Movatterモバイル変換


[0]ホーム

URL:


WO2004111695A1 - Articles comprising micro-structured, hollow-core fibres, and methods of their splicing, connectorization and use - Google Patents

Articles comprising micro-structured, hollow-core fibres, and methods of their splicing, connectorization and use
Download PDF

Info

Publication number
WO2004111695A1
WO2004111695A1PCT/DK2004/000439DK2004000439WWO2004111695A1WO 2004111695 A1WO2004111695 A1WO 2004111695A1DK 2004000439 WDK2004000439 WDK 2004000439WWO 2004111695 A1WO2004111695 A1WO 2004111695A1
Authority
WO
WIPO (PCT)
Prior art keywords
optical
fibre
optical fibre
structured
micro
Prior art date
Application number
PCT/DK2004/000439
Other languages
French (fr)
Inventor
Peter M. W. Skovgaard
Jacob Riis Folkenberg
Theis Peter Hansen
Original Assignee
Crystal Fibre A/S
Priority date (The priority date is an assumption and is not a legal conclusion. Google has not performed a legal analysis and makes no representation as to the accuracy of the date listed.)
Filing date
Publication date
Application filed by Crystal Fibre A/SfiledCriticalCrystal Fibre A/S
Publication of WO2004111695A1publicationCriticalpatent/WO2004111695A1/en

Links

Classifications

Definitions

Landscapes

Abstract

The present invention relates to articles comprising micro-structured, hollow-core fibres, and methods of their splicing and connectorization. It is an object of the invention to provide a scheme for optically coupling an article comprising a micro-structured, hollow-core optical fibre to other optical fibres or components with a relatively low return loss. The object is fulfilled by providing an article comprising a micro-structured, hollow-core optical fibre with an optical window made of an optical material of refractive index now the optical fibre having an even end face forming an angle θ with a plane perpendicular to a longitudinal direction of the optical fibre, the optical window being of length Iow in the longitudinal direction and having a first face parallel to and contacting the end face of the optical fibre, wherein the angle θ is different from 0°. The invention further relates to methods of optical coupling a hollow-core fibre to other micro-structured, hollow-core or non-micro-structured optical fibres by means of an optical connector or a splice and to a fibre laser or amplifier comprising an article according to the invention. The invention may be used in all applications of hollow-core optical fibres, where return loss in of importance, e.g. in optical communications systems.

Description

ARTICLES COMPRISING MICRO-STRUCTURED, HOLLOW-CORE FIBRES, AND METHODS OF THEIR SPLICING, CONNECTORIZATION AND USE
DESCRIPTION
BACKGROUND OF THE INVENTION
The present invention relates to articles and assemblies comprising micro- structured, hollow-core fibres, and methods of their manufacturing. The invention further relates to methods of splicing a hollow-core fibre to other micro-structured, hollow-core or non-micro-structured optical fibres. It further relates to a fibre laser or amplifier comprising an article according to the invention.
The invention further relates to use of such articles or optical fibre assemblies or fibre lasers or amplifiers in various applications.
The Technical Field
For many applications of micro-structured optical fibres in optical fibre systems, return loss is a critical parameter that must be controlled or reduced to make the system work. Examples of such applications are:
Optical Time Domain Reflectometry (OTDR) typically works by sending a short optical pulse down through an optical fibre and measures the time delay and the intensity of the reflected pulses. In this way, e.g. point scat- terers, fibre defects, and reflections from splice interfaces can be measured. A reflection from a glass-air interface typically creates a very intense reflection that will bleach out or saturate the fast photo detector, thus making the measurement impossible.
Optical communication systems are typically very sensitive to reflections as they can travel backward through the optical path and degrade the performance of the system. Even a reflection (return loss) as little as -30 dB (0.1%) can have detrimental consequences.
Pigtailing of lasers typically have to be done very carefully to avoid feedback. Many lasers (e.g. gas lasers or semiconductor lasers) can become unstable with too much reflected light, as such reflections can induce multi transverse mode and/or longitudinal mode lasing.
Single-pass fibre amplifiers are spliced or free space coupled with a fibre laser. Often, the output coupler of the laser is a low reflectivity mirror defined by Bragg gratings written into the fibre laser. Again in this case, reflected light can induce instability of the laser. Also, even small levels of reflections within an amplifier can induce lasing, which will severely degrade amplifier performance.
The term 'micro-structured optical fibre' or 'photonic crystal fibre' is in the present application taken to mean an optical fibre comprising a multitude of longitudinally extending elements dispersed in a back ground material. The term 'a multitude of longitudinally extending elements' is in the present context taken to mean more than 2, such as more than 4, such as more than 6, such as more than 8, such as more than 12 longitudinally extending elements in a given cross section perpendicular to a longitudinal direction of the optical fibre. The longitudinally extending elements may be distributed in a periodic or non-periodic pattern when viewed in a cross section perpendicular to a longitudinal direction of the optical fibre. A micro- structured, hollow-core optical fibre is taken to mean a micro-structured optical fibre comprising a hollow core for guiding light.
DISCLOSURE OF THE INVENTION
OBJECTS OF THE INVENTION:
It is an object of the present invention to provide articles comprising micro- structured, hollow-core fibres suitable for optical coupling to other optical waveguides or optical components. It is a further object to provide optical devices, e.g. fibre lasers or amplifiers based on such articles. It is a further object to provide optical fibre assemblies based on the optical coupling of one or more of such articles with each other or another article.
It is a further object of the present invention to provide a method of splicing micro-structured, hollow-core fibres to other optical fibres in general with low return loss. It is a further object to provide a method of splicing micro- structured, hollow-core fibres to standard optical fibres with low return loss. It is a further object of the invention to provide use of the articles or optical fibre assemblies or fibre lasers or amplifiers in various applications.
Further objects appear from the description elsewhere.
SOLUTION ACCORDING TO THE INVENTION
An article comprising a micro-structured, hollow-core optical fibre:
One or more objects of the invention are fulfilled by an article comprising a micro-structured, hollow-core optical fibre for propagating a light beam comprising light of a wavelength λ in a longitudinal direction of the optical fibre and an optical window made of an optical material of refractive index now, the optical fibre having an even end face forming an angle θ with a plane perpendicular to a longitudinal direction of the optical fibre, the optical window being of length low in said longitudinal direction and having a first face parallel to and contacting said end face of said optical fibre, wherein said angle θ is different from 0°.
This has the advantage of providing an article that enables coupling of a micro-structured, hollow-core optical fibre to other optical fibres or optical components at a relatively low return loss. The term 'different from O0' is in the present context taken to mean intentionally different from 0°. In an embodiment, θ is larger than Tsuch as larger than 2°, such as larger than 5°.
In an embodiment, the refractive index now, and the angle θ are adapted to prevent a majority of the reflected light from being coupled back into the hollow core of the micro-structured optical fibre.
The term 'a majority of the reflected light' is in the present context taken to mean more than 50%, such as more than 80%, such as more than 95% of the intensity of the reflected light.
In an embodiment, the angle θ is adapted to the numerical aperture of the optical fibre and/or to the mode field diameter of the light beam of the optical fibre.
In an embodiment, the angle θ is adapted to the numerical aperture of the optical fibre and/or to the mode field diameter of the light beam to reduce the back reflection from the end face of the optical fibre. In an embodiment, the back reflection is reduced to levels below -30 db, such as below -40 db, such as below -50 db.
In an embodiment, the refractive index now, the angle θ and the length low are adapted to control the spatial displacement ddisp of the light beam in the optical window from a centre line of the hollow core. This has the advantage of providing design freedom with respect to the location of the light beam at the second face of the optical window.
In an embodiment, the location of the centre line of the hollow core is displaced relative to a centreline of the optical fibre (as determined by its outer boundary). In an embodiment, the refractive index now, the angle θ and the length low are adapted to facilitate the coupling of the light beam into the core region of another optical fibre. In an embodiment, the refractive index now, the angle θ and the length low are adapted to provide the light beam to be centrally located at the second face of the optical window. In an embodiment, the optical window comprises a Bragg grating. This has the advantage of providing the possibility to select a wavelength to be reflected by the optical window, e.g. in connection with a laser, e.g. a fibre laser.
In an embodiment, the first and/or the second faces of the optical window comprise an antireflective (AR) coating or a high-reflection (HR) coating. This has the advantage of providing the possibility to select a wavelength or wavelength range to be reflected by the optical window, e.g. in connection with a laser, e.g. a fibre laser.
In an embodiment, the article further comprises an (external) optically reflective element. This may be optically coupled to the optical window via a free space region and/or via an optical lens. This may be useful in connection with the use of the article in a laser arrangement, e.g. in a fibre laser.
The term 'optically coupled' is in the present context taken to mean either, physically integrated with, directly butt-coupled to, joined to by any appropriate method including glue, splicing, index-matching material, etc., coupled to via a free space region (e.g. air), possibly via an optical component such as a lens. Preferably, Optically coupled' means a low loss coupling, e.g. a splice or a butt-coupling of carefully aligned faces, e.g. in an optical connector.
In an embodiment, the optical window is made of silica. This has the advantage of being an appropriate material for a large number of commonly used optical fibres (micro-structured as well as non-micro-structured). In general, the physical properties of the optical window should preferably be adapted to those of the hollow-core micro structured fibre and to a possible second optical fibre to which the article is to be coupled.
In an embodiment, the micro-structured, hollow-core optical fibre is a silica based optical fibre. In an embodiment, the micro-structured, hollow-core optical fibre is a hollow core PCF from BlazePhotonics (Bath, Great Britain), e.g. the HC-1550-02 fibre or an air guiding fibre from Crystal Fibre A/S (Birkerød, Denmark), e.g. the Al R-10-1550 fibre.
In an embodiment, the micro-structured, hollow-core optical fibre and the optical window are spliced together.
In an embodiment, the optical window is constituted by a length of a non- micro-structured optical fibre. This has the advantage of providing an article that comprises an optical coupling between a micro-structured, hollow-core optical fibre and a non-micro-structured optical fibre. In an embodiment, the micro-structured, hollow-core optical fibre and a non-micro-structured optical fibre are optically coupled via a connector or spliced together (cf. FIG. 4).
In an embodiment, the optical window comprises a second face substantially parallel to the first face. This has the advantage of facilitating coupling to another optical fibre, e.g. by including an optical connector in the article.
A fibre laser or amplifier:
One or more objects of the invention are fulfilled by a fibre laser or amplifier comprising an article according to any one of the embodiments described above under the heading "An article comprising a micro-structured, hollow- core optical fibre" or in the corresponding claims wherein the micro- structured, hollow-core fibre comprises an optically active material such as a rare-earth ion (e.g. Er and/or Yb).
In an embodiment, the hollow-core of the optical fibre comprises an optically active material in fluid form, such as a gas. This has the advantage that the optically active material can be added after the production of the hollow-core fibre and that the optical window can serve the dual purpose of enclosing (sealing) the fluid in the hollow core (and/or in other possible hollow elements of the micro-structured fibre) and ensuring an appropriate optical coupling to another optical component of fibre (including a reduced back reflection).
In an embodiment, the angle θ is substantially equal to Brewster's angle. This has the advantage of facilitating the discrimination of TM and TE polarised light, thereby enabling single frequency operation of the laser. In an embodiment, θ is within 10° of Brewster's angle, such as within 5°, such as within 1°.
An optical fibre assembly comprising two optically coupled hollow-core optical fibres:
One or more objects of the invention are fulfilled by an optical fibre assembly comprising first and second articles as described above under the heading "An article comprising a micro-structured, hollow-core optical fibre" or in the corresponding claims, the articles being optically coupled to each other via the second faces of the optical windows wherein the angle θ is substantially identical for both the first and second articles. This has the advantage of providing a scheme for optically coupling two micro-structured, hollow-core optical fibres to each other with a relatively low return loss.
In an embodiment, the angles θ of the first and second articles are within 5% of each other, such as within 2%, such as within 1%.
In an embodiment, the centre lines of the hollow cores of the micro- structured fibres are displaced in opposite radial directions from a centre line of the joined optical fibre assembly (as illustrated schematically in FIG. 5c). This has the advantage of enabling a low loss coupling (e.g. via an optical connector or a splice) of two micro-structured hollow-core optical fibres. The determination of an appropriate radial displacement in dependence of the angle θ, the refractive index now and the length low of the optical window is outlined below.
In an embodiment, the second faces of the optical windows of the first and second articles are joined via an optical connector or a splice. An optical fibre assembly comprising a hollow-core optical fibre optically coupled to a non-micro-structured optical fibre I:
One or more objects of the invention are fulfilled by an optical fibre assembly comprising first and second articles as described above under the heading "An article comprising a micro-structured, hollow-core optical fibre" or in the corresponding claims, wherein - in the second article - the micro-structured, hollow-core optical fibre is substituted by a non-micro-structured optical fibre, and the first and second articles are optically coupled to each other via the second faces of the optical windows wherein the angles θ of the end faces are substantially identical. This has the advantage of providing a scheme for optically coupling a micro-structured, hollow-core optical fibre to a non-micro- structured optical fibre with a relatively low return loss (e.g. via an optical connector or a splice).
In an embodiment, the second faces of the optical windows of the first and second articles are joined via an optical connector or a splice.
In an embodiment, the non-micro-structured optical fibre is a silica fibre, e.g. a single mode fibre, such as a SMF28 fibre.
A method of manufacturing an article comprising a micro-structured, hollow- core optical fibre:
One or more objects of the invention are fulfilled by a method of manufacturing an article comprising a micro-structured, hollow-core optical fibre, the method comprising the steps of a) providing the optical fibre with an even end face forming an angle θ with a plane perpendicular to a longitudinal direction of the optical fibre wherein the angle θ is different from 0°; b) providing an optical window made of an optical material of refractive index now and having a length low in the longitudinal direction; c) providing the optical window with a first face parallel to the end face of the optical fibre; d) providing that the end face of the fibre and the first face of the optical window are joined.
This has the advantage of providing a method for manufacturing an article suitable for optical coupling to a micro-structured, hollow-core optical fibre to other optical fibres or optical components at a relatively low return loss.
In an embodiment, the refractive index n0WI and the angle θ are adapted to prevent a majority of the reflected light from being coupled back into the hollow core of the optical fibre.
In an embodiment, in step a) the end face of the optical fibre is formed by cleaving and/or polishing or laser cutting.
In an embodiment, in step d) the end face of the fibre and the first face of the optical window are joined by abutment, by splicing or by means of an adhesive material or an index matching material.
In an embodiment, in step a) the optical window is provided with a second face substantially parallel to the first face.
A method of splicing a micro-structured, hollow-core optical fibre to another optical fibre:
One or more objects of the invention are fulfilled by a method of splicing a micro-structured, hollow-core optical fibre to a second optical fibre, the method comprising the steps of a) providing a fist article comprising a micro-structured, hollow-core optical fibre by a method described above under the heading "A method of manufacturing an article comprising a micro-structured, hollow-core optical fibre" and in the corresponding claims; b) providing a second article comprising a second optical fibre, the method comprising the sub-steps of; b1) providing the second optical fibre with an even end face forming an angle θ2 with a plane perpendicular to a longitudinal direction of the second optical fibre wherein the angle Q2 is different from 0°; b2) providing an optical window made of an optical material of refractive index now2 and having a length low2 in the longitudinal direction; b3) providing the optical window with first and second faces substantially parallel to the end face of the second optical fibre; b4) providing that the end face of the second optical fibre and the first face of the optical window are joined. c) providing that the angles θ and Q2 are substantially equal; d) axially aligning the first and second articles to allow optical coupling of light between the articles via the second faces of sad optical windows ensuring that the angled surfaces are parallel; and e) splicing the first and second articles together.
This has the advantage of providing a method for splicing a micro-structured, hollow-core optical fibre to another optical fibre at a relatively low return loss.
In an embodiment, the micro-structured, hollow-core optical fibre of the first article is an air guiding fibre from Crystal Fibre A/S (Birkerød, Denmark), e.g. the Al R-10-1550 fibre.
In an embodiment, the other optical fibre is a micro-structured fibre.
In an embodiment, the other optical fibre is a micro-structured fibre, e.g. a double clad fibre, e.g. a DC-150-28-Yb fibre or an LMA-15 fibre from Crystal Fibre A/S, (Birkerød, Denmark).
In an embodiment, the other optical fibre is a non-micro-structured fibre, such as an SMF28 fibre from Corning Inc. A method of splicing a micro-structured, hollow-core optical fibre to a non- micro-structured optical fibre:
One or more objects of the invention are fulfilled by a method of splicing a micro-structured, hollow-core optical fibre to a non-micro-structured optical fibre, the method comprising the steps of a) providing a first micro-structured, hollow-core optical fibre; b) providing a second non-micro-structured optical fibre; c) providing each of the first and second optical fibres with an even end face forming an angle θ with a plane perpendicular to a longitudinal direction of the optical fibres wherein the angle θ is different from 0°; d) axially aligning the first and second optical fibres to allow optical coupling of light between the optical fibres ensuring that the angled end faces are parallel; and e) splicing the optical fibres together.
This has the advantage of providing a method for splicing a micro-structured, hollow-core optical fibre to a non-micro-structured optical fibre (e.g. a standard SMF28-fibre) at a relatively low return loss.
In an embodiment, the angle θ is in the range from 1 ° to 25°, such as in the range 5° to 15°, such as in the range 8° to 12°.
An optical fibre assembly comprising a hollow-core optical fibre optically coupled to a non-micro-structured optical fibre II:
One or more objects of the invention are fulfilled by an optical fibre assembly comprising a) a first micro-structured, hollow-core optical fibre; b) a second non-micro-structured optical fibre; c) the first and second optical fibres each having an even end face forming an angle θ with a plane perpendicular to a longitudinal direction of the respective optical fibre wherein the angle θ is different from 0°; d) the first and second optical fibres being axially aligned to allow optical coupling of light between the optical fibres ensuring that the angled end faces are parallel;
This has the advantage of providing an optical fibre assembly adapted for coupling a micro-structured, hollow-core optical fibre to a non-micro- structured optical fibre (e.g. a standard SMF28-fibre) at a relatively low return loss.
In an embodiment, the angle θ is in the range from 1 ° to 25°, such as in the range 5° to 15°, such as in the range 8° to 12°.
In an embodiment, the end faces of the first and second optical fibres are joined by splicing or by an optical connector.
Use of articles, etc.:
One or more objects of the invention are fulfilled by the use of an article as described above under the heading "An article comprising a micro- structured, hollow-core optical fibre" and in the corresponding claims, or of a fibre laser or amplifier as described above under the heading "A fibre laser or amplifier" and in the corresponding claims, or of an optical fibre assembly as described above under the heading "An optical fibre assembly comprising two optically coupled hollow-core optical fibres" and in the corresponding claims, or of an optical fibre assembly as described above under the heading "An optical fibre assembly comprising an hollow-core optical fibre optically coupled to a non-micro-structured optical fibre-l" and in the corresponding claims, or of an optical fibre assembly as described above under the heading "An optical fibre assembly comprising an hollow-core optical fibre optically coupled to a non-micro-structured optical fibre-M" and in the corresponding claims.
In an embodiment, use is made in an optical reflectometry system, in an optical communications system, in a laser system or in a fibre amplifier system. It should be emphasized that the term "comprises/comprising" when used in this specification is taken to specify the presence of stated features, integers, steps or components but does not preclude the presence or addition of one or more other stated features, integers, steps, components or groups thereof.
BRIEF DESCRIPTION OF THE FIGURES
FIG. 1 shows an OTDR measurement of 100 m air core PBG fibre (solid). Also shown in the figure is the measured response when no fibre is connected (dash-dot).
FIG. 2a shows a photo of angle cleaved photonic crystal fibre according to the present invention (left) aligned to SMF28 (right), cleaved at 10.5 degrees;
FIG. 2b shows a photo of angle cleaved photonic crystal fibre according to the present invention (left) aligned to SMF28 (right), cleaved at 8.1 degrees;
FIG. 2c shows a photo of the above angle cleaved photonic crystal fibre according to the present invention (left) spliced to SMF28 (right);
FIG. 3 shows a schematic illustration of angle cleaved fibre according to the present invention;
FIG. 4 shows a schematic illustration of angle cleaved fibres, spliced according to the present invention;
FIG. 5a shows a schematic illustration of angle cleaved fibre connectorized according to the present invention; FIG. 5b shows a schematic illustration of an angle cleaved micro-structured fibre with a radially displaced hollow core connectorized according to the present invention;
FIG. 5c shows a schematic illustration of angle cleaved fibre-to-fibre connection according to the present invention;
FIG. 6 shows a schematic illustration of an output coupler of a PBG fibre gas laser according to the present invention with Brewster window. Brewster angle: ΘΛ = 56°. Refracted angle: G2 = 34°. Beam diversion: a = 56° - 34° =
22°;
FIG. 7 shows power reflection coefficients for the two polarizations of a plane wave incident from air onto a glass surface, i.e. nx =1 and n2 = 1.45 . The Brewster angle is indicated;
FIG. 8 shows a calculation of power in reflected light coupled back into the core; and
FIG. 9 shows a calculation of minimum connector angle vs. NA for a desired Return Loss (RL) of -50 dB.
DETAILED DESCRIPTION
In order to present the invention, the proceeding description shall be based on examples. The examples act to illustrate the concepts and design ideas that underlie the invention. It is to be understood that the examples are merely illustrative of the many possible specific embodiments which can be devised from the present invention as well as there exists many possible applications that may be devised from the principles of the invention. The presented examples are not intended to limit the scope of the invention. Splicing
Splicing conventional, solid fibres together will normally result in minimal reflection from the splice interface, as there is no significant change in index of refraction between the two fibres. For splicing micro-structured optical fibres to solid fibres, return loss can be a serious problem. If the two fibres have significant differences in core sizes, in mode sizes and/or in effective refractive index for the modes, significant reflections can occur.
One class of micro-structured optical fibres is the photonic bandgap (PBG) fibre, where the light is guided in air (also denoted air-core or hollow-core fibres). For this class of fibre, these reflections can be a particular problem. If the fibre end is spliced or butt coupled to a silica core fibre (solid or micro structured), the light propagating down the fibre experiences a large index change at the splice interface. Since the core material changes from air to silica, the refractive index changes from 1 to ~1.45, which will cause a Fresnel reflection of 4% (-14 dB) for normal incidence.
FIG. 1 shows an OTDR measurement of 100 m air core PBG fibre 11 (solid). Also shown in the figure is the measured response 12 when no fibre is connected (dash-dot). This corresponds to the case where no reduction of the back reflection is performed. The large reflection 121 is seen to bleach out the response from the connected fibre, thereby destroying the measurement.
The present invention solves this by preventing the reflected light to be guided backwards in the fibre system. In preparing both fibres for the splice they should preferably be cleaved or cut at substantially the same angle (see FIGs. 2 and 3). When aligning the fibres 41 , 42 for the splice, the fibres should preferably be rotated relative to each other so that the angled facets are parallel. After the splice, the splice interface 43 defines an angle being substantially identical to the cleaved or cut angle θ (see FIG. 4). FIG. 2a shows a photo of an angle cleaved photonic crystal fibre, here a hollow-core optical fibre 21 according to the present invention (left) aligned to a non-micro-structured optical fibre, here an SMF28 fibre 22 (right). The end faces 211 and 221 of the respective optical fibres 21 , 22 are both cleaved at 10.5°. This represents an appropriate angle for a silica non-micro-structured optical fibre 22 to avoid back reflection from its end facet 221 into the core of the micro-structured, hollow-core optical fibre 21. The fibres 21 , 22 are axially aligned in preparation to a connectorization or a splicing.
FIG. 2b shows a photo corresponding to that of FIG. 2a with the only difference that the cleaving angles of the end faces 211 , 221 of the optical fibres 21 , 22 are 8.1° instead of 10.5°.
FIG. 2c illustrates a splice 23 of the optical fibres 21 , 22 of FIG. 2b, the end faces 211 , 221 of the optical fibres being cleaved at an angle of 8.1°, axially aligned (ensuring that the two end faces 211 , 221 are parallel) and subsequently spliced using a conventional cleaving and splicing apparatus.
Connectorisation
For connectorized fibres, the problem with optical reflections can be especially severe, as the Fresnel reflections at the fibre ends are high and powerful. For conventional, solid fibre technology (with silica-based core), this has been solved by the development of angled polished fibre connectors, such as APC. Here, the connector end and thus the fibre facet is polished at an angle. This typically reduces the return loss to below -60 dB (0.0001 %).
In a previous patent application (WO-03/032039, "Hermetically sealed optical fibre with voids or holes, method of its production, and its use"), we have developed a method for connectorising photonic crystal fibres, which is incorporated herein by reference. In this patent application, we describe how the holes are hermetically sealed and then connectorised. To avoid reflections from e.g. a connectorized air-core fibre, it will not be sufficient to angle polish such a connector, as the internal interface will result in a strong reflected signal. As shown schematically in FIG. 5, by splicing onto this air- core fibre 51 a "stud" 52, an optical window made of e.g. pure silica, which is angle cleaved or cut before splicing as described above (for FIG. 3, 4) to provide end face 511 of the optical fibre and first and second faces 521 , 522, respectively, of the optical window, the air-core fibres can be connectorized with much reduced return loss.
Equipment for performing these steps may be bought commercially through the company Vytran (Vytran Corporation, Morganville, NJ 07751 , USA). A suitable exemplary equipment is the Vytran FFS 2000 splicing and cleaving machine. Appropriate setting of cleaving and splicing parameters of the equipment (e.g. temperature, time, etc.) may be adapted depending on materials, dimensions, hole distribution, etc.
Note that none of the above solutions reduce or remove Fresnel reflections. It merely makes sure that the reflected light is coupled out through the side of the fibre and not back into the core.
As illustrated by FIG. 5b, also note that since the core refractive index of a hollow core PBG fibre 53 is close to that of vacuum, the light 54 emitted through a stud 55 will propagate parallel to the hollow core fibre. For free space coupling, this is an important advantage over solid fibre, where a facet angle will cause the light to be refracted, and the coupling apparatus thus needs to be rotated accordingly. The spatial displacement ddisp of the beam given by the stud of length / and angle øcan be calculated as:
a = θ- arcsin -^- sin θ
KJhIO1
dd. = ltana
Figure imgf000018_0001
In the embodiment of Fig. 5b, comprising a the centre line 591 (shown dotted) of the hollow-core 59 of the non-micro-structured optical fibre 53 is radially displaced relative to the centre line 531 (shown dotted) of the optical fibre to achieve that the light beam 54 is leaving the second face 552 of the optical window (stud) 55 substantially following the centre line 531 of the optical fibre (assuming that the hollow-core and the environment 'outside' the article comprise materials having substantially identical refractive indices (e.g. consist of air)). As indicated by the arrows on light beam 54, the direction of light may be out of as well as into the article (stud).
A numerical example
A fibre connector with θ = 8° and / = 100 μm will result in a beam displacement of ~5 μm. Such a displacement is enough to significantly reduce the coupling from one fibre 56 to the other 57 if the fibre core is situated in the centre of the fibre. To solve this, the PBG fibre 57 can be designed to have the core 58 placed a few microns away from the centre.
The length of the stud can then be defined to make sure that the beam is centralised at the facet. This technique can also be used to couple light from one air-core fibre 56 to another 57, cf. FIG. 5c.
Fibre preparation
The technology for angle cleaving fibres is well developed and applies to most phonic crystal fibres. The typical approach to make an angle cleave is to apply torque as well as tension in the fibre at the same time as scorching the side of the fibre with a blade. Due the torque, the stress lines will cause cleaving to occur at an angle. Again, a Vytran FFS 2000 splicing and cleaving machine may be used.
Note that an angled fibre end can also be achieved using e.g. a CO2 laser to cut the fibre. Application: gas-filled fibre laser or amplifier
In a preferred embodiment, an air-core PBG fibre is filled with gas (or have a portion of the glass rare-earth doped) and used in a fibre-based laser or amplifier. Preferably, the fibre core is filled with gas, and a hermetic sealing is needed to keep the gas inside the fibre. This can be done by splicing a stud 61 like the one described in FIG. 6 onto the fibre 62. The "internal" angle G1 could now be made so large that it will be close to or preferably equal to the Brewster angle. In this case the reflection coefficient for the two states of linearly polarised light will be very different and thus the roundtrip loss different for TM and TE polarised light.
For plane waves incident on an interface between two materials the field reflection coefficients are given by (TE and TM polarization, respectively) (See e.g. Fundamentals of Photonics, Bahaa E. A. Saleh and Malvin Carl Teich, Wiley, 1991):
_ nx COs(^1) - n2 cos(#2)
TTE ~ ~
Hx cos(<9,) + n2 cos(<92 ) _ n2 COs(^1) - R1 cos(<92)rTM —' n2 cos(#j ) + nl cos(#2 )
Here nv n2 are the refractive indices of the two materials, and θvθ2 is the incident and refracted angle, respectively. To calculate the reflected power these coefficients should be squared. The Brewster angle is calculated:
ΘB = arctan —
For an air/silica (n=1.45) interface this angle is 55°. At this angle,
2 2
TM = 0 and r TTEP = 12.6% For such a device the reflection at both sides of the laser cavity can now be defined in the solid glass stud. This can be done in at least two ways: a Bragg reflector can be written into the stud, thus providing well-defined reflection back into the laser cavity. Alternatively, the outer facet of the stud can be coated with an AR or HR coating. In either case, there are no moving parts in the laser cavity, and one is left with the task of coupling pump light into the fibre and capturing the emitted laser light.
It should be noted that an external mirror also could be used. In this configuration the glass stud acts as the Brewster window commonly used in traditional gas lasers.
For coupling pump light into the fibre, a polarising beam splitter can be used. Most laser gain media may be pumped with the polarization orthogonal to the laser light. Also, since the laser light is emitted in a single linearised polarisation, such beam splitter will add no extra loss to the system.
Calculation of angles
To significantly decrease the level of reflected light, the angle needs to be large enough to prevent the majority of the reflected light to be coupled back into the core. In many cases, two fibre-to-fibre connectors are mounted face to face. Thus, there is no glass-air interface and the Fresnel reflections are much reduced. In the case of free space coupling in and out of the fibre end, the light has to travel across a glass-air interface and the reflections are thus larger. In the following, we will treat the case of free space coupling in and out of the fibre end.
For standard telecommunication fibre (like SMF28 from Corning), the Numerical Aperture (NA) at 1550 nm is 0.12. This means that the Far Field (FF) intensity (from a perpendicular cleave or polish) has fallen to 5% at 6.9°. This angle is also called the "acceptance angle", as it describes which incident light beams that will be coupled into the fibre. The APC standard is to polish the connector end to an angle of 8.0°, which means that the reflected light is diverted by 16°. This is enough to reduce the back reflection levels to below -50 dB.
Clearly, the necessary connector angle depends on the NA and acceptance angle. For large Mode Field Diameter (MFD) fibres, the NA can be as small as 0.03 or smaller. In these cases, the connector angle can be chosen to be just a few degrees and still maintain the same low level of back reflection.
In the Gaussian approximation, the relation between the MFD and the NA is given by (Niels Asger Mortensen, Jacob Riis Folkenberg, Peter M. W. Skovgaard, and Jes Broeng, IEEE Photonics Technology Letters, vol. 14, no. 8, August 2002):
Figure imgf000022_0001
where the MFD is defined as the 1/e2 width in intensity.
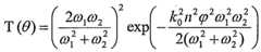
To show a numerical example, please refer to FIGs. 7 and 8. In FIG. 8, the level of reflected light coupled into the fibre is theoretically calculated. For the calculation, the following equations are used (see e.g. ref: Introduction to Fibre Optics, A. Ghatak and K. Thyagarajan, Cambridge University Press, 1998, p. 168):
Figure imgf000022_0002
This equation describes the transmission in an angular misaligned by φ, but otherwise perfectly aligned splice. This equation can be used to calculate the level of reflection off an angular cleaved fibre facet. We will assume 4% reflection and assume that all light being either transmitted or reflected back into the fibre (T+R=1). We can set CO1=(Q2=OO. In the reflection, the connector angle θ =1Ap
Figure imgf000023_0001
R (0) = 0.04 exp (-A0V^V)
Rearranging and expressing in dB, we get:
Return Loss (RL) = -14 dB — — - [ MFD- ]
InIO i, λ J
where θ is the connector angle and λ is the wavelength in free space. The - 14 dB comes from the fact that at perpendicular incidence only Fresnel reflection (4%) is reflected from the glass-air interface (note that a certain connector angle gives twice the angle in the reflected light). For standard telecommunications fibres, the MFD is typically 10 μm and the NA thus 0.12. The calculated RL is shown as full line in FIG. 8. Also in the same figure, two fibres with high NA (dashed) and low NA (dotted) are shown.
To illustrate the minimum requirements for the connector angle, the needed connector angle vs. NA can be calculated. If we fix the allowed RL, then the minimum connector angle in degrees is given as:
g . (RL-14) . NA
V 20 log 20
In FIG. 9, this curve is given for an allowed RL of -50 dB.
While the invention has been particularly shown and described with reference to particular embodiments, it will be understood by those skilled in the art that various changes in form and details may be made therein without departing from the spirit and scope of the invention, and it is intended that such changes come within the scope of the invention.

Claims

1. An article comprising a micro-structured, hollow-core optical fibre for propagating a light beam comprising light of a wavelength λ in a longitudinal direction of the optical fibre and an optical window made of an optical material of refractive index now, the optical fibre having an even end face forming an angle θ with a plane perpendicular to a longitudinal direction of the optical fibre, the optical window being of length low in said longitudinal direction and having a first face parallel to and contacting said end face of said optical fibre, wherein said angle θ is different from 0°.
2. An article according to claim 1 wherein, said refractive index now, and said angle θ are adapted to prevent a majority of the reflected light from being coupled back into said hollow core of the optical fibre.
3. An article according to claim 1 or 2 wherein, said angle θ is adapted to the numerical aperture of said optical fibre and/or to the mode field diameter of said light beam of said optical fibre.
4. An article according to any one of claims 1-3 wherein, said refractive index now, said angle θ and said length low are adapted to control the spatial displacement ddisp of said light beam in said optical window from a centre line of said hollow core.
5. An article according to any one of claims 1-4 wherein, said angle θ is larger than 1°, such as larger than 2°, such as larger than 5°.
6. An article according to any one of claims 1-5 wherein said optical window comprises a Bragg grating.
7. An article according to any one of claims 1-6 wherein said first and/or said second faces of said optical window comprise an antireflective coating or a high-reflection coating.
8. An article according to any one of claims 1-7 further comprising an optically reflective element.
9. An article according to any one of claims 1-8 wherein said optical window is made of silica.
10. An article according to any one of claims 1-9 wherein said micro- structured, hollow-core optical fibre is a silica based optical fibre.
11. An article according to any one of claims 1-10 wherein said optical window is constituted by a length of a non-micro- structured optical fibre.
12. An article according to any one of claims 1-11 wherein said optical window comprises a second face substantially parallel to said first face.
13. An article according to any one of claims 1-12 wherein said micro-structured, hollow-core optical fibre and said optical window are spliced together.
14. An article according to any one of claims 1-13 further comprising an optical connector.
15. A fibre laser or amplifier comprising an article according to any one of claims 1-14, wherein said micro-structured, hollow-core fibre comprises an optically active material such as a rare-earth ion.
16. A fibre laser or amplifier according to claim 15 wherein said hollow-core of the optical fibre comprises an optically active material in fluid form, such as a gas.
17. A fibre laser or amplifier according to claim 15 or 16 wherein said angle θ is substantially equal to Brewster's angle.
18. A fibre laser or amplifier according to claim 15 or 16 wherein said angle θ is within 10° of Brewster's angle, such as within 5°, such as within 1°.
19. An optical fibre assembly comprising a first article according to claim 12 and a second article according to claim 12 optically coupled to each other via said second faces of said optical windows wherein said angle θ is substantially identical for both said first and second articles.
20. An optical fibre assembly according to claim 19 wherein said centre lines of said hollow cores of said micro-structured fibres are displaced in opposite radial directions from a centre line of the joined optical fibre assembly.
21. An optical fibre assembly comprising a first article according to claim 12 and a second article according to claim 12 wherein - in said second article - said micro-structured, hollow-core optical fibre is substituted by a non-micro-structured optical fibre, and said first and second articles are optically coupled to each other via said second faces of said optical windows wherein said angles θ of said end faces are substantially identical.
22. A method of manufacturing an article comprising a micro- structured, hollow-core optical fibre, the method comprising the steps of a) providing said optical fibre with an even end face forming an angle θ with a plane perpendicular to a longitudinal direction of the optical fibre wherein said angle θ is different from 0°; b) providing an optical window made of an optical material of refractive index now and having a length low in said longitudinal direction; c) providing said optical window with a first face parallel to said end face of said optical fibre; d) providing that said end face of said fibre and said first face of said optical window are joined.
23. A method according to claim 22 wherein said refractive index now, and said angle θ are adapted to prevent a majority of the reflected light from being coupled back into said hollow core of the optical fibre.
24. A method according to claim 22 or 23 wherein in step a) said end face of said optical fibre is formed by cleaving and/or polishing or laser cutting.
25. A method according to any one of claims 22-24 wherein in step d) said faces are joined by splicing or by means of an adhesive material or an index matching material.
26. A method according to any one of claims 22-25 wherein in step a) said optical window is provided with a second face substantially parallel to said first face.
27. A method of splicing a micro-structured, hollow-core optical fibre to a second optical fibre, the method comprising the steps of a) providing a fist article comprising a micro-structured, hollow-core optical fibre by a method according to claim any one of claims 22-26; b) providing a second article comprising a second optical fibre comprising the sub-steps of; b1) providing said second optical fibre with an even end face forming an angle θ2 with a plane perpendicular to a longitudinal direction of said second optical fibre wherein said angle Q2 is different from 0°; b2) providing an optical window made of an optical material of refractive index now2 and having a length low2 in said longitudinal direction; b3) providing said optical window with first and second faces substantially parallel to said end face of said second optical fibre; b4) providing that said end face of said second optical fibre and said first face of said optical window are joined. c) providing that said angles θ and Q2 are substantially equal; d) axially aligning said first and second articles to allow optical coupling of light between said articles via said second faces of sad optical windows ensuring that the angled surfaces are parallel; and e) splicing said first and second articles together.
28. A method according to claim 27 wherein said second optical fibre is a micro-structured fibre.
29. A method according to claim 27 wherein said second optical fibre is a micro-structured fibre, hollow-core fibre.
30. A method according to claim 27 wherein said second optical fibre is a non-micro-structured fibre.
31. A method of splicing a micro-structured, hollow-core optical fibre to a non-micro-structured optical fibre, the method comprising the steps of a) providing a first micro-structured, hollow-core optical fibre; b) providing a second non-micro-structured optical fibre; c) providing each of said first and second optical fibres with an even end face forming an angle θ with a plane perpendicular to a longitudinal direction of said optical fibres wherein said angle θ is different from 0°; d) axially aligning said first and second optical fibres to allow optical coupling of light between said optical fibres ensuring that the angled end faces are parallel; and e) splicing said optical fibres together.
32. A method according to claim 31 , wherein said angle θ is in the range from 1° to 25°, such as in the range 5° to 15°, such as in the range 8° to 12°.
33. An optical fibre assembly comprising a) a first micro-structured, hollow-core optical fibre; b) a second non-micro-structured optical fibre; c) said first and second optical fibres each having an even end face forming an angle θ with a plane perpendicular to a longitudinal direction of said respective optical fibre wherein said angle θ is different from 0°; d) said first and second optical fibres being axially aligned to allow optical coupling of light between said optical fibres ensuring that the angled end faces are parallel;
34. Use of an article according to any one of claims 1-14, or of a fibre laser or amplifier according to any one of claims 15-17, or of an optical fibre assembly according to 18-19, or of an optical fibre assembly according to claim 20, or of an optical fibre assembly according to claim 33.
35. Use according to claim 34 in an optical reflectometry system, in an optical communications system, in a laser system or in a fibre amplifier system.
PCT/DK2004/0004392003-06-192004-06-21Articles comprising micro-structured, hollow-core fibres, and methods of their splicing, connectorization and useWO2004111695A1 (en)

Applications Claiming Priority (2)

Application NumberPriority DateFiling DateTitle
US47949303P2003-06-192003-06-19
US60/479,4932003-06-19

Publications (1)

Publication NumberPublication Date
WO2004111695A1true WO2004111695A1 (en)2004-12-23

Family

ID=33551890

Family Applications (1)

Application NumberTitlePriority DateFiling Date
PCT/DK2004/000439WO2004111695A1 (en)2003-06-192004-06-21Articles comprising micro-structured, hollow-core fibres, and methods of their splicing, connectorization and use

Country Status (1)

CountryLink
WO (1)WO2004111695A1 (en)

Cited By (14)

* Cited by examiner, † Cited by third party
Publication numberPriority datePublication dateAssigneeTitle
WO2007140960A1 (en)*2006-06-052007-12-13Trumpf, Inc.Hollow core fiber laser
US7787729B2 (en)2005-05-202010-08-31Imra America, Inc.Single mode propagation in fibers and rods with large leakage channels
EP2309609A3 (en)*2005-01-242011-07-27The University of BathAn optical fibre Raman cell and corresponding method of manufacturing
US8422024B2 (en)2011-06-012013-04-16Honeywell International Inc.High performance hollow-core optical-fiber filter for optical rotation sensing
US8995051B2 (en)2007-09-262015-03-31Imra America, Inc.Glass large-core optical fibers
US9252559B2 (en)2012-07-102016-02-02Honeywell International Inc.Narrow bandwidth reflectors for reducing stimulated Brillouin scattering in optical cavities
US10197727B2 (en)2004-01-162019-02-05Imra America, Inc.Large core holey fibers
US10260881B2 (en)2017-05-302019-04-16Northrop Grumman Systems CorporationHollow core fiber pigtail system and method
WO2020070487A1 (en)*2018-10-032020-04-09Lumenisity LimitedOptical waveguide adapter assembly
JP2023507373A (en)*2019-12-162023-02-22オーエフエス ファイテル,エルエルシー Optical connector assembly for low latency patch cords
CN115943333A (en)*2020-08-252023-04-07株式会社友华Optical fiber termination structure, optical connection component and hollow optical fiber
EP4018234A4 (en)*2019-08-212023-08-30Ofs Fitel LlcCoupling loss reduction between optical fibers
WO2024102291A1 (en)*2022-11-072024-05-16Panduit Corp.Hollow core fiber air-gap connector
US20240230998A9 (en)*2021-02-172024-07-11Lumenisity LimitedMethod for Dividing Optical Fibre

Citations (4)

* Cited by examiner, † Cited by third party
Publication numberPriority datePublication dateAssigneeTitle
DE19925686A1 (en)*1999-06-042000-12-14Zeiss Carl Jena GmbhFibre laser for video projector etc, has polarizing fibre e.g. spliced onto end of lasing optical fibre
EP1219990A1 (en)*2000-12-262002-07-03Nippon Sheet Glass Co., Ltd.Optical fiber collimator
WO2003032039A1 (en)*2001-10-092003-04-17Crystal Fibre A/SHermetically sealed optical fibre with voids or holes, method of its production, and its use
US20030103724A1 (en)*2001-12-052003-06-05Duck Gary S.High power optical fiber coupling

Patent Citations (4)

* Cited by examiner, † Cited by third party
Publication numberPriority datePublication dateAssigneeTitle
DE19925686A1 (en)*1999-06-042000-12-14Zeiss Carl Jena GmbhFibre laser for video projector etc, has polarizing fibre e.g. spliced onto end of lasing optical fibre
EP1219990A1 (en)*2000-12-262002-07-03Nippon Sheet Glass Co., Ltd.Optical fiber collimator
WO2003032039A1 (en)*2001-10-092003-04-17Crystal Fibre A/SHermetically sealed optical fibre with voids or holes, method of its production, and its use
US20030103724A1 (en)*2001-12-052003-06-05Duck Gary S.High power optical fiber coupling

Non-Patent Citations (1)

* Cited by examiner, † Cited by third party
Title
BENABID F ET AL: "Stimulated Raman scattering in hydrogen-filled hollow-core photonic crystal fiber", SCIENCE AMERICAN ASSOC. ADV. SCI USA, vol. 298, no. 5592, 11 October 2002 (2002-10-11), pages 399 - 402, XP002295064, ISSN: 0036-8075*

Cited By (22)

* Cited by examiner, † Cited by third party
Publication numberPriority datePublication dateAssigneeTitle
US10197727B2 (en)2004-01-162019-02-05Imra America, Inc.Large core holey fibers
EP2309609A3 (en)*2005-01-242011-07-27The University of BathAn optical fibre Raman cell and corresponding method of manufacturing
US7787729B2 (en)2005-05-202010-08-31Imra America, Inc.Single mode propagation in fibers and rods with large leakage channels
US10067289B2 (en)2005-05-202018-09-04Imra America, Inc.Single mode propagation in fibers and rods with large leakage channels
WO2007140960A1 (en)*2006-06-052007-12-13Trumpf, Inc.Hollow core fiber laser
US10353144B2 (en)2007-09-262019-07-16Imra America, Inc.Glass large-core optical fibers
US8995051B2 (en)2007-09-262015-03-31Imra America, Inc.Glass large-core optical fibers
US9632243B2 (en)2007-09-262017-04-25Imra America, Inc.Glass large-core optical fibers
US8422024B2 (en)2011-06-012013-04-16Honeywell International Inc.High performance hollow-core optical-fiber filter for optical rotation sensing
US9252559B2 (en)2012-07-102016-02-02Honeywell International Inc.Narrow bandwidth reflectors for reducing stimulated Brillouin scattering in optical cavities
US10260881B2 (en)2017-05-302019-04-16Northrop Grumman Systems CorporationHollow core fiber pigtail system and method
WO2020070487A1 (en)*2018-10-032020-04-09Lumenisity LimitedOptical waveguide adapter assembly
JP2022502716A (en)*2018-10-032022-01-11ルメニシティ・リミテッド Optical Waveguide Adapter Assembly
JP7371828B2 (en)2018-10-032023-10-31マイクロソフト テクノロジー ライセンシング,エルエルシー Optical waveguide adapter assembly
US11960119B2 (en)2018-10-032024-04-16Microsoft Technology Licensing, LlcOptical waveguide adapter assembly
EP4018234A4 (en)*2019-08-212023-08-30Ofs Fitel LlcCoupling loss reduction between optical fibers
JP2023507373A (en)*2019-12-162023-02-22オーエフエス ファイテル,エルエルシー Optical connector assembly for low latency patch cords
CN115943333A (en)*2020-08-252023-04-07株式会社友华Optical fiber termination structure, optical connection component and hollow optical fiber
EP4206762A4 (en)*2020-08-252024-01-24Yokowo Co., Ltd.Optical fiber termination structure, optical connection component and hollow-core optical fiber
US20240230998A9 (en)*2021-02-172024-07-11Lumenisity LimitedMethod for Dividing Optical Fibre
WO2024102291A1 (en)*2022-11-072024-05-16Panduit Corp.Hollow core fiber air-gap connector
US12276840B2 (en)2022-11-072025-04-15Panduit Corp.Hollow core fiber air-gap connector

Similar Documents

PublicationPublication DateTitle
EP0770890B1 (en)Optical fiber filter
Komanec et al.Low-loss and low-back-reflection hollow-core to standard fiber interconnection
EP0736190B1 (en)An optical device and method of making the same
EP3479443B1 (en)Optical resonator, method of manufacturing the optical resonator and applications thereof
US20020168139A1 (en)Optical fiber terminations, optical couplers and optical coupling methods
US9014522B2 (en)Optical couplers and methods for making same
WO2004111695A1 (en)Articles comprising micro-structured, hollow-core fibres, and methods of their splicing, connectorization and use
EP2183625B1 (en)Improvements relating to photonic crystal waveguides
US8620121B2 (en)Tapered fiber retroreflector
US7801186B2 (en)Light source
Ohtera et al.Numerical analysis of eigenmodes and splice losses of thermally diffused expanded core fibers
US9229170B1 (en)Two-port optical devices using mini-collimators
US7027692B2 (en)Optical fiber coupling structure and method for coupling optical fibers
Hosen et al.Single polarization low loss highly birefringent hollow-core antiresonant fiber
UrquhartFibre laser resonators
JP2008020766A (en) Optical waveguide, optical waveguide module, and optical waveguide manufacturing method
US11029467B2 (en)Fiber coupler
US20060188204A1 (en)Method and apparatus for reducing feedback within an optical waveguide
Ratuszek et al.Characteristics of thermally diffused transit areas of single-mode telecommunication fibers
KR100398047B1 (en)Cavity resonator for optical fiber lasers
KiharaOptical performance analysis of single-mode fiber connections
US20240353621A1 (en)Low loss and high return loss coupling between solid-core fiber and hollow-core fiber
JP2808858B2 (en) Non-reflective treatment method of optical fiber end and optical fiber non-reflective end
URQUHART16 Fibre Laser Resonators
JPH02129611A (en)Structure for connection part of optical fiber

Legal Events

DateCodeTitleDescription
AKDesignated states

Kind code of ref document:A1

Designated state(s):AE AG AL AM AT AU AZ BA BB BG BR BW BY BZ CA CH CN CO CR CU CZ DE DK DM DZ EC EE EG ES FI GB GD GE GH GM HR HU ID IL IN IS JP KE KG KP KR KZ LC LK LR LS LT LU LV MA MD MG MK MN MW MX MZ NA NI NO NZ OM PG PH PL PT RO RU SC SD SE SG SK SL SY TJ TM TN TR TT TZ UA UG US UZ VC VN YU ZA ZM ZW

ALDesignated countries for regional patents

Kind code of ref document:A1

Designated state(s):BW GH GM KE LS MW MZ NA SD SL SZ TZ UG ZM ZW AM AZ BY KG KZ MD RU TJ TM AT BE BG CH CY CZ DE DK EE ES FI FR GB GR HU IE IT LU MC NL PL PT RO SE SI SK TR BF BJ CF CG CI CM GA GN GQ GW ML MR NE SN TD TG

121Ep: the epo has been informed by wipo that ep was designated in this application
122Ep: pct application non-entry in european phase

[8]ページ先頭

©2009-2025 Movatter.jp