Movatterモバイル変換


[0]ホーム

URL:


WO2005014609A2 - Method of producing a highly stereoregular phosphorus atom-modified nucleotide analogue - Google Patents

Method of producing a highly stereoregular phosphorus atom-modified nucleotide analogue
Download PDF

Info

Publication number
WO2005014609A2
WO2005014609A2PCT/JP2004/011524JP2004011524WWO2005014609A2WO 2005014609 A2WO2005014609 A2WO 2005014609A2JP 2004011524 WJP2004011524 WJP 2004011524WWO 2005014609 A2WO2005014609 A2WO 2005014609A2
Authority
WO
WIPO (PCT)
Prior art keywords
general formula
carbon atoms
group
represented
nucleoside
Prior art date
Application number
PCT/JP2004/011524
Other languages
French (fr)
Other versions
WO2005014609A3 (en
Inventor
Kazuhiko Saigo
Takeshi Wada
Original Assignee
Toudai Tlo, Ltd.
Priority date (The priority date is an assumption and is not a legal conclusion. Google has not performed a legal analysis and makes no representation as to the accuracy of the date listed.)
Filing date
Publication date
Application filed by Toudai Tlo, Ltd.filedCriticalToudai Tlo, Ltd.
Publication of WO2005014609A2publicationCriticalpatent/WO2005014609A2/en
Publication of WO2005014609A3publicationCriticalpatent/WO2005014609A3/en

Links

Classifications

Definitions

Landscapes

Abstract

To provide an efficient production method for a highly stereoregular phosphorus atom-modified nucleotide where a conformation on a phosphorus atom is controlled. A production method for a highly stereoregular phosphorus atom-modified nucleotide analogue represented by the general formula (4) et (5), characterized by comprising condensing optically-active nucleoside 3’-phosphoramidite with nucleoside using an activator, followed by reaction with an electrophilic reagent and deprotection.

Description

Description
Method of producing a highly stereoregular phosphorus atom-modified nucleotide analogue
Technical Field
The present invention relates to a production method for a highly stereoregular phosphorus atom-modified nucleotide analogue, and more specifically to a production method for a stereocontrolled phosphorus atom-modified nucleotide analogue having a high optical purity. Background Art
One of techniques that have recently attracted attention in the gene therapy field is the antisensemethod. The antisensemethod is one that introduces an antisense molecule having a base sequence complementary to mRNA and selectively forms a double strand on the target mRNA to control the synthesis of a target protein by inhibiting translation.
What is necessary for effectively bringing out the function of the antisense molecule is properties as follows:
(1) sequence-specific binding to the complementary RNA is attained;
(2) double strand formed with the complementary RNA is stable;
(3) double strand formed with the complementary RNA can be used as a substrate for RNaseH;
(4) chemically or biochemically stable state is attained; and (5) cell membrane permeability is high. As one having these properties, phosphorothioate RNA can be exemplified (see, for example, Cohen, J. S. In Antisense Research and Application; Crooke, S. T. ; Lebleu, B. , Ed, ; CRC Press Inc. : Boca Raton, 1993, 205 - 221) . However, the phosphorothioate RNA has a disadvantage in that it interacts with proteins in a nonspecific manner.
On the other hand, among various kinds of phosphates, boranophosphate DNA has characteristics as follows:
(1) sequence-specific binding to the complementary RNA is attained;
(2) double strand formed with the complementary RNA can be used as a substrate for RNaseH;
(3) resistance to nuclease is high:
(4) stable state is attained under basic or acidic conditions; and
(5) high cell membrane permeability is expected because of its high lipid solubility compared with native DNA. Thus, it is expected to be applicable as antisense nucleic acids.
Theboranophosphate DNA, inwhichaphosphodiesterbondthereof is modified, has an asymmetric center at a phosphorous atom, so that it may have different physical properties and biochemical properties depending on variations in its stereoregularity. Therefore, there is a demand for a production method for highly stereoregular boranophosphate DNA.
A method that utilizes a phosphoroamidite process (see, for example, Jin, Y.; Just, G. Tetrahedron Lett . , 1998, 39, 6433-6436) andamethod that utilizes an H-phosphonate process (see, forexample, Surgueeva, Z. A.; Sergueev, D. S . ; Shaw, B. R. Tetrahedron Lett. 1999, 40, 2041 - 2044) have been employed up to now.
In the method of Jin, Y.; Just, G. Tetrahedron Lett., 1998, 39, 6433-6436, a trivalent phosphite intermediate is stereoselectively synthesized using a chiral indole-oxaza phosphorine intermediate as a chiral auxiliary group, followed by hydroboration .
In the method of Surgueeva, Z. A.; Sergueev, D. S . ; Shaw, B. R. Tetrahedron Lett.1999, 40, 2041-2044, H-phosphonate is separated as a stereoche ically-pure diastereomer from a diastereomer mixture through silica-gel column chromatography and both the Rp and Sp forms thereof are sililated in si tu, followed by subjecting the resultant to hydroboration via trivalent phosphite. This method allows the synthesis of boranophosphate DNA at a diastereomer ratio of 98 : 2.
Disclosure of the Invention
In the method of Jin, Y.; Just, G. Tetrahedron Lett., 1998, 39, 6433-6436, a diasteraomer ratio is 94 : 6 at the stage of trivalent phosphite before hydroboration, though the diastereomer ratio after hydroboration remains at 90 : 10.
In the method of of Surgueeva, Z. A.; Sergueev, D. S.; Shaw, B. R. Tetrahedron Lett. 1999, 40, 2041 - 2044, a dimer or less only allows the formation of P-chiral H-phosphonate. Thus, the method is not suitable for the synthesis of an oligomer with a solid phase method.
The present invention provides an efficient production method for a highly stereoregularphosphorus atom-modified nucleotide where a conformation on a phosphorus atom is controlled.
As a means for solving the problem, the present invention provides a production method for a highly stereoregular phosphorus atom-modifiednucleotide analogue representedby the general formula (4) or (5), characterized by comprising condensing optically-active nucleoside 3' -phosphoramidite represented by the general formula (1) with nucleoside represented by the general formula (2) using an activator represented by the general formula (3) , followed by reaction with an electrophilic reagent and deprotection.
Figure imgf000006_0001
[the meanings of symbols in the general formula (1) are as follows: each of R1 and R2, which may be identical or different, represents a hydrogen atom, a linear or branched alkyl group having 1 to 3 carbon atoms or an aryl group having 6 to 14 carbon atoms;
R3 represents a linear or branched alkyl group having 1 to 3 carbon atoms, where each of R2 and R3 may form a cyclic structure of 3 to 16 carbon atoms by nitrogen atoms and carbon atoms adjacent to the nitrogen atoms;
R represents a protective group of a hydroxyl group; and Bs represents thymine, adenine, cytosine, or guanine, which is representedby the following formula, or a group derived therefrom:
Figure imgf000007_0001
Figure imgf000007_0002
Figure imgf000007_0003
[In the general formula (2), R5 represents a protective group of a hydroxyl group, Bs represents the same as the above.
The meanings of symbols in the general formula (3) are as follows :
X" represents BF~, PF6~, TfO" (Tf represents CF3S02, the same applies to the following) , Tf2NN AsF6", or SbF6~; and each of R6 and R7, which may be identical or different, represents a hydrogen atom, a linear or branched alkyl group having 1 to 5 carbon atoms or an aryl group having 6 to 14 carbon atoms, where R6 and R7 may form a monocyclo or bicyclo structure having 3 to 7 carbon atoms together with a nitrogen atom]
Figure imgf000008_0001
[the meanings of symbols in the general formulas (4) and (5) are as follows:
Y represents a linear or branched alkyl group having 1 to 3 carbon atoms; a linear or branched hydroxyalkyl group having 1 or 3 carbon atoms; an aryl group having 6 to 14 carbon atoms, an alkylthio group having 1 to 5 carbon atoms, an acyl group having 1 to 5 carbon atoms, or Y' Z+ (Y' represents Se~ or BH3" and Z+ represents an ammonium ion, a primary to quaternary lower alkylammonium ion, or a monovalent metal ion) ; and
Bs represents the same as the above and two Bs in each formula may be identical or different.] According to the present invention, a highly stereoregular phosphorus atom-modified nucleotide analogue, which is effective as an antisense molecule, and an oligomer thereof can be obtained at high yield.
Detailed explanation of the invention
Hereinafter, a production method of the present invention will be described such that a condensation reaction (first reaction step) and a reaction with an electrophilic reagent and a deprotection reaction (second reaction step) will be described separately. The separation between the first step and the second step is only provided for convenience of explanation and the present invention is not limited to this, and if required, a known processing step such as purification step may be added. [First Reaction Step]
An optically-active nucleoside 3' -phosphoroamidite represented by the general formula (1) and a nucleoside represented by the general formula (2) (hereinafter, referred to as a "nucleoside (2)") is subjected to a condensation reaction in the presence of an activator represented by the general formula (3) (hereinafter, referred to as an "activator (3)").
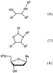
The optically-active nucleoside 3' -phosphoroamidite represented by the general formula (1) can be synthesized from appropriate 1,2-amino alcohol (see, for example, Tetrahedron: Asymmetry, 1995, 6, 1051-1054) . That is, it can be obtained by reacting an optically-active 1,2-amino alcohol represented by the general formula (6) (hereinafter, referred to as "amino alcohol (6)") with phosphorus trichloride to obtain an optically-active phosphitylating agent represented by the general formula (7) (hereinafter, referred to as a "phosphitylating agent (7) ") and reacting phosphitylating agent (7) with a nucleoside represented by the general formula (8) .
Figure imgf000010_0001
[In the formula, R1, R2, R3, R4 and Bs represent the same as those of the general formula (1).]
The amino alcohols (6) include (S)- and (R) -2-methylamino-l-phenyl ethanol, (1R, 2S) -enfedrine, and (1R, 2S) -2-methylamino-l, 2-diphenyl ethanol .
In the nucleoside (8) , Bs represents thymine, adenine, cytosine, or guanine or any group derived therefrom. Specific examples of Bs include adenine, cytosine, and guanine having their respective amino groups protected by protective groups, and more specific examples include compounds represented by the following general formula :
Figure imgf000011_0001
[In the formula, R represents a linear or branched alkyl, aryl, aralkyl, or aryloxylalkyl group having 1 to 15 carbon atoms, preferably a methyl, isopropyl, phenyl, benzyl, or phenoxymethyl group, particularly preferably a phenyl group; and each of R9 and R10 represents a linear or branched alkyl group having 1 to 4 carbon atoms, particularly a methyl group.]
The nucleoside (8) is thymidine, adenosine, cytidine, guanosine, or a derivative thereof having a protected hydroxyl group at the 5-position with a protective group such as a tert-butyl diphenylsilyl group (TBDPS) , a tert-butyl dimethylsilyl group (TBDMS) , a 4, 4' -dimethoxyltrimethyl group (DMTr) , or a 4-methoxytrityl group (MMTr) . In the optically-active nucleoside 3' -phosphoroamidite represented by the general formula (1) and prepared by the aforementioned method, a preferable combination of R1 and R2 is a combination where one of R1 and R2 is a hydrogen atom and the other is a phenyl group, a combination where one of R1 and R2 is a methyl group and the other is a phenyl group, or a combination where both of R1 and R2 are phenyl groups, more preferably a combination of which R1 is a phenyl group and R2 is a hydrogen atom. R3 is preferably a methyl group. R4 is preferably TBDPS or TBDMS, more preferably TBDPS.
The nucleoside (2) is thymidine, adenosine, cytidine, guanosine, or a derivative thereof having a protected hydroxyl group at the 3-position. The groups represented by Bs, which is derived from thymine, adenine, cytosine, guanine, or a derivative thereof, include those exemplified for the nucleoside (8). The Bs of the nucleoside (2) and the Bs of the nucleoside (8) may be identical or different. The protective group of the hydroxyl group, which is represented by R5, is preferably TBDPS, TBDMS, an acetyl group (Ac), a benzyl group (Bz) , DMTr, MMTr, or the like, preferably TBDMS .
The activator (3) has an ability to supply a proton to the nitrogen atom of the optically-active nucleoside 3 ' -phosphoroamidite represented by the general formula (1) but no ability to act as a nucleophilic reagent.
In the activator (3), XNis preferably BF4~, PF6N TfO", or Tf2NN Each of R6 and R7 may form a monocyclo or bicyclo structure having 3 to 7 carbon atoms with a nitrogen atom, preferably a monocyclo or bicyclo structure having 4 to 5 carbon atoms.
The activator (3) can be easily obtained by reacting amine represented by the general formula (11) with a compound represented by the general formula (12) .
Figure imgf000013_0001
H+X" (12)
[In the formula (11) , R6 and R7 represent the same as those described above, and in the formula (12), X" represents the same as that of the general formula (3) .]
The activator (3) shows a good solubility especially to acetonitrile, so that the reaction between the optically-active nucleoside 3' -phosphoroamidite represented by the general formula (1) and the nucleoside (2) may be preferably carried out in a solvent such as acetonitrile.
The optically-active nucleoside 3' -phosphoroamidite represented by the general formula (1) and the nucleoside (2) are preferably reacted together at 0.5- to 2.0-fold equivalent, more preferably 0.5- to 1.2-fold equivalent of the nucleoside (2) to the phosphoroamidite represented by the general formula (1) at reaction temperatures of 0 to 40°C and a reaction pressure of 1 atm.
From the first reaction step described above, phosphite represented by the following general formula (10) can be obtained (hereinafter, referred to as "phosphite (10)").
Figure imgf000014_0001
[In the general formula (10), R1, R2, R3, R4, R5, and Bs represent the same as those of the general formula (1) or (2)] [Second Reaction Step]
At first, the phosphite (10) obtained by the first reaction step is subjected to N-acetylation with acetic anhydride or the like and then reacted with an electrophilic reagent to obtain a compound represented by the following general formula (13) (hereinafter, referred to as "compound (13)).
Figure imgf000014_0002
[In the general formula (13), R1, R2, R3, R4, R5, and Bs represent the same as those of the general formula (1) or (2), Y represents a linear or branched alkyl group having 1 to 3 carbon atoms, a linear or branched hydroxyalkyl group having 1 to 3 carbon atoms, an aryl group having 6 to 14 carbon atoms, an alkylthio group, an acyl group, or Y = Y'Z+, Y' represents Se~ or BH3", Z+ represents an ammonium ion, a primary to quaternary lower alkyl ammonium ion, or a monovalent metal ion; and R11 represents a protective group for a hydrogen atom or a nitrogen atom. ]
The protective groups for the nitrogen atom, which is represented by R11, include an acetyl group (Ac) , a benzyl group (Bz) , and a trimethyl silyl group. -Among them, the trimethyl silyl group is preferable. Alternatively, no protective group may be introduced.
The electrophilic reagents include boronating agents such as BH3 THF or BH3 (CH3)2S, alkylating agents such as disulfide and CH3I, aldehyde such as CH2=0, acid chloride, and selenium.
Next, after phosphoric acid modification, the chimeric auxiliary substance of the compound (13), is removed by treatment with 1, 8-diazabicyclo [5,4,0] undec-7-ene (DBU) or the like to obtain a protected dinucleotide phosphate derivative represented by the general formula (14).
Figure imgf000016_0001
[In the general formula (14), R4, R5, Bs, and Y represent the same as those of the general formula (1) or (2).]
Finally, the protective group on the hydroxyl group is removed by (CH3CH2)3N 3HF or the like to effectively obtain a highly stereoregular phosphorus atom-modified nucleotide analogue represented by the general formula (4) or (5).
In the present invention, furthermore, repeating the first and second reaction steps described above, an oligomer represented by the general formula (9) (hereinafter, referred to as "oligomer (9)") can be produced.
Figure imgf000017_0001
[In the formula, Y and Bs represent the same as those of the general formula (1), (4), or (5), and n represents an integer of 1 to 150 (except for 1) , where two Bs in the constitutional unit may be identical or different.]
The production of the oligomer (9) maybe carried out in solution or on solid phase. If it is carried out on the solid phase, anorganic polymer support or an inorganic polymer support is used as a base polymer. For example, the organic polymer support is polystyrene or a polyethylene glycol-polystyrene graft copolymer, preferably aminomethyl polystyrene. As the inorganic polymer support, controlled polyglass (CPG) , which is a silica-gel support, preferably aminopropyl CPG can be exemplified. In addition, as a linker moiety, a succinate linker (-CO-CH2-CH2-CO-) or an oxalyl linker (-CO-CO-) canbeexemplified. It ispreferable that the linker moiety and the nucleotide are bonded together through an ester bond.
In the general formula (9), n represents an integer of 1 to 150, preferably in the range of 10 to 100, more preferably in the range of 10 to 50, still more preferably in the range of 15 to 30.
The highly stereoregular phosphorus atom-modified nucleotide analogue obtained by the production method of the present invention can be used in an antisense method, which is one of techniques attracting attention in the field of gene therapy. [Examples]
The present invention will be described in detail by way of examples, but the present invention is not limited to those examples . Production Example 1
[Production of N-cyanomethyl pyrrolidium trifluoromethane sulfonate; Production of Activator (3) ]
0.551 g of N-cyanomethyl pyrrolidine (5.00 mmol) in dichloromethane (5.00ml) solutionwas cooledto 0 °C. After dropping 0.442ml (5.00mmol) of trifluoromethane sulfonic acidwith stirring, ethyl ether (10 ml) was added.
The resulting solids were collected by vacuum filtration and then washed with ethyl ether (1 ml x 3 times), followed by drying under reduced pressure. Consequently, 11.1 g of white-powdery target product (4.27 mmol, 85% yields) was obtained.
IR(KBr)vmax : 2996, 2841, 2651, 2477, 2347, 2282, 1637, 1462, 1437, 1269, 1228, 1168, 1033, 985, 911, 849, 761, 641 cm"1
• 1H-NMR( 300MHz, CD3CN) δ : 8.16 (br, 1H) , 4.30(s,2H), 3.50(br,4H), 2.14-2.09(m,4H)
• 13C-NMR(75MHz, CD3CN) δ : 121.2 (q,1JCF=320Hz) , 55.9, 42.0, 23.5 Production Example 2
[ (5R) -2-chloro-3-methyl-5-phenyl-l, 3, 2- oxazaphospholidine;
Production of Phosphitylating Agent (7)]
A tetrahydrofuran (THF) (20.0 ml) solution containing 2.27 g (15.0 mmol) of (R) -2-methylamino-l-phenylethanol (aminoalcohol (6)) and 5.58 ml (40.0 mmol) of triethyl amine was dropped into 1.75 ml (20.0 mmol) of phosphorous trichloride in THF (20.0 ml) solution cooled at 0°C with stirring, followed by heating to room temperature and stirring for 30 minutes.
The resulting salt was filtrated through a glass filter under argon atmosphere and then washed with THF (1 ml x 3 times) . The filtrate was condensed and the residue was distilled under reduced pressure. Consequently, 2.59 g of a target product was obtained in the form of a colorless clear liquid (12.0 mmol, 60% yields) .
• 1H-NMR (300MHz, CDC13) δ : 7.08-7.05 (m, 6H) , 6.91-6.81 (m, 4H) , 6.15 (br,4H) , 6.15 (d, J=8.3Hz, 1H) ,4.64 (dd, JHH=8.3Hz,3JHP=4.2Hz, 1H) , 2.64 (d,3JHP=15.3Hz,3H)
• 31P-NMR (121MHz, CDC13) 5:171.7 Production Example 3
[ (2R, 5R) -2- (5' -O-tert-butyldiphenylsilyl thymidine-3' -yl) -3-methyl-5-pheyl-l, 3, 2-oxazaphospholidine;
Production of Compound of General Formula (1)]
Azeotropic drying of 2.18 g (4.55 mmol) of 5' -O-tert-butyldiphenylsilyl thymidine (nucleoside (8)) with pyridine and toluene was carried out and then they were dissolved in 7.50 ml of THF. To the mixture, 3.17 ml (22.73 mmol) of triethyl amine was added and cooled to -78 °C.
In this solution, under argon atmosphere, 7.5 ml (4.55 mmol) of the compound obtained in Production Example 2 in THF solution (phosphitylating agent (7) ) was dropped, followed by stirring at room temperature for 30 minutes and adding 75 ml of a saturated sodium hydrogen carbonate solution and 75 ml of chloroform.
After separation of an organic phase, it was washed with a saturated sodium hydrogen carbonate solution (75 ml x 2 times) and then the collected wash solution was extracted with chloroform (75 ml x 2 times) . Subsequently, the collected organic phase was dried with anhydrous sodium sulfate and filtrated, and then condensed under reduced pressure.
The residue was isolated and purified through silica gel column chromatography (hexane - ethyl acetate - triethyl amine, 30 : 70 : 3, v/v/v) . The obtained fraction was collected and washed with a saturated sodium hydrogen carbonate solution (100 ml), followed by drying with anhydrous sodium sulfate, filtration, and concentration at a reduced pressure (vacuum) . Consequently, 957.0 g of a colorless amorphous target product (32% yields) was obtained. • 1H-NMR( 300MHz, CDC13) δ : 8.12 (br, 1H) , 7.66-7.62 (m, 4H) , 7.46-7.16 (m, 12H) , 6.39 ( dd, J=2.4, 5.7Hz, 1H) , 5.55 (dd, J=6.9, 7.2Hz, 1H) ,4.95-4 .90(m, 1H) , 4.04-4.02 (m,lH) , 3.95 (dd,2JH=18.2Hz,3JH=1.1Hz, 1H) ,3.89( dd,2JH=18.2Hz,3JH=1.1Hz, 1H) , 3.51-3.46 (m, 1H) , 2.93-2.86 (m, 1H) , 2.75 -2.71(d, J=6Hz,3H) , 2.46-2.40 (m, 1H) , 2.28-2.17 (m, 1H) ,1.58 (d, J=0.6 Hz , 3H) , 1 . 10 ( s , 9H)
• 31P-NMR (121MHz, CDC3) δ:143.5(s) Example 1
[Production of (R) triethylammonium 5' -O-tert-butyldiphenylsilyl thymidine-3' -yl 3' -O-butyldimethylsilyl thymidine-5' -yl boranophosphate]
In the presence of diphosphorus pentoxide, 49.5 mg (75 μmol) of the compound obtained in Production Example 3 (compound represented by the general formula (1)) and 17.8 mg (50 μmol) of 3 ' -O-tert-butyldimethylsilylthymidine (nucleoside (2)) were dried for 12 hours.
To this, 200 μl (100 μmol) of the compound (activator (3)), which was obtained in Production Example 1 and dried for 8 hours with Molecular Sieve (MS3A) , in 0.5-M acetonitrile solution was added under argon atmosphere and then the mixture was left to stand for 5 minutes .
After that, 0.5 ml (500 μl) of 1.04-M borane tetrahydrofuran complex in tetrahydrofuran solution (electrophilic reagent) was added. After the addition, it was left standing for 10 minutes and then acetonitrile and the excess hydroboration agent were distilled off under reduced pressure. Subsequently, 74.6 μl (500 μmol) of 1.8-diazabicyclo [5,4,0] undec-7-ene was added and then the mixture was left standing for 26 hours at 50°C.
After that, it was heated to room temperature and then diluted with 10 ml of chloroform and washed with 10 ml of a 0.2-M phosphate buffer solution (pH 7.0). An organic phase collected after extracting the wash solution with chloroform (10 ml x 3 times) was dried with anhydrous sodium sulfate, filtrated, and concentration at a reduced pressure.
The residue was isolated and purified through thin-layer chromatography (dichloromethane : methanol : trimethylamine = 99 : 1 : 0.5, v/v/v for 3 times and 96 : 4 : 0.5, v/v/v for 2 times) . The resulting product was subjected to salt replacement using a chloroform / 1-M triethylammonium acetate buffer solution (deprotection). Consequently, 25.6 mg of a colorless amorphous target product (51% yields) was obtained.
• XH-NMR( 300MHz, CDC13) δ : 9.3-8.8 (br, 1H) , 7.69-7.64 (m, 6H) , 7.52-7.36 (m,6H) , 6.44-6.31 (m, 2H) , 5.19-5.10 (m, 1H) , .39 (s, 1H) , 3.9 8-3.89 (m, 4H) , 3.06 (q, J=7.2Hz, 6H) , 2.59-2.56 (m, 1H) ,2.25-2.20 ( , 1H
) ,1.98 (s,lH) ,1.56 (s,3H) , 1.32 (t, J=6.9Hz, 9H) ,1.10(s,9H),0.87(s,9 H) ,0.05(s,6H) ,1.0-0(br,3H)
• 31P-NMR ( 121MHz , CDC13 ) δ : 95 . 0 (br) Example 2
[Production of (R) triethylammonium thymidine-3' -yl thymidine-5' -yl-boranophosphate]
Azeotropic drying of 25.6 mg (25.5 μmmol) of the compound obtained in Example 1 was carried out with pyridine and toluene and then dissolved in triethylamine-hydrogen trifluoride (500 μl) . The solution was stirred for 24 hours at room temperature, followed by adding 3 ml of a 0.1-M ammonium acetate buffer solution and purifying with reversed-phase column chromatography (linear gradient of 0 to 10% acetonitrile in 0.1-M ammonium acetate buffer solution (pH = 7.0)) . Consequently, 10.6 mg of a colorless amorphous target product (61% yields) was obtained.
• 1H-NMR (300MHz, D20) δ : 7.69 (s, 1H) , 7.63 (s, 1H) , 6.30-6.18 (m, 2H) , 4.87 (br,lH) ,4.55-4.54 (m, 1H) , 4.14- .05 (m, 4H) ,3.80-3.77 (m, 2H) ,3. 18 (q, J=3.6Hz,6H) , 2.49-2.46 ( , 1H) , 1.90 (s, 3H) , 1.87 (s, 3H) , 1.27 (t, J=7.2Hz,9H) ,1.0-0(br,3H)
31P-NMR (121MHz, D20) δ:93.0(br) Example 3
Production of 5' -0- [bis (4-methoxyphenyl) phenylmethyl] -3' -0- [ (2R, 5R) -3-methyl-5-phenyl-l, 3, 2- oxazaphospholidine-2-yl] -2' -deoxyadenosine [ (Rp) -1]
Azeotropic drying of 5' -0- [bis (4-methoxyphenyl) phenylmethyl] -2 ' -deoxyadenosine (0.80 g, 1.50 mmol) was repeatedly carried out with pyridine and toluene to obtain a THF (7.50 ml) solution thereof.
To this, trimethylamine (1.47 ml, 10.5 mmol) was added and cooledto -78 °C, followedby dropwise addition of a 0.22-MTHF solution (10.0ml, 2.25mmol) of the following formula 15 in an argon atmosphere . A reactionmixture was stirred for 1 hour while kept at -78 °C, followed by the addition of saturated sodium bicarbonate water (75 ml) and chloroform (75 ml) .
After separation of an organic phase, it was washed with saturated sodium bicarbonate water (75ml x 2), and then the collected wash solution was extracted with chloroform (75 ml x 2). The collected organic phase was dried with anhydrous sodium sulfate, followed by filtration and condensation under reduced pressure. The residue was isolated and purified through silica-gel column chromatography (2.5 x 16 cm, 50 g of silica gel, dichloromethane - hexane - pyridine - triethylamine (57 : 29 : 14 : 2, v/v/v/v) ) . The (Rp) -1-containing fraction was collected and washed with saturated sodium bicarbonate water (100 ml) . Subsequently, it was dried with anhydrous sodium sulfate, followed by filtration and concentrating and drying at a reduced pressure. Consequently, (Rp)-l (469.1 mg, 44%) of the following formula was obtained (pale-yellow amorphous product) .
^H-NMR (CDC13) δ 8.28 (s, 1H) , 7.98 (s, 1H) , 7.40 - 7.13 (m, 9H) , 6.76 - 6.73 (m, 4H) , 6.46 - 6.42 (t, 1H) , 6.02 (s, 1H) , 5.59 - 5.57 (br, 2H) , 5.04 - 4.99 (m, 1H) , 4.23 - 4.20 (m, 1H) , 3.72 - 3.53 ( , 6H), 3.53 - 3.49 (m, 1H) , 3.41 - 3.34 (m, 1H) , 2.96 - 2.84 (m, 2H) , 2.71, 2.67 (d, 3H) , 2.63 - 2.55 (m, 1H) .31P-NMR (CDCI3) δ 141.4.
Figure imgf000024_0001
Example 4
Production of 5' -0- [bis (4-methoxyphenyl) phenylmethyl] -3' -0- [ (2R, 5R) -3-methyl-5-ρhenyl-l, 3,2- oxazaphospholidine-2-yl] -2' -deoxytidine [ (Rp) -2]
Azeotropic drying of 5' -0- [bis (4-methoxyphenyl) phenylmethyl] -2 ' -deoxytidine (0.79 g, 1.50 mmol) was repeatedly carried out with pyridine and toluene to obtain a THF (7.50 ml) solution thereof.
To this, trimethylamine (1.47 ml, 10.5 mmol) was added and cooledto -78 °C, followedbydropwise addition of a 0.22-MTHF solution (10.0 ml, 2.25 mmol) of the above formula 15 in an argon atmosphere. A reaction ixture was stirred for 1 hour while kept at -78 °C, followed by the addition of saturated sodium bicarbonate water (75 ml) and chloroform (75 ml) .
After separation of an organic phase, it was washed with saturated sodiumbicarbonate water (75ml x 2), and then the collected wash solution was extracted with chloroform (75 ml x 2) . The collected organic phase was dried with anhydrous sodium sulfate, followed by filtration and condensation under reduced pressure. The residue was isolated and purified through silica-gel column chromatography (2.5 x 16 cm, 50 g of silica gel, dichloromethane - hexane - pyridine - triethylamine (71 : 14 : 14 : 2, v/v/v/v) ) .
The (Rp) -2-containing fraction was collected and washed with saturated sodium bicarbonate water (100 ml) . Subsequently, it was dried with anhydrous sodium sulfate, followed by filtration and concentrating and drying at a reduced pressure. Consequently, (Rp)-2 (452.1 mg, 42%) of the following formula was obtained (pale-yellow amorphous product) .XH-NMR (CDCI3) δ 7.89, 7.87 (d, 1H) , 7.40 - 7.10 (m, 9H) , 6.79 - 6.77 (m, 4H), 6.28 - 6.24 (t, 1H) , 5.52 - 5.43 (m, 2H) , 4.87 - 4.82 (m, 1H), 4.06 - 4.05 (m, 1H) , 3.77 - 3.66 ( , 4H) , 3.46 - 3.41 (m, 3H) , 2.87 - 2.82 (m, 1H) , 2.69, 2.65 (d, 3H) , 2.58 - 2.34 (m, 1H) , 2.32 - 2.23 (m, 1H) .31P-NMR (CDCI3) δ 143.5.
Figure imgf000026_0001
Example 5
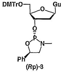
Production of 5' -0- [bis (4-methoxyphenyl) phenylmethyl] -3' -0- [ (2R, 5R) -3-methyl-5-phenyl-l, 3, 2- oxazaphospholidine-2-yl] -2 ' -deoxyguanosine [ (Rp) -3]
Azeotropic drying of 5' -0- [bis (4-methoxyphenyl) phenylmethyl] -2 ' -deoxyguanosine (0.85 g, 1.50 mmol) was repeatedly carried out with pyridine and toluene to obtain a THF (7.50 ml) solution thereof.
To this, trimethylamine (1.47 ml, 10.5 mmol) was added and cooled to -78 °C, followedbydropwise additionof a 0.22-MTHFsolution (10.0 ml, 2.25 mmol) of the above formula 15 in an argon atmosphere . A reaction mixture was stirred for 1.5 hours while kept at -78 °C, followed by the addition of saturated sodium bicarbonate water (75 ml) and chloroform (75 ml) .
After separation of an organic phase, it was washed with saturated sodiumbicarbonate water (75 mix 2), and then the collected wash solution was extracted with chloroform (75 ml x 2) . The collected organic phase was dried with anhydrous sodium sulfate, followed by filtration and concentration at a reduced pressure. The residue was isolated and purified through silica-gel column chromatography (2.5 x 16 cm, 50 g of silica gel, dichloromethane
- pyridine - triethylamine (83 : 17 : 2, v/v/v) ) .
The (Rp) -3-containing fraction was collected and washed with saturated sodium bicarbonate water (100 ml). Subsequently, it was dried with anhydrous sodium sulfate, followed by filtration and concentrating and drying at a reduced pressure. Consequently, (Rp)-3 (332.7 mg, 30%) of the following formula was obtained (pale-yellow amorphous product) .
^H-NMR (CDC13) δ 11.0 - 10.4 (br, 1H) , 7.84 (s, 1H) , 7.34 - 7.19 (m, 9H) , 6.81 - 6.78 (m, 4H) , 6.48 (br, 1H) , 6.15 - 6.11 (m, 1H) , 5.59 - 5.54 (m, 1H) , 4.85 - 4.80 (m, 1H) , 3.95 - 3.93(m, 1H) , 3.71
- 3.68 (m, 4H) , 3.48 - 3.35 (m, 1H) , 2.85 - 2.71 (m, 1H) , 2.58 - 2.48 (m, 3H) , 2.38 - 2.27 ( , 1H) .31P-NMR (CDC13) δ 137.5.
Figure imgf000027_0001

Claims

Claims
1. A method of producing a highly stereoregular phosphorus atom-modifiednucleotide analogue representedby the general formula (4) or (5), comprising condensing an optically-active nucleoside 3' -phosphoramidite represented by the general formula (1) with a nucleoside represented by the general formula (2) with an activator represented by the general formula (3) and reacting the condensation product with an electrophilic reagent and conducting deprotection.
Figure imgf000028_0001
[the meanings of symbols in the general formula (1) are as follows: each of R1 and R2, which may be identical to or different from each other, represents a hydrogen atom, a linear or branched alkyl group having 1 to 3 carbon atoms or an aryl group having 6 to 14 carbon atoms;
R3 represents a linear or branched alkyl group having 1 to 3 carbon atoms, R2 and R3 may form a cyclic structure of 3 to 16 carbon atoms by the nitrogen atom and the carbon atoms adjacent to the nitrogen atom;
R4 represents a protective group of a hydroxyl group; and Bs represents thymine, adenine, cytosine, or guanine, which are represented by the following formulae, respectively, or a group derived therefrom:
Figure imgf000029_0001
Figure imgf000029_0002
Figure imgf000029_0003
[In the general formula (2), R represents a protective group of a hydroxyl group, Bs represents the same as that of the general formula (1), and the meanings of symbols in the general formula (3) are as follows:
X" represents BF4N PFβ", TfO" (Tf represents CF3S02, the same applies to the following) , Tf2N", AsF6~, or SbF6~; and each of R6 and R7, which may be identical to or different from each other, represents a hydrogen atom, a linear or branched alkyl group having 1 to 5 carbon atoms or an aryl group having 6 to 14 carbon atoms, R6 and R7 may form a monocyclo or bicyclo structure having 3 to 7 carbon atoms together with the nitrogen atom]
Figure imgf000030_0001
[the meanings of symbols in the general formulas (4) and (5) are as follows:
Y represents a linear or branched alkyl group having 1 to 3 carbon atoms; a linear or branched hydroxyalkyl group having 1 or 3 carbon atoms; an aryl group having 6 to 14 carbon atoms, an alkylthio group having 1 to 5 carbon atoms, an acyl group having 1 to 5 carbon atoms, or Y' Z+ (Y' represents Se~ or BH3~ and Z+ represents an ammonium ion, a primary to quaternary lower alkylammoniurn ion, or a monovalent metal ion) ; and
Bs represents the same as that of the general formula (1) and two Bs in each formula may be identical to or different from each other. ]
2. The method as described in Claim 1, wherein the optically-active nucleoside 3' -phosphoramidite represented by the general formula (1) is prepared by reacting an optically-active 1,2-amino alcohol represented by the general formula (6) with phosphorous trichloride to obtain an optically-active phosphitylating agent represented by the general formula (7) and then reacting the optically-active phosphitylating agent with a nucleoside represented by the general formula (8 ) :
R3
Figure imgf000031_0001
Cl p R3
O N
( 7 )
R R2
Figure imgf000031_0002
[In the formula, R1, R2, R3, R4, and Bs represent the same as those of the general formula (1).]
3. A method of producing a highly stereoregular phosphorus- atom-modifiednucleotide analogue representedby the general formula (9) , comprising repeating the reaction in the method as described in Claim 1 :
Figure imgf000032_0001
[In the formula, Y and Bs represent the same as those of the general formula (1), (4), or (5), and n represents an integer of 1 to 150 (except for 1) . ]
PCT/JP2004/0115242003-08-082004-08-04Method of producing a highly stereoregular phosphorus atom-modified nucleotide analogueWO2005014609A2 (en)

Applications Claiming Priority (4)

Application NumberPriority DateFiling DateTitle
JP2003-2895592003-08-08
JP20032895592003-08-08
JP2004-0891502004-03-25
JP2004089150AJP2005089441A (en)2003-08-082004-03-25 Method for producing phosphorus atom-modified nucleotide analogues with high stereoregularity

Publications (2)

Publication NumberPublication Date
WO2005014609A2true WO2005014609A2 (en)2005-02-17
WO2005014609A3 WO2005014609A3 (en)2005-04-28

Family

ID=34137933

Family Applications (1)

Application NumberTitlePriority DateFiling Date
PCT/JP2004/011524WO2005014609A2 (en)2003-08-082004-08-04Method of producing a highly stereoregular phosphorus atom-modified nucleotide analogue

Country Status (2)

CountryLink
JP (1)JP2005089441A (en)
WO (1)WO2005014609A2 (en)

Cited By (25)

* Cited by examiner, † Cited by third party
Publication numberPriority datePublication dateAssigneeTitle
WO2014010250A1 (en)2012-07-132014-01-16Chiralgen, Ltd.Asymmetric auxiliary group
WO2014012081A2 (en)2012-07-132014-01-16Ontorii, Inc.Chiral control
WO2015107425A2 (en)2014-01-162015-07-23Wave Life Sciences Pte. Ltd.Chiral design
US9394333B2 (en)2008-12-022016-07-19Wave Life Sciences JapanMethod for the synthesis of phosphorus atom modified nucleic acids
WO2017015575A1 (en)2015-07-222017-01-26Wave Life Sciences Ltd.Oligonucleotide compositions and methods thereof
US9605019B2 (en)2011-07-192017-03-28Wave Life Sciences Ltd.Methods for the synthesis of functionalized nucleic acids
US9617547B2 (en)2012-07-132017-04-11Shin Nippon Biomedical Laboratories, Ltd.Chiral nucleic acid adjuvant
US9744183B2 (en)2009-07-062017-08-29Wave Life Sciences Ltd.Nucleic acid prodrugs and methods of use thereof
US10144933B2 (en)2014-01-152018-12-04Shin Nippon Biomedical Laboratories, Ltd.Chiral nucleic acid adjuvant having immunity induction activity, and immunity induction activator
US10149905B2 (en)2014-01-152018-12-11Shin Nippon Biomedical Laboratories, Ltd.Chiral nucleic acid adjuvant having antitumor effect and antitumor agent
US10322173B2 (en)2014-01-152019-06-18Shin Nippon Biomedical Laboratories, Ltd.Chiral nucleic acid adjuvant having anti-allergic activity, and anti-allergic agent
CN110088113A (en)*2016-11-232019-08-02波涛生命科学有限公司Composition and method for phosphoramidite and oligonucleotide synthesis
US10428019B2 (en)2010-09-242019-10-01Wave Life Sciences Ltd.Chiral auxiliaries
US10450568B2 (en)2015-10-092019-10-22Wave Life Sciences Ltd.Oligonucleotide compositions and methods thereof
US10724035B2 (en)2016-05-042020-07-28Wave Life Sciences Ltd.Oligonucleotide compositions and methods thereof
US10882884B2 (en)2016-05-182021-01-05Eth ZurichStereoselective synthesis of phosphorothioate oligoribonucleotides
US11013757B2 (en)2016-06-032021-05-25Wave Life Sciences Ltd.Oligonucleotides, compositions and methods thereof
US11407775B2 (en)2016-03-132022-08-09Wave Life Sciences Ltd.Compositions and methods for phosphoramidite and oligonucleotide synthesis
US11596646B2 (en)2017-10-122023-03-07Wave Life Sciences Ltd.Oligonucleotide compositions and methods thereof
US11597927B2 (en)2017-06-022023-03-07Wave Life Sciences Ltd.Oligonucleotide compositions and methods of use thereof
US11603532B2 (en)2017-06-022023-03-14Wave Life Sciences Ltd.Oligonucleotide compositions and methods of use thereof
US11608355B2 (en)2017-09-182023-03-21Wave Life Sciences Ltd.Technologies for oligonucleotide preparation
US11718638B2 (en)2017-06-212023-08-08Wave Life Sciences Ltd.Compounds, compositions and methods for synthesis
US11739325B2 (en)2017-08-082023-08-29Wave Life Sciences Ltd.Oligonucleotide compositions and methods thereof
US12391942B2 (en)2018-05-112025-08-19Wave Life Sciences Ltd.Oligonucleotide compositions and methods of use thereof

Families Citing this family (1)

* Cited by examiner, † Cited by third party
Publication numberPriority datePublication dateAssigneeTitle
US11267843B2 (en)2016-03-182022-03-08Roche Innovation Center Copenhagen A/SStereodefining L-monomers

Non-Patent Citations (2)

* Cited by examiner, † Cited by third party
Title
JIN Y ET AL: "A Stereoselective Synthesis of Dinucleotide Boranophosphate, Using Chiral Indole-oxazaphosphorine Intermediates" TETRAHEDRON LETTERS, ELSEVIER SCIENCE PUBLISHERS, AMSTERDAM, NL, vol. 39, no. 36, September 1998 (1998-09), pages 6433-6436, XP004132512 ISSN: 0040-4039 cited in the application*
OKA, NATSUHISA ET AL: "An Oxazaphospholidine Approach for the Stereocontrolled Synthesis of Oligonucleoside Phosphorothioates" JOURNAL OF THE AMERICAN CHEMICAL SOCIETY , 125(27), 8307-8317 CODEN: JACSAT; ISSN: 0002-7863, 2003, - 9 July 2003 (2003-07-09) XP002315448*

Cited By (51)

* Cited by examiner, † Cited by third party
Publication numberPriority datePublication dateAssigneeTitle
US10329318B2 (en)2008-12-022019-06-25Wave Life Sciences Ltd.Method for the synthesis of phosphorus atom modified nucleic acids
US9394333B2 (en)2008-12-022016-07-19Wave Life Sciences JapanMethod for the synthesis of phosphorus atom modified nucleic acids
US9695211B2 (en)2008-12-022017-07-04Wave Life Sciences Japan, Inc.Method for the synthesis of phosphorus atom modified nucleic acids
US10307434B2 (en)2009-07-062019-06-04Wave Life Sciences Ltd.Nucleic acid prodrugs and methods of use thereof
US9744183B2 (en)2009-07-062017-08-29Wave Life Sciences Ltd.Nucleic acid prodrugs and methods of use thereof
US10428019B2 (en)2010-09-242019-10-01Wave Life Sciences Ltd.Chiral auxiliaries
US9605019B2 (en)2011-07-192017-03-28Wave Life Sciences Ltd.Methods for the synthesis of functionalized nucleic acids
US10280192B2 (en)2011-07-192019-05-07Wave Life Sciences Ltd.Methods for the synthesis of functionalized nucleic acids
CN107011400A (en)*2012-07-132017-08-04日本波涛生命科学公司Asymmetric auxiliary group
US20220127301A1 (en)*2012-07-132022-04-28Wave Life Sciences Ltd.Asymmetric auxiliary group
US9617547B2 (en)2012-07-132017-04-11Shin Nippon Biomedical Laboratories, Ltd.Chiral nucleic acid adjuvant
WO2014010250A1 (en)2012-07-132014-01-16Chiralgen, Ltd.Asymmetric auxiliary group
US10590413B2 (en)2012-07-132020-03-17Wave Life Sciences Ltd.Chiral control
CN104684893B (en)*2012-07-132016-10-26日本波涛生命科学公司Asymmetric auxiliary group
US9982257B2 (en)2012-07-132018-05-29Wave Life Sciences Ltd.Chiral control
AU2018202884B2 (en)*2012-07-132020-05-14Wave Life Sciences Ltd.Asymmetric auxiliary group
US10696711B2 (en)*2012-07-132020-06-30Wave Life Sciences Ltd.Asymmetric auxiliary group
US9598458B2 (en)2012-07-132017-03-21Wave Life Sciences Japan, Inc.Asymmetric auxiliary group
US10167309B2 (en)2012-07-132019-01-01Wave Life Sciences Ltd.Asymmetric auxiliary group
EP2872485A4 (en)*2012-07-132015-12-30Wave Life Sciences Japan ASYMMETRIC AUXILIARY GROUP
EP4219516A2 (en)2012-07-132023-08-02Wave Life Sciences Ltd.Chiral control
WO2014012081A2 (en)2012-07-132014-01-16Ontorii, Inc.Chiral control
CN104684893A (en)*2012-07-132015-06-03日本微物生命科学公司 asymmetric auxiliary group
EP3812370A1 (en)*2012-07-132021-04-28Wave Life Sciences Ltd.Asymmetric auxiliary group
US10322173B2 (en)2014-01-152019-06-18Shin Nippon Biomedical Laboratories, Ltd.Chiral nucleic acid adjuvant having anti-allergic activity, and anti-allergic agent
US10149905B2 (en)2014-01-152018-12-11Shin Nippon Biomedical Laboratories, Ltd.Chiral nucleic acid adjuvant having antitumor effect and antitumor agent
US10144933B2 (en)2014-01-152018-12-04Shin Nippon Biomedical Laboratories, Ltd.Chiral nucleic acid adjuvant having immunity induction activity, and immunity induction activator
EP4137572A1 (en)2014-01-162023-02-22Wave Life Sciences Ltd.Chiral design
US10160969B2 (en)2014-01-162018-12-25Wave Life Sciences Ltd.Chiral design
WO2015107425A2 (en)2014-01-162015-07-23Wave Life Sciences Pte. Ltd.Chiral design
US11634710B2 (en)2015-07-222023-04-25Wave Life Sciences Ltd.Oligonucleotide compositions and methods thereof
US10479995B2 (en)2015-07-222019-11-19Wave Life Sciences Ltd.Oligonucleotide compositions and methods thereof
WO2017015575A1 (en)2015-07-222017-01-26Wave Life Sciences Ltd.Oligonucleotide compositions and methods thereof
US10450568B2 (en)2015-10-092019-10-22Wave Life Sciences Ltd.Oligonucleotide compositions and methods thereof
US11407775B2 (en)2016-03-132022-08-09Wave Life Sciences Ltd.Compositions and methods for phosphoramidite and oligonucleotide synthesis
US10724035B2 (en)2016-05-042020-07-28Wave Life Sciences Ltd.Oligonucleotide compositions and methods thereof
US10882884B2 (en)2016-05-182021-01-05Eth ZurichStereoselective synthesis of phosphorothioate oligoribonucleotides
US12403156B2 (en)2016-06-032025-09-02Wave Life Sciences Ltd.Oligonucleotides, compositions and methods thereof
US11013757B2 (en)2016-06-032021-05-25Wave Life Sciences Ltd.Oligonucleotides, compositions and methods thereof
CN110088113A (en)*2016-11-232019-08-02波涛生命科学有限公司Composition and method for phosphoramidite and oligonucleotide synthesis
US11873316B2 (en)2016-11-232024-01-16Wave Life Sciences Ltd.Compositions and methods for phosphoramidite and oligonucleotide synthesis
EP3544987A4 (en)*2016-11-232020-11-18Wave Life Sciences Ltd. COMPOSITIONS AND PROCEDURES FOR PHOSPHORAMIDITE AND OLIGONUCLEOTIDE SYNTHESIS
US11603532B2 (en)2017-06-022023-03-14Wave Life Sciences Ltd.Oligonucleotide compositions and methods of use thereof
US11597927B2 (en)2017-06-022023-03-07Wave Life Sciences Ltd.Oligonucleotide compositions and methods of use thereof
US11718638B2 (en)2017-06-212023-08-08Wave Life Sciences Ltd.Compounds, compositions and methods for synthesis
US12428442B2 (en)2017-06-212025-09-30Wave Life Sciences Ltd.Compounds, compositions and methods for synthesis
US11739325B2 (en)2017-08-082023-08-29Wave Life Sciences Ltd.Oligonucleotide compositions and methods thereof
US11608355B2 (en)2017-09-182023-03-21Wave Life Sciences Ltd.Technologies for oligonucleotide preparation
US12435105B2 (en)2017-09-182025-10-07Wave Life Sciences Ltd.Technologies for oligonucleotide preparation
US11596646B2 (en)2017-10-122023-03-07Wave Life Sciences Ltd.Oligonucleotide compositions and methods thereof
US12391942B2 (en)2018-05-112025-08-19Wave Life Sciences Ltd.Oligonucleotide compositions and methods of use thereof

Also Published As

Publication numberPublication date
JP2005089441A (en)2005-04-07
WO2005014609A3 (en)2005-04-28

Similar Documents

PublicationPublication DateTitle
WO2005014609A2 (en)Method of producing a highly stereoregular phosphorus atom-modified nucleotide analogue
US5449769A (en)Method and reagent for sulfurization of organophosphorous compounds
US5512668A (en)Solid phase oligonucleotide synthesis using phospholane intermediates
US5359052A (en)Chalcophospholanes useful in the synthesis of oligonucleoside phosphorothioates, phosphorodithioates and related selenates
US6028182A (en)Methylphosphonic acid esters, processes for their preparation, and their use
JPS58180500A (en)Dna chemical synthesis
JP4865544B2 (en) Method for producing highly stereoregular ribonucleotide analogs and deoxyribonucleotide analogs
MXPA96004355A (en)Oligonucleotides and used modified intermediaries in nucleic acids therapeuti
JP2011088935A (en)Optically-active nucleoside 3'-phosphoroamidite for production of phosphorus atom modified nucleotide analog
US5869696A (en)Universal solid supports and methods for their use
JPH09511250A (en) Modified oligonucleotides and intermediates useful in nucleic acid therapy
HUT64555A (en)A method for linking nucleosides with syloxane bridge
EP1319013A2 (en)Linker phosphoramidites for oligonucleotide synthesis
CN106255697B (en) Phosphorus protecting group and preparation method and use thereof
WO1997014706A1 (en)Method for solution phase synthesis of oligonucleotides
JPH10195098A (en)New nucleotide analogue
JP2011184318A (en)Ribonucleoside h-boranophosphonate
WO1997029116A1 (en)Sulphur containing dinucleotide phosphoramidites
JPS59502025A (en) Method for producing oligonucleoside phosphonates
EP4450512A1 (en)Oligonucleotide production method
EP4249495A1 (en)Method for the purification of polynucleotides and analogues thereof
EP4349846A1 (en)Chimeric nucleic acid oligomer including phosphorothioate and boranophosphate, and method for producing same
CA2078256A1 (en)Synthesis of sulfide-linked di-or oligonucleotide analogs and incorporation into antisense dna or rna
US20020103365A1 (en)Process for the synthesis of nucleic acids on a solid support and compounds which are useful in particular as solid supports in the said process
AU2002325599B2 (en)Oligonucleotide analogues

Legal Events

DateCodeTitleDescription
AKDesignated states

Kind code of ref document:A2

Designated state(s):AE AG AL AM AT AU AZ BA BB BG BR BW BY BZ CA CH CN CO CR CU CZ DE DK DM DZ EC EE EG ES FI GB GD GE GH GM HR HU ID IL IN IS KE KG KP KR KZ LC LK LR LS LT LU LV MA MD MG MK MN MW MX MZ NA NI NO NZ OM PG PH PL PT RO RU SC SD SE SG SK SL SY TJ TM TN TR TT TZ UA UG US UZ VC VN YU ZA ZM ZW

ALDesignated countries for regional patents

Kind code of ref document:A2

Designated state(s):GM KE LS MW MZ NA SD SL SZ TZ UG ZM ZW AM AZ BY KG KZ MD RU TJ TM AT BE BG CH CY CZ DE DK EE ES FI FR GB GR HU IE IT LU MC NL PL PT RO SE SI SK TR BF BJ CF CG CI CM GA GN GQ GW ML MR NE SN TD TG

121Ep: the epo has been informed by wipo that ep was designated in this application
122Ep: pct application non-entry in european phase

[8]ページ先頭

©2009-2025 Movatter.jp