Movatterモバイル変換


[0]ホーム

URL:


WO2002040971A1 - Method and apparatus for determination of optical parameters of turbid media and use thereof - Google Patents

Method and apparatus for determination of optical parameters of turbid media and use thereof
Download PDF

Info

Publication number
WO2002040971A1
WO2002040971A1PCT/DK2001/000753DK0100753WWO0240971A1WO 2002040971 A1WO2002040971 A1WO 2002040971A1DK 0100753 WDK0100753 WDK 0100753WWO 0240971 A1WO0240971 A1WO 0240971A1
Authority
WO
WIPO (PCT)
Prior art keywords
light
sample
measurements
detector
optical parameters
Prior art date
Application number
PCT/DK2001/000753
Other languages
French (fr)
Inventor
Jan Sørensen DAM
Carsten Bitsch Pedersen
Original Assignee
Bang & Olufsen Medicom A/S
Priority date (The priority date is an assumption and is not a legal conclusion. Google has not performed a legal analysis and makes no representation as to the accuracy of the date listed.)
Filing date
Publication date
Application filed by Bang & Olufsen Medicom A/SfiledCriticalBang & Olufsen Medicom A/S
Priority to AU2002223495ApriorityCriticalpatent/AU2002223495A1/en
Publication of WO2002040971A1publicationCriticalpatent/WO2002040971A1/en

Links

Classifications

Definitions

Landscapes

Abstract

Method and apparatus for determining optical parameters of a turbid medium, the method comprising providing a sample (1) of the medium, said sample exhibiting at least m optical parameters wherein m ≥ 2; providing illuminating light (2) onto said sample along an axis of incidence, said illuminating light producing light from the turbid medium; providing n measurements Y of light produced from said sample, said n measurements being composed on n1 measurements (3, 4) of spatially resolved diffused light at different spatial positions and n2 measurements (5, 6) of angularly resolved scattered light at different angular positions, wherein n=n1+n2 ≥ m, and n1 ≥ 1 and n2 ≥ 2, and deriving said m optical parameters X from said n measurements, a computer program for carrying out the method, and use of the optical parameters for the determination of one or more material parameters.

Description

METHOD AND APPARATUS FOR DETERMINATION OF OPTICAL PARAMETERS OF TURBID MEDIA AND USE THEREOF
DESCRIPTION
BACKGROUND OF THE INVENTION
The present invention relates to a method and apparatus for determination of optical parameters of turbid media and use thereof; e.g. in measurements of biological samples such as blood samples.
The Technical Field
The optical properties of a turbid medium, i.e. the absorption coefficient μa , the scattering coefficient μs , and the anisotropy factor g may provide important information on the composition and the dynamics of the medium. While μa provide information on various chromophores, μs and g may be used to characterize the form, size, and concentration of various scattering components in the medium. Therefore, determination of the optical properties of turbid media is a useful and important in numerous fields of science, industry, health care, environmental technology, etc. Some examples are (a) tissue characterization in cancer diagnostics and therapy, (b) medical diagnostics using biological fluids including blood, urine, agglutinations, (c) process control in breweries and dairies, and (d) environmental monitoring. Still, most of the existing methods for optical analysis of turbid media are not able to extract μa , μs , and g simultaneously. Many methods focus on either the absorption- or the scattering properties; i.e. the scattering effects are treated as interference during absorption measurements or vice versa.
Other methods rely on removal of the scattering components prior to absorption measurements, e.g. some types of clinical blood analysis, where the blood cells are hemolysed, i.e. the cell walls are crushed, and subsequently removed from the sample either by means of sedimentation or centrifugation.
Integrating sphere (IS) measurements9-11 are widely used as and reference method for determination μa , μs , and g .
Here, the optical properties are extracted from measurements of the total diffuse reflectance Rω and the total diffuse transmittance Ttot of either a thin turbid slab or a turbid solution in a thin cuvette. IS measurements may be carried out using a single- or a double sphere set-up. In the latter, Rtot and Ttot can be recorded simultaneously without moving the sample, but due to optical cross-talk between the two spheres, the accuracy is often decreased compared to a single-sphere setup. However, it is only possible to determine μa and the reduced scattering coefficient μs'= {l - g)μs from pure Rtot and Ttot measurements. In order to separate μs' into μs and g it is necessary to perform additional measurements of the collimated transmittance Tc in a separate set-up, i.e. the sample has to be moved once again. Moreover, it is complicated to perform accurate Tc measurements in practice, thus IS based methods are applied for research purposes mainly. In summary, the existing methods for determination of optical properties from thin turbid samples either imply (a) more or less accurate interference compensation techniques, (b) bulky equipment, (c) inconvenient sample handling, or (d) complicated measuring techniques. Hence, there is an obvious need for more compact, handy, and accurate techniques for this type of measurements.
Also, there is a need for determining the scattering coefficient and the anisotropy factor simultaneously.
Prior Art Disclosures
In the article "Multiple polynomial regression method for determination of biomedical optical properties from integrating sphere measurements", Applied Optics, vol. 39, No. 7, March 2000, Dam et al . disclose a method of extracting optical properties from integrating sphere measurements on thin biological samples based on Monte Carlo simulation, multiple polynomial regression and Newton-Raphson solution of nonlinear equations.
EP 0 074 428 (published 08.04.87) discloses a method and apparatus for quantitative determination of dissolved substances in multiple component systems, the method comprising measuring intensities of scattered radiation in a plurality of discrete predetermined scattering angles .
US 6 075 610 (published 13.06.00) discloses a method and apparatus for measuring an internal property distribution of an object, the method comprising measuring light that has passed through the object at at least one light detection position on the surface of the object, i.e. detection of spatially resolved diffused light.
WO 00/20843 (published 13.04.00) discloses a method and apparatus for measuring locally and superficially the scattering and absorption properties of turbid media, the method comprising measuring the spatially-resolved reflectance and mathematically processing thereof including fit of analytical functions, and fit of Monte Carlo simulations.
US 5 529 065 (published 25.06.96) discloses a method and apparatus for measuring internal information of a scattering medium, the method comprising measuring diffused light propagating through the scattering medium at at least two photo detection points, extracting internal information by converting at least three measured values and arithmetic processing thereof based on an analytical equation derived from the photon diffusion equation and involving the effective attenuation coefficient, the absorption coefficient and the transport scattering coefficient.
EP 0 707 826 (published 24.04.96) discloses a method and apparatus for the analysis of glucose in an biological matrix, the method comprising at least two measurements wherein at least one is spatially resolved measurement of multiply scattered light. 2. DISCLOSURE OF THE INVENTION
Object of the Invention
It is an object of the present invention to seek to provide an improved method and apparatus for determination of optical properties of turbid media.
It is another object of the present invention to seek to provide such method and apparatus that allows simultaneous determination of several optical parameters of the turbid medium.
It is still another object of the present invention to seek to provide an improved method and apparatus for several components of the turbid medium.
Further objects appear from the description elsewhere.
Solution According to the Invention
"Method of Determining Optical Parameters"
In an aspect, according to the present invention, these objects are fulfilled by providing a method of determining optical parameters of a turbid medium, the method comprising
providing a sample of the medium, said sample exhibiting at least m optical parameters wherein m>2;
providing illuminating light onto said sample along an axis of incidence, said illuminating light producing light from the turbid medium, said produced light being spatially resolved diffused light and angularly resolved scattered light with respect to said axis of incidence;
providing n measurements Y of said produced light from said sample, said n measurements being composed of ni measurements of said produced spatially resolved diffused light at different spatial positions and n= measurements of said produced angularly resolved scattered light at different angular positions, wherein n=n1+n2≥m, and nχ≥l and n2>2, said spatial positions and angular positions being equal or different; and
deriving said at least m optical parameters X from said n measurements .
Turbid Medi um
According to the invention the turbid medium can be any medium that allows penetration of the illuminating light, and which turbid medium comprises components that is able to modify one or more properties of light propagating there through.
For example, a turbid medium comprising chromophores may exhibit light absorption properties. Also, a turbid medium comprising light scattering components may exhibit scattering and anisotropy properties depending on the form, size and concentration of the components.
Optical properties of the propagating light that the turbid medium can modify include absorption, scattering, anisotropy, refractive index, wavelength, polarisation, etc. Typical examples of turbid media include human tissue, body fluids such as blood and urine, etc.
Sample of Turbid Medi um
Generally, the sample of the turbid medium can be any suitable sample that allows illuminating light to enter into the sample and interact with the components of the turbid medium.
Also, the optical parameters of a turbid medium include any optical property that manifests itself by propagation of light through the turbid medium.
According to the invention, the sample of the turbid medium exhibits at least m optical parameters wherein m>2.
Typical optical parameters include absorption, scattering, anisotropy, refractive index, wavelength, and polarisation.
In a preferred embodiment, said at least m optical parameters are the absorption coefficient μa, the scattering coefficient μs, and the anisotropy factor g
(i.e. m=3) , and said n measurements are at least one measurements of spatially resolved diffused light (ni≥l) and at least two measurements of angularly resolved scattered light (n2>2) .
In another preferred embodiment, said at least m optical parameters are the absorption coefficient μa/ the scattering coefficient μs, and the anisotropy factor g and the refractive index n (m=4), and said n measurements are two measurements of spatially resolved diffused light (nι=2) and two measurements of angularly resolved scattered light (n2=2) .
Generally, the sample can have any suitable form, including gas, liquid, and solid, and combinations thereof.
In a preferred embodiment the sample is in form of either gas or liquid, or both, contained in a cuvette.
In another preferred embodiment, the sample is in form of a solid slab.
In still another preferred embodiment, the sample is in form of a bulk sample into which the illuminating light and detection means are immerged.
Ill uminating Light
Illuminating light onto said sample along an axis of incidence, said illuminating light producing light from the turbid medium, said produced light being spatially resolved diffused light and angularly resolved scattered light with respect to said axis of incidence.
Generally, the illuminating light can be any light providing suitable photons that can interact with the components of the turbid medium to produce spatially resolved diffused light and angularly resolved scattered light.
In a preferred embodiment, a laser diode is used, Measurements
According to the invention, there is provided n measurements Y of said produced light from said sample. The n measurements are composed of ni measurements of said produced spatially resolved diffused light and n2 measurements of said produced angularly resolved scattered light, wherein ni≥l and n2≥l and n=nι+n2>m>2. The measurements are obtained at different distances from said axis of incidence.
Generally the measurements can be taken at any suitable time, e.g. simultaneously, sequentially, or in any other time sequence, provided the conditions for the sample and calibration references are substantially the same, i.e. any influence does not significantly affect the optical parameters .
In a preferred embodiment, said produced spatially resolved diffused light comprise measurement of transmitted spatially resolved diffused light and measurement of reflected spatially resolved diffused light with respect to said illuminating light illuminated onto said sample.
Sol uti on of n equations
Generally, the number of measurements depends on the number of optical parameters to be determined. Thus, a matched set of n equations requires n=nι+n2.
This system may be solved by various methods known in the art. In a preferred embodiment n equations Y=AX are solved with respect to said at least m optical parameters X, wherein A is a predetermined calibration matrix relating each of said n measurements Y to the optical parameters X of said sample.
For an excess of measurements, the number of equations exceeds the number of parameters to be determined.
This system may be solved by various methods known in the art including multiple polynomial regression analysis, see e.g. Using Matlab (ver.5), The MathWorks Inc. 1997, for algorithms for carrying out least square regression analyses.
In a preferred embodiment, said n equations are solved by Newton-Raphson iteration, see e.g. S.V. Chapra and R.P.Canale, *Numerical Methods for Engineers", MacGraw- Hill 1997, see also Dam et al., Applied Optics, Vol. 39, No.7, March 2000 the content of which is incorporated herein by reference.
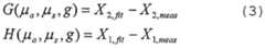
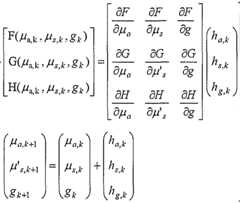
"Determining .,, , μ , and g from R , T , and measurements using Newton-Raphson' s method"
To solve the inverse problem of determining μa , μs , and from R , T , and a measurements Xι-3,mea, the Newton- Raphson algorithm is used. \,meas
G{μas,g) = X2.fll - X2>mas
Figure imgf000013_0001
Figure imgf000013_0002
k = 0,1.2,3,... ,
Where, ha , hs , and h are correction terms of μa , μs , and g , respectively. The iterative calculations continue until ha , hs , and hg have dropped below predefined maximum values .
More equations that optical parameters
For a number of equations larger than the number of optical parameters to be determined, e.g. in case of repetitions of measurements with the same number of detectors in a given configuration, the method of principal components may be used to select the number of parameters to be determined, said parameters explaining most of the variability of the measurements. The unexplained the variability is then ascribed to a residual component accounting for the uncertainty of the determination.
This system including repeated measurements may be solved by various methods known in the art including weighted multiple regression analysis.
Determination of Calibration Matrix A
In a preferred embodiment, the optical properties are calculated using multiple polynomial regression in combination with a Newton-Raphson algorithm MRP/N-R.
The method is based on a calibration model wherein calibration matrix containing R , T , andα values for a range of optical properties "° , "s , and of interest is obtained. The calibration matrix can be obtained in two ways, either using a) Monto Carlo simulation or b) a measurement setup using a set of phantoms with well- defined optical properties.
(a) Using Monto Carlo simulation (MC)
With a range of optical properties of interest MC is initiated, in each single MC simulation the spatially resolved diffuse reflectance R as a function of the radial distancerR , the spatially resolved diffuse transmittance T as a function of the radial distance , and the angularly resolved total transmittanceα as a function of the deflection angle ^ and the acceptance angle ^ is recorded. A with i.e. sample thickness
Figure imgf000014_0001
= 1 mm, and beam diameterb = 1 mm. The refractive indices of the sample n * , the wall nw , and the surrounding media n„ has to be specified.
In preferred embodiment, the predetermined calibration matrix is derived from known values of optical parameters of the turbid medium.
Using measurement setup
In a setup R , T .anda measurements are done using phantoms with optical properties in a range of interest. The phantoms can be made of well-defined aqueous solutions of Intralipid and black ink. The scattering and absorption spectra of the Intralipid and the black ink are determined using an integrating sphere setup and traditional transmission spectroscopy measurements. On the basis of these spectra, a matrix of phantoms with a range of ^a , ^s , and can be made. The applied range of Intralipid concentrations is 0.6, 0.8, ...1.6 %, and the range of the ink concentrations is 0.0, 0.2, ...1.2 % for typical skin tissue optical parameters.
With the generated calibration matrix a triple-polynomial fits is found:
[xflt Xxfit X,,,R μβ μa2 /-/1 A ?
Figure imgf000015_0001
Where,l~i-flt are functions of ^a , ^ , and % , and A, B andare 4X3 matrices of fitting coefficients X . determined by least-squares regression. Thus,l~3'βt constitute the calibration model.
Since the method implies exactly three variables in order to predict "n , "s , and , a dimension reduction must be performed. For this the Principal Component Analysis
(PCA) is used, that is, we perform PCA on the calibration matrix and then use the resulting three main principal components as input i.e. X1~3 to the calibration.
In another preferred embodiment, the predetermined calibration matrix is obtained from measurements on samples of the turbid medium having known optical parameters .
Further preferred embodiments are defined in the subclaims .
"Apparatus for of Determining Optical Parameters"
In another aspect, according to the present invention, these objects are fulfilled by providing an apparatus for determining optical parameters of a turbid medium, the apparatus comprising
a sample holder for holding a sample of the turbid medium;
illuminating light for illuminating light onto said sample when said sample is placed in said sample holder, said illuminating light illuminating the sample along an axis of incidence; at least one spatial detector for detecting spatially resolved diffused light from at least one input/output port (ni≥l) of said sample in at least one spatial position; and
at least one angular detector for detecting angularly resolved scattered light from at least two input/output ports (n 2) of said sample in at least two different angular positions with respect to said axis of incidence; said at least one spatial detector and said at least one angular detector optionally being a' single detector.
Preferred embodiments are defined in the subclaims.
"Computer Program for Carrying out the Method of Determining Optical Parameters"
In still another aspect, according to the present invention, these objects are fulfilled by providing a computer program for use in running a computer for carrying out the method according to the invention, in particular such a computer program stored on a computer usable medium.
"Use of Optical Parameters Determined by the Method of Determining Optical Parameters"
A typical application of the present invention is to use of one or more optical parameters of the turbid medium determined according to the method for the determination of one or more material parameters of the turbid medium. In a preferred embodiment, the one or more determined material parameters is the concentration of one or more components of the turbid medium, said components being either dissolved or dispersed in the turbid medium.
Defini tion of Terms and Expressions
In the present context it is intended that the term "spatially resolved diffused light" designates diffused light which is sampled along an axis of distance from the point of illuminating light.
In the present context it is intended that the term "angularly resolved scattered light" designates scattered light which is sample along a set of angles from the point of illuminating light.
3. BRIEF DESCRIPTION OF THE DRAWINGS
In the following, by way of examples only, the invention is further disclosed with detailed description of preferred embodiments. Reference is made to the drawings in which
FIG. 1 shows an illustration of the concepts of spatial resolved and angular resolved diffused light;
FIGS. 2A-2C illustrate a turbid medium that can take any form, gas, liquid or solid;
FIG. 3A shows an embodiment of an apparatus for determining optical properties of a turbid medium according to the invention;
FIG. 3B shows another embodiment with a compact sample/detection system;
FIGS. 4A and 4B show sectional views of specific embodiments of the compact sample/detection system in FIG. 3B;
FIG. 5 shows another embodiment of a sample/detection system;
, FIG. 6 illustrates an embodiment of an illuminating light beam with two wavelengths;
FIG. 7 shows an embodiment comprising four light sources;
FIG. 8 shows another embodiment wherein the direction of the light through the sample is inverted compared to the system shown in FIG. 5; and FIG. 9 shows a flow chart of the electronics for an embodiment of the apparatus.
DETAILED DESCRIPTION
"Spatial resolved and angular resolved diffused light"
FIG. 1 shows an illustration of the concepts of spatial resolved and angular resolved diffused light.
Illuminating light enters a turbid medium 1 along an axis of incidence 2; here the turbid medium is illustrated in an ellipsoidal shape. The light interacts with the components of the turbid medium, including chromophores and scattering components. Spatial resolved diffused light is measured in spatial detectors 3 and 4. Angular resolved diffused light is measured in angular detectors
5 and 6 positioned at different angles with respect to the axis of incidence of the illuminating light.
"Shape of turbid medium"
FIGS. 2A-2C illustrate a turbid medium 1 that can take any form, gas, liquid or solid. In case of a fluid the turbid medium is confined by suitable container means e.g. behind container walls 7, see FIG. 2A. As illustrated in FIGS. 2A and 2B the spatial resolved diffused light of both transmitted type and reflected type can be measured.
FIG. 2C shows a sectional view of cuvette containing a turbid medium. The cuvette has walls of thickness dw and a cavity of diameter ds. The illuminating beam has a beam width of d . The spatial detector R is placed at a radial distance from the axis of incidence of r.
"Preferred Optical Configurations"
FIG. 3A shows an embodiment of an apparatus for determining optical properties of a turbid medium according to the invention.
The apparatus comprises an illuminating light source, here a light beam 10 from a collimated laser embodied in form of a laser diode 8. The light from the laser diode is broken by a beam splitter 9 to obtain a reference beam for measuring the power of the laser diode in reference detector 17e.
A sample of a turbid medium is placed in a sample holder 11; here the sample holder is adapted to receive a cuvette 12 containing a sample of a turbid fluid, or a solid sample.
The sample holder is made of a suitable material, e.g. aluminum, molded polymer e.g. plastic, etc.
The cuvette is made of a suitable material, e.g. a polymer to provide a cheap disposable-type cuvette, or a high quality-type cuvette made of glass such as silica, BK7, etc.
The sample holder is equipped with openings for allowing light to communicate with input/output light ports of the sample; here the openings of the sample holder are illustrated by pinholes 13, 14, and 15 in opposite faces thereof, respectively. Pinhole 13 has a diameter of 0.2 mm. It is placed in the illuminated face of the sample holder at a radial distance of 2.5 mm from the axis of incidence of the illuminating light. It allows communication of light in a spatial output port of the sample, here a spatial resolved diffused reflection output port. A spatial detector 17a for detecting said reflected diffused light
(R) from the sample, here the spatial detector 17a, is mounted directly on the sample holder. The spatial detector could be mounted as an integral part of the sample holder.
Pinhole 14 has a diameter of 0.2 mm. It is placed in the opposite face of the illuminating face of the sample holder at a radial distance of 2.0 mm from the axis of incidence of the illuminating light. It allows communication of light in a spatial output port of the sample, here a spatial resolved diffused transmission output port for transmitted diffused light (T) . A spatial detector 17b for detecting said transmitted diffused light from the sample is mounted directly on the sample holder. In this case, the detector 17b is similar to detector 17a.
Pinhole 15 has a diameter of 0.2 mm. It is placed in the opposite face of the illuminating face of the sample holder at the axis of incidence of the illuminating light. It allows communication of light in an angular output port of the sample, here an angular resolved scattered output port for angular resolved scattered light. A Fourier lens 16 separates the angles for two angles, the smaller angle at zero degrees (α0) and the larger angle at 5 degrees (oci) , respectively, thereby directing the angular resolved scattered light to two angular detectors 17c and 17d, respectively. Here, the angular detectors 17c and 17d are of the same type as the spatial detectors 17a and 17b. The acceptance angles of the angular detectors could be optimized by providing a plate with further pinholes after the Fourier lens 16. The input port of the sample facing the illuminated face of the holder is not shown in this figure.
The diameter of the pinholes 13, 14, and 15, and the light propagation distances from the point of illumination on the sample, or equivalent the radial distances from the detectors to the axis of incidence of the illuminating light, are set according to the geometrical configuration.
The geometrical configuration is found using a set of simulated data with random combination of the optical properties of interest. The data is generated using Monte Carlo simulation, given the sample thickness, the phase function, etc. In each case, using the calibration matrix the prediction errors of the optical properties is minimized by finding an optimal combination of angles (α) and distances (r) reflectance and transmittance, respectively.
The selection of the detectors depends on the wavelength used. In the range 400-1000nm, standard silicon photo diodes can be used (e.g. a standard BPW34) . Above lOOOn , InGaAs photo diodes could be used.
The detectors 17a, 17b, 17c, and 17d could be arranged in form ring detectors having their respective radial distances from the axis of incidence of the illuminating light. This could increase the sensitivity of the setup. The detector signals are recorded in respective recording means, and processed in a computer (not shown) .
FIG. 3B shows another embodiment with a compact detection system 18.
FIGS. 4A and 4B show in sectional views of specific embodiments of the compact detection system 18 in FIG. 3B along line A-A.
Lights from the sample are guided by means of a light guide block 14.
The detection system 18 guides two spatially resolved diffused lights (Ti) and (T2) , and angular resolved scattered lights (α0) and (o-i) to a detector array 19. The detector array consists of multiple detectors, placed in a row (array) . In this embodiment, measurement is not made for spatial resolved diffuse reflection (R) .
In FIG. 4A, the detection system is made of two plates 20 and 21 in which the input/output light ports are made for light communication with the sample. The plates are assembled and spaced with e.g. screws 22, 23. In the space between the plates, a light guiding material is placed. On top of the plate 20, a detector array 19 is mounted. Spatial resolved diffused light is transmitted to the detector array through optical wave-guides, here optical fibers 23, 24. The type of optical fibers is selected depending of the wavelength and the number of wavelengths of the illuminating light. If a single wavelength is used, single mode optical fibers are preferred. Otherwise, multi mode optical fibers are used. In FIG. 4A the optical fibers are shown at two different radial distances. However, the number of radial distances can be increased, just by increasing the number of detectors (e.g. pixels) in the detector array and the number of optical fibers at increasing radial distances.
To resolve the angular resolved scattered lights (α0) and (c-i) , a lens can be used, here a small plano-convex lens 25 is used. The lens is placed between the two plates 20 and 21. The focal length of the lens depends on the distance to the sample and the resolved angles, here a focal length of 15 mm has been used together with resolved angles of zero degree and 5 degrees, respectively. The lens focuses angular resolved light to the detector array through pinhole 26 (α0) and 27 (oci) , respectively.
Again the number of detectors of the detector array and the number of angels can be increased. The selection of the detector array depends on the wavelength and the number of detectors. In an embodiment, the light guide block was connected to a four-element silicon array detector (e.g. of the type LD4C-5T from Centronic) .
Another embodiment of the detection system is shown in FIG. 4B. The detection system is a molded unit 28 in which four light channels 29, 30, 31 and 32 are made. The molded unit is made of non-transparency material to avoid optic crosstalk between the channels. Each channel guides light from the sample to the detector array 19, which are placed on the molded unit.
To further optimize the system, the channels could be embodied with optical fibers to increase the sensitivity of the system. Also, the channels could be in form of cylindrical rings to further increase the sensitivity of the system. No lens for the angular transmittance is used in this embodiment. A light channel 31 is used to guide the light at a given angle. If necessary a lens could be inserted in the molded unit to optimize the performance.
FIG. 5 shows another apparatus for determining optical properties of a turbid medium according to the invention. Pinhole plates 33, 34 and 35 define the geometrical configuration of the system. Exchange of the pinhole plates with modified pinholes provides easily for a new setup whereby a large range of optical properties suitable for several applications can be determined.
Plate 33 defines the radial distance of the pinhole 13 from the axis of incidence of the illuminating light. The pinhole allows measurement of spatially resolved diffused reflection. From the pinhole light is guided to a detector 17a via light guide 36a. The light guide can comprise any suitable transparent materiel, e.g. glass. Preferably the light guide is coated with a reflective layer to increase the amount of guided light.
Similarly, the plate 34 the pinhole 14 for measuring spatially resolved diffuse transmittance. From the pinhole light is guided to a detector 17b via light guide 36b. The detectors 17a, 17b can be of a common type. The selection depends on the applied wavelength.
The pinhole plate 35 defines the conditions for measuring angular resolved total transmittance. The pinhole plate can easily be exchanged with another pinhole plate defining a different pinhole configuration whereby angular resolved total transmittance can be measured at different angels. A wide area of angles can be covered, and thereby a large range of optical properties is possible. The angular resolved scattered light is deflected in a lens 37 and detected in a suitable detector, here a detector array 38 which can cover all angles selected by the pinholes.
In a particular embodiment several wavelength are used, either simultaneously or sequentially.
FIG. 6 illustrates an embodiment of an illuminating light beam with two wavelengths. A beam splitter 39 combines beams 40, 41 from two illuminating light source, here laser diodes 42 and 43. A reference detector 17e measures the power from both light sources. The output from the beam splitter is a beam 44 consisting of two different wavelengths. The laser diodes are switched on/off thereby allowing one diode to be turned on at a time, or modulated with two different frequencies.
In another embodiment, multiple light sources are applied.
FIG. 7 shows an embodiment comprising four light sources, here four laser diodes 45a, 45b, 45c and 45d, coupled to four optical fibers 46a, 46b, 46c, 46d and a multi port optical fiber coupler array 48; the latter further being coupled to an output optical fiber 47. The output optical fiber carries the wavelengths of the four light sources the selection of which is obtained by switching the diodes on/off, respectively. A collimator 50 collimates the light from the output optical fiber into a collimated light beam 49. This collimated light beam is split by a beam splitter 9 to obtain a reference beam 51. A reference detector 17e measures the power of each light source. The output light beam of the beam splitter comprises the wavelengths of the four light sources. The light sources can be selected individually, or selected in combinations of each or more thereof.
In still another embodiment, a monochromator is used instead of the multiple light sources whereby a specific wavelength can be selected. An optical fiber couples the monochromator to the collimator. A power reference of the collimated light beam is obtained by using a beam splitter as described previously for the multiple light source .
FIG. 8 shows another embodiment wherein the direction of the light through the sample is inverted compared to the system shown in FIG. 5,
The sample 12 is placed between two plates 52 and 53 with input/output ports 13, 14 and 15. Multiple light beams 54a, 54b, 54c and 54d are coupled to the input/output ports, e.g. directed at the ports as individual beams or guided to the ports in multiple beams. Here, beams 54a and 54b define the inverted direction of light for the spatial resolved diffused light reflection and transmittance, respectively, and beam 54c and 54d define those for the angular resolved scattered transmittance. The detector 55 detects the output light from the light output port 56.
An advantage of one detector and several light sources is that a more specific detector can be applied, e.g. a photo multiplier, or a spectrograph which will enhance the system to cover a large range of wavelengths and allow use of a white light source, e.g. a halogen light source. FIG.9 shows a flow chart of the electronics for an embodiment of the apparatus. Each detector 57 generates a current, which is proportional to the light absorbed by the detector. All the detectors are connected to a converter block 58, in which the current is transformed to a voltage and amplified to obtain a suitable voltage. This voltage is sampled/converted into a digital word. In a preferred embodiment, each detector has its own preamplifier and ADC whereby all the channels are sampled at the same time eliminating time delays between the channels. In another embodiment, several detectors share a common analog-to-digital conversion. The output of the converter block is coupled to a digital signal bus 59, on which each ADC can be addressed and the digital word can be obtained. A driver block 60 is also coupled to the digital signal bus. The driver block controls and powers the light sources 61. A computer e.g. a digital signal processor (DSP) 62 handles the communication and instructions to both the converter block and the driver block. The control algorithm in the DSP turns the light sources on/off and receives digital words from the result of the conversion. The digital words are processed, using the PCA and MRP/N-R method, by the DSP and represents the optical properties of the sample in a measurement. The DSP has an output interface 63 for communicating with an external device, here a PC. The PC is used to display the information in a graphical form and to record the information from the measurement.
"Test Simulations'
The optical parameters μa , μs , and g are extracted from
MC simulated recordings of various combinations of angularly and spatially resolved reflected and transmitted intensities from a thin turbid sample using multivariate calibration.
The basic geometrical configuration of the set-up we used for the simulations in our analyses is shown in FIG. 2C.
The set-up imitates a cuvette with sample thickness ds = 1 mm, wall thicknessw = 1 mm, and beam diameter db = 1 mm. The refractive indices of the sample ns , the wall ιιw , and the surrounding media nm were 1.33, 1.49, and 1.00, respectively.
During each single MC simulation, we thus recorded: (a) the spatially resolved diffuse reflectance R as a function of the radial distance rR , (b) the spatially resolved diffuse transmittance T as a function of the radial distance rτ , and (c) the angularly resolved transmittance a as a function of the deflection angle θ and the acceptance angle φ .
As a first step to solve the inverse problem of extracting μa , μs , and g using multivariate calibration, we generated a database of MC simulations using the geometrical configuration in FIG. 2C and a set of optical properties within typical biological ranges:
0 < μ < 2 cm"1
( 1 ) 10 < .J < 200 cm"1
0.85 < < 0.99
The simulated reflectance and transmittance recordings were tabulated and stored in a 21x19x11 calibration matrix, i.e. a data base containing all combinations of
21 values of μa , 19 values of μs , and 11 values of g . The single simulations of the calibration model was generated using on 140s photons .
Next, we applied multiple polynomial regression (MPR) in conjunction with a Newton-Raphson (N-R) algorithm to calculate μa , μs , and g from R , T , and a recordings of
MC simulated prediction data with random distributions of optical properties. Based on preliminary investigations, we chose to use third-order polynomials for our further analyses .
Thus, the principle of the applied three-dimensional MPR/N-R method is as follows:
First, we select the relevant R , T , and/or a data from the simulated 21x19x11 calibration matrix and denote them
Figure imgf000031_0001
:
[γ\.fltX2,fltXXflt]= Ma a"' Hz J (2! x A - [l μs μs2 μ, & g g2 g3]c
Where, X]-3r fltare functions of μa , μs , and g , and A, B and C are 4x3 matrices of fitting coefficients determined by least-squares regression. Thus, -^.-.3,?, constitute the calibration model. The next step is to solve the inverse problem of determining μa and μ from recordings of the simulated prediction data sets IH_
Figure imgf000032_0001
Then, we use the Newton-Raphson algorithm to perform converging iterative calculations of μa , μs , and g :
Figure imgf000032_0002
k = 0.1.2.3,...,
Where, ha , hs , and hg are correction terms of μa , μs , and g , respectively. The calculations continue until ha , hs , and h have dropped below predefined maximum values .
Since the MPR/N-R method implies exactly three variables in order to predict μa , μs , and g , we have to apply some sort of dimension reduction. For this we use Principal Component Analysis (PCA) , that is, we perform PCA on the 21x19x11 calibration matrix and then use the resulting three main principal components as input i.e. X:_3 to the calibration and prediction algorithms. In order to test the prediction performances of the configuration in FIG. 2C, we first generated a set of prediction data with 20 random combinations of optical properties within the ranges:
0 < μa < 2 cm"1 50</i<100cm-1 (5) 0.85 <g<0.95
The prediction data were generated using 1-107 photons, and Table 1 shows the results from the prediction tests using these data in conjunction with the configuration in FIG. 2C. In each case the prediction errors were minimized by finding the optimal combinations of angles a and distances r .
Table 1 shows mean prediction errors for the set-up in FIG . 2C .
Mean Prediction Errors ( % )a s8 μ
0.17 0.45 0.43
Table 2 shows the optimal angles and the distances corresponding to errors listed in Table 1 for the set-up in FIG. 2C. Angles θ (°) Distances r
(mm)
Figure imgf000034_0001
2.0 2.5

Claims

METHOD AND APPARATUS FOR DETERMINATION OF OPTICAL PARAMETERS OF TURBID MEDIA AND USE THEREOFCLAIMS
1. A method of determining optical parameters of a turbid medium, the method comprising
providing a sample of the medium, said sample exhibiting at least m optical parameters wherein m>2;
providing illuminating light onto said sample along an axis of incidence, said illuminating light producing light from the turbid medium, said produced light being spatially resolved diffused light and angularly resolved scattered light with respect to said axis of incidence;
providing n measurements Y of said produced light from said sample, said n measurements being composed of ni measurements of said produced spatially resolved diffused light at different spatial positions and n2 measurements of said produced angularly resolved scattered light at different angular positions, wherein n=nι+n2≥m, and nχ>l and n2>2, said spatial positions and angular positions being equal or different; and
deriving said at least m optical parameters X from said n measurements .
2. The method according to claim 1 wherein said at least m optical parameters X are determined by solving n equations Y=AX with respect to said at least optical parameters X, wherein A is a predetermined calibration matrix relating each of said n measurements Y to the optical parameters X of said sample.
3. The method according to claim 1 or 2 wherein said at least m optical parameters are the absorption coefficient μa, the scattering coefficient μs, and the anisotropy factor g (m=3), and said n measurements are at least one measurements of spatially resolved diffused light (ni≥l) and at least two measurements of angularly resolved scattered light (n2>2) .
4. The method according to claim 1 or 2 wherein said at least m optical parameters are the absorption coefficient μa, the scattering coefficient μs, and the anisotropy factor g and the refractive index n (m=4), and said n measurements are two measurements of spatially resolved diffused light (nι>2) and two measurements of angularly resolved scattered light (n2>2) .
5. The method according to claims 1-4 wherein said n equations are solved by Newton-Raphson iteration.
6. The method according to claims 1-5 wherein said measurements at said different spatial positions of said produced spatially resolved diffused light comprise measurement of transmitted spatially resolved diffused light and measurement of reflected spatially resolved diffused light with respect to said illuminating light illuminated onto said sample.
7. The method according to claim 6 wherein said measurement of reflected spatially resolved diffused light is substituted by a second measurement of transmitted spatially resolved diffused light in another spatial position.
8. The method according to claims 6 or 7 wherein said transmitted, reflected, or both, spatially resolved diffused lights are measured in a detector close to the sample.
9. The method according to claims 1-8 wherein one of said angularly resolved scattered lights is measured in an angle between 1 and 180 degrees, preferably 1 and 60 degrees, in particular 1 and 30 degrees, most preferred 1 and 10 degrees with respect to said axis of incidence of the illuminating light, and a second of said angularly resolved scattered lights is measured in an angle about 0 degrees .
10. The method according to claim 1 wherein said transmitted and reflected spatially resolved diffused lights and said angularly resolved scattered light are measured in one detector.
11. The method according to claims 2-10 wherein the predetermined calibration matrix is obtained from measurements on samples of the turbid medium having known optical parameters.
12. The method according to claims 2-10 wherein the predetermined calibration matrix is derived from known values of optical parameters of the turbid medium.
13. An apparatus for determining optical parameters of a turbid medium, the apparatus comprising
a compartment containing a sample of the turbid medium; illuminating light for illuminating light onto said sample when said sample is placed in said sample holder, said illuminating light illuminating the sample along an axis of incidence;
at least one spatial detector for detecting spatially resolved diffused light from at least one input/output port (ni≥l) of said sample in at least one spatial position; and
at least one angular detector for detecting angularly resolved scattered light from at least two input/output ports (n>2) of said sample in at least two different angular positions with respect to said axis of incidence; said at least one spatial detector and said at least one angular detector optionally being a single detector.
14. The apparatus according to claim 13 wherein said at least one spatial detector is positioned to measure transmitted spatially resolved diffused light and at least one other spatial detector is positioned to measure said reflected spatially resolved diffused light with respect to said illuminating light when illuminated onto said sample.
15. The apparatus according to claim 13 wherein at least two spatial detectors are positioned to measure said reflected spatially resolved diffused light and said transmitted spatially resolved diffused light; said spatial detectors being positioned in different spatial positions distal to the point of incidence of said illuminating light when illuminated onto said sample.
16. The apparatus according to claims 13-15 wherein said transmitted, reflected, or both, spatially resolved diffused lights are measured in one or more spatial detectors close to the sample.
17. The apparatus according to claims 13-16 wherein said at least one angular detector for detecting angularly one of said angularly resolved scattered lights is positioned in an angular position having an angle between 1 and 180 degrees, preferably 1 and 60 degrees, in particular 1 and 30 degrees, most preferred 1 and 10 degrees with respect to said axis of incidence of the illuminating light, and at least one other angular detector for detecting said angularly resolved scattered lights is positioned in an angle about 0 degrees.
18. The apparatus according to claim 13-17 wherein said transmitted and reflected spatially resolved diffused lights and said angularly resolved scattered light are guided in optical waveguides to said at least one spatial and said at least one angular detector.
19. The apparatus according to claims 13-18 wherein said at least one spatial detector for detecting spatially resolved diffused light from at least one input/output port (ni≥l) of said sample in at least one spatial position; and
said at least one angular detector for detecting angularly resolved scattered light from at least two input/output ports (n2>2) of said sample in at least two different angular positions with respect to said axis of incidence is a single detector.
20. The"apparatus according to claims 13-19 further comprising recording means for recording n simultaneous measurements Y of said at least one spatial detector and said at least one angular detectors wherein n=nι+n2>m.
21. The apparatus according to claims 13-20 further comprising storing means for storing a predetermined calibration matrix A, said matrix comprising n measurements of said at least one spatial detector and said at least one angular detector for known at least m optical parameters X of the medium.
22. The apparatus according to claims 13-21 further computing means for providing and solving n simultaneous equations Y=AX of said n simultaneous measurements Y from said measuring means and said calibration matrix A from said storing means with respect to said m optical parameters X.
23. A computer program for use in running a computer for carrying out the method as claimed in claims 1-12.
24. A computer program as claimed in claim 23 said program being stored on a computer usable medium.
25. Use of one or more optical parameters of the turbid medium determined according to the method as claimed in claims 1-12 for the determination of one or more material parameters of the turbid medium.
26. Use according to claim 25 wherein the one or more material parameter is the concentration of one or more components of the turbid medium, said components being either dissolved or dispersed in the turbid medium.
PCT/DK2001/0007532000-11-152001-11-15Method and apparatus for determination of optical parameters of turbid media and use thereofWO2002040971A1 (en)

Priority Applications (1)

Application NumberPriority DateFiling DateTitle
AU2002223495AAU2002223495A1 (en)2000-11-152001-11-15Method and apparatus for determination of optical parameters of turbid media anduse thereof

Applications Claiming Priority (2)

Application NumberPriority DateFiling DateTitle
DKPA2000017102000-11-15
DKPA2000017102000-11-15

Publications (1)

Publication NumberPublication Date
WO2002040971A1true WO2002040971A1 (en)2002-05-23

Family

ID=8159844

Family Applications (1)

Application NumberTitlePriority DateFiling Date
PCT/DK2001/000753WO2002040971A1 (en)2000-11-152001-11-15Method and apparatus for determination of optical parameters of turbid media and use thereof

Country Status (2)

CountryLink
AU (1)AU2002223495A1 (en)
WO (1)WO2002040971A1 (en)

Cited By (8)

* Cited by examiner, † Cited by third party
Publication numberPriority datePublication dateAssigneeTitle
WO2007014188A3 (en)*2005-07-252009-04-30Univ DukeMethods, systems, and computer program products for optimization of probes for spectroscopic measurement in turbid media
US7751039B2 (en)2006-03-302010-07-06Duke UniversityOptical assay system for intraoperative assessment of tumor margins
US7818154B2 (en)2006-03-172010-10-19Duke UniversityMonte Carlo based model of fluorescence in turbid media and methods and systems for using same to determine intrinsic fluorescence of turbid media
US9091637B2 (en)2009-12-042015-07-28Duke UniversitySmart fiber optic sensors systems and methods for quantitative optical spectroscopy
EP2238233A4 (en)*2007-12-272016-01-13Bacterioscan Ltd DETECTION AND COUNTING OF SUSPENDED BACTERIA IN BIOLOGICAL FLUIDS
CN105816151A (en)*2016-03-102016-08-03天津大学Uniform tissue optical parameter reconstruction method based on spatial frequency domain measurement
US9820655B2 (en)2007-09-282017-11-21Duke UniversitySystems and methods for spectral analysis of a tissue mass using an instrument, an optical probe, and a Monte Carlo or a diffusion algorithm
EP3614128A1 (en)*2018-08-222020-02-26F. Hoffmann-La Roche AGA method to correct signal light intensities measured by a detector of a detection unit in a laboratory instrument

Citations (4)

* Cited by examiner, † Cited by third party
Publication numberPriority datePublication dateAssigneeTitle
EP0707826A1 (en)*1992-11-091996-04-24Boehringer Mannheim GmbhMethod and device for determining glucose in biologic medium
US5529065A (en)*1993-06-021996-06-25Hamamatsu Photonics K.K.Method for measuring scattering medium and apparatus for the same
WO2000020843A1 (en)*1998-10-072000-04-13Ecole Polytechnique Federale De Lausanne (Epfl)Method and apparatus for measuring locally and superficially the scattering and absorption properties of turbid media
US6075610A (en)*1996-05-102000-06-13Hamamatsu Photonics K.K.Method and apparatus for measuring internal property distribution

Patent Citations (4)

* Cited by examiner, † Cited by third party
Publication numberPriority datePublication dateAssigneeTitle
EP0707826A1 (en)*1992-11-091996-04-24Boehringer Mannheim GmbhMethod and device for determining glucose in biologic medium
US5529065A (en)*1993-06-021996-06-25Hamamatsu Photonics K.K.Method for measuring scattering medium and apparatus for the same
US6075610A (en)*1996-05-102000-06-13Hamamatsu Photonics K.K.Method and apparatus for measuring internal property distribution
WO2000020843A1 (en)*1998-10-072000-04-13Ecole Polytechnique Federale De Lausanne (Epfl)Method and apparatus for measuring locally and superficially the scattering and absorption properties of turbid media

Non-Patent Citations (4)

* Cited by examiner, † Cited by third party
Title
DAM J S ET AL: "FIBER OPTIC SYSTEM FOR IN VIVO REAL-TIME DETERMINATION OF TISSUE OPTICAL PROPERTIES FROM STEADY-STATE DIFFUSE REFLECTANCE MEASUREMENTS", PROCEEDINGS OF THE SPIE, SPIE, BELLINGHAM, VA, US, vol. 4160, 2000, pages 103 - 109, XP001019643*
HAISHAN ZENG: "A COMPUTERIZED AUTOFLUORESCENCE AND DIFFUSE REFLECTANCE SPECTROANALYSER SYSTEM FOR IN VIVO SKIN STUDIES", PHYSICS IN MEDICINE AND BIOLOGY, TAYLOR AND FRANCIS LTD. LONDON, GB, vol. 38, no. 2, 1 February 1993 (1993-02-01), pages 231 - 240, XP000334471, ISSN: 0031-9155*
POGUE B W ET AL: "Initial assessment of a simple system for frequency domain diffuse optical tomography", PHYSICS IN MEDICINE AND BIOLOGY, TAYLOR AND FRANCIS LTD. LONDON, GB, vol. 40, no. 10, 1995, pages 1709 - 1729, XP002115054, ISSN: 0031-9155*
WILLMANN S ET AL: "QUANTITATIVE MICROSPECTROPHOTOMETRY IN TURBID MEDIA", APPLIED OPTICS, OPTICAL SOCIETY OF AMERICA,WASHINGTON, US, vol. 38, no. 22, 1 August 1999 (1999-08-01), pages 4904 - 4913, XP000854468, ISSN: 0003-6935*

Cited By (11)

* Cited by examiner, † Cited by third party
Publication numberPriority datePublication dateAssigneeTitle
WO2007014188A3 (en)*2005-07-252009-04-30Univ DukeMethods, systems, and computer program products for optimization of probes for spectroscopic measurement in turbid media
US7835786B2 (en)2005-07-252010-11-16Wisconsin Alumni Research FoundationMethods, systems, and computer program products for optimization of probes for spectroscopic measurement in turbid media
US7818154B2 (en)2006-03-172010-10-19Duke UniversityMonte Carlo based model of fluorescence in turbid media and methods and systems for using same to determine intrinsic fluorescence of turbid media
US7751039B2 (en)2006-03-302010-07-06Duke UniversityOptical assay system for intraoperative assessment of tumor margins
US9820655B2 (en)2007-09-282017-11-21Duke UniversitySystems and methods for spectral analysis of a tissue mass using an instrument, an optical probe, and a Monte Carlo or a diffusion algorithm
EP2238233A4 (en)*2007-12-272016-01-13Bacterioscan Ltd DETECTION AND COUNTING OF SUSPENDED BACTERIA IN BIOLOGICAL FLUIDS
US9091637B2 (en)2009-12-042015-07-28Duke UniversitySmart fiber optic sensors systems and methods for quantitative optical spectroscopy
CN105816151A (en)*2016-03-102016-08-03天津大学Uniform tissue optical parameter reconstruction method based on spatial frequency domain measurement
CN105816151B (en)*2016-03-102018-08-07天津大学A kind of uniform formation's bulk optics Reconstruction method measured based on spatial frequency domain
EP3614128A1 (en)*2018-08-222020-02-26F. Hoffmann-La Roche AGA method to correct signal light intensities measured by a detector of a detection unit in a laboratory instrument
US10856391B2 (en)2018-08-222020-12-01Roche Molecular Systems, Inc.Method to correct signal light intensities measured by a detector of a detection unit in a laboratory instrument

Also Published As

Publication numberPublication date
AU2002223495A1 (en)2002-05-27

Similar Documents

PublicationPublication DateTitle
US7315752B2 (en)Method and device for determining a light transport parameter in a biological matrix
US11274967B2 (en)Method and apparatus for quantifying solutions comprised of multiple analytes
US6678541B1 (en)Optical fiber probe and methods for measuring optical properties
JP3527600B2 (en) Method and apparatus for determining analytical data regarding the interior of a scattering matrix
EP1218725B1 (en)Optimizing a fiber-optic probe for spectroscopic measurements
JP3433508B2 (en) Scattering absorber measurement method and scattering absorber measuring device
EP0580414B1 (en)Apparatus for measuring absorption information in scattering medium and method for the same
RU2730366C2 (en)Analytical system and method for determining hemoglobin parameters in whole blood
Sardar et al.Optical properties of whole blood
CN105277497A (en)Device and method for detecting optical property parameters of agricultural products in continuous spectrum
KR20030004450A (en)Dual beam FTIR methods and devices for use in analyte detection in samples of low transmissivity
CN101140222A (en)Spectrometer system and method for measuring whole optical parameter including turbidity dielectric materials
WO2002040971A1 (en)Method and apparatus for determination of optical parameters of turbid media and use thereof
Song et al.Application of liquid waveguide to Raman spectroscopy in aqueous solution
Terán et al.Application of single integrating sphere system to obtain the optical properties of turbid media
RU2008126406A (en) METHOD FOR OPTICAL DIAGNOSTICS OF LIVING MICRO-OBJECTS AND THEIR NANOCOMPONENTS AND DEVICE FOR ITS IMPLEMENTATION
CN101103905A (en)Optical system for detecting turbidity medium and biological tissue optical parameter and detecting method
van der ZeeMethods for measuring the optical properties of tissue samples in the visible and near infrared wavelength range
Lu et al.Determination optical properties of tissue-like phantoms using diffuse reflectance and transmittance spectroscopy
US20230183635A1 (en)Device and method for determining a viability and/or a cell count of biological cells in a suspension by means of collimated transmission
Niedorf et al.Noninvasive reflection spectra provide quantitative information about the spatial distribution of skin chromophores
Giusto et al.Monitoring absorption changes in a layered diffusive medium by white-light time-resolved reflectance spectroscopy
RU2449260C1 (en)Method for spectral analysis and determination of concentration of component of opaque substance and apparatus for realising said method (versions)
RU2702519C1 (en)Device for detecting optical parameters of liquid analyte
KasaganiOptical quantification of hemolysis, icterus, and lipemia in human serum

Legal Events

DateCodeTitleDescription
AKDesignated states

Kind code of ref document:A1

Designated state(s):AE AG AL AM AT AT AU AZ BA BB BG BR BY BZ CA CH CN CO CR CU CZ CZ DE DE DK DK DM DZ EC EE EE ES FI FI GB GD GE GH GM HR HU ID IL IN IS JP KE KG KP KR KZ LC LK LR LS LT LU LV MA MD MG MK MN MW MX MZ NO NZ OM PH PL PT RO RU SD SE SG SI SK SK SL TJ TM TR TT TZ UA UG US UZ VN YU ZA ZM ZW

ALDesignated countries for regional patents

Kind code of ref document:A1

Designated state(s):GH GM KE LS MW MZ SD SL SZ TZ UG ZM ZW AM AZ BY KG KZ MD RU TJ TM AT BE CH CY DE DK ES FI FR GB GR IE IT LU MC NL PT SE TR BF BJ CF CG CI CM GA GN GQ GW ML MR NE SN TD TG

DFPERequest for preliminary examination filed prior to expiration of 19th month from priority date (pct application filed before 20040101)
121Ep: the epo has been informed by wipo that ep was designated in this application
REGReference to national code

Ref country code:DE

Ref legal event code:8642

122Ep: pct application non-entry in european phase
NENPNon-entry into the national phase

Ref country code:JP

WWWWipo information: withdrawn in national office

Country of ref document:JP


[8]ページ先頭

©2009-2025 Movatter.jp