies, Inc.Patient interface system
US7959577B2 (en)2007-09-062011-06-14Baxano, Inc.Method, system, and apparatus for neural localization
US8303516B2 (en)2007-09-062012-11-06Baxano, Inc.Method, system and apparatus for neural localization
US8192436B2 (en)2007-12-072012-06-05Baxano, Inc.Tissue modification devices
US9463029B2 (en)2007-12-072016-10-11Amendia, Inc.Tissue modification devices
US8663228B2 (en)2007-12-072014-03-04Baxano Surgical, Inc.Tissue modification devices
GB2462243A (en)*2008-05-282010-02-03UgcsMagnetic induction tomography with two reference signals
US8409206B2 (en)2008-07-012013-04-02Baxano, Inc.Tissue modification devices and methods
US9314253B2 (en)2008-07-012016-04-19Amendia, Inc.Tissue modification devices and methods
US8398641B2 (en)2008-07-012013-03-19Baxano, Inc.Tissue modification devices and methods
US8845639B2 (en)2008-07-142014-09-30Baxano Surgical, Inc.Tissue modification devices
US9844347B2 (en)2009-02-132017-12-19The Ohio State UniversityElectromagnetic system and method
US8394102B2 (en)2009-06-252013-03-12Baxano, Inc.Surgical tools for treatment of spinal stenosis
US8712138B2 (en)2009-10-132014-04-29Koninklijke Philips N.V.Device and method for generating soft tissue contrast images
US9814441B2 (en)2010-02-122017-11-14Delphinus Medical Technologies, Inc.Method of characterizing tissue of a patient
WO2011100691A1 (en)*2010-02-122011-08-18Delphinus Medical Technologies, Inc.Method of characterizing the pathological response of tissue to a treatmant plan
US11399798B2 (en)2010-02-122022-08-02Delphinus Medical Technologies, Inc.Method of characterizing tissue of a patient
US10278672B2 (en)2010-02-122019-05-07Delphinus Medical Technologies, Inc.Method of characterizing the pathological response of tissue to a treatment plan
US10231696B2 (en)2010-02-122019-03-19Delphinus Medical Technologies, Inc.Method of characterizing tissue of a patient
US9763641B2 (en)2012-08-302017-09-19Delphinus Medical Technologies, Inc.Method and system for imaging a volume of tissue with tissue boundary detection
US11064974B2 (en)2013-03-132021-07-20Delphinus Medical Technologies, Inc.Patient interface system
US10123770B2 (en)2013-03-132018-11-13Delphinus Medical Technologies, Inc.Patient support system
CN104068854A (en)*2013-03-292014-10-01通用电气公司Soft-field tomography imaging system and soft-field tomography imaging method
RU2647150C1 (en)*2014-02-272018-03-14Кимберли-Кларк Ворлдвайд, Инк.Magnetic induction tomography imaging with single coil
JP2017506107A (en)*2014-02-272017-03-02キンバリー クラーク ワールドワイド インコーポレイテッド A method for assessing health status using single-coil magnetic field induced tomography imaging
JP2017505916A (en)*2014-02-272017-02-23キンバリー クラーク ワールドワイド インコーポレイテッド Single coil magnetic field induced tomography imaging
US9207197B2 (en)2014-02-272015-12-08Kimberly-Clark Worldwide, Inc.Coil for magnetic induction to tomography imaging
US10278609B2 (en)2014-02-272019-05-07Kimberly-Clark Worldwide, Inc.Methods for assessing health conditions using single coil magnetic induction tomography imaging
US9442088B2 (en)2014-02-272016-09-13Kimberly-Clark Worldwide, Inc.Single coil magnetic induction tomographic imaging
US9320451B2 (en)2014-02-272016-04-26Kimberly-Clark Worldwide, Inc.Methods for assessing health conditions using single coil magnetic induction tomography imaging
US11298111B2 (en)2014-08-052022-04-12Delphinus Medical Technologies, Inc.Method for generating an enhanced image of a volume of tissue
US10285667B2 (en)2014-08-052019-05-14Delphinus Medical Technologies, Inc.Method for generating an enhanced image of a volume of tissue
US11064946B2 (en)2014-08-112021-07-20The Board Of Trustees Of The University Of IllinoisDevices and related methods for epidermal characterization of biofluids
US10736551B2 (en)2014-08-112020-08-11The Board Of Trustees Of The University Of IllinoisEpidermal photonic systems and methods
US11160458B2 (en)2014-08-112021-11-02The Board Of Trustees Of The University Of IllinoisEpidermal devices for analysis of temperature and thermal transport characteristics
WO2016054348A1 (en)*2014-10-012016-04-07The Board Of Trustees Of The University Of IllinoisThermal transport characteristics of human skin measured in vivo using thermal elements
DE102015202151A1 (en)*2015-02-062016-01-28Siemens Aktiengesellschaft Method and device for generating a cardiac cardiac conduction card
US11249068B2 (en)2015-11-092022-02-15Ohio State Innovation FoundationNon-invasive method for detecting a deadly form of malaria
US20240057885A1 (en)*2017-05-222024-02-22Smith & Nephew PlcSystems and methods for performing magnetic induction tomography
EA035279B1 (en)*2017-12-282020-05-25Белорусский Национальный Технический УниверситетEddy-current system for control of biotissue parameters
CN115998302A (en)*2023-01-102023-04-25东南大学 A flexible sensor for ECG signals to measure respiration and heartbeat

Also Published As

Publication numberPublication date
WO2005057467A3 (en)2006-02-23

Similar Documents

PublicationPublication DateTitle
WO2005057467A2 (en)Tissue characterization using an eddy-current probe
JP6549992B2 (en) System for image guidance procedure
CA2492283C (en)Prediction and assessment of ablation of cardiac tissue
Chandra et al.On the opportunities and challenges in microwave medical sensing and imaging
US9375246B2 (en)System and method of using thermal and electrical conductivity of tissue
EP2919694B1 (en)Temperature distribution determining apparatus and method
US20090248014A1 (en)Apparatus for magnetically deployable catheter with mosfet sensor and method for mapping and ablation
US20100283484A1 (en)Method and Apparatus for Localizing an Object in the Body
US11298028B2 (en)Temperature distribution determination apparatus
EP3104938B1 (en)Heat sink parameter determination apparatus
CN102858252A (en) Property determination device for determining the property of an object
Cheng et al.Robot-assisted electrical impedance scanning system for 2d electrical impedance tomography tissue inspection
WO2015087203A1 (en)Imaging systems and methods for monitoring treatment of tissue lesions
JP2018518270A (en) Non-invasive system and method for spatial localization of specific electrocardiographic elements
Kollar et al.Monitoring of liver RF ablation using UWB radar: A numerical study
HK1078451B (en)Prediction and assessment of ablation of cardiac tissue

Legal Events

DateCodeTitleDescription
AKDesignated states

Kind code of ref document:A2

Designated state(s):AE AG AL AM AT AU AZ BA BB BG BR BW BY BZ CA CH CN CO CR CU CZ DE DK DM DZ EC EE EG ES FI GB GD GE GH GM HR HU ID IL IN IS JP KE KG KP KR KZ LC LK LR LS LT LU LV MA MD MG MK MN MW MX MZ NA NI NO NZ OM PG PH PL PT RO RU SC SD SE SG SK SL SY TJ TM TN TR TT TZ UA UG US UZ VC VN YU ZA ZM ZW

ALDesignated countries for regional patents

Kind code of ref document:A2

Designated state(s):BW GH GM KE LS MW MZ NA SD SL SZ TZ UG ZM ZW AM AZ BY KG KZ MD RU TJ TM AT BE BG CH CY CZ DE DK EE ES FI FR GB GR HU IE IS IT LT LU MC NL PL PT RO SE SI SK TR BF BJ CF CG CI CM GA GN GQ GW ML MR NE SN TD TG

121Ep: the epo has been informed by wipo that ep was designated in this application
NENPNon-entry into the national phase

Ref country code:DE

WWWWipo information: withdrawn in national office

Country of ref document:DE

122Ep: pct application non-entry in european phase

[8]ページ先頭

©2009-2025 Movatter.jp