Movatterモバイル変換


[0]ホーム

URL:


WO2001039120A2 - System and method for estimating ego-motion of a moving vehicle using successive images recorded along the vehicle's path of motion - Google Patents

System and method for estimating ego-motion of a moving vehicle using successive images recorded along the vehicle's path of motion
Download PDF

Info

Publication number
WO2001039120A2
WO2001039120A2PCT/US2000/032143US0032143WWO0139120A2WO 2001039120 A2WO2001039120 A2WO 2001039120A2US 0032143 WUS0032143 WUS 0032143WWO 0139120 A2WO0139120 A2WO 0139120A2
Authority
WO
WIPO (PCT)
Prior art keywords
motion
vehicle
ego
image
images
Prior art date
Application number
PCT/US2000/032143
Other languages
French (fr)
Other versions
WO2001039120A3 (en
Inventor
Gideon Stein
Amnon Shashua
Ofer Mano
Original Assignee
Mobileye, Inc.
Priority date (The priority date is an assumption and is not a legal conclusion. Google has not performed a legal analysis and makes no representation as to the accuracy of the date listed.)
Filing date
Publication date
Application filed by Mobileye, Inc.filedCriticalMobileye, Inc.
Priority to CA002392652ApriorityCriticalpatent/CA2392652A1/en
Priority to JP2001540712Aprioritypatent/JP2003515827A/en
Priority to AU17933/01Aprioritypatent/AU1793301A/en
Priority to EP00980706Aprioritypatent/EP1257971A4/en
Publication of WO2001039120A2publicationCriticalpatent/WO2001039120A2/en
Publication of WO2001039120A3publicationCriticalpatent/WO2001039120A3/en

Links

Classifications

Definitions

Landscapes

Abstract

An ego-motion determination system (fig. 1, item 12) is disclosed for generating an estimate as to the ego-motion of a vehicle (fig. 1, item 10) moving along a roadway (fig. 1, item 11). The ego-motion determination system includes an image information receiver (fig. 1, item 13) and a processor (fig. 1, item 14). The image information receiver (fig. 1, item 13) is configured to receive image information relating to a series of at least two images recorded as the vehicle moves along a roadway (fig. 1, item 11). The processor is configured to process the image information received by the image receiver to generate an ego-motion estimate of the vehicle, including the translation of the vehicle in the forward direction and the rotation of the vehicle around a vertical axis as between, for example, successive images (see fig. 3)

Description

SYSTEM AND METHOD FOR ESTIMATING EGO-MOTION OF A MOVING VEHICLE USING SUCCESSIVE IMAGES RECORDED ALONG THE VEHICLE'S PATH OF MOTION
FIELD OF THE INVENTION
The invention relates generally to the field of systems and methods for estimating ego- motion (that is, "self-motion) of amoving vehicle, and more specifically to systems and methods that estimate ego-motion using successively-recorded images recorded along the vehicle's path of motion.
BACKGROUND OF THE INVENTION
Accurate estimation of the ego- ("self-") motion of a vehicle relative to a roadway is an important component in autonomous driving and computer vision-based driving assistance. Using computer vision techniques to provide assistance while driving, instead of mechanical sensors, allows for the use of the information that is recorded for use in estimating vehicle movement to also be used in detecting obstacles, identifying lanes and the like, without the need for calibration between sensors as would be necessary with mechanical sensors. This reduces cost and maintenance.
There are several problems in estimating ego-motion of a vehicle. Typically, roads have few feature points, if any. The most obvious features in a road, such as lane markings, have a generally linear structure, whereas background image structures, such as those associated with other vehicles, buildings, trees, and the like, will typically have many feature points. This will make image- or optical-flow-based estimation difficult in practice. In addition, typically images that are recorded for ego-motion estimation will contain a large amount of "outlier" information that is either not useful in estimating ego-motion, or that may result in poor estimation. For example, in estimating of ego-motion relative to a fixed structure such as a road, images of objects that are moving relative to the road, such as other moving vehicles and even moving wipers, will contribute false information for the ego-motion estimation. In addition, conditions that degrade image quality, such as raindrops and glare, will also make accurate ego-motion estimation difficult.
SUMMARY OF THE INVENTION
The invention provides a new and improved system and method for estimating ego-motion using successively-recorded images recorded along the vehicle's path of motion..
In brief summary, the invention provides an ego-motion determination system for generating an estimate as to the ego-motion of a vehicle moving along a roadway. The ego-motion determination system includes an image information receiver and a processor. The image information receiver is configured to receive image information relating to a series of at least two images recorded as the vehicle moves along a roadway. The processor is configured to process the image information received by the image receiver to generate an ego-motion estimate of the vehicle, including the translation of the vehicle in the forward direction and the rotation of the vehicle around a vertical axis as between, for example, successive images.
Several methodologies are disclosed for generating the ego-motion estimate of the vehicle. BRIEF DESCRIPTION OF THE DRAWINGS
This invention is pointed out with particularity in the appended claims. The above and further advantages of this invention may be better understood by referring to the following description taken in conjunction with the accompanying drawings, in which:
FIG. 1 schematically depicts a vehicle moving on a roadway and including an ego-motion estimation system constructed in accordance with the invention;
FIG. 2 is a flow chart depicting operations performed by the ego-motion estimation system in determining ego-motion of the vehicle in accordance with one methodology; and
FIG. 3 is a flow chart depicting operations performed by the ego-motion estimation system in determining ego-motion of the vehicle in accordance with a second methodology. DETAILED DESCRIPTION OF AN ILLUSTRATIVE EMBODIMENT
FIG. 1 schematically depicts a vehicle 10 moving on a roadway 11 and including an ego- motion estimation system 12 constructed in accordance with the invention. The vehicle 10 may be any kind of vehicle 10 that may move on the roadway 11, including, but not limited to automobiles, trucks, buses and the like. The ego-motion estimation system 12 includes a camera 13 and a ego- motion estimation system processor 14. The camera 13 is mounted on the vehicle 10 and is preferably pointed in a forward direction, that is, in the direction in which the vehicle would normally move, to record successive images as the vehicle moves over the roadway. Preferably as the camera 13 records each image, it will provide the image to the ego-motion estimation system processor 14. The ego-motion estimation system processor 14, in turn, will process information that it obtains from the successive images, possibly along with other information, such as information from the vehicle's speedometer (not separately shown) to determine the ego-motion (that is, the self- motion) of the vehicle relative to the roadway 11. The ego-motion estimation system processor 14 may also be mounted in or on the vehicle 11 and may form part thereof. The ego-motion estimates generated by the ego-motion estimation system processor 14 may be used for a number of things, including, but not limited to obstacle and lane detection, autonomous driving by the vehicle, perhaps also using positioning information from, for example, the global positioning system ("GPS") and roadway mapping information from a number of sources known to those skilled in the art, and the like. Operations performed by the ego-motion estimation system processor 14 in determining ego- motion of the vehicle 10 will be described in connection with the flow charts depicted in FIGS . 2 and 3.
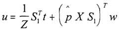
Before proceeding further, it would be helpful to provide background of the operations performed by the ego-motion estimation system processor 14 depicted in FIG. 1. Generally, as between two images Ψ and Ψ1 the ego-motion estimation system processor 14 attempts to determine
the translation / =
Figure imgf000004_0001
(where "T" refers to the transpose
operation, t; refers to translation along the respective "X," "Y" and "Z" axes, and w; refers to rotation around the respective axis) of the camera 13 affixed to the vehicle 10. Since the camera 13 is affixed to the vehicle 10, the translation and rotation of the camera 13 will also conform to the translation
and rotation of the vehicle 10. In that case, for a point p = (x,y ) (where "x" and "y" are
coordinates ofa point or feature in the image) that is a projection of a point P = (X, Y,Z) (where
"X," "Y" and "Z" are coordinates of the point in three-dimensional space), the flow vector for the point, that is, the vector indicating the motion of the same point in three dimensional space from is position in the image Ψ to the image Ψ', has components (u,v)
Figure imgf000004_0002
(1),
1τ
V p X S2 W
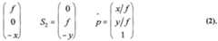
where "X" in equations (1) refers to the matrix cross-product and
Figure imgf000004_0003
where "f ' is the focal length of the camera 13, which is presumed to be known. The roadway on which the vehicle 10 is traveling is modeled as a plane. The equation for points on a plane is ΛX+BY+BZ= 1 (3),
where the "X" and "Y" axes correspond to horizontal "x" and vertical "y" axes of the image plane, and the "Z" axis is perpendicular to the image plane. The camera 13 may be tilted slightly downwardly to increase the amount of the image that corresponds to the road, and reduce the amount of the image that corresponds to other features, such as other traffic, buildings, trees and the like, and in that case, the images Ψ and Ψ' will be rectified so that the images' z axis will be parallel to the plane of the roadway, as will be described below. Dividing equation (3) by "Z" provides
— = ax+by+c (4),
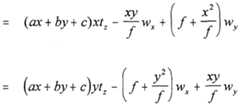
where a=A/f b=B/f and c=C. Substituting equation (4) into equations (1) results in
u = (ax+by+ c)S[t + I p X S ] w
(5).
Figure imgf000005_0001
Expanding equations (5) results in
u - (ct, + aftx)x + (bftx -wz)+ βvy + cftx) +
Figure imgf000005_0002
v = {wz + <≠ )x+ (-<*, + bfty)y- (βvx + cfty) +
Figure imgf000005_0003
Equations (6) and (7) are a special case (the "calibrated camera 13" case) of an eight parameter model for a camera 13 moving relative to a plane: u = a x + a2y + a3 + a7x2 + asxy (8) v = a4x + a5y + a6 + a7xy + asy2 (9)
Given the flow vector (u, v), one can recover the parameterst, i=l ,...,8, from which one can recover the motion parameters t and w.
One problem arises in connection with the methodology described above in connection with equations (1) through (9), namely, given the large number of parameters αf whose values need to be determined, it is difficult to devise a satisfactory method that will reject outliers. This follows from the fact that a relatively large number of optical flow vectors (u,v) will need to be used in determining the values of the parameters, which, in turn, requires a corresponding number of points in both images. In addition, it is difficult to differentiate between optical flow due to rotation around the X and Y axes and translation along the X and Z axes, respectively.
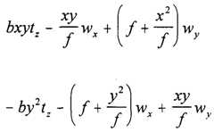
Accordingly, it is desirable to reduce the number of motion parameters to a minimum. The motion of a vehicle 10 along a roadway can be modeled as being constrained to be a translation along the Z axis, as the vehicle 10 moves forward or in reverse, and a rotation around the X and Y axes, as the vehicle 10's path deviates from a straight- line course. In that case, equation (5) reduces to
(10).
Figure imgf000006_0001
If the images are rectified to ensure that the plane of the roadway is parallel to the camera 13's XZ plane, that is, so that the images would be as if the camera 13's optical axis is parallel to the plane of the road, then, in equations (10) a=0 and c=0, in which case (11).
Figure imgf000007_0001
In order to rectify the images, the camera 13 will need to be calibrated. A methodology for calibrating the camera 13 and rectifying the images will be described below.
In equations (11) there are three motion parameters, tz (translation along the Z axis), wx (rotation around the X axis) and wγ (rotation around the Y axis) to be determined from the flow vectors (u,v) associated with points in at least some portions of the images Ψ and Ψ'. Finding corresponding points in the images Ψ and Ψ', that is, points that are projections of the same point in three-dimensional space in the respective images is based on a "photometric constraint"
I(x,y,t) - I(x + uδt,y + vδt, t + δt) = 0 (12),
which essentially states that the irradiance, or luminance, of the point p = (x, yj in the image Ψ
and and the point p = (x + δt,y + vδt) in the image Ψ', which are projections of the same point
in three-dimensional space into the respective images, are the same. In practice, equation (12) will not hold exactly because of noise. If, for every point, the noise is modeled as zero mean Gaussian noise, equation 12 reduces to p(l(x,y,ή - l(x + uδt,y + vδt, t + δt)) = N(σ2 ,θ) (13)
and a maximum likelihood can be sought.
Equation (13) can be computationally intensive, and, instead of using that equation, the motion parameters tz, wx and wy can be determined directly from the images by combining the geometric constraints embodied in equation (11) with the photometric constraints embodied in equation (12). In that operation, given two consecutive images Ψ and Ψ', the goal is to determine the probability
P\ m\Ψ , Ψ ' \ (14). of that the motion of the vehicle 10 is m - I t. , wx , w I given the two images. The motion m that
maximizes (14) is the estimate of the camera 13 motion between the two images Ψ and Ψ', and, thus, the estimate of vehicle 10 motion between the two images. According to Bayes' rule,
where P\ Ψ Ψ , m \ is the probability that, given image Ψ, motion m will result in image Ψ',
P\ m \ is the a priori probability that the motion is m , and P(ψ ') is the a priori probability that
the image is Ψ'. It will be assumed that P\ m) , the probability that the motion is m , is uniform
in a small region M around the previous motion estimate, that is, the motion estimate generated as between the "i-l st" and "i-th" images; it will be appreciated that, if the time period between the times at which images Ψ and Ψ* are recorded is sufficiently small, this assumption will hold. It will further be appreciated that, in equation (15), the denominator P( Ψ ') does not depend on the motion
m , and so it does not affect the search for a maximum.
The probability that, given image Ψ, motion m will result in image Ψ', P Ψ ' Ψ ,m \ , can
be determined by warping the image Ψ' according to the motion m , thereby to generate a waφed
image Ψ ' and determining the sum squared difference ("SSD")
lf/{χ,y)] (16),
Figure imgf000008_0002
between corresponding patches, or regions, R in the images that are believed to be a projection of the roadway in the two images. In equation 16, "N" is the number of points in the region R. It will be appreciated that, if the images Ψ and Ψ' are recorded at times "t" and "t+δt, respectively, the
waφed image Ψ ' will represent the image that is assumed would be recorded at time "t" if the
motion is m . Using the SSD criteria (equation 16), P Ψ ' Ψ , m l , the probability that image Ψ'
would result from image Ψ and a motion m is given by the probability density function
Figure imgf000009_0001
where "c" is a normalization factor and "σ" is the variance of the noise, which is modeled as a zero
mean Gaussian function. Since it is assumed that Pi rn) , the probability that the motion is m , is
uniform in a small region M around a previous motion estimate, the problem of finding the
maximum likelihood motion m for a patch of image Ψ reduces to finding the maximum of the probability density function
P\ m\Ψ , Ψ ' \ = ce
Figure imgf000009_0002
for motion m e M .
Since the motion for which the ego-motion estimation system processor 14 is to generate an estimate is the translational and rotational motion of the vehicle 10 relative to the road, it is desirable for the ego-motion estimation system processor 14 to consider only regions of the images Ψ and Ψ' that comprise projections of the road, and ignore other regions of the images. However, it should be noted that the set R of regions, or patches, of the images that projections of the roadway in the two images Ψ and Ψ', is not known. To accommodate that, instead of attempting to maximize the function defined in equation (18), the image can be tessellated into a set of patches W(, and a
probability density PI mW W generated for each patch using equations (16) and (18) for the
respective patches. The probability density over the entire pair of images Ψ and Ψ' will be
Figure imgf000010_0001
where λs and α; are weighting functions whose values generally reflect the confidence that the "i-th" patch is a projection of the road. The value of the gradient strength β; for a patch reflects the degree to which the patch the contains a texture, and thus will more likely to contain useful information for
use in determining ego motion of the vehicle. The motion m e M for which equation (19) is the maximum will be deemed to correspond to the actual translational and rotational motion of the vehicle 10 as between the locations at which images Ψ and Ψ' were recorded.
The weighting function for the respective "i-th" patch is generated using patches Wj and W'j from respective images Ψ and Ψ'. In determining the values for the weighting functions λj5 for patches W„ W'j that are not of the road, the motion model reflected in equation (11) is not a good fit; instead, a better fit can be obtained using some other motion of the patch. In addition, for planar image artifacts moving on the roadway surface, such as moving shadows, the maximum of equation (18) will occur far away from the initial guess. Accordingly, the value of the weighting function λ, for the "i-th" patch W;, W will correspond to the ratio between the best fit using the motion model
in a local region ( M) near the initial guess and the best fit using any motion model over large search region "L." Accordingly, if
Figure imgf000010_0002
for all m e M is the value for the best fit in a local search region, where S,() denotes the SSD over all points in the "i-th" patch, and
Figure imgf000011_0001
for all m ε L the value for the best fit over all possible image motions, then
Figure imgf000011_0002
Generally, generating the value for P2 (equation 21) can be computationally intensive. To avoid generating P2 according to equation (21), the value for P2 for each patch can be estimated by using the SSD as between a patch in the image Ψ and the correspondingly-positioned patch in the image Ψ', as well as the SSD's as between the patch in the image Ψ and patches translated horizontally and vertically around the correspondingly-positioned patch in the image Ψ', for a selected number of points. That is, if the patch in image Ψ consists of points p(x,y) centered on p(a,b) (that is, points p(a-α, b-β) through p(a+α,b+β) (α and β being integers), with the patch being of dimensions 2α+l by 2β+l), P2 is generated by using the SSD as between the patch of the same size in image Ψ' consisting of points p(x,y) centered on p(a,b), as well as SSD's as between the patch in image Ψ and patches of the same size in image Ψ' that are centered on points p(a-δ, b-δ) through p(a+δ, b+δ), a total of (2δ+l)2 patches in image Ψ'. Each patch in image Ψ' can be considered as one of the possible image motions. In one embodiment, δ is selected to be seven, in which case there will be two hundred and twenty five patches in Ψ' for which the SSD will be generated in generating the value for P2.
Unlike weighting function λ„ weighting function α, for the respective "i-th" patch is generated using only patch W, and W, from image Ψ'. Generally, it should be appreciated that, in three- dimensional space, there are three dominant directions for lines, namely, (i) vertical, for buildings, automobiles, and other objects that extend above the roadway surface, (ii) horizontal lines that are generally parallel to the direction of the roadway, and (iii) horizontal lines that are generally peφendicular to the direction of the roadway. In an image Ψ', vertical lines (that is, lines of type (i)) and horizontal lines that are generally peφendicular to the direction of the roadway (that is, lines of type (iii)) will project in to image Ψ1 as vertical and horizontal lines, respectively. On the other hand, horizontal lines that are generally parallel to the direction of the roadway (that is, lines of type (ii)) will appear in image Ψ' as lines that pass through a common point, that is, a vanishing point. It will be appreciated that patches W, in image Ψ' that are projections of the roadway will predominately contain lines of type (ii) and (iii). On the other hand, patches W that are projections of obstacles, such as automobiles will predominately contain lines of type (i) and (iii), while patches W that are projections of, for example, buildings, fences, and the like, will contain lines of type (i) and (ii).
Accordingly, the value for weighting function α, for patch W, will reflect the degree to which it is deemed to contain projections of lines of type (ii) and (iii), and not projections of lines of types (i) and (iii) or types (i) and (ii). Generally, the directions of lines, if any, passing though a patch can be determined in relation to the gradients of the luminance at the various points in the patch W,. Each point in the patch W, whose gradient (Ix,Iy) is above a selected threshold is considered to lie at or near a line, with the direction of the line being peφendicular to the direction of the gradient. Thus, for those points, the direction of the line associated therewith can be determined, as can whether the line is of type (i), (ii) or (iii). Thus, for each patch W, in the image Ψ', three sums Sn, (n=i, ii or iii) are generated each corresponding to the sum of the magnitudes of the gradients of the points in the patch that are associated with lines of the respective type, the magnitude corresponding to G=(Ix2+Iy2)05. A patch W, in image Ψ' is deemed to be:
(a) a projection of the roadway if the sums S", and S'" are both large and significantly larger than sum S , since the sums indicate that the patch is associated with a line or lines that are horizontal and in the direction of the roadway and/or peφendicular thereto, but not a line or lines that are vertical;
(b) be a projection of an obstacle, that is, an object generally in the path of the vehicle, if sums S', and S"1, are both large and significantly larger than sum S"„ since the sums indicate that the patch is associated with a line or lines that are vertical and/or horizontal and peφendicular to the direction of the roadway, but not a line or lines that are horizontal and in the direction of the roadway; and
(c) a projection of an object to the side of the path of the vehicle if sums S1, and S", are both large and significantly larger than sum S1",, since the sums indicate that the patch is associated with a line or lines that are vertical and/or horizontal and in the direction of the roadway. The value of the weighting function α, is assigned to the patch based on the degree to which the patch W, is deemed to be a projection of the roadway (case (a) above).
It will be appreciated that, if, for a patch W'„ the sum S", is relatively large, indicating that the patch is associated with a line that is horizontal and in the direction of the roadway, but sums S1, and S"1, are relatively small, indicating that the patch is not associated with a line that is vertical or horizontal and peφendicular to the direction of the roadway, it generally cannot be determined from the set of sums generated for the patch whether the patch is a projection of the roadway (case (a) above) or a projection of an object to the side of the path of the vehicle (case (c) above). However, since the patch is not associated with a line that is vertical, it will generally not be deemed to be a projection of an obstacle (case (b) above). In that case, an assessment as to whether the patch is a projection of the roadway (case (a) above) or a projection of an object to the side of the path of the vehicle (case (c) above) by referring to patches adjacent thereto.
As noted above, the value of the gradient strength β, for a patch reflects the degree to which the patch the contains a texture, and thus will more likely to contain useful information for use in determining ego motion of the vehicle. The gradient strength β, corresponds to
Figure imgf000013_0001
For relatively uniform patches, the value of the SSD Sl I m \ will be relatively low for all motions,
in which case the value of β, will be relatively low. On the other hand, for patches with texture, the value of the SSD will be relatively high for most motions, in which case the value of β, will be relatively high.
With this background, operations performed by the ego-motion estimation system processor 14 will be describe in connection with the flow chart depicted in FIG. 2. In connection with FIG. 2, it is assumed that the ego-motion estimation system processor 14 already has image Ψ, which it may have used in connection with determining the translational and rotational motion up to the location at which image Ψ was recorded. With reference to FIG. 2, after the ego-motion estimation system processor 14 has received image Ψ' (step 100), it will rectify the image according to information provided during the camera 13 calibration operation (described below) to provide that the optical axis is parallel to the plane defined by the roadway (step 101). In addition, the ego- motion estimation system processor 14 will generate an initial guess as to the translational and rotational motion, using the previous motion estimate and, perhaps information from other sensors if available (step 102). For example, the ego-motion estimation system processor 14 may make use of information from the vehicle 10's speedometer, as well as information as to the time period between the time at which image Ψ was recorded and the time at which image Ψ' was recorded, in generating the initial guess. Generally, it will be appreciated that the time period will be fixed, and will preferably the same for each successive pair of images Ψ and Ψ'. After the ego-motion estimation system processor 14 has generated the initial guess, it will use the initial guess to waφ
image Ψ' toward image Ψ, thereby to generate a waφed image Ψ ' (step 103).
After the ego-motion estimation system processor 14 has generated the waφed image (step
103), it will divide the image Ψ and the waφed image Ψ into patches and, for each pair of
corresponding patches in the two images Ψ and Ψ * , generate the weighting value . In that operation, the ego-motion estimation system processor 14 will select a patch in the image Ψ (step 104) and generate values for P2 (step 105), P, (equation 20) (step 106) and λs (equation 22) (step 107) as described above. In addition, the ego-motion estimation system processor 14 can generate the value for β, (equation 23) and cij (step 108). After the ego-motion estimation system processor 14 has generated performed steps 105 through 108 for the selected patch, it will determine whether all of the patches in image Ψ have been processed (step 109) and if not, return to step 104 to select another patch and perform steps 105 through 109 in connection therewith.
The ego-motion estimation system processor 14 will perform steps 104 through 109 in connection with each patch in the image Ψ.. After the ego-motion estimation system processor 14 has performed steps 104 through 109 in connection with all of the patches in the image Ψ, it will
sequence from step 109 to step 110 to search for the motion m that maximizes the value provided
by equation (19) (step 110). That motion m will comprise values for translation tz and rotation wx, wγ parameters that will constitute the estimate of the motion of the vehicle 10 as between the point in time at which image Ψ was recorded and the point in time at which image Ψ' is recorded. The ego-motion estimation system processor 14 can perform operations described above in connection with each successive pair of images Ψ and Ψ' to estimate the motion of the vehicle 10. In performing steps 106 (to generate the values for P,) and 110 (to determine the motion m that maximizes the value provided by equation (19)), the ego-motion estimation system processor 14 can perform a gradient descent that is limited to a selected cube-shaped region around the initial guess.
In determining the initial guess (step 102) for each new image Ψ', the ego-motion estimation system processor 14 can use the estimate of the motion generated for the previously-received image.
In addition, the size of the region M can be adjusted adaptively.
A second methodology for determining the ego-motion of a vehicle 10 will be described in connection with FIG. 3. As with the methodology described above in connection with FIG. 2, it is assumed that the images have been rectified so that the image planes are peφendicular to the plane represented by the roadway on which the vehicle 10 is traveling, and their horizontal ("x") axes are parallel to the plane represented by the roadway. By way of background, in that case, the equation of a plane
AX + BY+ CZ = l (24)
(reference equation (3)) reduces to
BY = 1 (25),
1 in which case Y = -. — r is the height of the optical axis of the camera 13 (or, more specifically, the
\B\
Z axis) above the road. Since, for a point p(x,y) in an image that is a projection of a point P(X, Y,Z)
Y in three-dimensional space, y = f — , equation (25) becomes
— = by (26)
Zy
The brightness constraint is ulx + vl + It - 0 (27) for each point, where, at each point (x,y) in the image, Ix and Iy are the horizontal and vertical components of the spatial gradient of the luminance and It is the time gradient of the luminance. In addition, the equations for the components (u,v) of the flow vector (reference equation (1)) can be written
1 u = -St+S [w]xp
(28)
v = s + s7
Z M.
where [w]x is a skew-symmetric matrix, in which case
jSTt+STMxp+I, = 0 (29),
where
Figure imgf000016_0001
- x-y
For motion constrained to a plane, equation (29) reduces to
(ax+by+c)sTt+ Sτ[w]xp+ It = 0 (31).
Since the images are rectified, equation (26) will hold. In addition, since rotational motion is constrained so as to occur only around the vertical (" Y") axis, wx=wz=0. Accordingly, equation (31 ) will coπespond to
bySTt + + 1. 0 (32).
Figure imgf000016_0002
Expanding equation 32, and using equation (30),
bySτt-(βx + xIx+yIy)wγ + It = 0 (33) Generally, the portion u^ of the vertical component of the flow vector that arises due to rotation (wγ) of the vehicle 10 will be larger than the portion u^ that arises due to translation (tx) along the "X" axis, and the portions will have a very different form. The portion that arises due to translation along the "X" axis will depend on the distance that the vehicle 10 moves between the times the images are recorded, and will be larger for points towards the bottom of the image than for points further up. In that case, expressions for u^ and u^ are
Figure imgf000017_0001
Figure imgf000017_0002
Since, for small rotations around the vertical "Y," axis, the angle of rotation wγ is approximately
Figure imgf000017_0003
Figure imgf000017_0004
It will be appreciated that values for tγ, the component of the translation t in the vertical direction, and wx and wz, the X and Z components of rotation w, will be zero. Accordingly, after the ego- motion estimation system processor 14 receives a new image Ψ', it will determine the values for t, and t3, the components of the translation t in the forward (along the Z axis) and side (along the X axis) directions, and wγ, the component of rotation around the vertical (Y) axis. In that operation, the ego-motion estimation system processor 14 will generate an initial estimate as to the motion (step
150, FIG. 3) and use that initial estimate to generate a waφed image Ψ ' (step 151). The ego- motion estimation system processor 14 can use information from a number of sources in connection with generating the initial estimate (step 150), including information from, for example, the vehicle 10's speedometer. Thereafter, the ego-motion estimation system processor 14 divides the image Ψ
and Ψ ' into patches (step 152) and determines which patches are likely to comprise images of the roadway (step 153). In determining which patches are likely to comprise images of the roadway (reference step 153), the ego-motion estimation system processor 14 can generate an SSD (equation
16) for corresponding patches in the images Ψ and Ψ ' and determine that patches in the waφed
image Ψ ' that comprise images of the roadway will be those patches with a relatively high SSD value. The ego-motion estimation system processor 14 then uses the patches identified in step 153 to minimize a cost function of the form
min Λ (38),
Figure imgf000018_0001
where W, and W2 are weighting matrices that essentially describe confidence in the priors or smoothness values (step 154). Equation (38) can be formalized in the form of a Kalman filter, and the value of "p" can be selected to be one or two depending on whether the L, or L2 norm is to be used.
As noted above, for methodologies described above in connection with both FIGS. 2 and 3, the ego-motion estimation system processor 14 will initially rectify the images as received from the camera 13. In the above description, the images I and F are images as rectified by the ego-motion estimation system processor 14. To rectify the images as received from the camera 13, the camera 13 will need to be calibrated during a calibration operation prior to use in connection with recording images for use in estimating vehicle 10 motion as described above. Before describing operations to be performed during calibration, it would be helpful to consider the effects of incorrect calibration. If, for example, a vehicle is driving along a straight road, and if the optical axis of the camera is aligned with the direction of motion, the flow field of successively recorded images will be an expansion field with the focus of expansion located at the center of the respective images, that is, at the origin (x,y)=(0,0) of the image's rectilinear coordinate system. On the other hand, if the camera is mounted on the vehicle with a small rotation around the vertical ("Y") axis in three-dimensional space, then the focus of expansion will be displaced along the image's horizontal ("x") axis. In that case, the motion model defined by equation (11) will not account for the flow field, but will be well approximated by a forward translation and a rotational velocity wy around the vertical ("Y") axis. -18-
Accordingly, errors in the orientation of the camera around the vertical ("Y") axis in three dimensional space will create a bias in the rotation estimate, in which case a curved path would be estimated instead of a straight path. Similarly, errors in the camera's orientation around the horizontal ("X") axis in three dimensional space will cause a bias in the pitch estimate. Based on these observations, a calibration operation can be performed by having the camera record a sequence of images while the vehicle is being driven down a straight roadway. The vehicle's ego-motion is estimated as described above in connection with FIGS. 2 or 3, and calibration parameters are estimated that would cause the ego-motion to integrate into a straight path.
The invention provides a number of advantages. In particular, the invention provides an arrangement for determining ego-motion of a vehicle 10 on a roadway from a series of images recorded by a camera 13 mounted on the vehicle 10, at least a portion of the images comprising projections of the roadway, and without requiring mechanical sensors which are normally not provided with a vehicle 10 and that would, if provided, increase the cost and maintenance expenses thereof.
It will be appreciated that a system in accordance with the invention can be constructed in whole or in part from special puφose hardware or a general puφose computer system, or any combination thereof, any portion of which may be controlled by a suitable program. Any program may in whole or in part comprise part of or be stored on the system in a conventional manner, or it may in whole or in part be provided in to the system over a network or other mechanism for transferring information in a conventional manner. In addition, it will be appreciated that the system may be operated and/or otherwise controlled by means of information provided by an operator using operator input elements (not shown) which may be connected directly to the system or which may transfer the information to the system over a network or other mechanism for transferring information in a conventional manner.
The foregoing description has been limited to a specific embodiment of this invention. It will be apparent, however, that various variations and modifications may be made to the invention, with the attainment of some or all of the advantages of the invention. It is the object of the appended claims to cover these and such other variations and modifications as come within the true spirit and scope of the invention.
What is claimed as new and desired to be secured by Letters Patent of the United States is:

Claims

1. An ego-motion determination system for generating an estimate as to the ego-motion of a vehicle moving along a roadway comprising:
A. an image information receiver configured to receive image information relating to a series of at least two images recorded as the vehicle moves along a roadway; and
B. a processor configured to process the image information received by the image receiver to generate an ego-motion estimate of the vehicle.
PCT/US2000/0321431999-11-262000-11-27System and method for estimating ego-motion of a moving vehicle using successive images recorded along the vehicle's path of motionWO2001039120A2 (en)

Priority Applications (4)

Application NumberPriority DateFiling DateTitle
CA002392652ACA2392652A1 (en)1999-11-262000-11-27System and method for estimating ego-motion of a moving vehicle using successive images recorded along the vehicle's path of motion
JP2001540712AJP2003515827A (en)1999-11-262000-11-27 System and method for predicting ego motion of a moving vehicle using a sequence of images recorded along the path of vehicle movement
AU17933/01AAU1793301A (en)1999-11-262000-11-27System and method for estimating ego-motion of a moving vehicle using successiveimages recorded along the vehicle's path of motion
EP00980706AEP1257971A4 (en)1999-11-262000-11-27System and method for estimating ego-motion of a moving vehicle using successive images recorded along the vehicle's path of motion

Applications Claiming Priority (4)

Application NumberPriority DateFiling DateTitle
US16758799P1999-11-261999-11-26
US23016600P2000-09-012000-09-01
US60/167,5872000-09-01
US60/230,1662000-09-01

Publications (2)

Publication NumberPublication Date
WO2001039120A2true WO2001039120A2 (en)2001-05-31
WO2001039120A3 WO2001039120A3 (en)2001-10-04

Family

ID=26863299

Family Applications (1)

Application NumberTitlePriority DateFiling Date
PCT/US2000/032143WO2001039120A2 (en)1999-11-262000-11-27System and method for estimating ego-motion of a moving vehicle using successive images recorded along the vehicle's path of motion

Country Status (5)

CountryLink
EP (1)EP1257971A4 (en)
JP (1)JP2003515827A (en)
AU (1)AU1793301A (en)
CA (1)CA2392652A1 (en)
WO (1)WO2001039120A2 (en)

Cited By (12)

* Cited by examiner, † Cited by third party
Publication numberPriority datePublication dateAssigneeTitle
FR2867567A1 (en)*2004-03-092005-09-16Denso CorpVehicle traveling state detection system, has electronic control unit to determine state of vehicle based on signal from speed sensor and optical flux of predetermined point of image captured during travel of vehicle
WO2007017693A1 (en)2005-08-102007-02-15Trw LimitedMethod and apparatus for determining motion of a vehicle
US7542834B2 (en)2003-10-172009-06-02Panasonic CorporationMobile unit motion calculating method, apparatus and navigation system
CN101419711B (en)*2008-12-152012-05-30东软集团股份有限公司Method and device for estimating vehicle self-motion parameters
US8866901B2 (en)2010-01-152014-10-21Honda Elesys Co., Ltd.Motion calculation device and motion calculation method
US9609289B2 (en)2004-04-152017-03-28Magna Electronics Inc.Vision system for vehicle
US9834216B2 (en)2002-05-032017-12-05Magna Electronics Inc.Vehicular control system using cameras and radar sensor
WO2017209886A3 (en)*2016-05-022018-02-22Hrl Laboratories, LlcAn efficient hybrid method for ego-motion from videos captured using an aerial camera
US10071676B2 (en)2006-08-112018-09-11Magna Electronics Inc.Vision system for vehicle
CN108605113A (en)*2016-05-022018-09-28赫尔实验室有限公司Effective mixed method of autokinesis is directed to according to the video used captured by airphoto head
US10163220B2 (en)2015-08-272018-12-25Hrl Laboratories, LlcEfficient hybrid method for ego-motion from videos captured using an aerial camera
EP3367361A4 (en)*2015-10-232019-07-31Hangzhou Hikvision Digital Technology Co., Ltd. METHOD, DEVICE AND SYSTEM FOR PROCESSING VEHICLE STARTING IN THE FRONT

Families Citing this family (7)

* Cited by examiner, † Cited by third party
Publication numberPriority datePublication dateAssigneeTitle
US5877897A (en)1993-02-261999-03-02Donnelly CorporationAutomatic rearview mirror, vehicle lighting control and vehicle interior monitoring system using a photosensor array
US6822563B2 (en)1997-09-222004-11-23Donnelly CorporationVehicle imaging system with accessory control
US7655894B2 (en)1996-03-252010-02-02Donnelly CorporationVehicular image sensing system
US8422741B2 (en)*2007-08-222013-04-16Honda Research Institute Europe GmbhEstimating objects proper motion using optical flow, kinematics and depth information
US9566986B1 (en)2015-09-252017-02-14International Business Machines CorporationControlling driving modes of self-driving vehicles
KR102707596B1 (en)*2018-08-072024-09-19삼성전자주식회사Device and method to estimate ego motion
CN112802210B (en)*2021-03-222021-08-10成都宜泊信息科技有限公司Parking fee payment method, system, electronic equipment and storage medium

Family Cites Families (9)

* Cited by examiner, † Cited by third party
Publication numberPriority datePublication dateAssigneeTitle
US4969036A (en)*1989-03-311990-11-06Bir BhanuSystem for computing the self-motion of moving images devices
US5036474A (en)*1989-03-311991-07-30Honeywell Inc.Motion detection and tracking from a mobile platform
US5257209A (en)*1990-06-261993-10-26Texas Instruments IncorporatedOptical flow computation for moving sensors
US5259040A (en)*1991-10-041993-11-02David Sarnoff Research Center, Inc.Method for determining sensor motion and scene structure and image processing system therefor
DE69426232T2 (en)*1993-06-042001-05-17Sarnoff Corp., Princeton SYSTEM AND METHOD FOR ELECTRONIC IMAGE STABILIZATION
US5473364A (en)*1994-06-031995-12-05David Sarnoff Research Center, Inc.Video technique for indicating moving objects from a movable platform
US5777690A (en)*1995-01-201998-07-07Kabushiki Kaisha ToshibaDevice and method for detection of moving obstacles
US5751838A (en)*1996-01-261998-05-12Nec Research Institute, Inc.Correction of camera motion between two image frames
JPH1091795A (en)*1996-09-121998-04-10Toshiba Corp Moving object detecting device and moving object detecting method

Cited By (36)

* Cited by examiner, † Cited by third party
Publication numberPriority datePublication dateAssigneeTitle
US9834216B2 (en)2002-05-032017-12-05Magna Electronics Inc.Vehicular control system using cameras and radar sensor
US10351135B2 (en)2002-05-032019-07-16Magna Electronics Inc.Vehicular control system using cameras and radar sensor
US10683008B2 (en)2002-05-032020-06-16Magna Electronics Inc.Vehicular driving assist system using forward-viewing camera
US10118618B2 (en)2002-05-032018-11-06Magna Electronics Inc.Vehicular control system using cameras and radar sensor
US11203340B2 (en)2002-05-032021-12-21Magna Electronics Inc.Vehicular vision system using side-viewing camera
US7542834B2 (en)2003-10-172009-06-02Panasonic CorporationMobile unit motion calculating method, apparatus and navigation system
US7477760B2 (en)2004-03-092009-01-13Denso CorporationVehicle state sensing system and vehicle state sensing method
FR2867567A1 (en)*2004-03-092005-09-16Denso CorpVehicle traveling state detection system, has electronic control unit to determine state of vehicle based on signal from speed sensor and optical flux of predetermined point of image captured during travel of vehicle
DE102005009814B4 (en)2004-03-092018-07-05Denso Corporation Vehicle condition detection system and method
US11847836B2 (en)2004-04-152023-12-19Magna Electronics Inc.Vehicular control system with road curvature determination
US9736435B2 (en)2004-04-152017-08-15Magna Electronics Inc.Vision system for vehicle
US9948904B2 (en)2004-04-152018-04-17Magna Electronics Inc.Vision system for vehicle
US10015452B1 (en)2004-04-152018-07-03Magna Electronics Inc.Vehicular control system
US9609289B2 (en)2004-04-152017-03-28Magna Electronics Inc.Vision system for vehicle
US11503253B2 (en)2004-04-152022-11-15Magna Electronics Inc.Vehicular control system with traffic lane detection
US10735695B2 (en)2004-04-152020-08-04Magna Electronics Inc.Vehicular control system with traffic lane detection
US10110860B1 (en)2004-04-152018-10-23Magna Electronics Inc.Vehicular control system
US10462426B2 (en)2004-04-152019-10-29Magna Electronics Inc.Vehicular control system
US10187615B1 (en)2004-04-152019-01-22Magna Electronics Inc.Vehicular control system
US10306190B1 (en)2004-04-152019-05-28Magna Electronics Inc.Vehicular control system
EP1920261A1 (en)*2005-08-102008-05-14TRW LimitedMethod and apparatus for determining motion of a vehicle
WO2007017693A1 (en)2005-08-102007-02-15Trw LimitedMethod and apparatus for determining motion of a vehicle
US10787116B2 (en)2006-08-112020-09-29Magna Electronics Inc.Adaptive forward lighting system for vehicle comprising a control that adjusts the headlamp beam in response to processing of image data captured by a camera
US11148583B2 (en)2006-08-112021-10-19Magna Electronics Inc.Vehicular forward viewing image capture system
US11951900B2 (en)2006-08-112024-04-09Magna Electronics Inc.Vehicular forward viewing image capture system
US11623559B2 (en)2006-08-112023-04-11Magna Electronics Inc.Vehicular forward viewing image capture system
US10071676B2 (en)2006-08-112018-09-11Magna Electronics Inc.Vision system for vehicle
US11396257B2 (en)2006-08-112022-07-26Magna Electronics Inc.Vehicular forward viewing image capture system
CN101419711B (en)*2008-12-152012-05-30东软集团股份有限公司Method and device for estimating vehicle self-motion parameters
US8866901B2 (en)2010-01-152014-10-21Honda Elesys Co., Ltd.Motion calculation device and motion calculation method
US10163220B2 (en)2015-08-272018-12-25Hrl Laboratories, LlcEfficient hybrid method for ego-motion from videos captured using an aerial camera
US10818172B2 (en)2015-10-232020-10-27Hangzhou Hikvision Digital Technology Co., Ltd.Method, device and system for processing startup of preceding vehicle
EP3367361A4 (en)*2015-10-232019-07-31Hangzhou Hikvision Digital Technology Co., Ltd. METHOD, DEVICE AND SYSTEM FOR PROCESSING VEHICLE STARTING IN THE FRONT
WO2017209886A3 (en)*2016-05-022018-02-22Hrl Laboratories, LlcAn efficient hybrid method for ego-motion from videos captured using an aerial camera
CN108605113B (en)*2016-05-022020-09-15赫尔实验室有限公司Methods, systems, and non-transitory computer-readable media for self-motion compensation
CN108605113A (en)*2016-05-022018-09-28赫尔实验室有限公司Effective mixed method of autokinesis is directed to according to the video used captured by airphoto head

Also Published As

Publication numberPublication date
WO2001039120A3 (en)2001-10-04
EP1257971A4 (en)2005-07-06
EP1257971A2 (en)2002-11-20
AU1793301A (en)2001-06-04
CA2392652A1 (en)2001-05-31
JP2003515827A (en)2003-05-07

Similar Documents

PublicationPublication DateTitle
US6704621B1 (en)System and method for estimating ego-motion of a moving vehicle using successive images recorded along the vehicle&#39;s path of motion
WO2001039120A2 (en)System and method for estimating ego-motion of a moving vehicle using successive images recorded along the vehicle&#39;s path of motion
US10275649B2 (en)Apparatus of recognizing position of mobile robot using direct tracking and method thereof
US7151996B2 (en)System and method for generating a model of the path of a roadway from an image recorded by a camera
Yagi et al.Real-time omnidirectional image sensor (COPIS) for vision-guided navigation
JP3367170B2 (en) Obstacle detection device
US20210104058A1 (en)Estimating distance to an object using a sequence of images recorded by a monocular camera
US7660434B2 (en)Obstacle detection apparatus and a method therefor
US10694148B1 (en)Image-based navigation using quality-assured line-of-sight measurements
US8102427B2 (en)Camera egomotion estimation from an infra-red image sequence for night vision
Ferryman et al.Visual surveillance for moving vehicles
US10307910B2 (en)Apparatus of recognizing position of mobile robot using search based correlative matching and method thereof
US8885049B2 (en)Method and device for determining calibration parameters of a camera
US20100080419A1 (en)Image processing device for vehicle
US11663808B2 (en)Distance estimating device and storage medium storing computer program for distance estimation
US10832428B2 (en)Method and apparatus for estimating a range of a moving object
US10991105B2 (en)Image processing device
US10042047B2 (en)Doppler-based segmentation and optical flow in radar images
EP1727089A2 (en)System and method for estimating ego-motion of a moving vehicle using successive images recorded along the vehicle&#39;s path of motion
US11473912B2 (en)Location-estimating device and computer program for location estimation
US20160084953A1 (en)Doppler-based segmentation and optical flow in radar images
KrügerRobust real-time ground plane motion compensation from a moving vehicle
JP2003281552A (en) Image processing apparatus and method
Braillon et al.Occupancy grids from stereo and optical flow data
CA2392578A1 (en)System and method for detecting obstacles to vehicle motion

Legal Events

DateCodeTitleDescription
AKDesignated states

Kind code of ref document:A2

Designated state(s):AE AL AM AT AU AZ BA BB BG BR BY CA CH CN CR CU CZ DE DK DM EE ES FI GB GD GE GH GM HR HU ID IL IN IS JP KE KG KP KR KZ LC LK LR LS LT LU LV MA MD MG MK MN MW MX NO NZ PL PT RO RU SD SE SG SI SK SL TJ TM TR TT TZ UA UG UZ VN YU ZA ZW

ALDesignated countries for regional patents

Kind code of ref document:A2

Designated state(s):GH GM KE LS MW MZ SD SL SZ TZ UG ZW AM AZ BY KG KZ MD RU TJ TM AT BE CH CY DE DK ES FI FR GB GR IE IT LU MC NL PT SE TR BF BJ CF CG CI CM GA GN GW ML MR NE SN TD TG

121Ep: the epo has been informed by wipo that ep was designated in this application
AKDesignated states

Kind code of ref document:A3

Designated state(s):AE AL AM AT AU AZ BA BB BG BR BY CA CH CN CR CU CZ DE DK DM EE ES FI GB GD GE GH GM HR HU ID IL IN IS JP KE KG KP KR KZ LC LK LR LS LT LU LV MA MD MG MK MN MW MX NO NZ PL PT RO RU SD SE SG SI SK SL TJ TM TR TT TZ UA UG UZ VN YU ZA ZW

ALDesignated countries for regional patents

Kind code of ref document:A3

Designated state(s):GH GM KE LS MW MZ SD SL SZ TZ UG ZW AM AZ BY KG KZ MD RU TJ TM AT BE CH CY DE DK ES FI FR GB GR IE IT LU MC NL PT SE TR BF BJ CF CG CI CM GA GN GW ML MR NE SN TD TG

DFPERequest for preliminary examination filed prior to expiration of 19th month from priority date (pct application filed before 20040101)
ENPEntry into the national phase

Ref country code:JP

Ref document number:2001 540712

Kind code of ref document:A

Format of ref document f/p:F

WWEWipo information: entry into national phase

Ref document number:2392652

Country of ref document:CA

WWEWipo information: entry into national phase

Ref document number:2000980706

Country of ref document:EP

REGReference to national code

Ref country code:DE

Ref legal event code:8642

WWPWipo information: published in national office

Ref document number:2000980706

Country of ref document:EP

WWWWipo information: withdrawn in national office

Ref document number:2000980706

Country of ref document:EP


[8]ページ先頭

©2009-2025 Movatter.jp