Movatterモバイル変換


[0]ホーム

URL:


WO2002009310A2 - Compensation for frequency adjustment to track or acquire one or more positional signals - Google Patents

Compensation for frequency adjustment to track or acquire one or more positional signals
Download PDF

Info

Publication number
WO2002009310A2
WO2002009310A2PCT/US2001/021653US0121653WWO0209310A2WO 2002009310 A2WO2002009310 A2WO 2002009310A2US 0121653 WUS0121653 WUS 0121653WWO 0209310 A2WO0209310 A2WO 0209310A2
Authority
WO
WIPO (PCT)
Prior art keywords
signal
adjustment
component
frequency
employment
Prior art date
Application number
PCT/US2001/021653
Other languages
French (fr)
Other versions
WO2002009310A3 (en
Inventor
Leland Scott Bloebaum
Original Assignee
Ericsson Inc.
Priority date (The priority date is an assumption and is not a legal conclusion. Google has not performed a legal analysis and makes no representation as to the accuracy of the date listed.)
Filing date
Publication date
Application filed by Ericsson Inc.filedCriticalEricsson Inc.
Priority to AU2001275882ApriorityCriticalpatent/AU2001275882A1/en
Publication of WO2002009310A2publicationCriticalpatent/WO2002009310A2/en
Publication of WO2002009310A3publicationCriticalpatent/WO2002009310A3/en

Links

Classifications

Definitions

Landscapes

Abstract

A component of a system receives information that identifies an adjustment to a frequency source. The adjustment relates to wireless communication. A component of the system compensates for the adjustment to track or acquire one or more positional signals.

Description

COMPENSATION FOR FREQUENCY ADJUSTMENT TO TRACK OR ACQUIRE
ONE OR MORE POSITIONAL SIGNALS
FIELD OF THE INVENTION
This invention relates generally to telecommunications and more particularly to satellite positioning system receivers and wireless communication devices.
BACKGROUND
Wireless communication devices (e.g., mobile radiotelephones) as well as satellite positioning receivers, usually employ frequency sources. Were one to combine a wireless communication device and satellite positioning receiver, it would be advantageous to use a single frequency source for both the wireless communication device and the satellite positioning receiver.
In accordance with typical standards, a wireless communication device usually locks a frequency source of the wireless communication device to a base station of a network from which the wireless communication device receives signals. In one example, an automatic frequency control ("AFC") algorithm that executes in the wireless communication device,
performs such locking of the frequency source of the wireless communication device to the base station. The automatic frequency control algorithm in one example adjusts the frequency source of the wireless communication device in discrete steps, to correspond to the frequency of a signal that the network transmits to the wireless communication device. If the wireless communication device and satellite positioning receiver were to share a single frequency source, such discrete-step adjustments by the automatic frequency control algorithm would disadvantageously appear to the satellite positioning receiver as highly dynamic motion. This appearance of the discrete-step adjustments as highly dynamic motion would adversely affect performance of the positioning receiver, for example, by causing the positioning receiver to disadvantageously lose track of a positioning signal.
Thus, a need exists to reduce adverse effect on communication performance, if a wireless communication device and a positioning receiver were to share a same frequency source.
SUMMARY OF THE INVENTION
Pursuant to the present invention, shortcomings of the existing art are overcome and additional advantages are provided through the provision of compensation for a frequency adjustment to track or acquire one or more positional signals.
The invention in one embodiment encompasses a method. Information that identifies an adjustment to a frequency source is received. The adjustment relates to wireless communication. There is compensating for the adjustment to track or acquire one or more positional signals. Another embodiment of the invention encompasses a system. The system includes a component that receives information that identifies an adjustment to a frequency source. The adjustment relates to wireless communication. The system includes a component that compensates for the adjustment to track or acquire one or more positional signals.
A further embodiment of the invention encompasses an article. The article includes a computer-readable signal-bearing medium. The article includes means in the medium for receiving information that identifies an adjustment to a frequency source. The adjustment relates to wireless communication. The article includes means in the medium for compensating for the adjustment to track a positional signal.
BRIEF DESCRIPTION OF THE DRAWINGS
FIG. 1 is a functional block diagram of an illustrative system that includes one example of a wireless communication component and one example of a positioning component that share a frequency source.
FIG. 2 is a functional block diagram of an exemplary portion of the system of FIG. 1 that illustrates another example of the positioning component.
FIG. 3 is a functional block diagram of one example of a positioning processor of the positioning component of FIG. 1.
FIG. 4 represents one example of timing for illustrative signals that are employable by the system of FIG. 1.
FIG. 5 is a functional block diagram of another example of an exemplary portion of the system of FIG. 1.
DETAILED DESCRIPTION
In accordance with the principles of the present invention, information that identifies an adjustment to a frequency source is received, with the adjustment related to wireless communication, and the adjustment is compensated for to track or acquire one or more positional signals. In one example, a positioning component is responsive to information from a wireless communication component, wherein the information indicates a change in a reference frequency. For instance, a positioning component receives a frequency reference from a wireless communication component and is responsive to information sent from the wireless communication component that indicates one or more changes in frequency of the frequency reference. A detailed discussion of one exemplary embodiment of the invention is presented herein, for illustrative purposes.
Turning to FIG. 1, system 100, in one example, includes a plurality of components, such as computer software and/or hardware components. A number of such components can be combined or divided in one example of system 100. One example of system 100 employs at least one computer-readable signal-bearing medium. One example of a computer-readable signal-bearing medium for system 100 comprises a recordable data storage medium 101, such as a magnetic, optical, biological, and/or atomic data storage medium. In another example, a computer-readable signal-bearing medium for system 100 comprises a modulated carrier signal transmitted over a network coupled with system 100, for instance, a telephone network, a local area network ("LAN"), the Internet, and/or a wireless network. An exemplary component of system 100 comprises a series of computer instructions written in or implemented with any of a number of programming languages, as will be appreciated by those skilled in the art.
Referring to FIG. 1, system 100 in one example comprises wireless communication component 102, positioning component 104, frequency synthesizer 106, oscillator 108, network 110, and one or more instances of positioning signal source 112.
Again referring to FIG. 1, wireless communication component 102 in one example comprises any of a number of wireless devices that are employable for radio network communication. For instance, wireless communication component 102 comprises antenna 114, radiotelephone receiver 116, and communication processor 118. Communication processor 118 in one example comprises automatic frequency control component 120 and component 122. Component 122 in one example comprises a computation component. Communication processor 118 in a further example comprises an instance of recordable data storage medium 101 such as memory 124.
Further referring to FIG. 1, positioning component 104 in one example comprises antenna 126, positioning receiver 128, and positioning processor 130. Positioning processor 130 in one example comprises an instance of recordable data storage medium 101 such as memory 132.
Still referring to FIG. 1, positioning component 104 in one example operates with one or more satellite positioning systems such as the Global Positioning System ("GPS"), the Global Navigation Satellite System ("GLONASS"), the Wide Area Augmentation System ("WAAS"), the European Geostationary Navigation Overlay Service ("EGNOS"), the European Union's Galileo satellite-based navigation system, and/or the like. In another example, positioning component 104 operates with one or more terrestrial positioning signals.
Referring again to FIG. 1, oscillator 108 in one example comprises a temperature compensated crystal oscillator ("TCXO"). Network 110 in one example comprises a radio network. For example, network 110 comprises one or more instances of base station. 134. In one example, network 110 comprises a plurality of instances of base station 134 as well as infrastructure that interconnects the plurality of instances of base station 134, as will be understood by those skilled in the art. In one example, still referring to FIG. 1, positioning signal source 112 comprises satellite 182. Exemplary instances of satellite 182 comprise one or more of a positioning satellite and a Global Positioning System ("GPS") satellite. In another example, positioning signal source 112 comprises a terrestrial radio signal source, as will be understood by those skilled in the art.
Referring further to FIG. 1, in one example, wireless communication component 102, frequency synthesizer 106, and oscillator 108 comprise component 162 that functions as a wireless communication device. In a further example, positioning component 104, frequency synthesizer 106, and oscillator 108 comprise component 164 that functions as a satellite positioning receiver. For instance, component 162 and component 164 comprise a same component 166 of system 100, as will be appreciated by those skilled in the art.
An illustrative description of exemplary operation of system 100 is presented herein, for explanatory purposes.
Further referring to FIG. 1, base station 134 of network 110 in one example transmits signal 103 to wireless communication component 102. Signal 103 in one example conforms to a wireless communication standard such as the Global System for Mobile Communications ("GSM"), and/or standards that are employable with one or more of Code Division Multiple Access ("CDMA"), Time Division Multiple Access ("TDMA"), and Orthogonal Frequency Division Multiple Access ("OFDMA"). Referring again to FIG. 1, signal 103 in one example comprises frequency reference
105. Frequency reference 105 in one example relates to a frequency of signal 103. Frequency reference 105 in a further example comprises a frequency of signal 103. Still referring to FIG. 1, antenna 114 of wireless communication component 102 in one example employs signal 103 to obtain signal 107. Signal 107 in one example comprises frequency reference 109. Frequency reference 109 in one example is based on frequency reference 105. Frequency reference 109 in another example relates to a frequency of signal 107. Frequency reference 109 in a further example comprises a frequency of signal 107.
Referring again to FIG. 1, antenna 114 in one example sends signal 107 to radiotelephone receiver 116. Radiotelephone receiver 116 in one example employs signal 107 to obtain signal 111. For instance, radiotelephone receiver 116 block filters and translates signal 107 to obtain signal 111. Signal 111 in one example represents a centering of the frequency spectrum of signal 107 at a low or zero frequency, as will be understood by those skilled in the art. Signal 111 in a further example comprises a sampled and/or quantized format, as will be understood by those skilled in the art.
Still referring to FIG. 1, signal 111 in one example comprises frequency reference 113. Frequency reference 113 in one example is based on frequency reference 109. Frequency reference 113 in another example relates to a frequency of signal 111. Frequency reference 113 in a further example comprises a frequency of signal 111.
Again referring to FIG. 1, radiotelephone receiver 116 in one example sends signal 111 to communication processor 118. Communication processor 118 in one example employs signal 111 to obtain one or more additional signals. For instance, referring to FIG. 1 , communication processor 118 employs signal 111 to obtain signal 117. Communication processor 118 in one example sends signal 117 to radiotelephone receiver 116. Signal 117 in one example comprises control information (e.g., feedback) for one or more functions that relate to adjustment of the gain of radiotelephone receiver 116 and/or powering of radiotelephone receiver 116, as will be understood by those skilled in the art.
In a further example, referring to FIG. 1, component 122 of communication processor 118 employs signal 111 to obtain and/or estimate (e.g., calculate) error signal 115. Error signal 1 15 in one example comprises a difference between an actual center frequency of signal 111 and a desired center frequency of signal 111, as will be appreciated by those skilled in the art. In one example, frequency reference 113 of signal 111 comprises an indication of such a desired center frequency of signal 111.
Referring still to FIG. 1, component 122 in one example sends error signal 115 to automatic frequency control component 120 of communication processor 118. Automatic frequency control component 120 in one example employs error signal 115 to obtain signal 119. Signal 119 in one example comprises frequency adjustment 121.
Further referring to FIG. 1, automatic frequency control component 120 in one example determines (e.g., calculates) frequency adjustment 121 of signal 119 by averaging error signal 115 over a (e.g., preselected) number of calculations of error signal 115, by communication processor 118. Frequency adjustment 121 of signal 119 in one example serves to lock oscillator 108 to frequency reference 105.
Again referring to FIG. 1, system 100 in one example employs frequency adjustment
121 to lock oscillator 108 to frequency reference 105 (e.g., through frequency references 109 and 113). For instance, automatic frequency control component 120 of wireless communication component 102 employs frequency adjustment 121 to lock oscillator 108 to frequency reference 105. Such locking of oscillator 108 to frequency reference 105 in one example serves to base frequency reference 125 at least in part on frequency reference 105 of signal 103, as will be appreciated by those skilled in the art.
Still referring to FIG. 1, in one example, automatic frequency control component 120 employs frequency adjustment 121 as part of an attempt by wireless communication component 102 to acquire signal 103 from an instance of base station 134. In one example, wireless communication component 102 attempts to acquire signal 103 from a second instance of base station 134 upon wireless communication component 102 exiting a coverage area of a first instance of base station 134 and entering a coverage area of the second instance of base station 134. In another example, wireless communication component 102 attempts to acquire signal 103 from an instance of base station 134 upon an activation or powering on of wireless communication component 102.
In another example, referring to FIG. 1, automatic frequency control component 120 employs frequency adjustment 121 as part of an attempt by wireless communication component 102 to maintain reception of signal 103 from an instance of base station 124. For instance, wireless communication component 102 attempts to maintain reception of signal
103 from an instance of base station 124 upon drifting of oscillator 108 from frequency reference 105, as will be understood by those skilled in the art.
Referring still to FIG. 1 , communication processor 118 in one example sends signal
119 to oscillator 108. Oscillator 108 in one example employs signal 119 to obtain signal 123. For instance, oscillator 108 employs frequency adjustment 121 to obtain signal 123. Signal
123 in one example comprises frequency reference 125. Frequency reference 125 in one example is based on frequency reference 105. Again referring to FIG. 1, in one example, a transmission of frequency adjustment 121 from wireless communication component 102 to oscillator 108 causes oscillator to change a frequency of signal 123 sent to frequency synthesizer 106. In a further example, a change in the frequency of signal 123 by oscillator 108 causes frequency synthesizer 106 to change a frequency of signal 131 sent to positioning component 104.
Referring further to FIG. 1, positioning component 104 in one example employs signal 131 to track or acquire signal 135 sent from positioning signal source 112. In one example, employment of a previous technique upon a change in a signal analogous to signal 131, causes undesirable loss of tracking of a signal analogous to signal 135. Still referring to FIG. 1, system 100 in one example advantageously compensates for frequency adjustment 121. For instance, system 100 employs signal 157 to prevent positioning component 104 from losing track of signal 135. Signal 157 in one example comprises update information 159. Update information 159 in one example comprises information 405 (FIG. 4). For example, update information 159 in one example comprises an identification of a magnitude and/or a sign of frequency adjustment 121 and/or a timing for frequency adjustment 121.
Again referring to FIG. 1, in one example, wireless communication component 102 sends frequency adjustment 121 of signal 119 to oscillator 108, and sends update information 159 of signal 157 to positioning component 104. Signal 157 in one example comprises update information 159. Update information 159 in one example identifies a magnitude and a sign of frequency adjustment 121. Positioning component 104 in one example employs signal 157 to compensate for frequency adjustment 121, such as for tracking or acquiring signal 135. For example, wireless communication component 102 sends update information 159 of signal 157 to positioning component 104 upon sending frequency adjustment 121 of signal 119 to oscillator 108.
Referring still to FIG. 1, oscillator 108 in one example sends signal 123 (e.g., obtained through employment of frequency adjustment 121) to frequency synthesizer 106. Frequency synthesizer 106 in one example employs signal 123 to obtain (e.g., generate) signal 127. Signal 127 in one example comprises frequency reference 129. Frequency reference 129 in one example is based on frequency reference 125. Frequency reference 129 in another example relates to a frequency of signal 127. Frequency reference 129 in a further example comprises a frequency of signal 127. Further referring to FIG. 1, frequency synthesizer 106 in one example sends signal 127 to radiotelephone receiver 116. Radiotelephone receiver 116 in one example employs signal 127 in conjunction with signal 107 to receive (e.g., identify and/or interpret) signal 107. Radiotelephone receiver 116 in one example employs frequency reference 129 to lock radiotelephone receiver 116 to a frequency that is indicated by frequency reference 105 (e.g., through frequency reference 109), as will be appreciated by those of skill in the art. For instance, system 100 tunes radiotelephone receiver 116 to the frequency indicated by frequency reference 105, to allow wireless communication component 102 to receive signal 103 on channel 170 that is employed by base station 134.
Referring still to FIG. 1, in a further example, frequency synthesizer 106 employs signal 123 to obtain (e.g., generate) signal 147. Signal 147m one example comprises a clock signal, as will be understood by those skilled in the art. Frequency synthesizer 106 in one example sends signal 147 to communication processor 118. Communication processor 118 in one example employs signal 147, for instance, to execute instructions 136 that are stored in memory 124, as will be understood by those skilled in the art.
Referring again to FIG. 1, frequency synthesizer 106 in one example generates signal 149. Signal 149 in one example comprises a clock signal, as will be understood by those skilled in the art. Frequency synthesizer 106 in one example sends signal 149 to positioning processor 130. Positioning processor 130 in one example employs signal 149 to execute instructions 138 that are stored in memory 132, as will be understood by those skilled in the art.
Again referring to FIG. 1, in a further example, frequency synthesizer 106 employs signal 123 to obtain signal 131. Signal 131 in one example comprises frequency reference 133 that is based on frequency reference 125. Signal 131 in one example comprises frequency reference 133. Frequency reference 133 in one example is based on frequency reference 125. Frequency reference 133 in another example relates to a frequency of signal 131. Frequency reference 133 in a further example comprises a frequency of signal 131. Frequency synthesizer 106 in one example sends signal 131 to positioning component 104.
For instance, referring to FIG. 1, frequency synthesizer 106 sends signal 131 to positioning receiver 128 of positioning component 104. Positioning receiver 128 in one example employs signal 131 to obtain signal 135 from positioning signal source 112, as described herein. For example, positioning receiver 128 employs frequency reference 133 of signal 131 to downconvert signal 135 sent from positioning signal source 112, as will be appreciated by those skilled in the art.
Turning to FIG. 2, in another example, positioning component 104 comprises frequency synthesizer 140 that receives signal 131 from frequency synthesizer 106. For example, frequency synthesizer 106 sends signal 131 to frequency synthesizer 140.
Frequency synthesizer 140 in one example employs signal 131 to obtain signal 151. Signal
151 in one example comprises frequency reference 153 that is based on frequency reference
133 of signal 131. Signal 151 in one example comprises frequency reference 153. Frequency reference 153 in one example is based on frequency reference 133 of signal 131. Frequency reference 153 in another example relates to a frequency of signal 151. Frequency reference
153 in a further example comprises a frequency of signal 151.
Again referring to FIG. 2, frequency synthesizer 140 in one example sends signal 151 to positioning receiver 128. In one example, a same component of positioning component 104 comprises positioning receiver 128 and frequency synthesizer 140. Positioning receiver
128 in one example employs signal 151 to obtain signal 135 from positioning signal source
112, as described herein.
Now referring to FIG. 1, positioning component 104 in one example receives signal
135 from positioning signal source 112. For example, antenna 126 of positioning component 104 obtains signal 135 from positiomng signal source 112. Signal 135 in one example comprises positional information 137. Positional information 137 in one example comprises positioning information. Positioning signal source 112 in one example includes positional information 137 in signal 135 for transmission to positioning component 104. For example, positional information 137 comprises an indication of the location of positioning signal source 112 (e.g., satellite 182). In a further example, positional information 137 comprises an indication of the time at which signal 135 is transmitted from positioning signal source 112, as will be appreciated by those skilled in the art. Referring still to FIG. 1, antenna 126 of positioning component 104 in one example employs signal 135 to obtain signal 139. In one example, antenna 126 sends signal 139 to positioning receiver 128. Signal 139 in one example comprises positional information 180.
Positional information 180 in one example comprises positioning information. Positional information 180 in one example is based on positional information 137.
Again referring to FIG. 1, positioning receiver 128 in one example employs signal 139 to obtain signal 141. For example, positioning receiver 128 mixes, downconverts, filters, samples, and/or quantizes signal 139 to obtain signal 141. In one example, signal 141 comprises a modulated format and/or a code division multiple access ("CDMA") format. For instance, signal 141 comprises a frequency spectrum that positioning receiver 128 in one example centers at a frequency lower than a carrier frequency of signal 139, as will be appreciated by those skilled in the art. In a further example, signal 141 comprises positional information 145. Positional information 145 in one example comprises positioning information. Positional information 145 in one example is based on positional information 180. • • .
Further referring to FIG. 1, signal 141 in one example comprises one or more instances of frequency offset 351. In one example, offset 351 comprises a frequency offset. In another example, offset 351 comprises a phase offset.
Referring again to FIG. 1, an exemplary instance of offset 351 results from one or more factors. In one example, motion of positioning signal source 112 and/or motion of positioning component 104 cause one or more instances of offset 351. In another example, an instance of inaccuracy introduced by oscillator 108 causes one or more instances of offset
351. For example, motion of positioning signal source 112 and/or one or more effects of oscillator 108 result in Doppler shift that causes one or more instances of offset 351. In yet another example, one or more instances of offset 351 comprise one or more intentionally- introduced offsets. For example, system 100 intentionally creates one or more offsets to comprise one or more instances of offset 351, in view of signal 141 in one example having a tendency to not be centered at a zero frequency. In a further example, a mixing of signal 131 with signal 139 produces an instance of signal 141 that is not centered at a zero frequency notwithstanding the possibility of complete accuracy of signal 131. In a still further example, one or more instances of offset 351 arise from the transmission of frequency adjustment 121 by automatic frequency control component 120. Again referring to FIG. 1, positioning receiver 128 in one example sends signal 141 to positioning processor 130. In one example, positioning processor 130 employs signal 141 to obtain signal 143. Positioning processor 130 in one example sends signal 143 to positioning receiver 128. Signal 143 in one example comprises control information (e.g., feedback) for one or more functions that relate to adjustment of the gain of positioning receiver 128 and/or powering of positioning receiver 128, as will be understood by those skilled in the art.
Referring further to FIG. 1, positioning processor 130 in one example processes signal 141 to obtain (e.g., extract) positional information 145 from signal 141. In one example, positional information 145 (e.g., on a basis of positional information 180 and/or positional information 137) comprises an indication of the location of positioning signal source 112 (e.g., satellite 182). In a further example, positional information 145 (e.g., on a basis of positional information 180 and/or positional information 137) comprises an indication of the time at which signal 135 is transmitted from positioning signal source 112, as will be appreciated by those skilled in the art. Turning to FIG. 3, positioning processor 130 in one example comprises filter 302, correlation component 304, coherent integrator 306, non-coherent integrator 308, and controller 310. Filter 302 in one example comprises a digital decimation filter.
Again referring to FIG. 3, correlation component 304 in one example comprises one or more instances of correlator 312. In one example, positioning processor 130 employs a single instance of correlator 312 to track or acquire one instance of signal 135 from one instance of positioning signal source 112. In another example, positioning processor 130 employs multiple instances of correlator 312 to track or acquire one instance of signal 135 from one instance of positioning signal source 112. In a further example, positioning processor 130 employs multiple instances of correlator 312 to track or acquire multiple instances of signal 135 from multiple instances of positiomng signal source 112. For example, each one of multiple instances of correlator 312 corresponds to a respective one of multiple instances of signal 135, and each one of multiple instances of signal 135 corresponds to a respective one of multiple instances of positioning signal source 112. Still referring to FIG. 3, correlator 312 in one example comprises signal generator 314, signal generator 316, linear feedback shift register ("LFSR") 318, multiplier 320, and multiplier 322.
Referring again to FIG. 3, signal generator 314 in one example comprises a number of registers 370, for instance, frequency register 324 and phase register 326. In one example, signal generator 314 comprises a numerically controlled oscillator ("NCO"), for instance, that serves to generate a signal that corresponds to an offset frequency, as will be appreciated by those skilled in the art. Further referring to FIG. 3, signal generator 316 in one example comprises a number of registers 370, for instance, frequency register 328 and phase register 330. In one example, signal generator 316 comprises a numerically controlled oscillator, for instance, that serves to generate a signal that corresponds to and/or controls a code phase, as will be appreciated by those skilled in the art.
Referring still to FIG. 3, filter 302 in one example receives signal 141 from positioning receiver 128. Filter 302 in one example employs (e.g., filters and/or downconverts) signal 141 to obtain signal 372. Signal 372 in one example comprises offset 353. Offset 353 in one example is based on offset 351. In a further example, signal 372 comprises positional information 374 that is based on positional information 145. Positional information 374 in one example comprises positioning information.
Again referring to FIG. 3, filter 302 in one example sends information to correlator 372. For example, filter 302 sends signal 372 as a first input to correlator 312. In a further example, controller 310 sends information to correlator 312. For instance, controller 310 sends signals 303, 305, 307, 309, and 311 as a second input to correlator 312.
Referring again to FIG. 3, correlator 312 in one example receives signals 303, 305,
307, 309, and 311 from controller 310. Correlator 312 in one example employs one or more of signals303, 305, 307, and 309 to compensate for offset 353. In one example, correlator 312 employs signals 303 and 305 to compensate for offset 353. In another example, correlator 312 employs any two or more of signals 303, 305, 307, and 309 to compensate for offset 353.
Still referring to FIG. 3, signal 303 in one example comprises frequency offset value 333. Signal 305 in another example comprises phase offset value 335. In one example, controller 310 sends signal 303 and/or signal 305 to correlator 312 upon receiving signal 157 from wireless communication component 102.
In a further example, referring to FIG. 3, correlator 312 employs signals 307, 309, and 311 to demodulate signal 372. In one example, referring to FIGS. 1 and 3, correlator 312 employs signals 307, 309, and 311 to demodulate a signal such as signal 135 sent from positioning signal source 112. For instance, referring to FIGS. 1 and 3, correlator 312 performs demodulation of signal 372 through employment of codes that positioning signal source 112 employs for modulation of signal 135, as will be appreciated by those skilled in the art. Again referring to FIG. 3, in one example multiplier 320 receives signal 372 from filter 302 and signal generator 314 receives signals 303 and 305 from controller 310. In one example, signal generator 314 receives signal 303 in frequency register 324. In a further example, signal generator 314 receives signal 305 in phase register 326. Signal generator 314 in one example employs signals 303 and 305 to obtain signal 317. For instance, signal generator 314 employs frequency offset value 333 and phase offset value 335 to obtain signal 317. Signal 317 in one example comprises a discrete signal. Signal generator 314 in one example sends signal 317 to multiplier 320.
Still referring to FIG. 3, multiplier 320 in one example employs signal 317 from signal generator 314 and signal 372 from filter 302, to obtain signal 376. Signal 376 in one example comprises a pseudonoise ("PN") code modulating signal, as will be appreciated by those skilled in the art. For instance, multiplier 320 multiplies and/or mixes signals 317 and 372 to obtain signal 376. In one example, such multiplication and/or mixing of signals 317 and 372 by multiplier 320 to obtain signal 376, advantageously serves to compensate for offset 353. For example, multiplication and/or mixing of signals 317 and 372 by multiplier 320 in one example desirably serves to promote removal of an adverse effect in system 100 from offset 353. Multiplier 320 in one example sends signal 376 to multiplier 322.
Further referring to FIG. 3, in one example signal generator 316 receives signal 307 in frequency register 328 and receives signal 309 in phase register 330. Signal generator 316 in one example employs signals 307 and 309 to obtain signal 321. For instance, signal generator 316 sends signal 321 to linear feedback shift register 318.
Referring still to FIG. 3, linear feedback shift register 318 in one example receives signal 321 from signal generator 316 and receives signal 311 from controller 310. Linear feedback shift register 318 in one example employs signals 321 and 311 to obtain signal 323.
Again referring to FIG. 3, signal 323 in one example comprises a (e.g., substantial) replica of signal 135 (FIG. 1). In a further example, signal 323 comprises a code division multiple access signal. System 100 in one example obtains signal 323 through employment of modulation by a pseudonoise ("PN1') code and data bits, as will be appreciated by those skilled in the art. In another example, signal 323 comprises a pseudonoise code, for instance, of rate 1.023x106 chips per second, as will be understood by those skilled in the art. In yet another example, signal 323 comprises an acquisition signal that serves to allow positioning component 104 to track or acquire signal 103 (FIG. 1). Positioning component 104 in one example acquires signal 103 when signal 323 (e.g., substantially) matches signal 135 in code frequency and phase. Positioning component 104 in a further example tracks signal 103 by maintaining signal 323 to a high degree of similarity with signal 103, for instance, as signal 103 changes in frequency and phase. Further referring to FIG. 3, linear feedback shift register 318 in one example sends signal 323 to multiplier 322.
Referring again to FIG. 3, multiplier 322 in one example employs signal 323 from linear feedback shift register 318 and signal 376 from multiplier 320 to obtain signal 325. For instance, multiplier 322 multiplies and/or mixes signals 323 and 376 to obtain signal 325. In a further example, multiplier 322 demodulates signal 376 to obtain signal 325. Multiplier 322 in one example processes signal 376 over an interval of one code period to obtain signal 325. For example, multiplier 322 in one example obtains signal 325 by processing signal 376 over an interval of one code period through employment of removal of pseudonoise code modulation and summation of resultant samples that comprise the interval of one code period, as will be appreciated by those skilled in the art.
Referring still to FIG. 3, signal 325 in one example comprises a correlation of signal
323 with signal 376. Signal 325 in one example comprises information (e.g., data) 357.
Information 357 in one example comprises and/or relates to satellite ephemerides, clock corrections, timing information, ionospheric corrections, satellite conditions, and/or the like.
Further referring to FIG. 3, multiplier 322 in one example sends signal 325 to coherent integrator 306. Coherent integrator 306 in one example processes signal 325 to obtain signal
327. For instance, coherent integrator 306 accumulates signal 325 over an interval greater than one code period to obtain signal 327. Signal 327 in one example comprises data 359 that is based on data 357. Coherent integrator 306 in one example sends signal 327 to controller
310, for instance, as feedback, such as for a determination of whether one or more of signals
303, 305, 307, 309, and 311 are set to proper values for tracking the frequency and/or phase of one or more of the positional (e.g., positioning) signals. In a further example, coherent integrator 306 employs signal 325 to obtain signal 329. For instance, coherent integrator 306 sends signal 329 to non-coherent integrator 308.
Referring again to FIG. 3, non-coherent integrator 308 in one example employs signal 329 to obtain signal 331. For example, non-coherent integrator 308 accumulates signal 329 over an interval greater than one code period to obtain signal 331. Signal 331 in one example comprises information (e.g., data) 361 that is based on information 359. Non-coherent integrator 308 in one example sends signal 331 to controller 310, for instance, as feedback, such as for a determination of whether one or more of signals 303, 305, 307, 309, and 311 are set to proper values for acquiring one or more of the positional (e.g., positioning) signals. Still referring to FIG. 3, controller 310 in one example employs information 359 and/or information 361 to allow tracking of signal 135, acquisition of signal 135, and/or demodulation of signal 135 in system 100. In a further example, controller 310 employs information 359 to allow demodulation of positional information 137 in system 100.
Now referring to FIGS. 1 and 3-4, positioning component 104 in one example tracks positioning satellites 402, 404, 406, and 408 as exemplary instances of positioning signal source 112. Positioning satellites 402, 404, 406, and 408 in one example transmit signals 412, 414, 416, and 418, respectively, as exemplary instances of signal 135. In one example, positioning satellites 402, 404, 406, and 408 transmit respective signals 412, 414, 416, and 418, for example, so that positioning component 104 at a location (e.g., at some arbitrary geo- location) receives, for instance, the same bit from positioning satellites 402, 404, 406, and 408 at times Tsj, Ts2, Ts3, and Ts4, respectively. One or more of times Tsι, Ts2, Ts3, and Ts4 in one example may differ from another one or more of times Tsl, Ts2, Ts3, and Ts4, for instance, as a result of (e.g., slightly) different transmission starting times (e.g., in an unsynchronized transmission) and/or different propagation delays from one or more of satellites 402, 404, 406 and 408 to positioning component 104.
Still referring to FIGS. 1 and 3-4, automatic frequency control component 120 sends frequency adjustment 121 to oscillator 108 at time Ta. In a further example, communication processor 118 sends update information 159 to controller 310 at time Tu. In one example, update information 159 comprises information 405. Information 405 in one example comprises an identification of a magnitude and/or a sign of frequency adjustment 121 and/or a time Ta of frequency adjustment 121.
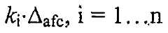
Referring again to FIGS. 1 and 3-4, controller 310 in one example employs information 405 to obtain frequency offset value 333. In one example, frequency offset value 333 comprises a value that is obtained through the exemplary expression below. In another example, frequency offset value 333 results from a number of values (e.g., Doppler offset due to satellite motion and/or "intentional" frequency offset in signal 141 present even when the frequency of oscillator 108 is completely accurate) in addition to a value that is obtained through the following exemplary expression.
Figure imgf000023_0001
In the above exemplary expression, n is equal to a number of instances of positioning signal source 112 that positioning component 104 tracks or acquires. For instance, in FIG. 4, n = 4. ΔafC in one example comprises a magnitude of adjustment 121 that is indicated by update information 159. kt in one example comprises a scaling factor or gain factor. Controller 310 in one example calculates k through an employment of signal 123 from oscillator 108 and signal 135 from positioning signal source 112. In one example, kt comprises a ratio of a frequency of signal 135 to a nominal frequency of signal 123. If a frequency of signal 412 from positioning satellite 412 is 1575.42 megahertz ("MHz") and the nominal frequency of signal 123 is 20 megahertz, then in one example k\ equals 78.77. If frequency adjustment 121 equals 10 hertz ("Hz"), then in one example frequency offset value 333 equals 787.7 hertz. Again referring to FIGS. 1 and 3-4, controller 310 in one example employs information 405 and times Tsl, Ts2, Ts3, Ts4 to obtain phase offset value 335. For instance, phase offset value 335 in one example is represented by the following exemplary expression.
ΔφflI- = (tsi - ta krAfafc, i = l...n Referring further to FIGS. 1 and 3-4, controller 310 in one example sends phase offset
value Δφ- to phase register 326 of signal generator 314. In one example, signal generator 314
is located in an instance of correlator 312 that tracks an instance of positioning signal source
112. Signal generator 314 in one example employs phase offset value Δφ- to obtain signal
317. Multiplier 320 in one example employs signal 317 with signal 372 to compensate for offset 353, for instance, that results from frequency adjustment 121. Referring now to FIGS 1, 3, and 5, correlator 312 in another example comprises a number of registers 370, for instance, frequency register 501 and frequency register 503. Communication processor 118 in one example employs information 405 and times Tsι, Ts2, Ts3, Ts4 to obtain frequency offset value 333. Communication processor 118 in one example sends frequency offset value 333 (e.g., directly) to signal generator 314. In one example, frequency register 501 receives frequency offset value 333. Signal generator 314 in one example employs frequency offset value 333 to obtain signal 317. Multiplier 320 in one example employs (e.g., multiplies and/or mixes) signal 317 with signal 372, for instance, to compensate for offset 353 that in one example results from frequency adjustment 121. Offset 353 in one example comprises a frequency offset.
The flow diagrams depicted herein are just exemplary. There may be many variations to these diagrams or the steps (or operations) described therein without departing from the spirit of the invention. For instance, the steps may be performed in a differing order, or steps may be added, deleted or modified. All these variations are considered a part of the claimed invention.
Although preferred embodiments have been depicted and described in detail herein, it will be apparent to those skilled in the relevant art that various modifications, additions, substitutions and the like can be made without departing from the spirit of the invention and these are therefore considered to be within the scope of the invention as defined in the following claims.

Claims

CLAIMSWhat is claimed is:
1. A method, comprising the steps of: receiving information that identifies an adjustment to a frequency source, wherein the adjustment relates to wireless communication; and compensating for the adjustment to track or acquire one or 'more positional signals.
2. The method of claim 1, further comprising the step of: attempting, through employment of the adjustment, to adjust the frequency source to generate a frequency that corresponds to a frequency of a signal from a base station.
3. The method of claim 2, wherein the attempting step comprises the step of: attempting, through employment of the adjustment, to acquire a signal from a base station of a plurality of base stations of a network.
4. The method of claim 2, wherein the attempting step comprises the step of: attempting, through employment of the adjustment, to maintain reception of a signal from a base station.
5. The method of claim 1, wherein the compensating step comprises the steps of: determining one or more offset values through employment of the information; generating one or more acquisition signals through employment of the one or more offset values; and
comparing the one or more acquisition signals with at least one of the one or more positional signals.
6. The method of claim 5, wherein the determining step comprises the steps of: calculating one or more phase offset values through employment of the information; calculating one or more frequency offset values through employment of the information; and wherein the generating step comprises the step of: generating the one or more acquisition signals through employment of the one or more phase offset values and through employment of the one or more frequency offset values.
7. The method of claim 5, wherein the comparing step comprises the step of: determining that a substantial match exists between at least one of the one or more acquisition signals and the at least one of the one or more positional signals.
8. The method of claim 5, wherein the determining step comprises the step of: employing the information that identifies the adjustment and satellite timing information to determine the one or more offsets.
9. The method of claim 1, further comprising the step of: selecting the information to comprise one or more offset values.
10. The method of claim 9, wherein the compensating step comprises the steps of: generating one or more acquisition signals through employment of the one or more offset values; and comparing the one or more acquisition signals with at least one of the one or more positional signals.
11. The method of claim 1 , further comprising the step of: selecting the information to comprise at least one of a magnitude of the adjustment, a sign of the adjustment, and an indication of a timing for the adjustment.
12. A system, comprising: a component that receives information that identifies an adjustment to a frequency source, wherein the adjustment relates to wireless communication; and a component that compensates for the adjustment to track or acquire one or more positional signals.
13. The system of claim 12, further comprising: a component that attempts, through employment of the adjustment, to adjust the frequency source to generate a frequency that corresponds to a frequency of a signal from a base station.
14. The system of claim 13, wherein the component that attempts comprises: a component that attempts, through employment of the adjustment, to acquire a signal from a base station of a plurality of base stations of a network.
15. The system of claim 13, wherein the component that attempts comprises:
a component that attempts, through employment of the adjustment, to maintain reception of a signal from a base station.
16. The system of claim 12, wherein the component that compensates comprises: a component that determines one or more offset values through employment of the information;
a component that generates one or more acquisition signals through employment of the one or more offset values; and a component that compares the one or more acquisition signals with at least one of the one or more positional signals.
17. The system of claim 16, wherein the component that determines comprises: a component that calculates one or more phase offset values through employment of the information;
a component that calculates one or more frequency offset values through employment of the information; and wherein the generator component that generates comprises: a component that generates the one or more acquisition signals through employment of the one or more phase offset values and through employment of the one or more frequency offset values.
18. The system of claim 16, wherein the component that compares comprises: a component that determines that a substantial match exists between at least one of the one or more acquisition signals and the at least one of the one or more positional signals.
19. The system of claim 16, wherein the component that determines comprises: a component that employs the information that identifies the adjustment and satellite timing information to obtain the one or more offsets.
20. The system of claim 12, further comprising: a component that selects the information to comprise one or more offset values.
21. The system of claim 20, wherein the component that compensates comprises: a component that generates one or more acquisition signals through employment of the one or more offset values; and a component that compares the one or more acquisition signals with at least one of the one or more positional signals.
22. The system of claim 12, further comprising: a component that selects the information to comprise at least one of a magnitude of the adjustment, a sign of the adjustment, and an indication of a timing for the adjustment.
23. An article, comprising: a computer-readable signal-bearing medium; means in the medium for receiving information that identifies an adjustment to a frequency source, wherein the adjustment relates to wireless communication; and means in the medium for compensating for the adjustment to track or acquire one or more positional signals.
24. The article of claim 23, further comprising: means in the medium for attempting, through employment of the adjustment, to adjust the frequency source to generate a frequency that corresponds to a frequency of a signal from a base station.
25. The article of claim 24, wherein the means in the medium for attempting comprises: means in the medium for attempting, through employment of the adjustment, to acquire a signal from a base station of a plurality of base stations of a network.
26. The article of claim 24, wherein the means in the medium for attempting comprises: means in the medium for attempting, through employment of the adjustment, to maintain reception of a signal from a base station.
27. The article of claim 24, wherein the means in the medium for compensating comprises:
means in the medium for determining one or more offset values through employment of the information; means in the medium for generating one or more acquisition signals through employment of the one or more offset values; and means in the medium for comparing the one or more acquisition signals with at least one of the one or more positional signals.
28. The article of claim 27, wherein the means in the medium for determining comprises: means in the medium for calculating one or more phase offset values through employment of the information; means in the medium for calculating one or more frequency offset values through employment of the information; and wherein the means in the medium for generating comprises: means in the medium for generating the one or more acquisition signals through employment of the one or more phase offset values and through employment of the one or more frequency offset values.
29. The article of claim 27, wherein the means in the medium for comparing comprises: means in the medium for determining that a substantial match exists between at least one of the one or more acquisition signals and the at least one of the one or more positional signals.
30. The article of claim 27, wherein the means in the medium for determining comprises: means in the medium for employing the information that identifies the adjustment and satellite timing information to determine the one or more offsets.
31. The article of claim 23 , further comprising: means in the medium for selecting the information to comprise one or more offset values.
32. The article of claim 31, wherein the means in the medium for compensating comprises: means in the medium for generating one or more acquisition signals through employment of the one or more offset values; and means in the medium for comparing the one or more acquisition signals with at least one of the one or more positional signals.
33. The article of claim 23, further comprising: means in the medium for selecting the information to comprise at least one of a magnitude of the adjustment, a sign of the adjustment, and an indication of a timing for the adjustment.
PCT/US2001/0216532000-07-262001-07-09Compensation for frequency adjustment to track or acquire one or more positional signalsWO2002009310A2 (en)

Priority Applications (1)

Application NumberPriority DateFiling DateTitle
AU2001275882AAU2001275882A1 (en)2000-07-262001-07-09Compensation for frequency adjustment to track or acquire one or more positionalsignals

Applications Claiming Priority (2)

Application NumberPriority DateFiling DateTitle
US62622400A2000-07-262000-07-26
US09/626,2242000-07-26

Publications (2)

Publication NumberPublication Date
WO2002009310A2true WO2002009310A2 (en)2002-01-31
WO2002009310A3 WO2002009310A3 (en)2002-06-06

Family

ID=24509476

Family Applications (1)

Application NumberTitlePriority DateFiling Date
PCT/US2001/021653WO2002009310A2 (en)2000-07-262001-07-09Compensation for frequency adjustment to track or acquire one or more positional signals

Country Status (2)

CountryLink
AU (1)AU2001275882A1 (en)
WO (1)WO2002009310A2 (en)

Cited By (9)

* Cited by examiner, † Cited by third party
Publication numberPriority datePublication dateAssigneeTitle
WO2003089952A3 (en)*2002-04-192004-04-01Sirf Tech IncCompensation for frequency adjustment in a mobile communication-positioning device with shared oscillator
EP1501201A1 (en)*2003-07-022005-01-26Sony Ericsson Mobile Communications ABMobile telephone with GPS receiver and control method therefor
JP2005086821A (en)*2003-09-042005-03-31Seiko Epson Corp Combination device of navigation satellite receiver and communication equipment
US7133324B2 (en)2003-12-242006-11-07Samsung Electronics Co., Ltd.Synchronous dynamic random access memory devices having dual data rate 1 (DDR1) and DDR2 modes of operation and methods of operating same
US7362263B2 (en)2003-09-042008-04-22Seiko Epson CorporationKeeping accurate time for a hybrid GPS receiver and mobile phone when powered off
EP1821114A3 (en)*2006-02-152009-12-09Samsung Electronics Co., Ltd.Apparatus and method for sharing a TCXO of a mobile terminal using a global positioning system in a mobile communication system
EP2339363A3 (en)*2004-08-162012-05-09Sony Ericsson Mobile Communications ABApparatus, methods and computer program products for GPS signal acquisition using an adaptive search engine
EP2589984A1 (en)*2011-11-032013-05-08Cambridge Silicon Radio LimitedAmelioration of frequency errors and/or their effects
US8725162B2 (en)2006-07-052014-05-13Mstar Semiconductor, Inc.Mobile communication device with positioning capability and related GPS receiver

Family Cites Families (3)

* Cited by examiner, † Cited by third party
Publication numberPriority datePublication dateAssigneeTitle
US5841396A (en)*1996-03-081998-11-24Snaptrack, Inc.GPS receiver utilizing a communication link
US6041222A (en)*1997-09-082000-03-21Ericsson Inc.Systems and methods for sharing reference frequency signals within a wireless mobile terminal between a wireless transceiver and a global positioning system receiver
US6122506A (en)*1998-05-042000-09-19Trimble Navigation LimitedGSM cellular telephone and GPS receiver combination

Cited By (16)

* Cited by examiner, † Cited by third party
Publication numberPriority datePublication dateAssigneeTitle
WO2003089952A3 (en)*2002-04-192004-04-01Sirf Tech IncCompensation for frequency adjustment in a mobile communication-positioning device with shared oscillator
US7299024B2 (en)2002-04-192007-11-20Sirf Technology, Inc.Compensation for frequency adjustment in mobile communication-positioning device with shared oscillator
EP1501201A1 (en)*2003-07-022005-01-26Sony Ericsson Mobile Communications ABMobile telephone with GPS receiver and control method therefor
US7598909B2 (en)2003-09-042009-10-06Seiko Epson CorporationKeeping accurate time for a hybrid GPS receiver and mobile phone when powered off
JP2005086821A (en)*2003-09-042005-03-31Seiko Epson Corp Combination device of navigation satellite receiver and communication equipment
EP1512985A3 (en)*2003-09-042006-05-24eRide, Inc.Combined navigation satellite receiver/communications device
US7362263B2 (en)2003-09-042008-04-22Seiko Epson CorporationKeeping accurate time for a hybrid GPS receiver and mobile phone when powered off
US7450062B2 (en)2003-09-042008-11-11Seiko Epson CorporationKeeping accurate time for a hybrid GPS receiver and mobile phone when powered off
US7592951B2 (en)2003-09-042009-09-22Seiko Epson CorporationDevice and method for minimizing the number of crystal oscillators used in an integrated navigation receiver and cellphone
US7133324B2 (en)2003-12-242006-11-07Samsung Electronics Co., Ltd.Synchronous dynamic random access memory devices having dual data rate 1 (DDR1) and DDR2 modes of operation and methods of operating same
EP2339363A3 (en)*2004-08-162012-05-09Sony Ericsson Mobile Communications ABApparatus, methods and computer program products for GPS signal acquisition using an adaptive search engine
EP1821114A3 (en)*2006-02-152009-12-09Samsung Electronics Co., Ltd.Apparatus and method for sharing a TCXO of a mobile terminal using a global positioning system in a mobile communication system
US8725162B2 (en)2006-07-052014-05-13Mstar Semiconductor, Inc.Mobile communication device with positioning capability and related GPS receiver
EP2589984A1 (en)*2011-11-032013-05-08Cambridge Silicon Radio LimitedAmelioration of frequency errors and/or their effects
GB2496160B (en)*2011-11-032014-02-05Cambridge Silicon Radio LtdAmelioration of frequency errors and/or their effects
US9194956B2 (en)2011-11-032015-11-24Qualcomm Technologies International, Ltd.Amelioration of frequency errors and/or their effects

Also Published As

Publication numberPublication date
AU2001275882A1 (en)2002-02-05
WO2002009310A3 (en)2002-06-06

Similar Documents

PublicationPublication DateTitle
US6546040B1 (en)GPS receiver having improved signal acquisition at a low signal to noise ratio
US6208290B1 (en)GPS receiver utilizing a communication link
US7848778B2 (en)Method and apparatus for adjusting reference oscillator frequency in a mobile wireless device
US5119504A (en)Position aided subscriber unit for a satellite cellular system
US7619559B2 (en)Method and system for all-in-view coherent GPS signal PRN codes acquisition and navigation solution determination
US6404801B1 (en)Method for satellite tracking and extracting the signal by correlation
US6725157B1 (en)Indoor GPS clock
EP0588598A1 (en)GPS precision approach and landing system for aircraft
WO1997014056A1 (en)Combined gps positioning system and communications system utilizing shared circuitry
EP1821114A2 (en)Apparatus and method for sharing a TCXO of a mobile terminal using a global positioning system in a mobile communication system
JP2004525362A (en) Despreading method of GPS signal
US7358897B2 (en)Apparatus, methods and computer program products for GPS signal acquisition using an adaptive search engine
WO2002009310A2 (en)Compensation for frequency adjustment to track or acquire one or more positional signals
US6184822B1 (en)Split C/A code receiver
US6240276B1 (en)Compensating for errors in tuning frequency of a global positioning satellite (GPS) receiver
US20110212718A1 (en)Methods and apparatus for stabilizing reference oscillators
EP1798564B1 (en)An improved GPS receiver utilizing satellite position information for compensating Doppler
US6618006B1 (en)Method for defining the error of reference time and an electronic device
JPH09189754A (en) GPS receiver
HK1024530B (en)An improved gps receiver utilizing a communication link
HK1142456B (en)An improved gps receiver utilizing satellite position information for compensating doppler

Legal Events

DateCodeTitleDescription
AKDesignated states

Kind code of ref document:A2

Designated state(s):AE AG AL AM AT AU AZ BA BB BG BR BY BZ CA CH CN CO CR CU CZ DE DK DM DZ EE ES FI GB GD GE GH GM HR HU ID IL IN IS JP KE KG KP KR KZ LC LK LR LS LT LU LV MA MD MG MK MN MW MX MZ NO NZ PL PT RO RU SD SE SG SI SK SL TJ TM TR TT TZ UA UG US UZ VN YU ZA ZW

ALDesignated countries for regional patents

Kind code of ref document:A2

Designated state(s):GH GM KE LS MW MZ SD SL SZ TZ UG ZW AM AZ BY KG KZ MD RU TJ TM AT BE CH CY DE DK ES FI FR GB GR IE IT LU MC NL PT SE TR BF BJ CF CG CI CM GA GN GW ML MR NE SN TD TG

121Ep: the epo has been informed by wipo that ep was designated in this application
DFPERequest for preliminary examination filed prior to expiration of 19th month from priority date (pct application filed before 20040101)
AKDesignated states

Kind code of ref document:A3

Designated state(s):AE AG AL AM AT AU AZ BA BB BG BR BY BZ CA CH CN CO CR CU CZ DE DK DM DZ EE ES FI GB GD GE GH GM HR HU ID IL IN IS JP KE KG KP KR KZ LC LK LR LS LT LU LV MA MD MG MK MN MW MX MZ NO NZ PL PT RO RU SD SE SG SI SK SL TJ TM TR TT TZ UA UG US UZ VN YU ZA ZW

ALDesignated countries for regional patents

Kind code of ref document:A3

Designated state(s):GH GM KE LS MW MZ SD SL SZ TZ UG ZW AM AZ BY KG KZ MD RU TJ TM AT BE CH CY DE DK ES FI FR GB GR IE IT LU MC NL PT SE TR BF BJ CF CG CI CM GA GN GW ML MR NE SN TD TG

REGReference to national code

Ref country code:DE

Ref legal event code:8642

WWEWipo information: entry into national phase

Ref document number:200320030075

Country of ref document:LV

122Ep: pct application non-entry in european phase
NENPNon-entry into the national phase

Ref country code:JP


[8]ページ先頭

©2009-2025 Movatter.jp