DESCRIPTION
AMINOALCOHOL DERIVATIVES USEFUL FOR THE TREATMENT OF GASTROINTESTINAL
DISORDERS
Technical Field
This invention relates to new aminoalcohol derivatives and salts thereof which are β3 adrenergic receptor agonists and useful as a medicament.
Background Art Some ethanolamine derivatives having gut selective sympathomimetic activity and the like have been known as described, for example, in International Publication No. WO 94/25427. Compounds having more potent β3 adrenergic receptor agonists activity are desired.
Disclosure of Invention This invention relates to new aminoalcohol derivatives which are β3 adrenergic receptor agonists and salts thereof.
More particularly, it relates to new aminoalcohol derivatives and salts thereof which have gut selective sympathomimetic, anti-ulcerous, anti- pancreatitis, lipolytic, anti-urinary incontinence and anti-pollakiuria activities, to processes for the preparation thereof, to a pharmaceutical composition comprising the same and to a method of using the same therapeutically in the treatment and/or prevention of gastro-intestinal disorders caused by smooth muscle contractions in human beings or animals.
One object of this invention is to provide new and useful aminoalcohol derivatives and salts thereof which have gut selective sympathomimetic, anti- ulcerous, anti-pancreatitis, lipolytic, anti-urinary incontinence and anti- pollakiuria activities. Another object of this invention is to provide processes for the preparation of said aminoalcohol derivatives and salts thereof.
A further object of this invention is to provide a pharmaceutical composition comprising, as an active ingredient, said aminoalcohol derivatives and salts thereof. Still further object of this invention is to provide a therapeutical method for the treatment and/or prevention of aforesaid diseases in human beings or animals, using said aminoalcohol derivatives and salts thereof.
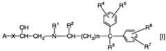
The object aminoalcohol derivatives of this invention are new and can be represented by the following general formula [I] :
wherein
A is phenyl, pyridyl, indolyl, benzimidazolyl or 2,3-dihydro-2- oxobenzimidazolyl, each of which may have 1 to 3 same or different substituent(s) selected from the group consisting of hydroxy, lower alkylcarbonyloxy, lower alkoxycarbonyloxy, amino, halogen atom, lower alkylsulfonylamino, carboxy(lower)alkylsulfonylamino, N-lower alkyl-N- (lower) alkylsulfonylamino, mono(or di or tri) halo (lower) alkylsulfonylamino , phenyl(lower)alkylsulfonylamino, thienylsulfonylamino, phenyl(lower)alkoxy, lower alkyl, hydroxy (lower) alkyl, amino(lower)alkyl, lower alkylsulfonylamino(lower)alkyl, formylamino, lower alkylcarbonylamino, [N,N- di(lower)alkylsulfamoyl] amino, lower alkoxycarbonylaminosulfonylamino, lower alkoxycarbonylamino, ureido, lower alkylaminocarbonylamino, lower alkoxycarbonyl, formyl, carbamoyl, nitro, lower alkylsulfonylamino wherein amino is protected by amino- protective group, and phenylsulfonylamino wherein phenyl may be substituted by halogen atom, lower alkyl or lower alkoxy, X is single bond or -O-CH2-, R1 is hydrogen atom or amino-protective group,
R2 is hydrogen atom, lower alkyl, hydroxy (lower) alkyl or carboxy (lower) alkyl, R3 is hydrogen atom or hydroxy,
R4, R5, R6 and R7 are each independently hydrogen atom, hydroxy, lower alkyl, lower alkoxy, amino, lower alkylsulfonylamino, lower alkoxycarbonylamino, carboxy(lower)alkylamino, lower alkoxycarbonyl(lower)alk lamino, formylamino, lower alkylcarbonylamino, ureido, halogen atom, phenyl(lower)alkoxy, lower alkoxycarbonyloxy, lower alkylcarbonyloxy, lower alkoxycarbonyl(lower) alkoxy, carboxy (lower) alkoxy, carbamoyl, lower alkylcarbamoyl, lower alkylsulfonylcarbamoyl, morpholinyl, isothiazolidinyl wherein isothiazolidinyl may be substituted by 1 or 2 oxo(s), pyrrolidinyl or imidazolidinyl wherein pyrrolidinyl and imidazolidinyl may be substituted by oxo, and n is O or 1; provided that A should be phenyl, pyridyl, indolyl, benzimidazolyl or 2,3-dihydro- 2-oxobenzimidazolyl, each of which has at least one substituent selected from the group consisting of lower alkylcarbonyloxy, lower alkoxycarbonyloxy, carboxy (lower) alkylsulfonylamino, N-lower alkyl-N-(lower)alkylsulfonylamino, mono(or di or tri)halo(lower)alkylsulfonylamino, phenyl(lower)al_kylsulfonylamino, thienylsulfonylamino, hydroxy(lower)alkyl, amino(lower)alkyl, lower alkylsulfonylamino(lower)alkyl, formylamino, lower alkylcarbonylamino,
[N,N-di(lower)alkylsulfamoyl]amino, lower alkoxycarbonylaminosulfonylamino, lower alkoxycarbonylamino, ureido, lower alkylaminocarbonylamino, lower alkoxycarbonyl, formyl, carbamoyl, nitro, lower alkylsulfonylamino wherein amino is protected by amino-protective group, and phenylsulfonylamino wherein phenyl may be substituted by halogen atom, lower alkyl or lower alkoxy, when n is 1, R2 is hydrogen atom or lower alkyl, and R4, R5, R6 and R7 are each independently hydrogen atom, hydroxy1, lower alkyl, lower alkoxy, amino, lower alkylsulfonylamino, lower alkoxycarbonylamino, formylamino, lower alkylcarbonylamino, ureido, carbamoyl, lower alkylcarbamoyl or pyrrolidinyl; and provided that A should be phenyl, pyridyl, indolyl or benzimidazolyl, each of which has at least one substituent selected from the group consisting of lower alkylsulfonylamino, carboxy(lower)alkylsulfonylamino, N-lower alkyl-N- (lower) alkylsulfonylamino, mono(or di or tri)halo(lower)alkylsulfonylamino, phenyl(lower)alkylsulfonylamino, thienylsulfonylamino, lower alkyl, hydroxy(lower) alkyl, amino(lower) alkyl, lower alkylsulfonylamino(lower)alkyl, [N,N-di(lower)alkylsulfamoyl]amino, lower alkoxycarbonylaminosulfonylamino, lower alkoxycarbonyl, formyl, lower alkylsulfonylamino wherein amino is protected by amino-protective group, and phenylsulfonylamino wherein phenyl may be substituted by halogen atom, lower alkyl or lower alkoxy, when n is 0 or 1, R2 is hydrogen atom or lower alkyl, R3 is hydrogen atom, R4 and R6 are each hydrogen atom and R5 and R7 are each independently lower alkoxycarbonyl(lower)alkoxy or carboxy (lower) alkoxy, or a pharmaceutically acceptable salt thereof. The object compound [I] or a salt thereof can be prepared by the following processes. Process 1
or a salt thereof | π or a salt thereof
Process 2
elimination reaction of amino-protective group
or a salt thereof Process 3
A— - ?CHH-CH
wherein A, X, R1, R2, R3, R4, R5, R6, R7 and n are each as defined above, and R:a is amino-protective group, R8 is lower alkyl, Y is halogen atom, R4a is R4 or R6, and R5a is R5 or R7, wherein R4, R5, R6, and R7 are each as defined above.
In the above and subsequent description of the present specification, suitable examples of the various definition to be included within the scope of the invention are explained in detail in the following.
The term "lower" is intended to mean a group having 1 to 6 carbon atom(s), unless otherwise provided.
Suitable example of "lower alkyl" and "lower alkyl" moiety may include a straight or branched one having 1 to 6 carbon atom(s), such as methyl, ethyl, propyl, isopropyl, butyl, isobutyl, sec-butyl, tert-butyl, pentyl, 1-methylpentyl, tert-pentyl, neo-pentyl, hexyl, isohexyl and the like. Suitable "lower alkoxy" and "lower alkoxy" moiety may be a straight or branched one such as methoxy, ethoxy, propoxy, isopropoxy, 1-ethylpropoxy, butoxy, isobutoxy, sec-butoxy, tert-butoxy, pentyloxy, neopentyloxy, tert- pentyloxy, hexyloxy, and the like, in which the preferred one may be C_-C4 alkoxy, and the more preferred one may be methoxy, ethoxy and butoxy, and the most preferred one may be methoxy.
Suitable example of "halogen" may be fluoro, chloro, bromo and iodo, and the preferred one may be fluoro and chloro.
Suitable example of "aryl", "aryl" moiety, "arene" and "aryl" moiety in aralkyl may include phenyl, naphthyl, anthryl, and the like, in which the preferred one may be phenyl.
Suitable example of "amino-protective group" moiety may be common amino-protective group such as aryl(lower) alkyl [e.g. trityl, benzyl, etc.] or acyl, for example, substituted or unsubstituted lower alkanoyl [e.g. formyl, acetyl, propionyl, trifluoroacetyl, etc.], phthaloyl, lower alkoxycarbonyl [e.g. tert- butoxycarbonyl, tert-amyloxycarbonyl, etc.], substituted or unsubstituted aralkyloxycarbonyl [e.g. benzyloxycarbonyl, p-nitrobenzyloxycarbonyl, etc.], substituted or unsubstituted arenesulfonyl [e.g. benzenesulfonyl, tosyl, etc.], nitrophenylsulfenyl, and the like, in which preferable one is phenyl(lower)alkyl such as benzyl.
Suitable example of "lower alkylsulfonylamino" and " lower alkylsulfonylamino" moiety may include methylsulfonylamino, ethylsulfonyl- amino, propylsulfonylamino, butylsulfonylamino, pentylsulfonylamino, hexylsulfonylamino, and the like, in which the preferred one may be (C_- C4)alkylsulfonylamino, and the more preferred one may be methylsulfonylamino, ethylsulfonylamino and butylsulfonylamino, and the most preferred one may be methylsulfonylamino.
Suitable example ofαcarboxy(lower)alkylsulfonylamino" may be carboxymethylsulfonylamino, carboxyethylsulfonylamino, carboxypropyl- sulfonylamino, carboxybutylsulfonylamino, carboxypentylsulfonylamino, carboxyhexylsulfonylamino, and the like, in which the preferred one may be carboxyJCi-C^Jalkylsulfonylamino, and the most preferred one may be carboxymethylsulfonylamino .
"N-lower alkyl-N-(lower)alkylsulfonylamino" is the above-mentioned lower alkylsulfonylamino wherein amino is substituted by the above-mentioned lower alkyl. The lower alkyl moiety of "N-lower alkyl-N-(lower)alkylsulfonylamino" may be those as described above, and the suitable example of "N-lower alkyl-N-
(lower) alkylsulfonylamino" may be N-methyl-N-methylsulfonylamino, N-methyl- N-ethylsulfonylamino, N-methyl-N-propylsulfonylamino, N-methyl-N- butylsulfonylamino, N-methyl-N-pentylsulfonylamino, N-methyl-N- hexylsulfonylamino, N-ethyl-N-methylsulfonylamino, N-propyl-N- methylsulfonylamino, N-butyl-N-methylsulfonylamino, N-pentyl-N- methylsulfonylamino, N-hexyl-N-methylsulfonylamino, N-ethyl-N- ethylsulfonylamino, N-ethyl-N-propylsulfonylamino, N-ethyl-N- butylsulfonylamino, and the like, in which the preferred one may be N-(d- C4)alkyl-N-(C1-C4)alkylsulfonylamino, and the most preferred one may be N- methyl-N-methylsulfonylamino.
"Lower alkylsulfonylamino wherein amino is protected by amino- protective group" is the above-mentioned lower alkylsulfonylamino wherein amino is protected by the above-mentioned amino-protective group. The suitable amino-protecting group may be substituted or unsubstituted aralkyloxycarbonyl, in which the preferred one may be benzyloxycarbonyl. The suitable example of "lower alkylsulfonylamino wherein amino is protected by amino-protective group" may be N-benzyloxycarbonyl-N-memylsulfonylamino, N- benzyloxycarbonyl-N-ethylsulfonylamino, N-benzyloxycarbonyl-N- propylsulfonylamino, N-benzyloxycarbonyl-N-butylsulfonylamino, N- benzyloxycarbonyl-N-pentylsulfonylamino, N-benzyloxycarbonyl-N- hexylsulfonylamino, and the like, in which the preferred one may be N- benzyloxycarbonyl-N-(C_-C4)alkylsulfonylamino, and the most preferred one may be N-benzyloxycarbonyl-N-methylsulfonylamino.
"Mono(or di or tri)halo(lower)a_kyl" moiety is the above-mentioned lower alkyl which is mono(or di or tri)-substituted by halogen atom(s). The suitable example may be lower alkyl which is mono(or di or tri)-substituted by fluorine atom(s), in which the preferred one may be
alkyl which is mono(or di or tri) -substituted by fluorine atom(s), such as fluoromethyl, difluoromethyl, trifluoromethyl, 1-fluoroethyl, 2-fluoroethyl, 1,2-difluoroethyl, 2,2,2-trifluoroethyl, and the like, and the most preferred one may be trifluoromethyl.
Suitable example of "mono(or di or tri)halo(lower)alkylsulfonylamino" may be mono(or di or tri)fluoromethylsulfonylamino, mono(or di or tri)fluoroethyl- sulfonylamino, mono(or di or trijfluoropropylsulfonylamino, mono(or di or trijfluorobutylsulfonylamino, mono(or di or tri)fluoropentylsulfonylamino, mono(or di or tri)fluorohexylsulfonylamino, and the like, in which the preferred one may be mono(or di or tri)fluoro(Cι-C4)alkylsulfonylamino, and the more preferred one may be triiluoromethylsulfonylamino and 2,2,2- trifluoroethylsulfonylamino, and the most preferred one may be trifluoromethylsulfonylamino .
The lower alkylsulfonylamino moiety of "phenyl(lower)al_kylsulfonylamino" may be those as described above, and the suitable example of "phenyl(lower)- alkylsulfonylamino" may be benzylsulfonylamino, phenethylsulfonylamino, phenylpropylsulfonylamino, phenylbutylsulfonylamino, phenylpentylsulfonyl- amino, phenylhexylsulfonylamino, and the like, in which the preferred one may be phenyl(Cι-C4)alkylsulfonylamino, and the most preferred one may be benzylsulfonylamino .
"Thienylsulfonylamino" includes 2-thienylsulfonylamino and 3- thienylsulfonylamino.
The lower alkyl moieties of "[N,N-di(lower)alkylsulfamoyl] amino" may be the same or different and the suitable example of lower alkyl moiety may be those as described above. The suitable example of "[N,N-di(lower)alkylsulfamoyl]amino" may be (N,N-dimethylsulfamoyl)amino, (N,N-diethylsulfamoyl)amino, (N,N- dipropylsulfamoyl)amino, (N,N-dibutylsulfamoyl)amino, (N,N-dipentylsulfamoyl)- amino, (N,N-dihexylsulfamoyl)amino, and the like. The preferred example of "[N,N-di(lower)alkylsulfamoyl]amino" may be [N,N-di(C1-C4)all^lsulfamoyl]amino, and the most preferred one may be (N,N-dimethylsulfamoyl)amino.
"Phenyl(lower)alkoxy" is the above-mentioned lower alkoxy substituted by phenyl, such as benzyloxy, phenethyloxy, phenylpropoxy, phenylbutoxy, phenylpentyloxy, phenylhexyloxy, and the like, in which the preferred one maybe phenylfC.-C^Jalkoxy, and the most preferred one may be benzyloxy. "Carboxy(lower)alkoxy" is the above-mentioned lower alkoxy substituted by carboxy, such as carboxymethoxy, carboxyethoxy, carboxypropoxy, carboxybutoxy, carboxypentyloxy, carboxyhexyloxy, and the like, in which the preferred one may be carboxy(Cι-C4)alkoxy, and the most preferred one may be carboxymethoxy. Suitable example of "lower alkoxycarbonyl" and "lower alkoxycarbonyl" moiety may be methoxycarbonyl, ethoxycarbonyl, propoxycarbonyl, butoxycarbonyl, pentyloxycarbonyl, hexyloxycarbonyl, and the like, in which the preferred one may be (C_-C4)alkoxycarbonyl, and the more preferred one may be methoxycarbonyl, ethoxycarbonyl and butoxycarbonyl. "Lower alkoxycarbonyl(lower) alkoxy" is the above-mentioned (lower)alkoxy substituted by the above-mentioned lower alkoxycarbonyl, such as, methoxycarbonylmethoxy, methoxycarbonylethoxy, methoxycarbonylpropoxy, methoxycarbonylbutoxy, methoxycarbonylpentyloxy, methoxycarbonylhexyloxy, ethoxycarbonylmethoxy, propoxycarbonylmethoxy, butoxycarbonylmethoxy, pentyloxycarbonylmethoxy, hexyloxycarbonylmethoxy, ethoxycarbonylethoxy, ethoxycarbonylpropoxy, and the like, in which the preferred one may be (d- C4)alkoxycarbonyl(C1-C4)alkoxy, and the most preferred one may be ethoxycarbonylmethoxy.
"Lower alkoxycarbonylamino" is amino substituted by the above- mentioned lower alkoxycarbonyl, such as, methoxycarbonylamino, ethoxycarbonylamino, propoxycarbonylamino, butoxycarbonylamino, pentyloxycarbonylamino, hexyloxycarbonylamino, and the like, in which the preferred one may be
and the more preferred one may be methoxycarbonylamino, ethoxycarbonylamino and

The lower alkoxycarbonylamino moiety of "lower alkoxycarbonylamino- sulfonylamino" may be those as described above, and the suitable example of "lower alkoxycarbonylaminosulfonylamino" may be methoxycarbonylamino- sulfonylamino, ethoxycarbonylaminosulfonylamino, propoxycarbonylamino- sulfonylamino, butoxycarbonylaminosulfonylamino, pentyloxycarbonylamino- sulfonylamino, hexyloxycarbonylaminosulfonylamino, and the like, in which the preferred one may be (Cι-C^)alkoxycarbonylaminosulfonylamino, and the most preferred one may be ethoxycarbonylaminosulfonylamino. The lower alkoxycarbonyl moiety and lower alkyl moiety of "lower alkoxycarbonyl(lower)alkylamino" may be those as described above respectively, and the suitable example of "lower alkoxycarbonyl(lower)alkylamino" may be methoxycarbonylmethylamino, ethoxycarbonylmethylamino, propoxycarbonyl- methylamino, butoxycarbonylmethylamino, pentyloxycarbonylmethylamino, hexyloxycarbonylmethylamino, methoxycarbonylethylamino, methoxycarbonyl- propylamino, methoxycarbonylbutylamino, methoxycarbonylpentylamino, methoxycarbonylhexylamino, ethoxycarbonylethylamino, propoxycarbonyl- ethylamino, butoxycarbonylethylamino, and the like, in which the preferred one may be (Ci-C JalkoxycarbonylJd-C^Jalkylamino, and the most preferred one may be ethoxycarbonylmethylamino.
The lower alkyl moiety of "hydroxy (lower) alkyl" may be the above- mentioned lower alkyl and the suitable example of "hydroxy (lower) alkyl" may be hydroxymethyl, hydroxyethyl, hydroxypropyl, hydroxybutyl, hydroxypentyl, hydroxyhexyl, and the like, in which the preferred one may be hydroxy(Cι- C4)alkyl, and the more preferred one may be hydroxymethyl and hydroxyethyl. "Carboxy(lower)alkyl" is the above-mentioned lower alkyl substituted by carboxy, and the suitable example may be carboxymethyl, carboxyethyl, carboxypropyl, carboxybutyl, carboxypentyl, carboxyhexyl, and the like, in which the preferred one may be carboxy(Cι-C4)alkyl, and the most preferred one maybe carboxymethyl.
"Carboxy (lower) alkylamino" is amino substituted by the above-mentioned carboxy(lower)alkyl, and the suitable example may be carboxymethylamino, carboxyethylamino, carboxypropylamino, carboxybutylamino, carboxypentyl- amino, carboxyhexylamino, and the like, in which the preferred one may be carboxy(Ci-C4)alkylamino, and the most preferred one may be carboxymethylamino .
Suitable example of "amino(lower)alkyF may be aminomethyl, aminoethyl, aminopropyl, aminobutyl, aminopentyl, aminohexyl, and the like, in which the preferred one may be amino(C1-C4)alkyl, and the most preferred one may be aminomethyl.
"Lower alkylsulfonylamino (lower) alkyl" is the above-mentioned lower alkyl substituted by the above-mentioned lower alkylsulfonylamino, and the suitable example may be methylsulfonylaminomethyl, ethylsulfonylaminomethyl, propylsulfonylaminomethyl, butylsulfonylaminomethyl, pentylsulfonylamino- methyl, hexylsulfonylaminomethyl, methylsulfonylaminoethyl, methylsulfonyl- aminopropyl, methylsulfonylaminobutyl, methylsulfonylaminopentyl, methylsulfonylaminohexyl, ethylsulfonylaminoethyl, propylsulfonylaminoethyl, butylsulfonylaminoethyl, and the like, in which the preferred one may be (C_- C4)alkylsulfonylamino(Cι-C4)alkyl, and the most preferred one may be methylsulfonylaminomethyl .
"Lower alkylcarbonyF moiety is carbonyl substituted by above-mentioned lower alkyl, and the suitable example may be methylcarbonyl, ethylcarbonyl, propylcarbonyl, butylcarbonyl, pentylcarbonyl, hexylcarbonyl, and the like, in which the preferred one may be (C.-C^alkylcarbonyl, and the most preferred one may be methylcarbonyl.
"Lower alkylcarbonylamino" is amino substituted by the above-mentioned lower alkylcarbonyl, and the suitable example may be methylcarbonylamino, ethylcarbonylamino, propylcarbonylamino, butylcarbonylamino, pentylcarbonylamino, hexylcarbonylamino, and the like, in which the preferred one may be (Cι-C4)alkylcarbonylamino, and the more preferred one may be . methylcarbonylamino and ethylcarbonylamino, and the most preferred one may be methylcarbonylamino. The lower alkyl moiety of "lower alkylaminocarbonylamino" may be those as described above, and the suitable example of "lower alkylaminocarbonylamino" may be methylaminocarbonylamino, ethylaminocarbonylamino, propylaminocarbonylamino, butylaminocarbonylamino, pentylaminocarbonyl- amino, hexylaminocarbonylamino, and the like, in which the preferred one may be (Ci-C )alkylaminocarbonylamino, and the most preferred one may be methylaminocarbonylamino .
The lower alkoxycarbonyl moiety of "lower alkoxycarbonyloxy" may be those as described above, and the suitable example of "lower alkoxycarbonyloxy" may be methoxycarbonyloxy, ethoxycarbonyloxy, propoxycarbonyloxy, butoxycarbonyloxy, pentyloxycarbonyloxy, hexyloxycarbonyloxy, and the like, in which the preferred one may be (d-C^alkoxycarbonyoxy, and the more preferred one may be methoxycarbonyloxy and propoxycarbonyloxy, and the most preferred one may be methoxycarbonyloxy.
The lower alkyl moiety of "lower alkylcarbonyloxy" may be those as described above, and the suitable example of "lower alkylcarbonyloxy" may be methylcarbonyloxy, ethylcarbonyloxy, propylcarbonyloxy, butylcarbonyloxy, pentylcarbonyloxy, hexylcarbonyloxy, and the like, in which the preferred one may be (Ci-djalkylcarbonyloxy, and the more preferred one may be methylcarbonyloxy and butylcarbonyloxy, and the most preferred one may be methylcarbonyloxy.
"Lower alkylcarbamoyl" is carbamoyl substituted by the above-mentioned lower alkyl, and the suitable example may be methylcarbamoyl, ethylcarbamoyl, propylcarbamoyl, butylcarbamoyl, pentylcarbamoyl, hexylcarbamoyl, and the like, in which the preferred one may be (C1-C4) alkylcarbamoyl, and the most preferred one may be methylcarbamoyl.
Suitable example of "lower alkylsulfonylcarbamoyl" may be methylsulfonylcarbamoyl, ethylsulfonylcarbamoyl, propylsulfonylcarbamoyl, butylsulfonylcarbamoyl, pentylsulfonylcarbamoyl, hexylsulfonylcarbamoyl, and the like, in which the preferred one may be (Cι-d)alkylsulfonylcarbamoyl, and the most preferred one may be methylsulfonylcarbamoyl.
The halogen, lower alkyl and lower alkoxy moieties of "phenylsulfonylamino wherein phenyl may be substituted by halogen atom, lower alkyl or lower alkoxy" may be those as described above respectively, and the positions of halogen atom, lower alkyl and lower alkoxy are not limited as long as each position is chemically acceptable. The suitable example of "phenylsulfonylamino wherein phenyl may be substituted by halogen atom, lower alkyl or lower alkoxy" may be phenylsulfonylamino and chlorophenylsulfonylamino, and the more preferred one may be phenylsulfonylamino and p-chlorophenylsulfonyl- amino.
The morpholinyl includes 1-morpholinyl, 2-morpholinyl, 3-morpholinyl and moφholino, and the preferred one is morpholino.
The isothiazolidinyl includes 2-isothiazolidinyl, 3-isothiazolidinyl, 4- isothiazolidinyl and 5-isothiazolidinyl, and the preferred one is 2-isothiazolidinyl.
The pyrrolidinyl includes 1-pyrrolidinyl, 2-pyrrolidinyl and 3-pyrrolidinyl, and the preferred one is 1-pyrrolidinyl.
The imidazolidinyl includes 1-imidazolidinyl, 2-imidazolidinyl, 4- imidazolidinyl and the preferred one is 1-imidazolidinyl. The isothiazolidinyl may be substituted by 1 or 2 oxo(s) and the position(s) of oxo(s) is(are) not limited as long as the position is chemically acceptable. The preferred one is 1, 1 -dioxoisothiazolidin-2-yl.
The pyrrolidinyl and imidazolidinyl may be substituted by oxo and the position of oxo is not limited as long as the position is chemically acceptable. The preferred ones are respectively 2-oxopyrrolidinyl and 2-oxoimidazolidinyl.
The substituents represented by R4, R5, R6 and R7 may bind at any position of ortho-, meta- and para-positions in each phenyl group in the general formula [I], with preference given to the meta- and/or para-position(s). The phenyl, pyridyl, indolyl, benzimidazolyl and 2,3-dihydro-2- oxobenzimidazolyl represented by A may have 1 to 3 same or different substituent(s) and the position of the substituent(s) is not limited as long as the position is chemically acceptable. When A is substituted phenyl, said phenyl may have substituent(s) at any position of ortho-, meta- and para-positions, preferably at the meta- and/or para-position(s).
The pyridyl represented by A includes pyridin- 1-yl, pyridin-2-yl, pyridin- 3-yl and pyridin-4-yl, and the preferred one is pyridin-3-yl. When A is substituted pyridyl, the substituent(s) may be at any position of the pyridine ring. The indolyl represented by A includes indol-1-yl, indol-2-yl, indol-3-yl, indol-4-yl, indol-5-yl, indol-6-yl and indol-7-yl, and the preferred one is indol-4-yl. When A is substituted indolyl, the substituent(s) may be at any position of the indole ring. The benzimidazolyl represented by A includes benzimidazol-1-yl, benzimidazol-2-yl, benzimidazol-4-yl, benzimidazol-5-yl, benzimidazol-6-yl, benzimidazol-7-yl, and the preferred one is benzimidazol-7-yl. When A is substituted benzimidazolyl, the substituent(s) may be at any position of the benzimidazole ring. The 2,3-dihydro-2-oxobenzimidazolyl represented by A includes 2,3- dihydro-2-oxobenzimidazol- 1-yl, 2,3-dihydro-2-oxobenzimidazol-3-yl, 2,3- dihydro-2-oxobenzimidazol-4-yl and 2,3-dihydro-2-oxobenzimidazol-5-yl, and the preferred one is 2,3-dihydro-2-oxobenzimidazol-4-yl. When A is substituted 2,3- dihydro-2-oxobenzimidazolyl, the substituent(s) may be at any position of the 2,3-dihydro-2-oxobenzimidazole ring.
Preferred embodiments of the object compound [I] are as follow: A is phenyl, pyridyl, indolyl, benzimidazolyl or 2,3-dihydro-2- oxobenzimidazolyl, each of which may have 1 to 3 same or different substituent(s) selected from the group consisting of hydroxy, lower alkylcarbonyloxy, lower alkoxycarbonyloxy, amino, halogen atom, lower alkylsulfonylamino, carboxy(lower)alkylsulfonylamino, N-lower alkyl-N- (lower) alkylsulfonylamino, mono(or di or tri) halo(lower) alkylsulfonylamino , phenyl(lower)alkylsulfonylamino, thienylsulfonylamino, phenyl(lower)alkoxy, hydroxy(lower)alkyl, amino(lower) alkyl, lower alkylsulfonylamino(lower)alkyl, formylamino, lower alkylcarbonylamino, [N,N-di(lower)alkylsulfamoyl]amino, lower alkoxycarbonylaminosulfonylamino, lower alkoxycarbonylamino, ureido, lower alkylaminocarbonylamino, lower alkoxycarbonyl, formyl, carbamoyl, nitro and phenylsulfonylamino wherein phenyl may be substituted by halogen atom, lower alkyl or lower alkoxy,
X is single bond or -O-CH2-,
R1 is hydrogen atom or amino-protective group,
R2 is hydrogen atom, lower alkyl, hydroxy (lower) alkyl or carboxy(lower)alkyl, R3 is hydrogen atom or hydroxy,
R4, R5, R6 and R7 are each independently hydrogen atom, hydroxy, lower alkyl, lower alkoxy, amino, lower alkylsulfonylamino, lower alkoxycarbonylamino, carboxy (lower) alky lamino, lower alkoxycarbonyl(lower)alkylamino, halogen atom, phenyl(lower)alkoxy, lower alkoxycarbonyloxy, lower alkylcarbonyloxy, lower alkoxycarbonyl(lower)alkoxy, carboxy (lower) alkoxy, carbamoyl, lower alkylcarbamoyl, lower alkylsulfonylcarbamoyl, morpholinyl, pyrrolidinyl or imidazolidinyl wherein pyrrolidinyl and imidazolidinyl may be substituted by oxo, and n is 0 or 1; provided that A should be phenyl, pyridyl, indolyl, benzimidazolyl or 2,3-dihydro- 2-oxobenzimidazolyl, each of which has at least one substituent selected from the group consisting of lower alkylcarbonyloxy, lower alkoxycarbonyloxy, carboxy (lower) alkylsulfonylamino, N-lower alkyl-N-(lower)alkylsulfonylamino, mono(or di or tri)halo(lower)alkylsulfonylamino, phenyl(lower)a__kylsulfonylamino, thienylsulfonylamino, hydroxy (lower) alkyl, amino(lower)alkyl, lower alkylsulfonylamino(lower) alkyl, formylamino, lower alkylcarbonylamino, [N,N-di(lower)alkylsulfamoyl]amino, lower alkoxycarbonylaminosulfonylamino, lower alkoxycarbonylamino, ureido, lower alkylaminocarbonylamino, lower alkoxycarbonyl, formyl, carbamoyl, nitro and phenylsulfonylamino wherein phenyl may be substituted by halogen atom, lower alkyl or lower alkoxy, when n is 1, R2 is hydrogen atom or lower alkyl, and R4, R5, R6 and R7 are each independently hydrogen atom, hydroxy, lower alkyl, lower alkoxy, amino, lower alkylsulfonylamino, lower alkoxycarbonylamino, carbamoyl, lower alkylcarbamoyl or pyrrolidinyl; and provided that A should be phenyl, pyridyl, indolyl or benzimidazolyl, each of which has at least one substituent selected from the group consisting of lower alkylsulfonylamino, carboxy(lower) alkylsulfonylamino, N-lower alkyl-N- (lower)alkylsulfonylamino, mono(or di or tri)halo(lower)alkylsulfonylamino, phenyl(lower)alkylsulfonylamino, thienylsulfonylamino, hydroxy(lower) alkyl, amino(lower) alkyl, lower alkylsulfonylamino(lower)alkyl, [N,N-di(lower)alkylsulfamoyl]amino, lower alkoxycarbonylaminosulfonylamino, lower alkoxycarbonyl, formyl and phenylsulfonylamino wherein phenyl may be substituted by halogen atom, lower alkyl or lower alkoxy, when n is 0 or 1, R2 is hydrogen atom or lower alkyl, R3 is hydrogen atom, R4 and R6 are each hydrogen atom and R5 and R7 are each independently lower alkoxycarbonyl(lower) alkoxy or carboxy (lower) alkoxy, or a pharmaceutically acceptable salt thereof.
The more preferred embodiments of the object compound [I] are as follow: A is phenyl which may have 1 to 3 same or different substituent(s) selected from the group consisting of hydroxy, amino, lower alkylsulfonylamino, phenyl(lower) alkoxy, hydroxy(lower)alkyl, amino(lower)alkyl, lower alkylsulfonylamino(lower) alkyl, formylamino, lower alkylcarbonylamino, [N,N-di(lower)alkylsulfamoyl]amino, lower alkoxycarbonylamino, ureido, lower alkoxycarbonyl, formyl, nitro and phenylsulfonylamino wherein phenyl may be substituted by halogen atom, X is single bond or -O-CH2-,
R1 is hydrogen atom or amino-protective group,
R2 is hydrogen atom, lower alkyl or hydroxy(lower)alkyl, R3 is hydrogen atom or hydroxy,
R4, R5, R6 and R7 are each independently hydrogen atom, hydroxy, lower alkoxy, amino, lower alkoxycarbonylamino, halogen atom, phenyl(lower) alkoxy, lower alkoxycarbonyl(lower) alkoxy or carboxy(lower)alkoxy, and n is O or 1; provided that A should be phenyl which has at least one substituent selected from the group consisting of hydroxy(lower)alkyl, amino(lower) alkyl, lower alkylsulfonylamino(lower) alkyl, formylamino, lower alkylcarbonylamino, [N,N-di(lower)alkylsulfamoyl]amino, lower alkoxycarbonylamino, ureido, lower alkoxycarbonyl, formyl, nitro and phenylsulfonylamino wherein phenyl may be substituted by halogen atom, when n is 1, R2 is hydrogen atom or lower alkyl, and R4, R5, R6 and R7 are each independently hydrogen atom, hydroxy, lower alkoxy, amino or lower alkoxycarbonylamino; and provided that A should be phenyl which has at least one substituent selected from the group consisting of lower alkylsulfonylamino, hydroxy(lower)alkyl, amino(lower)alkyl, lower alkylsulfonylamino(lower)alkyl, [N,N-di(lower)alkylsulfamoyl]amino, lower alkoxycarbonyl, formyl and phenylsulfonylamino wherein phenyl may be substituted by halogen atom, when n is 0 or 1, R2 is hydrogen atom or lower alkyl, R3 is hydrogen atom, R4 and R6 are each hydrogen atom and R5 and R7 are each independently lower alkoxycarbonyl(lower) alkoxy or carboxy (lower) alkoxy, or a pharmaceutically acceptable salt thereof. In the object compound [I], the further more preferred ones are recited.
Compounds having the formula [I] wherein
A is phenyl which has 1 or 2 same or different substituent(s) selected from the group consisting of hydroxy, lower alkylsulfonylamino, hydroxy(lower) alkyl, formylamino, [N,N- di(lower)alkylsulfamoyl] amino and phenylsulfonylamino wherein phenyl may be substituted by halogen atom, X is single bond or -O-CH2-,
R1, R2 and R3 are each hydrogen atom,
R4, R5, R6 and R7 are each independently hydrogen atom, lower alkoxy or lower alkoxycarbonylamino, and n is 0 or 1, provided that A should be phenyl which has at least one substituent selected from the group consisting of hydroxy(lower)alkyl, formylamino, [N,N- di(lower)alkylsulfamoyl] amino and phenylsulfonylamino wherein phenyl may be substituted by halogen atom, when n is 1, or a pharmaceutically acceptable salt thereof. Compounds having the formula [I] wherein
A is phenyl which has 1 or 2 same or different substituent(s) selected from the group consisting of hydroxy, lower alkylsulfonylamino, hydroxy(lower) alkyl, formylamino,
[N,N-di(lower)alkylsulfamoyl]amino and phenylsulfonylamino wherein phenyl may be substituted by halogen atom, X is single bond or -O-CH2-,
R1, R2 and R3 are each hydrogen atom, R4, R5, R6 and R7 are each independently hydrogen atom or hydroxy, and n is 0, or a pharmaceutically acceptable salt thereof.
Preferred objective compounds [I] are as follows. (R)-l-(4-hydroxy-3-benzenesulfonylaminophenyl)-2-[[2,2-bis(4- methoxyphenyl) ethyl] amino] ethanol
(RS)-l-(4-hydroxy-3-benzenesulfonylaminophenyl)-2-[[3,3-bis(4- methoxyphenyl)propyl]amino]ethanol (S)-l-(4-hydroxy-3-formylaminophenoxy)-3-[[3,3-bis(4- methoxyphenyl)propyl]amino]-2-propanol
(R)-2-[2,2-bis[4-(methoxycarbonylamino)phenyl]ethylamino]-l-[(4-hydroxy-3- (benzenesulfonylamino)phenyl]ethanol
(R)-2-[[2,2-bis[4-(methoxycarbonylamino)phenyl]ethyl]amino]- l-(3- formylamino-4-hydroxyphenyl)ethanol
(R)-l-(4-hydroxy-3-methanesulfonylaminophenyl)-2-[[2,2-bis(4- hydroxyphenyl) ethyl] amino] ethanol
(R)-l-(4-hydroxy-3-ethanesulfonylaminophenyl)-2-[[2,2-bis(4- hydroxyphenyl) ethyl] amino] ethanol • (R)- l-[4-hydroxy-3-[(N,N-dimethylsulfamoyl)amino]phenyl]-2-[[2,2-bis(4- hydroxyphenyl) ethyl] amino] ethanol
Suitable salts of the object aminoalcohol derivatives [I] are pharmaceutically acceptable salts and include conventional non-toxic salts such as an inorganic acid addition salt [e.g. hydrochloride, hydrobromide, sulfate, phosphate, etc.], an organic acid addition salt [e.g. formate, acetate, trifluoroacetate, oxalate, maleate, fumarate, tartrate, methanesulfonate, benzenesulfonate, toluenesulfonate, etc.], an alkali metal salt [e.g. sodium salt, potassium salt, etc.] or the like.
The processes for preparing the object compound [I] are explained in detail in the following. Process 1
The object compound [I] or a salt thereof can be prepared by reacting a compound [II] or a salt thereof with a compound [III] or a salt thereof.
Suitable salt of the compounds [II] and [III] may be the same as those exemplified for the compound [I].
The reaction is preferably carried out in the presence of a base such as an alkali metal carbonate [e.g. sodium carbonate, potassium carbonate, etc.], an alkaline earth metal carbonate [e.g. magnesium carbonate, calcium carbonate, etc.], an alkali metal bicarbonate [e.g. sodium bicarbonate, potassium bicarbonate, etc.], tri(lower)alkylamine [e.g. trimethylamine, triethylamine, etc.], picoline or the like.
The reaction is usually carried out in a conventional solvent, such as an alcohol [e.g. methanol, ethanol, propanol, isopropanol, etc.], diethyl ether, tetrahydrofuran, dioxane, or any other organic solvent which does not adversely influence the reaction.
The reaction temperature is not critical, and the reaction can be carried out under cooling to heating. Process 2
The object compound [lb] or a salt thereof can be prepared by subjecting a compound [la] or a salt thereof to elimination reaction of the amino-protective group.
Suitable salts of the compounds [la] and [lb] may be the same as those exemplified for the compound [I].
This reaction is carried out in accordance with a conventional method such as hydrolysis, reduction or the like.
The hydrolysis is preferably carried out in the presence of a base or an acid including Lewis acid. Suitable base may include an inorganic base and an organic base such as an alkali metal [e.g. sodium, potassium, etc.], an alkaline earth metal [e.g. magnesium, calcium, etc.], the hydroxide or carbonate or bicarbonate thereof, hydrazine, trialkylamine [e.g. trimethylamine, triethylamine, etc.], picoline, 1,5- diazabicyclo[4.3.0]non-5-ene, l,4-diazabicyclo[2.2.2]octane, 1,8- diazabicyclo[5.4.0]undec-7-ene, or the like.
Suitable acid may include an organic acid [e.g. formic acid, acetic acid, propionic acid, trichloroacetic acid, trifluoroacetic acid, etc.], an inorganic acid [e.g. hydrochloric acid, hydrobromic acid, sulfuric acid, hydrogen chloride, hydrogen bromide, hydrogen fluoride, etc.] and an acid addition salt compound [e.g. pyridine hydrochloride, etc.].
The elimination using trihaloacetic acid [e.g. trichloroacetic acid, trifluoroacetic acid, etc.] or the like is preferably carried out in the presence of cation trapping agents [e.g. anisole, phenol, etc.].
The reaction is usually carried out in a solvent such as water, an alcohol [e.g. methanol, ethanol, etc.], methylene chloride, chloroform, tetrachloromethane, tetrahydrofuran, a mixture thereof or any other solvent which does not adversely influence the reaction. A liquid base or acid can be also used as the solvent. The reaction temperature is not critical and the reaction is usually carried out under cooling to heating. The reduction method applicable for the elimination reaction may include chemical reduction and catalytic reduction.
Suitable reducing agents to be used in chemical reduction are a combination of metal [e.g. tin, zinc, iron, etc.] or metallic compound [e.g. chromium chloride, chromium acetate, etc.] and an organic or inorganic acid [e.g. formic acid, acetic acid, propionic acid, trifluoroacetic acid, p-toluenesulfonic acid, hydrochloric acid, hydrobromic acid, etc.].
Suitable catalysts to be used in catalytic reduction are conventional ones such as platinum catalysts [e.g. platinum plate, spongy platinum, platinum black, colloidal platinum, platinum oxide, platinum wire, etc.], palladium catalysts [e.g. spongy palladium, palladium black, palladium oxide, palladium on carbon, colloidal palladium, palladium on barium sulfate, palladium on barium carbonate, etc.], nickel catalysts [e.g. reduced nickel, nickel oxide, Raney nickel, etc.], cobalt catalysts [e.g. reduced cobalt, Raney cobalt, etc.], iron catalysts [e.g. reduced iron, Raney iron, etc.], copper catalysts [e.g. reduced copper, Raney copper, Ullman copper, etc.] and the like.
In case that the amino-protective group is benzyl, the reduction is preferably carried out in the presence of a combination of palladium catalysts [e.g. palladium black, palladium on carbon, etc.] and formic acid or its salt [e.g. ammonium formate, etc.].
The reduction is usually carried out in a conventional solvent which does not adversely influence the reaction such as water, an alcohol [e.g. methanol, ethanol, propanol, etc.], chlorobenzene, N,N-dimethylformamide, or a mixture thereof. Additionally, in case that the above-mentioned acids to be used in chemical reduction are in liquid, they can also be used as a solvent. Further, a suitable solvent to be used in catalytic reduction may be the above-mentioned solvent, and other conventional solvent such as diethyl ether, dioxane, tetrahydrofuran, etc. or a mixture thereof. The reaction temperature of this reduction is not critical and the reaction is usually carried out under cooling to heating. Process 3
The object compound [Ic] or a salt thereof can be prepared by reacting a compound [IV] or a salt thereof with a compound [V] or a salt thereof. Suitable salt of the compounds [Ic], [IN] and [V] may be the same as those exemplified for the compound [I].
The reaction is carried out in the manner disclosed in Preparation 3 to be described later or similar manners thereto.
In addition to the above-mentioned processes, the object compound [I] or a salt thereof can be obtained by modification of substituent(s) of A and R4, R5, R6 and R7, by a known method or according to the methods as described in Preparations or Examples or to the similar manners thereto.
The preparation of the starting compounds [II], [III], [IN] and [V] or salts thereof can be carried out by the known method or according to the methods as described in Preparations or to the similar manners thereto.
The compounds obtained by the above processes can be isolated and purified by a conventional method such as pulverization, recrystallization, column chromatography, reprecipitation, or the like, and converted to the desired salt in conventional manners, if necessary.
It is to be noted that the compound [I] and the other compounds may include one or more stereoisomers due to asymmetric carbon atoms, and all of such isomers and mixture thereof are included within the scope of this invention. It is further to be noted that isomerization or rearrangement of the compound [I] and the other compounds may occur due to the effect of the light, acid, base or the like, and the compound obtained as the result of said isomerization or rearrangement is also included within the scope of the present invention. It is also to be noted that the solvating form of the compound [I] and the other compounds (e.g. hydrate, etc.) and any form of the crystal of the compound [I] and the other compounds are included within the scope of the present invention.
The object compound [I] or a salt thereof possesses gut selective sympathomimetic, anti-ulcerous, anti-pancreatitis, lipolytic, anti-urinary incontinence and anti-pollakiuria activities, and. are useful for the treatment and/or prevention of gastro-intestinal disorders caused by smooth muscle contractions in human beings or animals, and more particularly for the treatment and /or prevention of spasm or hyperanakinesia in case of irritable bowel syndrome, gastritis, gastric ulcer, duodenal ulcer, enteritis, cholecystopathy, cholangitis, urinary calculus and the like; for the treatment and/or prevention of ulcer such as gastric ulcer, duodenal ulcer, peptic ulcer, ulcer caused by non steroidal anti-inflammatory drugs, or the like; for the treatment and/or prevention of dysuria such as pollakiuria, urinary incontinence or the like in case of nervous pollakiuria, neurogenic bladder dysfunction, nocturia, unstable bladder, cystospasm, chronic cystitis, chronic prostatitis, prostatic hypertrophy or the like; for the treatment and/or prevention of pancreatitis, obesity, diabetes, glycosuria, hyperlipidemia, hypertension, atherosclerosis, glaucoma, melancholia, depression or the like; for the treatment and/or prevention of diseases as the result of insulin resistance (e.g. hypertension, hyperinsulinemia, etc.); for reducing a wasting condition, and the like.
The pharmaceutical composition of the present invention can be used in the form of a pharmaceutical preparation, for example, in solid, semisolid or liquid form, which contains an aminoalcohol derivative in the present application or a pharmaceutically acceptable salt thereof, as an active ingredient in admixture with an organic or inorganic pharmaceutically acceptable carrier or excipient suitable for rectal, pulmonary (nasal or buccal inhalation), nasal, ocular, external (topical), oral or parenteral (including subcutaneous, intravenous and intramuscular) administrations or insufflation.
The active ingredient may be compounded, for example, with the usual non-toxic, pharmaceutically acceptable carriers for tablets, pellets, troches, capsules, suppositories, creams, ointments, aerosols, powders for insufflation, solutions, emulsions, suspensions, and any other forms suitable for use. And, if necessary, in addition, auxiliary, stabilizing, thickening and coloring agents and perfumes may be used.
The aminoalcohol derivative in the present invention or a pharmaceutically acceptable salt thereof is included in the pharmaceutical composition in: an amount sufficient to produce the desired effect upon the process or condition of the diseases.
The pharmaceutical composition of the present invention can be manufactured by the conventional method in this field of the art. If necessary, the technique generally used in this field of the art for improving the bioavailability of a drug can be applied to the pharmaceutical composition of the present invention.
For applying the composition to a human being or an animal, it is preferable to apply it by intravenous (including i.v. infusion), intramuscular, pulmonary, or oral administration, or insufflation.
While the dosage of therapeutically effective amount of the aminoalcohol derivative in the present invention varies from and also depends upon the age and condition of each individual patient to be treated, in the case of intravenous administration, a daily dose of 0.01- 100 mg of the aminoalcohol derivative in the present invention per kg weight of a human being or an animal, in case of intramuscular administration, a daily dose of 0.01- 100 mg of the aminoalcohol derivative in the present invention per kg weight of a human being or an animal, in case of oral administration, a daily dose of 0.01-200 mg of the aminoalcohol derivative in the present invention per kg weight of a human being or an animal is generally given for the prophylactic and/or therapeutic treatment of above- mentioned diseases in a human being or an animal.
In order to show the usefulness of the compound [I] for the prophylactic and therapeutic treatment of above-mentioned disease in human beings or animals, the pharmacological test data of a representative compound thereof are shown in the following.
Test
Effect on the increase in intravesical pressure induced by carbachol in anesthetized dog
Test Compound
( 1) (R)- l-(4-hydroxy-3-methanesulfonylaminophenyl)-2-[[2,2-bis(4- hydroxyphenyl) ethyl] amino] ethanol (the object compound of Example 12 in this invention)
(2) 2-[3-(7-carboxymethoxyindol-3-yl)-2-propylamino]-( IR)- 1-(3- chlorophenyl)ethanol (the objective compound of Example 15 in WO96/ 16938)
(3) (2R,2R)-3-[2-[2-(3-chlorophenyl)-2-hydroxyethylamino]propyl]-7- indolyloxyacetic acid (the objective compound of Example 6 in Japanese patent publication JP11-255743)
Test Method
Female Beagle dogs weighing 8.0-15.0 kg were fasted for 24 hours and maintained under halothane anesthesia. A 12F Foley catheter was lubricated with water soluble jelly, inserted into the urethral orifice and advanced approximately 10 cm until the balloon tip was placed well inside the bladder. The balloon was then inflated with 5 ml of room air and the catheter was slowly withdrawn to just the point where the first resistance was felt at the bladder neck. Urine was completely drained out through the catheter, and 30 ml of biological saline was infused. The catheter was connected to pressure transducer, and intravesical pressure was continuously recorded. The test compound was injected intravenously at 5 minutes before the administration of carbachol (1.8 μg/kg).
Test Results
Treatment Increase in intravesical pressure (mmHg)
Control 9.5± 1.6
Test Compound (1) 1.7±0.4* (0.001 mg/kg)
P<0.01 vs Control (ANONA) (Ν=3) Treatment Increase in intravesical pressure (mmHg)
Control 6.0±0.8
Test Compound (2) 0.8±0.3** (0.001 mg/kg)
** P<0.01 vs Control (ANOVA) (N=3)
Treatment Increase in intravesical pressure (mmHg)
Control 5.8±0.4
Test Compound (3) 2.2±0.5*** (0.00032 mg/kg)
P<0.01 vs Control (ANOVA) (N=3)
The above test results show that the test compounds (1), (2) and (3) possess a relaxation effect on the smooth muscle in the urinary bladder and these compounds are useful for the treatment of pollakiuria and urinary incontinence in human beings or animals. The test compounds (2) and (3) have been known as described in the above-mentioned publications. It has not been known, however, that these compounds are useful for the treatment of pollakiuria and urinary incontinence in human beings or animals.
The following Preparations and Examples are given for the purpose of illustrating this invention. Preparation 1
N-Ben2yl-2,2-bis(4-methoxyphenyl)ethylamine was obtained from methyl dibenzylaminoacetate and 4-bromoanisole by a similar manner to that of Preparation 3 to be described later, followed by catalytic hydrogenation on palladium on charcoal in a usual manner.
Η-NMR (CDCls, δ) : 3.14(2H, d, J=7.7Hz), 3.77(6H, s), 3.79(2H, s), 4.12(1H, t, J=7.5Hz), 6.81(4H, d, J=8.7Hz), 7.11(4H, d, J=8.7Hz), 7.2-7.4(5H, m) MS m/z : 348(M++ l) Preparation 2 To a solution of 4-benzyloxy-3-nitrophenyl acetate (4.20 g) in methanol
(20 ml), 28% sodium methoxide - methanol solution (2.96 g) was added and evaporated. To the crude residue, N,N-dimethylformamide (20 ml) and (S)-[(3- nitrobenzenesulfonyloxy)methyl]oxirane (3.80 g) were added. The mixture was stirred at room temperature overnight, and worked up in the usual manner to give (S)-[(4-benzyloxy-3-nitrophenoxy)methyl]oxirane (4.30 g). Η-NMR (CDCI3, δ) : 2.72-2.77 (IH, m), 2.92 (IH, quintet, J=4.8Hz), 3.32-3.37 (IH, m), 3.91 (IH, quartet, J=5.9Hz), 4.27 (IH, dd, J=2.8 and 11.4Hz), 5.18 (2H, s), 7.07-7.15 (2H, m), 7.34-7.46 (6H, m) Example 1
The following compound was obtained according to a similar manner to that of Preparation 7 to be described later.
(S)- 1 -(3 -Amino-4-benzyloxyphenoxy) -3 - [N-benzyl- [2 ,2 -bis(4-methoxy- phenyl)ethyl]amino]-2-propanol -NMR (CDCI3, δ) : 2.66(2H, d, J=6.5Hz), 2.9-3.0(lH, dd), 3.1-3.2(1H, dd), 3.53(1H, d, J= 13.6Hz), 3.74(3H, s), 3.76(3H, s), 3.7-4.0(4H, m), 4.10(1H, t), 5.01(2H, s), 6.11-6.26(2H, m), 6.7-6.9(5H, m), 7.0-7.2(6H, m), 7.2-7.5(8H, m) MS m/z : 619(M++ l) Example 2
The following compounds were obtained according to a similar manner to that of Example 22 to be described later.
(1) (S)- l-(4-Hydroxy-3-methanesulfonylaminophenoxy)-3-[[2,2-bis(4- methoxyphenyl) ethyl] amino] -2 -propanol IR (KBr) : 1610(w), 1512(s), 1460(m), 1325(m), 1248(s), 1176(m), 1151(m),
1034(m), 827(w) cm1
Η-NMR (CD3OD, δ) : 2.7-2.9(2H, m), 2.91(3H, s), 3.1-3.3(2H, m), 3.74(6H, s),
3.81(2H, d, J=5.2Hz), 3.9-4.2(2H, m), 6.58(1H, dd, J=2.9Hz, 8.4Hz), 6.77(1H, d,
J=8.4Hz), 6.83(4H, d, J=8.4Hz), 7.17(4H, d, J=8.4Hz) MS m/z : 517(M++ l)
(2) (S)-l-(4-Hydroxy-3-benzenesulfonylaminophenoxy)-3-[[2,2-bis(4- methoxyphenyl) ethyl] amino] -2 -propanol
IR (KBr) : 1512(s), 1458(m), 1331(m), 1248(s), 1174(s), 1092(m), 1034(m),
827(m) cm-1 Η-NMR (CD3OD, δ) : 2.7-2.9(2H, m), 3.1-3.2(2H, m), 3.73(6H, s), 3.7-3.8(2H, m),
3.9-4.2(2H, m), 6.43(1H, dd, J=2.9Hz, 8.9Hz), 6.57(1H, d, J=8.8Hz), 6.82(4H, d,
J=7.4Hz), 6.90(1H, d, J=2.8Hz), 7.16(4H, d, J=8.4Hz), 7.37-7.52(3H, m), 7.76(2H, d, J=7.0Hz)
MS m/z : 579(M++ l) Example 3
The following compound was obtained according to a similar manner to that of Example 25 to be described later.
(S)-l-(4-Hydroxy-3-fomylaminophenoxy)-3-[[2,2-bis(4-methoxy- phenyl)ethyl]amino]-2-propanol
IR (KBr) : 1678(s), 1608(w), 1512(s), 1446(m), 1248(s), 1180(m), 1034(s),
829(m) cm-1
Η-NMR (CD3OD, δ) : 2.7-2.9(2H, m), 3.1-3.2(2H, m), 3.73(6H, s), 3.80(2H, d, J=5.0Hz), 3.9-4.1(1H, m), 4.04(1H, t, J=7.8Hz), 6.47(1H, dd, J=3.0Hz, 8.8Hz),
6.7-6.8(lH, m), 6.83(4H, d, J=7.6Hz), 7.16(4H, d, J=7.6Hz), 7.70(1H, d, J=2.9Hz),
8.28(1H, s)
MS m/z : 467(M++ l)
Example 4 The following compound was obtained according to a similar manner to that of Preparation 7 to be described later.
(R) - 1 - (3-Amino-4-benzyloxyphenyl) -2- [N-benzyl- [2 ,2 -bis(4-methoxy- phenyl)ethyl]amino]ethanol
MS m/z : 589(M++ 1) Example 5
The following compounds were obtained according to a similar manner to that of Example 22 to be described later.
(1) (R)-l-(4-Hydroxy-3-methanesulfonylaminoρhenyl)-2-[[2,2-bis(4- methoxyphenyl) ethyl] amino] ethanol IR (KBr) : 1610(w), 1512(s), 1460(m), 1323(s), 1248(s), 1153(s), 1115(m), 1034(m),
827(m) cm-1
Η-NMR (CD3OD, δ) : 2.75-2.9(2H, m), 2.89(3H, s), 3.17(2H, d, J=7.7Hz),
3.75(6H, s), 4.05(1H, broad t), 4.63(1H, broad t), 6.8-6.9(5H, m), 6.9-7.0(lH, m),
7.12(4H, d, J=6.8Hz), 7.29(1H, brs) MS m/z : 487(M++ l)
(2) (R)-l-(4-Hydroxy-3-benzenesulfonylaminophenyl)-2-[[2,2-bis(4- methoxyphenyl) ethyl] amino] ethanol
IR (KBr) : 1610(m), 1512(s), 1456(m), 1329(m), 1248(s), 1167(s), 1092(m),
1032(m), 827(m) cm1 Η-NMR (CD3OD, δ) : 2.6-3.0(2H, m), 3.14(2H, d, J=7.7Hz), 3.74(6H, s), 4.04(1H, t, J=7.7Hz), 4.56(1H, broad t), 6.60(1H, d, J=8.2Hz), 6.7-6.9(5H, m), 7.1-7.3(5H, m), 7.3-7.6(3H, m), 7.74(2H, d, J=7.1Hz)
MS m/z : 549(M++ 1)
Example 6 The following compound was obtained according to a similar manner to that of Example 25 to be described later.
(R)-l-(4-Hydroxy-3-formylaminophenyl)-2-[[2,2-bis(4-methoxyphenyl)- ethyl]amino]ethanol IR (KBr) : 1676(s), 1512(s), 1456(m), 1248(s), 1178(w), 1034(m), 827(m) cm1 Η-NMR (CD3OD, δ) : 2.7-2.9(2H, m), 3.13(2H, d, J=7.9Hz), 3.74(6H, s), 4.03(1H, t, J=7.9Hz), 4.60(1H, t, J=5.6Hz), 6.72-6.88(6H, m), 7.10(4H, d, J=8.7Hz), 7.98(1H, s), 8.29(1H, s) MS m/z : 437(M++ l) Example 7
To a mixture of (R)- l-(4-benzyloxy-3-aminophenyl)-2-[N-benzyl-[2,2-bis(4- methoxyphenyl) ethyl] amino] ethanol (49 mg), pyridine (40 μλ) and dichloromethane (1 ml), methyl chlorocarbonate (10 μ.1) was added at 0°C. The reaction mixture was stirred at room temperature for 10 minutes and worked up in the usual manner to give (R)- l-(4-benzyloxy-3-methoxycarbonylaminophenyl)- 2-[N-benzyl-[2,2-bis(4-methoxyphenyl)ethyl]amino]ethanol. The crude product was hydrogenated on palladium on charcoal in a usual manner and purified by preparative thin-layer chromatography (silica gel, dichloromethane : methanol : concentrated ammonia solution = 9: 1:0.1) to afford (R)-l-(4-hydroxy-3- metho_^carbonylaminophenyl)-2-[[2,2-bis(4-methoxyphenyl)ethyl]arrιino]ethanol (27.3 mg).
IR (KBr) : 1726(s), 1608(m), 1535(m), 1510(s), 1446(m), 1248(s), 827(m) cm1 Η-NMR (CD3OD, δ) : 2.7-2.9(2H, m), 3.13(2H, d, J=7.9Hz), 3.75(6H, s), 4.03(1H, t, J=7.9Hz), 4.60(1H, t, J=7.7Hz), 6.70-6.83(6H, m), 7.10(4H, d, J=8.8Hz), 7.69(1H, s) MS m/z : 467(M++ l) Example 8
To a solution of (R)-l-(4-benzyloxy-3-aminophenyl)-2-[N-benzyl-[2,2-bis(4- methoxyphenyl)ethyl]amino]ethanol (55 mg) in acetic acid (1 ml), potassium cyanate (10 mg) was added and worked up in the usual manner to give (R)-l-(4- benzyloxy-3-ureidophenyl)-2-[N-benzyl-[2,2-bis(4-methoxyphenyl)ethyl]amino]- ethanol. The crude product was hydrogenated on palladium on charcoal in a usual manner and purified by preparative thin-layer chromatography (silica gel, dichloromethane : methanol : concentrated ammonia solution = 9: 1:0.1) to afford (R)- l-(4-hydroxy-3-ureidophenyl)-2-[[2,2-bis(4-methoxyphenyl)ethyl]amino]- ethanol (19.5 mg).
IR (KBr) : 1664(s), 1608(s), 1545(s), 1510(s), 1444(m), 1248(s), 1178(m), 1034(m), 827(m) cm-1 Η-NMR (CD3OD, δ) : 2.7-2.9(2H, m), 3.13(2H, d, J=7.9Hz), 3.75(6H, s), 4.03(1H, t, J=7Hz), 4.59(1H, t, J=6Hz), 6.68-6.84(5H, m), 7.10(4H, d, J=7Hz), 7.63(1H, s) MS m/z : 452(M++ l) Preparation 3 To a solution of benzyl 4-bromophenyl ether (6.32 g) in tetrahydrofuran
(20 ml), butyllithium (1.52M hexane solution, 16.6 ml) was added at -78°C.
After 30 minutes, ethyl dibenzylaminoacetate (2.83 g) was added to the reaction mixture and warmed to room temperature. The reaction mixture was worked up in the usual manner, followed by purification by column chromatography
(silica gel, hexane : ethyl acetate = 9: 1) to give l, l-bis(4-benzyloxyphenyl)-2- dibenzylaminoethanol (4.34 g).
MS m/z : 606(M++ l)
Preparation 4 A mixture of l, l-bis(4-benzyloxyphenyl)-2-dibenzylaminoethanol (456 mg), methanol (5 ml), 1,4-dioxane (5 ml), 4N hydrogen chloride in 1,4-dioxane
(0.36 ml) and 20% palladium hydroxide on charcoal (0.1 g) was stirred under hydrogen ( 1 atm) at room temperature overnight, followed by addition of ammonium formate (0.5 g) and heating under reflux for 1 hour under nitrogen atmosphere. The reaction mixture was filtered and evaporated to give 2,2-bis(4- hydroxyphenyl)ethylammonium formate (0.28 g) as a crude product.
Η-NMR (CD3OD, δ) : 3.49(2H, d, J=8.3Hz), 4.09(1H, t, J=8.0Hz), 6.76(4H, d,
J=6.6Hz), 7.12(4H, d, J=6.6Hz)
Preparation 5 To a mixture of 2,2-bis(4-hydroxyphenyl)ethylammonium formate (0.28 g), benzaldehyde (0.13 g), acetic acid (0.14 ml), dichlomethane (2 ml), 1,4-dioxane (3 ml) and sodium triacetoxyborohydride (0.39 g), methanol (1 ml) was added at room temperature. After 10 minutes, additional sodium triacetoxyborohydride
(0.43 g) and methanol (10 ml) was added. The reaction mixture was worked up in a usual manner followed by purification by column chromatography (silica gel, dichloromethane : methanol : concentrated ammonia solution = 12: 1:0.1) to give
N-benzyl-2,2-bis(4-hydroxyphenyl)ethylamine (200 mg).
Η-NMR (CD3OD, δ) : 3.06(2H, d, J=7.9Hz), 3.74(2H, s), 4.00(1H, t, J=7.6Hz),
6.69(4H, d, J=8.5Hz), 7.00(4H, d, J=8.5Hz), 7.1-7.3(5H, m) MS m/z : 320(M++l)
Example 9
A mixture of (R)-(4-benzyloxy-3-nitrophenyl)oxirane (Tetrahedron Lett.,
39(1998), p.1705- 1708) (0.79 g), N-benzyl-2,2-bis(4-hydroxyphenyl)ethylamine
(0.93 g) and ethanol (25 ml) was heated under reflux for 20 hours and evaporated to give (R)-l-(4-benzyloxy-3-nitrophenyl)-2-[N-benzyl-[2,2-bis(4-hydroxyphenyl)- ethyl]amino]ethanol (1.79 g).
Example 10
A mixture of (R)-l-(4-benzyloxy-3-nitrophenyl)-2-[N-benzyl-[2,2-bis(4- hydroxyphenyl)ethyl]amino]ethanol (1.79 g), benzyl bromide (1.1 g), potassium carbonate (1.2 g) and N,N-dimethylformamide (5 ml) was stirred at 60°C for 1 hour. The reaction mixture was worked up in a usual manner and purified by column chromatography (silica gel, hexane : ethyl acetate = 4: 1) to give (R)-l-(4- benzyloxy-3-nitrophenyl)-2-[N-benzyl-[2,2-bis(4-benzyloxyphenyl)ethyl]amino]- ethanol (1.86 g). MS m/z : 771(M++ 1) Example 11
A mixture of (R)-l-(4-benzyloxy-3-nitrophenyl)-2-[N-benzyl-[2,2-bis(4- benzyloxyphenyl)ethyl]amino]ethanol (1.86 g), iron powder (3.3 g), ammonium chloride (0.33 g), ethanol (15 ml), 1,4-dioxane (5 ml) and water (2 ml) was heated under reflux for 1 hour. The reaction mixture was filtered and worked up in a usual manner to give (R)-l-(4-benzyloxy-3-aminophenyl)-2-[N-benzyl-[2,2-bis(4- benzyloxyphenyl) ethyl] amino] ethanol (1.83 g). MS m/z : 741(M++ 1) Example 12
To a mixture of (R)- l-(4-benzyloxy-3-aminophenyl)-2-[N-ber_2yl-[2,2-bis(4- benzyloxyphenyl)ethyl]amino]ethanol (1.46 g), pyridine (324
and dichloromethane (10 ml), methanesulfonyl chloride (232 μ.\) was added at 0°C. The reaction mixture was stirred at room temperature for 30 minutes and worked up in a usual manner to give (R)- l-(4-benzylo_^-3-methanesulfonyl- aminophenyl)-2-[N-benzyl-[2,2-bis(4-benzyloxyphenyl)ethyl]amino]ethanol. A mixture of the obtained crude product (1.67 g), methanol (20 ml), 1,4-dioxane (10 ml), and palladium on charcoal (0.5 g) was stirred under hydrogen (1 atm) at room temperature for 1 hour, followed by filtration and evaporation. The hydrogenated product was purified by column chromatography (silica gel, dichloromethane : methanol : concentrated ammonia solution = 8: 1:0. l→S: 1:0.1) to give (R)- l-(4-hydroxy-3-methanesulfonylaminophenyl)-2-[[2,2-bis(4- hydroxyphenyl) ethyl] amino] ethanol (646 mg). Η-NMR (CDC1
3, δ) : 2.7-2.8(2H, m), 2.92(3H, s), 3.13(2H, d, J=7.8Hz), 3.98(1H, t, J=7.7Hz), 4.62(1H, t, J=7.4Hz), 6.69(4H, dd, J=3.3Hz, 6.2Hz), 6.82(1H, d, J=8.3Hz), 6.9-7.1(5H, m), 7.30(1H, s) MS m/z : 459(M
++ l) Example 13 The following compounds were obtained according to a similar manner to that of Example 12.
( 1) (R)- l-(4-Hydroxy-3-benzenesulfonylaminophenyl)-2-[[2,2-bis(4- hydroxyphenyl)ethyl]amino]ethanol IR (KBr) : 1604(m), 1512(m), 1446(m), 1248(s), 1165(s), 831(m) cm1 Η-NMR (CD3OD, δ) : 2.6-2.8(2H, m), 3.08(2H, d, J=7.9Hz), 3.96(1H, t, J=7.9Hz), 4.55(1H, dd, J=5.1Hz, 7.9Hz), 6.5-6.9(5H, m), 7.0-7.1(5H, m), 7.22(1H, d, J=2.0Hz), 7.3-7.5(3H, m), 7.6-7.9(2H, m) MS m/z : 521(M++ 1)
(2) (R)- l-(4-Hydroxy-3-butanesulfonylaminophenyl)-2-[[2,2-bis(4- hydroxyphenyl) ethyl] amino] ethanol
IR (KBr) : 1610(s), 1514(s), 1246(s), 1144(m), 829(m) cm1
Η-NMR (CD OD, δ) : 0.89(3H, t, J=7.4Hz), 1.24(2H, quartet, J=7.4Hz), 1.42(2H, quartet, J=7.4Hz), 2.8-3.0(2H, m), 2.98(1H, d, J=8.0Hz), 3.02(1H, d, J=8.0Hz), 3.18(2H, d, J=8.1Hz), 4.01(1H, t, J=7.6Hz), 4.64(1H, t, J=7.2Hz), 6.70(4H, d, J=8.5Hz), 6.80(1H, d, J=8.3Hz), 6.95-7.1(5H, m), 7.34(1H, s) MS m/z : 501(M++ 1) Example 14 To a solution of (R)- l-(4-benzyloxy-3-aminophenyl)-2-[N-ben2yl-[2,2-bis(4- benzyloxyphenyl)ethyl]amino]ethanol (43 mg) in dichloromethane, 50 μλ of a mixture of acetic anhydride (1.25 ml) and formic acid (1.00 ml) was added and worked up in a usual manner to give (R)-l-(4-ben_^loxy-3-foπnylaminophenyl)-2- [N-ben2yl-[2,2-bis(4-benzyloxyphenyl)ethyl]amino]ethanol. The crude product was treated with potassium carbonate in methanol and worked up in a usual manner, followed by usual catalytic hydrogenation on palladium on charcoal and purification by preparative thin-layer chromatography (silica gel, dichloromethane : methanol : concentrated ammonia solution = 9:2:0.1) to give (R)-l-(4-hydroxy-3-formylarninophenyl)-2-[[2,2-bis(4-hydroxyphenyl)ethyl]aπιino]- ethanol (18.3 mg).
IR (KBr) : 1668(s), 1606(s), 1512(m), 1444(m), 1252(s), 831(m) cm1 Η-NMR (CD3OD, δ) : 2.9-3.2(4H, m), 4.05(1H, t, J=7.6Hz), 4.7(1H, m), 6.7- 7.2(10H, m), 8.00(1H, s), 8.29(1H, s) MS m/z : 409(M++ l) Example 15
A mixture of (R)-l-(4-benzyloxy-3-aminophenyl)-2-[N-benzyl-[2,2-bis(4- ben2yloxyphenyl) ethyl] amino] ethanol (56 mg), 4-dimethylaminopyridine (56 mg), dimethylsulfamoyl chloride (16 μ.\) and pyridine (0.5 ml) was heated at 110°C for 2 hours, and worked up in a usual manner to give (R)- l-[4-benzyloxy-3-[(N,N- dimethylsulfamoyl)arnino]phenyl]-2-[N-benzyl-[2,2-bis(4-benzyloxyphenyl)ethyl]- amino]ethanol. The crude product was hydrogenated on palladium on charcoal in a usual manner to afford (R)-l-[4-hydroxy-3-[(N,N-dimethylsulfamoyl)amino]- phenyl]-2-[[2,2-bis(4-hydroxyphenyl)ethyl]amino]ethanol (11.7 mg). Η-NMR (CD3OD, δ) : 2.72(6H, m), 2.9-3.2(4H, m), 4.08(1H, t, J=8Hz), 4.7(1H, t, J=7Hz), 6.72(4H, d, J=7.0Hz), 6.79(1H, d, J=8.3Hz), 6.94(1H, d, J=8.2Hz), 7.06(4H, d, J=8.4Hz), 7.40(1H, s) MS m/z : 488(M++ l) Example 16
To a mixture of (R)- l-(4-benzyloxy-3-aminophenyl)-2-[N-benzyl-[2,2-bis(4- methoxyphenyl)ethyl]amino]ethanol (158 mg), pyridine (103 μl) and dichloromethane (3 ml), ethanesulfonyl chloride (40 μl) was added and stirred at room temperature for 1.5 hours. To the reaction mixture, additional pyridine (114 zl) and ethanesulfonyl chloride (85 μλ) was added and stirred for 1 hour. The reaction mixture was worked up in the usual manner to give (R)- l-(4- benzylo_^-3-ethanesulfonylaminophenyl)-2-[N-ben_^l-[2,2-bis(4-methoxyphenyl)- ethyl]amino]ethanol. To a solution of the crude product in dichloromethane (2 ml), 1M boron tribromide-dichloromethane solution (1.1 ml) was added at -78°C and stirred at 0°C for 1.5 hours. The reaction mixture was stirred with saturated sodium bicarbonate solution overnight at room temperature and worked up in the usual manner to give (R)-l-(4-benzyloxy-3-ethanesulfonyl- aminophenyl)-2-[N-benzyl-[2,2-bis(4-hydroxyphenyl)ethyl]amino]ethanol. The crude product was hydrogenated on palladium on charcoal in a usual manner followed by purification by preparative thin-layer chromatography (silica gel, dichloromethane : methanol : concentrated ammonia solution = 9:2:0.1) to afford (R)- l-(4-hydroxy-3-ethanesulfonylaminophenyl)-2-[[2,2-bis(4-hydroxyphenyl)- ethyl] amino] ethanol (43.1 mg). IR (KBr) : 1608(m), 1592(m), 1248(s), 1146(m), 831(m) cm1 Η-NMR (CD3OD, δ) : 1.30(3H, t, J=7.3Hz), 2.8-2.9(2H, m), 3.00(2H, quartet, J=7.4Hz), 3.16(2H, d, J=7.9Hz), 4.00(1H, t, J=7.6Hz), 4.64(1H, t, J=7.2Hz), 6.70(4H, d, J=8.5Hz), 6.80(1H, d, J=8.3Hz), 6.9-7.1(5H, m), 7.33(1H, s) MS m/z : 473(M++ l) Example 17 A mixture of (R)- l-(4-benzyloxy-3-nitrophenyl)-2-[N-benzyl-[2,2-bis(4- hydroxyphenyl)ethyl]amino]ethanol (136 mg), ethyl bromoacetate (56 μl), potassium carbonate (96 mg) and N,N-dimethylformamide (1 μl) was stirred at 60°C for 1.5 hours and worked up in a usual manner to give (R)-l-(4-benzyloxy- 3-nitrophenyl)-2-[N-benzyl-[2,2-bis[4-(ethoxycarbonylmethoxy)phenyl]ethyl]- aminojethanol (194 mg). Example 18
A mixture of (R)- l-(4-benzyloxy-3-nitrophenyl)-2-[N-benzyl-[2,2-bis[4- (ethoxycarbonylmethoxy)phenyl]ethyl]amino]ethanol (193 mg), ethanol (2 ml), ethyl acetate (1 ml), water (0.5 ml), iron powder (400 mg) and ammonium chloride (20 mg) was heated under reflux for 20 minutes, filtrated and worked up in the usual manner to give (R)- l-(3-amino-4-benzyloxyphenyl)-2-[N-benzyl-[2,2- bis[4-(ethoxycarbonylmethoxy)phenyl]ethyl]amino]ethanol (182 mg). Example 19
(R)- l-(4-Benzyloxy-3-methanesulfonylaminophenyl)-2-[N-benzyl-[2,2- bis[4-(ethoxycarbonylmethoxy)phenyl]ethyl]amino]ethanol was obtained from (R)- l-(3-amino-4-benzyloxyphenyl)-2-[N-benzyl-[2,2-bis[4-(ethoxycarbonylmetho_^)- phenyl] ethyl] amino] ethanol and methanesulfonyl chloride in the usual manner. Example 20
(R)- l-(4-Hydroxy-3-methanesulfonylaminophenyl)-2-[[2,2-bis[4- (ethoxycarbonylmethoxy) phenyl] ethyl] amino] ethanol hydrochloride was obtained from (R)-l-(4-benzyloxy-3-methanesulfonylaminophenyl)-2-[N-benzyl-[2,2-bis[4- (ethoxycarbonylmethoxy)phenyl]ethyl]amino]ethanol by usual catalytic hydrogenation on palladium on charcoal.
IR (KBr) : 1745(s), 1610(m), 1512(s), 1400(m), 1317(m), 1294(m), 1211(s), 1186(s), 1153(s), 1080(m), 829(m) cm1
Η-NMR (CD3OD, δ) : 1.27(6H, t, J=7.1Hz), 2.91(3H, s), 3.04-3.15(2H, m), 3.74(2H, d, J=8.3Hz), 4.22(4H, quartet, J=7.1Hz), 4.35(1H, t), 4.68(4H, s), 4.9(1H), 6.87-6.94(5H, m), 7.10(1H, d J=8.3Hz), 7.24-7.35(5H, m) MS m/z : 631(M++ l) Example 21
(R)-l-(4-Hydroxy-3-methanesulfonylaminophenyl)-2-[[2,2-bis(4- carboxymethoxyphenyl)ethyl]amino]ethanol was obtained from (R)-l-(4- benzyloxy-3-methanesulfonylaminophenyl)-2-[N-ben_5yl-[2,2-bis[4-
(ethoxycarbonylmethoxy) phenyl] ethyl] amino] ethanol by usual saponification followed by usual catalytic hydrogenation on palladium on charcoal. IR (KBr) : 1736(s), 1610(m), 1512(s), 1406(m), 1313(s), 1225(s), 1184(m), 1153(m), 1078(w), 982(w), 831(m) cm1 Η-NMR (CD3OD, δ) : 2.91(3H, s), 3.04-3.16(2H, m), 3.74(2H, d, J=7.4Hz),
4.35(1H, t), 4.64(4H, s), 4.9(1H), 6.87-6.95(5H, m), 7.10(1H, d, J=8.0Hz), 7.24- 7.36(5H, m) Preparation 6
3-Dibenzylamino- l, l-bis(4-methoxyphenyl)- l -propanol, which was obtained from 3-(dibenzylamino)propionic acid ethyl ester and 4-bromoanisole by a similar manner to that of Preparation 15 to be described later, was hydrogenated according to a similar manner to that of Preparation 16 to be described later to give N-benzyl-[3,3-bis(4-methoxyphenyl)propyl]amine. Preparation 7
A mixture of (RS)-(4-benzyloxy-3-nitrophenyl)oxirane (160 mg), N-benzyl- [3,3-bis(4-methoxyphenyl)propyl]amine (170 mg) and ethanol (2 ml) was heated under reflux for 12 hours, followed addition of iron powder, a small amount of ammonium chloride and a small amount of water, and heating under reflux for 1 hour. The reaction mixture was filtered, worked up in a usual manner and purified by silica gel column chromatography (hexane : ethyl acetate = 2: 1) to give (RS) - 1 -(3-amino-4-benzyloxyphenyl) -2 - [N-benzyl- [3 ,3 -bis(4-methoxyphenyl) - propyl]amino]ethanol (239 mg). Η-NMR (CDC13, δ) : 2.1-2.3(2H, m), 2.3-2.7(4H, m), 3.46(1H, d, J=13.3Hz), 3.76(6H, s), 3.8-3.9(3H, m), 4.4-4.5(lH, m), 5.05(2H, s), 6.56-6.67(2H, m), 6.78(5H, d J=8.7Hz), 7.07(4H, dd J=3.3Hz, 8.7Hz), 7.2-7.4(10H, m) MS m/z : 603(M++ l) Example 22 To a mixture of (RS)- l-(3-amino-4-benzyloxyphenyl)-2-[N-benzyl-[3,3- bis(4-methoxyphenyl)propyl]amino]ethanol (50 mg), benzenesulfonyl chloride (22 mg) and dichloromethane (1 ml), pyridine (40 μl) was added. The reaction mixture was stirred at room temperature for 40 minutes and worked up by a usual manner to give (RS)-(3-benzenesulfonylamino-4-benzyloxyphenyl)-2-[N- benzyl-[3,3-bis(4-methoxyphenyl)propyl]amino]ethanol. The crude product was hydrogenated on palladium on charcoal in a usual manner, worked up and purified by preparative thin-layer chromatography (dichloromethane : methanol = 7: 1) to give (RS)-l-(4-hydroxy-3-benzenesulfonylaminophenyl)-2-[[3,3-bis(4- methoxyphenyl)propyl]amino]ethanol (8.8 mg). IR (KBr) : 1649(w), 1543(m), 1512(s), 1458(w), 1248(m), 1032(s), 823(s) cm1 Η-NMR (CD3OD, δ) : 2.1-2.3(2H, m), 2.6-2.8(4H, m), 3.75(6H, s), 3.87(1H, broad t ), 4.6-4.8(lH, broad m), 6.67(1H, d, J=8.1Hz), 6.83(1H, d, J=8.4Hz), 6.7- 6.9(1H, m), 7.16(4H, d, J=8.6Hz), 7.26(1H, s), 7.3-7.6(3H, m), 7.74(2H, d J=7.0Hz) MS m/z : 563(M++ l) Preparation 8
A mixture of (S)-[(4-benzyloxy-3-nitrophenoxy)methyl]oxirane (197 mg), N- benzyl-[3,3-bis(4-methoxyphenyl)propyl]amine (236 mg) and ethanol (3 ml) was heated under reflux for 12 hours. Iron powder, ammonium chloride and water were added to the reaction mixture and heating was continued for 1 hour. The reaction mixture was filtrated and worked up in the usual manner to give (2S)- 1- (3-amino-4-benzyloxyphenoxy) -3 - [N-benzyl- [3 ,3 -bis(4-methoxyphenyl)propyl] - amino]-2-propanol (412.7 mg). -NMR (CDCI3, δ) : 2.1-2.3 (2H, m), 2.4-2.7 (4H, m), 3.50(1H, d, J=14Hz), 3.75 (6H, s), 3.7-4.0 (5H, m), 5.01 (2H, s), 6.15-6.4(2H, m), 6.71-6.80 (5H, m), 7.03- 7.08 (4H, m), 7.2-7.4 (10H, m) MS m/z : 633 (M++ l) Example 23
The following compound was obtained according to a similar manner to that of Example 25 to be described later.
(S)-l-(4-Hydroxy-3-formylaminophenoxy)-3-[[3,3-bis(4-methoxyphenyl)- propyl] amino]-2 -propanol IR (KBr) : 1676(s), 1612(m), 1539(m), 1512(s), 1448(m), 1248(s), 1207(m), 1178(m), 1032(m), 814(m) cm1
Η-NMR (CD3OD, δ) : 2.2-2.4(2H, m), 2.7-3.1(4H, m), 3.74(6H, s), 3.8-4.1(4H, m), 6.5-6.6(2H, m), 6.7-6.8(lH, m), 6.82(4H, d, J=8.5Hz), 7.15(4H, d, J=8.5Hz), 7.76(1H, d, J=2.6Hz), 8.28(1H, s) MS m/z : 481(M++ 1) Example 24
The following compounds were obtained according to a similar manner to that of Example 22.
(1) (S)- l-(4-Hydroxy-3-benzenesulfonylaminophenoxy)-3-[[3,3-bis(4- methoxyphenyl)propyl]amino]-2-propanol
IR (KBr) : 1512(s), 1460(m), 1248(s), 1176(m), 1122(w), 1034(w) cm1 Η-NMR (CD3OD, 5) : 2.1-2.3(2H, m), 2.5-2.8(4H, m), 3.73(6H, s), 3.7-4.0 (4H, m), 6.45-6.61(2H, m), 6.81(4H, d, J=8.5Hz), 6.92(1H, d, J=2.6Hz), 7.15(4H, d, J=8.5Hz), 7.36-7.54(3H, m), 7.76(2H, d, J=8.0Hz) MS m/z : 593(M++ l)
(2) (S)-l-[4-Hydroxy-3-[(4-chlorobenzenesulfonyl)amino]phenoxy]-3-[[3,3- bis(4 -methoxyphenyl) propyl] amino] -2 -propanol
IR (KBr) : 1610(w), 1510(s), 1464(m), 1248(s), 1178(s), 1124(m), 1034(m),
823(m) cm-1 Η-NMR (CD3OD, δ) : 2.15-2.35(2H, m), 2.6-2.9(2H, m), 3.73(6H, s), 3.8-4.1(4H, m), 6.54-6.63(2H, m), 6.82(4H, d, J=8.6Hz), 6.94(1H, d, J=2.7Hz), 7.15(4H, d,
J=8.6Hz), 7.40(2H, d, J=8.6Hz), 7.70(2H, d, J=8.60Hz)
MS m/z : 627(M+)
Preparation 9 (2S)-l-(3-Amino-4-benzyloxyphenoxy)-3-[N-benzyl-[(3RS)-l, l-bis(4- methoxyphenyl)-3-butyl]amino]-2-propanol was obtained from (S)-[(4-benzyloxy-
3-nitrophenoxy)methyl]oxirane and (RS)-N-benzyl-(l, l-bis(4-methoxyphenyl)-3- butyl]amine by a similar manner to that of Preparation 7. Η-NMR (CDCI3, δ) : 1.01(1.5H, d, J=6.5Hz), 1.07(1.5H, d, J=6.7Hz), 1.7-2.1(1H, m), 2.1-2.5(1H, m), 2.4-2.8(3H, m), 3.40(1H, d, J=13.5Hz), 3.74(6H, s), 3.6-4.0(4H, m), 5.00(2H, s), 6.05-6.35(2H, m), 6.66-6.80(5H, m), 6.95-7.4 (14H, m) MS m/z : 647(M++ l) Example 25
Formic acid (0.13 ml) and acetic anhydride (0.16 ml) was mixed and stood at room temperature for 30 minutes. This mixture was added to a solution of (2S)-l-(3-amino-4-benzyloxyphenoxy)-3-[N-benzyl-[(3RS)-l, l-bis(4- methoxyphenyl)-3-butyl]amino]-2-propanol (377 mg) in dichloromethane (3 ml) and worked up by the usual manner to give (2S)-l-(4-benzyloxy-3- formylaminophenoxy)-3-[N-benzyl-[(3RS)- 1 , l-bis(4-methoxyphenyl)-3- butyl]amino]-2-propanol. The crude product was treated with potassium carbonate in methanol at room temperature for 30 minutes and worked up by the usual manner. The obtained crude product was hydorogenated on palladium on charcoal by a usual manner and purified by silica gel column chromatography (dichloromethane : methanol : concentrated ammonia solution = 10: 1:0.1) to give (2S)- l-(4-hydroxy-3-formylaminophenoxy)-3-[[(3RS)- l, l-bis(4- methoxyphenyl)-3-butyl]amino]-2 -propanol (159 mg). IR (KBr) : 1674(s), 1608(m), 1510(s), 1442(m), 1248(s), 1036(m) cm1 Η-NMR (CD3OD, δ) : 1.10(3H, d, J=6.2Hz), 1.8-2.0(1H, m), 2.2-2.4(lH, m), 2.4- 2.9(3H, m), 3.73(6H, s), 3.8-4.0(4H, m), 6.5-6.7(lH, m), 6.7-6.9(5H, m), 7.1- 7.2(4H, m), 7.76(1H, d), 8.29(1H, s) MS m/z : 495(M++ l) Example 26 To a mixture of (2S)- l-(3-amino-4-benzyloxyphenoxy)-3-[N-ben2yl-[(3RS)- l, l-bis(4-methoxyphenyl)-3-butyl]amino]-2-propanol (245 mg), catalytic amount of 4-dimethylaminopyridine and dichloromethane (3 μl), acetic anhydride (0.14 ml) was added. The reaction mixture was worked up by the usual manner to give (2 S) - 1 -(3-acetylamino-4-ben2yloxyphenoxy) -3 - [N-benzyl- [(3 RS)- 1 , 1 -bis(4- methoxyphenyl)-3-butyl]amino]-2-propanol. The crude product was hydorogenated on palladium on charcoal by a usual manner and purified by silica gel column chromatography (dichloromethane : methanol : concentrated ammonia solution = 10: 1:0.1) to give (2S)-l-(4-hydroxy-3-acetylaminophenoxy)-3- [[(3RS)- l, l-bis(4-methoxyphenyl)-3-butyl]amino]-2-propanol (54 mg). IR (KBr) : 1653(w), 1608(m), 1510(s), 144 l(m), 1248(s), 1035(m), 825(w) cm1 Η-NMR (CD3OD, δ) : 1.12(3H, d, J=6.1Hz), 1.8-2.0(1H, m), 2.16(3H,s), 2.2- 2.4(1H, m), 2.4-2.9(3H, m), 3.73(6H, s), 3.8-4.0(4H, m), 6.6-6.7(lH, m), 6.7- 6.9(5H, m), 7.1-7.3(4H, m), 7.38(1H, d) MS m/z : 509(M++ l) Preparation 10
A mixture of 4-benzyloxy-3-nitroacetophenone (10 g), iron powder (10 g), ammonium chloride (1 g), ethanol (200 ml) and water (40 ml) was heated under reflux for 30 minutes, filtrated and worked up by the usual manner to afford 3- amino-4-benzyloxyacetophenone. Acetic anhydride ( 10.4 ml) was added to formic acid (8.3 ml) below 35°C and stood for 30 minutes at room temperature, followed by addition of a solution of the crude product in dichloromethane (50 ml). The reaction mixture was worked up by the usual manner to give 4-benzyloxy-3- formylaminoacetophenone ( 10.3 g) .
Η-NMR (CDCls, δ) : 2.59(3H, s), 5.18(2H, s), 7.04(1H, d, J=8.6Hz), 7.43(5H, s), 7.71-7.88(2H, m), 8.47(1H, d, J=1.5Hz), 9.03(1H, d, J=2.1Hz) Preparation 11
A mixture of 4-benzyloxy-3-formylaminoacetophenone (0.83 g), pyridinium tribromide (1.08 g) and acetic acid (5 ml) was stirred at 50°C for 30 minutes, worked up by the usual manner and purified by column chromatography (hexane : ethyl acetate = 2: 1) to give 4-benzyloxy-3- formylaminophenacyl bromide (0.37 g).
Η-NMR (CDCI3, δ) : 4.47(2H, s), 5.20(2H, s), 7.06(1H, d, J=8.7Hz), 7.43(5H, s), 7.7-7.9(2H, m), 8.48(1H, s), 9.07(1H, s)
Preparation 12
To a mixture of 4-benzyloxy-3-formylaminophenacyl bromide (0.45 g), methanol (5 ml) and tetrahydrofuran (5 ml), sodium borohydride (0.05 g) was added at 0°C and worked up by the usual manner to afford l-(2-bromo-l- hydroxyethyl)-3-formylamino-4-(benzyloxy)benzene. The crude product was treated with potassium carbonate in methanol, worked up by the usual manner to give (4-benzyloxy-3-formylaminophenyl)oxirane (0.26 g).
Η-NMR (CDCI3, δ) : 2.81(1H, quartet, J=2.6Hz), 3.11(1H, t J=5.4Hz), 3.82-
3.86(1H, m), 5.10(2H, s), 6.91-7.02(2H, m), 7.41(5H, s), 7.7-7.9(lH, m), 8.38(1H, s), 8.43(1H, s)
Preparation 13
To a solution of 4-methoxyphenylmagnesium bromide (1M in tetrahydrofuran, 35 ml) a solution of 3- (dibenzylamino) propionic acid ethyl ester
(4.87 g) in tetrahydrofuran (2 ml) was added, stirred under reflux for 1 hour, worked up in the usual manner and purified by silica gel column chromatography (hexane : ethyl acetate = 5: 1) to give 3-dibenzylamino- 1 , l-bis(4- methoxyphenyl)-l -propanol (3.45 g).
Preparation 14 3-(Diben_5ylamino)-l, l-bis(4-methoxyphenyl)- l-propanol (2.0 g) was hydrogenated by the usual manner to give N-benzyl-[3,3-bis(4-methoxyphenyl)- propyl]amine, which was further hydrogenated by heating with 20% palladium on charcoal and ammonium formate in methanol to give [3,3-bis(4- methoxyphenyl)propyl]amine ( 1.65 g) . Example 27
The following compound was obtained according to a similar manner to that of Example 9.
(RS)- l-(4-Ben_^loxy-3-formylaminophenyl)-2-[[3,3-bis(4-methoxyphenyl)- propyl] amino] ethanol Example 28
(RS)- l-(Benzyloxy-3-formylaminophenyl)-2-[[3,3-bis(4-methoxphenyl)- propyl] amino] ethanol was hydrogenated on palladium on charcoal in a usual manner to give (RS)-l-(4-hydroxy-3-formylamninophenyl)-2-[[3,3-bis(4- methoxyphenyl) propyl] amino] ethanol .
IR (KBr) : 1664(m), 1606(m), 1248(s), 1178(m), 1105(s), 1034(s) cm1 Η-NMR (CD3OD, δ) : 2.1-2.4(2H, m), 2.6-2.9(2H, m), 2.94(2H, d, J=6.5Hz), 3.74(6H, s), 3.88(1H, t, J=8.1Hz), 4.72(1H, t, J=6.4Hz), 6.7-7.2(1 IH, m), 8.06(1H, s), 8.29(1H, s) MS m/z : 451(M++ 1) Preparation 15
To a solution of benzyl 4-bromophenyl ether (15.0 g) in tetrahydrofuran (60 ml), butyllithium (1.52M hexane solution, 40 ml) was added at -78°C. The reaction mixture was stirred at 30 minutes, followed by addition of 3- dibenzylaminopropionic acid ethyl ester (7.73 g). The reaction mixture was stirred at 0°C for 30 minutes, worked up in a usual manner and purified by column chromatography (silica gel 300 ml, hexane : ethyl acetate = 8: 1) to give l, l-bis(4-benzyloxyphenyl)-3-(dibenzylamino)-l-propanol (7.37 g). Η-NMR (CDCI3, δ) : 2.3-2.5(2H, m), 2.6-2.7(2H, m), 3.53(4H, s), 5.06(4H, s), 6.76(4H, d, J=8.8Hz), 7.1-7.5(24H, m) Preparation 16
A mixture of l, l-bis(4-benzyloxyphenyl)-3-(dibenzylamino)- l-propanol (7.35 g), 1,4-dioxane (10 ml), methanol (70 ml), 4N hydrogen chloride in 1,4- dioxane (5.7 ml) and 20% palladium hydroxide on charcoal (0.8 g) was stirred under hydrogen (1 atm) at room temperature overnight. The reaction mixture was filtrated and evaporated to afford N-benzyl-[3,3-bis(4-hydroxyphenyl)propyl]- amine (4.42 g). MS m/z : 334(M++ l) Example 29
The following compound was obtained according to a similar manner to that of Example 38 to be described later.
(R) - 1 -(4-Benzyloxy-3-nitrophenyl) -2 - [N-benzyl- [3 ,3 -bis(4-hydroxyphenyϊ)- propyl] amino] ethanol
MS m/z : 605(M++ l)
Preparation 17
The following compound was obtained according to a similar manner to that of Example 12. (R)- l-(4-Hydroxy-3-methanesulfonylaminophenyl)-2-[[3,3-bis(4- hydroxyphenyl) propyl] amino] ethanol
IR (KBr) : 1604(m), 1510(s), 1244(s), 1149(m), 831(m) cm1
Η-NMR (CDaOD, δ) : 2.1-2.3(2H, m), 2.5-2.7(2H, m), 2.7-2.8(2H, m), 2.91(3H, s),
3.77(1H, t, J=7.8Hz), 4.64(1H, dd, J=5.2Hz, 7.9Hz), 6.68(4H, d, J=8.5Hz), 6.84(1H, d, J=8.3Hz), 6.9-7.1(5H, m), 7.32(1H, s)
MS m/z : 473(M++ l)
Preparation 18
To a mixture of 4-benzyloxyphenyl acetate (5.05 g), potassium acetate
(3.27 g) and acetic acid (40 ml), bromine (1.4 ml) was added dropwise and stirred at room temperature overnight. Water was added to the reaction mixture and the precipitate was collected by filtration, washed by water and dried to give 4- benzyloxy-3-bromophenyl acetate (3.90 g).
Η-NMR (CDCI3, δ) : 2.27(3H, s), 5.14(2H, s), 6.91(1H, d, J=8.9Hz), 6.96(1H, dd,
J=2.5Hz, 8.9Hz), 7.33-7.48(6H, m) Preparation 19
To a solution of 4-benzyloxy-3-bromophenyl acetate ( 1.05 g) in methanol
(5 ml), 28% sodium methoxide - methanol solution (0.66 g) was added and evaporated. The crude residue was dissolved in N,N-dimethylformamide (5 ml) and methoxymethyl chloride (0.3 ml) was added to the solution. The reaction mixture was worked up by the usual manner and purified through a short pad of silica gel (eluent ; hexane : ethyl acetate = 6: 1) to give 2-benzyloxy-5-
(methoxymethoxy) bromobenzene (967 mg).
Η-NMR (CDCI3, δ) : 3.47(3H, m), 5.09(4H, s), 6.80-6.95(2H, m), 7.29-7.48(6H, m) Preparation 20
To a solution of 2-benzyloxy-5-(methoxymethoxy) bromobenzene (959 mg) in tetrahydrofuran (5 ml), butyllithium (1.52M hexane solution, 2.9 ml) was added dropwise at -78°C under a flow of nitrogen followed by stirring at 0°C for 30 minutes and was added N,N-dimethylformamide (2 ml) at -78°C. The reaction mixture was worked up by the usual manner, treated with 4N hydrogen chloride in 1,4-dioxane, worked up by the usual manner and purified by silica gel column chromatography (hexane : ethyl acetate = 3: 1) to give 3-formyl-4- benzyloxyphenol (398 mg).
Η-NMR (CDCla, δ) : 5.14(2H, m), 6.97(1H, d, J=8.9Hz), 7.05(1H, dd, J=3.1Hz, 8.9Hz), 7.30-7.42(6H, m), 10.48(1H, s) Preparation 21
To a solution of 3-formyl-4-benzyloxyphenol (390 mg) in N,N- dimethylformamide (3 ml), sodium hydride (60% in mineral oil, 75 mg) was added at 0°C. After 30 minutes, (S)-[(3-nitrobenzenesulfonyloxy)methyl]oxirane (465 mg) was added to the reaction mixture and stirred at room temperature for 2 hours. After usual work-up, crude (S)-[(3-formyl-4-benzyloxyphenoxy)methyl]- oxirane (551 mg) was obtained and was used in the next step without any purification.
Η-NMR (CDCI3, δ) : 2.73-2.77(lH, m), 2.88(1H, t, J=4.8Hz), 3.31-3.38(1H, m), 3.91(1H, quartet, J=5.9Hz), 4.27(1H, dd, J=2.8Hz, 11.0Hz), 5.16(2H, s), 7.01(1H, d, J=9.1Hz), 7.17(1H, dd, J=3.3Hz, 9.1Hz), 7.34-7.43(6H, m), 10.50(1H, s) Example 30 (S)-l-(3-Formyl-4-benzyloxyphenoxy)-3-[N-benzyl-[3,3-bis(4-methoxy- phenyl)propyl]amino]-2-propanol, which was obtained according to a similar manner to that of Example 31 to be described later, was treated with sodium borohydride in methanol followed by catalytic hydrogenation on palladium on charcoal in a usual manner to give (S)- l-(4-hydroxy-3-hydroxymethylphenoxy)-3- [[3,3-bis(4-methoxyphenyl)propyl]amino]-2-propanol.
IR (KBr) : 1608(w), 1510(s), 1456(m), 1442(m), 1248(s), 1178(m), 1034(s), 814(m) cm-1
Η-NMR (CD3OD, δ) : 2.1-2.3(2H, m), 2.5-2.8(4H, m), 3.73(6H, s), 3.85(2H, d, J=5.1Hz), 3.9-4.1(2H, m), 4.61(2H, s), 6.68(2H, s), 6.81(4H, d, J=8.6Hz), 6.90(1H, s), 7.15(4H, d, J=8.6Hz) MS m/z : 468(M++ l) Example 31
A mixture of (S)-[(3-formyl-4-benzyloxyphenoxy)methyl]oxirane (167 mg), N-benzyl-[3,3-bis(4-methoxyphenyl)propyl]amine (264 mg) and ethanol (4 ml) was heated under reflux for 14 hours and evaporated to give (S)-l-(3-formyl-4- benzyloxyphenoxy) -3 - [N-benzyl- [3 ,3-bis(4-methoxyphenyl) propyl] amino] -2- propanol (436 mg). MS m/z : 646(M++ l) Example 32
To a mixture of (S)- l-(3-formyl-4-benzyloxyphenoxy)-3-[N-benzyl-[3,3- bis(4-methoxyphenyl)propyl]amino]-2-propanol (80 mg), ammonium acetate (200 mg), 1,4-dioxane (1 ml) and methanol (3 ml), sodium cyanoborohydride (40 mg) was added and worked up in the usual manner. The crude product was purified by preparative thin-layer chromatography (dichloromethane : methanol : concentrated ammonium solution = 22: 1:0.1) to give (S)-l-(3-aminomethyl-4- benzyloxyphenoxy)-3-[N-benzyl-[3,3-bis(4-methoxyphenyl)propyl]amino]-2- propanol (41 mg). MS m/z : 647(M++ l)
Example 33
The following compound was obtained according to a similar manner to that of Example 22.
(S)-l-[4-Hydroxy-3-[(methanesulfonylamino)methyl]phenoxy]-3-[[3,3- bis(4-methoxyphenyl) propyl] amino] -2 -propanol
IR (KBr) : 1560(m), 1510(s), 1452(s), 1250(m), 1178(w), 1144(w), 1034(m),
818(m) cm1
Η-NMR (CD3OD, δ) : 2.3-2.5(2H, m), 2.8-3.3(4H, m), 2.90(3H, s), 3.73(6H, s),
3.8-4.0(3H, m), 4.0-4.2(lH, m), 4.39(2H,s), 6.69(2H, s), 6.83(5H, d, J=8.6Hz), 7.16(5H, d, J=8.6Hz)
MS m/z : 545(M++ l)
Example 34
The following compound was obtained according to a similar manner to that of Example 31. (S)- l-(4-Benzyloxy-3-formylphenoxy)-3-[N-benzyl-[2,2-bis(4- methoxyphenyl)ethyl]amino]-2-propanol
Example 35
The following compound was obtained according to a similar manner to that of Example 30. (S)- l-[4-Hydroxy-3-hydroxymethylphenoxy)-3-[[2,2-bis(4- methoxyphenyl) ethyl] amino] -2 -propanol
IR (KBr) : 1510(s), 1454(m), 1248(s), 1032(s), 827(m) cm1
Η-NMR (CD3OD, δ) : 2.8-3.0(2H, m), 3.2-3.4(2H, m), 3.74(6H,s), 3.82(2H, d,
J=4.2Hz), 3.9-4.2(2H, m), 4.60(2H, s), 6.61-6.65(2H, m), 6.85(5H, d, J=7.6Hz), 7.17(4H, d, J=8.5Hz)
MS m/z : 454(M++ l)
Preparation 22
To a mixture of 4,-benzyloxy-3'-methoxycarbonylacetophenone (2.84 g), 30% hydrogen bromide in acetic acid (4 drops) and chloroform (12 ml), bromine
(0.54 ml) was added dropwise at room temperature. Diisopropylether (10 ml) and hexane (10 ml) was added to the reaction mixture. A white powder was precipitated, and the precipitate was collected by filtration, washed by hexane and dried to give 2-bromo-4'-ben2yloxy-3'-methoxycarbonylacetophenone (531 mg).
Η-NMR (CDCls, δ) : 3.94(3H, s), 4.41(2H, s), 5.29(2H,s), 7.09(1H, d, J=8.9Hz),
7.3-7.5(5H, m), 8.10(1H, dd, J=2.4Hz, 8.8Hz), 8.47(1H, d, J=2.4Hz)
Preparation 23 To a solution of 2-bromo-4'-benzyloxy-3'-methoxycarbonylacetophenone
(250 mg) in methanol and tetrahydrofuran, sodium borohydride was added at
0°C. The reaction mixture was warmed up to room temperature, followed by addition of potassium carbonate, and worked up in the usual manner to give
(RS)-(4-benzyloxy-3-methoxycarbonylphenyl)oxirane (164 mg). Η-NMR (CDCI3, δ) : 2.79(1H, dd, J=2.6Hz, 5.4Hz), 3.13(1H, t, J=5.3Hz),
3.83(1H, t, J=3.9Hz), 3.91(3H, s), 5.19(2H, s), 6.99(1H, d, J=8.6Hz), 7.30-7.5(6H, m), 7.75(1H, d, J=2.3Hz)
Example 36
The following compound was obtained according to a similar manner to that of Example 38 to be described later.
(RS)-l-(4-Ben2yloxy-3-methoxycarbonylphenyl)-2-[N-benzyl-[2,2-bis(4- methoxyphenyl) ethyl] amino] ethanol
MS m/z : 632(M++ l)
Example 37 The following compound was obtained according to a similar manner to that of Example 39 to be described later.
(RS)- l-(4-Hydroxy-3-hydroxymethylphenyl)-2-[[2,2-bis(4- methoxyphenyl) ethyl] aminojethanol
IR (KBr) : 1608(m), 1510(s), 1446(w), 1248(s), 1032(m) cm1 Η-NMR (CD3OD, δ) : 2.7-2.9(2H, m), 3.13(2H, d, J=7.9Hz), 3.73(6H,s), 4.04(1H, t, J=8.2Hz), 4.6(1H, m), 4.65(2H, s), 6.6-6.9(5H, m), 7.0-7.3(6H, m)
MS m/z : 424(M++ l)
Example 38
A mixture of (RS)-(4-benzyloxy-3-methoxycarbonylphenyl)oxirane (60 mg), N-benzyl-[3,3-bis(4-methoxyphenyl)propyl]amine (80 mg) and ethanol (2 ml) was heated under reflux for 14 hours and evaporated to give (RS)-l-(4-benzyloxy-3- methoxycarbonylphenyl)-2-[N-benzyl-[3,3-bis(4-methoxyphenyl)propyl]amino]- ethanol (142 mg). MS m/z : 646(M++ l)
Example 39
A solution of (RS)- l-(4-benzyloxy-3-methoxycarbonylphenyl)-2-[N-benzyl-
[3,3-bis(4-methoxyphenyl)propyl]amino]ethanol (69 mg) in tetrahydrofuran (1 ml) was added to a suspension of lithium aluminium hydride (10 mg) in tetrahydrofuran( 1 ml) at 0°C. The reaction mixture was worked up in the usual manner to give (RS)-l-(4-benzyloxy-3-hydroxymethylphenyl)-2-[N-benzyl-[3,3- bis(4-methoxyphenyl)propyl]amino]ethanol, which was hydrogenated by using palladium on charcoal in methanol followed by purification by preparative thin- layer chromatography (silica gel, dichloromethane : methanol : concentrated ammonia solution = 9: 1:0.1) to afford (RS)-l-(4-hydroxy-3-hydroxymethylphenyl)-
2-[[3,3-bis(4-methoxyphenyl)propyl]amino]ethanol (32 mg).
IR (KBr) : 1608(m), 1510(s), 1444(w), 1248(s), 1032(m), 823(m) cm1
Η-NMR (CD3OD, δ) : 2.1-2.3(2H, m), 2.3-2.8(4H, m), 3.74(6H, s), 3.82(1H, t, J=8.0Hz), 4.6(1H, m), 4.64(2H, s), 6.6-6.8(5H, m), 7.0-7.2(6H, m)
MS m/z : 438(M++ l)
Preparation 24
To a solution of 1,4-dibromobenzene (18.28 g) in tetrahydrofuran, butyllithium (1.54M in hexane) was added at -78°C. After 30 minutes, 3- dibenzylaminopropionic acid ethyl ester (4.61 g) was added and warmed to 0°C.
The reaction mixture was worked up in the usual manner and purified by silica gel column chromatography to give 3-(dibenzylamino)- 1 , l-bis(4-bromophenyl)- 1- propanol (8.43 g).
Η-NMR (CDCI3, δ) : 2.3-2.4 (2H, m), 2.6-2.7 (2H, m), 3.51(4H, s), 7.07 (2H, d, J=8.5Hz), 7.1-7.4 ( 16H, m)
MS m/z : 564, 566 (M++ l), 568
Preparation 25
A mixture of 3-(dibenzylamino)-l, l-bis(4-bromophenyl)- l-propanol (8.42 g), benzophenone imine (10.8 g), tris(dibenzylideneacetone)dipalladium (546 mg), (RS)-2,2'-bis(diphenylphosphino)-l, l'-binaphthyl (1.11 g), sodium tert-butoxide
(5.7 g) and toluene (90 ml) was stirred at 100°C for 6 hours. The reaction mixture was added to a mixture of tetrahydrofuran (300 ml) and 3N hydrochloric acid (300 ml) and stirred at room temperature for 1.5 hours. The aqueous phase was separated, neutralized by sodium hydroxide and extracted with ethyl acetate. The ethyl acetate solution was evaporated and purified by silica gel column chromatography (hexane : ethyl acetate =1: 1) to give 3-(dibenzylamino)- l, l-bis(4-aminophenyl)-l -propanol (1.76 g).
MS m/z : 438 (M++ l) Preparation 26
To a mixture of 3-(dibenzylamino)-l, l-bis(4-aminophenyl)-l-propanol (0.64 g), pyridine (0.5 ml) and dichloromethane (10 ml), methyl chlorocarbonate (0.34 ml) was added at 0°C and the reaction mixture was worked up in a usual manner. The crude product was dissolved in methanol (10 ml), followed by addition of 4N hydrogen chloride in 1,4-dioxane (0.5 ml) and 20% palladium hydroxide on charcoal. The mixture was stirred under hydrogen ( 1 atm) at room temperature overnight, worked up in a usual manner and purified by silica gel column chromatography (dichloromethane : methanol : concentrated ammonia water = 20: 1:0.1) to give N-benzyl-[3,3-bis[4-[(methoxycarbonyl)amino]phenyl]- propyl] amine (466 mg). MS m/z : 448 (M++ l) Preparation 27
A mixture of (R)-(4-benzyloxy-3-nitrophenyl)oxirane (34.4 mg), N-benzyl- [3,3-bis[4-(methoxycarbonylamino)phenyl]propyl]amine (56.7 mg) and ethanol (2 ml) was heated under reflux for 12 hours. Iron powder, ammonium chloride and water were added to the reaction mixture and heating was continued for 1 hour. The reaction mixture was filtrated and worked up in the usual manner to give crude (R)-l-(3-amino-4-benzyloxyphenyl)-2-[N-benzyl-[3,3-bis[4- [(methoxycarbonyl)amino]phenyl]propyl]amino]ethanol (111.7 mg) . MS m/z : 689 (M++ l) Example 40
(R)-l-(4-Hydroxy-3-formylaminophenyl)-2-[[3,3-bis[4-(methoxycarbonyl- amino) phenyl] propyl] amino] ethanol was obtained from (R)-l-(3-amino-4- benzyloxyphenyl)-2-[N-benzyl-[3,3-bis [4-(methoxycarbonylamino)phenyl]propyl]- amino]ethanol by a similar manner to that of Example 25. IR (KBr) : 1707(s), 1678(m), 1604(s), 1415(m), 1241(m), 1072(m) cm1 -NMR (CD3OD, δ) : 2.1-2.3(2H, m), 2.5-2.7(2H, m), 2.7-2.8(2H, m), 3.70 (6H, s), 3.85( 1H, t, J=7.3Hz), 4.59(1H, dd, J=8.4Hz, 14.1Hz), 6.80(1H, d, J=8.3Hz ), 6.94(1H, d, J=8.9Hz ), 7.14(4H, d, J=8.5Hz ), 7.31(4H, d, J=8.3Hz), 8.00(1H, s), 8.28(1H, s) MS m/z : 537(M++ l) Preparation 28
The following compound was obtained according to a similar manner to that of Preparation 27.
(2S)- l-(3-Amino-4-benzyloxyphenoxy)-3-[N-benzyl-[3,3-bis[4- (methoxycarbonylamino)phenyl]propyl]amino]-2-propanol MS m/z : 719 Example 41
(S)- l-(4-Hydroxy-3-formylaminophenoxy)-3-[[3,3-bis[4-(methoxycarbonyl- amino)phenyl]propyl]amino]-2-propanol was obtained from (S)-l-(3-amino-4- benzyloxyphenoxy)-3-[N-benzyl-[3,3-bis[4-(methoxycarbonylamino)phenyl]- propyl] amino] -2 -propanol by a similar manner to that of Example 25. IR (KBr) : 1711(s), 1682(m), 1537(s), 1441(m), 1240(s), 1072(m) cm1 Η-NMR (CD3OD, δ) : 2.1-2.3(2H, m), 2.5-2.8(4H, m), 3.67(6H, s), 3.8-4.1(4H, m), 6.55(1H, dd, J=2.9Hz, 8.8Hz), 6.74(1H, d, J=8.7Hz), 7.17(4H, d, J=8.6Hz ), 7.32(4H, d, J=8.5Hz ), 7.72(1H, d, J=2.8Hz ), 8.28(1H, s) MS m/z : 567(M++l) Example 42
(S)-l-(4-Hydroxy-3-hydroxymethylphenoxy)-3-[[3,3-bis[4- (methoxycarbonylamino)phenyl]propyl]amino]-2-propanol was obtained from (S)- [(3-formyl-4-benzyloxyphenoxy)methyl]oxirane and N-benzyl-[3,3-bis[4- (methoxycarbonylamino) phenyl] propyl] amine by a similar manner to that of Example 30.
IR (KBr) : 171 l(s), 1604(m), 1539(s), 1238(m), 1070(m) cm1 -NMR (CD3OD, δ) : 2.2-2.4(2H, m), 2.6-2.9(4H,m), 3.71(6H, s), 3.7-4. l(4H, m), 4.61(2H, s), 6.68(2H, s), 6.90(1H, s), 7.18(4H, d, J=8.6Hz), 7.33(4H, d, J=8.5Hz) MS m/z : 554(M++ l) Preparation 29
A mixture of methyl 3-aminobutyrate (4.3 g), (S)-(phenoxymethyl)oxirane (4.59 g) (IL FARMACO, 50(10), p. 643 (1995)), ytterbium(III) trifluoromethanesulfonate (1.8 g) and dichloromethane (25 ml) was stirred at 40°C for 2 hours and at room temperature overnight, worked up in the usual manner and purified by silica gel column chromatography (toluene : ethanol : concentrated ammonia water = 9: 1:0.1) to give (3RS)-3-[((2S)-2-hydroxy-3- phenoxypropyl)amino]butyric acid methyl ester (2.59 g). IR (Neat): 3400 (br m), 1734 (s), 1599 (m), 1495 (m), 1458 (m), 1298 (m), 1246 (s), 1041 (m), 756 (m) cm1
Η-NMR (CDCI3, δ) : 1.16 (3H, d, J=5.2Hz), 2.41-2.46 (2H, m), 2.6-3.0 (2H, m), 3.14 ( IH, quartet, J=6.4Hz), 3.68 (3H, s), 3.9-4.1 (3H, m), 6.90-6.99 (3H, m), 7.24-7.33 (2H, m) MS m/z : 268(M++ l) Example 43
(2S)- l-Phenoxy-3-[[(3RS)- 1 , l-bis(4-fluorophenyl)- l-hydroxy-3- butyl]amino]-2-propanol was obtained from (3RS)-3-[((2S)-2-hydroxy-3- phenoxypropyl) amino] butyric acid methyl ester and 4-fluorobromobenzene by a similar manner to that of Preparation 3.
MS m/z : 428(M++ l)
Preparation 30
A mixture benzyl (S)-tetrahydro-5-oxo-3-furanylcarbamate (2.0 g), 4N hydrogen chloride - ethyl acetate (2.3 ml), palladium on charcoal (0.2 g), ethyl acetate (50 ml) and methanol (10 ml) was stirred under hydrogen (1 atm) at room temperature overnight, filtrated and evaporated. The crude product was stirred with benzyl bromide (3.05 g), potassium carbonate (5.88 g) and N,N- dimethylformamide (20 ml) at room temperature overnight, worked up by a usual manner and purified by silica gel column chromatography (hexane : ethyl acetate
= 4 : 1) to give (S)-N,N-dibenzyl(tetrahydro-5-oxo-3-furanyl)amine (1.49 g).
IR (KBr) : 1772(s), 1454(w), 1259(m), 1165(s), 1126(m), 1070(m),
1028(s), 746(m) cm1 -NMR (CDCls, δ) : 2.56-2.61(2H, m), 3.53(2H, d, J=13.8Hz), 3.67(2H, d, J=13.8Hz), 3.75-3.84(lH, m), 4.30-4.40(2H, m), 7.28-7.34(10H, m)
MS m/z : 282(M++ l)
Preparation 31
(S)-3-Dibenzylamino- 1 , 1 -bis(4-methoxyphenyl) butane- 1 ,4-diol was obtained from (S)-N,N-dibenzyl(tetrahydro-5-oxo-3-furanyl)amine and 4- bromoanisole by a similar manner to that of Preparation 3.
MS m/z : 498(M++ 1)
Preparation 32
A mixture (S)-3-dibenzylamino- 1 , 1 -bis(4-methoxyphenyl) butane- 1 ,4-diol
(0.75 g), methanol (5 ml), palladium on charcoal (0.1 g) and ammonium formate (0.5 g) was heated under reflux for 1.5 hours, filtered and evaporated. To the crude residue, methanol (5 ml), 4N hydrogen chloride in 1,4-dioxane (0.5 ml), palladium on charcoal (0.1 g) was added. The mixture was stirred under hydrogen (1 atm) overnight, filtered and evaporated to afford (S)-2-amino-4,4- bis(4-methoxyphenyl)-l-butanol (388 mg). Η-NMR (CDCI3 , δ) : 1.81-1.96(1H, m), 2.05-2.2(lH, m) , 2.6-2.8(lH, m),
3.29(1H, dd, J=7.7Hz, 10.5Hz), 3.53(1H, dd, J=4.0Hz, 10.4Hz), 3.76(6H, s),
4.02(1H, dd, J=6.8Hz, 9.3Hz), 6.81(4H, dd, J=2.3Hz, 8.8Hz), 7.14(4H, d, J=8.8Hz)
MS m/z : 302(M++ l)
Example 44 (2S)-l-Phenoxy-3-[[(lS)-3,3-bis(4-methoxyphenyl)-l-(hydroxymethyl)- propyl]amino]-2-propanol was obtained from (S)-2-amino-4,4-bis(4- methoxyphenyl)-l-butanol and (S)-(phenoxymethyl)oxirane by a similar manner to that of Example 9. IR (KBr) : 1606(w), 1510(s), 1471(w), 1250(s), 1178(m), 1036(s), 816(m) cm1 Η-NMR (CDC , δ) : 2.0-2.2(2H, m), 2.5-2.9(4H, m), 3.41(1H, dd), 3.63( 1H, dd), 3.76(6H, s), 3.9-4.0(4H, m), 6.79-7.00(7H, m), 7.14(4H, dd), 7.26-7.33(2H, m) MS m/z : 452(M++ l) Preparation 33
A suspension of l-acetoxy-2,2-bis(4-nitrophenyl)ethane (4.96 g) (Tetrahedron, p. 8001 (1991)) in methanol (50 ml) - 1,4-dioxane (15 ml) was hydrogenated (3 atm) over 10% palladium on carbon (252 mg) at room temperature for 3 hours. The catalyst was filtered off and the filtrate was evaporated to give l-acetoxy-2,2-bis(4-aminophenyl)ethane (4.13 g) as a pale brown powder.
Η-NMR (CDCI3, δ) : 1.96(3H, s), 4.14(1H, t, J=8Hz), 4.50(2H, d, J=8Hz), 6.61(4H, d, J=8Hz), 6.99(4H, d, J=8Hz) MS m/z : 271 (M++ l) Preparation 34
To a suspension of l-acetoxy-2,2-bis(4-nitrophenyl)ethane (1.41 g) in ethanol (14 ml) - water (2.8 ml) were added powdered iron (1.89 g) and ammonium chloride (140 mg). The mixture was gently heated to reflux for 3 hours and allowed to cool to room temperature. After the insoluble material was filtered off, the filtrate was concentrated to give l-acetoxy-2,2-bis(4- aminophenyljethane (1.23 g) as a pale yellow powder.
Η-NMR (CDCI3, δ) : 1.97(3H, s), 3.55(4H, br s), 4.14(1H, t, J=8Hz), 4.50(2H, d, J=8Hz), 6.62(4H, d, J=8Hz), 6.99(4H, d, J=8Hz) MS m/z : 271 (M++ l) Preparation 35
To an ice-cooled solution of l-acetoxy-2,2-bis(4-aminophenyl)ethane (1.33 g) in tetrahydrofuran (16 ml) - dichloromethane (8 ml) were added pyridine (1.2 ml) and methyl chlorocarbonate (0.92 ml). The mixture was stirred at the same temperature for 1.5 hours and partitioned between ethyl acetate and water. The organic layer was separated, washed successively with IN hydrochloric acid, saturated sodium bicarbonate solution and brine, dried over magnesium sulfate, and filtered. The filtrate was evaporated to give l-acetoxy-2,2-bis[4- (methoxycarbonylamino)phenyl]ethane (1.64 g) as a pale yellow amorphous powder. Η-NMR (CDCI3, δ) : 1.97(3H, s), 3.76(6H, s), 4.27(1H, t, J=8Hz), 4.55(2H, d, J=8Hz), 6.59(2H, br s), 7.14(4H, d, J=8Hz), 7.31(4H, d, J=8Hz) MS m/z : 409 (M++Na) Preparation 36 To a solution of l-acetoxy-2,2-bis[4-(methoxycarbonylamino)phenyl]- ethane (1.57 g) in methanol (16 ml) was added IN sodium hydroxide (4.9 ml) at room temperature. The mixture was stirred at the same temperature for 40 minutes and concentrated to half of the original volume. The solution was neutralized with IN hydrochloric acid (4.9 ml) and extracted with ethyl acetate. The organic layer was separated, washed successively with saturated sodium bicarbonate solution and brine, dried over magnesium sulfate, and filtered. The filtrate was evaporated to give 2,2-bis[4-(methoxycarbonylamino)phenyl]ethanol (1.45 g) as a pale yellow amorphous powder. Η-NMR (CDCls, δ) : 3.76(6H, s), 4.02-4.20(3H, m), 6.62(2H, br s), 7.18(4H, d, J=9Hz), 7.32(4H, d, J=9Hz) MS m/z: 367 (M++Na) Preparation 37
To an ice-cooled mixture of 2,2-bis[4-(methoxycarbonylamino)phenyl]- ethanol (1.38 g) and triethylamine (1.0 ml) in dichloromethane (14 ml) was added dropwise methanesulfonyl chloride (0.44 ml). The mixture was stirred at room temperature for 3 hours and partitioned between chloroform and water. The organic layer was separated, washed successively with saturated sodium bicarbonate solution and brine, dried over magnesium sulfate, and filtered. The filtrate was evaporated to give l, l-bis[4-(methoxycarbonylamino)phenyl]-2- (methanesulfonyloxy)ethane (1.87 g) as a pale brown solid. Η-NMR (CDCI3, δ) : 2.79(3H, s), 3.77(6H, s), 4.35(1H, t, J=8Hz), 4.67(2H, d, J=8Hz), 6.58(2H, br s), 7.16(4H, d, J=9Hz), 7.34(4H, d, J=9Hz) MS m/z : 445 (M++Na) Preparation 38
A mixture of l, l-bis[4-(methoxycarbonylamino)phenyl]-2- (methanesulfonyloxy)ethane (1.66 g) and sodium azide (344 mg) in N,N- dimethylformamide (5 ml) was heated at 90°C for 28 hours. After allowed to cool to room temperature, the mixture was partitioned between ethyl acetate and water. The organic layer was separated, washed successively with water and brine, dried over magnesium sulfate, and filtered. The filtrate was concentrated and the residue was purified by column chromatography (silica gel, hexane/ethyl acetate) to give l-azido-2,2-bis[4-(methoxycarbonylamino)phenyl]ethane (1.36 g) as a pale yellow amorphous powder. Η-NMR (CDCI3, δ) : 3.76(6H, s), 3.81(2H, d, J=8Hz), 4.15(1H, t, J=8Hz), 6.69(2H, br s), 7.15(4H, d, J=9Hz), 7.28(4H, d, J=9Hz) MS m/z: 392 (M++Na) Preparation 39 A solution of l-azido-2,2-bis[4-(methoxycarbonylamino)phenyl]ethane (1.32 g) in methanol (13 ml) was hydrogenated (3 atm) over 10% palladium on carbon (132 mg) at room temperature for 3 hours. The catalyst was filtered off and the filtrate was evaporated to give 2,2-bis[4-(methoxycarbonylarnino)phenyl]- ethylamine (1.18 g) as a pale brown amorphous powder.
Η-NMR (CDCls, δ) : 3.26(2H, d, J=8Hz), 3.76(6H, s), 3.91(1H, t, J=8Hz), 6.63(2H, br s), 7.16(4H, d, J=9Hz), 7.31(4H, d, J=9Hz) MS m/z : 344 (M++ l) Preparation 40 To an ice-cooled solution of 2,2-bis[4-(methoxycarbonylamino)phenyl]- ethylamine (1.15 g) in dichloromethane (5.8 ml) were added benzaldehyde (0.39 ml), sodium triacetoxyborohydride (1.77 g) and acetic acid (0.58 ml). The mixture was stirred at room temperature for 14 hours and partitioned between ethyl acetate and saturated sodium bicarbonate solution. The organic layer was separated, washed with brine, dried over magnesium sulfate, and filtered. The filtrate was concentrated and the residue was purified by column chromatography (silica gel, hexane/ethyl acetate) to give N-benzyl-[2,2-bis[4- (methoxycarbonylamino) phenyl] ethyl] amine (358 mg) as a white amorphous powder. Η-NMR (CDCI3, δ) : 3.19(2H, d, J=8Hz), 3.75(6H, s), 3.84(2H, s), 4.19(1H, t, J=8Hz), 6.72(2H, br s), 7.09(4H, d, J=8Hz), 7.15-7.42(9H, m) MS m/z: 434 (M++ l) Preparation 41
A mixture of l-acetoxy-2,2-bis(4-aminophenyl)ethane (2.70 g) and di-tert- butyl dicarbonate (5.23 g) in tetrahydrofuran (13.5 ml) was heated to reflux for 2 hours. After allowed to cool to room temperature, the mixture was concentrated and the residue was purified by column chromatography (silica gel, hexane/ethyl acetate) to give l-acetoxy-2,2-bis[4-(tert-butoxycarbonylamino)phenyl]ethane (4.64 g) as a white amorphous powder. Η-NMR (CDCI3, δ) : 1.50(18H, s), 1.96(3H, s), 4.25(1H, t, J=8Hz), 4.54(2H, d, J=8Hz), 6.46(2H, br s), 7.11(4H, d, J=8Hz), 7.28(4H, d, J=8Hz) Preparation 42
2,2-Bis[4-(tert-butoxycarbonylamino)phenyl]ethanol was obtained according to a similar manner to that of Preparation 36. Η-NMR (CDC , δ) : 1.50(18H, s), 4.00-4.18(3H, m), 6.45(2H, br s), 7.15(4H, d, J=9Hz), 7.30(4H, d, J=9Hz) Preparation 43
1 , l-Bis[4-(tert-butoxycarbonylamino)phenyl]-2- (me thanesulfonyloxy) ethane was obtained according to a similar manner to that of Preparation 37.
Η-NMR (CDCI3, δ) : 1.51(18H, s), 2.77(3H, s), 4.33(1H, t, J=8Hz), 4.66(2H, d,
J=8Hz), 6.45(2H, br s), 7.13(4H, d, J=9Hz), 7.31(4H, d, J=9Hz) MS m/z : 529 (M++Na)
Preparation 44 l-Azido-2,2-bis[4-(tert-butoxycarbonylamino)phenyl]ethane was obtained according to a similar manner to that of Preparation 38.
Η-NMR (CDCI3, δ) : 1.52(18H, s), 3.80(2H, d, J=8Hz), 4.14(1H, t, J=8Hz), 6.45(2H, br s), 7.13(4H, d, J=9Hz), 7.30(4H, d, J=9Hz)
MS m/z : 476 (M++Na)
Preparation 45
2,2-Bis[4-(tert-butoxycarbonylamino)phenyl]ethylamine was obtained according to a similar manner to that of Preparation 39. Η-NMR (CDCI3, δ) : 1.50(18H, s), 3.25(2H, d, J=8Hz), 3.90(1H, t, J=8Hz),
6.44(2H, br s), 7.13(4H, d, J=9Hz), 7.28(4H, d, J=9Hz)
MS m/z : 428 (M++ l)
Preparation 46
A mixture of 2,2-bis[4-(tert-butoxycarbonylarnino)phenyl]et_hylamine (811 mg) and benzaldehyde (224 mg) in dichloromethane (8.1 ml) was stirred at room temperature for 1.5 hours. The mixture was evaporated, and the residual solid was suspended in ethanol (8.1 ml) - dichloromethane (4.1 ml). Sodium borohydride (79 mg) was added to the suspension, and the mixture was stirred at room temperature for 2 hours. The mixture was partitioned between ethyl acetate and water. The organic layer was separated, washed with brine, dried over magnesium sulfate, and filtered. The filtrate was concentrated and the residue was purified by column chromatography (silica gel, hexane/ethyl acetate) to give N-benzyl-[2,2-bis[4-(tert-butoxycarbonylamino)phenyl]ethyl]amine (801 mg) as a white amorphous powder. Η-NMR (CDCI3, δ) : 1.50(18H, s), 3.15(2H, d, J=8Hz), 3.79(2H, s), 4.12(1H, t,
J=8Hz), 6.42(2H, br s), 7.10(4H, d, J=9Hz), 7.15-7.38(9H, m)
MS m/z : 518 (M++ l)
Example 45
A mixture of N-benzyl-[2,2-bis[4-(methoxycarbonylamino)phenyl]- ethyljamine (119 mg) and (R)-(4-benzyloxy-3-nitrophenyl)oxirane (82 mg) in ethanol (1.2 ml) was heated at 70°C for 15 hours. After allowed to cool to room temperature, the mixture was concentrated and the residue was purified by column chromatography (silica gel, hexane/ethyl acetate) to give (R)-2-[N-benzyl- [2,2-bis[4-(methoxycarbonylamino)phenyl]ethyl]amino]- l-(4-benzyloxy-3- nitrophenyl)ethanol (120 mg) as a pale yellow amorphous powder.
Η-NMR (CDCI3, δ) : 2.42-2.72(2H, m), 2.97(1H, dd, J= 13 and 6Hz), 3.21(1H, br s, OH), 3.27(1H, dd, J= 13 and 10Hz), 3.51(1H, d, J=13Hz), 3.76(6H, s), 3.92(1H, d, J=13Hz), 4.04-4.22(lH, m), 4.48(1H, dd, J=10 and 4Hz), 5.21(2H, s), 6.57(2H, br s), 6.96-7.42(20H, m), 7.69(1H, d, J=2Hz)
MS m/z : 705 (M++ l)
Example 46
(R) -2- [N-Benzyl- [2 ,2 -bis[4-(tert-butoxycarbonylamino)phenyl] - ethyljamino]- l-(4-benzyloxy-3-nitrophenyl)ethanol was obtained according to a similar manner to that of Example 45.
Η-NMR (CDCI3, δ) : 1.50(18H, s), 2.42-2.70(2H, m), 2.96(1H, dd, J=13 and 6Hz),
3.20(1H, br s, OH), 3.25(1H, dd, J= 13 and lOHz), 3.52(1H, d, J=13Hz), 3.92(1H, d, J=13Hz), 4.03-4.20(lH, m), 4.47(1H, dd, J=10 and 4Hz), 5.20(2H, s), 6.43(2H, br s), 6.97-7.50(20H, m), 7.68(1H, d, J=2Hz)
MS m/z : 789 (M++ l)
Example 47
To an ice-cooled solution of (R)-2-[N-benzyl-[2,2-bis[4-(tert- butoxycarbonylamino)phenyl]ethyl]amino]-l-(4-benzyloxy-3-nitrophenyl)ethanol (626 mg) in dichloromethane (3.1 ml) was added dropwise trifluoroacetic acid (1.2 ml), and the mixture was stirred for 4.5 hours while being allowed to warm to room temperature. The mixture was concentrated and the residue was partitioned between chloroform and saturated sodium bicarbonate solution.
The organic layer was separated, washed with brine, dried over magnesium sulfate, and filtered. The filtrate was evaporated to give (R)-2-[N-benzyl-[2,2- bis(4-aminophenyl)ethyl]amino]- l-(4-benzyloxy-3-nitrophenyl)ethanol (448 mg) as a pale brown amorphous powder.
Η-NMR (CDC , δ) : 2.40-2.68(2H, m), 2.95(1H, dd, J= 13 and 6Hz), 3.23(1H, dd,
J=13 and lOHz), 3.45(4H, br s, NH2), 3.53(1H, d, J=13Hz), 3.93(1H, d, J=13Hz), 4.01(1H, dd, J= 10 and 6Hz), 4.48(1H, dd, J=10 and 4Hz), 5.20(2H, s), 6.52-
7.52(20H, m), 7.67(1H, d, J=2Hz)
MS m/z : 589 (M++ l)
Example 48
To an ice-cooled mixture of (R)-2-[N-benzyl-[2,2-bis(4-aminophenyl)- ethyl]amino]- 1 -(4-benzyloxy-3-nitrophenyl)ethanol (428 mg) and pyridine (0.2 ml) in dichloromethane (3.4 ml) was added dropwise methyl chlorocarbonate (0.12 ml). The mixture was stirred at the same temperature for 30 minutes and partitioned between chloroform and water. The organic layer was separated, washed successively with saturated sodium bicarbonate solution and brine, dried over magnesium sulfate, and filtered. The filtrate was concentrated and the residue was purified by column chromatography (silica gel, hexane/ethyl acetate) to give (R)-2-[N-benzyl-[2,2-bis[4-(methoxycarbonylamino)phenyl]ethyl]amino]- 1- (4-benzyloxy-3-nitrophenyl)ethanol (451 mg) as a pale red amorphous powder. Η-NMR (CDCls, δ) : 2.42-2.72(2H, m), 2.97(1H, dd, J=13 and 6Hz), 3.21(1H, br s, OH), 3.27(1H, dd, J=13 and lOHz), 3.51(1H, d, J=13Hz), 3.76(6H, s), 3.92(1H, d, J=13Hz), 4.04-4.22(lH, m), 4.48(1H, dd, J=10 and 4Hz), 5.20(2H, s), 6.57(2H, br s), 6.96-7.42(20H, m), 7.69(1H, d, J=2Hz) MS m/z : 705 (M++ l) Example 49
To a solution of (R)-2-[N-ben2yl-[2,2-bis[4-(methoxycarbonylamino)- phenyl]ethyl]amino]-l-(4-benzyloxy-3-nitrophenyl)ethanol (107 mg) in ethanol (2.1 ml) - water (0.43 ml) were added powdered iron (105 mg) and ammonium chloride (12 mg). The mixture was heated at 70°C for 1.5 hours and allowed to cool to room temperature. After the insoluble material was filtered off, the filtrate was concentrated and the residue was purified by column chromatography (silica gel, hexane/ethyl acetate) to give (R)-l-(3-amino-4- benzyloxyphenyl) -2 - [N-benzyl- [2 , 2 -bis[4- (methoxycarbonylamino) phenyl] ethyl] - amino]ethanol (108 mg) as a pale yellow amorphous powder.
Η-NMR (CDCI3, δ) : 2.50-2.74(2H, m), 2.91(1H, dd, J= 13 and 6Hz), 3.19(1H, br s, OH), 3.24(1H, dd, J=13 and lOHz), 3.46(1H, d, J=13Hz), 3.75(6H, s), 3.82(2H, br s, NH2), 3.93(1H, d, J=13Hz), 4.02-4.22(lH, m), 4.38-4.44(lH, m), 5.05(2H, s), 6.48-6.84(5H, m), 6.94-7.48(18H, m) MS m/z : 675 (M++ l) Example 50
To an ice-cooled mixture of (R)-l-(3-amino-4-benzyloxyphenyl)-2-[N- benzyl-[2,2-bis[4-(methoxycarbonylamino)phenyl]ethyl]amino]ethanol (32 mg) and pyridine (20 μl) in dichloromethane (0.6 ml) was added dropwise benzenesulfonyl chloride (8 μl), and the mixture was stirred at room temperature for 2 hours. One drop of ammonia solution (28%) was added to the mixture, and the whole was stirred at the same temperature for 50 minutes before being partitioned between ethyl acetate and water. The organic layer was separated, washed successively with saturated sodium bicarbonate solution and brine, dried over magnesium sulfate, and filtered. The filtrate was concentrated and the residue was purified by column chromatography (silica gel, chloroform/ methanol) to give (R)-2-[N-benzyl-[2,2-bis[4-(memo_^carbonylamino)- phenyl] ethyl] amino] - 1 - [4 -benzyloxy-3 - (benzenesulfonylamino) phenyljethanol (38 mg) as a pale yellow amorphous powder.
Η-NMR (CDCI3, δ) : 2.42-2.68(2H, m), 2.94(1H, dd, J=13 and 6Hz), 3.21(1H, br s, OH), 3.27(1H, dd, J=13 and lOHz), 3.49(1H, d, J= 13Hz), 3.74(3H, s), 3.76(3H, s), 3.95(1H, d, J=13Hz), 4.02-4.20(lH, m), 4.42-4.56(lH, m), 4.81(2H, s), 6.57(2H, br s), 6.60-7.72(27H, m) MS m/z : 815(M++ l) Example 51
A solution of (R)-2-[N-benzyl-[2,2-bis[4-(methoxycarbonylamino)phenyl]- ethyl]amino]-l-[4-benzyloxy-3-(benzenesulfonylamino)phenyl]ethanol (34 mg) in methanol (1 ml) was hydrogenated (1 atm) over 10% palladium on carbon (4 mg) at room temperature for 6 hours. After the catalyst was filtered off, the filtrate was concentrated and the residue was purified by column chromatography (silica gel, chloroform/ methanol) to give (R)-2-[[2,2-bis[4-(methoxycarbonylamino)- phenyl]ethyl]amino]- l-[4-hydroxy-3-(benzenesulfonylamino)phenyl]ethanol (18 mg) as a white amorphous powder. IR (KBr) : 1710 cm1
Η-NMR (CD3OD, δ) : 2.64-2.88(2H, m, AB of ABX), 3.21(2H, d, AB of ABX), 3.71(6H, s), 4.08(1H, t, X of ABX), 4.58(1H, dd, J=8 and 5Hz, X of ABX), 6.61(1H, d, J=8Hz), 6.86(1H, dd, J=8 and 2Hz), 7.00-7.82(14H, m) MS m/z : 635(M++ l) Example 52
To a solution of (R)-2-[[2,2-bis[4-(methoxycarbonylamino)phenyl]- ethyl]amino]-l-[4-hydroxy-3-(benzenesulfonylamino)phenyl]ethanol (107 mg) in methanol (1.1 ml) was added 4N hydrogen chloride in 1,4-dioxane (0.13 ml) at room temperature, and the mixture was stirred at the same temperature for 5 minutes. The mixture was concentrated, and the residue was triturated with diisopropyl ether (2 ml) to give (R)-2-[2,2-bis[4-(methoxycarbonylamino)phenyl]- ethylamino]- l-[4-hydro^-3-(benzenesulfonylaιnino)phenyl]ethanol hydrochloride (95 mg) as a white powder. IR (KBr) : 1710 cm1
Η-NMR (CD3OD, δ) : 2.96-3.24(2H, m, AB of ABX), 3.65-3.90(2H, m, AB of ABX), 3.72(6H, s), 4.37(1H, t, X of ABX), 4.83(1H, t, X of ABX), 6.68(1H, d, J=8Hz), 6.97(1H, dd, J=8 and 2Hz), 7.20-7.82(14H, m) MS m/z : 635(M++ l) (free) Example 53
(R)-2-[N-Ben_^l-[2,2-bis[4-(methoxycarbonylammo)phenyl]ethyl]amino]-l- [4-benzyloxy-3-(methanesulfonylamino)phenyl]ethanol was obtained according to a similar manner to that of Example 50. Η-NMR (CDCla, δ) : 2.48-2.68(2H, m), 2.87-3.04(lH, m), 2.88(3H, s), 3.12- 3.35(2H, m), 3.48(1H, d, J=13Hz), 3.75(6H, s), 3.95(1H, d, J=13Hz), 4.02-4.22(lH, m), 4.42-4.58(lH, m), 5.08(2H, s), 6.58(2H, br s), 6.77(1H, br s), 6.86-7.48(2 IH, m) MS m/z : 753 (M++ l) Example 54
(R)-2-[[2,2-Bis[4-(methoxycarbonylamino)phenyl]ethyl]amino]-l-[4- hydroxy-3-(methanesulfonylamino)phenyl]ethanol was obtained according to a similar manner to that of Example 51. IR (KBr) : 1710 cm1
Η-NMR (CD3OD, δ) : 2.90(3H, s), 3.02(2H, d, AB of ABX), 3.55(2H, d, AB of ABX), 3.72(6H, s), 4.24(1H, t, X of ABX), 4.78(1H, t, X of ABX), 6.86(1H, d, J=8Hz), 7.05(1H, dd, J=8 and 2Hz), 7.14-7.54(9H, m) MS m/z : 573 (M++ l) Example 55
To an ice-cooled solution of (R)-l-(3-amino-4-benzyloxyphenyl)-2-[N- benzyl-[2,2-bis[4-(methoxycarbonylamino)phenyl]ethyl]amino]ethanol (32 mg) in dichloromethane (0.6 ml) was added acetic formic anhydride [prepared in situ by mixing formic acid (11 μl) and acetic anhydride (13 μl)], and the mixture was stirred for 2.5 hours, while being allowed to warm to room temperature.
Methanol (1 ml) and potassium carbonate (20 mg) were added to the mixture, and the whole was stirred at the same temperature for 2 hours before being partitioned between ethyl acetate and water. The organic layer was separated, washed with brine, dried over magnesium sulfate, and filtered. The filtrate was concentrated and the residue was purified by column chromatography (silica gel, chloroform/ methanol) to give (R)-2-[N-benzyl-[2,2-bis[4-(metho_^(_arbonylamino)- phenyl]ethyl]amino]- l-[4-benzyloxy-3-(formylamino)phenyl]ethanol (37 mg) as a white amorphous powder. Η-NMR (CDCI3, δ) : 2.48-2.74(2H, m), 2.84-3.06(lH, m), 3.11-3.36(2H, m), 3.47(1H, d, J=13Hz), 3.76(6H, s), 3.95(1H, d, J=13Hz), 4.02-4.20(lH, m), 4.40- 4.60(1H, m), 5.07(2H, s), 6.58(2/3 of 2H, br s), 6.68(1/3 of 2H, br s), 6.82- 7.50(20H+ 1/3H, m), 7.68(1/3H, br d, J=12Hz), 7.78(2/3H, br s), 8.26(2/3H, d, J=2Hz), 8.42(2/3H, d, J=2Hz), 8.69(1/3H, d, J=12Hz) MS m/z : 703 (M++ l) Example 56
(R)-2-[[2,2-Bis[4-(methoxycarbonylamino)phenyl]ethyl]amino]-l-(3- formylamino-4-hydroxyphenyl)ethanol was obtained according to a similar manner to that of Example 51. IR (KBr) : 1710, 1678 cm-1
Η-NMR (CD3OD, δ) : 2.92-3.12(2H, m, AB of ABX), 3.59(2H, d, AB of ABX),
3.72(6H, s), 4.25(1H, t, X of ABX), 4.78(1H, t, X of ABX), 6.82(1H, d, J=8Hz),
6.96(1H, dd, J=8 and 2Hz), 7.22(4H, d, J=9Hz), 7.40(4H, d, J=9Hz), 8.05(1H, d, J=2Hz), 8.30(1H, s)
MS m/z : 523 (M++ l)
Example 57
(S)-l-Phenoxy-3-[N-benzyl-[2,2-bis[4-(methoxycarbonylamino)phenyl]- ethyl]amino]-2-propanol was obtained according to a similar manner to that of Example 45.
Η-NMR (CDCI3, δ) : 2.62-2.78(2H, m), 3.01(1H, dd, J=13 and 6Hz), 3.18(1H, dd,
J=13 and lOHz), 3.55(1H, d, J=13Hz), 3.75(6H, s), 3.80(1H, d, J=13Hz), 3.86-
4.32(4H, m), 6.50(1H, br s), 6.55(1H, br s), 6.76-7.42(18H, m)
MS m/z : 584 (M++ l) Example 58
(S)- l-Phenoxy-3-[[2,2-bis[4-(methoxycarbonylarnino)phenyl]etnyl]amino]-
2 -propanol was obtained according to a similar manner to that of Example 51.
Η-NMR (CDCI3, δ) : 2.79(1H, dd, J=12 and 7Hz), 2.91(1H, dd, J=12 and 4Hz),
3.22(2H, d, AB of ABX), 3.76(6H, s), 3.86-4.20(4H, m), 6.60(2H, br s), 6.78- 7.02(3H, m), 7.08-7.40(10H, m)
MS m/z : 494(M++ l)
Example 59
(S)-l-(4-Benzyloxy-3-nitrophenoxy)-3-[N-benzyl-[2,2-bis[4-(methoxy- carbonylamino)phenyl]ethyl]amino]-2-propanol was obtained according to a similar manner to that of Example 45.
Η-NMR (CDCls, δ) : 2.64(2H, d, AB of ABX), 3.00(1H, dd, J=13 and 7Hz),
3.17(1H, dd, J=13 and 9Hz), 3.50-4.00(5H, m), 3.74(3H, s), 3.75(3H, s), 4.12(1H, t, X of ABX), 5.18(2H, s), 3.54(1H, br s), 6.56(1H, br s), 6.88-7.52(2 IH, m)
MS m/z : 735 (M++ l) Example 60
(S)-l-(3-Amino-4-benzyloxyphenoxy)-3-[N-benzyl-[2,2-bis[4-(methoxy- carbonylamino)phenyl]ethyl]amino]-2-propanol was obtained according to a similar manner to that of Example 49.
Η-NMR (CDCI3, δ) : 2.33-3.33(4H, m), 3.33-4.28(6H, m), 3.75(6H, s), 5.01(2H, s), 6.12(1H, dd, J=9 and 3Hz), 6.26(1H, d, J=3Hz), 6.56(1H, br s), 6.59(1H, br s),
6.73(1H, d, J=9Hz), 6.92-7.51(18H, m)
MS m/z : 705 (M++ l)
Example 61 (S)-l-[4-Benzyloxy-3-(formylamino)phenoxy]-3-[N-benzyl-[2,2-bis[4-
(methoxycarbonylamino)phenyl]ethyl]amino]-2-propanol was obtained according to a similar manner to that of Example 55.
Η-NMR (CDCb, δ) : 2.66 (2H, d, AB of ABX), 3.00 (IH, dd, J=13 and 7Hz), 3.17 (IH, dd, J=13 and 9Hz), 3.46-3.99 (5H, m), 3.74 (3H, s), 3.75(3H, s), 4.10 (IH, t,
X of ABX), 5.05 (2H, s), 6.42-7.50(22H+ l/4H, m), 7.70 (1/4H, br d, J=12Hz),
7.80 (3/4H, br s), 7.99 (3/4H, d, J=2Hz), 8.40 (3/4H, d, J=2Hz), 8.68 (1/4H, br d,
J=12Hz)
MS m/z : 733 (M++ l) Example 62
(S)- l-(3-Formylamino-4-hydroxyphenoxy)-3-[[2,2-bis[4-(methoxy- carbonylamino)phenyl]ethyl]amino]-2-propanol was obtained according to a similar manner to that of Example 51.
IR (KBr) : 1710, 1678 cm1 Η-NMR (CD3OD, δ) : 2.66-2.95(2H, m), 3.13-3.35(2H, m), 3.71(6H, s), 3.72-
4.22(4H, m), 6.50(1H, dd, J=9 and 3Hz), 6.74(1H, d J=9Hz), 7.19(4H, d, J=8Hz),
7.35(4H, d, J=8Hz), 7.69(1H, d, J=3Hz), 8.28(1H, s)
MS m/z : 553 (M++ l)
Example 63 (S)- l-[4-Benzyloxy-3-(benzenesulfonylamino)phenoxy]-3-[N-benzyl-[2,2- bis[4 - (methoxycarbonylamino) phenyl] ethyl] amino] -2 -propanol was obtained according to a similar manner to that of Example 50.
Η-NMR (CDCI3, δ) : 2.66(2H, d, AB of ABX), 3.00(1H, dd, J= 13 and 7Hz),
3.20(1H, dd, J= 13 and 9Hz), 3.48-4.22(6H, m), 3.73(3H, s), 3.75(3H, s), 4.77(2H, s), 6.45( IH, dd, J=9 and 2Hz), 6.56(2H, br s), 6.66(1H, d, J=9Hz), 6.93-8.00(25H, m)
MS m/z : 845 (M++ l)
Example 64
(S)- l-[4-Hydroxy-3-(benzenesulfonylamino)phenoxy]-3-[[2,2-bis[4- (methoxycarbonylamino)phenyl]ethyl]amino]-2-propanol was obtained according to a similar manner to that of Example 51.
IR (KBr) : 1710 cm1
Η-NMR (CD3OD, δ) : 2.63-2.95(2H, m), 3.12-3.38(2H, m), 3.60-3.88(2H, m),
3.71(6H, s), 3.88-4.22(2H, m), 6.46(1H, dd, J=9 and 3Hz), 6.58(1H, d, J=9Hz), 6.91(1H, d, J=3Hz), 7.11-7.85(13H, m)
MS m/z : 665 (M++ l)
Example 65
To a mixture of (S)-l-phenoxy-3-[N-benzyl-[3,3-bis(4-aminophenyl)- propyl]amino]-2-propanol (60 mg), dichloromethane (1 ml) and pyridine (60 μl), ethyl chloroformate (36 μl) was added with cooling by ice-bath. The reaction mixture was stirred at room temperature for 1 hour, diluted with ethyl acetate (40 ml), washed by water followed by saturated sodium chloride solution, dried over magnesium sulfate, evaporated and purified by preparative TLC (silica gel, hexane : ethyl acetate = 1: 1) to afford an oily product. A mixture of the product, methanol (2 ml) and 10% palladium on charcoal (10 mg) was stirred under hydrogen (1 atm) for 1 hour, filtrated and evaporated to afford (S)-l-phenoxy-3- [[3,3-bis[4-(ethoxycarbonylamino)phenyl]propyl]amino]-2-propanol (23 mg) . Η-NMR (CD3OD, δ) : 1.28(6H, t, J=7.1Hz), 2.1-2.3(2H, m), 2.6-2.85(4H, m), 3.86-4.1(4H, m), 4.14(4H, quartet, J=7.1Hz), 6.88-6.94(3H, m), 7.14-7.35 (10H, m)
MS m/z : 536 (M+ l) Example 66 To a mixture of (S)- l-phenoxy-3-[N-benzyl-[3,3-bis(4-aminophenyl)- propyl]amino]-2-propaήol (60 mg), dichloromethane (1 ml) and pyridine (60 μl), acetic anhydride (35 μl) was added with cooling by ice-bath. The reaction mixture was stirred at room temperature for 1 hour, diluted with ethyl acetate (40 ml), washed by water followed by saturated sodium chloride solution, dried over magnesium sulfate, evaporated and purified by preparative TLC (silica gel, ethyl acetate) to afford an oily product. A mixture of the product, methanol (2 ml) and 10% palladium on charcoal (10 mg) was stirred under hydrogen (1 atm) for 1 hour, filtrated and evaporated to afford (S)-l-phenoxy-3-[[3,3-bis[4- (acetylamino)phenyl]propyl]amino]-2-propanol (10 mg). Η-NMR (CD3OD, δ) : 2.09(6H, s), 2.1-2.3(2H, m), 2.6-2.85(4H, m), 3.9-4.1(4H, m), 6.86-6.95(3H, m), 7.1-7.3(6H, m), 7.44(4H, d, J=8.4Hz) MS m/z : 476 (M+ l) Example 67
The following compounds were obtained according to a similar manner to that of Example 66.
(1) (S)- l-Phenoxy-3-[[3,3-bis[4-(propionylamino)phenyl]propyl]amino]-2- propanol
Η-NMR (CD3OD, δ) : 1.14(6H, t, J=8.9Hz), 2.10-2.3(2H, m), 2.34(4H, quartet, J=8.9Hz), 2.47-2.81(4H, m), 3.89-4.1(4H, m), 6.88-6.94(3H, m), 7.14-7.31(6H, m), 7.45(4H, d, J=8.5Hz) MS m/z : 504 (M+ l)
(2) (S)-l-Phenoxy-3-[[2,2-bis[4-(acetylamino)phenyl]ethyl]amino]-2-propanol Η-NMR (CD3OD, δ) : 2.09(6H, s), 2.73-2.88(2H, m), 3.22(2H, dd, J=2.9Hz, 7.4Hz), 3.87(2H, d, J=5.2Hz), 3.9-4.2(2H, m), 6.82-6.94(3H, m), 7.20-7.27(6H, m), 7.47(4H, d, J=8.4Hz) MS m/z : 462 (M+ l) Example 68 The following compounds were obtained according to a similar manner to that of Example 65.
( 1) (S)- l-Phenoxy-3-[[3,3-bis[4-(me anesulfonylaπmo)phenyl]propyl]amino]- 2 -propanol
Η-NMR (CD3OD, δ) : 2.1-2.3(2H, m), 2.6-2.8(4H, m), 2.89(6H, s), 3.90-4.1(4H, m), 6.87-6.94(3H, m), 7.14-7.29(10H, m) MS m/z : 548 (M+ l)
(2) (S)-l-Pheno_^-3-[[2,2-bis[4-(methanesulfonylamino)phenyl]ethyl]amino]- 2 -propanol
Η-NMR (CD3OD, δ ) : 2.73-2.88(2H, m), 2.89(6H, s), 3.22 (2H, dd, J=2.9Hz, 7.4Hz), 3.87(2H, d, J=5.2Hz), 3.9-4.2(2H, m), 6.87-6.94(3H, m), 7.1-7.3(10H, m) MS m/z : 534 (M+ l)
(3) (R)-l-(4-Benzyloxy-3-nitrophenyl)-2-[N-benzyl-[2,2-bis[4-(2,2- dimethylpropionyloxy)phenyl]ethyl]amino]ethanol
Η-NMR (CDCI3, δ) : 1.33(9H, s), 1.35(9H, s), 2.48-2.7(2H, m), 3.00(1H, dd, J=6.1Hz, 13.0Hz), 3.28(1H, dd, J=10.0Hz, 12.9Hz), 3.52( 1H, d, J=13.3Hz), 3.93(1H, d, J=13.3Hz), 4.20(1H, dd, J=6.2Hz, 9.7Hz), 4.52(1H, dd, J=3.8Hz, 9.7Hz), 5.21(2H, s), 6.94-7.02(4H, m), 7.06-7.17(7H, m), 7.29-7.46(9H, m), 7.72(1H, d, J=2.1Hz) MS m/z : 781 (M+Na), 759 (M+ l) (4) (S)-l-(3-Hydroxymethyl-4-hydroxyphenoxy)-3-[[2,2-bis[4-(2,2- dimethylpropionyloxy) phenyl] ethyl] amino] -2 -propanol
Η-NMR (CD3OD, δ) : 1.33(18H, s), 2.69-2.91(2H, m), 3.17-3.3(2H, m), 3.83(2H, d, J=5.3Hz), 3.93-4.02(lH, m), 4.24(1H, t, J=7.8Hz), 4.61(2H, s), 6.60-6.76(2H, m), 6.88(1H, d, J=1.8Hz), 6.98(4H, d, J=8.5Hz), 7.32(4H, d, J=8.5Hz) MS m/z : 594 (M+ l) Example 69
To a mixture of (S)-l-phenoxy-3-[N-benzyl-[3,3-bis(4-aminophenyl)- propyl]amino]-2 -propanol (60 mg) and acetic acid (2 ml), potassium isocyanate (50 mg) was added at once. The reaction mixture was stirred at room temperature for 1 hour, diluted with ethyl acetate (40 ml), washed by water followed by saturated sodium chloride solution, dried over magnesium sulfate, evaporated and purified by preparative TLC (silica gel, ethyl acetate) to afford an oily product. A mixture of the product, methanol (2 ml) and 10% palladium on charcoal (10 mg) was stirred under hydrogen (1 atm) for 1 hour, filtrated and evaporated to afford (S)-l-phenoxy-3-[[3,3-bis(4-ureidophenyl)propyl]amino]-2- propanol (16 mg).
Η-NMR (CD3OD, δ) : 2.1-2.3(2H, m), 2.6-2.8(4H, m), 3.90-4.1(4H, m), 6.87- 6.94(3H, m), 7.14-7.29(10H, m) MS m/z : 477 (M+) Example 70
To a mixture of (S)-l-phenoxy-3-[N-benzyl-[3,3-bis(4-aminophenyl)- propyl]amino]-2-propanol (60 mg) and dichloromethane (2 ml), a mixture of formic acid (22 μl) and acetic anhydride (28 μl) was added with cooling by ice- bath. The reaction mixture was stirred at room temperature for 1 hour, diluted with ethyl acetate (40 ml), washed by water followed by saturated sodium chloride solution, dried over magnesium sulfate, evaporated and purified by preparative TLC (silica gel, ethyl acetate) to afford an oily product. A mixture of the product, methanol (2 ml) and 10% palladium on charcoal (10 mg) was stirred under hydrogen (1 atm) for 1 hour, filtrated and evaporated to afford (S)-l- phenoxy-3-[[3,3-bis[4-(formylamino)phenyl]propyl]amino]-2-propanol (30 mg). Η-NMR (CD3OD, δ) : 2.18-2.30(2H, m), 2.54-2.81(4H, m), 3.89-4.1(4H, m), 6.88-6.94 (3H, m), 7.21-7.29(6H, m), 7.48(4H, d, J=8.5Hz), 8.21(2H, s) MS m/z : 448 (M+ l) Example 71
To a mixture of (S)-l-phenoxy-3-[N-benzyl-[3,3-bis(4-aminophenyl)- propyl]amino]-2-propanol (120 mg), N,N-dimethylformamide (2 ml) and potassium carbonate (0.5g), 4-chlorobutyryl chloride (84 μl) was added with cooling by ice-bath. The reaction mixture was stirred at room temperature for 1 hour, diluted with ethyl acetate (40 ml), washed by water followed by saturated sodium chloride solution, dried over magnesium sulfate and evaporated to afford a crude product. A mixture of the product, methanol (5 ml) and 28% sodium methoxide - methanol solution (0.29 g) was heated under reflux for 4 hours, worked up in the usual manner as described above, purified by preparative TLC (silica gel, ethyl acetate) to afford an oily product. A mixture of the purified oily product, methanol (2 ml), 1,4-dioxane (2 ml) and 10% palladium on charcoal (10 mg) was stirred under hydrogen ( 1 atm) for 2 hours, filtrated and evaporated to afford (S)- l-phenoxy-3-[[3,3-bis[4-(pyrrolidin-2-one- l-yl)phenyl]propyl]amino]-2- propanol (46 mg).
Η-NMR (CD3OD, δ) : 2.00-2.30(6H, m), 2.59-2.76(8H, m), 3.82-4.04(8H, m), 6.88-6.94(3H, m), 7.21-7.31(6H, m), 7.49(4H, d, J=6.6Hz) MS m/z : 528 (M+ l) Example 72
The following compound was obtained according to a similar manner to that of Example 71.
(S)- l-Phenoxy-3-[[3,3-bis[4-( 1 , l-dioxoisothiazolidin-2- yl)phenyl]propyl]amino]-2-propanol
Η-NMR (CDsOD, δ) : 2.00-2.40(2H, broad m), 2.46(4H, quintet, J=6.7Hz),
3.36(4H, t, J=7.5Hz), 3.6-3.8(4H, m), 3.9-4.1(4H, m), 6.87-6.94(3H, m), 7.1-
7.4(10H, m)
MS m/z : 600 (M+ l) Example 73
To a mixture of (S)-l-phenoxy-3-[N-benzyl-[3,3-bis(4-aminophenyl)- propyl]amino]-2-propanol (120 mg), dichloromethane (2 ml) and acetic acid (1 drop), 2-chloroethyl isocyanate (63 μl) was added with cooling by ice-bath. The reaction mixture was stirred at room temperature for 1 hour, diluted with ethyl acetate (40 ml), washed by water followed by saturated sodium chloride solution, dried over magnesium sulfate and evaporated to afford a crude product. A mixture of the product, methanol (5 ml) and 28% sodium methoxide - methanol solution (0.29 g) was heated under reflux for 5 hours, worked up in the usual manner as described above, purified by preparative TLC (silica gel, dichloromethane : methanol = 20: 1) to afford an oily product. A mixture of the purified oily product, methanol (2 ml), 1,4-dioxane (2 ml) and 10% palladium on charcoal (10 mg) was stirred under hydrogen (1 atm) for 2 hours, filtrated and evaporated to afford (S)-l-phenoxy-3-[[3,3-bis[4-(imidazolidin-2-one- l- yl) phenyl] propyl] amino] -2 -propano 1 (79mg) . Η-NMR (CD3OD, δ) : 2.1-2.4(2H, broad m), 2.5-2.6(2H, broad m), 2.7-2.9(2H, m), 3.49(4H, dd, J=6.0Hz, 8.8Hz), 3.85-4.08(8H, m), 6.88-6.94(3H, m), 7.1-
7.29(6H,m), 7.39-7.45 (4H, m)
MS m/z : 530 (M+ l), 503, 476
Example 74 The following compounds were obtained according to a similar manner to that of Example 9.
(1) (R)-l-(3-Chlorophenyl)-2-[N-benzyl-[3,3-bis[4-
(methoxycarbonylamino) phenyl] propyl] amino] ethanol
MS m/z : 602 (M+) (2) (S)-l-(3-Formyl-4-benzyloxyphenoxy)-3-[N-benzyl-[2,2-bis(4- hydroxyphenyl)ethyl]amino]-2-propanol
MS m/z : 604 (M+ l)
(3) (R)-2-[N-Benzyl-[3,3-bis[4-(methoxycarbonylamino)phenyl]propyl]amino]- l-(4-benzyloxy-3-nitrophenyl)ethanol
Η-NMR (CDCI3, δ) : 2.04-2.73(6H, m), 3.49(1H, d, J=13Hz), 3.72-3.92(lH, m), 3.75(6H, s), 3.84(1H, d, J=13Hz), 4.45(1H, dd, J=10 and 3Hz), 5.21(2H, s), 6.56(2H, br s), 6.98-7.53(20H, m), 7.72(1H, d, J=2Hz) MS m/z : 719 (M++ l)
(4) (R)-2-[N-Benzyl-[3,3-bis[4-( 1-pyrrolidinyl) phenyl] propyl] amino]- 1-(4- benzyloxy-3 -nitrophenyl) ethanol
Η-NMR (CDCI3, δ) : 1.78-2.14(8H, m), 2.05-2.75(6H, m), 3.06-3.40(8H, m), 3.50(1H, d, J=13Hz), 3.63-3.81(lH, m), 3.85(1H, d, J=13Hz), 4.45(1H, dd, J=10 and 4Hz), 5.20(2H, s), 6.47(4H, d, J=9Hz), 6.90-7.60(16H, m), 7.72(1H, d, J=2Hz)
(5) (S)- l-Phenoxy-3-[N-benzyl-[2,2-bis[3-(methoxycarbonylamino)phenyl]-2- hydroxyethyl] amino] -2 -propanol
Η-NMR (CDCI3, δ) : 2.73(2H, d, AB of ABX), 3.44-3.82(6H, m), 3.74(6H, s), 3.84-4.06(lH, m), 5.22(1H, br s, OH), 6.59(2H, br s), 6.68-7.50(18H, m) MS m/z : 600 (M++ l)
(6) (R)-2-[N-Benzyl-[2,2-bis(4-methoxy-3-methylphenyl)ethyl]amino]-l-(4- benzyloxy-3 -nitrophenyl) ethanol
(+) APCI-MS m/z : 647 (M+H)+
(7) (R)-2-[N-Benzyl-[2,2-bis(4-hydroxy-3-methylphenyl)ethyl]amino]-l-[4- benzyloxy-3-[N-(benzyloxycarbonyl)methanesulfonylamino]phenyl]ethanol
(+) ESI-MS m/z : 801 (M+H)+
(8) (S)-l-Phenoxy-3-[N-ben2yl-[2,2-bis(4-hydroxyphenyl)ethyl]amino]-2- propanol
(+) APCI-MS m/z : 470 (M+H)+ (9) (S)- l-Phenoxy-3-[N-benzyl-[3,3-bis(4-hydroxyphenyl)propyl]amino]-2- propanol (+) APCI-MS m/z : 483 (M+H)+
(10) (S)- l-(lH-Indol-4-yloxy)-3-[N-benzyl-[2,2-bis(4-hydroxyphenyl)ethyl]- amino]-2-propanol (+) APCI-MS m/z : 509 (M+H)+
( 11) (S)- 1-( lH-Indol-4-yloxy)-3-[N-benzyl-[3,3-bis(4-hydroxyphenyl)propyl]- amino]-2-propanol
(+) APCI-MS m/z : 523 (M+H)+
(12) (R)-2-[N-Benzyl-[3,3-bis(4-methoxyphenyl)propyl]amino]- l-(4-benzyloxy- 3-nitrophenyl)ethanol
MS (m/z) : 633 (M+ l)
(13) (S)-3-[(2-Hydroxy-2,2-diphenylethyl)amino]- l-phenoxy-2 -propanol hydrochloride -NMR (DMSO-de, δ) : 2.95-3.25(2H, m), 3.80-4.10(4H, m), 4.20-4.30(lH, m), 6.80-7.05(3H, m), 7.20-7.60(12H, m) MS (m/z) : 364 (M+ l)
(14) (R)-2-[N-Benzyl-[2,2-bis(4-benzyloxy-3-chlorophenyl)ethyl]amino]-l-(4- benzyloxy-3 -nitrophenyl) ethanol
Η-NMR (DMSO-de, δ) : 2.61(2H, br d, CH2), 2.90-3.00(2H, m, CH2), 3.51(1H, d, J=13.3Hz, CH2), 3.76(1H, d, J=13.3Hz, CH2), 4.19(1H, t, J=7.3Hz, CHAr2), 4.65(1H, m, CH), 5.02(1H, d, J=3.8Hz, OH), 5.14(2H, s, CH2), 5.15(2H, s, CH2), 5.25 (2H, s, CH2), 6.96-7.71(29H, m, aromatic H) (+) ESI MS m/z : 839, 841, 843 (M++ l) Example 75
A mixture of (R)-l-(3-chlorophenyl)-2-[N-benzyl-[3,3-bis[4-(methoxy- carbonylamino) phenyl] propyl] amino] ethanol (112 mg), methanol (6 ml), chlorobenzene (6 ml) and 10% palladium on charcoal (100 mg) was stirred under hydrogen (1 atm) for 40 minutes, filtrated, and evaporated to afford (R)- l-(3- chlorophenyl)-2-[[3,3-bis[4-(methoxycarbonylarnino)phenyl]propyl]amino]ethanol hydrochloride (96 mg).
Η-NMR (CD3OD, δ) : 2.18-2.49(2H, m), 2.93-3.24(4H, m), 3.71(6H, s), 3.91(1H, t, J=7.6Hz), 4.9-5.0(lH, m), 7.12-7.2(5H, m), 7.29-7.39(7H, m) MS m/z : 512, 514 (free form, M+ l) Preparation 47
To a mixture of 2,2-bis[4-(tert-butoxycarbonylamino)phenyl]ethanol (500 mg), dichloromethane (5 ml) and triethylamine (0.45 ml), methanesulfonyl chloride (0.12 ml) was added dropwise with cooling by ice-bath. The reaction mixture was stirred at room temperature for 10 minutes, diluted with ethyl acetate (50 ml), washed by water followed by saturated sodium chloride solution, dried over magnesium sulfate and evaporated to afford a crude product. A mixture of the product and benzylamine (2.6 ml) was heated at 120°C for 1.5 hours, diluted with ethyl acetate (50 ml), washed by IN hydrochloric acid solution (30 ml, twice) followed by saturated sodium bicarbonate solution, dried over potassium carbonate and evaporated to afford a crude product, which was purified by column chromatograpy (silica gel, hexane : ethyl acetate = 1:2) to afford N-ben_^l-2,2-bis[4-(tert-butoxycarbonylarrι o)phenyl]etJ ylamine (263 mg). Η-NMR (CD3OD, δ) : 1.49(18H, s), 3.10(2H, d, J=7.9Hz), 3.75(2H, s), 4.80(lH, t, J=7.3Hz), 7.10(4H, d, J=6.7Hz), 7.2-7.34(9H, m) MS m/z : 518 (M+ l), 503, 476 Example 76
The following compound was obtained according to a similar manner to that of Example 70.
(S)-l-Phenoxy-3-[[2,2-bis[4-(foπnylamino)phenyl]emyl]amino]-2-propanol -NMR (CD3OD, δ) : 2.73-2.88(2H, m), 3.22(2H, dd, J=2.9Hz, 7.4Hz), 3.87(2H, d, J=5.2Hz), 3.9-4.2(2H, m), 6.87-6.94(3H, m), 7.1-7.4(6H, m), 7.51(4H, d, J=7.4Hz), 8.22(2H, s) MS m/z : 434 (M+ l) Example 77
The following compound was obtained according to a similar manner to that of Example 67. (S)-l-Phenoxy-3-[[2,2-bis(4-ureidophenyl)ethyl]amino]-2-propanol
Η-NMR (CD3OD, δ) : 2.73-2.88(2H, m), 3.22(2H, dd, J=2.9Hz, 7.4Hz), 3.87(2H, d, J=5.2Hz), 3.9-4.2(2H, m), 6.83-6.94(3H, m), 7.16-7.32(8H, m), 7.46(2H, d,
J=8.5Hz)
MS m/z : 463 (M+) Example 78
A mixture of (R)- l-(4-benzyloxy-3-nitrophenyl)-2-[N-ben^l-[2,2-bis[4-(2,2- dimethylpropionyloxy)phenyl]ethyl]amino]ethanol (193 mg), ethanol (5 ml),. water (0.5 ml), iron powder (0.2 g) and ammonium chloride (0.1 g) was refluxed for 0.5 hour. The reaction mixture was filtrated, diluted with ethyl acetate (40 ml), washed by saturated sodium chloride solution, dried over magnesium sulfate and evaporated to afford a crude product. To a mixture of the crude product, dichloromethane (4 ml) and pyridine (123 μl), methanesulfonyl chloride (60 μl) was added with cooling by ice-bath. The reaction mixture was stirred at room temperature for 10 minutes, diluted with ethyl acetate (40 ml), washed by water followed by saturated sodium chloride solution, dried over magnesium sulfate and evaporated to afford a crude product which was purified by column chromatography (silica gel, hexane : ethyl acetate = 2: 1) to afford (R)-l-[4- benzyloxy-3-(methanesulfonylamino)phenyl]-2-[N-ben2yl-[2,2-bis[4-(2,2- dimethylpropionyloxy)phenyl]ethyl]amino]ethanol (191 mg) . Η-NMR (CDCI3, δ) : 1.33(9H, s), 1.34(9H, s), 2.61-2.64(2H, d, J=5.7Hz), 2.89(3H, s), 2.96(1H, dd, J=5.9Hz, 13.1Hz), 3.28(1H, dd, J=10.5Hz, 12.8Hz), 3.48(1H, d, J=13.4Hz), 3.94(1H, d, J=13.4Hz), 4.21(1H, dd, J=5.8Hz, 10.1Hz), 4.54(1H, dd, J=5.8Hz, 7.7Hz), 5.08(2H, s), 6.77(1H, s), 6.92-7.2(12H, m), 7.25-7.42(9H, m) MS m/z : 829 (M+Na), 807 (M+ l) Example 79
A mixture of (R)- l-[4-benzyloxy-3-(methanesulfonylamino)phenyl]-2-[N- ben__yl-[2,2-bis[4-(2,2-dimethylpropionylo_^)phenyl]emyl]amino]ethanol (185 mg), methanol (5 ml), 1,4-dioxane (5 ml), 4N hydrogen chloride solution in 1,4-dioxane (57 μl) and 10% palladium on charcoal (50 mg) was stirred under hydrogen (1 atm) for 20 minutes, filtrated and evaporated to afford (R)-l-[4-hydroxy-3-
(methanesulfonylamino)phenyl)-2-[[2,2-bis[4-(2,2-dimethylpropionyloxy)phenyl]- ethyl] amino] ethanol hydrochloride (141 mg). Η-NMR (CD3OD, δ) : 1.34(18H, s), 2.91(3H, s), 3.1-3.3(2H, m), 3.83(2H, dd,
J=3.1Hz, 8.1Hz), 4.51(1H, t, J=8.0Hz), 4.9-5.0(lH, m), 6.90(1H, d, J=8.3Hz),
7.06-7.14(5H, m), 7.38-7.46(5H, m)
MS m/z : 627 (M+ l), 609
Example 80 To a mixture of (R)- l-(4-benzyloxy-3-nitrophenyl)-2-[N-benzyl-[2,2-bis(4- hydroxyphenyl) ethyl] amino] ethanol (422 mg), N,N-dimethylformamide (1 ml) and potassium carbonate (128 mg), isopropyl chloroformate (80 μl) was added. The reaction mixture was stirred at room temperature for 3 hours, diluted with ethyl acetate (40 ml), washed by water followed by saturated sodium chloride solution, dried over magnesium sulfate and evaporated to afford (R)- l-(4-benzyloxy-3- nitrophenyl)-2-[N-benzyl-[2,2-bis[4-(isopropoxycarbonylo_^)phenyl]emyl]amino]- ethanol (126 mg).
MS m/z : 785 (M+Na), 763 (M+ l)
Example 81 The following compound was obtained according to a similar manner to that of Example 78.
(R)- l-[4-Benzyloxy-3-(methanesulfonylamino)phenyl]-2-[N-benzyl-[2,2- bis[4- (isopropoxycarbonyloxy) phenyl] ethyl] amino] ethanol
MS m/z : 833 (M+Na), 811 (M+ l) Example 82
The following compound was obtained according to a similar manner to that of Example 79.
(R)- l-[4-Hydroxy-3-(methanesulfonylamino)phenyl]-2-[[2,2-bis[4-
(isopropoxycarbonyloxy) phenyl] ethyl] amino] ethanol hydrochloride Η-NMR (CD3OD, δ) : 1.33(12H, d, J=6.2Hz), 2.92(3H, s), 3.04-3.3(2H, m),
3.83(2H, dd, J=3.1Hz, 8.1Hz), 4.53(1H, t, J=7.9Hz), 4.9-5.0(lH, m), 6.90(1H, d,
J=8.3Hz), 7.08-7.21(5H, m), 7.38-7.47(5H, m)
MS m/z : 631 (M+ l), 613
Example 83 A mixture of tert-butyl N-benzyl-N-[2,2-bis(3-chloro-4-hydroxyphenyl)- ethyl]carbamate (112 mg) and 4N hydrogen chloride solution in 1,4-dioxane (1 ml) was stood at room temperature for 3 hours, diluted with ethyl acetate (40 ml), washed by saturated sodium bicarbonate solution, dried over sodium sulfate and evaporated to afford a free amine. A mixture of the amine, (S)-[(3-formyl-4- benzyloxyphenoxy)methyl]oxirane (73 mg) and isopropanol (2 ml) was refluxed for 16 hours. To the reaction mixture, methanol (2 ml) and sodium borohydride (50 mg) were added with ice-bath cooling. The reaction mixture was diluted with ethyl acetate (40 ml), washed by water followed by saturated sodium chloride solution, dried over sodium sulfate, evaporated and purified by preparative TLC (silica gel, hexane : ethyl acetate = 1: 1) to afford an oily product. A mixture of the oily product, methanol (2 ml) and 10% palladium on charcoal (10 mg) was stirred under hydrogen (1 atm) for 15 minutes, filtrated, evaporated to afford (S)- l-(3-methyl-4-hydroxyphenoxy)-3-[[2,2-bis(4-hydroxyphenyl)ethyl]amino]-2- propanol hydrochloride (50.3 mg). -NMR (CD3OD, δ) : 2.15(3H, s), 3.12-3.3(2H, m), 3.70(2H, d, J=8.0Hz), 3.81- 3.97(2H, m), 4.16-4.31(2H, m), 6.52(1H, dd, J=2.9Hz, 8.5Hz), 6.61(1H, d, J=2.9Hz), 6.64(1H, d, J=8.5Hz), 6.76(4H, dd, J=2.2Hz, 8.6Hz), 7.16(4H, dd, 2.2Hz, 8.6Hz)
MS m/z : 410 (free form, M+ l) Example 84
A mixture of (RS)- l-(4-benzyloxy-3-methoxycarbonylphenyl)-2-[N-benzyl- [2,2-bis(4-methoxyphenyl)ethyl]amino]ethanol (72 mg), formamide (50 mg), N,N- dimethylformamide (1 ml) and 28% sodium methoxide - methanol solution (15 mg) was heated at 100°C. After 1 hour, formamide (50 mg) and 28% sodium, methoxide - methanol solution (30 mg) was added and heated at 100°C for 0.5 hour. The reaction mixture was diluted with ethyl acetate (40 ml), washed by water followed by saturated sodium chloride solution, dried over magnesium sulfate and evaporated to afford (RS)-l-(4-benzyloxy-3-carbamoylphenyl)-2-[N- benzyl-[2,2-bis(4-methoxyphenyl)ethyl]amino]ethanol (64 mg). MS m/z : 617 (M+ l) Example 85
A mixture of (RS)-l-(4-benzyloxy-3-carbamoylphenyl)-2-[N-benzyl-[2,2- bis(4-methoxyphenyl)ethyl]amino]ethanol (24 mg), methanol (2 ml) and 10% palladium on charcoal (10 mg) was stirred under hydrogen (1 atm) for 20 minutes, filtrated, evaporated and purified by preparative TLC (silica gel, dichloromethane : methanol : concentrated ammonia solution = 9: 1:0.1) to afford (RS)-l-(4-hydroxy-3-carbamoylphenyl)-2-[[2,2-bis(4-methoxyphenyl)ethyl]- amino]ethanol (8.5 mg).
Η-NMR (CD3OD, δ) : 2.78-2.9(2H, m), 3.15(2H, d, J=7.9Hz), 3.75(6H, s), 4.0- 4.2(1H, m), 4.64(1H, t, J=7.5Hz), 6.78-6.84(5H, m), 7.08-7.30(5H, m), 7.71(1H, m) MS m/z : 437 (M+ l) Preparation 48
The following compound was obtained according to a similar manner to that of preparation 21. (S)-[(4-Nitrophenoxy)methyl]oxirane
MS m/z : 218 (M+Na) Example 86
A mixture of N-benzyl-[3,3-bis(4-methoxyphenyl)propyl]amine (21.5 mg), (S)-[(4-nitrophenoxy)methyl]oxirane (13 mg) and ethanol (1 ml) was refluxed for 12 hours. To the reaction mixture, water (0.1 ml), iron powder (10 mg) and ammonium chloride ( 10 mg) were added and refluxed for 1 hour. The reaction mixture was filtrated, diluted with ethyl acetate (40 ml), washed by saturated sodium chloride solution, dried over magnesium sulfate and evaporated to afford a crude product. To a mixture of the crude product, dichloromethane ( 1 ml) and pyridine (30 μl), methanesulfonyl chloride (7 μl) was added with cooling by ice- bath. The reaction mixture was stirred at room temperature for 10 minutes, diluted with ethyl acetate (40 ml), washed by water followed by saturated sodium chloride solution, dried over magnesium sulfate and evaporated to afford a crude product. A mixture of the crude product, methanol (2 ml) and 10% palladium on charcoal (10 mg) was stirred under hydrogen ( 1 atm) for 20 minutes, filtrated, evaporated and purified by preparative TLC (silica gel, dichloromethane : methanol : concentrated ammonia solution = 9: 1:0.1) to afford (S)- l-[4- (methanesulfonylamino) phenoxy] -3 - [[3,3 -bis(4-methoxyphenyl) propyl] amino] -2 - propanol (16 mg). Η-NMR (CD3OD, δ) : 2.2-2.4(2H, m), 2.7-3.0(4H, m), 2.87(3H, s), 3.74(6H, s), 3.8-4.2(4H, m), 6.82(4H, d, J=8.6Hz), 6.92(2H, d, J=9.0Hz), 7.14-7.20(6H, m) MS m/z : 515 (M+ l) Example 87
The following compounds were obtained according to a similar manner to that of Example 49.
(1) (R)- l-(3-Amino-4-benzyloxyphenyl)-2-[N-benzyl-[3,3-bis[4- (methoxycarbonylamino) phenyl] propyl] amino] ethanol
Η-NMR (CDCI3, δ) : 2.04-2.70(6H, m), 3.46(1H, d, J=13Hz), 3.75(6H, s), 3.75- 3.92(1H, m), 3.85(1H, d, J=13Hz), 4.42(1H, dd, J=9 and 5Hz), 5.05(2H, s), 6.55- 6.85(3H, m), 6.56(2H, br s), 7.00-7.50(18H, m) MS m/z : 689 (M++ l)
(2) (R)-l-(3-Amino-4-benzyloxyphenyl)-2-[N-benzyl-[3,3-bis[4-(l- pyrrolidinyl)phenyl]propyl]amino]ethanol -NMR (CDCk, δ) : 1.84-2.08(8H, m), 2.08-2.78(6H, m), 3.10-3.36(8H, m), 3.47(1H, d, J=13Hz), 3.62-3.80(lH, m), 3.87(1H, d, J= 13Hz), 4.44(1H, dd, J=9 and 5Hz), 5.05(2H, s), 6.46(4H, d, J=9Hz), 6.50-7.50(17H, m) MS m/z : 681 (M++ l) (3) (R)- l-(3-Amino-4-benzyloxyphenyl)-2-[N-benzyl-[2,2-bis(4-methoxy-3- methylphenyl)ethyl]amino]ethanol (+) APCI-MS m/z : 617 (M+H)+
(4) (R)- l-(3-Amino-4-benzyloxyphenyl)-2-[N-benzyl-[3,3-bis(4- benzyloxyphenyl) propyl] amino] ethanol (5) (S)-l-(3-Amino-4-benzyloxyphenoxy)-3-[N-benzyl-[2,2-bis(4- benzyloxyphenyl) ethyl] amino] -2 -propanol
Η-NMR (CHCI3, δ) : 2.66(2H, d, J=6.7Hz), 2.90-3.00(lH, m), 3.50-3.90(7H, m), 4.98(2H, s), 5.01(4H, s), 6.60-7.40(23H, m)
(6) (S)- l-(3-Amino-4-benzyloxyphenoxy)-3-[N-benzyl-[3,3-bis(4- benzyloxyphenyl) propyl] amino] -2 -propanol
MS m/z : 815 (M+ l)
(7) (R)-2-[N-Benzyl-[2,2-bis(4-benzyloxy-3-chlorophenyl)ethyl]amino]-l-(3- amino-4-benzyloxyphenyl)ethanol
Η-NMR (DMSO-de, δ) : 2.51(2H, m, CH2), 3.03-3.13(2H, m, CH2), 3.64(1H, d, J= 13.9Hz, CH2), 3.74(1H, d, J= 13.9Hz, CH2), 4.22(1H, t, J=7.7Hz, CHAr2),
4.29(1H, d, J=2.8Hz, OH), 4.49(1H, m, CH), 4.64(2H, brs, NH2), 5.04(2H, s, CH2), 5.16(4H, s, CH2), 6.31(1H, dd, J=8.3, 1.7Hz, aromatic H), 6.58(1H, d, J=1.7Hz, aromatic H), 6.73(1H, d, J=8.3Hz), 7.05-7.48(26H, m, aromatic H) Example 88 The following compounds were obtained according to a similar manner to that of Example 50.
(1) (R)-2-[N-Ben_^l-[3,3-bis[4-(methoxycarbonylan ino)phenyl]propyl]arnino]- 1 - [4-benzyloxy-3 - (benzene sulfonylamino) phenyl] ethanol
Η-NMR (CDCI3, δ) : 2.04-2.73(6H, m), 3.48(1H, d, J=13Hz), 3.75(6H, s), 3.75- 3.94(1H, m), 3.85(1H, d, J=13Hz), 4.43(1H, dd, J=10 and 3Hz), 4.81(2H, s), 6.57(1H, br s), 6.61(1H, br s), 6.71(1H, d, J=8Hz), 6.90-7.75(25H, m) MS m/z : 829 (M++ l)
(2) (R)-2-[N-Benzyl-[2,2-bis(4-benzyloxyphenyl)emyl]amino]-l-[4-benzyloxy-3- [(2,2,2-trifluoroethyl)sulfonylamino]phenyl]ethanol Η-NMR (CDCI3, δ) : 2.44-2.74(2H, m), 2.92(1H, dd, J= 13 and 6Hz), 3.27(1H, dd, J=13 and lOHz), 3.29(1H, br s, OH), 3.46(1H, d, J=13Hz), 3.73(2H, q, JF- H=9Hz), 3.95(1H, d, J= 13Hz), 4.02-4.22(lH, m), 4.51(1H, dd, J= 10 and 4Hz), 5.01(2H, s), 5.03(2H, s), 5.08(2H, s), 6.80-7.50(32H, m) MS m/z : 887 (M++ l)
(3) (R)-2-[N-Ben2yl-[3,3-bis[4-( 1-pyrrolidinyl) phenyl] propyl] amino]- l-[4- benzyloxy-3-(methanesulfonylamino)phenyl]ethanol
Η-NMR (CDC13, δ) : 1.81-2.11(8H, m), 2.10-2.80(6H, m), 2.88(3H, s), 3.08- 3.38(8H, m), 3.50(1H, d, J= 13Hz), 3.60-3.82(lH, m), 3.91(1H, d, J=13Hz),
4.61(1H, dd, J=10 and 4Hz), 5.08(2H, s), 6.47(4H, d, J=9Hz), 6.75(1H, br s), 6.85-
7.52(17H, m)
MS m/z : 759 (M++ l)
(4) (R)-2-[N-Benzyl-[2,2-bis(4-methoxy-3-methylphenyl)ethyl]amino]- l-[4- benzyloxy-3 - (methanesulfonylamino) phenyl] ethanol
(+) APCI-MS m/z : 695(M+H)+
(5) (R)-l-(3-Benzenesulfonylamino-4-benzyloxyphenyl)-2-[N-benzyl-[3,3- bis(4-benzyloxyphenyl)propyl]amino]ethanol
(6) (R)-l-[4-Benzyloxy-3-(methanesulfonylamino)phenyl]-2-[N-benzyl-[2,2- bis(4-benzyloxy-3-chlorophenyl)ethyl]amino]ethanol
Η-NMR (DMSO-d6, δ) : 2.56(2H, m, CH2), 2.82(3H, s, CH3), 3.07(2H, m, CH2), 3.68(2H, s, CH2), 4.19(1H, m, CHAr2), 4.58(1H, br s, OH), 4.60(1H, m, CH), 5.13(2H, s, CH2), 5.15(4H, s, CH2), 6.87-7.54(29H, m, aromatic H), 8.91(1H, br s, NH) (+) ESI MS m/z : 909, 911, 13 (M++Na) Example 89
The following compounds were obtained according to a similar manner to that of Example 51.
( 1) (R)-2-[[3,3-Bis[4-(methoxycarbonylamino)phenyl]propyl]amino]- 1-[4- hydroxy-3-(benzenesulfonylamino)phenyl]ethanol
IR (KBr) : 1710, 1602 cm1
Η-NMR (CD3OD, δ) : 2.10-2.40(2H, m, AB of ABX), 2.60-2.85(4H, m), 3.70(6H, s), 3.90(1H, t, X of ABX), 4.64(1H, t, X of ABX), 6.67(1H, d, J=8Hz), 6.93(1H, dd, J=8 and 2Hz), 7.10-7.55(12H, m), 7.66-7.82(2H, m) MS m/z : 649 (M++ l)
(2) (R)-2-[[3,3-Bis[4-( 1-pyrrolidinyl) phenyl] propyl] amino]- l-[4-hydroxy-3- (methanesulfonylamino)phenyl]ethanol
IR (KBr) : 1612, 1518 cm1
Η-NMR (CDCI3, δ) : 1.74-2.10(8H, m), 2.20-2.50(2H, m), 2.50-3.00(4H, m), 2.72(3H, s), 3.00-3.32(8H, m), 3.63-3.83(lH, m), 4.60-5.00(lH, m), 6.40(4H, d, J=8Hz), 6.63-6.90(2H, m), 7.00(4H, d, J=8Hz), 7.14(1H, br s), 7.20-7.40(lH, m) MS m/z : 573 (M++ l)
(3) (S)- l-Phenoxy-3-[[2,2-bis[3-(methoxycarbonylamino)phenyl]-2- hydoxyethyl]amino]-2-propanol
Η-NMR (CDCI3, δ) : 2.75-2.96(2H, m), 3.35(1H, d, J=12Hz), 3.42(1H, d, J=12Hz), 3.73(6H, s), 3.82-4.20(3H, m), 6.60-7.52(15H, m) MS m/z : 510 (M++ l) (4) (R)-2-[[2,2-Bis(4-methoxy-3-methylphenyl)ethyl]amino]- l-[4-hydroxy-3- (methanesulfonylamino)phenyl]ethanol
Η-NMR (DMSO-d6, δ) : 2.09(6H, s), 2.60(2H, d, J=6.1Hz), 2.90(3H, s), 3.06(2H, d, J=7.5Hz), 3.72(6H, s), 3.89(1H, t, J=7.5 Hz), 4.45(1H, t, J=6.1Hz), 6.7-7.1(8H, m), 7.14(lH, d, J=1.8Hz) (+) APCI-MS m/z : 515 (M+H)+ Preparation 49
The following compounds were obtained according to a similar manner to that of Preparation 16.
( 1 ) N-Ben2yl-3 ,3-bis[4-( 1 -pyrrolidinyl) phenyl] propylamine Η-NMR (CDCI3, δ) : 1.82-2.10(8H, m), 2.19(2H, t, J=7Hz), 2.63(2H, q, J=7Hz), 3.08-3.38(8H, m), 3.71(2H, s), 3.82(1H; t, J=7Hz), 6.47(4H, d, J=9Hz), 7.07(4H, d, J=9Hz), 7.14-7.42(5H, m) MS m/z : 440 (M++ l)
(2) 2-Benzylamino- 1 , 1 -bis [3 -(methoxycarbonylamino) phenyl] ethanol Η-NMR (CDCI3, δ) : 3.30(2H, s), 3.75(6H, s), 3.80(2H, s), 6.61(2H, br s), 7.04- 7.44(13H, m) MS m/z : 450 (M++ l) Preparation 50
To a solution of 1,3-dibromobenzene (23.30 g) in tetrahydrofuran (90 ml) was added dropwise 1.54 M n-butyllithium/ hexane (62 ml) at -65°C over 40 minutes. The resulting suspension was allowed to warm to about -30°C before cooled to -70°C again. To the suspension was added dropwise ethyl 2- (dibenzylamino)acetate (12.76 g) in tetrahydrofuran (4.5 ml) below -50°C over 10 minutes. The mixture was allowed to warm to room temperature for 1 hour. The mixture was partitioned between ethyl acetate and water. The organic layer was separated, washed successively with water and brine, dried over magnesium sulfate, and filtered. The filtrate was concentrated and the residue was purified by column chromatography (silica gel, hexane/ethyl acetate) followed by recrystallization from ethyl acetate - hexane to give 2-dibenzylamino-l, l-bis(3- bromophenyl) ethanol (8.47 g) as a white powder.
Η-NMR (CDCb, δ) : 3.38(2H, s), 3.46(4H, s), 5.25(1H, s, OH), 7.02-7.62(18H, m) MS m/z : 550, 552, 554 (M++ l) Preparation 51 A mixture of 2-diben__ylamino- l, l-bis(3-bromophenyl)ethanol (553 mg), benzophenone imine (539 mg), tris(dibenzylideneacetone)dipalladium (0) (46 mg), racemic 2,2'-bis(diphenylphosphino)- l, l'-binaphthyl (74 mg), and sodium tert- butoxide (126 mg) in toluene (2.5 ml) was heated at 80°C for 6 hours. The mixture was partitioned between ethyl acetate and water. The organic layer was separated, washed with brine, dried over magnesium sulfate, and filtered. The filtrate was concentrated and the residual oil was dissolved in tetrahydrofuran (2.5 ml). To the solution was added 6N hydrochloric acid, and the mixture was stirred at room temperature for 3 hours. The mixture was partitioned between ethyl acetate and water. The water layer was neutralized with saturated sodium bicarbonate solution and extracted twice with ethyl acetate. The combined extract was washed with brine, dried over magnesium sulfate, and filtered. The filtrate was evaporated to give l, l-bis(3-aminophenyl)-2-(dibenzylamino)ethanol (488 mg) as a pale yellow powder. Η-NMR (CDCls, δ) : 3.39(2H, s), 3.46(4H, s), 3.53(4H, br s, NH2), 5.17(1H, br s, OH), 6.35-7.68(18H, m) MS m/z : 424 (M++ l) Preparation 52
The following compound was obtained according to a similar manner to that of Preparation 51.
3-Dibenzylamino- 1, l-bis[4-( l-pyrrolidinyl)phenyl]propanol Η-NMR(CDC1 , δ) : 1.84-2.08(8H, m), 2.40(2H, t, J=6Hz), 2.66(2H, t, J=6Hz), 3.22(8H, t, J=6Hz), 3.56(4H, s), 6.40(4H, d, J=8Hz), 7.14(4H, d, J=8Hz), 7.20- 7.40(10H, m) Preparation 53
The following compound was obtained according to a similar manner to that of Preparation 35.
2-Diben2ylamino- 1 , 1 -bis[3-(methoxycarbonylamino)phenyl]ethanol Η-NMR (CDCI3, δ) : 3.43(2H, s), 3.46(4H, s), 3.75(6H, s), 5.27(1H, s, OH), 6.51(2H, br s), 7.02-7.44( 18H, m) MS m/z : 540 (M++ l) Preparation 54
To an ice-cooled suspension of (IR, 2S)-(+)-cis-l-amino-2-indanol (2.98 g) in anhydrous tetrahydrofuran (60 ml) was added dropwise borane - methyl sulfide complex (10.0-10.2 M, 4 ml) at such a rate that the internal temperature remained below 10°C. The resulting suspension was stirred at room temperature for 25 minutes. To the suspension were added a solution of 4'- benzyloxy-2-bromo-3'-nitroacetophenone (140.08 g) in anhydrous tetrahydrofuran (1120 ml) and more borane - methyl sulfide complex (10.0-10.2 M, 27.7 ml) simultaneously over 1.5 hours at 19-21°C. The mixture was stirred at room temperature for 30 minutes and cooled with an ice bath. Methanol (100 ml) was added dropwise for 5 minutes, and the mixture was stirred at room temperature for 20 minutes. The mixture was concentrated and the residue was diluted with toluene (560 ml). The solution was washed twice with 0.5N hydrochloric acid (120 ml), three times with water (120 ml), twice with brine (120 ml), then dried over magnesium sulfate, and filtered. The filtrate was concentrated to give (R)- l-(4-benzyloxy-3-nitrophenyl)-2-bromoethanol (157.11 g) as an oil. The enantiomeric excess of the product was determined to be 87.3%ee by HPLC analysis using a chiral stationary phase column (Daicel CHIRALCEL OJ, 4.6 250 mm, hexane/2-propanol=75/25).
Η-NMR (CDCls, δ) : 2.71(1H, d, J=4Hz, OH), 3.50(1H, dd, J=l 1 and 8Hz), 3.62(1H, dd, J=l l and 4Hz), 4.92(1H, dt, J=8 and 4Hz), 5.25(2H, s), 7.12(1H, d, J=9Hz), 7.26-7.50(5H, m), 7.53(1H, dd, J=9 and 2Hz), 7.91(1H, d, J=2Hz) MS m/z : 374, 376 (M++Na) Preparation 55
To an ice-cooled mixture of (R)-l-(4-benzyloxy-3-nitrophenyl)-2- bromoethanol (140.86 g, 87.3%ee), pyridine (65 ml), and 4- (dimethylamino) pyridine (2.44 g) in toluene (705 ml) was added (lS)-(-)- camphanic chloride (95.21 g) in portions over 15 minutes. The mixture was stirred at room temperature for 22 hours. The mixture was cooled with an ice bath and partitioned between toluene and water. The organic layer was separated, washed twice with water (430 ml), once with sodium hydrogencarbonate solution (430 ml), once with brine (430 ml), dried over magnesium sulfate, and filtered. The filtrate was concentrated and the residual oil was crystallized from ethyl acetate (107 ml) - 2-propanol (1070 ml) to give crude (lS,4R)-camphanic acid (R)-2-bromo- l-(4-benzyloxy-3-nitrophenyl)ethyl ester (193.48 g) as a white powder. Η-NMR (CDCb, δ): 1.02(3H, s), 1.07(3H, s), 1.13(3H, s), 1.60-1.80(lH, m), 1.85- 2.12(2H, m), 2.32-2.56(lH, m), 3.52-3.80(2H, m, AB of ABX), 5.25(2H, s), 6.07(1H, dd, J=8 and 5Hz, X of ABX), 7.15(1H, d, J=9Hz), 7.28-7.52(5H, m), 7.57(1H, dd, J=9 and 2Hz), 7.89(1H, d, J=2Hz) MS m/z : 554, 556 (M++Na) Preparation 56
The crude powder (245.78 g) of the objective compound of Preparation 55 was recrystallized from ethyl acetate (490 ml) - hexane (740 ml) to give pure ester ( 186.23 g) as white crystals. The diastereomeric excess of the product was determined to be 98.2%de by HPLC analysis using a chiral stationary phase column (Daicel CHIRALPAK AD, 4.6 X 250 mm, hexane/2-propanol=50/50). The second crop was obtained from the mother liquor by the same method (37.84 g, 97.6%de). mp 149- 150°C Preparation 57
To an ice-cooled solution of (lS,4R)-camphanic acid (R)-2-bromo-l-(4- benzyloxy-3-nitrophenyl)ethyl ester (229.14 g, 98%de) in tetrahydrofuran (460 ml) - methanol (460 ml) was added dropwise 6N sodium hydroxide solution (158 ml) over 10 minutes. The mixture was stirred at room temperature for 1 hour. The mixture was cooled with an ice bath and partitioned between toluene and water. The organic layer was separated, washed twice with water (460 ml), once with brine (460 ml), dried over magnesium sulfate, and filtered. The filtrate was concentrated to give a solid. The solid was recrystallized from ethyl acetate (120 ml) - hexane (820 ml) to give (R)-(4-benzyloxy-3-nitrophenyl)oxirane ( 110.80 g) as a white powder. The enantiomeric excess of the product was determined to be 98.2%ee by HPLC analysis using a chiral stationary phase column (Daicel CHIRALPAK AS, 4.6 X 250 mm, hexane/2-propanol=70/30). Η-NMR (CDCls, δ) : 2.76(1H, dd, J=5 and 2Hz), 3.16(1H, dd, J=5 and 4Hz), 3.85(1H, dd, J=4 and 2Hz), 5.24(2H, s), 7.10(1H, d, J=9Hz), 7.25-7.52(6H, m), 7.78(1H, d, J=2Hz) MS m/z : 294 (M++Na) Preparation 58
To a solution of 2-methylanisole (10 ml) and concentrated sulfonic acid (4.1 g) in acetic acid (40 ml) was added dropwise glyoxylic acid monohydrate (3.5 g) during 30 minutes at room temperature. The mixture was stirred at the same temperature overnight. The resulting mixture was poured into ice-cold water to give precipitates. After being stirred for 1 hour, the precipitates were collected by filtration, followed by washing with water. The dryness in vacuo afforded bis(4- methoxy-3-methylphenyl)acetic acid (11 g). (+) ESI-MS m/z : 323 (M+Na)+ Preparation 59
Under nitrogen, to a solution of bis(4-methoxy-3-methylphenyl)acetic acid (11 g) in N,N-dimethylformamide (110 ml) were added l-(3-dimemylaminopropyl)- 3-ethylcarbodiimide hydrochloride (7.7 g), 1-hydroxybenzotriazole (5.4 g) and benzylamine (4.4 ml) at 5°C, and the mixture was stirred at room temperature for 4 hours. The resulting mixture was poured into water and the aqueous mixture was extracted with ethyl acetate. The organic layer was washed with water and brine, dried over anhydrous magnesium sulfate, and evaporated under reduced pressure. The residue was purified by column chromatography on silica gel (chloroform : ethyl acetate = 50: 1 to 20: 1) to give N-benzyl-2,2-bis(4-methoxy-3- methylphenyl)acetamide (13 g). (+) APCI-MS m/z : 390 (M+H)+ Preparation 60
Under nitrogen, to a solution of N-ben2yl-2,2-bis(4-methoxy-3- methylphenyl)acetamide (13 g) in tetrahydrofuran (250 ml) was added 1M boran - tetrahydrofuran complex in tetrahydrofuran (99 ml) at 5°C, and the mixture was stirred at room temperature for 20 hours. The resulting mixture was cooled to 5°C, and methanol (200 ml) and aqueous hydrochloric acid were added dropwise. The mixture was stirred at room temperature for 2.5 days. After the mixture was evaporated under reduced pressure, the residue was dissolved into a mixture of water and ethyl acetate, followed by being adjusted to pH 9 with 5N aqueous sodium hydroxide. After separation, the organic layer was washed with water and brine, dried over anhydrous magnesium sulfate, and evaporated under reduced pressure. The residue was dissolved in ethyl acetate (65 ml), and the mixture was cooled to 5°C. To this mixture was added dropwise 4N hydrogen chloride in ethyl acetate (16 ml) to give precipitates, and the mixture was stirred at room temperature for 1 hour. The precipitates were collected by filtration and washed successively with ethyl acetate and hexane. The dryness in vacuo afforded N-benzyl-[2,2-bis(4-methoxy-3-methylphenyl)]ethylamine hydrochloride (9.7 g). (+) APCI-MS m/z : 376 (M-HC1+H)+ Preparation 61
Under nitrogen, to a solution of N-benzyl-[2,2-bis(4-methoxy-3- methylphenyl)ethyl]amine hydrochloride (2.0 g) in dichloromethane (20 ml) was added dropwise 1M boron tribromide in dichloromethane (19 ml) at -10°C, and the mixture was stirred at the same temperature for 2 hours. The resulting mixture was evaporated under reduced pressure. The residue was dissolved in a mixture of water and ethyl acetate, followed by being adjusted to pH 9 with 5N aqueous sodium hydroxide. After separation, the organic layer was washed with brine, dried over anhydrous magnesium sulfate, evaporated under reduced pressure, and dried in vacuo to give N-benzyl-[2,2-bis(4-hydroxy-3- methylphenyl)ethyl]amine (1.8 g). (+) APCI-MS m/z : 348 (M+H)+ Example 90
A mixture of N-benzyl-[2,2-bis[4-(tert-buto_ carbonylamino)phenyl]ethyl]- amine (255mg), (S)-2-(phenoxymethyl)oxirane (89mg) and ethanol (3 ml) was refluxed for 14 hours and evaporated to afford a crude product. A mixture of the product, dichloromethane ( 1 ml) and trifluoroacetic acid (1 ml) was stood at room temperature for 1.5 hours, diluted with ethyl acetate (30 ml), washed by water followed by saturated sodium chloride solution, dried over magnesium sulfate and evaporated to afford (S)-l-phenoxy-3-[N-benzyl-[2,2-bis(4-aminophenyl)- ethyl]amino]-2-propanol (253 mg) which was used without any further purification. MS m/z : 468 (M+ l) Example 91
A mixture of (R)-2-[N-benzyl-[2,2-bis(4-hydroxy-3-methylphenyl)ethyl]- amino] - 1 - [4-benzyloxy-3 - [N- (benzyloxy carbonyl) methanesulfonylamino] phenyl] - ethanol (85 mg) and 10% palladium on activated carbon (50% wet, 40 mg) in methanol (3 ml) was stirred at room temperature in the presence of hydrogen at an atmospheric pressure for 2 hours. After filtration, the filtrate was evaporated under reduced pressure. The residue was triturated with hexane and dried in vacuo to give (R)-2-[[2,2-bis(4-hydroxy-3-methylphenyl)ethyl]amino]-l-[4- hydroxy-3-(methanesulfonylamino)phenyl]ethanol (40 mg). Η-NMR (DMSO-d6, δ) : 2.08(6H, s), 2.85-3.1(5H, m), 3.45-3.8(2H, m), 4.1- 4.2(1H, m), 4.75-4.85(lH, m), 6.70(1H, d, J=2.8Hz), 6.74(1H, d, J=2.8Hz), 6.85- 7.1(6H, m), 7.21(1H, d, J= 1.8Hz) (+) APCI-MS m/z : 487 (M+H)+ Preparation 62
Under nitrogen, to a solution of (R)-l-[4-benzyloxy-3-(methanesulfonyl- amino)phenyl]-2-bromoethanol (500 mg) in N,N-dimethylformamide (5 ml) were added imidazole (190 mg), chlorotriethylsilane (0.44 ml) and 4-dimethylamino- pyridine (15 mg) at 5°C, and the mixture was stirred at the same temperature for 5 hours. The resulting mixture was poured into 0. IN hydrochloric acid and the aqueous mixture was extracted with ethyl acetate. The organic layer was washed with saturated aqueous sodium hydrogencarbonate and brine, dried over anhydrous magnesium sulfate, and evaporated under reduced pressure. The residue was triturated with hexane, followed by dryness in vacuo to give (R)-N-[2- benzyloxy-5-[2-bromo- 1 -(triethylsilyloxy)ethyl]phenyl]methanesulfonamide (500 mg). (+) ESI-MS m/z : 536 (M+Na)+ Preparation 63
Under nitrogen, to a suspension of sodium hydride (60% in oil, 32 mg) in tetrahydrofuran (10 ml) was added (R)-N-[2-benzyloxy-5-[2-bromo- l- (triethylsilyloxy)ethyl]phenyl]methanesulfonamide (390 mg) at 5°C, and the mixture was stirred at the same temperature for 40 minutes. To this reaction mixture was added benzyl chloroformate (0.12 ml), and the mixture was stirred at 5°C for 3 hours. The resulting mixture was poured into saturated aqueous sodium hydrogencarbonate and the aqueous mixture was extracted with ethyl acetate. The organic layer was washed with brine, dried over anhydrous magnesium sulfate, and evaporated under reduced pressure. The residue was purified by column chromatography on silica gel (hexane : ethyl acetate = 10: 1 to 5: 1) to give (R)-N-[2-benzyloxy-5-[2-bromo- l-(triethylsilyloxy)ethyl]phenyl]-N- (benzyloxycarbonyl)methanesulfonamide (420 mg). (+) ESI-MS m/z : 670, 672 (M+Na)+ Preparation 64
To a solution of (R)-N-[2-benzyloxy-5-[2-bromo-l-(triethylsilyloxy)ethyl]- phenyl]-N-(benzyloxycarbonyl)methanesulfonamide (490 mg) in a mixture of tetrahydrofuran (3 ml) and methanol (3 ml) was added concentrated hydrochloric acid (0.32 ml) at room temperature, and the mixture was stirred at the same temperature for 30 minutes. The resulting mixture was poured into ice-cold saturated aqueous sodium hydrogencarbonate and the aqueous mixture was extracted with ethyl acetate. The organic layer was washed with brine, dried over anhydrous magnesium sulfate, and evaporated under reduced pressure. The residue was purified by column chromatography on silica gel (hexane : ethyl acetate = 3: 1 to 1: 1) to give (R)- l-[4-benzyloxy-3-[N-benzyloxycarbonyl-N- (methanesulfonyl)amino]phenyl]-2-bromoethanol (360 mg). (+) ESI-MS m/z : 556, 558 (M+Na)+ Preparation 65
To a solution of (R)- l-[4-benzyloxy-3-[N-benzyloxycarbonyl-N- (methanesulfonyl)amino]phenyl]-2-bromoethanol (340 mg) in methanol (5 ml) was added 28% sodium methoxide in methanol (0.19 ml) at 5°C, and the mixture was stirred at the same temperature for 1.5 hours. The resulting mixture was poured into brine and the aqueous mixture was extracted with ethyl acetate. The organic layer was dried over anhydrous magnesium sulfate, and evaporated under reduced pressure. The residue was purified by column chromatography on silica gel (hexane : ethyl acetate = 2: 1 to 1: 1) to give (R)-N-benzyloxycarbonyl- N-(2-benzyloxy-5-oxiranylphenyl)methanesulfonamide (120 mg). (+) ESI-MS m/z : 476 (M+Na)+ Example 92
The following compounds were obtained according to a similar manner to that of Example 91. (1) (S)- l-Phenoxy-3-[[2,2-bis(4-hydroxyphenyl)ethyl]amino]-2-propanol Η-NMR (DMSO-d6, δ) : 2.65-2.9(2H, m), 3.1-3.3 (2H, m), 3.8-4.1(4H, m), 6.67(4H, d, J=8.4Hz), 6.8-7.0(3H, m), 7.06(4H, m), 7.2-7.35(2H, m) (+) APCI-MS m/z : 380 (M+H)+ (2) (S)- l-Phenoxy-3-[[3,3-bis(4-hydroxyphenyl)propyl]amino]-2-propanol -NMR (DMSO-d6, δ) : 2.0-2.2 (2H, m), 2.4-2.8 (4H, m), 3.7-4.0 (4H, m), 6.64 (4H, d, J=8.3Hz), 6.8-7.1(7H, m), 7.2-7.35(2H, m) (+)APCI-MS m/z : 394 (M+H)+
(3) (S)- 1-( lH-Indol-4-yloxy)-3-[[2,2-bis(4-hydroxyphenyl)ethyl]amino]-2- propanol
Η-NMR (DMSO-de, δ) : 2.9-3.2(2H, m), 3.35-3.6(2H, m), 3.95-4.3(4H, m), 6.4- 6.5(2H, m), 6.72 (4H, d, J=7.9Hz), 6.9-7.2(6H, m), 7.22(1H, d, J=3.1Hz) (+) APCI-MS m/z : 419 (M+H)+
(4) (S)- 1-( lH-Indol-4-yloxy)-3-[[3,3-bis(4-hydroxyphenyl)propyl]amino]-2- propanol
Η-NMR (DMSO-de, δ) : 2.0-2.2(2H, m), 2.45-2.9(4H, m), 3.85-3.9(lH, m), 3.95-
4.15(3H, m), 6.4-6.5(2H, m), 6.65(4H, d, J=8.3Hz), 6.85-7.1(6H, m), 7.15-7.25(1H, m)
(+) ESI-MS m/z : 433 (M+H)+ Example 93
To a solution of (R)-2-[N-benzyl-[3,3-bis(4-hydroxyphenyl)propyl]amino]- l-(4-benzyloxy-3-nitrophenyl)ethanol (492 mg) in acetone (5.0 ml) were added successively potassium carbonate powder (338 mg) and benzyl bromide (213 μl). The mixture was heated to 50°C and stirred for 3 hours. After cooling to room temperature, the mixture was quenched by the addition of water (30 ml) and extracted with ethyl acetate (30 ml x 1). The organic layer was separated, washed with water (30 ml x 1), brine (30 ml x 1), dried over magnesium sulfate, and evaporated to give a pale brown oil (686 mg). The crude oil was purified by a recycling preparative HPLC equipped with a GPC (gel permeation chromatography) column (eluent : chloroform/ triethylamine = 99.5/0.5) to give (R)-2-[N-ben2yl-[3,3-bis(4-benzyloxyphenyl)propyl]amino]-l-(4-benzyloxy-3- nitrophenyl) ethanol (336 mg) as a yellow solid.
Η-NMR (CDCls, δ) : 2.16-2.65 (m, 6H), 3.48 (d, J=13.3Hz, IH), 3.76-3.88 (m, 2H), 3.85(d, J=13.3Hz, IH), 4.46(dd, J=3.4, 10.1Hz, IH), 5.01(s, 4H), 5.2 l(s, 2H), 6.85-7.40(m, 31H) Example 94
To a solution of (R)-l-(3-benzenesulfonylamino-4-benzyloxyphenyl)-2-[N- benzyl-[3,3-bis(4-benzyloxyphenyl)propyl]amino]ethanol (121 mg) in a mixed solvent of methanol (3.0 ml) and ethyl acetate (1.0 ml) was added 10% palladium on activated carbon (50% wet, 60 mg) and the mixture was hydrogenated at 1 atm for 3 hours. The catalyst was removed by filtration and washed with methanol. The filtrate was concentrated in vacuo and the residual solid was triturated with hexane and dried under reduced pressure to give (R)-l-(3- benzenesulfonylamino-4-hydroxyphenyl)-2-[[3,3-bis(4-hydroxyphenyl)propyl]- aminojethanol (71.1 mg) as a light brown solid. IR (KBr) : 3369, 1670, 1662, 1604, 1512, 1442, 1246, 833 cm1 Η-NMR (DMSO-de, δ) : 1.90-2.06(m, 2H), 2.42-2.5 l(m, 4H), 3.76 (t, J=7.6Hz, IH), 4.38 (t, J=6.1Hz, IH), 6.58-6.78(m, 6H), 6.94-7.04(m, 5H), 7.35-7.50(m, 3H), 7.68-7.73(m, 2H) MS m/z : 535 (M++ l) Example 95
To a solution of (R)-l-(3-amino-4-benzyloxyphenyl)-2-[N-benzyl-[3,3-bis(4- benzyloxyphenyl)propyl]amino]ethanol ( 148 mg) in dichloromethane (3.0 ml) was added a mixed anhydride of formic acid (200 μl, which was prepared by mixing formic acid (1.0 ml) with acetic anhydride (1.25 ml)) at room temperature. After stirring for 2.5 hours, the reaction mixture was diluted with ethyl acetate (10 ml) and washed with water (10 ml x 2), brine (10 ml x 1), dried over magnesium sulfate, filtered, and evaporated to give a pale yellow solid (161 mg). The solid was dissolved in a mixed solvent of methanol (3.0 ml) and ethyl acetate (1.0 ml). To the solution was added potassium carbonate (100 mg) and the mixture was stirred at room temperature for 30 minutes. The insoluble solid was filtered off and washed with ethyl acetate. The filtrate was concentrated in vacuo to give a pale yellow solid. The solid was dissolved in ethyl acetate (10 ml), and then washed with brine (10 ml x 1), dried over magnesium sulfate, filtered, and evaporated to give (R)-2-[N-benzyl-[3,3-bis(4-benzyloxyphenyl)propyl]amino]-l-[4- benzyloxy-3- (formylamino) phenyl] ethanol (138 mg) as a pale yellow solid. MS m/z : 783 (M++ l) Example 96
The following compounds were obtained according to a similar manner to that of Example 94.
(1) (R)-l-(3-Formylamino-4-hydroxyphenyl)-2-[[3,3-bis-(4- hydroxyphenyl)propyl]amino]ethanol IR (KBr) : 3448, 3425, 1662, 1604, 1512, 1444, 1246 cm1
Η-NMR (DMSO-d6, δ) : 1.91-2.09(m, 2H), 2.32-2.46(m, 4H), 3.75(t, J=7.4Hz, IH), 4.08(br, IH), 4.4 l(t, J=5.8Hz, IH), 5.04(br, IH), 6.63(d, J=8.4Hz, 2H), 6.75- 6.87(m, 2H), 7.00(d, J=8.4 Hz, 2H), 7.99(s, IH), 8.25(s, IH), 9.1 l(br, 3H), 9.53(br, IH)
MS m/z : 423 (M++ l)
(2) (R)-2-[[2,2-Bis(4-hydroxyphenyl)ethyl]amino]- l-[4-hydroxy-3-[(2,2,2- trifluoroethyl)sulfonylamino]phenyl]ethanol IR (KBr) : 1612, 1514 cm1 -NMR (CD3OD, δ) : 2.75-2.95(2H, m, AB of ABX), 3.12-3.40(4H, m), 4.03(1H, t,
X of ABX), 4.67(1H, t, X of ABX), 6.71(4H, d, J=9Hz), 6.82(1H, d, J=8Hz), 7.00(1H, dd, J=8 and 2Hz), 7.05(4H, d, J=9Hz), 7.28(1H, d, J=2Hz)
MS m/z : 527 (M++ l) Example 97
To a solution of (S)-3-[N-benzyl-[2,2-bis(4-hydroxyphenyl)ethyl]amino]-l-
(3-formyl-4-benzyloxyphenoxy)-2-propanol (286 mg) in a mixed solvent of tetrahydrofuran (3.0 ml) and ethanol (3.0 ml) was added sodium borohydride
(35.8 mg) at room temperature and the mixture was stirred for 1 hour. The reaction mixture was diluted with ethyl acetate (20 ml) and washed with water
(20 ml x 2), brine (20 ml x 1), dried over magnesium sulfate, filtered, and evaporated to give (S)-3-[N-benzyl-[2,2-bis(4-hydroxyphenyl)ethyl]amino]-l-[4- benzyloxy-3-(hydroxymethyl)phenoxy]-2-propanol (239 mg) as a white solid.
MS m/z : 606 (M++ l) Example 98
To a solution of (S)-3-[N-benzyl-[2,2-bis(4-hydroxyphenyl)ethyl]amino]-l-
[4-benzyloxy-3-(hydroxymethyl)phenoxy]-2-propanol (234 mg) in methanol (5.0 ml) was added 10% palladium on activated carbon (50% wet, 100 mg) and the mixture was hydrogenated at 1 atm for 2 hours. The catalyst was removed by filtration and washed with methanol. The filtrate was concentrated in vacuo to give (S)- l-[4-hydroxy-3-(hydroxymethyl)phenoxy]-3-[[2,2-bis(4-hydroxyphenyl)- ethyl]amino]-2-propanol (164 mg) as a yellow solid.
IR (KBr) : 3417, 2929, 1608, 1510, 1444, 1242, 831 cm1
Η-NMR (DMSO-d6, δ) : 2.58-2.7 l(m, 2H), 3.08(d, J=7.5Hz, 2H), 3.73(brs, 2H), 3.89(t, J = 7.4 Hz, IH), 4.43(d, J = 5.0 Hz, 2H), 4.85(br, IH), 4.97(br, IH), 6.52-
6.58(m, 2H), 6.65(d, J=8.5 Hz, 2H), 6.85(d, J=2.7Hz, IH), 7.03(d, J=8.5 Hz, 2H),
8.84(br, IH), 9.16(br, 2H)
MS m/z : 426 (M++ l)
Example 99 0.5 ml of a mixture of acetic anhydride (1.25 ml) and formic acid ( 1.00 ml) was added to a solution of (S)-l-(3-amino-4-benzyloxyphenoxy)-3-[N-benzyl-[2,2- bis(4-benzyloxyphenyl) ethyl] amino] -2 -propanol (314 mg) and pyridine (0.1 ml) in dichloromethane (6 ml) under ice water cooling over 10 minutes and the mixture was stirred at room temperature for a further 1 hour. To this reaction mixture was added aqueous saturated solution of sodium bicarbonate (5.0 ml). The mixture was stirred at the same temperature for 18 hours, and which was dissolved in ethyl acetate, washed with aqueous saturated sodium bicarbonate solution and brine, dried over sodium sulfate, and evaporated in vacuo.
A mixture of the residue and 10% palladium on activated carbon (50% wet, 10 mg) in methanol (2.0 ml) and chlorobenzene (2.0 ml) was stirred at room temperature in the presence of hydrogen at an atmospheric pressure for 1 hour, and filtered. The filtrate was evaporated in vacuo. The residue was chromatographed (chloroform - methanol) over silica gel to afford (S)- l-(3- formylamino-4-hydroxyphenoxy)-3-[[2,2-bis(4-hydroxyphenyl)ethyl]amino]-2- propanol (103 mg) as a yellow foam.
IR (KBr) : 3300-3150, 1671, 1664, 1604, 1598, 1444, 1247, 1203 cm1 Η-NMR (CD3OD, δ) : 2.70-2.90(2H, m), 3.05-3.30(2H, m), 3.80-3.90(2H, m), 4.00-4.10(2H, m), 6.40-6.50(lH, m), 6.60-6.80(5H, m), 7.00-7.20(4H, m), 7.70(1H, d, J=2.9Hz), 8.28(1H, s) MS (m/z) : 439 (M+l)- Example 100
Benzenesulfonyl chloride (63 mg) was added to a solution of (S)-l-(3- an ino-4-ben_^loxvphenoxy)-3-[N-benzyl-[2,2-bis(4-ben_^loxyphenyl)et_hyl]am o]- 2-propanol (230 mg) and pyridine (0.1 ml) in dichloromethane (5 ml) under ice water cooling over 10 minutes and the mixture was stirred at room temperature for a further 1 hour. To this reaction mixture was added aqueous saturated solution of sodium bicarbonate (5.0 ml). The mixture was stirred at the same temperature for 18 hours, and which was dissolved in ethyl acetate, washed with aqueous saturated sodium bicarbonate solution and brine, dried over sodium sulfate, and evaporated in vacuo.
A mixture of the residue and 10% palladium on activated carbon (50% wet, 10 mg) in methanol (2.0 ml) was stirred at room temperature in the presence of hydrogen at an atmospheric pressure for 1 hour, and filtered. The filtrate was evaporated in vacuo. The residue was chromatographed (chloroform - methanol) over silica gel to afford (S)-l-(3-benzenesulfonylamino-4-hydroxyphenoxy)-3-[[2,2- bis(4-hydroxyphenyl)ethyl]amino]-2-propanol (60 mg) as a brown foam. IR (KBr) : 3380-3000, 1610, 1513, 1450, 1324, 1444, 1247, 1157 cm1 Η-NMR (CD3OD, δ) : 2.60-2.95(2H, m), 3.10-3.20(2H, m), 3.75(2H, d, J=5.3Hz), 3.90-4.10(2H, m), 6.40-6.80(6H, m), 6.90(1H, d, J=2.8Hz), 7.00-7.20(4H, m), 7.30-7.60(3H, m), 7.70-7.90(2H, m) MS (m/z) : 551 (M+ l) Example 101
The following compounds were obtained according to a similar manner to that of Example 100.
(1) (S)- l-(3-Benzenesulfonylamino-4-hydroxyphenoxy)-3-[[3,3-bis(4- hydroxyphenyl)propyl]amino] -2-propanol
IR (KBr) : 3380-3000, 1610, 1513, 1450, 1324, 1444, 1247, 1157 cm-1 Η-NMR (CD3OD, δ) : 2.20-2.40(2H, m), 2.60-3.00(4H, m), 3.42(1H, s), 3.80(2H, d, J=5.0Hz), 4.00-4.15(1H, m), 6.47-6.70(5H, m), 6.95-7.10(5H, m), 7.25-7.50(4H, m), 7.70-7.80(2H, m) MS (m/z) : 565 (M+ l)
(2) (R)-2-[[3,3-Bis(4-methoxyphenyl)propyl]amino]- 1-(3- benzenesulfonylamino-4-hydroxyphenyl)ethanol hydrochloride IR (KBr) : 3300-2960, 1608, 1509, 1448, 1245, 1162 cm1
Η-NMR (CD3OD, δ) : 2.30-2.45(2H, m), 2.80-3.10(3H, m), 3.62(6H, s), 4.00- 4.10(1H, m), 6.90-7.80(16H, m) MS (m/z) : 563 (M+ l)
(3) (R)-l-[4-Hydroxy-3-(methanesulfonylamino)phenyl]-2-[[2,2-bis(3-chloro-4- hydroxyphenyl) ethyl] amino] ethanol
IR (KBr) : 3420 (br), 1608, 1290, 1149 cm1 Η-NMR (DMSO-d6, δ) : 2.60(2H, br d, CH2), 2.91(3H, s, CH3), 3.10(2H, m, CH2),
3.94(1H, t, CHAr2), 4.47(1H, m, CH), 5.12 (IH, br s, OH), 6.77-7.26(9H, m, aromatic H), 9.97(3H, br, OH)
(+) APCI MS m/z : 527, 529, 531 (M++ l)
Example 102 The following compound was obtained according to a similar manner to that of Example 99.
(S)- l-(3-Formylamino-4-hydroxyphenoxy)-3-[[3,3-bis(4- hydroxyphenyl)propyl]amino]-2-propanol
IR (KBr) : 3300-3000, 1671, 1664, 1606, 1509, 1461, 1240, 1207 cm1 Η-NMR (CD3OD, δ) : 2.10-2.30(2H, m), 2.60-3.00(3H, m), 3.32(1H, s), 3.60-
3.90(3H, m), 4.00-4.10(1H, m), 6.50-6.80(6H, m), 7.05-7.15(4H, m), 7.75(1H, d,
J=2.8Hz), 8.28(1H, s)
MS (m/z) : 453 (M+ l)
Preparation 66 1.0 M solution of boron tribromide in dichloromethane (25.2 ml) was added dropwise to a stirred suspension of N-benzyl-[2,2-bis(4-methoxyphenyl)- ethyl]amine hydrochloride (3.07 g) in dichloromethane (31 ml) under ice cooling and in an atmosphere of nitrogen over 20 minutes, and the resulting mixture was stirred under the same conditions for 1 hour and 30 minutes. The reaction mixture was evaporated in vacuo and the residue was partitioned between ethyl acetate and aqueous solution of sodium bicarbonate. The organic layer was washed with brine, dried over sodium sulfate, and evaporated in vacuo. The residue was powdered from diisopropyl ether to afford N-benzyl-[2,2-bis(4- hydroxyphenyl)ethyl]amine (2.47 g) as a colorless powder, mp 161.5-163.5°C
Η-NMR (DMSO-d6, δ) : 1.65(1H, br, NH), 2.97(2H, d, J=7.6Hz, CH2), 3.69(2H, s, CH2), 3.91(1H, t, J = 7.6Hz, CHAr2), 6.64 (4H, d, J=8.4 Hz, aromatic H), 7.00(4H, d, J=8.4Hz, aromatic H), 7.22(5H, m, aromatic H), 9.15(2H, s, OH) (+) ESI MS m/z : 320 (M++ l) Preparation 67
A mixture of N-benzyl-[2,2-bis(4-hydroxyphenyl)ethyl]amine (319 mg) and di-tert-butyl dicarbonate (240 mg) in tetrahydrofuran (3.2 ml) was stirred at room temperature for 2 hours and partitioned between ethyl acetate and aqueous solution of sodium bicarbonate. The organic layer was separated, washed with brine, dried over sodium sulfate, and evaporated in vacuo. The residue was chromatographed (toluene - ethyl acetate (85/ 15)) over silica gel (2.3 g) to afford tert-butyl N-benzyl-N-[2,2-bis(4-hydroxyphenyl)ethyl]carbamate (427 mg) as a colorless amorphous powder. -NMR (DMSO-de, δ) : 1.29 and 1.36(1H, each s, CH3), 3.60 (2H, m, CH2), 4.06(1H, m, CHAr2), 4.18(2H, m, CH2), 6.66(4H, d, J=8.4Hz, aromatic H), 7.03 (4H, d, J=8.4Hz, aromatic H), 7.12 -7.35(5H, m, aromatic H), 9.20(2H, br s, OH) (+) ESI MS m/z : 442 (M++Na) Preparation 68
A mixture of tert-butyl N-benzyl-N-[2,2-bis(4-hydroxyphenyl)ethyl]- carbamate (419 mg) and N-chlorosuccinimide (267 mg) in 1,4-dioxane (4.5 ml) was stirred under reflux for 8 hours and 30 minutes. The reaction mixture was partitioned between ethyl acetate and brine. The organic layer was separated, washed twice with brine, dried over sodium sulfate, and evaporated in vacuo. The residue was chromatographed (toluene - ethyl acetate) over silica gel (9.8 g) to afford tert-butyl N-benzyl-N-[2,2-bis(3-chloro-4-hydroxyphenyl)ethyl]- carbamate (320 mg) as a colorless amorphous powder. Η-NMR (DMSO-de, δ) : 1.29 and 1.34 (IH, each br s, CH3), 3.65(2H, m, CHa), 4.15(1H, m, CHAr2), 4.28(2H, m, CH2), 6.87(2H, d, J=8.4Hz, aromatic H), 7.03(2H, d, J=8.4Hz, aromatic H), 7.15-7.36(7H, m, aromatic H), 10.02(2H, br s, OH) (-)ESI MS m/z : 486, 488, 490 (M+ - 1) Preparation 69 Benzyl bromide (224 mg) was added to a stirred suspension of tert-butyl N-benzyl-N-[2,2-bis(3-chloro-4-hydroxyphenyl)ethyl]carbamate (304 mg) and potassium carbonate (258 mg) in N,N-dimethylformamide (5 ml) under ice cooling and the resulting mixture was stirred at the same temperature for 1 hour and 40 minutes and at room temperature for 2 hours and 15 minutes. The reaction mixture was poured into IN sodium hydroxide solution and the mixture was extracted with toluene. The extract was washed three times with brine, dried over magnesium sulfate, and evaporated in vacuo. The residue was chromatographed (toluene - ethyl acetate) over silica gel (8.1 g) to afford tert-butyl N-benzyl-N-[2,2-bis(4-benzyloxy-3-chlorophenyl)ethyl]carbamate (382 mg).
Η-NMR (DMSO-de, δ) : 1.30 and 1.32 (IH, each br s, CH3), 3.73(2H, m, CH2), 4.15(1H, m, CHAr2), 4.28(2H, m, CH2), 5.17(4H, s, CH2), 7.11-7.47(2 IH, m, aromatic H) (+) ESI MS m/z : 690, 692, 694 (M++Na) Preparation 70
4N Hydrogen chloride in ethyl acetate (4 ml) was added to tert-butyl N- benzyl-N-[2,2-bis(4-benzyloxy-3-chlorophenyl)ethyl]carbamate (369 mg) under ice cooling and the resulting mixture was stirred at the same temperature and then room temperature for 3 hours and 15 minutes in all. The reaction mixture was concentrated in vacuo and the solid residue was washed with ethyl acetate to afford N-benzyl-[2,2-bis(4-benzyloxy-3-chlorophenyl)ethyl]amine hydrochloride (322 mg) as a colorless powder. mp 221-226°C -NMR (DMSO-de, δ) : 3.58(2H, m, CH2), 4.12(2H, br s, CH2), 4.40(1H, t, J=7.2Hz, CHAr2), 5.18(4H, s, CH2), 7.18(2H, J=8.6Hz, aromatic H), 7.25-7.60(19H, m, aromatic H)
(+) ESI MS m/z : 568, 570, 572 (M++ l) Example 103
Under nitrogen, a solution of N-benzyl-[2,2-bis(4-hydroxyphenyl)ethyl]- amine (400 mg) and (S)-[(4-benzyloxy-3-nitrophenoxy)methyl]oxirane (415 mg) in ethanol (10 ml) was refluxed for 24 hours. The mixture was evaporated in vacuo. A mixture of the residue, potassium carbonate (476 mg) and benzyl bromide (0.328 ml) in N,N-dimethylformamide (10 ml) was stirred at room temperature for 18 hours. The mixture was diluted with ethyl acetate, and insoluble materials were filtered off. The filtrate was evaporated in vacuo. The residue was dissolved in ethyl acetate, washed with aqueous saturated sodium bicarbonate solution and brine, dried over sodium sulfate, and evaporated in vacuo. The residue was purified by column chromatography on silica gel (n-hexane : ethyl acetate = 1: 1) to give (S)-3-[N-ben2yl-[2,2-bis(4-benzyloxyphenyl)ethyl]amino]- l- (4-benzyloxy-3-nitrophenoxy)-2-propanol (820 mg) as a yellow foam. -NMR (CHCls, δ) : 2.60-2.70(2H, m), 2.95-3.00(lH, m), 3.10-3.25(1H, m), 3.40-3.90(4H, m), 4.98(2H, s), 5.01(2H, s), 5.13(2H, s), 6.70-6.95(4H, m), 7.00- 7.45(19H, m) Example 104
Under nitrogen, a solution of N-benzyl-[3,3-bis(4-hydroxyphenyl)propyl]- amine (300 mg) and (S)-[(4-benzyloxy-3-nitrophenoxy)methyl]oxirane (271 mg) in ethanol ( 10 ml) was refluxed for 24 hours. The mixture was evaporated in vacuo. A mixture of the residue, potassium carbonate (310 mg) and benzyl bromide (0.214 ml) in N,N-dimethylformamide ( 10 ml) was stirred at room temperature for 18 hours. The mixture was diluted with ethyl acetate, and insoluble materials were filtered off. The filtrate was evaporated in vacuo. The residue was dissolved in ethyl acetate, washed with aqueous saturated sodium bicarbonate solution and brine, dried over sodium sulfate, and evaporated in vacuo. The residue was purified by column chromatography on silica gel (n-hexane : ethyl acetate = 1: 1) to give (S)-3-[N-benzyl-[3,3-bis(4-benzyloxyphenyl)propyl]amino]-l- (4-benzyloxy-3-nitrophenoxy)-2-propanol (820 mg) as a yellow foam. MS (m/z) : 815(M+ 1) Example 105
A mixture of (S)-l-phenoxy-3-[N-benzyl-[3,3-bis[4-(methoxycarbonyl- amino) phenyl] propyl] amino] -2 -propanl (7.4 g), potassium hydroxide (2.5 g) and ethylene glycol (50 ml) was heated at 100°C for 6 hours. The reaction mixture was worked up in a usual manner and purified by column chromatography (silica gel, hexane : ethyl acetate = 1 : 1 to 1 :2) to afford (S)- 1 -phenoxy-3-[N-benzyl- [3,3-bis(4-aminophenyl)propyl]amino]-2-propanol (2.53 g). MS m/z : 482 (M+ l) Example 106
To a mixture of (S)-l-phenoxy-3-[N-benzyl-[3,3-bis(4-aminophenyl)- propyl]amino]-2-propanol (120 mg), dichloromethane (1 ml) and pyridine (60 μl), methyl chloroformate (19 μl) was added with cooling by ice-bath. The reaction mixture was stirred at room temperature for 1 hour, diluted with ethyl acetate (40 ml), washed by water followed by saturated sodium chloride solution, dried over magnesium sulfate, evaporated and purified by preparative TLC (silica gel, hexane : ethyl acetate = 1:2) to afford an oily product. A mixture of the product, methanol (2 ml) and 10% palladium on charcoal (10 mg) was stirred under hydrogen (1 atm) for 1 hour, filtrated and evaporated to afford (S)-l-phenoxy-3- [[(3RS)-3-[4-(metho_^carbonylamino)phenyl]-3-(4-aminophenyl)propyl]amino]-2- propanol (27 mg).
Η-NMR (CD3OD, δ) : 2.14-2.26(2H, m), 2.56-2.84(4H, m), 3.70(3H, s), 3.78- 4.15(4H, m), 6.65(2H, dd, J= 1.7Hz, 6.5Hz), 6.87-7.02(5H, m), 7.13-7.33(6H, m) MS m/z : 450 (M+ l)
Industrial Applicability The compound of the formula [I] and a salt thereof possesses gut selective sympathomimetic, anti-ulcerous, anti-pancreatitis, lipolytic, anti-urinary incontinence and anti-pollakiuria activities. These compounds are useful for the treatment and/or prevention of gastro-intestinal disorders caused by smooth muscle contractions in human beings or animals, and more particularly for the treatment and/or prevention of spasm or hyperanakinesia in case of irritable bowel syndrome, gastritis, gastric ulcer, duodenal ulcer, enteritis, cholecystopathy, cholangitis, urinary calculus and the like; for the treatment and/or prevention of ulcer such as gastric ulcer, duodenal ulcer, peptic ulcer, ulcer caused by non steroidal anti-inflammatory drugs, or the like; for the treatment and/or prevention of dysuria such as pollakiuria, urinary incontinence or the like in case of nervous pollakiuria, neurogenic bladder dysfunction, nocturia, unstable bladder, cystospasm, chronic cystitis, chronic prostatitis, prostatic hypertrophy or the like; for the treatment and/ or prevention of pancreatitis, obesity, diabetes, glycosuria, hyperlipidemia, hypertension, atherosclerosis, glaucoma, melancholia, depression or the like; for the treatment and/or prevention of diseases as the result of insulin resistance (e.g. hypertension, hyperinsulinemia, etc.); for reducing a wasting condition, and the like.
This invention is based on application No. PQ4076 filed in Australia, the content of which is incorporated hereinto by reference.