TITLE: SYSTEM AND METHOD FOR CONFIGURING AN ELECTRONIC COMMERCE SITE USING AN OPTIMIZATION PROCESS
Background of the Invention
Field of the Invention
The present invention generally relates to the fields of Internet e-commerce and anciilan s\ stems More particularly, the present invention relates to a system and method for generating and providing optimized inducements during various stages of e-commerce transactions, as well as providing optimized e-commerce site configurations.
Description of the Related Art
Electronic commerce has become an increasingly popular form of commerce in the United States and throughout the world. In general, electronic commerce, often referred to as e-commerce or Internet-based commerce, provides vendors and service providers the ability to greatly increase their sales channel and distribution netw ork with minimal cost. An electronic commerce site provides a convenient and effecm e mechanism for potential customers to use, select and purchase goods or services in an easy and simple fashion.
When a user desires to purchase a product from an e-commerce site, the user first connects to the site, such as on the Internet. When the user connects to the e-commerce site, the e-commerce site may display a graphical user interface (GUI) on the client browser of the client system that the user may use to evaluate, select, and/or purchase the product. The e-commerce server may, for example, support a "shopping cart" metaphor for allowing a user of the client computer to select various products for purchase, wherein selected products

be placed into the '"shopping cart" for purchase. When the user of the client computer has selected one or more products for purchase from the e-commerce server and desires to "check out." then the e-commerce server may display a page on the client browser which displays various pricing information and payment options for the user to select. Tire user may then complete the purchase of one or more of the products m the shopping cart, or abandon the shopping cart \\ πhout purchasing anything. One problem with many e-commerce transactions is that m many instances the shopping can is partially or completely abandoned during check out. This reduces the amount of revenues to the e-commerce \ endor.
The look and feel of an e-commerce site may have an effect upon the purchasing
lor of a user. Typically, e-commerce sites are configured manually, and the commercial results depend on the subjective judgment of web site designers, which may prove to be unreliable from a commercial perspective Vendor revenue may be substantially increased if the fraction of transactions that are abandoned is decreased by even modest amounts, or if the average number of products purchased per user session is increased. Prior marketing techniques have used a 'one size fits all
* approach to advertising and marketing incentives, which offer little in the w ay of improving current sales and marketing response rates Prior marketing techniques have also used more rudimentary forms of predictive modeling. These prior systems typically have im oh ed "scoring" \ aπous methods or tactics and then selecting the method with the hiεhest score Howe\ er. current e-commerce marketing techniques αo not take advantage of modern neurai-net baseα predictn e modeling Prior e-commerce marketing techniques have also failed to utilize modem constramed optimization techniques to attain desired commercial results.
Therefore, an improved system and method are desired for providing optimized inducements and incentives during an e-commerce transaction An improved system and method are also desired for providing improved e-commerce site configurations
Summary of the Invention
The present invention comprises various embodiments of an improved system and method for conducting e-commerce.
In one embodiment, the system and method operate to configure an electronic commerce site maintained by an e-commerce vendor. The configured e-commerce site is intended to satisfy some objectn e. such as reduce inventory, increase profits, or otherwise encourage or entice users or customers to complete transactions on the site The e-commerce site configuration is generated by an optimization process to optimize a desired commercial result of the vendor
The present invention is preferably implemented in an e-commerce system The system may include an electronic commerce (e-commerce) server, which is maintained by an e-commerce vendor. The e-commerce server is coupled through a network, such as the Internet, to various client systems operated by users. The e-commerce server, or a separate server, may include optimization software which operates to generate a configuration of the e- commerce site, wherein the optimization software uses constramed optimization techniques. Various users of the client systems may then conduct e-commerce transactions with the e-commerce server.
In one embodiment, the method operates as follows The method may include receiving or collecting vendor information, wherein the vendor information is related to products offered by the e-commerce vendor. The vendor information may include an inventory of products offered by the e-commerce vendor, time and date information and or competitn e information of competitors to the e-commerce vendor. Thus the vendor information is preferably not specific to any one user, but rather is related generally to the e-commerce vendor's products or web site or other non user-specific information. The method may also ( or instead) include receiving or collecting customer information, wherein the customer information is related to a plurality or all of the customers or potential customers of the e-commerce vendor. The information may then be used to update a predictive model used m the optimization process, or otherwise used in generating the e-commerce site configuration
The method then may include generating an e-comerce site configuration in response to the information, wherein the generation uses an optimization process. In the preferred embodiment, the generation of the e-comerce site configuration may comprise inputting the information into an optimizer, and the optimizer generating the e- comerce site configuration m response to the information. The generation of the e-comerce site configuration preferably comprises providing various data to the optimizer to enable the optimizer to generate the e-comerce site configuration In one embodiment, the method comprises inputting the vendor and/or customer information referenced above into at least one predictive model to generate one or more action variables The action variables may comprise predictn e user or \ endor behaviors corresponding to the intormation The preαictive model comDrise a trained neural nenvork or otner type ot predictive model
In one embodiment, designed experiments may be used to create the initial training data for a neural nenvork model When the system or method is initially installed on an e-commerce server, the method may present a range of e-comerce site configurations to a subset of users or customers. Their resultant behaviors to these configurations may be recorded, and then combined w πh vendor data or other data This information may then be used as the initial training data for the neural nenvork model This process may be repeated at various times to update the model, as desired
The optimizer may then receive one or more constraints, w herein the constraints comprise limitations on one or more resources, e g., the constraints may comprise limitations on the configurations of the site The optimizer may further receive an objective function, w herein the objective function comprises a function of the action variables The objectiv e function represents the desired commercial goal of the e-commerce vendor, e.g.. to increase profits, increase market share, reduce inventory, etc. The constraint and objective functions may be functions of the above-mentioned action variables The optimizer mav then solve the objective function subject to the constraints. The optimizer may then generate the e-comerce site configuration based on the solv ed objectn e function. Thus the optimizer preferably uses constrained optimization techniques.
After the optimizer generates, (e.g., selects or creates) the e-comerce site configuration m response to the received data, the e-commerce server, or a separate server, then is configured with this site configuration. The e- comerce site configuration is provided or made available to customers, where the web site is displayed, preferably by a browser, to the user of the client system. As discussed above, the web site configuration is preferably designed to achieve a desired commercial result.
Therefore, the method may include generating a configuration of the e-commerce site in response to the vendor information and/or the customer information, wherein generation of the e-commerce site configuration uses an optimization process. In one embodiment, generating the configuration of the e-commerce site includes modifying one or more configuration parameters of the e-commerce site and/or generating one or more new configuration parameters of the e-commerce site For example, modification of one or more configuration parameters of the e-commerce site may include modifying one or more of a color or a layout of the e-commerce site. Modification of one or more configuration parameters of the e-commerce site may also include modifying content comprised in or presented by the e-commerce site, such as text, images, graphics, audio, or other types of content. Modification of one or more configuration parameters of the e-commerce site may also include incorporating one or more inducements, such as promotions, advertisements, or product purchase discounts or incentives, in the e-commerce site in response to the vendor information
In another embodiment, the system and method operate to provide one or more inducements to a usei conducting an e-commerce transaction, wherein the inducements are intended to encourage or entice the user to complete the transaction in a desired w ay. such as purchasing a product, purchasing additional products, etc. The inducements are generated by an optimization process to optimize a desired commercial result of the vendor
The present invention is preferably implemented in an e-commerce system. The system may include an electronic commerce ( e-commerce ) server, which is maintained by an e-commerce vendor The e-commerce server is coupled through a nenvork. such as the Internet, to various client sv stems operated by users The e-commerce server, or a separate serv er, mav include optimization sot are which operates 10 generate inducements to be provided to the users, w herein the optimization sotnvare uses constrained optimization techniques Various users of the client sy stems may conduct e-commerce transactions w ith the e-commerce server An e-commerce transaction mav include a portion, subset or all of anv of the various stages ot a user purchase of a product from an __- e-commerce sue. including selection of the e-commerce site, browsing of products on the e-commerce site, selection of one or more products trom the e-commerce site, such as using a "shopping can' metaphor, purchasing the one or more products or ' checking out." and deliv ery of the product During any stage of the e-commerce transaction, the sv stem and method of the present invention may operate to generate and display one or more inducements to the user. 0 In one embodiment, the method operates as follows The method may include receiving, collecting or storing information which is related to the e-commerce transaction The v arious types of information "related to the e-commerce transaction" may include user demographic information, user site navigation information, time and date information inventory information of products offered by the e-commerce vendor, and or competitive information of competitors to the e-commerce vendor, or other information which is useable in generating 5 inducements to display to users during an e-commerce transaction The information may then be used to update a predictn e model used in the optimization process or in generating the one or more inducements The method may also operate to determine when to generate an inducement, e g , at which point or step in a user's "click-stream" to make prov ide an inducement
The method then may include generating one or more inducements in response to the information, wherein 0 the generation uses an optimization process In the preferred embodiment, the generation of the one or more inducements may comprise inputting the information into an optimizer, and the optimizer generating one or more inducements in response to the information
The generation of the one or more inducements preferably comprises providing various data to the optimizer to enable the optimizer to generate the inducements. In one embodiment, the method comprises inputting 5 the information referenced abov e w hich is related to the e-commerce transaction into at least one predictn e model to generate one or more action v ariables The action v ariables may comprise predictive user behaviors corresponding to the information The predictive model may comprise a trained neural network or other type of predictn e model
In one embodiment, designed experiments may be used to create the initial training data for a neural 0 network model When the system or method is initially installed on an e-commerce server, the method may present a range of inducements to a subset of users or customers Their resultant behaviors to these inducement may be recorded, and then combined w ith demographic and other data This information may then be used as the initial training data for the neural nen ork model This process may be repeated at various times to update the model, as desired 5 The optimizer mav then recei e one or more constraints, w herein the constraints comprise limitations on one or more resources, e g , the constraints may comprise limitations on the dollar amount of an inducement The optimizer may further receive an objective function, wherein the obiecπv e function comprises a tunction of the action v ariables The objectiv e tunction represents the desired commercial goal of the e-commerce v endor, e g . to increase profits, increase market share, etc The constraint and objectiv e tunctions mav be functions of the abov e- mentioned action v ariables The optimizer mav then solve the objectiv e function subject to the constramts The optimizer may then generate one or more inducements based on the solv ed objective function Thus the optimizer preferably uses constrained optimization techniques
After the optimizer generates, (e g , selects or creates) one or more inducements m response to the received data, the e-commerce server, or a separate serv er. then provides the one or more generated inducements to the user The mducement(s) are provided to the client sy stem ot a user, where the inducements are displayed, preterably by a browser, to the user of the client system λs discussed above, the ιnducement(s) are preferably designed to achieve a desired commercial result, e g , to encourage or entice the user to complete the transaction in a desired wav. such as by purchasing a product, purchasing additional products, selecting a particular e-commerce site. providing desired user demographic information, etc
Brief Description of the Drawings
A better understanding of the present in ention can be obtained when the following detailed descπption of the preferred embodiment is considered in conjunction with the following drawings, in which Figure 1 illustrates an e-commerce s stem that operates according to one embodiment of the present invention.
Figure la illustrates an e-commerce system according to an alternate embodiment of the present invention. Figure lb illustrates an e-commerce system according to an alternate embodiment of the present mvention. Figure 2 is a flowchart diagram illustrating operation of an e-commerce transaction accordmg to an embodiment of the present invention,
Figure 3 is a flowchart illustrating operation of generatmg a configuration of an e-commerce site accordmg to an embodiment of the present invention,
Figure 4a is a block diagram illustrating an ov erview of optimization according to one embodiment. Figure 4b is a dataflow diagram illustrating an overview of optimization according to one embodiment, Figure 5 illustrates a single model according to one embodiment,
Figure 6 illustrates multiple models for multiple products and a single customer according to one embodiment,
Figure 7 illustrates multiple models for multiple customers and a single product according to one embodiment, Figure 8 illustrates a closed-loop software architecture for e-commerce according to one embodiment.
Figure 9 is a flowchart for a web touch-point application according to one embodiment While the invention is susceptible to v arious modifications and alternative forms, specific embodiments thereof are shown by way of example in the dra ings and will herein be described in detail It should be understood, however, that the drawings and detailed description thereto are not intended to limit the mv ention to the particular form disclosed, but on the contrary, the intention is to cover all modifications, equivalents, and alternatives falling within the spirit and scope of the present in ention as defined by the appended claims Detailed Description ol the Embodiments
Figure 1 Netvv oik System for Performing E-Commerce
Figures 1. 1 a. and lb illustrate a simplified and exemplary electronic commerce ( e-commerce ) or Internet commerce nenv ork sv stem according to various embodiments of the present inv ention The system shown in Figures 1. l a. and lb may utilize an optimization process to provide targeted inducements, e.g , promotions or advertising, to a user, such as during an e-commerce transaction The system show n m Figures 1. 1 a and lb mav also utilize an optimization process to configure the e-commerce site ( also called a eb site) of an e-commerce vendor
As shown m Figure 1 , the system may include an e-commerce ser er 102 The e-commerce seπ er 102 is preferably maintained by a v endor w ho offers products, such as goods or services, for sale over a network, such as the Internet One example of an e-commerce vendor is Amazon.com, which sells books and other items over the Internet
As used herein, the term "product" is intended to include various types of goods or services, such as books, music, furniture, online auction items, clothing, consumer electronics, sotnv are. medical supplies, computer systems etc . or v arious services such as loans ( e g , auto, mortgage, and home re-financing loans ), securities (e g . CDs, stocks, retirement accounts, cash management accounts, bonds, and mutual funds), ISP service, content subscription services, travel services, or insurance (e g . life, health, auto, and home owner's insurance ), among others.
As show n, the e-commerce server 102 may be connected to a network 104. preferably the Internet. The Internet is currently the primary mechanism for performing e-commerce. However, the network 104 may be any of various types of wide-area networks and/or local area networks, or networks of networks, such as the Internet, which connects computers and/or networks of computers together, thereby providing the connectivity for enabling e-commerce to operate. Thus, the nenvork 104 may be any of various types of nenv orks, including wired networks, wireless nenv orks. etc In the preferred embodiment, the nenvork 104 is the Internet using standard protocols such as TCP'IP. http. and html or xml
A client computer 106 may also be connected to the Internet. The client system 106 may be a computer system, nenvork appliance, Internet appliance, personal digital assistant (PDA ) or other system The client computer system 106 may execute eb browser software for allowing a user of the client computer 106 to browse and/or search the network 104. e.g.. the Internet, as well as enabling the user to conduct transactions or commerce over the nenv ork 104 The nenvork 104 is also referred to herein as the Internet 104 When the user of the client computer 106 desires to browse or purchase a product from a vendor over the Internet 104. the web browser software preferably accesses the e-commerce site of the respective e-commerce sen er. such as e-commerce server 102. The client 106 may access a w eb page of the e-commerce serv er 102 directly or may access the site through a link from a third party The user of the client computer 106 may also be referred to as a customer When the client web browser accesses the web page of the e-commerce ser er 102. the e-commerce server
102 provides v arious data and information to the client browser on the client sy stem 106. possibly including a graphical user interface (GUI) that displays the products offered, descriptions and prices of these products, and other information that would typically be useful to the purchaser of a product The e-commerce ser er 102 01 another serv er, may aiso prov iαe one or more inducements to the client computer s stem 106 w herein me inducements mav oe generated using an optimization process or an experiment engine according to the present inv ention In one embodiment of the inv ention, the e-commerce server 102 includes an optimizer, such as an optimization sotnv are program, w hich is executable to generate the one or more inducements in response to v arious information related to the e-commerce transaction The operation of the optimizer m generating the inducements to be provided is discussed further below
As used herein, the term "inducement" is intended to include one or more of adv ertising, promotions discounts, offers or other types oi incentiv es w hich may be provided to the user. In general, the purpose of the inducement is to achieve a desired commeiciai result w ith respect to a user For example, one purpose of the inducement mav be to encourage or entice the user to complete the purchase of the product, or to encourage or entice the user to purchase additional products, either from the current e-commerce vendor or another v endor For example, an inducement may be a discount on purchase of a product from me e-commerce v endor. or a discount on purchase of a product from another v endor An inducement may also be an offer of a free product w ith purchase of another product The inducement mav also be a reduction or discount m shipping charges associated w ith the product, or a credit for future purchases or anv other ty pe ot incentn e Another purpose of the inducement may be to encourage or entice the user to select or subscribe to a certain e-commerce site, or to encourage the user to provide desired information, such as user demographic information
The mducement(s) may be provided to the user during any part of an e-commerce transaction As used herein, an e-commerce transaction may include a portion, subset or all of any stage of a user purchase of a product from an e-commerce site, including selection of the e-commerce site, browsmg of products on the e-commerce site, selection of one or more products from the e-commerce site, such as using a "shopping cart" metaphor, purchasing the one or more products or "checking out," and delivery of the product During any stage of the e-commerce transaction, the system and method of the present invention may operate to generate and display one or more inducements to the user In one embodiment, the optimization process may determine times, such as during a user s click flow m navigating the e-commerce site, for provision of the inducements to the user Thus the optimization process may optimize the types of inducements provided as w ell as the timing of deliv ery of the inducements
As shown in Figure l a. an information database 108 may be coupled to or comprised in the e-commerce server 102 Alternatively, or in addition, a separate database server 1 10 may be coupled to the nenv ork 104. wherein the separate database serv er 1 10 includes an information database 108 The information database 108 and or database serv er 1 10 may store intormation related to the e-commerce transaction, as described abov e The e-commerce server 102 may access this information from the database 108 and or database ser er 1 10 for use by the optimization program in generating the one or more inducements to display to a user Thus, the e-commerce server 102 may collect and/or store its ow n information database 108. and or may access this information from the separate database server 1 10
As noted above, the information database 108 and or database ser er 1 10 mav store miormation related to the e-commerce transaction The intormation ' related to the e-commerce πansaction" mav include user demographic information, l e demographic information of users, such as age. sex. marital status, occupation, financial status, income lev el purchasing habits hobbies past transactions ot the user past purchases of the user commercial activities of the user, affiliations, memoerships. associations, historical profiles, etc The mformation "related to the e-commerce transaction" may also include "user site navigation information", w hich comprises information on the user's current or prior navigation of an e-commerce site of the e-commerce vendor. For example, where the e-commerce v endor maintains an e-commerce site, and the site receives input from a user during any stage of an e-commerce transaction, the user site navigation information may comprise information on the user's current navigation of the e-commerce site of the e-commerce vendor. The information "related to the e- commerce transaction" may also include time and date information, inventory mformation of products offered by the e-commerce vendor, and/or competitive information of competitors to the e-commerce vendor The information "related to the e-commerce transaction" may further include number and dollar amount of products being purchased (or comprised in the shopping cart), "costs" associated with various inducements, the cost of the transaction being conducted, as w ell as the results from previous transactions. The information "related to the e- commerce transaction" may also include various other types of information related to the e-commerce transaction or information w hich is useable m selecting or generating inducements to display to users during an e-commerce transaction As noted above, the e-commerce server 102 may include an optimization process, such as an optimization software program, which is executable to use the information "related to the e-commerce transaction" from the mformation database 108 or the database server 1 10 to generate the one or more inducements to be provided to the user.
As shown in Figure lb. the system may also include a separate optimization server 1 12 and/or a separate inducement server 122. As noted above, the e-commerce server 102 may instead implement the functions of both the optimization server 1 12 and the inducement server 122.
The optimization server 1 12 may couple to the information database 108 and/or may couple through the Internet to the database server 1 10. Alternatively, the information database 108 may be comprised in the optimization server 1 12. The optimization server 1 12 may also couple to the e-commerce server 102 The optimization server 1 12 may include the optimization software program and may execute the optimization soft are program using the information to generate the one or more inducements to be provided to the user. Thus, the optimization soft are program may be executed by the e-commerce server 102 or by the separate optimization server 1 12. The optimization server 1 12 may also store the inducements which are provided to the client computer system 106. or the inducements may be provided by the e-commerce server 102. The optimization server 1 12 may be operated directly by the e-commerce vendor who operates the e-commerce ser er 102. or by a third party company. Thus, the optimization server 1 12 may offload or supplement the operation of the e-commerce server 102. i.e.. offload this task from the e-commerce vendor
The system may also include a separate inducement server 122 which may couple to the Internet 104 as well as to one or both of the optimization server 1 12 and the e-commerce server 102. The inducement server 122 may operate to receive information regarding inducements generated by the optimization sofnvare program, either from the e-commerce server 102 or the optimization server 1 12. and source the inducements to the client 106 Alternatively, the inducement server 122 may also include the optimization software program for generating the inducements to be provided to the client computer system 106 The inducement server 122 may be operated directly by the e-commerce venαor w ho operates the e-commerce server 102, by the third party company w ho operates the optimization server 1 12. or by a separate third party company Thus, the inducement server 122 may offload or supplement the operation of the e-commerce server 102 and/or the optimization server 112. I e., offload this task from the e-commerce vendor or the optimization provider who operates the optimization server 112.
In the embodiments of Figures 1, 1a, and lb. one or both of the optimization server 112 or the mducement server 122 may not be coupled to the Internet for security reasons, and thus the optimization server 112 and/or inducement server 122 may use other means for communicating with the e-commerce server 102 For example, the optimization server 112 and/or inducement server 122 may connect directly to the e-commerce server 102, or directly to each other, (not through the Internet), e.g., through a direct connection such as a dedicated Tl lme, frame relay, Ethernet LAN. DSL. or other dedicated (and presumably more secure) communication channel It is noted that the embodiments of Figures 1. 1a and lb are exemplary only, and the system and method of the present invention may be implemented in various different embodiments, as desired Thus the system and method of the present invention may be implemented using one or more computer systems, e g., a single server or a number of distributed servers, connected m various ways, as desired.
Also, Figures 1. la and lb illustrate an exemplary embodiment including one e-commerce server 102, one client computer system 106, one optimization server 1 12, and one mducement server 122 which may be connected to the Internet 104 However, it is noted that the present invention may be utilized with respect to any number of e- commerce servers 102, clients 106. optimization servers 112. and/or inducement servers 122.
Further, in addition to the various servers described above, the e-commerce system may include various other components or functions, such as credit card verification, payment, inventory and shippmg, among others.
Servers 102. 112. and 122
Each of the e-commerce server 102. optimization server 112, and/or the inducement server 122 may include various standard components such as one or more processors or central processing units and one or more memory media, and other standard components, e.g., a display device, input devices, a power supply, etc Each of the e-commerce server 102, optimization server 112, and/or the inducement server 122 may also be implemented as two or more different computer systems
At least one of the e-commerce server 102, optimization server 112, and/or the inducement server 122 preferably includes a memory medium on which computer programs according to the present invention are stored. The term "memory medium" is intended to include various types of memory or storage, including an installation medium, e.g., a CD-ROM, or floppy disks 160. a computer system memory, e.g , RAM. such as DRAM, SRAM, EDO RAM, Rambus RAM, etc., or a non-volatile memory such as a magnetic media, e g , a hard drive, or optical storage The memory medium may comprise other types of memory as well, or combinations thereof In addition, the memory medium may be located in a first computer in which the programs are executed, or may be located m a second different computer which connects to the first computer over a network. In the latter instance, the second computer provides the program instructions to the first computer for execution. Also, the servers 102. 112 and/or 122 may take various forms, including a computer system, mainframe computer system, workstation, or other device In general, the term "computer system" or "server" can be broadly defined to encompass any device having a processor that executes instructions from a memory medium The memory medium preferably stores an optimization sotnvare program for implementing the optimized inducement generation process of the present invention The software program may be implemented in any of various w ays, including procedure-based techniques, component-based techniques, and/or object-oriented techniques, among others For example, the software program may be implemented using ActiveX controls. C — objects. Jav a objects. Microsoft Foundation Classes (MFC ), or other technologies or methodologies, as desired. A CPU of one of the servers 102, 1 12 or 122 executing code and data from the memory medium comprises a means for implementing an optimized inducement generation process according to the methods or flowcharts described below
Various embodiments further include receiving or storing instructions and/or data implemented in accordance ith the foregoing description upon a carrier medium. Suitable carrier media include memory media or storage media such as magnetic or optical media, e.g.. disk or CD-ROM, as well as signals such as electrical. electromagnetic, or digital signals, conveyed via a communication medium such as networks and/or a wireless link
The optimization server 1 12. the e-commerce serv er 102. and/or the inducement server 122 may be programmed according to one embodiment of the invention to generate and/or provide one or more inducements to a user conducting an e-commerce transaction In the following description, for convenience, the system and method of the present invention is described assuming the e-commerce server 102 implements or executes the optimization process, i.e., executes the optimization software program (or implements the function of the optimization server 1 12). This is not intended to limit the various possible embodiments of the present invention, it being noted here and above that the present invention may be implemented in the e-commerce server 102. a separate optimization server 112 or inducement server 122. or various other embodiments or configurations.
The present invention provides a number of benefits to e-commerce vendors. First, the system and method may increase the amount of sales and revenue for e-commerce vendors through increased closure of purchases. The present invention also provides a number of benefits to the user, including various inducements or incentives to the user that add value to the user's purchases
Figures 2 and 3 - Flowchart Diagrams
Figures 2 and 3 are flowchart diagrams that illustrate high-level operation of embodiments of the present invention It is noted that various of the steps in the flowcharts below may occur concurrently and/or in different orders, or may be absent m some embodiments.
Figure 2 - Providing Optimized Inducements to a User Conductmg an E-Commerce Transaction
Figure 2 is a flowchart diagram that illustrates one embodiment of the present invention. Figure 2 illustrates a method for providing one or more inducements to a user conducting an e-commerce transaction using an optimization process. As shown, in step 202 the method may comprise receiving input from a user conducting an e-commerce transaction with an e-commerce vendor For example, an e-commerce server 102 of the e-commerce vendor may receive the user input, wherein the user is conducting the e-commerce transaction with the e-commerce server 102
The user input may comprise the user selecting the e-commerce site, or the user browsing the site. e g . the user selecting a product or viewing information about a product The user input may also comprise the user entering v arious user demographic intormation. or intormation to purchase a product Thus the user input may occur during any part of the e-commerce transaction
As noted abov e, an e-commerce transaction may include a portion, subset or all of any of v arious stages of a user purchase of a product from an e-commerce site, including selection of the e-commerce site, browsing of*> products on the e-commerce site, selection of one or more products from the e-commerce site, such as using a "shopping cart" metaphor, and purchasing the one or more products or "checking out" During any stage of the e- commerce transaction, the system and method of the present invention may operate to generate and display one or more inducements to the user. As used herein, the term "user" may refer to a customer, a potential customer, a business, an organization, or anv other establishment The method may comprise the client system 106 providing identification of the user, such as to the e- commerce server 102. The method may also or instead comprise the client system 106 providing identification of the client system 106. such as a MAC ID or other identification, such as to the e-commerce ser er 102 The client system identification may then be used, such as by the e-commerce server 102 or another serv er, to determine the identity of the user and/ or relevant demographic information of the user The client system 106 may pro ide identification using any of v arious mechanisms, such as cookies, digital certificates, or any other user identification method For example, the client system 106 may provide a cookie which indicates the identity of the user or client system 106 The client system 106 may instead provide a digital certificate w hich indicates the identity of the user or client system 106 A digital certificate may reside in the client computer 106 and may be used to identify the client computer 106. In general, digital certificates may be used to authenticate the user and perform a secure transaction. When the user accesses the e-commerce site of the e-commerce server 102, the client system 106 may transmit its digital certificate to the e-commerce server 102. As an alternative to the use of digital certificates, a user access to an e-commerce site may include registration and the use of passwords by users accessing the site, or may include no user identification
In step 204 the method may include storing, receiving or collecting information, herein the information 5 is related to the e-commerce transaction For example, the method may use the received digital certificate or cookie from the client system to reference the user's demographic information, such as from a database The various types of information related to the e-commerce transaction were discussed abov e This information may be used to generate the one or more inducements, as well as to update stored information pertaining to the user Where the information is financial information received from a user, the financial information may be verified 0 For example, pertinent information may be retrieved v ia accessing an internal or separate database 108 or
1 10. respectively, for demographic information, historical profiles, inv entory information, environmental information, competitor information, or other information "related to the e-commerce transaction" Here, a separate database may refer to a remote database 1 10 maintained by the e-commerce vendor, or a database 1 10 operated and/or maintained by a third party, e g . an mfomediary Thus, the e-commerce server 102 may access 5 information from its own database and/ or a third party database In one embodiment, the method may include collecting information during the e-commerce transaction, such as demographic information regarding the user or the user's navigation of the e-commerce site, often referred to as 'click flo' This collected information may then be used, possibly m conjunction w ith other information, in generating the one or more inducements In one embodiment, die method mav include collecting demograpmc intormation of the user during the e- commerce transaction, which may then be used to generate the one or more inducements For example, upon registration and or during checkout, the user might be asked to supply demographic information, such as name, address, hobbies memberships, affiliations, etc For another example env ironmental information, such as geographic information, local w eather conditions, traffic patterns, popular hobbies, etc may be determined based on the user s address to display specific products suitable for conditions m the user's locale, such as ram gear during the w et season
In one embodiment, m order for the e-commerce vendor to gam information about the user, the user may be presented w ith an opportunity to complete a survey , upon completion of which the user may receive an inducement, such as a discount toward current or future purchases In this manner, stored user demographic information may be kept current
In step 206 the method may generate one or more inducements in response to the information, wherein the generation of inducements uses an optimization process In the preferred embodiment, the generation of the one or more inducements may comprise inputting the information into an optimization process, and the optimization process generating (e g . selecting or creating) one or more inducements m response to the information In the preferred embodiment, the optimization process uses constrained optimization techniques
The optimization process preferably comprises inputting the information related to the e-commerce transaction into at least one predictive model to generate one or more action variables The action variables preferably comprise predictive user behaviors corresponding to the information The action variables, as well as other data, such as constraints and an objecti e function, may then be input into an optimizer, which then may generate the one or more inducements to be presented to the user
In various embodiments, the predictive model may comprise one or more linear predictn e models, and/or one or more non-linear predictn e models Non-lmear predicitve models may of course include both continuous non-lmear and non-contmuous non-lmear models In one embodiment the predictive model may comprise one or more trained neural nenvorks One example of a trained neural nenvork is described in U S Patent No 5.353.207 As is w ell known in the art a neural nenvork comprises an input layer of nodes, an output layer of nodes and a hidden layer of nodes disposed therein, and weighted connections benveen the hidden layer and the input and output layers In the preferred embodiment neural network used in the invention, the connections and the w eights of the connections essentially contain a stored representation of the e-commerce system and the user's interaction with the e-commerce system
The neural network mav be trained using back propagation with historical data or any of sev eral other neural nenvork training methods, as would be familiar to one skilled in the art The above-mentioned information, including results of previous transactions of the user responding to previous inducements, w hich may be collected during the e-commerce transaction, may be used to update the predictive model(s) The predictn e model may be updated either m a batch mode, such as once per day or w eek, or in a real time mode, w herein the model( s ) are updated continuouslv as new information is collected
In one embodiment, designed experiments may be used to create the initial training data for a neural nen ork model \\ hen the svstem or method is initially installed on an e-commerce server, the method may present a range ot inducements to a subset ot users or customers Their resultant behaviors to these inducement may be recorded, and then combined w πh demographic and other data This information may then be used as the initial training data for the neural nenv ork model This process may be repeated at various times to update the model, as desired
As noted abo e, the optimizer may receiv e one or more constraints, wherein the constraints comprise limitations on one or more resources, and may comprise functions of the action variables Examples of the constraints include budget limits, number of inducements allo ed per customer, value of an inducement, or total v alue of inducements dispensed The optimizer mav also receive an objective function, wherein the objective tunction comprises a function of the action variables and represents the goal of the e-commerce v endor In one embodiment, the objective function may represent a desired commercial goal of the e-commerce v endor, such as maximizing profit, or increasing market share As another example, if the user is a habitual customer of the e- commerce vendor, the objective function may be a tunction of lifetime customer value, wherein lifetime customer value comprises a sum of expected cash flows over the lifetime of the customer relationship
The optimizer may then solve the objectiv e function subject to the constramts and generate (e g . select) the one or more inducements The optimization process is described in greater detail below ith respect to Figures 4 - 7
After the optimizer generates one or more inducements in response to the information using the optimization process, in step 208 the method then provides the one or more generated inducements to the user. More specifically, the e-commerce server 102 (or the optimization server 1 12 or inducement server 122) provides the mducement(s) to the client computer system 106. where the mducements are displayed, preferably by a browser, on the client computer system 106. As discussed above, the mducement(s) are preferably designed to encourage or entice the user to complete the transaction m a desired way, such as by purchasing a product, purchasing additional products, selecting a particular e-commerce site, providmg desired user demographic information, etc. In one embodiment, the one or more inducements are pre-selected and then provided to the user while the user conducts the e-commerce transaction In another embodiment, the inducement s) mav be both selected and provided substantially in real time while the user is conducting the e-commerce transaction
As one example, during user checkout to purchase a product from the e-commerce vendor, the one or more generated inducements are provided and display ed to the user on the client system 106 to encourage the user to complete the purchase In response to the inducements provided and displayed to the user, the user may provide input to complete purchase of the product from the e-commerce vendor The user input to complete purchase of the product from the e-commerce vendor may include acceptance of the one or more inducements The e-commerce v endor would then provide the product to the user incorporating any inducements or incentives made to the user, such as discounts, free gifts, discounted shipping etc
As another example, the one or more generated inducements may be provided and displayed to the user w hile the user is browsing products on the e-commerce site to encourage or entice the user to purchase these products, e g , to add the products to his her v irtual shopping cart In response to the mducements pro ided and displayed to the user, the user may provide input to add products to his her shopping cart In one embodiment, the inducements that are made to encourage the user to add the products to his/her virtual shopping cart mav only be v alid if the products are in fact purchased bv the user After the user has responded to the inducement, the method may include collecting information regarding the user's response to the particular inducement provided This collected information may then be used to update or tram the predictive model(s), e g , to tram the neural nenvork(s) The collected information may include not only the particular inducement provided and the user's response, but also the timing of the inducement with respect to the user s navigation of the e-commerce site The optimization process may then take this information mto account in the future presentations of inducements to users, thus the types of inducements presented as well as the timing of inducement presentation may be optimized
The above-mentioned information regardmg the user's response to inducements may also be stored and compiled to generate summary displays and reports to allow the e-commerce vendor or others to review the results of inducement offerings The summary displays and reports may include, but are not limited to. percentage responses of particular classes or segments of users to particular inducements presented at particular stages or times m the click-flow of the users' site navigation, revenue mcreases as a function of inducements, inducement timing, and/or user demographics, or any other information or correlations germane to the e-commerce vendor's goals
In an alternate embodiment, the predictive model is a commerce model of a commerce system which is used to predict a defined commercial result as a function of information related to the e-commerce transaction and also as a function of the inducements that can be provided to the user durmg the commerce transaction. The optimal inducement is generated by varying the inducement input to the commerce model to vary the predicted output of the commerce model in a predetermined manner until a desired predicted output of the commerce model is achieved, at which point, the optimal inducement has been generated. In this embodiment, the predictive model is preferably a trained neural network.
Figure 3 - Optimized Configuration of an E-Commerce Site
Figure 3 is a flowchart diagram that illustrates one embodiment of the present invention Figure 3 illustrates a method for configuring an e-commerce site using an optimization process Here it is presumed that the e-commerce site is maintained by an e-commerce vendor, and that the e-commerce site is useable for conducting e- commerce transactions.
As shown, in step 302 the method comprises receiving vendor information, wherein the vendor information is related to products offered by the e-commerce vendor. As used herein, the vendor information may include an inventory of products offered by the e-commerce vendor, time and date information, environmental information, and/or competitive information of competitors to the e-commerce vendor The vendor information is preferably not specific to any one user, but rather is related generally to the e-commerce vendor's products, web site or other general mformation In one embodiment, the vendor information may include user-specific information, w hich may entail customizing portions of the e-commerce site for specific users
In one example, the vendor information may include inventory information pertaining to which of the e- commerce v endor's products are over-stocked, so that they may be featured prominently on the e-commerce site or placed on sale, and/or those that are under-stocked or sold out. so that the price may be adjusted or selectively removed In another example, the v endor intormation mav comprise seasonal and or cultural information, such as the beginning and end ot the Cluistmas season. 01 Cinco de Mav o w hereupon appropriate marketing and or graphical themes may be presented
In yet another example, the v endor information may involv e competitiv e information of competitors, such as the competitor s current pricing of products identical to or similar to those sold by the e-commerce v endor The e-commerce vendor s prices may then be adjusted, or product presentation may be changed
The method may also include leceiving or collecting customer information, w herein the customer information is related to a plurality or all of the customers or potential customers of the e-commerce vendor
The vendor information may be used alone or m conjuction w ith the customer information Alternatively the customer information mav be used alone or in conjuction w ith the v endor information
In step 304 the method includes generating a configuration of the e-commerce site m response to one or more of the vendor information and the customer information w herein generation of the e-commerce site configuration uses an optimization process In one embodiment, generating the configuration of the e-commerce site includes modifv mg one or more configuration parameters of the e-commerce site and or generating one or more new configuration parameters of the e-commerce site For example, one or more configuration parameters oi the e-commerce site may represent one or more of a color or a layout of the e-commerce site One or more configuration parameters of the e-commerce site may also represent content comprised in or presented by the e- commerce site, such as text, images, graphics, audio, or other types of content One or more configuration parameters of the e-commerce site may also represent one or more mducements. such as promotions. advertisements, offers, or product purchase discounts or incentives, m the e-commerce site, as described above with respect to Figure 2
The optimization process used to generate the e-commerce site configuration is described above with reference to Figure 2. but in this embodiment of the invention, the information input mto the predictn e model is the vendor information and/or the customer information, and the optimized decision variables comprise the e- commerce site configuration parameters Examples of the constraints in this embodiment may comprise the number of products displayed, the number of colors employed simultaneously on the page, or limits on the values of sale discounts The objective function represents a given desired commercial goal of the e-commerce vendor, such as increased profits, increased sales of a particular product or product line, increased traffic to the e-commerce site, etc Further detailed description of the optimization process may be found below, ith reference to Figures 4- 7
Once the optimizer has solv ed the objective function, in step 306. the resulting configuration parameters are applied to the e-commerce site In other words, the e-commerce site is configured, modified or generated based on the configuration parameters produced by the optimization process Thus a designer may change one or more of a color, layout or content of the e-commerce site In an alternate embodiment, the optimized configuration parameters may be applied to the e-commerce site automatically by sotnvare designed for that purpose w hich may reside on the e-commerce server In this w ay . the e-commerce site mav m large part be configured w ithout the need for direct human inv olvement
For example, modification of one or more configuration parameters of the e-commerce site may entail modifying one or more ot a color or a lavout of the e-commerce site Modification ot one or moie configuration parameters of the e-commerce sire mav also entail modifying content comprised in or presented by the e-commerce site, such as text, images, graphics, audio, or other types of content Modification of one or more configuration parameters of the e-commerce site may also include incorporating one or more inducements, such as promotions, advertisements, or product purcnase discounts or incentives, in the e-commerce site in response to the vendor information, as described abov e ith respect to Figure 2
In step 308 the method includes making the reconfigured e-commerce site available to users of the e- commerce site In other words, w hen users connect to the e-commerce site, the newly configured e-commerce pages are provided to the user and displayed on the client system of the user These newly configured e-commerce pages are designed to achieve a desired commercial goal of the e-commerce vendor It should be noted that, although the embodiments illustrated in Figures 2 and 3 have much in common, they differ in the following way The inducement optimization embodiment of Figure 2 is preferably executed with the aim of influencing an indiv idual user by customizing the inducements which may be based primarily on information specific to that user, or to a user segment or sample of which that user is a member In contrast, the configuration optimization embodiment of Figure 3 is preferably executed with the aim of influencing a broad group of users based primarily on information, circumstances, and needs of the e-commerce vendor Alternatively, the configuration optimization embodiment of Figure 3 may be executed with the aim of influencing a broad group of users based at least in part on demographics, past transactions, or other information of a plurality of customers or potential customers
It should be noted that the embodiments of Figures 2 and 3 are not mutually exclusive, and so may be used in conjunction with each other to further the commercial goals of the e-commerce vendor
Figures 4 through 7 Overview of Optimization
As discussed herein, optimization may generally be used by a decision-maker associated with a business to select an optimal course of action or optimal course of decision The optimal course of action or decision may include a sequence or combination or actions and/or decisions For example, optimization may be used to select an optimal course of action for marketing one or more products to one or more customers, e g , by selecting inducements or web site configuration for an e-commerce site As used herein, a "customer" may include an existing customer or a prospectiv e customer of the business As used herein, a "customer" may include one or more persons, one or more organizations, or one or more business entities As used herein, the term "product" is intended to include various types of goods or services, as described above As will be apparent to one skilled m the art. the system and method for optimization described herein may be applied to a wide variety of industries and circumstances
Generally, a business may desire to apply the optimal course of action or optimal course of decision to one or more customer relationships to increase the value of customer relationships to the business As used herein, a "portfolio" includes a set of relationships between the business and a plurality of customers In general, the process of optimization may include determining which variables in a particular problem are most predictiv e of a desired outcome, and what treatments, actions, or mix of variables under the decision-maker's control (l e , decision variables) w ill optimize the specified v alue The one or more products may be marketed to customers in accordance with the optimal course of action, such as through inducements displayed on an e-commerce site, or an optimized w eb site configuration Other means of applying the optimal course of action may meiude. for example, direct mailing and or targeted adv ertising, conducting a re-pπcing campaign m accordance w ith the optimal course of action, conducting an acquisition campaign in accordance with the optimal course of action conducting an e- maihng campaign m accordance w ith the optimal course of action, and conducting a promorional campaign in accordance with the optimal course of action.
Figure 4a is a block diagram which illustrates an overview of optimization accordmg to one embodiment Figure 4b is a dataflow diagram which illustrates an overview of optimization according to one embodiment As shown in Figure 4a. an optimization process 400 may accept the following elements as input: cusromer information lecords 402. predictn e model(s) such as customer model(s)404. one or more constraints 406. ana an objective 408 The optimization process 400 may produce as output an optimized set of decision variables 410. In one embodiment, each of the customer model(s) 404 may correspond to one of the customer information records 402 A.s used herein, an "objective" may include a goal or desired outcome of an optimization process
As used herein, a "constraint" may include a limitation on the outcome of an optimization process. Constraints are typically "real-world" limits on the decision variables and are often critical to the feasibility of any optimization solution Constraints may not be limited to decision variables, but may be also be constraints of action v aπables Managers ho control resources and capital or are responsible for financial effects should be involved m setting constraints that accurately represent their real-world environments Setting constramts w ith management input may realistically restrict the allowable values for the decision variables.
In many applications of the optimization process 400. the number of customers involved m the optimization process 400 may be so large that treating the customers individually is computationally mfeasible. In these cases, it may be useful to group like customers together m segments If segmented properly, the customers belonging to a given segment will typically have approximately the same response m the action v anables to a given change in decision variables and external variables. For example, customers may be placed into particular segments based on particular customer attributes such as risk level, financial status, or other demographic information Each customer segment may be thought of as an average customer for a particular type or profile. A segment model, which represents a segment of customers, may be used as described above itn reference to a customer model 404 to generate the action variables for that segment Another alternative to treating customers mdiv ldually is to sample a larger pool of customers Therefore, as used herein, a "customer may include an individual customer, a segment of like customers, and or a sample of customers As used herein, a "customer model", "predictiv e model", or "model" may include segment models, models for individual customers, and/or models used with samples of customers
The customer information 402 may include decision variables 414 and external variables 412. As used herein, "decision v ariables" are those variables that the decision-maker may change to affect the outcome of the optimization process 400 For example, in the optimization of inducements provided to a user v iewing an e- commerce site, the type of inducement and value of inducement may be decision variables \s used herein, "external v ariables" are those variables that are not under the control of the decision-maker In other words, the external v anables are not changed in the decision process but rather are taken as givens. For example, external v ariables may include variables such as customer addresses, customer income levels, customer demographic mformation. bureau data, transaction file data, cost of funds and capital, and other suitable variables In one embodiment, the customer information 402 including αecision variables 414 and external v anables 412 may be input mto the predictiv e model(s) 416 to generate the acrion variables 418 In one embodiment, eacn of the predictn e model(s) 416 may conespond to one ot the customer information records 402. wherein each of the customer information records 402 mav include appropriate decision variables 414 and external v ariables 412 As used herein, "action v ariables" are those variables that preαict a set of actions for an input set of decision and external variables In other w ords, the action v ariables mav comprise predictive metrics for customer behavior For example in the optimization of inducements prov ided to users, the action variables may include the probability of a customer's response to an inducement. In a re-pπcmg campaign, the action variables may include the likelihood of a customer maintaining a service after re-pπcmg the service In the optimization of a credit card offer, the action v ariables may include predictions of balance, attrition, charge-off, purchases, payments, and other suitable behav iors for the customer of a credit card issuer
The predictive model(s) 416 may include the customer model(s) 404 as well as other models The predictiv e model( s) 416 may take any of several forms, including, but not limited to trained neural nets, statistical models, analytic models, and any other suitable models for generating predictive metrics The models may take v arious forms including linear or non-lmear. such as a neural network, and may be derived from empirical data oi from managerial judgment
In one embodiment, the predictive model(s) 416 may be implemented as a neural nenvork Typically, the neural nenvork may include a layer of input nodes, interconnected to a layer of hidden nodes, which are in turn interconnected to a layer of output nodes, wherein each connection is associated with an adjustable weight whose value is set in the training phase of the model The neural nenvork may be trained, for example, with historical customer data records as input. The trained network may include a non-lmear mappmg function that may be used to model customer behaviors and prov ide predictive customer models in the optimization system The trained neural network may generate action v ariables 418 based on customer information 402 such as external variables 412 and decision variables 414 In one embodiment, a model comprises a representation that allows prediction of action variables, a, due to various decision v ariables, d. and external variables, c Figure 5 illustrates a model 415 with external v ariables 412. decision v ariables 414. and resulting action variables 418 For example, a customer may be modeled to predict customer response to various offers under various circumstances It may be said that the action v ariables, a. are a function, v la the model, of the decision and external v anables. d and e. such that
= M(d.e) wherein M() is the model, a, is the v ector of action v ariables, d is the vector of decision variables, and e is the vector of external v ariables
In one embodiment, the action v ariables 418 generated by the model(s) 416 may be used to formulate constramt( s) 406 and the objectiv e function 408 via formulas In Figure 4b. a data calculator 420 generates the constramt(s) and objective 422 using the action variables 418 and potentially other data and v ariables In one embodiment, the formulas used to formulate the constraint! s) and objective 422 may include financial formulas such as formulas for determining net operating income ov er a certain time period The constraint! s) and objective 422 may be input mto an optimizer 424 w hich mav comprise, for example, a custom-designed process or a commercially av ailable "off the shelf product. The optimizer may then generate the optimal decision variables 410 which have values optimized for the goal specified by the objective function 408 and subject to the constraint) s) 406 The optimization process 400 earned out by the optimizer 424 is discussed in greater detail below A further understandmg of the optimization process 400 may be gained from the references "An Introduction to Management Science- Quantitative Approaches to Decision Making", by David R. Anderson. Dennis J Sweeney, and Thomas A Williams, West Publishing Co (1991 ); and "Fundamentals of Management Science" by Efrai Turban and Jack R. Meredith, Business Publications. Inc ( 1988)
Overview of Optimization for a Single Customer Many optimization problems have the following form' given a model of a customer or segment a — M(d, e) , a set of objective parameters o. a set of constraint parameters c„, and a set of constraint bounds c - use an optimizer to compute the set of decision v ariables for a customer or segment that extremizes (e.g., maximizes or minimizes) an objective function of the form:
/ = f(d,e, a,o) (2)
subject to the model constraint a = M{d,e) U) and a general set of constraints of the form:
0 ≤ g(d,e,a,cp )≤ cb(3) wherein the decision variables d. are a subset of the set of possible decision variables. D.
There are a number of approaches for solving optimization problems of this form. As is well known by those skilled in the art. the approach selected depends on the form of the model, of the objective function, of the constraints, and of the set of possible decision variables. The model, objective function, and constraints may each be either linear (L) or non-lmear (NL). The decision variable set. D. may be a linearly bounded single region
(simple convex area) (L), a non-lmear bounded single region (NL), multiple regions (MR), or discrete.
Commercial solvers, or optimizers, are available for solving all combmations of linear and non-lmear components for single region decision variable sets. For the cases when variables are not restricted to a single continuous region, a variety of other, more heuristic, approaches are generally av ailable Several of these approaches solving optimization problems are discussed in greater detail as follows.
Example of Optimization with Linear Programming A simple credit card offer optimization problem illustrates the LP approach The model computes the response rate to a mailed offer and expected monthly balance of a responder. therefore, the action variables are: a/ = response rate; α = expected balance The decision variables for the offer are annual percentage rate (APR) and credit limit, thus d/ = APR. d = credit limit There are no external variables in this example
A lmear model of the form
α, = wu d -r w d2 + b (4)
may be used wherein H 11, ]2, bl, H21Η22-andυ2 are parameters of the model The parameters may be tound. for example, using linear regression techniques based upon historical data
The objective function. J. to be maximized, also lmear, is of the form
J = o]a + a, ^
wherein o/ is an optimization parameter Using this objective function, a] and α ? may be maximized The relativ e importance of a, versus a2 is determined by the optimization parameter, oj. which is specified by the user
A lmear constramt is of the form
0w < — cL p,l aul +τ aul < — c<-b \ (6)
and the set of possible decision variables, D, is restricted such that
.05 ≤ d ≤ . \ 9 (range of APR) (7)
1,000 < d1 ≤ 5,000 (range of credit limit) (8)
Because the model, objective function, constramt. and set of decision variables are linear, this example can be solved using standard linear programming techniques
Example of Optimization with Non-Linear Programming
In a further example, the objective, constraints, and set of decision v ariables are of the form shown above, and the model is implemented by a non-lmear neural network
a = M(d, e) = NN(d, e, u) (9)
w herein t is the vector of weight parameters of the neural nenvork which may be identified using historical data and the back propagation method of neural nenvork training In this case, because the model is non- lmear. a non-lmear commercial solver/optimizer may be used to sol e for the decision v ariables Overview of Optimization vtith Heuristic Linear Programming
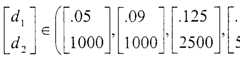
A similar problem may be considered, but w ith the set of possible decision variables restricted to a discrete set. such as'
such that the APR values of each of the four offers are 5%, 9%, 12.5%, and 19%. respectively, and the credit limits are $ 1000, $ 1000. S2500. and $5000. respectively. Because the problem is non-lmear and discrete, a mixed integer lmear programming (MILP) approach may be used; however, by reformulating the problem heuristically, a linear programmmg (LP) technique may be used instead. This is refened to as a heuristic LP approach
The above problem may be reformulated by enumerating the solutions, e.g., by computmg the output of the neural network model for each element of the set'
wherein the output conesponding to the first element of the set is The objective function. J, may a2] then be rewritten to select the optimal pair of action variables:
max J = n, (o,au + a2l )+ n2 (o2au + a22 )+ n3 (o3au + α23 )+ n4 (o4a + α2 (12)
wherein n, are selection variables constrained bv:
0 < π, < 1 ( 13) (14)
and wherein-
0 < , , + α, < c (6) At this point, a conventional linear programming Technique may be used because the selection v anables n, are optimized, rather than the decision variables, and because _7_ appear linearly. Once the optimal selection variables are computed, one of the n will be equal to 1. with the rest equal to 0. assuming only one maximum m the set. The optimal decision variables of the set conespond to the //. equal to 1. Thus, the decision variables are computed using a heuristic LP approach. This technique may generally be used when the set of discrete decision variables is finite
Overview of Optimization for Multiple Products or Multiple Customers
In the cases where multiple products may be offered to a single customer, or where a single product may be offered to multiple customers, a different model may be used for each product/ customer pair. For example, m the case of a single customer being offered multiple products, the models may be defined as follows:
«, =M(d,,e ), a2 =M(d2.e2) am =M(dm,em) 05)
with a set of Boolean selection variables:
s = (s„s2,...sm) (16)
that may be used to select which offers to make to the customer. Figure 6 illustrates the multiple product models of expression (15).
In a similar way. for the case of a single product being offered to multiple customers, the models may be defined as follows-
M(d,,e{). a2 =M(d2,e2), ..., aN =M(dN,e ) (17)
with a set of Boolean selection variables:
s = (S],s:,...sv) (18)
Figure 7 illustrates these multiple customer models Optimization with multiple customer models is mathematically equivalent to optimization with multiple product models.
Given the above set of models for various products M e ( , ,M , ,...,Λ/_. ) for a customer (i.e.. an individual customer, customer segment, or customer sample), a set of objective parameters o. a set of constraint parameters Cp. a set of constraint bounds ch, and an objective function of the form: J = f(d ,e,,a,,s,. d,,e2.a2.s,....dt ,e„ ,a ,sm,o)(19)
which is subject to the model constraints
α, = M(d,,e,), a2 =M(d2,e2). . am = \l(dm,em) (15)
and a general set of constraints of the form
0<g(d ,e],a ,s ,d2,e2,a2,s2....dm,em,am,sm,cp)≤cb W
and the set of possible decision variables, D, and selection variables. S. such that
deD(21) s e S
then an optimizer may generally be used to compute the decision variables for a customer to extremize the objective function, J
Figures 8 Closed-Loop Software Architecture for E-Commerce Figure 8 illustrates a closed-loop software architecmre for performing e-commerce transactions according to one embodiment Figure 8 illustrates an example of an architecture for a closed-loop system for making marketing decisions concerning e-commerce The architecmre shown in Figure 8 may be applied in other circumstances for different external systems and different on-lme applications
An Internet business may use the architecture shown in Figure 8 to make decisions and perform experiments on the contents of mducements. such as promotions and incentives to be delivered via e-mail or displayed on web pages In the example software architecture shown in Figure 8. the Export module 2150 may be customized with a set of transformations 2120 and a Data Interface sub-module that converts the experiment and decision data to an e-mail delivery system The combination may create e-mail messages that contain the inducement, such as a promotion or incentive, hich may be tailored to the customer The e-mail messages may be sent through an E-mail Touch-Point 2220 The Import module 2100 may be customized with a set of transformations 2120 and Data Interface sub-modules that convert the data from Third Party Customer Data Warehouses 2230 and an internal Data Collection database 2800 The Data Collection database 2800 may be used to store the results from the e-mail and web responses Another version of the Impoπ module 2100 may be customized with a set of transformations 2120 and a Data Interface sub-module 2130 that converts the e-mail responses from an e-mail dehv ery system such as E-mail Touch-Point 2220 for the Data Collection database 2800 The off-line modules mav also be used to run simulations for the on-lme modules Once the simulations prove satisfactory, the transformations 2120. rules 2330. and predictive models 2510 used in the simulations may be deployed to the on-lme modules Figure 9 Flo chart for W eb l oucn-pomi Application
Figure 9 is a flowchart illustrating a method that may be used by rhe Web Touch-point Application 2260 according to one embodiment In srep 2900. the Web Touch-point Application 2260 may call the Web On-lme Interface module 2700 to get an inducement, such as a promotion or incentiv e The Web Touch-Point Application 5 2260 may be coupled to a Web ≤erv ei 2250 which mav be coupled to a Web Browser 2240 The Web On-lme Interface module 2700 may be coupled to the v arious Data Transformation Engines (DTEs) 21 10. Decision Engine 2640. Experiment Engine 2340. ana databases as shown in Figure 9
In step 2902. the Web On-lme Interface module 2 00 may collect the customer data known by the Web Touch-point Application 2260 In step 2904. the Web On-lme Interface module 2700 may retrieve additional 10 customer data from the Third Paπv Customer Database 2230 In step 2906. the Web On-lme Interface module 2700 may determine whether an experiment or decision should be performed In step 2908. the Web On-lme Interface module 2700 may use rhe on-lme APIs 21 10. 2640. 2340 to determine the tailored inducement In step 2910. the Web On-line Interface module 2700 may record the inducement in the Data Collection database 800. In step 2912. the Web On-line Interlace module 2700 may return the tailored inducement to the Web Touch-point, Application 2260 In step 2914. the Web Touch-point Application 2260 may call the Web On-lme Interface module 2700 to record response information In step 2916. the Web On-lme Interface module 2700 may record the response information in the Data Collection database 800
In one embodiment, the Web On-lme Interface module 2700 may be implemented such that the Web Online Interface module 2700 and the on-lme APIs 21 10, 2640. 2340 may reside on the same computer as the Web 0 Touch-point Application 2260 The databases 230. 800 may each be hosted on a remote computer, separate from the computer running the Web On-lme Interface module 2700 The data elements collected in the Data Collection database 800 may be used in the off-line modules to adapt the models and experiments to make further adjustments in the e-mail and eb inducements
Although the system and method of the present invention has been described in connection w ith the ^ prefened embodiment, it is not intended to be limited to the specific form set forth herein, but on the contrary, it is intended to cover such alternativ es, modifications, and equiv alents, as can be reasonably included w ithin the spirit and scope of the inv ention as defined by the appended claims