Movatterモバイル変換


[0]ホーム

URL:


WO2003043575A2 - Process for the synthesis of (r)-1-(3,5-bis(trifluoromethyl)-phenyl)ethan-1-ol and esters thereof by dynamic kinetic resolution - Google Patents

Process for the synthesis of (r)-1-(3,5-bis(trifluoromethyl)-phenyl)ethan-1-ol and esters thereof by dynamic kinetic resolution
Download PDF

Info

Publication number
WO2003043575A2
WO2003043575A2PCT/US2002/036969US0236969WWO03043575A2WO 2003043575 A2WO2003043575 A2WO 2003043575A2US 0236969 WUS0236969 WUS 0236969WWO 03043575 A2WO03043575 A2WO 03043575A2
Authority
WO
WIPO (PCT)
Prior art keywords
alkyl
formula
compound
aryl
bis
Prior art date
Application number
PCT/US2002/036969
Other languages
French (fr)
Other versions
WO2003043575A3 (en
Inventor
Quirinus Bernardus Broxterman
Gerardus Karel Maria Verzijl
Original Assignee
Merck & Co., Inc.
Priority date (The priority date is an assumption and is not a legal conclusion. Google has not performed a legal analysis and makes no representation as to the accuracy of the date listed.)
Filing date
Publication date
Application filed by Merck & Co., Inc.filedCriticalMerck & Co., Inc.
Priority to EP02791261ApriorityCriticalpatent/EP1448788A4/en
Priority to AU2002365968Aprioritypatent/AU2002365968A1/en
Publication of WO2003043575A2publicationCriticalpatent/WO2003043575A2/en
Publication of WO2003043575A3publicationCriticalpatent/WO2003043575A3/en

Links

Classifications

Definitions

Landscapes

Abstract

The present invention is concerned with novel processes for the preparation of (R)-1-(3,5-bis(trifluoromethyl)phenyl)ethan-1-ol and esters thereof via dynamic kinetic resolution. These compounds are useful as intermediates in the synthesis of compounds which possess pharmacological activity.

Description

TΓΓLE OF THE INVENTION
PROCESS FOR THE SYNTHESIS OF (R)-L-(3,5-BIS(TRIFLUOROMETHYL)-
PHENYL)ETHAN-L-OL AND ESTERS THEREOF BY DYNAMIC KINETIC
RESOLUTION
BACKGROUND OF THE INVENTION
The present invention relates to processes for the preparation of (R)-l- , (3,5-bis(trifluoromethyl)phenyl)ethan-l-ol and esters thereof which are useful as intermediates in the preparation of certain therapeutic agents. In particular, the present invention provides a process for the preparation of (R)-l-(3,5-bis(trifluoro- methyl)phenyl)ethan-l-ol which is an intermediate in the synthesis of pharmaceutical compounds which are substance P (neurokinin-1) receptor antagonists.
The (R)-l-(3,5-bis(trifluoromethyl)phenyl)ethan-l-ol prepared by the present invention may be utilized in the synthesis of (2R, 2-alpha-R, 3a)-2-[l-[3,5- bis(trifluoromethyl)phenyl]ethoxy-3-(4-fluorophenyl)-l,4-oxazine of the formula:
Figure imgf000002_0001
which is a known intermediate in the synthesis of pharmaceutical compounds which are substance P (neurokinin-1) receptor antagonists.
The general processes disclosed in the art for the preparation of (R)-l- (3,5-bis(trifluoromethyl)phenyl)ethan-l-ol result in relatively low and inconsistent yields of the desired product. In contrast to the previously known processes, the present invention provides effective methodology for the preparation of (R)-l-(3,5- bis(trifluoromethyl)phenyl)ethan-l-ol in relatively high yield and enantiomeric purity. The present invention employs processes for the preparation of an enantiomerically enriched ester in which a mixture of the enantiomers of l-(3,5- bis(trifluoromethyl)phenyl)ethan-l-ol is subjected to an enantioselective conversion in the presence of a racemization catalyst and an acyl donor upon which the ester is formed and an acyl donor residue is obtained. General processes for the preparation of esters are disclosed by Backvall, et al., J. Am. Chem. Soc, 121, 1645-1650 (1999). General processes for the preparation of (R)-l-(3,5-bis(trifluoromethyl)phenyl)ethan- l-ol by transfer hydrogenation are disclosed in PCT Patent Publication No. WO 01/02326 and UK Patent Publication No. 2351735. Relative to such processes, the present invention provides (R)-l-(3,5-bis(trifluoro-methyl)phenyl)ethan-l-ol in relatively high yield and enantiomeric purity. It will be appreciated that (R)~l-(3,5- bis(tmfluoromethyl)phenyl)ethan-l-ol is an important intermediate for a particularly useful class of therapeutic agents. As such, there is a need for the development of a process for the preparation of (R)-l-(3,5-bis(trifluoro-methyl)phenyl)ethan-l-ol which is readily amenable to scale-up, uses cost-effective and readily available reagents and which is therefore capable of practical application to large scale manufacture. Accordingly, the subject invention provides a process for the preparation of (R)-l-(3,5-bis(trifluoromethyl)phenyl)ethan-l-ol and esters thereof via a very simple, short and highly efficient synthesis.
SUMMARY OF THE INVENTION
The novel process of this invention involves the synthesis of (R)-l- (3,5-bis(trifluoromethyl)phenyl)ethan-l-ol and esters thereof. In particular, the present invention is concerned with novel processes for the preparation of a compound of the formula:
Figure imgf000003_0001
and esters thereof. These compounds are intermediates in the synthesis of compounds which possess pharmacological activity. In particular, such compounds are substance P (neurokinin-1) receptor antagonists which are useful e.g., in the treatment of inflammatory diseases, psychiatric disorders, and emesis. DETAILED DESCRIPTION OF THE INVENTION
The present invention is directed to processes for the preparation of (R)-l-(3,5-bis(trifluoromethyl)phenyl)ethan-l-ol of the formula:
Figure imgf000004_0001
and esters thereof.
An embodiment of the present invention is directed to processes for the preparation of an ester compound of the formula:
Figure imgf000004_0002
wherein R is hydrogen, Cι_20 alkyl, C2-20 alkenyl, Ci_20 alkoxy, aryl, or Ci-20 alkyl-aryl; which comprise subjecting a compound of the formula:
Figure imgf000004_0003
in the presence of an acyl donor, to an enantioselective conversion in the presence of a racemization catalyst upon which the ester is formed and an acyl donor residue is obtained.
In this embodiment the ester may be subsequently converted into the corresponding alcohol of the formula:
Figure imgf000005_0001
An embodiment of the invention is directed to a process for the preparation of a compound of the formula:
Figure imgf000005_0002
wherein R is hydrogen, Ci_20 alkyl, C2-20 alkenyl, Cι_20 alkoxy, aryl, or Cl-20 alkyl-aryl; which comprises reduction of a ketone of the formula:
Figure imgf000005_0003
to give an alcohol of the formula:
Figure imgf000005_0004
followed by enantioselective conversion of the alcohol with an acyl donor that is an ester of a CQ-20 alkyl, C2-20 alkenyl, Cl-20 alkoxy, aryl, or Cι_20 alkyl-aryl carboxylic acid and a Ci-7 alkyl alcohol, in the presence of a racemization catalyst, to give the compound of the formula:
Figure imgf000006_0001
Another embodiment of the invention is directed to a process for the preparation of (R)-l-(3,5-bis(trifluoromethyl)phenyl)ethan-l-ol of the formula:
Figure imgf000006_0002
which comprises reduction of a ketone of the formula:
Figure imgf000006_0003
to give an alcohol of the formula:
Figure imgf000006_0004
followed by enantioselective conversion of the alcohol with an acyl donor that is an ester of a Cθ-20 alkyl, C2-20 alkenyl, Ci_20 alkoxy, aryl, or Cχ_20 alkyl-aryl carboxylic acid and a Ci-7 alkyl alcohol, in the presence of a racemization catalyst, to give an ester of the formula:
Figure imgf000007_0001
wherein R is hydrogen, Ci_20 alkyl, C2-20 alkenyl, Ci-20 alkoxy, aryl, or Cι_20 alkyl-aryl; followed by cleavage of the ester to give the compound of the formula:
Figure imgf000007_0002
Another embodiment of the invention is directed to processes for the preparation of (R)-l-(3,5-bis(trifluoromethyl)phenyl)ethan-l-ol of the formula:
Figure imgf000007_0003
which comprises enantioselective conversion of a compound of the formula:
Figure imgf000007_0004
with a compound of the formula:
Figure imgf000008_0001
wherein R is hydrogen, Cι_20 alkyl, C2-20 alkenyl, Ci_20 alkoxy, aryl, or
Cl-20 alkyl-aryl, and R'is Ci-6 alkyl; in the presence of a racemization catalyst, to give an ester of the formula:
Figure imgf000008_0002
followed by cleavage of the ester to give the compound of the formula:
Figure imgf000008_0003
Another embodiment of the invention is directed to processes for the preparation of (R)-l-(3,5-bis(trifluoromethyl)phenyl)ethan-l-ol of the formula:
Figure imgf000008_0004
which comprises enantioselective conversion of a compound of the formula:
Figure imgf000009_0001
with a compound of the formula:
Figure imgf000009_0002
wherein R is hydrogen, Cl-20 alkyl, C2-20 alkenyl, Cι_20 alkoxy, aryl, or
Cl-20 alkyl-aryl, and R" and R'" are independently selected from hydrogen and Cι_3 alkyl, in the presence of a racemization catalyst, to give an ester of the formula:
Figure imgf000009_0003
followed by cleavage of the ester to give the compound of the formula:
Figure imgf000009_0004
Another embodiment of the invention is directed to processes for the preparation of (R)-l-(3,5-bis(trifluoromethyl)phenyl)ethan-l-ol of the formula:
Figure imgf000010_0001
which comprises enantioselective conversion of a compound of the formula:
Figure imgf000010_0002
with a compound of the formula:
Figure imgf000010_0003
in the presence of a racemization catalyst to give an ester of the formula:
Figure imgf000010_0004
followed by cleavage of the ester to give the compound of the formula:
Figure imgf000010_0005
The enantioselective conversion of the mixture of enantiomers of l-(3,5-bis(trifluoromethyl)-phenyl)ethan-l-ol may be carried out with the known asymmetrical acylation catalysts, for example as described by Garrett et al., J. Am.Chem. Soc, 120, 7479-7483 (1998) and references cited therein, and by Gregory C. Fu, Chemical Innovation, 3-5 ( anuary 2000).
An aspect of this invention is that wherein the enantioselective conversion is an enzymatic conversion, such as enantioselective conversion carried out in the presence of an enantioselective enzyme.
Suitable enzymes that may be used in the processes of the present invention are for example the known enzymes with hydrolytic activity and a high enantioselectivity in such reactions that are also active in an organic environment, for example enzymes with lipase (i.e. esterase) activity or, when an amide is used as acyl donor, enzymes with amidase activity and lipase (i.e. esterase) activity, for example originating from Pseudomonas, in particular Pseudomonas fluorescens, Pseudomonas fragi; Burkholderia, for example Burkholderia cepacia; Chromobacterium, in particular Chromobacterium viscosum; Bacillus, in particular Bacillus thermocatenulatus, Bacillus licheniformis; Alcaligenes, in particular Alcaligenes faecalis; Aspergillus, in particular Aspergillus niger, Candida, in particular Candida antarctica, Candida rugosa, Candida lipolytica, Candida cylindracea; Geotrichum, in particular Geotrichum candidum; Humicola, in particular Humicola lanuginosa;
Penicillium, in particular Penicillium cyclopium, Penicillium roquefortii, Penicillium camembertii; Rhizomucor, in particular Rhizomucor javanicus, Rhizomucor miehei; Mucor, in particular Mucor javanicus; Rhizopus, in particular Rhizopus oryzae, Rhizopus arrhizus, Rhizopus delemar, Rhizopus niveus, Rhizopus japonicus, Rhizopus javanicus; Porcine pancreas lipase, Wheat germ lipase, Bovine pancreas lipase, Pig liver esterase. Preferably an enzyme originating from Pseudomonas cepacia, Pseudomonas sp., Burkholderia cepacia, Porcine pancreas, Rhizomucor miehei, Humicola lanuginosa, Candida rugosa or Candida antarctica or subtilisin is used. For the preparation of the R-ester of l-(3,5-bis(trifluoromethyl)phenyl)ethan-l-ol, an R-selective enzyme is used, for example from Candida antarctica. Such enzymes may be obtained by methods that are well known in the art. In particular, many enzymes are produced on a technical scale and are commercially available. The enzyme preparations employed in the present invention are not limited by purity constraints and can be both a crude enzyme solution or a purified enzyme, or it can also consist of (permeabilised and/or immobilised) cells that have the desired activity, or of a homogenate of cells with such an activity. The enzyme may also be used in an immobilised form or in a chemically modified form. The invention is in no way limited by the form in which the enzyme is used for the present invention. Within the framework of the invention it is of course also possible to use an enzyme originating from a genetically modified microorganism. In the present invention it is preferred that the enantioselective enzyme is Novozym435® {Candida antarticά).
Examples of suitable racemization catalysts are redox catalysts as occurring in transfer hydrogenations. The racemization catalyst and the acylation catalyst are preferably chosen so that they are mutually compatible, which means that they do not or minimally deactivate each other. One skilled in the art may readily establish the acylation/ racemization catalyst combination that is suitable for the specific system. The acylation catalyst and/or the racemization catalyst may be used in heterogenized form.
Examples of racemization catalysts to be chosen are catalysts based on a transition metal compound. Such transition metal compounds are described for example in Comprehensive Organometallic Chemistry 'The synthesis, Reactions and Structures of Organometallic Compounds'' Volumes 1 - 9, Editor: Sir Geoffrey Wilkinson, FRS, deputy editor: F. Gordon A. Stone, FRS, Executive editor Edward W. Abel, preferably volumes 4, 5, 6 and 8 and in Comprehensive Organometallic Chemistry 'A review of the literature 1982 - 1994', Editor-in-chief: Edward W. Abel, Geoffrey Wilkinson, F. Gordon A. Stone, preferably volume 4 (Scandium, Yttrium, Lanthanides and Actinides, and Titanium Group), volume 7 (Iron, Ruthenium, and Osmium), volume 8 (Cobalt, Rhodium, and Iridium), volume 9 (Nickel, Palladium, and Platinum), volume 11 (Main-group Metal Organometallics in Organic Synthesis) and volume 12 (Transition Metal Organometallics in Organic Synthesis).
Preferred transition metal compounds are of the general formula:
MnXpSqLr wherein: n is an integer selected from 1, 2, 3 and 4; p, q and r are independently an integer selected from 0, 1, 2, 3 and 4;
M is a transition metal, selected from iron, cobalt, nickel, rhenium, ruthenium, rhodium, iridium, osmium, palladium, platinum or samarium, or a mixture thereof, in particular palladium, ruthenium, iridium or rhodium, most preferably ruthenium or iridium; X is an anion selected from hydride, halogenide, carboxylate, alkoxy, hydroxy or tetrafluoroborate;
S is a spectator ligand, a neutral ligand that is difficult to exchange, such as that selected from an olefin, a diene, or an aromatic compound selected from: benzene, toluene, xylene, cumene, cymene, naphthalene, anisole, chlorobenzene, indene, cyclopentadienyl derivatives, tetraphenyl cyclopentadienone, dihydroindene, tetrahydronaphthalene, gallic acid, benzoic acid and phenylglycine, or wherein the aromatic compound is covalently bonded to the ligand;
L is a neutral ligand that is relatively easy to exchange with another ligand, such as that selected from the group consisting of nitrile or a co-ordinating solvent, in particular acetonitrile, dimethyl sulphoxide (DMSO), methanol, water, tetrahydrofuran, dimethyl formamide, pyridine and N-methylpyrrolidinone.
In the present invention the racemization catalyst may be a transfer hydrogenation catalyst, such as a racemization catalyst which comprises a transition metal chosen from the group of Ru, Rh, Ir, Co, in particular wherein the racemization catalyst comprises a transition metal which is Ru. Representative transition metal compounds include those which are selected from the group consisting of: [RuCl2(n6-benzene)]2, [RuCl2(n6-cymene)]2, [RuCl2(n6-mesitylene)]2, [RuCl2(n6- hexamethylbenzene)]2, [RuCl2(n6- 1 ,2,3 ,4-tetramethylbenzene)]2, [RuCl2(n6- 1,3,5- triethylbenzene)]2, [RuCl2(n6-l,3,5-triϊspropylbenzene)]2, [RuCl2(n6- tetramethylthiophene)]2, [RuCl2(n6-methoxybenzene)]2, [RuBr2(n6-benzene)] , [Rul2(n6-benzene)]2, trans-RuCl2(DMSO)4, RuCl2(PPh3)3, Ru3(CO)12, Ru(CO)3(n4- Ph4C4CO), [Ru2(CO)4(μ-H)(C4Ph4COHOCC4Ph4)]) [Ir(COD)2Cl], [Ir(CO)2Cl]n, (where n = 1, 2, 3, 4 or 5), [IrCl(CO)3]n, [Ir(Acac)(COD)], [Ir(NBD)Cl2]2, [Ir(COD)(C6H6)]+BF4\ (CF3C(O)CHCOCF3)"[Ir(COE)2]+, [Ir(CH3CN)4]+BF4-,
[IrCl2Cp*]2, [IrCl2Cp]2, [Rh(C60Cl]2 (where C60 = hexa-l,5-di-ene), [RhCl2Cp*]2, [RhCl2Cp]2, [Rh(COD)Cl]2, and CoCl2.
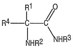
If necessary the transition metal compound may be converted to a transition metal complex by for example exchanging the neutral ligand with another ligand, or complexing the transition metal compound with a ligand. The catalyst on the basis of the transition metal compound and the ligand can be added in the form of separate components of which one is the transition metal compound and the other is the ligand, or as a complex that contains the transition metal compound and the ligand. Suitable racemization catalysts are obtained for example by complexing the transition metal compound with for example a primary or secondary amine, alcohol, diol, amino alcohol, diamine, mono-acylated diamine, mono-acylated amino alcohol, monodiamine, monoamino alcohol, amino acid, amino acid amide, amino-thioether, phosphine, bisphosphine, aminophosphine, preferably an aminoalcohol, monoacylated diamine, monotosylated diamine, amino acid, amino acid amide, amino thioether or an aminophosphine. Examples of ligands are described in EPO Patent Publication EP 0916637, in Tetrahedron: Asymmetry 10 (1999) 2045-2061, and in Molecules (2000), 5, 4-18. Complexing does not necessarily take place with the optically active ligand, but optionally with the racemate corresponding to the optically active ligands. The ligands are preferably used in quantities that vary between 0.5 and 8 equivalents relative to the metal, in particular between 1 and 3 equivalents. In the case of a bidentate ligand use is preferably made of 0.3-8, in particular 0.5-3 equivalents. An example of preferred ligands for inclusion in the racemization catalyst is the class of amino acid amides such as compounds of the formula:
Figure imgf000014_0001
wherein:
R1 and R each independently represent hydrogen, Cι_9 alkyl, aryl or Ci-9 alkyl-aryl, which is unsubstituted or substituted with Cι_9 alkyl, hydroxy, Cι_9 alkoxy or Cι_6 alkyl-sulfonyl;
R and R each independently represent hydrogen, Ci_9 alkyl, aryl or Ci-9 alkyl-aryl, which is unsubstituted or substituted with Ci_9 alkyl, hydroxy, Cι_9 alkoxy or Cι_6 alkyl-sulfonyl, or R1 and R2 form a ring together with the N and C atom to which they are attached.
A preferred ligand is (R,S)- -methyl phenylglycinamide. Generally, activation of catalysts, for example catalysts obtained by complexing of the transition metal compound and the ligand, can be effected by treating the transition metal compound or the complex of the transition metal compound and the ligand in a separate step with a base, for example KOH, KOtBu, or NaOH, and subsequently isolating it by separating the base, or by activating the transition metal compound or the complex of the transition metal compound and the ligand in situ, when the acylation/racemization takes place, with a mild base, for example a heterogeneous base, in particular KHCO3 or K2CO3, or a homogeneous base, in particular an organic amine, for example triethylamine. It is also possible to activate the transition metal compound with the aid of a reducing agent, for example H2, formic acid and salts thereof, Zn and NaBHj. The quantities of racemization catalyst and acylation catalyst to be used are not particularly critical and are for example less than 5, preferably less than 1 mole , calculated relative to the substrate. The optimum quantities of both catalysts are linked to each other; the quantity of acylation catalyst is preferably adapted so that the overall reaction continues to proceed efficiently, that is to say, that the racemization reaction does not proceed much slower than the acylation reaction and thus the e.e. of the remaining substrate does not become too high. The optimum ratio between racemization catalyst and acylation catalyst for a given reaction/catalyst system may readily be established by one skilled in the art.
The acyl donor may be an activated form of a carboxylic acid, for example esters or amides or anhydrides.
In the present invention it is preferred that the acyl donor residue is removed from the reaction mixture. In the present invention it is preferred that the acyl donor residue is removed via distillation under reduced pressure.
Preferably the acyl donor is chosen such that the acyl donor itself is (relatively) not volatile under the reaction conditions while its acyl donor residue is volatile, and oxidation of the substrate is prevented as much as possible under the reaction conditions. Examples of such acyl donors are carboxylic acid esters of an alcohol with l-4C-atoms and a carboxylic acid with 4-20C-atoms, for instance isopropyl butyric acid ester. Examples of suitable acyl donors include esters of Cθ-20 alkyl carboxylic acids, preferably isopropyl acetate, isopropenyl acetate, isobutyl acetate, vinyl acetate, ethyl acetate, isopropyl laureate, isopropenyl laureate or other readily available esters of Cθ-20 alkyl carboxylic acids and Cι_7 alkyl alcohols.
Preferred acyl donors include isopropyl acetate, isopropenyl acetate, isobutyl acetate, vinyl acetate, ethyl acetate, isopropyl laureate and isopropenyl laureate.
In the present invention it is more preferred that the acyl donor is isopropenyl acetate.
The acyl donor residue is preferably removed from the reaction mixture on a continuous basis, for example by preferentially transferring the acyl donor residue to another phase relative to the acyl donor and the other reaction components. This can be achieved by physical and by chemical methods, or by a combination thereof. Examples of physical methods by which the acyl donor residue can irreversibly be removed from the phase in which the enzymatic reaction occurs, are selective crystallisation, extraction, complexing to form an insoluble complex, absorption or adsorption; or by such a choice of the acyl donor that the acyl donor residue is sufficiently volatile relative to the reaction mixture, or is converted in situ into another compound that is sufficiently volatile relative to the reaction mixture to remove the acyl donor residue irreversibly from the reaction mixture; examples of the latter are the application of isopropyl acetate as acyl donor resulting in volatile isopropyl alcohol as acyl donor residue, and the application of isopropenyl acetate as acyl donor, resulting, via isopropenyl alcohol, in volatile acetone as acyl donor residue. In order to remove the acyl donor residue use can be made of a reduced pressure, depending on the boiling point of the reaction mixture. The pressure (at a given temperature) is preferably chosen in such a way that the mixture refluxes or is close to refluxing. In addition it is known to one skilled in the art that the boiling point of a mixture can be lowered by making an azeotropic composition of the mixture. Examples of chemical methods of removal are covalent bonding or chemical or enzymatic derivatization. Another aspect of this invention is that wherein the acyl donor is chosen so that the acyl donor residue is converted in situ into another compound.
The (R,S)-l-(3,5-bis(trifluoromethyl)phenyl)ethan-l-ol that is used as substrate (substrate alcohol) can be formed beforehand from the corresponding ketone l-(3,5-bis(trifluoromethyl)phenyl)ethan-l-one in a separate step (that principally does not need to be stereoselective at all) with the aid of a reducing ancillary reagent, the reduction preferably being catalysed by the racemization catalyst, and a cheap and preferably volatile alcohol being used as reducing ancillary reagent (non- stereoselective transfer hydrogenation).
The (R,S)-l-(3,5-bis(trifluoromethyl)phenyl)ethan-l-ol may optionally be formed in situ from the corresponding ketone l-(3,5-bis(trifluoromethyl)- phenyl)ethan-l-one with the aid of a reducing ancillary reagent. This provides flexibility to employ substrate ketone or substrate alcohol or mixtures of both as substrate. The choice can depend on the availability and the simplicity of the synthesis. If the alcohol is formed in situ from the ketone, a hydrogen donor is also added as ancillary reagent. As ancillary reagent preferably a secondary alcohol is added to the reaction mixture that promotes the conversion of the ketone to the substrate alcohol and is not converted by the acylation catalyst. The ancillary reagent is preferably chosen so that it is not also removed from the reaction mixture by the same irreversible removal method by which the acyl donor residue is removed, that this ancillary reagent is not acylated by the acylation catalyst, and has sufficient reduction potential, relative to the substrate ketone, for the creation of a redox equilibrium. Reducing agents other than alcohols may also be used as ancillary reagents. Compounds suitable for use as ancillary reagents may readily be determined by one skilled in the art.
The product ester of (R)-l-(3,5-bis(trifluoromethyl)phenyl)ethan-l-ol obtained may subsequently be isolated from the reaction mixture using common practice isolation techniques, depending on the nature of the ester, for instance by extraction, distillation, chromatography or crystallization. If the product is isolated by crystallization further enantiomeric enrichment may be obtained. If desired, the mother liquor (which may contain the alcohol, ester and/or ketone involved in the reaction) may be recirculated to the racemization catalyst, non stereoselective transfer hydrogenation or to the conversion of the mixture of the enantiomers of the alcohol to the enantiomerically enriched ester. Normally, before recycling, the solids will be removed from the mother liquor and, according to common practice, if necessary a purge will be built in to prevent built up of impurities. If desired, the ester in the mother liquor will first be saponified. This is especially desirable if saponification of the ester under the reaction conditions of the non-stereoselective transfer hydrogenation respectively the conversion of the mixture of the enantiomers of the alcohol to the enantiomerically enriched ester, is rather slow.
In accordance with the process of the present invention, an enantiomerically enriched ester of (R)- 1 -(3 ,5-bis(trifluoromethyl)phenyl)ethan- 1 -ol can be obtained with enantiomeric excess (e.e.) larger than 95%, preferably larger than 98%, more preferably larger than 99%, optionally after (re)crystallization. The enantiomerically enriched ester obtained can subsequently be used as such, or the enantiomerically enriched ester may be subsequently converted by a known procedure into the corresponding enantiomerically enriched alcohol (R)-l-(3,5-bis(trifluoro- methyl)phenyl)ethan-l-ol. This can for example be effected by means of catalytic conversion, for example catalysis by an acid, base or enzyme. When an enantioselective enzyme is used the enantiomeric excess of the product alcohol can be increased further by this. When the enantioselective esterification according to the invention has been carried out with the aid of an enzyme, the same enzyme can very suitably be used for the conversion of the enantiomerically enriched ester into the enantiomerically enriched alcohol. If it is desired to have the l-(3,5-bis(trifluoro- methyl)phenyl)ethan-l-ol as a solution in a solvent that is sensitive to water (for instance acetonitrile), the cleavage of the alcohol from the ester of l-(3,5- bis(trifluoromethyl)phenyl)ethan-l-ol can be achieved in the absence of water, for instance by solving the isolated ester of l-(3,5-bis(trifluoromethyl)phenyl)ethan-l-ol in for instance methanol and transesterification into the methyl ester thereby liberating the l-(3,5-bis(trifluoromethyl)phenyl)ethan-l-ol, adding the desired solvent and removing the methanol for instance by distillation. • When the ultimate goal is the preparation of the alcohol (R)-l-(3,5- bis(trifluoromethyl)-phenyl)ethan-l-ol, the acyl donor can be freely chosen in such a way that the physical or chemical properties of the acyl donor and the acyl donor residue are optimal for the irreversible removal of the acyl donor residue and the treatment of the reaction mixture. In accordance with the process of the present invention, enantiomerically enriched alcohol (R)-l-(3,5-bis(trifluoromethyl)- phenyl)ethan-l-ol with an enantiomeric excess (e.e.) larger than 95%, preferably larger than 98%, more preferably larger than 99% can be obtained, optionally after recrystallization and/or conversion with the aid of an enantioselective enzyme.
The concentration at which the reaction is carried out is not particularly critical. The reaction can be carried out without a solvent. For practical reasons, for instance when solid or highly viscous reactants or reaction products are involved , a solvent may be used. The reaction can suitably be carried out at greater concentrations, for example at a substrate concentration greater than 0.4 M, in particular greater than 0.8 M. Preferably the substrate (eventually substrate mixture) concentration is greater than 1M.
A preferred embodiment of the general process for the preparation of (R)-l-(3,5-bis(trifluoromethyl)phenyl)ethan-l-ol is as follows:
Figure imgf000019_0001
Figure imgf000019_0003
Figure imgf000019_0002
In accordance with this embodiment of the present invention, the treatment of l-(3,5-bis(trifluoromethyl)-phenyl)ethan-l-one with an achiral or chiral transfer hydrogenation catalyst followed by subjecting the alcohol in the presence of an acyl donor, to an enantioselective conversion in the presence of the transfer hydrogenation catalyst such as a racemization catalyst to form an ester, followed by cleavage (such as hydrolysis or transesterification) of the ester provides (R)-l-(3,5- bis(trifluoromethyl)phenyl)ethan-l-ol in higher yields, in greater enantiomeric purity and in a more efficient route than the processes disclosed in the art. The (R)-l-(3,5-bis(trifluoromethyl)phenyl)ethan-l-ol obtained in accordance with the present invention may be used as starting material in further reactions directly or following purification.
In an alternate embodiment, the present invention is directed to a process for purification or enhancing the enantiomeric purity of enantiomerically enriched (R)-l-(3,5-bis(trifluoromethyl)phenyl)ethan-l-ol which comprises: contacting enantiomerically enriched (R)-l-(3,5-bis(trifluoromethyl)- phenyl)ethan-l-ol with an acyl donor in the presence of an enzyme, a transfer hydrogenation catalyst and a base, to give an ester of (R)-l-(3,5-bis(trifluoromethyl)- phenyl)ethan- 1 -ol) ; followed by cleavage of the ester to give (R)-l-(3,5-bis(trifluoro- methyl)phenyl)ethan- 1 -ol .
It will be appreciated by those skilled in the art that the subject methods for enhancing the enantiomeric purity may be repeated in an itterative manner to further enhance the enantiomeric purity of (R)-l-(3,5-bis(trifluoromethyl)- phenyl)ethan-l-ol with each subsequent cycle.
Another aspect of this alternate embodiment is directed to (R)-l-(3,5- bis(trifluoromethyl)phenyl)ethan-l-ol which is present in an enantiomeric purity (enantiomeric excess) of greater than 90%, preferably greater than 95%, more preferably greater than 98%, particularly greater than 99% and especially greater than 99.5% (enantiomeric excess).
An embodiment of the present invention is directed to a compound which is:
Figure imgf000020_0001
wherein R is hydrogen, Cl-20 alkyl, C2-20 alkenyl, Cι_20 alkoxy, aryl, or Cl-20 alkyl-aryl.
Another embodiment of the present invention is directed to a compound which is:
alkyl
Figure imgf000020_0002
Another embodiment of the present invention is directed to a compound which is:
Figure imgf000021_0001
As the ester appeared to be crystalline the enantiomeric excess can be further enlarged by (re)crystallization.
The starting materials and reagents for the subject processes are either commercially available or are known in the literature or may be prepared following literature methods described for analogous compounds. For example in the preparation of starting material for the present invention, bromination of 1,3- bis(trifluoromethyl)benzene gives 3,5-bis(trifluoromethyl)bromobenzene. Treatment of 3,5-bis(trifluoromethyl)bromobenzene with magnesium, followed by reaction with acetic anhydride provides l-(3,5-bis(trifluoromethyl)phenyl)ethan-l-one. Treatment of 3,5-bis(trifluoromethyl)bromobenzene with magnesium, followed by reaction with acetaldehyde provides (R,S)-l-(3,5-bis(trifluoromethyl)phenyl)ethan-l-ol. The skills required in carrying out the reaction and purification of the resulting reaction products are known to those in the art. Purification procedures include crystallization, distillation, normal phase or reverse phase chromatography.
The following examples are provided for the purpose of further illustration only and are not intended to be limitations on the disclosed invention.
EXAMPLE 1
3.5-Bis(trifluoromethyl)bromobenzene
To glacial acetic acid (22.0 mL), cooled to 15 °C in a 1 L 3-neck round bottom flask (equipped with mechanical stirrer, thermocouple, and addition funnel), was added concentrated (96%) sulfuric acid (142 mL) in one portion. An exothermic heat of solution raised the temperature to 35 °C. After cooling to 25 °C, 1,3- bis(trifluoro-methyl)benzene (107 g, 500 mmol) was added. With the acid mixture rapidly stirring, l,3-dibromo-5,5-dimethylhydantoin (77.25 g; 270 mmol) was added over 2 min to give a multiple phase mixture (solid and two liquid). An exothermic reaction occured that raised the internal temperature to -40 °C (jacket cooling at 15 °C). After the reaction temperature began to drop (after 5 min) the reaction mixture was maintained at 45 °C for 4.5 hr.
The rate and selectivity of the bromination is highly dependent on the agitation of the two phase reaction. Slower stirring increases the amount of bis- bromination and slows the overall rate of reaction. The reaction mixture remains heterogeneous throughout the reaction and the organic phase separates when agitation is interrupted. At the end of the reaction, the phases separate slowly (bromide density = 1.699). The rate of bromination is also dependent on the ratio of acetic to sulfuric acid.
Progress of the reaction is monitored by GC analysis, as follows.
Sample: -50 μl of mixed phase, dilute with cyclohexane (1.5 mL), wash with water (1 mL), then 2N NaOH (1 mL), separate and inject.
Resteck RTX-1701 [60 meter x 0.320 mm]: 100 °C; ramp: 5 °C/min to 200 °C; 200 °C for 10 min; Flow 1.15 mL/min
Rt:l,3-bis(trifluoromethyl)benzene: 7.0 min
3,5-bis(trifluoromethyl)bromobenzene: 9.4 min
Biaryl: 19.2 min
The mixture was cooled to 2 °C and poured slowly into cold water (250 mL). The mixture was stirred vigorously for 10 min, allowed to settle, and the lower organic layer was separated and washed with 5N NaOH (75 mL) to give 145.1 g of a clear, colorless organic layer.
The assay yield of l,3-bis(trifluoromethyl)bromobenzene was 93.7% (137.3 g, 469 mmol), which contained 0.6% l,3-bis(trifluoromethyl)benzene, 1.0% l,2-dibromo-3,5-bis(trifluoromethyl)benzene, and 0.3% l,4-dibromo-3,5-bis-
(trifluoromethyl)benzene. Total isomer byproducts measured by GC were 2.0 mol %.
EXAMPLE 2
l-(3.5-Bis(trifluoromethyl)phenyl ethan-l-one
To a 500 mL 3-neck round bottom flask equipped with an addition funnel, N2 inlet, and a Teflon coated thermocouple was added magnesium granules (5.10 g, 210 mmol) and THF (200 mL). The mixture was heated to reflux. 3,5- Bis(trifluoromethyl)bromobenzene (29.3 g, 98 mmol) was dissolved in 30 mL of THF. Some bromide solution (5 mL) was added to the gently refluxing magnesium slurry over 2 minutes to initiate the Grignard reaction. Alternatively, the Grignard initiation may be conducted at 0-20 °C to minimize the loss of solvent. After Grignard initiation, the remaining bromide was added over 1 hour.
An initial induction period of 5 minutes is generally permitted. If the reaction does not initiate, another 5% charge of bromide solution is added. If the reaction still does not initiate after a bromide charge of 10%, 100 mg of iodine is added. The reaction exotherm was controlled by slowing or stopping the bromide addition if the reaction appeared too violent.
After complete bromide addition (~ 60 minutes), the dark brown solution was heated at gentle reflux for an additional 30 minutes.
The reaction was monitored by HPLC (sample preparation: 100 μL sample quenched into 3.5 mL of 1:1 THF:2N HC1, then diluted to 100 mL in 65:35 acetonitrile:pH 6 buffer). Grignard formation was considered complete when the bromide level is less that 1 mol%. After cooling to ambient temperature in a water bath, the mixture was transferred via cannula to a 1L addition funnel. THF (10 mL) was used as rinse. This solution was then added to a solution of acetic anhydride (40 mL) in THF (40 mL) maintained at -15 °C over 1 hr. The dark brown mixture was warmed to 10 °C in a water bath, and water (300 mL) was added over 3 minutes. The biphasic mixture was vigorously stirred while 50% NaOH was added dropwise over 1 hr, until a pH of 8.0 was maintained for 5 minutes. MTBE (300 mL) was added, the layers were separated and the aqueous layer was further extraced with MTBE (3 x 150 mL). The organic layers were combined and assayed (22.4 g ketone), then concentrated in vacuo at bath temperature of 32 °C (50-80 torr). The concentrate was then distilled at atmospheric pressure and 20.7 g (82% yield based on LC purity) of colorless oil was collected at 150-189 °C, with the bulk collected at 187-189 °C.
HPLC Assay: 97.7 LCAP
Method: Luna C18, Acetonitrile:0.1% aq H3PO4, 75:25 to 95:5 over 20 min; maintain 5 min.
Phenol 5.2
Ketone 6.3
Aromatic 7.3 Bromide 9.7 Dimer 13.3
GC Assay: 95.5 GCAP
Method: Resteck RTX-1701 [60 meter x 0.320 mm]
100 °C to 200 °C @ 5 °C/min; 200 °C for 10 min; Flow 35 cm sec constant flow.
Rt (min):
1 ,3-bis(trifluoromethyl)benzene 4.4
Acetic anhydride 5.6
Methyl Ketone 10.6
3,5-bis(trifluoromethyl)bromobenzene 6.2
Bis adduct 19.6
EXAMPLE 3
Synthesis of Racemic (R,S)-l-(3,5-Bis(trifluoromethyl)phenyl-ethan-l-ol from 3,5- Bis(trifluoromethyl)bromobenzene
Step 1: Preparation of Grignard Reagent:
2.17 Gram magnesium (purum for Grignards; assay: > 99.5 wt.%, 0.088 mol) and 20 ml dry THF (freshly distilled over potassium) were mixed in a 250 ml three-neck round-bottom flask connected to an intensive cooler and an addition funnel. Nitrogen was flushed via the cooler and the reaction temperature was measured with a digital thermometer (testo 925, Cl. Nr: 80750). The mixture was heated to 30°C. The magnesium was activated by 4 μL bromine (assay: > 99.5 wt.%). After decolorization of the slurry 1-2 ml of a 3,5-bis(trifluoromethyl)bromobenzene/ THF solution (25.0 gram in 55 ml THF; 0.085 mol) was added which resulted in a temperature increase from 30 to 40-50°C. The slurry became brownish. The remainder of the bromo-3,5-bis(trifluoromethyl)benzene/THF was slowly added within 1.5 hours. After the addition almost all of the magnesium had disappeared.
Step 2: Reaction of Grignard Reagent with Acetaldehyde:
3.75 gram acetaldehyde (assay: >99.5 wt.%; 0.085 mol) were dissolved in 55 ml dry THF and cooled to -15 to -25°C using an acetone/solid CO2 bath. Under nitrogen atmosphere the dark Grignard solution from Step 1 was slowly added to the acetaldehyde/ THF solution (addition time: about 75 minutes). After all of the Grignard solution was added the mixture was slowly heated to room temperature (reaction mixture). In some experiments, to this solution 20 ml water was added resulting in a slurry. The reaction mixtures were weighed and analyzed by HPLC to determine the amount of product. These results indicated that it was preferable to add the acetaldehyde solution to the Grignard solution (preferably at -15 to -25°C) to give (R,S)- 1-(3 ,5-Bis(trifluoromethyl)phenyl)ethan- 1 -ol.
EXAMPLE 4
Transferhydrogenation of l-(3,5-Bis(trifluoromethyl)phenyl)ethan-l-one in conjunction with Dynamic Kinetic Resolution of (R,S)-l-(3,5-Bis(trifluoromethyl)- phenyl)ethan-l-ol to (R)-l-(3.5-Bis(trifluoromethyl)phenyl ethyl acetate
A I L three neck round bottom flask equipped with a mechanical stirrer, nitrogen inlet and a distillation unit was charged with [RuCl2(p-cymene)]2 (0.601 g, 0.981 mmol), (R,S)- -methyl phenylglycinamide (0.324 g, 1.96 mmol), K2CO3 (1.35 g, 9.78 mmol), l-(3,5-bis(trifluoromethyl)phenyl)ethan-l-one (258.2 g, 1.009 mol) and isopropanol (170.0 ml, 2.28 mol). The resulting heterogeneous reaction mixture was degassed by five vacuum (reflux)/nitrogen purge cycles at 25°C. The temperature of the reaction mixture was increased to 84 °C, to perform the transfer hydrogenation until 95% of l-(3,5-bis(trifluoromethyl)phenyl)ethan-l-one was converted to (R,S)-l-(3,5-bis(trifluoro-methyl)phenyl)ethan-l-ol. The isopropanol and acetone were removed by distillation under reduced pressure. During the course of the distillation the temperature of the distillation mixture was decreased to 70 °C. From now, the temperature of the reaction mixture was maintained at 70°C and at this temperature the vacuum was slowly decreased to 100 mbar. Distillation was continued at approximately 100 mbar until almost all isopropanol was removed. To the reaction vessel Novozym435® (6.72 g) and isopropenyl acetate (100.9 g, 1.009 mol) were added respectively under nitrogen atmosphere. The reaction mixture was degassed by one vacuum (refluxVnitrogen purge cycle. After 2.5 hours, acetone and isopropenyl acetate were removed by distillation under reduced pressure. To remove the residual isopropenyl acetate, 40 ml toluene was added and distilled under reduced pressure (>100 mbar). To activate the racemization catalyst, K2CO3 (10.0 g, 72.5 mmol) was added to the obtained residue. The resulting heterogeneous mixture was degassed by one vacuum/nitrogen purge cycle. The reaction mixture was aged for another 4 hours, before the enzymatic acylation was continued by the addition of a second amount of isopropenyl acetate (100.9 g, 1.009 mol). The pressure was slowly reduced to approximately 200 mbar in order to distill the formed acetone and a small amount of isopropenyl acetate. At the end of the reaction (R,S)-l-(3,5- bis(trifluoro-methyl)phenyl)ethan-l-ol was almost completely converted to (R)-l- (3,5-bis-(trifluoromethyl)phenyl)ethyl acetate and a small amount of l-(3,5- bis(trifluoromethyl)phenyl)ethan-l-one. The remaining isopropenyl acetate was removed by distillation under reduced pressure (>100 mbar). The enzyme and K2CO3 were removed by filtration and the wet cake was washed with 2 portions of 50 ml of heptane. The filtrate was collected in a round bottom flask of 500 ml and the heptane solution was cooled from 35 °C to -10 °C within 5.5 hours. At 30 °C the solution was seeded by (R)-l-(3,5-bis(trifluoro-methyl)-phenyl)ethyl acetate. Finally the product was isolated by filtration and washed with 2 portions of 50 ml cold heptane. The washed cake was dried under atmospheric pressure to afford 231.4 g (R)-l-(3,5- bis(trifluoromethyl)-phenyl)ethyl acetate as white crystals, yield 76 %.
EXAMPLE 5
Deacetylation of (R)-l-(3,5-Bis(trifluoromethyl)phenyl)ethyl acetate to (R)-l-(3,5- Bis(trifluoromethyl)phenyl)ethan-l-ol A three neck round bottom flask equipped with a reflux condenser was charged with 5.00 g (16.6 mmol) (R)-l-(3,5-bis(trifluoromethyl)-phenyl)ethyl acetate and 31 ml methanol. The temperature of the resulting solution was increased to reflux. To the refluxing methanol solution 0.51 g (5.0 mmol) triethylamine was added. The progress of the transesterification of (R)-l-(3,5-bis(trifluoromethyl)phenyl)ethyl acetate to (R)-l-(3,5-bis(trifluoromethyl)-phenyl)ethan-l-ol was monitored by GC. After 5 h the transesterification was completed. Methanol, methyl acetate and triethylamine were removed by distillation. The residue was dissolved in 20 ml acetonitrile and the resulting solution of (R)-l-(3,5-bis(trifluoromethyl)phenyl)ethan- l-ol (e.e. = 99 %) was concentrated to a volume of 10 ml.
EXAMPLE 6
Transferhydrogenation of l-(3,5-Bis(trifluoromethyl)phenyl)ethan-l-one in conjunction with Dynamic Kinetic Resolution of (R,S)-l-(3,5-Bis(trifluoromethyl)- phenyl)ethan-l-ol to (R)-l-(3,5-Bis(trifluoromethyl)phenyl)ethyl acetate: Illustration of the mother liquor recycle mode
A I L three neck round bottom flask equipped with a mechanical stirrer, nitrogen inlet and a distillation unit was charged with [RuCl2(p-cymene)]2 (0.601 g, 0.981 mmol), (R,S)- -methyl phenylglycinamide (0.324 g, 1.96 mmol), K2CO3 (1.35 g, 9.78 mmol), l-(3,5-bis(trifluoromethyl)phenyl)ethan-l-one (258.2 g, 1.009 mol) and isopropanol (170.0 ml, 2.28 mol). The resulting heterogeneous reaction mixture was degassed by five vacuum (reflux)/nitrogen purge cycles at 25°C. The temperature of the reaction mixture was increased to 84 °C, to perform the transfer hydrogenation until 95% of l-(3,5-bis(trifluoromethyl)phenyl)ethan-l-one was converted to (R,S)-l-(3,5-bis(trifluoromethyl)-phenyl)ethan-l-ol. The isopropanol and acetone were removed by distillation under reduced pressure. During the course of the distillation the temperature of the reaction mixture was decreased to 70 °C. From now, the temperature of the reaction mixture was maintained at 70°C and at this temperature the vacuum was slowly decreased to 100 mbar. Distillation was continued at approximately 100 mbar until almost all isopropanol was removed. To the reaction vessel Novozym435® (6.72 g) and isopropenyl acetate (100.9 g, 1.009 mol) was added respectively under nitrogen atmosphere at 70°C. The reaction mixture was degassed by one vacuum (reflux)mitrogen purge cycle. After 2.5 hours, acetone and isopropenyl acetate were removed by distillation under reduced pressure. To remove the residual isopropenyl acetate, 40 ml toluene was added and distilled under reduced pressure (>100 mbar). To activate the racemization catalyst, K2CO3 (10.0 g, 72.5 mmol) was added to the obtained residue. The resulting heterogeneous mixture was degassed by one vacuum/nitrogen purge cycle. The reaction mixture was aged for another 4 hours, before the enzymatic acylation was continued by the addition of a second amount of isopropenyl acetate (100.9 g,
1.009 mol). The pressure was slowly reduced to approximately 200 mbar in order to distill the formed acetone and a small amount of isopropenyl acetate. At the end of the reaction (R,S)-l-(3,5-bis(trifluoromethyl)phenyl)ethan-l-ol was almost completely converted to (R)-l-(3,5-bis(trifluoromethyl)phenyl)ethyl acetate and a small amount of l-(3,5-bis(trifluoromethyl)phenyl)ethan-l-one. The remaining isopropenyl acetate was removed by distillation under reduced pressure (>100 mbar). The enzyme and K2CO3 were removed by filtration and the wet cake was washed with 2 portions of 50 ml of heptane. The filtrate was collected in a round bottom flask of 500 ml and the heptane solution was cooled from 35 °C to -10 °C within 5.5 hours. At 30 °C the solution was seeded by (R)-l-(3,5-bis(trifluoromethyl)phenyl)ethyl acetate. Finally the product was isolated by filtration and washed with 2 portions of 50 ml cold heptane. The washed cake was dried under atmospheric pressure to afford 231.4 g (R)-l-(3,5- bis(trifluoromethyl)phenyl)ethyl acetate as white crystals, yield 76 %.
The obtained mother liquor (inclusive wash solvent) from the procedure above was collected and used as follows. A three neck round bottom flask was charged with the mother liquor and the heptane was removed by distillation under reduced pressure (>100 mbar). From the residue 20 % of the total amount was drained. To the remaining 80 % of the residue, l-(3,5-bis(trifluoromethyl)phenyl)- ethan-1-one (220.0 g, 0,86 mol) was added to replenish the total amount of bis(trifluoromethyl)-phenyl derivatives to 1 mol [the bis(trifluoromethyl)phenyl derivatives are l-(3,5-bis(trifluoromethyl)phenyl)ethan-l-one, l-(3,5-bis(trifluoro- methyl)phenyl)ethan-l-ol and l-(3,5-bis(trifluoromethyl)-phenyl)ethyl acetate]. To the reaction mixture [RuCl (p-cymene)]2 (0.122 g, 0.199 mmol), (R,S)- -methyl phenyl- glycinamide (0.070 g, 0.424 mmol), K2CO3 (1.35 g, 9.78 mmol), isopropanol (170.0 ml, 2.28 mol) and methanol (60 ml) was added respectively. The resulting reaction mixture was degassed by five vacuum (reflux)/nitrogen purge cycles at 25°C.
The temperature of the reaction mixture was increased to reflux, to perform the transfer hydrogenation until 95% of l-(3,5-bis(trifluoromethyl)- phenyl)ethan-l-one was converted to (R,S)-l-(3,5-bis(trifluoromethyl)phenyl)ethan-l- ol. Methanol, isopropanol and acetone were removed by distillation under reduced pressure. During the course of the distillation the temperature of the distillation mixture was decreased to 70 °C. From now, the temperature of the reaction mixture was maintained at 70°C and at this temperature the vacuum was slowly decreased to 100 mbar. Distillation was continued at approximately 100 mbar until almost all isopropanol was removed.
To the reaction vessel Novozym435® (6.72 g) and isopropenyl acetate (100.9 g, 1.009 mol) was added respectively under nitrogen atmosphere at 70°C. The reaction mixture was degassed by one vacuum (reflux)/nitrogen purge cycle. After 2.5 hours, acetone and isopropenyl acetate were removed by distillation under reduced pressure. To remove the residual isopropenyl acetate, 40 ml toluene was added and distilled under reduced pressure (>100 mbar). To activate the racemization catalyst, K2CO3 (10.0 g, 72.5 mmol) was added to the obtained residue. The resulting heterogeneous mixture was degassed by one vacuum/nitrogen purge cycle. The reaction mixture was aged for another 4 hours, before the enzymatic acylation was continued by the addition of a second amount of isopropenyl acetate (100.9 g, 1.009 mol). The pressure was slowly reduced to approximately 200 mbar in order to distill the formed acetone together with a small amount of isopropenyl acetate. At the end of the reaction (R,S)-l-(3,5-bis(trifluoro-methyl)phenyl)ethan-l-ol was almost completely converted to (R)-l-(3,5-bis(trifluoromethyl)-phenyl)ethyl acetate and a small amount of l-(3,5-bis(trifluoro-methyl)phenyl)ethan-l-one. The remaining isopropenyl acetate was removed by distillation under reduced pressure (>100 mbar). The enzyme and K2CO3 were removed by filtration and the wet cake was washed with 2 portions of 50 ml of heptane. The filtrate was collected in a round bottom flask of 500 ml and the heptane solution was cooled from 35 °C to -10 °C within 5.5 hours. At 30 °C the solution was seeded by (R)-l-(3,5-bis(trifluoromethyl)phenyl)ethyl acetate. Finally the product was isolated by filtration and washed with 2 portions of 50 ml cold heptane. The washed cake was dried under atmospheric pressure to afford 235 g (R)-l-(3,5-bis(trifluoromethyl)-phenyl)ethyl acetate as white crystals, yield 78 %. The following examples were performed as described in the previous example using the mother liquor of the previous example. The exact amounts of 1- (3,5-bis(trifluoromethyl)phenyl)ethan-l-one used are given in following table
Aselective transfer hydrogenation in conjuction with the dynamic kinetic resolution, inclusive recycle mode. Yield is presented as the ratio of isolated ester to starting ketone.
Example 6a) 6.1 6.2 6.3 6.4
BTAb) (g) 258.0 220.0 220.0 189.0 218.4
Yield (g) 231.4 235.0 195.0 231.8 217.0
Yield (%) 77 91 76 96 85
E.e. (%) >99.5 >99.5 >99.5 >99.5 >99.5
Average yield based on BTAb): 85% a) Without recycle b) BTA = l-(3,5-bis(trifluoromethyl)phenyl)ethan-l-one
EXAMPLE 7
Transferhydrogenation of l-(3,5-Bis(trifluoromethyl)phenyl)ethan-l-one in conjunction with Dynamic Kinetic Resolution of (R,S)-l-(3,5-Bis(trifluoromethyl)- phenyl)ethan-l-ol to (R)-l-(3,5-Bis(trifluoromethyl)phenyl)ethyl acetate A three neck round bottom flask of 100 ml provided by a magnetic stir bar, equipped with nitrogen inlet and a distillation unit was charged with [RuCl2cymene]2 (18.4 mg, 0.03 mmol), (R,S)-α-methyl phenylglycinamide (9.8 mg, 0.06 mmol), l-(3,5-bis(trifluoromethyl)phenyl)ethan-l-one (15.4 g, 0.06 mol) and isopropanol (10 ml). The mixture was degassed by five vacuum/nitrogen purge cycles. To complex (R,S)- -methyl phenylglycinamide with [RuCl cymene]2 the mixture was stirred for 15 minutes at 70°C. At room temperature, K2CO3 (40 mg, 0.29 mmol) was added to the homogeneous solution and degassed by five vacuum/nitrogen purge cycles. The solution was stirred for 2 hours at 70°C. Conversion was determined by chiral GC (Chirasil DEX, 25 m x 0.25 μm, 100°C isothermal) to be > 90 %. The solvent existing of isopropanol and acetone was removed by distillation under reduced pressure. The applied vacuum during distillation was limited to 100 mbar to avoid sublimation of (R,S)-l-(3,5-bis(trifluoromethyl)-phenyl)ethan-l-ol. To the resulting residue Novozym435® (400 mg) and isopropenyl acetate (6 g, 0.06 mol) was added respectively. The kinetic resolution was continued for 2 hours. The remaining isopropenyl acetate and acetone was removed by distillation under reduced pressure. To remove the residual isopropenyl acetate, 5 ml toluene was added and distilled under reduced pressure. The applied vacuum during all distillations was limited to 100 mbar. To the residue free of isopropenyl acetate, K CO3 (0.6 g, 4.3 mmol) was added and the racemization was continued for 4 hours. During racemization the e.e. of l-(3,5-bis(trifluoromethyl)-phenyl)ethan-l-ol was decreased from 88 % to 26 %. The conversion of l-(3,5-bis(trifluoromethyl)-phenyl)ethan-l-ol to (R)-l-(3,5- bis(trifluoromethyl)-phenyl)ethyl acetate was continued by adding fresh isopropenyl acetate (6 g, 0.06 mol) followed by contineous distilling of the released acetone together with a small amount of isopropenyl acetate at approximately 200 mbar for 12 hours. Assay of the reaction by chiral GC (Chirasil DEX, 25 m x 0.25 μm, 100°C isothermal) showed 91 % conversion of l-(3,5-bis(trifluoromethyl)-phenyl)ethan-l- one to (R)-l-(3,5-bis(trifluoromethyl)-ρhenyl)ethyl acetate with e.e. = 95.6 %. No 1- (3,5-bis(trifluoromethyl)-phenyl)ethan-l-ol was left in the reaction mixture.
EXAMPLE 8
Transferhydrogenation of l-(3,5-Bis(trifluoromethyl)phenyl)ethan-l-one in conjunction with Dynamic Kinetic Resolution of (R,S)-l-(3,5-Bis(trifluoromethyl)- phenyl)ethan-l-ol to (R -l-(3,5-Bis(trifluoromethyl)phenyl)ethyl acetate in Toluene A I L three neck round bottom flask equipped with a mechanical stirrer, nitrogen inlet and a distillation unit was charged with [RuCl2(p-cymene)]2 (0.092 g, 0.15 mmol), (R,S)-α-methyl phenylglycinamide (0.049 g, 0.3 mmol), K2CO3 (0.5 g, 3.6 mmol), l-(3,5-bis(trifluoromethyl)phenyl)ethan-l-one (76.8 g, 0.3 mol) and isopropanol (37 g, 0.62 mol). The resulting heterogeneous reaction mixture was degassed by five vacuum (reflux)/nitrogen purge cycles at 25°C. The temperature of the heterogeneous solution was increased to 70°C, to perform the aselective transfer hydrogenation for 2 hours. At the end of the transfer hydrogenation, the acetone and isopropanol were distilled under reduced pressure. The allowed vacuum during the distillation was limited to 100 mbar, to avoid sublimation of (R,S)-l-(3,5- bis(trifluoromethyl)-phenyl)ethan-l-ol. To remove the residual isopropanol, 100 ml oxygen free toluene was added and 90 ml toluene was distilled under reduced pressure at 70°C. The residue was dissolved in 250 ml oxygen free toluene. To the toluene solution Novozym435® (2.04 g), degassed isopropenyl acetate (60 g, 0.6 mol) and K2CO3 (12.9 g, 93 mmol) was added respectively under nitrogen atmosphere. The resulting reaction mixture was degassed by five vacuum (reflux)/nitrogen purge cycles at 70°C. The mixture was aged at 70°C while the pressure was contineously adjusted to reflux. Acetone together with a small amount of toluene and isopropenyl acetate was contineously distilled during the course of reaction. After 3 and 5 hours, an additional amount of isopropenyl acetate (30 g, 0.3 mol) was added to the reaction mixture. Assay of the reaction by chiral GC (Chirasil DEX, 25 m x 0.25 μm, 100°C isothermal) showed 82.5 % conversion of l-(3,5-bis(trifluoromethyl)phenyl)ethan-l- one to (R)-l-(3,5-bis(trifluoromethyl)-phenyl)ethyl acetate with e.e. = 96.5 %
EXAMPLE 9
Conversion of (R,S)-l-(3,5-Bis(trifluoromethyl)-phenyl)ethan-l-ol to (R)-l-(3,5-
Bis(trifluoromethyl)phenyl)ethyl acetate
In a three neck round bottom flask of 100 ml provided by a magnetic stir bar, equipped with nitrogen inlet and a distillation unit was dissolved
[RuCl2cymene]2 (90.2 mg, 0.015 mmol), (R,S)- -methyl phenylglycinamide (5 mg, 0.03 mmol) and (R,S)-l-(3,5-bis(trifluoromethyl)-phenyl)ethan-l-ol (7.74 g, 30 mmol) in 25 ml toluene at 70°C. To the homogeneous solution K CO3 (1.25 g, 9 mmol), isopropenyl acetate (6 g, 60 mmol) and Novozym435® (200 mg) were added respectively. The resulting mixture was degassed by five vacuum (reflux)/nitrogen purge cycles. During 1 hour and 15 minutes 12 ml solvent was slowly distilled under reduced pressure. The reaction was continued at atmospheric pressure for 2.5 h. Isopropenyl acetate (6 g, 60 mmol) was added and the reaction mixture was stirred for 12 hours at atmospheric pressure. Assay of the reaction by chiral GC (Chirasil DEX, 25 m x 0.25 μm, 100°C isothermal) showed 83 % conversion of (R,S)-l-(3,5- bis(trifluoromethyl)-phenyl)ethan- 1 -ol to (R)- 1 -(3 ,5-bis(trifluoromethyl)-phenyl)ethyl acetate with e.e. = 98 %.
EXAMPLE 10
Conversion of (R,S)-l-(3,5-Bis(trifluoromethyl)phenyl)ethan-l-ol to (R)-l-(3,5-
Bis(trifluoromethyl)phenyl)ethyl acetate
Dried K2CO3 (300 mg, 2.2 mmol), [RuCl2cymene]2 (24.5 mg, 0.04 mmol), (R,S)- -methyl phenylglycinamide (13.1 mg, 0.08 mmol) and 10 ml toluene were charged in a Schlenk tube. The resulting mixture was degassed by five vacuum (reflux)/nitrogen purge cycles. To complex the ligand to the transition metal pre- complex, the temperature was increased to 70°C for 15 minutes. After cooling to room temperature (R,S)-l-(3,5-bis(trifluoromethyl)-phenyl)ethan-l-ol (2.06 g, 8 mmol), isopropyl acetate (1.63 g, 16 mmol) and Novozym435® (240 mg) was added respectively. The temperature was increased to 70°C and the pressure decreased to approximately 200 mbar. At the same pressure and temperature isopropyl acetate (1.63 g, 16 mmol) was added after 3.5 hours. Under given conditions the conversion of R,S)-l-(3,5-bis(trifluoromethyl)-phenyl)ethan-l-ol to (R)-l-(3,5-bis(trifluoro- methyl)-phenyl)ethyl acetate was performed for 70 h. Assay of the reaction by chiral GC (Chirasil DEX, 25 m x 0.25 μm, 100°C isothermal) showed 98 % conversion of (R,S)- 1 -(3 ,5-bis(trifluoromethyl)-phenyl)ethan-l -ol to (R)- 1 -(3 ,5-bis(trifluoromethyl)- phenyl)ethyl acetate with e.e. > 99.5 %.
EXAMPLE 11
Conversion of (R,S)-l-(3,5-Bis(trifluoromethyl)phenyl)ethan-l-ol to (R)-l-(3,5-
Bis(trifluoromethyl)phenyl)ethyl acetate
Dried K2CO3 (300 mg, 2.2 mmol), [RuCl2cymene]2 (24.5 mg, 0.04 mmol), (R,S)-α-methyl phenylglycinamide (13.1 mg, 0.08 mmol) and 10 ml toluene were charged in a Schlenk tube. The resulting mixture was degassed by five vacuum (reflux)/nitrogen purge cycles. To complex the ligand to the transition metal pre- complex, the temperature was increased to 70°C for 15 minutes. After cooling to room temperature (R,S)-l-(3,5-bis(trifluoromethyl)phenyl)ethan-l-ol (2.06 g, 8 mmol), isopropyl acetate (1.63 g, 16 mmol) and Novozym435® (240 mg) was added respectively. The temperature was increased to 70°C and the pressure decreased to approximately 200 mbar. At the same pressure and temperature isopropyl acetate (1.63 g, 16 mmol) was added after 3 hours. Under given conditions the conversion of (R,S)- 1 -(3 ,5-bis(trifluoromethyl)-phenyl)ethan- 1 -ol to (R)- 1 -(3 ,5-bis(trifluoromethyl)- phenyl)ethyl acetate was performed for 20 h. Assay of the reaction by chiral GC (Chirasil DEX, 25 m x 0.25 μm, 100°C isothermal) showed 92 % conversion of (R,S)- 1 -(3 ,5-bis(trifluoromethyl)-phenyl)efhan- 1 -ol to (R)- 1-(3 ,5-bis(trifluoromethyl)- phenyl)ethyl acetate with e.e. > 99.5 %. Of the remaining 8 % from the initial amount of l-(3,5-bis(trifluoromethyl)phenyl)ethan-l-ol the e.e.= 4 %.
EXAMPLE 12
Conversion of (R,S)-l-(3,5-Bis(trifluoromethyl)phenyl)ethan-l-ol and l-(3,5- Bis(trifluoromethyl)phenyl)ethan-l-one to (R)-l-(3,5-Bis(trifluoromethyl)phenyl)- ethyl acetate Under an atmosphere of nitrogen (R,S)-l-(3,5-bis(trifluoromethyl)- phenyl)ethan-l-ol (2.06 g, 8 mmol), l-(3,5-bis(trifluoromethyl)phenyl)ethan-l-one (0.51 g, 2 mmol), isopropenyl acetate (1.6 g, 16 mmol), toluene (18 ml) and Novozym435® (60 mg) were charged in a Schlenk tube. The temperature was increased to 70°C and the pressure was slowly decreased to approximately 200 mbar for 30 minutes. During the kinetic resolution the formed acetone was escaped as a gas via the vacuum line. [Ru2(CO)4(μ-H)(C4Ph4COHOCC4Ph4)] was added and the conversion of (R,S)-l-(3,5-bis(trifluoromethyl)phenyl)ethan-l-ol to (R)-l-(3,5- bis(trifluoromethyl)-phenyl)ethyl acetate was continued at approximately 200 mbar for 20 hours. Assay of the reaction by chiral GC (Chirasil DEX, 25 m x 0.25 μm, 100°C isothermal) showed 88 % conversion of (R,S)-l-(3,5-bis(trifluoromethyl)- phenyl)ethan-l-ol to (R)-l-(3,5-bis(trifluoromethyl)phenyl)ethyl acetate with e.e. > 99.5 %.
While the invention has been described and illustrated with reference to certain particular embodiments thereof, those skilled in the art will appreciate that various adaptations, changes, modifications, substitutions, deletions, or additions of procedures and protocols may be made without departing from the spirit and scope of the invention. For example, reaction conditions other than the particular conditions as set forth herein above may be applicable as a consequence of variations in the reagents or methodology to prepare the compounds from the processes of the invention indicated above. Likewise, the specific reactivity of starting materials may vary according to and depending upon the particular substituents present or the conditions of manufacture, and such expected variations or differences in the results are contemplated in accordance with the objects and practices of the present invention. It is intended, therefore, that the invention be defined by the scope of the claims which follow and that such claims be interpreted as broadly as is reasonable.

Claims

WHAT IS CLAIMED IS:
A process for the preparation of a compound of the formula:
Figure imgf000035_0001
wherein R is hydrogen, Cι_20 alkyl, C2-20 alkenyl, Cι_20 alkoxy, aryl, or
Ci-20 alkyl-aryl; which comprise subjecting a compound of the formula:
Figure imgf000035_0002
in the presence of an acyl donor, to an enantioselective conversion in the presence of a racemization catalyst upon which the ester is formed and an acyl donor residue is obtained.
2. The process of Claim 1 wherein the enantioselective conversion is carried out in the presence of an enantioselective enzyme.
3. The process of Claim 2 wherein the enantioselective enzyme is Novozym435® {Candida antartica).
4. The process of Claim 1 wherein the racemization catalyst is a transfer hydrogenation catalyst.
5. The process of Claim 4 wherein the racemization catalyst comprises a transition metal chosen from the group of Ru and Ir.
6. The process of Claim 5 wherein the racemization catalyst comprises a transition metal which is Ru.
7. The process of Claim 4 wherein the transition metal is selected from the group consisting of:
[RuCl2(rj6-benzene)]2, [RuCl2(i]6-cymene)]2, [RuCl2(r -mesitylene)]2, [RuCl2(g6- hexamethylbenzene)]2, [RuCl2(n6-l,2,3,4-tetramethylbenzene)]2, [RuCl2(r -l,3,5- triethylbenzene)]2, [RuCl26-l ,3,5-triϊspropylbenzene)]2, [RuCl2(rj6- tetramethylthiophene)]2, [RuCl2(r)6-methoxybenzene)]2, [RuBr2(rj6-benzene)]2, [Rul26-benzeen)]2, trans-RuCl2(DMSO)4, RuCl2(PPh3)3, Ru3(CO)12, Ru(CO)3(n4- Ph4C4CO), [Ru2(CO)4(μ-H)(C4Ph4COHOCC4Ph4)], [Ir(COD)2Cl], [Ir(CO)2Cl]n, [IrCl(CO)3]n, [Ir(Acac)(COD)], [Ir(NBD)Cl2]2, [Ir(COD)(C6H6)]+BF4\
(CF3C(O)CHCOCF3)-[Ir(COE)2]+, [Ir(CH3CN)4]+BF4-, [IrCl2Cp*]2, [rrCl2Cp]2, [Rh(C60Cl]2 (where C60 = hexa-l,5-di-ene), [RhCl2Cp*]2, [RhCl2Cp]2, [Rh(COD)Cl]2, and CoCl2.
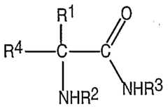
8. The process of Claim 4 wherein the racemization catalyst comprises a compound of the formula:
Figure imgf000036_0001
wherein:
R1 and R4 each independently represent hydrogen, Cι_9 alkyl, aryl or Ci-9 alkyl-aryl, which is unsubstituted or substituted with Cι_9 alkyl, hydroxy, Ci-9 alkoxy or Ci_6 alkyl-sulfonyl;
R2 and R3 each independently represent hydrogen, Cι_9 alkyl, aryl or Ci-9 alkyl-aryl, which is unsubstituted or substituted with C _9 alkyl, hydroxy, Ci-9 alkoxy or Ci-6 alkyl-sulfonyl, or R1 and R2 form a ring together with the N and C atom to which they are attached.
9. The process of Claim 4 wherein the racemization catalyst comprises (R,S)-α-methyl phenylglycinamide.
10. The process of Claim 1 wherein the acyl donor residue is irreversibly removed from the reaction mixture.
11. The process of Claim 1 wherein the acyl donor residue is removed via distillation under reduced pressure.
12. The process of Claim 1 wherein the acyl donor is such that the acyl donor residue is converted in situ into another compound.
13. The process of Claim 1 wherein the acyl donor is isopropenyl acetate.
14. The process of Claim 1 wherein the substrate concentration is greater than or equal to 0.4M.
15. The process of Claim 1 wherein the ester is subsequently converted into the corresponding alcohol of the formula:
Figure imgf000037_0001
16. A process for the preparation of a compound of the formula:
Figure imgf000038_0001
wherein R is hydrogen, Ci-20 alkyl, C2-20 alkenyl, Cl-20 alkoxy, aryl, or Cl-20 alkyl-aryl; which comprises reduction of a ketone of the formula:
Figure imgf000038_0002
to give an alcohol of the formula:
Figure imgf000038_0003
followed by enantioselective conversion of the alcohol with an acyl donor that is an ester of a Cθ-20 alkyl, C2-20 alkenyl, Cι_20 alkoxy, aryl, or C -20 alkyl-aryl carboxylic acid and a C _7 alkyl alcohol, in the presence of a racemization catalyst, to give the compound of the formula:
Figure imgf000039_0001
17. A process for the preparation of a compound of the formula: which comprises reduction of a ketone of the formula:
Figure imgf000039_0002
to give an alcohol of the formula:
Figure imgf000039_0003
followed by enantioselective conversion of the alcohol with an acyl donor that is an ester of a Cθ-20 alkyl, C2-20 alkenyl, Cι_20 alkoxy, aryl, or Cι_20 alkyl-aryl carboxylic acid and a Ci-7 alkyl alcohol, in the presence of a racemization catalyst, to give an ester of the formula:
Figure imgf000039_0004
wherein R is hydrogen, Cι_20 alkyl, C2-20 alkenyl, Cl-20 alkoxy, aryl, or Cl-20 alkyl-aryl; followed by cleavage of the ester to give the compound of the formula:
Figure imgf000040_0001
18. A process for the preparation of a compound of the formula:
Figure imgf000040_0002
which comprises enantioselective conversion of a compound of the formula:
Figure imgf000040_0003
with a compound of the formula:
O O^R
wherein R is hydrogen, Ci_20 alkyl, C2-20 alkenyl, Cl-20 alkoxy, aryl, or
Ci-20 alkyl-aryl, and R'is Cι_6 alkyl; in the presence of a racemization catalyst, to give an ester of the formula:
Figure imgf000041_0001
followed by cleavage of the ester to give the compound of the formula:
Figure imgf000041_0002
19. A process for the preparation of a compound of the formula:
Figure imgf000041_0003
which comprises enantioselective conversion of a compound of the formula:
Figure imgf000041_0004
with a compound of the formula:
O
O^R wherein R is hydrogen, Cι_20 alkyl, C2-20 alkenyl, Cι_20 alkoxy, aryl, or
Cl-20 alkyl-aryl, and R" and R"' are independently selected from hydrogen and Ci_3 alkyl, in the presence of a racemization catalyst, to give an ester of the formula:
Figure imgf000042_0001
followed by cleavage of the ester to give the compound of the formula:
Figure imgf000042_0002
20. A process for the preparation of a compound of the formula:
Figure imgf000042_0003
which comprises enantioselective conversion of a compound of the formula:
Figure imgf000042_0004
with a compound of the formula:
Figure imgf000043_0001
in the presence of a racemization catalyst to give an ester of the formula:
Figure imgf000043_0002
followed by cleavage of the ester to give the compound of the formula:
Figure imgf000043_0003
21. A compound which is:
Figure imgf000043_0004
wherein R is hydrogen, Ci_20 alkyl, C2-20 alkenyl, Ci_20 alkoxy, aryl, or Cl-20 alkyl-aryl.
22. A compound which is:
Figure imgf000044_0001
23. A compound which is:
Figure imgf000044_0002
PCT/US2002/0369692001-11-192002-11-15Process for the synthesis of (r)-1-(3,5-bis(trifluoromethyl)-phenyl)ethan-1-ol and esters thereof by dynamic kinetic resolutionWO2003043575A2 (en)

Priority Applications (2)

Application NumberPriority DateFiling DateTitle
EP02791261AEP1448788A4 (en)2001-11-192002-11-15Process for the synthesis of (r)-1-(3,5-bis(trifluoromethyl)-phenyl)ethan-1-ol and esters thereof by dynamic kinetic resolution
AU2002365968AAU2002365968A1 (en)2001-11-192002-11-15Process for the synthesis of (r)-1-(3,5-bis(trifluoromethyl)-phenyl)ethan-1-ol and esters thereof by dynamic kinetic resolution

Applications Claiming Priority (2)

Application NumberPriority DateFiling DateTitle
US33303901P2001-11-192001-11-19
US60/333,0392001-11-19

Publications (2)

Publication NumberPublication Date
WO2003043575A2true WO2003043575A2 (en)2003-05-30
WO2003043575A3 WO2003043575A3 (en)2003-10-16

Family

ID=23300996

Family Applications (1)

Application NumberTitlePriority DateFiling Date
PCT/US2002/036969WO2003043575A2 (en)2001-11-192002-11-15Process for the synthesis of (r)-1-(3,5-bis(trifluoromethyl)-phenyl)ethan-1-ol and esters thereof by dynamic kinetic resolution

Country Status (3)

CountryLink
EP (1)EP1448788A4 (en)
AU (1)AU2002365968A1 (en)
WO (1)WO2003043575A2 (en)

Cited By (22)

* Cited by examiner, † Cited by third party
Publication numberPriority datePublication dateAssigneeTitle
WO2004094353A1 (en)*2003-04-232004-11-04Miteni S.P.A.Process for the manufacture of 3,5-bis(trifluoromethyl)phenyl-1-hydroxyethane and derivative thereof
WO2005095628A1 (en)*2004-03-182005-10-13Dsm Fine Chemicals Austria Nfg Gmbh & Co KgMethod for the production of chiral, secondary alcohols
EP1710221A1 (en)*2005-04-072006-10-11DSM IP Assets B.V.Process for the preparation of an optically active ester
US7560607B2 (en)2004-04-162009-07-14Marathon Gtf Technology, Ltd.Process for converting gaseous alkanes to liquid hydrocarbons
US7579510B2 (en)2006-02-032009-08-25Grt, Inc.Continuous process for converting natural gas to liquid hydrocarbons
US7674941B2 (en)2004-04-162010-03-09Marathon Gtf Technology, Ltd.Processes for converting gaseous alkanes to liquid hydrocarbons
US7838708B2 (en)2001-06-202010-11-23Grt, Inc.Hydrocarbon conversion process improvements
US7847139B2 (en)2003-07-152010-12-07Grt, Inc.Hydrocarbon synthesis
US7883568B2 (en)2006-02-032011-02-08Grt, Inc.Separation of light gases from halogens
US7964764B2 (en)2003-07-152011-06-21Grt, Inc.Hydrocarbon synthesis
US7998438B2 (en)2007-05-242011-08-16Grt, Inc.Zone reactor incorporating reversible hydrogen halide capture and release
US8008535B2 (en)2004-04-162011-08-30Marathon Gtf Technology, Ltd.Process for converting gaseous alkanes to olefins and liquid hydrocarbons
US8173851B2 (en)2004-04-162012-05-08Marathon Gtf Technology, Ltd.Processes for converting gaseous alkanes to liquid hydrocarbons
US8198495B2 (en)2010-03-022012-06-12Marathon Gtf Technology, Ltd.Processes and systems for the staged synthesis of alkyl bromides
US8273929B2 (en)2008-07-182012-09-25Grt, Inc.Continuous process for converting natural gas to liquid hydrocarbons
US8282810B2 (en)2008-06-132012-10-09Marathon Gtf Technology, Ltd.Bromine-based method and system for converting gaseous alkanes to liquid hydrocarbons using electrolysis for bromine recovery
US8642822B2 (en)2004-04-162014-02-04Marathon Gtf Technology, Ltd.Processes for converting gaseous alkanes to liquid hydrocarbons using microchannel reactor
US8802908B2 (en)2011-10-212014-08-12Marathon Gtf Technology, Ltd.Processes and systems for separate, parallel methane and higher alkanes' bromination
US9133078B2 (en)2010-03-022015-09-15Gtc Technology Us, LlcProcesses and systems for the staged synthesis of alkyl bromides
US9193641B2 (en)2011-12-162015-11-24Gtc Technology Us, LlcProcesses and systems for conversion of alkyl bromides to higher molecular weight hydrocarbons in circulating catalyst reactor-regenerator systems
US9206093B2 (en)2004-04-162015-12-08Gtc Technology Us, LlcProcess for converting gaseous alkanes to liquid hydrocarbons
CN106278846A (en)*2016-08-172017-01-04沧州普瑞东方科技有限公司A kind of method of synthesis 3,5 bis trifluoromethyl 1-Phenylethanone .s

Family Cites Families (3)

* Cited by examiner, † Cited by third party
Publication numberPriority datePublication dateAssigneeTitle
DE3743824C2 (en)*1987-12-231997-03-06Hoechst Ag Process for the enzymatic resolution of racemic alcohols with / in vinyl esters by transesterification
PL352182A1 (en)*1999-07-012003-08-11Merck & Co IncProcess for the synthesis of (r)-1-(3,5-bis(trifluoromethyl)-phenyl)ethan-1-ol by asymmetric transfer hydrogenation
NL1015313C2 (en)*2000-05-262001-11-27Dsm Nv Process for the preparation of enantiomerically enriched esters and alcohols.

Cited By (30)

* Cited by examiner, † Cited by third party
Publication numberPriority datePublication dateAssigneeTitle
US8415512B2 (en)2001-06-202013-04-09Grt, Inc.Hydrocarbon conversion process improvements
US7838708B2 (en)2001-06-202010-11-23Grt, Inc.Hydrocarbon conversion process improvements
WO2004094353A1 (en)*2003-04-232004-11-04Miteni S.P.A.Process for the manufacture of 3,5-bis(trifluoromethyl)phenyl-1-hydroxyethane and derivative thereof
US7964764B2 (en)2003-07-152011-06-21Grt, Inc.Hydrocarbon synthesis
US7847139B2 (en)2003-07-152010-12-07Grt, Inc.Hydrocarbon synthesis
WO2005095628A1 (en)*2004-03-182005-10-13Dsm Fine Chemicals Austria Nfg Gmbh & Co KgMethod for the production of chiral, secondary alcohols
AT500556A1 (en)*2004-03-182006-01-15Dsm Fine Chem Austria Gmbh METHOD FOR THE PRODUCTION OF CHIRAL, SECONDARY ALCOHOLS
US7674941B2 (en)2004-04-162010-03-09Marathon Gtf Technology, Ltd.Processes for converting gaseous alkanes to liquid hydrocarbons
US9206093B2 (en)2004-04-162015-12-08Gtc Technology Us, LlcProcess for converting gaseous alkanes to liquid hydrocarbons
US7560607B2 (en)2004-04-162009-07-14Marathon Gtf Technology, Ltd.Process for converting gaseous alkanes to liquid hydrocarbons
US7880041B2 (en)2004-04-162011-02-01Marathon Gtf Technology, Ltd.Process for converting gaseous alkanes to liquid hydrocarbons
US8642822B2 (en)2004-04-162014-02-04Marathon Gtf Technology, Ltd.Processes for converting gaseous alkanes to liquid hydrocarbons using microchannel reactor
US8173851B2 (en)2004-04-162012-05-08Marathon Gtf Technology, Ltd.Processes for converting gaseous alkanes to liquid hydrocarbons
US8008535B2 (en)2004-04-162011-08-30Marathon Gtf Technology, Ltd.Process for converting gaseous alkanes to olefins and liquid hydrocarbons
WO2006105996A3 (en)*2005-04-072006-12-21Dsm Ip Assets BvProcess for the preparation of an optically active ester
EP1710221A1 (en)*2005-04-072006-10-11DSM IP Assets B.V.Process for the preparation of an optically active ester
US8053616B2 (en)2006-02-032011-11-08Grt, Inc.Continuous process for converting natural gas to liquid hydrocarbons
US7883568B2 (en)2006-02-032011-02-08Grt, Inc.Separation of light gases from halogens
US7579510B2 (en)2006-02-032009-08-25Grt, Inc.Continuous process for converting natural gas to liquid hydrocarbons
US8921625B2 (en)2007-02-052014-12-30Reaction35, LLCContinuous process for converting natural gas to liquid hydrocarbons
US7998438B2 (en)2007-05-242011-08-16Grt, Inc.Zone reactor incorporating reversible hydrogen halide capture and release
US8282810B2 (en)2008-06-132012-10-09Marathon Gtf Technology, Ltd.Bromine-based method and system for converting gaseous alkanes to liquid hydrocarbons using electrolysis for bromine recovery
US8273929B2 (en)2008-07-182012-09-25Grt, Inc.Continuous process for converting natural gas to liquid hydrocarbons
US8415517B2 (en)2008-07-182013-04-09Grt, Inc.Continuous process for converting natural gas to liquid hydrocarbons
US9133078B2 (en)2010-03-022015-09-15Gtc Technology Us, LlcProcesses and systems for the staged synthesis of alkyl bromides
US8198495B2 (en)2010-03-022012-06-12Marathon Gtf Technology, Ltd.Processes and systems for the staged synthesis of alkyl bromides
US8802908B2 (en)2011-10-212014-08-12Marathon Gtf Technology, Ltd.Processes and systems for separate, parallel methane and higher alkanes' bromination
US9193641B2 (en)2011-12-162015-11-24Gtc Technology Us, LlcProcesses and systems for conversion of alkyl bromides to higher molecular weight hydrocarbons in circulating catalyst reactor-regenerator systems
CN106278846A (en)*2016-08-172017-01-04沧州普瑞东方科技有限公司A kind of method of synthesis 3,5 bis trifluoromethyl 1-Phenylethanone .s
CN106278846B (en)*2016-08-172018-09-21沧州普瑞东方科技有限公司A method of synthesis 3,5- bis trifluoromethyl acetophenones

Also Published As

Publication numberPublication date
EP1448788A4 (en)2006-03-29
AU2002365968A1 (en)2003-06-10
WO2003043575A3 (en)2003-10-16
EP1448788A2 (en)2004-08-25

Similar Documents

PublicationPublication DateTitle
WO2003043575A2 (en)Process for the synthesis of (r)-1-(3,5-bis(trifluoromethyl)-phenyl)ethan-1-ol and esters thereof by dynamic kinetic resolution
US6841691B2 (en)Process for the preparation of enantiomerically enriched esters and alcohols
EP2203562B1 (en)Process for the preparation of an enantiomerically and/or diastereomerically enriched ester, thioester, alcohol or thiol
Szöri et al.Heterogeneous asymmetric reactions: Part 28. Efficient and practical method for the preparation of (R)-and (S)-α-hydroxy esters by the enantioselective heterogeneous catalytic hydrogenation of α-ketoesters
AU2001278640B2 (en)Process for preparing (-)menthol and similar compounds
FR2724184A1 (en) PROCESS FOR RESOLVING A MIXTURE OF STEREOISOMERIC ALCOHOLS
US4921798A (en)Synthesis of (aryl or arylalkyl)-3-hydroxy propionic acids and aryl alkanediols having high optical purity
AU2001278640A1 (en)Process for preparing (-)menthol and similar compounds
Milner et al.Efficient kinetic bioresolution of 2-nitrocyclohexanol
WO2005014509A1 (en)Process for the preparation of enantiomerically enriched esters and alcohols
JP3704731B2 (en) Process for producing optically active 3-hydroxyhexanoic acids
JP2542872B2 (en) Process for producing optically active unsaturated alcohol and its ester form
JP4674393B2 (en) Process for producing optically active fluorine-containing β-hydroxy ester
JP3049403B2 (en) Optically active trans-2-aryl-1-cyclohexanol derivative and method for producing the same
JP2896583B2 (en) Optically active dicyclopentadiene
Banerji et al.Enzymes as a tool for optical resolution of (±) α-methyl-4-(2-methylpropyl) benzeneacetic acid (ibuprofen)
WO2005095629A1 (en)Process for the preparation of enantiomerically enriched esters and alcohols by means of azeotropically dried enzyme compositions
KR100559259B1 (en) Method for preparing (S) -2-arylpropionic acid derivative by dynamic kinetic optical splitting
JPH05219986A (en) Method for producing alcohol containing optically active halogen
CHAN et al.13-S-HYDROXYOCTADECADIENOIC ACID
EP1985603A1 (en)Process for preparing difluorocyclohexanoic acid derivatives
JenningsApplication of enzyme-mediated esterifications to the resolution of chiral alcohols and phosphines
JPH04349894A (en)Production of optically active alcohol
EP1710221A1 (en)Process for the preparation of an optically active ester
JPH0376590A (en)Optically active trans-2-phenyl 1-cyclohexyl ester

Legal Events

DateCodeTitleDescription
AKDesignated states

Kind code of ref document:A2

Designated state(s):AE AG AL AM AT AU AZ BA BB BG BR BY BZ CA CH CN CO CR CU CZ DE DK DM DZ EC EE ES FI GB GD GE GH GM HR HU ID IL IN IS JP KE KG KR KZ LC LK LR LS LT LU LV MA MD MG MK MN MW MX MZ NO NZ OM PH PL PT RO RU SC SD SE SG SI SK SL TJ TM TN TR TT TZ UA UG US UZ VC VN YU ZA ZM ZW

ALDesignated countries for regional patents

Kind code of ref document:A2

Designated state(s):GH GM KE LS MW MZ SD SL SZ TZ UG ZM ZW AM AZ BY KG KZ MD RU TJ TM AT BE BG CH CY CZ DE DK EE ES FI FR GB GR IE IT LU MC NL PT SE SK TR BF BJ CF CG CI CM GA GN GQ GW ML MR NE SN TD TG

121Ep: the epo has been informed by wipo that ep was designated in this application
DFPERequest for preliminary examination filed prior to expiration of 19th month from priority date (pct application filed before 20040101)
WWEWipo information: entry into national phase

Ref document number:2002791261

Country of ref document:EP

WWPWipo information: published in national office

Ref document number:2002791261

Country of ref document:EP

NENPNon-entry into the national phase

Ref country code:JP

WWWWipo information: withdrawn in national office

Country of ref document:JP

WWWWipo information: withdrawn in national office

Ref document number:2002791261

Country of ref document:EP


[8]ページ先頭

©2009-2025 Movatter.jp