Movatterモバイル変換


[0]ホーム

URL:


WO2003038905A2 - Lateral soi field-effect transistor - Google Patents

Lateral soi field-effect transistor
Download PDF

Info

Publication number
WO2003038905A2
WO2003038905A2PCT/IB2002/004412IB0204412WWO03038905A2WO 2003038905 A2WO2003038905 A2WO 2003038905A2IB 0204412 WIB0204412 WIB 0204412WWO 03038905 A2WO03038905 A2WO 03038905A2
Authority
WO
WIPO (PCT)
Prior art keywords
thickness
layer
silicon
dielectric layer
dielectric
Prior art date
Application number
PCT/IB2002/004412
Other languages
French (fr)
Other versions
WO2003038905A3 (en
Inventor
Rene P. Zingg
Original Assignee
Koninklijke Philips Electronics N.V.
Priority date (The priority date is an assumption and is not a legal conclusion. Google has not performed a legal analysis and makes no representation as to the accuracy of the date listed.)
Filing date
Publication date
Application filed by Koninklijke Philips Electronics N.V.filedCriticalKoninklijke Philips Electronics N.V.
Priority to AU2002339582ApriorityCriticalpatent/AU2002339582A1/en
Publication of WO2003038905A2publicationCriticalpatent/WO2003038905A2/en
Publication of WO2003038905A3publicationCriticalpatent/WO2003038905A3/en

Links

Classifications

Definitions

Landscapes

Abstract

A thin film lateral SOI device comprises a substrate and a buried oxide layer (4) (BOx) as a dielectric layer on the substrate; a silicon layer (6) on the buried oxide layer, the silicon layer comprising a first thickness silicon region (8), a second thickness silicon region (10) having a thickness smaller than the first thickness silicon region (8) and a third thickness silicon region (12) having a thickness smaller than the second thickness silicon region (10); a dielectric layer (TOx) on top of the silicon layer (6), comprising a gate dielectric layer (18) on top of the first thickness silicon region (8), a field dielectric layer (20) on top of the a second thickness silicon region (10), the field dielectric layer (20) having a thickness larger than the thickness of the gate dielectric layer (18), and a drift dielectric layer (22) on top of the third thickness silicon region (12) the drift dielectric layer (22) having a thickness larger than the thickness of the drift dielectric layer (20); a gate (42) on top of the gate dielectric layer (18) above a channel region (38); a field plate (44) extending across the field dielectric layer (20); a drain (30) laterally spaced to the third thickness silicon region (12) of the silicon layer (6); and a source (32) laterally separated from the gate.

Description

Thin film lateral SOI device
The invention relates to a thin film lateral SOI (silicon on oxide) device.
SOI lateral power devices show degraded high-side performance due to carrier depletion from the handle wafer (pinching of the drift region). This degradation has been minimized by going to step- and stair-SOCOS device as shown in WO 00/31776, which in fact maximizes the silicon film thickness and available doping therein.
The step- and stair-SOCOS devices have, however, a potential trough for electrons in the drift region which has different heights in the SOI film due to variation in silicon film thickness and oxide thickness. This again results in a partial alignment of the vertical electric field with the current direction, increasing impact ionization rate and, thereby, limiting acceptable longitudinal electric fields. Among other disadvantages, this makes it necessary to have the transition step close to the source region where vertical fields are small and makes the device longer for a given voltage rating.
These features of the step and stair thin film SOI LDMOS device as shown in
WO 00/31776 are explained with reference to Figure 1 which shows such a device of the state of art. The device 2 comprises a buried oxide layer (BOx) 4 on a substrate (not shown) and a silicon layer 6 on the buried oxide layer 4, the silicon layer comprising, from left to right in Fig.l, a first thickness region 8, a second thickness region 10 having a thickness smaller than the first thickness region 8 and a third thickness region 12 having a thickness smaller than the second thickness region 10. A first transition 14 is located between the first thickness region 8 and the second thickness region 10 and a second transition 16 is located between the second thickness region 10 and the third thickness region 12. A second oxide layer (dielectric) is provided on top of the silicon layer 6, the second oxide layer having a gate oxide layer 18, a field oxide layer 20 having a thickness larger than the thickness of the gate oxide layer 18 and a drift oxide layer 22 having a thickness larger than the thickness of the field oxide layer 20. An oxide layer transition 24 is located between the field oxide layer 20 and the drift oxide layer 22. A gate 26 is located above the gate oxide layer 18 and extends as a field plate 28 above a channel region 38 the field oxide layer 20 and the drift oxide layer 22. A drain 30 is laterally spaced from the third thickness region 12 of the silicon layer 6. A source 32 is laterally separated from the gate 26. The gate 26 comprises a polysilicon layer and is covered by a further oxide layer 34. On top of the further oxide layer 34, a further metal field plate 36 is provided which extends from the source region 32 across the further oxide layer 34 to almost an end of the field oxide layer 20.
In such a SOI device called step and stair SOI device, the device comprises a substrate, a buried oxide layer on the substrate, a layer of silicon on the buried oxide layer (SOI, silicon on insulator), a layer of dielectric 18 (preferably grown oxide), a gate or field- plate 28 on top of this dielectric, a further dielectric layer 34, a metal layer 36, and a passivation layer (not shown). The SOI layer is sequentially reduced in thickness towards the drain 30 and the oxide sequentially increased in thickness. The metal layer 36 is also used to further remove the field plate 36 from the SOI layer and thereby reduce the vertical fields. Line A in Figure 1 indicates the minimum potential for electrons and shows the change of height of this minimum in the SOI layer due to changes in semiconductor- and dielectric thickness.
The US-A 5,362,979 shows a SOI transistor with improved source-high performance especially for bridge type circuits. The laterally extending silicon layer of the drift region has a region of thinner thickness over a portion of the length of the drift region. The field plate is formed with a separation from the gate and extends over the thin portion of the drift region. The gate and field plate are short-circuited by a metal interconnect. Also in this SOI device, there is the problem that the electrons drift in the drift region not at a constant distance from the buried oxide which results in a vertical displacement of the electrons in the drift region which, in turn, leads to a carrier multiplication by impact ionization limiting the break down voltage.
It is the object of the invention to further improve the performance of the step- and stair-SOCOS device by reducing carrier multiplication by impact ionization while increasing longitudinal electric field and thereby reducing the length of the device. To achieve this objective, the thin film lateral SOI device of the invention comprises, a substrate and a buried oxide layer (BOx) as a dielectric layer on the substrate; a silicon layer on the buried oxide layer, the silicon layer comprising a first thickness silicon region, a second thickness silicon region having a thickness smaller than the first thickness silicon region and a third thickness silicon region having a thickness smaller than the second thickness silicon region; a dielectric layer (TOx) on top of the silicon layer, comprising a gate dielectric layer on top of the first thickness silicon region, a field dielectric layer on top of the a second thickness silicon region, the field dielectric layer having thickness larger than the thickness of the a gate dielectric layer, and a drift dielectric layer on top of the third thickness silicon region the drift dielectric layer having thickness larger than the thickness of the a drift dielectric layer; a gate on top of the gate dielectric layer above a channel region; a field plate extending across the field dielectric layer; a drain laterally spaced to the third thickness silicon region of the silicon layer; a source laterally separated from the gate; a further dielectric layer covering at least the gate and the drift dielectric layer; and a further field plate extending across the further dielectric layer. Thereby, the vertical displacement of the potential well can be eliminated, or in a concrete example with given silicon and oxide thickness is reduced by a factor of about 5. The reduced scalar product between electric field and current direction allows shifting the thinning of the SOI film further to the drain, reducing pinch-off effects in high-side operation and therefore improve current drive of the device.
According to a preferred embodiment of the invention a thin film SOI device is provided, wherein the dielectric layers are oxide layers preferably produced by a LOCOS process.
According to a preferred embodiment of the invention a thin film SOI device is provided, wherein the gate terminates at the transition between the field dielectric layer and the drift dielectric region. This feature results in the advantage that any layer with which is deposited on top of the field plate and the further dielectric layer may be deposited any intend on top and the transition between the end of the field plate and the additional dielectric layer. Furthermore, the location of the end of the field plate is well defined which facilitates designing the thickness dimensions of the silicon layer and the second dielectric layer or the top oxide in a way to minimize vertical displacement of the electrons in the drift region.
According to a preferred embodiment of the invention a thin film SOI device is provided, comprising a further dielectric layer covering at least the gate and the drift dielectric layer. According to a preferred embodiment of the invention a thin film SOI device is provided, comprising a further field plate extending across the further dielectric layer (46). In this embodiment, the additional field plate supplements the field plate extension of the gate such that the field plate arrangement is adapted to control the complete drift region in the silicon layer or protect the drift region against external influences. According to a preferred embodiment of the invention a thin film SOI device is provided wherein the further field plate extends to almost an end of the drift dielectric layer.
According to a preferred embodiment of the invention a thin film SOI device is provided wherein the further field plate is connected to the source, whereby the further field plate is on the same potential level as the field plate extension of the gate which is advantageous in controlling the device.
According to a preferred embodiment of the invention a thin film SOI device is provided, wherein the gate consists of polysilicon, which is advantageous in integrating the step of manufacturing the gate during the manufacturing process of the device as is well known in the art.
According to a preferred embodiment of the invention a thin film SOI device is provided, wherein the further field plate consists of a metal resulting in a well defined shape of the further field plate during manufacturing of the device. According to a preferred embodiment of the invention a thin film SOI device is provided, wherein the further field plate consists of a first metal layer and a second metal layer, the second metal layer being isolated from the first metal layer. The first metal layer may be connected to the gate and the second metal layer can be connected to the source or the gate or to any separate potential which might be desired to control the drift region. According to a preferred embodiment of the invention a thin film SOI device is provided, wherein the second metal layer is isolated from the first metal layer by a dielectric layer.
Further preferred embodiment of the invention are characterized in the rest of the sub-claims. A thin film lateral SOI device comprises a substrate, a buried oxide layer on the substrate, a layer of silicon on the buried oxide layer (SOI, silicon on insulator), a layer of dielectric (preferably grown oxide), a gate or field-plate on top of this dielectric. One or multiple metal layers, isolated from the underground by a dielectric film with local contact holes and a passivation layer complete the device. The SOI layer is sequentially reduced in thickness towards the drain, and the oxide sequentially increased in thickness. The metal layer is also used to further remove field-plate from the SOI layer and thereby reduce the vertical fields. SOI film thickness and dielectric under the field-plates are matched according to an equation in order to minimize displacements of the minimum potential of electrons along the device. This reduces carrier multiplication by impact ionization, thereby allowing higher lateral electric fields and permitting shorter devices for a given voltage rating. Reduction in drift region, increase in possible doping, increase in SOI film thickness, and reduction in area individually or in combination contribute to reducing the specific on- resistance, especially in high-side operation. The above described device is a step and stair SOI device or a step and stair
SOCOS (silicon-oxide-channel-oxide-silicon) device forming a LDMOS. The invention is applicable to all thin film SOI devices having step transitions in the top oxide layer or level transitions caused by the ends of electrodes or field plates. By designing the field plate of the device according to the teaching of the invention, variations in and the thickness of the additional top oxide may be engineered to level out the potential trough for the electrons. In the device of the invention, the thinning of the silicon layer on the buried oxide can be moved further to the collector reducing pinch-off effects in high side operation and therefore improve current drive of the device.
These and various other advantages of an embodiment of the invention are now described with reference to the drawings in which:
Figure 1 is a schematic section of a step and stair thin film lateral SOI device of the state of art; Figure 2 is a schematic section of a thin film lateral SOI device according to an embodiment of the invention; and
Figure 3 is a schematic section of a thin film lateral SOI device according to another embodiment of the invention.
An embodiment of the thin film lateral SOI device 40 of the invention is shown in Figure 2 in which the same reference numerals are used for the same parts as in Figure 1.
The thin film lateral SOI device of the invention also has a buried oxide layer 4 on a substrate (not shown) and a silicon layer 6 on the buried oxide layer 4. The silicon layer 6 again having the first thickness region 8, the second thickness region 10 and the third thickness region 12. The oxide layer on top of the silicon layer 6 comprises a gate oxide layer 18, a field oxide layer 20 and a drift oxide layer 22 which are provided on the thickness regions 8, 10, 12 respectively of the silicon layer 6. The thin film lateral SOI device 40 of the invention as shown in Figure 2 consists of a gate 42 located above a channel region 38 and extending as a field plate 44 above the gate-oxide layer 18 and the field oxide layer 20. Depending on thickness the SOI regions 10 and 12 and the thickness of the drift oxide layer 22 the gate field plate ends at this transition 24, thereby allowing a thickness-matched further dielectric layer 46 to be inserted between field-plate 48 and SOI film 12. This means that the polysilicon gate 42 is ending at the transition 24 from field oxide (FOx) of the first silicon layer thickness region 8 to the drift oxide (DOx) of the second silicon layer thickness region 10.
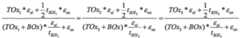
At least the gate 42 and the field plate 44 and the drift oxide layer 22 are covered by the further oxide layer 46. A further field plate 48 extends from the source 32 across the further oxide layer 46 to almost an end of the drift oxide layer 22 and covers the further oxide layer 46. As the gate 42 ends at the transition 24 between the field oxide layer 20 and the drift oxide layer 22 , the further oxide layer 46 and the further field plate 48 are extending smoothly across the gate extension and the field oxide as there is no step in this area as in the device of the state of art. The fact that the step of the device of the state of art is missing, further improves the desired functionality of the device. The further field plate 48 may be embodied by an extension of the source 32 and may consist of a metal layer. Thereby, it is possible to maintain a smooth minimum electron potential plane B (Figure 2). The potential minimum of the electrons in the silicon layer in the device of Figure 1 is expressed by a relationship between top-oxide thickness (TOx), buried oxide thickness (BOx), and silicon-film thickness (tSoι) as follows:
Oxla + -tSOIι (1)
Figure imgf000008_0001
for the first oxide layer thickness region 20, and
TOx2 *£si"*"n 'SOI,
(2)
(TOx2 +BOx) *-^- + εox
*SOI2 for the drift oxide layer 20 plus the thickness of the further oxide layer 34, wherein: BOx is the thickness of the buried oxide layer 4 TO l is the thickness of the field oxide layer 20 TOx2 is the thickness of the drift oxide layer 22 plus the thickness of the further oxide layer 46 tson is the thickness of the second thickness silicon region 10 tsoi2 is the thickness of the third thickness silicon region 12 € si is the dielectric constant of silicon e ox is the dielectric constant of the oxide. As an example, the device of the state of art shown in Figure 1, has with tsoil
= 1.0 μm, TOxl = 775 nm, BOx = 3 μm, tsoi2 = 425 nm, and TOx2=2.0 μm a change in potential minimum from 233 nm to 168 nm above buried oxide at the oxide transition, and back to 195 nm at the transition from polysilicon to field plate 28 to the metal field-plate 36. This is shown by line A in Figure 1. The potential minimum of the electrons in the silicon layer in the device of
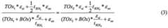
Figure 2 is selected according to the following relationship between top-oxide thickness (TOx), buried oxide thickness (BOx), and silicon-film thickness (tSOI) as follows:
Figure imgf000009_0001
wherein: TOxl is the total thickness of all dielectric layers under the field plate to the left of the transition (24)
TOx2 is the thickness of all dielectric layers under the field plate to the right of the transition (24)
BOx is the thickness of the buried oxide layer tson is the thickness of the silicon on insulator layer to the left of the transition (24) tsoi2 s the thickness of the silicon on insulator layer to the right of the transition (24) e si is the dielectric constant of silicon e ox is the dielectric constant of the dielectric. In other words, by selecting the thickness parameters in the two regions of the drift region such that the left hand term of the equation equals the right hand term thereof, the vertical displacement of the potential well for electrons in the SOI layer (region 10) can be leveled out as shown by line B in Figure 2.
The device of the invention shown in Figure 2 results in a transition from 233 to 246 nm or one fifth of the previous value by merging the end of the field plate into the transition 24 and by choosing tsoil = 1 μm, tsoi2 = 560 nm, TOxl = 0,775 μm, TOx2 = 2.3 μm and BOx = 3 μm. Tuning the thickness of the buried oxide and the silicon layer according the equating (3) results in a reduction of the depth of the potential trough.
Another embodiment of the thin film lateral SOI device 50 of the invention is shown in Figure 3 in which the same reference numerals are used for the same parts as in Figures 1 and 2.
In the device 50, the further field plate is embodied by a first metal layer 52 and a second metal layer 54, the second metal layer being isolated from the first metal layer 52, by an oxide layer 56. The second metal layer 54 may be connected to the source, to the gate or to a separate potential. As can be seen from Fig. 3, there is a further change in the thickness of the SOI layer below the field plate 54 resulting in a SOI thickness regions 12 and 14 where the SOI region 14 has again a smaller thickness as compared to the thickness of the SOI region 12.
For the device of the invention shown in Figure 3, the following equation is valid:
Figure imgf000010_0001
wherein: BOx is the thickness of the buried oxide layer 4
TOxl is the total thickness of all dielectric layers below the field plate to the left of the transition 24
TOx2 is the thickness of all dielectric layers under the field plate to the right of the transition 24, i.e. the thickness of the drift dielectric layer 22 plus the thickness of the further dielectric layer 46
TOx3 is the thickness of all dielectric layers under the further field plate 54, i.e. the thickness of the third dielectric layer thickness region plus the thickness of the further dielectric layer 46 plus the thickness of the dielectric layer 56 tson the thickness of the first silicon layer thickness region 10 tson the thickness of the second silicon layer thickness region 12 tson is the thickness of the third silicon layer thickness region 14 to the right of the second silicon layer thickness region 12
€ si is the dielectric constant of silicon e ox is the dielectric constant of the dielectric. In the device of the invention shown in Figure 3, tson = 1 m, tsoi2 = 560 nm, TOxl = 0,775 μm, tSOi2 = 560 nm, TOx2 = 2.3 μm, tSoi3 = 425 nm and TOx3 = 3.1 μm, and BOx = 3 μm, and the electron potential is 215 nm above the buried oxide to silicon layer interface, symmetric in the center of the silicon layer. Also in this embodiment, the vertical displacement of the potential well for electrons in the SOI layer (region 12,14) can be leveled out as shown by line C in Figure 3.
New characteristics and advantages of the invention covered by this document have been set forth in the foregoing description. It will be understood, however, that this disclosure is, in many respects, only illustrative. Changes may be made in details, particularly in matters of shape, size, and arrangement of parts, without exceeding the scope of the invention. The scope of the invention is, of course, defined in the language in which the appended claims are expressed.

Claims

CLAIMS:
1. A thin film lateral SOI device comprising: a substrate and a buried oxide layer (4) (BOx) as a dielectric layer on the substrate; a silicon layer (6) on the buried oxide layer, the silicon layer comprising a first thickness silicon region (8), a second thickness silicon region (10) having a thickness smaller than the first thickness silicon region (8) and a third thickness silicon region (12) having a thickness smaller than the second thickness silicon region (10); a dielectric layer (TOx) on top of the silicon layer (6), comprising a gate dielectric layer (18) on top of the first thickness silicon region (8), a field dielectric layer (20) on top of the second thickness silicon region (10), the field dielectric layer (20) having a thickness larger than the thickness of the gate dielectric layer (18), and a drift dielectric layer (22) on top of the third thickness silicon region (12) the drift dielectric layer (22) having a thickness larger than the thickness of the drift dielectric layer (20); a gate (42) on top of the gate dielectric layer (18) above a channel region (38); a field plate (44) extending across the field dielectric layer (20); a drain (30) laterally spaced to the third thickness silicon region (12) of the silicon layer (6); and a source (32) laterally separated from the gate.
2. The thin film SOI device of claim 1 , wherein the dielectric layers are oxide layers preferably produced by a LOCOS process.
3. The thin film SOI device of claim 1 or 2, wherein the gate (42) terminates at a transition (24) between the field dielectric layer (20) and the drift dielectric layer (24).
4. The thin film SOI device of claim 1 ,2 or 3, comprising a further dielectric layer (46) covering at least the gate (42) and the drift dielectric layer (22)
5. The thin film SOI device of any of the preceding claims, comprising a further field plate (48; 52, 54) extending across the further dielectric layer (46).
6. The thin film SOI device of claim 5, wherein the further field plate (48; 52, 54) extends to almost an end of the drift dielectric layer (22).
7. The thin film SOI device of claim 5 or 6, wherein the further field plate (48; 52, 54) is connected to the source (32).
8. The thin film SOI device of claim 1 , wherein the gate (42) consists of polysilicon.
9. The thin film SOI device of claim 5, wherein the further field plate (48) consists of a metal.
10. The thin film SOI device of claim 5, wherein the further field plate consists of a first metal layer (52) and a second metal layer (54), the second metal layer (54) being isolated from the first metal layer (52).
11. The thin film SOI device of claim 10, wherein the second metal layer (91) is isolated from the first metal layer (52) by a dielectric layer (56).
12. The thin film SOI device of any of the preceding claims, wherein the thickness of SOI and dielectric are related according to the following formula:
TOxx * εsi + — tSO ε0
Figure imgf000013_0001
* _; "t* frlsπoiιr, ό -
(TOxx + BOx) * + ε TOx + BOx * + εox
Figure imgf000013_0002
wherein: TOxl is the total thickness of all dielectric layers under the field plate to the left of the transition (24)
TOx2 is the thickness of all dielectric layers under the field plate to the right of the transition (24) BOx is the thickness of the buried oxide layer tson is the thickness of the silicon on insulator layer to the left of the transition (24) tsoκ is the thickness of the silicon on insulator layer to the right of the transition (24) e si is the dielectric constant of silicon
€ ox is the dielectric constant of the dielectric.
13. The thin film SOI device of any of the claims 1 to 11, wherein the thickness of
SOI and dielectric are related according to the following formula:
Figure imgf000014_0001
wherein: BOx is the thickness of the buried oxide layer (4)
TOxl is the total thickness of all dielectric layers below the field plate to the left of the transition (24)
TOx2 is the thickness of all dielectric layers under the field plate to the right of the transition (24), i.e. the thickness of the drift dielectric layer (22) plus the thickness of the further dielectric layer (46)
TOx3 is the thickness of all dielectric layers under the further field plate (48), i.e. the thickness of the third dielectric layer thickness region plus the thickness of the further dielectric layer (46) plus the thickness of the dielectric layer (56) tson is the thickness of the first silicon layer thickness region (10) tsoi2 is the thickness of the second silicon layer thickness region (12) tson is the thickness of the third silicon layer thickness region (14) to the right of the second silicon layer thickness region (12)
€ si is the dielectric constant of silicon e ox is the dielectric constant of the dielectric.
PCT/IB2002/0044122001-11-012002-10-22Lateral soi field-effect transistorWO2003038905A2 (en)

Priority Applications (1)

Application NumberPriority DateFiling DateTitle
AU2002339582AAU2002339582A1 (en)2001-11-012002-10-22Lateral soi field-effect transistor

Applications Claiming Priority (2)

Application NumberPriority DateFiling DateTitle
EP012042032001-11-01
EP01204203.22001-11-01

Publications (2)

Publication NumberPublication Date
WO2003038905A2true WO2003038905A2 (en)2003-05-08
WO2003038905A3 WO2003038905A3 (en)2003-10-23

Family

ID=8181182

Family Applications (1)

Application NumberTitlePriority DateFiling Date
PCT/IB2002/004412WO2003038905A2 (en)2001-11-012002-10-22Lateral soi field-effect transistor

Country Status (3)

CountryLink
AU (1)AU2002339582A1 (en)
TW (1)TW200406924A (en)
WO (1)WO2003038905A2 (en)

Cited By (15)

* Cited by examiner, † Cited by third party
Publication numberPriority datePublication dateAssigneeTitle
WO2005114743A3 (en)*2004-05-112006-05-04Cree IncWide bandgap transistors with multiple field plates
WO2007069188A3 (en)*2005-12-142007-12-13Nxp BvMos transistor and a method of manufacturing a mos transistor
GB2451122A (en)*2007-07-202009-01-21X Fab Uk LtdLow threshold voltage transistor with non-uniform thickness gate dielectric
US7501669B2 (en)2003-09-092009-03-10Cree, Inc.Wide bandgap transistor devices with field plates
US7550783B2 (en)2004-05-112009-06-23Cree, Inc.Wide bandgap HEMTs with source connected field plates
US7592211B2 (en)2006-01-172009-09-22Cree, Inc.Methods of fabricating transistors including supported gate electrodes
US7692263B2 (en)2006-11-212010-04-06Cree, Inc.High voltage GaN transistors
US7709269B2 (en)2006-01-172010-05-04Cree, Inc.Methods of fabricating transistors including dielectrically-supported gate electrodes
US8283699B2 (en)2006-11-132012-10-09Cree, Inc.GaN based HEMTs with buried field plates
CN103633136A (en)*2012-08-202014-03-12上海华虹宏力半导体制造有限公司Ldmos device and manufacturing method thereof
US8823057B2 (en)2006-11-062014-09-02Cree, Inc.Semiconductor devices including implanted regions for providing low-resistance contact to buried layers and related devices
US9679981B2 (en)2013-06-092017-06-13Cree, Inc.Cascode structures for GaN HEMTs
US9773877B2 (en)2004-05-132017-09-26Cree, Inc.Wide bandgap field effect transistors with source connected field plates
US9847411B2 (en)2013-06-092017-12-19Cree, Inc.Recessed field plate transistor structures
US11791385B2 (en)2005-03-112023-10-17Wolfspeed, Inc.Wide bandgap transistors with gate-source field plates

Families Citing this family (1)

* Cited by examiner, † Cited by third party
Publication numberPriority datePublication dateAssigneeTitle
TWI584473B (en)*2016-08-102017-05-21亞洲大學Half bridge high voltage level shifter and method for manufacturing the same

Family Cites Families (4)

* Cited by examiner, † Cited by third party
Publication numberPriority datePublication dateAssigneeTitle
US6346451B1 (en)*1997-12-242002-02-12Philips Electronics North America CorporationLaterial thin-film silicon-on-insulator (SOI) device having a gate electrode and a field plate electrode
EP0965145B1 (en)*1997-12-242011-09-21Nxp B.V.A high voltage thin film transistor with improved on-state characteristics and method for making same
DE19800647C1 (en)*1998-01-091999-05-27Siemens AgSOI HV switch with FET structure
US6232636B1 (en)*1998-11-252001-05-15Philips Electronics North America CorporationLateral thin-film silicon-on-insulator (SOI) device having multiple doping profile slopes in the drift region

Cited By (33)

* Cited by examiner, † Cited by third party
Publication numberPriority datePublication dateAssigneeTitle
US7928475B2 (en)2003-09-092011-04-19Cree, Inc.Wide bandgap transistor devices with field plates
US9397173B2 (en)2003-09-092016-07-19Cree, Inc.Wide bandgap transistor devices with field plates
US8120064B2 (en)2003-09-092012-02-21Cree, Inc.Wide bandgap transistor devices with field plates
US7501669B2 (en)2003-09-092009-03-10Cree, Inc.Wide bandgap transistor devices with field plates
JP2013153189A (en)*2004-05-112013-08-08Cree IncWide-bandgap transistors with multiple field plates
WO2005114743A3 (en)*2004-05-112006-05-04Cree IncWide bandgap transistors with multiple field plates
US8664695B2 (en)2004-05-112014-03-04Cree, Inc.Wide bandgap transistors with multiple field plates
EP2538446A3 (en)*2004-05-112014-01-15Cree, Inc.Wide bandgap transistors with multiple field plates
US7915644B2 (en)2004-05-112011-03-29Cree, Inc.Wide bandgap HEMTs with source connected field plates
US7550783B2 (en)2004-05-112009-06-23Cree, Inc.Wide bandgap HEMTs with source connected field plates
US7573078B2 (en)2004-05-112009-08-11Cree, Inc.Wide bandgap transistors with multiple field plates
US8592867B2 (en)2004-05-112013-11-26Cree, Inc.Wide bandgap HEMTS with source connected field plates
US9773877B2 (en)2004-05-132017-09-26Cree, Inc.Wide bandgap field effect transistors with source connected field plates
US11791385B2 (en)2005-03-112023-10-17Wolfspeed, Inc.Wide bandgap transistors with gate-source field plates
US7576387B2 (en)2005-12-142009-08-18Nxp B.V.MOS transistor and method of manufacturing a MOS transistor
WO2007069188A3 (en)*2005-12-142007-12-13Nxp BvMos transistor and a method of manufacturing a mos transistor
US7960756B2 (en)2006-01-172011-06-14Cree, Inc.Transistors including supported gate electrodes
US8049252B2 (en)2006-01-172011-11-01Cree, Inc.Methods of fabricating transistors including dielectrically-supported gate electrodes and related devices
US7709269B2 (en)2006-01-172010-05-04Cree, Inc.Methods of fabricating transistors including dielectrically-supported gate electrodes
US7592211B2 (en)2006-01-172009-09-22Cree, Inc.Methods of fabricating transistors including supported gate electrodes
US9984881B2 (en)2006-11-062018-05-29Cree, Inc.Methods of fabricating semiconductor devices including implanted regions for providing low-resistance contact to buried layers and related devices
US8823057B2 (en)2006-11-062014-09-02Cree, Inc.Semiconductor devices including implanted regions for providing low-resistance contact to buried layers and related devices
US8283699B2 (en)2006-11-132012-10-09Cree, Inc.GaN based HEMTs with buried field plates
US8933486B2 (en)2006-11-132015-01-13Cree, Inc.GaN based HEMTs with buried field plates
US7692263B2 (en)2006-11-212010-04-06Cree, Inc.High voltage GaN transistors
US9041064B2 (en)2006-11-212015-05-26Cree, Inc.High voltage GaN transistor
US9450081B2 (en)2006-11-212016-09-20Cree, Inc.High voltage GaN transistor
US8169005B2 (en)2006-11-212012-05-01Cree, Inc.High voltage GaN transistors
US7893500B2 (en)2006-11-212011-02-22Cree, Inc.High voltage GaN transistors
GB2451122A (en)*2007-07-202009-01-21X Fab Uk LtdLow threshold voltage transistor with non-uniform thickness gate dielectric
CN103633136A (en)*2012-08-202014-03-12上海华虹宏力半导体制造有限公司Ldmos device and manufacturing method thereof
US9679981B2 (en)2013-06-092017-06-13Cree, Inc.Cascode structures for GaN HEMTs
US9847411B2 (en)2013-06-092017-12-19Cree, Inc.Recessed field plate transistor structures

Also Published As

Publication numberPublication date
TW200406924A (en)2004-05-01
WO2003038905A3 (en)2003-10-23
AU2002339582A1 (en)2003-05-12

Similar Documents

PublicationPublication DateTitle
US8741736B2 (en)Semiconductor device with improved on-resistance
WO2003038905A2 (en)Lateral soi field-effect transistor
US10205001B2 (en)Hybrid active-field gap extended drain MOS transistor
EP1684357B1 (en)High voltage semiconductor devices
US7648879B2 (en)High-voltage vertical transistor with a multi-gradient drain doping profile
US8633539B2 (en)Trench transistor and manufacturing method of the trench transistor
CN111987148A (en)Integrated chip, high-voltage device and method for forming high-voltage transistor device
EP0549042A2 (en)Improved high voltage thin film transistor having a drift region with a linear doping profile and a field plate
EP1536464A2 (en)Method of making high-voltage semiconductor devices
US6870219B2 (en)Field effect transistor and method of manufacturing same
US8779505B2 (en)Quasi-vertical structure for high voltage MOS device
US20040262685A1 (en)Thin film lateral soi power device
US20020089022A1 (en)Semiconductor arrangement with transistor gate insulator
US20130292765A1 (en)Semiconductor device having a drain-gate isolation portion
JP6084357B2 (en) Semiconductor device
US20120248533A1 (en)Field plate and circuit therewith
US20250151321A1 (en)Semiconductor device having a trench field electrode with a first section buried below a gate electrode a second section for contacting
US7112847B1 (en)Smooth fin topology in a FinFET device
US12249646B2 (en)Double-diffused metal-oxide-semiconductor transistor including a recessed dielectric
US11949010B2 (en)Metal oxide semiconductor device and method for manufacturing the same
CN115842055A (en)Semiconductor die including a device
CN119170645A (en) LDMOS transistor
CN119170646A (en) LDMOS transistor
HK1092279B (en)Method of forming a low capacitance semiconductor device and structure therefor
HK1092279A1 (en)Method of forming a low capacitance semiconductor device and structure therefor

Legal Events

DateCodeTitleDescription
AKDesignated states

Kind code of ref document:A2

Designated state(s):AE AG AL AM AT AU AZ BA BB BG BR BY BZ CA CH CN CO CR CU CZ DE DK DM DZ EC EE ES FI GB GD GE GH GM HR HU ID IL IN IS JP KE KG KP KR KZ LC LK LR LS LT LU LV MA MD MG MK MN MW MX MZ NO NZ OM PH PL PT RO RU SD SE SG SI SK SL TJ TM TN TR TT TZ UA UG US UZ VC VN YU ZA ZM ZW

ALDesignated countries for regional patents

Kind code of ref document:A2

Designated state(s):GH GM KE LS MW MZ SD SL SZ TZ UG ZM ZW AM AZ BY KG KZ MD RU TJ TM AT BE BG CH CY CZ DE DK EE ES FI FR GB GR IE IT LU MC NL PT SE SK TR BF BJ CF CG CI CM GA GN GQ GW ML MR NE SN TD TG

121Ep: the epo has been informed by wipo that ep was designated in this application
122Ep: pct application non-entry in european phase
NENPNon-entry into the national phase

Ref country code:JP

WWWWipo information: withdrawn in national office

Country of ref document:JP


[8]ページ先頭

©2009-2025 Movatter.jp