Movatterモバイル変換


[0]ホーム

URL:


WO2001030011A1 - An adaptive digital beamforming receiver to improve signal reception - Google Patents

An adaptive digital beamforming receiver to improve signal reception
Download PDF

Info

Publication number
WO2001030011A1
WO2001030011A1PCT/EP2000/009766EP0009766WWO0130011A1WO 2001030011 A1WO2001030011 A1WO 2001030011A1EP 0009766 WEP0009766 WEP 0009766WWO 0130011 A1WO0130011 A1WO 0130011A1
Authority
WO
WIPO (PCT)
Prior art keywords
signal
equalizer circuit
feedforward equalizer
antenna
feedforward
Prior art date
Application number
PCT/EP2000/009766
Other languages
French (fr)
Inventor
Joseph P. Meehan
Original Assignee
Koninklijke Philips Electronics N.V.
Priority date (The priority date is an assumption and is not a legal conclusion. Google has not performed a legal analysis and makes no representation as to the accuracy of the date listed.)
Filing date
Publication date
Application filed by Koninklijke Philips Electronics N.V.filedCriticalKoninklijke Philips Electronics N.V.
Priority to KR1020017007881ApriorityCriticalpatent/KR20010093207A/en
Priority to EP00972686Aprioritypatent/EP1145475A1/en
Priority to JP2001531245Aprioritypatent/JP2003512764A/en
Publication of WO2001030011A1publicationCriticalpatent/WO2001030011A1/en

Links

Classifications

Definitions

Landscapes

Abstract

There is disclosed an apparatus and method for improving signal reception in a signal receiver. The apparatus comprises a beamforming circuit and a decision feedback equalizer circuit. The beamforming circuit comprises two circuit branches with each circuit branch having a radio frequency (RF) tuner capable of being coupled to an antenna, an intermediate frequency (IF) mixer, and a feedforward equalizer circuit and an adder circuit. In the decision feedback equalizer circuit a decision device that is coupled to the output of said adder circuit modifies equalizer coefficients in said feedforward equalizer circuits to reduce an interfering signal by electronically forming a null in the direction of the interfering signal.

Description

An adaptive digital beamforming receiver to improve signal reception.
The present invention is directed, in general, to antenna systems and signal receivers and, more specifically, to an apparatus and method for improving the reception of signals such as digital television signals, e.g., ATSC 8-VSB signals.
Many digital television receivers have internal antennas or are connected to indoor antennas. In such digital television receivers there can be problems in receiving a good quality signal due to the presence of multiple signal echoes created by obstacles in the room. The multiple signal echoes are interferer signals that arrive late at the antenna (i.e., multipath delays). In cases where the television receiver is connected to a readily accessible indoor antenna, the indoor antenna may be manually rotated or adjusted to maximize the main signal and minimize the unwanted interferer signals created by the multiple signal echoes of the main signal. In cases where the television receiver has an internal antenna that is not readily accessible, one must manually rotate or adjust the entire television receiver in order to make the desired adjustment.
There is therefore a need for improving the reception of a television signal in television receivers that have internal antennas and in television receivers that are connected to antennas that are located indoors. The desired system for improving the signal reception of such a television signal should not require the manual adjustment of either the antenna or the entire television receiver.
To address the above-discussed deficiencies of the prior art, it is a primary object of the present invention to provide an apparatus and method for automatically adapting a television signal within a television receiver to minimize (or null) interferer signals of the television receiver that are caused by the presence of multiple signal echoes created by obstacles in the room in which the antenna of the television receiver is located.
It is important to realize that the apparatus and method of the present invention is not limited to improving only a television signal. Those skilled in the art will readily understand that the principles of the present invention may also be successfully applied to other types of signals. However, in the descriptions that follow, digital television signals are employed for illustration purposes.
A typical digital television signal is an ATSC 8-VSB signal. The letters ATSC refer to the Advanced Television Standards Committee. The number and letters 8-VSB refer to a television signal modulation format in which the television signal has eight vestigial sidebands. A typical television signal carrier frequency is in the frequency range from 470 MHz to 800 MHz.
The present invention provides an apparatus and method for electronically modifying a television signal that is impaired by the presence of signal echoes of the main signal in order to minimize the signal echoes (i.e., null the interferers). Such electronic modification of a signal is referred to as beamforming.
In the preferred embodiment of the invention, the invention comprises a beamforming circuit and a decision feedback equalizer circuit. The beamforming circuit comprises (1) two circuit branches with each circuit branch having a radio frequency (RF) tuner capable of being coupled to an antenna, an intermediate frequency (IF) mixer, and a feedforward equalizer circuit and (2) a first adder circuit. The beamforming circuit modifies the input signals to electronically form a beam in the direction of the desired signal and to electronically form a null in the direction of the interfering signal. A first antenna receives a signal and sends the signal through a first radio frequency (RF) tuner, through a first intermediate frequency (IF) mixer, and through a first analog-to-digital converter to a first feedforward equalizer circuit. Similarly, a second antenna receives a signal and sends the signal through a second RF tuner, through a second IF mixer, and through a second analog-to-digital converter to a second feedforward equalizer circuit. The output of the first feedforward equalizer circuit and the output of the second feedforward equalizer circuit are added together in a first adder circuit and are used as the input to the decision feedback equalizer circuit. The beamforming circuit comprises the first circuit branch from the first RF tuner to the first feedforward equalizer circuit together with the second circuit branch from the second RF tuner to the second feedforward equalizer circuit together with the first adder circuit.
The decision feedback equalizer circuit comprises a second adder circuit, a decision device and a feedback equalizer circuit. The second adder circuit is the first element of the decision feedback equalizer circuit. The second adder circuit receives a signal from the first adder circuit of the beamforming circuit and combines that signal with a signal from the feedback equalizer circuit to create an input signal to the decision device. The feedback equalizer circuit is connected to the output of the decision device to sample the output signal that leaves the decision device. The feedback equalizer circuit feeds a modified form of that output signal back to the second adder circuit for use in creating an input signal to the decision device as described above.
The decision device calculates the error in the received signal that is due to an interfering signal arising from an echo of the main signal. The decision device uses an adaptation algorithm to calculate corrections to the signal. The decision device applies those corrections to the signal to electronically form a beam in the direction of the desired signal and to electronically form a null in the direction of the interfering signal. The result is a significant improvement in the quality of signal reception.
The decision device also has control lines that are coupled to the first feedforward equalizer circuit and to the second feedforward equalizer circuit and to the feedback equalizer circuit. The decision device can send control signals over the control lines to change the coefficients in any or all of these three equalizer circuits to modify the operating characteristics of the equalizer circuits.
Although the present invention has been described in a form that utilizes two antennas, it is possible to use the present invention in a system that utilizes three or more antennas. The use of three or more antennas, however, causes the system to be more complex and expensive than the two antenna system.
The foregoing has outlined rather broadly the features and technical advantages of the present invention so that those skilled in the art may better understand the detailed description of the invention that follows. Additional features and advantages of the invention will be described hereinafter that form the subject of the claims of the invention. Those skilled in the art should appreciate that they may readily use the conception and the specific embodiment disclosed as a basis for modifying or designing other structures for carrying out the same purposes of the present invention. Those skilled in the art should also realize that such equivalent constructions do not depart from the spirit and scope of the invention in its broadest form. Before undertaking the Detailed Description, it may be advantageous to set forth definitions of certain words and phrases used throughout this patent document: the terms "include" and "comprise" and derivatives thereof mean inclusion without limitation; the term "or," is inclusive, meaning and/or; the phrases "associated with" and "associated therewith," as well as derivatives thereof, may mean to include, be included within, interconnect with, contain, be contained within, connect to or with, couple to or with, be communicable with, cooperate with, interleave, juxtapose, be proximate to, be bound to or with, have, have a property of, or the like; and the term "controller" means any device, system or part thereof that controls at least one operation, such a device may be implemented in hardware, firmware, or software, or some combination of at least two of the same. It should be noted that the functionality associated with any particular controller may be centralized or distributed, whether locally or remotely. Definitions for certain words and phrases are provided throughout this patent document. Those of ordinary skill in the art should understand that in many, if not most, instances, such definitions apply to prior, as well as future uses of such defined words and phrases.
For a more complete understanding of the present invention, and the advantages thereof, reference is now made to the following descriptions taken in conjunction with the accompanying drawings, wherein like numbers designate like objects, and in which:
FIGURE 1 is a block diagram of an adaptive digital beamforming receiver of the present invention;
FIGURE 2 is a block diagram of a high definition television signal receiver in which the present invention may be implemented; FIGURE 3 is a block diagram of an embodiment of the present invention in a signal receiver of a video device; and
FIGURE 4 is a flow diagram illustrating the operation of an exemplary adaptive beamforming receiver in accordance with one embodiment of the present invention.
FIGURES 1 through 4, discussed below, and the various embodiments used to describe the principles of the present invention in this patent document are by way of illustration only and should not be construed in any way to limit the scope of the invention. Those skilled in the art will understand that the principles of the present invention may be implemented in any suitably arranged signal receiver.
FIGURE 1 illustrates an adaptive digital beamforming receiver 100, according to a preferred embodiment of the invention. In this embodiment of the invention, the invention comprises beamforming circuit 200 and decision feedback equalizer circuit 300. The beamforming circuit 200 comprises two branches. The first branch of beamforming circuit 200 comprises radio frequency (RF) tuner 222, which is capable of being coupled to antenna 220. RF tuner 222 is coupled to intermediate frequency (IF) mixer 224. Together, RF tuner 222 and IF mixer 224 down-convert the received RF signal to an analog baseband signal. IF mixer 224 is coupled to analog-to-digital converter 226, which converts the analog baseband to a digital baseband signal. Analog-to-digital converter 226 is coupled to feedforward equalizer circuit 228. Under control of decision device 330, feedforward equalizer circuit 228 modifies the input signal to form a beam in the direction of the desired signal and/or to form a null in the direction of the interfering signal.
Similarly, the second branch of beamforming circuit 200 comprises radio frequency (RF) tuner 242, which is capable of being coupled to antenna 240. RF tuner 242 is coupled to intermediate frequency (IF) mixer 244. IF mixer 244 is coupled to analog-to-digital converter 246. Analog-to-digital converter 246 is coupled to feedforward equalizer circuit 248. Under control of decision device 330, feedforward equalizer circuit 248 modifies the input signal to form a beam in the direction of the desired signal and to form a null in the direction of the interfering signal .
The output signal from feedforward equalizer circuit 228 and the output signal from feedforward equalizer circuit 248 are coupled to first adder circuit 250. First adder circuit 250 adds together the output signals from feedforward equalizer circuits 228 and 248. The signal that results from the addition of the signals by first adder circuit 250 is an improved signal because it represents a combination of two separate signals, each of which has been modified to form a beam in the direction of the desired signal and modified to form a null in the direction of the interfering signal. Signal information that may have been missing from one of the signals (due to interference) may have been present in the other signal, and vice versa. The additive combination of the two signals creates an improved signal that is less susceptible to the effects of interferer signals caused by multipath delays.
Antennas 220 and 240 may be vertical, single dipole, omni-directional antennas. The spacing of the antennas 220 and 240 may range from one-twentieth (1/20) of a wavelength of the received signal up to one (1) wavelength of the received signal. For example, in the case of a carrier frequency of 470 MHz, the maximum separation of antennas 220 and 240 would be approximately 0.63 meter or approximately 24.0 inches. Therefore, antennas 220 and 240 can be used as components of an internal antenna of a television receiver that uses the present invention.
RF tuners 222 and 242, IF mixers 224 and 244, and analog-to-digital converters 226 and 246 may all be any conventional type of those devices known in the prior art. First feedforward equalizer circuit 228 receives from first analog-to-digital converter 226 a digital form of the signal received by antenna 220. First feedforward equalizer circuit 228 comprises circuitry (not shown) for compensating for the distortions in the amplitude and in the phase that a signal may acquire when that signal is transmitted through a dispersive channel. In this instance, the dispersive channel is the atmosphere.
A number of different types of prior art feedforward equalizer circuits are available that may be used as the first feedforward equalizer circuit 228 of the present invention. One of the simplest types of equalizer circuits is the Linear Transversal Equalizer. The Linear Transversal Equalizer samples values of the input signal in a tapped delay line having N tap points and multiplies those sampled values by N numerical coefficients and then sums the resultant values to form a representation of the signal. The numerical coefficients are numbers that represent weight factors. The number of numerical coefficients can range from one coefficient up to, for example, one hundred coefficients or more. The resultant signal is represented mathematically as follows:
Figure imgf000007_0001
where yn is the output, xιjn is the n sample of the input signal from the first antenna 220, a^ are the coefficients of the first feedforward equalizer circuit 228, and N is the number of coefficients in the first feedforward equalizer circuit 228. By adjusting the coefficients it is possible to modify the overall signal pattern so as to place a pattern null in the direction of an undesired interference signal.
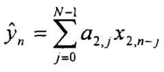
Similarly, second feedforward equalizer circuit 248 receives from second analog-to-digital converter 246 a digital form of the signal received by antenna 240. Second feedforward equalizer circuit 248 may be identical in structure and function to the first feedforward equalizer circuit 228. The output signal of the second feedforward equalizer circuit 248 is represented mathematically as follows:
Figure imgf000007_0002
where yn is the output, x2,n is the nΛ sample of the input signal from the second antenna 240, a2j are the coefficients of the second feedforward equalizer circuit 248, and N is the number of coefficients in the second feedforward equalizer circuit 248. It is understood that the use of the Linear Transversal Equalizer in this description does not limit the invention to this particular type of equalizer. Other types of equalizers may be utilized to practice the invention.
The decision feedback equalizer circuit 300 of the invention comprises a second adder circuit 320, a decision device 330, and a feedback equalizer circuit 340. The second adder circuit 320 of decision feedback equalizer circuit 300 is coupled to the first adder circuit 250 of beamforming circuit 200. The second adder circuit 320 receives from the first adder circuit 250 a signal that is the sum of the output signal from feedforward equalizer circuit 228 and the output signal from the feedforward equalizer circuit 248. As will be described more fully below, second adder circuit 320 also receives an input signal from feedback equalizer circuit 340.
Second adder circuit 320 is coupled to a decision device 330. Decision device 330 may be a digital signal processor (DSP) or other similar type of electronic controller device. Decision device 330 receives a signal from second adder circuit 320. Decision device 330 performs two operations. The first operation is to make a decision as to which valid symbol the input symbol is closest to (in this case, the eight levels of the 8-VSB signal). This could be called a splicer. It is this valid symbol (i.e., the decision output) that is passed to the feedback equalizer circuit 340. The second operation of decision device 330 is based on the difference of the decision device input and the decision device output (i.e., the symbol error). The symbol error is used in a decision directed adaptation algorithm (e.g., Least Mean Squares Algorithm) or in a blind adaptation algorithm (e.g., Constant Modulus Algorithm) to update the equalizer coefficients so that the Mean Square Error (MSE) at the decision device input is reduced.
Decision device 330 may use any one of a number of equalizer adaptation algorithms well known in the prior art. In the preferred embodiment of the invention, the equalizer adaptation algorithm used is the Least Mean Squares (LMS) method. It is referred to as the LMS algorithm. Another equalizer adaptation algorithm available for use utilizes the Recursive Least Squares (RLS) method. It is referred to as the RLS algorithm. Other similar algorithms are also available for use. The description of the preferred embodiment of the invention is not intended to limit the type of algorithm that may be used in accordance with the concept of the invention.
The adaptation algorithm calculates the amount of error in the amplitude and phase of the signal. The adaptation algorithm then calculates the amount of correction needed to correct the errors. The decision device 330 then changes the values of the coefficients in first feedforward equalizer 228, second feedforward equalizer 248, and feedback equalizer
340. In this manner decision device 330 modifies the signal to create an improved signal by electronically forming a beam in the direction of the desired signal and by electronically forming a null in the direction of the interfering signal.
5 Feedback equalizer circuit 340 is coupled to the output of decision device 330 for sampling the output signal of decision device 330. Feedback equalizer circuit 340 also has an output coupled to an input of second adder circuit 320. This allows second adder circuit 320 to access the output signal of feedback equalizer circuit 340. Second adder circuit 320 subtracts the output signal of feedback equalizer circuit 340 from the signal that is the sum of
10 the output signal from first feedforward equalizer circuit 228 and the output signal from second feedforward equalizer circuit 248.
Feedback equalizer circuit 340 may also have the same form and structure of the first feedforward equalizer circuit 228 and the second feedforward equalizer circuit 248.
The output signal of feedback equalizer circuit 340 is represented mathematically as follows:
Figure imgf000009_0001
where yn is the output, yn-k is the input signal from the decision device 330, bk are the coefficients of feedback equalizer circuit 340, and M is the number of coefficients in feedback equalizer circuit 340. 0 Therefore, the input signal to decision device 330 is given by the mathematical expression:
Figure imgf000009_0002
where yn is the estimated output, xi,n is the VIth sample of the input signal from first antenna 5 220, x>n is the nΛ sample of the input signal from second antenna 240, and yn.k is the input signal from the decision device 330. The values a^, are the coefficients of the first feedforward equalizer circuit 228, the values a2j are the coefficients of the second feedforward equalizer circuit 248, and bk are the coefficients of the feedback equalizer circuit 340. N is the number of coefficients in the first feedforward equalizer circuit 228 and in the second feedforward 30 equalizer circuit 248, and M is the number of coefficients in the feedback equalizer circuit 340. This expression represents the input to the decision device 330. Decision device 330 utilizes the above described input value for yn to sequentially set up and solve a set of linear equations to determine corrected values for the coefficients of each of the three equalizer circuits, that is, for the first feedforward equalizer circuit 228, and for the second feedforward equalizer circuit 248, and for the feedback equalizer circuit 340.
The coefficients (also referred to as tap weights) of an equalizer can be adjusted to minimize the Mean Square Error (MSE), εk , according to:
εk = - where Ik is the kth information symbol transmitted and Ik is the estimate of the k^ symbol at the output of the equalizer. The estimated symbol Ik is expressed as:
Figure imgf000010_0001
where Xk is the sampled channel output and dj are the equalizer coefficients.
A set of linear equations can be set up based on the orthogonality principle in mean-square estimation. The equalizer coefficients, dj5 are chosen such that the Mean Square Error (MSE), εk , is orthogonal to the complex conjugate of the transmitted symbol sequence, X , according to:
Figure imgf000010_0002
where dj are the equalizer coefficients, x, are the equalizer inputs, x,* is the complex conjugate, Ε(X) is the expected value and yk is the estimated output of the equalizer. This equation involves the statistical autocorrelation function of the input signal and the cross correlation function between the input and predicted signal.
The above linear simultaneous equations have to be solved to find the optimum equalizer tap coefficients. This means that for an N tap equalizer, there are N linear simultaneous equations to be solved.
An adaptation algorithm such as the Least Mean Square (LMS) algorithm is used to solve the above equation. In the LMS algorithm an estimate of the gradient of the Mean Square Error (MSE) can be found and the opposite of this taken to update the tap values so that the MSE moves closer to the minimum. The LMS algorithm is represented by the equation: dn(k+l) = d„(k) - Δekx*(kT-nT), n = 0,1,2,...,N-1 ; where dπ(k) is the nΛ equalizer tap at time k, T is the signaling interval, βk is the error signal, and Δ is a variable adaptation constant (step size). The value βkX*(kT-nT) is an estimate of the gradient vector obtained from the data.
The LMS algorithm does not require knowledge of the signal's statistics or of the noise. The new equalizer coefficient is deduced from the previous value of the coefficient minus an error function. The greater Δ is, the faster the convergence, and the smaller Δ is, the slower the convergence. The LMS algorithm is easy to implement but slow to converge.
After decision device 330 has calculated the new equalizer coefficients for the equalizer circuits, decision device 300 sends a new equalizer coefficient to first feedforward equalizer circuit 228 via control line 333. Decision device 300 also sends new equalizer coefficients to second feedforward equalizer circuit 248 via control line 335, and feedback equalizer 340 via control line 337. The iterative process continues until the mean square error is minimized. In this manner the decision device 330 creates an improved signal for signal receiver 400. In order to clearly show how the present invention works in a video device, a video device will be briefly described. For purposes of illustration, the video device that will be described is a high resolution television signal receiver. It is to be borne in mind that the invention is not limited to use in a television signal receiver but may be used in any type of video device, including, without limitation, personal computer monitors, laptop computer monitors, handheld computer monitors, handheld video devices, and any type of device having the ability to display a video signal.
FIGURE 2 is a block diagram of a high definition television signal receiver 500 in which the present invention may be implemented. The television signal is received by antenna 520 and sent to a RF tuner 522 and then to an IF mixer 524. The signal is then sent to a demodulator and channel decoder circuit 526. The signal is then sent to a transport demultiplexer and decryption circuit 530 where the audio, video and data portions of the signal are separated from each other. The video portion of the signal is sent to a video decoder 540. The audio portion of the signal is sent to an audio decoder 542. The data portion of the signal is sent to a data decoder 544. The video portion of the signal is sent to a video display circuit 550 and the audio portion of the signal is sent to an audio speaker unit 552.
FIGURE 3 is a block diagram of an embodiment of the present invention in a video device 600. The video device 600 is a television signal receiver having a first antenna 520 and a second antenna 521. The RF tuner 522 and the IF mixer 524 of the television signal receiver 500 are replaced with the beamforming circuit 200 and with the decision feedback equalizer circuit 300 of the present invention. The video device 600 shown in FIGURE 3 is an exemplary adaptive digital beamforming receiver of the present invention.
In video device 600 the decision feedback equalizer circuit 300 sends the improved signal of the present invention to an MPEG-2 decoder 620. The MPEG-2 decoder 620 is of a type well known in the prior art. The video portion of the signal is sent to a video display unit 630. The audio portion of the signal is sent to an audio speaker 640.
FIGURE 4 is a flow diagram illustrating the operation of an exemplary adaptive digital beamforming receiver in accordance with one embodiment of the present invention. Step 700 comprises the step of demodulating a first analog signal from a first antenna. Step 702 comprises the step of converting the first analog signal to a digital signal. Step 704 comprises the step of modifying the first signal in a first feedforward equalizer to correct distortions in the first signal.
Similarly, step 706 comprises the step of demodulating a second analog signal from a second antenna. Step 708 comprises the step of converting the second analog signal to a digital signal. Step 710 comprises the step of modifying the second signal in a second feedforward equalizer circuit to correct distortions in the second signal.
Step 712 comprises the step of adding the modified first signal and the modified second signal. Step 714 comprises the step of adding to the sum of the modified first signal and the modified second signal a feedback signal from a feedback equalizer circuit to create an improved signal.
Step 716 comprises the step of modifying the improved signal in a decision device having an adaptive algorithm by adjusting the coefficients of the first feedforward equalizer circuit, and by adjusting the coefficients of the second feedforward equalizer circuit, and by adjusting the coefficients of the feedback equalizer circuit. Although the present invention has been described in detail, those skilled in the art should understand that they can make various changes, substitutions and alterations herein without departing from the spirit and scope of the invention in its broadest form.

Claims

CLAIMS:
1. An apparatus for improving signal reception in a signal receiver (100) having a first antenna (220) and a second antenna (240) comprising: a first feedforward equalizer circuit (228) capable of being coupled to said first antenna (220), said first feedforward equalizer circuit (228) comprising equalization circuitry capable of modifying a signal from said first antenna (220) to correct distortions in said signal; and a second feedforward equalizer circuit (248) capable of being coupled to said second antenna (240), said second feedforward equalizer circuit (248) comprising equalization circuitry capable of modifying a signal from said second antenna (240) to correct distortions in said signal; and an adder (250, 320) having a first input coupled to said first feedforward equalizer circuit (228) and a second input coupled to said second feedforward equalizer circuit (248), wherein said adder (250, 320) is capable of adding said modified signal from said first feedforward equalizer circuit (228) and said modified signal from said second feedforward equalizer circuit (248); and a decision device (330) coupled to an output of said adder (250, 320) and capable of monitoring a signal on said adder (250, 320) output, wherein said decision device (330), in response to a value of said adder (250, 320) output signal, modifies equalizer coefficients in said first feedforward equalizer circuit (228) and said second feedforward equalizer circuit (248) to reduce interference signals from at least one of said first feedforward equalizer circuit (228) and said second feedforward equalizer circuit (248).
2. An apparatus as set forth in Claim 1 further comprising a feedback equalizer circuit (340) coupled to said decision device (330), said feedback equalizer circuit (340) comprising equalization circuitry modifying an output signal of said decision device (330), wherein a third input of said adder (250, 320) is coupled to an output of said feedback equalizer circuit (340).
3. An apparatus as set forth in Claim 1 wherein said decision device (330) comprises a microprocessor capable of executing an adaptation algorithm.
4. An apparatus as set forth in Claim 3 wherein said adaptation algorithm utilizes a least mean squares method.
5. An apparatus as set forth in Claim 3 wherein said microprocessor is capable of adjusting said equalizer coefficients in said first feedforward equalizer circuit (228), said second feedforward equalizer circuit (248), and said feedback equalizer circuit (340).
6. An apparatus as set forth in Claim 1 wherein at least one of said first feedforward equalizer circuit (228), said second feedforward equalizer circuit (248), and said feedback equalizer circuit (340) comprises a linear transversal equalizer.
7. An apparatus as set forth in Claim 1 wherein said first feedforward equalizer circuit (228) is coupled to said first antenna (220) by first RF receiver circuitry (222, 224, 226) capable of receiving an RF signal from said first antenna (220) and converting said RF signal to a digital baseband signal.
8. An apparatus as set forth in Claim 1 wherein said second feedforward equalizer circuit (248) is coupled to said second antenna (240) by second RF receiver circuitry (242, 244, 246) capable of receiving an RF signal from said second antenna (240) and converting said RF signal to a digital baseband signal.
9. A television receiver comprising: first RF receiver circuitry (222, 224, 226) capable of being coupled to a first antenna (220), receiving a first RF signal from said first antenna (220). and converting said first RF signal to a first digital baseband signal; second RF receiver circuitry (242, 244, 246) capable of being coupled to a second antenna (240), receiving a second RF signal from said second antenna (240), and converting said second RF signal to a second digital baseband signal; a first feedforward equalizer circuit (228) capable receiving said first digital baseband signal, said first feedforward equalizer circuit (228) comprising equalization circuitry capable of modifying said first digital baseband signal to minimize distortions therein; and a second feedforward equalizer circuit (248) capable of receiving said second digital baseband signal, said second feedforward equalizer circuit (248) comprising equalization circuitry capable of modifying said second digital baseband signal to minimize distortions therein; an adder (250, 320) having a first input coupled to said first feedforward equalizer circuit (228) and a second input coupled to said second feedforward equalizer circuit (248), wherein said adder (250, 320) is capable of adding said modified signal from said first feedforward equalizer circuit (228) and said modified signal from said second feedforward equalizer circuit (248); a decision device (330) coupled to an output of said adder (250, 320) and capable of monitoring a signal on said adder (250, 320) output, wherein said decision device (330), in response to a value of said adder (250, 320) output signal, modifies equalizer coefficients in at least one of said first feedforward equalizer circuit (228) and said second feedforward equalizer circuit (248) to minimize distortions in at least one of said first feedforward equalizer circuit (228) and said second feedforward equalizer circuit (248); an MPEG-2 decoder (620) coupled to said decision device (330) capable of receiving and decoding an output signal from said decision device (330); and a video display unit (630) coupled to said MPEG-2 decoder (620) capable of receiving and displaying a decoded output signal from said MPEG-2 decoder (620).
10. A television receiver as set forth in Claim 9 further comprising a feedback equalizer circuit (340) coupled to said decision device (330), said feedback equalizer circuit (340) comprising equalization circuitry modifying an output signal of said decision device (330), wherein a third input of said adder (250, 320) is coupled to an output of said feedback equalizer circuit (340).
11. A television receiver as set forth in Claim 9 wherein said decision device (330) comprises a microprocessor capable of executing an adaptation algorithm.
12. A television receiver as set forth in Claim 11 wherein said adaptation algorithm utilizes a least mean squares method.
13. A television receiver as set forth in Claim 11 wherein said microprocessor is capable of adjusting said equalizer coefficients in said first feedforward equalizer circuit (228), said second feedforward equalizer circuit (248), and said feedback equalizer circuit (340).
14. A television receiver as set forth in Claim 9 wherein at least one of said first feedforward equalizer circuit (228), said second feedforward equalizer circuit (248), and said feedback equalizer circuit (340) comprises a linear transversal equalizer.
15. A method for improving signal reception in a signal receiver having a first antenna (220) and a second antenna (240) comprising the steps of: modifying a signal from said first antenna (220) in a first feedforward equalizer circuit (228) to correct distortions in said signal; modifying a signal from said second antenna (240) in a second feedforward equalizer circuit (248) to correct distortions in said signal; adding said modified signal from said first feedforward equalizer circuit (228) and said modified signal from said second feedforward equalizer circuit (248) to form a sum of said modified signals; monitoring in a decision device (330) said sum of said modified signals; and in response to a value of said sum of said modified signals, modifying equalizer coefficients in said first feedforward equalizer circuit (228) and said second feedforward equalizer circuit (248) to reduce interference signals from at least one of said first feedforward equalizer circuit (228) and from said second feedforward equalizer circuit (248).
16. The method as set forth in Claim 15 wherein said step of modifying equalizer coefficients comprises the steps of: calculating corrections to said sum of said modified signals with an adaptation algorithm; and changing the values of portions of said sum of said modified signals using said calculated corrections.
17. The method as set forth in Claim 16 wherein the step of calculating corrections to said signal with an adaptation algorithm is carried out using an adaptation algorithm that utilizes a least mean squares method.
18. A method for improving signal reception in a signal receiver having a first antenna (220) and a second antenna (240) comprising the steps of: down-converting an RF signal received by said first antenna (220) to a first digital baseband signal; down-converting an RF signal received by said second antenna (240) to a second digital baseband signal; modifying said first digital baseband signal in a first feedforward equalizer circuit (228) to correct distortions in said first digital baseband signal; modifying said second digital baseband signal in a second feedforward equalizer circuit (248) to correct distortions in said second digital baseband signal; adding said first digital baseband signal and said second digital baseband signal to produce a composite baseband signal; monitoring in a decision device (330) said composite baseband signal; and in response to a value of said composite baseband signal, modifying equalizer coefficients in said first feedforward equalizer circuit (228) and said second feedforward equalizer circuit (248) to reduce interference signals in said composite baseband signal.
19. The method as set forth in Claim 18 wherein said step of modifying equalizer coefficients comprises the steps of: calculating corrections to said sum of said modified signals with an adaptation algorithm; and changing the values of portions of said sum of said modified signals using said calculated corrections.
20. The method as set forth in Claim 19 wherein the step of calculating corrections to said signal with an adaptation algorithm is carried out using an adaptation algorithm that utilizes a least mean squares method.
21. A method for improving signal reception in a signal receiver having a first antenna (220) and a second antenna (240) comprising the steps of: demodulating a first analog signal from a first antenna (220); converting said first analog signal to a digital signal; modifying said first signal in a first feedforward equalizer circuit (228) to correct distortions in said first signal; demodulating a second analog signal from a second antenna (240); converting said second analog signal to a digital signal; modifying said second signal in a second feedforward equalizer circuit (248) to correct distortions in said second signal; adding the modified first signal and the modified second signal; adding to the sum of said modified first signal and said modified second signal a feedback signal from a feedback equalizer circuit (340) to create a combined signal; and modifying the combined signal in a decision device (330) having an adaptive algorithm by adjusting the coefficients of said first feedforward equalizer circuit (228), and by adjusting the coefficients of said second feedforward equalizer circuit (248), and by adjusting the coefficients of said feedback equalizer circuit (340).
PCT/EP2000/0097661999-10-212000-10-05An adaptive digital beamforming receiver to improve signal receptionWO2001030011A1 (en)

Priority Applications (3)

Application NumberPriority DateFiling DateTitle
KR1020017007881AKR20010093207A (en)1999-10-212000-10-05An adaptive digital beamforming receiver to improve signal reception
EP00972686AEP1145475A1 (en)1999-10-212000-10-05An adaptive digital beamforming receiver to improve signal reception
JP2001531245AJP2003512764A (en)1999-10-212000-10-05 Adaptive digital beamforming receiver for improving signal reception quality

Applications Claiming Priority (2)

Application NumberPriority DateFiling DateTitle
US42273399A1999-10-211999-10-21
US09/422,7331999-10-21

Publications (1)

Publication NumberPublication Date
WO2001030011A1true WO2001030011A1 (en)2001-04-26

Family

ID=23676129

Family Applications (1)

Application NumberTitlePriority DateFiling Date
PCT/EP2000/009766WO2001030011A1 (en)1999-10-212000-10-05An adaptive digital beamforming receiver to improve signal reception

Country Status (4)

CountryLink
EP (1)EP1145475A1 (en)
JP (1)JP2003512764A (en)
KR (1)KR20010093207A (en)
WO (1)WO2001030011A1 (en)

Cited By (2)

* Cited by examiner, † Cited by third party
Publication numberPriority datePublication dateAssigneeTitle
EP1883169A4 (en)*2005-06-212013-03-06Panasonic Corp DIVERSITY COMBINATION METHOD AND DIVERSITY RECEIVER APPARATUS
US10021353B2 (en)2013-01-132018-07-10Opgal Optronic Industries Ltd.Optimizing detection of known light sources

Families Citing this family (4)

* Cited by examiner, † Cited by third party
Publication numberPriority datePublication dateAssigneeTitle
KR20030097192A (en)*2002-06-202003-12-31대한민국(전남대학교총장)Restarting fast Kalman decision-feedback equalizer combined with LMS decision-feedback equalizer
KR100474911B1 (en)*2002-07-112005-03-10엘지전자 주식회사receive system
KR100500661B1 (en)2003-06-142005-07-12한국전자통신연구원Apparatus and method for selecting optimal beam for digital tv receiver
EP3477869B1 (en)*2016-06-242020-11-04Socionext Inc.Equalization circuit, reception circuit and integrated circuit device

Citations (12)

* Cited by examiner, † Cited by third party
Publication numberPriority datePublication dateAssigneeTitle
JPS5441052A (en)*1977-09-081979-03-31Matsushita Electric Ind Co LtdGhost automatic erasing device
US4890298A (en)*1986-12-111989-12-26Plessey Overseas LimitedTroposcatter modem receiver
JPH03135118A (en)*1989-10-191991-06-10Sanyo Electric Co LtdDiversity receiver
US5119401A (en)*1989-11-171992-06-02Nec CorporationDecision feedback equalizer including forward part whose signal reference point is shiftable depending on channel response
EP0524006A2 (en)*1991-07-191993-01-20Matsushita Electric Industrial Co., Ltd.Television signal receiving apparatus
JPH06233158A (en)*1993-02-031994-08-19Clarion Co LtdSelector for received signal from antenna with less ghost of tv diversity
US5532748A (en)*1995-03-311996-07-02Matsushita Electric Corporation Of AmericaHybrid analog/digital television transmission system
EP0741469A2 (en)*1995-04-241996-11-06AT&T IPM Corp.Apparatus and methods for decoding a communication signal
JPH08331468A (en)*1995-03-281996-12-13Pioneer Electron CorpTelevision signal receiver
JPH1075237A (en)*1996-08-291998-03-17Fujitsu Ltd Receiver circuit for wireless communication system
US5777692A (en)*1994-12-291998-07-07Philips Electronics North America CorporationReceiver based methods and devices for combating co-channel NTSC interference in digital transmission
US5870430A (en)*1996-12-261999-02-09Thomson-CsfProcess for multi-sensor equalisation in a radio receiver in the presence of interference and multiple propagation paths

Patent Citations (12)

* Cited by examiner, † Cited by third party
Publication numberPriority datePublication dateAssigneeTitle
JPS5441052A (en)*1977-09-081979-03-31Matsushita Electric Ind Co LtdGhost automatic erasing device
US4890298A (en)*1986-12-111989-12-26Plessey Overseas LimitedTroposcatter modem receiver
JPH03135118A (en)*1989-10-191991-06-10Sanyo Electric Co LtdDiversity receiver
US5119401A (en)*1989-11-171992-06-02Nec CorporationDecision feedback equalizer including forward part whose signal reference point is shiftable depending on channel response
EP0524006A2 (en)*1991-07-191993-01-20Matsushita Electric Industrial Co., Ltd.Television signal receiving apparatus
JPH06233158A (en)*1993-02-031994-08-19Clarion Co LtdSelector for received signal from antenna with less ghost of tv diversity
US5777692A (en)*1994-12-291998-07-07Philips Electronics North America CorporationReceiver based methods and devices for combating co-channel NTSC interference in digital transmission
JPH08331468A (en)*1995-03-281996-12-13Pioneer Electron CorpTelevision signal receiver
US5532748A (en)*1995-03-311996-07-02Matsushita Electric Corporation Of AmericaHybrid analog/digital television transmission system
EP0741469A2 (en)*1995-04-241996-11-06AT&T IPM Corp.Apparatus and methods for decoding a communication signal
JPH1075237A (en)*1996-08-291998-03-17Fujitsu Ltd Receiver circuit for wireless communication system
US5870430A (en)*1996-12-261999-02-09Thomson-CsfProcess for multi-sensor equalisation in a radio receiver in the presence of interference and multiple propagation paths

Non-Patent Citations (5)

* Cited by examiner, † Cited by third party
Title
PATENT ABSTRACTS OF JAPAN vol. 003, no. 061 (E - 113) 26 May 1979 (1979-05-26)*
PATENT ABSTRACTS OF JAPAN vol. 015, no. 348 (E - 1107) 4 September 1991 (1991-09-04)*
PATENT ABSTRACTS OF JAPAN vol. 018, no. 608 (E - 1633) 18 November 1994 (1994-11-18)*
PATENT ABSTRACTS OF JAPAN vol. 1997, no. 04 30 April 1997 (1997-04-30)*
PATENT ABSTRACTS OF JAPAN vol. 1998, no. 08 30 June 1998 (1998-06-30)*

Cited By (2)

* Cited by examiner, † Cited by third party
Publication numberPriority datePublication dateAssigneeTitle
EP1883169A4 (en)*2005-06-212013-03-06Panasonic Corp DIVERSITY COMBINATION METHOD AND DIVERSITY RECEIVER APPARATUS
US10021353B2 (en)2013-01-132018-07-10Opgal Optronic Industries Ltd.Optimizing detection of known light sources

Also Published As

Publication numberPublication date
KR20010093207A (en)2001-10-27
EP1145475A1 (en)2001-10-17
JP2003512764A (en)2003-04-02

Similar Documents

PublicationPublication DateTitle
US6115419A (en)Adaptive digital beamforming receiver with π/2 phase shift to improve signal reception
US7050491B2 (en)Adaptive equalization of digital modulating signal recovered from amplitude-modulated signal subject to multipath
US6563868B1 (en)Method and apparatus for adaptive equalization in the presence of large multipath echoes
EP1033851A2 (en)Method and apparatus for equalizing digital signal received via multiple transmission paths
JP4308870B2 (en) Interference rejection device with fast phase adaptation
JPH10500830A (en) Measures against signal interference in digital transmission
US20030219085A1 (en)Self-initializing decision feedback equalizer with automatic gain control
US6509934B1 (en)Directing an antenna to receive digital television signals
IE80616B1 (en)Method and apparatus for updating coefficients in a complex adaptive equalizer
US6950477B2 (en)Blind dual error antenna diversity (DEAD) algorithm for beamforming antenna systems
US7739321B2 (en)Method and adaptive filter for processing a sequence of input data
US20090067483A1 (en)Efficient adaptive equalizer implementation
US9042436B2 (en)Asymmetric multi-channel adaptive equalizer
WO2001030011A1 (en)An adaptive digital beamforming receiver to improve signal reception
WO2001097475A1 (en)Channel equalizer
EP1397880B1 (en)Joint timing recovery and equalization for an n-antennae system
KR20070117791A (en) Equalizer Using Estimated Noise Power
WO2014188508A1 (en)Diversity-receiving device, diversity-receiving method, receiving program, and recording medium
WO2002078313A1 (en)System for convolutional echo cancellation by iterative autocorrelation
US6870880B2 (en)Waveform equalization apparatus
US7194026B2 (en)Blind equalization method for a high definition television signal
KR100281390B1 (en) 8-VSB Adaptive Channel Equalizer and Coefficient Update Method
Lei et al.A Multiantenna Diversity System with Blind Equalisation for Mobile Video Signal Reception
WO2014188578A1 (en)Diversity-receiving device, diversity-receiving method, receiving program, and recording medium
JP2006166402A (en) Waveform equalization apparatus, waveform equalization method, and integrated circuit

Legal Events

DateCodeTitleDescription
AKDesignated states

Kind code of ref document:A1

Designated state(s):JP KR

ALDesignated countries for regional patents

Kind code of ref document:A1

Designated state(s):AT BE CH CY DE DK ES FI FR GB GR IE IT LU MC NL PT SE

WWEWipo information: entry into national phase

Ref document number:2000972686

Country of ref document:EP

121Ep: the epo has been informed by wipo that ep was designated in this application
ENPEntry into the national phase

Ref country code:JP

Ref document number:2001 531245

Kind code of ref document:A

Format of ref document f/p:F

WWEWipo information: entry into national phase

Ref document number:1020017007881

Country of ref document:KR

WWPWipo information: published in national office

Ref document number:2000972686

Country of ref document:EP

WWPWipo information: published in national office

Ref document number:1020017007881

Country of ref document:KR

WWWWipo information: withdrawn in national office

Ref document number:2000972686

Country of ref document:EP

WWWWipo information: withdrawn in national office

Ref document number:1020017007881

Country of ref document:KR


[8]ページ先頭

©2009-2025 Movatter.jp