GLYCOPEGYLATED FACTOR IX
CROSS-REFERENCES TO RELATED APPLICATIONS
[0001] The present application claims priority to U.S. Provisional Patent Application No. 60/527,089, filed on December 3, 2003, which is incorporated herein by reference in their entirety for all purposes, U.S. Provisional Patent Application No. 60/539,387, filed January 26, 2004; U.S. Provisional Patent Application No. 60/592,744, filed July 29, 2004; U.S. Provisional Patent Application No. 60/614,518, filed September 29, 2004; and U.S. Provisional Patent Application No. 60/623,387, filed October 29, 2004 each of which is incorporated herein by reference in their entirety for all purposes.
BACKGROUND OF THE INVENTION
[0002] Nitamin K-dependent proteins (e.g., Factor IX) contain 9 to 13 gamma- carboxyglutamic acid residues (Gla) in their amino terminal 45 residues. The Gla residues are produced by enzymes in the liver that utilize vitamin K to carboxylate the side chains of glutamic acid residues in protein precursors. Nitamin K-dependent proteins are involved in a number of biological processes, of which the most well described is blood coagulation
(reviewed in Νelsestuen, Vitam. Horm. 58: 355-389 (2000)). Vitamin K-dependent proteins include protein Z, protein S, prothrombin (Factor II), Factor X, Factor IX, protein C, Factor Nil, Gasό, and matrix GLA protein. Factors Nil, IX, X and II function in procoagulation processes while protein C, protein S and protein Z serve in anticoagulation roles. Gasό is a growth arrest hormone encoded by growth arrest-specific gene 6 (gasό) and is related to protein S. See, Manfioletti et al. Mol. Cell. Biol. 13: 4976-4985 (1993). Matrix GLA protein normally is found in bone and is critical to prevention of calcification of soft tissues in the circulation. Luo et al. Nαtwre 386: 78-81 (1997).
[0003] The regulation of blood coagulation is a process that presents a number of leading health problems, including both the failure to form blood clots as well as thrombosis, the formation of unwanted blood clots. Agents that prevent unwanted clots are used in many situations and a variety of agents are available. Unfortunately, most current therapies have undesirable side effects. Orally administered anticoagulants such as Warfarin act by inhibiting the action of vitamin K in the liver, thereby preventing complete carboxylation of glutamic acid residues in the vitamin K-dependent proteins, resulting in a lowered concentration of active proteins in the circulatory system and reduced ability to form clots. Warfarin therapy is complicated by the competitive nature of the drug with its target. Fluctuations of dietary vitamin K can result in an over-dose or under-dose of Warfarin. Fluctuations in coagulation activity are an undesirable outcome of this therapy.
[0004] Injected substances such as heparin, including low molecular weight heparin, also are commonly used anticoagulants. Again, these compounds are subject to overdose and must be carefully monitored.
[0005] A newer category of anticoagulants includes active-site modified vitamin K- dependent clotting factors such as factor Vila and IXa. The active sites are blocked by serine protease inhibitors such as chloromethylketone derivatives of amino acids or short peptides. The active site-modified proteins retain the ability to form complexes with their respective cofactors, but are inactive, thereby producing no enzyme activity and preventing complexing of the cofactor with the respective active enzymes. In short, these proteins appear to offer the benefits of anticoagulation therapy without the adverse side effects of other anticoagulants. Active site modified factor Xa is another possible anticoagulant in this group. Its cofactor protein is factor Va. Active site modified activated protein C (APC) may also form an effective inhibitor of coagulation. See, Sorensen et al. J Biol. Chem. 272: 11863-11868 (1997). Active site modified APC binds to factor Va and prevents factor Xa from binding.
[0006] A major inhibition to the use of vitamin K-dependent clotting factors is cost. Biosynthesis of vitamin K-dependent proteins is dependent on an intact glutamic acid carboxylation system, which is present in a small number of animal cell types. Overproduction of these proteins is limited by this enzyme system. Furthermore, the effective dose of these proteins is high. A common dosage is 1000 μg of peptide/kg body weight. See, Harker et al. 1997, supra.
[0007] Another phenomena that hampers the use of therapeutic peptides is the well known aspect of of protein glycosylation is the relatively short in vivo half life exhibited by these peptides. Overall, the problem of shot in vivo half life means that therapeutic glycopeptides must be administered frequently in high dosages, which ultimately translate to higher health care costs than might be necessary if a more efficient method for making longer lasting, more effective glycoprotein therapeutics was available.
[0008] Factor Vila, for example, illustrates this problem. Factor VII and Vila have circulation half-times of about 2-4 hours in the human. That is, within 2-4 hours, the concentration of the peptide in the serum is reduced by half. When Factor Vila is used as a procoagulant to treat certain forms of hemophilia, the standard protocol is to inject Vila every two hours and at high dosages (45 to 90 .mu.g/kg body weight). See, Hedner et al, Transfus. Med. Rev. 7: 78-83 (1993)). Thus, use of these proteins as procoagulants or anticoagulants (in the case of factor Vila) requires that the proteins be administered at frequent intervals and at high dosages.
[0009] One solution to the problem of providing cost effective glycopeptide therapeutics has been to provide peptides with longer in vivo half lives. For example, glycopeptide therapeutics with improved pharmacokinetic properties have been produced by attaching synthetic polymers to the peptide backbone. An exemplary polymer that has been conjugated to peptides is poly(ethylene glycol) ("PEG"). The use of PEG to derivatize peptide therapeutics has been demonstrated to reduce the immunogenicity of the peptides. For example, U.S. Pat. No. 4,179,337 (Davis et al.) discloses non-immunogenic polypeptides such as enzymes and peptide hormones coupled to polyethylene glycol (PEG) or polypropylene glycol. In addition to reduced immunogenicity, the clearance time in circulation is prolonged due to the increased size of the PEG-conjugate of the polypeptides in question.
[0010] The principal mode of attachment of PEG, and its derivatives, to peptides is a nonspecific bonding through a peptide amino acid residue (see e.g., U.S. Patent No. 4,088,538 U.S. Patent No. 4,496,689, U.S. Patent No. 4,414,147, U.S. Patent No. 4,055,635, and PCT WO 87/00056). Another mode of attaching PEG to peptides is through the non-specific oxidation of glycosyl residues on a glycopeptide (see e.g., WO 94/05332).
[0011] In these non-specific methods, poly(ethyleneglycol) is added in a random, nonspecific manner to reactive residues on a peptide backbone. Of course, random addition of PEG molecules has its drawbacks, including a lack of homogeneity of the final product, and the possibility for reduction in the biological or enzymatic activity of the peptide. Therefore, for the production of therapeutic peptides, a derivitization strategy that results in the formation of a specifically labeled, readily characterizable, essentially homogeneous product is superior. Such methods have been developed.
[0012] Specifically labeled, homogeneous peptide therapeutics can be produced in vitro through the action of enzymes. Unlike the typical non-specific methods for attaching a synthetic polymer or other label to a peptide, enzyme-based syntheses have the advantages of regioselectivity and stereoselectivity. Two principal classes of enzymes for use in the synthesis of labeled peptides are glycosyltransferases (e.g., sialyltransferases, oligosaccharyltransferases, N-acetylglucosaminyltransferases), and glycosidases. These enzymes can be used for the specific attachment of sugars which can be subsequently modified to comprise a therapeutic moiety. Alternatively, glycosyltransferases and modified glycosidases can be used to directly transfer modified sugars to a peptide backbone (see e.g., U.S. Patent 6,399,336, and U.S. Patent Application Publications 20030040037, 20040132640, 20040137557, 20040126838, and 20040142856, each of which are incorporated by reference herein). Methods combining both chemical and enzymatic synthetic elements are also known (see e.g., Yamamoto et al. Carbohydr. Res. 305: 415-422 (1998) and U.S. Patent Application Publication 20040137557 which is incorporated herein by reference).
[0013] Factor IX is an extremely valuable therapeutic peptide. Although commercially available forms of Factor IX are in use today, these peptides can be improved by modifications that enhance the pharmacokinetics of the resulting isolated glycoprotein product. Thus, there remains a need in the art for longer lasting Factor IX peptides with improved effectiveness and better pharmacokinetics. Furthermore, to be effective for the largest number of individuals, it must be possible to produce, on an industrial scale, a Factor IX peptide with improved therapeutic pharmacokinetics that has a predictable, essentially homogeneous, structure which can be readily reproduced over, and over again.
[0014] Fortunately, Factor IX peptides with improved pharmacokinetics and methods for making them have now been discovered. In addition to Factor IX peptides with improved pharmacokinetics, the invention also provides industrially practical and cost effective methods for the production of these Factor IX peptides. The Factor IX peptides of the invention comprise modifying groups such as PEG moieties, therapeutic moieties, biomolecules and the like. The present invention therefore fulfills the need for Factor IX peptides with improved the therapeutic effectiveness and improved pharmacokinetics for the treatment of conditions and diseases wherein Factor IX provides effective therapy.
SUMMARY OF THE INVENTION
[0015] It has now been discovered that the controlled modification of Factor IX with one or more poly(ethylene glycol) moieties affords novel Factor IX derivatives with improved pharmacokinetic properties. Furthermore, cost effective methods for reliable production of the modified Factor IX peptides of the invention have been discovered and developed.
[0016] In one aspect, the present invention provides a Factor IX peptide that includes the moiety:
In the formula above, D is -OH or R^L-HN-. The symbol G represents R^L- or -C(O)(C]- C6)alkyl. R1 is a moiety comprising a straight-chain or branched poly(ethylene glycol) residue; and L is a linker which is a member selected from a bond, substituted or unsubstituted alkyl and substituted or unsubstituted heteroalkyl. Generally, when D is OH, G is R^L-, and when G is -C(O)(Cι-C6)alkyl, D is R^L-NH-. As will be appreciated by those of skill in the art, in the sialic acid analogues set forth herein, COOH also represents COO" or a salt thereof.
[0017] In another aspect, the invention provides a method of making a PEG-ylated Factor IX comprising the moiety above. The method of the invention includes (a) contacting a substrate Factor IX peptide with a PEG-sialic acid donor and an enzyme that transfers the PEG-sialic acid onto an amino acid or glycosyl residue of the Factor IX peptide, under conditions appropriate for the transfer. An exemplary PEG-sialic acid donor moiety has the formula:
[0018] In one embodiment the host is mammalian cell. In other embodiments the host cell is an insect cell, plant cell, a bacteria or a fungi.
[0019] In another aspect, the invention provides a method of treating a condition in a subject in need thereof, wherein the condition is characterized by compromised coagulation in the subject. The method comprises the step of administering to the subject an amount of the Factor IX peptide conjugate of the invention effective to ameliorate the condition in the subject. An exemplary disease treatable by this method is hemophilia.
[0020] In another aspect, the invention provides a pharmaceutical formulation comprising the Factor IX peptide of the invention and a pharmaceutically acceptable carrier.
[0021] Other objects and advantages of the invention will be apparent to those of skill in the art from the detailed description that follows.
DESCRIPTION OF THE DRAWINGS [0022] FIG. 1 is the structure of Factor IX, showing the presence and location of potential glycosylation sites at Asn 157, Asn 167; Ser 53, Ser 61, Thr 159, Thr 169, and Thr 172.
[0023] FIG. 2 is a scheme showing an exemplary embodiment of the invention in which a carbohydrate residue on a Factor IX peptide is remodeled and glycopegylated: (A) sialic acid moieties are removed by sialidase and the resulting galactose residues are glycopegylated with the sialic acid derivative of FIG. 5; (B) a marmose residue is glycopegylated with the sialic acid PEG; (C) a sialic acid moiety of an N-glycan is glycopegylated with the sialic acid PEG; (D) a sialic acid moiety is of an O-glycan is glycopegylated with the sialic acid PEG; (E) SDS PAGE gel of Factor IX from 2(A); (F) SDS PAGE gel of Factor IX from the reaction producing 2(C) and 2(D). [0024] FIG. 3 is a plot comparing the in vivo residence lifetimes of unglycosylated Factor IX and enzymatically glycopegylated Factor IX.
[0025] FIG. 4 is a table comparing the activities of the species shown in FIG. 3.
[0026] FIG. 5 is the amino acid sequence of Factor IX.
[0027] FIG. 6 is a graphic presentation of the pharmacokinetic properties of various glycopegylated Factor IX molecules compared to a non-pegylated Factor IX.
[0028] FIG. 7 is a table of representative modified sugar species of use in the present invention.
[0029] FIG. 8 is a table of representative modified sugar species of use in the present invention.
[0030] FIG. 9 is a table of sialyl transferases of use to transfer onto an acceptor a modified sialic acid moietiy, such as those set forth herein and unmodified sialic acid moieties.
DETAILED DESCRIPTION OF THE INVENTION AND THE PREFERRED EMBODIMENTS Abbreviations
[0031] PEG, poly(ethyleneglycol); PPG, poly(propyleneglycol); Ara, arabinosyl; Fru, fructosyl; Fuc, fucosyl; Gal, galactosyl; GalNAc, N-acetylgalactosaminyl; Glc, glucosyl; GlcNAc, N-acetylglucosaminyl; Man, mannosyl; ManAc, mannosaminyl acetate; Xyl, xylosyl; and NeuAc, sialyl (N-acetylneuraminyl); M6P, mannose-6-phosphate; Sia, sialic acid, N-acetylneuraminyl, and derivatives and analogues thereof
Definitions
[0032] Unless defined otherwise, all technical and scientific terms used herein generally have the same meaning as commonly understood by one of ordinary skill in the art to which this invention belongs. Generally, the nomenclature used herein and the laboratory procedures in cell culture, molecular genetics, organic chemistry and nucleic acid chemistry and hybridization are those well known and commonly employed in the art. Standard techniques are used for nucleic acid and peptide synthesis. The techniques and procedures are generally performed according to conventional methods in the art and various general references (see generally, Sambrook et al. MOLECULAR CLONING: A LABORATORY MANUAL, 2d ed. (1989) Cold Spring Harbor Laboratory Press, Cold Spring Harbor, N.Y., which is incorporated herein by reference), which are provided throughout this document. The nomenclature used herein and the laboratory procedures in analytical chemistry, and organic synthetic described below are those well known and commonly employed in the art. Standard techniques, or modifications thereof, are used for chemical syntheses and chemical analyses.
[0033] All oligosaccharides described herein are described with the name or abbreviation for the non-reducing saccharide (i.e., Gal), followed by the configuration of the glycosidic bond (α or β), the ring bond (1 or 2), the ring position of the reducing saccharide involved in the bond (2, 3, 4, 6 or 8), and then the name or abbreviation of the reducing saccharide (i.e., GlcNAc). Each saccharide is preferably a pyranose. For a review of standard glvcobiology nomenclature see, Essentials of Glvcobiology Varki et al. eds. CSHL Press (1999).
[0034] Oligosaccharides are considered to have a reducing end and a non-reducing end, whether or not the saccharide at the reducing end is in fact a reducing sugar. In accordance with accepted nomenclature, oligosaccharides are depicted herein with the non-reducing end on the left and the reducing end on the right.
[0035] The term "sialic acid" refers to any member of a family of nine-carbon carboxylated sugars. The most common member of the sialic acid family is N-acetyl-neuraminic acid (2- keto-5-acetamido-3,5-dideoxy-D-glycero-D-galactononulopyranos-l-onic acid (often abbreviated as Neu5Ac, NeuAc, or NANA). A second member of the family is N-glycolyl- neuraminic acid (Neu5Gc or NeuGc), in which the N-acetyl group of NeuAc is hydroxylated. A third sialic acid family member is 2-keto-3-deoxy-nonulosonic acid (KDN) (Nadano et al. (1986) J. Biol. Chem. 261 : 11550-11557; Kanamori et al., J. Biol. Chem. 265: 21811-21819 (1990)). Also included are 9-substituted sialic acids such as a 9-O-C1-C6 acyl-Neu5Ac like 9-O-lact)d-Neu5Ac or 9-O-acetyl-Neu5Ac, 9-deoxy-9-fluoro-Neu5Ac and 9-azido-9-deoxy- Neu5Ac. For review of the sialic acid family, see, e.g., Varki, Glvcobiology 2: 25-40 (1992); Sialic Acids: Chemistry, Metabolism and Function, R. Schauer, Ed. (Springer-Veriag, New York (1992)). The synthesis and use of sialic acid compounds in a sialylation procedure is disclosed in international application WO 92/16640, published October 1, 1992. [0036] "Peptide!" refers to a polymer in which the monomers are amino acids and are joined together through amide bonds, alternatively referred to as a polypeptide. Additionally, unnatural amino acids, for example, β -alanine, phenylglycine and homoarginine are also included. Amino acids that are not gene-encoded may also be used in the present invention. Furthermore, amino acids that have been modified to include reactive groups, glycosylation sites, polymers, therapeutic moieties, biomolecules and the like may also be used in the invention. All of the amino acids used in the present invention may be either the d - or 1 - isomer. The 1 -isomer is generally preferred. In addition, other peptidomimetics are also useful in the present invention. As used herein, "peptide" refers to both glycosylated and unglycosylated peptides. Also included are petides that are incompletely glycosylated by a system that expresses the peptide. For a general review, see, Spatola, A. F., in Chemistry and Biochemistry of Amino Acids, Peptides and Proteins, B. Weinstein, eds., Marcel Dekker, New York, p. 267 (1983).
[0037] The term "peptide conjugate," refers to species of the invention in which a peptide is conjugated with a modified sugar as set forth herein.
[0038] The term "amino acid" refers to naturally occurring and synthetic amino acids, as well as amino acid analogs and amino acid mimetics that function in a manner similar to the naturally occurring amino acids. Naturally occurring amino acids are those encoded by the genetic code, as well as those amino acids that are later modified, e.g., hydroxyproline, γ- carboxyglutamate, and O-phosphoserine. Amino acid analogs refers to compounds that have the same basic chemical structure as a naturally occurring amino acid, i.e., an α carbon that is bound to a hydrogen, a carboxyl group, an amino group, and an R group, e.g., homoserine, norleucine, methionine sulfoxide, methionine methyl sulfonium. Such analogs have modified R groups (e.g., norleucine) or modified peptide backbones, but retain the same basic chemical structure as a naturally occurring amino acid. Amino acid mimetics refers to chemical compounds that have a structure that is different from the general chemical structure of an amino acid, but that function in a manner similar to a naturally occurring amino acid. As used herein, "amino acid," whether it is in a linker or a component of a peptide sequence refers to both the D- and L-isomer of the amino acid as well as mixtures of these two isomers.
[0039] As used herein, the term "modified sugar," refers to a naturally- or non-naturally- occurring carbohydrate that is enzymatically added onto an amino acid or a glycosyl residue of a peptide in a process of the invention. The modified sugar is selected from a number of enzyme substrates including, but not limited to sugar nucleotides (mono-, di-, and tri- phosphates), activated sugars (e.g., glycosyl halides, glycosyl mesylates) and sugars that are neither activated nor nucleotides. The "modified sugar" is covalently functionalized with a "modifying group." Useful modifying groups include, but are not limited to, PEG moieties, therapeutic moieties, diagnostic moieties, biomolecules and the like. The modifying group is preferably not a naturally occurring, or an unmodified carbohydrate. The locus of functionalization with the modifying group is selected such that it does not prevent the "modified sugar" from being added enzymatically to a peptide.
[0040] The term "water-soluble" refers to moieties that have some detectable degree of solubility in water. Methods to detect and/or quantify water solubility are well known in the art. Exemplary water-soluble polymers include peptides, saccharides, poly(ethers), poly(amines), poly(carboxylic acids) and the like. Peptides can have mixed sequences of be composed of a single amino acid, e.g., poly(lysine). An exemplary polysaccharide is poly(sialic acid). An exemplary poly(ether) is poly(ethylene glycol). Poly(ethylene imine) is an exemplary polyamine, and poly(acrylic) acid is a representative poly(carboxylic acid).
[0041] The polymer backbone of the water-soluble polymer can be poly(ethylene glycol) (i.e. PEG). However, it should be understood that other related polymers are also suitable for use in the practice of this invention and that the use of the term PEG or poly(ethylene glycol) is intended to be inclusive and not exclusive in this respect. The term PEG includes poly(ethylene glycol) in any of its forms, including alkoxy PEG, difunctional PEG, multiarmed PEG, forked PEG, branched PEG, pendent PEG (i.e. PEG or related polymers having one or more functional groups pendent to the polymer backbone), or PEG with degradable linkages therein.
[0042] The polymer backbone can be linear or branched. Branched polymer backbones are generally known in the art. Typically, a branched polymer has a central branch core moiety and a plurality of linear polymer chains linked, to the central branch core. PEG is commonly used in branched forms that can be prepared by addition of ethylene oxide to various polyols, such as glycerol, pentaerythritol and sorbitol. The central branch moiety can also be derived from several amino acids, such as lysine. The branched poly(ethylene glycol) can be represented in general form as R(-PEG-OH)m in which R represents the core moiety, such as glycerol or pentaerythritol, and m represents the number of arms. Multi-armed PEG molecules, such as those described in U.S. Pat. No. 5,932,462, which is incorporated by reference herein in its entirety, can also be used as the polymer backbone.
[0043] Many other polymers are also suitable for the invention. Polymer backbones that are non-peptidic and water-soluble, with from 2 to about 300 termini, are particularly useful in the invention. Examples of suitable polymers include, but are not limited to, other poly(alkylene glycols), such as poly(propylene glycol) ("PPG"),' copolymers of ethylene glycol and propylene glycol and the like, poly(oxyethylated polyol), poly(olefinic alcohol), poly(vinylpyrrolidone), poly(hydroxypropylmethacrylamide), poly(α-hydroxy acid), poly(vinyl alcohol), polyphosphazene, polyoxazoline, poly(N-acryloylmorpholine), such as described in U.S. Pat. No. 5,629,384, which is incorporated by reference herein in its entirety, and copolymers, terpolymers, and mixtures thereof. Although the molecular weight of each chain of the polymer backbone can vary, it is typically in the range of from about 100 Da to about 100,000 Da, often from about 6,000 Da to about 80,000 Da.
[0044] The "area under the curve" or "AUC", as used herein in the context of administering a peptide drug to a patient, is defined as total area under the curve that describes the concentration of drug in systemic circulation in the patient as a function of time from zero to infinity.
[0045] The term "half-life" or "t z". as used herein in the context of administering a peptide drug to a patient, is defined as the time required for plasma concentration of a drug in a patient to be reduced by one half. There may be more than one half-life associated with the peptide drag depending on multiple clearance mechanisms, redistribution, and other mechanisms well known in the art. Usually, alpha and beta half-lives are defined such that the alpha phase is associated with redistribution, and the beta phase is associated with clearance. However, with protein drugs that are, for the most part, confined to the bloodstream, there can be at least two clearance half-lives. For some glycosylated peptides, rapid beta phase clearance may be mediated via receptors on macrophages, or endothelial cells that recognize terminal galactose, N-acetylgalactosamine, N-acetylglucosamine, mannose, or fucose. Slower beta phase clearance may occur via renal glomerular filtration for molecules with an effective radius < 2 nm (approximately 68 kD) and/or specific or non- specific uptake and metabolism in tissues. GlycoPEGylation may cap terminal sugars (e.g., galactose or N-acetylgalactosamine) and thereby block rapid alpha phase clearance via receptors that recognize these sugars. It may also confer a larger effective radius and thereby decrease the volume of distribution and tissue uptake, thereby prolonging the late beta phase. Thus, the precise impact of glycoPEGylation on alpha phase and beta phase half-lives will vary depending upon the size, state of glycosylation, and other parameters, as is well known in the art. Further explanation of "half-life" is found in Pharmaceutical Biotechnology (1997, DFA Crommelin and RD Sindelar, eds., Harwood Publishers, Amsterdam, pp 101 - 120).
[0046] The term "glycoconjugation," as used herein, refers to the enzymatically mediated conjugation of a modified sugar species to an amino acid or glycosyl residue of a polypeptide, e.g., an Factor IX peptide substrate. A subgenus of "glycoconjugation" is "glycol-PEGylation," in which the modifying group of the modified sugar is poly(ethylene glycol), and alkyl derivative (e.g., m-PEG) or reactive derivative (e.g., H N-PEG, HOOC- PEG) thereof.
[0047] The terms "large-scale" and "industrial-scale" are used interchangeably and refer to a reaction cycle that produces at least about 250 mg, preferably at least about 500 mg, and more preferably at least about 1 gram of glycoconjugate at the completion of a single reaction cycle.
[0048] The term, "glycosyl linking group," as used herein refers to a glycosyl residue to which a modifying group (e.g., PEG moiety, therapeutic moiety, biomolecule) is covalently attached; the glycosyl linking group joins the modifying group to the remainder of the conjugate. In the methods of the invention, the "glycosyl linking group" becomes covalently attached to a glycosylated or unglycosylated peptide, thereby linking the agent to an amino acid and/or glycosyl residue on the peptide. A "glycosyl linking group" is generally derived from a "modified sugar" by the enzymatic attachment of the "modified sugar" to an amino acid and/or glycosyl residue of the peptide. The glycosyl linking group can be a saccharide- derived structure that is degraded during formation of modifying group-modified sugar cassette (e.g., oxidation- Schiff base formation-»reduction), or the glycosyl linking group may be intact. An "intact glycosyl linking group" refers to a linking group that is derived from a glycosyl moiety in which the saccharide monomer that links the modifying group and to the remainder of the conjugate is not degraded, e.g., oxidized, e.g., by sodium metaperiodate. "Intact glycosyl linking groups" of the invention may be derived from a naturally occurring oligosaccharide by addition of glycosyl unit(s) or removal of one or more glycosyl unit from a parent saccharide structure. [0049] The term "targeting moiety," as used herein, refers to species that will selectively localize in a particular tissue or region of the body. The localization is mediated by specific recognition of molecular determinants, molecular size of the targeting agent or conjugate, ionic interactions, hydrophobic interactions and the like. Other mechanisms of targeting an agent to a particular tissue or region are known to those of skill in the art. Exemplary targeting moieties include antibodies, antibody fragments, transferrin, HS -glycoprotein, coagulation factors, serum proteins, β-glycoprotein, G-CSF, GM-CSF, M-CSF, EPO, serum proteins (e.g., Factors VII, Vila, VIII, IX, and X) and the like.
[0050] As used herein, "therapeutic moiety" means any agent useful for therapy including, but not limited to, antibiotics, anti-inflammatory agents, anti-tumor drugs, cytotoxins, and radioactive agents. "Therapeutic moiety" includes prodrugs of bioactive agents, constructs in which more than one therapeutic moiety is bound to a carrier, e.g, multivalent agents. Therapeutic moiety also includes proteins and constructs that include proteins. Exemplary proteins include, but are not limited to, Granulocyte Colony Stimulating Factor (GCSF), Granulocyte Macrophage Colony Stimulating Factor (GMCSF), Interferon (e.g., Interferon- α, -β, -γ), Interleukin (e.g., Interleukin II), serum proteins (e.g., Factors Nil, Vila, VIII, IX, and X), Human Chorionic Gonadotropin (HCG), Follicle Stimulating Hormone (FSH) and Lutenizing Hormone (LH) and antibody fusion proteins (e.g. Tumor Necrosis Factor Receptor ((TNFR)/Fc domain fusion protein)).
[0051] As used herein, "pharmaceutically acceptable carrier" includes any material, which when combined with the conjugate retains the conjugates' activity and is non-reactive with the subject's immune systems. Examples include, but are not limited to, any of the standard pharmaceutical carriers such as a phosphate buffered saline solution, water, emulsions such as oil/water emulsion, and various types of wetting agents. Other carriers may also include sterile solutions, tablets including coated tablets and capsules. Typically such carriers contain excipients such as starch, milk, sugar, certain types of clay, gelatin, stearic acid or salts thereof, magnesium or calcium stearate, talc, vegetable fats or oils, gums, glycols, or other known excipients. Such carriers may also include flavor and color additives or other ingredients. Compositions comprising such carriers are formulated by well known conventional methods.
[0052] As used herein, "administering," means oral administration, administration as a suppository, topical contact, intravenous, intraperitoneal, intramuscular, intralesional, intranasal or subcutaneous administration, or the implantation of a slow-release device e.g., a mini-osmotic pump, to the subject. Adminsitration is by any route including parenteral, and transmucosal (e.g., oral, nasal, vaginal, rectal, or transdermal). Parenteral administration includes, e.g., intravenous, intramuscular, intra-arteriole, intradermal, subcutaneous, intraperitoneal, intraventricular, and intracranial. Moreover, where injection is to treat a tumor, e.g., induce apoptosis, administration may be directly to the tumor and/or into tissues surrounding the tumor. Other modes of delivery include, but are not limited to, the use of liposomal formulations, intravenous infusion, transdermal patches, etc.
[0053] The term "ameliorating" or "ameliorate" refers to any indicia of success in the treatment of a pathology or condition, including any objective or subjective parameter such as abatement, remission or diminishing of symptoms or an improvement in a patient's physical or mental well-being. Amelioration of symptoms can be based on objective or subjective parameters; including the results of a physical examination and/or a psychiatric evaluation.
[0054] The term "therapy" refers to "treating" or "treatment" of a disease or condition including preventing the disease or condition from occurring in an animal that may be predisposed to the disease but does not yet experience or exhibit symptoms of the disease (prophylactic treatment), inhibiting the disease (slowing or arresting its development), providing relief from the symptoms or side-effects of the disease (including palliative treatment), and relieving the disease (causing regression of the disease).
[0055] The term "effective amount" or "an amount effective to"or a "therapeutically effective amount" or any gramatically equivalent term means the amount that, when administered to an animal for treating a disease, is sufficient to effect treatment for that disease.
[0056] The term "isolated" refers to a material that is substantially or essentially free from components, which are used to produce the material. For peptide conjugates of the invention, the term "isolated" refers to material that is substantially or essentially free from components which normally accompany the material in the mixture used to prepare the peptide conjugate. "Isolated" and "pure" are used interchangeably. Typically, isolated peptide conjugates of the invention have a level of purity preferably expressed as a range. The lower end of the range of purity for the peptide conjugates is about 60%, about 70% or about 80% and the upper end of the range of purity is about 70%, about 80%, about 90% or more than about 90%. [0057] When the peptide conjugates are more than about 90%> pure, their purities are also preferably expressed as a range. The lower end of the range of purity is about 90%), about 92%, about 94%, about 96% or about 98%. The upper end of the range of purity is about 92%, about 94%, about 96%, about 98% or about 100% purity.
[0058] Purity is determined by any art-recognized method of analysis (e.g., band intensity on a silver stained gel, polyacrylamide gel electrophoresis, HPLC, or a similar means).
[0059] "Essentially each member of the population," as used herein, describes a characteristic of a population of peptide conjugates of the invention in which a selected percentage of the modified sugars added to a peptide are added to multiple, identical acceptor sites on the peptide. "Essentially each member of the population" speaks to the
"homogeneity" of the sites on the peptide conjugated to a modified sugar and refers to conjugates of the invention, which are at least about 80%>, preferably at least about 90%> and more preferably at least about 95% homogenous.
[0060] "Homogeneity," refers to the structural consistency across a population of acceptor moieties to which the modified sugars are conjugated. Thus, in a peptide conjugate of the invention in which each modified sugar moiety is conjugated to an acceptor site having the same structure as the acceptor site to which every other modified sugar is conjugated, the peptide conjugate is said to be about 100%> homogeneous. Homogeneity is typically expressed as a range. The lower end of the range of homogeneity for the peptide conjugates is about 60%>, about 70%> or about 80%> and the upper end of the range of purity is about 70%), about 80%, about 90% or more than about 90%.
[0061] When the peptide conjugates are more than or equal to about 90% homogeneous, their homogeneity is also preferably expressed as a range. The lower end of the range of homogeneity is about 90%), about 92%>, about 94%>, about 96%) or about 98%>. The upper end of the range of purity is about 92%, about 94%, about 96%, about 98% or about 100%o homogeneity. The homogeneity of the peptide conjugates is typically determined by one or more methods known to those of skill in the art, e.g., liquid chromatography-mass spectrometry (LC-MS), matrix assisted laser desorption mass time of flight spectrometry (MALDITOF), capillary electrophoresis, and the like. The discussion above is equally relevant for other O-glycosylation and N-glycosylation sites. [0062] "Substantially uniform glycoform" or a "substantially uniform glycosylation pattern," when referring to a glycopeptide species, refers to the percentage of acceptor moieties that are glycosylated by the glycosyltransferase of interest (e.g., fucosyltransferase). For example, in the case of a α 1,2 fucosyltransferase, a substantially uniform fucosylation pattern exists if substantially all (as defined below) of the Galβ 1 ,4-GlcNAc-R and sialylated analogues thereof are fucosylated in a peptide conjugate of the invention. It will be understood by one of skill in the art, that the starting material may contain glycosylated acceptor moieties (e.g., fucosylated Galβl,4-GlcNAc-R moieties). Thus, the calculated percent glycosylation will include acceptor moieties that are glycosylated by the methods of the invention, as well as those acceptor moieties already glycosylated in the starting material.
[0063] The term "substantially" in the above definitions of "substantially uniform" generally means at least about 40%o, at least about 70%>, at least about 80%o, or more preferably at least about 90%), and still more preferably at least about 95%> of the acceptor moieties for a particular glycosyltransferase are glycosylated. For example, if a Factor IX peptide conjugate includes a Ser linked glycosyl residues, at least about 70%, 80%, 90%, 95%, 97%, 99%,
99.2%o, 99.4%o, 99.6%, or more preferably 99.8%) of the peptides in the population will have the same glycosyl residue covalently bound to the same Ser residue.
[0064] Where substituent groups are specified by their conventional chemical formulae, written from left to right, they equally encompass the chemically identical substituents, which would result from writing the structure from right to left, e.g., -CH2O- is intended to also recite -OCH2-.
[0065] The term "alkyl," by itself or as part of another substituent means, unless otherwise stated, a straight or branched chain, or cyclic hydrocarbon radical, or combination thereof, which may be fully saturated, mono- or polyunsaturated and can include di- and multivalent radicals, having the number of carbon atoms designated (i.e. Ci-Cio means one to ten carbons). Examples of saturated hydrocarbon radicals include, but are not limited to, groups such as methyl, ethyl, n-propyl, isopropyl, n-butyl, t-butyl, isobutyl, sec-butyl, cyclohexyl, (cyclohexyl)methyl, cyclopropylmethyl, homologs and isomers of, for example, n-pentyl, n- hexyl, n-heptyl, n-octyl, and the like. An unsaturated alkyl group is one having one or more double bonds or triple bonds. Examples of unsaturated alkyl groups include, but are not limited to, vinyl, 2-propenyl, crotyl, 2-isopentenyl, 2-(butadienyl), 2,4-pentadienyl, 3-(l,4- pentadienyl), ethynyl, 1- and 3-ρropynyl, 3-butynyl, and the higher homologs and isomers. The term "alkyl," unless otherwise noted, is also meant to include those derivatives of alkyl defined in more detail below, such as "heteroalkyl." Alkyl groups that are limited to hydrocarbon groups are termed "homoalkyl"..
[0066] The term "alkylene" by itself or as part of another substituent means a divalent radical derived from an alkane, as exemplified, but not limited, by -CH CH2CH2CH2-, and further includes those groups described below as "heteroalkylene." Typically, an alkyl (or alkylene) group will have from 1 to 24 carbon atoms, with those groups having 10 or fewer carbon atoms being preferred in the present invention. A "lower alkyl" or "lower alkylene" is a shorter chain alkyl or alkylene group, generally having eight or fewer carbon atoms.
[0067] The terms "alkoxy," "alkylamino" and "alkylthio" (or thioalkoxy) are used in their conventional sense, and refer to those alkyl groups attached to the remainder of the molecule via an oxygen atom, an amino group, or a sulfur atom, respectively.
[0068] The term "heteroalkyl," by itself or in combination with another term, means, unless otherwise stated, a stable straight or branched chain, or cyclic hydrocarbon radical, or combinations thereof, consisting of the stated number of carbon atoms and at least one heteroatom selected from the group consisting of O, N, Si and S, and wherein the nitrogen and sulfur atoms may optionally be oxidized and the nitrogen heteroatom may optionally be quaternized. The heteroatom(s) O, N and S and Si may be placed at any interior position of the heteroalkyl group or at the position at which the alkyl group is attached to the remainder of the molecule. Examples include, but are not limited to, -CH -CH2-O-CH3, -CH2-CH2-NH- CH3, -CH2-CH2-N(CH3)-CH3, -CH2-S-CH2-CH3, -CH2-CH2,-S(O)-CH3, -CH2-CH2-S(O)2- CH3, -CH=CH-O-CH3, -Si(CH3)3, -CH2-CH=N-OCH3, and -CH=CH-N(CH3)-CH3. Up to two heteroatoms may be consecutive, such as, for example, -CH -NH-OCH3 and -CH2-O- Si(CH3)3. Similarly, the term "heteroalkylene" by itself or as part of another substituent means a divalent radical derived from heteroalkyl, as exemplified, but not limited by, -CH2- CH2-S-CH2-CH2- and -CH2-S-CH2-CH2-NH-CH2-. For heteroalkylene groups, heteroatoms can also occupy either or both of the chain termini (e.g., alkyleneoxy, alkylenedioxy, alkyleneamino, alkylenediamino, and the like). Still further, for alkylene and heteroalkylene linking groups, no orientation of the linking group is implied by the direction in which the formula of the linking group is written. For example, the formula -C(O)2R'- represents both -C(O)2R'- and-R'C(O)2-. [0069] The terms "cycloalkyl" and "heterocycloalkyl", by themselves or in combination with other terms, represent, unless otherwise stated, cyclic versions of "alkyl" and "heteroalkyl", respectively. Additionally, for heterocycloalkyl, a heteroatom can occupy the position at which the heterocycle is attached to the remainder of the molecule. Examples of cycloalkyl include, but are not limited to, cyclopentyl, cyclohexyl, 1-cyclohexenyl, 3-cyclohexenyl, cycloheptyl, and the like. Examples of heterocycloalkyl include, but are not limited to, 1 - (1,2,5,6-tetrahydropyridyl), 1-piperidinyl, 2-piperidinyl, 3-piperidinyl, 4-morpholinyl, 3- morpholinyl, tetrahydrofuran-2-yl, tetrahydrofuran-3-yl, tetrahydrothien-2-yl, tetrahydrothien-3-yl, 1 -piperazinyl, 2-piperazinyl, and the like.
[0070] The terms "halo" or "halogen," by themselves or as part of another substituent, mean, unless otherwise stated, a fluorine, chlorine, bromine, or iodine atom. Additionally, terms such as "haloalkyl," are meant to include monohaloalkyl and polyhaloalkyl. For example, the term "halo(Cl-C4)alkyl" is mean to include, but not be limited to, trifluoromethyl, 2,2,2- trifluoroethyl, 4-chlorobutyl, 3-bromopropyl, and the like.
[0071] The term "aryl" means, unless otherwise stated, a polyunsaturated, aromatic, substituent that can be a single ring or multiple rings (preferably from 1 to 3 rings), which are fused together or linked covalently. The term "heteroaryl" refers to aryl groups (or rings) that contain from one to four heteroatoms selected from N, O, and S, wherein the nitrogen and sulfur atoms are optionally oxidized, and the nitrogen atom(s) are optionally quaternized. A heteroaryl group can be attached to the remainder of the molecule through a heteroatom.
Non-limiting examples of aryl and heteroaryl groups include phenyl, 1-naphthyl, 2-naphthyl, 4-biphenyl, 1-pyrrolyl, 2-pyrrolyl, 3-pyrrolyl, 3-pyrazolyl, 2-imidazolyl, 4-imidazolyl5ι pyrazinyl, 2-oxazolyl, 4-oxazolyl, 2-phenyl-4-oxazolyl, 5-oxazolyl, 3-isoxazolyl, 4- isoxazolyl, 5-isoxazolyl, 2-thiazolyl, 4-thiazolyl, 5-thiazolyl, 2-furyl, 3-furyl, 2-thienyl, 3- thienyl, 2-pyridyl, 3-pyridyl, 4-pyridyl, 2-pyrimidyl, 4-pyrimidyl, 5-benzothiazolyl, purinyl, 2-benzimidazolyl, 5-indolyl, 1-isoquinolyl, 5-isoquinolyl, 2-quinoxalinyl, 5-quinoxalinyl, 3- quinolyl, tetrazolyl, benzo[b]furanyl, benzo[b]thienyl, 2,3-dihydrobenzo[l,4]dioxin-6-yl, benzo[l,3]dioxol-5-yl and 6-quinolyl. Substituents for each of the above noted aryl and heteroaryl ring systems are selected from the group of acceptable substituents described below.
[0072] For brevity, the term "aryl" when used in combination with other terms (e.g., aryloxy, arylthioxy, arylalkyl) includes both aryl and heteroaryl rings as defined above. Thus, the term "arylalkyl" is meant to include those radicals in which an aryl group is attached to an alkyl group (e.g., benzyl, phenethyl, pyridylmethyl and the like) including those alkyl groups in which a carbon atom (e.g., a methylene group) has been replaced by, for example, an oxygen atom (e.g., phenoxymethyl, 2-pyridyloxymethyl, 3-(l-naphthyloxy)propyl, and the like).
[0073] Each of the above terms (e.g., "alkyl," "heteroalkyl," "aryl" and "heteroaryl") is meant to include both substituted and unsubstituted forms of the indicated radical. Preferred substituents for each type of radical are provided below.
[0074] Substituents for the alkyl and heteroalkyl radicals (including those groups often referred to as alkylene, alkenyl, heteroalkylene, heteroalkenyl, alkynyl, cycloalkyl, heterocycloalkyl, cycloalkenyl, and heterocycloalkenyl) are generically referred to as "alkyl group substituents," and they can be one or more of a variety of groups selected from, but not limited to: -OR', =O, =NR', =N-OR', -NR'R", -SR', -halogen, -SiR'R"R'", -OC(O)R', - C(O)R', -CO2R\ -CONR'R", -OC(O)NR'R", -NR"C(O)R\ -NR'-C(O)NR"R'", - NR"C(O)2R', -NR-C(NR'R"R'")=NR"", -NR-C(NR'R")=NR'", -S(O)R', -S(O)2R', -
S(O)2NR'R", -NRSO2R', -CN and -NO2 in a number ranging from zero to (2m'+l), where m' is the total number of carbon atoms in such radical. R', R", R'" and R"" each preferably independently refer to hydrogen, substituted or unsubstituted heteroalkyl, substituted or unsubstituted aryl, e.g., aryl substituted with 1-3 halogens, substituted or unsubstituted alkyl, alkoxy or thioalkoxy groups, or arylalkyl groups. When a compound of the invention includes more than one R group, for example, each of the R groups is independently selected as are each R', R", R'" and R"" groups when more than one of these groups is present. When R' and R" are attached to the same nitrogen atom, they can be combined with the nitrogen atom to form a 5-, 6-, or 7-membered ring. For example, -NR'R" is meant to include, but not be limited to, 1-pyrrolidinyl and 4-morpholinyl. From the above discussion of substituents, one of skill in the art will understand that the term "alkyl" is meant to include groups including carbon atoms bound to groups other than hydrogen groups, such as haloalkyl (e.g., -CF3 and -CH2CF3) and acyl (e.g., -C(O)CH3, -C(O)CF3, -C(O)CH2OCH3, and the like).
[0075] Similar to the substituents described for the alkyl radical, substituents for the aryl and heteroaryl groups are generically referred to as "aryl group substituents." The substituents are selected from, for example: halogen, -OR', =O, =NR', =N-OR', -NR'R", -SR', -halogen, -SiR'R"R"\ -OC(O)R', -C(O)R', -CO2R', -CONR'R", -OC(O)NR'R", -NR"C(O)R', -NR'-C(O)NR"R'", -NR"C(O)2R', -NR-C(NR'R"R'")=NR"", -NR-C(NR'R")=NR'", - S(O)R', -S(O)2R', -S(O)2NR'R", -NRSO2R', -CN and -NO2, -R', -N3, -CH(Ph)2, fluoro(C C4)alkoxy, and fluoro(C1-C )alkyl, in a number ranging from zero to the total number of open valences on the aromatic ring system; and where R', R", R'" and R"" are preferably independently selected from hydrogen, substituted or unsubstituted alkyl, substituted or unsubstituted heteroalkyl, substituted or unsubstituted aryl and substituted or unsubstituted heteroaryl. When a compound of the invention includes more than one R group, for example, each of the R groups is independently selected as are each R', R", R'" and R"" groups when more than one of these groups is present. In the schemes that follow, the symbol X represents "R" as described above.
[0076] Two of the substituents on adjacent atoms of the aryl or heteroaryl ring may optionally be replaced with a substituent of the formula -T-C(O)-(CRR')q-U-, wherein T and U are independently -NR-, -O-, -CRR'- or a single bond, and q is an integer of from 0 to 3. Alternatively, two of the substituents on adjacent atoms of the aryl or heteroaryl ring may optionally be replaced with a substituent of the formula -A-(CH )r-B-, wherein A and B are independently -CRR'-, -O-, -NR-, -S-, -S(O)-, -S(O)2-, -S(O)2NR'- or a single bond, and r is an integer of from 1 to 4. One of the single bonds of the new ring so formed may optionally be replaced with a double bond. Alternatively, two of the substituents on adjacent atoms of the aryl or heteroaryl ring may optionally be replaced with a substituent of the formula - (CRR')s-X-(CR"R'")d-, where s and d are independently integers of from 0 to 3, and X is - O-, -NR'-, -S-, -S(O)-, -S(O)2-, or-S(O)2NR'-. The substituents R, R', R" and R'" are preferably independently selected from hydrogen or substituted or unsubstituted (Cl- C6)alkyl.
[0077] As used herein, the term "heteroatom" is meant to include oxygen (O), nitrogen (N), sulfur (S) and silicon (Si).
Introduction
[0078] As described above, Factor IX is vital in the blood coagulation cascade. The structure and sequence of Factor IX is provided in FIG. 1. A deficiency of Factor IX in the body characterizes a type of hemophilia (type B). Treatment of this disease is usually limited to intravenous tranfusion of human plasma protein concentrates of Factor IX. However, in addition to the practical disadvantages of time and expense, transfusion of blood concentrates involves the risk of transmission of viral hepatitis, acquired immune deficiency syndrome or thromboembolic diseases to the recipient.
[0079] While Factor IX has demonstrated itself as an important and useful compound for therapeutic applications, present methods for the production of Factor IX from recombinant cells (U.S. Patent No. 4,770,999) results in a product with a rather short biological half-life and an inaccurate glycosylation pattern that could potentially lead to immunogenicity, loss of function, an increased need for both larger and more frequent doses in order to achieve the same effect, and the like.
[0080] To improve the effectiveness of recombinant Factor IX used for therapeutic purposes, the present invention provides conjugates of glycosylated and unglycosylated Factor IX peptides with polymers, e.g., PEG (m-PEG), PPG (m-PPG), etc. The conjugates may be additionally or alternatively modified by further conjugation with diverse species such as therapeutic moieties, diagnostic moieties, targeting moieties and the like.
[0081] The conjugates of the invention are formed by the enzymatic attachment of a modified sugar to the glycosylated or unglycosylated peptide. Glycosylation sites and glycosyl residues provide loci for conjugating modifying groups to the peptide, e.g., by glycoconjugation. An exemplary modifying group is a water-soluble polymer, such as poly(ethylene glycol), e.g., methoxy-poly(ethylene glycol). Modification of the Factor IX peptides can improve the stability and retention time of the recombinant Factor IX in a patient's circulation, and/or reduce the antigenicity of recombinant Factor IX.
[0082] The methods of the invention make it possible to assemble peptides and glycopeptides that have a substantially homogeneous derivatization pattern. The enzymes used in the invention are generally selective for a particular amino acid residue, combination of amino acid residues, or particular glycosyl residues of the peptide. The methods are also practical for large-scale production of modified peptides and glycopeptides. Thus, the methods of the invention provide a practical means for large-scale preparation of glycopeptides having preselected uniform derivatization patterns.
[0083] The present invention also provides conjugates of glycosylated and unglycosylated peptides with increased therapeutic half-life due to, for example, reduced clearance rate, or reduced rate of uptake by the immune or reticuloendothelial system (RES). Moreover, the methods of the invention provide a means for masking antigenic determinants on peptides, thus reducing or eliminating a host immune response against the peptide. Selective attachment of targeting agents can also be used to target a peptide to a particular tissue or cell surface receptor that is specific for the particular targeting agent.
The Conjugates [0084] In a first aspect, the present invention provides a conjugate between a selected modifying group and a Factor IX peptide.
[0085] The link between the peptide and the modifying group includes a glycosyl linking group interposed between the peptide and the selected moiety. As discussed herein, the selected moiety is essentially any species that can be attached to a saccharide unit, resulting in a "modified sugar" that is recognized by an appropriate transferase enzyme, which appends the modified sugar onto the peptide. The saccharide component of the modified sugar, when interposed between the peptide and a selected moiety, becomes a "glycosyl linking group," e.g., an "intact glycosyl linking group." The glycosyl linking group is formed from any mono- or oligo-saccharide that, after modification with the modifying group, is a substrate for an enzyme that adds the modified sugar to an amino acid or glycosyl residue of a peptide.
[0086] The glycosyl linking group can be, or can include, a saccharide moiety that is degradatively modified before or during the addition of the modifying group. For example, the glycosyl linking group can be derived from a saccharide residue that is produced by oxidative degradation of an intact saccharide to the corresponding aldehyde, e.g., via the action of metaperiodate, and subsequently converted to a Schiff base with an appropriate amine, which is then reduced to the corresponding amine.
[0087] Exemplary conjugates of the invention correspond to the general structure:
[0088] in which the symbols a, b, c, d and s represent a positive, non-zero integer; and t is either 0 or a positive integer. The "agent" is a therapeutic agent, a bioactive agent, a detectable label, water-soluble moiety (e.g., PEG, m-PEG, PPG, and m-PPG) or the like. The "agent" can be a peptide, e.g., enzyme, antibody, antigen, etc. The linker can be any of a wide array of linking groups, infra. Alternatively, the linker may be a single bond or a "zero order linker."
[0089] In an exemplary embodiment, the selected modifying group is a water-soluble polymer, e.g., m-PEG. The water-soluble polymer is covalently attached to the peptide via a glycosyl linking group. The glycosyl linking group is covalently attached to an amino acid residue or a glycosyl residue of the peptide. The invention also provides conjugates in which an amino acid residue and a glycosyl residue are modified with a glycosyl linking group.
[0090] An exemplary water-soluble polymer is poly(ethylene glycol), e.g., methoxy- poly(ethylene glycol). The poly(ethylene glycol) used in the present invention is not restricted to any particular form or molecular weight range. For unbranched poly(ethylene glycol) molecules the molecular weight is preferably between 500 and 100,000. A molecular weight of 2,000-60,000 daltons is preferably used and more preferably of from about 5,000 to about 30,000 daltons.
[0091] In another embodiment the poly(ethylene glycol) is a branched PEG having more than one PEG moiety attached. Examples of branched PEGs are described in U.S. Pat. No.
5,932,462; U.S. Pat. No. 5,342,940; U.S. Pat. No. 5,643,575; U.S. Pat. No. 5,919,455; U.S. Pat. No. 6,113,906; U.S. Pat. No. 5,183,660; WO 02/09766; Kodera Y., Bioconjugate Chemistry 5: 283-288 (1994); and Yamasaki et al, Agric. Biol. Chem., 52: 2125-2127, 1998. Additional useful branched polymer species are set forth herein.
[0092] In a preferred embodiment the molecular weight of each poly(ethylene glycol) of the branched PEG is equal to or greater than about 2,000, 5,000, 10,000, 15,000, 20,000, 40,000, 50,000 and 60,000 daltons.
[0093] In addition to providing conjugates that are formed through an enzymatically added glycosyl linking group, the present invention provides conjugates that are highly homogenous in their substitution patterns. Using the methods of the invention, it is possible to form peptide conjugates in which essentially all of the modified sugar moieties across a population of conjugates of the invention are attached to multiple copies of a structurally identical amino acid or glycosyl residue. Thus, in a second aspect, the invention provides a peptide conjugate having a population of water-soluble polymer moieties, which are covalently bound to the peptide through an intact glycosyl linking group. In a preferred conjugate of the invention, essentially each member of the population is bound via the glycosyl linking group to a glycosyl residue of the peptide, and each glycosyl residue of the peptide to which the glycosyl linking group is attached has the same structure.
[0094] Also provided is a peptide conjugate having a population of water-soluble polymer moieties covalently bound thereto through a glycosyl linking group. In a preferred embodiment, essentially every member of the population of water soluble polymer moieties is bound to an amino acid residue of the peptide via a glycosyl linking group, and each amino acid residue having a glycosyl linking group attached thereto has the same structure.
[0095] The present invention also provides conjugates analogous to those described above in which the peptide is conjugated to a therapeutic moiety, diagnostic moiety, targeting moiety, toxin moiety or the like via an intact glycosyl linking group. Each of the above-recited moieties can be a small molecule, natural polymer (e.g., polypeptide) or synthetic polymer. The peptides of the invention include at least one N-, or O-linked glycosylation site, which is glycosylated with a glycosyl residue that includes a PEG moiety. The PEG is covalently attached to the Factor IX peptide via an intact glycosyl linking group. The glycosyl linking group is covalently attached to either an amino acid residue or a glycosyl residue of the Facot IX peptide. Alternatively, the glycosyl linking group is attached to one or more glycosyl units of a glycopeptide. The invention also provides conjugates in which the glycosyl linking group is attached to both an amino acid residue and a glycosyl residue.
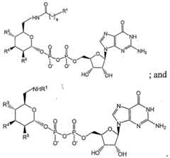
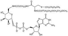
[0096] In an exemplary embodiment, the Factor IX peptide comprises a moiety having the formula:
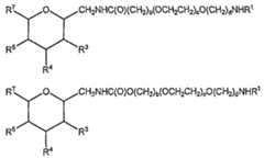
[0097] In the formula above, D is a member selected from -OH and R^L-HN-; G is a member selected from R^L- and -C(O)(C1-C6)alkyl; R1 is a moiety comprising a member selected a moiety comprising a straight-chain or branched poly(ethylene glycol) residue; and L is a linker which is a member selected from a bond, substituted or unsubstituted alkyl and substituted or unsubstituted heteroalkyl,such that when D is OH, G is R^L-, and when G is C(O)(C,-C6)alkyl, D is R'-L-NH-.
[0100] In one embodiment, a R -L has the formula:
 wherein a is an integer from 0 to 20.
[0101] In an exemplary embodiment, R1 has a structure that is a member selected from:
wherein e and f are integers independently selected from 1 to 2500; and q is an integer from 1 to 20. In other embodiments R1 has a structure that is a member selected from:
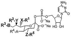
 wherein e, f and f are integers independently selected from 1 to 2500; and q and q' are integers independently selected from 1 to 20.
[0102] In still another embodiment, the invention provides a Factor IX peptide conjugate wherein R
1 has a structure that is a member selected from:
 wherein e, f and f are integers independently selected from 1 to 2500; and q, q' and q"are integers independently selected from 1 to 20.
[0103] In other embodiments, R1 has a structure that is a member selected from: ξ— C(0)CH2CH2(OCH2CH2)eOCH3 ; and — C(0)OCH2CH2(OCH2CH2)fOCH3 wherein e and f are integers independently selected from 1 to 2500.
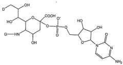
[0104] In another exemplary embodiment, the invention provides a peptide comprising a moiety having the formula:
 The Gal can be attached to an amino acid or to a glycosyl residue that is directly or indirectly (e.g., through a glycosyl residue) attached to an amino acid.
[0105] In other embodiments, the moiety has the formula:
The Gal can be attached to an amino acid or to a glycosyl residue that is directly or indirectly (e.g., through a glycosyl residue) attached to an amino acid.
[0106] In an exemplary embodiment, this structure is associated with glycoPEGylation of an O-glycosylation site on Factor IX (FIG. 2B).
[0107] In a still further exemplary embodiment the peptide comprises a moiety according to the formula
 wherein AA is an amino acid residue of said peptide and, in each of the above structures, D and G are as described herein.
[0108] Exemplary amino acid residues of the peptide at which one or more of the above species can be conjugated include serine and threonine, e.g., serine 53 or 61 or threonine 159, 162 or 172 of SEQ. ID. NO: 1.
[0109] In another exemplary embodiment, the invention provides a Factor IX conjugate that includes a glycosyl residue having the formula:
[0110] wherein a, b, c, d, i, r, s, t, and u are integers independently selected from 0 and 1. The index q is 1. The indices e, f, g, and h are independently selected from the integers from 0 to 6. The indices j, k, 1, and m are independently selected from the integers from 0 and 100. The indices v, w, x, and y are independently selected from 0 and 1, and at least one of v, w, x and y is 1. The symbol AA represents an amino acid residue of the Factor IX peptide.
[0111] The symbol Sia-(R) represents a group that has the formula:
 wherein D is selected from -OH and R^L-HN-. The symbol G is represents R^L- or
-C(O)(C1-C6)alkyl. R1 represents a moiety that includes a straight-chain or branched poly(ethylene glycol) residue. L is a linker which is a member selected from a bond, substituted or unsubstituted alkyl and substituted or unsubstituted heteroalkyl. In general, when D is OH, G is R^L-, and when G is -C(O)(C1-C6)alkyl, D is R!-L-NH-.
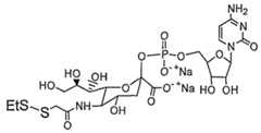
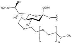
[0112] In another exemplary embodiment, the PEG-modified sialic acid moiety in the conjugate of the invention has the formula:
 in which the index "s" represents an integer from 0 to 20, and n is an integer from 1 to2500. In a selected embodiment, s is 1, and the PEG is approximately 20 kD.
[0113] In a still further exemplary embodiment, the PEG-modified sialic acid in has the formula:
 in which L is a substituted or unsubstituted alkyl or substituted or unsubstituted heteroalkyl linker moiety joining the sialic acid moiety and the PEG moiety.
[0114] In an exemplary embodiment, in which the glycosyl residue has the structure set forth above, it is conjugated to one or both Asn 157 and Asn 167.
[0115] Factor IX has been cloned and sequenced. Essentially any Factor IX peptide having any sequence is of use as the Factor IX peptide component of the conjugates of the present invention. In an exemplary embodiment, the peptide has the sequence presented herein as SEQ ID NO: 1 :
YNSGKLEEFVQGNLERECMEEKCSFEEAREVFENTERTTEFWKQYVDGDQCESNPC LNGGSCKDDINSYECWCPFGFEGKNCELDVTCNIKNGRCEQFCKNSADNKVVCSCT EGYRLAENQKSCEPAVPFPCGRVSVSQTSKLTRAEAVFPDVDYVNSTEAETILDNITQ STQSFNDFTRVVGGEDAKPGQFPWQVVLNGKVDAFCGGSIVNEKWIVTAAHCVETG VKITVVAGEHNIEETEHTEQKRNVIRIIPHHNYNAAINKYNHDIALLELDEPLVLNSYV TPICIADKEYTNIFLKFGSGYVSGWGRVFHKGRS ALVLQ YLRVPLVDRATCLRSTKFT IYNNMFCAGFHEGGRDSCQGDSGGPHVTEVEGTSFLTGIISWGEECAMKGKYGIYTK VSRYVNWIKEKTKLT.
[0116] The present invention is in no way limited to the sequence set forth herein. Factor IX variants are well known in the art, as described in, for example, U.S. Patent Nos. 4,770,999, 5,521,070 in which a tyrosine is replaced by an alanine in the first position, U.S. Patent No. 6,037,452, in which Factor XI is linked to an alkylene oxide group, and U.S. Patent No. 6,046,380, in which the DNA encoding Factor IX is modified in at least one splice site. As demonstrated herein, variants of Factor IX are well known in the art, and the present disclosure encompasses those variants known or to be developed or discovered in the future.
[0117] Methods for determining the activity of a mutant or modified Factor IX can be carried out using the methods described in the art, such as a one stage activated partial thromboplastin time assay as described in, for example, Biggs (1972, Human Blood Coagulation Haemostasis and Thrombosis (Ed. 1), Oxford, Blackwell, Scientific, pg. 614). Briefly, to assay the biological activity of a Factor IX molecule developed according to the methods of the present invention, the assay can be performed with equal volumes of activated partial thromboplastin reagent, Factor IX deficient plasma isolated from a patient with hemophilia B using sterile phlebotomy techniques well known in the art, and normal pooled plasma as standard, or the sample. In this assay, one unit of activity is defined as that amount present in one milliliter of normal pooled plasma. Further, an assay for biological activity based on the ability of Factor IX to reduce the clotting time of plasma from Factor IX-deficient patients to normal can be performed as described in, for example, Proctor and Rapaport (Amer. J. Clin. Path. 36: 212 (1961).
[0118] The peptides of the invention include at least one N-linked or O-linked glycosylation site, at least one of which is conjugated to a glycosyl residue that includes a PEG moiety. The PEG is covalently attached to the peptide via an intact glycosyl linking group. The glycosyl linking group is covalently attached to either an amino acid residue or a glycosyl residue of the peptide. Alternatively, the glycosyl linking group is attached to one or more glycosyl units of a glycopeptide. The invention also provides conjugates in which the glycosyl linking group is attached to both an amino acid residue and a glycosyl residue.
[0119] The PEG moiety is attached to an intact glycosyl linker directly, or via a non- glycosyl linker, e.g., substituted or unsubstituted alkyl, substituted or unsubstituted heteroalkyl.
Modified Sugars
[0120] The present invention uses modified sugars and modified sugar nucleotides to form conjugates of the modified sugars. In modified sugar compounds of the invention, the sugar moiety is preferably a saccharide, a deoxy-saccharide, an amino-saccharide, or an N-acyl saccharide. The term "saccharide" and its equivalents, "saccharyl," "sugar," and "glycosyl" refer to monomers, dimers, oligomers and polymers. The sugar moiety is also functionalized with a modifying group. The modifying group is conjugated to the sugar moiety, typically, through conjugation with an amine, sulfhydryl or hydroxyl, e.g., primary hydroxyl, moiety on the sugar. In an exemplary embodiment, the modifying group is attached through an amine moiety on the sugar, e.g., through an amide, a urethane or a urea that is formed through the reaction of the amine with a reactive derivative of the modifying group.
[0121] Any sugar can be utilized as the sugar core of the conjugates of the invention. Exemplary sugar cores that are useful in forming the compositions of the invention include, but are not limited to, glucose, galactose, mannose, fucose, and sialic acid. Other useful sugars include amino sugars such as glucosamine, galactosamine, mannosamine, the 5-amine analogue of sialic acid and the like. The sugar core can be a structure found in nature or it can be modified to provide a site for conjugating the modifying group. For example, in one embodiment, the invention provides a sialic acid derivative in which the 9-hydroxy moiety is replaced with an amine. The amine is readily derivatized with an activated analogue of a selected modifying group.
[0122] In an exemplary embodiment, the invention utilizes a modified sugar amine that has the formula:
 in which G is a glycosyl moiety, L is a bond or a linker and R
1 is the modifying group. Exemplary bonds are those that are formed between an NH on the glycosyl moiety and a group of complementary reactivity on the modifying group. Thus, exemplary bonds include, but are not limited to NHR
1, OR
1, SR
1 and the like. For example, when R
1 includes a carboxylic acid moiety, this moiety may be activated and coupled with an NH
2 moiety on the glycosyl residue affording a bond having the structure NHC(O)R
1. Similarly, the OH and SH groups can be converted to the corresponding ether or thioether derivatives, respectively.
[0123] Exemplary linkers include alkyl and heteroalkyl moieties. The linkers include linking groups, for example acyl-based linking groups, e.g., -C(O)NH-, -OC(O)NH-, and the like. The linking groups are bonds formed between components of the species of the invention, e.g., between the glycosyl moiety and the linker (L), or between the linker and the modifying group (R1). Other linking groups are ethers, thioethers and amines. For example, in one embodiment, the linker is an amino acid residue, such as a glycine residue. The carboxylic acid moiety of the glycine is converted to the corresponding amide by reaction with an amine on the glycosyl residue, and the amine of the glycine is converted to the corresponding amide or urethane by reaction with an activated carboxylic acid or carbonate of the modifying group.
[0124] Another exemplary linker is a PEG moiety or a PEG moiety that is functionalized with an amino acid residue. The PEG is to the glycosyl group through the amino acid residue at one PEG terminus and bound to R1 through the other PEG terminus. Alternatively, the amino acid residue is bound to R1 and the PEG terminus not bound to the amino acid is bound to the glycosyl group.
[0125] An exemplary species for NH-L-R1 has the formula:
-NH{C(O)(CH2)aNH}s{C(O)(CH2)b(OCH2CH2)cO(CH2)dNH}tRI, in which the indices s and t are independently 0 or 1. The indices a, b and d are independently integers from 0 to 20, and c is an integer from 1 to 2500. Other similar linkers are based on species in which the -NH moiety is replaced by another group, for example, -S, -O or -CH2.
[0126] ^ More particularly, the invention utilizes compounds in which NH-L-R1 is: NHC(O)(CH2)aNHC(O)(CH2)b(OCH2CH2)cO(CH2)dNHR1, NHC(O)(CH2)b(OCH2CH2)cO(CH2)dNHR1, NHC(O)O(CH2)b(OCH2CH2)cO(CH2)dNHR1, NH(CH2)aNHC(O)(CH2)b(OCH2CH2)cO(CH2)dNHR1, NHC(O)(CH2)aNHR1, NH(CH )aNHR1, and NHR1. In these formulae, the indices a, b and d are independently selected from the integers from 0 to 20, preferably from 1 to 5. The index c is an integer from 1 to 2500.
[0127] In the discussion that follows the invention is illustrated by reference to the use of selected derivatives of sialic acid. Those of skill in the art will recognize that the focus of the discussion is for clarity of illustration and that the structures and compositions set forth are generally applicable across the genus of saccharide groups, modified saccharide groups, activated modified saccharide groups and conjugates of modified saccharide groups.
[0128] In an illustrative embodiment, G is sialic acid and selected compounds of use in the invention have the formulae:
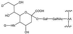
[0129] As those of skill in the art will appreciate, the sialic acid moiety in the exemplary compounds above can be replaced with any other amino-saccharide including, but not limited to, glucosamine, galactosamine, mannosamine, their N-acetyl derivatives, and the like.
[0130] In another illustrative embodiment, a primary hydroxyl moiety of the sugar is functionalized with the modifying group. For example, the 9-hydroxyl of sialic acid can be converted to the corresponding amine and functionalized to provide a compound according to the invention. Formulae according to this embodiment include:
[0131] In a further exemplary embodiment, the invention utilizes modified sugars in which the 6-hydroxyl position is converted to the corresponding amine moiety, which bears a linker- modifying group cassette such as those set forth above. Exemplary saccharyl groups that can be used as the core of these modified sugars include Gal, GalNAc, Glc, GlcNAc, Fuc, Xyl, Man, and the like. A representative modified sugar according to this embodiment has the formula:
 in which R
3-R
5 and R
7 are members independently selected from H, OH, C(O)CH
3, NH, and NH C(O)CH
3. R
6 is OR
1, NHR
1 or NH-L-R
1, which is as described above. [0132] Selected conjugates of use in the invention are based on mannose, galactose or glucose, or on species having the stereochemistry of mannose, galactose or glucose. The general formulae of these conjugates are:
[0133] In another exemplary embodiment, the invention utilizes compounds as set forth above that are activated as the corresponding nucleotide sugars. Exemplary sugar nucleotides that are used in the present invention in their modified form include nucleotide mono-, di- or triphosphates or analogs thereof. In a preferred embodiment, the modified sugar nucleotide is selected from a UDP-glycoside, CMP-glycoside, or a GDP-glycoside. Even more preferably, the sugar nucleotide portion of the modified sugar nucleotide is selected from UDP-galactose, UDP-galactosamine, UDP-glucose, UDP-glucosamine, GDP-mamiose, GDP-fucose, CMP- sialic acid, or CMP -NeuAc. In an exemplary embodiment, the nucleotide phosphate is attached to C-l.
[0134] Thus, in an illustrative embodiment in which the glycosyl moiety is sialic acid, the invention utilizes compounds having the formulae:
 in which L-R
1 is as discussed above, and L^R
1 represents a linker bound to the modifying group. As with L, exemplary linker species according to L
1 include a bond, alkyl or heteroalkyl moieties. Exemplary modified sugar nucleotide compounds according to these embodiments are set forth in FIG. 7 and FIG. 8. [0135] In another exemplary embodiment, the invention provides a conjugate formed between a modified sugar of the invention and a substrate Factor IX peptide. In this embodiment, the sugar moiety of the modified sugar becomes a glycosyl linking group interposed between the substrate and the modifying group. An exemplary glycosyl linking group is an intact glycosyl linking group, in which the glycosyl moiety or moieties forming the linking group are not degraded by chemical (e.g., sodium metaperiodate) or enzymatic processes (e.g., oxidase). Selected conjugates of the invention include a modifying group that is attached to the amine moiety of an amino-saccharide, e.g., mannosamine, glucosamine, galactosamine, sialic acid etc. Exemplary modifying group-intact glycosyl linking group cassettes according to this motif are based on a sialic acid structure, such as those having the formulae:
[0136] In the formulae above, R1 and L1 are as described above.
[0137] In still a further exemplary embodiment, the conjugate is formed between a substrate Factor IX and a saccharyl moiety in which the modifying group is attached through a linker at the 6-carbon position of the saccharyl moiety. Thus, illustrative conjugates according to this embodiment have the formulae:
 in which the radicals are as discussed above. Those of skill will appreciate that the modified saccharyl moieties set forth above can also be conjugated to a substrate through an oxygen or nitrogen atom at the 2, 3, 4, or 5 carbon atoms.
[0138] Illustrative compounds of use in this embodiment include compounds having the formulae:
 in which the R groups and the indices are as described above.
[0139] The invention also provides for the use of sugar nucleotides modified with L-R1 at the 6-carbon position. Exemplary species according to this embodiment include:
 in which the R groups, and L, represent moieties as discussed above. The index "y" is 0, 1 or 2.
[0140] A further exemplary nucleotide sugar of use in the invention is based on a species having the stereochemistry of GDP mannose. Exemplary species according to this embodiment have the structure:
[0141] In a still further exemplary embodiment, the invention provides a conjugate in which the modified sugar is based on the stereochemistry of UDP galactose. An exemplary nucleotide sugar of use in this invention has the structure:
[0142] In another exemplary embodiment, the nucleotide sugar is based on the stereochemistry of glucose. Exemplary species according to this embodiment have the formulae:
[0143] The modifying group, R1, is any of a number of species including, but not limited to, water-soluble polymers, water-insoluble polymers, therapeutic agents, diagnostic agents and the like. The nature of exemplary modifying groups is discussed in greater detail hereinbelow.
Modifying Groups
Water-Soluble Polymers
[0144] Many water-soluble polymers are known to those of skill in the art and are useful in practicing the present invention. The term water-soluble polymer encompasses species such as saccharides (e.g., dextran, amylose, hyalouronic acid, poly(sialic acid), heparans, heparins, etc.); poly (amino acids), e.g., poly(aspartic acid) and poly(glutamic acid); nucleic acids; synthetic polymers (e.g., poly(acrylic acid), poly(ethers), e.g., poly(ethylene glycol); peptides, proteins, and the like. The present invention may be practiced with any water- soluble polymer with the sole limitation that the polymer must include a point at which the remainder of the conjugate can be attached.
[0145] Methods for activation of polymers can also be found in WO 94/17039, U.S. Pat. No. 5,324,844, WO 94/18247, WO 94/04193, U.S. Pat. No. 5,219,564, U.S. Pat. No. 5,122,614, WO 90/13540, U.S. Pat. No. 5,281,698, and more WO 93/15189, and for conjugation between activated polymers and peptides, e.g. Coagulation Factor VIII (WO 94/15625), hemoglobin (WO 94/09027), oxygen carrying molecule (U.S. Pat. No. 4,412,989), ribonuclease and superoxide dismutase (Veronese at al, App. Biochem. Biotech. 11: 141-45 (1985)). [0146] Preferred water-soluble polymers are those in which a substantial proportion of the polymer molecules in a sample of the polymer are of approximately the same molecular weight; such polymers are "homodisperse."
[0147] The present invention is further illustrated by reference to a poly(ethylene glycol) conjugate. Several reviews and monographs on the functionalization and conjugation of PEG are available. See, for example, Harris, Macronol. Chem. Phys. C25: 325-373 (1985); Scouten, Methods in Enzymology 135: 30-65 (1987); Wong et al, Enzyme Microh. Technol 14: 866-874 (1992); JDelgado etal, Critical Reviews in Therapeutic Drug Carrier Systems 9: 249-304 (1992); Zalipsky, Bioconjugate Chem. 6: 150-165 (1995); and Bhadra, et al, Pharmazie, 57:5-29 (2002). Routes for preparing reactive PEG molecules and forming conjugates using the reactive molecules are known in the art. For example, U.S. Patent No. 5,672,662 discloses a water soluble and isolatable conjugate of an active ester of a polymer acid selected from linear or branched poly(alkylene oxides), poly(oxyethylated polyols), poly(olefinic alcohols), and poly(acrylomorpholine).
[0148] U.S. Patent No. 6,376,604 sets forth a method for preparing a water-soluble
1 -benzotriazolylcarbonate ester of a water-soluble and non-peptidic polymer by reacting a terminal hydroxyl of the polymer with di(l-benzotriazoyl)carbonate in an organic solvent. The active ester is used to form conjugates with a biologically active agent such as a protein or peptide.
[0149] WO 99/45964 describes a conjugate comprising a biologically active agent and an activated water soluble polymer comprising a polymer backbone having at least one terminus linked to the polymer backbone through a stable linkage, wherein at least one terminus comprises a branching moiety having proximal reactive groups linked to the branching moiety, in which the biologically active agent is linked to at least one of the proximal reactive groups. Other branched poly(ethylene glycols) are described in WO 96/21469, U.S. Patent No. 5,932,462 describes a conjugate formed with a branched PEG molecule that includes a branched terminus that includes reactive functional groups. The free reactive groups are available to react with a biologically active species, such as a protein or peptide, forming conjugates between the poly(ethylene glycol) and the biologically active species. U.S. Patent No. 5,446,090 describes a bifunctional PEG linker and its use in forming conjugates having a peptide at each of the PEG linker termini. [0150] Conjugates that include degradable PEG linkages are described in WO 99/34833; and WO 99/14259, as well as in U.S. Patent No. 6,348,558. Such degradable linkages are applicable in the present invention.
[0151] The art-recognized methods of polymer activation set forth above are of use in the context of the present invention in the formation of the branched polymers set forth herein and also for the conjugation of these branched polymers to other species, e.g., sugars, sugar nucleotides and the like.
[0152] Exemplary poly(ethylene glycol) molecules of use in the invention include, but are not limited to, those having the foπnula:
in which R8 is H, OH, NH2, substituted or unsubstituted alkyl, substituted or unsubstituted aryl, substituted or unsubstituted heteroaryl, substituted or unsubstituted heterocycloalkyl, substituted or unsubstituted heteroalkyl, e.g., acetal, OHC-, H2N-(CH2)q-, HS-(CH2)q, or -(CH2)qC(Y)Z\ The index "e" represents an integer from 1 to 2500. The indices b, d, and q independently represent integers from 0 to 20. The symbols Z and Z1 independently represent OH, NH2, leaving groups, e.g., imidazole, p-nitrophenyl, HOBT, tetrazole, halide, S-R9, the alcohol portion of activated esters; -(CH2)PC(Y1)V, or -(CH2)PU(CH2)SC(Y1)V. The symbol Y represents H(2), =0, =S, =N-R10. The symbols X, Y, Y1, A1, and U independently represent the moieties O, S, N-R11. The symbol V represents OH, NH2, halogen, S-R12, the alcohol component of activated esters, the amine component of activated amides, sugar- nucleotides, and proteins. The indices p, q, s and v are members independently selected from the integers from 0 to 20. The symbols R9, R10, R11 and R12 independently represent H, substituted or unsubstituted alkyl, substituted or unsubstituted heteroalkyl, substituted or unsubstituted aryl, substituted or unsubstituted heterocycloalkyl and substituted or unsubstituted heteroaryl.
[0153] In other exemplary embodiments, the poly(ethylene glycol) molecule is selected from the following:
 [0154] The poly(ethylene glycol) useful in forming the conjugate of the invention is either linear or branched. Branched poly(ethylene glycol) molecules suitable for use in the invention include, but are not limited to, those described by the following formula:
 in which R
8 and R
8 are members independently selected from the groups defined for R
8, above. A
1 and A
2 are members independently selected from the groups defined for A
1, above. The indices e, f, o, and q are as described above. Z and Y are as described above. X
1 and X
1' are members independently selected from S, SC(O)NH, HNC(O)S, SC(O)O, O, NH, NHC(O), (O)CNH and NHC(O)O, OC(O)NH.
[0155] In other exemplary embodiments, the branched PEG is based upon a cysteine, serine or di-lysine core. Thus, further exemplary branched PEGs include:
[0156] In yet another embodiment, the branched PEG moiety is based upon a tri-lysine peptide. The tri-lysine can be mono-, di-, tri-, or tetra-PEG-ylated. Exemplary species according to this embodiment have the formulae:
 in which e, f and f are independently selected integers from 1 to 2500; and q, q' and q" are independently selected integers from 1 to 20.
[0157] In exemplary embodiments of the invention, the PEG is m-PEG (5 kD, 10 kD, 15kD, 20kD or 30 kD). An exemplary branched PEG species is a serine- or cysteine-(m- PEG)2 in which the m-PEG is a 20 kD m-PEG.
[0158] As will be apparent to those of skill, the branched polymers of use in the invention include variations on the themes set forth above. For example the di-lysine-PEG conjugate shown above can include three polymeric subunits, the third bonded to the α-amine shown as unmodified in the structure above. Similarly, the use of a tri-lysine functionalized with three or four polymeric subunits is within the scope of the invention.
[0159] Additional exemplary species of use in the invention include:
 and carbonates and active esters of these species, such as:
 [0160] Other activating, or leaving groups, appropriate for activating linear PEGs of use in preparing the compounds set forth herein include, but are not limited to the species:
[0161] PEG molecules that are activated with these and other species and methods of making the activated PEGs are set forth in WO 04/083259.
[0162] Those of skill in the art will appreciate that one or more of the m-PEG arms of the branched polymer can be replaced by a PEG moiety with a different terminus, e.g., OH, COOH, NH2, C2-C10-aιkyl, etc. Moreover, the structures above are readily modified by inserting alkyl linkers (or removing carbon atoms) between the α-carbon atom and the functional group of the side chain of the "amino acid". Thus, "homo" derivatives and higher homologues, as well as lower homologues are useful "amino acid" cores for branched PEGs of use in the present invention.
[0163] The branched PEG species set forth herein are readily prepared by methods such as that set forth in the scheme below:
 in which X
a is O or S and r is an integer from 1 to 5. The indices e and f are independently selected integers from 1 to 2500.
[0164] Thus, according to this scheme, a natural or unnatural amino acid is contacted with an activated m-PEG derivative, in this case the tosylate, forming 1 by alkylating the side- chain heteroatom X\ The mono-fiinctionalized m-PEG amino acid is submitted to N- acylation conditions with a reactive m-PEG derivative, thereby assembling branched m-PEG 2. As one of skill will appreciate, the tosylate leaving group can be replaced with any suitable leaving group, e.g., halogen, mesylate, triflate, etc. Similarly, the reactive carbonate utilized to acylate the amine can be replaced with an active ester, e.g., N- hydroxysuccinimide, etc., or the acid can be activated in situ using a dehydrating agent such as dicyclohexylcarbodiimide, carbonyldiimidazole, etc.
[0165] In an exemplary embodiment, the modifying group is a PEG moiety, however, any modifying group, e.g., water-soluble polymer, water-insoluble polymer, therapeutic moiety, etc., can be incorporated in a glycosyl moiety through an appropriate linkage. The modified sugar is formed by enzymatic means, chemical means or a combination thereof, thereby producing a modified sugar. In an exemplary embodiment, the sugars are substituted with an active amine at any position that allows for the attachment of the modifying moiety, yet still allows the sugar to function as a substrate for an enzyme capable of coupling the modified sugar to the peptide. In an exemplary embodiment, when galactosamine is the modified sugar, the amine moiety is attached to the carbon atom at the 6-position.
Water-soluble Polymer Modified Species [0166] Water-soluble polymer modified nucleotide sugar species in which the sugar moiety is modified with a water-soluble polymer are of use in the present invention. An exemplary modified sugar nucleotide bears a sugar group that is modified through an amine moiety on the sugar. Modified sugar nucleotides, e.g., saccharyl-amine derivatives of a sugar nucleotide, are also of use in the methods of the invention. For example, a saccharyl amine (without the modifying group) can be enzymatically conjugated to a peptide (or other species) and the free saccharyl amine moiety subsequently conjugated to a desired modifying group. Alternatively, the modified sugar nucleotide. can function as a substrate for an enzyme that transfers the modified sugar to a saccharyl acceptor on a substrate, e.g., a peptide, glycopeptide, lipid, aglycone, glycolipid, etc.
[0167] In one embodiment in which the saccharide core is galactose or glucose, R5 is NHC(O)Y.
[0168] In an exemplary embodiment, the modified sugar is based upon a 6-amino-N- acetyl-glycosyl moiety. As shown below for N-acetylgalactosamine, the 6-amino-sugar moiety is readily prepared by standard methods.
 a. galactose oxidase ; NH
4OA0, NaBH
3CN ; b.
[0169] In the scheme above, the index n represents an integer from 1 to 2500, preferably from 10 to 1500, and more preferably from 10 to 1200. The symbol "A" represents an activating group, e.g., a halo, a component of an activated ester (e.g., a N- hydroxysuccinimide ester), a component of a carbonate (e.g., p-nitrophenyl carbonate) and the like. Those of skill in the art will appreciate that other PEG-amide nucleotide sugars are readily prepared by this and analogous methods.
[0170] In other exemplary embodiments, the amide moiety is replaced by a group such as a urethane or a urea.
[0171] In still further embodiments, R1 is a branched PEG, for example, one of those species set forth above. Illustrative compounds according to this embodiment include:
 in which X is a bond or O.
[0172] Moreover, as discussed above, the present invention provides nucleotide sugars that are modified with a water-soluble polymer, which is either straight-chain or branched. For example, compounds having the formula shown below are within the scope of the present invention:
 in which X is O or a bond.
[0173] Similarly, the invention provides nucleotide sugars of those modified sugar species in which the carbon at the 6-position is modified:
 in which X
4 is a bond or O.
[0174] Also provided are conjugates of peptides and glycopeptides, lipids and glycolipids that include the compositions of the invention. For example, the invention provides conjugates having the following formulae:
Water-insoluble Polymers
[0175] In another embodiment, analogous to those discussed above, the modified sugars include a water-insoluble polymer, rather than a water-soluble polymer. The conjugates of the invention may also include one or more water-insoluble polymers. This embodiment of the invention is illustrated by the use of the conjugate as a vehicle with which to deliver a therapeutic peptide in a controlled manner. Polymeric drug delivery systems are known in the art. See, for example, Dunn et al, Eds. POLYMERIC DRUGS AND DRUG DELIVERY SYSTEMS, ACS Symposium Series Vol. 469, American Chemical Society, Washington, D.C. 1991. Those of skill in the art will appreciate that substantially any known drug delivery system is applicable to the conjugates of the present invention.
[0176] Representative water-insoluble polymers include, but are not limited to, polyphosphazines, poly( vinyl alcohols), polyamides, polycarbonates, polyalkylenes, polyacrylamides, polyalkylene glycols, polyalkylene oxides, polyalkylene terephthalates, polyvinyl ethers, polyvinyl esters, polyvinyl halides, polyvinylpyrrolidone, polyglycohdes, polysiloxanes, polyurethanes, poly(methyl methacrylate), poly(ethyl methacrylate), poly(butyl methacrylate), poly(isobutyl methacrylate), poly(hexyl methacrylate), poly(isodecyl methacrylate), poly(lauryl methacrylate), poly(phenyl methacrylate), poly(methyl acrylate), poly(isopropyl acrylate), poly(isobutyl acrylate), poly(octadecyl acrylate) polyethylene, polypropylene, poly(ethylene glycol), poly(ethylene oxide), poly (ethylene terephthalate), poly(vinyl acetate), polyvinyl chloride, polystyrene, polyvinyl pyrrolidone, pluronics and polyvinylphenol and copolymers thereof.
[0177] Synthetically modified natural polymers of use in conjugates of the invention include, but are not limited to, alkyl celluloses, hydroxyalkyl celluloses, cellulose ethers, cellulose esters, and nitrocelluloses. Particularly preferred members of the broad classes of synthetically modified natural polymers include, but are not limited to, methyl cellulose, ethyl cellulose, hydroxypropyl cellulose, hydroxypropyl methyl cellulose, hydroxybutyl methyl cellulose, cellulose acetate, cellulose propionate, cellulose acetate butyrate, cellulose acetate phthalate, carboxymethyl cellulose, cellulose triacetate, cellulose sulfate sodium salt, and polymers of acrylic and methacrylic esters and alginic acid.
[0178] These and the other polymers discussed herein can be readily obtained from commercial sources such as Sigma Chemical Co. (St. Louis, MO.), Polysciences (Warrenton, PA.), Aldrich (Milwaukee, WL), Fluka (Ronkonkoma, NY), and BioRad (Richmond, CA), or else synthesized from monomers obtained from these suppliers using standard techniques.
[0179] Representative biodegradable polymers of use in the conjugates of the invention include, but are not limited to, polylactides, polyglycohdes and copolymers thereof, poly(ethylene terephthalate), poly(butyric acid), poly(valeric acid), poly(lactide-co- caprolactone), poly(lactide-co-glycolide), polyanhydrides, polyorthoesters, blends and copolymers thereof. Of particular use are compositions that form gels, such as those including collagen, pluronics and the like.
[0180] The polymers of use in the invention include "hybrid' polymers that include water- insoluble materials having within at least a portion of their structure, a bioresorbable molecule. An example of such a polymer is one that includes a water-insoluble copolymer, which has a bioresorbable region, a hydrophilic region and a plurality of crosslinkable functional groups per polymer chain.
[0181] For purposes of the present invention, "water-insoluble materials" includes materials that are substantially insoluble in water or water-containing environments. Thus, although certain regions or segments of the copolymer may be hydrophilic or even water- soluble, the polymer molecule, as a whole, does not to any substantial measure dissolve in water.
[0182] For purposes of the present invention, the term "bioresorbable molecule" includes a region that is capable of being metabolized or broken down and resorbed and/or eliminated through normal excretory routes by the body. Such metabolites or break down products are preferably substantially non-toxic to the body.
[0183] The bioresorbable region may be either hydrophobic or hydrophilic, so long as the copolymer composition as a whole is not rendered water-soluble. Thus, the bioresorbable region is selected based on the preference that the polymer, as a whole, remains water- insoluble. Accordingly, the relative properties, i.e., the kinds of functional groups contained by, and the relative proportions of the bioresorbable region, and the hydrophilic region are selected to ensure that useful bioresorbable compositions remain water-insoluble.
[0184] Exemplary resorbable polymers include, for example, synthetically produced resorbable block copolymers of poly(α-hydroxy-carboxylic acid)/poly(oxyalkylene, (see, Cohn et al, U.S. Patent No. 4,826,945). These copolymers are not crosslinked and are water- soluble so that the body can excrete the degraded block copolymer compositions. See, Younes et al, JBiomed. Mater. Res. 21: 1301-1316 (1987); and Cohn et al, JBiomed. Mater. Res. 22: 993-1009 (1988).
[0185] Presently preferred bioresorbable polymers include one or more components selected from poly(esters), poly(hydroxy acids), poly(lactones), poly(amides), polyester- amides), poly (amino acids), poly(anhydrides), poly(orthoesters), poly(carbonates), poly(phosphazines), poly(phosphoesters), poly(thioesters), polysaccharides and mixtures thereof. More preferably still, the bioresorbable polymer includes a poly(hydroxy) acid component. Of the poly(hydroxy) acids, polylactic acid, polyglycolic acid, polycaproic acid, polybutyric acid, polyvaleric acid and copolymers and mixtures thereof are preferred.
[0186] In addition to forming fragments that are absorbed in vivo ("bioresorbed"), preferred polymeric coatings for use in the methods of the invention can also form an excretable and/or metabolizable fragment.
[0187] Higher order copolymers can also be used in the present invention. For example, Casey et al., U.S. Patent No. 4,438,253, which issued on March 20, 1984, discloses tri-block copolymers produced from the transesterification of poly(glycolic acid) and an hydroxyl- ended poly(alkylene glycol). Such compositions are disclosed for use as resorbable monofilament sutures. The flexibility of such compositions is controlled by the incorporation of an aromatic orthocarbonate, such as tetra-p-tolyl orthocarbonate into the copolymer structure.
[0188] Other polymers based on lactic and/or gly colic acids can also be utilized. For example, Spinu, U.S. Patent No. 5,202,413, which issued on April 13, 1993, discloses biodegradable multi-block copolymers having sequentially ordered blocks of polylactide and/or polyglycolide produced by ring-opening polymerization of lactide and/or glycolide onto either an oligomeric diol or a diamine residue followed by chain extension with a di- functional compound, such as, a diisocyanate, diacylchloride or dichlorosilane.
[0189] Bioresorbable regions of coatings useful in the present invention can be designed to be hydrolytically and/or enzymatically cleavable. For purposes of the present invention, "hydrolytically cleavable" refers to the susceptibility of the copolymer, especially the bioresorbable region, to hydrolysis in water or a water-containing environment. Similarly, "enzymatically cleavable" as used herein refers to the susceptibility of the copolymer, especially the bioresorbable region, to cleavage by endogenous or exogenous enzymes.
[0190] When placed within the body, the hydrophilic region can be processed into excretable and/or metabolizable fragments. Thus, the hydrophilic region can include, for example, polyethers, polyalkylene oxides, polyols, poly(vinyl pyrrolidine), poly(vinyl alcohol), poly(alkyl oxazolines), polysaccharides, carbohydrates, peptides, proteins and copolymers and mixtures thereof. Furthermore, the hydrophilic region can also be, for example, a poly(alkylene) oxide. Such poly(alkylene) oxides can include, for example, poly(ethylene) oxide, poly(propylene) oxide and mixtures and copolymers thereof.
[0191] Polymers that are components of hydrogels are also useful in the present invention. Hydrogels are polymeric materials that are capable of absorbing relatively large quantities of water. Examples of hydrogel forming compounds include, but are not limited to, polyacrylic acids, sodium carboxymethylcellulose, polyvinyl alcohol, polyvinyl pyrrolidine, gelatin, carrageenan and other polysaccharides, hydroxyethylenemefhacrylic acid (HEMA), as well as derivatives thereof, and the like. Hydrogels can be produced that are stable, biodegradable and bioresorbable. Moreover, hydrogel compositions can include subunits that exhibit one or more of these properties.
[0192] Bio-compatible hydrogel compositions whose integrity can be controlled through crosslinking are known and are presently preferred for use in the methods of the invention. For example, Hubbell et al, U.S. Patent Nos. 5,410,016, which issued on April 25, 1995 and 5,529,914, which issued on June 25, 1996, disclose water-soluble systems, which are crosslinked block copolymers having a water-soluble central block segment sandwiched between two hydrolytically labile extensions. Such copolymers are further end-capped with photopolymerizable acrylate functionalities. When crosslinked, these systems become hydrogels. The water soluble central block of such copolymers can include poly(ethylene glycol); whereas, the hydrolytically labile extensions can be a poly(α-hydroxy acid), such as polyglycolic acid or polylactic acid. See, Sawhney et al, Macromolecules 26: 581-587 (1993).
[0193] In another preferred embodiment, the gel is a thermoreversible gel. Thermoreversible gels including components, such as pluronics, collagen, gelatin, hyalouronic acid, polysaccharides, polyurethane hydrogel, polyurethane-urea hydrogel and combinations thereof are presently preferred.
[0194] In yet another exemplary embodiment, the conjugate of the invention includes a component of a liposome. Liposomes can be prepared according to methods known to those skilled in the art, for example, as described in Eppstein et al., U.S. Patent No. 4,522,811, which issued on June 11, 1985. For example, liposome formulations may be prepared by dissolving appropriate lipid(s) (such as stearoyl phosphatidyl ethanolamine, stearoyl phosphatidyl choline, arachadoyl phosphatidyl choline, and cholesterol) in an inorganic solvent that is then evaporated, leaving behind a thin film of dried lipid on the surface of the container. An aqueous solution of the active compound or its pharmaceutically acceptable salt is then introduced into the container. The container is then swirled by hand to free lipid material from the sides of the container and to disperse lipid aggregates, thereby forming the liposomal suspension.
[0195] The above-recited microparticles and methods of preparing the microparticles are offered by way of example and they are not intended to define the scope of microparticles of use in the present invention. It will be apparent to those of skill in the art that an array of microparticles, fabricated by different methods, are of use in the present invention.
[0196] The structural formats discussed above in the context of the water-soluble polymers, both straight-chain and branched are generally applicable with respect to the water- insoluble polymers as well. Thus, for example, the cysteine, serine, dilysine, and trilysine branching cores can be functionalized with two water-insoluble polymer moieties. The methods used to produce these species are generally closely analogous to those used to produce the water-soluble polymers.
[0197] The degree of PEG substitution of the conjugates can be controlled by choice of stoichiometry, number of available glycosylation sites, selection of an enzyme that is selective for a particular site, and the like (FIG. 2F). The glycoPEGylated Factor IX species display enhanced circulatory half life relative to the unlabeled Factor IX (FIG. 3, FIG. 6).
The Methods
[0198] In addition to the conjugates discussed above, the present invention provides methods for preparing these and other conjugates. Moreover, the invention provides methods of preventing, curing or ameliorating a disease state by administering a conjugate of the invention to a subject at risk of developing the disease or a subject that has the disease.
[0199] Thus, the invention provides a method of forming a covalent conjugate between a selected moiety and a Factor IX peptide.
[0200] In exemplary embodiments, the conjugate is formed between a water-soluble polymer, a therapeutic moiety, targeting moiety or a biomolecule, and a glycosylated or non- glycosylated Factor IX peptide. The polymer, therapeutic moiety or biomolecule is conjugated to the peptide via a glycosyl linking group, which is interposed between, and covalently linked to both the peptide and the modifying group (e.g., water-soluble polymer). The method includes contacting the peptide with a mixture containing a modified sugar and an enzyme, e.g., a glycosyltransferase, that conjugates the modified sugar to the substrate (e.g., peptide, aglycone, glycolipid). The reaction is conducted under conditions appropriate to form a covalent bond between the modified sugar and the Factor IX peptide.
[0201] The acceptor Factor IX peptide is typically synthesized de novo, or recombinantly expressed in a prokaryotic cell (e.g., bacterial cell, such as E. coli) or in a eukaryotic cell such as a mammalian, yeast, insect, fungal or plant cell. The peptide can be either a full-length protein or a fragment. Moreover, the peptide can be a wild type or mutated peptide. In an exemplary embodiment, the peptide includes a mutation that adds or removed one or more N- or O-linked glycosylation sites to the peptide sequence.
[0202] In an exemplary embodiment, Factor IX is O-glycosylated and functionalized with a water-soluble polymer in the following manner. The peptide is either produced with an available amino acid glycosylation site or, if glycosylated, the glycosyl moiety is trimmed off to exposed the amino acid. For example, a serine or threonine is α-1 N-acetyl amino galactosylated (GalNAc) and the NAc-galactosylated peptide is sialylated with a sialic acid- modifying group cassette using ST6GalNAcTl. Alternatively, the NAc-galactosylated peptide is galactosylated using Core-l-GalT-1 and the product is sialylated with a sialic acid- modifying group cassette using ST3GalTl. An exemplary conjugate according to this method has the following linkages: Tbr-α-l-GalNAc-β-l,3-Gal-α2,3-Sia*, in which Sia* is the sialic acid-modifying group cassette.
[0203] In the methods of the invention, such as that set forth above, using multiple enzymes and saccharyl donors, the individual glycosylation steps may be performed separately, or combined in a "single pot" reaction. For example, in the three enzyme reaction set forth above the GalNAc tranferase, GalT and SiaT and their donors may be combined in a single vessel. Alternatively, the GalNAc reaction can be performed alone and both the GalT and SiaT and the appropriate saccharyl donors added as a single step. Another mode of running the reactions involves adding each enzyme and an appropriate donor sequentially and conducting the reaction in a "single pot" motif. Combinations of each of the methods set forth above are of use in preparing the compounds of the invention.
[0204] In the conjugates of the invention, particularly the glycopegylated N-linked glycans, the Sia-modifying group cassette can be linked to the Gal in an α-2,6, or α-2,3 linkage.
[0200] The method of the invention also provides for modification of incompletely glycosylated Factor IX peptides that are produced recombinantly. Employing a modified sugar in a method of the invention, the peptide can be simultaneously further glycosylated and derivatized with, e.g., a water-soluble polymer, therapeutic agent, or the like. The sugar moiety of the modified sugar can be the residue that would properly be conjugated to the acceptor in a fully glycosylated peptide, or another sugar moiety with desirable properties. [0201] Exemplary methods of modifying peptides of use in the present invention are set forth in WO04/099231, WO 03/031464, and the references set forth therein.
[0202] In an exemplary embodiment, the invention provides a method of making a PEG- ylated Factor IX comprising the moiety:
 wherein D is -OH or R^L-HN-. The symbol G represents R
l-L- or -C(O)(d-C
6)alkyl. R
1 is a moiety comprising a a straight-chain or branched poly(ethylene glycol) residue. The symbol L represents a linker selected from a bond, substituted or unsubstituted alkyl and substituted or unsubstituted heteroalkyl. In general, when D is OH, G is R^L-, and when G is -C(O)(C
1-C
6)alkyl, D is R^L-NH-. The method of the invention includes, (a) contacting a substrate Factor IX peptide with a PEG-sialic acid donor and an enzyme that is capable of transferring the PEG-sialic acid moiety from the donor to the substrate Factor IX peptide.
[0203] An exemplary PEG-sialic acid donor is a nucleotide sugar such as that having the formula:
 and an enzyme that transfers the PEG-sialic acid onto an amino acid or glycosyl residue of the Factor IX peptide, under conditions appropriate for the transfer.
[0204] In one embodiment the substrate Factor IX peptide is expressed in a host cell prior to the formation of the conjugate of the invention. An exemplary host cell is a mammalian cell. In other embodiments the host cell is an insect cell, plant cell, a bacteria or a fungi. [0205] The method presented herein is applicable to each of the Factor IX conjugates set forth in the sections above.
[0206] Factor IX peptides modified by the methods of the invention can be synthetic or wild- type peptides or they can be mutated peptides, produced by methods known in the art, such as site-directed mutagenesis. Glycosylation of peptides is typically either N-linked or O-linked. An exemplary N-linkage is the attachment of the modified sugar to the side chain of an asparagine residue. The tripeptide sequences asparagine-X-serine and asparagine-X- threonine, where X is any amino acid except proline, are the recognition sequences for enzymatic attachment of a carbohydrate moiety to the asparagine side chain. Thus, the presence of either of these tripeptide sequences in a polypeptide creates a potential glycosylation site. O-linked glycosylation refers to the attachment of one sugar (e.g., N- acetylgalactosamine, galactose, mannose, GlcNAc, glucose, fucose or xylose) to the hydroxy side chain of a hydroxyamino acid, preferably serine or threonine, although unusual or non- natural amino acids, e.g., 5-hydroxyproline or 5-hydroxylysine may also be used.
[0207] Addition of glycosylation sites to a peptide or other structure is conveniently accomplished by altering the amino acid sequence such that it contains one or more glycosylation sites. The addition may also be made by the incorporation of one or more species presenting an -OH group, preferably serine or threonine residues, within the sequence of the peptide (for O-linked glycosylation sites). The addition may be made by mutation or by full chemical synthesis of the peptide. The peptide amino acid sequence is preferably altered through changes at the DNA level, particularly by mutating the DNA encoding the peptide at preselected bases such that codons are generated that will translate into the desired amino acids. The DNA mutation(s) are preferably made using methods known in the art.
[0208] In an exemplary embodiment, the glycosylation site is added by shuffling polynucleotides. Polynucleotides encoding a candidate peptide can be modulated with DNA shuffling protocols. DNA shuffling is a process of recursive recombination and mutation, performed by random fragmentation of a pool of related genes, followed by reassembly of the fragments by a polymerase chain reaction-like process. See, e.g., Stemmer, Proc. Natl. Acad. Sci. USA 91 :10747-10751 (1994); Stemmer, Nature 370:389-391 (1994); and U.S. Patent Nos. 5,605,793, 5,837,458, 5,830,721 and 5,811,238. [0209] Exemplary methods of adding or removing glycosylation sites, and adding or removing glycosyl structures or substructures are described in detail in WO04/099231, WO03/031464 and related U.S. and PCT applications.
[0210] The present invention also utilizes means of adding (or removing) one or more selected glycosyl residues to a Factor IX peptide, after which a modified sugar is conjugated to at least one of the selected glycosyl residues of the peptide. Such techniques are useful, for example, when it is desired to conjugate the modified sugar to a selected glycosyl residue that is either not present on a Factor IX peptide or is not present in a desired amount. Thus, prior to coupling a modified sugar to a peptide, the selected glycosyl residue is conjugated to the peptide by enzymatic or chemical coupling. In another embodiment, the glycosylation pattern of a glycopeptide is altered prior to the conjugation of the modified sugar by the removal of a carbohydrate residue from the glycopeptide. See, for example WO 98/31826. For example, sialic acid groups can be removed from Factor IX, forming asialo-Factor IX, prior to glycoPEGylating using a PEG modified sialic acid (FIG. 2E).
[0211] Exemplary attachment points for selected glycosyl residue include, but are not limited to: (a) consensus sites for N-linked glycosylation, and sites for O-linked glycosylation; (b) terminal glycosyl moieties that are acceptors for a glycosyltransferase; (c) arginine, asparagine and histidine; (d) free carboxyl groups; (e) free sulfhydryl groups such as those of cysteine; (f) free hydroxyl groups such as those of serine, threonine, or hydroxyproline; (g) aromatic, residues such as those of phenylalanine, tyrosine, or tryptophan; or (h) the amide group of glutamine. Exemplary methods of use in the present invention are described in WO 87/05330 published Sep. 11, 1987, and in Aplin and Wriston, CRC CRIT. REV. BIOCHEM., pp. 259-306 (1981).
[0212] The PEG modified sugars are conjugated to a glycosylated or non-glycosylated peptide using an appropriate enzyme to mediate the conjugation. Preferably, the concentrations of the modified donor sugar(s), enzyme(s) and acceptor peptide(s) are selected such that glycosylation proceeds until the acceptor is consumed. The considerations discussed below, while set forth in the context of a sialyltransferase, are generally applicable to other glycosyltransferase reactions.
[0213] A number of methods of using glycosyltransferases to synthesize desired oligosaccharide structures are known and are generally applicable to the instant invention. Exemplary methods are described, for instance, WO 96/32491, Ito et al., Pure Appl Chem. 65: 753 (1993), U.S. Pat. Nos. 5,352,670, 5,374,541, 5,545,553, and commonly owned U.S. Pat. Nos. 6,399,336, and 6,440,703 which are incorporated herein by reference.
[0214] The present invention is practiced using a single glycosyltransferase or a combination of glycosyltransferases. For example, one can use a combination of a sialyltransferase and a galactosyltransferase. In those embodiments using more than one enzyme, the enzymes and substrates are preferably combined in an initial reaction mixture, or the enzymes and reagents for a second enzymatic reaction are added to the reaction medium once the first enzymatic reaction is complete or nearly complete. By conducting two enzymatic reactions in sequence in a single vessel, overall yields are improved over procedures in which an intermediate species is isolated. Moreover, cleanup and disposal of extra solvents and by-products is reduced.
[0215] In a preferred embodiment, each of the first and second enzyme is a glycosyltransferase. In another preferred embodiment, one enzyme is an endoglycosidase. In an additional preferred embodiment, more than two enzymes are used to assemble the modified glycoprotein of the invention. The enzymes are used to alter a saccharide structure on the peptide at any point either before or after the addition of the modified sugar to the peptide.
[0216] In another embodiment, the method makes use of one or more exo- or endoglycosidase. The glycosidase is typically a mutant, which is engineered to form glycosyl bonds rather than rupture them. The mutant glycanase typically includes a substitution of an amino acid residue for an active site acidic amino acid residue. For example, when the endoglycanase is endo-H, the substituted active site residues will typically be Asp at position 130, Glu at position 132 or a combination thereof. The amino acids are generally replaced with serine, alanine, asparagine, or glutamine.
[0217] The mutant enzyme catalyzes the reaction, usually by a synthesis step that is analogous to the reverse reaction of the endoglycanase hydrolysis step. In these embodiments, the glycosyl donor molecule (e.g., a desired oligo- or mono-saccharide structure) contains a leaving group and the reaction proceeds with the addition of the donor molecule to a GlcNAc residue on the protein. For example, the leaving group can be a halogen, such as fluoride. In other embodiments, the leaving group is a Asn, or a Asn- peptide moiety. In yet further embodiments, the GlcNAc residue on the glycosyl donor molecule is modified. For example, the GlcNAc residue may comprise a 1,2 oxazoline moiety.
[0218] In a preferred embodiment, each of the enzymes utilized to produce a conjugate of the invention are present in a catalytic amount. The catalytic amount of a particular enzyme varies according to the concentration of that enzyme's substrate as well as to reaction conditions such as temperature, time and pH value. Means for determining the catalytic amount for a given enzyme under preselected substrate concentrations and reaction conditions are well known to those of skill in the art.
[0219] The temperature at which an above process is carried out can range from just above freezing to the temperature at which the most sensitive enzyme denatures. Preferred temperature ranges are about 0 °C to about 55 °C, and more preferably about 20 ° C to about 37 °C. In another exemplary embodiment, one or more components of the present method are conducted at an elevated temperature using a thermophilic enzyme.
[0220] The reaction mixture is maintained for a period of time sufficient for the acceptor to be glycosylated, thereby forming the desired conjugate. Some of the conjugate can often be detected after a few hours, with recoverable amounts usually being obtained within 24 hours or less. Those of skill in the art understand that the rate of reaction is dependent on a number of variable factors (e.g, enzyme concentration, donor concentration, acceptor concentration, temperature, solvent volume), which are optimized for a selected system.
[0221] The present invention also provides for the industrial-scale production of modified peptides. As used herein, an industrial scale generally produces at least 250 mg, preferably at least 500 mg and more preferably, at least one gram of finished, purified conjugate.
[0222] In the discussion that follows, the invention is exemplified by the conjugation of modified sialic acid moieties to a glycosylated peptide. The exemplary modified sialic acid is labeled with PEG. The focus of the following discussion on the use of PEG-modified sialic acid and glycosylated peptides is for clarity of illustration and is not intended to imply that the invention is limited to the conjugation of these two partners. One of skill understands that the discussion is generally applicable to the additions of modified glycosyl moieties other than sialic acid. Moreover, the discussion is equally applicable to the modification of a glycosyl unit with agents other than PEG including other PEG moieties, therapeutic moieties, and biomolecules.
[0223] An enzymatic approach can be used for the selective introduction of PEGylated or PPGylated carbohydrates onto a peptide or glycopeptide. The method utilizes modified sugars containing PEG, PPG, or a masked reactive functional group, and is combined with the appropriate glycosyltransferase or glycosynthase. By selecting the glycosyltransferase that will make the desired carbohydrate linkage and utilizing the modified sugar as the donor substrate, the PEG or PPG can be introduced directly onto the peptide backbone, onto existing sugar residues of a glycopeptide or onto sugar residues that have been added to a peptide.
[0224] An acceptor for the sialyltransferase is present on the peptide to be modified by the methods of the present invention either as a naturally occurring structure or one placed there recombinantly, enzymatically or chemically. Suitable acceptors, include, for example, galactosyl acceptors such as Galβl,4GlcNAc, Galβl,4GalNAc, Galβ 1,3 GalNAc, lacto-N- tetraose, Galβ 1 ,3GlcNAc, Galβ 1 ,3Ara, Galβ 1 ,6GlcNAc, Galβ 1 ,4Glc (lactose), and other acceptors known to those of skill in the art (see, e.g., Paulson et al, J. Biol. Chem. 253: 5617- 5624 (1978)).
[0225] In one embodiment, an acceptor for the sialyltransferase is present on the glycopeptide to be modified upon in vivo synthesis of the glycopeptide. Such glycopeptides can be sialylated using the claimed methods without prior modification of the glycosylation pattern of the glycopeptide. Alternatively, the methods of the invention can be used to sialylate a peptide that does not include a suitable acceptor; one first modifies the peptide to include an acceptor by methods known to those of skill in the art. In an exemplary embodiment, a GalNAc residue is added by the action of a GalNAc transferase.
[0226] In an exemplary embodiment, the galactosyl acceptor is assembled by attaching a galactose residue to an appropriate acceptor linked to the peptide, e.g., a GlcNAc. The method includes incubating the peptide to be modified with a reaction mixture that contains a suitable amount of a galactosyltransferase (e.g., galβ 1,3 or galβ 1,4), and a suitable galactosyl donor (e.g., UDP-galactose). The reaction is allowed to proceed substantially to completion or, alternatively, the reaction is terminated when a preselected amount of the galactose residue is added. Other methods of assembling a selected saccharide acceptor will be apparent to those of skill in the art.
[0227] In yet another embodiment, glycopeptide-linked oligosaccharides are first "trimmed," either in whole or in part, to expose either an acceptor for the sialyltransferase or a moiety to which one or more appropriate residues can be added to obtain a suitable acceptor. Enzymes such as glycosyltransferases and endoglycosidases (see, for example U.S. Patent No. 5,716,812) are useful for the attaching and trimming reactions.
[0228] In the discussion that follows, the method of the invention is exemplified by the use of modified sugars having a PEG moiety attached thereto. The focus of the discussion is for clarity of illustration. Those of skill will appreciate that the discussion is equally relevant to those embodiments in which the modified sugar bears a therapeutic moiety, biomolecule or the like.
[0229] In an exemplary embodiment of the invention in which a carbohydrate residue is "trimmed" prior to the addition of the modified sugar high mannose is trimmed back to the first generation biantennary structure. A modified sugar bearing a PEG moiety is conjugated to one or more of the sugar residues exposed by the "trimming back." In one example, a PEG moiety is added via a GlcNAc moiety conjugated to the PEG moiety. The modified GlcNAc is attached to one or both of the terminal mannose residues of the biantennary structure. Alternatively, an unmodified GlcNAc can be added to one or both of the termini of the branched species.
[0230] In another exemplary embodiment, a PEG moiety is added to one or both of the terminal mannose residues of the biantennary structure via a modified sugar having a galactose residue, which is conjugated to a GlcNAc residue added onto the terminal mannose residues. Alternatively, an unmodified Gal can be added to one or both terminal GlcNAc residues.
[0231] In yet a further example, a PEG moiety is added onto a Gal residue using a modified sialic acid.
[0232] In another exemplary embodiment, a high mam ose structure is "trimmed back" to the mannose from which the biantennary structure branches. In one example, a PEG moiety is added via a GlcNAc modified with the polymer. Alternatively, an unmodified GlcNAc is added to the mannose, followed by a Gal with an attached PEG moiety. In yet another embodiment, unmodified GlcNAc and Gal residues are sequentially added to the mannose, followed by a sialic acid moiety modified with a PEG moiety.
[0233] In a further exemplary embodiment, high mannose is "trimmed back" to the GlcNAc to which the first mannose is attached. The GlcNAc is conjugated to a Gal residue bearing a PEG moiety. Alternatively, an unmodified Gal is added to the GlcNAc, followed by the addition of a sialic acid modified with a water-soluble sugar. In yet a further example, the terminal GlcNAc is conjugated with Gal and the GlcNAc is subsequently fucosylated with a modified fucose bearing a PEG moiety.
[0234] High mamiose may also be trimmed back to the first GlcNAc attached to the Asn of the peptide. In one example, the GlcNAc of the GlcNAc-(Fuc)a residue is conjugated wit ha GlcNAc bearing a water soluble polymer. In another example, the GlcNAc of the GlcNAc-(Fuc)a residue is modified with Gal, which bears a water soluble polymer. In a still further embodiment, the GlcNAc is modified with Gal, followed by conjugation to the Gal of a sialic acid modified with a PEG moiety.
[0235] Other exemplary embodiments are set forth in commonly owned U.S. Patent application Publications: 20040132640; 20040063911; 20040137557; U.S. Patent application Nos: 10/369,979; 10/410,913; 10/360,770; 10/410,945 and PCT/US02/32263 each of which is incorporated herein by reference.
[0236] The examples set forth above provide an illustration of the power of the methods set forth herein. Using the methods described herein, it is possible to "trim back" and build up a carbohydrate residue of substantially any desired structure. The modified sugar can be added to the termini of the carbohydrate moiety as set forth above, or it can be intermediate between the peptide core and the terminus of the carbohydrate.
[0237] In an exemplary embodiment, an existing sialic acid is removed from a Factor IX glycopeptide using a sialidase, thereby unmasking all or most of the underlying galactosyl residues. Alternatively, a peptide or glycopeptide is labeled with galactose residues, or an oligosaccharide residue that terminates in a galactose unit. Following the exposure of or addition of the galactose residues, an appropriate sialyltransferase is used to add a modified sialic acid. The approach is summarized in Scheme 1. Scheme 1
 Sialyltransferase CMP-SA-5-NHCOCH
2NH — PEG(PPG)
[0238] In yet a further approach, summarized in Scheme 2, a masked reactive functionality is present on the sialic acid. The masked reactive group is preferably unaffected by the conditions used to attach the modified sialic acid to the Factor IX. After the covalent attachment of the modified sialic acid to the peptide, the mask is removed and the peptide is conjugated with an agent such as PEG. The agent is conjugated to the peptide in a specific manner by its reaction with the unmasked reactive group on the modified sugar residue.
Scheme 2
Glycoprotein 1. dithiotlireitol 2. PEG- alide or PPG halide
[0239] Any modified sugar set forth herein can be used with its appropriate glycosyltransferase, depending on the terminal sugars of the oligosaccharide side chains of the glycopeptide (Table 1). As discussed above, the terminal sugar of the glycopeptide required for introduction of the PEGylated structure can be introduced naturally during expression or it can be produced post expression using the appropriate glycosidase(s), glycosyltransferase(s) or mix of glycosidase(s) and glycosyltransferase(s).
Table 1
 UDP-galactosamine-derivatives UDP-galactose-derivatives (when A = NH, R may be acetyl)
 UDP-GIucose-derivatives UDP-Glucosamine-derivatives (when A = NH, R may be acetyl)
X - = θ, NH . S. CH^ -C rsJa. Y = X; Z = = X; A = X; B = X. Q - = H2, O, S, NH, N-R. R, Rr4 = H, Lin er-M, M. M =PEG, e .g., m-PEG
[0240] In a further exemplary embodiment, UDP-galactose-PEG is reacted with bovine milk β 1 ,4-galactosyltransferase, thereby transferring the modified galactose to the appropriate terminal N-acetylglucosamine structure. The terminal GlcNAc residues on the glycopeptide may be produced during expression, as may occur in such expression systems as mammalian, insect, plant or fungus, but also can be produced by treating the glycopeptide with a sialidase and/or glycosidase and/or glycosyltransferase, as required. [0241] In another exemplary embodiment, a GlcNAc transferase, such as GNT1-5, is utilized to transfer PEGylated-GlcN to a terminal mannose residue on a glycopeptide. In a still further exemplary embodiment, an the N- and/or O-linked glycan structures are enzymatically removed from a glycopeptide to expose an amino acid or a terminal glycosyl residue that is subsequently conjugated with the modified sugar. For example, an endoglycanase is used to remove the N-linked structures of a glycopeptide to expose a terminal GlcNAc as a GlcNAc-linked-Asn on the glycopeptide. UDP-Gal-PEG and the appropriate galactosyltransferase is used to introduce the PEG-galactose functionality onto the exposed GlcNAc.
[0242] In an alternative embodiment, the modified sugar is added directly to the peptide backbone using a glycosyltransferase known to transfer sugar residues to the peptide backbone. This exemplary embodiment is set forth in Scheme 3. Exemplary glycosyltransferases useful in practicing the present invention include, but are not limited to, GalNAc transferases (GalNAc Tl-14), GlcNAc transferases, fucosyltransferases, glucosyltransferases, xylosyltransferases, marmosyltransferases and the like. Use of this approach allows the direct addition of modified sugars onto peptides that lack any carbohydrates or, alternatively, onto existing glycopeptides. In both cases, the addition of the modified sugar occurs at specific positions on the peptide backbone as defined by the substrate specificity of the glycosyltransferase and not in a random manner as occurs during modification of a protein's peptide backbone using chemical methods. An array of agents can be introduced into proteins or glycopeptides that lack the glycosyltransferase substrate peptide sequence by engineering the appropriate amino acid sequence into the polypeptide chain.
Scheme 3
GalNH-CO(CH
2)
4NH-PEG Ga,
NH-CO(CH
2)
4NH-PEG

 [0243] In each of the exemplary embodiments set forth above, one or more additional chemical or enzymatic modification steps can be utilized following the conjugation of the modified sugar to the peptide. In an exemplary embodiment, an enzyme (e.g., fucosyltransferase) is used to append a glycosyl unit (e.g., fucose) onto the terminal modified sugar attached to the peptide. In another example, an enzymatic reaction is utilized to "cap" sites to which the modified sugar failed to conjugate. Alternatively, a chemical reaction is utilized to alter the structure of the conjugated modified sugar. For example, the conjugated modified sugar is reacted with agents that stabilize or destabilize its linkage with the peptide component to which the modified sugar is attached. In another example, a component of the modified sugar is deprotected following its conjugation to the peptide. One of skill will appreciate that there is an array of enzymatic and chemical procedures that are useful in the methods of the invention at a stage after the modified sugar is conjugated to the peptide. Further elaboration of the modified sugar-peptide conjugate is within the scope of the invention.
Enzymes
[0244] In addition to the enzymes discussed above in the context of forming the acyl-linked conjugate, the glycosylation pattern of the conjugate and the starting substrates (e.g., peptides, lipids) can be elaborated, trimmed back or otherwise modified by methods utilizing other enzymes. The methods of remodeling peptides and lipids using enzymes that transfer a sugar donor to an acceptor are discussed in great detail in DeFrees, WO 03/031464 A2, published April 17, 2003. A brief summary of selected enzymes of use in the present method is set forth below.
Glycosyltransferases
[0245] Glycosyltransferases catalyze the addition of activated sugars (donor NDP- or NMP- sugars), in a step-wise fashion, to a protein, glycopeptide, lipid or glycolipid or to the non- reducing end of a growing oligosaccharide. N-linked glycopeptides are synthesized via a transferase and a lipid-linked oligosaccharide donor Dol-PP-NAG2Glc3Man in an en block transfer followed by trimming of the core. In this case the nature of the "core" saccharide is somewhat different from subsequent attachments. A very large number of glycosyltransferases are known in the art. [0246] The glycosyltransferase to be used in the present invention may be any as long as it can utilize the modified sugar as a sugar donor. Examples of such enzymes include Leloir pathway glycosyltransferase, such as galactosyltransferase, N-acetylglucosaminyltransferase, N-acetylgalactosaminyltransferase, fucosyltransferase, sialyltransferase, mannosyltransferase, xylosyltransferase, glucurononyltransferase and the like.
[0247] For enzymatic saccharide syntheses that involve glycosyltransferase reactions, glycosyltransferase can be cloned, or isolated from any source. Many cloned glycosyltransferases are known, as are their polynucleotide sequences. See, e.g., "The WWW Guide To Cloned Glycosyltransferases," (http://www.vei.co.uk/TGN/gt guide.htm . Glycosyltransferase amino acid sequences and nucleotide sequences encoding glycosyltransferases from which the amino acid sequences can be deduced are also found in various publicly available databases, including GenBank, Swiss-Prot, EMBL, and others.
[0248] Glycosyltransferases that can be employed in the methods of the invention include, but are not limited to, galactosyltransferases, fucosyltransferases, glucosyltransferases, N- acetylgalactosaminyltransferases, N-acetylglucosaminyltransferases, glucuronyltransferases, sialyltransferases, mannosyltransferases, glucuronic acid transferases, galacturonic acid transferases, and oligosaccharyltransferases. Suitable glycosyltransferases include those obtained from eukaryotes, as well as from prokaryotes.
[0249] DNA encoding glycosyltransferases may be obtained by chemical synthesis, by screening reverse transcripts of mRNA from appropriate cells or cell line cultures, by screening genomic libraries from appropriate cells, or by combinations of these procedures. Screening of mRNA or genomic DNA may be carried out with oligonucleotide probes generated from the glycosyltransferases gene sequence. Probes may be labeled with a detectable group such as a fluorescent group, a radioactive atom or a chemiluminescent group in accordance with known procedures and used in conventional hybridization assays. In the alternative, glycosyltransferases gene sequences may be obtained by use of the polymerase chain reaction (PCR) procedure, with the PCR oligonucleotide primers being produced from the glycosyltransferases gene sequence. See, U.S. Pat. No. 4,683,195 to Mullis et al and U.S. Pat. No. 4,683,202 to Mullis.
[0250] The glycosyltransferase may be synthesized in host cells transformed with vectors containing DNA encoding the glycosyltransferases enzyme. Vectors are used either to amplify DNA encoding the glycosyltransferases enzyme and/or to express DNA which encodes the glycosyltransferases enzyme. An expression vector is a replicable DNA construct in which a DNA sequence encoding the glycosyltransferases enzyme is operably linked to suitable control sequences capable of effecting the expression of the glycosyltransferases enzyme in a suitable host. The need for such control sequences will vary depending upon the host selected and the transformation method chosen. Generally, control sequences include a transcriptional promoter, an optional operator sequence to control transcription, a sequence encoding suitable mRNA ribosomal binding sites, and sequences which control the termination of transcription and translation. Amplification vectors do not require expression control domains. All that is needed is the ability to replicate in a host, usually conferred by an origin of replication, and a selection gene to facilitate recognition of transformants.
[0251] In an exemplary embodiment, the invention utilizes a prokaryotic enzyme. Such glycosyltransferases include enzymes involved in synthesis of lipooligosaccharides (LOS), which are produced by many gram negative bacteria (Preston et al, Critical Reviews in Microbiology 23(3): 139-180 (1996)). Such enzymes include, but are not limited to, the proteins of the rfa operons of species such as E. coli and Salmonella typhimurium, which include a βl,6 galactosyltransferase and a βl,3 galactosyltransferase (see, e.g., ΕMBL Accession Nos. M80599 and M86935 (E. coli); ΕMBL Accession No. S56361 (S. typhimurium)), a glucosyltransferase (Swiss-Prot Accession No. P25740 (E. coli), an βl,2- glucosyltransferase (r/αJ)(Swiss-Prot Accession No. P27129 (E. coli) and Swiss-Prot Accession No. P19817 (S. typhimurium)), and an βl,2-N-acetylglucosaminyltransferase (r/αK)(ΕMBL Accession No. U00039 (E. coli). Other glycosyltransferases for which amino acid sequences are known include those that are encoded by operons such as rfaB, which have been characterized in organisms such as Klebsiella pneumoniae, E. coli, Salmonella typhimurium, Salmonella enterica, Yersinia enterocolitica, Mycobacterium leprosum, and the rhl operon of Pseudomonas aeruginosa.
[0252] Also suitable for use in the present invention are glycosyltransferases that are involved in producing structures containing lacto-N-neotetraose, D-galactosyl-β-l,4-N- acetyl-D-glucosaminyl-β-1 ,3-D-galactosyl-β-l ,4-D-glucose, and the Pk blood group trisaccharide sequence, D-galactosyl-α-l,4-D-galactosyl-β-l,4-D-glucose, which have been identified in the LOS of the mucosal pathogens Neisseria gonnorhoeae and N. meningitidis (Scholten et al, J. Med. Microbiol 41: 236-243 (1994)). The genes from N. meningitidis and N. gonorrhoeae that encode the glycosyltransferases involved in the biosynthesis of these structures have been identified from N. meningitidis immunotypes L3 and LI (Jennings et al, Mol. Microbiol. 18: 729-740 (1995)) and the N. gonorrhoeae mutant F62 (Gotshlich, J. Exp. Med. 180: 2181-2190 (1994)). InN. meningitidis, a locus consisting of three genes, IgtA, IgtB and IgE, encodes the glycosyltransferase enzymes required for addition of the last three of the sugars in the lacto-N-neotetraose chain (Wakarchuk et al, J. Biol. Chem. 271: 19166- 73 (1996)). Recently the enzymatic activity of the IgtB and IgtA gene product was demonstrated, providing the first direct evidence for their proposed glycosyltransferase function (Wakarchuk et al, J. Biol. Chem. 271(45): 28271-276 (1996)). InN. gonorrhoeae, there are two additional genes, IgtD which adds β-D-GalΝAc to the 3 position of the terminal galactose of the lacto-N-neotetraose structure and IgtC which adds a terminal α-D-Gal to the lactose element of a truncated LOS, thus creating the P blood group antigen structure (Gotshlich (1994), supra . InN. meningitidis, a separate immunotype LI also expresses the Pk blood group antigen and has been shown to carry an IgtC gene (Jennings et al, (1995), supra.). Neisseria glycosyltransferases and associated genes are also described in USPΝ 5,545,553 (Gotschlich). Genes for αl,2-fucosyltransferase and αl,3-fucosyltransferase from Helicobacter pylori has also been characterized (Martin et al, J. Biol. Chem. 272: 21349- 21356 (1997)). Also of use in the present invention are the glycosyltransferases of Campylobacter jejuni (see, for example, http://afmb.cms-mrs.fr/~pedro/CAZY/gtf_42.html).
Fucosyltransferases
[0253] In some embodiments, a glycosyltransferase used in the method of the invention is a fucosyltransferase. Fucosyltransferases are known to those of skill in the art. Exemplary fucosyltransferases include enzymes, which transfer L-fucose from GDP-fucose to a hydroxy position of an acceptor sugar. Fucosyltransferases that transfer non-nucleotide sugars to an acceptor are also of use in the present invention.
[0254] In some embodiments, the acceptor sugar is, for example, the GlcNAc in a Galβ(l-»3,4)GlcΝAcβ- group in an oligosaccharide glycoside. Suitable fucosyltransferases for this reaction include the Galβ(l→3,4)GlcNAcβl-α(l- 3,4)fucosyltransferase (FTIII E.G. No. 2.4.1.65), which was first characterized from human milk (see, Palcic, et al,
Carbohydrate Res. 190: 1-11 (1989); Prieels, et al, J. Biol. Chem. 256: 10456-10463 (1981); and Nunez, et al, Can. J. Chem. 59: 2086-2095 (1981)) and the Galβ(l→4)GlcNAcβ- αfucosyltransferases (FTIV, FTV, FTVI) which are found in human serum. FTVII (E.C. No. 2.4.1.65), a sialyl α(2-»3)Galβ((l-»3)GlcNAcβ fucosyltransferase, has also been characterized. A recombinant form of the Galβ(l-»3,4) GlcNAcβ- α(l→3,4)fucosyltransferase has also been characterized (see, Dumas, et al, Bioorg. Med. Letters 1: 425-428 (1991) and Kukowska-Latallo, et al, Genes and Development 4: 1288- 1303 (1990)). Other exemplary fucosyltransferases include, for example, αl,2 fucosyltransferase (E.C. No. 2.4.1.69). Enzymatic fucosylation can be carried out by the methods described in Mollicone, et al, Eur. J. Biochem. 191: 169-176 (1990) or U.S. Patent No. 5,374,655. Cells that are used to produce a fucosyltransferase will also include an enzymatic system for synthesizing GDP-fucose.
Galactosyltransferases
[0255] In another group of embodiments, the glycosyltransferase is a galactosyltransferase. Exemplary galactosyltransferases include α(l,3) galactosyltransferases (E.C. No. 2.4.1.151, see, e.g., Dabkowski et al, Transplant Proc. 25:2921 (1993) and Yamamoto et al Nature 345: 229-233 (1990), bovine (GenBankj 04989, Joziasse et al, J. Biol Chem. 264: 14290- 14297 (1989)), murine (GenBank m26925; Larsen et al, Proc. Nat 'I. Acad. Sci. USA 86: 8227-8231 (1989)), porcine (GenBank L36152; Strahan et al, Immunogenetics 41: 101-105 (1995)). Another suitable αl,3 galactosyltransferase is that which is involved in synthesis of the blood group B antigen (EC 2.4.1.37, Yamamoto et al, J. Biol Chem. 265: 1146-1151 (1990) (human)). Yet a further exemplary galactosyltransferase is core Gal-Tl.
[0256] Also suitable for use in the methods of the invention are β(l,4) galactosyltransferases, which include, for example, EC 2.4.1.90 (LacNAc synthetase) and EC 2.4.1.22 (lactose synthetase) (bovine (D'Agostaro et al, Eur. J. Biochem. 183: 211-217 (1989)), human (Masri et al, Biochem. Biophys. Res. Commun. 157: 657-663 (1988)), murine (Nakazawa et al, J. Biochem. 104: 165-168 (1988)), as well as E.C. 2.4.1.38 and the ceramide galactosyltransferase (EC 2.4.1.45, Stahl et al, J. Neurosci. Res. 38: 234-242 (1994)). Other suitable galactosyltransferases include, for example, αl,2 galactosyltransferases (from e.g., Schizosaccharomyces pombe, Chapell et al, Mol Biol Cell 5: 519-528 (1994)). Sialyltransferases
[0257] Sialyltransferases are another type of glycosyltransferase that is useful in the recombinant cells and reaction mixtures of the invention. Cells that produce recombinant sialyltransferases will also produce CMP-sialic acid, which is a sialic acid donor for sialyltransferases. Examples of sialyltransferases that are suitable for use in the present invention include ST3Gal III (e.g., a rat or human ST3Gal III), ST3Gal IV, ST3Gal I, ST3GalII, ST6Gal I, ST3Gal V, ST6Gal II, ST6GalNAc I, ST6GalNAc II, and ST6GalNAc III (the sialyltransferase nomenclature used herein is as described in Tsuji et al, Glycobiology 6: v-xiv (1996)). An exemplary α(2,3)sialyltransferase referred to as α(2,3)sialyltransferase (EC 2.4.99.6) transfers sialic acid to the non-reducing terminal Gal of a Galβl-»3Glc disaccharide or glycoside. See, Van den Eijnden et al, J. Biol. Chem. 256: 3159 (1981), Weinstein et al, J. Biol. Chem. 257: 13845 (1982) and Wen et al, J. Biol Chem. 267: 21011 (1992). Another exemplary α2,3-sialyltransferase (EC 2.4.99.4) transfers sialic acid to the non-reducing terminal Gal of the disaccharide or glycoside. see, Rearick et al, J. Biol. Chem. 254: 4444 (1979) and Gillespie et al, J. Biol. Chem. 267: 21004 (1992). Further exemplary enzymes include Gal-β-l,4-GlcNAc α-2,6 sialyltransferase (See, Kurosawa et al Eur. J. Biochem. 219: 375-381 (1994)).
[0258] Preferably, for glycosylation of carbohydrates of glycopeptides the sialyltransferase will be able to transfer sialic acid to the sequence Galβl,4GlcNAc-, the most common penultimate sequence underlying the terminal sialic acid on fully sialylated carbohydrate structures (see, Table 2).
[0259] Table 2: Sialyltransferases which use the Galβl,4GlcNAc sequence as an acceptor substrate
 1) Goochee et al, Bio/Technology 9: 1347-1355 (1991) 2) Yamamoto et al, J. Biochem. 120: 104-110 (1996) 3) Gilbert et al, J. Biol. Chem. 271: 28271-28276 (1996) [0260] Other sialyltransferases of use in the present invention include those set forth in the table of FIG. 4. The sialyltransferases can be used to transfer a PEGylated sialic acid moiety from a PEGylated sialic acid donor species onto an N-linked glycosyl residue of a peptide (FIG. 2C) or an O-linked glycosyl residue of Factor IX (FIG. 2D).
[0261] An example of a sialyltransferase that is useful in the claimed methods is ST3Gal III, which is also referred to as α(2,3)sialyltransferase (EC 2.4.99.6). This enzyme catalyzes the transfer of sialic acid to the Gal of a Galβ 1 ,3 GlcNAc or Galβ 1 ,4GlcNAc glycoside (see, e. g. , Wen et al, J. Biol. Chem. 267: 21011 (1992); Van den Eijnden et al, J. Biol. Chem. 256: 3159 (1991)) and is responsible for sialylation of asparagine-linked oligosaccharides in glycopeptides. The sialic acid is linked to a Gal with the formation of an α-linkage between the two saccharides. Bonding (linkage) between the saccharides is between the 2-position of NeuAc and the 3-position of Gal. This particular enzyme can be isolated from rat liver (Weinstein et al, J. Biol. Chem. 257: 13845 (1982)); the human cDNA (Sasaki et al (1993) J. Biol. Chem. 268: 22782-22787; Kitagawa & Paulson (1994) J. Biol. Chem. 269: 1394- 1401) and genomic (Kitagawa et al. (1996) J. Biol. Chem. 271: 931-938) DNA sequences are known, facilitating production of this enzyme by recombinant expression. In a preferred embodiment, the claimed sialylation methods use a rat ST3Gal III. [0262] Other exemplary sialyltransferases of use in the present invention include those isolated from Campylobacter jejuni, including the α(2,3). See, e.g, WO99/49051.
[0263] Sialyltransferases other those listed in Table 2, are also useful in an economic and efficient large-scale process for sialylation of commercially important glycopeptides. As a simple test to find out the utility of these other enzymes, various amounts of each enzyme (1-100 mU/mg protein) are reacted with asialo-αi AGP (at 1-10 mg/ml) to compare the ability of the sialyltransferase of interest to sialylate glycopeptides relative to either bovine ST6Gal I, ST3Gal III or both sialyltransferases. Alternatively, other glycopeptides or glycopeptides, or N-linked oligosaccharides enzymatically released from the peptide backbone can be used in place of asialo-αi AGP for this evaluation. Sialyltransferases with the ability to sialylate N-linked oligosaccharides of glycopeptides more efficiently than ST6Gal I are useful in a practical large-scale process for peptide sialylation.
GalNAc transferase
[0264] N-acetylgalactosaminyltransferases are of use in practicing the present invention, particularly for binding a GalNAc moiety to an amino acid of the O-linked glycosylation site of the peptide. Suitable N-acetylgalactosaminyltransferases include, but are not limited to, α(l,3) N-acetylgalactosaminyltransferase, β(l,4) N-acetylgalactosaminyltransferases (Nagata et al, J. Biol Chem. 267: 12082-12089 (1992) and Smith et al, J. Biol Chem. 269: 15162 (1994)) and polypeptide N-acetylgalactosaminyltransferase (Homa et α ., J Biol. Chem, 268: 12609 (1993)).
[0265] Production of proteins such as the enzyme GalNAc Tι-χχ from cloned genes by genetic engineering is well known. See, eg., U.S. Pat. No. 4,761,371. One method involves collection of sufficient samples, then the amino acid sequence of the enzyme is determined by N-terminal sequencing. This information is then used to isolate a cDNA clone encoding a full-length (membrane bound) transferase which upon expression in the insect cell line Sf9 resulted in the synthesis of a fully active enzyme. The acceptor specificity of the enzyme is then determined using a semiquantitative analysis of the amino acids surrounding known glycosylation sites in 16 different proteins followed by in vitro glycosylation studies of synthetic peptides. This work has demonstrated that certain amino acid residues are overrepresented in glycosylated peptide segments and that residues in specific positions surrounding glycosylated serine and threonine residues may have a more marked influence on acceptor efficiency than other amino acid moieties.
Cell-Bound Glycosyltransferases
[0266] In another embodiment, the enzymes utilized in the method of the invention are cell- bound glycosyltransferases. Although many soluble glycosyltransferases are known (see, for example, U.S. Pat. No. 5,032,519), glycosyltransferases are generally in membrane-bound form when associated with cells. Many of the membrane-bound enzymes studied thus far are considered to be intrinsic proteins; that is, they are not released from the membranes by sonication and require detergents for solubilization. Surface glycosyltransferases have been identified on the surfaces of vertebrate and invertebrate cells, and it has also been recognized that these surface transferases maintain catalytic activity under physiological conditions.
However, the more recognized function of cell surface glycosyltransferases is for intercellular recognition (Roth, MOLECULAR APPROACHES to SUPRACELLULAR PHENOMENA, 1990).
[0267] Methods have been developed to alter the glycosyltransferases expressed by cells. For example, Larsen et al, Proc. Natl. Acad. Sci. USA 86: 8227-8231 (1989), report a genetic approach to isolate cloned cDNA sequences that determine expression of cell surface oligosaccharide structures and their cognate glycosyltransferases. A cDNA library generated from mRNA isolated from a murine cell line known to express UDP-galactose:. β.-D- galactosyl-l,4-N-acetyl-D-glucosaminide α- 1,3 -galactosyltransferase was transfected into COS-1 cells. The transfected cells were then cultured and assayed for α 1-3 galactosyltransferase activity.
[0268] Francisco et al, Proc. Natl Acad. Sci. USA 89: 2713-2717 (1992), disclose a method of anchoring β-lactamase to the external surface of Escherichia coli. A tripartite fusion consisting of (i) a signal sequence of an outer membrane protein, (ii) a membrane-spanning section of an outer membrane protein, and (iii) a complete mature β-lactamase sequence is produced resulting in an active surface bound β-lactamase molecule. However, the Francisco method is limited only to procaryotic cell systems and as recognized by the authors, requires the complete tripartite fusion for proper functioning. Sulfotransf erases
[0269] The invention also provides methods for producing peptides that include sulfated molecules, including, for example sulfated polysaccharides such as heparin, heparan sulfate, carragenen, and related compounds. Suitable sulfotransferases include, for example, chondroitin-6-sulphotransferase (chicken cDNA described by Fukuta et al, J. Biol. Chem. 270: 18575-18580 (1995); GenBank Accession No. D49915), glycosaminoglycan N- acetylglucosamine N-deacetylase/N-sulphotransferase 1 (Dixon et al, Genomics 26: 239-241 (1995); UL18918), and glycosaminoglycan N-acetylglucosamine N-deacetylase/N- sulphotransferase 2 (murine cDNA described in Orellana et al, J. Biol Chem. 269: 2270- 2276 (1994) and Eriksson et al, J. Biol Chem. 269: 10438-10443 (1994); human cDNA described in GenBank Accession No. U2304).
Glycosidases
[0270] This invention also encompasses the use of wild-type and mutant glycosidases. Mutant β-galactosidase enzymes have been demonstrated to catalyze the formation of disaccharides through the coupling of an α-glycosyl fluoride to a galactosyl acceptor molecule. (Withers, U.S. Pat. No. 6,284,494; issued Sept. 4, 2001). Other glycosidases of use in this invention include, for example, β-glucosidases, β-galactosidases, β-mannosidases, β-acetyl glucosaminidases, β-N-acetyl galactosaminidases, β-xylosidases, β-fucosidases, cellulases, xylanases, galactanases, mannanases, hemicellulases, amylases, glucoamylases, α- glucosidases, α-galactosidases, α-mannosidases, α-N-acetyl glucosaminidases, α-N-acetyl galactose-aminidases, α-xylosidases, α-fucosidases, and neuraminidases/sialidases. In an exemplary embodiment, a sialidase is used to remove sialic acid from an N-glycan of Factor IX (FIG. 2A) prior to glycoPEGylating. The invention also provides a method that does not require the prior removal of sialic acid. Thus, a method that incorporates a sialic acid exchange reaction using a modified sialic acid moiety and ST3Gal3 is of use in the present invention.
Immobilized Enzymes
[0271] The present invention also provides for the use of enzymes that are immobilized on a solid and/or soluble support. In an exemplary embodiment, there is provided a glycosyltransferase that is conjugated to a PEG via an intact glycosyl linker according to the methods of the invention. The PEG-linker-enzyme conjugate is optionally attached to solid support. The use of solid supported enzymes in the methods of the invention simplifies the work up of the reaction mixture and purification of the reaction product, and also enables the facile recovery of the enzyme. The glycosyltransferase conjugate is utilized in the methods of the invention. Other combinations of enzymes and supports will be apparent to those of skill in the art.
Fusion Proteins
[0272] In other exemplary embodiments, the methods of the invention utilize fusion proteins that have more than one enzymatic activity that is involved in synthesis of a desired glycopeptide conjugate. The fusion polypeptides can be composed of, for example, a catalytically active domain of a glycosyltransferase that is joined to a catalytically active domain of an accessory enzyme. The accessory enzyme catalytic domain can, for example, catalyze a step in the formation of a nucleotide sugar that is a donor for the glycosyltransferase, or catalyze a reaction involved in a glycosyltransferase cycle. For example, a polynucleotide that encodes a glycosyltransferase can be joined, in-frame, to a polynucleotide that encodes an enzyme involved in nucleotide sugar synthesis. The resulting fusion protein can then catalyze not only the synthesis of the nucleotide sugar, but also the transfer of the sugar moiety to the acceptor molecule. The fusion protein can be two or more cycle enzymes linked into one expressible nucleotide sequence. In other embodiments the fusion protein includes the catalytically active domains of two or more glycosyltransferases. See, for example, 5,641 ,668. The modified glycopeptides of the present invention can be readily designed and manufactured utilizing various suitable fusion proteins (see, for example, PCT Patent Application PCT/CA98/01180, which was published as WO 99/31224 on June 24, 1999.)
Preparation of Modified Sugars [0273] In general, the sugar moiety or sugar moiety-linker cassette and the PEG or PEG- linker cassette groups are linked together through the use of reactive groups, which are typically transformed by the linking process into a new organic functional group or unreactive species. The sugar reactive functional group(s), is located at any position on the sugar moiety. Reactive groups and classes of reactions useful in practicing the present invention are generally those that are well known in the art of bioconjugate chemistry.
Currently favored classes of reactions available with reactive sugar moieties are those, which proceed under relatively mild conditions. These include, but are not limited to nucleophilic substitutions (e.g., reactions of amines and alcohols with acyl halides, active esters), electrophilic substitutions (e.g., enamine reactions) and additions to carbon-carbon and carbon-heteroatom multiple bonds (e.g., Michael reaction, Diels- Alder addition). These and other useful reactions are discussed in, for example, March, ADVANCED ORGANIC
CHEMISTRY, 3rd Ed., John Wiley & Sons, New York, 1985; Hermanson, BIOCONJUGATE TECHNIQUES, Academic Press, San Diego, 1996; and Feeney et al, MODIFICATION OF PROTEINS; Advances in Chemistry Series, Vol. 198, American Chemical Society, Washington, D.C, 1982.
[0274] Useful reactive functional groups pendent from a sugar nucleus or modifying group include, but are not limited to:
(a) carboxyl groups and various derivatives thereof including, but not limited to, N-hydroxysuccinimide esters, N-hydroxybenztriazole esters, acid halides, acyl imidazoles, thioesters, p-nitrophenyl esters, alkyl, alkenyl, alkynyl and aromatic esters;
(b) hydroxyl groups, which can be converted to, e.g., esters, ethers, aldehydes, etc.
(c) haloalkyl groups, wherein the halide can be later displaced with a nucleophilic group such as, for example, an amine, a carboxylate anion, thiol anion, carbanion, or an alkoxide ion, thereby resulting in the covalent attachment of a new group at the functional group of the halogen atom;
(d) dienophile groups, which are capable of participating in Diels- Alder reactions such as, for example, maleimido groups;
(e) aldehyde or ketone groups, such that subsequent derivatization is possible via formation of carbonyl derivatives such as, for example, imines, hydrazones, semicarbazones or oximes, or via such mechanisms as Grignard addition or alkyllithium addition;
(f) sulfonyl halide groups for subsequent reaction with amines, for example, to form sulfonamides;
(g) thiol groups, which can be, for example, converted to disulfides or reacted with acyl halides;  (h) amine or sulfhydryl groups, which can be, for example, acylated, alkylated or oxidized;
(i) alkenes, which can undergo, for example, cycloadditions, acylation, Michael addition, etc; and (j) epoxides, which can react with, for example, amines and hydroxyl compounds.
[0275] The reactive functional groups can be chosen such that they do not participate in, or interfere with, the reactions necessary to assemble the reactive sugar nucleus or modifying group. Alternatively, a reactive functional group can be protected from participating in the reaction by the presence of a protecting group. Those of skill in the art understand how to protect a particular functional group such that it does not interfere with a chosen set of reaction conditions. For examples of useful protecting groups, see, for example, Greene et al, PROTECTIVE GROUPS IN ORGANIC SYNTHESIS, John Wiley & Sons, New York, 1991.
[0276] In the discussion that follows, a number of specific examples of modified sugars that are useful in practicing the present invention are set forth. In the exemplary embodiments, a sialic acid derivative is utilized as the sugar nucleus to which the modifying group is attached. The focus of the discussion on sialic acid derivatives is for clarity of illustration only and should not be construed to limit the scope of the invention. Those of skill in the art will appreciate that a variety of other sugar moieties can be activated and derivatized in a manner analogous to that set forth using sialic acid as an example. For example, numerous methods are available for modifying galactose, glucose, N-acetylgalactosamine and fucose to name a few sugar substrates, which are readily modified by art recognized methods. See, for example, Elhalabi et al, Curr. Med. Chem. 6: 93 (1999); and Schafer et al, J. Org. Chem. 65: 24 (2000)).
[0277] In an exemplary embodiment, the peptide that is modified by a method of the invention is a glycopeptide that is produced in mammalian cells (e.g., CHO cells) or in a transgenic animal and thus, contains N- and/or O-linked oligosaccharide chains, which are incompletely sialylated. The oligosaccharide chains of the glycopeptide lacking a sialic acid and containing a terminal galactose residue can be PEGylated, PPGylated or otherwise modified with a modified sialic acid.
[0278] In Scheme 4, the amino glycoside 1, is treated with the active ester of a protected amino acid (e.g., glycine) derivative, converting the ,sugar amine residue into the corresponding protected amino acid amide adduct. The adduct is treated with an aldolase to form α-hydroxy carboxylate 2. Compound 2 is converted to the corresponding CMP derivative by the action of CMP-SA synthetase, followed by catalytic hydrogenation of the CMP derivative to produce compound 3. The amine introduced via formation of the glycine adduct is utilized as a locus of PEG attacliment by reacting compound 3 with an activated PEG or PPG derivative (e.g., PEG-C(O)NHS, PEG-OC(O)O-p-nitrophenyl), producing species such as 4 or 5, respectively.
Scheme 4
 CMP-SA-5-NHC0CH
2NH — C(0)0-PEG 5 [0279] Table 3 sets forth representative examples of sugar monophosphates that are derivatized with a PEG moiety. Certain of the compounds of Table 3 are prepared by the method of Scheme 4. Other derivatives are prepared by art-recognized methods. See, for example, Keppler et al, Glycobiology 11: 11R (2001); and Charter et al, Glycobiology 10: 1049 (2000)). Other amine reactive PEG and PPG analogues are commercially available, or they can be prepared by methods readily accessible to those of skill in the art.
 CMP-NeuAc-4-NH-R CMP-NeuAc-4-O-R
[0281] The modified sugar phosphates of use in practicing the present invention can be substituted in other positions as well as those set forth above. Presently preferred substitutions of sialic acid are set forth in the formula below:
in which X is a linking group, which is preferably selected from -O-, -N(H)-, -S, CH
2-, and - N(R)
2, in which each R is a member independently selected from R
!-R
5. The symbols Y, Z, A and B each represent a group that is selected from the group set forth above for the identity of X. X, Y, Z, A and B are each independently selected and, therefore, they can be the same or different. The symbols R
1, R
2, R
3, R
4 and R
5 represent H, a PEG moiety, therapeutic moiety, biomolecule or other moiety. Alternatively, these symbols represent a linker that is bound to a PEG moiety, therapeutic moiety, biomolecule or other moiety.
[0282] Exemplary moieties attached to the conjugates disclosed herein include, but are not limited to, PEG derivatives (e.g., acyl-PEG, acyl-alkyl-PEG, alkyl-acyl-PEG carbamoyl- PEG, aryl-PEG), PPG derivatives (e.g., acyl-PPG, acyl-alkyl-PPG, alkyl-acyl-PPG carbamoyl-PPG, aryl-PPG), therapeutic moieties, diagnostic moieties, mamιose-6-phosphate, heparin, heparan, SLex, mannose, mannose-6-phosphate, Sialyl Lewis X, FGF, VFGF, proteins, chondroitin, keratan, dermatan, albumin, integrins, antennary oligosaccharides, peptides and the like. Methods of conjugating the various modifying groups to a saccharide moiety are readily accessible to those of skill in the art (POLY (ETHYLENE GLYCOL CHEMISTRY : BIOTECHNICAL AND BIOMEDICAL APPLICATIONS, J. Milton Harris, Ed., Plenum Pub. Corp., 1992; POLY (ETHYLENE GLYCOL) CHEMICAL AND BIOLOGICAL APPLICATIONS, J. Milton Harris, Ed., ACS Symposium Series No. 680, American Chemical Society, 1997; Hermanson, BIOCONJUGATE TECHNIQUES, Academic Press, San Diego, 1996; and Dunn et al. , Eds. POLYMERIC DRUGS AND DRUG DELIVERY SYSTEMS, ACS Symposium Series Vol. 469, American Chemical Society, Washington, D.C. 1991).
Linker Groups (Cross-linking Groups)
[0283] Preparation of the modified sugar for use in the methods of the present invention includes attachment of a PEG moiety to a sugar residue and preferably, forming a stable adduct, which is a substrate for a glycosyltransferase. Thus, it is often preferred to use a linker, e.g., one formed by reaction of the PEG and sugar moiety with a cross-linking agent to conjugate the PEG and the sugar. Exemplary bifunctional compounds which can be used for attaching modifying groups to carbohydrate moieties include, but are not limited to, bifunctional poly(ethyleneglycols), polyamides, polyethers, polyesters and the like. General approaches for linking carbohydrates to other molecules are known in the literature. See, for example, Lee et al, Biochemistry 28: 1856 (1989); Bhatia et al, Anal. Biochem. 178: 408 (1989); Janda et al, J. Am. Chem. Soc. 112: 8886 (1990) and Bednarski et al, WO 92/18135. In the discussion that follows, the reactive groups are treated as benign on the sugar moiety of the nascent modified sugar. The focus of the discussion is for clarity of illustration. Those of skill in the art will appreciate that the discussion is relevant to reactive groups on the modifying group as well.
[0284] A variety of reagents are used to modify the components of the modified sugar with intramolecular chemical crosslinks (for reviews of crosslinking reagents and crosslinking procedures see: Wold, F., Meth. Enzymol. 25: 623-651, 1972; Weetall, H. H., and Cooney, D. A., In: ENZYMES AS DRUGS. (Holcenberg, and Roberts, eds.) pp. 395-442, Wiley, New York, 1981; Ji, T. H., Meth. Enzymol 91: 580-609, 1983; Mattson et al, Mol. Biol. Rep. 17: 167- 183, 1993, all of which are incorporated herein by reference). Preferred crosslinking reagents are derived from various zero-length, homo-bifunctional, and hetero-bifunctional crosslinking reagents. Zero-length crosslinking reagents include direct conjugation of two intrinsic chemical groups with no introduction of extrinsic material. Agents that catalyze formation of a disulfide bond belong to this category. Another example is reagents that induce condensation of a carboxyl and a primary amino group to form an amide bond such as carbodiimides, ethylchlorofoπnate, Woodward's reagent K (2-ethyl-5-phenyhsoxazolium-3'- sulfonate), and carbonyldiimidazole. In addition to these chemical reagents, the enzyme transglutaminase (glutamyl-peptide γ-glutamyltransferase; EC 2.3.2.13) may be used as zero- length crosslinking reagent. This enzyme catalyzes acyl transfer reactions at carboxamide groups of protein-bound glutaminyl residues, usually with a primary amino group as substrate. Preferred homo- and hetero-bifunctional reagents contain two identical or two dissimilar sites, respectively, which may be reactive for amino, sulfhydryl, guanidino, indole, or nonspecific groups.
Purification of Factor IX Conjugates
[0285] The products produced by the above processes can be used without purification. However, it is usually preferred to recover the product. Standard, well-known teclmiques for recovery of glycosylated saccharides such as thin or thick layer chromatography, column chromatography, ion exchange chromatography, or membrane filtration can be used. It is preferred to use membrane filtration, more preferably utilizing a reverse osmotic membrane, or one or more column chromatographic techniques for the recovery as is discussed hereinafter and in the literature cited herein. For instance, membrane filtration wherein the membranes have molecular weight cutoff of about 3000 to about 10,000 can be used to remove proteins such as glycosyl transferases. Nanofiltration or reverse osmosis can then be used to remove salts and/or purify the product saccharides (see, e.g., WO 98/15581). Nanofilter membranes are a class of reverse osmosis membranes that pass monovalent salts but retain polyvalent salts and uncharged solutes larger than about 100 to about 2,000 Daltons, depending upon the membrane used. Thus, in a typical application, saccharides prepared by the methods of the present invention will be retained in the membrane and contaminating salts will pass through.
[0286] If the modified glycoprotein is produced intracellularly, as a first step, the particulate debris, either host cells or lysed fragments, is removed, for example, by centrifugation or ultrafiltration; optionally, the protein may be concentrated with a commercially available protein concentration filter, followed by separating the polypeptide variant from other impurities by one or more steps selected from immunoaffinity chromatography, ion-exchange column fractionation (e.g., on diethylaminoethyl (DEAE) or matrices containing carboxymethyl or sulfopropyl groups), chromatography on Blue-Sepharose, CM Blue- Sepharose, MONO-Q, MONO-S, lentil lectin-Sepharose, WGA-Sepharose, Con A- Sepharose, Ether Toyopearl, Butyl Toyopearl, Phenyl Toyopearl, or protein A Sepharose, SDS-PAGE chromatography, silica chromatography, chromatofocusing, reverse phase HPLC (e.g., silica gel with appended aliphatic groups), gel filtration using, e.g., Sephadex molecular sieve or size-exclusion chromatography, chromatography on columns that selectively bind the polypeptide, and ethanol or ammonium sulfate precipitation.
[0287] Modified glycopeptides produced in culture are usually isolated by initial extraction from cells, enzymes, etc., followed by one or more concentration, salting-out, aqueous ion- exchange, or size-exclusion chromatography steps. Additionally, the modified glycoprotein may be purified by affinity chromatography. Finally, HPLC may be employed for final purification steps.
[0288] A protease inhibitor, e.g., methylsulfonylfluoride (PMSF) may be included in any of the foregoing steps to inhibit proteolysis and antibiotics may be included to prevent the growth of adventitious contaminants.
[0289] Within another embodiment, supematants from systems which produce the modified glycopeptide of the invention are first concentrated using a commercially available protein concentration filter, for example, an Amicon or Millipore Pellicon ultrafiltration unit. Following the concentration step, the concentrate may be applied to a suitable purification matrix. For example, a suitable affinity matrix may comprise a ligand for the peptide, a lectin or antibody molecule bound to a suitable support. Alternatively, an anion-exchange resin may be employed, for example, a matrix or substrate having pendant DEAE groups. Suitable matrices include acrylamide, agarose, dextran, cellulose, or other types commonly employed in protein purification. Alternatively, a cation-exchange step may be employed. Suitable cation exchangers include various insoluble matrices comprising sulfopropyl or carboxymethyl groups. Sulfopropyl groups are particularly preferred.
[0290] Finally, one or more RP-HPLC steps employing hydrophobic RP-HPLC media, e.g., silica gel having pendant methyl or other aliphatic groups, may be employed to further purify a polypeptide variant composition. Some or all of the foregoing purification steps, in various combinations, can also be employed to provide a homogeneous modified glycoprotein.
[0291] The modified glycopeptide of the invention resulting from a large-scale fermentation may be purified by methods analogous to those disclosed by Urdal et al, J. Chromatog. 296: 171 (1984). This reference describes two sequential, RP-HPLC steps for purification of recombinant human IL-2 on a preparative HPLC column. Alternatively, techniques such as affinity chromatography may be utilized to purify the modified glycoprotein.
Pharmaceutical Compositions [0292] In another aspect, the invention provides a pharmaceutical composition. The pharmaceutical composition includes a pharmaceutically acceptable diluent and a covalent conjugate between a non-naturally-occurring, PEG moiety, therapeutic moiety or biomolecule and a glycosylated or non-glycosylated Factor IX peptide. The polymer, therapeutic moiety or biomolecule is conjugated to the peptide via an intact glycosyl linking group interposed between and covalently linked to both the peptide and the polymer, therapeutic moiety or biomolecule.
[0293] Pharmaceutical compositions of the invention are suitable for use in a variety of drug delivery systems. Suitable formulations for use in the present invention are found in Remington's Pharmaceutical Sciences, Mace Publishing Company, Philadelphia, PA, 17th ed. (1985). For a brief review of methods for drug delivery, see, Langer, Science 249:1527- 1533 (1990). [0294] The pharmaceutical compositions may be formulated for any appropriate manner of administration, including for example, topical, oral, nasal, intravenous, intracranial, intraperitoneal, subcutaneous or intramuscular administration. For parenteral administration, such as subcutaneous injection, the carrier preferably comprises water, saline, alcohol, a fat, a wax or a buffer. For oral administration, any of the above carriers or a solid carrier, such as mannitol, lactose, starch, magnesium stearate, sodium saccharine, talcum, cellulose, glucose, sucrose, and magnesium carbonate, may be employed. Biodegradable microspheres (e.g., polylactate polyglycolate) may also be employed as carriers for the pharmaceutical compositions of this invention. Suitable biodegradable microspheres are disclosed, for example, in U.S. Patent Nos. 4,897,268 and 5,075,109.
[0295] Commonly, the pharmaceutical compositions are administered parenterally, e.g., intravenously. Thus, the invention provides compositions for parenteral administration which comprise the compound dissolved or suspended in an acceptable carrier, preferably an aqueous carrier, e.g., water, buffered water, saline, PBS and the like. The compositions may contain pharmaceutically acceptable auxiliary substances as required to approximate physiological conditions, such as pH adjusting and buffering agents, tonicity adjusting agents, wetting agents, detergents and the like.
[0296] These compositions may be sterilized by conventional sterilization techniques, or may be sterile filtered. The resulting aqueous solutions may be packaged for use as is, or lyophilized, the lyophilized preparation being combined with a sterile aqueous carrier prior to administration. The pH of the preparations typically will be between 3 and 11, more preferably from 5 to 9 and most preferably from 7 and 8.
[0297] In some embodiments the glycopeptides of the invention can be incorporated into liposomes formed from standard vesicle-forming lipids. A variety of methods are available for preparing liposomes, as described in, e.g., Szoka et al., Ann. Rev. Biophys. Bioeng. 9: 467 (1980), U.S. Pat. Nos. 4,235,871, 4,501,728 and 4,837,028. The targeting of liposomes using a variety of targeting agents (e.g., the sialyl galactosides of the invention) is well known in the art (see, e.g., U.S. Patent Nos. 4,957,773 and 4,603,044).
[0298] Standard methods for coupling targeting agents to liposomes can be used. These methods generally involve incorporation into liposomes of lipid components, such as phosphatidylethanolamine, which can be activated for attachment of targeting agents, or derivatized lipophilic compounds, such as lipid-derivatized glycopeptides of the invention.
[0299] Targeting mechanisms generally require that the targeting agents be positioned on the surface of the liposome in such a manner that the target moieties are available for interaction with the target, for example, a cell surface receptor. The carbohydrates of the invention may be attached to a lipid molecule before the liposome is formed using methods known to those of skill in the art (e.g., alkylation or acylation of a hydroxyl group present on the carbohydrate with a long chain alkyl halide or with a fatty acid, respectively). Alternatively, the liposome may be fashioned in such a way that a connector portion is first incoφorated into the membrane at the time of forming the membrane. The comiector portion must have a lipophilic portion, which is firmly embedded and anchored in the membrane. It must also have a reactive portion, which is chemically available on the aqueous surface of the liposome. The reactive portion is selected so that it will be chemically suitable to form a stable chemical bond with the targeting agent or carbohydrate, which is added later. In some cases it is possible to attach the target agent to the connector molecule directly, but in most instances it is more suitable to use a third molecule to act as a chemical bridge, thus linking the connector molecule which is in the membrane with the target agent or carbohydrate which is extended, three dimensionally, off of the vesicle surface.
[0300] The compounds prepared by the methods of the invention may also find use as diagnostic reagents. For example, labeled compounds can be used to locate areas of inflammation or tumor metastasis in a patient suspected of having an inflammation. For this use, the compounds can be labeled with1251,14C, or tritium.
[0301] The active ingredient used in the pharmaceutical compositions of the present invention is glycopegylated Factor IX and its derivatives having the biological properties of participating in the blood coagulation cascade. The liposomal dispersion of the present invention is useful as a parenteral formulation in treating coagulation disorders characterized by low or defective coagulation such as various forms of hemophilia. Preferably, the Factor IX composition of the present invention is administered parenterally (e.g. IV, IM, SC or IP). Effective dosages are expected to vary considerably depending on the condition being treated and the route of administration but are expected to be in the range of about 0.1 to 000 μg/kg body weight of the active material. Preferable doses for treatment of coagulation disorders are about 50 to about 3000 μg /kg three times a week. More preferrabley, about 500 to about 2000 μg /kg three times a week. More preferrably, about 750 to about 1500 μg /kg three times a week, and more preferrably about 1000 μg /kg three times a week. Because the present invention provides a Factor IX with an enhanced in vivo residence time, the stated dosages are optionally lowered when a composition of the invention is administered. [Are these dosages appropriate?]
[0302] The following examples are provided to illustrate the conjugates, and methods and of the present invention, but not to limit the claimed invention.
EXAMPLES Example 1
Preparation of UDP-GalNAc-6'-CHO
[0303] UDP-GalNAc (200 mg, 0.30 mmoles) was dissolved in a 1 mM CuSO4 solution (20 mL) and a 25 mM NaH2PO4 solution (pH 6.0; 20 mL). Galactose oxidase (240 U; 240 μL) and catalase (13000 U; 130 μL) were then added, the reaction system equipped with a balloon filled with oxygen and stirred at room temperature for seven days. The reaction mixture was then filtered (spin cartridge; MWCO 5K) and the filtrate (~40 mL) was stored at 4° C until required. TLC (silica; EtOH/water (7/2); Rf = 0.77; visualized with anisaldehyde stain).
Example 2
Preparation of UDP-GalNAc-6'-NH2 [0304] Ammonium acetate (15 mg, 0.194 mmoles) and NaBH3CN (IM THF solution; 0.17 mL, 0.17 mmoles) were added to the UDP-GalNAc-6'-CHO solution from above (2 mL or ~ 20 mg) at 0°C and allowed to warm to room temperature overnight. The reaction was filtered through a G-10 column with water and the product collected. The appropriate fractions were freeze-dried and stored frozen. TLC (silica; ethanol/water (7/2); Rf = 0.72; visualized with ninhydrin reagent).
Example 3
Preparation of UDP-GalNAc-6-NHCO(CH2)2-O-PEG-OMe (1 KDa)
[0305] The galactosa inyl- 1 -phosphate-2-NHCO(CH2)2-O-PEG-OMe (1 KDa) (58 mg, 0.045 mmoles) was dissolved in DMF (6 mL ) and pyridine (1.2 mL). UMP-morpholidate (60 mg, 0.15 mmoles) was then added and the resulting mixture stirred at 70°C for 48 h. The solvent was removed by bubbling nitrogen through the reaction mixture and the residue purified by reversed phase chromatography (C-18 silica, step gradient between 10 to 80%, methanol/water). The desired fractions were collected and dried at reduced pressure to yield 50 mg (70%) of a white solid. TLC (silica, propanol/H2O/NH4OH, (30/20/2), Rf = 0.54). MS (MALDI): Observed, 1485, 1529, 1618, 1706.
Example 4
Preparation of Cysteine-PEG2 (2)
4.1 Synthesis of(l) [0306] Potassium hydroxide (84.2 mg, 1.5 mmol, as a powder) was added to a solution of L-cysteine (93.7 mg, 0.75 mmol) in anhydrous methanol (20 mL) under argon. The mixture was stirred at room temperature for 30 min, and then mPEG-O-tosylate of molecular mass 20 kilodalton (Ts; 1.0 g, 0.05 mmol) was added in several portions over 2 hours. The mixture was stirred at room temperature for 5 days, and concentrated by rotary evaporation. The residue was diluted with water (30 mL), and stirred at room temperature for 2 hours to destroy any excess 20 kilodalton mPEG- O-tosylate. The solution was then neutralized with acetic acid, the pH adjusted to pH 5.0 and loaded onto a reverse phase chromatography (C-18 silica) column. The column was eluted with a gradient of methanol/water (the product elutes at about 70% methanol), product elution monitored by evaporative light scattering, and the appropriate fractions collected and diluted with water (500 mL). This solution was chromatographed (ion exchange, XK 50 Q, BIG Beads, 300 mL, hydroxide form; gradient of water to water/acetic acid-0.75N) and the pH of the appropriate fractions lowered to 6.0 with acetic acid. This solution was then captured on a reversed phase column (C-18 silica) and eluted with a gradient of methanol/water as described above. The product fractions were pooled, concentrated, redissolved in water and freeze-dried to afford 453 mg (44%) of a white solid (1). Structural data for the compound were as follows: 1H-NMR (500 MHz; D20) δ 2.83 (t, 2H, O-C-CHi-S), 3.05 (q, 1H, S-CHH-CHN), 3.18 (q, 1H, (q, 1H, S-CHH- CHN), 3.38 (s, 3H, CH3O), 3.7 (t, OCH2CH2O), 3.95 (q, 1H, CHN). The purity of the product was confirmed by SDS PAGE.
4.2 Synthesis of (2)
[0307] Triethylamine (-0.5 mL) was added dropwise to a solution of 1 (440 mg, 22 μmol) dissolved in anhydrous CH2CI2 (30 mL) until the solution was basic. A solution of 20 kilodalton mPEG-O-p-nitrophenyl carbonate (660 mg, 33 μmol) and N-hydroxysuccinimide (3.6 mg, 30.8 μmol) in CH2CI2 (20 mL) was added in several portions over 1 h at room temperature. The reaction mixture was stirred at room temperature for 24 h. The solvent was then removed by rotary evaporation, the residue was dissolved in water (100 L), and the pH adjusted to 9.5 with 1.0 N NaOH. The basic solution was stirred at room temperature for 2 h and was then neutralized with acetic acid to a pH 7.0. The solution was then loaded onto a reversed phase chromatography (C-18 silica) column. The column was eluted with a gradient of methanol/water (the product elutes at about 70% methanol), product elution monitored by evaporative light scattering, and the appropriate fractions collected and diluted with water (500 mL). This solution was chromatographed (ion exchange, XK 50 Q, BIG Beads, 300 mL, hydroxide form; gradient of water to water/acetic acid-0.75N) and the pH of the appropriate fractions lowered to 6.0 with acetic acid. This solution was then captured on a reversed phase column (C-l 8 silica) and eluted with a gradient of methanol/water as described above. The product fractions were pooled, concentrated, redissolved in water and freeze-dried to afford 575 mg (70 %) of a white solid (2). Structural data for the compound were as follows: 1H-NMR (500 MHz; D2O) δ 2.83 (t, 2H, O-C-CH2-S), 2.95 (t, 2H, O-C- CH2-S), 3.12 (q, 1H, S-CHH-CHN), 3.39 (s, 3H CH3O), 3.71 (t, OCEbCHjO). The purity of the product was confirmed by SDS PAGE.
Example 5
Preparation of UDP-GalNAc-6-NHCO(CH2)2-O-PEG-OMe (1 KDa).
[0308] Galactosaminyl-l-ρhosphate-2-NHCO(CH2)2-O-PEG-OMe (1 kilodalton) (58 mg, 0.045 mmoles) was dissolved in DMF (6 mL ) and pyridine (1.2 mL). UMP-morpholidate (60 mg, 0.15 mmoles) was then added and the resulting mixture stirred at 70°C for 48 h. The solvent was removed by bubbling nitrogen through the reaction mixture and the residue purified by reversed phase chromatography (C-18 silica, step gradient between 10 to 80%, methanol/water). The desired fractions were collected and dried at reduced pressure to yield 50 mg (70%) of a white solid. TLC (silica, propanol/H2O/NH4OH, (30/20/2), Rf = 0.54). MS (MALDI): Observed, 1485, 1529, 1618, 1706.
Example 6 GlycoPEGylation of Factor IX produced in CHO cells
[0309] This example sets forth the preparation of asialoFactor IX and its sialylation with CMP-sialic acid-PEG.
6.1 Desialylation of rFactor IX
[0310] A recombinant form of Coagulation Factor IX (rFactor IX ) was made in CHO cells. 6000 IU of rFactor IX were dissolved in a total of 12 mL USP H2O. This solution was, transferred to a Centricon Plus 20, PL-10 centrifugal filter with another 6 mL USP H2O. The solution was concentrated to 2 mL and then diluted with 15 mL 50 M Tris-HCl pH 7.4, 0.15 M NaCl, 5 mM CaCl2, 0.05% NaN3 and then reconcentrated. The dilution/concentration was repeated 4 times to effectively change the buffer to a final volume of 3.0 mL. Of this solution, 2.9 mL (about 29 mg of rFactor IX) was transferred to a small plastic tube and to it was added 530 mU α2-3,6,8-Neuraminidase- agarose conjugate (Vibrio cholerae, Calbiochem, 450 μL). The reaction mixture was rotated gently for 26.5 hours at 32 °C. The mixture was centrifuged 2 minutes at 10,000 rpm and the supernatant was collected. The agarose beads (containing neuraminidase) were washed 6 times with 0.5 mL 50 mM Tris-HCl pH 7.12, 1 M NaCl, 0.05% NaN3. The pooled washings and supematants were centrifuged again for 2 minutes at 10,000 rpm to remove any residual agarose resin. The pooled, desialylated protein solution was diluted to 19 mL with the same buffer and concentrated down to ~ 2 mL in a Centricon Plus 20 PL-10 centrifugal filter. The solution was twice diluted with 15 mL of 50 mM Tris-HCl pH 7.4, 0.15 M NaCl, 0.05% NaN3 and reconcentrated to 2 L. The final desialyated rFactor IX solution was diluted to 3 mL final volume (~10 mg/mL) with the Tris Buffer. Native and desialylated rFactor IX samples were analyzed by IEF-Electrophoresis. Isoelectric Focusing Gels (pH 3-7) were run using 1.5 μL (15 μg) samples first diluted with 10 μL Tris buffer and mixed with 12 μL sample loading buffer. Gels were loaded, run and fixed using standard procedures. Gels were stained with Colloidal Blue Stain (Figure 154), showing a band for desialylated Factor IX. Example 7
Preparation of PEG (1 kDa and 10 kDa)-SA-Factor IX
[0311] Desialylated rFactor-IX (29 mg, 3 mL) was divided into two 1.5 mL (14.5 mg) samples in two 15 mL centrifuge tubes. Each solution was diluted with 12.67 mL 50 mM Tris-HCl pH 7.4, 0.15 M NaCl, 0.05% NaN3 and either CMP-SA-PEG-lk or 10k (7.25 μmol) was added. The tubes were inverted gently to mix and 2.9 U ST3Gal3 (326 μL) was added (total volume 14.5 mL). The tubes were inverted again and rotated gently for 65 hours at 32 °C. The reactions were stopped by freezing at -20 °C. 10 μg samples of the reactions were analyzed by SDS-PAGE. The PEGylated proteins were purified on a Toso Haas Biosep G3000SW (21.5 x 30 cm, 13 um) HPLC column with Dulbecco's Phosphate Buffered Saline, pH 7.1 (Gibco), 6 mL/min. The reaction and purification were monitored using SDS Page and IEF gels. Novex Tris-Glycine 4-20% 1 mm gels were loaded with 10 μL (10 μg) of samples after dilution with 2 μL of 50 mM Tris-HCl, pH 7.4, 150 mM NaCl, 0.05% NaN3 buffer and mixing with 12 μL sample loading buffer and 1 μL 0.5 M DTT and heated for 6 minutes at 85 °C. Gels were stained with Colloidal Blue Stain (Figure 155) showing a band for PEG (1 kDa and 10 kDa)-SA-Factor IX.
Example 8
Direct Sialyl-GlycoPEGylation of Factor IX
[0312] This example sets forth the preparation of sialyl-PEGylation of Factor IX without prior sialidase treatment.
8.1 Sialyl-PEGylation of Factor-IX with CMP-SA-PEG-(10 KDa)
[0313] Factor IX (1100 IU), which was expressed in CHO cells and was fully sialylated, was dissolved in 5 mL of 20 mM histidine, 520 mM glycine, 2% sucrose, 0.05% NaN3 and 0.01% polysorbate 80, pH 5.0. The CMP-SA-PEG-(10 kDa) (27 mg, 2.5 μmol) was then dissolved in the solution and 1 U of ST3Gal3 was added. The reaction was complete after gently mixing for 28 hours at 32°C. The reaction was analyzed by SDS-PAGE as described by Invitrogen. The product protein was purified on an Amersham Superdex 200 (10 x 300 mm, 13 μm) HPLC column with phosphate buffered saline, pH 7.0 (PBS), 1 mL/min. Rt = 9.5 min. Example 9
Sialyl-PEGylation of Factor-IX with CMP-SA-PEG-(20 kDa)
[0314] Factor IX (1100 IU), which was expressed in CHO cells and was fully sialylated, was dissolved in 5 mL of 20 mM histidine, 520 mM glycine, 2% sucrose, 0.05% NaN3 and 0.01% polysorbate 80, pH 5.0. The CMP-SA-PEG-(20 kDa) (50 mg, 2.3 μmol) was then dissolved in the solution and CST-II was added. The reaction mixture was complete after gently mixing for 42 hours at 32°C. The reaction was analyzed by SDS-PAGE as described by Invitrogen.
[0315] The product protein was purified on an Amersham Superdex 200 (10 x 300 mm, 13 μm) HPLC column with phosphate buffered saline, pH 7.0 (Fisher), 1 mL/min. Rt = 8.6 min.
Example 10
Sialic Acid Capping of GlycoPEGylated Factor IX
[0316] This examples sets forth the procedure for sialic acid capping of sialyl- glycoPEGylated peptides. Here, Factor-IX is the exemplary peptide.
10.1 Sialic acid capping of N-linked and O-linked Glycans of Factor-LX-SA-PEG (10 kDa)
[0317] Purified r-Factor-IX-PEG (10 kDa) (2.4 mg) was concentrated in a Centricon® Plus 20 PL-10 (Millipore Corp., Bedford, MA) centrifugal filter and the buffer was changed to 50 mM Tris-HCl pH 7.2, 0.15 M NaCl, 0.05% NaN3 to a final volume of 1.85 mL. The protein solution was diluted with 372 μL of the same Tris buffer and 7.4 mg CMP-SA (12 μmol) was added as a solid. The solution was inverted gently to mix and 0.1 U ST3Gall and 0.1 U ST3Gal3 were added. The reaction mixture was rotated gently for 42 hours at 32 °C.
[0318] A 10 μg sample of the reaction was analyzed by SDS-PAGE. Novex Tris-Glycine 4-12% 1 mm gels were performed and stained using Colloidal Blue as described by Invitrogen. Briefly, samples, 10 μL (10 μg), were mixed with 12 μL sample loading buffer and 1 μL 0.5 M DTT and heated for 6 minutes at 85 °C (Figure 156, lane 4).
Example 11
Glycopegylated Factor IX Pharmacokinetic Study  [0319] Four glycoPEGylated FIX variants (PEG-9 variants) were tested in a PK study in normal mice. The activity of the four compounds had previously been established in vitro by clot, endogenous thrombin potential (ETP), and thromboelastograph (TEG) assays. The activity results are summarized in Table I.
 [0320] To assess the prolongation of activity of the four PEG-9 compounds in circulation, a PK study was designed and perfoπned. Non-hemophilic mice were used, 2 animal per time point, 3 samples per animal. Sampling time points were 0, 0.08, 0.17, 0.33, 1, 3, 5, 8, 16, 24, 30, 48, 64, 72, and 96 h post compound administration. Blood samples were centrifuged and stored in two aliquots; one for clot analysis and one for ELISA. Due to material restrictions, the PEG-9 compounds were dosed in different amounts: BeneFIX 250 U/kg; 2K(low substitution: "LS" (1-2 PEG substitutions per peptide molecule) 200 U/kg; 2K(high substitution: "HS" (3-4 PEG substitutions per peptide molecule) 200 U/kg; 1 OK 100 U/kg; 30K 100 U/kg. All doses were based on measured clotting assay units.
[0321] The results are outlined in FIG. 6 and Table II.
Table II
 [0322] The results demonstrate a trend towards prolongation for all the PEG-9 compounds. The values of AUC and Cmax were not compared directly. However, clearance (CL) was compared and CL is lower for the PEG-9 compounds compared to BeneFIX, indicating a longer residence time in the mice. The time for the last detectable clot activity is increased for the PEG-9 compounds compared to BeneFIX, even though BeneFIX was administered at the highest dose.
Example 12 Preparation of LS and HS GlycoPEGylated Factor IX [0323] GlycoPEGylated Factor IX with a low degree of substitution with PEG were prepared from native Factor IX by an exchange reaction catalyzed by ST3Gal-III. The reactions were performed in a buffer of 10 mM histidine, 260 mM glycine, 1% sucrose and 0.02% Tween 80, pH 7.2. For PEGylation with CMPSA-PEG (2 kD and 10 kD), Factor IX (0.5 mg/mL) was incubated with ST3GalIII (50 mU/n L) and CMP-SA-PEG (0.5 mM) for 16 h at 32°C. For PEGylation with CMP-SA-PEG 30 kD, the concentration of Factor IX was increased to 1.0 mg/mL, and the concentration of CMP-SA-PEG was decreased to 0.17 mM. Under these conditions, more than 90% of the Factor IX molecules were substituted with at least one PEG moiety.
[0324] GlycoPEGylated Factor IX with a high degree of substitution with PEG were prepared by enzymatic desialylation of native Factor IX. The Factor IX peptide was buffer exchanged into 50 mM mES, pH 6.0, using a PD10 column, adjusted to a concentration of 0.66 mg/mL and treated with AUS sialidase (5 mU/mL) for 16 h at 32°C. Desialylation was verified by SDS-PAGE, HPLC and MALDI glycan analysis. Asialo Factor IX was purified on Q Sepharose FF to remove the sialidase. The CaCi2 fraction was concentrated using an Ultral5 concentrator and buffer exchanged into MES, pH 6.0 using a PD10 column.
[0325] 2kD and 10 kD PEGylation of asialo-Factor IX (0.5 mg/mL) was carried out by incubation with ST3Gal-III (50 mU/mL) and CMP-SA-PEG (0.5 mM) at 32°C for 16h. For PEGylation with CMPS A-PEG-30kD, the concentration of Factor IX was increased to 1.0 mg/mL and the concentration of CMP-SA-PEG was decreased to 0.17 M. After 16 h of PEGylation, glycans with terminal galactose were capped with sialic acid by adding 1 mM CMP-SA and continuing the incubation for an additional 8 h at 32°C. Under these conditions, more than 90% of the Factor IX molecules were substituted with at least one PEG moiety. Factor IX produced by this method has a higher apparent molecular weight in SDS-PAGE.
Example 13
Preparation of O-GlycoPEGylated Factor IX
[0326] O-glycan chains were introduced de novo into native Factor IX (1 mg/mL) by incubation of the peptide with GalNAcT-II (25mU/mL) and 1 mM UDP-GalNAc at 32°C. After 4 h of incubation, the PEGylation reaction was initiated by adding CMPSA-PEG (2Kd or lOKd at 0.5 mM or 30 kDd at 0.17 mM) and ST6GalNAc-I (25 mU/mL) and incubating for an additional 20 h.
[0327] It is understood that the examples and embodiments described herein are for illustrative purposes only and that various modifications or changes in light thereof will be suggested to persons skilled in the art and are to be included within the spirit and purview of this application and scope of the appended claims. All publications, patents, and patent applications cited herein are hereby incorporated by reference in their entirety for all purposes.