Movatterモバイル変換


[0]ホーム

URL:


WO2003006091A1 - Infusion apparatus for regulating blood sugar levels and method thereof - Google Patents

Infusion apparatus for regulating blood sugar levels and method thereof
Download PDF

Info

Publication number
WO2003006091A1
WO2003006091A1PCT/AU2002/000935AU0200935WWO03006091A1WO 2003006091 A1WO2003006091 A1WO 2003006091A1AU 0200935 WAU0200935 WAU 0200935WWO 03006091 A1WO03006091 A1WO 03006091A1
Authority
WO
WIPO (PCT)
Prior art keywords
blood sugar
infusion
offset
sugar levels
regulating blood
Prior art date
Application number
PCT/AU2002/000935
Other languages
French (fr)
Inventor
Frederick Howe-Hui Chee
Tyrone Fernando
Vernon Van Heerden
Original Assignee
The University Of Western Australia
Priority date (The priority date is an assumption and is not a legal conclusion. Google has not performed a legal analysis and makes no representation as to the accuracy of the date listed.)
Filing date
Publication date
Application filed by The University Of Western AustraliafiledCriticalThe University Of Western Australia
Publication of WO2003006091A1publicationCriticalpatent/WO2003006091A1/en

Links

Classifications

Definitions

Landscapes

Abstract

An infusion apparatus (1) for regulating blood sugar levels of a patient, the apparatus (1) comprising a controller (2), a sensor system (7) and an infusion system (8). Both the sensor system (7) and the infusion system (8) is at least in data communication with the controller (2). The sensor system (7) comprises a sensor (3) and a sensor interface (4). The sensor system (7) is operable to regularly measure the blood sugar level of a patient and provide a sensor signal to the controller (2) in response to the measured blood sugar level. The controller (2) then calculates the required infusion rate, in response to the received sensor signal, and provides a control signal to the infusion system (8). The infusion system (8) comprises a pump (5) and a pump interface (6) and is operable, in response to the control signal, to deliver medication for regulating blood sugar levels at the calculated infusion rate. This process continuously repeats to form a feedback loop, the loop executing in a manner such that the patient is medicated at predetermined intervals.

Description

"Infusion Apparatus for Regulating Blood Sugar Levels and Method
Therefor"
Field of the Invention
The present invention relates to an Infusion Apparatus, particularly, although not exclusively, for regulating the levels of blood sugar levels in humans and a method for doing same.
Throughout the specification, unless the context requires otherwise, the word "comprise" or variations such as "comprises" or "comprising", will be understood to imply the inclusion of a stated integer or group of integers but not the exclusion of any other integer or group of integers.
Background Art
The pancreas of a healthy person secretes insulin, which is important in the regulation of the metabolism of carbohydrates, proteins and fats. Insulin increases the storage of glucose, fatty acids and amino acids. Normally, the pancreas constantly delivers small amounts of insulin into the bloodstream to keep the blood glucose concentration within the normal range. But the balance between insulin delivery and blood glucose concentration is impaired in pel sons with diabetes, and this results in occasional or persistently high blood glucose values. The human body may also be unable to produce enough insulin during times of stress such as critical illness. The administration of exogenous insulin to control the blood glucose concentration is therefore essential for these critically ill patients to maintain a normal Blood Sugar Level ("BSL") and avoid short and long-term complications.
Glycernsc control in critically lil patients in Intensive Care has usually been achieved by a sliding scale method that matched blood glucose level to a set dose of insufin ln general, the sliding scale method assigns a specific dose of insulin (in units per hour) depending upon the measured BSL within a range. As an example, a sliding scale for intravenous ("IV") insulin infusion, in the Coronary Care Unit ("CCU") of a hospital in Perth, has the following partition:
• soluble insulin is infused at the rate of 1 unit per hour for plasma glucose levels in the range 4-8 mmol/L;
• at a rate of 2 units per hour for plasma glucose levels 8-12 mmol/L; and
• at a rate of 4 units per hour if plasma glucose levels exceed 12 mmol/L.
Blood sugar levels are monitored every 1-2 hours.
It is also considered better to accept moderate hyperglycae ia (that is a BSL of 10-15 mmol/L) than to allow the risk of hypoglycaemia (that is a BSL <5 mmol/L).
However, any prescribed sliding scale may be less effective if the patient's insulin sensitivity/resistance changes with time, and under various conditions. These changes may be due to either an aggravation or amelioration of the patient's medical condition. In such a situation, the nursing staff need to control the patient's BSL based on clinical experience, or other clinical techniques, rather than using scale rules. Technique such as titration method has been employed where blood glucose level was halved, doubled, or logarithmically scaled in an attempt to lower and maintain blood sugar level to within a target range. Obviously, this can have implications for the patient's care, as how well blood sugar level can be controlled depends on the experience in using these techniques, and experience can be limited. Also, human errors may occur.
Disclosure of the Invention
In accordance with a first aspect of the present invention, there is provided an infusion apparatus for regulating blood sugar levels of a patient, the apparatus comprising: • a controller;
* a sensor system and an infusion system, each at least in data communication with the controller, the sensor system being operable to regularly measure the blood sugar level of a patient and provide a sensor signal to the controller in response to the measured blood sugar level,
wherein the controller calculates the required infusion rate, in response to the received sensor signal, and provides a control signal to the infusion system at predetermined intervals; the infusion system being operable, in response to the control signal, to deliver medication for regulating blood sugar levels at the calculated infusion rate.
Preferably, the infusion rate is determined by the equation:
Infusion rate~ basic rate + offset
Where the basic rate is one of a plurality of first values representative of a plurality of adjacent blood sugar level ranges, the controller being operable to determine which range a current measured blood sugar level resides in, and the offset is a second value representative of how effective the current infusion dose is in assisting in regulating the patient's blood sugar level.
More preferably, the offset is initially determined by subtracting the basic rate from the initial predetermined infusion rate, and subsequently incremented when there is a positive change or there is no change in the current basic rate when compared with the previous basic rate.
Preferably, the controller is further operable to determine when the measured blood sugar level is within a desired range.
More preferably, the desired range is -a blood sugar level between 6.1 and 10 mmol/L. More preferably still, the desired range is a blood sugar level between 6.1 and 8 mmol/L
Preferably, when the patient's blood sugar level is within the desired range, the infusion dose is calculated as follows:
x Previous dose, where BSL first enters 6 - 8 mmol/L from above
Infusion dose 0, where BSL < 6 mmol/L
Previous dose + 1 , where BSL first enters 6-10 mmol/L from below
Figure imgf000006_0001
More preferably, the new offset is calculated by subtracting the basic rate from the infusion dose, except in the situation where the infusion dose is 0, when the new offset is set to -1, and thereafter the offset being subsequently incremented when there is a positive change or there is no change in the current base rate when compared with the previous base rate.
Alternatively, the infusion rate is determined by the equation:
Infusion dose = Basic dose + Offset (n) + Derivative control
Where the basic rate is one of a plurality of first values representative of a plurality of adjacent blood sugar level ranges, the controller being operable to determine which range a current measured blood sugar level resides in, Offset (n) is a second value representative of how effective the current infusion dose is in assisting in regulating the patient's blood sugar level and Derivative control ι$ a third value representative of the current increasing trend, if any, in infusion doses.
More preferably, Offset (n) is calculated as follows:
f Prescribed dose by user - BSL Region, t =* 0, and n = 0 Offset'00 = {
{ TopUp + OffseUn -t), t > 0 and n > 0
where: t = time;
n is an index to Offset; and
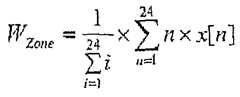
TopUp is calculated as follows:
4Uhr, ifZoιω>4.5
2U/hr, if3.6≤WZone 4.5
TopUp = lUΛir, if2.7≤W2uιte <3.6
OU/hr, if W, < ? 7
in which W^** is calculated as follows:
Figure imgf000007_0001
xπ/ representing a set of a basic rates, a being the basic rate as determined by the most recent blood sugar level measurement
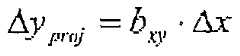
More preferably, Derivative control is calculated as follows:
6 U/hr, if Δypro| > 2 mmol/L
Derivative Control = 4 U'tir. jf 1 < Δypri| < 2 mmolL 0 Uhr, if ΔyprϋJ < 1 mmolL
where:
Δy W = 6_ Δx
and
Figure imgf000007_0002
in which:
Xmax = maximum time value in the 30 min window
Xmin - minimum time value in the 30 min window ymax - maximum BSL value in the 30 min window
Y in ~ minimum BSL value in the 30 min window
Figure imgf000008_0001
— _ J m;«l - nin
Still more preferably, when the patient's blood sugar level is within the desired range and after previously being in a higher range, the infusion dose is calculated as follows:
Infusion dose = k . (Immediately previous Infusion dose - Derivative control) +
Derivative control
in which k is calculated as follows
L _ J ^- ' ^α ' BSLcrβ .lJ cnmαl'Lti iumi.ivy * BSLciv.slOmmol' bauiJ.tt} <>'- ΩlinUteS
10.S5, otherwise
and t is time.
Alternatively, wnen the patient's blood sugar level is within the desired range and after previously being in a higher range, the infusion dose is calculated as follows:
Infusion dose = k . (Immediately previous Infusion dose - Derivative control) +
Derivative control
in which A' is calculated as follows _ TOUlUteS
Figure imgf000009_0001
and t is time.
More preferably, Offset (n) is calculated as follows:
Offset (n) = infusion dose - derivative control - basic rate
provided that if the value of Offset (n) is negative, Offset (n) is set to -1.
In a further alterative, when the patient's blood sugar level is within the range 8.1 mmol/L to 10.0 mmol/L and after previously measuring a lower blood sugar level, the infusion dose is calculated as follows:
Infusion dose = Basic rate + Offset (n)
Where:
Basic rate is one of a plurality of first values representative of a plurality of adjacent blood sugar level ranges, the controller being operable to determine which range a current measured blood sugar level resides in, and
Offset (n) = Offset (n - 1) + 1
In a still further alternative, when the patient's blood sugar level is within the range 10.1 mmol/L to 12.0 mmol/L and after previously measuring a lower blood sugar level, the infusion dose is calculated as follows:
Infusion dose = Basic rate + Offset (π)
where: Basic rate is one of a plurality of first values representative of a plurality of adjacent blood sugar level ranges, the controller being operable to determine which range a current measured blood sugar level resides in, and
Offset (n) - Offset (n - 1)
Preferably, the Offset value, or the value of Offset (n), as appropriate, is determined at regular predetermined intervals.
More preferably, the predetermined intervals are determined by the half-life or duration of action of the medication for regulating blood sugar levels being used.
Still more preferably, the predetermined interval is determined by multiplying the half-life or duration of action of the medication for regulating blood sugar levels being used by from 0. 25 to 2.
In a yet further preferable embodiment, the predetermined interval is determined by multiplying the half-life or duration of action of the medication for regulating blood sugar levels being used by from 0.25 to 1 ,5.
In a yet further preferable embodiment, predetermined interval is determined by multiplying the half-life or duration of action of the medication for regulating blood sugar levels being used by from 0.5 to 1.
In a yet further preferable embodiment, the predetermined interval is equal to the half-life or duration of action of the medication for regulating blood sugar levels being used.
Still more preferably, the predetermined interval is 1 hour.
Preferably, the controller confirms a change in the range of the basic rate if at least two of the last three blood sugar level measurements fall within the new range. Preferably, the controller confirms a change in the range of the basic rate in situations where the last three blood sugar levels measurements each fall within a new range, the change in range of the basic rate being equal to the range as determined by the second most recent blood sugar level measurement.
Preferably, the sensor system comprises a sensor and a sensor interface and the sensor interface is integral with either the controller or the sensor.
Preferably, the infusion system comprises a pump and a pump interface and the pump interface is integral with either the controller or the pump.
Preferably, at least one of the sensor system or the infusion system is in wireless communication with the controller.
Preferably, the controller comprises a microprocessor and the microprocessor references a static memory location, wherein the static memory location is a memory address positioned on a removable memory, the static memory location being the start location for instructions representing the algorithm used to determine the required infusion rate.
In accordance with a first aspect of the present invention, there is provided a method of regulating blood sugar levels comprising:
e Measuring the blood sugar level of a patient;
• Calculating the required infusion rate of medication for regulating blood sugar levels based on the blood sugar level measurement; and
• Delivering to the patient the medication for regulating blood sugar levels at the required infusion date determined.
Preferably, the step of calculating the required infusion rate of medication for regulating blood sugar levels based on the blood sugar level measurement is determined according to the equation: Infusion rate = basic rate + offset
Where the basic rate is one of a plurality of first values representative of a plurality of adjacent blood sugar level ranges and the offset is a second value representative of how effective the current infusion dose is in assisting in regulating the patient's blood sugar level.
More preferably, the offset is determined by subtracting the basic rate from the initial predetermined infusion rate, and subsequently incremented when there is a positive change or there is no change in the current basic rate when compared with the previous basic rate.
Preferably, the method further comprises the step of determining whether the measured blood sugar level is within a desired range.
More preferably, the desired range is a blood sugar level between 6.1 and 10 mmol/L.
Still more preferably, the desired range is a blood sugar level between 6.1 and 8 mmol/L,
Preferably, when the patient's blood sugar level is within the desired range, the infusion dose is calculated as follows:
l^xPrevious dose, where BSL first enters 6-8 mmol/L from above
Infusion dose ~ 1 0, where BSL ≤ 6 rnmol/L
Previous dose + 1 , where BSL first enters 8-10 mmol/L from below
More preferably, the new offset is calculated by subtracting the basic rate from the infusion dose, except in the situation where the infusion dose is 0, when the new offset is set to -1 , and thereafter the offset being subsequently incremented when there is a positive change or there is no change in the current base rate when compared with the previous base rate. Preferably, the step of calculating the required infusion rate of medication for regulating blood sugar levels based on the blood sugar level measurement is determined according to the equation:
Infusion dose = Basic dose + Offset (n) + Derivative control
Where the basic rate is one of a plurality of first values representative of a plurality of adjacent blood sugar level ranges, the controller being operable to determine which range a current measured blood sugar level resides in, Offset (n) is a second value representative of how effective the current infusion dose is in assisting in regulating the patient's blood sugar level and Derivative control is a third value representative of the current increasing trend, if any, in infusion doses.
More preferably, Offset (n) is calculated as follows:
[Prescribed dose by user - BSL Region, t = 0, and n - 0
Offsel(n) = -
TopUp + Of_set(n -l), t > 0 andn > 0
where:
t = time;
n is an index to Offset; and
TopUp is calculated as follows:
TopUp
Figure imgf000013_0001
in which Wzone is calculated as follows:
Figure imgf000014_0001
xfnj representing a set of a basic rates, a being the basic rate as determined by the most recent blood sugar level measurement.
More preferably, Derivative control is calculated as follows:
6 U/hr, if Δyproj ≥ 2 mmol/L
Derivative Control - 4 U/hr, if 1 ≤ Ayproj < 2 mmol/L OU/hr, if Δy . < 1 mmol/L
where:
Λϊ ^rø,// - K Δ*
and
Figure imgf000014_0002
in which:
λ' βx = maximum time value in the 30 min window
Xmm - minimum time value in the 30 min window
Ymax ~ maximum BSL value in the 30 min window
Y ~ minimum BSL value in the 30 min window
X ~ - V
Figure imgf000014_0003
Alternatively, when the patient's blood sugar level is within the desired range and after previously being in a higher range, the step of calculating the required infusion rate of medication for regulating blood sugar levels based on the blood sugar level measurement is determined according to the equation:
Infusion dose = k . (Immediately previous Infusion dose - Derivative control) +
Derivative control
in which k is calculated as follows
Ir - ttlinUteS
Figure imgf000015_0001
and t is time.
In a further alternative, when the patient's blood sugar level is within the desired range and after previously being in a higher range, the step of calculating the required infusion rate of medication for regulating blood sugar levels based on the blood sugar level measurement is determined according to the equation;
Infusion dose = k . (Immediately previous Infusion dose - Derivative control) + Derivative control
in which k is calculated as follows
I 0.50, 11 tHS, .ςrosEBmmoi Ltoumsltirv t BSL -τo»*lU mmol/L boundary < 45 mi UtβS ft. = '.
[ 0.80, otherwise
and t is time.
More preferably, Offset (n) is calculated as follows:
Offset (n) = infusion dose - derivative control - basic rate
provided that if the value of Offset (n) is negative, Offset (n) is set to -1. In a yet further alternative, when the patient's blood sugar level is within the range 8.1 mmol/L to 10.0 mmol/L and after previously measuring a lower blood sugar level, the step of calculating the required infusion rate of medication for regulating blood sugar levels based on the blood sugar level measurement is determined according to the equation:
Infusion dose = Basic rate + Offset (n)
where:
Basic rate is one of a plurality of first values representative of a plurality of adjacent blood sugar level ranges, the controller being operable to determine which range a current measured blood sugar level resides in, and
Offset (n) = Offset (n - 1) + 1
In yet a further alternative, when the patient's blood sugar level is within the range 10.1 mmol/L to 12.0 mmol/L and after previously measuring a lower blood sugar level, the step of calculating the required infusion rate of medication for regulating blood sugar levels based on the blood sugar level measurement is determined according to the equation:
infusion dose = Basic rate + Offset (n)
where:
Basic rate is one of'a plurality of first values representative of a plurality of adjacent blood sugar level ranges, the controller being operable to determine which range a current measured blood sugar level resides in, and
Offset (n) = Offset (n - 1)
Preferably, the method further includes the step of determining the Offset value, or the value of Offset (n), at regular predetermined intervals. More preferably, the predetermined intervals are determined by the half-life or duration of action of the medication for regulating blood sugar levels being used.
Still more preferably, the predetermined interval is determined by multiplying the half-life or duration of action of the medication for regulating blood sugar levels being used by from 0.125 to 2.
In yet a further preferable embodiment, the predetermined interval is determined by multiplying the half-life or duration of action of the medication for regulating blood sugar levels being used by from 0.25 to 1.5.
In yet a further preferable embodiment, the predetermined interval is determined by multiplying the half-life or duration of action of the medication for regulating blood sugar levels being used by from 0.5 to 1.
In yet a further preferable embodiment, the predetermined interval is equal to the half-life or duration of action of the medication for regulating blood sugar levels being used.
In yet a further preferable embodiment, the predetermined interval is 1 hour.
Preferably, the method further comprises the step of confirming a change in the range of the basic rate if at least two of the last three blood sugar level measurements fall within the new range.
Preferably, the method further comprises the step of confirming a change in the range of the basic rate in situations where the last three blood sugar levels measurements each fall within a new range, the change in range of the basic rate being equal to the range as determined by the second most recent blood sugar level measurement.
The present invention has the advantage that it adapts to patient's insulin sensitivity & insulin requirements in order to optimise insulin dose delivery. There is also compensation of the estimated insulin dose based on the past history and physiological status (e.g. hypoglycaemia, exercise etc) of the patient.
The present invention is therefore able to treat Type i & II diabetes rnellitus in both an ambulatory or hospitalised condition, both in critical illness and in less severe illness.
Brief Description of the Drawings
The invention will now be described, by way of example only, with reference to the accompanying drawings, in which:
Figure 1 is a schematic block diagram representing a first embodiment of a BSL Regulating and Monitoring Apparatus of the present invention;
Figure 2 is a schematic block diagram representing a second embodiment of a BSL Regulating and Monitoring Apparatus of the present invention;
Figure 3 is a schematic block diagram representing a third embodiment of a BSL Regulating and Monitoring Apparatus of the present invention;
Figure 4 is a graphical representation of the discretization process carried out during a section of the algorithm used by the apparatus of Figures 1 to 3; and
Figure 5 is a schematic illustration of the components of the apparatus of Figure 1
Best Mode(s) for Carrying Out the Invention
The apparatus 1 of the present invention comprises a controller 2, an infusion system 8 for dispensing insulin at a predetermined rate into the patient and a sensor system 7 for measuring the BSL of a patient.
The infusion system 8 is coupled to the controller 2. The infusion system 8 comprises a pump 5 and pump interface 6. The sensor system 7 comprises a sensor 3 and a sensor interface 4. The sensor interface 4 provides an interface between the sensor 3 and the controller 2. The pump interface 6 provides an interface between the pump 5 and the controller 2. This is illustrated schematically in Figure 1 ,
The sensor 3 comprises any suitable, commercially available, continuous blood glucose monitor. Preferably, the continuous blood glucose monitor is minimally invasive or non-invasive. The sensor 3 should be configured to either:
• take a finite number of measurements in a given period of time (eg. 12 measurements in one hour); or
• take measurements intermittently, but in a very short time interval (eg. taking a measurement every 10 seconds and averaging the measurements taken over a 5 minute period).
The sensor interface 4 provides the controller 2 with input signals from the sensor 3 that correspond to the BSL measurement derived from the sensor 3.
Due to the multitude of sensors 3 that may be used, each having a different configuration and method of operation, the sensor interface 4 must be capable of interpreting the data provided by the sensor 3 and communicating that data to the controller 2. In this manner, the same controller 2 can be used regardless of the sensor 3 used.
The combination of sensor interface 4 and controller 2 can be arranged in the following manner:
• in a first embodiment of the invention, the sensor interface 4 is integrated with the controller 2 (see Figure 1 );
• in a second embodiment of the invention, the sensor interface 4 is integrated with the sensor 3 (see Figure 2); and * in a third embodiment of the invention, the sensor interface 4 is wirelessly coupled to the controller 2 using radio frequency ("RF") telemetry.
In the third embodiment, the sensor interface 4 includes an RF telemetry unit 46 for wireless communication between the sensor interface 4 and the controller 2, The RF telemetry unit 46 may also be used for wireless communication with the sensor 3 (described in more detail below). As the use of RF telemetry is well known it will not be described in any further detail herein, except as is relevant to the present invention.
Regardless of the embodiment used, the sensor interface 4 contains internal circuitry to allow the controller 2 to directly control the operation of the sensor interface 4. The internal circuitry is contained within a suitable housing (not shown).
Figure 5 illustrates how the sensor 3, sensor interface 4, pump 5, pump interface 6 and controller 2 are coupled in the first embodiment of the invention. However, it will be understood by a person skilled in the art, that the general principles can be used whatever the physical arrangement of the components of the apparatus 1.
Sensor interface 4 incorporates a microprocessor 44 to handle communication between the sensor 3 and the sensor interface 4. The microprocessor 44 also controls operation of the sensor interface 4.
In an alternative arrangement, sensor interface 4 shares the same CPU 11 as the controller 2. In this arrangement, the sensor interface 4 must have a separate memory module (not shown), such as a ROM, RAM or EEPROM. The memory module contains the software required to facilitate communication between the sensor 3 and the controller 2. This allows the sensor interface 4 to be replaced by a new sensor interface . 4, the new sensor interface 4 now facilitating communication between a new sensor 4, connected to the new sensor interface 4, and the controller 2. One or more physical connections allow the controller 2 to identify the sensor 3/sensor interface 4 combination being used.
As mentioned above, sensor interface 4 is in communication with sensor 3. To enable this communication, sensor interface 4 is equipped with one or more of the following communications means:
• a direct cable connection (DCC) 41, such as an RS232C, straight wire, parallel port or USB connection;
• an infra red ("IR") communications unit 42; and
• a RF telemetry unit 43.
The sensor 3 has corresponding connections to facilitate communication with the sensor interface 4, ϊe. DCC 31 , IR unit 32 and RF telemetry unit 33. In this manner, the communications means, or combination of communications means, used depends on the type of sensor 3 being used.
In the arrangement where the sensor interface 4 has a microprocessor 44, the communications means of the sensor interface 4 is coupled to the microprocessor 44. The communications means of the sensor interface 4 communicates with the sensor 3 in accordance with a first protocol SO.
Protocol SO must be sufficient to allow the sensor 3 to at least communicate BSL readings and any errors encountered by the sensor 3 to the sensor interface 4.
Sensor interface 4 also includes a communications unit 45 to convey the data received from the sensor 3, notably BSL readings and error details, to the controller 2. In this regard, the sensor adapater 4 also includes a communications unit 45 to convey sensor signals, such as BSL info and errors, to the controller 2. This communication uses a second protocol S1. The S1 protocol can be any protocol, as long as the sensor interface 4 can "talk in the same language" as tne controller 2. The protocol can be hardware or software based or a combination of both (e.g. in a computer modem, we can have a hardware handshake, in which handshakes are done through physically raising or dropping the CTS, RTS, etc lines, or a software handshake, where an Xon/Xoff protocol is used between the modem and the computer, or even both handshakes are used simultaneously).
The controller 2 may also use protocol S1 to obtain information such as how often the sensor 3 gathers data.
As mentioned above, the infusion system 8 comprises a pump 5 for delivering insulin to a patient at a rate determined by the controller 2 via an intravenous, intraperitoneal or subcutaneous route. The pump interface 6 provides an interface between the pump 5 and the controller 2. The pump 5 can be any suitable, commercially available, intravenous or subcutaneous pump.
As with the sensor system 7, the pump interface 6 can be integrated with the pump 5 or integrated with the controller 2. The pump interface 6 also functions as a generic interface between the controller 2 and the variety of pumps 5 mentioned in the last paragraph that may be used as part of the present invention.
The pump interface 6 facilitates communication between the pump 5 and controller 2. The means and protocols for communication are analogous to those used by the sensor interface 4. For example, using the embodiment shown in Figure 5, the pump interface 6 can include a DCC 61, an IR unit 62, and/or an RF telemetry unit 63. Whether a DCC 61 , IR unit 62 and/or RF telemetry unit 63 is used will depend on the pump used.
The pump interface 6 communicates with the controller 2 in a manner analogous to the communication between the sensor interface 4 and the controller 2. The pump interface 6 therefore includes a microprocessor 64 for controlling operation of the pump interface 6 and pump 5, and for handling communication therebetween in accordance with a first protocol P1.
There is also a communications module 65 for facilitating and controlling communication between the pump interface 6 and the controller 2. Communication between pump interface 6 and controller 2 is conducted in accordance with a second protocol P0 (note: protocols SO and P0 may be identical but controlled by different physical wire connections). The pump interface 6 and the controller 2 may be in wireless communication with one another, in which case both the controller 2 and the pump interface 6 are provided with a RF telemetry unit 63, 66. If the controller 2 is in wireless communication with both the pump interface 6 and the sensor interface 4, RF telemetry units 43, 63 may be combined to form a single RF telemetry unit.
Pump 5 has appropriate connection means 51 , 52, 53, in a manner similar to those connections provided on sensor 3, to allow communication between the pump 5 and the pump interface 6.
As an example, the IMED™ pump has a RS232C communication port allowing a pump interface 6 having an RS232C port to connect to the pump 5 via a serial cable. In this situation, the controller 2 can transmit the determined infusion dose of insulin to the pump interface 6, and the pump interface 6 can then package it (according to the pump communication protocol given by the manufacturer of the pump) as a valid command recognised by the pump 5.
The controller 2 comprises a housing 12 which houses all the internal circuitry for the controller 2, including a CPU 11 with associated working memory. The CPU 11 receives signals from the sensor system 7 via the sensor interface 6 (referred to hereafter as "input signals"). The CPU 11 is then operable to provide output signals to the infusion system 8 relating to the control of the pump 5 in response to the input signals,
The housing 12 includes suitable sockets (if required, and not shown) for the connections from the sensor 3 / sensor interface 4 and pump 5 / pump interface 6 (as appropriate). Housing 12 also includes appropriate internal circuitry to ensure coupling of the signals to and from the CPU 11.
Controller 2 may, optionally, include a touch screen 14 or other suitable user interface for data entry & display. For example, an SP10G003-T from Hitachi Europe. The touch screen 14 needs to have some means of illumination, such as a backlight, for night viewing. The touch screen 14 can be locked by software, or hardware to prevent accidental button press.
The controller 2 is operable to ensure that insulin is dispensed as an optimal insulin dose by means of an insulin infusion algorithm, which will be described in further detail below. The algorithm can be carried out by the CPU 11 , or by means of alternative circuitry provided in the controller 2.
The controller 2 is also operable to:
1. Execute codes as contained in the ROM, RAM, EEPROM or within the CPU (or other memory module) to calculate infusion dose, make decisions to control the pump interface 6 and/or the sensor interface 4, and handle specific error signals from the sensor 3 or pump 5 etc.
2. Relay sensor errors and pump errors to the operator via the touch screen 14.
3. Accept and act in response to commands input by the operator, such as STOP insulin, Manual override, etc.
4. Record BSL, insulin dose, error and other information in memory.
5. Coordinate functionaiity, such as any graphical user interface or button press to stop the controller 2.
6. Control any additional functions that are not handled by other components, such as a low battery check, etc.
As mentioned above, appropriate communication protocols, SO, P0, for data and command transfer between the sensor interface 4 and CPU 11 , and pump interface 6 and CPU 11 should be used.
As also discussed above, communications can happen through IR ports, DCC or RF telemetry. Any of these combinations is possible, but may not necessarily be appropriate. It may also be possible for some pumps 5 and sensors 3 to communicate directly with the controller 2 without the need for adaptors 4, 6. This means that the controller 2 may have fixed ports (IR - standard IRDA protocol and/or serial RS232C and/or RF telemetry), and the main CPU memory module has the protocol onboard to enable such communication.
If the controller 2 is arranged to communicate directly with the sensor 3 and pump 5 via RF telemetry, the controller 2 may communicate to both components through a single RF telemetry unit. In such a situation, alternative modulation of the RF signal can be used to determine whether the signal being received is from the sensor 3 or the pump 5. A similar modulation system can be used to determine whether the signal being transmitted by the controller 2 is intended for the sensor 3 or the pump 5.
In an alternative arrangement, the adaptors 4, 6 may be configured as cards (similar to PCMCIA cards for example), that are able to slot into the controller 2.
The operation of the controller 2 with regard to the way in which it controls the rate of infusion of insulin to the patient depending upon the measured BSL (as measured by the sensor 3), will now be described.
The calculation of the insulin delivery rate is performed by one or more segments of an algorithm (or by one or more algorithms), where:
• There exists adaptation to a patient's insulin sensitivity & insulin requirements in order to optimise insulin dose delivery,
• There is compensation of the estimated insulin delivery rate based on the past history and physiological status (e.g. hypoglycaemia, exercise etc) of the patient
• The algorithm is based on a sliding scale control approach (but may not be limited to such an approach). The algorithm(s) can be made changeable by embedding them on separate ROMs, RAMs, EEPROMs or other memory modules 15. In such an arrangement the CPU 11 must point to a specific memory address or addresses, being the memory address or addresses corresponding to the start of each algorithm. This would allow the user to use algorithms more appropriate to the current configuration of the invention. Alternatively, the algorithm(s) may remain static but incorporate redundant code to accommodate the different possible configurations of the invention.
The algorithm described herein provides a dynamic sliding scale that adjusts to the patient's insulin sensitivity by regularly assessing the effectiveness of the current insulin dose in normalising the patient's BSL.
In implementing the sliding scale control approach, a continuous range of blood glucose levels is partitioned into discrete ranges - each discrete range being referred to herein as a Region. Control decisions are based on the location of the BSL in the Regions rather than on an instantaneous value - with one exception that will be discussed below. The control decisions are issued every hour. The partitioning is performed in accordance with the following partition table.
Table 1 - Partitioning table for BSL.
Figure imgf000026_0001
To reject noise in the BSL readings from the sensor 3, a valid region-checking algorithm is used to determine that the measured BSL has validly entered into a new Region. This algorithm is dependent on the frequency with which BSL readings from the sensor 3 are provided. For example, with a sensor that provides readings every 5 minutes, any changes to a different BSL Region will only be accepted if at least two of the three most recent consecutive BSL readings lie in that Region. In cases where all three BSL Regions are different, then the middle BSL Region, in terms of arrival order, will be accepted.
This ensures that any change in BSL has stabilised within that particular Region, and is therefore a valid reading. This assessment is done with every received BSL reading. The number of consecutive BSL readings that are required will depend ve much on how long it takes for a BSL reading to arrive. For example, where frequent readings are taken, say every 5 minutes, then it is possible to have three consecutive readings to determine that entry into a region is stable, and thus valid. However, some sensors may only give three readings in an hour, and in such a case there would be no region-checking algorithm used at all.
Where there are frequent measurements being made, it is important to ensure that the BSL has really entered a new region, rather than the reading entering a region because of possible noise. Thus, the insulin infusion rate is prescribed by three sections of the algorithm, namely, a proportional control section, an integral control section, and a protection control section.
The proportional control section is based upon a basic sliding scale table as shown below.
Basic dose
Figure imgf000027_0001
Where G is the BSL measured in mmol/L. This arrangement is graphically illustrated in Figure 4. The basic dose is given in units per hour, and, as can be seen above, corresponds to the Regions set out in Table 1 above.
The proportional control section of the algorithm provides responses to changes in BSL by a unit increment or decrement of insulin dose with respect to a detected increase or decrease in the resident BSL Region. It serves to maintain the patient's BSL to within a certain Region.
The control signals to the pump system 8 are sent from the controller 2 hourly, although other time periods could be used. To localise BSLs within Region 1 (the desired BSL Region), the piece-wise integral control section is implemented.
The integral control section involves the addition of an offset to the Basic Dose as determined by the proportional control section described above. This offset supplements the basic dose via the following relationship:
Infusion dose = Basic dose + offset
The offset is determined by assessing, at regular inten als, how effective the current infusion dose is in bringing the patient's BSL into the desired region.
The assessment interval selected is consistent with the duration of action and half-life of the insulin preparation used. For example, for Hurnulin Rm, or ActrapidTtA, which have a duration of action of 2-4 hours when infused subcutaneously, assessments would be made every two hours. For subcutaneously-delivered insulin Lisprα™, which achieves its maximum effect within 30 minutes, the assessment would be made hourly, although shorter assessment interval may also be considered.
Within any assessment period, the BSL can either: • enter a Region higher than the Region determined at the time the last infusion rate decision was made;
• enter a Region lower than the Region determined at the time the last infusion rate decision was made;
• or remain within the same Region as that determined at the time the last infusion rate decision was made.
The equation below shows how the offset is determined:
Offset +1 Up in region
Offset = Offset +1 No change in region Offset Down in region
This control is piece-wise because it is activated only when the BSL is in Region 2 or greater, and at the end of every assessment interval so that the new infusion dose is calculated before the coming of the next hour. The offset may be increased more if the BSL enters a higher Region and the Region determined at the time the last infusion decision was made was Region 3 or higher.
When the apparatus 1 is initialised the operator has two choices, namely: 1 ). To allow the controller 2 to prescribe the first dose; or 2). To prescribe the first dose himself/herself.
In the first option, the controller 2 selects the basic dose only, and sets the offset to 0. In the second option, the initial offset is the operator's prescribed dose minus whatever the Region the measured BSL currently resides in. If the Offset is less than -1, than the Offset is set to -1. (i.e. offset cannot go below -1). For example, say the current measured BSL is 11.5 mmol/L, then the current Region is 2. If the operator selects an initial dose of 3, then the initial Offset is 1. If the operator were to select an insulin dose of 1 , then the initial Offset is -1. As mentioned above, the control signals are repeated hourly for the proportional section. However, not all of these will include the integral control section component (i.e. if the measured BSL is in Region 1 or Region 0). The actual timing of the proportional control component can be done in a number of ways. For example, it can be done every hour on the hour (i.e. 2pm, 3pm etc.) so that if the infusion begins at 12.30pm, the next hourly assessment will occur at 1.00pm. Alternatively, the timing of the assessment interval could be reset from when any additional change in dose is made, for example, due to the protection scheme section, discussed below. This control scales-up insulin dose dynamically to lower a patient's BSL to the desired Region. As such, it adjusts to the patient's insulin sensitivity.
The protection scheme is implemented only when the measured BSL is inside the desired Region. It is rule-based, and overrides the proportional and integral control sections discussed above. Unlike the other two sections that make decisions at a predetermined rate, such as every two hours, this section is activated immediately on recognition of entrance into the desired Region and in one case activated immediately on knowing that the instantaneous BSL value is lower than the low-end boundary of the desired region. That is when the Region Checking Algorithm reports the current BSL Region, and protection scheme sees that the current Region has entered the desired Region, then action is taken immediately without waiting for the arrival of the hour, instead of the usual practice of the dose being decided on the hour.
In this section, the infusion dose is calculated as follows:
i x Previous dose, where BSL first enters 6-8 mmol/L from above
Infusion dose ~ 0, where BSL ≤ 6 mmol/L
Previous dose + 1 , where BSL first enters 8-10 mmol/L from below
Thus, when the patient's BSL first enters the 6-8 mmol/L range, the previous infusion dose is halved and truncated to the nearest integer, i.e. Infusion dose = ^χ Previous dose. A new offset is calculated according to equation:
New Offset = infusion dose - current region
When the patient's BSL first enters the 8-10 mmol/L range from below, the infusion dose is incremented by one unit to keep blood glucose level within the 6- 8 mmol/L. A new offset is again calculated according to equation:
New Offset = infusion dose - current region.
The exception is when the patient's BSL is less than 6 mmol/L. In this case, it is determined by the instantaneous value of the patient's BSL (rather than by region recognition). The insulin infusion is cut-off until the patient's BSL is again >8 mmol/L (as recognised by region).
The cut-off when the measured BSL falls below 6 mmol/L needs to be immediate to prevent hypoglycaemia. However, the decision line of 8 mmol/L is not as critical, and, therefore the apparatus 1 measures at least two consecutive readings in Region 2 before starting infusion of insulin. In this situation, the new offset is set to -1.
In this manner, the controller 2 is operable to receive input signals from the sensor system 7 at constant intervals, the input signals representing the patient's BSLs, and react to these input signals in accordance with the algorithm(s) set out above, to determine the rate that insulin should be infused into the patient and thereafter control the operation of the infusion system 8 to ensure that the pump 5 dispenses insulin at the determined rate.
The apparatus 1 can be provided as a wearable portable battery-powered three- in-one device i.e. comprising the sensor system 7, controller 2 and insulin infusion system 8 as a single unit, or as two or more wearable portable battery-powered devices comprising the sensor system 7, controller 2, and insulin infusion system 8 in any combination. The controller 2 can also provide an allowance on manual overrides of insulin infusion as deemed required by the operator. When the operator wants manual control, he/she can manually program the insulin dose into the controller 2 to give infusion over a period of time chosen by him/her, or the operator can select boluses of insulin dose by pressing a button, or some other appropriate mechanism.
The operator 2 may transfer control back to the apparatus 1 at any time. When this occurs, the operator has the choice of choosing the first dose of insulin to administer to the patient or let the apparatus 1 prescribe the first dose as described above. From that point on the algαrithm(s) mentioned above are restarted and control the continuous administration of insulin to the patient.
Touch screen 14 is also used to display any alerts the controller 2 has relayed. The alert may be in the form of a blinking light or other attention-catching signal. Alternatively, the alert may be an audible alarm emitted by speakers incorporated into the touch screen 14. Further, the controller 2 can also provide an audible and/or visual alarm when conditions require attention - for example, when BSLs reach a critical point, or for example, if any of the components of the apparatus are faulty. If the controller 2 is not arranged to convey problems with the pump 5 or sensor 3, then the pump interface 4 and sensor interface 6 must be arranged to handle the reporting of such problems to the operator (eg. through an audible or visual alert).
Allowances can also be made for a "pre-meal" insulin dose, where the operator can manually give boluses of insulin, and the controller 2 will be operable to automatically make adjustments accordingly.
In a further embodiment, the algorithm used to determine the amount of insulin to be delivered to the patient has been revised. As part of the revised algorithm, the Regions set out in Table 1 have also been revised as follows: Table 2 - Revised Partitioning and Zone Table for BSL
Figure imgf000033_0001
The addition and relevance of the Zones column will be discussed in more detail below.
In the revised algorithm(s), the intention is to adjust the region checking algorithm to provide more weight to more recent BSL readings when determining the Region the patient's BSL readings presently fall into. This is attained through the introduction of a further variable, TopUp, such that the infusion dose is now calculated as follows:
Infusion dose = Basic dose + Offεet(n) + Derivative control
Where:
Basic dose is the Region as determined by Table 2. • Offset(n) is calculated as follows:
Λ „ . , [Prescribed dose by user - BSL Region, t - 0, and n = 0 Offsenn) =J,
1 TopUp + Offsets - 1 ), t > 0 and o > 0
where:
• t - time as mentioned above.
• n is an index to Offset and is not real-time-related.
Offsef(n) >= TopUp + Offset(n-1) reads: Newly determined Offset = Topup + most recently available offset in memory.
» Offset(n) refers to the newly determined offset and Offset(n-1 ) refers to the previous offset that was used in generating the dose currently received by the patient.
• Offset(n) is used to prescribed the dose that the patient WILL received, not the dose that he/she is currently receiving.
« TopUp is calculated as follows:
f4U/hr. ι WZonc>4.5
2Uhτ, if3.6≤W/ιn. <4.5h ^lU/hr, if2.7≤WZtme<3.6
OU/hr, ifWZrras<2.7
where:
Figure imgf000034_0001
and we let x[24] contains the most recent BSL zone information, x[23] contains the BSL zones 5-minutes ago, etc,
and x[nj is the array of previous BSL readings taken over the determined time period (in this mathematical equation the series of 24 5-miπute BSL readings taken over a 2 hour period). If any member of the array x[π] has invalid entries, such as missing values because the sensor was not connected properly over, say, the last 15 minutes, then those entries will be skipped, and the corresponding count, n, is skipped as well.
Once a TopUp of >0 U/hr is obtained, then integral control will not be active until two hours have passed since the TopUp was last calculated (i.e. TopUp calculation will be locked for two hours, starting from the hour where a nonzero TopUp was obtained and included in the "infusion dose" delivered to patient)
* Derivative Control is calculated as follows:
fό U/hr, if Δypro ≥ 2 mmol L Derivative Control - 4 U hr, if 1 < ΔypιϊlJ < 2 mmol/L 0 U/hr. if Δy < 1 mmol/L
The algorithm, as described above, is referenced to a 2 hour period where BSL readings are taken on a 5 minute interval basis.
In this manner, the TopUp variable is indicative of the integral control component of the algorithm(s). It should also be noted that a WZons of 3.6 is equivalent to a WZQΠG residing within 90% of zone 3, while a Wzom of 4.5 is equivalent to a WZone residing within 90% of zone 4.
The Derivative control variable is designed to boost the insulin level when a BSL increase has been detected. The Derivative control variable is only activated once the magnitude of the projected increase in BSLs exceeds a threshold value and when BSL is above 10 mmol/L, although it can also be activated for BSL above 6 mmol/L. The projected increase in BSLs, AyproJ, is calculated using a least square regression method. In particular, this is calculated by fitting a regression line to the 6 most recent BSL readings, and calculating a projected BSL in accordance with the regression line, ie.
By defining,
■ = maximum time value in the 30 min window
Xmiπ = minimum time value in the 30 min window max = maximum BSL value in the 30 min window min = minimum BSL value in the 30 min window
Let,
X " max + X mm and _> +}'π
Then the slope of a least square regression line fitted to the dataset will be
Figure imgf000036_0001
By maintaining Ax = xmai, - χirh a projected change in BSL, Aypmj! can be found by
4> =Ar
After the bolus of insulin has been delivered for a period of 30 minutes it is followed by a hiatus of 30 minutes. The hiatus interval of 30 minutes is chosen because IV injected insulin has a maximum effect within 15-30 minutes. Thus, it is deemed desirable to wait for the infused insulin to run its full course before making the next decision based on the reaction. In this embodiment, the region checking scheme and protection scheme are also modified.
The region checking scheme will recognise a change in region when at least two out of the three consecutive BSL readings lay in the same region. If all three consecutive BSL readings are of different regions, the middle BSL reading is assumed. An exception arises when the BSL falls in to the range of 6-8 mmol/L and also when the BSL rises into the range 8-10 mmol/L. In these cases, it is the BSL value (rather than the region) that is used by the controller 2 to make the infusion decision. An identical scheme is adapted for checking changes in Zones.
The protection scheme, as implemented in this embodiment, is split depending on the current BSL trend. For example, if there exists a downward BSL trend, ie, if the current BSL trend where to continue the patient's BSL level would eventually reside in Region 0, the protection scheme operates as follows:
where BSL level entering Zone 2 (ie. BSL range of 8.1 mmol/L to 10.0 mmol/L)
ϋ. /j, it tBSL_ro3a l2 mι)]uI,L lwllπl|ιlrv ^BSLcHh' IOrπmol' indnry < ->U minutes k = \
[0.85, otherwise
Infusion dose = kx (present dose - derivative control) + derivative control
Offset(n)= (infusion dose - derivative control - BSL Region)*
where BSL level entering Zone 1 (Ie. BSL range of 6.1 mmol/L to 8.0 mmol/L)
i J 0.5 , if tBS)
Figure imgf000037_0001
m:*riUteS j 0.80, otherwise
Infusion dose = k x (present dose - derivative control) + derivative control
Offset(n)= (infusion dose -derivative control - BSL Region)4" Where "present dose" refers to the dose currently received by patient, and the"Infusion dose" is the dose that will be delivered to the patient. Because "present dose" was calculated previously and it included derivative control component, therefore in the calculation of "infusion dose" here, the derivative control is taken off "present dose" before "present dose" is scaled by k. "Infusion dose" is then given to patient with derivative control added in.
The protection scheme updates the variable Offεet(π) by the equation as defined, and (.)+ means that if the term inside the bracket turns out to be negative-valued, then the operation (.)+ will return a value of -1. Again, derivative control component is taken off in the calculation of Offset(n).
Derivative control can be terminated the instance BSL zones fall below zone 3 (i.e. going into zone 0,1 and 2) regardless of whether 30 mins of bolus hasn't yet finished or not.
where BSL level entering BSL range <- 6.0 mmol/L, checked by instantaneous BSL value, and not through the usual Region-checking.
Infusion dose = 0; and Offset(n) ~ 0
However, if there exists an upward BSL trend, ie. if the current BSL trend where to continue the patient's BSL level would eventually reside in Region 2 or higher, the protection scheme operates as follows:
where BSL level entering Zone 2 (ie. BSL range of 8.1 mmol/L to 10.0 mmol/L)
Offset (n) = Offset (n - 1) + 1 New dose = Basic dose + Offset (n)
where BSL level entering Zone 3 (ie. BSL range of 10.1 mmol/L to 12.0 mmol/L)
Offset(n)= Offset(n-I), i.e. no change.
New dose = Basic dose + Offset (n) In each of the above formulas used in the protection scheme fast « xmrncut boundary represents the time BSL crosses the x mmol/L boundary and n represents the index of Offset, which may or may not be real-time related.
In yet another embodiment, assessment is done based on BSL region change, rather than time.
It will be understood that various modifications are possible within the scope of the present invention. For example, combinations of fixed couplings and wireless telemetry couplings between the controller 2, sensor 3 and pump 5 can be used. Further, the algorithm is not limited to the description as provided herein and derivative control may be added and/or other changes may be made to cater for different clinical situations and/or using different insulin preparations. As more findings surface, modifications to the algorithm may be done to better approximate human insulin dynamics and optimise glycaemic control. In addition, any suitable region-checking algorithm consistent with removing noise and/or improving BSL readings can be used.

Claims

The Claims defining the Invention are as Follows:
1. An infusion apparatus for regulating blood sugar levels of a patient, the apparatus comprising:
• a controller;
• a sensor system and an infusion system, each at least in data communication with the controller, the sensor system being operable to regularly measure the blood sugar level of a patient and provide a sensor signal to the controller in response to the measured blood sugar level,
wherein the controller calculates the required infusion rate, in response to the received sensor signal, and provides a control signal to the infusion system at predetermined intervals; the infusion system being operable, in response to the control signal, to deliver medication for regulating blood sugar levels at the calculated infusion rate.
2. An infusion apparatus for regulating blood sugar levels according to claim
1 , wherein the infusion rate is determined by the equation:
Infusion rate = basic rate + offset
Where the basic rate is one of a plurality of first values representative of a plurality of adjacent blood sugar level ranges, the controller being operable to determine which range a current measured blood sugar level resides in, and the offset is a second value representative of how effective the current infusion dose is in assisting in regulating the patient's blood sugar level.
3. An infusion apparatus for regulating blood sugar levels according to claim
2, wherein the offset is initially determined by subtracting the basic rate from the initial predetermined infusion rate, and subsequently incremented when there is a positive change or there is no change in the current basic rate when compared with the previous basic rate.
4. An infusion apparatus for regulating blood sugar levels according to any of the preceding claims, wherein the controller is further operable to determine when the measured blood sugar level is within a desired range.
5. An infusion apparatus for regulating blood sugar levels according to claim 4, wherein the desired range is a blood sugar level between 6.1 and 10 mmol/L.
6. An infusion apparatus for regulating blood sugar levels according to claim 4 or claim 5, wherein the desired range is a blood sugar level between 6.1 and 8 mmol/L.
7. An infusion apparatus for regulating blood sugar levels according to any one of claims 4 to 6, as dependent on claim 2, wherein, when the patient's blood sugar level is within the desired range, the infusion dose is calculated as follows:
2>< Previous dose, where BSL first enters 6 -8 rnmol/L from above
Infusion doεe = 0, where BSL ≤ 6 mmol/L
Previous dose - 1 , where BSL first enters 8 -10 mmol/L from below
8. An infusion apparatus for regulating blood sugar levels according to claim 7, wherein the new offset is calculated by subtracting the basic rate from the infusion dose, except in the situation where the infusion dose is 0, when the new offset is set to -1 , and thereafter the offset being subsequently incremented when there is a positive change or there is no change in the current base rate when compared with the previous base rate.
9. An infusion apparatus for regulating blood sugar levels according to any one of claim 1 and claims 4 to 6 as dependent on claim 1, wherein the infusion rate is determined by the equation:
Infusion dose = Basic dose + Offset (n) + Derivative control
Where the basic rate is one of a plurality of first values representative of a plurality of adjacent blood sugar level ranges, the controller being operable to determine which range a current measured blood sugar level resides in, Offset (π) is a second value representative of how effective the current infusion dose is in assisting in regulating the patient's blood sugar level and Derivative control is a third value representative of the current increasing trend, if any, in infusion doses.
10. An infusion apparatus for regulating blood sugar levels according to claim 9, wherein Offset (n) is calculated as follows:
[Prescribed dose by user - BSL Region, t = 0, and n = 0 Offset(n) = \J1 TopUp + Off set(n -l), t > 0 and n > 0
where:
t = time;
n is an index to Offset; and
TopUp is calculated as follows:
4 U hr. if W Z7_one > 4.5
2 U hr, if 3.6 < WZonc < 4.5
TopUp = l U hr, if 2.7 < W j o 0 U/hr, if W Zone < 2.7
in which Wzone is calculated as follows: 1 "
∑i "=1 ;=ι
x[n] representing a set of a basic rates, x[a] being the basic rate as determined by the most recent blood sugar level measurement.
11. An infusion apparatus for regulating blood sugar levels according to either claim 9 or claim 10, wherein Derivative control is calculated as follows:
6 U/hr, if Δy > 2 mmol/L
Derivative Control - 4 U/hr, if 1 ≤ Δyproj < 2 mmol/L O U/hr, if Δy • < l m ol/L
where:
Figure imgf000043_0001
and
fo,
)
6_ = - ^
( , - )2
in which:
xmax = maximum time value in the 30 min window min - minimum time value in the 30 min window
Y ax = maximum BSL value in the 30 min window ymln = minimum BSL value in the 30 min window x + x ■ λ —~*— — *~— '
V -r V • Ϊ7 =maxn
12. An infusion apparatus for regulating blood sugar levels according to any one of claims 9 to 11 , as dependent on claim 5, wherein, when the patient's blood sugar level is within the desired range and after previously being in a higher range, the infusion dose is calculated as follows:
Infusion dose = k . (Immediately previous Infusion dose - Derivative control) +
Derivative control
in which k is calculated as follows
t — J ' BSL emss 12 mmøl/L boundary * BSL OTOES 10 mmol/L b-ufid-iy < 30 niUIUteS jθ.85, otherwise
and t is time.
13. An infusion apparatus for regulating blood sugar levels according to any one of claims 9 to 11, as dependent on claim 6, wherein, when the patient's blood sugar level is within the desired range and after previously being in a higher range, the infusion dose is calculated as follows:
Infusion dose - k . (Immediately previous Infusion dose - Derivative control) + Derivative control
in which k is calculated as follows
lr — HlinUteS
Figure imgf000044_0001
and t is time.
14. An infusion apparatus for regulating blood sugar levels according to either claim 13 or claim 14, wherein Offset (n) is calculated as follows:
Offset (n) = infusion dose - derivative control - basic rate provided that if the value of Offset (n) is negative, Offset (n) is set to -1.
15.Aπ infusion apparatus for regulating blood sugar levels according to any one of claims 9 to 11, as dependent on claim 5, wherein, when the patient's blood sugar level is within the range 8.1 mmol/L to 10.0 mmol/L and after previously measuring a lower blood sugar level, the infusion dose is calculated as follows:
Infusion dose = Basic rate + Offset (n)
Where:
Basic rate is one of a plurality of first values representative of a plurality of adjacent blood sugar level ranges, the controller being operable to determine which range a curreni measured blood sugar level resides in, and
Offset (n) = Offset (n - 1) + 1
16. An infusion apparatus for regulating blood sugar levels according to any one of claims 9 to 11 , as dependent on claim 4, wherein, when the patient's blood sugar level is within the range 10.1 mmol/L to 12.0 mmol/L and after previously measuring a lower blood sugar level, the infusion dose is calculated as follows:
Infusion dose = Basic rate + Offset (π)
Where:
Basic rate is one of a plurality of first values representative of a plurality of adjacent blood sugar level ranges, the controller being operable to determine which range a current measured blood sugar level resides in, and
Offset (n) = Offset (n - 1)
17. An infusion apparatus for regulating blood sugar levels according to any one of the preceding claims, wherein the Offset value, or the value of Offset (n), as appropriate, is determined at regular predetermined intervals.
18. An infusion apparatus for regulating blood sugar levels according to claim 17, wherein the predetermined intervals are determined by the half-life or duration of action of the medication for regulating blood sugar levels being used.
19. An infusion apparatus for regulating blood sugar levels according to claim 17 or claim 18, wherein the predetermined interval is determined by multiplying the half-life or duration of action of the medication for regulating blood sugar levels being used by from 0.125 to 2.
20. An infusion apparatus for regulating blood sugar levels according to claims 17 to 19, wherein the predetermined interval is determined by multiplying the half-life or duration of action of the medication for regulating blood sugar levels being used by from 0.25 to 1.5.
21. An infusion apparatus for regulating blood sugar levels according to claims 17 to 20, wherein the predetermined interval is determined by multiplying the half-life or duration of action of the medication for regulating blood sugar levels being used by from 0.5 to 1.
22. An infusion apparatus for regulating blood sugar levels according to claims
17 to 21 , wherein the predetermined interval is equal to the half-life or duration of action of the medication for regulating blood sugar levels being - used.
23. An infusion apparatus for regulating blood sugar levels according to claim 1 , wherein the predetermined interval is 1 hour.
24. An infusion apparatus for regulating blood sugar levels according to any one of the preceding claims, wherein the controller confirms a change in the range of the basic rate if at least two of the last three blood sugar level measurements fall within the new range,
25. An infusion apparatus for regulating blood sugar levels according to any one of the preceding claims, wherein the controller confirms a change in the range of the basic rate in situations where the last three blood sugar levels measurements each fall within a new range, the change in range of the basic rate being equal to the range as determined by the second most recent blood sugar level measurement.
26. An infusion apparatus for regulating blood sugar levels according to any one of the preceding claims, wherein the sensor system comprises a sensor and a sensor interface and the sensor interface is integral with either the controller or the sensor.
27. An infusion apparatus for regulating blood sugar levels according to any one of the preceding claims, wherein the infusion system comprises a pump and a pump interface and the pump interface is integral with either the controller or the pump.
28. An infusion apparatus for regulating blood sugar levels according to any one of the preceding claims, wherein at least one of the sensor system or the infusion system is in wireless communication with the controller.
29. An infusion apparatus for regulating blood sugar levels according to any one of the preceding claims, wherein the controller comprises a microprocessor and the microprocessor references a static memory location, wherein the static memory location is a memory address positioned on a removable memory, the static memory location being the start location for instructions representing the algorithm used to determine the required infusion rate.
30. A method of regulating blood sugar levels comprising: * Measuring the blood sugar level of a patient;
* Calculating the required infusion rate of medication for regulating blood sugar levels based on the blood sugar level measurement; and
* Delivering to the patient the medication for regulating blood sugar levels at the required infusion date determined.
31. A method of regulating blood sugar levels according to claim 30, wherein the step of calculating the required infusion rate of medication for regulating blood sugar levels based on the blood sugar level measurement is determined according to the equation:
Infusion rate - basic rate + offset
Where the basic rate is one of a plurality of first values representative of a plurality of adjacent blood sugar level ranges and the offset is a second value representative of how effective the current infusion dose is in assisting in regulating the patient's blood sugar level.
32. A method of regulating blood sugar levels according to claim 31 wherein the offset is determined by subtracting the basic rate from the initial predetermined infusion rate, and subsequently incremented when there is a positive change or there is no change in the current basic rate when compared with the previous basic rate.
33. A method of regulating blood sugar levels according to any one of claims
30 to 32, further comprising the step of determining whether the measured blood sugar level is within a desired range.
34. A method of regulating blood sugar levels according to claim 33 wherein the desired range is a blood sugar level between 6.1 and 10 mmol/L.
35. A method of regulating blood sugar levels according to claim 33 or claim 34, wherein the desired range is a blood sugar level between 6.1 and 8 mmol/L.
36. A method of regulating blood sugar levels according to any one of claims 33 to 35, as dependent on claim 31 , wherein, when the patient's blood sugar level is within the desired range, the infusion dose is calculated as follows:
x Previous dose, where BSL first enters 6-8 mmol/L from above
Infusion dose 0. where BSL < 6 mmol/L
Previous dose+1 , where BSL first enters 8-10 mmol/L from below
Figure imgf000049_0001
37. A method of regulating blood sugar levels according to claim 36, wherein the new offset is calculated by subtracting the basic rate from the infusion dose, except in the situation where the infusion dose is 0, when the new offset is set to -1 , and thereafter the offset being subsequently incremented when there is a positive change or there is no change in the current base rate when compared with the previous base rate.
38. A method of regulating blood sugar levels according to any one of claim 30 or claims 33 to 35 as dependent on claim 30, wherein the step of calculating the required infusion rate of medication for regulating blood sugar levels based on the blood sugar level measurement is determined according to the equation:
Infusion dose = Basic dose + Offset (n) + Derivative control
Where the basic rate is one of a plurality of first values representative of a plurality of adjacent blood sugar level ranges, the controller being operable to determine which range a current measured blood sugar level resides in, Offset (π) is a second value representative of how effective the current infusion dose is in assisting in regulating the patient's blood sugar level and Derivative control is a third value representative of the current increasing trend, if any, in infusion doses.
39. A method of regulating blood sugar levels according to claim 38, wherein Offset (n) is calculated as follows:
[Prescribed dose by user - BSL Region, t = 0, and n = 0
Offset(n) = ' TopU + Offset(n-l), t>0andn>0
where;
t = time;
n is an index to Offset; and
TopUp is calculated as follows:
4 U r. if W7_ > 4.5
2 Uhr, if3.6≤W Z7„on„e≤4.5
TopUp ={
1 U/hr, if2.7≤WZonc<3.6 0 Uhr. ifW. 2.7
in which Wzone is calculated as follows:
Figure imgf000050_0001
x[n] representing a set of a basic rates, x[a] being the basic rate as determined by the most recent blood sugar level measurement.
40. A method of regulating blood sugar levels according to either claim 38 or claim 39, wherein Derivative control is calculated as follows: 6 U hr, if Δypr0J > 2 mrøol/L
Derivath e Control = 4 U/hr, ιf l ≤ ΔypTOJ < 2 mmol/L
O /hr, if Δypro) < I mmol/L
where:
yIH9l =' έsX
and
^
Figure imgf000051_0001
in which:
ma = maximum time value in the 30 mm window m = minimum time value in the 30 mm window
Ywsx - maximum BSL value in the 30 min window
Y = minimum BSL value in the 30 min window
Figure imgf000051_0002
v =
A method of regulating blood sugar levels according to any one of claims 38 to 40, as dependent on claim 34, wherein, when the patient's blood sugar level is within the desired range and after previously being in a higher range, the step of calculating the required infusion rate of medication for regulating blood sugar levels based on the blood sugar level measurement is determined according to the equation: Iπfusion dose = k . (Immediately previous Infusion dose - Derivative control) +
Derivative control
in which k is calculated as follows
J U.75, itBSL cross l2 mrtω]Λ- bw_,j.|rϊ tflSLeross 10 πuuol L boundary < ™ minUtβS
[0.85, otherwise
and t is time.
42. A method of regulating blood sugar levels according to any one of claims 38 to 40, as dependent on claim 35, wherein, when the patient's blood sugar level is within the desired range and after previously being in a higher range, the step αf calculating the required infusion rate of medication for regulating blood sugar levels based on the blood sugar level measurement is determined according to the equation:
Infusion dose = k . (Immediately previous Infusion dose - Derivative control) +
Derivative control
in which k is calculated as follows
, _ | .), it r BSL eras?. S iii..i6l LhuunJ,. - ~ ^S ross 10 mmol/L boundary < i minu es
[0.80, otherwise
and t is time.
43. An infusion apparatus for regulating blood sugar levels according to either claim 41 or claim 42, wherein Offset (n) is calculated as follows:
Offset (n) = infusion dose - derivative control - basic rate
provided that if the value of Offset (n) is negative, Offset (n) is set to -1.
44. An infusion apparatus for regulating blood sugar levels according to any one of claims 38 to 40, as dependent on claim 34, wherein, when the patient's blood sugar level is within the range 8.1 mmol/L to 10.0 mmol/L and after previously measuring a lower blood sugar level, the step of calculating the required infusion rate of medication for regulating blood sugar levels based on the blood sugar level measurement is determined according to the equation:
Infusion dose = Basic rate + Offset (n)
Where:
Basic rate is one of a plurality of first values representative of a plurality of adjacent blood sugar level ranges, the controller being operable to determine which range a current measured blood sugar level resides in, and
Offset (n) = Offset (n - 1 ) + 1
45. A method of regulating blood sugar levels according to any one of claims
38 to 40, as dependent on claim 35, wherein, when the patient's blood sugar level is within the range 10.1 mmol/L to 12.0 mmol/L and after previously measuring a lower blood sugar level, the step of calculating the required infusion rate of medication for regulating blood sugar levels based on the blood sugar level measurement is determined according to the equation:
Infusion dose = Basic rate + Offset (n)
Where:
Basic rate is one of a plurality of first values representative of a plurality of adjacent blood sugar level ranges, the controller being operable to determine which range a current measured blood sugar level resides in, and
Offset (n) = Offset (π - 1 )
46. A method of regulating blood sugar levels according to any one of claims 30 to 45, wherein the method further includes the step of determining the
Offset value, or the value of Offset (n), at regular predetermined intervals.
47. A method of regulating blood sugar levels according to claim 46, wherein the predetermined intervals are determined by the half-life or duration of action of the medication for regulating blood sugar levels being used.
48. A method of regulating blood sugar levels according to claim 46 or claim
47, wherein the predetermined interval is determined by multiplying the half-life or duration of action of the medication for regulating blood sugar levels being used by from 0.125 to 2.
49. A method of regulating blood sugar levels according to claims 46 to 48, wherein the predetermined interval is determined by multiplying the half-life or duration of action of the medication for regulating blood sugar levels being used by from 0.25 to 1.5.
50. A method of regulating blood sugar levels according to claims 46 to 49, wherein the predetermined interval is determined by multiplying the half-life or duration of action of the medication for regulating blood sugar levels being used by from 0.5 to .
51. A method of regulating blood sugar levels according to claims 46 to 50, wherein the predetermined interval is equal to the half-life or duration of action of the medication for regulating blood sugar levels being used.
52. A method of regulating blood sugar levels according to claim 46, wherein the predetermined interval is 1 hour.
53. A method of regulating blood sugar levels according to any one claims 30 to 52, wherein the method further comprises the step of confirming a change in the range of the basic rate if at least two of the last three blood sugar level measurements fall within the new range.
54. A method of regulating blood sugar levels according to any one of claims
30 to 53, wherein the method further comprises the step of confirming a change in the range of the basic rate in situations where the last three blood sugar levels measurements each fall within a new range, the change in range of the basic rate being equal to the range as determined by the second most recent blood sugar level measurement.
55. An infusion apparatus for regulating blood sugar levels substantially as described herein with reference to the drawings.
56. A method of regulating blood sugar levels substantially as described herein with reference to the drawings.
PCT/AU2002/0009352001-07-112002-07-11Infusion apparatus for regulating blood sugar levels and method thereofWO2003006091A1 (en)

Applications Claiming Priority (2)

Application NumberPriority DateFiling DateTitle
AUPR6323AAUPR632301A0 (en)2001-07-112001-07-11Infusion apparatus for regulating blood glucose levels
AUPR63232001-07-11

Publications (1)

Publication NumberPublication Date
WO2003006091A1true WO2003006091A1 (en)2003-01-23

Family

ID=3830287

Family Applications (1)

Application NumberTitlePriority DateFiling Date
PCT/AU2002/000935WO2003006091A1 (en)2001-07-112002-07-11Infusion apparatus for regulating blood sugar levels and method thereof

Country Status (2)

CountryLink
AU (1)AUPR632301A0 (en)
WO (1)WO2003006091A1 (en)

Cited By (75)

* Cited by examiner, † Cited by third party
Publication numberPriority datePublication dateAssigneeTitle
WO2006083831A1 (en)*2005-02-012006-08-10Medtronic Minimed, Inc.Bolus estimator for semi-closed loop infusion system
WO2006102412A2 (en)2005-03-212006-09-28Abbott Diabetes Care, Inc.Method and system for providing integrated medication infusion and analyte monitoring system
WO2008089766A1 (en)*2007-01-262008-07-31Diramo A/SAnalysis system with a remote analysing unit
US7985330B2 (en)2005-12-302011-07-26Medtronic Minimed, Inc.Method and system for detecting age, hydration, and functional states of sensors using electrochemical impedance spectroscopy
US8114269B2 (en)2005-12-302012-02-14Medtronic Minimed, Inc.System and method for determining the point of hydration and proper time to apply potential to a glucose sensor
US8114268B2 (en)2005-12-302012-02-14Medtronic Minimed, Inc.Method and system for remedying sensor malfunctions detected by electrochemical impedance spectroscopy
US8348886B2 (en)1999-06-032013-01-08Medtronic Minimed, Inc.Apparatus and method for controlling insulin infusion with state variable feedback
US8454576B2 (en)2007-04-252013-06-04Medtronic Minimed, Inc.Device and method for therapy calibration and safety response
CN103418053A (en)*2013-07-242013-12-04上海中医药大学附属龙华医院Individualized insulin treatment pump and basic infusion rate optimization method thereof
US8771251B2 (en)2009-12-172014-07-08Hospira, Inc.Systems and methods for managing and delivering patient therapy through electronic drug delivery systems
US8784370B2 (en)2001-09-072014-07-22Medtronic Minimed, Inc.Safety limits for closed-loop infusion pump control
US8876755B2 (en)2008-07-142014-11-04Abbott Diabetes Care Inc.Closed loop control system interface and methods
US8880138B2 (en)2005-09-302014-11-04Abbott Diabetes Care Inc.Device for channeling fluid and methods of use
US8932216B2 (en)2006-08-072015-01-13Abbott Diabetes Care Inc.Method and system for providing data management in integrated analyte monitoring and infusion system
US9008761B2 (en)2010-02-012015-04-14Proteus Digital Health, Inc.Two-wrist data gathering system
US9014779B2 (en)2010-02-012015-04-21Proteus Digital Health, Inc.Data gathering system
CN104524664A (en)*2014-12-122015-04-22深圳市理邦精密仪器股份有限公司Insulin injection equipment control method, device and system
US9031630B2 (en)2006-02-282015-05-12Abbott Diabetes Care Inc.Analyte sensors and methods of use
US9064107B2 (en)2006-10-312015-06-23Abbott Diabetes Care Inc.Infusion devices and methods
US9084566B2 (en)2006-07-072015-07-21Proteus Digital Health, Inc.Smart parenteral administration system
US9119582B2 (en)2006-06-302015-09-01Abbott Diabetes Care, Inc.Integrated analyte sensor and infusion device and methods therefor
US9125979B2 (en)2007-10-252015-09-08Proteus Digital Health, Inc.Fluid transfer port information system
CN104888308A (en)*2015-04-152015-09-09上海京颐科技股份有限公司Infusion monitoring system and data transmission method based on polling optimization in infusion monitoring system
US9636450B2 (en)2007-02-192017-05-02Udo HossPump system modular components for delivering medication and analyte sensing at seperate insertion sites
US9750440B2 (en)2005-05-172017-09-05Abbott Diabetes Care Inc.Method and system for providing data management in data monitoring system
US9795326B2 (en)2009-07-232017-10-24Abbott Diabetes Care Inc.Continuous analyte measurement systems and systems and methods for implanting them
US9971871B2 (en)2011-10-212018-05-15Icu Medical, Inc.Medical device update system
US9995611B2 (en)2012-03-302018-06-12Icu Medical, Inc.Air detection system and method for detecting air in a pump of an infusion system
US10022498B2 (en)2011-12-162018-07-17Icu Medical, Inc.System for monitoring and delivering medication to a patient and method of using the same to minimize the risks associated with automated therapy
US10042986B2 (en)2013-11-192018-08-07Icu Medical, Inc.Infusion pump automation system and method
US10046112B2 (en)2013-05-242018-08-14Icu Medical, Inc.Multi-sensor infusion system for detecting air or an occlusion in the infusion system
US10117614B2 (en)2006-02-282018-11-06Abbott Diabetes Care Inc.Method and system for providing continuous calibration of implantable analyte sensors
US10166328B2 (en)2013-05-292019-01-01Icu Medical, Inc.Infusion system which utilizes one or more sensors and additional information to make an air determination regarding the infusion system
US10238801B2 (en)2009-04-172019-03-26Icu Medical, Inc.System and method for configuring a rule set for medical event management and responses
US10238799B2 (en)2014-09-152019-03-26Icu Medical, Inc.Matching delayed infusion auto-programs with manually entered infusion programs
US10242060B2 (en)2006-10-162019-03-26Icu Medical, Inc.System and method for comparing and utilizing activity information and configuration information from multiple medical device management systems
US10311972B2 (en)2013-11-112019-06-04Icu Medical, Inc.Medical device system performance index
US10314974B2 (en)2014-06-162019-06-11Icu Medical, Inc.System for monitoring and delivering medication to a patient and method of using the same to minimize the risks associated with automated therapy
US10333843B2 (en)2013-03-062019-06-25Icu Medical, Inc.Medical device communication method
US10342917B2 (en)2014-02-282019-07-09Icu Medical, Inc.Infusion system and method which utilizes dual wavelength optical air-in-line detection
US10430761B2 (en)2011-08-192019-10-01Icu Medical, Inc.Systems and methods for a graphical interface including a graphical representation of medical data
US10434246B2 (en)2003-10-072019-10-08Icu Medical, Inc.Medication management system
US10463788B2 (en)2012-07-312019-11-05Icu Medical, Inc.Patient care system for critical medications
US10596316B2 (en)2013-05-292020-03-24Icu Medical, Inc.Infusion system and method of use which prevents over-saturation of an analog-to-digital converter
US10635784B2 (en)2007-12-182020-04-28Icu Medical, Inc.User interface improvements for medical devices
US10656894B2 (en)2017-12-272020-05-19Icu Medical, Inc.Synchronized display of screen content on networked devices
US10692595B2 (en)2018-07-262020-06-23Icu Medical, Inc.Drug library dynamic version management
US10741280B2 (en)2018-07-172020-08-11Icu Medical, Inc.Tagging pump messages with identifiers that facilitate restructuring
US10765799B2 (en)2013-09-202020-09-08Icu Medical, Inc.Fail-safe drug infusion therapy system
US10850024B2 (en)2015-03-022020-12-01Icu Medical, Inc.Infusion system, device, and method having advanced infusion features
US10861592B2 (en)2018-07-172020-12-08Icu Medical, Inc.Reducing infusion pump network congestion by staggering updates
US10872102B2 (en)2009-07-232020-12-22Abbott Diabetes Care Inc.Real time management of data relating to physiological control of glucose levels
US10898641B2 (en)2014-04-302021-01-26Icu Medical, Inc.Patient care system with conditional alarm forwarding
US20210186417A1 (en)*2007-10-102021-06-24Insulet CorporationFluid component analysis systems and methods for glucose monitoring and control
US11135360B1 (en)2020-12-072021-10-05Icu Medical, Inc.Concurrent infusion with common line auto flush
US11229382B2 (en)2013-12-312022-01-25Abbott Diabetes Care Inc.Self-powered analyte sensor and devices using the same
US11235100B2 (en)2003-11-132022-02-01Icu Medical, Inc.System for maintaining drug information and communicating with medication delivery devices
US11246985B2 (en)2016-05-132022-02-15Icu Medical, Inc.Infusion pump system and method with common line auto flush
US11278671B2 (en)2019-12-042022-03-22Icu Medical, Inc.Infusion pump with safety sequence keypad
US11309070B2 (en)2018-07-262022-04-19Icu Medical, Inc.Drug library manager with customized worksheets
US11328805B2 (en)2018-07-172022-05-10Icu Medical, Inc.Reducing infusion pump network congestion by staggering updates
US11324888B2 (en)2016-06-102022-05-10Icu Medical, Inc.Acoustic flow sensor for continuous medication flow measurements and feedback control of infusion
US11344668B2 (en)2014-12-192022-05-31Icu Medical, Inc.Infusion system with concurrent TPN/insulin infusion
US11344673B2 (en)2014-05-292022-05-31Icu Medical, Inc.Infusion system and pump with configurable closed loop delivery rate catch-up
US11574737B2 (en)2016-07-142023-02-07Icu Medical, Inc.Multi-communication path selection and security system for a medical device
US11571508B2 (en)2013-08-302023-02-07Icu Medical, Inc.System and method of monitoring and managing a remote infusion regimen
US11587669B2 (en)2018-07-172023-02-21Icu Medical, Inc.Passing authentication token to authorize access to rest calls via web sockets
US11605468B2 (en)2015-05-262023-03-14Icu Medical, Inc.Infusion pump system and method with multiple drug library editor source capability
US11883361B2 (en)2020-07-212024-01-30Icu Medical, Inc.Fluid transfer devices and methods of use
US12130910B2 (en)2019-05-082024-10-29Icu Medical, Inc.Threshold signature based medical device management
US12303464B2 (en)2020-04-032025-05-20Icu Medical, Inc.Systems, methods, and components for transferring medical fluids
EP4574186A1 (en)*2023-12-202025-06-25CareFusion 303, Inc.Infusion module adapter
US12350233B2 (en)2021-12-102025-07-08Icu Medical, Inc.Medical fluid compounding systems with coordinated flow control
USD1091564S1 (en)2021-10-132025-09-02Icu Medical, Inc.Display screen or portion thereof with graphical user interface for a medical device
US12431238B2 (en)2020-09-052025-09-30Icu Medical, Inc.Identity-based secure medical device communications

Citations (8)

* Cited by examiner, † Cited by third party
Publication numberPriority datePublication dateAssigneeTitle
US4055175A (en)*1976-05-071977-10-25Miles Laboratories, Inc.Blood glucose control apparatus
CA1040271A (en)*1975-01-221978-10-10Anthony M. AlbisserArtificial beta cell
US4151845A (en)*1977-11-251979-05-01Miles Laboratories, Inc.Blood glucose control apparatus
DE2807367A1 (en)*1978-02-211979-08-30Nikkiso Co Ltd ARTIFICIAL BETA CELL
US4464170A (en)*1982-09-291984-08-07Miles Laboratories, Inc.Blood glucose control apparatus and method
WO1996014026A1 (en)*1994-11-041996-05-17Elan Medical Technologies LimitedAnalyte-controlled liquid delivery device and analyte monitor
WO1996037246A1 (en)*1995-05-261996-11-28Minimed Inc.Medication infusion device with blood glucose data input
EP1048264A1 (en)*1999-04-302000-11-02Medtronic, Inc.Closed loop medicament pump

Patent Citations (8)

* Cited by examiner, † Cited by third party
Publication numberPriority datePublication dateAssigneeTitle
CA1040271A (en)*1975-01-221978-10-10Anthony M. AlbisserArtificial beta cell
US4055175A (en)*1976-05-071977-10-25Miles Laboratories, Inc.Blood glucose control apparatus
US4151845A (en)*1977-11-251979-05-01Miles Laboratories, Inc.Blood glucose control apparatus
DE2807367A1 (en)*1978-02-211979-08-30Nikkiso Co Ltd ARTIFICIAL BETA CELL
US4464170A (en)*1982-09-291984-08-07Miles Laboratories, Inc.Blood glucose control apparatus and method
WO1996014026A1 (en)*1994-11-041996-05-17Elan Medical Technologies LimitedAnalyte-controlled liquid delivery device and analyte monitor
WO1996037246A1 (en)*1995-05-261996-11-28Minimed Inc.Medication infusion device with blood glucose data input
EP1048264A1 (en)*1999-04-302000-11-02Medtronic, Inc.Closed loop medicament pump

Cited By (172)

* Cited by examiner, † Cited by third party
Publication numberPriority datePublication dateAssigneeTitle
US9440025B2 (en)1999-06-032016-09-13Medtronic Minimed, Inc.Apparatus and method for controlling insulin infusion with state variable feedback
US8771222B2 (en)1999-06-032014-07-08Medtronic Minimed, Inc.Apparatus and method for controlling insulin infusion with state variable feedback
US8348886B2 (en)1999-06-032013-01-08Medtronic Minimed, Inc.Apparatus and method for controlling insulin infusion with state variable feedback
US8784370B2 (en)2001-09-072014-07-22Medtronic Minimed, Inc.Safety limits for closed-loop infusion pump control
US9782540B2 (en)2001-09-072017-10-10Medtronic Minimed, Inc.Safety limits for closed-loop infusion pump control
US10434246B2 (en)2003-10-072019-10-08Icu Medical, Inc.Medication management system
US11235100B2 (en)2003-11-132022-02-01Icu Medical, Inc.System for maintaining drug information and communicating with medication delivery devices
US7547281B2 (en)2005-02-012009-06-16Medtronic Minimed, Inc.Algorithm sensor augmented bolus estimator for semi-closed loop infusion system
EP1848323B1 (en)*2005-02-012017-07-05Medtronic MiniMed, Inc.Bolus estimator for semi-closed loop infusion system
US9320471B2 (en)2005-02-012016-04-26Medtronic Minimed, Inc.Algorithm sensor augmented bolus estimator for semi-closed loop infusion system
WO2006083831A1 (en)*2005-02-012006-08-10Medtronic Minimed, Inc.Bolus estimator for semi-closed loop infusion system
AU2006226988B2 (en)*2005-03-212011-12-01Abbott Diabetes Care, Inc.Method and system for providing integrated medication infusion and analyte monitoring system
EP1863559A4 (en)*2005-03-212008-07-30Abbott Diabetes Care IncMethod and system for providing integrated medication infusion and analyte monitoring system
WO2006102412A2 (en)2005-03-212006-09-28Abbott Diabetes Care, Inc.Method and system for providing integrated medication infusion and analyte monitoring system
US9750440B2 (en)2005-05-172017-09-05Abbott Diabetes Care Inc.Method and system for providing data management in data monitoring system
US10206611B2 (en)2005-05-172019-02-19Abbott Diabetes Care Inc.Method and system for providing data management in data monitoring system
US8880138B2 (en)2005-09-302014-11-04Abbott Diabetes Care Inc.Device for channeling fluid and methods of use
US8114269B2 (en)2005-12-302012-02-14Medtronic Minimed, Inc.System and method for determining the point of hydration and proper time to apply potential to a glucose sensor
US8608924B2 (en)2005-12-302013-12-17Medtronic Minimed, Inc.System and method for determining the point of hydration and proper time to apply potential to a glucose sensor
US8114268B2 (en)2005-12-302012-02-14Medtronic Minimed, Inc.Method and system for remedying sensor malfunctions detected by electrochemical impedance spectroscopy
US7985330B2 (en)2005-12-302011-07-26Medtronic Minimed, Inc.Method and system for detecting age, hydration, and functional states of sensors using electrochemical impedance spectroscopy
US10117614B2 (en)2006-02-282018-11-06Abbott Diabetes Care Inc.Method and system for providing continuous calibration of implantable analyte sensors
US11872039B2 (en)2006-02-282024-01-16Abbott Diabetes Care Inc.Method and system for providing continuous calibration of implantable analyte sensors
US9844329B2 (en)2006-02-282017-12-19Abbott Diabetes Care Inc.Analyte sensors and methods of use
US9031630B2 (en)2006-02-282015-05-12Abbott Diabetes Care Inc.Analyte sensors and methods of use
US10220145B2 (en)2006-06-302019-03-05Abbott Diabetes Care Inc.Integrated analyte sensor and infusion device and methods therefor
US9119582B2 (en)2006-06-302015-09-01Abbott Diabetes Care, Inc.Integrated analyte sensor and infusion device and methods therefor
US11918782B2 (en)2006-06-302024-03-05Abbott Diabetes Care Inc.Integrated analyte sensor and infusion device and methods therefor
US9084566B2 (en)2006-07-072015-07-21Proteus Digital Health, Inc.Smart parenteral administration system
US9697332B2 (en)2006-08-072017-07-04Abbott Diabetes Care Inc.Method and system for providing data management in integrated analyte monitoring and infusion system
US11445910B2 (en)2006-08-072022-09-20Abbott Diabetes Care Inc.Method and system for providing data management in integrated analyte monitoring and infusion system
US12245839B2 (en)2006-08-072025-03-11Abbott Diabetes Care, Inc.Method and system for providing data management in integrated analyte monitoring and infusion system
US8932216B2 (en)2006-08-072015-01-13Abbott Diabetes Care Inc.Method and system for providing data management in integrated analyte monitoring and infusion system
US11806110B2 (en)2006-08-072023-11-07Abbott Diabetes Care Inc.Method and system for providing data management in integrated analyte monitoring and infusion system
US11194810B2 (en)2006-10-162021-12-07Icu Medical, Inc.System and method for comparing and utilizing activity information and configuration information from multiple device management systems
US10242060B2 (en)2006-10-162019-03-26Icu Medical, Inc.System and method for comparing and utilizing activity information and configuration information from multiple medical device management systems
US11043300B2 (en)2006-10-312021-06-22Abbott Diabetes Care Inc.Infusion devices and methods
US10007759B2 (en)2006-10-312018-06-26Abbott Diabetes Care Inc.Infusion devices and methods
US11508476B2 (en)2006-10-312022-11-22Abbott Diabetes Care, Inc.Infusion devices and methods
US12073941B2 (en)2006-10-312024-08-27Abbott Diabetes Care Inc.Infusion device and methods
US11837358B2 (en)2006-10-312023-12-05Abbott Diabetes Care Inc.Infusion devices and methods
US9064107B2 (en)2006-10-312015-06-23Abbott Diabetes Care Inc.Infusion devices and methods
WO2008089766A1 (en)*2007-01-262008-07-31Diramo A/SAnalysis system with a remote analysing unit
US9636450B2 (en)2007-02-192017-05-02Udo HossPump system modular components for delivering medication and analyte sensing at seperate insertion sites
US8454576B2 (en)2007-04-252013-06-04Medtronic Minimed, Inc.Device and method for therapy calibration and safety response
US20210186417A1 (en)*2007-10-102021-06-24Insulet CorporationFluid component analysis systems and methods for glucose monitoring and control
US9125979B2 (en)2007-10-252015-09-08Proteus Digital Health, Inc.Fluid transfer port information system
US10635784B2 (en)2007-12-182020-04-28Icu Medical, Inc.User interface improvements for medical devices
US8876755B2 (en)2008-07-142014-11-04Abbott Diabetes Care Inc.Closed loop control system interface and methods
US10238801B2 (en)2009-04-172019-03-26Icu Medical, Inc.System and method for configuring a rule set for medical event management and responses
US12337142B2 (en)2009-04-172025-06-24Icu Medical, Inc.System and method for configuring a rule set for medical event management and responses
US11013861B2 (en)2009-04-172021-05-25Icu Medical, Inc.System and method for configuring a rule set for medical event management and responses
US12036390B2 (en)2009-04-172024-07-16Icu Medical, Inc.System and method for configuring a rule set for medical event management and responses
US11654237B2 (en)2009-04-172023-05-23Icu Medical, Inc.System and method for configuring a rule set for medical event management and responses
US12350042B2 (en)2009-07-232025-07-08Abbott Diabetes Care Inc.Continuous analyte measurement systems and systems and methods for implanting them
US10872102B2 (en)2009-07-232020-12-22Abbott Diabetes Care Inc.Real time management of data relating to physiological control of glucose levels
US9795326B2 (en)2009-07-232017-10-24Abbott Diabetes Care Inc.Continuous analyte measurement systems and systems and methods for implanting them
US8771251B2 (en)2009-12-172014-07-08Hospira, Inc.Systems and methods for managing and delivering patient therapy through electronic drug delivery systems
US9008761B2 (en)2010-02-012015-04-14Proteus Digital Health, Inc.Two-wrist data gathering system
US10376218B2 (en)2010-02-012019-08-13Proteus Digital Health, Inc.Data gathering system
US9014779B2 (en)2010-02-012015-04-21Proteus Digital Health, Inc.Data gathering system
US12346879B2 (en)2011-08-192025-07-01Icu Medical, Inc.Systems and methods for a graphical interface including a graphical representation of medical data
US11599854B2 (en)2011-08-192023-03-07Icu Medical, Inc.Systems and methods for a graphical interface including a graphical representation of medical data
US11004035B2 (en)2011-08-192021-05-11Icu Medical, Inc.Systems and methods for a graphical interface including a graphical representation of medical data
US11972395B2 (en)2011-08-192024-04-30Icu Medical, Inc.Systems and methods for a graphical interface including a graphical representation of medical data
US10430761B2 (en)2011-08-192019-10-01Icu Medical, Inc.Systems and methods for a graphical interface including a graphical representation of medical data
US11996188B2 (en)2011-10-212024-05-28Icu Medical, Inc.Medical device update system
US9971871B2 (en)2011-10-212018-05-15Icu Medical, Inc.Medical device update system
US12380997B2 (en)2011-10-212025-08-05Icu Medical, Inc.Medical device update system
US11626205B2 (en)2011-10-212023-04-11Icu Medical, Inc.Medical device update system
US11376361B2 (en)2011-12-162022-07-05Icu Medical, Inc.System for monitoring and delivering medication to a patient and method of using the same to minimize the risks associated with automated therapy
US10022498B2 (en)2011-12-162018-07-17Icu Medical, Inc.System for monitoring and delivering medication to a patient and method of using the same to minimize the risks associated with automated therapy
US9995611B2 (en)2012-03-302018-06-12Icu Medical, Inc.Air detection system and method for detecting air in a pump of an infusion system
US11933650B2 (en)2012-03-302024-03-19Icu Medical, Inc.Air detection system and method for detecting air in a pump of an infusion system
US10578474B2 (en)2012-03-302020-03-03Icu Medical, Inc.Air detection system and method for detecting air in a pump of an infusion system
US12280239B2 (en)2012-07-312025-04-22Icu Medical, Inc.Patient care system for critical medications
US11623042B2 (en)2012-07-312023-04-11Icu Medical, Inc.Patient care system for critical medications
US10463788B2 (en)2012-07-312019-11-05Icu Medical, Inc.Patient care system for critical medications
US12395429B2 (en)2013-03-062025-08-19Icu Medical, Inc.Medical device communication method
US11470000B2 (en)2013-03-062022-10-11Icu Medical, Inc.Medical device communication method
US10333843B2 (en)2013-03-062019-06-25Icu Medical, Inc.Medical device communication method
US12047292B2 (en)2013-03-062024-07-23Icu Medical, Inc.Medical device communication method
US10874793B2 (en)2013-05-242020-12-29Icu Medical, Inc.Multi-sensor infusion system for detecting air or an occlusion in the infusion system
US10046112B2 (en)2013-05-242018-08-14Icu Medical, Inc.Multi-sensor infusion system for detecting air or an occlusion in the infusion system
US12048831B2 (en)2013-05-242024-07-30Icu Medical, Inc.Multi-sensor infusion system for detecting air or an occlusion in the infusion system
US10596316B2 (en)2013-05-292020-03-24Icu Medical, Inc.Infusion system and method of use which prevents over-saturation of an analog-to-digital converter
US12059551B2 (en)2013-05-292024-08-13Icu Medical, Inc.Infusion system and method of use which prevents over-saturation of an analog-to-digital converter
US11433177B2 (en)2013-05-292022-09-06Icu Medical, Inc.Infusion system which utilizes one or more sensors and additional information to make an air determination regarding the infusion system
US10166328B2 (en)2013-05-292019-01-01Icu Medical, Inc.Infusion system which utilizes one or more sensors and additional information to make an air determination regarding the infusion system
US11596737B2 (en)2013-05-292023-03-07Icu Medical, Inc.Infusion system and method of use which prevents over-saturation of an analog-to-digital converter
CN103418053A (en)*2013-07-242013-12-04上海中医药大学附属龙华医院Individualized insulin treatment pump and basic infusion rate optimization method thereof
US11986623B2 (en)2013-08-302024-05-21Icu Medical, Inc.System and method of monitoring and managing a remote infusion regimen
US11571508B2 (en)2013-08-302023-02-07Icu Medical, Inc.System and method of monitoring and managing a remote infusion regimen
US12097351B2 (en)2013-09-202024-09-24Icu Medical, Inc.Fail-safe drug infusion therapy system
US10765799B2 (en)2013-09-202020-09-08Icu Medical, Inc.Fail-safe drug infusion therapy system
US10311972B2 (en)2013-11-112019-06-04Icu Medical, Inc.Medical device system performance index
US11501877B2 (en)2013-11-112022-11-15Icu Medical, Inc.Medical device system performance index
US11037668B2 (en)2013-11-192021-06-15Icu Medical, Inc.Infusion pump automation system and method
US10042986B2 (en)2013-11-192018-08-07Icu Medical, Inc.Infusion pump automation system and method
US11763927B2 (en)2013-11-192023-09-19Icu Medical, Inc.Infusion pump automation system and method
US11229382B2 (en)2013-12-312022-01-25Abbott Diabetes Care Inc.Self-powered analyte sensor and devices using the same
US10342917B2 (en)2014-02-282019-07-09Icu Medical, Inc.Infusion system and method which utilizes dual wavelength optical air-in-line detection
US12083310B2 (en)2014-02-282024-09-10Icu Medical, Inc.Infusion system and method which utilizes dual wavelength optical air-in-line detection
US11628246B2 (en)2014-04-302023-04-18Icu Medical, Inc.Patient care system with conditional alarm forwarding
US12420009B2 (en)2014-04-302025-09-23Icu Medical, Inc.Patient care system with conditional alarm forwarding
US12042623B2 (en)2014-04-302024-07-23Icu Medical, Inc.Patient care system with conditional alarm forwarding
US10898641B2 (en)2014-04-302021-01-26Icu Medical, Inc.Patient care system with conditional alarm forwarding
US11344673B2 (en)2014-05-292022-05-31Icu Medical, Inc.Infusion system and pump with configurable closed loop delivery rate catch-up
US10314974B2 (en)2014-06-162019-06-11Icu Medical, Inc.System for monitoring and delivering medication to a patient and method of using the same to minimize the risks associated with automated therapy
US10646651B2 (en)2014-06-162020-05-12Icu Medical, Inc.System for monitoring and delivering medication to a patient and method of using the same to minimize the risks associated with automated therapy
US12042631B2 (en)2014-06-162024-07-23Icu Medical, Inc.System for monitoring and delivering medication to a patient and method of using the same to minimize the risks associated with automated therapy
US11628254B2 (en)2014-06-162023-04-18Icu Medical, Inc.System for monitoring and delivering medication to a patient and method of using the same to minimize the risks associated with automated therapy
US12002562B2 (en)2014-09-152024-06-04Icu Medical, Inc.Matching delayed infusion auto-programs with manually entered infusion programs
US11289183B2 (en)2014-09-152022-03-29Icu Medical, Inc.Matching delayed infusion auto-programs with manually entered infusion programs
US12380982B2 (en)2014-09-152025-08-05Icu Medical, Inc.Matching delayed infusion auto-programs with manually entered infusion programs
US11574721B2 (en)2014-09-152023-02-07Icu Medical, Inc.Matching delayed infusion auto-programs with manually entered infusion programs
US10799632B2 (en)2014-09-152020-10-13Icu Medical, Inc.Matching delayed infusion auto-programs with manually entered infusion programs
US10238799B2 (en)2014-09-152019-03-26Icu Medical, Inc.Matching delayed infusion auto-programs with manually entered infusion programs
CN104524664A (en)*2014-12-122015-04-22深圳市理邦精密仪器股份有限公司Insulin injection equipment control method, device and system
US11344668B2 (en)2014-12-192022-05-31Icu Medical, Inc.Infusion system with concurrent TPN/insulin infusion
US10850024B2 (en)2015-03-022020-12-01Icu Medical, Inc.Infusion system, device, and method having advanced infusion features
US12115337B2 (en)2015-03-022024-10-15Icu Medical, Inc.Infusion system, device, and method having advanced infusion features
CN104888308A (en)*2015-04-152015-09-09上海京颐科技股份有限公司Infusion monitoring system and data transmission method based on polling optimization in infusion monitoring system
CN104888308B (en)*2015-04-152019-01-08上海京颐科技股份有限公司Infusion monitoring system and the data transmission method wherein optimized based on poll
US11605468B2 (en)2015-05-262023-03-14Icu Medical, Inc.Infusion pump system and method with multiple drug library editor source capability
US12201811B2 (en)2016-05-132025-01-21Icu Medical, Inc.Infusion pump system and method with common line auto flush
US11246985B2 (en)2016-05-132022-02-15Icu Medical, Inc.Infusion pump system and method with common line auto flush
US12076531B2 (en)2016-06-102024-09-03Icu Medical, Inc.Acoustic flow sensor for continuous medication flow measurements and feedback control of infusion
US11324888B2 (en)2016-06-102022-05-10Icu Medical, Inc.Acoustic flow sensor for continuous medication flow measurements and feedback control of infusion
US11574737B2 (en)2016-07-142023-02-07Icu Medical, Inc.Multi-communication path selection and security system for a medical device
US12333201B2 (en)2017-12-272025-06-17Icu Medical, Inc.Synchronized display of screen content on networked devices
US11868161B2 (en)2017-12-272024-01-09Icu Medical, Inc.Synchronized display of screen content on networked devices
US10656894B2 (en)2017-12-272020-05-19Icu Medical, Inc.Synchronized display of screen content on networked devices
US11029911B2 (en)2017-12-272021-06-08Icu Medical, Inc.Synchronized display of screen content on networked devices
US11139058B2 (en)2018-07-172021-10-05Icu Medical, Inc.Reducing file transfer between cloud environment and infusion pumps
US12205702B2 (en)2018-07-172025-01-21Icu Medical, Inc.Health checks for infusion pump communications systems
US11373753B2 (en)2018-07-172022-06-28Icu Medical, Inc.Converting pump messages in new pump protocol to standardized dataset messages
US10861592B2 (en)2018-07-172020-12-08Icu Medical, Inc.Reducing infusion pump network congestion by staggering updates
US12040068B2 (en)2018-07-172024-07-16Icu Medical, Inc.Reducing file transfer between cloud environment and infusion pumps
US10964428B2 (en)2018-07-172021-03-30Icu Medical, Inc.Merging messages into cache and generating user interface using the cache
US11594326B2 (en)2018-07-172023-02-28Icu Medical, Inc.Detecting missing messages from clinical environment
US12046361B2 (en)2018-07-172024-07-23Icu Medical, Inc.Tagging pump messages with identifiers that facilitate restructuring
US11923076B2 (en)2018-07-172024-03-05Icu Medical, Inc.Converting pump messages in new pump protocol to standardized dataset messages
US11587669B2 (en)2018-07-172023-02-21Icu Medical, Inc.Passing authentication token to authorize access to rest calls via web sockets
US10741280B2 (en)2018-07-172020-08-11Icu Medical, Inc.Tagging pump messages with identifiers that facilitate restructuring
US11670416B2 (en)2018-07-172023-06-06Icu Medical, Inc.Tagging pump messages with identifiers that facilitate restructuring
US11881297B2 (en)2018-07-172024-01-23Icu Medical, Inc.Reducing infusion pump network congestion by staggering updates
US11328804B2 (en)2018-07-172022-05-10Icu Medical, Inc.Health checks for infusion pump communications systems
US11328805B2 (en)2018-07-172022-05-10Icu Medical, Inc.Reducing infusion pump network congestion by staggering updates
US11152108B2 (en)2018-07-172021-10-19Icu Medical, Inc.Passing authentication token to authorize access to rest calls via web sockets
US11483403B2 (en)2018-07-172022-10-25Icu Medical, Inc.Maintaining clinical messaging during network instability
US12142370B2 (en)2018-07-172024-11-12Icu Medical, Inc.Passing authentication token to authorize access to rest calls via web sockets
US11152110B2 (en)2018-07-172021-10-19Icu Medical, Inc.Tagging pump messages with identifiers that facilitate restructuring
US10950339B2 (en)2018-07-172021-03-16Icu Medical, Inc.Converting pump messages in new pump protocol to standardized dataset messages
US11783935B2 (en)2018-07-172023-10-10Icu Medical, Inc.Health checks for infusion pump communications systems
US11152109B2 (en)2018-07-172021-10-19Icu Medical, Inc.Detecting missing messages from clinical environment
US11483402B2 (en)2018-07-172022-10-25Icu Medical, Inc.Maintaining clinical messaging during an internet outage
US10692595B2 (en)2018-07-262020-06-23Icu Medical, Inc.Drug library dynamic version management
US11437132B2 (en)2018-07-262022-09-06Icu Medical, Inc.Drug library dynamic version management
US11309070B2 (en)2018-07-262022-04-19Icu Medical, Inc.Drug library manager with customized worksheets
US12130910B2 (en)2019-05-082024-10-29Icu Medical, Inc.Threshold signature based medical device management
US11278671B2 (en)2019-12-042022-03-22Icu Medical, Inc.Infusion pump with safety sequence keypad
US12268843B2 (en)2019-12-042025-04-08Icu Medical, Inc.Infusion pump with safety sequence keypad
US12303464B2 (en)2020-04-032025-05-20Icu Medical, Inc.Systems, methods, and components for transferring medical fluids
US11883361B2 (en)2020-07-212024-01-30Icu Medical, Inc.Fluid transfer devices and methods of use
US12310921B2 (en)2020-07-212025-05-27Icu Medical, Inc.Fluid transfer devices and methods of use
US12431238B2 (en)2020-09-052025-09-30Icu Medical, Inc.Identity-based secure medical device communications
US11135360B1 (en)2020-12-072021-10-05Icu Medical, Inc.Concurrent infusion with common line auto flush
US12390586B2 (en)2020-12-072025-08-19Icu Medical, Inc.Concurrent infusion with common line auto flush
USD1091564S1 (en)2021-10-132025-09-02Icu Medical, Inc.Display screen or portion thereof with graphical user interface for a medical device
US12350233B2 (en)2021-12-102025-07-08Icu Medical, Inc.Medical fluid compounding systems with coordinated flow control
EP4574186A1 (en)*2023-12-202025-06-25CareFusion 303, Inc.Infusion module adapter

Also Published As

Publication numberPublication date
AUPR632301A0 (en)2001-08-02

Similar Documents

PublicationPublication DateTitle
WO2003006091A1 (en)Infusion apparatus for regulating blood sugar levels and method thereof
EP3606584B1 (en)Insulin-on-board accounting in an artificial pancreas system
EP2139382B1 (en)Closed loop/semi-closed loop therapy modification system
EP2537110B1 (en)Closed-loop glucose control startup
US8454576B2 (en)Device and method for therapy calibration and safety response
US7547281B2 (en)Algorithm sensor augmented bolus estimator for semi-closed loop infusion system
US20180110921A1 (en)System and method for mitigating risk in automated medicament dosing
US20100312176A1 (en)System and method for monitoring and regulating blood glucose levels
EP3742449B1 (en)System and method for incorporating exercise into closed-loop diabetes therapy
US20080206799A1 (en)Carbohydrate ratio testing using frequent blood glucose input
US11911595B2 (en)Systems and methods for automated insulin delivery response to meal announcements
US20240366121A1 (en)Optimizing medication dosage based on analyte sensor data
US20230113755A1 (en)Systems and methods for delayed meal boluses in automated insulin delivery
US20210100952A1 (en)Systems and Methods for Treating Hypoglycemia
US20250166776A1 (en)Determination of carbohydrate-to-insulin ratios
US20220395637A1 (en)Hybrid injection-pump insulin delivery

Legal Events

DateCodeTitleDescription
AKDesignated states

Kind code of ref document:A1

Designated state(s):AE AG AL AM AT AU AZ BA BB BG BR BY BZ CA CH CN CO CR CU CZ DE DK DM DZ EC EE ES FI GB GD GE GH GM HR HU ID IL IN IS JP KE KG KP KR KZ LC LK LR LS LT LU LV MA MD MG MK MN MW MX MZ NO NZ OM PH PL PT RO RU SD SE SG SI SK SL TJ TM TN TR TT TZ UA UG US UZ VN YU ZA ZM ZW

ALDesignated countries for regional patents

Kind code of ref document:A1

Designated state(s):GH GM KE LS MW MZ SD SL SZ TZ UG ZM ZW AM AZ BY KG KZ MD RU TJ TM AT BE BG CH CY CZ DE DK EE ES FI FR GB GR IE IT LU MC NL PT SE SK TR BF BJ CF CG CI CM GA GN GQ GW ML MR NE SN TD TG

121Ep: the epo has been informed by wipo that ep was designated in this application
REGReference to national code

Ref country code:DE

Ref legal event code:8642

122Ep: pct application non-entry in european phase
NENPNon-entry into the national phase

Ref country code:JP

WWWWipo information: withdrawn in national office

Country of ref document:JP


[8]ページ先頭

©2009-2025 Movatter.jp