Movatterモバイル変換


[0]ホーム

URL:


WO2001028159A2 - System and method to determine data throughput in a communication network - Google Patents

System and method to determine data throughput in a communication network
Download PDF

Info

Publication number
WO2001028159A2
WO2001028159A2PCT/US2000/027786US0027786WWO0128159A2WO 2001028159 A2WO2001028159 A2WO 2001028159A2US 0027786 WUS0027786 WUS 0027786WWO 0128159 A2WO0128159 A2WO 0128159A2
Authority
WO
WIPO (PCT)
Prior art keywords
transmitter
receiver
channel
computer network
communication channel
Prior art date
Application number
PCT/US2000/027786
Other languages
French (fr)
Other versions
WO2001028159A3 (en
Inventor
Srivathsan Krishnamachari
Neil Judell
Original Assignee
Vigilant Networks Llc
Priority date (The priority date is an assumption and is not a legal conclusion. Google has not performed a legal analysis and makes no representation as to the accuracy of the date listed.)
Filing date
Publication date
Application filed by Vigilant Networks LlcfiledCriticalVigilant Networks Llc
Priority to AU78728/00ApriorityCriticalpatent/AU7872800A/en
Priority to EP00968870Aprioritypatent/EP1221218A2/en
Priority to MXPA02003506Aprioritypatent/MXPA02003506A/en
Publication of WO2001028159A2publicationCriticalpatent/WO2001028159A2/en
Publication of WO2001028159A3publicationCriticalpatent/WO2001028159A3/en

Links

Classifications

Definitions

Landscapes

Abstract

A computer network includes a transmitter, a receiver, and a communication channel system interconnecting the transmitter and receiver. All components in the system may be physical equipment or may be models having predefined operational characteristics. The predefined operational characteristics may be monitored or modified to obtain benchmarking and error rates for the computer network.

Description

SYSTEM AND METHOD TO DETERMINE DATA THROUGHPUT IN A COMMUNICATION NETWORK
RELATED APPLICATIONS This application claims priority to U.S. Provisional Application Number 60/158,515 filed October 8, 1999, the contents of which are incorporated herein by reference in its entirety.
BACKGROUND OF THE INVENTION Transmission of data with tolerable error rate in a communication network is desired.
Generally, a communication system has the following components: a transmitter, a communication channel, a communication protocol, and a receiver. In most circumstances, each of these components is subject to independent design and testing specifications developed by multiple controlling organizations focusing narrowly on one element of the communication system. Also, manufacturers specializing in a particular component of the communication channel build the parts of a communication system. Thus, each of the components are typically designed, manufactured and tested independently of the other components in the system. Even if each of these components corresponds to its design and testing specifications, a communication channel assembled using the component might not perform adequately in terms of data throughput due to untested interactions among the components. In fact, most communications systems do not have any specifications and methods to test the entire system with all the actual components in place.
The International Standards Organization (ISO) has defined a layered model approach for communication networks, namely, the seven-layer model for open systems interconnection. The seven layers include the application, presentation, session, transport, network, data link, and physical layers. Each layer defines a different set of protocols necessary for communication, ranging from connectors and wires in the physical layer to identification of the reply address in an email in the application layer. Information always flows down through the layers from an application layer across a real physical connection between two or more physical layer objects.
In the highest layers (application oriented) and the lowest layers (physical or network hardware dependent) of the model, many standards are supported. However, the model is dependent on using essentially a single transport layer protocol to get all the different applications working with the different low-level networks.
Different protocols for the physical layer, for example lOBaseT or 100BaseT, can be used for data transmission. 1 OBaseT is a protocol that operates at 10 megabits per second (MBPS) and uses twisted-pair cabling. 100BaseT is a protocol for sending data over copper cables at a rate of 100 MBPS. Various standards govern a 100BaseT system that are different than those that apply to a 1 OBaseT system. The 100BaseT protocol is defined by IEEE Std 803.3u( 1995), "Carrier Sense Multiple Access with Collision Detection (CSMA/CD) Access Methods -Type 100Base-T." The main components of a 100BaseT system include data source coding, framing and sharing of the cable as specified in IEEE Std 802.3u. The coding and electrical specifications of the transmitted signal and the transmitter are specified in ANSI X3.263(1995), "Fiber Distributed Data Interface (FDDI) - Twisted Pair Physical Layer Medium Dependent (TP-PMD)." The specifications of the cable (for example, maximum length, impedance levels, attenuation and cross-talk) are specified by the standards TIA/EIA- 568-A and TIA/EIA TSB 67. These specifications also describe connectors and patch cables. The receiver electrical and decoding specifications are described in ANSI X3.263(1995), "Fiber Distributed Data Interface (FDDI) - Twisted Pair Physical Layer Medium Dependent (TP-PMD)."
Like other communication systems, a 1 OOBaseT computer network system includes a transmitter, a receiver and a communication channel system that includes cables and connectors to interconnect the transmitter and the receiver. Even if the system components of a 100BaseT system meet their individual acceptance criteria, cable plant assembled using these components can produce unacceptable levels of data errors measured as the ratio of packets (frames) lost due to Cyclic Redundancy Check (CRC) errors or missed detection to the total packets transmitted.
Existing testing methods may test the cable and cable components. The cable, connectors and patch cables are typically tested individually by the manufacturer according to the specifications in the TIA/EIA specifications. Further, the cable plant can be tested during installation, when Cable installers verify that the installed cable and components meet the TIA/EIA specifications for an installed cable channel. Most of the testing is done using handheld meters with measuring devices attached to both ends of the cable, and is performed before the transmitter and receiver are attached to the channel. The Network Interface Card (NIC) manufacturers test against the FDDI-TP-PMD specifications. In addition, in certain communication networks, bit error rate testers send a preprogrammed signal through the cable and test for bit errors. However, the bit error rate testers test only the cable and do not test the actual transmitter, cable and receiver combination.
However, the end user of a communication system is more interested in the overall throughput of the system than in the performance specification of the individual components.Performance information becomes more useful if a certain throughput can be guaranteed by a communication system vendor; if the guaranteed throughput can be verified after the installation; or if the system throughput can be continuously monitored over the life of the communication system.
Using a specified communication throughput as a requirement also helps the communication system component manufacturers design and improve their products to achieve a better information throughput rate. For example, a cable manufacturer can design and optimize its cable for a particular communication protocol, transmitters and receivers. Likewise, a communication protocol designer can design a protocol that works best for existing components.
Bit error rate (BER) and packet or frame error rate are both measurements of system throughput. Frame error rate includes the ratio of packets of user information received without errors to the packets of user information sent. Bit error rate includes the ratio of quantum units (example: bits) of user or system information received without errors to the quantum units of user or system information sent.
Systems do exist today that are able to measure transmitter parameters, channel parameters, and noise levels. However, no system exists that combines the readily measurable parameters to produce a predicted or actual throughput measurement. Instead, existing systems are only capable of performing empirical throughput measurements. In such systems, a signal received by the receiver contains error-detecting information. Start and end codes and cyclic redundancy codes are incorporated within the data streams. Some Network Interface Cards (NICs) are capable of detecting errors using these self-consistency checks. By counting the number of errors received against a number of bits received, a bit error rate or packet error rate may be empirically calculated.
However, Empirical measurements of BER using a physical receiver are impractical for many reasons. First, typical error rates occur on the order of one error in 10 transmitted bits. At maximum transmission rate on a 100BaseT network, this is approximately one error in 2.8 hours. To empirically obtain a meaningful and statistically accurate error rate from a real system, one would need to measure for a duration often to one hundred times the error interval, so testing would require anywhere from one to ten days of measurement. Second, the physical hardware being tested is affected by a variety of external factors that cause inconsistent empirical measurements over repeated trials. This makes the calculation of an absolute BER of a communication channel (not including the receiver) impossible. Third, many physical receivers (i.e. NICs) provide only frame/packet error information. Any calculation of BER from the frame/packet error information is therefore approximate, since a packet error can correspond to more than one bit error. Finally, in many communication systems, idle signals are transmitted between packets and any system calculating frame packet errors will not identify any errors in the idle sequence between packets. Errors in idle sequence will result in loss of synchronization, and further prevent accurate measurement of BER.
SUMMARY OF THE INVENTION The system and methodology of the present invention relate to determining the error rate and parameter margin analysis in an installed communication network. A computer network includes a transmitter, a receiver, and a communication channel system interconnecting the transmitter and receiver. The communication channel system may include, but is not limited to, patch cables and horizontal cables and the connectors at the end of cables, wall panels to which the connectors interface and patch panels that connect the patch cables to the horizontal cables.
In a particular embodiment of modeling a transmitter, the present invention captures signals from an installed transmitter, determines the transmitter parameters, replicates the transmitter pulse waveform and provides it to an arbitrary waveform generator (AWG). The AWG may then be substituted in the communication system for the actual transmitter. Further, a model is then developed that modifies the replicated pulse waveform by adjusting only physical parameters of the transmitter. In this way, the existing system may be tested for performance or parametric margins of operation, thereby identifying boundaries for successful data transmission along the communication network.Thus, in a preferred embodiment, the transmitter can be a physical transmitter, or a transmitter model built to confer certain transmitter properties, or a transmitter model which is identical to a physical transmitter with properties that can be changed individually or in combination. In an alternative embodiment of modeling the transmitter, pre-stored transmitter shapes are used with a signal generator to drive the physical cable. In another embodiment of modeling the transmitter, the measured transmitter parameters for the cable and receiver parameters are used in combination with a look-up table of headroom/error rates to predict the performance of the network.
Similarly, in a preferred embodiment, the communication channel system can be a physical medium or alternatively, a model built to comply with certain medium properties, or a medium model that is identical to a physical communication channel having properties that can be changed individually or in combination.
Further, in a preferred embodiment, the receiver can be a physical receiver, or alternatively, a model of a receiver built to meet certain receiver properties, or a receiver that is identical to a physical receiver having properties that can be changed individually or in combination. Moreover, after characterization of the network by measurement of various operational parameters, all or part of the entire network may be virtually modeled mathematically. Once the model is developed, it is possible to vary the operational parameters and test the model for performance against the physical network in order to validate the model. Similarly, once the mathematical model is created that models the communication network, other components may be substituted for the existing components to test the network performance with different equipment. Thus, the communication network may include a physical portion and a virtual portion.
The present invention further includes the ability to vary parameters individually or in combination. In addition, the data content that is transmitted can be controlled. For example, the data content can be modeled to simulate data patterns in a real communication network. Alternatively, specific data patterns that test the response of a channel to different situations, (for example, baseline wander) can be transmitted. Further, real data captured from a physical channel can also be used as the data content transmitted.
Additionally, the present invention includes determining performance parameters after stressing the communication channel system by adjusting external parameters such as, for example, thermal, and noise parameters and electromagnetic interference sources.
Moreover, the present invention includes a method for determining a bit error rate in a computer network system. The disclosed method includes determining at least one characteristic parameter of the communication channel system, determining at least one characteristic parameter of the transmitter and determining at least one parameter of the receiver.
In a preferred embodiment, the method for determining a bit error rate in a computer network system includes sampling electrical signals in the communication channel system, measuring a plurality of cable characteristics after injecting and receiving a plurality of test signals into the computer network, and determining the bit error rate of the computer network by analyzing the measured communication channel characteristics.
Thus, the present invention relates to systems and methods to determine error rate or the throughput in a computer network. The error rate determination includes, but is not limited to, bit error rate and packet error rate in the computer network. The present invention also can provide a margin analysis for the system or components of the computer network at which the bit error rate of a specific level starts to occur.
Moreover, the present invention allows testing of all the system components together. The present invention has the ability to build and test an entire network system by using mathematical models for all the components of the system, physical components for all the components of the system, or any combination of mathematical or physical components that form the system. The mathematical models for the transmitter, the receiver, and the communication channel system can be built either from design parameters used for the design of the components or measured parameters from the existing physical components.
The present invention is versatile, as it has the ability to use values from any source, Time-Domain Reflectometry (TDR), network analyzers, parameters from handheld testers, manufacturers specification values, and user defined values.
The systems and methods of the present invention can be used by communication channel system (cables, connectors, etc.) manufacturers to design their communication channel product. The systems and methods of the present invention provide communication channel models that can determine the efficiency of their systems without the more costly alternative to building cabling systems and then testing their efficiency. Further, utility of the systems and methods of the present invention are found in the service industry where actual measurements of the communication channel systems can be performed to determine the error rate and thus, the throughput efficiency of the system. The cable plant may also be rated on its ability to perform with various types of transmitter shapes. BRIEF DESCRIPTION OF THE DRAWINGS The foregoing and other objects, features and advantages of the invention will be apparent from the following more particular description of preferred embodiments of the invention, as illustrated in the accompanying drawings in which like reference characters refer to the same parts throughout the different views. The drawings are not necessarily to scale, emphasis instead being placed upon illustrating the principles of the invention.
Fig. 1 is a schematic diagram illustrating the system and method to determine the error rate and parameter margin analysis in a computer network system. Fig. 2 is a flow chart illustrating the system and method to determine transmitter characteristics in accordance with the present invention.
Fig. 3 is a diagram illustrating the system and method to determine the communication channel or cabling system characteristics in accordance with the present invention. Fig. 4 is a block diagram illustrating a software model of the receiver in accordance with the present invention.
Fig. 5 is a flow chart showing generation of transmitter space. Fig. 6. is an equalizer determination flow chart. Fig. 7 is a sample channel model for calculating a bit error rate. Fig. 8 is a sample waveform used to calculate jitter.
DETAILED DESCRIPTION OF THE INVENTION Referring to Fig. 1 , a schematic diagram of a throughput measurement system for a computer network is illustrated. The measurement system includes a measuring transmitter 10, a cornmunication channel 12, receiver characteristics 14, and external disturbance factors 16 such as thermal conditions and electrical noise. According to the present invention, and as illustrated in Fig. 1, each of the system components may be a real or modeled component. In the case of a modeled component, the parameters of the model may be based upon measured or design values, and may be varied one at a time or in combination. A discussion of each component follows.
The Transmitter
First, referring to Fig. 2, the details of the transmitter 10 characteristics are provided. The transmitter mathematical model is able to simulate many types of transmitters like 1 OBaseT, 100BaseT and lOOOBaseT, among others. As seen in Fig. 2. the transmitter Data Content 18 may be either user defined or may be limited content for special purposes. In the former, the user can control and define the data to be transmitted over the system. In the latter, the transmitter supplies stored data content optimized for specific purposes, such as for controlling the frequency content of the electrical signal over the channel or for analyzing baseline wander of the channel signal, or for any other data traffic model.
Once provided, the transmitter Data Content is transformed by Data Framing and Encapsulation 20, Source Coding 22 and Channel Coding 24. In particular, the transmitter packages the Data Content into a data frame that normally includes destination address, source address, frame check sequences and data padding. The transmitter may frame data according to many types of framing specifications including, but not limited to, IEEE 802.3 and FDDI. Once packaged, the frame is transformed by source and channel coding. The transmitter also injects stored channel and source coded signals for the purposes of controlling the frequency content of the signal on the channel. Once framed, the Data Content is transformed to a signal generated by the Line Signal
Generation portion 26 of the transmitter. Most computer communication signals transmit rectangular/trapezoidal pulse signals over the channel with amplitude and phase chosen to correspond to the transformed data. In addition, these pulse signals are characterized by the following parameters: • Amplitude
Jitter
• Rise time Fall time
• Amplitude asymmetry between negative and positive pulses • Rise/fall time asymmetry
• Duty cycle distortion
• General pulse shape Noise
Each different transmitter parameter causes problems when not within defined limits.
For example, the rise and fall times generally must be within a specific time interval. Very slow rise and fall times will result in errors in clock extraction in the receiver, and increased inter-symbol interference because the signal might not reach their maximum amplitude within one clock period. Very fast rise times result in increased energy at high frequencies and therefore higher level of cross talk in the neighboring signal paths. This makes it important to model the transmitters at both ends of the cable because high rise/fall times in a signal path produces increased noise in the next signal path. The jitter parameter is a measure of the variation of the actual transmitter pulse edge time from the expected time. For example, the expected time normally is 8 nanoseconds for 100BaseT, though it need not be. Jitter results in receiver errors.
The amplitude parameter is another measure used to model the transmitter. A signal is attenuated on passing through the cable. In the receiver, the received signal level is used to estimate the length of the cable and used to compensate for the frequency dependent signal attenuation by the cable. High amplitude of the transmitter pulse might may result in higher than normal energy in reaching the receiver and thereby the receiver underestimating the length of the cable and providing inadequate compensation at high frequencies. This results in a distorted signal. On the other hand, low transmitter amplitude, may result in over compensation of the high frequency components relative to the low frequency components. The positive and negative pulse symmetry parameter results in baseline drift due to unequal levels of positive and negative voltages over a transformer coupled differential pair of wires. The baseline shift introduces errors in the receiver.
In addition to the above parameters, the shape of the pulse is also a decisive factor. A particular transmitter pulse may meet all the TP-PMD specifications, but still have an eccentric shape capable of producing errors. This makes it very important to simulate the actual pulse shapes of the transmitter used in a particular network. According to the system, all the parameters may be varied in the transmitter model. These parameter inputs can be either design values or measured values from an actual transmitter. Once generated, a transmitter Data Content is transformed into a Transmitter Output
Line 28. In general, there are three types of transmitter output. First, the output may be generated as a file output, wherein the modeled line signal is stored in a file as input to a mathematical cable model. Second, the modeled line signal can be used to drive a digital to analog (D/A) converter, an Arbitrary Waveform Generator, or any other device that in turn can be used to drive the communication channels. Third, the user chosen or stored data content may be input to a Network Interface Card (NIC) which in turn will drive the communication channel and be received by the receiver. The Communication Channel
Details of the communication channel characteristics are described and shown in Fig. 3. As noted previously, a channel 12 is formed by a series connection of any number of cables 30 and connectors 32. For each of these components, various parameters 34 that affect the signal transmission may be modeled. Additionally, all modeled parameters may be developed by using design values or by using values measured from existing physical cables or connectors. During propagation through the channel, a transmitted signal reaches the receiver using multiple paths caused by reflections in the channel. The paths used in the model can be any of the following: 1. All the paths in the model;
2. All paths that are limited to maximum number of reflections; or
3. All paths for which the signal level reaching the receiver is above a minimum threshold.
Similarly, cross-talk signals are also modeled by multiple paths. Cross-talk can be caused by signals traveling in parallel in the same direction or signals traveling in opposite directions. Signals traveling in parallel, along multiple sub-channels, in the same direction are also modeled. Each of the following parameters can be developed by using design values or using measured values from physical cables or connectors.
A first parameter in the model is attenuation. Attenuation specifies how the amplitude and phase of the signal are modified during propagation. It is a frequency dependent parameter and is also dependent on the length of the channel component. For example, when modeling a cable, attenuation can be described by Attenuation(f,x) = e'a'^'x *e-'< 7+ w where f is frequency and x is distance, "α" and "β" are design parameters. This model can be extended to include the dependence of attenuation on frequency ( / ) and
1/- 7 • However, if desired, this modeled function may be replaced by a measured attenuation function.
A second parameter is crosstalk. Crosstalk specifies the amplitude and phase of the signal induced in a sub-channel due to a signal traveling in an adjacent sub-channel, and may be modeled as:
A * j * f
Cross - talk(f) =
A * j * f + l "A" is a design parameter, while j is a complex number / is frequency. This preferred model models cross-talk as a resistive capacitive (RC) circuit. However, the preferred model may be replaced by other models that include inductive effects. Similarly, the modeled function may be replaced by a measured cross-talk function. Return-Loss specifies the signals that return to the transmitting end due to reflections in the channel. Return-loss reflections first may be caused by impedance mismatch, which is accounted for by calculating signal through multiple paths that originate in the transmitter and end in the transmitter side. A second cause of return-loss arises from reflections due to imperfections in the construction of the cable. In particular, physical imperfections in the cable cause small impedance changes that produce reflections. This is modeled as Bff , where "B" is a design parameter. As with previous functions, the modeled return-loss function may be replaced by a measured return-loss function.
Length of the cable component affects attenuation, delay and delay skew. The length can be either a modeled value or an actual measured value. The model also accounts for the cable component impedance profile. Each cable has its own characteristic impedance. Even a series of these cables form a channel that has a varying impedance profile over length. Installation practices like punch-down and patch- panels also affect the impedance profile. At the points of impedance change, signal reflections occur and the amount of reflected and transmitted signal depends on the ratio of the impedance levels on either sides of the impedance change. These reflections are also frequency dependent.
Other parameters include propagation velocity and delay skew. The velocity of the signal along a cable depends on the cable electrical properties, which define the propagation velocity in the cable. Additionally, due to differences in electrical properties, signals traveling along parallel sub-channels can arrive at different times at the receiving end. This difference in time of arrival is known as delay skew. Delay skew will cause alignment errors in the receiver. In the model sub-channels can be modeled with different propagation velocities to simulate delay skew.
Ambient Noise is the noise induced in the cable from the surrounding environment. The ambient noise can be generated from stored noise models or by new models generated after measuring the environment. Finally, the model supplies a channel output. If a mathematical channel model is used, the output will be a waveform file. If a physical channel is used, the output is an electrical signal that can be used directly or can be sampled and stored in a file.
The method and system of the present invention may use, but is not limited to, Time- Domain Reflectometry (TDR) to measure the length of the cable, network analysis, values for any source, user defined values, parameters from handheld testers, and manufacturers specification values. In addition to the length of the cable, the TDR also provides parameters for the attenuation model of the cable, impedance of the horizontal cable, patch cable and return loss. The Receiver
As noted above, bit error rate (BER) calculation using a physical receiver for many communication systems is impractical. Because of the low error rates, using a physical receiver may produce varying measurements of error rate when realistic measurement periods are used. Different physical NIC receivers also produce different measured error rates, even if manufactured according to the same specifications. In fact simply varying the temperature of the receiver slightly can have a dramatic impact on the measured error rates. In contrast, the preferred embodiment software receiver and model was designed to overcome these problems. The modeling approach makes the time for calculation very short and the software implementation approach makes it repeatable. BER is directly calculated instead of approximating it from frame error rates. As a result, the calculation method of the preferred embodiment yields results that do not vary with measurement duration.
The software receiver components 14 and signal flow paths are shown in Fig. 4. The processing blocks in the receiver are described below, and include Input Blocks and Processing Blocks. The Input Blocks model the transmitter parameters, channel attenuation, cross-talk and noise. If necessary, the model may also account for any other parameter that affects signal input. As seen in Fig. 4, three main transmitter parameters are shown. First, a reference transmitter 36 is modeled. The reference transmitter 36 is the ideal model assumed by the receiver to perform its receiving functions. The receiver uses the reference transmitter parameters to build its maximum likelihood estimate receiver. Second, the model includes a Main Transmitter (Transmitter- 1) 38. This is the transmitter that actually sends the waveforms to the receiver over the channel. Third, the model includes a Cross-talk transmitter (Transmitter-2) 40. The Cross-talk transmitter is in the receiving end and acts as the source of any cross-talk noise.
In general, each transmitter must include several parameters that are used to define the transmitter function. A first parameter needed to define the transmitter function is the step response of the transmitter, which may be an actual measured transmitter response or a mathematical transmitter response model with the ability to adjust rise/fall times, amplitude and overshoot. Additionally, the transmitter function must account for the peak-peak jitter of the transmitter and the jitter distribution model, as well as any noise in the transmitter output, amplitude asymmetry in the positive and negative pulses, and the clock period. The jitter, noise, amplitude asymmetry and clock period can either be measured values or theoretical design models.
The transmitter input includes a block for Channel Attenuation, seen at reference 42 in Fig. 4. The channel attenuation Hchamel attn can be measured using a network analyzer or similar tool over a frequency band of interest. This can be used as a multiplicative transfer function in the frequency domain or a convolving channel impulse response in the time domain. Similarly, the Channel Cross-talk 44 Hchanml xtalk can be measured using a network analyzer or similar tool over a frequency band of interest. Like attenuation, the cross-talk may be used as a multiplicative transfer function in the frequency domain or a convolving impulse response in the time domain. Noise is also accounted for as an input to the receiver model at reference 46, and represents external interference induced in the channel and noise in the receiver. The noise in the channel can be measured noise model or a theoretical noise model.
Once provided in the input blocks, the parameters are processed in the Processing Blocks of Fig. 4. In particular, the transmitter space converts input to a waveform at 48, while NIC card effects 50 and equalizer effects 52 are also accounted for. Using the parameters from these processing blocks, the model builds a jitter model 54, generates a cross-talk and noise model 56, and eventually calculates the Bit Error Rate (BER) 58.
First, transmitter space 60 is the collection of all unique possible M-bit transmitter waveforms. A bit error is identified if any of these waveforms sent by the transmitter is identified as a different waveform in the transmitter space by the receiver. Fig. 5 shows the flow chart for generating a transmitter space for MLT-3 (3 level Multi-Level Transmission) transmitter waveforms. As shown in Fig. 5, the binary Non-Return to Zero ("NRZ") code is converted into MLT-3 code at 62, as specified in the Twisted Pair Physical Media Dependent Technology ("TP-PMD") specifications. The MLT-3 trinary code is converted into a transmitter waveform at 64 with a desired pulse response, jitter, noise and asymmetries by the transmitter waveform modeler. Additionally, the processing space accounts for NIC effects (see 66 in Fig. 4). The
NIC attenuates the signal and is also a source of significant cross-talk noise. The main attenuation and cross-talk source in a NIC is the transformer used to couple the hardware to the cable. Attenuation information can be obtained from the device specifications provided by transformer manufacturer. If Hmc xtalk and Hmc am are the NIC cross-talk and attenuation system responses, then the total response of the channel and the NIC is calculated as: M total _attn — M channel attn ffi M mc attn
^ total xtalk ~ channel xtalk mc xtalk
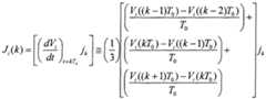
The model also calculates an equalizer value at 68. The equalizer is used to compensate for the effects of the channel. Equalizer can be calculated in many different ways. One equalizer calculation flow chart 70 is provided in Figure 6. However, it should be noted that the equalizer gain should be limited and rolled off at high frequencies to avoid amplification of high frequency noise (72 in Fig. 6).
A first type of equalizer may be called the Ideal equalizer, and is shown at path A in Fig. 6. In an ideal equalizer, the equalizer is the perfect inverse of the attenuation Hlotal am (i.e. 1 ' Htotal atm ) (see 74 in Fig. 6). In a second type, shown as path B in Fig. 6, the length of the channel is calculated using the transmitter signal that has been attenuated by Htolal am , shown at reference 76. A cable length estimator78 calculates the signal strength at a medium frequency (at which there is significant channel attenuation, but negligible effect due to changes in rise and fall time) and a low frequency (with very little channel attenuation). The length of the cable is directly proportional to the ratio of these two measurements. Changes in transmitter amplitude and rise/fall times will have very little effect on this measurement. Additionally, CAT5/CAT5E channel attenuation specifications (for a 100 meter channel length) may be scaled 80 to represent the measured channel length. In such a situation, the inverse of this scaled attenuation will be the equalizer. A third type of calculated equalizer may include a transfer function of an actual hardware implementation. For example, US Patent 5,699,022 by Tovar et. al. shows an actual hardware implementation of an adaptive cable equalizer. By assigning values to the R, L and
C components described therein, the following transfer function was developed :
L = ΛE - 9μH i? = 100Ω
Figure imgf000016_0001
7 = 1.0.4
Figure imgf000016_0002
Z2 = R2
Hea(s) = (\ - a)Z2 + aZλ where Heq is the equalizer value, and s is a complex frequency. Using the above parameters, a BER calculation may be performed. EXAMPLE 1
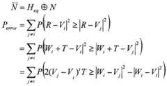
For example, the channel model 90 shown in Fig. 7 may be used in calculating the bit error rate of the channel. A bit error occurs when a transmitted waveform belonging to the alphabet was incorrectly mapped to a different waveform by the receiver. The following parameters are relevant:
k - k is the time index. i,j - alphabet index
Nι(k) - iΛ waveform in the alphabet of the transmitter J(k) - jitter modeled as additive noise
Ν(k) - other noise contibution - crosstalk, interference etc
Hc(k) - Channel impulse response ( Htolal am )
Heq(k) - Channel equalization impulse response in the receiver W,(k) - ith waveform of the alphabet as seen by the receiver R(k) - received waveform
The BER calculation includes the following: Equation 1
R = W, + Heq@Hc®J + Heq®N
T = J + N
J=Heq@Hc@J
Figure imgf000017_0001
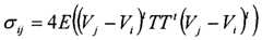
2(V - V )' T will be zero-mean Gaussian variable with variance σl} = 4E\^Vj —V TT' ψ - Vl ) j if T is a zero-mean Gaussian variable.
Thus,
Figure imgf000017_0002
Perror ~
Figure imgf000017_0003
i where P(Vt) is the probability of occurrence of the alphabet waveform Vt Rewriting σ using the relationship E(NJ) = 0 , then
Equation 2
Figure imgf000017_0004
4E(IVJ-VI)(N + J)(N + J)'(VJ-V1I)
= 4E((J-V,)m>(VJ-Vl))+4E({yj-Vl)jjiVJ-Vl))
= A.. + B„
In order to solve Equations 1 and 2, solutions must be determined for jitter, cross-talk and noise. Thus, the receiver model includes calculations of these parameters before solving for the BER. For purposes of the model, time jitter in the edges is modeled as equivalent amplitude jitter (see Fig. 8). The time jitter usually is a white Gaussian process with a variance σ2 mer . Time jitter causes the signal to be shifted from a reference point, and can be modeled by amplitude noise given by:
Amplitude noise = (slope of the waveform) * (jitter time ΔT).
Applied to Fig. 8, the jitter calculation is as follows:
, AT
Figure imgf000018_0001
The model assumes that Heq ® Hc θ J = J , i.e. the equalizer perfectly compensates the attenuation of the channel. If T0 is the sampling frequency, then
Figure imgf000018_0002
= dXk)jk where
1. jk is the jitter process and is zero mean Gaussian with variance σ2} er and has time units.
2. jk is constant across each transition zone (edges).
3. E(jk Jι ) = 0 if k, 1 are in different transition zones Applying Equation 2 above, then
BIJ = 4E(VJ - VI )JJ' (VJ - V, ))
4σ' jitter
Figure imgf000018_0003
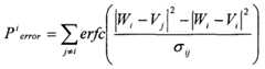
Similarly, solutions for both cross-talk and noise provided to the model to calculate BER. The noise is modeled with two independent components, a white Gaussian noise process (Y) and a crosstalk noise process (X). X and Y are wide sense stationary process. From Equation 2, AIJ = 4((vj - Vl){Rπ + RxxiVJ - V, ))
The frequency domain representation of crosstalk noise (X) is -X-= " E ] TALK *~ MLT3 ' where HMLT is the frequency representation of the waveforms from the transmitter in the receiving NIC card.
Additionally,
Figure imgf000019_0001
The correlation sequence is then used to build a toeplitz correlation matrix.
Finally, the white Gaussian noise process is modeled as
Λj= (7 Noise 1 , where 7 is an identity matrix.
Once determined, jitter, cross-talk and noise parameters are inserted into Equation 2 by the model to calculate a BER. As noted previously, present state of the art requires a NIC transmitter, the channel, and a special NIC receiver to perform BER calculations. Also, empirical measurement of error rates is impractical using physical systems. Because of the low error rates, using a physical receiver may produce varying measurements of error rate when realistic measurement periods are used. However, the calculation method of the preferred embodiment yields results that are invariant with measurement duration, and that are achieved at a fraction of the time. For example, after characterizing a communication network by assessing parameters such as attenuation, noise and cross-talk, evaluation using the inventive model may be rapidly performed on the order of minutes rather than days.
Different physical NIC receivers also produce different measured error rates. In fact simply varying the temperature of the receiver slightly can have a dramatic impact on the measured error rates. The preferred embodiment software receiver is free of these defects, and instead allows for repeatable measurements, even though ambient conditions may change.
The present invention provides a system for easily determining throughput of a computer network without having to empirically gather error data. In particular, the present invention allows for a waveform to be captured from a transmitter having known operational parameters. The waveform may then be supplied to an Arbitrary Waveform Generator (AWG), which in turn may supply the waveform to a communications channel, thereby replacing the transmitter. A mathematical model of the transmitter is also constructed according to known operational parameters. Using the model, one or more of the operational parameters may be varied to produce a new or specialized waveform for the AWG, which may then be transmitted on the computer network to observe the response thereto. In this way, the physical parameters of a given transmitter are easily varied and tested, while at the same time, the system response to the varied waveform is also simply and easily evaluated.
Moreover, a mathematical model may be constructed to model an entire virtual communications network based only upon readily measurable operational parameters. Once such a model is constructed, one or more of the operational parameters may be altered to evaluate the performance of the network. Further, the model performance may be correlated to performance of the physical network to enhance the mathematical model and improve accuracy.
The present invention also allows simulation of any or all of the NIC transmitter, the channel and the receiver devices, so that the system may be evaluated at the convenience of the testing agency. In fact, testing can proceed at some remote location, while the physical system is already placed back in use. Thus, if any or all of the components become unavailable, virtual testing can proceed with simulation of the missing components. Specifically, if necessary, the actual output of any physical component may be captured and stored for use with a virtual modeled system to evaluate the system remotely. Moreover, testing in the present state of the art is limited to only the actual transmitter and receiver used for testing. As a result, each and every transmitter and receiver produced may vary slightly, even if manufactured according to the same standards. Depending on the characteristics of the particular cards used for testing, an unrealistic measurement may ensue once the components are serially interconnected. Likewise, alteration or substitution of any component, even a commercially identical component, usually results in varying test results. The present invention discloses constructing a measurement model that permits varying the characteristics of the device under test to encompass NICs that are at the margins of specification, providing a more robust measurement of channel performance. Since a reference receiver or transmitter or channel is created, undesirable variations between results may be eliminated.
Finally, present state of the art is limited to only empirically finding the existing error rate. However, the present invention can also determine transmitter and channel parameters at which the tested channel will begin to have unacceptable performance levels and thereby establish available margin to failure for each of the parameters. The system and method may therefore be used to both benchmark and enable new product development.
While this invention has been particularly shown and described with references to preferred embodiments thereof, it will be understood by those skilled in the art that various changes in form and details may be made therein without departing from the scope of the invention encompassed by the appended claims.

Claims

CLAIMSWhat is claimed is:
1. A method for determining characteristics in a computer network system having a transmitter, a receiver and a communication channel system, the method comprising: sampling electrical signals in the communication channel system; measuring a plurality of communication channel operational parameters after injecting and receiving a plurality of test signals into the computer network; and reproducing said electrical signals.
2. The method of claim 1, wherein said reproduced electrical signals are generated with an arbitrary waveform generator.
3. The method of claim 1, further comprising: creating a mathematical model of the transmitter based upon said sampled electrical signals and said operational parameters.
4. The method of claim 3, wherein at least one of said operational parameters is altered in said model to generate a modified electrical signal.
5. The method of claim 4, wherein said modified electrical signal is transmitted on the computer network.
6. The method of claim 5 wherein said transmitted signal is received by the receiver as a received signal and is compared to said modified signal to determine an error rate of the computer network system.
7. The method of claim 5, further including modifying said mathematical model based upon the network response to said modified electrical signal.
8. A method for evaluating a computer network, comprising: capturing signals from an installed transmitter; obtaining a first set of operational parameters associated with said installed transmitter; modeling said installed transmitter; and replicating said signals with said model.
9. The method of claim 8, further comprising the step of providing said signals to an arbitrary waveform generator.
10. The method of claim 9, wherein said communications channel is a physical channel.
11. A method for determining an error rate in a computer network system having a transmitter, a receiver and a communication channel system, the method comprising: sampling electrical signals in the communication channel system; measuring a plurality of commumcation channel operational parameters after injecting and receiving a plurality of test signals into the computer network; and determining the error rate of the computer network by analyzing the measured communication channel characteristics.
12. The method of claim 10, further including the step of selectively modifying said first set of operational parameters and replicating said signals.
13. A system for evaluating a computer network system comprising: a transmitter having a first set of operational characteristics; a communications channel connected to said transmitter, said channel having a second set of operational characteristics; a receiver connected to said communications channel for receiving transmissions from said transmitter, said receiver having a third set of operational characteristics; wherein at least one said transmitter, channel and receiver is simulated by a mathematical model.
14. The system of claim 12, wherein at least one of said first, second and third operational parameters may be modified in said mathematical model.
15. The system of claim 13, wherein operating margins of the computer network are evaluated for said modified operational parameters.
16. A method for determining an error rate in a computer network system having a transmitter, a receiver and a communication channel system, the method comprising: sampling electrical signals in the communication channel system; measuring a plurality of communication channel operational parameters after injecting and receiving a plurality of test signals into the computer network; and determining the error rate of the computer network by analyzing the measured communication channel characteristics.
17. The method of claim 15, further comprising determining a parametric margin analysis at which the system error rate can occur.
18. A system for evaluating a computer network system comprising: a transmitter having a first set of operational characteristics; a communications channel connected to said transmitter, said channel having a second set of operational characteristics; a receiver connected to said communications channel for receiving transmissions from said transmitter, said receiver having a third set of operational characteristics; wherein said transmitter may be provided with a predefined data signal for transmission to said receiver on said communications channel, and wherein at least one of said first, second or third operational parameters may be monitored during said transmission.
19. The system of claim 17, wherein said first, second and third operational parameters may be predefined.
20. A communications network, comprising: At least one physical component; and At least one virtual component, each said virtual component having at least one predetermined operational parameter.
21. A system for evaluating a computer network system comprising: a first transmitter having a first set of operational characteristics; a communications channel connected to said first transmitter, said channel having a second set of operational characteristics; a receiver connected to said communications channel for receiving transmissions from said first transmitter, said receiver having a third set of operational characteristics; and a second transmitter, said second transmitter having a fourth set of operational characteristics different from said first set.
PCT/US2000/0277861999-10-082000-10-06System and method to determine data throughput in a communication networkWO2001028159A2 (en)

Priority Applications (3)

Application NumberPriority DateFiling DateTitle
AU78728/00AAU7872800A (en)1999-10-082000-10-06System and method to determine data throughput in a communication network
EP00968870AEP1221218A2 (en)1999-10-082000-10-06System and method to determine data throughput in a communication network
MXPA02003506AMXPA02003506A (en)1999-10-082000-10-06System and method to determine data throughput in a communication network.

Applications Claiming Priority (2)

Application NumberPriority DateFiling DateTitle
US15851599P1999-10-081999-10-08
US60/158,5151999-10-08

Publications (2)

Publication NumberPublication Date
WO2001028159A2true WO2001028159A2 (en)2001-04-19
WO2001028159A3 WO2001028159A3 (en)2001-12-27

Family

ID=22568493

Family Applications (1)

Application NumberTitlePriority DateFiling Date
PCT/US2000/027786WO2001028159A2 (en)1999-10-082000-10-06System and method to determine data throughput in a communication network

Country Status (4)

CountryLink
EP (1)EP1221218A2 (en)
AU (1)AU7872800A (en)
MX (1)MXPA02003506A (en)
WO (1)WO2001028159A2 (en)

Cited By (135)

* Cited by examiner, † Cited by third party
Publication numberPriority datePublication dateAssigneeTitle
US9640850B2 (en)2015-06-252017-05-02At&T Intellectual Property I, L.P.Methods and apparatus for inducing a non-fundamental wave mode on a transmission medium
US9667317B2 (en)2015-06-152017-05-30At&T Intellectual Property I, L.P.Method and apparatus for providing security using network traffic adjustments
US9674711B2 (en)2013-11-062017-06-06At&T Intellectual Property I, L.P.Surface-wave communications and methods thereof
US9685992B2 (en)2014-10-032017-06-20At&T Intellectual Property I, L.P.Circuit panel network and methods thereof
US9705610B2 (en)2014-10-212017-07-11At&T Intellectual Property I, L.P.Transmission device with impairment compensation and methods for use therewith
US9705561B2 (en)2015-04-242017-07-11At&T Intellectual Property I, L.P.Directional coupling device and methods for use therewith
US9722318B2 (en)2015-07-142017-08-01At&T Intellectual Property I, L.P.Method and apparatus for coupling an antenna to a device
US9729197B2 (en)2015-10-012017-08-08At&T Intellectual Property I, L.P.Method and apparatus for communicating network management traffic over a network
US9735833B2 (en)2015-07-312017-08-15At&T Intellectual Property I, L.P.Method and apparatus for communications management in a neighborhood network
US9742462B2 (en)2014-12-042017-08-22At&T Intellectual Property I, L.P.Transmission medium and communication interfaces and methods for use therewith
US9742521B2 (en)2014-11-202017-08-22At&T Intellectual Property I, L.P.Transmission device with mode division multiplexing and methods for use therewith
US9749013B2 (en)2015-03-172017-08-29At&T Intellectual Property I, L.P.Method and apparatus for reducing attenuation of electromagnetic waves guided by a transmission medium
US9748626B2 (en)2015-05-142017-08-29At&T Intellectual Property I, L.P.Plurality of cables having different cross-sectional shapes which are bundled together to form a transmission medium
US9749053B2 (en)2015-07-232017-08-29At&T Intellectual Property I, L.P.Node device, repeater and methods for use therewith
US9762289B2 (en)2014-10-142017-09-12At&T Intellectual Property I, L.P.Method and apparatus for transmitting or receiving signals in a transportation system
US9769128B2 (en)2015-09-282017-09-19At&T Intellectual Property I, L.P.Method and apparatus for encryption of communications over a network
US9769020B2 (en)2014-10-212017-09-19At&T Intellectual Property I, L.P.Method and apparatus for responding to events affecting communications in a communication network
US9768833B2 (en)2014-09-152017-09-19At&T Intellectual Property I, L.P.Method and apparatus for sensing a condition in a transmission medium of electromagnetic waves
US9780834B2 (en)2014-10-212017-10-03At&T Intellectual Property I, L.P.Method and apparatus for transmitting electromagnetic waves
US9787412B2 (en)2015-06-252017-10-10At&T Intellectual Property I, L.P.Methods and apparatus for inducing a fundamental wave mode on a transmission medium
US9788326B2 (en)2012-12-052017-10-10At&T Intellectual Property I, L.P.Backhaul link for distributed antenna system
US9793951B2 (en)2015-07-152017-10-17At&T Intellectual Property I, L.P.Method and apparatus for launching a wave mode that mitigates interference
US9793955B2 (en)2015-04-242017-10-17At&T Intellectual Property I, LpPassive electrical coupling device and methods for use therewith
US9793954B2 (en)2015-04-282017-10-17At&T Intellectual Property I, L.P.Magnetic coupling device and methods for use therewith
US9800327B2 (en)2014-11-202017-10-24At&T Intellectual Property I, L.P.Apparatus for controlling operations of a communication device and methods thereof
US9820146B2 (en)2015-06-122017-11-14At&T Intellectual Property I, L.P.Method and apparatus for authentication and identity management of communicating devices
US9838078B2 (en)2015-07-312017-12-05At&T Intellectual Property I, L.P.Method and apparatus for exchanging communication signals
US9838896B1 (en)2016-12-092017-12-05At&T Intellectual Property I, L.P.Method and apparatus for assessing network coverage
US9847566B2 (en)2015-07-142017-12-19At&T Intellectual Property I, L.P.Method and apparatus for adjusting a field of a signal to mitigate interference
US9847850B2 (en)2014-10-142017-12-19At&T Intellectual Property I, L.P.Method and apparatus for adjusting a mode of communication in a communication network
US9853342B2 (en)2015-07-142017-12-26At&T Intellectual Property I, L.P.Dielectric transmission medium connector and methods for use therewith
US9860075B1 (en)2016-08-262018-01-02At&T Intellectual Property I, L.P.Method and communication node for broadband distribution
US9866276B2 (en)2014-10-102018-01-09At&T Intellectual Property I, L.P.Method and apparatus for arranging communication sessions in a communication system
US9866309B2 (en)2015-06-032018-01-09At&T Intellectual Property I, LpHost node device and methods for use therewith
US9865911B2 (en)2015-06-252018-01-09At&T Intellectual Property I, L.P.Waveguide system for slot radiating first electromagnetic waves that are combined into a non-fundamental wave mode second electromagnetic wave on a transmission medium
US9871283B2 (en)2015-07-232018-01-16At&T Intellectual Property I, LpTransmission medium having a dielectric core comprised of plural members connected by a ball and socket configuration
US9871282B2 (en)2015-05-142018-01-16At&T Intellectual Property I, L.P.At least one transmission medium having a dielectric surface that is covered at least in part by a second dielectric
US9871558B2 (en)2014-10-212018-01-16At&T Intellectual Property I, L.P.Guided-wave transmission device and methods for use therewith
US9876571B2 (en)2015-02-202018-01-23At&T Intellectual Property I, LpGuided-wave transmission device with non-fundamental mode propagation and methods for use therewith
US9876264B2 (en)2015-10-022018-01-23At&T Intellectual Property I, LpCommunication system, guided wave switch and methods for use therewith
US9876605B1 (en)2016-10-212018-01-23At&T Intellectual Property I, L.P.Launcher and coupling system to support desired guided wave mode
US9882257B2 (en)2015-07-142018-01-30At&T Intellectual Property I, L.P.Method and apparatus for launching a wave mode that mitigates interference
US9887447B2 (en)2015-05-142018-02-06At&T Intellectual Property I, L.P.Transmission medium having multiple cores and methods for use therewith
US9893795B1 (en)2016-12-072018-02-13At&T Intellectual Property I, LpMethod and repeater for broadband distribution
US9906269B2 (en)2014-09-172018-02-27At&T Intellectual Property I, L.P.Monitoring and mitigating conditions in a communication network
US9904535B2 (en)2015-09-142018-02-27At&T Intellectual Property I, L.P.Method and apparatus for distributing software
US9912033B2 (en)2014-10-212018-03-06At&T Intellectual Property I, LpGuided wave coupler, coupling module and methods for use therewith
US9912382B2 (en)2015-06-032018-03-06At&T Intellectual Property I, LpNetwork termination and methods for use therewith
US9912027B2 (en)2015-07-232018-03-06At&T Intellectual Property I, L.P.Method and apparatus for exchanging communication signals
US9912419B1 (en)2016-08-242018-03-06At&T Intellectual Property I, L.P.Method and apparatus for managing a fault in a distributed antenna system
US9913139B2 (en)2015-06-092018-03-06At&T Intellectual Property I, L.P.Signal fingerprinting for authentication of communicating devices
US9911020B1 (en)2016-12-082018-03-06At&T Intellectual Property I, L.P.Method and apparatus for tracking via a radio frequency identification device
US9917341B2 (en)2015-05-272018-03-13At&T Intellectual Property I, L.P.Apparatus and method for launching electromagnetic waves and for modifying radial dimensions of the propagating electromagnetic waves
US9929755B2 (en)2015-07-142018-03-27At&T Intellectual Property I, L.P.Method and apparatus for coupling an antenna to a device
US9927517B1 (en)2016-12-062018-03-27At&T Intellectual Property I, L.P.Apparatus and methods for sensing rainfall
US9930668B2 (en)2013-05-312018-03-27At&T Intellectual Property I, L.P.Remote distributed antenna system
US9948355B2 (en)2014-10-212018-04-17At&T Intellectual Property I, L.P.Apparatus for providing communication services and methods thereof
US9948333B2 (en)2015-07-232018-04-17At&T Intellectual Property I, L.P.Method and apparatus for wireless communications to mitigate interference
US9948354B2 (en)2015-04-282018-04-17At&T Intellectual Property I, L.P.Magnetic coupling device with reflective plate and methods for use therewith
US9954287B2 (en)2014-11-202018-04-24At&T Intellectual Property I, L.P.Apparatus for converting wireless signals and electromagnetic waves and methods thereof
US9954286B2 (en)2014-10-212018-04-24At&T Intellectual Property I, L.P.Guided-wave transmission device with non-fundamental mode propagation and methods for use therewith
US9967173B2 (en)2015-07-312018-05-08At&T Intellectual Property I, L.P.Method and apparatus for authentication and identity management of communicating devices
US9973416B2 (en)2014-10-022018-05-15At&T Intellectual Property I, L.P.Method and apparatus that provides fault tolerance in a communication network
US9973940B1 (en)2017-02-272018-05-15At&T Intellectual Property I, L.P.Apparatus and methods for dynamic impedance matching of a guided wave launcher
US9991580B2 (en)2016-10-212018-06-05At&T Intellectual Property I, L.P.Launcher and coupling system for guided wave mode cancellation
US9999038B2 (en)2013-05-312018-06-12At&T Intellectual Property I, L.P.Remote distributed antenna system
US9998870B1 (en)2016-12-082018-06-12At&T Intellectual Property I, L.P.Method and apparatus for proximity sensing
US9997819B2 (en)2015-06-092018-06-12At&T Intellectual Property I, L.P.Transmission medium and method for facilitating propagation of electromagnetic waves via a core
US10009067B2 (en)2014-12-042018-06-26At&T Intellectual Property I, L.P.Method and apparatus for configuring a communication interface
US10020844B2 (en)2016-12-062018-07-10T&T Intellectual Property I, L.P.Method and apparatus for broadcast communication via guided waves
US10027398B2 (en)2015-06-112018-07-17At&T Intellectual Property I, LpRepeater and methods for use therewith
US10027397B2 (en)2016-12-072018-07-17At&T Intellectual Property I, L.P.Distributed antenna system and methods for use therewith
US10033108B2 (en)2015-07-142018-07-24At&T Intellectual Property I, L.P.Apparatus and methods for generating an electromagnetic wave having a wave mode that mitigates interference
US10044409B2 (en)2015-07-142018-08-07At&T Intellectual Property I, L.P.Transmission medium and methods for use therewith
US10069535B2 (en)2016-12-082018-09-04At&T Intellectual Property I, L.P.Apparatus and methods for launching electromagnetic waves having a certain electric field structure
US10079661B2 (en)2015-09-162018-09-18At&T Intellectual Property I, L.P.Method and apparatus for use with a radio distributed antenna system having a clock reference
US10090606B2 (en)2015-07-152018-10-02At&T Intellectual Property I, L.P.Antenna system with dielectric array and methods for use therewith
US10090594B2 (en)2016-11-232018-10-02At&T Intellectual Property I, L.P.Antenna system having structural configurations for assembly
US10103422B2 (en)2016-12-082018-10-16At&T Intellectual Property I, L.P.Method and apparatus for mounting network devices
US10135146B2 (en)2016-10-182018-11-20At&T Intellectual Property I, L.P.Apparatus and methods for launching guided waves via circuits
US10136434B2 (en)2015-09-162018-11-20At&T Intellectual Property I, L.P.Method and apparatus for use with a radio distributed antenna system having an ultra-wideband control channel
US10135147B2 (en)2016-10-182018-11-20At&T Intellectual Property I, L.P.Apparatus and methods for launching guided waves via an antenna
US10135145B2 (en)2016-12-062018-11-20At&T Intellectual Property I, L.P.Apparatus and methods for generating an electromagnetic wave along a transmission medium
US10139820B2 (en)2016-12-072018-11-27At&T Intellectual Property I, L.P.Method and apparatus for deploying equipment of a communication system
US10148016B2 (en)2015-07-142018-12-04At&T Intellectual Property I, L.P.Apparatus and methods for communicating utilizing an antenna array
US10168695B2 (en)2016-12-072019-01-01At&T Intellectual Property I, L.P.Method and apparatus for controlling an unmanned aircraft
US10170840B2 (en)2015-07-142019-01-01At&T Intellectual Property I, L.P.Apparatus and methods for sending or receiving electromagnetic signals
US10178445B2 (en)2016-11-232019-01-08At&T Intellectual Property I, L.P.Methods, devices, and systems for load balancing between a plurality of waveguides
US10205655B2 (en)2015-07-142019-02-12At&T Intellectual Property I, L.P.Apparatus and methods for communicating utilizing an antenna array and multiple communication paths
US10224634B2 (en)2016-11-032019-03-05At&T Intellectual Property I, L.P.Methods and apparatus for adjusting an operational characteristic of an antenna
US10225025B2 (en)2016-11-032019-03-05At&T Intellectual Property I, L.P.Method and apparatus for detecting a fault in a communication system
US10243270B2 (en)2016-12-072019-03-26At&T Intellectual Property I, L.P.Beam adaptive multi-feed dielectric antenna system and methods for use therewith
US10243784B2 (en)2014-11-202019-03-26At&T Intellectual Property I, L.P.System for generating topology information and methods thereof
US10264586B2 (en)2016-12-092019-04-16At&T Mobility Ii LlcCloud-based packet controller and methods for use therewith
US10291334B2 (en)2016-11-032019-05-14At&T Intellectual Property I, L.P.System for detecting a fault in a communication system
US10291311B2 (en)2016-09-092019-05-14At&T Intellectual Property I, L.P.Method and apparatus for mitigating a fault in a distributed antenna system
US10298293B2 (en)2017-03-132019-05-21At&T Intellectual Property I, L.P.Apparatus of communication utilizing wireless network devices
US10305190B2 (en)2016-12-012019-05-28At&T Intellectual Property I, L.P.Reflecting dielectric antenna system and methods for use therewith
US10312567B2 (en)2016-10-262019-06-04At&T Intellectual Property I, L.P.Launcher with planar strip antenna and methods for use therewith
US10320586B2 (en)2015-07-142019-06-11At&T Intellectual Property I, L.P.Apparatus and methods for generating non-interfering electromagnetic waves on an insulated transmission medium
US10326494B2 (en)2016-12-062019-06-18At&T Intellectual Property I, L.P.Apparatus for measurement de-embedding and methods for use therewith
US10326689B2 (en)2016-12-082019-06-18At&T Intellectual Property I, L.P.Method and system for providing alternative communication paths
US10340601B2 (en)2016-11-232019-07-02At&T Intellectual Property I, L.P.Multi-antenna system and methods for use therewith
US10340983B2 (en)2016-12-092019-07-02At&T Intellectual Property I, L.P.Method and apparatus for surveying remote sites via guided wave communications
US10340600B2 (en)2016-10-182019-07-02At&T Intellectual Property I, L.P.Apparatus and methods for launching guided waves via plural waveguide systems
US10340603B2 (en)2016-11-232019-07-02At&T Intellectual Property I, L.P.Antenna system having shielded structural configurations for assembly
US10341142B2 (en)2015-07-142019-07-02At&T Intellectual Property I, L.P.Apparatus and methods for generating non-interfering electromagnetic waves on an uninsulated conductor
US10340573B2 (en)2016-10-262019-07-02At&T Intellectual Property I, L.P.Launcher with cylindrical coupling device and methods for use therewith
US10355367B2 (en)2015-10-162019-07-16At&T Intellectual Property I, L.P.Antenna structure for exchanging wireless signals
US10361489B2 (en)2016-12-012019-07-23At&T Intellectual Property I, L.P.Dielectric dish antenna system and methods for use therewith
US10359749B2 (en)2016-12-072019-07-23At&T Intellectual Property I, L.P.Method and apparatus for utilities management via guided wave communication
US10374316B2 (en)2016-10-212019-08-06At&T Intellectual Property I, L.P.System and dielectric antenna with non-uniform dielectric
US10382976B2 (en)2016-12-062019-08-13At&T Intellectual Property I, L.P.Method and apparatus for managing wireless communications based on communication paths and network device positions
US10389037B2 (en)2016-12-082019-08-20At&T Intellectual Property I, L.P.Apparatus and methods for selecting sections of an antenna array and use therewith
US10389029B2 (en)2016-12-072019-08-20At&T Intellectual Property I, L.P.Multi-feed dielectric antenna system with core selection and methods for use therewith
US10411356B2 (en)2016-12-082019-09-10At&T Intellectual Property I, L.P.Apparatus and methods for selectively targeting communication devices with an antenna array
US10439675B2 (en)2016-12-062019-10-08At&T Intellectual Property I, L.P.Method and apparatus for repeating guided wave communication signals
US10446936B2 (en)2016-12-072019-10-15At&T Intellectual Property I, L.P.Multi-feed dielectric antenna system and methods for use therewith
US10498044B2 (en)2016-11-032019-12-03At&T Intellectual Property I, L.P.Apparatus for configuring a surface of an antenna
US10530505B2 (en)2016-12-082020-01-07At&T Intellectual Property I, L.P.Apparatus and methods for launching electromagnetic waves along a transmission medium
US10535928B2 (en)2016-11-232020-01-14At&T Intellectual Property I, L.P.Antenna system and methods for use therewith
US10547348B2 (en)2016-12-072020-01-28At&T Intellectual Property I, L.P.Method and apparatus for switching transmission mediums in a communication system
US10601494B2 (en)2016-12-082020-03-24At&T Intellectual Property I, L.P.Dual-band communication device and method for use therewith
US10637149B2 (en)2016-12-062020-04-28At&T Intellectual Property I, L.P.Injection molded dielectric antenna and methods for use therewith
US10650940B2 (en)2015-05-152020-05-12At&T Intellectual Property I, L.P.Transmission medium having a conductive material and methods for use therewith
US10694379B2 (en)2016-12-062020-06-23At&T Intellectual Property I, L.P.Waveguide system with device-based authentication and methods for use therewith
US10727599B2 (en)2016-12-062020-07-28At&T Intellectual Property I, L.P.Launcher with slot antenna and methods for use therewith
US10755542B2 (en)2016-12-062020-08-25At&T Intellectual Property I, L.P.Method and apparatus for surveillance via guided wave communication
US10777873B2 (en)2016-12-082020-09-15At&T Intellectual Property I, L.P.Method and apparatus for mounting network devices
US10797781B2 (en)2015-06-032020-10-06At&T Intellectual Property I, L.P.Client node device and methods for use therewith
US10811767B2 (en)2016-10-212020-10-20At&T Intellectual Property I, L.P.System and dielectric antenna with convex dielectric radome
US10819035B2 (en)2016-12-062020-10-27At&T Intellectual Property I, L.P.Launcher with helical antenna and methods for use therewith
US10916969B2 (en)2016-12-082021-02-09At&T Intellectual Property I, L.P.Method and apparatus for providing power using an inductive coupling
US10938108B2 (en)2016-12-082021-03-02At&T Intellectual Property I, L.P.Frequency selective multi-feed dielectric antenna system and methods for use therewith
US11032819B2 (en)2016-09-152021-06-08At&T Intellectual Property I, L.P.Method and apparatus for use with a radio distributed antenna system having a control channel reference signal

Family Cites Families (1)

* Cited by examiner, † Cited by third party
Publication numberPriority datePublication dateAssigneeTitle
WO1995015630A1 (en)*1993-11-301995-06-08Integrated Network CorporationNetwork interface unit remote test pattern generation

Cited By (153)

* Cited by examiner, † Cited by third party
Publication numberPriority datePublication dateAssigneeTitle
US9788326B2 (en)2012-12-052017-10-10At&T Intellectual Property I, L.P.Backhaul link for distributed antenna system
US9930668B2 (en)2013-05-312018-03-27At&T Intellectual Property I, L.P.Remote distributed antenna system
US10051630B2 (en)2013-05-312018-08-14At&T Intellectual Property I, L.P.Remote distributed antenna system
US9999038B2 (en)2013-05-312018-06-12At&T Intellectual Property I, L.P.Remote distributed antenna system
US10091787B2 (en)2013-05-312018-10-02At&T Intellectual Property I, L.P.Remote distributed antenna system
US9674711B2 (en)2013-11-062017-06-06At&T Intellectual Property I, L.P.Surface-wave communications and methods thereof
US9768833B2 (en)2014-09-152017-09-19At&T Intellectual Property I, L.P.Method and apparatus for sensing a condition in a transmission medium of electromagnetic waves
US9906269B2 (en)2014-09-172018-02-27At&T Intellectual Property I, L.P.Monitoring and mitigating conditions in a communication network
US10063280B2 (en)2014-09-172018-08-28At&T Intellectual Property I, L.P.Monitoring and mitigating conditions in a communication network
US9973416B2 (en)2014-10-022018-05-15At&T Intellectual Property I, L.P.Method and apparatus that provides fault tolerance in a communication network
US9685992B2 (en)2014-10-032017-06-20At&T Intellectual Property I, L.P.Circuit panel network and methods thereof
US9866276B2 (en)2014-10-102018-01-09At&T Intellectual Property I, L.P.Method and apparatus for arranging communication sessions in a communication system
US9847850B2 (en)2014-10-142017-12-19At&T Intellectual Property I, L.P.Method and apparatus for adjusting a mode of communication in a communication network
US9762289B2 (en)2014-10-142017-09-12At&T Intellectual Property I, L.P.Method and apparatus for transmitting or receiving signals in a transportation system
US9912033B2 (en)2014-10-212018-03-06At&T Intellectual Property I, LpGuided wave coupler, coupling module and methods for use therewith
US9960808B2 (en)2014-10-212018-05-01At&T Intellectual Property I, L.P.Guided-wave transmission device and methods for use therewith
US9876587B2 (en)2014-10-212018-01-23At&T Intellectual Property I, L.P.Transmission device with impairment compensation and methods for use therewith
US9769020B2 (en)2014-10-212017-09-19At&T Intellectual Property I, L.P.Method and apparatus for responding to events affecting communications in a communication network
US9871558B2 (en)2014-10-212018-01-16At&T Intellectual Property I, L.P.Guided-wave transmission device and methods for use therewith
US9780834B2 (en)2014-10-212017-10-03At&T Intellectual Property I, L.P.Method and apparatus for transmitting electromagnetic waves
US9954286B2 (en)2014-10-212018-04-24At&T Intellectual Property I, L.P.Guided-wave transmission device with non-fundamental mode propagation and methods for use therewith
US9705610B2 (en)2014-10-212017-07-11At&T Intellectual Property I, L.P.Transmission device with impairment compensation and methods for use therewith
US9948355B2 (en)2014-10-212018-04-17At&T Intellectual Property I, L.P.Apparatus for providing communication services and methods thereof
US9954287B2 (en)2014-11-202018-04-24At&T Intellectual Property I, L.P.Apparatus for converting wireless signals and electromagnetic waves and methods thereof
US9749083B2 (en)2014-11-202017-08-29At&T Intellectual Property I, L.P.Transmission device with mode division multiplexing and methods for use therewith
US9800327B2 (en)2014-11-202017-10-24At&T Intellectual Property I, L.P.Apparatus for controlling operations of a communication device and methods thereof
US10243784B2 (en)2014-11-202019-03-26At&T Intellectual Property I, L.P.System for generating topology information and methods thereof
US9742521B2 (en)2014-11-202017-08-22At&T Intellectual Property I, L.P.Transmission device with mode division multiplexing and methods for use therewith
US10009067B2 (en)2014-12-042018-06-26At&T Intellectual Property I, L.P.Method and apparatus for configuring a communication interface
US9742462B2 (en)2014-12-042017-08-22At&T Intellectual Property I, L.P.Transmission medium and communication interfaces and methods for use therewith
US9876571B2 (en)2015-02-202018-01-23At&T Intellectual Property I, LpGuided-wave transmission device with non-fundamental mode propagation and methods for use therewith
US9876570B2 (en)2015-02-202018-01-23At&T Intellectual Property I, LpGuided-wave transmission device with non-fundamental mode propagation and methods for use therewith
US9749013B2 (en)2015-03-172017-08-29At&T Intellectual Property I, L.P.Method and apparatus for reducing attenuation of electromagnetic waves guided by a transmission medium
US9793955B2 (en)2015-04-242017-10-17At&T Intellectual Property I, LpPassive electrical coupling device and methods for use therewith
US9705561B2 (en)2015-04-242017-07-11At&T Intellectual Property I, L.P.Directional coupling device and methods for use therewith
US9831912B2 (en)2015-04-242017-11-28At&T Intellectual Property I, LpDirectional coupling device and methods for use therewith
US10224981B2 (en)2015-04-242019-03-05At&T Intellectual Property I, LpPassive electrical coupling device and methods for use therewith
US9793954B2 (en)2015-04-282017-10-17At&T Intellectual Property I, L.P.Magnetic coupling device and methods for use therewith
US9948354B2 (en)2015-04-282018-04-17At&T Intellectual Property I, L.P.Magnetic coupling device with reflective plate and methods for use therewith
US9748626B2 (en)2015-05-142017-08-29At&T Intellectual Property I, L.P.Plurality of cables having different cross-sectional shapes which are bundled together to form a transmission medium
US9871282B2 (en)2015-05-142018-01-16At&T Intellectual Property I, L.P.At least one transmission medium having a dielectric surface that is covered at least in part by a second dielectric
US9887447B2 (en)2015-05-142018-02-06At&T Intellectual Property I, L.P.Transmission medium having multiple cores and methods for use therewith
US10650940B2 (en)2015-05-152020-05-12At&T Intellectual Property I, L.P.Transmission medium having a conductive material and methods for use therewith
US9917341B2 (en)2015-05-272018-03-13At&T Intellectual Property I, L.P.Apparatus and method for launching electromagnetic waves and for modifying radial dimensions of the propagating electromagnetic waves
US9866309B2 (en)2015-06-032018-01-09At&T Intellectual Property I, LpHost node device and methods for use therewith
US10812174B2 (en)2015-06-032020-10-20At&T Intellectual Property I, L.P.Client node device and methods for use therewith
US9935703B2 (en)2015-06-032018-04-03At&T Intellectual Property I, L.P.Host node device and methods for use therewith
US9912381B2 (en)2015-06-032018-03-06At&T Intellectual Property I, LpNetwork termination and methods for use therewith
US9967002B2 (en)2015-06-032018-05-08At&T Intellectual I, LpNetwork termination and methods for use therewith
US10797781B2 (en)2015-06-032020-10-06At&T Intellectual Property I, L.P.Client node device and methods for use therewith
US10050697B2 (en)2015-06-032018-08-14At&T Intellectual Property I, L.P.Host node device and methods for use therewith
US9912382B2 (en)2015-06-032018-03-06At&T Intellectual Property I, LpNetwork termination and methods for use therewith
US9997819B2 (en)2015-06-092018-06-12At&T Intellectual Property I, L.P.Transmission medium and method for facilitating propagation of electromagnetic waves via a core
US9913139B2 (en)2015-06-092018-03-06At&T Intellectual Property I, L.P.Signal fingerprinting for authentication of communicating devices
US10142010B2 (en)2015-06-112018-11-27At&T Intellectual Property I, L.P.Repeater and methods for use therewith
US10027398B2 (en)2015-06-112018-07-17At&T Intellectual Property I, LpRepeater and methods for use therewith
US9820146B2 (en)2015-06-122017-11-14At&T Intellectual Property I, L.P.Method and apparatus for authentication and identity management of communicating devices
US9667317B2 (en)2015-06-152017-05-30At&T Intellectual Property I, L.P.Method and apparatus for providing security using network traffic adjustments
US9865911B2 (en)2015-06-252018-01-09At&T Intellectual Property I, L.P.Waveguide system for slot radiating first electromagnetic waves that are combined into a non-fundamental wave mode second electromagnetic wave on a transmission medium
US9640850B2 (en)2015-06-252017-05-02At&T Intellectual Property I, L.P.Methods and apparatus for inducing a non-fundamental wave mode on a transmission medium
US9787412B2 (en)2015-06-252017-10-10At&T Intellectual Property I, L.P.Methods and apparatus for inducing a fundamental wave mode on a transmission medium
US10069185B2 (en)2015-06-252018-09-04At&T Intellectual Property I, L.P.Methods and apparatus for inducing a non-fundamental wave mode on a transmission medium
US10320586B2 (en)2015-07-142019-06-11At&T Intellectual Property I, L.P.Apparatus and methods for generating non-interfering electromagnetic waves on an insulated transmission medium
US9722318B2 (en)2015-07-142017-08-01At&T Intellectual Property I, L.P.Method and apparatus for coupling an antenna to a device
US10148016B2 (en)2015-07-142018-12-04At&T Intellectual Property I, L.P.Apparatus and methods for communicating utilizing an antenna array
US9929755B2 (en)2015-07-142018-03-27At&T Intellectual Property I, L.P.Method and apparatus for coupling an antenna to a device
US10205655B2 (en)2015-07-142019-02-12At&T Intellectual Property I, L.P.Apparatus and methods for communicating utilizing an antenna array and multiple communication paths
US9882257B2 (en)2015-07-142018-01-30At&T Intellectual Property I, L.P.Method and apparatus for launching a wave mode that mitigates interference
US10341142B2 (en)2015-07-142019-07-02At&T Intellectual Property I, L.P.Apparatus and methods for generating non-interfering electromagnetic waves on an uninsulated conductor
US10033108B2 (en)2015-07-142018-07-24At&T Intellectual Property I, L.P.Apparatus and methods for generating an electromagnetic wave having a wave mode that mitigates interference
US9847566B2 (en)2015-07-142017-12-19At&T Intellectual Property I, L.P.Method and apparatus for adjusting a field of a signal to mitigate interference
US10170840B2 (en)2015-07-142019-01-01At&T Intellectual Property I, L.P.Apparatus and methods for sending or receiving electromagnetic signals
US9853342B2 (en)2015-07-142017-12-26At&T Intellectual Property I, L.P.Dielectric transmission medium connector and methods for use therewith
US10044409B2 (en)2015-07-142018-08-07At&T Intellectual Property I, L.P.Transmission medium and methods for use therewith
US10090606B2 (en)2015-07-152018-10-02At&T Intellectual Property I, L.P.Antenna system with dielectric array and methods for use therewith
US9793951B2 (en)2015-07-152017-10-17At&T Intellectual Property I, L.P.Method and apparatus for launching a wave mode that mitigates interference
US9948333B2 (en)2015-07-232018-04-17At&T Intellectual Property I, L.P.Method and apparatus for wireless communications to mitigate interference
US9871283B2 (en)2015-07-232018-01-16At&T Intellectual Property I, LpTransmission medium having a dielectric core comprised of plural members connected by a ball and socket configuration
US9806818B2 (en)2015-07-232017-10-31At&T Intellectual Property I, LpNode device, repeater and methods for use therewith
US9912027B2 (en)2015-07-232018-03-06At&T Intellectual Property I, L.P.Method and apparatus for exchanging communication signals
US9749053B2 (en)2015-07-232017-08-29At&T Intellectual Property I, L.P.Node device, repeater and methods for use therewith
US9735833B2 (en)2015-07-312017-08-15At&T Intellectual Property I, L.P.Method and apparatus for communications management in a neighborhood network
US9838078B2 (en)2015-07-312017-12-05At&T Intellectual Property I, L.P.Method and apparatus for exchanging communication signals
US9967173B2 (en)2015-07-312018-05-08At&T Intellectual Property I, L.P.Method and apparatus for authentication and identity management of communicating devices
US9904535B2 (en)2015-09-142018-02-27At&T Intellectual Property I, L.P.Method and apparatus for distributing software
US10079661B2 (en)2015-09-162018-09-18At&T Intellectual Property I, L.P.Method and apparatus for use with a radio distributed antenna system having a clock reference
US10136434B2 (en)2015-09-162018-11-20At&T Intellectual Property I, L.P.Method and apparatus for use with a radio distributed antenna system having an ultra-wideband control channel
US9769128B2 (en)2015-09-282017-09-19At&T Intellectual Property I, L.P.Method and apparatus for encryption of communications over a network
US9729197B2 (en)2015-10-012017-08-08At&T Intellectual Property I, L.P.Method and apparatus for communicating network management traffic over a network
US9876264B2 (en)2015-10-022018-01-23At&T Intellectual Property I, LpCommunication system, guided wave switch and methods for use therewith
US10355367B2 (en)2015-10-162019-07-16At&T Intellectual Property I, L.P.Antenna structure for exchanging wireless signals
US9912419B1 (en)2016-08-242018-03-06At&T Intellectual Property I, L.P.Method and apparatus for managing a fault in a distributed antenna system
US9860075B1 (en)2016-08-262018-01-02At&T Intellectual Property I, L.P.Method and communication node for broadband distribution
US10291311B2 (en)2016-09-092019-05-14At&T Intellectual Property I, L.P.Method and apparatus for mitigating a fault in a distributed antenna system
US11032819B2 (en)2016-09-152021-06-08At&T Intellectual Property I, L.P.Method and apparatus for use with a radio distributed antenna system having a control channel reference signal
US10340600B2 (en)2016-10-182019-07-02At&T Intellectual Property I, L.P.Apparatus and methods for launching guided waves via plural waveguide systems
US10135146B2 (en)2016-10-182018-11-20At&T Intellectual Property I, L.P.Apparatus and methods for launching guided waves via circuits
US10135147B2 (en)2016-10-182018-11-20At&T Intellectual Property I, L.P.Apparatus and methods for launching guided waves via an antenna
US9991580B2 (en)2016-10-212018-06-05At&T Intellectual Property I, L.P.Launcher and coupling system for guided wave mode cancellation
US10374316B2 (en)2016-10-212019-08-06At&T Intellectual Property I, L.P.System and dielectric antenna with non-uniform dielectric
US9876605B1 (en)2016-10-212018-01-23At&T Intellectual Property I, L.P.Launcher and coupling system to support desired guided wave mode
US10811767B2 (en)2016-10-212020-10-20At&T Intellectual Property I, L.P.System and dielectric antenna with convex dielectric radome
US10312567B2 (en)2016-10-262019-06-04At&T Intellectual Property I, L.P.Launcher with planar strip antenna and methods for use therewith
US10340573B2 (en)2016-10-262019-07-02At&T Intellectual Property I, L.P.Launcher with cylindrical coupling device and methods for use therewith
US10224634B2 (en)2016-11-032019-03-05At&T Intellectual Property I, L.P.Methods and apparatus for adjusting an operational characteristic of an antenna
US10225025B2 (en)2016-11-032019-03-05At&T Intellectual Property I, L.P.Method and apparatus for detecting a fault in a communication system
US10498044B2 (en)2016-11-032019-12-03At&T Intellectual Property I, L.P.Apparatus for configuring a surface of an antenna
US10749614B2 (en)2016-11-032020-08-18At&T Intellectual Property I, L.P.Method and apparatus for detecting a fault in a communication system
US10291334B2 (en)2016-11-032019-05-14At&T Intellectual Property I, L.P.System for detecting a fault in a communication system
US10178445B2 (en)2016-11-232019-01-08At&T Intellectual Property I, L.P.Methods, devices, and systems for load balancing between a plurality of waveguides
US10340603B2 (en)2016-11-232019-07-02At&T Intellectual Property I, L.P.Antenna system having shielded structural configurations for assembly
US10090594B2 (en)2016-11-232018-10-02At&T Intellectual Property I, L.P.Antenna system having structural configurations for assembly
US10535928B2 (en)2016-11-232020-01-14At&T Intellectual Property I, L.P.Antenna system and methods for use therewith
US10340601B2 (en)2016-11-232019-07-02At&T Intellectual Property I, L.P.Multi-antenna system and methods for use therewith
US10361489B2 (en)2016-12-012019-07-23At&T Intellectual Property I, L.P.Dielectric dish antenna system and methods for use therewith
US10305190B2 (en)2016-12-012019-05-28At&T Intellectual Property I, L.P.Reflecting dielectric antenna system and methods for use therewith
US10755542B2 (en)2016-12-062020-08-25At&T Intellectual Property I, L.P.Method and apparatus for surveillance via guided wave communication
US10020844B2 (en)2016-12-062018-07-10T&T Intellectual Property I, L.P.Method and apparatus for broadcast communication via guided waves
US10439675B2 (en)2016-12-062019-10-08At&T Intellectual Property I, L.P.Method and apparatus for repeating guided wave communication signals
US10135145B2 (en)2016-12-062018-11-20At&T Intellectual Property I, L.P.Apparatus and methods for generating an electromagnetic wave along a transmission medium
US10819035B2 (en)2016-12-062020-10-27At&T Intellectual Property I, L.P.Launcher with helical antenna and methods for use therewith
US10326494B2 (en)2016-12-062019-06-18At&T Intellectual Property I, L.P.Apparatus for measurement de-embedding and methods for use therewith
US9927517B1 (en)2016-12-062018-03-27At&T Intellectual Property I, L.P.Apparatus and methods for sensing rainfall
US10727599B2 (en)2016-12-062020-07-28At&T Intellectual Property I, L.P.Launcher with slot antenna and methods for use therewith
US10637149B2 (en)2016-12-062020-04-28At&T Intellectual Property I, L.P.Injection molded dielectric antenna and methods for use therewith
US10694379B2 (en)2016-12-062020-06-23At&T Intellectual Property I, L.P.Waveguide system with device-based authentication and methods for use therewith
US10382976B2 (en)2016-12-062019-08-13At&T Intellectual Property I, L.P.Method and apparatus for managing wireless communications based on communication paths and network device positions
US10139820B2 (en)2016-12-072018-11-27At&T Intellectual Property I, L.P.Method and apparatus for deploying equipment of a communication system
US10359749B2 (en)2016-12-072019-07-23At&T Intellectual Property I, L.P.Method and apparatus for utilities management via guided wave communication
US10168695B2 (en)2016-12-072019-01-01At&T Intellectual Property I, L.P.Method and apparatus for controlling an unmanned aircraft
US10389029B2 (en)2016-12-072019-08-20At&T Intellectual Property I, L.P.Multi-feed dielectric antenna system with core selection and methods for use therewith
US10027397B2 (en)2016-12-072018-07-17At&T Intellectual Property I, L.P.Distributed antenna system and methods for use therewith
US9893795B1 (en)2016-12-072018-02-13At&T Intellectual Property I, LpMethod and repeater for broadband distribution
US10446936B2 (en)2016-12-072019-10-15At&T Intellectual Property I, L.P.Multi-feed dielectric antenna system and methods for use therewith
US10243270B2 (en)2016-12-072019-03-26At&T Intellectual Property I, L.P.Beam adaptive multi-feed dielectric antenna system and methods for use therewith
US10547348B2 (en)2016-12-072020-01-28At&T Intellectual Property I, L.P.Method and apparatus for switching transmission mediums in a communication system
US10326689B2 (en)2016-12-082019-06-18At&T Intellectual Property I, L.P.Method and system for providing alternative communication paths
US10777873B2 (en)2016-12-082020-09-15At&T Intellectual Property I, L.P.Method and apparatus for mounting network devices
US10601494B2 (en)2016-12-082020-03-24At&T Intellectual Property I, L.P.Dual-band communication device and method for use therewith
US10411356B2 (en)2016-12-082019-09-10At&T Intellectual Property I, L.P.Apparatus and methods for selectively targeting communication devices with an antenna array
US9998870B1 (en)2016-12-082018-06-12At&T Intellectual Property I, L.P.Method and apparatus for proximity sensing
US10389037B2 (en)2016-12-082019-08-20At&T Intellectual Property I, L.P.Apparatus and methods for selecting sections of an antenna array and use therewith
US10938108B2 (en)2016-12-082021-03-02At&T Intellectual Property I, L.P.Frequency selective multi-feed dielectric antenna system and methods for use therewith
US10069535B2 (en)2016-12-082018-09-04At&T Intellectual Property I, L.P.Apparatus and methods for launching electromagnetic waves having a certain electric field structure
US10916969B2 (en)2016-12-082021-02-09At&T Intellectual Property I, L.P.Method and apparatus for providing power using an inductive coupling
US10530505B2 (en)2016-12-082020-01-07At&T Intellectual Property I, L.P.Apparatus and methods for launching electromagnetic waves along a transmission medium
US9911020B1 (en)2016-12-082018-03-06At&T Intellectual Property I, L.P.Method and apparatus for tracking via a radio frequency identification device
US10103422B2 (en)2016-12-082018-10-16At&T Intellectual Property I, L.P.Method and apparatus for mounting network devices
US10340983B2 (en)2016-12-092019-07-02At&T Intellectual Property I, L.P.Method and apparatus for surveying remote sites via guided wave communications
US9838896B1 (en)2016-12-092017-12-05At&T Intellectual Property I, L.P.Method and apparatus for assessing network coverage
US10264586B2 (en)2016-12-092019-04-16At&T Mobility Ii LlcCloud-based packet controller and methods for use therewith
US9973940B1 (en)2017-02-272018-05-15At&T Intellectual Property I, L.P.Apparatus and methods for dynamic impedance matching of a guided wave launcher
US10298293B2 (en)2017-03-132019-05-21At&T Intellectual Property I, L.P.Apparatus of communication utilizing wireless network devices

Also Published As

Publication numberPublication date
EP1221218A2 (en)2002-07-10
MXPA02003506A (en)2004-09-10
AU7872800A (en)2001-04-23
WO2001028159A3 (en)2001-12-27

Similar Documents

PublicationPublication DateTitle
US6675328B1 (en)System and method to determine data throughput in a communication network
EP1221218A2 (en)System and method to determine data throughput in a communication network
CN101233714B (en)Method and system for jitter compensation in communication system
US20130145212A1 (en)Link Equalization Tester
Kopke et al.Chaotic maps as parsimonious bit error models of wireless channels
KR101370553B1 (en)System, Mobile Communication Unit and Method for Testing a Receiver Performance
US20070223571A1 (en)Decision-feedback equalizer simulator
US8239432B2 (en)Incorporating noise and/or jitter into waveform generation
US20010021987A1 (en)Method and apparatus for performance monitoring of data transparent communication links
US20100095166A1 (en)Protocol Aware Error Ratio Tester
Aráuz et al.Markov modeling of 802.11 channels
JP2005536749A (en) Method for transmitting a waveform having controllable attenuation and propagation velocity
US7801204B2 (en)Estimation of BER performance
US10470161B2 (en)Method and system for measurement and characterization of channel delays for broadband power line communications
WO2002079927A2 (en)Simulating data flow through a network
CN110972175B (en)Method, apparatus, device and medium for testing wireless connection performance
EP1982446B1 (en)Method, apparatus, analyser and computer program of searching for propagation paths
Kychak et al.Assessment method of parameters and characteristics of bit errors
Thielecke et al.On Evaluating V2X Channel Models with COTS 802.11 p Devices in Urban Field-Trials
JPH02224421A (en)Method of measuring signature of digital transmitter and transmitter to which the method is applied
US8103469B1 (en)Transceiver link bit error rate prediction
Vedral et al.Analysis of error and time behavior of the IEEE 802.15. 4 phy-layer in an industrial environment
US9590774B1 (en)Circuit for introducing signal jitter
AleksićExtraction of jitter parameters from BER measurements
CN112637091B (en)Link quality estimation method and device for cross-protocol communication

Legal Events

DateCodeTitleDescription
AKDesignated states

Kind code of ref document:A2

Designated state(s):AE AL AM AT AU AZ BA BB BG BR BY CA CH CN CR CU CZ DE DK DM EE ES FI GB GD GE GH GM HR HU ID IL IN IS JP KE KG KP KR KZ LC LK LR LS LT LU LV MA MD MG MK MN MW MX NO NZ PL PT RO RU SD SE SG SI SK SL TJ TM TR TT TZ UA UG US UZ VN YU ZA ZW

ALDesignated countries for regional patents

Kind code of ref document:A2

Designated state(s):GH GM KE LS MW MZ SD SL SZ TZ UG ZW AM AZ BY KG KZ MD RU TJ TM AT BE CH CY DE DK ES FI FR GB GR IE IT LU MC NL PT SE BF BJ CF CG CI CM GA GN GW ML MR NE SN TD TG

121Ep: the epo has been informed by wipo that ep was designated in this application
DFPERequest for preliminary examination filed prior to expiration of 19th month from priority date (pct application filed before 20040101)
AKDesignated states

Kind code of ref document:A3

Designated state(s):AE AL AM AT AU AZ BA BB BG BR BY CA CH CN CR CU CZ DE DK DM EE ES FI GB GD GE GH GM HR HU ID IL IN IS JP KE KG KP KR KZ LC LK LR LS LT LU LV MA MD MG MK MN MW MX NO NZ PL PT RO RU SD SE SG SI SK SL TJ TM TR TT TZ UA UG US UZ VN YU ZA ZW

ALDesignated countries for regional patents

Kind code of ref document:A3

Designated state(s):GH GM KE LS MW MZ SD SL SZ TZ UG ZW AM AZ BY KG KZ MD RU TJ TM AT BE CH CY DE DK ES FI FR GB GR IE IT LU MC NL PT SE BF BJ CF CG CI CM GA GN GW ML MR NE SN TD TG

WWEWipo information: entry into national phase

Ref document number:2000968870

Country of ref document:EP

WWEWipo information: entry into national phase

Ref document number:PA/a/2002/003506

Country of ref document:MX

WWPWipo information: published in national office

Ref document number:2000968870

Country of ref document:EP

NENPNon-entry into the national phase

Ref country code:JP

WWWWipo information: withdrawn in national office

Ref document number:2000968870

Country of ref document:EP


[8]ページ先頭

©2009-2025 Movatter.jp