Movatterモバイル変換


[0]ホーム

URL:


WO2005051300A2 - Bicyclic inhibitors of mek and methods of use thereof - Google Patents

Bicyclic inhibitors of mek and methods of use thereof
Download PDF

Info

Publication number
WO2005051300A2
WO2005051300A2PCT/US2004/039059US2004039059WWO2005051300A2WO 2005051300 A2WO2005051300 A2WO 2005051300A2US 2004039059 WUS2004039059 WUS 2004039059WWO 2005051300 A2WO2005051300 A2WO 2005051300A2
Authority
WO
WIPO (PCT)
Prior art keywords
heteroaryl
aryl
trifluoromethyl
halogen
alkyl
Prior art date
Application number
PCT/US2004/039059
Other languages
French (fr)
Other versions
WO2005051300A3 (en
Inventor
Eli Wallace
Hong Woon Yang
Joseph P. Lyssikatos
Original Assignee
Array Biopharma Inc.
Priority date (The priority date is an assumption and is not a legal conclusion. Google has not performed a legal analysis and makes no representation as to the accuracy of the date listed.)
Filing date
Publication date
Application filed by Array Biopharma Inc.filedCriticalArray Biopharma Inc.
Priority to AU2004293017ApriorityCriticalpatent/AU2004293017B2/en
Priority to AT04811726Tprioritypatent/ATE524443T1/en
Priority to CA2545659Aprioritypatent/CA2545659C/en
Priority to JP2006541580Aprioritypatent/JP5046649B2/en
Priority to HK06109818.5Aprioritypatent/HK1089659B/en
Priority to EP04811726Aprioritypatent/EP1689387B1/en
Priority to PL04811726Tprioritypatent/PL1689387T3/en
Publication of WO2005051300A2publicationCriticalpatent/WO2005051300A2/en
Publication of WO2005051300A3publicationCriticalpatent/WO2005051300A3/en

Links

Classifications

Definitions

Landscapes

Abstract

Disclosed are compounds of the Formula (I) and pharmaceutically acceptable salts and prodrugs thereof, wherein R1, R2, R7, R8, R9, R10, R20, R21, and R22 are as defined in the specification. Such compounds are MFK inhibitors and useful in the treatment of hyperproliferative diseases, such as cancer and inflammation, in mammals, and inflammatory conditions. Also disclosed are methods of using such compounds in the treatment of hyperproliferative diseases in mammals and pharmaceutical compositions containing such compounds.

Description

BICYCLIC INHIBITORS OF MEK AND METHODS OF USE THEREOF
[0001] This application claims benefit of U.S. Provisional Application Serial No. 60/523,270, filed November 19, 2003, incorporated herein in its entirety by this reference. BACKGROUND OF THE INVENTION 1. Field of the Invention [0002] This invention relates to a series of novel heterocyclic compounds that are useful in the treatment of hyperproliferative diseases, such as cancer and inflammation, in mammals. This invention also relates to a method of using such compounds in the treatment of hyperproliferative diseases in mammals, especially humans, and to pharmaceutical compositions containing such compounds.
2. Description of the state of the art [0003] Cell signaling through growth factor receptors and protein kinases is an important regulator of cell growth, proliferation and differentiation. In normal cell growth, growth factors, through receptor activation (i.e., PDGF or EGF and others), activate MAP kinase pathways. One of the most important and most well understood MAP kinase pathways involved in normal and uncontrolled cell growth is the Ras Raf kinase pathway. Active GTP-bound Ras results in the activation and indirect phosphorylation of Raf kinase. Raf then phosphorylates MEK1 and 2 on two serine residues (S218 and S222 for MEK1 and S222and S226 for MEK2) (Ahn et al, Methods in Enzymology, 2001, 332, 417-431). Activated MEK then phosphorylates its only known substrates, the MAP kinases, ERK1 and 2. ERK phosphorylation by MEK occurs on Y204 and T202 for ERK1 and Y185 and T183 for ERK2 (Ahn et al, Methods in Enzymology, 2001, 332, 417-431). Phosphorylated ERK dimerizes and then translocates to the nucleus where it accumulates (Khokhlatchev et al, Cell, 1998, 93, 605-615). In the nucleus, ERK is involved in several important cellular functions,including, but not limited to, nuclear transport, signal transduction, DNA repair, nucleosome assembly and translocation, and mRNA processing and translation (Ahn et al, Molecular Cell, 2000, 6, 1343-1354). Overall, treatment of cells with growth factors leads to the activation of ERK1 and 2 which results in proliferation and, in some cases, differentiation (Lewis et al, Adv. Cancer Res., 1998, 74, 49-139). [0004] h proliferative diseases, genetic mutations and/or overexpression of the growth factor receptors, downstream signaling proteins, or protein kinases involved in the ERK kinase pathway lead to uncontrolled cell proliferation and, eventually, tumor formation. For example, some cancers contain mutations which result in the continuous activation of this pathway due to continuous production of growth factors. Other mutations can lead to defects in the deactivation of the activated GTP-bound Ras complex, again resulting in activation of the MAP kinase pathway. Mutated, oncogenic forms of Ras are found in 50% of colon and >90% pancreatic cancers as well as many others types of cancers (Kohl et al, Science, 1993, 260, 1834-1837). Recently, bRaf mutations have been identified in more than 60% of malignant melanoma (Davies, H. et al, Nature, 2002, 417, 949-954). These mutations in bRaf result in a constitutively active MAP kinase cascade. Studies of primary tumor samples and cell lines have also shown constitutive or overactivation of the MAP kinase pathway in cancers of pancreas, colon, lung, ovary and kidney (Hoshino, R. et al, Oncogene, 1999, 18, 813-822). Hence, there is a strong correlation between cancers and an overactive MAP kinase pathway resulting from genetic mutations.
[0005] As constitutive or overactivation of MAP kinase cascade plays a pivotal role in cell proliferation and differentiation, inhibition of this pathway is believed to be beneficial in hype roliferative diseases. MEK is a key player in this pathway as it is downstream of Ras and Raf. Additionally, it is an attractive therapeutic target because the only known substrates for MEK phosphorylation are the MAP kinases, ERKl and 2. Inhibition of MEK has been shown to have potential therapeutic benefit in several studies. For example, small molecule MEK inhibitors have been shown to inhibit human tumor growth in nude mouse xenografts, (Sebolt-Leopold et al, Nature-Medicine, 1999, 5 (7), 810-816; Trachet et al., AACR April 6-10, 2002, Poster #5426; Tecle, H., LBC 2nd International Conference of Protein Kinases, September 9-10, 2002), block static allodynia in animals (WO 01/05390 published January 25, 2001) and inhibit growth of acute myeloid leukemia cells (Milella et al, J. C . Invest, 2001, 108 (6), 851-859).
[0006] Small molecule inhibitors of MEK have been disclosed, including in U.S.
Patent Publication Nos. 2003/0232869, 2004/0116710, and 2003/0216460, and U.S. Patent Application Serial Nos. 10/654,580 and 10/929,295, each of which is hereby incorporated by reference. At least fifteen additional patent applications have appeared in the last several years. See, for example: U.S. Patent No. 5,525,625; WO 98/43960; WO 99/01421; WO 99/01426; WO 00/41505; WO 00/42002; WO 00/42003; WO 00/41994; WO 00/42022; WO 00/42029; WO 00/68201; WO 01/68619; WO 02/06213; WO 03/077914; and WO 03/077855. SUMMARY OF THE INVENTION [0007] This invention provides for novel heterocyclic compounds, and pharmaceutically acceptable salts and prodrugs thereof that are useful in the treatment of hyperproliferative diseases. Specifically, one aspect the present invention relates to compounds of Formulas I-III that act as MEK inhibitors.
[0008] More specifically, one embodiment of the present invention provides compounds of the Formulas I-III:
Figure imgf000004_0001
Figure imgf000004_0002
III
[0009] and pharmaceutically accepted salts, prodrugs and solvates thereof, wherein: [0010] R ,ι , R , R , R ,9 , R τ,20 and R »21 are independently hydrogen, hydroxy, halogen, cyano, nitro, trifluoromethyl, difluoromethyl, fluoromethyl, fluoromethoxy, difluoromethoxy, trifluoromethoxy, azido, -SR11, -OR3, -C(O)R3, -C(O)OR35 -NR4C(O)OR6, -OC(O)R3, -NR4SO2R^, -SO2NR3R4, -NR4C(O)R3, -C(O)NR3R4, -NR5C(O)NR3R4, -NR5C(NCN)NR3R4, -NR3R4, Ci-Cio alkyl, C2-C10 alkenyl, C2-C10 alkynyl, C3-C10 cycloalkyl, C3-C10 cycloalkylalkyl, -S(O)j(Cι-C6 alkyl), -S(O)j(CR4R5)m-aryl, aryl, arylalkyl, heteroaryl, eteroarylalkyl, heterocyclyl, heterocyclylalkyl, -O(CR4R5)m-aryl, -NR4(CR4R5)m-aryl, -O(CR4R5)m-heteroaryl, -NR4(CR4R5)m-heteroaryl, -O(CR4R5)m-heterocyclyl or -NR4(CR4R5)m-heterocyclyl, wherein any of said alkyl, alkenyl, alkynyl, cycloalkyl, aryl, arylalkyl, heteroaryl, heteroarylalkyl, heterocyclyl and heterocyclylalkyl portions are optionally substituted with one or more groups independently selected from oxo (with the proviso that it is not substituted on a aryl or heteroaryl), halogen, cyano, nitro, trifluoromethyl, difluoromethyl, fluoromethyl, fluoromethoxy, difluoromethoxy, trifluoromethoxy, azido, -NR4SO2R6, -SO2NR3R4, -C(O)R3, -C(O)OR3, -OC(O)R3, -NR4C(O)OR6, -NR4C(O)R3, -C(O)NR3R4, -NR3R4, -NR5C(O)NR3R4, -NR5C(NCN)NR3R4, -OR3, aryl, heteroaryl, arylalkyl, heteroarylalkyl, heterocyclyl and heterocyclylalkyl, and wherein any of said cycloalkyl, heterocycloalkyl, aryl or heteroaryl rings may be further substituted with one or more groups independently selected from halogen, hydroxyl, cyano, nitro, azido, fluoromethyl, difluoromethyl, trifluoromethyl, C1-C4 alkyl, C2-C4 alkenyl, C2-C4 alkynyl, C3-C6 cycloalkyl, C3-C6 heterocycloalkyl, NR3R4 and OR3;
[0011] R7 is hydrogen, trifluoromethyl, C1-C1.0 alkyl, C2-C10 alkenyl, C2-C10 alkynyl,
C3-C10 cycloalkyl, C3-C10 cycloalkylalkyl, aryl, arylalkyl, heteroaryl, heteroarylalkyl, heterocyclyl, or heterocyclylalkyl, wherein any of said alkyl, alkenyl, alkynyl, cycloalkyl, aryl, arylalkyl, heteroaryl, heteroarylalkyl, heterocyclyl and heterocyclylalkyl portions are optionally substituted with one or more groups independently selected from oxo (with the proviso that it is not substituted on a aryl or heteroaryl), halogen, cyano, nitro, trifluoromethyl, difluoromethyl, fluoromethyl, fluoromethoxy, difluoromethoxy, trifluoromethoxy, azido, -NRπSO2R14, -SO2NRπR12, -C(O)Rn, C(O)ORn, -OC(O)Rπ, -NRπC(O)OR14, -NRnC(O)R12, -C(O)NRπR12, -SR11, -S(O)R14, -SO2R14, -NRπR12, -NRπC(O)NR12R13, -NRπC(NCN)NR12R13, -OR11, Cι-Cι0 alkyl, C2-C10 alkenyl, C2-C10 alkynyl, C3-C10 cycloalkyl, aryl, heteroaryl, arylalkyl, heteroarylalkyl, heterocyclyl and heterocyclylalkyl, and wherein any of said cycloalkyl, heterocycloalkyl, aryl or heteroaryl rings may be further substituted with one or more groups independently selected from halogen, hydroxyl, cyano, nitro, azido, fluoromethyl, difluoromethyl, trifluoromethyl, C1-C4 alkyl, C2-C4 alkenyl, C2-C alkynyl, C3-C6 cycloalkyl, C3-C6 heterocycloalkyl, NR3R4 and OR3;
[0012] where for Formula I, R10 and R22 are independently hydrogen, cyano, nitro, trifluoromethyl, difluoromethyl, fluoromethyl, fluoromethoxy, difluoromethoxy, trifluoromethoxy, azido, -C(O)R3, -C(O)OR3, -SO2NR3R4, -C(O)NR3R4, Cj-Cio alkyl, C2-C10 alkenyl, C2-C10 alkynyl, C3-C10 cycloalkyl, C3-C10 cycloalkylalkyl, -S(O)j(Cι-C6 alkyl), - S(O)j(CR4R5)m-aryl, aryl, arylalkyl, heteroaryl, heteroarylalkyl, heterocyclyl or heterocyclylalkyl, wherein any of said alkyl, alkenyl, alkynyl, cycloalkyl, aryl, arylalkyl, heteroaryl, heteroarylalkyl, heterocyclyl and heterocyclylalkyl portions are optionally substituted with one or more groups independently selected from oxo (with the proviso that it is not substituted on a aryl or heteroaryl), halogen, cyano, nitro, trifluoromethyl, difluoromethoxy, trifluoromethoxy, azido, -NR4SO2R6, -SO2NR3R4, -C(O)R3, -C(O)OR3, -OC(O)R3, -NR4C(O)OR6, -NR4C(O)R3, -C(O)NR3R4, -NR3R4, -NR5C(O)NR3R4, -NR5C(NCN)NR3R4, -OR3, aryl, heteroaryl, arylalkyl, heteroarylalkyl, heterocyclyl and heterocyclylalkyl, and wherein any of said aryl, heteroaryl, arylalkyl, heteroarylalkyl, heterocyclyl or heterocyclylalkyl rings may be further substituted with one or more groups independently selected from halogen, hydroxyl, cyano, nitro, azido, fluoromethyl, difluoromethyl, trifluoromethyl, C1.-C4 alkyl, C2-C4 alkenyl, C2-C4 alkynyl, C3-C6 cycloalkyl, C3-C6 heterocycloalkyl, NR3R4 and OR3;
[0013] and where for Formula II, R10 is hydrogen, halogen, cyano, nitro, trifluoromethyl, difluoromethyl, fluoromethyl, fluoromethoxy difluoromethoxy, trifluoromethoxy, azido, -SR11, -OR3, -C(O)R3, -C(O)OR3, -NR4C(O)OR6, -OC(O)R3, - NR4SO2R6, -SO2NR3R4, -NR4C(O)R3, -C(O)NR3R4, -NR5C(O)NR3R4, -NR5C(NCN)NR3R4, - NR3R4, C1-C10 alkyl, C2-Cιo alkenyl, C2-C10 alkynyl, C3-C10 cycloalkyl, C3-C10 cycloalkylalkyl, -S(O)j(Cι-C6 alkyl), -S(O)j(CR4R5)m-aryl, aryl, arylalkyl, heteroaryl, heteroarylalkyl, heterocyclyl, heterocyclylalkyl, -O(CR4R5)m-aryl, -NR4(CR4R5)m-aryl, -O(CR4R5)m-heteroaryl, -NR4(CR4R5)m-heteroaryl, -O(CR4R5)m-heterocyclyl or -NR4(CR4R5)m-heterocyclyl, wherein any of said alkyl, alkenyl, alkynyl, cycloalkyl, aryl, arylalkyl, heteroaryl, heteroarylalkyl, heterocyclyl and heterocyclylalkyl portions are optionally substituted with one or more groups independently selected from oxo (with the proviso that it is not substituted on a aryl or heteroaryl), halogen, cyano, nitro, trifluoromethyl, difluoromethoxy, trifluoromethoxy, azido, -NR4SO2R6, -SO2NR3R4, -C(O)R3, -C(O)OR3, -OC(O)R3, -NR4C(O)OR6, -NR4C(O)R3, -C(O)NR3R4, -NR3R4, -NR5C(O)NR3R4, -NR5C(NCN)NR3R4, -OR3, aryl, heteroaryl, arylalkyl, heteroarylalkyl, heterocyclyl and heterocyclylalkyl, and wherein any of said aryl, heteroaryl, arylalkyl, heteroarylalkyl, heterocyclyl or heterocyclylalkyl rings may be further substituted with one or more groups independently selected from halogen, hydroxyl, cyano, nitro, azido, fluoromethyl, difluoromethyl, trifluoromethyl, Cι-C4 alkyl, C2-C4 alkenyl, C2-C4 alkynyl, C3- C6 cycloalkyl, C3-C6 heterocycloalkyl, NR3R4 and OR3;
[0014] R23 is hydrogen, trifluoromethyl, C do alkyl, C2-C10 alkenyl, C -Cιo alkynyl,
C3-C10 cycloalkyl, C3-C10 cycloalkylalkyl, aryl, arylalkyl, heteroaryl, heteroarylalkyl, heterocyclyl, or heterocyclylalkyl, wherein any of said alkyl, alkenyl, alkynyl, cycloalkyl, aryl, arylalkyl, heteroaryl, heteroarylalkyl, heterocyclyl and heterocyclylalkyl portions are optionally substituted with one or more groups independently selected from oxo (with the proviso that it is not substituted on a aryl or heteroaryl), halogen, cyano, nitro, trifluoromethyl, difluoromethyl, fluoromethyl, fluoromethoxy, difluoromethoxy, trifluoromethoxy, azido, -NRnSO2R14, -SO2NRπR12, -C(O)Rn, C(O)ORπ, -OC(O)Rπ, -NRnC(O)OR14, -NRπC(O)R12, -C(O)NRπR12, -SR11, -S(O)R14, -SO2R14, -NRnR12, -NRπC(O)NR12R13, -NRπC(NCN)NR12R13, -OR11, d-C10 alkyl, C2-C10 alkenyl, C2-C10 alkynyl, C3-C10 cycloalkyl, aryl, heteroaryl, arylalkyl, heteroarylalkyl, heterocyclyl and heterocyclylalkyl, and wherein any of said cycloalkyl, heterocycloalkyl, aryl or heteroaryl rings may be further substituted with one or more groups independently selected from halogen, hydroxyl, cyano, nitro, azido, fluoromethyl, difluoromethyl, trifluoromethyl, C1-C4 alkyl, C2-C4 alkenyl, C2-C4 alkynyl, C3-C6 cycloalkyl, C3-C6 heterocycloalkyl, NR3R4 and OR3;
[0015] R3 is hydrogen, trifluoromethyl, -do alkyl, C2-C10 alkenyl, C -C10 alkynyl,
C3-C10 cycloalkyl, C3-C10 cycloalkylalkyl, aryl, arylalkyl, heteroaryl, heteroarylalkyl, heterocyclyl, heterocyclylalkyl, phosphate or an amino acid residue, wherein any of said alkyl, alkenyl, alkynyl, cycloalkyl, aryl, arylalkyl, heteroaryl, heteroarylalkyl, heterocyclyl and heterocyclylalkyl portions are optionally substituted with one or more groups independently selected from oxo (with the proviso that it is not substituted on a aryl or heteroaryl), halogen, cyano, nitro, trifluoromethyl, difluoromethoxy, trifluoromethoxy, azido, -NRπSO2R14, -SO2NRπR12, -C(O)Ru, C(O)ORn, -OC(O)Rπ, -NRnC(O)OR14, - NRπC(O)R12, -C(O)NRπR12, -SR11, -S(O)R14, -SO2R14, -NRπR12, -NRnC(O)NR12R13, -
NRπC(NCN)NR12R13, -OR11, aryl, heteroaryl, arylalkyl, heteroarylalkyl, heterocyclyl and heterocyclylalkyl,
[0016] or R3 and R4 together with the atom to which they are attached form a 4 to 10 membered carbocyclic, heteroaryl or heterocychc ring, wherein any of said carbocychc, heteroaryl or heterocychc rings are optionally substituted with one or more groups independently selected from halogen, cyano, nitro, trifluoromethyl, difluoromethoxy, trifluoromethoxy, azido, -NRπSO2R14, -SO2NRnR12, -C(O)Rπ, C(O)ORπ, -OC(O)Ru, -
NRπC(O)OR14, -NRπC(O)R12, -C(O)NRnR12, -SR11, -S(O)R14, -SO2R14, -NRπR12,
-NRuC(O)NR12R13, -NRnC(NCN)NR12R13, -OR11, aryl, heteroaryl, arylalkyl, heteroarylalkyl, heterocyclyl, and heterocyclylalkyl;
[0017] R4 and R5 independently are hydrogen or d-C6 alkyl, or
[0018] R4 and R5 together with the atom to which they are attached form a 4 to 10 membered carbocyclic, heteroaryl or heterocychc ring, wherein any of said alkyl or any of said carbocyclic, heteroaryl and heterocychc rings are optionally substituted with one or more groups independently selected from halogen, cyano, nitro, trifluoromethyl, difluoromethoxy, trifluoromethoxy, azido, -NRπSO2R14, -SO2NRπR12, -C(O)Rπ, C(O)ORπ, -OC(O)Rπ, -
NRuC(O)OR14, -NRnC(O)R12, -C(O)NRπR12, -SR11, -S(O)R14, -SO2R14, -NRπR12,
-NRnC(O)NR12R13, -NRπC(NCN)NR12R13, -OR11, aryl, heteroaryl, arylalkyl, heteroarylalkyl, heterocyclyl, and heterocyclylalkyl;
[0019] R6 is trifluoromethyl, d-C10 alkyl, C3-C10 cycloalkyl, aryl, arylalkyl, heteroaryl, heteroarylalkyl, heterocyclyl or heterocyclylalkyl, wherein any of said alkyl, cycloalkyl, aryl, arylalkyl, heteroaryl, heteroarylalkyl, heterocyclyl and heterocyclylalkyl portions are optionally substituted with one or more groups independently selected from oxo
(with the proviso that it is not substituted on a aryl or heteroaryl), halogen, cyano, nitro, trifluoromethyl, difluoromethoxy, trifluoromethoxy, azido, -NRπSO2R14, -SO2NRπR12,
-C(O)Rπ, C(O)ORπ, -OC(O)Rπ, -NRπC(O)OR14, -NRπC(O)R12, -C(O)NRπR12, -SR11,
-S(O)R14, -SO2R14, -NRπR12, -NRnC(O)NR12R13, -NR11C(NCN)NR12R13, -OR11, aryl, heteroaryl, arylalkyl, heteroarylalkyl, heterocyclyl, and heterocyclylalkyl;
[0020] R11, R12 and R13 independently are hydrogen, lower alkyl, lower alkenyl, aryl or arylalkyl, and R14 is lower alkyl, lower alkenyl, aryl or arylalkyl;
[0021] or any two of R11, R12, R13 or R14 together with the atom to which they are attached form a 4 to 10 membered carbocyclic, heteroaryl or heterocychc ring, wherein any of said alkyl, alkenyl, aryl, arylalkyl carbocyclic rings, heteroaryl rings or heterocychc rings are optionally substituted with one or more groups independently selected from halogen, cyano, nitro, trifluoromethyl, difluoromethoxy, trifluoromethoxy, azido, aryl, heteroaryl, arylalkyl, heteroarylalkyl, heterocyclyl, and heterocyclylalkyl;
[0022] m is 0, 1, 2, 3, 4 or 5;
[0023] n is 1 or 2; and
[0024] j is 0, 1 or 2.
[0025] In a further aspect the present invention provides compositions that inhibit
MEK comprising compounds of Formulas I-III.
[0026] The invention is also directed to pharmaceutically acceptable prodrugs, pharmaceutically active metabolites, and pharmaceutically acceptable salts of compounds of
Formula I-III. Methods of making the compounds of Formula I-III are also described.
[0027] In a further aspect the present invention provides a method of using the compounds of this invention to treat diseases or medical conditions mediated by MEK, such as cancer. For example, this invention provides a method for treatment of a hyperproliferative disorder or an inflammatory condition in a mammal, comprising administrating to said mammal one or more compounds of Formulas I-III or a pharmaceutically acceptable salt or prodrug thereof in an amount effective to treat said hyperproliferative disorder.
[0028] In a further aspect the present invention provides treating or preventing an
MEK-mediated condition, comprising administering to a human or animal in need thereof a pharmaceutical composition comprising a compound of Formula I-III or a pharmaceutically- acceptable salt or in vivo cleavable prodrug thereof in an amount effective to treat or prevent said MEK-mediated condition.
[0029] The inventive compounds may further be used advantageously in combination with other known therapeutic agents.
[0030] The invention also relates to pharmaceutical compositions comprising an effective amount of a compound selected from compounds of Formulas I-III, or pharmaceutically acceptable prodrugs, pharmaceutically active metabolites or pharmaceutically acceptable salt thereof.
[0031] Additional advantages and novel features of this invention shall be set forth in part in the description that follows, and in part will become apparent to those skilled in the art upon examination of the following specification or may be learned by the practice of the invention. The advantages of the invention may be realized and attained by means of the instrumentalities, combinations, compositions, and methods particularly pointed out in the appended claims. BRIEF DESCRIPTION OF THE FIGURES [0032] The accompanying drawings, which are incorporated herein and form a part of the specification, illustrate non-limiting embodiments of the present invention, and together with the description, serve to explain the principles of the invention. In the Figures:
[0033] Figure 1 shows a reaction scheme for the synthesis of compounds 5-6.
[0034] Figure 2 shows a reaction scheme for the synthesis of compound 6.
[0035] Figure 3 and 4 show reaction schemes for the synthesis of compound 8.
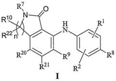
[0036] Figure 5 shows a reaction scheme for the synthesis of compounds 11-12. DETAILED DESCRIPTION OF THE INVENTION [0037] The inventive compounds of the Formulas I-III and the pharmaceutically acceptable salts and prodrugs thereof of this invention are useful in the treatment of hyperproliferative diseases. Specifically, one aspect the present invention relates to compounds of Formula I-III that act as MEK inhibitors. In general, one embodiment of the invention relates to compounds having the general Formula I:
Figure imgf000010_0001
I
[0038] and pharmaceutically accepted salts, prodrugs and solvates thereof, wherein:
[0039] R1, R2, R8, R9, R20 and R21 are independently hydrogen, hydroxy, halogen, cyano, nitro, trifluoromethyl, difluoromethyl, fluoromethyl, fluoromethoxy, difluoromethoxy, trifluoromethoxy, azido, -SR11, -OR3, -C(O)R3, -C(O)OR3, -NR4C(O)OR6, -OC(O)R3,
-NR4SO2R6, -SO2NR3R4, -NR4C(O)R3, -C(O)NR3R4, -NR5C(O)NR3R4, -NR5C(NCN)NR3R4,
-NR3R4, Ci-Cio alkyl, C2-C10 alkenyl, C2-C10 alkynyl, C3-C10 cycloalkyl, C3-C10 cycloalkylalkyl, -S(O)j(C1-C6 alkyl), -S(O)j(CR4R5)m-aryl, aryl, arylalkyl, heteroaryl, heteroarylalkyl, heterocyclyl, heterocyclylalkyl, -O(CR4R5)m-aryl, -NR4(CR4R5)m-aryl, -O(CR4R5)m-heteroaryl, -NR4(CR4R5)m-heteroaryl, -O(CR4R5)m-heterocyclyl or -NR4(CR4R5)m-heterocyclyl, wherein any of said alkyl, alkenyl, alkynyl, cycloalkyl, aryl, arylalkyl, heteroaryl, heteroarylalkyl, heterocyclyl and heterocyclylalkyl portions are optionally substituted with one or more groups independently selected from oxo (with the proviso that it is not substituted on a aryl or heteroaryl), halogen, cyano, nitro, trifluoromethyl, difluoromethyl, fluoromethyl, fluoromethoxy, difluoromethoxy, trifluoromethoxy, azido, -NR4SO2R6, -SO2NR3R4, -C(O)R3, -C(O)OR3, -OC(O)R3, -NR4C(O)OR6, -NR4C(O)R3, -C(O)NR3R4, -NR3R4, -NR5C(O)NR3R4, -NR5C(NCN)NR3R4, -OR3, aryl, heteroaryl, arylalkyl, heteroarylalkyl, heterocyclyl and heterocyclylalkyl, and wherein any of said cycloalkyl, heterocycloalkyl, aryl or heteroaryl rings may be further substituted with one or more groups independently selected from halogen, hydroxyl, cyano, nitro, azido, fluoromethyl, difluoromethyl, trifluoromethyl, d-C4 alkyl, C -C4 alkenyl, C2-C4 alkynyl, C3-C6 cycloalkyl, C3-C6 heterocycloalkyl, NR3R4 and OR3;
[0040] R7 is hydrogen, trifluoromethyl, d-do alkyl, C2-C10 alkenyl, C2-C10 alkynyl,
C3-Cιo cycloalkyl, C3-C10 cycloalkylalkyl, aryl, arylalkyl, heteroaryl, heteroarylalkyl, heterocyclyl, or heterocyclylalkyl, wherein any of said alkyl, alkenyl, alkynyl, cycloalkyl, aryl, arylalkyl, heteroaryl, heteroarylalkyl, heterocyclyl and heterocyclylalkyl portions are optionally substituted with one or more groups independently selected from oxo (with the proviso that it is not substituted on a aryl or heteroaryl), halogen, cyano, nitro, trifluoromethyl, difluoromethyl, fluoromethyl, fluoromethoxy, difluoromethoxy, trifluoromethoxy, azido, -NRπSO2R14, -Sp2NRπR12, -C(O)Rπ, C(O)ORπ, -OC(O)Rπ, -NRπC(O)OR14, -NRnC(O)R12, -C(O)NRπR12, -SR11, -S(O)R14, -SO2R14, -NRπR12, -NRπC(O)NR12R13, -NRπC(NCN)NR12R13, -OR11, d-C10 alkyl, C2-C10 alkenyl, C2-C10 alkynyl, C3-C10 cycloalkyl, aryl, heteroaryl, arylalkyl, heteroarylalkyl, heterocyclyl and heterocyclylalkyl, and wherein any of said cycloalkyl, heterocycloalkyl, aryl or heteroaryl rings may be further substituted with one or more groups independently selected from halogen, hydroxyl, cyano, nitro, azido, fluoromethyl, difluoromethyl, trifluoromethyl, d-C4 , alkyl, C2-C4 alkenyl, C2-C alkynyl, C -C6 cycloalkyl, C3-C6 heterocycloalkyl, NR3R4 and OR3; [0041] R10 and R22 are independently hydrogen, cyano, nitro, trifluoromethyl, difluoromethyl, fluoromethyl, fluoromethoxy, difluoromethoxy, trifluoromethoxy, azido, -C(O)R3, -C(O)OR3, -SO2NR3R4, -C(O)NR3R4, d-C10 alkyl, C2-C10 alkenyl, C2-C10 alkynyl, C3-C10 cycloalkyl, C3-C10 cycloalkylalkyl, -S(O)j(d-C6 alkyl), -S(O)j(CR4R5)m-aryl, aryl, arylalkyl, heteroaryl, heteroarylalkyl, heterocyclyl or heterocyclylalkyl, wherein any of said alkyl, alkenyl, alkynyl, cycloalkyl, aryl, arylalkyl, heteroaryl, heteroarylalkyl, heterocyclyl and heterocyclylalkyl portions are optionally substituted with one or more groups independently selected from oxo (with the proviso that it is not substituted on a aryl or heteroaryl), halogen, cyano, nitro, trifluoromethyl, difluoromethoxy, trifluoromethoxy, azido, -NR4SO2R6, -SO2NR3R4, -C(O)R3, -C(O)OR3, -OC(O)R3, -NR4C(O)OR6, -NR4C(O)R3, -C(O)NR3R4, -NR3R4, -NR5C(O)NR3R4, -NR5C(NCN)NR3R4, -OR3, aryl, heteroaryl, arylalkyl, heteroarylalkyl, heterocyclyl and heterocyclylalkyl, and wherein any of said aryl, heteroaryl, arylalkyl, heteroarylalkyl, heterocyclyl or heterocyclylalkyl rings may be further substituted with one or more groups independently selected from halogen, hydroxyl, cyano, nitro, azido, fluoromethyl, difluoromethyl, trifluoromethyl, C1-C4 alkyl, C2-C4 alkenyl, C2-C4 alkynyl, C3-C6 cycloalkyl, C3-C6 heterocycloalkyl, NR3R4 and OR3;
[0042] R3 is hydrogen, trifluoromethyl, d-do alkyl, C2-C10 alkenyl, C2-C10 alkynyl,
C -C10 cycloalkyl, C3-C10 cycloalkylalkyl, aryl, arylalkyl, heteroaryl, heteroarylalkyl, heterocyclyl, heterocyclylalkyl, phosphate or an amino acid residue, wherein any of said alkyl, alkenyl, alkynyl, cycloalkyl, aryl, arylalkyl, heteroaryl, heteroarylalkyl, heterocyclyl and heterocyclylalkyl portions are optionally substituted with one or more groups independently selected from oxo (with the proviso that it is not substituted on a aryl or heteroaryl), halogen, cyano, nitro, trifluoromethyl, difluoromethoxy, trifluoromethoxy, azido, -NRnSO2R14, -SO2NRπR12, -C(O)Rπ, C(O)ORn, -OC(O)Rπ, -NRπC(O)OR14, - NRπC(O)R12, -C(O)NRπR12, -SR11, -S(O)R14, -SO2R14, -NRUR12, -NRπC(O)NR12R13, - NRπC(NCN)NR12R13, -OR11, aryl, heteroaryl, arylalkyl, heteroarylalkyl, heterocyclyl and heterocyclylalkyl,
[0043] or R3 and R4 together with the atom to which they are attached form a 4 to 10 membered carbocyclic, heteroaryl or heterocychc ring, wherein any of said carbocyclic, heteroaryl or heterocychc rings are optionally substituted with one or more groups independently selected from halogen, cyano, nitro, trifluoromethyl, difluoromethoxy, trifluoromethoxy, azido, -NRnSO2R14, -SO2NRπR12, -C(O)Rn, C(O)ORn, -OC(O)Rπ, - NRnC(O)OR14, -NRπC(O)R12, -C(O)NRπR12, -SR11, -S(O)R14, -SO2R14, -NRπR12, -NRπC(O)NR12R13, -NRπC(NCN)NR12R13, -OR11, aryl, heteroaryl, arylalkyl, heteroarylalkyl, heterocyclyl, and heterocyclylalkyl;
[0044] R4 and R5 independently are hydrogen or Cι-C6 alkyl, or
[0045] R4 and R5 together with the atom to which they are attached form a 4 to 10 membered carbocyclic, heteroaryl or heterocychc ring, wherein said alkyl or any of said carbocyclic, heteroaryl and heterocychc rings are optionally substituted with one or more groups independently selected from halogen, cyano, nitro, trifluoromethyl, difluoromethoxy, trifluoromethoxy, azido, -NRπSO2R14, -SO2NRπR12, -C(O)Rπ, C(O)ORπ, -OC(O)Rπ, -
NRπC(O)OR14, -NRπC(O)R12, -C(O)NRπR12, -SR11, -S(O)R14, -SO2R14, -NRnR12,
-NRπC(O)NR12R13, -NRnC(NCN)NR12R13, -OR11, aryl, heteroaryl, arylalkyl, heteroarylalkyl, heterocyclyl, and heterocyclylalkyl;
[0046] R6 is trifluoromethyl, d-C10 alkyl, C3-C10 cycloalkyl, aryl, arylalkyl, heteroaryl, heteroarylalkyl, heterocyclyl or heterocyclylalkyl, wherein any of said alkyl, cycloalkyl, aryl, arylalkyl, heteroaryl, heteroarylalkyl, heterocyclyl and heterocyclylalkyl portions are optionally substituted with one or more groups independently selected from oxo
(with the proviso that it is not substituted on a aryl or heteroaryl), halogen, cyano, nitro, trifluoromethyl, difluoromethoxy, trifluoromethoxy, azido, -NRπSO2R14, -SO2NRuR12,
-C(O)Ru, C(O)ORπ, -OC(O)Rπ, -NRnC(O)OR14, -NRπC(O)R12, -C(O)NRπR12, -SR11,
-S(O)R14, -SO2R14, -NRπR12, -NRπC(O)NR12R13, -NRπC(NCN)NR12R13, -OR11, aryl, heteroaryl, arylalkyl, heteroarylalkyl, heterocyclyl, and heterocyclylalkyl;
[0047] R11, R12 and R13 independently are hydrogen, lower alkyl, lower alkenyl, aryl or arylalkyl, and R14 is lower alkyl, lower alkenyl, aryl or arylalkyl;
[0048] or any two of R11, R12, R13 or R14 together with the atom to which they are attached form a 4 to 10 membered carbocyclic, heteroaryl or heterocychc ring, wherein any of said alkyl, alkenyl, aryl, arylalkyl carbocyclic rings, heteroaryl rings or heterocychc rings are optionally substituted with one or more groups independently selected from halogen, cyano, nitro, trifluoromethyl, difluoromethoxy, trifluoromethoxy, azido, aryl, heteroaryl, arylalkyl, heteroarylalkyl, heterocyclyl, and heterocyclylalkyl;
[0049] m is 0, 1, 2, 3, 4 or 5;
[0050] n is 1 or 2; and
[0051] j is 0, 1 or 2.
[0052] Figures 1-2 show non-limiting examples of the synthesis of compounds of this invention having the general Formula I.
[0053] In addition to compounds of the general Formula I, this invention further includes compounds of the general Formula II:
Figure imgf000014_0001
II
[0054] and pharmaceutically accepted salts, prodrugs and solvates thereof, where:
[0055] R1, R2, R8, R9, R10, R20 and R21 are independently hydrogen, halogen, cyano, nitro, trifluoromethyl, difluoromethyl, fluoromethyl, fluoromethoxy difluoromethoxy, trifluoromethoxy, azido, -SR11, -OR3, -C(O)R3, -C(O)OR3, -NR4C(O)OR6, -OC(O)R3, - NR4SO2R6, -SO2NR3R4, -NR4C(O)R3, -C(O)NR3R4, -NR5C(O)NR3R4, -NR5C(NCN)NR3R4, - NR3R4, Ci-Cio alkyl, C2-C10 alkenyl, C2-C10 alkynyl, C3-C10 cycloalkyl, C3-C10 cycloalkylalkyl, -S(O)j(d-C6 alkyl), -S(O)j(CR4R5)m-aryl, aryl, arylalkyl, heteroaryl, heteroarylalkyl, heterocyclyl, heterocyclylallcyl, -O(CR4R5)m-aryl, -NR4(CR4R5)m-aryl, -O(CR4R5)m-heteroaryl, -NR4(CR4R5)m-heteroaryl, -O(CR4R5)m-heterocyclyl or -NR4(CR4R5)m-heterocyclyl, wherein any of said alkyl, alkenyl, alkynyl, cycloalkyl, aryl, arylalkyl, heteroaryl, heteroarylalkyl, heterocyclyl and heterocyclylalkyl portions are optionally substituted with one or more groups independently selected from oxo (with the proviso that it is not substituted on a aryl or heteroaryl), halogen, cyano, nitro, trifluoromethyl, difluoromethoxy, trifluoromethoxy, azido, -NR4SO2R6, -SO2NR3R4, -C(O)R3, -C(O)OR3, -OC(O)R3, -NR4C(O)OR6, -NR4C(O)R3, -C(O)NR3R4, -NR3R4, -NR5C(O)NR3R4, -NR5C(NCN)NR3R4, -OR3, aryl, heteroaryl, arylalkyl, heteroarylalkyl, heterocyclyl and heterocyclylalkyl, and wherein any of said aryl, heteroaryl, arylalkyl, heteroarylalkyl, heterocyclyl or heterocyclylalkyl rings may be further substituted with one or more groups independently selected from halogen, hydroxyl, cyano, nitro, azido, fluoromethyl, difluoromethyl, trifluoromethyl, d-C4 alkyl, C2-C4 alkenyl, C2-C4 alkynyl, C3- C6 cycloalkyl, C3-C6 heterocycloalkyl, NR3R4 and OR3;
[0056] R7 is hydrogen, trifluoromethyl, d-do alkyl, C2-C10 alkenyl, C -C10 alkynyl,
C3-C10 cycloalkyl, C3-C10 cycloalkylalkyl, aryl, arylalkyl, heteroaryl, heteroarylalkyl, heterocyclyl, or heterocyclylalkyl, wherein any of said alkyl, alkenyl, alkynyl, cycloalkyl, aryl, arylalkyl, heteroaryl, heteroarylalkyl, heterocyclyl and heterocyclylalkyl portions are optionally substituted with one or more groups independently selected from oxo (with the proviso that it is not substituted on a aryl or heteroaryl), halogen, cyano, nitro, trifluoromethyl, difluoromethyl, fluoromethyl, fluoromethoxy, difluoromethoxy, trifluoromethoxy, azido, -NRπSO2R14, -SO2NRnR12, -C(O)Rπ, C(O)ORπ, -OC(O)Rn, -NRπC(O)OR14, -NRπC(O)R12, -C(O)NRπR12, -SR11, -S(O)R14, -SO2R14, -NRnR12, -NRπC(O)NR12R13, -NRπC(NCN)NR12R13, -OR11,, d-C10 alkyl, C2-C10 alkenyl, C2-C10 alkynyl, C3-C10 cycloalkyl, aryl, heteroaryl, arylalkyl, heteroarylalkyl, heterocyclyl and heterocyclylalkyl, and wherein any of said cycloalkyl, heterocycloalkyl, aryl or heteroaryl rings may be further substituted with one or more groups independently selected from halogen, hydroxyl, cyano, nitro, azido, fluoromethyl, difluoromethyl, trifluoromethyl, C1.-C4 alkyl, C2-C4 alkenyl, C2-C4 alkynyl, C3-C6 cycloalkyl, C3-C6 heterocycloalkyl, NR3R4 and OR3;
[0057] R3 is hydrogen, trifluoromethyl, d- o alkyl, C2-C10 alkenyl, C2-C10 alkynyl,
C3-C10 cycloalkyl, C3-C10 cycloalkylalkyl, aryl, arylalkyl, heteroaryl, heteroarylalkyl, heterocyclyl, heterocyclylalkyl, phosphate or an amino acid residue, wherein any of said alkyl, alkenyl, alkynyl, cycloalkyl, aryl, arylalkyl, heteroaryl, heteroarylalkyl, heterocyclyl and heterocyclylalkyl portions are optionally substituted with one or more groups independently selected from oxo (with the proviso that it is not substituted on a aryl or heteroaryl), halogen, cyano, nitro, trifluoromethyl, difluoromethoxy, trifluoromethoxy, azido, -NRπSO2R14, -SO2NRπR12, -C(O)Rπ, C(O)ORπ, -OC(O)Rπ, -NRπC(O)OR14, - NRnC(O)R12, -C(O)NRπR12, -SR11, -S(O)R14, -SO2R14, -NRπR12, -NRπC(O)NR12R13, - NRπC(NCN)NR12R13, -OR11, aryl, heteroaryl, arylalkyl, heteroarylalkyl, heterocyclyl and heterocyclylalkyl,
[0058] or R3 and R4 together with the atom to which they are attached form a 4 to 10 membered carbocyclic, heteroaryl or heterocychc ring, wherein any of said carbocyclic, heteroaryl or heterocychc rings are optionally substituted with one or more groups independently selected from halogen, cyano, nitro, trifluoromethyl, difluoromethoxy, trifluoromethoxy, azido, -NRπSO2R14, -SO2NRnR12, -C(O)Rn, C(O)ORπ, -OC(O)Rπ, - NRπC(O)OR14, -NRπC(O)R12, -C(O)NRπR12, -SR11, -S(O)R14, -SO2R14, -NRπR12, -NRnC(O)NR12R13, -NRπC(NCN)NR12R13, -OR11, aryl, heteroaryl, arylalkyl, heteroarylalkyl, heterocyclyl, and heterocyclylalkyl;
[0059] R4 and R5 independently are hydrogen or d-C6 alkyl, or
[0060] R4 and R5 together with the atom to which they are attached form a 4 to 10 membered carbocyclic, heteroaryl or heterocychc ring, wherein said alkyl or any of said carbocyclic, heteroaryl and heterocychc rings are optionally substituted with one or more groups independently selected from halogen, cyano, nitro, trifluoromethyl, difluoromethoxy, trifluoromethoxy, azido, -NRπSO2R14, -SO2NRπR12, -C(O)Rπ, C(O)ORπ, -OC(O)Rn, -
NRπC(O)OR14, -NRπC(O)R12, -C(O)NRπR12, -SR11, -S(O)R14, -SO2R14, -NRπR12,
-NRπC(O)NR12R13, -NRπC(NCN)NR12R13, -OR11, aryl, heteroaryl, arylalkyl, heteroarylalkyl, heterocyclyl, and heterocyclylalkyl;
[0061] R6 is trifluoromethyl, d-Cio alkyl, C3-Cι0 cycloalkyl, aryl, arylalkyl, heteroaryl, heteroarylalkyl, heterocyclyl or heterocyclylalkyl, wherein any of said alkyl, cycloalkyl, aryl, arylalkyl, heteroaryl, heteroarylalkyl, heterocyclyl and heterocyclylalkyl portions are optionally substituted with one or more groups independently selected from oxo
(with the proviso that it is not substituted on a aryl or heteroaryl), halogen, cyano, nitro, trifluoromethyl, difluoromethoxy, trifluoromethoxy, azido, -NRπSO R14, -SO2NRπR12,
-C(O)Rn, C(O)ORπ, -OC(O)Rn, -NRπC(O)OR14, -NRπC(O)R12, -C(O)NRπR12, -SR11,
-S(O)R14, -SO2R14, -NRπR12, -NRπC(O)NR12R13, -NRπC(NCN)NR12R13, -OR11, aryl, heteroaryl, arylalkyl, heteroarylalkyl, heterocyclyl, and heterocyclylalkyl;
[0062] R11, R12 and R13 independently are hydrogen, lower alkyl, lower alkenyl, aryl or arylalkyl, and R14 is lower alkyl, lower alkenyl, aryl or arylalkyl;
[0063] or any two of R11, R12, R13 or R14 together with the atom to which they are attached form a 4 to 10 membered carbocyclic, heteroaryl or heterocychc ring, wherein any of said alkyl, alkenyl, aryl, arylalkyl carbocyclic rings, heteroaryl rings or heterocychc rings are optionally substituted with one or more groups independently selected from halogen, cyano, nitro, trifluoromethyl, difluoromethoxy, trifluoromethoxy, azido, aryl, heteroaryl, arylalkyl, heteroarylalkyl, heterocyclyl, and heterocyclylalkyl;
[0064] m is 0, 1, 2, 3, 4 or 5; and
[0065] j is 0, 1 or 2.
[0066] Figures 3-4 show non-limiting examples of the synthesis of compounds of this invention having the general Formula II.
[0067] In another embodiment, this invention relates to compounds of the general Formula III:
Figure imgf000017_0001
[0068] and pharmaceutically accepted salts, prodrugs and solvates thereof, where:
[0069] R1, R2, R8, R9, R20 and R21 are independently hydrogen, hydroxy, halogen, cyano, nitro, trifluoromethyl, difluoromethyl, fluoromethyl, fluoromethoxy, difluoromethoxy, trifluoromethoxy, azido, -SR11, -OR3, -C(O)R3, -C(O)OR3, -NR4C(O)OR6, -OC(O)R3, -NR4SO2R6, -SO2NR3R4, -NR4C(O)R3, -C(O)NR3R4, -NR?C(O)NR3R4, -NR5C(NCN)NR3R4, -NR3R4, Ci-Cio alkyl, C2-C10 alkenyl, C2-C10 alkynyl, C3-C10 cycloalkyl, C3-C10 cycloalkylalkyl, -S(O)j(Cι-C6 alkyl), -S(O)j(CR4R5)m-aryl, aryl, arylalkyl, heteroaryl, heteroarylalkyl, heterocyclyl, heterocyclylalkyl, -O(CR4R5)m-aryl, -NR4(CR4R5)m-aryl, -O(CR4R5)m-heteroaryl, -NR4(CR4R5)m-heteroaryl, -O(CR4R5)m-heterocyclyl or -NR4(CR4R5)m-heterocyclyl, wherein any of said alkyl, alkenyl, alkynyl, cycloalkyl, aryl, arylalkyl, heteroaryl, heteroarylalkyl, heterocyclyl and heterocyclylalkyl portions are optionally substituted with one or more groups independently selected from oxo (with the proviso that it is not substituted on a aryl or heteroaryl), halogen, cyano, nitro, trifluoromethyl, difluoromethyl, fluoromethyl, fluoromethoxy, difluoromethoxy, trifluoromethoxy, azido, -NR4SO2R6, -SO2NR3R4, -C(O)R3, -C(O)OR3, -OC(O)R3, -NR4C(O)OR6, -NR4C(O)R3, -C(O)NR3R4, -NR3R4, -NR5C(O)NR3R4, -NR5C(NCN)NR3R4, -OR3, aryl, heteroaryl, arylalkyl, heteroarylalkyl, heterocyclyl and heterocyclylalkyl, and wherein any of said cycloalkyl, heterocycloalkyl, aryl or heteroaryl rings may be further substituted with one or more groups independently selected from halogen, hydroxyl, cyano, nitro, azido, fluoromethyl, difluoromethyl, trifluoromethyl, d-C4 alkyl, C2-C4 alkenyl, C2-C4 alkynyl, C3-C6 cycloalkyl, C3-C6 heterocycloalkyl, NR3R4 and OR3;
[0070] R7 is hydrogen, trifluoromethyl, d-C10 alkyl, C2-C10 alkenyl, C2-Cιo alkynyl,
C3-C10 cycloalkyl, C3-C10 cycloalkylalkyl, OR3, NR3R4, aryl, arylalkyl, heteroaryl, heteroarylalkyl, heterocyclyl, or heterocyclylalkyl, wherein any of said alkyl, alkenyl, alkynyl, cycloalkyl, aryl, arylalkyl, heteroaryl, heteroarylalkyl, heterocyclyl and heterocyclylalkyl portions are optionally substituted with one or more groups independently selected from oxo (with the proviso that it is not substituted on a aryl or heteroaryl), halogen, cyano, nitro, trifluoromethyl, difluoromethyl, fluoromethyl, fluoromethoxy, difluoromethoxy, trifluoromethoxy, azido, -NRπSO2R14, -SO2NRπR12, -C(O)Rπ, C(O)ORπ, -OC(O)Rπ, -NRnC(O)OR14, -NRπC(O)R12, -C(O)NRπR12, -SR11, -S(O)R14, -SO2R14, -NRnR12, -NRnC(O)NR12R13, -NRπC(NCN)NR12R13, -OR11, d-C10 alkyl, C2-C10 alkenyl, C2-C10 alkynyl, C3-C10 cycloalkyl, aryl, heteroaryl, arylalkyl, heteroarylalkyl, heterocyclyl and heterocyclylalkyl, and wherein any of said cycloalkyl, heterocycloaUcyl, aryl or heteroaryl rings may be further substituted with one or more groups independently selected from halogen, hydroxyl, cyano, nitro, azido, fluoromethyl, difluoromethyl, trifluoromethyl, d-C alkyl, C2-C4 alkenyl, C2-C4 alkynyl, C3-C6 cycloalkyl, C3-C6 heterocycloalkyl, NR3R4 and OR3;
[0071] R23 is hydrogen, trifluoromethyl, Ci-do alkyl, C2-C10 alkenyl, C2-C10 alkynyl,
C3-C10 cycloalkyl, C3-C10 cycloalkylalkyl, aryl, arylalkyl, heteroaryl, heteroarylalkyl, heterocyclyl, or heterocyclylalkyl, wherein any of said alkyl, alkenyl, alkynyl, cycloalkyl, aryl, arylalkyl, heteroaryl, heteroarylalkyl, heterocyclyl and heterocyclylallcyl portions are optionally substituted with one or more groups independently selected from oxo (with the proviso that it is not substituted on a aryl or heteroaryl), halogen, cyano, nitro, trifluoromethyl, difluoromethyl, fluoromethyl, fluoromethoxy, difluoromethoxy, trifluoromethoxy, azido, -NRuSO2R14, -SO2NRπR12, -C(O)Rn, C(O)ORπ, -OC(O)Rπ, -NRπC(O)OR14, -NRπC(O)R12, -C(O)NRnR12, -SR11, -S(O)R14, -SO2R14, -NRπR12, -NRπC(O)NR12R13, -NRπC(NCN)NR12R13, -OR11, C1-C10 alkyl, C2-Cι0 alkenyl, C2-C10 alkynyl, C3-C10 cycloalkyl, aryl, heteroaryl, arylalkyl, heteroarylalkyl, heterocyclyl and heterocyclylalkyl, and wherein any of said cycloalkyl, heterocycloalkyl, aryl or heteroaryl rings may be further substituted with one or more groups independently selected from halogen, hydroxyl, cyano, nitro, azido, fluoromethyl, difluoromethyl, trifluoromethyl, C1-C4 alkyl, C2-C4 alkenyl, C2-C4 alkynyl, C -C6 cycloalkyl, C3-C6 heterocycloaUcyl, NR3R4 and OR3;
[0072] R3 is hydrogen, trifluoromethyl, d-C10 alkyl, C2-C10 aUcenyl, C2-C10 alkynyl,
C3-C10 cycloaUcyl, C3-C10 cycloalkylalkyl, aryl, arylaUcyl, heteroaryl, heteroarylaUcyl, heterocyclyl, heterocyclylaUcyl, phosphate or an amino acid residue, wherein any of said aUcyl, aUcenyl, alkynyl, cycloaUcyl, aryl, arylaUcyl, heteroaryl, heteroarylalkyl, heterocyclyl and heterocyclylaUcyl portions are optionally substituted with one or more groups independently selected from oxo (with the proviso that it is not substituted on a aryl or heteroaryl), halogen, cyano, nitro, trifluoromethyl, difluoromethoxy, trifluoromethoxy, azido, -NRπSO2R14, -SO2NRπR12, -C(O)Rn, C(O)ORπ, -OC(O)Rπ, -NRπC(O)OR14, - NRπC(O)R12, -C(O)NRuR12, -SR11, -S(O)R14, -SO2R14, -NRπR12, -NRπC(O)NR12R13, - NRπC(NCN)NR12R13, -OR11, aryl, heteroaryl, arylaUcyl, heteroarylaUcyl, heterocyclyl, and heterocyclylaUcyl;
[0073] or R3 and R4 together with the atom to which they are attached form a 4 to 10 membered carbocyclic, heteroaryl or heterocychc ring, wherein any of said carbocyclic, heteroaryl or heterocychc rings are optionally substituted with one or more groups independently selected from halogen, cyano, nitro, trifluoromethyl, difluoromethoxy, trifluoromethoxy, azido, -NRuSO2R14, -SO2NRπR12, -C(O)Rπ, C(O)ORπ, -OC(O)Rπ, - NRπC(O)OR14, -NRπC(O)R12, -C(O)NRπR12, -SR11, -S(O)R14, -SO2R14, -NRπR12, -NRπC(O)NR12R13, -NRπC(NCN)NR12R13, -OR11, aryl, heteroaryl, arylalkyl, heteroarylalkyl, heterocyclyl, and heterocyclylaUcyl; [0074] R4 and R5 independently are hydrogen or d-C6 alkyl, or
[0075] R4 and R5 together with the atom to which they are attached form a 4 to 10 membered carbocyclic, heteroaryl or heterocychc ring, wherein any of said alkyl or any of said carbocyclic, heteroaryl and heterocychc rings are optionally substituted with one or more groups independently selected from halogen, cyano, nitro, trifluoromethyl, difluoromethoxy, trifluoromethoxy, azido, -NRπSO2R14, -SO2NRuR12, -C(O)Rπ, C(O)ORπ, -OC(O)Rπ, - NRπC(O)OR14, -NRnC(O)R12, -C(O)NRπR12, -SR11, -S(O)R14, -SO2R14, -NRπR12, -NRnC(O)NR12R13, -NRπC(NCN)NR12R13, -OR11, aryl, heteroaryl, arylalkyl, heteroarylalkyl, heterocyclyl, and heterocyclylalkyl;
[0076] R6 is trifluoromethyl, d-C10 aUcyl, C3-C10 cycloaUcyl, aryl, arylaUcyl, heteroaryl, heteroarylaUcyl, heterocyclyl or heterocyclylallcyl, wherein any of said alkyl, cycloalkyl, aryl, arylalkyl, heteroaryl, heteroarylaUcyl, heterocyclyl and heterocyclylaUcyl portions are optionally substituted with one or more groups independently selected from oxo (with the proviso that it is not substituted on a aryl or heteroaryl), halogen, cyano, nitro, trifluoromethyl, difluoromethoxy, trifluoromethoxy, azido, -NRπSO2R14, -SO2NRnR12, -C(O)Rπ, C(O)ORπ, -OC(O)Rπ, -NRπC(O)OR14, -NRnC(O)R12, -C(O)NRnR12, -SR11, -S(O)R14, -SO2R14, -NRnR12, -NRπC(O)NR12R13, -NRUC(NCN)NR12R13, -OR11, aryl, heteroaryl, arylalkyl, heteroarylaUcyl, heterocyclyl, and heterocyclylaUcyl;
[0077] R11, R12 and R13 independently are hydrogen, lower aUcyl, lower alkenyl, aryl or arylaUcyl, and R14 is lower alkyl, lower alkenyl, aryl or arylaUcyl;
[0078] or any two of R11, R12, R13 or R14 together with the atom to which they are attached form a 4 to 10 membered carbocyclic, heteroaryl or heterocychc ring, wherein any of said aUcyl, alkenyl, aryl, arylalkyl carbocyclic rings, heteroaryl rings or heterocychc rings are optionally substituted with one or more groups independently selected from halogen, cyano, nitro, trifluoromethyl, difluoromethoxy, trifluoromethoxy, azido, aryl, heteroaryl, arylalkyl, heteroarylalkyl, heterocyclyl, and heterocyclylaUcyl;
[0079] m is 0, 1, 2, 3, 4 or 5; and
[0080] j is 0, 1 or 2.
[0081] Figure 5 shows a non-limiting example of the synthesis of compounds of this invention having the general Formula III.
[0082] The terms "d-do alkyl", "alkyl" and "lower alkyl" as used herein refer to a saturated linear or branched-chain monovalent hydrocarbon radical having one to ten carbon atoms, wherein the alkyl radical may be optionally substituted independently with one or more substituents described below. Examples of alkyl groups include, but are not limited to, methyl, ethyl, n-propyl, isopropyl, butyl, isobutyl, sec-butyl, tert-butyl, pentyl, isopentyl, neopentyl, tert-pentyl, hexyl, 2-hexyl, 3-hexyl, 3-methylpentyl, heptyl, octyl, and the like.
[0083] The terms "C2-C10 alkenyl", "lower alkenyl" and "alkenyl" refer to linear or branched-chain monovalent hydrocarbon radical having two to 10 carbon atoms and at least one double bond, and include, but is not limited to, ethenyl, propenyl, l-but-3-enyl, l-pent-3- enyl, l-hex-5-enyl and the like, wherein the alkenyl radical may be optionally substituted independently with one or more substituents described herein, and includes radicals having
"cis" and "trans" orientations, or alternatively, "E" and "Z" orientations.
[0084] The terms "C2-do alkynyl," "lower alkynyl" and "alkynyl" refer to a linear or branched monovalent hydrocarbon radical of two to twelve carbon atoms containing at least one triple bond. Examples include, but are not limited to, ethynyl, propynyl, butynyl, pentyn-
2-yl and the like, wherein the alkynyl radical may be optionally substituted independently with one or more substituents described herein.
[0085] The term "allyl" refers to a radical having the formula RC=CHCHR, wherein
R is alkyl, aUcenyl, alkynyl, cycloaUcyl, heterocycloalkyl, aryl, heteroaryl, or any substituent as defined herein, wherein the allyl may be optionally substituted independently with one or more substituents described herein.
[0086] The terms "carbocycle," "carbocyclyl," "cycloalkyl" or "C3-C10 cycloalkyl" refer to saturated or partially unsaturated cyclic hydrocarbon radical having from three to ten carbon atoms. The term "cycloalkyl" includes monocyclic and polycyclic (e.g., bicyclic and tricyclic) cycloaUcyl structures, wherein the polycyclic structures optionally include a saturated or partially unsaturated cycloalkyl fused to a saturated or partially unsaturated cycloaUcyl or heterocycloaUcyl ring or an aryl or heteroaryl ring. Examples of cycloaUcyl groups include, but are not limited to, cyclopropyl, cyclobutyl, cyclopentyl, cyclohexyl, cycloheptyl, and the like. The cycloaUcyl may be optionally substituted independently in one or more substitutable positions with various groups. For example, such cycloalkyl groups may be optionally substituted with, for example, Cι-C6 alkyl, d-C6 allcoxy, halogen, hydroxy, cyano, nitro, amino, mono(C1-C6)alkylamino, di(C1-C6)alkylamino, C2-C6aUcenyl, C -C6alkynyl, d-C6 haloalkyl, d-C6 haloalkoxy, amino(C1-C6)alkyl, mono(d- C6)alkylamino(C1-C6)aUcyl or di(C1-C6)aUcylamino(C1-C6)alkyl.
[0087] The term "heteroalkyl" refers to saturated linear or branched-chain monovalent hydrocarbon radical of one to twelve carbon atoms, wherein at least one of the carbon atoms is replaced with a heteroatom selected from N, O, or S, and wherein the radical may be a carbon radical or heteroatom radical (i.e., the heteroatom may appear in the middle or at the end of the radical). The heteroalkyl radical may be optionally substituted independently with one or more substituents described herein. The term "heteroalkyl" encompasses alkoxy and heteroaUcoxy radicals.
[0088] The terms "heterocycloalkyl," "heterocycle" or "hetercyclyl" refer to a saturated or partially unsaturated carbocyclic radical of 3 to 8 ring atoms in which at least one ring atom is a heteroatom selected from nitrogen, oxygen and sulfur, the remaining ring atoms being C, where one or more ring atoms may be optionally substituted independently with one or more substituent described below. The radical may be a carbon radical or heteroatom radical. The term further includes bicyclic and tricyclic fused ring systems which include a heterocycle fused one or more carbocyclic or heterocychc rings. "HeterocycloaUcyl" also includes radicals where heterocycle radicals are fused with aromatic or heteroaromatic rings. Examples of heterocycloalkyl rings include, but are not limited to, pyrrolidinyl, tetrahydrofuranyl, dihydrofuranyl, tetrahydrothienyl, tetrahydropyranyl, dihydropyranyl, tetrahydrothiopyranyl, piperidino, morpholino, thiomorpholino, thioxanyl, piperazinyl, homopiperazinyl, azetidinyl, oxetanyl, thietanyl, homopiperidinyl, oxepanyl, thiepanyl, oxazepinyl, diazepinyl, thiazepinyl, 1,2,3,6-tetrahydropyridinyl, 2-pyrrolinyl, 3- pyrrolinyl, indolinyl, 2H-ρyranyl, 4H-pyranyl, dioxanyl, 1,3-dioxolanyl, pyrazolinyl, dithianyl, dithiolanyl, dihydropyranyl, dihydrothienyl, dihydrofuranyl, pyrazolidinylimidazolinyl, imidazolidinyl, 3-azabicyco[3.1.0]hexanyl, 3- azabicyclo[4.1.0]heptanyl, azabicyclo[2.2.2]hexanyl, 3H-indolyl and quinolizinyl. Spiro moieties are also included within the scope of this definition. The foregoing groups, as derived from the groups listed above, may be C-attached or N-attached where such is possible. For instance, a group derived from pyrrole may be pyrrol- 1-yl (N-attached) or pyrrol-3-yl (C-attached). Further, a group derived from imidazole may be imidazol-1-yl (N- attached) or imidazol-3-yl (C-attached). An example of a heterocychc group wherein 2 ring carbon atoms are substituted with oxo (=O) moieties is 1,1-dioxo-thiomorpholinyl. The heterocycle groups herein are unsubstituted or, as specified, substituted in one or more substitutable positions with various groups. For example, such heterocycle groups may be optionally substituted with, for example, d-C6 aUcyl, d-C6 allcoxy, halogen, hydroxy, cyano, nitro, amino, mono(C1-C6)alkylamino, di(C -C6)aUcylamino, C2-C6aUcenyl, C2-C6alkynyl, d- C6 haloalkyl, d-Cβ haloalkoxy, amino(C1-C6)aUcyl, mono(C1-C6)aUcylamino(C1-C6)alkyl or di(C1-C6)aUcylamino(C1-C6)alkyl.
[0089] The term "aryl" refers to a monovalent aromatic carbocyclic radical having a single ring (e.g., phenyl), multiple rings (e.g., biphenyl), or multiple condensed rings in which at least one is aromatic, (e.g., 1,2,3,4-tetrahydronaphthyl, naphthyl), which is optionally mono-, di-, or trisubstituted with, e.g., halogen, lower alkyl, lower alkoxy, trifluoromethyl, aryl, heteroaryl, and hydroxy.
[0090] The term "heteroaryl" refers to a monovalent aromatic radical of 5-, 6-, or 7- membered rings which includes fused ring systems (at least one of which is aromatic) of 5-10 atoms containing at least one and up to four heteroatoms selected from nitrogen, oxygen, or sulfur. Examples of heteroaryl groups are pyridinyl, imidazolyl, pyrimidinyl, pyrazolyl, triazolyl, pyrazinyl, tetrazolyl, furyl, thienyl, isoxazolyl, thiazolyl, oxazolyl, isothiazolyl, pyrrolyl, quinolinyl, isoquinolinyl, indolyl, benzimidazolyl, benzofuranyl, cinnolinyl, indazolyl, indolizinyl, phthalazinyl, pyridazinyl, triazinyl, isoindolyl, pteridinyl, purinyl, oxadiazolyl, triazolyl, thiadiazolyl, thiadiazolyl, furazanyl, benzofurazanyl, benzothiophenyl, benzothiazolyl, benzoxazolyl, quinazolinyl, quinoxalinyl, naphthyridinyl, and furopyridinyl.
Spiro moieties are also included within the scope of this definition. Heteroaryl groups are optionally mono-, di-, or trisubstituted with, e.g., halogen, lower alkyl, lower alkoxy, haloaUcyl, aryl, heteroaryl, and hydroxy.
[0091] The term "halogen" represents fluorine, bromine, chlorine, and iodine.
[0092] The term "arylalkyl" means an alkyl moiety (as defined above) substituted with one or more aryl moiety (also as defined above). More preferred arylaUcyl radicals are aryl-C1-3-alkyls. Examples include benzyl, phenylethyl, and the like.
[0093] The term "heteroarylalkyl" means an aUcyl moiety (as defined above) substituted with a heteroaryl moiety (also as defined above). More preferred heteroarylaUcyl radicals are 5- or 6-membered heteroaryl-C1-3-aUcyls. Examples include oxazolylmethyl, pyridylethyl and the like.
[0094] The term "heterocyclylallcyl" means an alkyl moiety (as defined above) substituted with a heterocyclyl moiety (also defined above). More preferred heterocyclylaUcyl radicals are 5- or 6-membered heterocyclyl-C1-3-alkyls. Examples include tetrahydropyranylmethyl.
[0095] The term "cycloalkylalkyl" means an alkyl moiety (as defined above) substituted with a cycloaUcyl moiety (also defined above). More preferred heterocyclyl radicals are 5- or 6-membered cycloalkyl-C1-3-aUcyls. Examples include cyclopropylmethyl.
[0096] The term "Me" means methyl, "Et" means ethyl, "Bu" means butyl and "Ac" means acetyl.
[0097] The term "amino acid residue" includes, but is not limited to, the 20 naturally occurring amino acids commonly designated by three letter symbols, and also includes 4- hydroxyproline, hydroxylysine, demosine, isodemosine, 3-methyUιistidine, norvaline, beta- alanine, gamma-aminobutyric acid, cirtulline, homocysteine, homoserine, ornithine and metliionine sulfone.
[0098] In general, the various moieties or functional groups of the compounds of
Formulas I-III may be optionally substituted by one or more substituents. Examples of substituents suitable for purposes of this invention include, but are not limited to, oxo (with the proviso that it is not on an aryl or heteroaryl), halogen, cyano, nitro, trifluoromethyl, difluoromethoxy, trifluoromethoxy, azido, -NR4SO2R6, -SO2NR3R4, -C(O)R3, -C(O)OR3,
-OC(O)R3, -NR4C(O)OR6, -NR4C(O)R3, -C(O)NR3R4, -NR3R4, -NR5C(O)NR3R4, -NR5C(NCN)NR3R4, -OR3, aryl, heteroaryl, arylalkyl, heteroarylalkyl, heterocyclyl and heterocyclylaUcyl, where R3, R4 R5 and R6 are as defined herein.
[0099] It is to be understood that in instances where two or more radicals are used in succession to define a substituent attached to a structure, the first named radical is considered to be terminal and the last named radical is considered to be attached to the structure in question. Thus, for example, the radical arylalkyl is attached to the structure in question by the alkyl group.
[00100] In the compounds of the present invention, where a term such as (CR4R5)m is used, R4 and R5 may vary with each iteration of m above 1. For instance, where m is 2, the term (CR4R5)m may equal -CH2CH2- or -CH(CH3)C(CH2CH3)(CH2CH2CH3)- or any number of similar moieties falling within the scope of the definitions of R4 and R5. [00101] The compounds of this invention may possess one or more asymmetric centers; such compounds can therefore be produced as individual (R)- or (S)-stereoisomers or as mixtures thereof. Unless indicated otherwise, the description or naming of a particular compound in the specification and claims is intended to include both individual enantiomers, diastereomers mixtures, racemic or otherwise, thereof. Accordingly, this invention also includes all such isomers, including diastereomeric mixtures and pure enantiomers of the Formulas I-III. Diastereomeric mixtures can be separated into their individual diastereomers on the basis of their physical chemical differences by methods known to those skilled in the art, for example, by chromatography or fractional crystallization. Enantiomers can be separated by converting the enantiomer mixture into a diastereomeric mixture by reaction with an appropriate optically active compound (e.g., alcohol), separating the diastereomers and converting (e.g., hydrolyzing) the individual diastereomers to the corresponding pure enantiomers. The methods for the determination of stereochemistry and the separation of stereoisomers are well known in the art (see discussion in Chapter 4 of "Advanced Organic Chemistry", 4th edition, J. March, John Wiley and Sons, New York, 1992). [00102] This invention also encompasses pharmaceutical compositions containing a compound of Formula I-III and methods of treating proliferative disorders, or abnormal cell growth, by administering compounds of the present invention. Compounds of the present invention having free amino, amido, hydroxy or carboxylic groups can be converted into pharmaceutically acceptable prodrugs. [00103] A "pharmaceutically acceptable prodrug" is a compound that may be converted under physiological conditions or by solvolysis to the specified compound or to a pharmaceutically acceptable salt of such compound. Prodrugs include compounds wherein an amino acid residue, or a polypeptide chain of two or more (e.g., two, three or four) amino acid residues is covalently joined through an amide or ester bond to a free amino, hydroxy or carboxylic acid group of compounds of the present invention. The amino acid residues include but are not limited to the 20 naturally occurring amino acids commonly designated by three letter symbols and also includes 4-hydroxyproline, hydroxylysine, demosine, isodemosine, 3-methylhistidine, norvaline, beta-alanine, gamma-aminobutyric acid, cirtulline, homocysteine, homoserine, ornithine and methionine sulfone. One preferred prodrug of this invention is a compound of Formula I-III covalently joined to a valine residue. [00104] Additional types of prodrugs are also encompassed. For instance, free carboxyl groups can be derivatized as amides or alkyl esters. As another example, compounds of this invention comprising free hydroxy groups may be derivatized as prodrugs by converting the hydroxy group groups including to a phosphate ester, hemisuccinate, dimethylaminoacetate, or phosphoryloxymethyloxycarbonyl, as outlined in Advanced Drug Delivery Reviews, 1996, 19, 115. Carbamate prodrugs of hydroxy and amino groups are also included, as are carbonate prodrugs, sulfonate esters and sulfate esters of hydroxy groups. Derivatization of hydroxy groups as (acyloxy)methyl and (acyloxy)ethyl ethers wherein the acyl group may be an aUcyl ester, optionally substituted with groups including, but not limited to, ether, amine and carboxylic acid functionalities, or where the acyl group is an amino acid ester as described above, are also encompassed. Prodrugs of this type are described inJ Med. Chem., 1996, 39, 10. More specific examples include replacement of the hydrogen atom of the alcohol group with a group such as (Cf -C6)aUcanoyloxymethyl, 1 -((d -C6)aUcanoyloxy)ethyl, 1 -methyl- 1 -((d -C6)alkanoyloxy)ethyl,
(C1-C6)alkoxycarbonyloxymethyl, N-(C1-C6)alkoxycarbonylaminomethyl, succinoyl, (d-C6)alkanoyl, α-amino(C1 -C4)alkanoyl, arylacyl and α-aminoacyl, or α-aminoacyl-α- aminoacyl, where each α-aminoacyl group is independently selected from the naturally occurring L-amino acids, P(O)(OH)2, -P(O)(O(C1-C6)aUcyl)2 or glycosyl (the radical resulting from the removal of a hydroxyl group of the hemiacetal form of a carbohydrate). [00105] Free amines can also be derivatized as amides, sulfonamides or phosphonamides. All of these prodrug moieties may incorporate groups including, but not limited to, ether, amine and carboxylic acid functionalities. For example, a prodrug can be formed by the replacement of a hydrogen atom in the amine group with a group such as R- carbonyl, RO-carbonyl, NRR'-carbonyl where R and R are each independently (d-do)alkyl, (C3-C )cycloalkyl, benzyl, or R-carbonyl is a natural α-aminoacyl or natural α-aminoacyl- natural α-aminoacyl, -C(OH)C(O)OY wherein Y is H, (d -C6)alkyl or benzyl, -C(OY0)Y1 wherein Y0 is (C\ -C4) alkyl and Yi is (Ct -C6)aUcyl, carboxy(C1 -C6)alkyl, amino(C1-C4)alkyl or mono-N- or di-N,N- (Ci -C6)alkylaminoaUcyl, -C(Y2)Y3 wherein Y2 is H or methyl and Y3 is mono-N- or di-N,N-(C1 -C6)alkylamino, mo holino, piperidin-1-yl or pyrrolidin-1-yl. [00106] In addition, the invention also includes solvates, pharmaceutically active metabolites, and pharmaceutically acceptable salts of compounds of Formulas I-III. [00107] The term "solvate" refers to an aggregate of a molecule with one or more solvent molecules.
[00108] A "pharmaceutically active metabolite" is a pharmacologically active product produced through metabolism in the body of a specified compound or salt thereof. Metabolites of a compound may be identified using routine techniques known in the art and their activities determined using tests such as those described herein.
[00109] Prodrugs and active metabolites of a compound may be identified using routine techniques known in the art. Various forms of prodrugs are known in the art. For examples of such prodrug derivatives, see, for example, a) Design of Prodrugs, edited by H. Bundgaard, (Elsevier, 1985) and Methods in Enzymology, Vol. 42, p. 309-396, edited by K. Widder, et al. (Academic Press, 1985); b) A Textbook of Drug Design and Development, edited by Krogsgaard-Larsen and H. Bundgaard, Chapter 5 "Design and Application of Prodrugs," by H. Bundgaard p. 113-191 (1991); c) H. Bundgaard, Advanced Drug Delivery Reviews, 8, 1-38 (1992); d) H. Bundgaard, et al., Journal of Pharmaceutical Sciences, 77:285 (1988); and e) N. Kakeya, et al, Chem. Pharm. Bull, 32: 692 (1984), each of which is specifically incorporated herein by reference.
[00110] A "pharmaceutically acceptable salt" as used herein, unless otherwise indicated, includes salts that retain the biological effectiveness of the free acids and bases of the specified compound and that are not biologically or otherwise undesirable. A compound ' of the invention may possess a sufficiently acidic, a sufficiently basic, or both functional groups, and accordingly react with any of a number of inorganic or organic bases, and inorganic and organic acids, to form a pharmaceutically acceptable sale. Examples of pharmaceutically acceptable salts include those salts prepared by reaction of the compounds of the present invention with a mineral or organic acid or an inorganic base, such salts including sulfates, pyrosulfates, bisulfates, sulfites, bisulfites, phosphates, monohydrogenphosphates, dihydrogenphosphates, metaphosphates, pyrophosphates, chlorides, bromides, iodides, acetates, propionates, decanoates, caprylates, acrylates, formates, isobutyrates, caproates, heptanoates, propiolates, oxalates, malonates, succinates, suberates, sebacates, fumarates, maleates, butyn-l,4-dioates, hexyne-l,6-dioates, benzoates, chlorobenzoates, methylbenzoates, dinitromenzoates, hydroxybenzoates, methoxybenzoates, phthalates, sulfonates, xylenesulfonates, pheylacetates, phenylpropionates, phenylbutyrates, citrates, lactates, 7-hydroxybutyrates, glycollates, tartrates, methanesulfonates, propanesulfonates, naphthalene- 1 -sulfonates, naphthalene-2-sulfonates, and mandelates. Since a single compound of the present invention may include more than one acidic or basic moieties, the compounds of the present invention may include mono, di or tri-salts in a single compound.
[00111] If the inventive compound is a base, the desired pharmaceutically acceptable salt may be prepared by any suitable method available in the art, for example, treatment of the free base with an acidic compound, particularly an inorganic acid, such as hydrochloric acid, hydrobromic acid, sulfuric acid, nitric acid, phosphoric acid and the like, or with an organic acid, such as acetic acid, maleic acid, succinic acid, mandelic acid, fumaric acid, malonic acid, pyruvic acid, oxalic acid, glycolic acid, salicylic acid, a pyranosidyl acid, such as glucuronic acid or galacturonic acid, an alphahydroxy acid, such as citric acid or tartaric acid, an amino acid, such as aspartic acid or glutamic acid, an aromatic acid, such as benzoic acid or cinnamic acid, a sulfonic acid, such as p-toluenesulfonic acid or ethanesulfonic acid, or the like.
[00112] If the inventive compound is an acid, the desired pharmaceutically acceptable salt may be prepared by any suitable method, for example, treatment of the free acid with an inorganic or organic base. Preferred inorganic salts are those formed with aUcali and alkaline earth metals such as lithium, sodium, potassium, barium and calcium. Preferred organic base salts include, for example, ammonium, dibenzylammonium, benzylammonium, 2- hydroxyethylammomum, bis(2-hydroxyethyl) ammonium, phenylethylbenzylamine, dibenzyl- ethylenediamine, and the like salts. Other salts of acidic moieties may include, for example, those salts formed with procaine, quinine and N-methylglusoamine, plus salts formed with basic amino acids such as glycine, ornithine, histidine, phenylglycine, lysine and arginine. [00113] The inventive compounds may be prepared using the reaction routes and synthesis schemes as described below, employing the techniques available in the art using starting materials that are readily available or can be synthesized using methods known in the art.
[00114] Illustrations of the preparation of compounds of the present invention are shown in Figures 1-5.
[00115] Figure 1 illustrates the synthesis of compounds of Formula I of the present invention. 2-Bromo-6-fluorobenzoic acid analog 2 can be prepared by deprotonation of 1- bromo-3-fluoro-benzene analog 1 with an amide base followed by quench with either solid or gaseous CO2 in a suitable organic solvent such as THF, diethyl ether or MTBE at temperatures ranging from -78 °C to ambient temperature. Preferably, the benzoic acid 2 can be made by deprotonation with freshly prepared LDA at low temperature (-20 to -78 °C) in THF following by a solid CO2 quench. Preparation of ester 3 is accomplished in a two-step procedure, h the first step, the appropriate aniline moiety can be incorporated by SNAT reaction. This can be done in a suitable organic solvent such as THF using an amide base such as LDA, LiHMDS, NaHMDS or KHMDS at appropriate temperatures (-78 °C to room temperature). Preferably, the SNAT addition is achieved by adding the benzoic acid 2 to a mixture of freshly prepared LDA and the appropriate aniline in THF at low temperature (-20 to -78 °C) and than allowing the reaction mixture to warm to room temperature. [00116] With continued reference to Figure 1, the next step in the synthesis of compound 6 is a standard esterification, which can be achieved by standard methods including but not to limited to Fisher esterification (MeOH, H2SO4), reaction with TMSCHN2 or TMSC1 in MeOH. The synthesis of keto acid derivative 4 can be accomplished in a three- step sequence. In the first step, palladium mediated alkyne cross-coupling reaction is used to generate the corresponding alkyne intermediate. This palladium mediated cross-coupling reaction can be achieved by standard methods including, but not limited to, treating bromide 3 with desired aUcyne, a palladium catalyst such as Pd(OAc)2 and Ph3P, PdCl2(dppf), Pd(Ph3P)2Cl2, Pd(Ph3P)4, Pd2dba3 and Ph3P, Cul, and amine base such as Et3N, Et2NH, or i- Pr2NH, in a suitable organic solvent such as THF, DMF, PhMe, DME or MeCN at elevated temperature. More preferably, the bromide 3 and alkyne are treated with Pd(Ph3P)2Cl2, Cul and amine base in THF or DMF at 50 to 100 °C. In the second step, the intermediate aUcyne is hydrolysed to the corresponding ketone by standard methods including, but not limited to, H2SO4, TFA, trifluorosulfonamide, FeCl3 or HgSO4/H2SO4. hi the third step, the keto acid 4 is prepared by basic hydrolysis under standard conditions using either LiOH or NaOH in standard mixed aqueous/organic solvent systems. Dihydro-isoindol-1-one 5 can be prepared by treatment of the lcetone with hydroxylamine followed by reduction under standard conditions including, but not limited to, Zn dust in AcOH, or H2 and catalytic Pd/C or PtO2, or Raney nickel. Preferably, this reduction can be accomplished with Zn dust in AcOH at elevated temperature (50 to 85 °C). To prepare denvatives where R is lodo or bromo, this can be accomplished at this stage under standard halogenation conditions including, but not limited to, NIS or NBS in DMF with or without catalytic aqueous acid. AUcylation of dihydro-isoindol-1-one 5 to form substituted dihydro-isoindol-1-one 6 can be accomplished by use of an aUcylating agent such as an alkyl halide and base such as LiH, NaH, or K2CO3 in suitable organic solvent such as DMF, MeCN, or THF at temperatures ranging from 0 to 80 °C. Alternatively, substituted dihydro-isoindol-1-one 13 can be prepared directly from keto acid 4 under standard reduction animation conditions including, but not limited to, treatment with the appropriate amine, and reducing agent such as NaBH(OAc)3, NaBH CN, or NaBH4 with or without AcOH in a suitable organic solvent such as THF, methylene chloride, dichloroethane, MeCN or dioxane.
[00117] In Figure 2, preparation of compounds of the Formula I of the present invention is illustrated. Ester 7 can be prepared from bromide 3 by palladium mediated cross-coupling reaction with a variety of nucleophiles and palladium catalysts. Some of these methods include but not limited to Bu3SnCHR10R22, Pd(PPh3)4 in PhMe, R10R22CHB(OR)2, Pd(PPh3)4 or PdCl2(dppf) in dioxane or THF/water and K2CO3, R10R22CHBF3K, PdCl2(dppf) in t-PrOH/water and t-BuNH2, R10R22CHZnR, PdCl2(dppf) in dioxane or R10R22CH-A1-R2, PdCl2(dppf) and CeCl3 in THF. All of these cross-coupling reactions are run at elevated temperatures (50 to 120 °C). Dihydro-isoindol-1-one 6 can be prepared by bromination of ester 7 followed by treatment with ammonia or a primary amine. Bromination of ester 7 can be accomplished using standard conditions such as NBS in a suitable organic solvent. Cyclization to form dihydro-isoindol-1-one 6 can be achieved by treatment with ammonia or a primary amine in a suitable organic solvent at temperatures ranging from ambient to slightly elevated. Preferably, this cyclization is accomplished in an alcoholic solvent such as MeOH or EtOH. To prepare derivatives where R8 is iodo or bromo, this can be accomplished at this stage under standard halogenation conditions including, but not limited to, NIS or NBS in DMF with or without catalytic aqueous acid.
[00118] Figure 3 illustrates the synthesis of compounds of Formula II of the present invention. Cyclization to form phthalazin-1-one 8 can be accomplished by treating ketone 4 with substituted or unsubstituted hydrazine in a suitable organic solvent such as EtOH, i- PrOH, DMF, DME or mixtures thereof at temperatures ranging from ambient temperature to about .100 °C. To prepare derivatives where R8 is iodo or bromo, this can be accomplished at this stage under standard halogenation conditions including, but not limited to, NIS or NBS in DMF with or without catalytic aqueous acid.
[00119] Figure 4 shows an alternative preparation of compounds of Formula II of the present invention. Aldehyde 9 can be formed in a two-step procedure from bromide 3. In the first step, Suzuki type palladium mediated vinyl boronic acid cross-coupling reaction of bromide 3 gives the corresponding styrene derivative. This reaction can be accomplished with a variety of vinyl boronic acids and palladium catalysts in the presence of base in a suitable organic solvent such as PhMe, DME, DMF or THF at elevated temperature. Preferably, trαns-2-phenylboronic acid is used with Pd(PPh3) and K2CO3 in a mixture of DME and water at temperatures ranging from 60 to 105 °C. In the second step, the aldehyde is prepared by standard oxidative conditions including, but not limited to, O3/Me S, O3/Ph3P or OsO4/NaIO4. The aldehyde 9 can then be converted to phthalazin-1-one 8 by treatment with the appropriate hydrazine. To prepare derivatives where R8 is iodo or bromo, this can be accomplished at this stage under standard halogenation conditions including, but not limited to, NIS or NBS in DMF with or without catalytic aqueous acid.
[00120] h Figure 5, preparation of compounds of the Formula III of the present invention is illustrated. Hydrazide 10 can be prepared from bromide 3 by palladium mediated cross-coupling reaction. Preferably, this is accomplished by treatment of the bromide 3 with the appropriate t-butylcarbazate, Cs2CO3 and catalytic Pd2(dba)3/dppf in PhMe at elevated temperature. Removal of the BOC protecting group under standard acidic conditions such as TFA in methylene chloride or HCl in dioxane or diethyl ether generates dihydro-indazol-3-one 11. To prepare derivatives where R8 is iodo or bromo, this can be accomplished at this stage under standard halogenation conditions including, but not limited to, NTS or NBS in DMF with or without catalytic aqueous acid. AUcylation of dihydro- indazol-3-one 11 to form substituted dihydro-indazol-3-one 12 can be accomplished by use of an aUcylating agent such as an alkyl halide and base such as LiH, NaH, or K2CO3 in suitable organic solvent such as DMF, MeCN, or THF at temperatures ranging from 0 to 80 °C. [00121] The invention also relates to a pharmaceutical composition for the treatment of a hyperproliferative disorder in a mammal which comprises a therapeutically effective amount of a compound of the present invention, or a pharmaceutically acceptable salt, prodrug or hydrate thereof, and a pharmaceutically acceptable carrier, h one embodiment, said pharmaceutical composition is for the treatment of cancer such as brain, lung, squamous cell, bladder, gastic, pancreatic, breast, head, neck, renal, kidney, ovarian, prostate, colorectal, esophageal, testicular, gynecological or thyroid cancer, hi another embodiment, said pharmaceutical composition is for the treatment of a non-cancerous hyperproliferative disorder such as benign hyperplasia of the skin (e.g., psoriasis), restenosis, or prostate (e.g., benign prostatic hypertrophy (BPH)).
[00122] The invention also relates to a pharmaceutical composition for the treatment of pancreatitis or kidney disease (including proliferative glomerulonephritis and diabetes- induced renal disease) or the treatment of pain in a mammal which comprises a therapeutically effective amount of a compound of the present invention, or a pharmaceutically acceptable salt, prodrug or hydrate thereof, and a pharmaceutically acceptable carrier.
[00123] The invention also relates to a pharmaceutical composition for the prevention of blastocyte implantation in a mammal which comprises a therapeutically effective amount of a compound of the present invention, or a pharmaceutically acceptable salt, prodrug or hydrate thereof, and a pharmaceutically acceptable carrier.
[00124] The invention also relates to a pharmaceutical composition for treating a disease related to vasculogenesis or angiogenesis in a mammal which comprises a therapeutically effective amount of a compound of the present invention, or a pharmaceutically acceptable salt, prodrug or hydrate thereof, and a pharmaceutically acceptable carrier, hi one embodiment, said pharmaceutical composition is for treating a disease selected from the group consisting of tumor angiogenesis, chronic inflammatory disease or other inflammatory condition such as rheumatoid arthritis, atherosclerosis, inflammatory bowel disease, skin diseases such as psoriasis, eczema, and scleroderma, diabetes, diabetic retinopathy, retinopathy of prematurity, age-related macular degeneration, hemangioma, glioma, melanoma, Kaposi's sarcoma and ovarian, breast, lung, pancreatic, prostate, colon and epidermoid cancer. [00125] The invention also relates to a method of treating a hyperproliferative disorder in a mammal that comprises administering to said mammal a therapeutically effective amount of a compound of the present invention, or a pharmaceutically acceptable salt, prodrug or hydrate thereof. In one embodiment, said method relates to the treatment of cancer such as brain, lung, squamous cell, bladder, gastric, pancreatic, breast, head, neck, renal, kidney, ovarian, prostate, colorectal, esophageal, testicular, gynecological or thyroid cancer, h another embodiment, said method relates to the treatment of a non-cancerous hyperproliferative disorder such as benign hyperplasia of the skin (e.g., psoriasis), restenosis, or prostate (e.g., benign prostatic hypertrophy (BPH)).
[00126] The invention also relates to a method for the treatment of a hyperproliferative disorder in a mammal that comprises administering to said mammal a therapeutically effective amount of a compound of the present invention, or a pharmaceutically acceptable salt, prodrug or hydrate thereof, in combination with an anti-tumor agent selected from the group consisting of mitotic inhibitors, aUcylating agents, anti-metabolites, intercalating antibiotics, growth factor inhibitors, cell cycle inhibitors, enzyme inhibitors, topoisomerase inhibitors, biological response modifiers, anti-hormones, angiogenesis inhibitors, and anti- androgens.
[00127] The invention also relates to a method of treating pancreatitis or kidney disease in a mammal that comprises administering to said mammal a therapeutically effective amount of a compound of the present invention, or a pharmaceutically acceptable salt, prodrug or hydrate thereof.
[00128] The invention also relates to a method of preventing blastocyte implantation in a mammal that comprises administering to said mammal a therapeutically effective amount of a compound of the present invention, or a pharmaceutically acceptable salt, prodrug or hydrate thereof.
[00129] The invention also relates to a method of treating diseases related to vasculogenesis or angiogenesis in a mammal that comprises administering to said mammal a therapeutically effective amount of a compound of the present invention, or a pharmaceutically acceptable salt, prodrug or hydrate thereof. In one embodiment, said method is for treating a disease selected from the group consisting of tumor angiogenesis, chronic inflammatory disease such as rheumatoid arthritis, atherosclerosis, inflammatory bowel disease, skin diseases such as psoriasis, eczema, and scleroderma, diabetes, diabetic retinopathy, retinopathy of prematurity, age-related macular degeneration, hemangioma, glioma, melanoma, Kaposi's sarcoma and ovarian, breast, lung, pancreatic, prostate, colon and epidermoid cancer.
[00130] The invention also relates to a pharmaceutical composition for treating a disease or condition related to inflammatory disease, autoimmune disease, destructive bone disorders, proliferative disorders, infectious disease, viral disease, fibrotic disease or neurodegenerative disease in a mammal which comprises a therapeutically effective amount of a compound of the present invention, or a pharmaceutically acceptable salt, prodrug or hydrate thereof, and a pharmaceutically acceptable carrier. Examples of the above diseases and/or conditions include but is not limited to rheumatoid arthritis, atherosclerosis, inflammatory bowel disease, skin diseases such as psoriasis, eczema, and scleroderma, diabetes and diabetic complications, diabetic retinopathy, retinopathy of prematurity, age- related macular degeneration, hemangioma, chronic obstructive pulmonary disease, idiopathic pulmonary fibrosis, allergic responses including asthma allergic rhinitis and atopic dermatitis, renal disease and renal failure, polycystic kidney disease, acute coronary syndrome, congestive heart failure, osteoarthritis, neurofibromatosis, organ transplant rejection, cachexia and pain.
[00131] Patients that can be treated with compounds of the present invention, or pharmaceutically acceptable salts, prodrugs and hydrates of said compounds, according to the methods of this invention include, for example, patients that have been diagnosed as having psoriasis, restenosis, atherosclerosis, BPH, lung cancer, bone cancer, CMML, pancreatic cancer, skin cancer, cancer of the head and neck, cutaneous or intraocular melanoma, uterine cancer, ovarian cancer, rectal cancer, cancer of the anal region, stomach cancer, colon cancer, breast cancer, testicular, gynecologic tumors (e.g., uterine sarcomas, carcinoma of the fallopian tubes, carcinoma of the endometrium, carcinoma of the cervix, carcinoma of the vagina or carcinoma of the vulva), Hodgkin' s disease, cancer of the esophagus, cancer of the small intestine, cancer of the endocrine system (e.g., cancer of the thyroid, parathyroid or adrenal glands), sarcomas of soft tissues, cancer of the urethra, cancer of the penis, prostate cancer, chronic or acute leukemia, solid tumors of childhood, lymphocytic lymphomas, cancer of the bladder, cancer of the Icidney or ureter (e.g., renal cell carcinoma, carcinoma of the renal pelvis), or neoplasms of the central nervous system (e.g., primary CNS lymphoma, spinal axis tumors, brain stem gliomas or pituitary adenomas). [00132] This invention also relates to a pharmaceutical composition for inhibiting abnormal cell growth in a mammal which comprises an amount of a compound of the present invention, or a pharmaceutically acceptable salt or solvate or prodrug thereof, in combination with an amount of a chemotherapeutic, wherein the amounts of the compound, salt, solvate, or prodrug, and of the chemotherapeutic are together effective in inliibiting abnormal cell growth. Many chemotherapeutics are presently known in the art. hi one embodiment, the chemotherapeutic is selected from the group consisting of mitotic inhibitors, aUcylating agents, anti-metabolites, intercalating antibiotics, growth factor inhibitors, cell cycle inhibitors, enzymes, topoisomerase inhibitors, biological response modifiers, anti-hormones, angiogenesis inhibitors, and anti-androgens.
[00133] This invention further relates to a method for inhibiting abnormal cell growth in a mammal or treating a hyperproliferative disorder which method comprises administering to the mammal an amount of a compound of the present invention, or a pharmaceutically acceptable salt or solvate or prodrug thereof, in combination with radiation therapy, wherein the amounts of the compound, salt, solvate, or prodrug, is in combination with the radiation therapy effective in inhibiting abnormal cell growth or treating the hyperproliferative disorder in the mammal. Techniques for administering radiation therapy are known in the art, and these techniques can be used in the combination therapy described herein. The administration of the compound of the invention in this combination therapy can be determined as described herein.
[00134] It is believed that the compounds of the present invention can render abnormal cells more sensitive to treatment with radiation for purposes of killing and/or inhibiting the growth of such cells. Accordingly, this invention further relates to a method for sensitizing abnormal cells in a mammal to treatment with radiation which comprises administering to the mammal an amount of a compound of the present invention or pharmaceutically acceptable salt or solvate or prodrug thereof, which amount is effective is sensitizing abnormal cells to treatment with radiation. The amount of the compound, salt, or solvate in this method can be determined according to the means for ascertaining effective amounts of such compounds described herein.
[00135] The invention also relates to a method of and to a pharmaceutical composition of inhibiting abnormal cell growth in a mammal which comprises an amount of a compound of the present invention, or a pharmaceutically acceptable salt or solvate thereof, a prodrug thereof, or an isotopically-labeled derivative thereof, and an amount of one or more substances selected from anti-angiogenesis agents, signal transduction inhibitors, and antiproliferative agents.
[00136] Anti-angiogenesis agents, such as MMP-2 (matrix-metalloprotienase 2) inhibitors, MMP-9 (matrix-metalloprotienase 9) inhibitors, and COX-II (cyclooxygenase II) inhibitors, can be used in conjunction with a compound of the present invention and pharmaceutical compositions described herein. Examples of useful COX-II inhibitors include CELEBREX™ (alecoxib), valdecoxib, and rofecoxib. Examples of useful matrix metalloprotienase inhibitors are described in WO 96/33172, WO 96/27583, EP 818442, EP 1004578, WO 98/07697, WO 98/03516, WO 98/34918, WO 98/34915, WO 98/33768, WO 98/30566, EP 606,046, EP 931788, WO 90/05719, WO 99/52910, WO 99/52889, WO 99/29667, WO 99/07675, EP 945864, U.S. Patent No. 5,863,949, U.S. Patent No. 5,861,510, and EP 780,386, all of which are incorporated herein in their entireties by reference. Preferred MMP-2 and MMP-9 inhibitors are those that have little or no activity inhibiting MMP-1. More preferred, are those that selectively inhibit MMP-2 and/or MMP-9 relative to the other matrix-metalloproteinases (i.e., MMP-1, MMP-3, MMP-4, MMP-5, MMP-6, MMP- 7, MMP-8, MMP-10, MMP-11, MMP-12, and MMP-13).
[00137] The terms "abnormal cell growth" and "hyperproliferative disorder" are used interchangeably in this application.
[00138] "Abnormal cell growth," as used herein, unless otherwise indicated, refers to cell growth that is independent of normal regulatory mechanisms (e.g., loss of contact inhibition). This includes, for example, the abnormal growth of: (1) tumor cells (tumors) that proliferate by expressing a mutated tyrosine kinase or overexpression of a receptor tyrosine kinase; (2) benign and malignant cells of other proliferative diseases in which aberrant tyrosine kinase activation occurs; (3) any tumors that proliferate by receptor tyrosine kinases; (4) any tumors that proliferate by aberrant serine/threonine kinase activation; and (5) benign and malignant cells of other proliferative diseases in which aberrant serine/theroine kinase activation occurs.
[00139] The term "treating," as used herein, unless otherwise indicated, means reversing, alleviating, inhibiting the progress of, or preventing the disorder or condition to which such term applies, or one or more symptoms of such disorder or condition. The term "treatment," as used herein, unless otherwise indicated, refers to the act of treating as "treating" is defined immediately above.
[00140] The amount of a given agent that will correspond to such an amount will vary depending upon factors such as the particular compound, disease condition and its severity, the identity (e. g., weight) of the mammal in need of treatment, but can nevertheless be routinely determined by one skilled in the art. "Treating" is intended to mean at least the mitigation of a disease condition in a mammal, such as a human, that is affected, at least in part, by the activity of MEK, and includes, but is not limited to, preventing the disease condition from occurring in a mammal, particularly when the mammal is found to be predisposed to having the disease condition but has not yet been diagnosed as having it; modulating and/or inhibiting the disease condition; and/or alleviating the disease condition. [00141] In order to use a compound of the Formula I-III or a pharmaceutically acceptable salt or prodrug thereof, for the therapeutic treatment (including prophylactic treatment) of mammals including humans, it is normally formulated in accordance with standard pharmaceutical practice as a pharmaceutical composition. According to this aspect of the invention there is provided a pharmaceutical composition that comprises a compound of the Foπnula I-III, or a pharmaceutically acceptable salt or prodrug thereof, as defined hereinbefore in association with a pharmaceutically acceptable diluent or carrier. [00142] To prepare the pharmaceutical compositions according to this invention, a therapeutically or prophylactically effective amount of a compound of Formula I-III or a pharmaceutically acceptable salt, solvate, metabolite or prodrug thereof (alone or together with an additional therapeutic agent) is preferably intimately admixed with a pharmaceutically acceptable carrier according to conventional pharmaceutical compounding techniques to produce a dose. A carrier may take a wide variety of forms depending on the form of preparation desired for administration, e.g., oral or parenteral. Examples of suitable carriers include any and all solvents, dispersion media, adjuvants, coatings, antibacterial and antifungal agents, isotonic and absorption delaying agents, sweeteners, stabilizers (to promote long term storage), emulsifiers, binding agents, thickening agents, salts, preservatives, solvents, dispersion media, coatings, antibacterial and antifungal agents, isotonic and absorption delaying agents, flavoring agents, and miscellaneous materials such as buffers and absorbents that may be needed in order to prepare a particular therapeutic composition. The use of such media and agents with pharmaceutically active substances is well known in the art. Except insofar as any conventional media or agent is incompatible with a compound of Formula I-III, its use in the therapeutic compositions and preparations is contemplated. Supplementary active ingredients can also be incorporated into the compositions and preparations as described herein.
[00143] The compositions of the invention may be in a form suitable for oral use (for example as tablets, lozenges, hard or soft capsules, aqueous or oily suspensions, emulsions, dispersible powders or granules, syrups or elixirs), for topical use (for example as creams, ointments, gels, or aqueous or oily solutions or suspensions), for administration by inhalation (for example as a finely divided powder or a liquid aerosol), for administration by insufflation (for example as a finely divided powder) or for parenteral administration (for example as a sterile aqueous or oily solution for intravenous, subcutaneous, or intramuscular dosing or as a suppository for rectal dosing). For example, compositions intended for oral use may contain, for example, one or more coloring, sweetening, flavoring and/or preservative agents.
[00144] Suitable pharmaceutically-acceptable excipients for a tablet formulation include, for example, inert diluents such as lactose, sodium carbonate, calcium phosphate or calcium carbonate, granulating and disintegrating agents such as corn starch or algenic acid; binding agents such as starch; lubricating agents such as magnesium stearate, stearic acid or talc; preservative agents such as ethyl or propyl p-hydroxybenzoate, and anti-oxidants, such as ascorbic acid. Tablet formulations may be uncoated or coated either to modify their disintegration and the subsequent absorption of the active ingredient within the gastrointestinal tract, or to improve their stability and/or appearance, in either case, using conventional coating agents and procedures well known in the art.
[00145] Compositions for oral use may be in the form of hard gelatin capsules in which the active ingredient is mixed with an inert solid diluent, for example, calcium carbonate, calcium phosphate or kaolin, or as soft gelatin capsules in which the active ingredient is mixed with water or an oil such as peanut oil, liquid paraffin, or olive oil. [00146] Aqueous suspensions generally contain the active ingredient in finely powdered form together with one or more suspending agents, such as sodium carboxymethylcellulose. methylcellulose, hydroxypropylmethylcellulose, sodium alginate, polyvinyl-pyrrolidone, gum tragacanth and gum acacia; dispersing or wetting agents such as lecithin or condensation products of an aUcylene oxide with fatty acids (for example polyoxethylene stearate), or condensation products of ethylene oxide with long chain aliphatic alcohols, for example heptadecaethyleneoxycetanol, or condensation products of ethylene oxide with partial esters derived from fatty acids and a hexitol such as polyoxyethylene sorbitol monooleate, or condensation products of ethylene oxide with partial esters derived from fatty acids and hexitol anhydrides, for example polyethylene sorbitan monooleate. The aqueous suspensions may also contain one or more preservatives (such as ethyl or propyl p-hydroxybenzoate, anti-oxidants (such as ascorbic acid), coloring agents, flavoring agents, and/or sweetening agents (such as sucrose, saccharine or aspartame). [00147] Oily suspensions may be formulated by suspending the active ingredient in a vegetable oil (such as arachis oil, olive oil, sesame oil or coconut oil) or in a mineral oil (such as liquid paraffin). The oily suspensions may also contain a thickening agent such as beeswax, hard paraffin or cetyl alcohol. Sweetening agents such as those set out above, and flavoring agents may be added to provide a palatable oral preparation. These compositions may be preserved by the addition of an anti-oxidant such as ascorbic acid. [00148] Dispersible powders and granules suitable for preparation of an aqueous suspension by the addition of water generally contain the active ingredient together with a dispersing or wetting agent, suspending agent and one or more preservatives. Suitable dispersing or wetting agents and suspending agents are exemplified by those already mentioned above. Additional excipients such as sweetening, flavoring and coloring agents, may also be present.
[00149] The pharmaceutical compositions of the invention may also be in the form of oil-in-water emulsions. The oily phase may be a vegetable oil, such as olive oil or arachis oil, or a mineral oil, such as for example liquid paraffin or a mixture of any of these. Suitable emulsifying agents may be, for example, naturally-occurring gums such as gum acacia or gum tragacanth, naturally-occurring phosphatides such as soya bean, lecithin, an esters or partial esters derived from fatty acids and hexitol anhydrides (for example sorbitan monooleate) and condensation products of the said partial esters with ethylene oxide such as polyoxyethylene sorbitan monooleate. The emulsions may also contain sweetening, flavoring and preservative agents.
[00150] Syrups and elixirs may be formulated with sweetening agents such as glycerol, propylene glycol, sorbitol, aspartame or sucrose, and may also contain a demulcent, preservative, flavoring and/or coloring agent. [00151] The pharmaceutical compositions may also be in the form of a sterile injectable aqueous or oily suspension, wliich may be formulated according to known procedures using one or more of the appropriate dispersing or wetting agents and suspending agents, which have been mentioned above. A sterile injectable preparation may also be a sterile injectable solution or suspension in a non-toxic parenterally- acceptable diluent or solvent, for example a solution in 1,3-butanediol.
[00152] Suppository formulations may be prepared by mixing the active ingredient with a suitable non-irritating excipient which is solid at ordinary temperatures but liquid at the rectal temperature and will therefore melt in the rectum to release the drug. Suitable excipients include, for example, cocoa butter and polyethylene glycols. [00153] Topical formulations, such as creams, ointments, gels and aqueous or oily solutions or suspensions, may generally be obtained by fonnulating an active ingredient with a conventional, topically acceptable, vehicle or diluent using conventional procedures well known in the art.
[00154] Compositions for administration by insufflation may be in the form of a finely divided powder containing particles of average diameter of, for example, 30 μm or much less, the powder itself comprising either active ingredient alone or diluted with one or more physiologically acceptable carriers such as lactose. The powder for insufflation is then conveniently retained in a capsule containing, for example, 1 to 50 mg of active ingredient for use with a turbo-inhaler device, such as is used for insufflation of the known agent sodium cromoglycate.
[00155] Compositions for administration by inhalation may be in the form of a conventional pressurized aerosol arranged to dispense the active ingredient either as an aerosol containing finely divided solid or liquid droplets. Conventional aerosol propellants such as volatile fluorinated hydrocarbons or hydrocarbons may be used and the aerosol device is conveniently arranged to dispense a metered quantity of active ingredient. [00156] For further information on formulations, see Chapter 25.2 in Volume 5 of
Comprehensive Medicinal Chemistry (Corwin Hansch; Chairman of Editorial Board), Pergamon Press 1990, which is specifically incorporated herein by reference. [00157] The amount of a compound of this invention that is combined with one or more excipients to produce a single dosage form will necessarily vary depending upon the subject treated, the severity of the disorder or condition, the rate of administration, the disposition of the compound and the discretion of the prescribing physician. However, an effective dosage is in the range of about 0.001 to about 100 mg per kg body weight per day, preferably about 1 to about 35 mg/kg/day, in single or divided doses. For a 70 kg human, this would amount to about 0.05 to 7 g/day, preferably about 0.05 to about 2.5 g/day. In some instances, dosage levels below the lower limit of the aforesaid range may be more than adequate, while in other cases still larger doses may be employed without causing any harmful side effect, provided that such larger doses are first divided into several small doses for administration throughout the day. For further information on routes of administration and dosage regimes, see Chapter 25.3 in Volume 5 of Comprehensive Medicinal Chemistry (Corwin Hansch; Chairman of Editorial Board), Pergamon Press 1990, which is specifically incorporated herein by reference.
[00158] The size of the dose for therapeutic or prophylactic purposes of a compound of
Formula I-III will naturally vary according to the nature and severity of the conditions, the age and sex of the animal or patient and the route of admimstration, according to well known principles of medicine.
[00159] The compounds of this invention may be used alone in combination with other drugs and therapies used in the treatment of disease states which would benefit from the inhibition of MEK. Such treatment may involve, in addition to the compounds of the invention, conventional surgery or radiotherapy or chemotherapy. Such chemotherapy may include one or more of the following categories of anti-tumor agents:
[00160] (i) antiproliferative/anti-neoplastic drugs and combinations thereof, as used in medical oncology, such as aUcylating agents (for example, cis-platin, carboplatin, cyclophosphamide, nitorgen mustard, melphalan, chlorambucil, busulphan and nitorsoureas); anti-metabolites (for example, antifolates such as such as fluoropyrimidines like 5- fluorouracil and tegafur, raltitrexed, methotrexate, cytosine arabinside, hydroxyurea, or, one of the preferred anti-metabolites disclosed in European Patent Application No. 239362 such as N-(5-[N-(3,4-dihydro-2-methyl-4-oxoquinazolin-6-ylmethyl)-N-methylamino]-2-thenoyl)- L-glutamic acid); antitumor antibiotics (for example, anthracyclines like adriamycin, bleomycin, doxorubicin, daunomycin, epirubicin, idarubicin, mitomycin-C, dactinomycin and mithramycin); antimitotic agents (for example, vinca aUcaloids like vincristine, vinblastine, vindesine and vinorelbine and taxoids like taxol and taxotere); and topoisomerase inhibitors (for example epipodophyllotoxins like eptoposide and teniposide, amsacrine, topotecan and campothecin): [00161] (ii) cytostatic agents such as antiestrogens (for example, tamoxifen, toremifene, raloxifene, droloxifene and iodoxyfene), estrogen receptor down regulators (for example, fulvestratrant) antiandrogens (for example, bicalutamide, flutamide, nilutamide, cyproxerone acetate and Casodex™ (4'-cyano-3-(4-fluorophenylsulphonyl)-2-hydroxy-2- methyl-3'-(trifluoromethyl)propionanilide)), LHRH antagonists or LHRH agonists (for example, goserelin, leuporelin and buserelin), progestogens (for example, megestrol acetate), aromatase inhibitors (for example, asanastrozole, letrozole, vorazole and exemestane) and inhibitors of 5α-reductase such as finasteride;
[00162] (iii) agents which inhibit cancer cell invasion (for example, metalloproteinase inhibitors like marimastat and inhibitors of urokinase plasminogne activator receptor function);
[00163] (iv) inhibitors of growth factor function like growth factor antibodies, growth factor receptor antibodies (for example, the anti-erbB2 antibody trastumuzab [Herceptin™] and the anti-erbBl antibody cetuximab [C225]), farnesyl transferase inhibitors, tyrosine kinase inhibitors and serine-threonine kinase inhibitors (for example, inhibitors of the epidermal growth factor family tyrosine kinases such as N-(3-chloro-4-fluorophenyl)-7- methoxy-6-(3-morpholinopropoxy)quinazolin-4-amine (gefitinib, AZD1839), N-(3- ethynylphenyl)-6,7-bis(2-methoxyethoxy)quinazolin-4-amine (erlotinib, OSI-774) and 6- acrylamido-N-(3-chloro-4-fluorophenyl)-7-(3-morpholinopropoxy)quinazolin-4-amine (CI 1033)), inliibitors of the platelet-derived growth factor family and inliibitors of the hepatocyte growth factor family;
[00164] (v) antiangio genie agents such as those which inhibit the effects of vascular endothelial growth factor (for example, the anti-vascular endothelial cell growth factor antibody bevacizumab [Avastin™], compounds such as those disclosed in PCT Publication Nos. WO 97/22596, WO 97/30035, WO 97/32856, and WO 98/13354) and compounds that work by other mechanisms (for example, linomide, inhibitors of integrin αvβ3 function, MMP inhibitors, COX-2 inhibitors and angiostatin);
[00165] (vi) vascular damaging agents such as Combretastatin A4 and compounds disclosed in PCT Publication Nos. WO 99/02166, WO 0/40529, WO 00/41669, WO 01/92224, WO 02/04434, and WO 02/08213;
[00166] (vii) antisense therapies (for example, those which are directed to the targets listed above such as ISIS 2503, and anti-ras antisense); [00167] (viii) gene therapy approaches, including for example GVAX™, approaches to replace aberrant genes such as aberrant p53 or aberrant BRCA1 or BRCA2, GDEPT (gene- directed enzyme pro-drug therapy) approaches such as those using cytosine deaminase, thymidine kinase or a bacterial nitroreductase enzyme and approaches to increase patient tolerance to chemotherapy or radiotherapy such as multi-drug resistance gene therapy; [00168] (ix) interferon; and
[00169] (x) immunotherapy approaches, including for example ex- vivo and in- vivo approaches to increase the immunogenicity of patient tumor cells, such as transfection with cytokines such as interleukin 2, interleukin 4 or granulocyte-macrophage colony stimulating factor, approaches to decrease T-cell anergy, approaches to using transfected immune cells such as cytokine-transfected dendritic cells, approaches using cytokine-transfected tumor cell lines and approaches using anti-idiotypic antibodies.
[00170] Such conjoint treatment may be achieved by way of the simultaneous, sequential or separate dosing of the individual components of treatment. Such combination products employ the compounds of this invention within the dose range described hereinbefore and the other pharmaceutically active agent within its approved dose range. [00171] According to this aspect of the invention there is provided a pharmaceutical product comprising a compound of Formula I-III as defined hereinbefore and an additional anti-tumor agent as defined hereinbefore for the conjoint treatment of cancer. [00172] Although the compounds of Formula I-III are primarily of value as therapeutic agents for use in warm-blooded animals (including man), they are also useful whenever it is required to inhibit the effects of MEK. Thus, they are useful as pharmacological standards for use in the development of new biological tests and in the search for new pharmacological agents.
[00173] The activity of the compounds of the present invention may be determined by the following procedure. N-terminal 6 His-tagged, constitutively active MEK-1 (2-393) is expressed in E. coli and protein is purified by conventional methods (Ahn et al, Science 1994, 265, 966-970). The activity of MEK1 is assessed by measuring the incorporation of γ-33P-phosphate from γ-33P-ATP onto N-terminal His tagged ERK2, which is expressed in E. coli and is purified by conventional methods, in the presence of MEK-1. The assay is carried out in 96-well polypropylene plate. The incubation mixture (100 μL) comprises of 25 mM Hepes, pH 7.4, 10 mM MgCl2, 5 mM β-glycerolphosphate, 100 μM Na-orthovanadate, 5 mM DTT, 5 nM MEK1, and 1 μM ERK2. Inhibitors are suspended in DMSO, and all reactions, including controls are performed at a final concentration of 1% DMSO. Reactions are initiated by the addition of 10 μM ATP (with 0.5 μCi γ-33P-ATP/well) and incubated at ambient temperature for 45 minutes. Equal volume of 25% TCA is added to stop the reaction and precipitate the proteins. Precipitated proteins are trapped onto glass fiber B filterplates, and excess labeled ATP washed off using a Tomtec MACH III harvestor. Plates are allowed to air-dry prior to adding 30 μL/well of Packard Microscint 20, and plates are counted using a Packard TopCount. In this assay, compounds of the invention exhibited an IC50 of less than 50 micromolar.
[00174] Representative compounds of the present invention, which are encompassed by the present invention include, but are not limited to the compounds of the examples and their pharmaceutically acceptable acid or base addition salts or prodrugs thereof. The examples presented below are intended to illustrate particular embodiments of the invention, and are not intended to limit the scope of the specification or the claims in any way. [00175] The disclosures in this application of all articles and references, including patents, are incorporated herein by reference. EXAMPLES [00176] In order to illustrate the invention, the following examples are included.
However, it is to be understood that these examples do not limit the invention and are only meant to suggest a method of practicing the invention. Persons skilled in the art will recognize that the chemical reactions described may be readily adapted to prepare a number of other MEK inhibitors of the invention, and alternative methods for preparing the compounds of this invention are deemed to be within the scope of this invention. For example, the synthesis of non-exemplified compounds according to the invention may be successfully performed by modifications apparent to those skilled in the art, e.g., by appropriately protecting interfering groups, by utilizing other suitable reagents known in the art other than those described, and/or by making routine modifications of reaction conditions. Alternatively, other reactions disclosed herein or known in the art will be recognized as having applicability for preparing other compounds of the invention.
[00177] In the examples described below, unless otherwise indicated all temperatures are set forth in degrees Celsius. Reagents were purchased from commercial suppliers such as Aldrich Chemical Company, Lancaster, TCI or Maybridge, and were used without further purification unless otherwise indicated. Tetrahydrofuran (THF), N,N-dimethylformamide (DMF), dichloromethane, toluene, dioxane and 1,2-difluoroethane were purchased from Aldrich in Sure seal bottles and used as received.
[00178] The reactions set forth below were done generally under a positive pressure of nitrogen or argon or with a drying tube (unless otherwise stated) in anhydrous solvents, and the reaction flasks were typically fitted with rubber septa for the introduction of substrates and reagents via syringe. Glassware was oven dried and/or heat dried. [00179] Column chromatography was done on a Biotage system (Manufacturer: Dyax
Corporation) having a silica gel column or on a silica SepPalc cartridge (Waters). [00180] 1H-NMR spectra were recorded on a Varian instrument operating at 400 MHz.
1H-NMR spectra were obtained as CDC13 solutions (reported in ppm), using chloroform as the reference standard (7.25 ppm). Other NMR solvents were used as needed. When peak multiplicities are reported, the following abbreviations are used: s (singlet), d (doublet), t (triplet), m (multiplex), br (broadened), dd (doublet of doublets), dt (doublet of triplets). Coupling constants, when given, are reported in Hertz (Hz). Example 1
Figure imgf000044_0001
7-(2-Chloro-4-iodophenylamino)-5,6-difiuoro-3-methyl-2,3-dihydro-isoindol-l-one
[00181] Step A: Preparation of 6-bromo-2,3,4-trifluorobenzoic acid. To a solution of i-Pr2NH (3.65 mL, 25.8 mmol) in THF (50 mL) was added n-BuLi (10.3 mL, 25.8 mmol, 2.50 M solution in hexanes) at 0 °C. After stirring for 15 minutes, the reaction mixture was cooled to -78 °C. A solution of 5-bromo- 1,2,3 -trifluorobenzene (5.00 g, 23.7 mmol) in THF (5 mL) was added. The resulting mixture was stirred for 2 hours at -78 °C, poured into an excess of freshly crushed dry ice, and stirred for 30 minutes To this mixture was added 10% aqueous HCl to adjust its pH to 1. The resulting mixture was extracted with ether (3x). The combined organic layers were washed with 5% aqueous NaOH (2x). The combined basic aqueous layers were acidified to pH 1 with concentrated HCl, and extracted with ether (2x). The combined organic layers were washed with water, dried over MgSO4, filtered, and concentrated in vacuo to give the desired product (5.06 g, 84%) that was used directly without further purification.
[00182] Step B: Preparation of 6-bromo-2-(2-chlorophenylamino -3.4-difluorobenzoic acid. To a solution of i-Pr2NH (5.83 mL, 41.2 mmol) in THF (16 mL) at 0 °C was added n- BuLi (16.4 mL, 41.1 mmol, 2.5 M solution in hexanes). After stirring for 15 minutes, the reaction mixture was cooled to -78 °C. 2-Chloroaniline (2.89 mL, 27.5 mmol) was added. After vigorous stirring for 10 minutes, a solution of 6-bromo-2,3,4-trifluorobenzoic acid (3.51 g, 13.8 mmol) in THF (4 mL) was added. The reaction mixture was warmed to room temperature and stirred for 2 hours at room temperature. The reaction mixture was concentrated, treated with 10% aqueous HCl (15 mL) until the aqueous phase was acidic, and extracted with EtOAc. The combined organic layers were dried over MgSO4, filtered, and concentrated in vacuo to give the crude material that was triturated three times with boiling CH2C12 to afford the desired product (3.18 g, 64%).
[00183] Step C: Preparation of 6-bromo-2-(2-chlorophenylamino -3 ,4-difluorobenzoic acid methyl ester. To a solution of 6-bromo-2-(2-chlorophenylamino)-3,4-difluorobenzoic acid (3.18 g, 8.77 mmol) in THF-MeOH (16 mL/5 mL) was added TMSCHN2 (5.30 mL, 10.6 mmol, 2M solution in hexanes) at room temperature. The resulting mixture was stirred for 1 hour, quenched with AcOH, and diluted with EtOAc. The organic layer was washed with water, saturated NaHCO3 (2x), and brine. The organic layer was dried over MgSO4, filtered, and concentrated in vacuo to afford the desired product (3.31 g, 100%) that was used directly without further purification.
[00184] Step D: Preparation of 2-(2-chloroρhenylamino)-3,4-difluoro-6- trimethylsilanylethynyl-benzoic acid methyl ester. A mixture of 6-bromo-2-(2- chlorophenylamino)-3,4-difluorobenzoic acid methyl ester (2.61 g, 6.93 mmol), TMS- acetylene (1.18 mL, 8.32 mmol), Pd(PPh3)2Cl2 (496 mg, 0.693 mmol), Cul (132 mg, 0.693 mmol), and i-Pr NH (1.95 mL, 13.9 mmol) in THF (11 mL) was stirred for 16 hours at room temperature. The reaction mixture was concentrated in vacuo, diluted with EtOAc, and washed with saturated aqueous NH4C1 and brine. The organic layer was dried over MgSO4, filtered, and concentrated to give the crude material that was purified by silica gel flash column chromatography (100% hexanes to 1% to 2% EtOAc in hexanes) to afford the desired product (2.15 g, 79%). [00185] Step E: Preparation of 6-acetyl-2-(2-chlorophenylamino -3,4-difluorobenzoic acid methyl ester. A mixture of 2-(2-chlorophenylamino)-3,4-difluoro-6- trimethylsilanylethynylbenzoic acid methyl ester (1.00 g, 2.54 mmol), HgSO4 (761 mg, 2.54 mmol), and concentrated H2SO4 (0.27 mL) in acetone-water (22 m.L/4 mL) was refluxed for 3 hours. The reaction mixture was concentrated in vacuo, diluted with EtOAc-THF, and washed with water and brine. The organic layer was dried over MgSO4, filtered, and concentrated to give the crude material that was purified by silica gel flash column chromatography (8% EtOAc in hexanes) to afford the desired product (496 mg, 58%). [00186] Step F: Preparation of 6-acetyl-2-(2-chlorophenylaminoV3 ,4-difluorobenzoic acid. To a solution of 6-acetyl-2-(2-chlorophenylamino)-3, 4-difluorobenzoic acid methyl ester (200 mg, 0.59 mmol) in THF-water (2 mL/0.5 mL) was added 1 M aqueous LiOH (1.21 mL, 1.21 mmol) at room temperature. The reaction mixture was stirred for 30 minutes, acidified to pH 1 with 1 N aqueous HCl, and extracted with EtOAc. The combined organic layers were dried over MgSO4, filtered, and concentrated in vacuo to give the desired acid (166 mg, 86%) that was used directly without further purification.
[00187] Step G: Preparation of 8-(2-chlorophenylamino -6,7-difluoro-4- methylbenzo [dl \ 1 ,2] oxazin- 1 -one. To a solution of 6-acetyl-2-(2-chlorophenylamino)-3,4- difluorobenzoic acid (50 mg, 0.15 mmol) and hydroxylamine hydrochloride (11 mg, 0.15 mmol) in MeOH-H2O (1 mL/0.5 mL) was added TEA (0.022 mL, 0.15 mmol) at room temperature. The resulting mixture was stirred for 16 hours at room temperature. The reaction mixture was diluted with EtOAc and washed with water. The organic layer was dried over MgSO4, filtered and concentrated in vacuo to give the crude material that was purified by silica gel flash column chromatography (100% CH2C12) to afford the desired product (26.8 mg, 54%).
[00188] Step H: Preparation of 7-r2-chlorophenylamino -5,6-difluoro-3-methyl-2,3- dihydro-isoindol- 1 -one. A mixture solution of 8-(2-chlorophenylamino)-6,7-difluoro-4- methyl-benzo[d][l,2]oxazin-l-one (26 mg, 0.079 mmol) and Zn (30 mg, 0.46 mmol) in AcOH (2 mL) was heated for 1 hour at 85 °C. The reaction mixture was filtered and the solid was washed with additional AcOH. The filtrate was concentrated in vacuo, diluted with EtOAc, and washed with saturated aqueous NaHCO3 and water. The organic layer was dried over MgSO4, filtered, and concentrated in vacuo to give the desired product (18 mg, 74%) that was used directly without further purification. [00189] Step I: Preparation of 7-(2-chloro-4-iodophenylamino -5,6-difluoro-3-methyl- 2,3 -dihydro-isoindol- 1 -one. A solution of 7-(2-chlorophenylamino)-5,6-difluoro-3-methyl- 2,3-dihydro-isoindol-l-one (18 mg, 0.059 mmol), NIS (17 mg, 0.074 mmol), and p-TsOH- H2O (24 mg, 0.12 mmol) in THF-MeOH (1 mL/1 mL) was stirred for 1 hour at room temperature. The reaction mixture was diluted with EtOAc, washed with saturated aqueous NaHCO3 and water. The organic layer was dried over MgSO4, filtered, and concentrated in vacuo to give the crude material that was purified by silica gel flash column chromatography (100% CH2C12 to 1% MeOH in CH2C12) to afford 7-(2-chloro-4-iodophenylamino)-5,6- difluoro-3-methyl-2,3-dihydro-isoindol-l-one (5.4 mg, 21%). MS APCI (-) m/z A 2>, 435 (M-, CI pattern) detected; 1H NMR (400 MHz, CDC13) δ 8.54 (s, IH), 7.70 (d, IH), 7.48 (dd, IH), 6.75 (m, 2H), 6.04 (s, IH), 4.63 (q, IH), 1.49 (d, 3H).
Example 2
Figure imgf000047_0001
7-(4-Bromo-2-chlorophenylamino)-5,6-difluoro-3-methyl-2,3-dihydro-isoindol-l-one
[00190] A mixture of 7-(2-chlorophenylamino)-5,6-difluoro-3-methyl-2,3-dihydro- isoindol-1-one (68 mg, 0.22 mmol, prepared by the procedures described in Example 1) and NBS (46 mg, 0.26 mmol) in DMF (2 mL) was stirred for 3 hours at room temperature. The reaction mixture was diluted with EtOAc and washed with water. The organic layer was dried over MgSO4, filtered, and concentrated in vacuo to give the crude material which was purified by silica gel flash column chromatography (100% hexanes to 25% EtOAc in hexanes) to afford 7-(4-bromo-2-chlorophenylamino)-5,6-difluoro-3-methyl-2,3-dihydro- isoindol-1-one (40 mg, 47%). MS APCI (-) m/z 385, 387 (M-, Br, CI pattern) detected; 1H NMR (400 MHz, CDC13) δ 8.53 (s, IH), 7.54 (d, IH), 7.31 (dd, IH), 6.89 (t, IH), 6.75 (dd, IH), 6.05 (s, IH), 4.63 (q, IH), 1.49 (d, 3H). Example 3
Figure imgf000048_0001
8-(2-Chloro-4-iodophenylamino)-6,7-difluoro-4-methyl-2H-phthalazin-l-one [00191] Step A: Preparation of 8-f2-chlorophenylamino -6,7-difluoro-4-methyl-2H- phthalazin-1-one. To a solution of 6-acetyl-2-(2-chlorophenylamino)-3, 4-difluorobenzoic acid (62 mg, 0.19 mmol, prepared by the procedures described in Example 1) and hydrazine monohydrate (0.031 mL, 0.63 mmol) in THF (3 mL) was added catalytic amount of 1 N aqueous HCl (0.15 mL, 0.15 mmol) at room temperature. After stirring for 16 hours at room temperature, the reaction mixture was diluted with EtOAc, and washed with water (2x) and brine. The organic layer was dried over MgSO4, filtered, and concentrated in vacuo to give the desired product (53 mg, 86%) that was used directly without further purification. [00192] Step B: Preparation of 8-(2-chloro-4-iodophenylamino)-6,7-difluoro-4- methyl-2H-phthalazin- 1 -one. A mixture of 8-(2-chlorophenylamino)-6,7-difluoro-4-methyl- 2H-ρhthalazin-l-one (30 mg, 0.093 mmol) and NIS (24 mg, 0.11 mmol) in AcOH-THF (2 mL/0.5 mL) was heated at 85 °C for 3 minutes The reaction mixture was concentrated in vacuo and washed with water. The organic layer was dried over MgSO4, filtered, and concentrated in vacuo to give the crude material that was purified by silica gel flash column chromatography (100% hexanes to 15% EtOAc in hexanes) to afford 8-(2-chloro-4- iodoρhenylamino)-6,7-difluoro-4-methyl-2H-ρhthalazin-l-one (7.7 mg, 17%). MS APCI (-) m/z 446, 448 (M-, CI pattern) detected; 1H NMR (400 MHz, DMSO-d6) δ 12.74 (s, IH), 10.96 (s, IH), 7.86 (s, IH), 7.60 (d, IH), 7.53 (dd, IH), 6.94 (t, IH), 2.47 (s, 3H).
Figure imgf000048_0002
8-(2-Chloro-4-iodophenylamino)-6,7-difluoro-2-(2-hydroxy-ethyl)-2H-phthalazin-l-one
[00193] Step A: Preparation of 2-(2-chlorophenylamino -3.4-difluoro-6-styryl-benzoic acid methyl ester: Pd(PPh3)4 (0.313 g, 0.271 mmol) and traras-2-phenylvinylboronic acid (1.105 g, 7.468 mmol) were added to a mixture of 6-bromo-2-(2-chlorophenylamino)-3,4- difluorobenzoic acid methyl ester (2.00 g, 5.31 mmol) in 35 mL DME and 8 mL 2.0 M aqueous K2CO3 solution. The reaction mixture was heated under a N2 atmosphere to 90 °C and stirred for 16 hours. After cooling to room temperature, the reaction mixture was diluted with ethyl acetate and water and the layers separated. The organic layer was dried (MgSO4) and concentrated under reduced pressure. Purification by flash column chromatography gave 1.20 g (56%) clean desired product.
[00194] Step B: Preparation of 2-(2-chlorophenylamino -3,4-difluoro-6- formylbenzoic acid methyl ester: A mixture of 2-(2-chlorophenylamino)-3,4-difluoro-6- styrylbenzoic acid methyl ester (1.20 g, 3.00 mmol), 2.5% OsO4 solution in t-BuOH (2.0 mL, 0.165 mmol) and NMO (0.435 g, 3.60 mmol) in 30 mL of 1:1 THF/water was stirred for 1 hour. Sodium periodate (0.963 g, 4.50 mmol) was added. After 1 hour, the reaction mixture was diluted with ethyl acetate and water and the layers separated. The organic layer was dried (MgSO4) and concentrated under reduced pressure. Purification by flash column chromatography (1:1 methylene chloride/hexanes) gave 0.406 g (42%) pure desired product. [00195] Step C: Preparation of 8-(2-chlorophenylamino -6 -difluoro-2-(2- hydrox yethyl -2H-phthalazin- 1 -one : A mixture of 2-(2-chlorophenylamino)-3,4-difluoro-6- formyl benzoic acid methyl ester (0.400 mg, 1.228 mmol) and 2-hydroxyethyl hydrazine (0.102 mL, 1.351 mmol) in EtOH (10 mL) was heated at reflux under N2 for 16 hours. After cooling to room temperature, a yellow precipitate formed which was collected by filtration. The yellow solid was washed with EtOH and dried to yield 0.128 g (30%) pure desired product.
[00196] Step D: 8-(2-Chloro-4-iodophenylamino)-6,7-difluoro-2-(2-hydroxyethyl)-
2H-phthalazin-l-one was prepared from 8-(2-chlorophenylamino)-6,7-difluoro-2-(2- hydroxyethyl)-2H-phthalazin-l-one by the method described in Step B of Example 3. MS APCI (-) m/z 476, 478 (M-, CI pattern) detected; 1H NMR (400 MHz, CDC13) δ 10.90 (s, IH), 8.39 (s, IH), 7.43 (d, IH), 7.22 (t, IH), 7.07 (m, 2H), 4.42 (t, 2H), 4.08 (t, 2H).
Figure imgf000050_0001
4-(2-Chloro-4-iodophenylamino)-5,6-difiuoro-l,2-dihydro-indazol-3-one [00197] Step A: Preparation of 6-(N'-tert-butoxycarbonyl-hydrazino -2-(2- chlorophenylamino)-3, 4-difluorobenzoic acid methyl ester: Pd (dba)3 (4 mol %), t- butylcarbazate (4.00 equivalents), dppf (12 mol %) and Cs2CO3 (1.00 equivalent) are added to a solution of 6-bromo-2-(2-chlorophenylamino)-3, 4-difluorobenzoic acid methyl ester (1.00 equivalent) in PhMe. The reaction mixture is heated in a sealed vial charged under a N atmosphere to 100 °C and stirred for 16 hours. After cooling to room temperature, the reaction mixture is diluted with methylene chloride and filtered. The filtrate is concentrated under reduced pressure. The product is purified by trituration or flash column chromatography if further purification is necessary.
[00198] Step B: Preparation of 4-(2-chlorophenylamino -5,6-difluoro-l,2- dihydroindazol-3 -one : 6-(N,-tert-Butoxycarbonylhydrazino)-2-(2-chlorophenylamino)-3,4- difluorobenzoic acid methyl ester (1.00 equivalent) is treated with a 1:1 mixture of methylene chloride and TFA and stirred for 2 hours The reaction mixture is concentrated under reduced pressure and the product is purified by trituration or flash column chromatography if needed.
[00199] Step C: 4-(2-Chloro-4-iodophenylamino)-5,6-difluoro-l,2-dihydro-indazol-3- one is prepared from 4-(2-chlorophenylamino)-5,6-difluoro-l,2-dihydro-indazol-3-one by the method described in Step B of Example 3.
[00200] The foregoing description is considered as illustrative only of the principles of the invention. Further, since numerous modifications and changes will be readily apparent to those skilled in the art, it is not desired to limit the invention to the exact construction and process shown as described above. Accordingly, all suitable modifications and equivalents may be resorted to falling within the scope of the invention as defined by the claims that follow.
[00201] The words "comprise," "comprising," "include," "including," and "includes" when used in this specification and in the following claims are intended to specify the presence of stated features, integers, components, or steps, but they do not preclude the presence or addition of one or more other features, integers, components, steps, or groups thereof.

Claims

What is claimed is:
1. A compound including resolved enantiomers, diastereomers, solvates and pharmaceutically acceptable salts thereof, said compound having the Formula I:
Figure imgf000052_0001
where: R , R , R , R , R and R are independently hydrogen, hydroxy, halogen, cyano, nitro, trifluoromethyl, difluoromethyl, fluoromethyl, fluoromethoxy, difluoromethoxy, trifluoromethoxy, azido, -SR11, -OR3, -C(O)R3, -C(O)OR3, -NR4C(O)OR6, -OC(O)R3, -NR4SO2R6, -SO2NR3R4, -NR4C(O)R3, -C(O)NR3R4, -NR5C(O)NR3R4, -NR5C(NCN)NR3R4, -NR3R4, Ci-Cio alkyl, C2-C10 alkenyl, C2-C10 alkynyl, C3-C10 cycloaUcyl, C3-C10 cycloalkylalkyl, -S(O)j(C1-C6 aUcyl), -S(O)j(CR4R5)m-aryl, aryl, arylalkyl, heteroaryl, heteroarylalkyl, heterocyclyl, heterocyclylalkyl, -O(CR4R5)m-aryl, -NR4(CR4R5)m-aryl, -O(CR4R5)m-heteroaryl, -NR4(CR R5)m-heteroaryl, -O(CR4R5)m-heterocyclyl or -NR4(CR4R5)m-heterocyclyl, wherein any of said aUcyl, alkenyl, alkynyl, cycloalkyl, aryl, arylaUcyl, heteroaryl, heteroarylalkyl, heterocyclyl and heterocyclylaUcyl portions are optionally substituted with one or more groups independently selected from oxo (with the proviso that it is not substituted on a aryl or heteroaryl), halogen, cyano, nitro, trifluoromethyl, difluoromethyl, fluoromethyl, fluoromethoxy, difluoromethoxy, trifluoromethoxy, azido, -NR4SO2R6, -SO2NR3R4, -C(O)R3, -C(O)OR3, -OC(O)R3, -NR4C(O)OR6, -NR4C(O)R3, -C(O)NR3R4, -NR3R4, -NR5C(O)NR3R4, -NR5C(NCN)NR3R4, -OR3, aryl, heteroaryl, arylaUcyl, heteroarylaUcyl, heterocyclyl and heterocyclylalkyl, and wherein any of said cycloalkyl, heterocycloaUcyl, aryl or heteroaryl rings may be further substituted with one or more groups independently selected from halogen, hydroxyl, cyano, nitro, azido, fluoromethyl, difluoromethyl, trifluoromethyl, d-C4 aUcyl, C -C4 alkenyl, C2-C4 alkynyl, C3-C6 cycloalkyl, C3-C6 heterocycloaUcyl, NR3R4 and OR3; R7 is hydrogen, trifluoromethyl, Ci-do alkyl, C2-C10 aUcenyl, C2-C10 alkynyl, C3-C10 cycloaUcyl, C3-C10 cycloaUcylalkyl, aryl, arylaUcyl, heteroaryl, heteroarylalkyl, heterocyclyl, or heterocyclylalkyl, wherein any of said aUcyl, aUcenyl, alkynyl, cycloaUcyl, aryl, arylalkyl, heteroaryl, heteroarylaUcyl, heterocyclyl and heterocyclylaUcyl portions are optionally substituted with one or more groups independently selected from oxo (with the proviso that it is not substituted on a aryl or heteroaryl), halogen, cyano, nitro, trifluoromethyl, difluoromethyl, fluoromethyl, fluoromethoxy, difluoromethoxy, trifluoromethoxy, azido, -NRπSO2R14, -SO2NRπR12, -C(O)Rπ, C(O)ORn, -OC(O)Ru, -NRπC(O)OR14, -NRπC(O)R12, -C(O)NRπR12, -SR11, -S(O)R14, -SO2R14, -NRπR12, -NRπC(O)NR12R13, -NRπC(NCN)NR12R13, -OR11, d-C10 alkyl, C2-C10 alkenyl, C2-C10 alkynyl, C3-C10 cycloalkyl, aryl, heteroaryl, arylalkyl, heteroarylalkyl, heterocyclyl and heterocyclylaUcyl, and wherein any of said cycloalkyl, heterocycloalkyl, aryl or heteroaryl rings may be further substituted with one or more groups independently selected from halogen, hydroxyl, cyano, nitro, azido, fluoromethyl, difluoromethyl, trifluoromethyl, C1.-C4 alkyl, C2-C4 alkenyl, C2-C4 alkynyl, C3-C6 cycloalkyl, C3-C6 heterocycloalkyl, NR3R4 and OR3; R10 and R22 are independently hydrogen, cyano, nitro, trifluoromethyl, difluoromethyl, fluoromethyl, fluoromethoxy, difluoromethoxy, trifluoromethoxy, azido, -C(O)R3, -C(O)OR3, -SO2NR3R4, -C(O)NR3R4, d-Cio alkyl, C2-C10 alkenyl, C2-C10 alkynyl, C3-C10 cycloalkyl, C3-C10 cycloalkylaUcyl, -S(O)j(d-C6 alkyl), -S(O)j(CR4R5)m-aryl, aryl, arylalkyl, heteroaryl, heteroarylalkyl, heterocyclyl or heterocyclylalkyl, wherein any of said alkyl, alkenyl, alkynyl, cycloaUcyl, aryl, arylaUcyl, heteroaryl, heteroarylaUcyl, heterocyclyl and heterocyclylaUcyl portions are optionally substituted with one or more groups independently selected from oxo (with the proviso that it is not substituted on a aryl or heteroaryl), halogen, cyano, nitro, trifluoromethyl, difluoromethoxy, trifluoromethoxy, azido, -NR4SO2R6, -SO2NR3R4, -C(O)R3, -C(O)OR3, -OC(O)R3, -NR4C(O)OR6, -NR4C(O)R3, -C(O)NR3R4, -NR3R4, -NR5C(O)NR3R4, -NR5C(NCN)NR3R4, -OR3, aryl, heteroaryl, arylalkyl, heteroarylalkyl, heterocyclyl and heterocyclylaUcyl, and wherein any of said aryl, heteroaryl, arylaUcyl, heteroarylalkyl, heterocyclyl or heterocyclylaUcyl rings may be further substituted with one or more groups independently selected from halogen, hydroxyl, cyano, nitro, azido, fluoromethyl, difluoromethyl, trifluoromethyl, C1-C4 aUcyl, C2-C4 alkenyl, C2-C4 alkynyl, C3-C6 cycloalkyl, C3-C6 heterocycloaUcyl, NR3R4 and OR3; R3 is hydrogen, trifluoromethyl, d-do aUcyl, C -C10 aUcenyl, C2-C10 aUcynyl, C3-C10 cycloaUcyl, C -Cιo cycloaUcylaUcyl, aryl, arylaUcyl, heteroaryl, heteroarylaUcyl, heterocyclyl, heterocyclylaUcyl, phosphate or an amino acid residue, wherein any of said aUcyl, aUcenyl, alkynyl, cycloaUcyl, aryl, arylalkyl, heteroaryl, heteroarylaUcyl, heterocyclyl and heterocyclylaUcyl portions are optionally substituted with one or more groups independently selected from oxo (with the proviso that it is not substituted on a aryl or heteroaryl), halogen, cyano, nitro, trifluoromethyl, difluoromethoxy, trifluoromethoxy, azido, -NRπSO2R14, -SO2NRnR12, -C(O)Rπ, C(O)ORπ, -OC(O)Rπ, -NRπC(O)OR14, -NRπC(O)R12, -C(O)NRπR12, -SR11, -S(O)R14, -SO2R14, -NRπR12, -NRnC(O)NR12R13, - NRUC(NCN)NR12R13, -OR11, aryl, heteroaryl, arylalkyl, heteroarylalkyl, heterocyclyl and heterocyclylalkyl, or R3 and R4 together with the atom to which they are attached form a 4 to 10 membered carbocyclic, heteroaryl or heterocychc ring, wherein any of said carbocyclic, heteroaryl or heterocychc rings are optionally substituted with one or more groups independently selected from halogen, cyano, nitro, trifluoromethyl, difluoromethoxy, trifluoromethoxy, azido, -NRπSO2R14, -SO2NRπR12, -C(O)Rn, C(O)ORn, -OC(O)Rπ, - NRπC(O)OR14, -NRπC(O)R12, -C(O)NRπR12, -SR11, -S(O)R14, -SO2R14, -NRnR12, -NRπC(O)NR12R13, -NRπC(NCN)NR12R13, -OR11, aryl, heteroaryl, arylalkyl, heteroarylaUcyl, heterocyclyl, and heterocyclylalkyl; R4 and R5 independently are hydrogen or d-C6 alkyl, or R4 and R5 together with the atom to which they are attached form a 4 to 10 membered carbocyclic, heteroaryl or heterocychc ring, wherein said alkyl or any of said carbocyclic, heteroaryl and heterocychc rings are optionally substituted with one or more groups independently selected from halogen, cyano, nitro, trifluoromethyl, difluoromethoxy, trifluoromethoxy, azido, -NRπSO2R14, -SO2NRπR12, -C(O)Rπ, C(O)ORπ, -OC(O)Rπ, - NRπC(O)OR14, -NRuC(O)R12, -C(O)NRπR12, -SR11, -S(O)R14, -SO2R14, -NRπR12, -NRnC(O)NR12R13, -NRπC(NCN)NR12R13, -OR11, aryl, heteroaryl, arylalkyl, heteroarylaUcyl, heterocyclyl, and heterocyclylaUcyl; R6 is trifluoromethyl, d- o alkyl, C3-C10 cycloalkyl, aryl, arylaUcyl, heteroaryl, heteroarylalkyl, heterocyclyl or heterocyclylaUcyl, wherein any of said aUcyl, cycloaUcyl, aryl, arylaUcyl, heteroaryl, heteroarylalkyl, heterocyclyl and heterocyclylalkyl portions are optionally substituted with one or more groups independently selected from oxo (with the proviso that it is not substituted on a aryl or heteroaryl), halogen, cyano, nitro, trifluoromethyl, difluoromethoxy, trifluoromethoxy, azido, -NRπSO2R14, -SO2NRπR12, -C(O)Rπ, C(O)ORπ, -OC(O)Rn, -NRπC(O)OR14, -NRnC(O)R12, -C(O)NRπR12, -SR11, -S(O)R14, -SO2R14, -NRπR12, -NRπC(O)NR12R13, -NRπC(NCN)NR12R13, -OR11, aryl, heteroaryl, arylaUcyl, heteroarylalkyl, heterocyclyl, and heterocyclylaUcyl; R11, R12 and R13 independently are hydrogen, lower aUcyl, lower aUcenyl, aryl or arylalkyl, and R14 is lower alkyl, lower aUcenyl, aryl or arylaUcyl; or any two of R11, R12, R13 or R14 together with the atom to which they are attached form a 4 to 10 membered carbocyclic, heteroaryl or heterocychc ring, wherein any of said alkyl, aUcenyl, aryl, arylalkyl carbocyclic rings, heteroaryl rings or heterocychc rings are optionally substituted with one or more groups independently selected from halogen, cyano, nitro, trifluoromethyl, difluoromethoxy, trifluoromethoxy, azido, aryl, heteroaryl, arylalkyl, heteroarylalkyl, heterocyclyl, and heterocyclylaUcyl; m is 0, 1, 2, 3, 4 or 5; n is 1 or 2; and j is 0, 1 or 2.
2. The compound of claim 1, where R9 is hydrogen, halogen, methyl, fluoromethyl, difluoromethyl, trifluoromethyl or ethyl.
3. The compound of claim 2, where R7 is d-C4 aUcyl, C2-C alkenyl or C -C4 aUcynyl, wherein any of said d-C4 alkyl, C2-C4 alkenyl and C -C4 alkynyl maybe optionally substituted with one or more groups independently selected from halogen, hydroxyl, cyano, nitro, azido, fluoromethyl, difluoromethyl, trifluoromethyl, methoxy, fluoromethoxy, difluoromethoxy, amino, aminomethyl, dimethylamino, aminoethyl, diethylamino, ethoxy, cycloalkyl, heterocycloalkyl, aryl or heteroaryl, wherein any of said cycloalkyl, heterocycloalkyl, aryl or heteroaryl rings may be optionally substituted with one or more groups independently selected from halogen, hydroxyl, cyano, nitro, azido, fluoromethyl, difluoromethyl, trifluoromethyl, d-C4 alkyl, C -C aUcenyl, C2-C4 aUcynyl, C3-C6 cycloalkyl, C3-C6 heterocycloalkyl, NR3R4 and OR3.
4. The compound of claim 3, where R10 and R22 are independently d-C4 alkyl, C - C4 alkenyl or C -C4 alkynyl, wherein any of said d-C4 alkyl, C2-C4 aUcenyl and C2-C4 aUcynyl may be optionally substituted with one or more groups independently selected from halogen, hydroxyl, cyano, nitro, azido, fluoromethyl, difluoromethyl, trifluoromethyl, methoxy, fluoromethoxy, difluoromethoxy, amino, aminomethyl, dimethylamino, aminoethyl, diethylamino, ethoxy, cycloalkyl, heterocycloalkyl, aryl or heteroaryl, wherein any of said cycloalkyl, heterocycloaUcyl, aryl or heteroaryl rings may be optionally substituted with one or more groups independently selected from halogen, hydroxyl, cyano, nitro, azido, fluoromethyl, difluoromethyl, trifluoromethyl, d-d alkyl, C2-C4 alkenyl, C2-C alkynyl, C3-C6 cycloalkyl, C3-C6 heterocycloalkyl, NR3R4 and OR3. 1 9
5. The compound of claim 4, where R and R are independently hydrogen, halogen, methyl, fluoromethyl, difluoromethyl, trifluoromethyl or ethyl; and R8 is halogen, hydroxyl, cyano, nitro, azido, methyl, fluoromethyl, difluoromethyl, trifluoromethyl, methoxy, fluoromethoxy, difluoromethoxy, trifluoromethoxy, amino, aminomethyl, dimethylamino, aminoethyl, diethylamino, ethyl, ethoxy or SR11.
6. The compound of claim 5, where R is halogen or methyl, R is hydrogen and R ' is hydrogen, halogen, methyl, fluoromethyl, difluoromethyl, trifluoromethyl or SR11.
7. The compound of claim 6, where R1 is halogen, R8 is halogen, R9 is alkyl or halogen, and R 9 is in the position adj •acent to Y, wherein R 9 is hydrogen.
8. A composition comprising a compound of claim 1 and a pharmaceutically acceptable carrier.
9. A method of inhibiting MEK activity in a mammal comprising administering to said mammal one or more compounds of claim 1 in an amount effective to inhibit said MEK activity.
10. A method for treatment of a hyperproliferative disorder in a mammal comprising administering to said mammal one or more compounds of claim 1 in an amount effective to treat said hyperproriferative disorder.
11. A method for treatment of an inflammatory condition in a mammal comprising administering to said mammal one or more compounds of claim 1 in an amount effective to treat said inflammatory condition.
12. A compound including resolved enantiomers, diastereomers, solvates and pharmaceutically acceptable salts thereof, said compound having the Formula II:
Figure imgf000057_0001
II where: R1, R2, R8, R9, R10, R20 and R21 are independently hydrogen, halogen, cyano, nitro, trifluoromethyl, difluoromethyl, fluoromethyl, fluoromethoxy difluoromethoxy, trifluoromethoxy, azido, -SR11, -OR3, -C(0)R3, -C(O)OR3, -NR4C(O)OR6, -OC(O)R3, - NR4SO2R6, -SO2NR3R4, -NR4C(O)R3, -C(O)NR3R4, -NR5C(O)NR3R4, -NR5C(NCN)NR3R4, - NR3R4, Ci-Cio alkyl, C2-C10 alkenyl, C2-Cι0 alkynyl, C3-C10 cycloaUcyl, C3-C10 cycloalkylalkyl, -S(O)j(C1-C6 alkyl), -S(O)j(CR4R5)m-aryl, aryl, arylalkyl, heteroaryl, heteroarylaUcyl, heterocyclyl, heterocyclylaUcyl, -O(CR4R5)m-aryl, -NR4(CR4R5)m-aryl, -O(CR4R5)m-heteroaryl, -NR4(CR4R5)m-heteroaryl, -O(CR4R5)m-heterocyclyl or -NR4(CR4R5)m-heterocyclyl, wherein any of said alkyl, alkenyl, alkynyl, cycloalkyl, aryl, arylalkyl, heteroaryl, heteroarylalkyl, heterocyclyl and heterocyclylalkyl portions are optionally substituted with one or more groups independently selected from oxo (with the proviso that it is not substituted on a aryl or heteroaryl), halogen, cyano, nitro, trifluoromethyl, difluoromethoxy, trifluoromethoxy, azido, -NR4SO2R6, -SO2NR3R4, -C(O)R3, -C(O)OR3, -OC(O)R3, -NR4C(O)OR6, -NR4C(O)R3, -C(O)NR3R4, -NR3R4, -NR5C(O)NR3R4, -NR5C(NCN)NR3R4, -OR3, aryl, heteroaryl, arylaUcyl, heteroarylaUcyl, heterocyclyl and heterocyclylaUcyl, and wherein any of said aryl, heteroaryl, arylalkyl, heteroarylalkyl, heterocyclyl or heterocyclylalkyl rings may be further substituted with one or more groups independently selected from halogen, hydroxyl, cyano, nitro, azido, fluoromethyl, difluoromethyl, trifluoromethyl, C1-C4 alkyl, C -C4 alkenyl, C2-C4 aUcynyl, C3- C6 cycloalkyl, C3-C6 heterocycloaUcyl, NR3R4 and OR3; R7 is hydrogen, trifluoromethyl, d-do aUcyl, C -C10 alkenyl, C2-C10 alkynyl, C3-Cιo cycloaUcyl, C3-Cιo cycloaUcylalkyl, aryl, arylalkyl, heteroaryl, heteroarylalkyl, heterocyclyl, or heterocyclylalkyl, wherein any of said alkyl, aUcenyl, aUcynyl, cycloaUcyl, aryl, arylalkyl, heteroaryl, heteroarylaUcyl, heterocyclyl and heterocyclylalkyl portions are optionally substituted with one or more groups independently selected from oxo (with the proviso that it is not substituted on a aryl or heteroaryl), halogen, cyano, nitro, trifluoromethyl, difluoromethyl, fluoromethyl, fluoromethoxy, difluoromethoxy, trifluoromethoxy, azido, -NRπSO2R14, -SO2NRnR12, -C(O)Rn, C(O)ORπ, -OC(O)Rn, -NRnC(O)OR14, -NRπC(O)R12, -C(O)NRπR12, -SR11, -S(O)R14, -SO2R14, -NRπR12, -NRπC(O)NR12R13, -NRUC(NCN)NR12R13, -OR11, d-C10 alkyl, C2-C10 alkenyl, C2-C10 aUcynyl, C3-C10 cycloalkyl, aryl, heteroaryl, arylalkyl, heteroarylalkyl, heterocyclyl and heterocyclylaUcyl, and wherein any of said cycloaUcyl, heterocycloalkyl, aryl or heteroaryl rings maybe further substituted with one or more groups independently selected from halogen, hydroxyl, cyano, nitro, azido, fluoromethyl, difluoromethyl, trifluoromethyl, d-C4 alkyl, C2-C4 alkenyl, C2-C4 aUcynyl, C3-C6 cycloalkyl, C3-C6 heterocycloaUcyl, NR3R4 and OR3; R3 is hydrogen, trifluoromethyl, d-C10 alkyl, C2-C10 alkenyl, C2-Cιo aUcynyl, C3-do cycloalkyl, C3-do cycloalkylalkyl, aryl, arylalkyl, heteroaryl, heteroarylalkyl, heterocyclyl, heterocyclylalkyl, phosphate or an amino acid residue, wherein any of said alkyl, alkenyl, aUcynyl, cycloalkyl, aryl, arylalkyl, heteroaryl, heteroarylalkyl, heterocyclyl and heterocyclylalkyl portions are optionally substituted with one or more groups independently selected from oxo (with the proviso that it is not substituted on a aryl or heteroaryl), halogen, cyano, nitro, trifluoromethyl, difluoromethoxy, trifluoromethoxy, azido, -NRnSO R14, -SO2NRπR12, -C(O)Rπ, C(O)ORπ, -OC(O)Rπ, -NRπC(O)OR14, -NRnC(O)R12, -C(O)NRπR12, -SR11, -S(O)R14, -SO2R14, -NRπR12, -NRπC(O)NR12R13, - NRUC(NCN)NR12R13, -OR11, aryl, heteroaryl, arylalkyl, heteroarylalkyl, heterocyclyl and heterocyclylaUcyl, or R3 and R4 together with the atom to which they are attached form a 4 to 10 membered carbocyclic, heteroaryl or heterocychc ring, wherein any of said carbocyclic, heteroaryl or heterocychc rings are optionally substituted with one or more groups independently selected from halogen, cyano, nitro, trifluoromethyl, difluoromethoxy, trifluoromethoxy, azido, -NRnSO2R14, -SO2NRnR12, -C(O)Rπ, C(O)ORπ, -OC(O)Rπ, - NRnC(O)OR14, -NRπC(O)R12, -C(O)NRuR12, -SR11, -S(O)R14, -SO2R14, -NRnR12, -NRπC(O)NR12R13, -NRUC(NCN)NR12R13, -OR11, aryl, heteroaryl, arylalkyl, heteroarylaUcyl, heterocyclyl, and heterocyclylalkyl; R4 and R5 independently are hydrogen or d-C6 alkyl, or R4 and R5 together with the atom to which they are attached form a 4 to 10 membered carbocyclic, heteroaryl or heterocychc ring, wherein said alkyl or any of said carbocyclic, heteroaryl and heterocychc rings are optionally substituted with one or more groups independently selected from halogen, cyano, nitro, trifluoromethyl, difluoromethoxy, trifluoromethoxy, azido, -NRuSO2R14, -SO2NRπR12, -C(O)Rπ, C(O)ORu, -OC(O)Rπ, - NRπC(O)OR14, -NRπC(O)R12, -C(O)NRπR12, -SR11, -S(O)R14, -SO2R14, -NRnR12, -NRuC(O)NR12R13, -NRnC(NCN)NR12R13, -OR11, aryl, heteroaryl, arylalkyl, heteroarylalkyl, heterocyclyl, and heterocyclylaUcyl; R6 is trifluoromethyl, Ci-do alkyl, C3-Cio cycloalkyl, aryl, arylaUcyl, heteroaryl, heteroarylaUcyl, heterocyclyl or heterocyclylaUcyl, wherein any of said alkyl, cycloaUcyl, aryl, arylaUcyl, heteroaryl, heteroarylalkyl, heterocyclyl and heterocyclylallcyl portions are optionally substituted with one or more groups independently selected from oxo (with the proviso that it is not substituted on a aryl or heteroaryl), halogen, cyano, nitro, trifluoromethyl, difluoromethoxy, trifluoromethoxy, azido, -NRπSO2R14, -SO2NRπR12, -C(O)Rπ, C(O)ORπ, -OC(O)Rn, -NRπC(O)OR14, -NRπC(O)R12, -C(O)NRπR12, -SR11, -S(O)R14, -SO2R14, -NRπR12, -NRπC(O)NR12R13, -NRπC(NCN)NR12R13, -OR11, aryl, heteroaryl, arylalkyl, heteroarylalkyl, heterocyclyl, and heterocyclylalkyl; R11, R12 and R13 independently are hydrogen, lower alkyl, lower alkenyl, aryl or arylalkyl, and R14 is lower alkyl, lower alkenyl, aryl or arylalkyl; or any two of R11, R12, R13 or R14 together with the atom to which they are attached form a 4 to 10 membered carbocyclic, heteroaryl or heterocychc ring, wherein any of said aUcyl, aUcenyl, aryl, arylalkyl carbocyclic rings, heteroaryl rings or heterocychc rings are optionally substituted with one or more groups independently selected from halogen, cyano, nitro, trifluoromethyl, difluoromethoxy, trifluoromethoxy, azido, aryl, heteroaryl, arylalkyl, heteroarylalkyl, heterocyclyl, and heterocyclylaUcyl; m is 0, 1, 2, 3, 4 or 5; and j is 0, 1 or 2.
13. The compound of claim 12, where R9 is hydrogen, halogen, methyl, fluoromethyl, difluoromethyl, trifluoromethyl or ethyl.
14. The compound of claim 13, where R is -d alkyl, C2-C4 aUcenyl or C -C4 alkynyl, wherein any of said Cι-C alkyl, C2-C4 alkenyl and C2-C alkynyl may be optionally substituted with one or more groups independently selected from halogen, hydroxyl, cyano, nifro, azido, fluoromethyl, difluoromethyl, trifluoromethyl, methoxy, fluoromethoxy, difluoromethoxy, amino, aminomethyl, dimethylamino, aminoethyl, diethylamino, ethoxy, cycloaUcyl, heterocycloalkyl, aryl or heteroaryl, wherein any of said cycloaUcyl, heterocycloalkyl, aryl or heteroaryl rings may be optionally substituted with one or more groups independently selected from halogen, hydroxyl, cyano, nitro, azido, fluoromethyl, difluoromethyl, trifluoromethyl, Cι-C alkyl, C2-C4 aUcenyl, C2-C4 alkynyl, C3-C6 cycloaUcyl, C3-C6 heterocycloaUcyl, NR3R4 and OR3.
15. The compound of claim 14, where R10 is independently d-C4 aUcyl, C2-C aUcenyl or C2-C alkynyl, wherein any of said d-C4 alkyl, C2-d alkenyl and C2-C4 alkynyl maybe optionally substituted with one or more groups independently selected from halogen, hydroxyl, cyano, nitro, azido, fluoromethyl, difluoromethyl, trifluoromethyl, methoxy, fluoromethoxy, difluoromethoxy, amino, aminomethyl, dimethylamino, aminoethyl, diethylamino, ethoxy, cycloalkyl, heterocycloalkyl, aryl or heteroaryl, wherein any of said cycloalkyl, heterocycloalkyl, aryl or heteroaryl rings may be optionally substituted with one or more groups independently selected from halogen, hydroxyl, cyano, nitro, azido, fluoromethyl, difluoromethyl, trifluoromethyl, d-C4 alkyl, C2-C4 alkenyl, C2-C4 aUcynyl, C3- C6 cycloalkyl, C3-C6 heterocycloalkyl, NR3R4 and OR3. 1 9
16. The compound of claim 15, where R and R are independently hydrogen, halogen, methyl, fluoromethyl, difluoromethyl, trifluoromethyl or ethyl; and R is halogen, hydroxyl, cyano, nitro, azido, methyl, fluoromethyl, difluoromethyl, trifluoromethyl, methoxy, fluoromethoxy, difluoromethoxy, trifluoromethoxy, amino, aminomethyl, dimethylamino, aminoethyl, diethylamino, ethyl, ethoxy or SR11.
17. The compound of claim 16, where R1 is halogen or methyl, R2 is hydrogen and R8 is hydrogen, halogen, methyl, fluoromethyl, difluoromethyl, trifluoromethyl or SR11.
18. The compound of claim 17, where R1 is halogen, R8 is halogen, R9 is alkyl or 9 9 halogen, and R is in the position adjacent to Y, wherein R is hydrogen.
19. A composition comprising a compound of claim 12 and a pharmaceutically acceptable carrier.
20. A method of inhibiting MEK activity in a mammal comprising administering to said mammal one or more compounds of claim 12 in an amount effective to inhibit said MEK activity.
21. A method for treatment of a hyperproliferative disorder in a mammal comprising administering to said mammal one or more compounds of claim 12 in an amount effective to treat said hyperproliferative disorder.
22. A method for treatment of an inflammatory condition in a mammal comprising administering to said mammal one or more compounds of claim 12 in an amount effective to treat said inflammatory condition.
23. A compound including resolved enantiomers, diastereomers, solvates and pharmaceutically acceptable salts thereof, said compound having the Formula III:
Figure imgf000061_0001
III and pharmaceutically accepted salts, prodrugs and solvates thereof, wherein: R1, R2, R8, R9, R20 and R21 are independently hydrogen, hydroxy, halogen, cyano, nitro, trifluoromethyl, difluoromethyl, fluoromethyl, fluoromethoxy, difluoromethoxy, trifluoromethoxy, azido, -SR11, -OR3, -C(O)R3, -C(O)OR3, -NR4C(O)OR6, -OC(O)R3, -NR4SO2R6, -SO2NR3R4, -NR4C(O)R3, -C(O)NR3R4, -NR5C(O)NR3R4, -NR5C(NCN)NR3R4, -NR3R4, Ci-Cio alkyl, C2-C10 alkenyl, C2-C10 alkynyl, C3-C10 cycloalkyl, C3-C10 cycloalkylalkyl, -S(O)j(d-C6 alkyl), -S(O)j(CR4R5)m-aryl, aryl, arylalkyl, heteroaryl, heteroarylalkyl, heterocyclyl, heterocyclylallcyl, -O(CR4R5)m-aryl, -NR4(CR4R5)m-aryl, -O(CR4R5)m-heteroaryl, -NR4(CR4R5)m-heteroaryl, -O(CR4R5)m-heterocyclyl or -NR4(CR4R5)m-heterocyclyl, wherein any of said alkyl, alkenyl, alkynyl, cycloaUcyl, aryl, arylalkyl, heteroaryl, heteroarylalkyl, heterocyclyl and heterocyclylallcyl portions are optionally substituted with one or more groups independently selected from oxo (with the proviso that it is not substituted on a aryl or heteroaryl), halogen, cyano, nitro, trifluoromethyl, difluoromethyl, fluoromethyl, fluoromethoxy, difluoromethoxy, trifluoromethoxy, azido, -NR4SO2R6, -SO2NR3R4, -C(O)R3, -C(O)OR3, -OC(O)R3, -NR4C(O)OR6, -NR4C(O)R3, -C(O)NR3R4, -NR3R4, -NR5C(O)NR3R4, -NR5C(NCN)NR3R4, -OR , aryl, heteroaryl, arylalkyl, heteroarylalkyl, heterocyclyl and heterocyclylallcyl, and wherein any of said cycloalkyl, heterocycloalkyl, aryl or heteroaryl rings may be further substituted with one or more groups independently selected from halogen, hydroxyl, cyano, nitro, azido, fluoromethyl, difluoromethyl, trifluoromethyl, d-C4 alkyl, C2-C4 aUcenyl, C2-C4 alkynyl, C3-C6 cycloaUcyl, C3-C6 heterocycloalkyl, NR3R4 and OR3; R7 is hydrogen, trifluoromethyl, d-do alkyl, C2-C10 aUcenyl, C2-do aUcynyl, C3-C10 cycloalkyl, C3-C10 cycloaUcylaUcyl, OR3, NR3R4, aryl, arylaUcyl, heteroaryl, heteroarylalkyl, heterocyclyl, or heterocyclylalkyl, wherein any of said alkyl, aUcenyl, alkynyl, cycloaUcyl, aryl, arylaUcyl, heteroaryl, heteroarylalkyl, heterocyclyl and heterocyclylaUcyl portions are optionally substituted with one or more groups independently selected from oxo (with the proviso that it is not substituted on a aryl or heteroaryl), halogen, cyano, nitro, trifluoromethyl, difluoromethyl, fluoromethyl, fluoromethoxy, difluoromethoxy, trifluoromethoxy, azido, -NRπSO2R14, -SO2NRnR12, -C(O)Rπ, C(O)ORn, -OC(O)Rπ, -NRπC(O)OR14, -NRπC(O)R12, -C(O)NRπR12, -SR11, -S(O)R14, -SO2R14, -NRπR12, -NRπC(O)NR12R13, -NRπC(NCN)NR12R13, -OR11, d-C10 alkyl, C2-C10 alkenyl, C2-Cι0 alkynyl, C3-do cycloalkyl, aryl, heteroaryl, arylalkyl, heteroarylaUcyl, heterocyclyl and heterocyclylalkyl, and wherein any of said cycloalkyl, heterocycloaUcyl, aryl or heteroaryl rings may be further substituted with one or more groups independently selected from halogen, hydroxyl, cyano, nitro, azido, fluoromethyl, difluoromethyl, trifluoromethyl, d-C4 alkyl, C2-C4 alkenyl, C2-C4 aUcynyl, C3-C6 cycloalkyl, C3-C6 heterocycloalkyl, NR3R4 and OR3; R23 is hydrogen, trifluoromethyl, d-do alkyl, C -do alkenyl, C -C10 aUcynyl, C3-Cιo cycloalkyl, C3-do cycloalkylalkyl, aryl, arylalkyl, heteroaryl, heteroarylaUcyl, heterocyclyl, or heterocyclylallcyl, wherein any of said aUcyl, aUcenyl, aUcynyl, cycloalkyl, aryl, arylalkyl, heteroaryl, heteroarylalkyl, heterocyclyl and heterocyclylalkyl portions are optionally substituted with one or more groups independently selected from oxo (with the proviso that it is not substituted on a aryl or heteroaryl), halogen, cyano, nitro, trifluoromethyl, difluoromethyl, fluoromethyl, fluoromethoxy, difluoromethoxy, trifluoromethoxy, azido, -NRπSO2R14, -SO2NRπR12, -C(O)Rπ, C(O)ORu, -OC(O)Rπ, -NRπC(O)OR14, -NRπC(O)R12, -C(O)NRπR12, -SR11, -S(O)R14, -SO2R14, -NRπR12, -NRπC(O)NR12R13, -NRπC(NCN)NR12R13, -OR11, C1-C10 alkyl, C2-C10 alkenyl, C2-C10 aUcynyl, C3-C10 cycloalkyl, aryl, heteroaryl, arylaUcyl, heteroarylalkyl, heterocyclyl and heterocyclylallcyl, and wherein any of said cycloalkyl, heterocycloalkyl, aryl or heteroaryl rings may be further substituted with one or more groups independently selected from halogen, hydroxyl, cyano, nitro, azido, fluoromethyl, difluoromethyl, trifluoromethyl, d-C4 alkyl, C2-C4 alkenyl, C2-C4 aUcynyl, C3-C6 cycloalkyl, C3-C6 heterocycloaUcyl, NR3R4 and OR3; R3 is hydrogen, trifluoromethyl, d-do aUcyl, C2-C!o alkenyl, C2-do aUcynyl, C3-C10 cycloalkyl, C3-do cycloaUcylalkyl, aryl, arylalkyl, heteroaryl, heteroarylaUcyl, heterocyclyl, heterocyclylaUcyl, phosphate or an amino acid residue, wherein any of said alkyl, aUcenyl, alkynyl, cycloalkyl, aryl, arylaUcyl, heteroaryl, heteroarylaUcyl, heterocyclyl and heterocyclylaUcyl portions are optionally substituted with one or more groups independently selected from oxo (with the proviso that it is not substituted on a aryl or heteroaryl), halogen, cyano, nifro, trifluoromethyl, difluoromethoxy, trifluoromethoxy, azido, -NRnSO2R14, -SO2NRnR12, -C(O)Rπ, C(O)ORπ, -OC(O)Rπ, -NRπC(O)OR14, -NRnC(O)R12, -C(O)NRnR12, -SR11, -S(O)R14, -SO2R14, -NRπR12, -NRnC(O)NR12R13, - NRnC(NCN)NR12R13, -OR11, aryl, heteroaryl, arylalkyl, heteroarylalkyl, heterocyclyl, and heterocyclylalkyl; or R3 and R together with the atom to which they are attached form a 4 to 10 membered carbocyclic, heteroaryl or heterocychc ring, wherein any of said carbocyclic, heteroaryl or heterocychc rings are optionally substituted with one or more groups independently selected from halogen, cyano, nitro, trifluoromethyl, difluoromethoxy, trifluoromethoxy, azido, -NRπSO2R14, -SO2NRπR12, -C(O)Rπ, C(O)ORu, -OC(O)Rn, - NRnC(O)OR14, -NRπC(O)R12, -C(O)NRπR12, -SR11, -S(O)R14, -SO2R14, -NRπR12, -NRπC(O)NR12R13, -NR11C(NCN)NR12R13, -OR11, aryl, heteroaryl, arylalkyl, heteroarylalkyl, heterocyclyl, and heterocyclylalkyl; R4 and R5 independently are hydrogen or d-C6 alkyl, or R4 and R5 together with the atom to which they are attached form a 4 to 10 membered carbocyclic, heteroaryl or heterocychc ring, wherein said alkyl or any of said carbocyclic, heteroaryl and heterocychc rings are optionally substituted with one or more groups independently selected from halogen, cyano, nitro, trifluoromethyl, difluoromethoxy, trifluoromethoxy, azido, -NRnSO2R14, -SO2NRπR12, -C(O)Rπ, C(O)ORπ, -OC(O)Rπ, - NRπC(O)OR14, -NRπC(O)R12, -C(O)NRπR12, -SR11, -S(O)R14, -SO2R14, -NRπR12, -NRπC(O)NR12R13, -NRπC(NCN)NR12R13, -OR11, aryl, heteroaryl, arylaUcyl, heteroarylalkyl, heterocyclyl, and heterocyclylaUcyl; R6 is trifluoromethyl, d-do alkyl, C3-do cycloalkyl, aryl, arylalkyl, heteroaryl, heteroarylaUcyl, heterocyclyl or heterocyclylaUcyl, wherein any of said alkyl, cycloaUcyl, aryl, arylaUcyl, heteroaryl, heteroarylaUcyl, heterocyclyl and heterocyclylaUcyl portions are optionally substituted with one or more groups independently selected from oxo (with the proviso that it is not substituted on a aryl or heteroaryl), halogen, cyano, nitro, trifluoromethyl, difluoromethoxy, trifluoromethoxy, azido, -NRπSO2R , -SO NR1 R , -C(O)Rn, C(O)ORπ, -OC(O)Ru, -NRπC(O)OR14, -NRnC(O)R12, -C(O)NRπR12, -SR11, -S(O)R14, -SO2R14, -NRnR12, -NRuC(O)NR12R13, -NRπC(NCN)NR12R13, -OR11, aryl, heteroaryl, arylaUcyl, heteroarylaUcyl, heterocyclyl, and heterocyclylaUcyl; R11, R12 and R13 independently are hydrogen, lower aUcyl, lower alkenyl, aryl or arylalkyl, and R14 is lower alkyl, lower alkenyl, aryl or arylaUcyl; or any two of R11, R12, R13 or R14 together with the atom to which they are attached form a 4 to 10 membered carbocyclic, heteroaryl or heterocychc ring, wherein any of said aUcyl, alkenyl, aryl, arylalkyl carbocyclic rings, heteroaryl rings or heterocychc rings are optionally substituted with one or more groups independently selected from halogen, cyano, nifro, trifluoromethyl, difluoromethoxy, trifluoromethoxy, azido, aryl, heteroaryl, arylalkyl, heteroarylaUcyl, heterocyclyl, and heterocyclylalkyl; m is 0, 1, 2, 3, 4 or 5; and j is 0, 1 or 2.
24. The compound of claim 23, where R9 is hydrogen, halogen, methyl, fluoromethyl, difluoromethyl, trifluoromethyl or ethyl.
25. The compound of claim 24, where R7 is d-C4 alkyl, C2-C4 alkenyl or C2-C4 alkynyl, wherein any of said C1-C4 alkyl, -d alkenyl and C -C4 aUcynyl may be optionally substituted with one or more groups independently selected from halogen, hydroxyl, cyano, nitro, azido, fluoromethyl, difluoromethyl, trifluoromethyl, methoxy, fluoromethoxy, difluoromethoxy, amino, aminomethyl, dimethylamino, aminoethyl, diethylamino, ethoxy, cycloalkyl, heterocycloalkyl, aryl or heteroaryl, wherein any of said cycloaUcyl, heterocycloaUcyl, aryl or heteroaryl rings may be optionally substituted with one or more groups independently selected from halogen, hydroxyl, cyano, nitro, azido, fluoromethyl, difluoromethyl, trifluoromethyl, d-C4 alkyl, C2-C aUcenyl, C2-C4 alkynyl, C3-C6 cycloaUcyl, C3-C6 heterocycloaUcyl, NR3R4 and OR3.
26. The compound of claim 25, where R is independently d-C4 alkyl, C -C4 aUcenyl or C2-C4 aUcynyl, wherein any of said d-C4 alkyl, C2-C4 alkenyl and C2-C4 aUcynyl maybe optionally substituted with one or more groups independently selected from halogen, hydroxyl, cyano, nitro, azido, fluoromethyl, difluoromethyl, trifluoromethyl, methoxy, fluoromethoxy, difluoromethoxy, amino, aminomethyl, dimethylamino, aminoethyl, diethylamino, ethoxy, cycloaUcyl, heterocycloalkyl, aryl or heteroaryl, wherein any of said cycloaUcyl, heterocycloalkyl, aryl or heteroaryl rings may be optionally substituted with one or more groups independently selected from halogen, hydroxyl, cyano, nitro, azido, fluoromethyl, difluoromethyl, trifluoromethyl, d-C aUcyl, C2-C4 alkenyl, C2-C4 aUcynyl, C3- C6 cycloalkyl, C3-C6 heterocycloaUcyl, NR3R4 and OR3.
27. The compound of claim 26, where R and R are independently hydrogen, halogen, methyl, fluoromethyl, difluoromethyl, trifluoromethyl or ethyl; and R8 is halogen, hydroxyl, cyano, nitro, azido, methyl, fluoromethyl, difluoromethyl, trifluoromethyl, methoxy, fluoromethoxy, difluoromethoxy, trifluoromethoxy, amino, aminomethyl, dimethylamino, aminoethyl, diethylamino, ethyl, ethoxy or SR11. 1 9 R
28. The compound of claim 27, where R is halogen or methyl, R is hydrogen and R is hydrogen, halogen, methyl, fluoromethyl, difluoromethyl, trifluoromethyl or SR11.
29. The compound of claim 28, where R1 is halogen, R8 is halogen, R9 is alkyl or 9 9 halogen, and R is in the position adjacent to Y, wherein R is hydrogen.
30. A composition comprising a compound of claim 23 and a pharmaceutically acceptable carrier.
31. A method of inhibiting MEK activity in a mammal comprising administering to said mammal one or more compounds of claim 23 in an amount effective to inhibit said MEK activity.
32. A method for treatment of a hyperproliferative disorder in a mammal comprising administering to said mammal one or more compomids of claim 23 in an amount effective to treat said hyperproliferative disorder.
33. A method for treatment of an inflammatory condition in a mammal comprising administering to said mammal one or more compounds of claim 23 in an amount effective to treat said inflammatory condition.
34. A compound according to any one of claims 1, 12, and 23 for use as a medicament.
35. A compound according to any one of claims 1, 12, and 23 for use as a medicament for the treatment of a hyperproliferative disorder or an inflammatory condition.
36. The use of a compound according to any one of claims 1, 12, and 23 in the manufacture of a medicament for the treatment of a hyperproliferative disorder or an inflammatory condition.
37. A method for preparing a compound of formula 6
Figure imgf000066_0001
6 wherein R1, R2 and R9 are independently hydrogen, halogen, methyl, fluoromethyl, difluoromethyl, trifluoromethyl or ethyl; R7, R10, R20, R21 and R22 are independently alkyl, alkenyl, alkynyl, cycloalkyl, heterocycloaUcyl, aryl or heteroaryl, wherein any of said alkyl, alkenyl, alkynyl, cycloaUcyl, heterocycloalkyl, aryl or heteroaryl may be optionally substituted with one or more groups independently selected from halogen, hydroxyl, cyano, nitro, amino, azido, fluoromethyl, difluoromethyl, trifluoromethyl, methoxy, fluoromethoxy, difluoromethoxy, amino, aminomethyl, dimethylamino, aminoethyl, diethylamino, ethoxy, cycloalkyl, heterocycloalkyl, aryl or heteroaryl; and R8 is halogen, hydroxyl, cyano, nitro, azido, methyl, fluoromethyl, difluoromethyl, trifluoromethyl, methoxy, fluoromethoxy, difluoromethoxy, trifluoromethoxy, amino, aminomethyl, dimethylamino, aminoethyl, diethylamino, SR1, ethyl, or ethoxy; said method comprising: (a) reacting a compound of formula 3
Figure imgf000066_0002
3 with an appropriate nucleophile to provide a compound of formula 7
Figure imgf000067_0001
7 ; and (b) reacting a compound of formula 7 with a brominating agent followed by an amine to provide a compound of formula 6.
38. A method for preparing a compound of formula 8
Figure imgf000067_0002
8 wherein R 1 , R and R 0 are independently hydrogen, halogen, methyl, fluoromethyl, difluoromethyl, trifluoromethyl or ethyl; 7 10 0 91 R , R , R and R are independently alkyl, alkenyl, alkynyl, cycloaUcyl, heterocycloaUcyl, aryl or heteroaryl, wherein any of said alkyl, aUcenyl, alkynyl, cycloalkyl, heterocycloaUcyl, aryl or heteroaryl may be optionally substituted with one or more groups independently selected from halogen, hydroxyl, cyano, nitro, amino, azido, fluoromethyl, difluoromethyl, trifluoromethyl, methoxy, fluoromethoxy, difluoromethoxy, amino, aminomethyl, dimethylamino, aminoethyl, diethylamino, ethoxy, cycloalkyl, heterocycloalkyl, aryl or heteroaryl; and R is halogen, hydroxyl, cyano, nitro, azido, methyl, fluoromethyl, difluoromethyl, trifluoromethyl, methoxy, fluoromethoxy, difluoromethoxy, trifluoromethoxy, amino, aminomethyl, dimethylamino, aminoethyl, diethylamino, SR1, ethyl, or ethoxy; said method comprising reacting a compound of formula 4
Figure imgf000068_0001
4 with a hydrazine to provide a compound of formula 8.
39. A method for preparing a compound of formula 8
Figure imgf000068_0002
wherein 1 9 0 R , R and R are independently hydrogen, halogen, methyl, fluoromethyl, difluoromethyl, trifluoromethyl or ethyl; R7, R10, R20 and R21 are independently alkyl, alkenyl, aUcynyl, cycloalkyl, heterocycloaUcyl, aryl or heteroaryl, wherein any of said alkyl, aUcenyl, alkynyl, cycloalkyl, heterocycloaUcyl, aryl or heteroaryl may be optionally substituted with one or more groups independently selected from halogen, hydroxyl, cyano, nitro, amino, azido, fluoromethyl, difluoromethyl, trifluoromethyl, methoxy, fluoromethoxy, difluoromethoxy, amino, aminomethyl, dimethylamino, aminoethyl, diethylamino, ethoxy, cycloalkyl, heterocycloaUcyl, aryl or heteroaryl; and R8 is halogen, hydroxyl, cyano, nitro, azido, methyl, fluoromethyl, difluoromethyl, trifluoromethyl, methoxy, fluoromethoxy, difluoromethoxy, trifluoromethoxy, amino, aminomethyl, dimethylamino, aminoethyl, diethylamino, SR1, ethyl, or ethoxy; said method comprising: (a) reacting a compound of formula 3
Figure imgf000068_0003
with a vinyl boronic acid derivative to provide a compound of formula 9
Figure imgf000069_0001
9 ; andl (b) reacting a compound of formula 9 with a hydrazine to provide a compound of foπnula 8.
40. A method for preparing a compound of formula 11
Figure imgf000069_0002
11 wherein R1, R2 and R9 are independently hydrogen, halogen, methyl, fluoromethyl, difluoromethyl, trifluoromethyl or ethyl; R20, R21 and R22 are independently alkyl, alkenyl, aUcynyl, cycloalkyl, heterocycloaUcyl, aryl or heteroaryl, wherein any of said alkyl, alkenyl, aUcynyl, cycloalkyl, heterocycloaUcyl, aryl or heteroaryl may be optionally substituted with one or more groups independently selected from halogen, hydroxyl, cyano, nitro, amino, azido, fluoromethyl, difluoromethyl, trifluoromethyl, methoxy, fluoromethoxy, difluoromethoxy, amino, aminomethyl, dimethylamino, aminoethyl, diethylamino, ethoxy, cycloaUcyl, heterocycloalkyl, aryl or heteroaryl; and R8 is halogen, hydroxyl, cyano, nitro, azido, methyl, fluoromethyl, difluoromethyl, trifluoromethyl, methoxy, fluoromethoxy, difluoromethoxy, trifluoromethoxy, amino, aminomethyl, dimethylamino, aminoethyl, diethylamino, SR1, ethyl, or ethoxy; said method comprising: (a) reacting a compound of formula 3
Figure imgf000070_0001
3 with a carbazate to provide a compound of formula 10
Figure imgf000070_0002
10 ; and (b) deprotecting a compound of formula 10 to provide a compound of formula 11.
41. A method for preparing a compound of formula 12
Figure imgf000070_0003
12 wherein R1, R2 and R9 are independently hydrogen, halogen, methyl, fluoromethyl, difluoromethyl, trifluoromethyl or ethyl; R7, R20, R21 and R22 are independently alkyl, aUcenyl, aUcynyl, cycloalkyl, heterocycloalkyl, aryl or heteroaryl, wherein any of said alkyl, aUcenyl, aUcynyl, cycloalkyl, heterocycloalkyl, aryl or heteroaryl may be optionally substituted with one or more groups independently selected from halogen, hydroxyl, cyano, nitro, amino, azido, fluoromethyl, difluoromethyl, trifluoromethyl, methoxy, fluoromethoxy, difluoromethoxy, amino, aminomethyl, dimethylamino, aminoethyl, diethylamino, ethoxy, cycloaUcyl, heterocycloaUcyl, aryl or heteroaryl; and R8 is halogen, hydroxyl, cyano, nitro, azido, methyl, fluoromethyl, difluoromethyl, trifluoromethyl, methoxy, fluoromethoxy, difluoromethoxy, trifluoromethoxy, amino, aminomethyl, dimethylamino, aminoethyl, diethylamino, SR1, ethyl, or ethoxy; said method comprising reacting a compound of formula 11
Figure imgf000071_0001
11 with an aUcylating agent to provide a compound of formula 12.
PCT/US2004/0390592003-11-192004-11-18Bicyclic inhibitors of mek and methods of use thereofWO2005051300A2 (en)

Priority Applications (7)

Application NumberPriority DateFiling DateTitle
AU2004293017AAU2004293017B2 (en)2003-11-192004-11-18Bicyclic inhibitors of MEK and methods of use thereof
AT04811726TATE524443T1 (en)2003-11-192004-11-18 BICYCLIC INHIBITORS OF MEK AND METHOD FOR THE PRODUCTION THEREOF
CA2545659ACA2545659C (en)2003-11-192004-11-18Bicyclic inhibitors of mek
JP2006541580AJP5046649B2 (en)2003-11-192004-11-18 MEK bicyclic inhibitors and methods of use thereof
HK06109818.5AHK1089659B (en)2003-11-192004-11-18Bicyclic inhibitors of mek and methods of synthesis thereof
EP04811726AEP1689387B1 (en)2003-11-192004-11-18Bicyclic inhibitors of mek and methods of synthesis thereof
PL04811726TPL1689387T3 (en)2003-11-192004-11-18Bicyclic inhibitors of mek and methods of synthesis thereof

Applications Claiming Priority (2)

Application NumberPriority DateFiling DateTitle
US52327003P2003-11-192003-11-19
US60/523,2702003-11-19

Publications (2)

Publication NumberPublication Date
WO2005051300A2true WO2005051300A2 (en)2005-06-09
WO2005051300A3 WO2005051300A3 (en)2005-09-15

Family

ID=34632766

Family Applications (4)

Application NumberTitlePriority DateFiling Date
PCT/US2004/039059WO2005051300A2 (en)2003-11-192004-11-18Bicyclic inhibitors of mek and methods of use thereof
PCT/US2004/039061WO2005051302A2 (en)2003-11-192004-11-18Bicyclic inhibitors of mek and methods of use thereof
PCT/US2004/039053WO2005051906A2 (en)2003-11-192004-11-18Heterocyclic inhibitors of mek and methods of use thereof
PCT/US2004/039060WO2005051301A2 (en)2003-11-192004-11-18Heterocyclic inhibitors of mek and methods of use thereof

Family Applications After (3)

Application NumberTitlePriority DateFiling Date
PCT/US2004/039061WO2005051302A2 (en)2003-11-192004-11-18Bicyclic inhibitors of mek and methods of use thereof
PCT/US2004/039053WO2005051906A2 (en)2003-11-192004-11-18Heterocyclic inhibitors of mek and methods of use thereof
PCT/US2004/039060WO2005051301A2 (en)2003-11-192004-11-18Heterocyclic inhibitors of mek and methods of use thereof

Country Status (30)

CountryLink
US (7)US7772234B2 (en)
EP (5)EP1689387B1 (en)
JP (8)JP4842137B2 (en)
KR (3)KR101099849B1 (en)
CN (2)CN1905873A (en)
AT (2)ATE495155T1 (en)
AU (6)AU2004293019B2 (en)
BR (1)BRPI0416692A (en)
CA (4)CA2546353A1 (en)
CY (2)CY1111155T1 (en)
DE (1)DE602004031037D1 (en)
DK (2)DK1689233T3 (en)
EG (1)EG24928A (en)
ES (4)ES2355797T7 (en)
HR (1)HRP20110105T4 (en)
IL (3)IL175716A (en)
MX (1)MXPA06005657A (en)
NO (1)NO20062692L (en)
NZ (1)NZ547481A (en)
PH (1)PH12012501386A1 (en)
PL (4)PL1682138T6 (en)
PT (4)PT2251327E (en)
RS (2)RS51861B2 (en)
RU (1)RU2351593C2 (en)
SG (1)SG149033A1 (en)
SI (1)SI1682138T1 (en)
TW (7)TW200526658A (en)
UA (1)UA84175C2 (en)
WO (4)WO2005051300A2 (en)
ZA (2)ZA200604580B (en)

Cited By (41)

* Cited by examiner, † Cited by third party
Publication numberPriority datePublication dateAssigneeTitle
WO2006112479A1 (en)2005-04-192006-10-26Kyowa Hakko Kogyo Co., Ltd.Nitrogen-containing heterocyclic compound
WO2008020206A3 (en)*2006-08-152008-04-24Ucb Pharma SaFused thiophene derivatives as mek inhibitors
WO2008047831A1 (en)2006-10-172008-04-24Kyowa Hakko Kirin Co., Ltd.Jak inhibitor
WO2008129029A1 (en)*2007-04-232008-10-30Novartis AgPhthalazine and isoquinoline derivatives with slp receptor modulating activities
WO2008148034A1 (en)*2007-05-252008-12-04Takeda Pharmaceutical Company LimitedMapk/erk kinase inhibitors
US7485643B2 (en)2003-11-192009-02-03Array Biopharma Inc.Bicyclic inhibitors of MEK and methods of use thereof
WO2010003022A1 (en)2008-07-012010-01-07Genentech, Inc.Isoindolone derivatives as mek kinase inhibitors and methods of use
WO2010051933A2 (en)2008-11-102010-05-14Bayer Schering Pharma AktiengesellschaftSubstituted sulphonamido phenoxybenzamides
JP2010522191A (en)*2007-03-192010-07-01武田薬品工業株式会社 MAPK / ERK kinase inhibitor
WO2010051935A3 (en)*2008-11-102010-07-15Bayer Schering Pharma AktiengesellschaftSubstituted amido phenoxybenzamides
WO2009146034A3 (en)*2008-03-312010-07-15Takeda Pharmaceutical Company LimitedMapk/erk kinase inhibitors and methods of use thereof
US7803839B2 (en)2005-10-072010-09-28Exelixis, Inc.Azetidines as MEK inhibitors for the treatment of proliferative diseases
WO2011047788A1 (en)2009-10-212011-04-28Bayer Schering Pharma AktiengesellschaftSubstituted benzosulphonamides
WO2011047795A1 (en)2009-10-212011-04-28Bayer Schering Pharma AktiengesellschaftSubstituted benzosulphonamides
WO2011047796A1 (en)2009-10-212011-04-28Bayer Schering Pharma AktiengesellschaftSubstituted halophenoxybenzamide derivatives
US7999006B2 (en)2006-12-142011-08-16Exelixis, Inc.Methods of using MEK inhibitors
US8030317B2 (en)2006-12-202011-10-04Takeda Pharmaceutical Company LimitedMAPK/ERK kinase inhibitors
WO2012055953A1 (en)2010-10-292012-05-03Bayer Pharma AktiengesellschaftSubstituted phenoxypyridines
US8283359B2 (en)2006-01-312012-10-09Ucb Pharma S.A.Thieno-pyridine derivatives as MEK inhibitors
US8350037B2 (en)2007-07-232013-01-08Ucb Pharma, S.A.Thieno-pyridine derivatives as MEK inhibitors
US8487101B2 (en)2008-01-212013-07-16Ucb Pharma S.A.Thieno-pyridine derivatives as MEK inhibitors
WO2013109142A1 (en)2012-01-162013-07-25Stichting Het Nederlands Kanker InstituutCombined pdk and mapk/erk pathway inhibition in neoplasia
WO2013107283A1 (en)2012-01-172013-07-25Tianjin Binjiang Pharma, Inc.Benzoheterocyclic compounds and use thereof
US8637491B2 (en)2008-06-192014-01-28Ucb Pharma S.A.Thieno-pyridine derivatives as MEK inhibitors
US8841462B2 (en)2008-07-012014-09-23Robert A. HealdBicyclic heterocycles as MEK kinase inhibitors
WO2015041533A1 (en)2013-09-202015-03-26Stichting Het Nederlands Kanker InstituutRock in combination with mapk-pathway
WO2015041534A1 (en)2013-09-202015-03-26Stichting Het Nederlands Kanker InstituutP90rsk in combination with raf/erk/mek
WO2015131080A1 (en)*2014-02-282015-09-03Nimbus Lakshmi, Inc.Tyk2 inhibitors and uses thereof
WO2015156674A2 (en)2014-04-102015-10-15Stichting Het Nederlands Kanker InstituutMethod for treating cancer
WO2015178770A1 (en)2014-05-192015-11-26Stichting Het Nederlands Kanker InstituutCompositions for cancer treatment
WO2016138352A1 (en)2015-02-272016-09-01Nimbus Lakshmi, Inc.Tyk2 inhibitors and uses thereof
WO2020188015A1 (en)2019-03-212020-09-24OnxeoA dbait molecule in combination with kinase inhibitor for the treatment of cancer
WO2020261156A1 (en)2019-06-282020-12-30Array Biopharma Inc.Quinazolin-4-one derivatives useful for the treatment of braf-associated diseases and disorders
WO2021089791A1 (en)2019-11-082021-05-14INSERM (Institut National de la Santé et de la Recherche Médicale)Methods for the treatment of cancers that have acquired resistance to kinase inhibitors
WO2021148581A1 (en)2020-01-222021-07-29OnxeoNovel dbait molecule and its use
WO2021250521A1 (en)2020-06-092021-12-16Array Biopharma Inc.4-oxo-3,4-dihydroquinazolinon compounds for the treatment of braf-associated diseases and disorders
US11691973B2 (en)2021-03-312023-07-04Pfizer Inc.3,4-dihydro-2,7-naphthyridine-1,6(2H,7H)-diones as MEK inhibitors
US11878968B2 (en)2021-07-092024-01-23Plexium, Inc.Aryl compounds and pharmaceutical compositions that modulate IKZF2
US11878958B2 (en)2022-05-252024-01-23Ikena Oncology, Inc.MEK inhibitors and uses thereof
US11938134B2 (en)2017-03-102024-03-26Eikonizo Therapeutics, Inc.Metalloenzyme inhibitor compounds
WO2025073765A1 (en)2023-10-032025-04-10Institut National de la Santé et de la Recherche MédicaleMethods of prognosis and treatment of patients suffering from melanoma

Families Citing this family (132)

* Cited by examiner, † Cited by third party
Publication numberPriority datePublication dateAssigneeTitle
US7488823B2 (en)*2003-11-102009-02-10Array Biopharma, Inc.Cyanoguanidines and cyanoamidines as ErbB2 and EGFR inhibitors
US7732616B2 (en)2003-11-192010-06-08Array Biopharma Inc.Dihydropyridine and dihydropyridazine derivatives as inhibitors of MEK and methods of use thereof
US7517994B2 (en)*2003-11-192009-04-14Array Biopharma Inc.Heterocyclic inhibitors of MEK and methods of use thereof
EP1838675A1 (en)*2004-11-242007-10-03Laboratoires Serono S.A.Novel 4-arylamino pyridone derivatives as mek inhibitors for the treatment of hyperproliferative disorders
ES2600460T3 (en)2005-05-102017-02-09Intermune, Inc. Pyridone-2-one derivatives as modulators of the stress-activated protein kinase system
UA100007C2 (en)*2005-05-182012-11-12Астразенека АбHeterocyclic inhibitors of mek, use thereof and pharmaceutical composition containing thereof
AU2013203939B2 (en)*2005-10-072015-08-13Exelixis, Inc.Azetidines as MEK inhibitors for the treatment of proliferative diseases
AU2012261703B2 (en)*2005-10-072015-08-13Exelixis, Inc.Azetidines as MEK inhibitors for the treatment of proliferative diseases
US7465795B2 (en)2005-12-202008-12-16Astrazeneca AbCompounds and uses thereof
US7425556B2 (en)2005-12-202008-09-16Astrazeneca AbCompounds and uses thereof
CA2643044A1 (en)*2006-02-282007-09-07Amgen Inc.Cinnoline and quinazoline derivates as phosphodiesterase 10 inhibitors
JP5269762B2 (en)*2006-04-182013-08-21アーディア・バイオサイエンシーズ・インコーポレイテッド Pyridonesulfonamide and pyridonesulfamide as MEK inhibitors
MX2008013308A (en)2006-04-192008-10-27Serono LabNovel heteroaryl-substituted arylaminopyridine derivatives as mek inhibitors.
WO2007123939A2 (en)*2006-04-192007-11-01Laboratoires Serono S.A.Novel arylamino n-heteraryls as mek inhibitors
NZ577047A (en)2006-10-232011-02-25Takeda PharmaceuticalMapk/erk kinase inhibitors
EP2535330A3 (en)2006-10-232012-12-26Takeda Pharmaceutical Company LimitedIminopyridine derivative and use thereof
ES2547303T3 (en)*2007-01-192015-10-05Ardea Biosciences, Inc. MEK inhibitors
CL2008000725A1 (en)*2007-03-152008-11-14Schering Corp Compounds derived from aromatic heterocycles; pharmaceutical composition; farm kit; use of the composition and compounds as glucan synthase inhibitors for the treatment or prevention of the growth of fungal pathogens in plants and to treat or prevent fungal infections.
EP2155659A1 (en)*2007-05-112010-02-24Bayer Schering Pharma AktiengesellschaftSubstituted phenylamino-benzene derivatives useful for treating hyper-proliferative disorders and diseases associated with mitogen extracellular kinase activity
CA2705452C (en)*2007-11-122016-05-31Takeda Pharmaceutical Company LimitedMapk/erk kinase inhibitors
PT2231662E (en)*2007-12-192011-09-12Genentech Inc8-anilinoimidazopyridines and their use as anti-cancer and/or anti-inflammatory agents
CA2706571C (en)*2007-12-192012-11-27Genentech, Inc.5-anilinoimidazopyridines and methods of use
EP2220092B1 (en)*2007-12-212012-06-06Genentech, Inc.Azaindolizines and methods of use
AU2009218459A1 (en)2008-02-282009-09-03Novartis AgImidazo [1,2-B] pyridazine derivatives for the treatment of C-Met tyrosine kinase mediated disease
US8481569B2 (en)2008-04-232013-07-09Takeda Pharmaceutical Company LimitedIminopyridine derivatives and use thereof
MX2010012848A (en)2008-06-032011-03-01Intermune IncCompounds and methods for treating inflammatory and fibrotic disorders.
ES2670665T3 (en)*2008-06-192018-05-31Xcovery Holding Company Llc Pyridazine carboxamide compounds substituted as kinase inhibitor compounds
EP2334674B1 (en)*2008-08-292012-06-06Amgen, IncPyridazino- pyridinone compounds for the treatment of protein kinase mediated diseases.
US8420649B2 (en)2008-08-292013-04-16Amgen Inc.Pyrido[3,2-d]pyridazine-2(1H)-one compounds as p38 modulators and methods of use thereof
WO2010042649A2 (en)2008-10-102010-04-15Amgen Inc.PHTHALAZINE COMPOUNDS AS p38 MAP KINASE MODULATORS AND METHODS OF USE THEREOF
JP5651125B2 (en)2008-12-102015-01-07デイナ ファーバー キャンサー インスティチュート,インコーポレイテッド MEK mutations that confer resistance to MEK inhibitors
CN102448938A (en)*2009-03-272012-05-09阿迪生物科学公司 Dihydropyridinesulfonamides and Dihydropyridinesulfonamides as MEK Inhibitors
US10253020B2 (en)2009-06-122019-04-09AbivaxCompounds for preventing, inhibiting, or treating cancer, AIDS and/or premature aging
AU2010258294B2 (en)2009-06-122015-07-30AbivaxCompounds useful for treating cancer
GB0913345D0 (en)2009-07-312009-09-16Astrazeneca AbNew combination 802
US8389526B2 (en)2009-08-072013-03-05Novartis Ag3-heteroarylmethyl-imidazo[1,2-b]pyridazin-6-yl derivatives
WO2011061527A1 (en)2009-11-172011-05-26Astrazeneca AbCombinations comprising a glucocorticoid receptor modulator for the treatment of respiratory diseases
ME02186B (en)*2009-12-232016-02-20Takeda Pharmaceuticals CoFused heteroaromatic pyrrolidinones as syk inhibitors
MX360932B (en)2010-02-252018-11-21Dana Farber Cancer Inst IncBraf mutations conferring resistance to braf inhibitors.
EA030276B1 (en)2010-03-092018-07-31Дана-Фарбер Кэнсер Инститьют, Инк.Methods of identifying patients suffering from cancer and treating cancer in patients having or developing resistance to a first cancer therapy
CN102971326A (en)2010-04-282013-03-13百时美施贵宝公司Imidazopyridazinyl compounds and their uses for cancer
KR101851518B1 (en)2010-09-082018-04-23스미또모 가가꾸 가부시끼가이샤Method for producing pyridazinone compounds and intermediate thereof
CN102020651B (en)2010-11-022012-07-18北京赛林泰医药技术有限公司6-aryl amino pyridone formamide MEK (methyl ethyl ketone) inhibitor
US9266880B2 (en)2010-11-122016-02-23Bristol-Myers Squibb CompanySubstituted azaindazole compounds
CA2822638C (en)2010-12-222021-02-16Fate Therapeutics, Inc.Cell culture platform for single cell sorting and enhanced reprogramming of ipscs
GB201021979D0 (en)2010-12-232011-02-02Astrazeneca AbNew compound
GB201021992D0 (en)2010-12-232011-02-02Astrazeneca AbCompound
FI20115234A0 (en)2011-03-082011-03-08Biotie Therapies Corp New pyridazinone and pyridone compounds
EP2723746A1 (en)2011-06-222014-04-30Vertex Pharmaceuticals Inc.Compounds useful as inhibitors of atr kinase
RU2629111C2 (en)2011-07-122017-08-24Ф.Хоффманн-Ля Рош АгAminomethyl quinolones useful ifor treatment of jnk-mediated disorder
JO3115B1 (en)2011-08-222017-09-20Takeda Pharmaceuticals CoPyridazinone Compounds and Their Use as DAAO Inhibitors
CN102358730A (en)*2011-08-242012-02-22济南赛文医药技术有限公司Micromolecular methyl ethyl ketone (MEK) protein kinase inhibitor
WO2013049263A1 (en)2011-09-272013-04-04Bristol-Myers Squibb CompanySubstituted bicyclic heteroaryl compounds
KR20140138910A (en)2012-03-142014-12-04루핀 리미티드Heterocyclyl compounds
EP2831073B1 (en)2012-03-302020-12-09Rhizen Pharmaceuticals S.A.Novel 3,5-disubstitued-3h-imidazo[4,5-b]pyridine and 3,5- disubstitued -3h-[1,2,3]triazolo[4,5-b]pyridine compounds as modulators of c-met protein kinases
WO2013169858A1 (en)2012-05-082013-11-14The Broad Institute, Inc.Diagnostic and treatment methods in patients having or at risk of developing resistance to cancer therapy
HUE044789T2 (en)2012-08-172019-11-28Hoffmann La RocheCombination therapies for melanoma comprising administering cobimetinib and vemurafinib
CN102841094B (en)*2012-09-272015-01-07山东阿如拉药物研究开发有限公司Method for determining ferrous powder content of Tibetan medicine decoction pieces in traditional Chinese medicine preparation
EP2900223B1 (en)*2012-09-282017-10-25Merck Sharp & Dohme Corp.Novel compounds that are erk inhibitors
RU2660429C2 (en)*2012-09-282018-07-06Мерк Шарп И Доум Корп.Novel compounds that are erk inhibitors
AR092742A1 (en)2012-10-022015-04-29Intermune Inc ANTIFIBROTIC PYRIDINONES
PE20191818A1 (en)2012-10-122019-12-27Exelixis Inc PROCESS FOR THE PREPARATION OF 1 - ({3,4-DIFLUORO-2 - [(2-FLUORO-4-IODOPHENYL) AMINO] PHENYL} CARBONYL) -3 - [(2S) -PIPERIDIN-2-IL] AZETIDIN-3OL
TW201441193A (en)2012-12-062014-11-01Kyowa Hakko Kirin Co LtdPyridone compound
CN104903325B (en)2012-12-072017-10-20沃泰克斯药物股份有限公司 Compounds useful as ATR kinase inhibitors
EP2757161A1 (en)2013-01-172014-07-23SplicosmiRNA-124 as a biomarker of viral infection
WO2014143241A1 (en)2013-03-152014-09-18Vertex Pharmaceuticals IncorporatedCompounds useful as inhibitors of atr kinase
JP2016512815A (en)2013-03-152016-05-09バーテックス ファーマシューティカルズ インコーポレイテッドVertex Pharmaceuticals Incorporated Condensed pyrazolopyrimidine derivatives useful as inhibitors of ATR kinase
JP2016512816A (en)2013-03-152016-05-09バーテックス ファーマシューティカルズ インコーポレイテッドVertex Pharmaceuticals Incorporated Compounds useful as inhibitors of ATR kinase
PT2976106T (en)2013-03-212021-05-26Array Biopharma IncCombination therapy comprising a b-raf inhibitor and a second inhibitor
US9556171B2 (en)*2013-04-182017-01-31Shanghai Fochon Pharmaceutical Co., Ltd.Certain protein kinase inhibitors
PT3016656T (en)2013-07-052021-11-26Inst CurieBicyclic compounds useful for treating diseases caused by retroviruses
SI3077397T1 (en)2013-12-062020-02-28Vertex Pharmaceuticals Inc.2-amino-6-fluoro-n-(5-fluoro-pyridin-3-yl)pyrazolo(1,5-a)pyrimidin-3-carboxamide compound useful as atr kinase inhibitor, its preparation, different solid forms and radiolabelled derivatives thereof
US20160340407A1 (en)2014-01-142016-11-24Dana-Farber Camcer Institute, Inc.Compositions and methods for identification, assessment, prevention, and treatment of melanoma using pd-l1 isoforms
HUE045511T2 (en)2014-02-032020-01-28Vitae Pharmaceuticals LlcDihydropyrrolopyridine inhibitors of ror-gamma
US9834548B2 (en)2014-02-142017-12-05Portola Pharmaceuticals, Inc.Pyridazine compounds as JAK inhibitors
PT3114214T (en)2014-03-042024-01-03Fate Therapeutics IncImproved reprogramming methods and cell culture platforms
MX382781B (en)2014-04-022025-03-13Intermune Inc ANTI-FIBROTIC PYRIDINONES.
US10023879B2 (en)2014-06-042018-07-17Fate Therapeutics, Inc.Minimal volume reprogramming of mononuclear cells
AU2015271030B2 (en)2014-06-052019-05-16Vertex Pharmaceuticals IncorporatedRadiolabelled derivatives of a 2-amino-6-fluoro-n-[5-fluoro-pyridin-3-yl]- pyrazolo [1,5-a] pyrimidin-3-carboxamide compound useful as ATR kinase inhibitor, the preparation of said compound and different solid forms thereof
RU2736219C2 (en)2014-06-172020-11-12Вертекс Фармасьютикалз ИнкорпорейтедMethod of treating cancer using a combination of chk1 and atr inhibitors
WO2016009306A1 (en)2014-07-152016-01-21Lupin LimitedHeterocyclyl compounds as mek inhibitors
EP2974729A1 (en)2014-07-172016-01-20AbivaxQuinoline derivatives for use in the treatment of inflammatory diseases
WO2016035008A1 (en)2014-09-042016-03-10Lupin LimitedPyridopyrimidine derivatives as mek inhibitors
EP3204516B1 (en)2014-10-062023-04-26Dana-Farber Cancer Institute, Inc.Angiopoietin-2 biomarkers predictive of anti-immune checkpoint response
ES2715458T7 (en)2014-10-142020-05-28Vitae Pharmaceuticals Llc ROR-gamma dihydropyrrolopyridine inhibitors
US9663515B2 (en)2014-11-052017-05-30Vitae Pharmaceuticals, Inc.Dihydropyrrolopyridine inhibitors of ROR-gamma
US9845308B2 (en)2014-11-052017-12-19Vitae Pharmaceuticals, Inc.Isoindoline inhibitors of ROR-gamma
JP6659703B2 (en)*2015-01-092020-03-04ジェネンテック, インコーポレイテッド Pyridazinone derivatives and their use in the treatment of cancer
JP6800859B2 (en)2015-01-262020-12-16フェイト セラピューティクス,インコーポレイテッド Methods and Compositions for Inducing Hematopoietic Cell Differentiation
MA41866A (en)2015-03-312018-02-06Massachusetts Gen Hospital SELF-ASSEMBLING MOLECULES FOR TARGETED DRUG DELIVERY
EP3331876B1 (en)2015-08-052020-10-07Vitae Pharmaceuticals, LLCModulators of ror-gamma
US20190008859A1 (en)2015-08-212019-01-10Acerta Pharma B.V.Therapeutic Combinations of a MEK Inhibitor and a BTK Inhibitor
HK1258570A1 (en)2015-09-302019-11-15Vertex Pharmaceuticals Inc.Method for treating cancer using a combination of dna damaging agents and atr inhibitors
JP7263005B2 (en)2015-10-162023-04-24フェイト セラピューティクス,インコーポレイテッド A platform for the induction and maintenance of ground-state pluripotency
KR20250033315A (en)2015-11-042025-03-07페이트 세러퓨틱스, 인코포레이티드Methods and compositions for inducing hematopoietic cell differentiation
SG11201803144WA (en)2015-11-042018-05-30Fate Therapeutics IncGenomic engineering of pluripotent cells
MA53943A (en)2015-11-202021-08-25Vitae Pharmaceuticals Llc ROR-GAMMA MODULATORS
WO2017127755A1 (en)2016-01-202017-07-27Fate Therapeutics, Inc.Compositions and methods for immune cell modulation in adoptive immunotherapies
US11096964B2 (en)2016-01-202021-08-24Fate Therapeutics, Inc.Compositions and methods for immune cell modulation in adoptive immunotherapies
TWI757266B (en)2016-01-292022-03-11美商維它藥物有限責任公司Modulators of ror-gamma
US11883404B2 (en)2016-03-042024-01-30Taiho Pharmaceuticals Co., Ltd.Preparation and composition for treatment of malignant tumors
KR20180118719A (en)2016-03-042018-10-31다이호야쿠힌고교 가부시키가이샤 Preparations and compositions for the treatment of malignant tumors
US9481674B1 (en)2016-06-102016-11-01Vitae Pharmaceuticals, Inc.Dihydropyrrolopyridine inhibitors of ROR-gamma
US20180072741A1 (en)2016-09-092018-03-15Incyte CorporationPyrazolopyrimidine compounds and uses thereof
WO2018049214A1 (en)2016-09-092018-03-15Incyte CorporationPyrazolopyridine derivatives as hpk1 modulators and uses thereof for the treatment of cancer
EP3510032B1 (en)2016-09-092022-07-06Incyte CorporationPyrazolopyridine derivatives as hpk1 modulators and uses thereof for the treatment of cancer
US10280164B2 (en)2016-09-092019-05-07Incyte CorporationPyrazolopyridone compounds and uses thereof
JP7098615B2 (en)2016-12-052022-07-11フェイト セラピューティクス,インコーポレイテッド Compositions and Methods for Immune Cell Regulation in Adoptive Cell Transfer
US20180228786A1 (en)2017-02-152018-08-16Incyte CorporationPyrazolopyridine compounds and uses thereof
MX388196B (en)2017-04-262025-03-19Basilea Pharm Int Ag PROCESSES FOR THE PREPARATION OF FURAZANOBENZIMIDAZOLES AND CRYSTALLINE FORMS THEREOF.
WO2019023207A1 (en)2017-07-242019-01-31Vitae Pharmaceuticals, Inc. INHIBITORS OF RORƳ
WO2019018975A1 (en)2017-07-242019-01-31Vitae Pharmaceuticals, Inc.Inhibitors of ror gamma
WO2019051199A1 (en)2017-09-082019-03-14Incyte Corporation6-cyano-indazole compounds as hematopoietic progenitor kinase 1 (hpk1) modulators
US20210171503A1 (en)*2017-12-292021-06-10Orfan Biotech Inc.Glycolate oxidase inhibitors and use thereof
WO2019164846A1 (en)2018-02-202019-08-29Incyte CorporationN-(phenyl)-2-(phenyl)pyrimidine-4-carboxamide derivatives and related compounds as hpk1 inhibitors for treating cancer
US10745388B2 (en)2018-02-202020-08-18Incyte CorporationIndazole compounds and uses thereof
US10752635B2 (en)2018-02-202020-08-25Incyte CorporationIndazole compounds and uses thereof
HUE067430T2 (en)2018-03-192024-10-28Taiho Pharmaceutical Co LtdPharmaceutical composition including sodium alkyl sulfate
US11299473B2 (en)2018-04-132022-04-12Incyte CorporationBenzimidazole and indole compounds and uses thereof
US11401246B2 (en)2018-07-062022-08-02Cantero Therapeutics, Inc.Triazole glycolate oxidase inhibitors
US10899755B2 (en)2018-08-082021-01-26Incyte CorporationBenzothiazole compounds and uses thereof
EP3856348B1 (en)2018-09-252024-01-03Incyte CorporationPyrazolo[4,3-d]pyrimidine compounds as alk2 and/or fgfr modulators
MA55141A (en)*2018-11-202021-09-29Nflection Therapeutics Inc CYANOARYL-ANILINE COMPOUNDS FOR THE TREATMENT OF SKIN CONDITIONS
EP3883554A4 (en)*2018-11-202022-11-23NFlection Therapeutics, Inc. ARYL ANILINE AND HETEROARYL ANILINE COMPOUNDS FOR THE TREATMENT OF NEGAL MARKS
AU2019384646B2 (en)2018-11-202025-09-18Nflection Therapeutics, Inc.Naphthyridinone-aniline compounds for treatment of dermal disorders
EP3669873A1 (en)2018-12-202020-06-24AbivaxQuinoline derivatives for use ine the traeatment of inflammation diseases
US11066394B2 (en)2019-08-062021-07-20Incyte CorporationSolid forms of an HPK1 inhibitor
AR121078A1 (en)2020-01-222022-04-13Chugai Pharmaceutical Co Ltd ARILAMIDE DERIVATIVES WITH ANTI-TUMOR ACTIVITY
TW202200146A (en)2020-04-102022-01-01日商大鵬藥品工業股份有限公司Cancer therapy using 3,5-disubstituted benzene alkynyl compound and mek inhibitor
JPWO2022018875A1 (en)*2020-07-222022-01-27
AU2021311665A1 (en)*2020-07-222023-03-16Chugai Seiyaku Kabushiki KaishaComposition containing arylamide derivative
JP2024540631A (en)2021-11-232024-10-31エヌフレクション セラピューティクス インコーポレイテッド Formulation of pyrrolopyridine-aniline compounds

Citations (37)

* Cited by examiner, † Cited by third party
Publication numberPriority datePublication dateAssigneeTitle
EP0239362A2 (en)1986-03-271987-09-30Imperial Chemical Industries PlcAnti-tumor agents
WO1990005719A1 (en)1988-11-231990-05-31British Bio-Technology LimitedHydroxamic acid based collagenase inhibitors
EP0606046A1 (en)1993-01-061994-07-13Ciba-Geigy AgArylsulfonamido-substituted hydroxamic acids
US5525625A (en)1995-01-241996-06-11Warner-Lambert Company2-(2-Amino-3-methoxyphenyl)-4-oxo-4H-[1]benzopyran for treating proliferative disorders
WO1996027583A1 (en)1995-03-081996-09-12Pfizer Inc.Arylsulfonylamino hydroxamic acid derivatives
WO1996033172A1 (en)1995-04-201996-10-24Pfizer Inc.Arylsulfonyl hydroxamic acid derivatives as mmp and tnf inhibitors
EP0780386A1 (en)1995-12-201997-06-25F. Hoffmann-La Roche AgMatrix metalloprotease inhibitors
WO1997022596A1 (en)1995-12-181997-06-26Zeneca LimitedQuinazoline derivatives
WO1997030035A1 (en)1996-02-131997-08-21Zeneca LimitedQuinazoline derivatives as vegf inhibitors
WO1997032856A1 (en)1996-03-051997-09-12Zeneca Limited4-anilinoquinazoline derivatives
EP0818442A2 (en)1996-07-121998-01-14Pfizer Inc.Cyclic sulphone derivatives as inhibitors of metalloproteinases and of the production of tumour necrosis factor
WO1998003516A1 (en)1996-07-181998-01-29Pfizer Inc.Phosphinate based inhibitors of matrix metalloproteases
WO1998007697A1 (en)1996-08-231998-02-26Pfizer Inc.Arylsulfonylamino hydroxamic acid derivatives
WO1998013354A1 (en)1996-09-251998-04-02Zeneca LimitedQuinazoline derivatives and pharmaceutical compositions containing them
WO1998030566A1 (en)1997-01-061998-07-16Pfizer Inc.Cyclic sulfone derivatives
WO1998033768A1 (en)1997-02-031998-08-06Pfizer Products Inc.Arylsulfonylamino hydroxamic acid derivatives
WO1998034918A1 (en)1997-02-111998-08-13Pfizer Inc.Arylsulfonyl hydroxamic acid derivatives
WO1998034915A1 (en)1997-02-071998-08-13Pfizer Inc.N-hydroxy-beta-sulfonyl-propionamide derivatives and their use as inhibitors of matrix metalloproteinases
WO1998043960A1 (en)1997-04-031998-10-08American Cyanamid CompanySubstituted 3-cyano quinolines
WO1999001421A1 (en)1997-07-011999-01-14Warner-Lambert Company2-(4-bromo or 4-iodo phenylamino) benzoic acid derivatives and their use as mek inhibitors
WO1999002166A1 (en)1997-07-081999-01-21Angiogene Pharmaceuticals Ltd.Use of colchinol derivatives as vascular damaging agents
WO1999007675A1 (en)1997-08-081999-02-18Pfizer Products Inc.Aryloxyarylsulfonylamino hydroxamic acid derivatives
WO1999029667A1 (en)1997-12-051999-06-17Pfizer LimitedHydroxamic acid derivatives as matrix metalloprotease (mmp) inhibitors
EP0931788A2 (en)1998-01-271999-07-28Pfizer LimitedMetalloprotease inhibitors
EP0945864A2 (en)1998-03-261999-09-29Sony CorporationSelecting video material
WO1999052889A1 (en)1998-04-101999-10-21Pfizer Products Inc.(4-arylsulfonylamino)-tetrahydropyran-4-carboxylic acid hydroxamides
WO1999052910A1 (en)1998-04-101999-10-21Pfizer Products Inc.Bicyclic hydroxamic acid derivatives
EP1004578A2 (en)1998-11-052000-05-31Pfizer Products Inc.5-oxo-pyrrolidine-2-carboxylic acid hydroxamide derivatives
WO2000041669A2 (en)1999-01-152000-07-20Angiogene Pharmaceuticals Ltd.Benzimidazole vascular damaging agents
WO2001005390A2 (en)1999-07-162001-01-25Warner-Lambert CompanyMethod for treating chronic pain using mek inhibitors
WO2001092224A1 (en)2000-05-312001-12-06Astrazeneca AbIndole derivatives with vascular damaging activity
WO2002004434A1 (en)2000-07-072002-01-17Angiogene Pharmaceuticals LimitedColchinol derivatives as vascular damaging agents
WO2002008213A1 (en)2000-07-072002-01-31Angiogene Pharmaceuticals LimitedColchinol derivatives as angiogenesis inhibitors
US20030216460A1 (en)2002-03-132003-11-20Wallace Eli M.N3 alkylated benzimidazole derivatives as MEK inhibitors
US20030232869A1 (en)2002-03-132003-12-18Wallace Eli M.N3 alkylated benzimidazole derivatives as MEK inhibitors
WO2004000529A1 (en)2002-06-242003-12-31Fagerdala Deutschland GmbhMethod for producing parts from high-grade lignocellulose fiber-filled thermoplastics
US20040116710A1 (en)2002-03-132004-06-17Wallace Eli M.N3 alkylated benzimidazole derivatives as MEK inhibitors

Family Cites Families (63)

* Cited by examiner, † Cited by third party
Publication numberPriority datePublication dateAssigneeTitle
US3682932A (en)1970-11-231972-08-08Hoffmann La Roche2-chloro-6-hydroxynicotinic acid
US3855675A (en)*1971-05-251974-12-24Squibb & Sons Inc1-(2-furanylmethyl)-1h-pyrazolo(3,4-b)pyridine-5-methanones
DE2150772A1 (en)*1971-10-121973-04-19Cassella Farbwerke Mainkur Ag METHOD FOR PREPARING 6-HYDROXY-2-PYRIDONE-3-CARBONIC ACID AMIDE COMPOUNDS
DE2307169A1 (en)*1973-02-141974-09-26Bayer Ag AZO DYES
GB1449364A (en)*1974-03-201976-09-15Lepetit SpaPyrrolo 3-4-b- pyridines and method for their preparation
JPS55167221A (en)*1979-06-131980-12-26Shigeyuki YasudaAnticancer drug
AT392789B (en)*1985-01-231991-06-10Toyama Chemical Co Ltd METHOD FOR PRODUCING 1-SUBSTITUTED ARYL-1,4-DIHYDRO-4-OXONAPHTHYRIDINE DERIVATIVES
US4851535A (en)*1985-01-231989-07-25Toyama Chemical Co., Ltd.Nicotinic acid derivatives
FR2664687B1 (en)*1990-07-121992-09-25Giat Ind Sa SECURITY DEVICE FOR AN AUTOMATIC WEAPON.
GB9120773D0 (en)*1991-10-011991-11-13Ici PlcModified olefin polymers
FR2687676B1 (en)*1992-02-241994-07-08Union Pharma Scient Appl NOVEL ANGIOTENSIN II RECEPTOR ANTAGONIST POLYAZAINDENES DERIVATIVES; THEIR PREPARATION METHODS, PHARMACEUTICAL COMPOSITIONS CONTAINING THEM.
EP0600831A1 (en)*1992-11-271994-06-08Ciba-Geigy AgPhtalazinon derivatives
WO1995003286A1 (en)1993-07-231995-02-02The Green Cross CorporationTriazole derivative and pharmaceutical use thereof
WO1995009853A1 (en)*1993-10-011995-04-13Ciba-Geigy AgPharmacologically active pyridine derivatives and processes for the preparation thereof
WO1998047899A1 (en)*1997-04-241998-10-29Ortho-Mcneil Corporation, Inc.Substituted pyrrolopyridines useful in the treatment of inflammatory diseases
US6310060B1 (en)1998-06-242001-10-30Warner-Lambert Company2-(4-bromo or 4-iodo phenylamino) benzoic acid derivatives and their use as MEK inhibitors
US6506798B1 (en)*1997-07-012003-01-14Warner-Lambert Company4-Arylamino, 4-aryloxy, and 4-arylthio diarylamines and derivatives thereof as selective MEK inhibitors
JP2002511092A (en)1997-07-012002-04-09ワーナー−ランバート・コンパニー 4-bromo or 4-iodophenylaminobenzhydroxamic acid derivatives and their use as MEK inhibitors
US6821963B2 (en)1997-07-012004-11-23Warner-Lambert Company4-Bromo or 4-iodo phenylamino benzhydroxamic acid derivatives and their use as MEK inhibitors
JPH11296499A (en)*1998-04-071999-10-29Fujitsu Ltd Simulation apparatus and method using moment method and program recording medium
JP2002526528A (en)*1998-10-072002-08-20ジョージタウン ユニヴァーシティー Monomeric and dimeric heterocycles, and therapeutic uses thereof
AU2203800A (en)1999-01-072000-07-24Warner-Lambert CompanyAntiviral method using mek inhibitors
GB9900334D0 (en)1999-01-071999-02-24Angiogene Pharm LtdTricylic vascular damaging agents
WO2000040235A2 (en)1999-01-072000-07-13Warner-Lambert CompanyTreatment of asthma with mek inhibitors
JP2001055376A (en)*1999-01-132001-02-27Warner Lambert CoDiaryl amine
JP2002534498A (en)1999-01-132002-10-15ワーナー−ランバート・カンパニー Benzenesulfonamide derivatives and their use as MEK inhibitors
AU2483400A (en)1999-01-132000-08-01Warner-Lambert Company4'heteroaryl diarylamines
WO2000042002A1 (en)1999-01-132000-07-20Warner-Lambert CompanySulphohydroxamic acids and sulphohydroxamates and their use as mek inhibitors
CA2355374A1 (en)1999-01-132000-07-20Warner-Lambert Company1-heterocycle substituted diarylamines
CA2355470C (en)1999-01-132008-09-30Warner-Lambert CompanyBenzoheterocycles and their use as mek inhibitors
CA2348236A1 (en)1999-01-132000-07-20Stephen Douglas Barrett4-arylamino, 4-aryloxy, and 4-arylthio diarylamines and derivatives thereof as selective mek inhibitors
GB9910577D0 (en)1999-05-081999-07-07Zeneca LtdChemical compounds
KR20020012315A (en)1999-07-162002-02-15로즈 암스트롱, 크리스틴 에이. 트러트웨인Method for treating chronic pain using mek inhibitors
EP1202732A2 (en)1999-07-162002-05-08Warner-Lambert Company LlcMethod for treating chronic pain using mek inhibitors
TR200200205T2 (en)1999-07-162002-06-21Warner-Lambert Company Treating chronic pain using MEK inhibitors
US7030119B1 (en)*1999-07-162006-04-18Warner-Lambert CompanyMethod for treating chronic pain using MEK inhibitors
MXPA02008103A (en)2000-03-152002-11-29Warner Lambert Co5 amide substituted diarylamines as mex inhibitors.
EP1339702A1 (en)*2000-03-152003-09-03Warner-Lambert Company5-amide substituted diarylamines as mek inhibitors
EP1270572A4 (en)*2000-03-272005-03-23Takeda Pharmaceutical CONDENSED PYRAZOLE DERIVATIVES, PROCESS FOR THEIR PREPARATION AND THEIR USE
YU2503A (en)*2000-07-192006-05-25Warner-Lambert CompanyOxygenated esters of 4-iodo phenylamino benzhydroxamic acids
RU2167659C1 (en)*2000-08-022001-05-27Закрытое акционерное общество "Центр современной медицины "Медикор"Method of correction of immune system of living body
EA200300187A1 (en)2000-08-252003-08-28УОРНЕР-ЛАМБЕРТ КОМПАНИ Эл Эл Си METHOD FOR OBTAINING N-ARYLANTRANIL ACIDS AND THEIR DERIVATIVES
WO2002044166A1 (en)2000-11-022002-06-06Astrazeneca AbSubstituted quinolines as antitumor agents
US6642215B2 (en)*2001-05-242003-11-04Leo Pharma A/SMethod of modulating NF-kB activity
US20040039208A1 (en)*2001-07-202004-02-26Chen Michael Huai GuProcess for making n-aryl-anthranilic acids and their derivatives
US20030073692A1 (en)*2001-08-072003-04-17Pharmacia & Upjohn S.P.A.Amino-phthalazinone derivatives active as kinase inhibitors, process for their preparation and pharmaceutical compositions containing them
DE60229267D1 (en)*2001-08-102008-11-20Ucb Pharma Sa OXOPYRROLIDINE COMPOUNDS, METHOD FOR PRODUCING THESE COMPOUNDS AND THEIR USE FOR THE PRODUCTION OF LEVETIRACETAM AND ANALOGUE
CA2463563A1 (en)*2001-10-122003-04-17Irm LlcKinase inhibitor scaffolds and methods for their preparation
GB0129099D0 (en)*2001-12-052002-01-23Astrazeneca AbChemical compounds
US20030187026A1 (en)*2001-12-132003-10-02Qun LiKinase inhibitors
BR0307060A (en)2002-01-232004-10-26Warner Lambert Co n- (phenyl-4-substituted) -anthanilic acid hydroxamate esters
MXPA04007502A (en)*2002-02-042004-11-10Hoffmann La RocheQuinoline derivatives as npy antagonists.
CN100486576C (en)*2002-02-142009-05-13法玛西雅公司Substituted pyridones as modulators of P38MAP kinase
WO2003076405A1 (en)*2002-03-142003-09-18Bayer Healthcare AgMonocyclic aroylpyridinones as antiinflammatory agents
ES2336094T3 (en)*2002-03-292010-04-08Novartis Vaccines And Diagnostics, Inc. BENZAZOLES REPLACED AND USE OF THE SAME AS INHIBITORS OF QUINASA RAF.
WO2005000818A1 (en)*2003-06-272005-01-06Warner-Lambert Company Llc5-substituted-4-`(substituted phenyl)!amino!-2-pyridone deviatives for use as mek inhibitors
TW200510425A (en)*2003-08-132005-03-16Japan Tobacco IncNitrogen-containing fused ring compound and use thereof as HIV integrase inhibitor
US7144907B2 (en)*2003-09-032006-12-05Array Biopharma Inc.Heterocyclic inhibitors of MEK and methods of use thereof
US7732616B2 (en)*2003-11-192010-06-08Array Biopharma Inc.Dihydropyridine and dihydropyridazine derivatives as inhibitors of MEK and methods of use thereof
US7517994B2 (en)*2003-11-192009-04-14Array Biopharma Inc.Heterocyclic inhibitors of MEK and methods of use thereof
KR101099849B1 (en)*2003-11-192011-12-28어레이 바이오파마 인크. Heterocyclic Inhibitor of MEV and Method of Use thereof
ES2251866B1 (en)*2004-06-182007-06-16Laboratorios Almirall S.A. NEW DERIVATIVES OF PIRIDAZIN-3 (2H) -ONA.
UA100007C2 (en)2005-05-182012-11-12Астразенека АбHeterocyclic inhibitors of mek, use thereof and pharmaceutical composition containing thereof

Patent Citations (39)

* Cited by examiner, † Cited by third party
Publication numberPriority datePublication dateAssigneeTitle
EP0239362A2 (en)1986-03-271987-09-30Imperial Chemical Industries PlcAnti-tumor agents
WO1990005719A1 (en)1988-11-231990-05-31British Bio-Technology LimitedHydroxamic acid based collagenase inhibitors
EP0606046A1 (en)1993-01-061994-07-13Ciba-Geigy AgArylsulfonamido-substituted hydroxamic acids
US5525625A (en)1995-01-241996-06-11Warner-Lambert Company2-(2-Amino-3-methoxyphenyl)-4-oxo-4H-[1]benzopyran for treating proliferative disorders
WO1996027583A1 (en)1995-03-081996-09-12Pfizer Inc.Arylsulfonylamino hydroxamic acid derivatives
US5863949A (en)1995-03-081999-01-26Pfizer IncArylsulfonylamino hydroxamic acid derivatives
WO1996033172A1 (en)1995-04-201996-10-24Pfizer Inc.Arylsulfonyl hydroxamic acid derivatives as mmp and tnf inhibitors
US5861510A (en)1995-04-201999-01-19Pfizer IncArylsulfonyl hydroxamic acid derivatives as MMP and TNF inhibitors
WO1997022596A1 (en)1995-12-181997-06-26Zeneca LimitedQuinazoline derivatives
EP0780386A1 (en)1995-12-201997-06-25F. Hoffmann-La Roche AgMatrix metalloprotease inhibitors
WO1997030035A1 (en)1996-02-131997-08-21Zeneca LimitedQuinazoline derivatives as vegf inhibitors
WO1997032856A1 (en)1996-03-051997-09-12Zeneca Limited4-anilinoquinazoline derivatives
EP0818442A2 (en)1996-07-121998-01-14Pfizer Inc.Cyclic sulphone derivatives as inhibitors of metalloproteinases and of the production of tumour necrosis factor
WO1998003516A1 (en)1996-07-181998-01-29Pfizer Inc.Phosphinate based inhibitors of matrix metalloproteases
WO1998007697A1 (en)1996-08-231998-02-26Pfizer Inc.Arylsulfonylamino hydroxamic acid derivatives
WO1998013354A1 (en)1996-09-251998-04-02Zeneca LimitedQuinazoline derivatives and pharmaceutical compositions containing them
WO1998030566A1 (en)1997-01-061998-07-16Pfizer Inc.Cyclic sulfone derivatives
WO1998033768A1 (en)1997-02-031998-08-06Pfizer Products Inc.Arylsulfonylamino hydroxamic acid derivatives
WO1998034915A1 (en)1997-02-071998-08-13Pfizer Inc.N-hydroxy-beta-sulfonyl-propionamide derivatives and their use as inhibitors of matrix metalloproteinases
WO1998034918A1 (en)1997-02-111998-08-13Pfizer Inc.Arylsulfonyl hydroxamic acid derivatives
WO1998043960A1 (en)1997-04-031998-10-08American Cyanamid CompanySubstituted 3-cyano quinolines
WO1999001421A1 (en)1997-07-011999-01-14Warner-Lambert Company2-(4-bromo or 4-iodo phenylamino) benzoic acid derivatives and their use as mek inhibitors
WO1999002166A1 (en)1997-07-081999-01-21Angiogene Pharmaceuticals Ltd.Use of colchinol derivatives as vascular damaging agents
WO1999007675A1 (en)1997-08-081999-02-18Pfizer Products Inc.Aryloxyarylsulfonylamino hydroxamic acid derivatives
WO1999029667A1 (en)1997-12-051999-06-17Pfizer LimitedHydroxamic acid derivatives as matrix metalloprotease (mmp) inhibitors
EP0931788A2 (en)1998-01-271999-07-28Pfizer LimitedMetalloprotease inhibitors
EP0945864A2 (en)1998-03-261999-09-29Sony CorporationSelecting video material
WO1999052889A1 (en)1998-04-101999-10-21Pfizer Products Inc.(4-arylsulfonylamino)-tetrahydropyran-4-carboxylic acid hydroxamides
WO1999052910A1 (en)1998-04-101999-10-21Pfizer Products Inc.Bicyclic hydroxamic acid derivatives
EP1004578A2 (en)1998-11-052000-05-31Pfizer Products Inc.5-oxo-pyrrolidine-2-carboxylic acid hydroxamide derivatives
WO2000041669A2 (en)1999-01-152000-07-20Angiogene Pharmaceuticals Ltd.Benzimidazole vascular damaging agents
WO2001005390A2 (en)1999-07-162001-01-25Warner-Lambert CompanyMethod for treating chronic pain using mek inhibitors
WO2001092224A1 (en)2000-05-312001-12-06Astrazeneca AbIndole derivatives with vascular damaging activity
WO2002004434A1 (en)2000-07-072002-01-17Angiogene Pharmaceuticals LimitedColchinol derivatives as vascular damaging agents
WO2002008213A1 (en)2000-07-072002-01-31Angiogene Pharmaceuticals LimitedColchinol derivatives as angiogenesis inhibitors
US20030216460A1 (en)2002-03-132003-11-20Wallace Eli M.N3 alkylated benzimidazole derivatives as MEK inhibitors
US20030232869A1 (en)2002-03-132003-12-18Wallace Eli M.N3 alkylated benzimidazole derivatives as MEK inhibitors
US20040116710A1 (en)2002-03-132004-06-17Wallace Eli M.N3 alkylated benzimidazole derivatives as MEK inhibitors
WO2004000529A1 (en)2002-06-242003-12-31Fagerdala Deutschland GmbhMethod for producing parts from high-grade lignocellulose fiber-filled thermoplastics

Non-Patent Citations (8)

* Cited by examiner, † Cited by third party
Title
AHN ET AL., SCIENCE, vol. 265, 1994, pages 966 - 970
DAVIES, H. ET AL., NATURE, vol. 417, 2002, pages 949 - 954
HOSHINO, R ET AL., ONCOGENE, vol. 18, 1999, pages 813 - 822
KOHL ET AL., SCIENCE, vol. 260, 1993, pages 1834 - 1837
MILELLA ET AL., J. CLIN. INVEST., vol. 108, no. 6, 2001, pages 851 - 859
SEBOLT-LEOPOLD ET AL., NATURE-MEDICINE, vol. 5, no. 7, 1999, pages 810 - 816
TECLE, H., IBC 2°D INTERNATIONAL CONFERENCE OF PROTEIN KINASES, 9 September 2002 (2002-09-09)
TRACHET ET AL., AACR, 6 April 2002 (2002-04-06)

Cited By (63)

* Cited by examiner, † Cited by third party
Publication numberPriority datePublication dateAssigneeTitle
US7485643B2 (en)2003-11-192009-02-03Array Biopharma Inc.Bicyclic inhibitors of MEK and methods of use thereof
WO2006112479A1 (en)2005-04-192006-10-26Kyowa Hakko Kogyo Co., Ltd.Nitrogen-containing heterocyclic compound
US8362002B2 (en)2005-10-072013-01-29Exelixis, Inc.Azetidines as MEK inhibitors for the treatment of proliferative diseases
US11597699B2 (en)2005-10-072023-03-07Exelixis, Inc.MEK inhibitors and methods of their use
US7803839B2 (en)2005-10-072010-09-28Exelixis, Inc.Azetidines as MEK inhibitors for the treatment of proliferative diseases
US7915250B2 (en)2005-10-072011-03-29Exelixis, Inc.Azetidines as MEK inhibitors for the treatment of proliferative diseases
US8604051B2 (en)2006-01-312013-12-10Ucb Pharma S.A.Thieno-pyridine derivatives as MEK inhibitors
US8394822B2 (en)2006-01-312013-03-12Ucb Pharma, S.A.Thieno-pyridine derivatives as MEK inhibitors
US8283359B2 (en)2006-01-312012-10-09Ucb Pharma S.A.Thieno-pyridine derivatives as MEK inhibitors
WO2008020206A3 (en)*2006-08-152008-04-24Ucb Pharma SaFused thiophene derivatives as mek inhibitors
WO2008047831A1 (en)2006-10-172008-04-24Kyowa Hakko Kirin Co., Ltd.Jak inhibitor
US7999006B2 (en)2006-12-142011-08-16Exelixis, Inc.Methods of using MEK inhibitors
US8470837B2 (en)2006-12-202013-06-25Takeda Pharmaceutical Company LimtedMAPK/ERK kinase inhibitors
US8030317B2 (en)2006-12-202011-10-04Takeda Pharmaceutical Company LimitedMAPK/ERK kinase inhibitors
JP2010522191A (en)*2007-03-192010-07-01武田薬品工業株式会社 MAPK / ERK kinase inhibitor
US8063066B2 (en)2007-03-192011-11-22Takeda Pharmaceutical Company LimitedMAPK/ERK kinase inhibitors
WO2008129029A1 (en)*2007-04-232008-10-30Novartis AgPhthalazine and isoquinoline derivatives with slp receptor modulating activities
WO2008148034A1 (en)*2007-05-252008-12-04Takeda Pharmaceutical Company LimitedMapk/erk kinase inhibitors
US8350037B2 (en)2007-07-232013-01-08Ucb Pharma, S.A.Thieno-pyridine derivatives as MEK inhibitors
US8487101B2 (en)2008-01-212013-07-16Ucb Pharma S.A.Thieno-pyridine derivatives as MEK inhibitors
WO2009146034A3 (en)*2008-03-312010-07-15Takeda Pharmaceutical Company LimitedMapk/erk kinase inhibitors and methods of use thereof
US8637491B2 (en)2008-06-192014-01-28Ucb Pharma S.A.Thieno-pyridine derivatives as MEK inhibitors
US8492427B2 (en)2008-07-012013-07-23Genentech, Inc.Isoindolones derivatives as MEK kinase inhibitors and methods of use
US20110124622A1 (en)*2008-07-012011-05-26Genentech, Inc.Isoindolones derivatives as mek kinase inhibitors and methods of use
RU2495028C2 (en)*2008-07-012013-10-10Дженентек, Инк.Isoindolones and methods for using them
US8841462B2 (en)2008-07-012014-09-23Robert A. HealdBicyclic heterocycles as MEK kinase inhibitors
JP2011526924A (en)*2008-07-012011-10-20ジェネンテック, インコーポレイテッド Isoindolone derivatives as MEK kinase inhibitors and methods of use thereof
WO2010003022A1 (en)2008-07-012010-01-07Genentech, Inc.Isoindolone derivatives as mek kinase inhibitors and methods of use
WO2010051933A2 (en)2008-11-102010-05-14Bayer Schering Pharma AktiengesellschaftSubstituted sulphonamido phenoxybenzamides
WO2010051935A3 (en)*2008-11-102010-07-15Bayer Schering Pharma AktiengesellschaftSubstituted amido phenoxybenzamides
WO2011047796A1 (en)2009-10-212011-04-28Bayer Schering Pharma AktiengesellschaftSubstituted halophenoxybenzamide derivatives
WO2011047795A1 (en)2009-10-212011-04-28Bayer Schering Pharma AktiengesellschaftSubstituted benzosulphonamides
WO2011047788A1 (en)2009-10-212011-04-28Bayer Schering Pharma AktiengesellschaftSubstituted benzosulphonamides
WO2012055953A1 (en)2010-10-292012-05-03Bayer Pharma AktiengesellschaftSubstituted phenoxypyridines
WO2013109142A1 (en)2012-01-162013-07-25Stichting Het Nederlands Kanker InstituutCombined pdk and mapk/erk pathway inhibition in neoplasia
US9290468B2 (en)2012-01-172016-03-22Shanghai Kechow Pharma, Inc.Benzoheterocyclic compounds and use thereof
WO2013107283A1 (en)2012-01-172013-07-25Tianjin Binjiang Pharma, Inc.Benzoheterocyclic compounds and use thereof
US9937158B2 (en)2012-01-172018-04-10Shanghai Kechow Pharma, Inc.Benzoheterocyclic compounds and use thereof
WO2015041533A1 (en)2013-09-202015-03-26Stichting Het Nederlands Kanker InstituutRock in combination with mapk-pathway
WO2015041534A1 (en)2013-09-202015-03-26Stichting Het Nederlands Kanker InstituutP90rsk in combination with raf/erk/mek
WO2015131080A1 (en)*2014-02-282015-09-03Nimbus Lakshmi, Inc.Tyk2 inhibitors and uses thereof
US9340540B2 (en)2014-02-282016-05-17Nimbus Lakshmi, Inc.TYK2 inhibitors and uses thereof
US9630970B2 (en)2014-02-282017-04-25Nimbus Lakshmi, Inc.TYK2 inhibitors and uses thereof
US10196390B2 (en)2014-02-282019-02-05Nimbus Lakshmi, Inc.TYK2 inhibitors and uses thereof
WO2015156674A2 (en)2014-04-102015-10-15Stichting Het Nederlands Kanker InstituutMethod for treating cancer
WO2015178770A1 (en)2014-05-192015-11-26Stichting Het Nederlands Kanker InstituutCompositions for cancer treatment
US10968236B2 (en)2015-02-272021-04-06Nimbus Lakshmi, Inc.TYK2 inhibitors and uses thereof
US10253046B2 (en)2015-02-272019-04-09Nimbus LakshmiTYK2 inhibitors and uses thereof
WO2016138352A1 (en)2015-02-272016-09-01Nimbus Lakshmi, Inc.Tyk2 inhibitors and uses thereof
US11938134B2 (en)2017-03-102024-03-26Eikonizo Therapeutics, Inc.Metalloenzyme inhibitor compounds
US12370194B2 (en)2017-03-102025-07-29Eikonizo Therapeutics, Inc.Metalloenzyme inhibitor compounds
WO2020188015A1 (en)2019-03-212020-09-24OnxeoA dbait molecule in combination with kinase inhibitor for the treatment of cancer
WO2020261156A1 (en)2019-06-282020-12-30Array Biopharma Inc.Quinazolin-4-one derivatives useful for the treatment of braf-associated diseases and disorders
WO2021089791A1 (en)2019-11-082021-05-14INSERM (Institut National de la Santé et de la Recherche Médicale)Methods for the treatment of cancers that have acquired resistance to kinase inhibitors
WO2021148581A1 (en)2020-01-222021-07-29OnxeoNovel dbait molecule and its use
WO2021250521A1 (en)2020-06-092021-12-16Array Biopharma Inc.4-oxo-3,4-dihydroquinazolinon compounds for the treatment of braf-associated diseases and disorders
KR20230146655A (en)*2021-03-312023-10-19화이자 인코포레이티드 3,4-dihydro-2,7-naphthyridine-1,6(2H,7H)-dione as a MEK inhibitor
US11802127B2 (en)2021-03-312023-10-31Pfizer Inc.3,4-dihydro-2,7-naphthyridine-1,6(2H,7H)-diones as MEK inhibitors
US11691973B2 (en)2021-03-312023-07-04Pfizer Inc.3,4-dihydro-2,7-naphthyridine-1,6(2H,7H)-diones as MEK inhibitors
KR102681641B1 (en)2021-03-312024-07-05화이자 인코포레이티드 3,4-dihydro-2,7-naphthyridine-1,6(2H,7H)-dione as a MEK inhibitor
US11878968B2 (en)2021-07-092024-01-23Plexium, Inc.Aryl compounds and pharmaceutical compositions that modulate IKZF2
US11878958B2 (en)2022-05-252024-01-23Ikena Oncology, Inc.MEK inhibitors and uses thereof
WO2025073765A1 (en)2023-10-032025-04-10Institut National de la Santé et de la Recherche MédicaleMethods of prognosis and treatment of patients suffering from melanoma

Also Published As

Publication numberPublication date
RU2006120948A (en)2008-01-10
TW201118071A (en)2011-06-01
US7576072B2 (en)2009-08-18
ATE524443T1 (en)2011-09-15
MXPA06005657A (en)2006-08-23
WO2005051906A3 (en)2005-11-17
EP1689387B1 (en)2011-09-14
EP1682138A4 (en)2007-01-24
CA2545660C (en)2013-06-04
HK1089628A1 (en)2006-12-08
AU2004293019A1 (en)2005-06-09
ES2369835T3 (en)2011-12-07
HRP20110105T4 (en)2013-03-31
ES2355797T3 (en)2011-03-31
BRPI0416692A (en)2007-01-30
AU2004293018B2 (en)2010-02-18
JP2007512362A (en)2007-05-17
PH12012501386A1 (en)2019-06-26
NO20062692L (en)2006-08-14
TW200526658A (en)2005-08-16
PL1682138T6 (en)2013-03-29
KR101264570B1 (en)2013-05-14
DE602004031037D1 (en)2011-02-24
EP1689233A2 (en)2006-08-16
KR20070026343A (en)2007-03-08
IL216454A0 (en)2011-12-29
US8211921B2 (en)2012-07-03
WO2005051300A3 (en)2005-09-15
AU2004293017B2 (en)2010-08-19
IL216455A0 (en)2011-12-29
KR20110105882A (en)2011-09-27
JP4869075B2 (en)2012-02-01
TW200526594A (en)2005-08-16
KR101190912B1 (en)2012-10-12
AU2004293017A1 (en)2005-06-09
JP2011153151A (en)2011-08-11
PL1689387T3 (en)2012-02-29
IL175716A (en)2015-05-31
TWI404703B (en)2013-08-11
US20090131435A1 (en)2009-05-21
SG149033A1 (en)2009-01-29
AU2010201987A1 (en)2010-06-10
JP4768628B2 (en)2011-09-07
JP5046649B2 (en)2012-10-10
PT1682138E (en)2011-02-28
JP2011121984A (en)2011-06-23
JP2012092151A (en)2012-05-17
CY1112941T1 (en)2016-04-13
JP2007511614A (en)2007-05-10
JP2007511613A (en)2007-05-10
EP2251327B1 (en)2014-02-12
US20050250782A1 (en)2005-11-10
ES2453367T3 (en)2014-04-07
US20050130976A1 (en)2005-06-16
JP2011173890A (en)2011-09-08
WO2005051302A3 (en)2005-08-11
TW200526582A (en)2005-08-16
EP1689233A4 (en)2007-08-29
DK1682138T3 (en)2011-04-18
KR101099849B1 (en)2011-12-28
TW200529852A (en)2005-09-16
US7485643B2 (en)2009-02-03
HK1150607A1 (en)2012-01-06
ZA200807628B (en)2013-05-29
RS51861B2 (en)2018-03-30
EP1689406A2 (en)2006-08-16
EP1689387A4 (en)2007-08-29
IL175716A0 (en)2006-09-05
ATE495155T1 (en)2011-01-15
EP1682138B3 (en)2013-01-09
AU2004293019B2 (en)2010-10-28
UA84175C2 (en)2008-09-25
CY1111155T1 (en)2015-11-04
HK1092684A1 (en)2007-02-16
TW201242950A (en)2012-11-01
JP4842137B2 (en)2011-12-21
HRP20110105T1 (en)2011-03-31
PL1689233T3 (en)2012-11-30
EP1689387A2 (en)2006-08-16
DK1689233T3 (en)2012-10-15
ES2389628T3 (en)2012-10-29
PT1689387E (en)2011-09-28
EG24928A (en)2011-01-02
WO2005051906A2 (en)2005-06-09
EP2251327A3 (en)2011-08-31
US20090143389A1 (en)2009-06-04
WO2005051302A2 (en)2005-06-09
ES2355797T7 (en)2013-04-01
AU2004293436A1 (en)2005-06-09
JP2007511615A (en)2007-05-10
CA2545659A1 (en)2005-06-09
CA2546486A1 (en)2005-06-09
EP1682138B1 (en)2011-01-12
AU2011200276A1 (en)2011-02-17
KR20120059619A (en)2012-06-08
CA2546353A1 (en)2005-06-09
EP1689233B1 (en)2012-07-04
CN1905873A (en)2007-01-31
US7772234B2 (en)2010-08-10
EP2251327A2 (en)2010-11-17
US7598383B2 (en)2009-10-06
CA2545659C (en)2013-06-04
WO2005051301A3 (en)2006-05-18
US8431574B2 (en)2013-04-30
PL1682138T3 (en)2011-05-31
PT1689233E (en)2012-07-12
WO2005051301A2 (en)2005-06-09
SI1682138T1 (en)2011-04-29
RU2351593C2 (en)2009-04-10
CA2545660A1 (en)2005-06-09
AU2004293018A1 (en)2005-06-09
US20090143579A1 (en)2009-06-04
EP1689406A4 (en)2007-01-17
PT2251327E (en)2014-03-04
AU2004293436B2 (en)2010-12-09
ZA200604580B (en)2009-08-26
HK1089659A1 (en)2006-12-08
RS51861B (en)2012-02-29
NZ547481A (en)2009-12-24
CN102633716A (en)2012-08-15
EP1682138A2 (en)2006-07-26
US20050130943A1 (en)2005-06-16
US8268852B2 (en)2012-09-18
TW201238951A (en)2012-10-01
PL2251327T3 (en)2014-07-31
US20050153942A1 (en)2005-07-14

Similar Documents

PublicationPublication DateTitle
US7485643B2 (en)Bicyclic inhibitors of MEK and methods of use thereof
US7517994B2 (en)Heterocyclic inhibitors of MEK and methods of use thereof
HK1089659B (en)Bicyclic inhibitors of mek and methods of synthesis thereof
HK1089628B (en)Bicyclic inhibitors of mek
HK1150607B (en)Heterocyclic inhibitors of mek

Legal Events

DateCodeTitleDescription
AKDesignated states

Kind code of ref document:A2

Designated state(s):AE AG AL AM AT AU AZ BA BB BG BR BW BY BZ CA CH CN CO CR CU CZ DE DK DM DZ EC EE EG ES FI GB GD GE GH GM HR HU ID IL IN IS JP KE KG KP KR KZ LC LK LR LS LT LU LV MA MD MG MK MN MW MX MZ NA NI NO NZ OM PG PH PL PT RO RU SC SD SE SG SK SL SY TJ TM TN TR TT TZ UA UG US UZ VC VN YU ZA ZM ZW

ALDesignated countries for regional patents

Kind code of ref document:A2

Designated state(s):BW GH GM KE LS MW MZ NA SD SL SZ TZ UG ZM ZW AM AZ BY KG KZ MD RU TJ TM AT BE BG CH CY CZ DE DK EE ES FI FR GB GR HU IE IS IT LU MC NL PL PT RO SE SI SK TR BF BJ CF CG CI CM GA GN GQ GW ML MR NE SN TD TG

121Ep: the epo has been informed by wipo that ep was designated in this application
WWEWipo information: entry into national phase

Ref document number:2545659

Country of ref document:CA

Ref document number:2006541580

Country of ref document:JP

NENPNon-entry into the national phase

Ref country code:DE

WWWWipo information: withdrawn in national office

Country of ref document:DE

WWEWipo information: entry into national phase

Ref document number:2004293017

Country of ref document:AU

WWEWipo information: entry into national phase

Ref document number:2004811726

Country of ref document:EP

ENPEntry into the national phase

Ref document number:2004293017

Country of ref document:AU

Date of ref document:20041118

Kind code of ref document:A

WWPWipo information: published in national office

Ref document number:2004293017

Country of ref document:AU

WWPWipo information: published in national office

Ref document number:2004811726

Country of ref document:EP


[8]ページ先頭

©2009-2025 Movatter.jp