Movatterモバイル変換


[0]ホーム

URL:


WO2001040764A2 - Apparatus for the detection of particles - Google Patents

Apparatus for the detection of particles
Download PDF

Info

Publication number
WO2001040764A2
WO2001040764A2PCT/NL2000/000883NL0000883WWO0140764A2WO 2001040764 A2WO2001040764 A2WO 2001040764A2NL 0000883 WNL0000883 WNL 0000883WWO 0140764 A2WO0140764 A2WO 0140764A2
Authority
WO
WIPO (PCT)
Prior art keywords
beams
flow cell
fluid
laser
laser beams
Prior art date
Application number
PCT/NL2000/000883
Other languages
French (fr)
Other versions
WO2001040764A3 (en
Inventor
George Bavo Joseph Dubelaar
Original Assignee
Dubelaar Research Instruments Engineering
Priority date (The priority date is an assumption and is not a legal conclusion. Google has not performed a legal analysis and makes no representation as to the accuracy of the date listed.)
Filing date
Publication date
Application filed by Dubelaar Research Instruments EngineeringfiledCriticalDubelaar Research Instruments Engineering
Priority to AU28916/01ApriorityCriticalpatent/AU2891601A/en
Publication of WO2001040764A2publicationCriticalpatent/WO2001040764A2/en
Publication of WO2001040764A3publicationCriticalpatent/WO2001040764A3/en

Links

Classifications

Definitions

Landscapes

Abstract

This invention provides an apparatus for the detection of individual particles in a suspension flowing through a transparent flow cell, further comprising of means to irradiate the suspension in this flow cell and means to detect the light emitted by the suspended particles. The irradiation means provides two identical coparallel and overlapping laser beams, with a lateral, relative displacement more or less equal to the beam radius, and polarized in relative orthogonal directions. This apparatus is also suited for the detection of larger particles.

Description

Apparatus for the detection of particles.
The present invention relates to an apparatus for the detection of particles in a fluid, comprising a fluid system with an at least partly transparent flow cell to receive the. fluid, means to irradiate the fluid in this flow cell and means to detect the light emitted by the particles in the flow cell, the irradiation means comprising one or more lasers generating a beam which follows at least during operation a beam path through the fluid.
An apparatus of the kind described above is commercially available and was primarily developed for biomedical purposes. These are so-called flow cytometers, in which a suspension, usually a blood sample, is forced through the flow cell at high speed, therein intersecting a laser beam which crosses the flow cell. Microscopical particles in the stream of fluid can be detected and counted by the light they emit by scattering and possibly fluorescing, in order to determine in this way concentration thereof, and also to classify the particles based on their individual optical properties as measured. Especially different types of blood cells, but optionally also bacteria and other unicellular particles and even viruses are involved. The particle suspension is injected under laminar conditions into a particle free sheath fluid which narrows down and accelerates the particle suspension to a very thin stream of suspension that is carried through the center of the flow cell at high speed. As this forces the particles to flow through the laser beam predominantly one by one, the particles are measured on an individual basis allowing accurate counting. The detection means to detect the light fluxes emitted by the passing particles comprises of one or more photodetectors converting the light fluxes into electrical pulses. These pulses are subsequently converted into numbers allowing computer aided analysis using suitable classification software to count and classify the particles. Standard flow cytometers are most suited for particles smaller than 20-30 μm.
There is a growing need for an apparatus of the kind mentioned above that allows the measurement of larger particles and accommodates a larger flow rate of the particle suspension. This means that the fluid system and flow cell should have an accordingly larger flow through width and also that the irradiation and detection means should be tailored to accommodate a larger diameter of the suspension stream. A problem in this respect is the requirement of a highly uniform irradiance across the full suspension stream to obtain reproducible and precise measurements. However, the irradiance distribution of a laser beam often has a Gaussian shape, limiting the useful area with an acceptable deviation from the maximum irradiance to the rather small central part of the beam. A widening of the irradiance distribution, to enlarge this area, causes a correspondingly reduced irradiance level in this area, impairing the performance of the system to detect and measure very small particles. This requires a relatively high irradiance level. If the total light output power in a Gaussian beam is limited, as with small lasers, a high irradiance would require a very narrow beam, whereas the accommodation of a uniform irradiance distribution over a rather wide suspension stream requires a wide beam, much wider compared to the suspension stream. These conflicting requirements have impaired the realization of a compact apparatus of the kind mentioned above, having the capability to measure larger particles and to accommodate larger suspension streams, such as required for the detection of algae and other planktonic particles in (surface) water.
The present invention aims to provide an apparatus of the kind mentioned in the preamble having this capability.
For this purpose an apparatus of the kind mentioned in the preamble according to the present invention is characterized in that the irradiation means comprises of two at least almost identical, Gaussian, polarized laser beams, having at least almost orthogonal relative directions of polarization, and following, at least during operation, relative parallel beam paths through the fluid while the relative distance of both beam paths is sufficiently small to allow partial overlap of both laser beams. Using according to the present invention two partly overlapping laser beams to irradiate the fluid stream results in an intensity distribution consisting of the sum of two Gaussian distributions. By choosing the overlap favorably, a significantly more uniform intensity distribution at a similar intensity level can be achieved around the center of the combined distribution, as compared to using a single Gaussian beam. Because the relative directions of the polarization of both beams are positioned orthogonally, interference effects between both beams are circumvented, which would otherwise impair the flatness of the intensity distribution and the measurement therewith. In this manner the present invention provides a significantly wider uniform irradiation width at equal laser power compared to existing apparatus, making the apparatus according to the present invention also suited for wider fluid streams and larger particles.
In a preferred embodiment the apparatus in the present invention is characterized in that the distance between both beam axes is at least almost equal to half of the width of the laser beams, defined as the width inside which the irradiance is larger than 1/e2 of the maximal (axial) value, with e the mathematical base number of a natural logarithm. It appears that such an overlap yields the largest possible area in which the irradiance is at least almost uniform. Based on the available laser(s), such a fine tuning of both laser beams allows the achievement of the largest possible useful irradiation area.
In practice it appears that in an at least almost absolute laminar fluid stream a fluid speed occurs acquiring a quadratic distribution with the progression of the stream from the side of the stream to the maximum speed in the middle . This means that particles flowing through the center of the stream will reside somewhat shorter in the laser beam compared to particles flowing more closely to the side of the flow channel in the flow cell. Consequently the light emission of the central particles will be slightly less during their passage. To compensate for this a further preferred embodiment of the apparatus in the present invention is characterized in that, at least during operation, the fluid flow through the flow cell is at least almost laminar and that the distance between both beam paths is a little smaller than half of the beam width of both laser beams. By creating in this manner slightly more overlap the resulting intensity distribution around the center of the bundle will not be flat but slightly bulged towards the center, coinciding with the center of the suspension stream, which at least partly compensates for the shorter residence time of the particles in the center. A further embodiment of an apparatus of the kind as mentioned above is characterized in that the flow cell comprises an elongated cuvette and that both parallel beam paths lie next to each other in a plane peφendicular to this cuvette intersecting the cuvette. In this manner the intersecting area is a practically peφendicular cross section of the fluid stream, allowing accurate determination of the particle flux. A further preferred embodiment of the apparatus according to the present invention is characterized here in that the polarization directions of both laser beams are positioned at least almost 45 degrees relative to the direction of breadth of the cuvette. In practice it appears that the light scattering by the particles, usually being measured in this plane, may be influenced more or less by the polarization direction of the laser beam. By positioning the directions of polarization at angles of about 45 degrees plus and minus to this plane, these kind of effects are minimized.
A special embodiment of the apparatus according to the present invention is characterized in that the fluid stream in the flow cell has a position in the overlap area of both beams. In this manner a uniform irradiance over the full width of the suspension stream can be achieved.
A further special embodiment of the apparatus according to the present invention is characterized in that the width of the fluid paths in the flow cell is sufficiently large so that both laser beams intersect across the fluid channel and not or at least almost not hit the side walls of the flow cell. By keeping in this manner both laser beams predominantly inside the fluid channel of the flow cell, adverse effects such as reflections, interference and scatter from the edge of the flow cell which could otherwise impair the intended irradiance profile and in this way the measuring results are minimized.
A further -special embodiment of the apparatus according to the present invention is characterized in that the irradiation means comprise two at least almost identical lasers combined with alignment means to co-align the beam from each laser with the other beam at the desired lateral distance. Separate laser beams are used to create both laser beams. Thanks to the alignment means these both beams are leaded in the described way besides each other. Polarization means should provide the relative orthogonal polarization directions, if needed integrated in the alignment means.
A further embodiment of the apparatus according to the present invention is characterized in that the irradiation means comprise an optical beam splitter in order to allow the use of a single laser from which the beam is split in two beams of at least almost identical diameter and intensity in such a way that the path and polarization orientation of these beams may be positioned and directed through the flow cell in the way described above. This is possible in principle with various types of components such as beam splitters and polarization prisms. The irradiation means may also comprise one or more half-wave plates to manipulate the polarization orientation at will.
A further special embodiment of the apparatus according to the present invention is characterized in that a so-called beam displacing prism or plate is used to achieve the required splitting of the single laser beam into two beams. A beam displacing prism is a specific, plan parallel crystal, for instance made from quartz or calcite and which provides two coparallel, but laterally displaced, orthogonally polarized output beams from one polarized input beam. The relative intensity of the output beams varies from zero to one (equal to the input beam) depending on the angle between the polarization state of the input beam and the optic axis of the prism material. If the orientation of the polarization state of the input laser beam is directed at least almost exactly between these two extremes (in practice at 45°), then the beam displacing prism will split this input beam into two at least almost equal, coparallel beams with relative orthogonal polarization.
One of these beams remains undisplaced from the input beam whereas the other coparallel beam is laterally displaced over a distance depending on the thickness of the prism. By choosing a sufficiently thick prism, the required overlap of both beams for the present invention can be achieved in a totally optical manner. A specific example of a beam displacer is a so-called Savart plate, comprising two equally thick beam displacing plates glued together at an orthogonal optic axis angle. Such a component is particularly useful in the present invention.
For optimum results within the framework of the present invention it is important to fine tune the distance between both beams accurately to the beam diameter or vice versa.
This overlap distance can be achieved optically and/or mechanically in the apparatus according to the present invention. Inevitably there will be some inaccuracy in the optics and the mechanics of the apparatus and particularly the beam width of the laser appears to be a less constant factor also depending on the divergence or convergence of the beam. To cope with these kinds of tolerances relatively simply, and to allow the preferred use of a beam displacer to get a constant displacement in a simple manner, a further embodiment of the apparatus according to the present invention is characterized in that the irradiation means allow fine adjustment of the beam width of the laser beams. A special embodiment of the apparatus is characterized in this respect in that the irradiation means comprises a set of anamoφhic prisms. These prisms are placed behind each other in the bundle path and allow the adjustment of the beam width in one direction by rotating the prisms more or less.
As, in accordance with the present invention, the irradiation of the suspension stream is the sum of the Gaussian irradiance profiles of two partly overlapping laser beams with orthogonal polarization state, the laser light scattered by the particles will contain proportional amounts of light from both polarization states. A further embodiment of the apparatus according to the present invention is characterized in that the detection means comprise a combination of two detectors with suited polarization components, in a way that each detector measures only the light scattered by the particles in a single polarization state corresponding to one or the other of both orthogonal laser beams that make up the irradiance profile across the suspension stream. Light scattered by a particle flowing in the middle of the flow cell and intersecting the overlapping laser beams at least almost exactly through the middle of their combined irradiation profile, will contain equal amounts of both polarization states. If a particle is flowing through the combined irradiance profile of both laser beams at some distance away from the middle, therefore more through the one than the other laser beam, then its scattered light will contain proportionally more light from this one laser with the corresponding polarization state than from the other laser with the other polarization state. The said detectors should collect a sufficiently large portion of the light scattered by the particles to limit effects of interference at least almost sufficiently. Using a combination of two detectors as described above allows the calculation of the ratio between the measured light scatter signal from these both detectors for every individual passing particle. This ratio is directly governed by the lateral position, for instance right through the middle or some distance to the left or to the right side of the middle, of the particle trajectory through the combined irradiance profile and may be calibrated. Knowledge of this lateral position may be important for the calibration of measurements of other detectors as well for the accurate triggering or calibration of applications down stream, such as secondary irradiation and detection means or sorting or imaging-in-flow devices, for which the position of the particle trajectory may be very important in relation to certain physical properties such as flow speed, depth of focus etc.
Subsequently the present invention will be elucidated by a number of example embodiments in conjunction with accompanying drawings. The drawings are pure schematically representations and not drawn to scale. Some dimensions are strongly exaggerated particularly for clarity. Like reference numerals are used as much as possible throughout the drawings for corresponding components.
Figure 1 is a three-dimensional representation of some basic parts of an apparatus according to the present invention. Here, the flow cell comprises of an elongated cuvette (10) with an at least almost transparent wall (1 1) allowing the passage of a laser beam
(20) with focussing means (50) (schematically depicted here). The suspension to be analyzed is carried into the relatively wide and funnel shaped upper part (12) of the cuvette in a constant flow, usually injected here through a hollow needle (13) while being surrounded by a much larger amount of co-injected particle free sheath fluid (33). Upon approaching the narrow flow channel of the cuvette the fluid cross section of both the sheath fluid and the suspension stream shaφly decreases, whereas their relative position remains. As a consequence the flow velocity increases shaφly, resulting in an at least almost laminar, fast flowing suspension stream (30) in the middle, surrounded by the sheath fluid. The diameter of the sample stream is proportional to (the square root of) the suspension volume being analyzed per second. This suspensions stream intersects a laser beam (20) which is directed orthogonally through the cuvette at an intersection point (14). Particles flowing through this point scatter the laser light and may emit fluorescence light, which is being detected by a detection system (40). Detection of the light fluxes (41) emitted by the passing particles is done with photo detectors (42), combined with components such as a collection objective (43), beam splitters and/or dichroic mirrors (44) and a beam dump (45). The detectors convert the light pulses into electronic pulses. These pulses are subsequently digitized and further processed. In this manner the optical properties such as light scattering and fluorescence of about 1000 or more particles per second can be measured. The resulting data is processed and analyzed using a computer, whereas the measured data can also be used in real time in some instruments to activate a downstream device such as a sorting unit to sort out individual particles of interest from the suspension stream.
Figures 2A and 2B show the side view and top view respectively of a flow cell of an apparatus in the present invention, with flat, transparent walls (11) allowing the passage of a (schematically depicted) laser beam (20) with schematically depicted focus means
(50). The flow cell contains the suspension stream 30 in the middle surrounded by the sheath fluid (33). Detection means (40), schematically depicted, are placed around the flow cell, having a 'field of view' (46) from which emitted light can be detected. Only particles inside the intersection volume (cross hatched area) of the suspension stream (30) and the laser beam (20), which should completely fall inside the detection aefield of view' (46), can be detected by the apparatus. This intersection volume is subject to certain requirements for optimum performance of the apparatus. Its volume should be as small as possible to keep the signal to noise ratio maximal. The light intensity should be uniform throughout the intersection volume and as high as possible to be able to detect small particles. To get high light intensity from a relatively small laser requires an as narrow as possible beam, at least where the particles are being measured. However, the Gaussian distribution of the light intensity over the width requires a spot many times larger than the diameter of the suspension stream. Particles flowing through the intersection volume outside the middle (viz. figure 3) will experience a lower light intensity while covering the same optical path as particles covering the middle, will experience a higher light intensity. Figure 3 A schematically represents a Gaussian irradiance distribution by a black shading proportional to the light intensity. This is maximal in the middle and gradually decreases towards the sides. Figure 3B shows the intensity I (21) as a function of the distance r (22) from the middle according to a Gaussian distribution:
I(r) = 1(0). exp (-2r/w2)
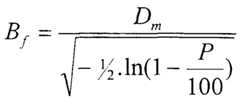
with 1(0) the maximum light intensity in the center of the beam and w the distance from the middle to the side of the beam, where the intensity has fallen to 1/e2 (23) of the maximal intensity in the center, with e the mathematical base number for natural logarithm. The beam diameter Db (24) is defined as 2w. To limit the variation of the measured values the variation in the light intensity should be limited. The accepted variation in light intensity (P %) yields a minimum laser beam width Bf according to:
Figure imgf000010_0001
with Dm the diameter of the suspension stream. If P is 5 % for example, then the beam diameter should be 6.25 times wider, yielding a beam width of 375 μm for the suspension stream diameter of 60 μm used as example here.
A large beam width yields a low variation in light intensity across the intersection volume at the cost of a relatively low light intensity level, increasing the detection limit. This detection limit can be decreased by placing a more powerful laser which increases the price of the flowcylometer. In such a case the largest part of the light is not being used because it falls outside the suspension stream while causing unnecessary background scatter particularly where intersecting the cuvette walls. The solution applied in the apparatus according to the present invention aims to get a more efficient light distribution compared to the standard Gaussian (bell shaped) distribution because a significant broader part of the laser focus has a constant light intensity. This objective is achieved by the supeφosition of two Gaussian beams with coparallel - parallel beam paths and partly overlapping light distributions. These two beams may originate from a single laser. Interference of these two partly overlapping beams can yield an unwanted, strongly fluctuating intensity distribution. This however may be prevented by arranging the polarization states of these beams peφendicular to each other. This is possible in principle for normal linearly polarized laser beams as well as for circular polarized beams. The intensities are superimposed now without interference effects. With two beams of identical diameter Db, measured with Db between the 1/e2 boundary values, the ideal overlapping distance appears to be exactly 1/2 Db or in (the beam radius) w. In this case the intensity distribution for the central cross section over the center of the combination of both beams can be written as:
w
I{r) = y2 I0.e- -2((λ0>- .(eΛ + e ) with v =
It appears that the central part of the resulting light distribution is flat, allowing a much larger suspension stream diameter, or in the case of an unchanged suspension stream diameter, a narrower total beam width with correspondingly higher light intensity.
Figures 4A and 4B show two Gaussian beams at relative distance 24 of w (= 1/2 D) with the direction of the laser beams (20) indicated. Figure 4A shows the intensities of each beam separately, whereas figure 4B shows the superimposed intensity of both beams.
Owing to the Gaussian character of the original intensity distributions, all distributions including the superimposed distribution, are similarly shaped over all cross sections in the lateral direction (31), which is the flow direction of the sample stream. This is illustrated by the grid lines of figure 4B. The integration of these light distributions over the lateral direction (31) where the particle flow is therefore also similar, implying that this type of light intensity distribution yields similar results for apparatus measuring the signal amplitudes as for apparatus measuring integrated scatter or fluorescence signals. The resulting light intensity distribution can be adjusted by slightly varying the overlapping distance at constant beam diameter or varying the beam diameters at constant overlapping distance (viz. figures 5A-5E). By slightly reducing the beam widths at constant overlapping the flat section may be widened while a small dip originates in the center. If this dip remains within the accepted variation in light intensity, this strategy would accommodate the largest possible suspension stream diameter or maximize the light intensity, viz. figure 5E. Instead of this, a slight widening of the beams reduces the flat section until a slight bulging of the center of the distribution appears (viz. figure 5B). This distribution could resemble more or less a velocity distribution of the fluid over the width of the cuvette, with a partly developed laminar Poiseuille flow profile while in the lamminar flow an even further quachatic velocity partition arises. As the integrated signal is inversely proportional to the particle velocity (lower velocities yield larger integrated signals), a light distribution as mentioned could be used to eliminate the effect of the variation in particle velocities exactly, and an optimal low spread in the integrated measured values could be obtained.
Figure 5A shows a typical Gaussian laser beam (27) as reference. The more or less 'flat" and thus acceptable section (26) of the light distribution, for the puφose of irradiation of the suspension stream, is chosen here arbitrarily as the section in which the intensity falls does not deviate more than 3% from the maximum value. The beam diameter Db (24) is also shown as 100 percent. Next are depicted the profiles (28) resulting from the overlapping of two similar beams which allow a broader sample flow at the same intensity of light, using narrower beam widths from left to right. Figure 5E gives the largest widening (2.53 times - yielding a 6.4 times larger suspension flow) while 5B might give the best compensation for the shape of the velocity profile. Figure 5C is the exactly flat distribution, obtained using an overlap of both beams of exactly 1/2 D. Figure 6 shows the improvement at constant suspension stream diameter: a double light intensity and a strongly reduced level of light incident on the cuvette side walls at narrower distribution. Elliptical instead of round beam cross sections (at the intersection point with the suspension stream) are sometimes applied in flow cytometers, for instance by using crossed cylindrical lenses with different focal distances instead of spherical lenses as beam focussing means. In this way the laser beam width may be reduced in the plane of the particle flow path (assumed vertical) to concentrate the light over a smaller path length (which increases the detection level) while the beam width in the peφendicular plane (assumed horizontal) may be tailored to the requirements of the light distribution across the suspension stream width. The above described principle of overlapping beams is equally valid for round beams as well as for beams with elliptical cross sections.
The most simple embodiment of an apparatus according to the present invention explained here is based on the use of a so-called Savart plate. The results given above have been based on the same. This is a combination of two ortogonal beam displacers, consisting of a relative crosswise mounted pair of identical beam displacer plates, usually made from calcite or quartz, which allows the use of a single laser to realize the two at least almost identical co-parallel beams by having its output beam normally intersect such a Savart plate. The Savart plate should be oriented in a such a way that the angle between the plane of polarization of the laser beam and the relative orthogonal planes of beam separation of the Savart plate is at least almost +45 or -45 degrees. The lateral displacement Bd of the resulting beams relative to the input beam is governed by the wavelength dependent lateral beam displacement factor, a known property of the beam displacer plate material used, the wavelength of the laser beam and the thickness
of the displacer plates in the Savart plate. The overlap of the foci is -f2.Bd .
Figures 7A and 7B schematically show a top view and side view respectively of an example embodiment of an apparatus according to the present invention, based on using such a Savart plate (51) for a single laser (52). The width (between 1/e2 points) of the laser beam incident on the Savart Plate is at least almost equal to the relative lateral beam separation of the output beams multiplied by 2: 2ΛJ 2. B , . Laser beam diameters vary widely with typical values between 1.0 and 1.8 mm between 1/e2 points. A relatively large beam diameter may be preferred in order to achieve the highest level of concentrating or focussing of the light in the plane along the suspension stream (assumed vertical). The latter may be achieved for example by using a cylindrical lens (54), which does not influence the distribution of light in the horizontal direction. In such a case the beam width in the peφendicular plane (assumed horizontal) may have to be reduced (for example by using a set of anamoφhic prisms (53)) to achieve the preferred light distribution in conjunction with a particular beam separation. In addition, the light distribution in this horizontal plane may be further reduced by an extra cylindrical lens. Instead of tailoring the thickness of the Savart plate to the 1/e2 diameter of the laser beam, it is more practical to adjust the width of the laser beam by optical means to the size of the Savart plate, for instance 2.0 mm, particularly because the laser beam diameters and divergence may show quite large tolerances in practice. The width of the laser beam (assuming the horizontal diameter) can easily be adjusted in one direction by using a set of anamoφhic prisms which allow later on fine tuning of the anamoφhic expansion by slightly changing the prism angles with respect to the incident beam. This requires that the polarization state of the laser beam coincides with the plane of the anamoφhic expansion, possibly requiring rotation of the direction of the laser beam polarization state, which can easily be achieved by for instance inserting a half-wave plate (55) in the laser beam. The directions of the polarization states are indicated in the drawings as 'hor' or'vert' for horizontal and vertical respectively, and ±45° meaning ±45° relative to the vertical direction.
A second embodiment of the apparatus according to the present invention is depicted schematically in the figures 8A and 8B, in top and side view respectively. This embodiment is largely similar to the first embodiment, while the difference lies in the application of a single beam displacing plate in conjunction with half-wave plates (55) on its front and back side instead of a Savart plate.
The third embodiment of the apparatus according to the present invention is depicted in figures 9A and 9B, and uses two lasers for the generation of the two beams needed to realize the coparallel overlapping pair of beams. This can be advantageous when using a type of laser with limited output power. Figure 9A shows the first laser positioned behind a polarizing cube beam splitter (57) with its polarization state oriented for maximal transmission by the beam splitter, in conjunction with the other laser placed at 90° relative angle facing the side of the polarizing cube beam splitter (57) with its polarization state oriented for maximal reflection and therefore leaving the cube beam splitter in the same direction as the beam from the first laser. Careful positioning of both lasers is required to achieve at least almost complete coparallel output beams in conjunction with the optimal lateral distance between their axes. Figure 9B shows the assembly of both lasers with the cube beam splitter placed at 45° relative to the flow cell in order to achieve the optimal orientation of the polarization states of +45° and -45° of both laser beams at the intersection point with the suspension stream (14).
Figures 10A, 10B and IOC schematically depict a possible embodiment which allows the determination of the location of a particle's trajectory relative to the irradiation light distribution according to the present invention by detection of the relative amounts of light scattered by the particle and having a state of polarization corresponding to one of both laser beams. Figure 10A schematically shows how the division of the forward light scatter flux of a particle into relative contributions of the individual laser beams making up the combined light distribution, by splitting the forwardly scattered light after collimation by a collection lens (43) in two orthogonal directions using a polarizing cube beam splitter (57) positioned such that maximum separation of both states of polarization is achieved. As a result, the light transmitted straight through the cube originates almost entirely from one of both laser beams, whereas the sidewardly reflected light originates almost entirely from the other laser beam. Adverse interference and depolarization effects can be reduced by inserting polarizers (58) in front of the detectors oriented like the corresponding laser beam. Figure 10B shows the light distribution resulting from the preferred overlapping of both laser beams, and particle trajectories (33) for two different particles. The particle flowing through the center receives equal amounts of light from both laser beams, but the particle flowing at the left side of the middle receives more light from one laser beam (27a) and less from the other laser beam (27b). This affects the corresponding signals of the detectors (42a) and (42b). In return, the ratio between these detector signals allows the estimation of the position (22) of the flow trajectory of each particle relative to the center of the light distribution (in practice coinciding with the axis of the flow channel), especially after calibrating this relation at different ratios of the signal values (viz. figure IOC). This may be important for the calibration, timing or focussing (47) of down stream applications as a second indication and detection circuit or sorting apparatus or camera.
Although the present invention has been elucidated in the above using a limited number of examples, it should be clear that the present invention is by no means restricted to the examples given. On the contrary, many variations and embodiments are possible within the framework of the present invention for the average skilled in the art.

Claims

Claims:
1. An apparatus for the detection of particles in a fluid, comprising an at least partly transparent flow cell to receive the fluid, means to irradiate the fluid in the flow cell and means to detect the light emitted by the particles in the flow cell, with the irradiation means comprising one ore more lasers from which a beam at least during operation follows a beam path through the fluid, characterized in that the detection means are capable of creating two at least almost identical polarized laser beams with at least almost orthogonal orientation of their polarization states, which, at least during operation, have relative coparallel beam paths sufficiently close to each other to maintain partial overlap of both beams.
2. An apparatus according to conclusion 1, characterized in that the distance between both beam axes is at least almost equal to half the beam width of the laser beams, with the beam width being as the width between the points where the intensity is larger than 1/e2 of the maximal intensity of the bundle.
3. An apparatus according to conclusion 2, characterized in that, at least during operation, the fluid flow in the flow cell is at least predominantly laminar, and that the distance between both beam paths is slightly smaller than half the beam width of the laser beams.
4. An apparatus according to conclusion 1, 2 or 3, characterized in that the flow cell comprises an oblong cuvette normally intersected by the pair of coparallel laser beams, oriented such that both beam paths are situated in a plane peφendicular to the long axis of the cuvette.
5. An apparatus according to conclusion 4, characterized in that the polarization directions of these two laser beams are oriented at an angle of at least almost 45 degrees relative to said peφendicular plane.
6. An apparatus according to one of the previous conclusions characterized in that the fluid stream in the flow cell has a volume that is enclosed by both bundle paths.
7. An apparatus according to one of the previous conclusions characterized in that the width of the fluid channel in the flow cell allows that both laser beams intersect across the fluid channel and not or at least almost not hit the side walls of the flow cell.
8. An apparatus according to one of the previous conclusions characterized in that the irradiation means comprise two at least almost identical lasers in conjunction with alignment means in order to co-align both beams at the desired relative distance, direction and orientation of polarization state.
9. An apparatus according to one of the previous conclusions characterized in that the irradiation means comprise an optical beam splitter in order to allow the use of a single laser from which the beam is split in two beams in such a way that the path and polarization orientation of these beams may be positioned and directed through the flow- cell in the preferred way.
10. An apparatus according to conclusion 9, characterized in that the irradiation means comprise a single or two crosswise positioned optical beam displacers to split the input beam in two output beams while achieving the required lateral separation of both beams.
11. An apparatus according to one of the previous conclusions characterized in that the irradiation means allows the adjustment of the beam width of the laser beams.
12. An apparatus according to conclusion 11 characterized in that the irradiation means comprise a set of anamoφhic prisms.
13. An apparatus according to one of the previous conclusions characterized in that the detection means comprise a combination of two detectors which each, protected by a polarization means, only detect the laser light polarized corresponding to one of the orthogonal beams of lasers upon intersection of the fluid fow whereby from the ratio of the light scattering signs of these detection means as measured it can be determined for each individual particle trajectory whether the lateral position of the particle was at least almost exactly in the middle of the combined irradiation volumes of both laser beams, or, and how far from the middle to the one or the other side of the flow cell.
PCT/NL2000/0008831999-12-012000-12-01Apparatus for the detection of particlesWO2001040764A2 (en)

Priority Applications (1)

Application NumberPriority DateFiling DateTitle
AU28916/01AAU2891601A (en)1999-12-012000-12-01Apparatus for the detection of particles

Applications Claiming Priority (2)

Application NumberPriority DateFiling DateTitle
NL10137171999-12-01
NL10137171999-12-01

Publications (2)

Publication NumberPublication Date
WO2001040764A2true WO2001040764A2 (en)2001-06-07
WO2001040764A3 WO2001040764A3 (en)2001-12-06

Family

ID=19770348

Family Applications (1)

Application NumberTitlePriority DateFiling Date
PCT/NL2000/000883WO2001040764A2 (en)1999-12-012000-12-01Apparatus for the detection of particles

Country Status (2)

CountryLink
AU (1)AU2891601A (en)
WO (1)WO2001040764A2 (en)

Cited By (9)

* Cited by examiner, † Cited by third party
Publication numberPriority datePublication dateAssigneeTitle
DE102005028893B4 (en)*2005-06-192007-12-06Stiftung Alfred-Wegener-Institut für Polar- und Meeresforschung Stiftung des öffentlichen Rechts Device for particle detection in a depth-limited lens
EP2426489A3 (en)*2001-09-282012-05-16Life Technologies CorporationMulti-capillary array electrophoresis device
US8246806B2 (en)2001-09-282012-08-21Applera CorporationMulti-capillary array electrophoresis device
WO2013181453A3 (en)*2012-05-302014-02-13Cytojene Corp.Flow cytometer
US9746412B2 (en)2012-05-302017-08-29Iris International, Inc.Flow cytometer
DE102009020778B4 (en)2008-05-082019-03-28Jenoptik Optical Systems Gmbh Method for shaping material for measuring and / or metering devices
CN114674760A (en)*2022-05-302022-06-28中国科学院海洋研究所 Symmetrical ocean planktonic algae polarization scattering multi-angle measuring instrument and its measuring method
WO2023143122A1 (en)*2022-01-302023-08-03Beckman Coulter Biotechnology (Suzhou) Co., Ltd.Optical system for sample processing instrument and sample processing instrument
US20240019350A1 (en)*2022-07-152024-01-18Sympatec GmbhDynamic 3d light scattering particle size distribution measuring device and method for determining a particle size distribution

Family Cites Families (8)

* Cited by examiner, † Cited by third party
Publication numberPriority datePublication dateAssigneeTitle
US4636075A (en)*1984-08-221987-01-13Particle Measuring Systems, Inc.Particle measurement utilizing orthogonally polarized components of a laser beam
US4989977A (en)*1985-07-291991-02-05Becton, Dickinson And CompanyFlow cytometry apparatus with improved light beam adjustment
JPH0235335A (en)*1987-04-231990-02-05Sumitomo Chem Co Ltd Particulate measurement method and device
JPH02259448A (en)*1989-03-311990-10-22Hitachi LtdPattern generating optical apparatus
JPH03140840A (en)*1989-10-261991-06-14Hitachi LtdFlow cytoanalyser
JPH04184241A (en)*1990-11-201992-07-01Hitachi Ltd particle analyzer
US5133602A (en)*1991-04-081992-07-28International Business Machines CorporationParticle path determination system
US5561515A (en)*1994-10-071996-10-01Tsi IncorporatedApparatus for measuring particle sizes and velocities

Cited By (18)

* Cited by examiner, † Cited by third party
Publication numberPriority datePublication dateAssigneeTitle
EP2426489A3 (en)*2001-09-282012-05-16Life Technologies CorporationMulti-capillary array electrophoresis device
US8246806B2 (en)2001-09-282012-08-21Applera CorporationMulti-capillary array electrophoresis device
DE102005028893B4 (en)*2005-06-192007-12-06Stiftung Alfred-Wegener-Institut für Polar- und Meeresforschung Stiftung des öffentlichen Rechts Device for particle detection in a depth-limited lens
DE102009020778B4 (en)2008-05-082019-03-28Jenoptik Optical Systems Gmbh Method for shaping material for measuring and / or metering devices
CN104641217B (en)*2012-05-302019-02-22艾瑞斯国际有限公司 flow cytometer
US11255772B2 (en)2012-05-302022-02-22Iris International, Inc.Flow cytometer
US10126227B2 (en)2012-05-302018-11-13Iris International, Inc.Flow cytometer
US10209174B2 (en)2012-05-302019-02-19Iris International, Inc.Flow cytometer
CN104641217A (en)*2012-05-302015-05-20艾瑞斯国际有限公司 Flow Cytometry
WO2013181453A3 (en)*2012-05-302014-02-13Cytojene Corp.Flow cytometer
US10330582B2 (en)2012-05-302019-06-25Iris International, Inc.Flow cytometer
US9746412B2 (en)2012-05-302017-08-29Iris International, Inc.Flow cytometer
US12174107B1 (en)2012-05-302024-12-24Beckman Coulter, Inc.Flow cytometer
US11703443B2 (en)2012-05-302023-07-18Iris International, Inc.Flow cytometer
US12174106B2 (en)2012-05-302024-12-24Beckman Coulter, Inc.Flow cytometer
WO2023143122A1 (en)*2022-01-302023-08-03Beckman Coulter Biotechnology (Suzhou) Co., Ltd.Optical system for sample processing instrument and sample processing instrument
CN114674760A (en)*2022-05-302022-06-28中国科学院海洋研究所 Symmetrical ocean planktonic algae polarization scattering multi-angle measuring instrument and its measuring method
US20240019350A1 (en)*2022-07-152024-01-18Sympatec GmbhDynamic 3d light scattering particle size distribution measuring device and method for determining a particle size distribution

Also Published As

Publication numberPublication date
AU2891601A (en)2001-06-12
WO2001040764A3 (en)2001-12-06

Similar Documents

PublicationPublication DateTitle
EP0424934B1 (en)Apparatus for counting particles suspended in a fluid
US7087877B2 (en)Auto focus for a flow imaging system
EP1245944B1 (en)Flow cytometer
CA1242593A (en)Optical features of flow cytometry apparatus
US7075647B2 (en)Back-scatter detection in flow cytometers
US4498766A (en)Light beam focal spot elongation in flow cytometry devices
JP3248910B2 (en) Analysis of particle properties
US6859277B2 (en)Particle counter with strip laser diode
US4920275A (en)Particle measuring device with elliptically-shaped scanning beam
US4907884A (en)Sample cell monitoring system
US4643566A (en)Particle analyzing apparatus
EP0144310B1 (en)A laser-doppler-apparatus for determining the size of moving spherical particles in a fluid flow
EP4372361A1 (en)Particle characterisation with a focus tuneable lens
US3819270A (en)Blood cell analyzer
JPH0544622B2 (en)
IE48476B1 (en)Method and apparatus for discriminating platelets from red blood cells in a blood sample
US20220252497A1 (en)Method and system for measuring refractive index of particle sample by using polarization difference of scattered light distribution
JP4594206B2 (en) Improved differential refractometer and measurement method for measuring refractive index differential
CN109073529A (en) Flow Cytometry Using Dual Laser Beams
WO2001040764A2 (en)Apparatus for the detection of particles
US5135302A (en)Flow cytometer
CN101368899A (en) A single-beam double-lens laser particle size analyzer
US6104490A (en)Multiple pathlength sensor for determining small particle size distribution in high particle concentrations
CN115773864A (en) A Measurement Method of Total Integral Scattering of Highly Reflective Optical Elements Based on Optical Cavity Ring-Down Technology
US4776697A (en)Method for the illumination of particles contained in a medium for an optical analysis, and an optical particle analyser

Legal Events

DateCodeTitleDescription
AKDesignated states

Kind code of ref document:A2

Designated state(s):AE AG AL AM AT AU AZ BA BB BG BR BY BZ CA CH CN CR CU CZ DE DK DM DZ EE ES FI GB GD GE GH GM HR HU ID IL IN IS JP KE KG KP KR KZ LC LK LR LS LT LU LV MA MD MG MK MN MW MX MZ NO NZ PL PT RO RU SD SE SG SI SK SL TJ TM TR TT TZ UA UG US UZ VN YU ZA ZW

ALDesignated countries for regional patents

Kind code of ref document:A2

Designated state(s):GH GM KE LS MW MZ SD SL SZ TZ UG ZW AM AZ BY KG KZ MD RU TJ TM AT BE CH CY DE DK ES FI FR GB GR IE IT LU MC NL PT SE TR BF BJ CF CG CI CM GA GN GW ML MR NE SN TD TG

121Ep: the epo has been informed by wipo that ep was designated in this application
DFPERequest for preliminary examination filed prior to expiration of 19th month from priority date (pct application filed before 20040101)
AKDesignated states

Kind code of ref document:A3

Designated state(s):AE AG AL AM AT AU AZ BA BB BG BR BY BZ CA CH CN CR CU CZ DE DK DM DZ EE ES FI GB GD GE GH GM HR HU ID IL IN IS JP KE KG KP KR KZ LC LK LR LS LT LU LV MA MD MG MK MN MW MX MZ NO NZ PL PT RO RU SD SE SG SI SK SL TJ TM TR TT TZ UA UG US UZ VN YU ZA ZW

ALDesignated countries for regional patents

Kind code of ref document:A3

Designated state(s):GH GM KE LS MW MZ SD SL SZ TZ UG ZW AM AZ BY KG KZ MD RU TJ TM AT BE CH CY DE DK ES FI FR GB GR IE IT LU MC NL PT SE TR BF BJ CF CG CI CM GA GN GW ML MR NE SN TD TG

REGReference to national code

Ref country code:DE

Ref legal event code:8642

122Ep: pct application non-entry in european phase
NENPNon-entry into the national phase

Ref country code:JP


[8]ページ先頭

©2009-2025 Movatter.jp