Movatterモバイル変換


[0]ホーム

URL:


WO2001025192A1 - Guanidine derivatives and their use in the production of a medicament for blocking xanthine oxidase/dehydrogenase - Google Patents

Guanidine derivatives and their use in the production of a medicament for blocking xanthine oxidase/dehydrogenase
Download PDF

Info

Publication number
WO2001025192A1
WO2001025192A1PCT/GB2000/003867GB0003867WWO0125192A1WO 2001025192 A1WO2001025192 A1WO 2001025192A1GB 0003867 WGB0003867 WGB 0003867WWO 0125192 A1WO0125192 A1WO 0125192A1
Authority
WO
WIPO (PCT)
Prior art keywords
guanidine
nitrobenzylideneamino
compound
bromo
chloro
Prior art date
Application number
PCT/GB2000/003867
Other languages
French (fr)
Inventor
Torbjörn Lundstedt
Anna Skottner
Elisabeth Seifert
Jarl Wikberg
Ivars Kalvins
Victor Andrianov
Eugene Rozhkov
Valentina Semenikhina
Irena Piskunova
Maris Veveris
Maija Dambrova
Original Assignee
Melacure Therapeutics Ab
Pett, Christopher, Phineas
Priority date (The priority date is an assumption and is not a legal conclusion. Google has not performed a legal analysis and makes no representation as to the accuracy of the date listed.)
Filing date
Publication date
Priority claimed from GBGB9923629.1Aexternal-prioritypatent/GB9923629D0/en
Priority claimed from GBGB9923630.9Aexternal-prioritypatent/GB9923630D0/en
Application filed by Melacure Therapeutics Ab, Pett, Christopher, PhineasfiledCriticalMelacure Therapeutics Ab
Priority to AU78027/00ApriorityCriticalpatent/AU7802700A/en
Publication of WO2001025192A1publicationCriticalpatent/WO2001025192A1/en

Links

Classifications

Definitions

Landscapes

Abstract

The present invention relates to guanidine derivatives and pharmaceutically acceptable acid salts thereof. The invention further relates to pharmaceutical preparations containing said compounds, and the use of said compounds for treatment of any type of condition where the expression of xanthine oxidase/xanthine dehydrogenase enzymes is involved. The invention particularly relates to the use of these compounds in the preparation of a medicament for enhancing the survical of a transplanted cell, organ or tissue, or cell, organ or tissue to be transplanted.

Description

GUANIDINE DERIVATIVES AND THEIR USE IN THE PRODUCTION OF A MEDICAMENT FOR BLOCKING XANTHINE OXIDASE/DEHYDROGENASE
The present invention relates to novel guanidine derivatives and pharmaceutically acceptable acid salts thereof, to processes for the preparation of such compounds, as well as to new intermediates useful in the preparations of said compounds. Further, the invention relates to pharmaceutical preparations containing said compounds, and the use of said compounds for treatment of any type of condition where the expression of xanthine oxidase/xanthine dehydrogenase enzymes is involved. The invention also relates to the treatment of ischaemic conditions that are optionally followed by reperfusion/ reoxygenation, and to the treatment of inflammatory processes. The invention further relates to compounds for therapeutic use, especially compounds having a therapeutic effect by inhibiting the xanthine oxidase enzyme, and to compounds having an effect on xanthine oxidase in mammals including man.
The invention particularly relates to the use of these compounds in the preparation of a medicament for enhancing the survival of a transplanted cell, organ or tissue, or cell, organ or tissue to be transplanted.
Xanthine dehydrogenase and xanthine oxidase are two forms of the same enzyme that catalyze the oxidation of purines such as hypoxanthine and xanthine leading to formation of, respectively, xanthine and uric acid (Pritsos & Gustafson 1994; Hille and Nishino, 1995). The oxidase and dehydrogenase forms of the enzyme exhibit different reactivities towards molecular oxygen and NAD+ , the former oxidant is preferred by the oxidase and the latter by the dehydrogenase (Hille and Nishino, 1995). When oxygen is used as electron acceptor both superoxide radicals and hydrogen peroxide may be generated both of which are considered to be harmful and capable of causing tissue damage (Hille and
Nishino, 1995). The superoxide radical may react with H+ thus forming the perhydroxyl radical (HO2.) which may react quickly with tissue components (Kooji, 1994). Moreover, the perhydroxy'radical can react further forming hydrogen peroxide which in turn can disintegr? ' - to the extremely reactive hydroxyl radical .OH (Xia et al., 1996). Increased conversion of xanthine dehydrogenase to its oxidase form is implicated in many pathological conditions. Formation of xanthine oxidase occurs e.g. during ischemia which will lead to the result that during a subsequent reoxygenation, a massive formation of oxygen derived radicals may ensue, which may lead to tissue damage (McCord, 1984;
Nishino, 1994; Wiezorek et al. 1994; Saugstad, 1996).
It is also known that increased formation of xanthine oxidase can be seen during conditions related to inflammation (Wakabayashi et. al. 1995; Pfeffer et al., 1994; Chow et al., 1994; Saugstad, 1996 and references therein).
The xanthine dehydrogenase and xanthine oxidase enzymes are located in most organs and cell-types in the body (Wajner and Harkness, 1989: Moriwaki et al., 1993; Kooij, 1994; Wiezorek et al. 1994) indicating its involvement in a wide variety of pathological conditions.
Methods to prevent xanthine dehydrogenase/xanthine oxidase related formation of free radicals are desired. Blockers of xanthine oxidase such as allopurinol are known in the art. Hydroxyguanidines have been found to function as alternate electron acceptors and decrease the amount of radical formation (WO98/23267).
The present invention provides substituted-phenylguanidines, some of which unexpectedly have been found to show pharmacological properties superior to compounds known in the art.
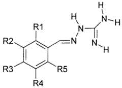
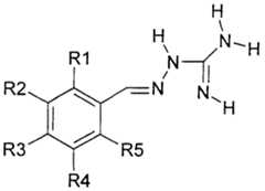
Thus the present invention relates to novel compounds of the general formula (I):
Figure imgf000003_0001
wherein Rl, R2, R3, R4 and R5 are the same or different and are selected from hydrogen; halogen; alkyl having 1 to 5 carbon atoms; phenyl; electron donor groups such as alkoxy having from 1 to 5 carbon atoms, hydroxy, alkylamino, dialkylamino, benzyloxy; electron acceptor groups such as cyano, nitro, trifluoroalkyl, amide and sulfo;
or wherein adjacent R groups represent an alkylenedioxy group;
or a pharmacologically acceptable salt thereof.
The invention particularly relates to the use of the above compounds in the preparation of a medicament for the enhancing the survival of a transplanted cell, organ or tissue, or a cell, organ or tissue to be transplanted.
The term halogen includes fluoro, chloro, bromo and iodo. Preferably, the halogen is chloro or bromo, most preferably bromo.
The term alkyl includes straight and branched chain hydrocarbon groups. Preferably, the alkyl group is methyl, ethyl or i-propyl.
The term alkoxy includes straight and branched chain alkoxy groups. Preferably, the alkoxy group is methoxy or ethoxy.
The reference to the term "alkyl" in trifluoroalkyl, alkylamino and dialkylamino includes straight and branched chain hydrocarbon groups having 1 to 5 carbon atoms, preferably methyl or ethyl.
The term "alkylenedioxy" includes straight and branched chain alkylene radicals having 1 to 5 carbon atoms, including methylenedioxy and ethylenedioxy, preferably 2,3-, 3,4- or 4, 5 -methylenedioxy.
The following embodiments refer to compounds wherein R4 and R5 are not both H: a) In some embodiments of the invention, it is preferred that when Rl , R3 and R4 are all hydroxy, then R2 and R5 are not both H. In other embodiments of the invention, when Rl, R3 and R4 are all hydroxy, then R2 and R5 are not independently either H or alkyl having 1 to 5 carbon atoms. In yet other embodiments of the invention, when Rl, R3 and R4 are independently either hydroxy or alkoxy, then R2 and R5 are not both H. In yet further embodiments of the invention, when Rl. R3 and R4 are independently either hydroxy or alkoxy, then R2 and R5 are not independently either H or alkyl having 1 to 5 carbon atoms. These embodiments of the invention are particularly preferred for use as medicaments or for any of the uses or methods disclosed herein.
b) In some embodiments of the invention, it is preferred that Rl and R5 are not independently chloro or fluoro when R2, R3 and R4 are all H. In other embodiments of the invention, it is preferred that Rl and R5 are not independently chloro or fluoro when R2, R3 and R4 are independently H or alkyl having 1 to 5 carbon atoms. In yet other embodiments of the invention, it is preferred that Rl and R5 are not halogen atoms when R2, R3 and R4 are all H. In yet further embodiments of the invention, it is preferred that Rl and R5 are not halogen atoms when R2, R3 and R4 are independently H or alkyl having 1 to 5 carbon atoms. These embodiments of the invention are particularly preferred for use as medicaments or for any of the uses or methods disclosed herein.
c) In some embodiments of the invention, it is preferred that R2 and R4 are not both chloro when Rl, R3 and R5 are all H. In other embodiments of the invention, it is preferred that R2 and R4 are not both chloro when Rl , R3 and R5 are independently H or alkyl having 1 to 5 carbon atoms. In yet other embodiments of the invention, it is preferred that R2 and R4 are not both halogen atoms when Rl , R3 and R5 are all H. In yet further embodiments of the invention, it is preferred that R2 and R4 are not both halogen atoms when Rl , R3 and R5 are independently H or alkyl having 1 to 5 carbon atoms. These embodiments of the invention are particularly preferred for use as medicaments or for any of the uses or methods disclosed herein. The following embodiments refer to compounds wherein R4 and R5 are both H:
a) In some embodiments of the invention, it is preferred that Rl, R2 and R3 are not all hydroxy. More preferably, Rl, R2 and R3 are not independently either hydroxy or alkoxy. In other embodiments of the invention, two or more of Rl, R2 and R3 are not independently either hydroxy or alkoxy. These embodiments of the invention are particularly preferred for use as medicaments or for any of the uses or methods disclosed herein.
b) In some embodiments of the invention wherein R2 and R3 are both H, it is preferred that Rl is not chloro or fluoro. In other embodiments of the invention wherein R2 and R3 are independently either H or alkyl having 1 to 5 carbon atoms, it is preferred that Rl is not chloro or fluoro. In some other embodiments of the invention wherein R2 and R3 are both H, it is preferred that Rl is not halogen. In yet further embodiments of the invention wherein R2 and R3 are independently either H or alkyl having 1 to 5 carbon atoms, it is preferred that Rl is not halogen. These embodiments of the invention are particularly preferred for use as medicaments or for any of the uses or methods disclosed herein.
In some aspects of the invention, the following compounds are excluded:
18 N-(benzylideneamino)guanidine
19 N-(3,4,5-trimethoxybenzylideneamino)guanidine 55 N-(3-nitrobenzylideneamino)guanidine
68 N-(4-phenylbenzylideneamino)guanidine
84 N-(3-bromo-4-methoxybenzylideneamino)guanidine
89 N-(4-chloro-3 -nitrobenzylideneamino)guanidine
In other aspects of the invention, the following compounds are excluded:
1 :44 N-(2,4-dinitrobenzylideneamino)guanidine 1 :73 N-(3 ,5-dichlorobenzylideneamino)guanidine 1:75 N-(2,6-difluorobenzylideneamino)guanidine 1 : 87 N-(3 ,4-dichlorobenzylideneamino)guanidine
In further aspects of the invention, R4 and R5 are both H. However, in other aspects of the invention, R4 and R5 are not both H.
In other aspects of the invention, none of Rl to R5 represent nitro; or none of Rl to R5 represent halogen: or four or five of Rl to R5 independently represent H.
The compounds of formula (I) have basic properties and consequently they may be converted to their therapeutical ly active acid addition salts by treatment with appropriate acids, e.g. inorganic acids such as hydrochloric, hydrobromic, sulphuric, nitric and phosphoric acid, or organic acids such as acetic, propanoic, glycolic. lactic, malonic, succinic, fumaric, citric and palmoic acid.
Conversely the salt form of the compounds of the invention can be converted into their free base form by treatment with alkali.
The compounds of the invention have unexpectedly been found to be effective inhibitors of xanthine oxidase, as well as to have additional unexpected valuable pharmacological properties, which include protecting effects on the heart, including protection during ischemia, protection against ischemia reperfusion-damage, prevention of heart arrhythmias during ischemia and ischemia reperfusion, and increase in the survival of hearts after transplantation, prompting their use for treatment of various conditions and diseases.
Clinical and experimental studies have indicated that xanthine oxidase/dehydrogenase is important in the development of various disease conditions and tissue injury, and that blocking the activity of the xanthine oxidase/dehydrogenase might have beneficial effects in these conditions.
For example, it has been shown that generation of reactive oxygen species by xanthine oxidase is involved in the induction of the lipid peroxidation that is shown to increase during short-term cerebral ischemia. Increased activity of xanthine oxidase has also been suggested to play a role on the inflammatory response in patients with chronic heart failure.
Specific embodiments of the invention therefore comprise the use or administration of a compound of the invention to afford treatment effects and tissue protection in conditions related to xanthine oxidase/dehydrogenase, which included ischemic conditions that are optionally followed by re-oxygenation, and conditions related to inflammation.
Specific examples of such ischemic conditions, where the use or administration of a compound of the invention is beneficial, include myocardial infarction, angina pectoris, heart failure, arrhythmias of the heart, cardiac surgery, cardiac surgery involving by pass grafting, circulatory shock, arterial occlusion, arterial thromboembolism, partial or total occlusion of blood flow, cerebrovascular infarction, transient ischemic attacks of the CNS (TIAs), stroke, high altitude sickness, cerebral oedema, bowel torsion with strangulation, testicular torsion, lung embolus, lung oedema, organ surgery involving reduced blood flow e.g. due to lowering of blood pressure.
Also included is the use or administration of a compound of the invention to preterm children for achieving treatment effects and to prevent complications, including periventricular leucomalacia (PVL), bronchopulmonary dysplasia (BPD), and retinopathy of prematurity (ROP), which are conditions where xanthine oxidase and radical formation are implicated (Russell et al., 1995).
Included is also the use or administration of a compound of the invention in rheumatoid arthritis and glaucoma, which are also diseases in which xanthine oxidase mediated reperfusion injuries are implicated (Blake et al. 1997).
Still further embodiments of the invention comprise the use or administration of a compound of the invention to many other conditions associated with the generation of oxyradicals, in particular such generated by the xanthine oxidase/xanthine dehydrogenase enzyme. Such an increased (up regulated) generation of oxyradicals can be seen in diseases associated with an increased (upregulated) activity of xanthine oxidase. A well- known cause of upregulation of xanthine oxidase is by inflammatory processes. Thus, e.g., Kupfer cells express and release cytokine-induced neutrophil chemoattractant in response to oxygen radicals induced by xanthine oxidase. Hypercapnic acidosis attenuates injury in free-radical mediated lung injury by inhibition of endogenous xanthine oxidase. Excess production of free radicals via metabolism of arachidonic acid, xanthine oxidase and non-protein-bound iron play an important role for the development of birth asphyxia- related brain injury. It has also been shown experimentally using cardiomyocytes, cardio non-myocytes and endothelial cells, that the combination of IL-1 (interleukin 1), interferon-gamma and TNF-α (tumour necrosis factor-α) (cytokines released during inflammation) increase the expression of manganese, SOD, catalase and xanthine oxidase. Thus, these results again indicate a role for xanthine oxidase in inflammation.
Therefore, in regard of what is stated above, further use of a compound of the invention include its use or administration in conditions related to inflammation, including inflammation of unidentified origin, airway obstruction, asthma, duodenal ulceration, ulcerous colitis, Crohn's disease, arthritis, Parkinson's disease, paraquat intoxication, thermal skin injury, hyperthermia, pancreatitis, adult respiratory distress syndrome, nephrosis, adriamycin nephrosis, renal damage associated with the administration of parenteral X-ray contrast media, malaria, distant organ injury, cutaneous porphyrin photosensitisation, inflammatory and autoimmune rheumatic diseases, rheumatoid arthritis, atherosclerosis, scleroderma, dermatitis, contact allergy, hepatitis, hepatic damage caused by viral infection, increased intracranial pressure, spinal cord injury, bacterial meningitis, hepatic damage caused by treatment with interferon, hepatic damage caused by treatment with any other drag or xenobiotic, tumour promotion, cancer, multiple sclerosis, myelopathy, viral meningitis, epilepsy, as well as in any condition showing upregulated expression of the xanthine dehydrogenase/xanthine oxidase enzyme.
Moreover, positive treatment effects or preventive effects are seen with the use or administration of a compound of the invention in conditions where an inflammation or inflammatory like condition is caused by or being associated with one or more of the following: allergy, hypersensitivity, bacterial infection, viral infection, inflammation caused by toxic agent, fever, autoimmune disease, radiation damage by any source including UV-radiation, X-ray radiation, gamma-radiation, alpha- or beta-particles, sun burns, elevated temperature and mechanical injury. In very specific embodiments of the invention a compound of the invention is used or administered for prevention or therapeutic treatment of inflammatory diseases of the skin (including the dermis and epidermis) of any origin, including skin diseases having a inflammatory component Specific examples of this embodiment of the invention include treatment of contact dermatitis of the skin, sunburns of the skin, burns of any cause, and inflammation of the skin caused by chemical agent, psoriasis, vascuhtis, pyoderma gangrenosum, discoid lupus erythematosus, eczema, pustulosis palmo-plantaπs, and phemphigus vulgaπs
Comprised by the invention is also the use admimstration of a compound of the invention for treatment of systemic or general and/or local inflammatory immunologically related diseases, including those of an autoimmune nature, and other inflammatory diseases of a general nature Specific examples include treatment of rheumatoid arthritis, psoπatic arthritis, systemic sclerosis, polymyalgia rheumatica, Wegener's granulomatosis, sarcoidosis, eosmophilic fasceitis, reactive arthritis, Bechterew's disease, systemic lupus erythematosus, arteπtis temporahs, Behcet's disease, morbus Burger. Good Pastures' syndrome, eosmophilic granuloma, fibromyalgia, myositis, and mixed connective tissue disease Included therein is also arthritis, including arthritis of unknown oπgm
Further included in the invention is the use or administration of a compound of the invention for the treatment of a disease of the peripheral and central nervous system related to inflammation Included in this aspect of the invention is the treatment of cerebral vasculitis, multiple sclerosis, autoimmune ophthalmitis, and polyneuropathia Comprised by the invention is also the use or admimstration of a compound of the invention for the treatment of an inflammation of the central nervous system to prevent apoptotic cell death Moreover, as some of the compounds of the invention show a distinct ability to induce nerve regeneration, positive treatment effects are often seen in central nervous system diseases involving damage of cells in this region This aspect of the invention also includes treatment of traumatic injuries to the central nervous system, brain edema, multiple sclerosis,
Alzheimer's disease, bacterial and viral infections in the central nervous system, stroke, and haemorrhagia in the central nervous system Comprised by the invention is also the use or administration of a compound of the invention for the treatment of diseases of the eye and tear glands related to inflammation Specific examples of such diseases comprise anterior and posterior uveitis, retinal vascuhtis, opticus neuritis, Wegener's granulomatosis, Sjogren's syndrome, episclentis, scleπtis, sarcoidosis affecting the eye and polychondπtis affecting the eye
Comprised by the invention is also the use or administration of a compound of the invention for the treatment of diseases of the ear related to inflammation, specific examples of which include polychondπtis affecting the ear and external otitis
Comprised by the invention is also the use or admimstration of a compound of the mvention for the treatment of diseases of the nose related to inflammation, specific examples of which are sarcoidosis, polychondπtis and mid-line granuloma of the nose
Comprised by the invention is also the use or admimstration of a compound of the invention for the treatment of diseases related to inflammation of the mouth, pharynx and salivary glands Specific examples include Wegener's granulomatosis, mid-line granuloma, Sjogren's syndrome and polychondπtis in these areas
Included m the invention is also the use or admimstration of a compound of the invention for the treatment of diseases related to inflammation m the lung Specific examples include treatment of ldiopathic alveohtis, primary pulmonary hypertension, bronchitis, chronic bronchitis, sarcoidosis, alveohtis m inflammatory systemic disease, pulmonary hypertension in inflammatory systemic disease, Wegener's granulomatosis and Good Pastures' syndrome
Comprised by the invention is also the use or administration of a compound of the invention for the treatment of diseases related to the inflammation of the heart Specific examples include treatment of pericarditis, ldiopathic pericarditis, myocarditis, Takayasus' arteπtis, Kawasaki's disease, coronary artery vascuhtis, pericarditis in inflammatory systemic disease, myocarditis in inflammatory systemic disease, endocarditis and endocarditis in inflammatory systemic disease Comprised by the invention is also the use or administration of a compound of the invention for the treatment of diseases related to inflammation of the liver. Specific examples include treatment of hepatitis, chronic active hepatitis, biliary cirrhosis, hepatic damage by toxic agent, interferon induced hepatitis, hepatitis induced by viral infection, liver damage induced by anoxia and liver damage caused by mechanical trauma.
Comprised by the invention is also the use or administration of a compound of the invention for the treatment of diseases related to inflammation of the pancreas. Specific examples include treatment (and prevention) of diabetes mellitus, acute pancreatitis and chronic pancreatitis.
Comprised by the invention is also the use or administration of a compound of the invention for the treatment of diseases related to the inflammation of the thyroidea. Specific examples of these embodiments of the invention include treatment of thyreoiditis, and autoimmune thyreoiditis, Hashimoto's thyreoiditis.
Comprised by the invention is also the use or administration of a compound of the invention for the treatment of diseases related to inflammation of the kidney. Specific examples include treatment of glomemlonephritis, glomerulonephritis in systemic lupus erythematosus. periarteritis nodosa, Wegener's granulomatosis, Good-Pastures' syndrome, HLAb27 associated diseases, IgA nephritis (IgA = Immunoglobulin A), pyelonephritis, chronic pyelonephritis and interstitial nephritis.
Comprised by the invention is also the use or administration of a compound of the invention for the treatment of diseases related to the inflammation of the joints. Specific examples include treatment of Bechterew's disease, psoriatic arthritis, rheumatoid arthritis, arthritis in colitis ulcerosa, arthritis in morbus Crohn, affection of joints in systemic lupus erythematosus, systemic sclerosis, mixed connective tissue disease, reactive arthritis, and Reiter's syndrome. Moreover, included in this embodiment of the invention is treatment of arthrosis of any joint, in particular arthrosis of finger joints, the knee and the hip.
Comprised by the invention is also the use or administration of a compound of the invention for the treatment of diseases related to the inflammation of blood vessels. Specific examples include treatment of arteritis temporalis, periarteritis nodosa, arteriosclerosis, Takayasus' arteritis and Kawasaki's disease. Particularly advantageous is the capacity of a compound of the invention to afford protection against and prevention of arteriosclerosis. This is in part due to the capacity of a compound of the invention to prevent the induction of inducible nitric oxide synthase (iNOS) caused by the action of oxidized Low Density Lipoprotein on endothelial cells and blood vessel walls.
Comprised by the invention is also the use or administration of a compound of the invention for the treatment of drug induced disorders of the blood and lymphoid system, including the treatment of drug induced hypersensitivity (including drug hypersensitivity) affecting blood cells and blood cell forming organs (e.g. bone marrow and lymphoid tissue). Specific embodiments of this aspect of the invention include the treatment of anemia, granulocytopenia, thrombocytopenia, leukopenia, aplastic anemia, autoimmune hemolytic anemia, autoimmune thrombocytopenia, and autoimmune granulocytopenia.
The compounds of the invention can also be used or administered for the treatment of fast allergic disorders (Type I allergy), as this is part of an inflammatory reaction. Included in this embodiment of the invention is the treatment of anaphy lactic reactions, anaphylactoid reactions, asthma, asthma of allergic type, asthma of unknown origin, rhinitis, hay fever and pollen allergy.
Comprised by the invention is also the use or administration of a compound of the invention for the treatment of inflammation related to infections of any origin. Specific examples include treatment of inflammation secondary to infection caused by virus, bacteria, helminths and protozoae.
Comprised by the invention is also the use or administration of a compound of the invention for the treatment of inflammations related to trauma and tissue injury of any origin.
Also comprised by the invention is the use or administration of a compound of the invention for the treatment of an inflammatory disease in the abdomen, including an abdominal disease having an inflammatory component. Specific examples of treatment of such diseases with a compound of the invention are gastritis, including one of unknown origin, gastritis perniciosa (atrophic gastritis), ulcerous colitis (colitis ulcerosa), morbus
Crohn, systemic sclerosis, ulcus duodeni, coeliac disease, oesophagitis and ulcus ventriculi.
Moreover the use or administration of a compound of the invention may be beneficial to an individual suffering from a condition characterized by the presence of increased amounts (in relation to those in a normal or healthy animal or person) of xanthine oxidase in the blood, in particular when the xanthine oxidase is seen to be released from the liver and/or the intestine due to any cause, including that of inflammation, hypoxia or shock.
Prophylactic use comprising the use or administration of a compound of the invention prior to the occurrence of a disease mentioned herein (or the symptoms of such a disease), constitutes a very important embodiment of the invention. A very specific example is the use or administration of a compound of the invention to patients at risk of heart infarction or cerebrovascular disease.
The compounds of the invention may be used in the form of prodrugs, such as ester prodrugs, from which the respective free compounds are released in the body upon administration. Such prodrugs include, for instance, esters of the compounds of the invention, such as acetate, benzoate, pivaloate, and alike.
Hydroxyguanidine forms of the compounds of the invention are likely to be hydrolysed rapidly in any aqueous media, e.g. in vivo, to the corresponding guanidine. Accordingly, prodrugs based on such hydroxyguanidine derivatives are also encompassed within the scope of the invention.
The compounds of the invention can be provided in radiolabelled form.
Some compounds of the invention are strong inhibitors of xanthine oxidase (see Example 2). By the term "strong inhibitor of xanthine oxidase" is in the present context intended a compound that inhibits the oxidation of xanthine by xanthine oxidase with an IC50 of 1000 μM or less, more preferably 300 μM or less and most preferably 100 μM or less, when using a standard bovine xanthine oxidase assay as described by Example 2, and measuring the inhibition achieved after 5 - 60 min of incubation, with between 10-20 minutes incubation being most preferred.
The toxicity of some of the compounds in the present invention is less than for similar hydro xyguanidines, shown in acute toxicity smdies in mice. Example 3 demonstrates the low acute toxicity of one of the compounds of the invention.
Moreover, some of the compounds of the invention are highly stable in water solution (see Example 4), making them superior to other compounds known in the art.
Some of the compounds of the invention have also unexpectedly been found to increase the survival of heart transplants (e.g. Example 5). Some compounds of the invention may in particular be useful for enhancing or promoting the survival or protection of a cell, tissue or organ which is to be transplanted, which is being transplanted or which has been transplanted. The compounds of the invention may in this regard be administered to the donor of the transplant; to the cell, tissue or organ in transit; or to the recipient of the transplant. Examples of organs include heart, lung, liver, kidney, pancreas and thryroid. Cells and tissues derived from these latter organs may also be used in this context.
Oral formulations have been implemented (see Example 6) and oral administrations have been undertaken. Some of the compounds of the invention are absorbed enterally in biologically active form on this route of administration (see Example 7).
Some of the compounds of the invention have also been found to be antiarrhythmic and to have protecting effects on the heart in ischemia-reperfusion and to increase the survival of the heart after infarction (see Example 8).
Effective quantities of any of the foregoing pharmacologically active compounds of formula (I) may be administered to a human being or an animal for therapeutic purposes according to usual routes of administration and in usual forms such as solutions, emulsions, tablets, capsules and patches, in pharmaceutically active carriers and parenterally in the form of sterile solutions. Formulations for parenteral administration may be in the form of aqueous or non-aqueous isotonic sterile injection solutions or suspensions.
Although very small quantities of active materials of the present may be effective when minor therapy is involved or in cases of administration to subjects having a relatively low body weight, unit dosages are usually from 0.5 milligrams and upwards, the dose being selected on the base of the condition to be treated and the age, gender and weight of the patient as well as the response to the medication.
The unit dose may however be as small as 0.1 milligrams but may extend up to 100 milligrams, preferably from 1 to 10 milligrams. Daily doses should preferably range from 1 to 50. The unit dose may be as small as 0.1 milligram per kg body weight but may extend up to 100 milligram per kg body weight, preferably from 1 to 10 milligrams per kg body weight. Daily doses should preferably range from 1 to 50 milligrams per kg body weight. The exact individual dosages as well as daily dosages will, of course be determined according to standard medical principles.
References
Blake et al. : In Xanthine Oxidase: Enzymology and Pathophysiology; eds. R. Harison and R.C. Bray. 66 1st Meeting Bath 9-11 April 1997. Biochem. Soc. Trans. 1997, 25, p. 812-816; Roth et al. Current Eye Res. 1997, 16, 875-885
Chow, CW, M Clark, J Rinaldo & R Chalkley: Identification of the rat xanthine dehydrogenase/oxidase promoter. Nucleic Acids Res. 1994, 22, 1846-54.
Hille, R & T Nishino: Flavoprotein structure and mechanism. 4. Xanthine oxidase and xanthine dehydrogenase. FASEB J. 1995, 9, 995-1003.
Kooij, A: A re-evaluation of the tissue distribution and physiology of xanthine oxidoreductase. Histochem J. 1994, 26, 889-915. McCord, JM: Oxygen-derived free radicals in postischemic tissue injury. N. Eng. J.
Med. 1985, 312, 159-163.
Moriwaki, Y, T Yamamoto, M Suda, Y Nasako, S Takahashi, OE Agbedana, T Hada & K Higashino: Purification and immunohistochemical tissue localization of human xanthine oxidase. Biochim Biophys Acta. 1993, 1164, 327-330.
Nishino, T: The conversion of xanthine dehydrogenase to xanthine oxidase and the role of the enzyme in reperfusion injury. J Biochem (Tokyo). 1994, 116, 1-6.
Olausson, M, Mjornstedt, L, Lindholm, L, Brynger, H: Non-suture organ grafting to the neck vessels in rats. Acta Chir. Scand. 1984, 150, 463-467.
Pfeffer, KD, TP Huecksteadt & JR Hoidal: Xanthine dehydrogenase and xanthine oxidase activity and gene expression in renal epithelial cells. Cytokine and steroid regulation. J Immunol. 1994, 153, 1789-1797.
Pritsos, CA & DL Gustafson: Xanthine dehydrogenase and its role in cancer chemotherapy. Oncol Res. 1994, 6, 477-481.
Russell. GA & RW Cooke: Randomised controlled trial of allopurinol prophylaxis in very preterm infants. Arch Dis Child Fetal Neonatal Ed. 1995, 73, F27-31.
Saugstad, OD: Role of xanthine oxidase and its inhibitor in hypoxia: reoxygenation injury. Pediatrics. 1996, 98, 103-107.
Wajner. M & RA Harkness: Distribution of xanthine dehydrogenase and oxidase activities in human and rabbit tissues. Biochem. Biophys. Acta. 1989. 991 , 79-84.
Wakabayashi, Y, H Fujita, I Morita, H Kawaguchi & S Murota: Conversion of xanthine dehydrogenase to xanthine oxidase in bovine carotid artery endothelial cells induced by activated neutrophils: involvement of adhesion molecules. Biochim Biophys Acta. 1995, 1265, 103-9. Wiezorek, JS, DH Brown, DE Kupperman & CA Brass: Rapid conversion to high xanthine oxidase activity in viable Kupffer cells during hypoxia. J Clin Invest. 1994, 94, 2224-2230.
Xia, Y, G Khatchikian & JL Zweier: Adenosine deaminase inhibition prevents free radical-mediated injury in the postsichemic heart. J. Biol. Chem. 1996, 271 , 10096- 10102.
Figure Legends
Figure 1A shows the effect of different concentrations of Compound 1 : 1 on the rate of oxidation of xanthine oxidase.
Figure IB shows the inhibitory effect of different concentrations of Compound 1: 1 on xanthine oxidase (XO).
Figure 2 shows the effect of Compound 1 : 1 on food intake in rats (see Example 12).
EXAMPLES
The following examples are intended to illustrate but not to limit the scope of the invention, although the compounds named are of particular interest for the intended purposes. These compounds have been designated by a number code, a:b, where "a" means the number of the Example, where the preparation of the compound is described, and "b "refers to the order of the compound prepared according to that Example. Thus Compound 1:2 means the second compound prepared according to Method 1 (see Example 1). Example 1
The compounds having the general formula (I) may be prepared by the following general method.
Method 1.
Figure imgf000019_0001
(ID (III)
A compound of formula (II) wherein Rl, R2, R3, R4 and R5 are as previously defined, is reacted with aminoguanidine (III) and a compound with formula (I) is obtained. IR, NMR, MS and elementary analysis have confirmed the stmcmres of the compounds. When melting points (m.p.) are given, these are uncorrected.
Preparation of Compound 1 : 1 (N-(2-chloro-3 ,4,dimethoxybenzylideneamino)guanidine)
A solution of 2-chloro-3,4-dimethoxybenzaldehyde (1.0 g, 5 mmol), aminoguanidine bicarbonate (0.68 g, 5 mmol) and acetic acid (1 ml), in 15 ml of methanol was heated at reflux for 10 min. The reaction mixture was cooled down to 0 °C and the residue was filtered off. The filtrate was evaporated under vacuum and the product was crystallised from ethanol. Yield of the title Compound 1: 1 was 1.1 g (70%) M.p. 198-200 °C. Preparation of Compound 1 : 19 (N-(3 ,4.5-trimethoxybenzylideneamino)guanidine)
A solution of 3,4,5-trimethoxybenzaldehyde (1.0 g, 5 mmol), aminoguanidine bicarbonate (0.68 g, 5 mmol) and acetic acid (1 ml) in 15 ml of methanol was heated at reflux for 30 min. The reaction mixture was cooled down to 0 °C and the residue was filtered off. The filtrate was evaporated under vacuum and the product was crystallised from ethanol. M.p. 223-225 °C.
Preparation of Compounds 1 :2 - 1 : 18 and 1:20-1 : 137
The following compounds were prepared using essentially the same approach as given above using Method 1. Compounds with their data are as follows:
1:1 N-(3,4-Dimethoxy-2-chlorobenzylideneamino)guanidine acetate, m.p. 198- 200°C
1 :2 N-(3-Bromobenzylideneamino)guanidine tosylate, m.p. 177-178.5°C
1:3 N-(5-Chloro-2-nitrobenzylideneamino)guanidine tosylate. m.p. 180-181 °C
1 :4 N-(2,4-Dihydroxybenzylideneamino)guanidine tosylate, m.p. 194-195°C
1 :5 N-(2, 3 -Dihydroxybenzylideneamino)guanidine tosylate. m.p. 108-109°C
1:6 N-(2, 4, 5 -Trimethoxybenzylideneamino)guanidine tosylate, m.p. 98.5-
99.5°C
1 :7 N-(4,5-Methylenedioxy-2-nitrobenzylideneamino)guanidine tosylate, m.p.
108-111 °C
1:8 N-(4-Methoxybenzylideneamino)guanidine tosylate, m.p. 175-177°C
1:9 N-(2,5-Dimethoxybenzylideneamino)guanidine : 10 N-(2,3-Dimethoxybenzylideneamino)guanidine
: 11 N-(2 , 5 -Difluor obenzylideneamino)guanidine
: 12 N-(5-Bromo-2-hydroxybenzylideneamino)guanidine
:13 N-(4-Dimethylaminobenzylideneamino)guanidine
: 14 N-(2-Hydroxy-3-methoxybenzylideneamino)guanidine
: 15 N-(3-Chlorobenzylideneamino)guanidine
: 16 N-(2-Hydroxybenzy lideneamino)guanidine
: 17 N-(2,3,4-Tribenzyloxybenzylideneamino)guanidine
: 18 N-(Benzylideneamino)guanidine acetate, m.p. 196-198°C
: 19 N-(3, 4, 5-Trimethoxybenzylideneamino)guanidine acetate, m.p. 223-225 °C
:20 N-(4-Chlorobenzylideneamino)guanidine
:21 N-(3,4-Methylenedioxybenzylideneamino)guanidine
:22 N-(4-Bromobenzylideneamino)guanidine
:23 N-(4-Diethylaminobenzylideneamino)guanidine
:24 N-(2-Hydroxy-5-nitrobenzylideneamino)guanidine
:25 N-(4-Hydroxybenzylideneamino)guanidine :26 N-(2,3,4-Trihydroxybenzylideneamino)guanidine
:27 N-(3-Hydroxy-4-methoxybenzylideneamino)guanidine
:28 N-(2-Nitrobenzylideneamino)guanidine
:29 N-(2-Chloro-6-nitrobenzylideneamino)guanidine
:30 N-(5-Hydroxy-2-nitrobenzylideneamino)guanidine
:31 N-(3 ,6-Dimethoxy-2-nitrobenzylideneamino)guanidine
: 32 N-(3 ,4-Dimethoxy-2-chlorobenzylideneamino)guanidine
:33 N-(2,6-Dimethoxybenzylideneamino)guanidine
:34 N-(2,3-Dimethoxy-6-nitrobenzylideneamino)guanidine
:35 N-(2-Fluorobenzylideneamino)guanidine
:36 N-(2-Methoxybenzylideneamino)guanidine
:37 N-(2,4,6-Trimethoxybenzylideneamino)guanidine acetate, m.p. 66-68°C
:38 N-(2,3-Methylenedioxybenzylideneamino)guanidine
:39 N-(5-Bromo-2-hydroxy-3-methoxybenzylideneamino)guanidine
:40 N-(3-Methoxybenzylideneamino)guanidine
:41 N-(2,3-Dinitro-6-chlorobenzylideneamino)guanidine
:42 N-(2,6-Dinitrobenzylideneamino)guanidine :43 N-(2-Chloro-3,4-dimethoxy-6-nitrobenzylideneamino)guanidine
:44 N-(2,4-Dinitrobenzylideneamino)guanidine acetate, m.p. 224-226°C
:45 N-(2-Chlorobenzylideneamino)guanidine
:46 N-(4-Fluorobenzylideneamino)guanidine
:47 N-(3-FIuorobenzylideneamino)guanidine
:48 N-(4-Cyanobenzylideneamino)guanidine
:49 N-(3 ,5-Dimethoxybenzylideneamino)guanidine
:50 N-(2,4-Dichlorobenzylideneamino)guanidine
:51 N-(2 , 3 -Dichlorobenzylideneamino)guanidine
:52 N-(2-Methoxy-5-nitrobenzylideneamino)guanidine
:53 N-(4-Hydroxy-3 ,5-dimethoxybenzylideneamino)guanidine
:54 N-(3 ,5-Dinitro-2-methoxybenzylideneamino)guanidine
:55 N-(3-Nitrobenzylideneamino)guanidine acetate, m.p. 147-148.5°C
:56 N-(2-Hydroxy-4,6-dimethoxybenzylideneamino)guanidine acetate, m.p. 115-118°C
:57 N-(4-Nitrobenzylideneamino)guanidine acetate, m.p. 184-186°C
:58 N-(4-Bromo-3-fluorobenzylideneamino)guanidine :59 N-(3-Bromo-4-fluorobenzylideneamino)guanidine acetate, m.p. 172-
173.5°C
:60 N-(2,3-Difluorobenzylideneamino)guanidine acetate, m.p. 149-151.5°C
:61 N-(4-Chloro-3-fluorobenzylideneamino)guanidine acetate, m.p. 165-171 °C
:62 N-(3-Methoxy-2,6-dinitrobenzylideneamino)guanidine hydrochloride, m.p. 217-218°C
:63 N-(3-Bromo-2,6-dinitrobenzylideneamino)guanidine hydrochloride, m.p.
166.5-168°C
:64 N-(2,3-Dimethoxy-5,6-dinitrobenzylideneamino)guanidine acetate, m.p.
221-222°C
:65 N-(5-Bromo-2,4-dimethoxybenzylideneamino)guanidine acetate 0.5 hydrate, m.p. 221-224°C
:66 N-(2,3-Dimethoxy-5-nitrobenzylideneamino)guanidine acetate, m.p. 191-
194°C
:67 N-(3-Chloro-2,6-dinitrobenzylideneamino)guanidine
:68 N-(4-Phenylbenzylideneamino)guanidine acetate, m.p. 191-194°C
:69 N-(3,4-Difluorobenzylideneamino)guanidine acetate, m.p. 176-178°C
:70 N-(2-Fluoro-5-nitrobenzylideneamino)guanidine acetate, m.p. 192-195°C
:71 N-(4-Bromo-2-fluorobenzylideneamino)guanidine acetate, m.p. 187-188°C :72 N-(2,3-Dinitrobenzylideneamino)guanidine
:73 N-(3,5-Dichlorobenzylideneamino)guanidine acetate, m.p. 131-134°C
:74 N-(3,5-Dinitrobenzylideneamino)guanidine acetate dihydrate, m.p. 251-
254 °C (decomp.)
:75 N-(2,6-Difluorobenzylideneamino)guanidine acetate, m.p. 138.5-141 °C
:76 N-(3-Chloro^.-fluorobenzylideneamino)guanidine acetate , m.p. 141-144°C
:77 N-(2-Bromo-4-nitrobenzylideneamino)guanidine acetate, m.p. 145-147°C
:78 N-(2-Bromo-5-nitrobenzylideneamino)guanidine acetate, m.p. 205-208°C (decomp)
:79 N-(2-Iodobenzylideneamino)guanidine acetate, m.p. 173-175°C
:80 N-(2,3-Dimethoxy-5-nitrobenzylideneamino)guanidine hydrochloride, m.p. 237-238°C
:81 N-(2-Hydroxy-4-methoxybenzylideneamino)guanidine acetate, m.p. 161-
164°C
:82 N-(4-Bromo-3-nitrobenzylideneamino)guanidine acetate, m.p. 152-153 °C
:83 N-(6-Chloro-2,3-dinitrobenzylideneamino)guanidine hydrochloride), m.p.
153-154.5°C
:84 N-(3-Bromo-4-methoxybenzylideneamino)guanidine hydrochloride, m.p.
261-262.5 °C
:85 N-(3-Iodobenzylideneamino)guanidine hydrochloride, m.p. 203-204°C :86 N-(2-Sulphobenzylideneamino)guanidine hydrochloride, m.p. > 260°C
:87 N-(3,4-Dichlorobenzylideneamino)guanidine acetate, m.p. 138-140°C
:88 N-(2-Chloro-5-nitrobenzylideneamino)guanidine acetate, m.p. 222-224°C
(decomp)
:89 N-(4-Chloro-3-nitrobenzylideneamino)guanidine acetate, m.p. 136-139°C (decomp.)
:90 N-(4-Fluoro-3-nitrobenzylideneamino)guanidine acetate, m.p. 152-155 °C
(decomp.)
:91 N-(4-Methoxy-3-nitrobenzylideneamino)guanidine acetate, m.p. 144-147°C
:92 N-(2-Chloro-3,4,5-trimethoxybenzylideneamino)guanidine
:93 N-(3 ,5-Difluorobenzylideneamino)guanidine
:94 N-(5-Bromo-2.3,4-trimethoxybenzylideneamino)guanidine
: 95 N-(3-Chloro-4-methoxybenzy lideneamino)guanidine
:96 N-(3,5-Difluoro-2-nitrobenzylideneamino)guanidine acetate, m.p. 231-
233 °C
:97 N-(3,5-Dichloro-2-nitrobenzylideneamino)guanidine acetate, m.p. 88-91 °C
:98 N-(2-Hydroxy-3-methoxy-5-nitrobenzylideneamino)guanidine hydrochloride, m.p. 243-246°C :99 N-(2-Hydroxy-4-methoxy-5-nitrobenzylideneamino)guanidine hemiacetate, m.p. 227-230°C
: 100 N-(3-Chloro-4-methoxy-5-nitrobenzylideneamino)guanidine acetate, m.p. 255-258°C (decomp.)
: 101 N-(3,5-Dichloro-4-methoxybenzylideneamino)guanidine acetate, m.p. 185-
190°C
: 102 N-(3-Bromo-4-methoxy-5-methylbenzylideneamino)guanidine acetate, m.p.
163-166°C
: 103 N-(2, 3, 4-Trimethoxybenzylideneamino)guanidine hydrochloride, m.p. 181-
183°C
: 104 N-(4-Chloro-2-methoxy-5-nitrobenzylideneamino)guanidine acetate, m.p.
196-199°C
: 105 N-(3,6-Dichloro-2-nitrobenzylideneamino)guanidine acetate, m.p. 219.5- 221 °C
: 106 N-(2-Hydroxy-4-methyl-5-nitrobenzylideneamino)guanidine hydrochloride, m.p. 229-230°C
: 107 N-(2-Bromo-5-chloro-3-nitrobenzylideneamino)guanidine acetate, m.p.
136.5-137°C
:108 N-(3-Hydroxy-4-methyl-2-nitrobenzylideneamino)guanidine acetate, m.p.
240-241 °C
: 109 N-(5-Bromo-4-methyl-2-nitrobenzylideneamino)guanidine hydrochloride, m.p. 246.5-248°C : 110 N-(5-Bromo-2-hydroxy-3-nitrobenzylideneamino)guanidine hydrochloride, m.p. > 250°C
:111 N-(5-Bromo-2-methoxy-3-nitrobenzylideneamino)guanidine hydrochloride, m.p. 258-259°C
:112 N-(2,4-Dimethoxy-5-nitrobenzylideneamino)guanidine acetate, m.p. 207-
210°C
: 113 N-(4-Bromo-2-fluoro-5-nitrobenzylideneamino)guanidine acetate, m.p. 175-
198°C (decomp.)
: 114 N-(2-Bromo-3,4,5-trimethoxybenzylideneamino)guanidine acetate, m.p.
152.5-155°C
: 115 N-(3-Hydroxy benzylideneamino)guanidine
:116 N-(4-Iodobenzylideneamino)guanidine
:117 N-(2-Methyl-3-fluoro-6-nitrobenzylideneamino)guanidine hydrochloride m.p. 189-191°C
: 118 N-(2-Chloro-3-hydroxy-4-nitrobenzylideneamino)guanidine hydrochloride, m.p. > 260°C (decomp.)
: 119 N-(2,3-D_chloro-4-nitrobenzylideneamino)guanidine hydrochloride, m.p.
258-262°C (sublimation)
: 120 N-(2-Nitro-3-trifluoromethyl-5-ethoxybenzylideneamino)guanidine hydrochloride, m.p. 92-98°C
:121 N-(2-Bromobenzy Iideneamino)guanidine hydrochloride , m.p. 197-201 °C : 122 N-(2-Bromo-5-hydroxybenzylideneamino)guanidine, m.p.223-228°C
(decomp.)
: 123 N-(3-chloro-2-fluoro-4-nitrobenzylideneamino)guanidine
: 124 N-(2-ethoxy-4-ethyl-3-iodobenzylideneamino)guanidine
: 125 N-(3-chloro-4-methyl-2-trifluoromethylbenzylideneamino)guanidine
:126 N-(4-bromo-3-iodo-2-i-propylbenzylideneamino)guanidine
: 127 N-(4-bromo-3-ethoxy-2-hydroxybenzylideneamino)guanidine
: 128 N-(2,4-dicyano-3-methoxybenzylideneamino)guanidine
: 129 N-(3-ethoxy-2-i-propyl-4-methylbenzylideneamino)guanidine
: 130 N-(3-carbamoyl-2-chloro-4-trifluoromethylbenzylideneamino)guanidine
: 131 N-(2-methyl-3-nitro-4-propylbenzylideneamino)guanidine
: 132 N-(2,3-dinitro-4-i-propoxybenzylideneamino)guanidine
: 133 N-(3-cyano-4-fluoro-2-i-propylbenzylideneamino)guanidine
: 134 N-(2-bromo-3-ethyl-4-methoxybenzylideneamino)guanidine
: 135 N-(4-chloro-2-ethoxy-3-i-propylbenzylideneamino)guanidine
: 136 N-(2,4-dicarbamoyl-3-ethylbenzylideneamino)guanidine
: 137 N-(2-ethyl-3-i-propyl-4-methylbenzylideneamino)guanidine Example 2
Effect of Compound 1 : 1 on xanthine oxidase under aerobic conditions
A method as described by Dambrova et al. (1998) was used. In brief bovine xanthine oxidase (Xanthine oxidase, grade 1 from buttermilk. Cat. No. X 1875, Sigma) was mixed to an incubation medium to achieve final concentrations as follows: 0.05 units/mL of xanthine oxidase, 250 micromol/L of xanthine and Compound 1 : 1 in different concentrations (generally ranging 10 - 200 micromol/L), in a buffer composed of air saturated 25 mmol/L Tris-HCl, 0.5 mmol/L EDTA, pH 7.5, at 20°C in a total volume of 1 mL. The rate of oxidation of xanthine was monitored by observing the rate of formation of uric acid by measuring the increase in absorbance at 295 nm. Observation times were generally 10 min, but extended sometimes as long as up to 60 min.
The results are shown in Fig. 1. As seen from Fig. 1A, the xanthine oxidation progressed during the whole time of incubation. Within the concentration range 10 - 200 micromol/L Compound 1 : 1 inhibited the xanthine oxidation, estimated by the increase in UV absorbance, at all time points investigated.
In Fig. IB the inhibitory effect of Compound 1 : 1 on xanthine oxidase is illustrated by showing the amount of uric acid formed after 10 minutes of incubation in the presence of different concentrations of Compound 1 : 1, the amount of uric acid formed being expressed in percent of the amount formed after 10 minutes in the absence of Compound 1 : 1. The thus formed dose response curve was further quantified by fitting to the four parameter logistic function using non-linear least squares regression (see Acta
Pharmacol. Toxicol. 1986, 59, 270-278). From the resulting fit, the IC50 (inhibiting concentration 50) of Compound 1: 1 was estimated to be 54.5 ± 3.2 μM.
Data on the inhibitory effect of some compounds of the invention are given below. The values relate to the amount of uric acid formed, expressed as a percentage of the maximum amount of uric acid formed in the absence of the compound of the invention: Percentaεe xanthine oxidase inhibition
Compound 1 : 1 60
Compound 1 : 18 32.1
Compound 1 :44 7.4
Compound 1 : 19 55.3
Compound 1:37 44.4
Example 3
The acute toxicity of Compound 1 : 1 was measured as LD50 (lethal dose-50) in mice
(Lichtfield and Wilcoxon, 1949) after oral and intravenous administration. The oral dose ranged from 100 - 600 mg/kg, and the intravenous from 20 - 100 mg/kg. The animals were observed after single dose administrations during the first day and up to 10 days post administration.
The results indicate that oral toxicity is low, with an LD50 ranging between 176 - 475 mg/kg (mean 290 mg/kg), with mainly early inactivation and later (within 10-20 minutes) torpid symptoms at doses of 200 mg/kg and above.
After intravenous administration the symptoms were mainly depression occurring at 1-2 minutes post dose. The LD50 ranged between 64 - 100 mg/kg (mean 80 mg/kg).
Animals that survived the first 24 hours, both for oral and intravenous groups, generally did not exhibit any further symptoms during the following 9 days.
Example 4
The stability of Compound 1 : 1 was studied after dissolution in Krebs-Henseleit buffer and incubating for up to 18 hours and analysing the Compound 1: 1 concentration at timed intervals using HPLC. The results are shown in Table I. It was found that
Compound 1: 1 was stable at concentrations of 0.4 and 4 microgram/mL at least for up to 18 hours at room temperature. Table I
Figure imgf000032_0001
(n.d. - not done)
Example 5
Prolongation of transplanted heart survival bv oral administration of a compound of the invention
A heterotopic heart transplant model in rats was used to evaluate the effect of guanidines on organ survival after transplantation. Hearts from DA rats (donor) were transplanted to Lewis rats (recipient) according to Olausson et al, 1984. Briefly, the recipient's jugular vein and carotid artery were exposed, divided, and cuffed. The heart was flushed with saline and harvested from the donor. The aorta was anastomosed to the common carotid artery and the pulmonary artery was anastomosed to the jugular vein. The heart transplants were palpated twice daily. Loss of palpable contractions was considered as rejection. Absence of contractions was verified by visual inspection of the graft under anaesthesia, and the rat was then sacrificed.
Compound 1: 1 was administered orally twice daily, each dose amounting to 30 mg/kg, from the day of transplantation until rejection. Control rats received saline.
Results demonstrated a significant prolongation of survival of the grafts with treatment compared to control rats. Thus, graft survival in the rats treated with Compound 1: 1 were 13.5 days, whereas grafts survived in the control rats only 6.5 days.
Example 6
The following formulations are representative for all of the pharmacologically active compounds of the invention:
Example of a preparation comprising a capsule
Per capsule
Active ingredient, as salt 5 mg
Lactose 250 mg
Starch 120 mg
Magnesium stearate 5 mg
Total up to 380 mg
In case higher amounts of active ingredient, the amount of lactose used may be reduced. Example of a suitable tablet formulation.
Per tablet
Active ingredient, as salt 5 mg
Potato starch 90 mg
Colloidal Silica 10 mg
Talc 20 mg
Magnesium stearate 2 mg
5 % aqueous solution of gelatine 25 mg
Total up to 385 mg
Solutions for parenteral administration by injection can be prepared in an aqueous solution of a water-soluble pharmaceutically acceptable acid addition salt of the active substance preferably in a concentration of 0.1 % to about 5 % by weight. These solutions may also contain stabilising agents and/or buffering agents.
Example 7
Oral availability of a compound of the invention
Analytical methods
Blood drawn from the animals and an equal volume of methanol was immediately added and the blood mixed for 15 min whereafter the sample was centrifuged to remove the precipitate. Aliquots of the supernatant were injected onto a Nucleosil-5 C8, 250-4 mm HPLC column (Merck) and the sample eluted using 35 % methanol in 0.05M phosphate buffer, pH 2.5 and detection was performed by UV at 300 nM. Animal experiments
Rats were given 30 mg/kg orally of Compound 1: 1. After 60 min blood was drawn and subjected to HPLC analysis.
Results
A total of six rats were tested for the uptake of Compound 1 : 1 after its oral administration. One hour after the admistration of 30 mg/kg the mean concentration of the Compound 1 :1 in the blood was found to be 0.095 μg/ml (relative standard deviation
13.7 %)
Example 8
Demonstration of the antiarrhythmic effect of Compound 1 : 1
Methods
Male Wistar rats weighing 330-420 g were housed under standard conditions (21-23 °C, 12 h light-dark cycle) with unlimited access to food and water.
The procedure used was a modification of the method described by Kane et al., Br. J. Pharmacol., 1984, 82, 349-357. In brief, rats were anaesthetised with sodium pentobarbital (60 mg/kg i.p.). The femoral vein was cannulated to allow administration of drag or saline. Systemic blood pressure was monitored from the left carotid artery by a pressure transducer P23 DB (Gould Statham, USA) and continuously registered on a physiograph DMP-4B (Narco Bio-Systems, USA) together with an electrocardiogram (ECG) II standard lead. Rats were intubated through a tracheotomy and ventilated with room air by a V5kG respirator for small animals (Narco Bio-Systems, USA) using an inspiration pressure of 15 cm H2O and a rate of 55 strokes/min to maintain blood gases and pH within the normal limits. The chest was opened using a left thoracotomy, followed by sectioning of the fourth rib. The pericardium was incised and a sling (6/0 silk Ethicon) was placed around the left coronary artery close to its origin without externalization of the heart. Both ends of the ligature were passed through a small plastic tube; the chest was partially closed and the animal was allowed to recover for 10 minutes. The coronary artery was occluded by applying tension to the plastic tube-silk string arrangement. Tension was maintained by clamping the tube; the successful occlusion being confirmed by a decrease in arterial pressure and ischemia-induced alterations in the ECG. Occlusion was continued for 10 minutes, whereafter reperfusion was initiated by removing the clamp and releasing the tension on the ligature. The reperfusion was continued for 20 minutes.
Definition of arrhythmias were based on criteria described in the Lambeth Conventions (Walker et al., Cardiovasc. Res., 1988, 22, 447-455). Ectopic activity was categorized as a single ventricular premature beat (VPB), ventricular tachycardia (VT) (i.e. 4 or more consecutive ventricular premature beats) or as ventricular fibrillation (VF) (i.e. inability to distinguish individual QRS complexes or inability to measure a rate). In all experiments the incidence of ventricular tachycardia, ventricular fibrillation and mortality (due to terminal ventricular fibrillation sustained for at least 3 min) was noted.
At the end of the experiment the rats were sacrificed and the hearts excised, washed with saline to remove blood, and frozen in liquid nitrogen until analyzed for biochemical parameters, the latter which included the measurement of lactate using established methods well known in the art.
Sham operated animals where animals that were treated identically as the ischemia- reperfusion animals except that traction was never applied to the coronary artery silk ligature. Thus the coronary artery of a sham operated animal was never occluded.
Results
Compound 1 : 1 was administered intravenously in doses of 1 or 3 mg/kg 5 min prior to application of ischemia. Rats that received the same amount of solvent as for Compound 1 : 1 (i.e. saline) were used as a controls. The ischemic period then applied was for 10 minutes which was followed by 20 min of reperfusion. Results are shown in Table 2 and 3. As can be seen from Table 2, during the occlusion 6 out of 15 animals had ventricular tachycardias, and 3 out of 15 ventricular fibrillations. During the reperfusion all animals had ventricular tachycardias and 14 out of 15 had ventricular fibrillations. In the control group, 7 out of 15 animals died during the reperfusion.
As can be seen from Table 2, Compound 1:1 decreased the incidence of tachycardias and fibrillations markedly both during occlusion and reperfusion, the effect being more marked with 3 mg/kg than after 1 mg/kg of 1. Compound 1 : 1 also markedly increased the survival of the animals.
Table 3 shows the same data as that of Table 2, expressed in % . The Table demonstrated the marked positive treatment effect of Compound 1: 1 on arrhythmias and prevention of death in ischemia and ischemia-reperfusion.
For the purpose of the lactate experiment, ischemia and reperfusion durations were the same as above; however, Compound 1 : 1 was administered 11 min prior to the reperfusion. At the end of the experiment, the lactate levels of the sham operated animals were 3.34 ± 0.51 nmol/g of heart wet weight (these animals did not received any Compound 1:1). For the ischemia-reperfusion animals not given any of Compound 1:1, the lactate levels were 6.62 + 0.91 nmol/g of heart wet weight. For the ischemia- reperfusion animals given 3 mg/kg of Compound 1: 1, the lactate levels were 4.31 ± 0.28 nmol/mg of heart wet weight. (For the experiments where lactate was analyzed only, animals surviving the 10 min coronary artery occlusion, 20 min reperfusion periods were included).
These results demonstrate the capacity of a compound of the invention to prevent the heart from damage in ischemia-reperfusion, and in a further sense they demonstrate the capacity of compounds of the invention to protect the heart during heart infarction. Table 2
Figure imgf000038_0001
Table 3
Figure imgf000038_0002
Figure imgf000039_0001
oo
"
Figure imgf000039_0002
In Table 4, "Elacc" represents electron acceptability; "XO inhib" refers to the inhibition of xanthine oxidase formation; and "MCI" to MC5" refers to the binding of the compounds to the specified melanocortin receptors in micromolar units.
Example 10
Compound 1 :1
Reduced infarct area after experimentally induced mvocardial infarct
Domestic pigs of either sex were used. After an overnight fast the pigs were anaesthetized, intubated and one or two of the diagonal arteries running over the left ventricle of the heart were occluded by pulling a suture around the arteries. This reduced the regional blood flow by more that 90%. Occlusion was kept for 60 minutes and the compound was administered in the left atrium during the last 5 minutes of the occlusion, just prior to reperfusion. Reperfusion was going on for 2 hours, and after this period the pigs were euthanized, and the heart was surgically removed. Just prior to euthanisation, the diagonal arteries were again occluded and fluorescein was given into the left atrium, in order to stain the cardiac muscle, except the ischemic area ('area at risk'). The hearts were filled with agarose, kept cold and cut into 5 mm thick sections which were photographed while flooded with UV light. After this, the sections were stained with TTC (triphenyltetrasodiumchloride) in order to calculate the (non-stained) infarct area. The area of infarct of the area at risk was calculated in percent.
ECG, plasma sampling and blood gases were measured during the experimental period.
The results show a clear and significantly reduced infarct area in the pigs treated with the low dose of Compound 1: 1 compared to vehicle treated pigs (see Table below,
MV±SEM). Treatment group Weight (kg) Infarct area of 'Area at risk' (%)
Vehicle 31.611.77 76.2±3.62
1: 1 2 mg/kg 28.83±1.92 57.0±2.92*
1: 1 lOmg/kg 28.23±1.01 61.83±6.67
* p <0.05 vs vehicle
Example 11
Anti-inflammatory effects in vivo
Female BALB/c mice were sensitized by treatement of the shaved abdomen with DNFB (dinitrofluorobenzene). After 4 days the mice were challenged again with the DNFB on the paw, and the oedema (measured as the difference in weights between the challenged paw and an unchallenged paw) was noted 24 hours after the challenge. Mice were treated with the compound in different doses two hours before sensitization and consecutively for another 4 days. Control compounds were αMSH and prednisolone. Blood samples were taken at the end of the experiment and variables related to inflammation were measured.
The result demonstrated that administration of Compound 1 : 1 clearly affected the inflammatory response, and that significant effects were achieved (see table below. MV±SEM). Treatment Paw weight Tot WBC LyM
Difference (g) (xl06/L) (xl06/L)
Untreated nd 6.1±0.33 4.210.32 Oedema 0.14±0.003 16.1±1.36 10.311.19 αMSH 0.11±0.004 11.011.01 5.410.69
Prednisolone 0.10±0.004 9.410.51 6.810.58
1 :1 0.5mg/kg 0.11±0.004 7.610.59 4.810.41
WBC = white blood cells LyM = lymphocytes and monocytes
Recent results have shown that Compound 1 : 1 has affinity for the MCI receptor and since this receptor is clearly involved in anti-inflammation and immunomodulatory effects, it is possible that the compound, in addition to exerting effects by the inhibition of xanthine oxidase, also exerts effects via the MCI receptor.
Example 12
Stimulation of food intake in vivo
Rats were cannulated intracerebroventricularly and left for a week to acclimatize. At the time of experiment, the rats were starved over night and in the next morning the compound or vehicle was administered through the cannula before food was presented. Food intake was measured after 2, 4, 8 and 24 hours. There was a significant increase in the food intake in the highest dose group after 2 hours, and a clear trend towards increased food intake after 24 hours (see Figure 2).
It has recently been shown that Compound 1 : 1 binds to the MC4 receptor, which clearly can explain the results obtained in this experiment. It is, furthermore, an important finding since it not only improves food intake, but does that in a situation when the individual is hungry (i.e. after starvation).

Claims

CLAIMS:
1. Use of a compound of formula (I)
Figure imgf000043_0001
wherein Rl, R2, R3, R4 and R5 are the same or different and are selected from hydrogen; halogen; alkyl having 1 to 5 carbon atoms; phenyl; electron donor groups such as alkoxy having from 1 to 5 carbon atoms, hydroxy, alkylamino, dialkylamino, benzyloxy; and electron acceptor groups selected from cyano, nitro, trifluoroalkyl, amide and sulfo;
or wherein adjacent R groups form an alkylenedioxy group,
or a pharmacologically acceptable salt thereof,
in the preparation of a medicament for enhancing the survival of a transplanted cell, organ or tissue, or a cell, organ or tissue to be transplanted.
2. Use of a compound as claimed in claim 1 with the exception of the following compounds:
1 :18 N-(benzylideneamino)guanidine
1 : 19 N-(3,4,5-trimethoxybenzylideneamino)guanidine
1 :55 N-(3-nitrobenzylideneamino)guanidine
1:68 N-(4-phenylbenzylideneamino)guanidine
1 :84 N-(3-bromo-4-methoxybenzylideneamino)guanidine
1 : 89 N-(4-chloro-3-nitrobenzylideneamino)guanidine .
3. Use of a compound as claimed in claim 1 or claim 2 with the exception of the following compounds:
1 :44 N-(2,4-dinitrobenzylideneamino)guanidine
1 : 73 N-(3 ,5-dichlorobenzy lideneamino)guanidine
1:75 N-(2,6-difluorobenzylideneamino)guanidine
1:87 N-(3 ,4-dichlorobenzy lideneamino)guanidine .
4. Use as claimed in any one of the preceding claims wherein R4 and R5 are both H.
5. Use as claimed in any one of the preceding claims wherein R4 and R5 are not both H.
6. Use as claimed in any one of the preceding claims wherein one, two, three or four of Rl, R2, R3, R4 and R5 are independently H.
7. Use as claimed in any one of the preceding claims wherein one, two, three or more of Rl, R2, R3, R4 and R5 are independently halogen.
8. Use as claimed in claim 7 wherein the halogen is fluoro, chloro or bromo.
9. Use as claimed in any one of the preceding claims wherein one, two, three or more of Rl, R2, R3, R4 and R5 is independently an alkyl group.
10. Use as claimed in claim 9 wherein the alkyl group is methyl or ethyl.
11. Use as claimed in any one of the preceding claims wherein one, two, three or more of Rl, R2, R3, R4 and R5 is an alkoxy group.
12. Use as claimed in claim 11 wherein the alkoxy group is methoxy or ethoxy.
13. Use as claimed in any one of the previous claims wherein none of Rl to R5 represent nitro.
14. Use as claimed in any one of the previous claims wherein none of Rl to R5 represent halogen.
15. Use as claimed in any one of the previous claims wherein four or five of Rl to R5 represent H.
16. Use of compound as claimed in claim 1, wherein the compound is:
1 : 1 N-(3 ,4-Dimethoxy-2-chlorobenzylideneamino)guanidine
1 :2 N-(3 -Bromobenzy lideneamino)guanidine
1 :3 N-(5-Chloro-2-nitrobenzylideneamino)guanidine 1 :4 N-(2,4-Dihydroxybenzylideneamino)guanidine
1:5 N-(2 , 3-Dihydroxybenzylideneamino)guanidine
1 :6 N-(2,4,5-Trimethoxybenzylideneamino)guanidine
1 :7 N-(4,5-Methylenedioxy-2-nitrobenzylideneamino)guanidine
1 :8 N-(4-Methoxybenzylideneamino)guanidine 1:9 N-(2,5-Dimethoxybenzylideneamino)guanidine
1 : 10 N-(2,3-Dimethoxybenzylideneamino)guanidine
1 :11 N-(2,5-Difluorobenzylideneamino)guanidine
1 : 12 N-(5-Bromo-2-hydroxybenzylideneamino)guanidine
1 : 13 N-(4-Dimethy laminobenzylideneamino)guanidine 1 : 14 N-(2-Hydroxy-3-methoxybenzylideneamino)guanidine
1: 15 N-(3-Chlorobenzylideneamino)guanidine
1 : 16 N-(2-Hydroxybenzylideneamino)guanidine
1 : 17 N-(2,3,4-Tribenzyloxybenzylideneamino)guanidine
1 : 18 N-(Benzylideneamino)guanidine 1 : 19 N-(3,4,5-Trimethoxybenzylideneamino)guanidine
1 :20 N-(4-Chlorobenzylideneamino)guanidine
1 :21 N-(3,4-Methylenedioxybenzylideneamino)guanidine
1 :22 N-(4-Bromobenzylideneamino)guanidine :23 N-(4-Diethylaminobenzylideneamino)guanidine :24 N-(2-Hydroxy-5-nitrobenzylideneamino)guanidine :25 N-(4-Hydroxybenzylideneamino)guanidine :26 N-(2,3 ,4-Trihydroxybenzylideneamino)guanidine :27 N-(3-Hydroxy-4-methoxybenzylideneamino)guanidine :28 N-(2-Nitrobenzylideneamino)guanidine :29 N-(2-Chloro-6-nitrobenzylideneamino)guanidine :30 N-(5-Hydroxy-2-nitrobenzylideneamino)guanidine :31 N-(3 , 6-Dimethoxy-2-nitrobenzylideneamino)guanidine :32 N-(3,4-Dimethoxy-2-chlorobenzylideneamino)guanidine :33 N-(2,6-Dimethoxybenzylideneamino)guanidine :34 N-(2,3-Dimethoxy-6-nitrobenzylideneamino)guanidine :35 N-(2-Fluorobenzylideneamino)guanidine :36 N-(2-Methoxybenzylideneamino)guanidine :37 N-(2,4,6-Trimethoxybenzylideneamino)guanidine :38 N-(2 , 3 -Methy lenedioxybenzylideneamino)guanidine : 39 N-(5-Bromo-2-hydroxy-3-methoxybenzylideneamino)guanidine :40 N-(3-Methoxybenzylideneamino)guanidine :41 N-(2,3-Dinitro-6-chlorobenzylideneamino)guanidine :42 N-(2,6-Dinitrobenzylideneamino)guanidine :43 N-(2-Chloro-3 ,4-dimethoxy-6-nitrobenzylideneamino)guanidine :44 N-(2,4-Dinitrobenzylideneamino)guanidine :45 N-(2-Chlorobenzylideneamino)guanidine :46 N-(4-Fluorobenzylideneamino)guanidine :47 N-(3-Fluorobenzylideneamino)guanidine :48 N-(4-Cyanobenzylideneamino)guanidine :49 N-(3 ,5-Dimethoxybenzylideneamino)guanidine :50 N-(2,4-Dichlorobenzylideneamino)guanidine :51 N-(2,3-Dichlorobenzylideneamino)guanidine :52 N-(2-Methoxy-5-nitrobenzylideneamino)guanidine :53 N-(4-Hydroxy-3,5-dimethoxybenzylideneamino)guanidine :54 N-(3 ,5-Dinitro-2-methoxybenzylideneamino)guanidine :55 N-(3-Nitrobenzylideneamino)guanidine 1 :56 N-(2-Hydroxy-4, 6-dimethoxybenzy lideneamino)guanidine
1 :57 N-(4-Nitrobenzylideneamino)guanidine :58 N-(4-Bromo-3-fluorobenzylideneamino)guanidine :59 N-(3-Bromo-4-fluorobenzylideneamino)guanidine :60 N-(2,3-Difluorobenzylideneamino)guanidine :61 N-(4-Chloro-3 -fluorobenzy lideneamino)guanidine :62 N-(3-Methoxy-2.6-dinitrobenzylideneamino)guanidine :63 N-(3-Bromo-2,6-dinitrobenzylideneamino)guanidine :64 N-(2,3-Dimethoxy-5,6-dinitrobenzylideneamino)guanidine :65 N-(5-Bromo-2,4-dimethoxybenzylideneamino)guanidine :66 N-(2,3-Dimethoxy-5-nitrobenzylideneamino)guanidine :67 N-(3-Chloro-2,6-dinitrobenzylideneamino)guanidine : 68 N-(4-Pheny lbenzy lideneamino)guanidine :69 N-(3 ,4-Difluorobenzylideneamino)guanidine :70 N-(2-Fluoro-5-nitrobenzylideneamino)guanidine :71 N-(4-Bromo-2-fluorobenzy lideneamino)guanidine :72 N-(2,3-Dinitrobenzylideneamino)guanidine :73 N-(3,5-Dichlorobenzylideneamino)guanidine :74 N-(3 ,5-Dinitrobenzylideneamino)guanidine :75 N-(2,6-Difluorobenzylideneamino)guanidine :76 N-(3-Chloro-4-fluorobenzylideneamino)guanidine :77 N-(2-Bromo-4-nitrobenzylideneamino)guanidine :78 N-(2-Bromo-5 -nitrobenzylideneamino)guanidine :79 N-(2-Iodobenzy lideneamino)guanidine :80 N-(2,3-Dimethoxy-5-nitrobenzylideneamino)guanidine :81 N-(2-Hydroxy-4-methoxybenzylideneamino)guanidine :82 N-(4-Bromo-3-nitrobenzylideneamino)guanidine :83 N-(6-Chloro-2,3-dinitrobenzylideneamino)guanidine : 84 N-(3 -Bromo-4-methoxy benzy lideneamino)guanidine :85 N-(3-Iodobenzylideneamino)guanidine :86 N-(2-Sulphobenzylideneamino)guanidine :87 N-(3,4-Dichlorobenzylideneamino)guanidine :88 N-(2-Chloro-5-nitrobenzylideneamino)guanidine :89 N-(4-Chloro-3-nitrobenzylideneamino)guanidine :90 N-(4-Fluoro-3-nitrobenzylideneamino)guanidine :91 N-(4-Methoxy-3 -nitrobenzylideneamino)guanidine : 92 N-(2-Chloro-3 ,4,5-trimethoxybenzylideneamino)guanidine :93 N-(3.5-Difluorobenzylideneamino)guanidine : 94 N-(5-Bromo-2 , 3 ,4-trimethoxybenzylideneamino)guanidine :95 N-(3-Chloro-4-methoxybenzylideneamino)guanidine :96 N-(3,5-Difluoro-2-nitrobenzylideneamino)guanidine :97 N-(3,5-Dichloro-2-nitrobenzylideneamino)guanidine :98 N-(2-Hydroxy-3-methoxy-5-nitrobenzylideneamino)guanidine :99 N-(2-Hydroxy-4-methoxy-5-nitrobenzylideneamino)guanidine : 100 N-(3-Chloro-4-methoxy-5-nitrobenzylideneamino)guanidine :101 N-(3 ,5-Dichloro-4-methoxybenzylideneamino)guanidine : 102 N-(3-Bromo-4-methoxy-5-methylbenzylideneamino)guanidine :103 N-(2,3,4-Trimethoxybenzylideneamino)guanidine : 104 N-(4-Chloro-2-methoxy-5-nitrobenzylideneamino)guanidine : 105 N-(3 ,6-Dichloro-2-nitrobenzylideneamino)guanidine : 106 N-(2-Hydroxy-4-methyl-5-nitrobenzylideneamino)guanidine : 107 N-(2-Bromo-5-chloro-3-nitrobenzylideneamino)guanidine : 108 N-(3-Hydroxy-4-methyl-2-nitrobenzylideneamino)guanidine : 109 N-(5-Bromo-4-methyl-2-nitrobenzylideneamino)guanidine :110 N-(5-Bromo-2-hydroxy-3-nitrobenzylideneamino)guanidine : 111 N-(5-Bromo-2-methoxy-3-nitrobenzylideneamino)guanidine : 112 N-(2,4-Dimethoxy-5-nitrobenzylideneamino)guanidine :113 N-(4-Bromo-2-fluoro-5-nitrobenzylideneamino)guanidine : 114 N-(2-Bromo-3 ,4,5-trimethoxybenzylideneamino)guanidine : 115 N-(3-Hydroxybenzylideneamino)guanidine :116 N-(4-Iodobenzy lideneamino)guanidine : 117 N-(2-Methyl-3-fluoro-6-nitrobenzylideneamino)guanidine :118 N-(2-Chloro-3-hydroxy-4-nitrobenzylideneamino)guanidine : 119 N-(2,3-Dichloro-4-nitrobenzylideneamino)guanidine : 120 N-(2-Nitro-3-trifluoromethyl-5-ethoxybenzylideneamino)guanidine :121 N-(2-Bromobenzy lideneamino)guanidine 1 : 122 N-(2-Bromo-5-hydroxybenzylideneamino)guanidine
1 : 123 N-(3-chloro-2-fluoro-4-mtrobenzylideneamino)guanidine
1 : 124 N-(2-ethoxy-4-ethy l-3-iodobenzylideneamino)guanidine
1 : 125 N-(3-chloro-4-methyl-2-trifluoromethylbenzylideneamino)guanidine
1: 126 N-(4-bromo-3 -iodo-2-i-propy lbenzylideneamino)guanidine
1 : 127 N-(4-bromo-3-ethoxy-2-hydroxybenzylideneamino)guanidine
1 : 128 N-(2,4-dicyano-3-methoxybenzylideneamino)guanidine
1 : 129 N-(3-ethoxy-2-i-propyl-4-methylbenzylideneamino)guanidine
1 : 130 N-(3-carbamoyl-2-chloro-4-trifluoromethylbenzylideneamino)guanidine
1:131 N-(2-methyl-3-nitro-4-propylbenzylideneamino)guanidine
1:132 N-(2,3-dinitro-4-i-propoxybenzylideneamino)guanidine
1 : 133 N-(3-cyano-4-fluoro-2-i-propylbenzylideneamino)guanidine
1 : 134 N-(2-bromo-3-ethyl-4-methoxybenzylideneamino)guanidine
1 : 135 N-(4-chloro-2-ethoxy-3-i-propylbenzylideneamino)guanidine
1 : 136 N-(2,4-dicarbamoyl-3-ethylbenzylideneamino)guanidine
1 : 137 N-(2-ethyl-3-i-propyl-4-methylbenzylideneamino)guanidine
or a pharmacologically acceptable salt thereof.
17. Use as claimed in any one of the previous claims wherein the organ is a heart, lung, kidney or liver.
18. A compound of formula (I)
Figure imgf000049_0001
wherein Rl, R2, R3, R4 and R5 are the same or different and are selected from hydrogen; halogen; alkyl having 1 to 5 carbon atoms; phenyl; electron donor groups such as alkoxy having from 1 to 5 carbon atoms, hydroxy, alkylamino, dialkylamino, benzyloxy; and electron acceptor groups selected from cyano, nitro, trifluoroalkyl, amide and sulfo;
or wherein adjacent R groups form an alkylenedioxy group,
or a pharmacologically acceptable salt thereof,
with the exception of the following compounds:
1:18 N- enzy lideneamino)guanidine
1 : 19 N-(3,4,5-trimethoxybenzylideneamino)guanidine 1:55 N-(3-nitrobenzylideneamino)guanidine
1 :68 N-(4-phenylbenzylideneamino)guanidine
1 :84 N-(3-bromo^.-methoxybenzylideneamino)guanidine
1:89 N-(4-chloro-3-nitrobenzylideneamino)guanidine
1:44 N-(2,4-dinitrobenzylideneamino)guanidine
1:73 N-(3 ,5-dichlorobenzylideneamino)guanidine
1:75 N-(2 , 6-difluorobenzy lideneamino)guanidine
1:87 N-(3,4-dichlorobenzylideneamino)guanidine.
19. A compound as claimed in claim 18 wherein R4 and R5 are both H.
20. A compound as claimed in claim 18 wherein R4 and R5 are not both H.
21. A compound as claimed in any one of claims 18 to 20 wherein one, two, three or four of Rl, R2, R3, R4 and R5 are independently H.
22. A compound as claimed in any one of claims 18 to 21 wherein one, two, three or more of Rl, R2, R3, R4 and R5 are independently halogen.
22. A compound as claimed in claim 22 wherein the halogen is fluoro, chloro or bromo.
24. A compound as claimed in any one of claims 18 to 23 wherein one, two, three or more of Rl , R2, R3, R4 and R5 is independently an alkyl group.
25. A compound as claimed in claim 24 wherein the alkyl group is methyl or ethyl.
26. A compound as claimed in any one of claims 18 to 25 wherein one, two, three or more of Rl, R2, R3, R4 and R5 is an alkoxy group.
27. A compound as claimed in claim 26 wherein the alkoxy group is methoxy or ethoxy.
28. A compound as claimed in any one of claims 18 to 27 wherein none of Rl to R5 represent nitro.
29. A compound as claimed in any one of claims 18 to 28 wherein none of Rl to R5 represent halogen.
30. A compound as claimed in any one of claims 18 to 29 wherein four or five of Rl to R5 represent H.
31. A compound as claimed in claim 18, wherein the compound is:
1 : 1 N-(3 ,4-Dimethoxy-2-chlorobenzylideneamino)guanidine
1 :2 N-(3-Bromobenzylideneamino)guanidine
1 : 3 N-(5-Chloro-2-nitrobenzylideneamino)guanidine 1 :4 N-(2,4-Dihydroxybenzylideneamino)guanidine
1 :5 N-(2,3-Dihydroxybenzylideneamino)guanidine
1 :6 N-(2,4,5-Trimethoxybenzylideneamino)guanidine
1 :7 N-(4,5-Methylenedioxy-2-nitrobenzylideneamino)guanidine 1 :8 N-(4-Methoxybenzylideneamino)guanidine
1 :9 N-(2,5-Dimethoxybenzylideneamino)guanidine
1 : 10 N-(2,3-Dimethoxybenzylideneamino)guanidine
1 : 11 N-(2,5-D_fluorobenzylideneamino)guanidine
112 N-(5-Bromo-2-hydroxybenzylideneamino)guanidine
1 : 13 N-(4-Dimethylaminobenzylideneamino)guanidine
1 14 N-(2-Hydroxy-3-methoxybenzylideneamino)guanidine
1 15 N-(3-Chlorobenzylideneamino)guanidine
1 16 N-(2-Hydroxybenzylideneamino)guanidine
1 17 N-(2,3,4-Tribenzyloxybenzylideneamino)guanidine
1 20 N-(4-Chlorobenzylideneamino)guanidine
1 21 N-(3,4-Methylenedioxybenzylideneamino)guanidine
1 22 N-(4-Bromobenzylideneamino)guanidine
1 23 N-(4-Diethylaminobenzylideneamino)guanidine
1 24 N-(2-Hydroxy-5-nitrobenzylideneamino)guanidine
1 25 N-(4-Hydroxybenzylideneamino)guanidine
1 26 N-(2 ,3 ,4-Trihydroxybenzylideneamino)guanidine
1 27 N-(3-Hydroxy-4-methoxybenzylideneamino)guanidine
1 28 N-(2-Nitrobenzylideneamino)guanidine
1 29 N-(2-Chloro-6-nitrobenzylideneamino)guanidine
1: 30 N-(5-Hydroxy-2-nitrobenzylideneamino)guanidine
1. 31 N-(3 , 6-Dimethoxy-2-nitrobenzy lideneamino)guanidine
1: 32 N-(3,4-Dimethoxy-2-chlorobenzylideneamino)guanidine
1. 33 N-(2 , 6-Dimethoxybenzy lideneamino)guanidine
1: 34 N-(2,3-Dimethoxy-6-nitrobenzylideneamino)guanidine
1: 35 N-(2-Fluorobenzylideneamino)guanidine
1: 36 N-(2-Methoxybenzylideneamino)guanidine
1 : 37 N-(2,4,6-Trimethoxybenzylideneamino)guanidine
1: 38 N-(2,3-Methylenedioxybenzylideneamino)guanidine
1 : 39 N-(5-Bromo-2-hydroxy-3-methoxybenzylideneamino)guanidine
1: 40 N-(3-Methoxybenzylideneamino)guanidine
1 : 41 N-(2,3-Dinitro-6-chlorobenzylideneamino)guanidine
1: 42 N-(2,6-Dinitrobenzylideneamino)guanidine : 43 N-(2-Chloro-3 , 4-dimethoxy-6-nitrobenzy lideneamino)guanidine :45 N-(2-Chlorobenzylideneamino)guanidine :46 N-(4-Fluorobenzylideneamino)guanidine :47 N-(3-Fluorobenzylideneamino)guanidine :48 N-(4-Cyanobenzylideneamino)guanidine :49 N-(3 ,5-Dimethoxybenzylideneamino)guanidine :50 N-(2,4-Dichlorobenzylideneamino)guanidine :51 N-(2,3-Dichlorobenzylideneamino)guanidine :52 N-(2-Methoxy-5-nitrobenzylideneamino)guanidine :53 N-(4-Hydroxy-3,5-dimethoxybenzylideneamino)guanidine :54 N-(3,5-Dinitro-2-methoxybenzylideneamino)guanidine :56 N-(2-Hydroxy-4,6-dimethoxybenzylideneamino)guanidine :57 N-(4-Nitrobenzylideneamino)guanidine :58 N-(4-Bromo-3-fluorobenzylideneamino)guanidine :59 N-(3-Bromo-4-fluorobenzylideneamino)guanidine :60 N-(2,3-Difluorobenzylideneamino)guanidine :61 N-(4-Chloro-3 -fluorobenzylideneamino)guanidine :62 N-(3-Methoxy-2,6-dinitrobenzylideneamino)guanidine :63 N-(3-Bromo-2,6-dinitrobenzylideneamino)guanidine :64 N-(2,3-Dimethoxy-5,6-dinitrobenzylideneamino)guanidine : 65 N-(5-Bromo-2 ,4-dimethoxybenzylideneamino)guanidine :66 N-(2,3-Dimethoxy-5-nitrobenzylideneamino)guanidine :67 N-(3-Chloro-2,6-dinitrobenzylideneamino)guanidine : 69 N-(3 ,4-Difluorobenzylideneamino)guanidine :70 N-(2-Fluoro-5-nitrobenzylideneamino)guanidine :71 N-(4-Bromo-2-fluorobenzy lideneamino)guanidine :72 N-(2,3-Dinitrobenzylideneamino)guanidine :74 N-(3 ,5-Dinitrobenzylideneamino)guanidine :76 N-(3-Chloro-4-fluorobenzylideneamino)guanidine :77 N-(2-Bromo-4-nitrobenzylideneamino)guanidine :78 N-(2-Bromo-5-nitrobenzylideneamino)guanidine :79 N-(2-Iodobenzylideneamino)guanidine :80 N-(2,3-D_methoxy-5-nitrobenzylideneamino)guanidine :81 N-(2-Hydroxy-4-methoxybenzy lideneamino)guanidine :82 N-(4-Bromo-3-nitrobenzylideneamino)guanidine :83 N-(6-Chloro-2,3-dinitrobenzylideneamino)guanidine :85 N-(3-Iodobenzylideneamino)guanidine :86 N-(2-Sulphobenzylideneamino)guanidine :88 N-(2-Chloro-5-nitrobenzylideneamino)guanidine :90 N-(4-Fluoro-3-nitrobenzylideneamino)guanidine :91 N-(4-Methoxy-3 -nitrobenzylideneamino)guanidine :92 N-(2-Chloro-3 ,4,5-trimethoxybenzylideneamino)guanidine :93 N-(3,5-Difluorobenzylideneamino)guanidine :94 N-(5-Bromo-2,3,4-trimethoxybenzylideneamino)guanidine :95 N-(3-Chloro-4-methoxybenzylideneamino)guanidine :96 N-(3,5-Difluoro-2-nitrobenzylideneamino)guanidine :97 N-(3,5-Dichloro-2-nitrobenzylideneamino)guanidine :98 N-(2-Hydroxy-3-methoxy-5-nitrobenzylideneamino)guanidine :99 N-(2-Hydroxy-4-methoxy-5-nitrobenzylideneamino)guanidine : 100 N-(3-Chloro-4-methoxy-5-nitrobenzylideneamino)guanidine : 101 N-(3 ,5-Dichloro-4-methoxybenzylideneamino)guanidine : 102 N-(3-Bromo-4-methoxy-5-methylbenzylideneamino)guanidine : 103 N-(2,3,4-Trimethoxybenzylideneamino)guanidine : 104 N-(4-Chloro-2-methoxy-5-nitrobenzylideneamino)guanidine : 105 N-(3 ,6-Dichloro-2-nitrobenzylideneamino)guanidine : 106 N-(2-Hydroxy-4-methyl-5-nitrobenzylideneamino)guanidine : 107 N-(2-Bromo-5-chloro-3-nitrobenzylideneamino)guanidine : 108 N-(3-Hydroxy-4-methyl-2-nitrobenzylideneamino)guanidine : 109 N-(5-Bromo-4-methyl-2-nitrobenzylideneamino)guanidine :110 N-(5-Bromo-2-hydroxy-3-nitrobenzylideneamino)guanidine : 111 N-(5-Bromo-2-methoxy-3-nitrobenzylideneamino)guanidine :112 N-(2,4-Dimethoxy-5-nitrobenzylideneamino)guanidine : 113 N-(4-Bromo-2-fluoro-5-nitrobenzylideneamino)guanidine :114 N-(2-Bromo-3 ,4,5-trimethoxybenzylideneamino)guanidine : 115 N-(3-Hydroxybenzylideneamino)guanidine :116 N-(4-Iodobenzy 1 ideneamino)guanidine 1:117 N-(2-Methyl-3-fluoro-6-nitrobenzylideneamino)guanidine
1:118 N-(2-Chloro-3-hydroxy-4-nitrobenzylideneamino)guanidine
1: 119 N-(2 , 3 -Dichloro-4-nitrobenzy lideneamino)guanidine
1 :120 N-(2-Nitro-3-trifluoromethyl-5-ethoxybenzylideneamino)guanidine
1 :121 N-(2-Bromobenzylideneamino)guanidine
1:122 N-(2-Bromo-5-hydroxybenzylideneamino)guanidine
1:123 N-(3-chloro-2-fluoro-4-nitrobenzylideneamino)guanidine
1:124 N-(2-ethoxy-4-ethyl-3-iodobenzylideneamino)guanidine
1:125 N-(3-chloro-4-methyl-2-trifluoromethylbenzylideneamino)guanidine 1 1 :: 112266 N-(4-bromo-3-iodo-2-i-propylbenzylideneamino)guanidine
1:127 N-(4-bromo-3-ethoxy-2-hydroxybenzylideneamino)guanidine
1:128 N-(2,4-dicyano-3-methoxybenzylideneamino)guanidine
1:129 N-(3-ethoxy-2-i-propyl-4-methylbenzylideneamino)guanidine
1:130 N-(3-carbamoyl-2-chloro-4-trifluoromethylbenzylideneamino)guanidine 1 1 ::113311 N-(2-methy 1-3 -nitron -propylbenzylideneamino)guanidine
1 : 132 N-(2 , 3 -dinitro-4-i-propoxy benzylideneamino)guanidine
1:133 N-(3-cyano-4-fluoro-2-i-propylbenzylideneamino)guanidine
1:134 N-(2-bromo-3-ethyl-4-methoxybenzylideneamino)guanidine
1:135 N-(4-chloro-2-ethoxy-3-i-propylbenzylideneamino)guanidine 1 1::113366 N-(2 ,4-dicarbamoyl-3-ethylbenzylideneamino)guanidine
1 :137 N-(2-ethyl-3-i-propyl-4-methylbenzylideneamino)guanidine
or a pharmacologically acceptable salt thereof.
32. A compound as claimed in any one of claims 18 to 31 or one of the following compounds:
1:18 N-(benzylideneamino)guanidine
1 : 19 N-(3,4,5-trimethoxybenzylideneamino)guanidine 1 :55 N-(3-nitrobenzylideneamino)guanidine
1 :68 N-(4-phenylbenzylideneamino)guanidine
1 : 84 N-(3-bromo-4-methoxybenzylideneamino)guanidine
1 :89 N-(4-chloro-3-nitrobenzylideneamino)guanidine for use as a medicament.
33. A prodrug from which a compound as defined in any one of claims 1 to 16 is formed in vivo.
34. A pharmaceutical composition comprising a compound as claimed in any one of claims 18 to 32 or a prodrug as claimed in claim 33, together with one or more adjuvants, carriers or excipients.
35. A process for the preparation of a compound as claimed in claim 18, comprising reacting a compound of formula (II) with an aminoguanidine of formula (III)
Figure imgf000056_0001
(II) (III)
wherein Rl, R2, R3, R4 and R5 are as defined in claim 18.
36. Use of a compound as defined in any one of claims 1 to 16 or 33 in the production of a medicament for blocking xanthine oxidase/dehydrogenase.
37. Use of a compound as defined in any one of claims 1 to 16 or 33 in the production of a medicament for treating a condition in which xanthine oxidase/dehydrogenase is involved.
38. Use of a compound as defined in any one of claims 1 to 16 or 33 in the production of a medicament for treating an ischemic condition.
39. Use of a compound as defined in any one of claims 1 to 16 or 33 in the production of a medicament for the treatment of inflammation.
40. Use of a compound as defined in any one of claims 1 to 16 or 33 in the production of a medicament for the treatment of pre-term children.
41. Use of a compound as defined in any one of claims 1 to 16 or 33 in the production of a medicament for the treatment of a condition associated with the generation of oxyradicals.
42. Use of a compound as defined in any one of claims 1 to 16 or 33 in the production of a medicament for the treatment of a drug-induced disorder of the blood or lymphoid system.
43. Use of a compound as defined in any one of claims 1 to 16 or 33 in the production of a medicament for the treatment of an individual with an increased amount of xanthine oxidase in their blood.
44. Use of a compound as defined in any one of claims 1 to 16 or 33 in the production of a medicament for the treatment of an individual at risk of heart infarction or cerebro vascular disease.
45. Use of a compound as claimed in any one of claims 1 to 17 wherein the medicament is administered to the donor of the cell, tissue or organ to be transplanted.
46. Use of a compound as claimed in any one of claims 1 to 17 wherein the medicament is administered to the recipient of the transplanted cell, tissue or organ.
47. Use of a compound as claimed in any one of claims 1 to 17 wherein the medicament is administered to the transplanted cell, tissue or organ during transport between donor and recipient.
48. A method of blocking xanthine oxidase/dehydrogenase in vivo or ex vivo comprising the use or administration of a compound as defined in any one of claims 1 to
16 or 33.
49. A method of treating a condition in which xanthine oxidase/dehydrogenase is involved comprising the use or administration of a compound as defined in any one of claims 1 to 16 or 33.
50. A method of treating an ischemic condition comprising the use or administration of a compound as defined in any one of claims 1 to 16 or 33.
51. A method of treating inflammation comprising the use or administration of a compound as defined in any one of claims 1 to 16 or 33.
52. A method of treating pre-term children comprising the use or administration of a compound as defined in any one of claims 1 to 16 or 33.
53. A method of treating a condition associated with the generation of oxyradicals comprising the use or administration of a compound as defined in any one of claims 1 to 16 or 33.
54. A method of treating a drag-induced disorder of the blood or lymphoid system comprising the use or administration of a compound as defined in any one of claims 1 to 16 or 33.
55. A method of treating an individual with an increased amount of xanthine oxidase in their blood comprising the use or administration of a compound as defined in any one of claims 1 to 16 or 33.
56. A method of treating an individual at risk of heart infarction or cerebrovascular disease comprising the use or administration of a compound as defined in any one of claims 1 to 16 or 33.
57. A method for enhancing the survival of a transplanted cell, tissue or organ comprising the use or administration of a compound as defined in any one of claims 1 to
16 or 33.
58. A method as claimed in claim 57 wherein the compound is administered to the donor of the cell, tissue or organ to be transplanted.
59. A method as claimed in claim 57 wherein the compound is administered to the recipient of the transplanted cell, tissue or organ.
60. A method as claimed in claim 57 wherein the compound is administered to the transplanted cell, tissue or organ during transport between donor and recipient.
61. A method for enhancing the survival of a transplanted cell, tissue or organ comprising the use or administration of a compound as defined in claim 16.
62. A method as claimed in any one of claims 57 to 61 wherein the organ is a heart, lung, kidney or liver.
PCT/GB2000/0038671999-10-062000-10-06Guanidine derivatives and their use in the production of a medicament for blocking xanthine oxidase/dehydrogenaseWO2001025192A1 (en)

Priority Applications (1)

Application NumberPriority DateFiling DateTitle
AU78027/00AAU7802700A (en)1999-10-062000-10-06Guanidine derivatives and their use in the production of a medicament for blocking xanthine oxidase/dehydrogenase

Applications Claiming Priority (4)

Application NumberPriority DateFiling DateTitle
GBGB9923629.1AGB9923629D0 (en)1999-10-061999-10-06Novel guanidines and the use of guanidines
GBGB9923630.9AGB9923630D0 (en)1999-10-061999-10-06Novel guanidines and the use of guanidines
GB9923629.11999-10-06
GB9923630.91999-10-06

Publications (1)

Publication NumberPublication Date
WO2001025192A1true WO2001025192A1 (en)2001-04-12

Family

ID=26315982

Family Applications (1)

Application NumberTitlePriority DateFiling Date
PCT/GB2000/003867WO2001025192A1 (en)1999-10-062000-10-06Guanidine derivatives and their use in the production of a medicament for blocking xanthine oxidase/dehydrogenase

Country Status (2)

CountryLink
AU (1)AU7802700A (en)
WO (1)WO2001025192A1 (en)

Cited By (33)

* Cited by examiner, † Cited by third party
Publication numberPriority datePublication dateAssigneeTitle
WO2002080896A1 (en)*2001-04-052002-10-17Melacure Therapeutics AbUses of benzylideneamino guanidines as ligands to the melanocortiin receptors
WO2002000613A3 (en)*2000-06-272002-11-07Axxima Pharmaceuticals AgInhibitors of hepatitis b virus infection
WO2002011715A3 (en)*2000-08-072003-01-16Melacure Therapeutics AbThe use of benzylideneaminoguanidines and hydroxyguanidines as melanocortin receptor ligands
WO2003013509A1 (en)*2001-08-062003-02-20Melacure Therapeutics AbN-phenylpyrrole guanidine derivatives as melanocortin reception ligands
WO2005027887A3 (en)*2003-09-172005-06-23Cardimone Pharma CorpMethods and compositions for improving endothelial function
WO2005116640A3 (en)*2004-05-242006-03-09Univ Muenchen L MaximiliansIdentification of anti-prion drugs by high-throughput screening based on sift
US7153881B2 (en)2000-08-072006-12-26Acure Pharma AbCompounds acting as melanocortin receptor ligands
WO2008071980A1 (en)2006-12-142008-06-19Acure Pharma AbNovel aminoguanidines as melanocortin receptor ligands.
EP2088154A1 (en)2004-03-092009-08-12Ironwood Pharmaceuticals, Inc.Methods and compositions for the treatment of gastrointestinal disorders
EP2046122A4 (en)*2006-07-242009-12-23Univ Maryland HEMOXYGENASE INHIBITORS AND METHOD FOR THEIR THERAPEUTIC APPLICATION
WO2010047982A1 (en)2008-10-222010-04-29Merck Sharp & Dohme Corp.Novel cyclic benzimidazole derivatives useful anti-diabetic agents
WO2010051206A1 (en)2008-10-312010-05-06Merck Sharp & Dohme Corp.Novel cyclic benzimidazole derivatives useful anti-diabetic agents
WO2011012868A1 (en)*2009-07-312011-02-03Anamar AbCompounds for treatment of inflammation
WO2011069038A2 (en)2009-12-032011-06-09Synergy Pharmaceuticals, Inc.Agonists of guanylate cyclase useful for the treatment of hypercholesterolemia, atherosclerosis, coronary heart disease, gallstone, obesity and other cardiovascular diseases
WO2011106273A1 (en)2010-02-252011-09-01Merck Sharp & Dohme Corp.Novel cyclic benzimidazole derivatives useful anti-diabetic agents
WO2012116145A1 (en)2011-02-252012-08-30Merck Sharp & Dohme Corp.Novel cyclic azabenzimidazole derivatives useful as anti-diabetic agents
WO2013138352A1 (en)2012-03-152013-09-19Synergy Pharmaceuticals Inc.Formulations of guanylate cyclase c agonists and methods of use
WO2014022528A1 (en)2012-08-022014-02-06Merck Sharp & Dohme Corp.Antidiabetic tricyclic compounds
WO2014151206A1 (en)2013-03-152014-09-25Synergy Pharmaceuticals Inc.Agonists of guanylate cyclase and their uses
WO2014151200A2 (en)2013-03-152014-09-25Synergy Pharmaceuticals Inc.Compositions useful for the treatment of gastrointestinal disorders
EP2810951A2 (en)2008-06-042014-12-10Synergy Pharmaceuticals Inc.Agonists of guanylate cyclase useful for the treatment of gastrointestinal disorders, inflammation, cancer and other disorders
WO2014197720A2 (en)2013-06-052014-12-11Synergy Pharmaceuticals, Inc.Ultra-pure agonists of guanylate cyclase c, method of making and using same
WO2016001389A1 (en)*2014-07-022016-01-07Inflectis BioscienceNovel therapeutic uses of benzylideneguanidine derivatives for the treatment of proteopathies
EP2998314A1 (en)2007-06-042016-03-23Synergy Pharmaceuticals Inc.Agonists of guanylate cyclase useful for the treatment of gastrointestinal disorders, inflammation, cancer and other disorders
EP3241839A1 (en)2008-07-162017-11-08Synergy Pharmaceuticals Inc.Agonists of guanylate cyclase useful for the treatment of gastrointestinal, inflammation, cancer and other disorders
CN107709291A (en)*2015-04-082018-02-16医疗研究局Inhibitors and uses thereof
WO2018106518A1 (en)2016-12-062018-06-14Merck Sharp & Dohme Corp.Antidiabetic heterocyclic compounds
WO2018118670A1 (en)2016-12-202018-06-28Merck Sharp & Dohme Corp.Antidiabetic spirochroman compounds
US10100020B2 (en)2013-01-102018-10-16United Kingdom Research And InnovationBenzylideneguanidine derivatives and therapeutic use for the treatment of protein misfolding diseases
US20210161836A1 (en)*2013-03-052021-06-03The University Of ChicagoTreatment of demyelinating disorders
CN113072467A (en)*2021-03-242021-07-06南方医科大学Substituted guanidino-containing derivative and application thereof in preparing osteoclast differentiation inhibitor
JP2021529729A (en)*2018-05-092021-11-04アンスティチュ ナショナル ドゥ ラ サンテ エ ドゥ ラ ルシェルシュ メディカル Use of guanabenz or its derivatives for treating type I IFN-dependent pathologies
WO2024189592A1 (en)*2023-03-162024-09-19Kyoto Prefectural Public University CorporationSephin1 and related compounds for the treatment of diseases and disorders amenable to treatment by ampk activation and/or chop inhibition

Citations (8)

* Cited by examiner, † Cited by third party
Publication numberPriority datePublication dateAssigneeTitle
US2584784A (en)*1949-05-211952-02-05Du PontSalts of 1-salicylalaminoguanidine
DE1165013B (en)*1960-08-091964-03-12Vismara Francesco Spa Process for the preparation of guanylhydrazones
GB1223491A (en)*1967-10-131971-02-24American Home ProdGuanidines
US3896232A (en)*1973-01-111975-07-22Sandoz AgSubstituted benzylidene hydrazines as anti-migraine syndrome agents
US3941825A (en)*1973-07-271976-03-02American Cyanamid CompanySubstituted aminobenzylideneamino guanidine compounds
US3982020A (en)*1970-03-171976-09-21Sandoz, Inc.Substituted benzylidene hydrazines for treating hyperglycemia, obesity and inflammation
US4060640A (en)*1970-04-291977-11-29Shell Oil CompanyTherapeutic agents
WO1998023267A1 (en)*1996-11-261998-06-04Wapharm AbUse of hydroxyguanidines

Patent Citations (8)

* Cited by examiner, † Cited by third party
Publication numberPriority datePublication dateAssigneeTitle
US2584784A (en)*1949-05-211952-02-05Du PontSalts of 1-salicylalaminoguanidine
DE1165013B (en)*1960-08-091964-03-12Vismara Francesco Spa Process for the preparation of guanylhydrazones
GB1223491A (en)*1967-10-131971-02-24American Home ProdGuanidines
US3982020A (en)*1970-03-171976-09-21Sandoz, Inc.Substituted benzylidene hydrazines for treating hyperglycemia, obesity and inflammation
US4060640A (en)*1970-04-291977-11-29Shell Oil CompanyTherapeutic agents
US3896232A (en)*1973-01-111975-07-22Sandoz AgSubstituted benzylidene hydrazines as anti-migraine syndrome agents
US3941825A (en)*1973-07-271976-03-02American Cyanamid CompanySubstituted aminobenzylideneamino guanidine compounds
WO1998023267A1 (en)*1996-11-261998-06-04Wapharm AbUse of hydroxyguanidines

Non-Patent Citations (4)

* Cited by examiner, † Cited by third party
Title
F. L. SCOTT ET AL.: "Polynitrogen Systems from Hydrazinocarbonic Acids. I. Diformazans", JOURNAL OF THE AMERICAN CHEMICAL SOCIETY., vol. 75, 5 November 1953 (1953-11-05), AMERICAN CHEMICAL SOCIETY, WASHINGTON, DC., US, pages 5309 - 5312, XP002155878, ISSN: 0002-7863*
JR DIMMOCK ET AL.: "Evaluation of the Thiosemicarbazones of some Aryl Alkyl Ketones and Related Compounds for Anticonvulsant Activities", EUROPEAN JOURNAL OF MEDICINAL CHEMISTRY.CHIMICA THERAPEUTICA., vol. 26, 1991, EDITIONS SCIENTIFIQUE ELSEVIER, PARIS., FR, pages 529 - 534, XP002155880, ISSN: 0223-5234*
VERA A. CONRAD ET AL.: "Aminoguanidine Derivatives", JOURNAL OF THE AMERICAN CHEMICAL SOCIETY., vol. 55, no. 7, July 1933 (1933-07-01), AMERICAN CHEMICAL SOCIETY, WASHINGTON, DC., US, pages 2867 - 2870, XP002155879, ISSN: 0002-7863*
WOLFGANG HOLZER ET AL.: "On the Structure of Guanylhydrazones Derived from Aromatic Aldehydes", MONATSHEFTE FUR CHEMIE., vol. 123, 1992, SPRINGER VERLAG. WIEN., AT, pages 1163 - 1173, XP002155881, ISSN: 0026-9247*

Cited By (66)

* Cited by examiner, † Cited by third party
Publication numberPriority datePublication dateAssigneeTitle
WO2002000613A3 (en)*2000-06-272002-11-07Axxima Pharmaceuticals AgInhibitors of hepatitis b virus infection
WO2002011715A3 (en)*2000-08-072003-01-16Melacure Therapeutics AbThe use of benzylideneaminoguanidines and hydroxyguanidines as melanocortin receptor ligands
US8148429B2 (en)2000-08-072012-04-03Anamar AbUse of benzylideneaminoguanidines and hydroxyguanidines as melanocortin receptor ligands
US9227927B2 (en)2000-08-072016-01-05Anamar AbMethod of treating inflammation
US8309609B2 (en)2000-08-072012-11-13Anamar AbUse of benzylideneaminoguanidines and hydroxyguanidines as melanocortin receptor ligands
US7153881B2 (en)2000-08-072006-12-26Acure Pharma AbCompounds acting as melanocortin receptor ligands
US8410174B2 (en)2000-08-072013-04-02Anamar AbMethod for treating arthritis
WO2002080896A1 (en)*2001-04-052002-10-17Melacure Therapeutics AbUses of benzylideneamino guanidines as ligands to the melanocortiin receptors
WO2002081430A3 (en)*2001-04-052003-08-14Melacure Therapeutics AbNovel benzylideneamino guanidines and their uses as ligands to the melanocortin receptors
WO2003013509A1 (en)*2001-08-062003-02-20Melacure Therapeutics AbN-phenylpyrrole guanidine derivatives as melanocortin reception ligands
US7442807B2 (en)2001-08-062008-10-28Action Pharma A/SN-phenylpyrrole guanidine derivatives as melanocortin receptor ligands
US7186748B2 (en)2001-08-062007-03-06Action Pharma A/SN-phenylpyrrole guanidine derivatives as melanocortin receptor ligands
WO2005027887A3 (en)*2003-09-172005-06-23Cardimone Pharma CorpMethods and compositions for improving endothelial function
EP2088154A1 (en)2004-03-092009-08-12Ironwood Pharmaceuticals, Inc.Methods and compositions for the treatment of gastrointestinal disorders
WO2005116640A3 (en)*2004-05-242006-03-09Univ Muenchen L MaximiliansIdentification of anti-prion drugs by high-throughput screening based on sift
EP2046122A4 (en)*2006-07-242009-12-23Univ Maryland HEMOXYGENASE INHIBITORS AND METHOD FOR THEIR THERAPEUTIC APPLICATION
US8372878B2 (en)2006-12-142013-02-12Anamar AbAminoguanidines as melanocortin receptor ligands
WO2008071980A1 (en)2006-12-142008-06-19Acure Pharma AbNovel aminoguanidines as melanocortin receptor ligands.
EP2998314A1 (en)2007-06-042016-03-23Synergy Pharmaceuticals Inc.Agonists of guanylate cyclase useful for the treatment of gastrointestinal disorders, inflammation, cancer and other disorders
EP2810951A2 (en)2008-06-042014-12-10Synergy Pharmaceuticals Inc.Agonists of guanylate cyclase useful for the treatment of gastrointestinal disorders, inflammation, cancer and other disorders
EP3241839A1 (en)2008-07-162017-11-08Synergy Pharmaceuticals Inc.Agonists of guanylate cyclase useful for the treatment of gastrointestinal, inflammation, cancer and other disorders
WO2010047982A1 (en)2008-10-222010-04-29Merck Sharp & Dohme Corp.Novel cyclic benzimidazole derivatives useful anti-diabetic agents
WO2010051206A1 (en)2008-10-312010-05-06Merck Sharp & Dohme Corp.Novel cyclic benzimidazole derivatives useful anti-diabetic agents
GB2473095A (en)*2009-07-312011-03-02Anamar Ab5-HT2B receptor antagonists for the treatment of inflammation or pain
WO2011012868A1 (en)*2009-07-312011-02-03Anamar AbCompounds for treatment of inflammation
JP2013500957A (en)*2009-07-312013-01-10アナマル エービー Inflammation treatment compound
EP2923706A1 (en)2009-12-032015-09-30Synergy Pharmaceuticals Inc.Agonists of guanylate cyclase useful for the treatment of hypercholesterolemia
WO2011069038A2 (en)2009-12-032011-06-09Synergy Pharmaceuticals, Inc.Agonists of guanylate cyclase useful for the treatment of hypercholesterolemia, atherosclerosis, coronary heart disease, gallstone, obesity and other cardiovascular diseases
WO2011106273A1 (en)2010-02-252011-09-01Merck Sharp & Dohme Corp.Novel cyclic benzimidazole derivatives useful anti-diabetic agents
EP3243385A1 (en)2011-02-252017-11-15Merck Sharp & Dohme Corp.Novel cyclic azabenzimidazole derivatives useful as anti-diabetic agents
WO2012116145A1 (en)2011-02-252012-08-30Merck Sharp & Dohme Corp.Novel cyclic azabenzimidazole derivatives useful as anti-diabetic agents
EP3708179A1 (en)2012-03-152020-09-16Bausch Health Ireland LimitedFormulations of guanylate cyclase c agonists and methods of use
WO2013138352A1 (en)2012-03-152013-09-19Synergy Pharmaceuticals Inc.Formulations of guanylate cyclase c agonists and methods of use
WO2014022528A1 (en)2012-08-022014-02-06Merck Sharp & Dohme Corp.Antidiabetic tricyclic compounds
US10526297B2 (en)2013-01-102020-01-07Inflectis BioscienceBenzylideneguanidine derivatives and therapeutic use for the treatment of protein misfolding diseases
US10100020B2 (en)2013-01-102018-10-16United Kingdom Research And InnovationBenzylideneguanidine derivatives and therapeutic use for the treatment of protein misfolding diseases
US10954198B2 (en)2013-01-102021-03-23United Kingdom Research And InnovationBenzylideneguanidine derivatives and therapeutic use for the treatment of protein misfolding diseases
US12310933B2 (en)*2013-03-052025-05-27The University Of ChicagoTreatment of demyelinating disorders
US20210161836A1 (en)*2013-03-052021-06-03The University Of ChicagoTreatment of demyelinating disorders
WO2014151206A1 (en)2013-03-152014-09-25Synergy Pharmaceuticals Inc.Agonists of guanylate cyclase and their uses
WO2014151200A2 (en)2013-03-152014-09-25Synergy Pharmaceuticals Inc.Compositions useful for the treatment of gastrointestinal disorders
WO2014197720A2 (en)2013-06-052014-12-11Synergy Pharmaceuticals, Inc.Ultra-pure agonists of guanylate cyclase c, method of making and using same
JP2017521494A (en)*2014-07-022017-08-03インフレクティス・バイオサイエンス A novel therapeutic use of benzylideneguanidine derivatives for the treatment of proteopathy
KR20170016873A (en)*2014-07-022017-02-14인플렉티스 바이오사이언스Novel therapeutic uses of benzylideneguanidine derivatives for the treatment of proteopathies
WO2016001389A1 (en)*2014-07-022016-01-07Inflectis BioscienceNovel therapeutic uses of benzylideneguanidine derivatives for the treatment of proteopathies
KR102387615B1 (en)*2014-07-022022-04-18인플렉티스 바이오사이언스Novel therapeutic uses of benzylideneguanidine derivatives for the treatment of proteopathies
RU2712452C2 (en)*2014-07-022020-01-29Инфлектис БайосайенсNew therapeutic use of benzylideneguanidine derivatives for treating proteopathies
JP2020037578A (en)*2014-07-022020-03-12インフレクティス・バイオサイエンスNovel therapeutic use of benzylidene guanidine derivatives for treating proteopathy
AU2015282900B2 (en)*2014-07-022020-06-18Inflectis BioscienceNovel therapeutic uses of benzylideneguanidine derivatives for the treatment of proteopathies
US10709677B2 (en)2014-07-022020-07-14Inflectis BioscienceTherapeutic uses of benzylideneguanidine derivatives for the treatment of proteopathies
JP6994939B2 (en)2014-07-022022-02-04インフレクティス・バイオサイエンス New Therapeutic Use of Benzylidene Guanidine Derivatives for the Treatment of Proteinopathy
EP3721877A1 (en)*2014-07-022020-10-14InFlectis BioScienceNovel therapeutic uses of benzylideneguanidine derivatives for the treatment of proteopathies
CN107074752A (en)*2014-07-022017-08-18英费列特斯生命科学公司 Novel therapeutic use of benzylidene guanidine derivatives in the treatment of protein conformational disorders
CN107074752B (en)*2014-07-022021-10-26英费列特斯生命科学公司Therapeutic use of benzylidene guanidine derivatives for the treatment of protein conformation disorders
JP2018517402A (en)*2015-04-082018-07-05メディカル リサーチ カウンシルMedical Research Council Methods for selecting phosphatase selective and non-selective phosphatase inhibitors
US11154519B2 (en)2015-04-082021-10-26United Kingdom Research And InnovationInhibitors and their uses
CN107709291A (en)*2015-04-082018-02-16医疗研究局Inhibitors and uses thereof
US11331286B2 (en)2015-04-082022-05-17United Kingdom Research And InnovationInhibitors and their uses
US11337941B2 (en)2015-04-082022-05-24United Kingdom Research And InnovationInhibitors and their uses
US11364211B2 (en)2015-04-082022-06-21United Kingdom Research And InnovationMethods for selecting phosphatase selective and non-selective phosphatase inhibitors
WO2018106518A1 (en)2016-12-062018-06-14Merck Sharp & Dohme Corp.Antidiabetic heterocyclic compounds
WO2018118670A1 (en)2016-12-202018-06-28Merck Sharp & Dohme Corp.Antidiabetic spirochroman compounds
JP2021529729A (en)*2018-05-092021-11-04アンスティチュ ナショナル ドゥ ラ サンテ エ ドゥ ラ ルシェルシュ メディカル Use of guanabenz or its derivatives for treating type I IFN-dependent pathologies
CN113072467A (en)*2021-03-242021-07-06南方医科大学Substituted guanidino-containing derivative and application thereof in preparing osteoclast differentiation inhibitor
CN113072467B (en)*2021-03-242022-04-12南方医科大学 Substituted guanidine group-containing derivative and its application in the preparation of osteoclast differentiation inhibitor
WO2024189592A1 (en)*2023-03-162024-09-19Kyoto Prefectural Public University CorporationSephin1 and related compounds for the treatment of diseases and disorders amenable to treatment by ampk activation and/or chop inhibition

Also Published As

Publication numberPublication date
AU7802700A (en)2001-05-10

Similar Documents

PublicationPublication DateTitle
WO2001025192A1 (en)Guanidine derivatives and their use in the production of a medicament for blocking xanthine oxidase/dehydrogenase
US5583131A (en)Aromatic-linked polyamine macrocyclic compounds with anti-HIV activity
KR100275603B1 (en)Amino-substituted benzoylguanidines with antiarrhythmic properties
RU2180658C2 (en)Sulfoneimideamides, pharmaceutical composition and method of its preparing
HK1243409A1 (en)Crystalline forms of a prolyl hydroxylase inhibitor
US6599943B1 (en)Use of hydroxyguanidines
JP4425921B2 (en) Nitrogen oxide releasing prodrug of diaryl 2- (5H) -furanone acting as cyclooxygenase-2 inhibitor
JP2829440B2 (en) O-6-alkylguanine-DNA alkyltransferase reducing O-6-benzylated guanine, guanosine and 2&#39;-deoxyguanosine compounds
JP3194964B2 (en) Organ or tissue protectant
EP0537267A1 (en)Autobiotics and their use in eliminating nonself cells in vivo.
SK5796A3 (en)Use of indenoindole compounds
WO1999012539A1 (en)The use of an nadph-oxidase inhibitor in the treatment of reperfusion injury
US5238837A (en)Superoxide dismutase derivatives
JPH08511036A (en) Use of 2-mercaptoimidazole derivative substituted at 4-position (or 5-position) as antioxidant, preparation method and application to pharmaceutical, cosmetic or food industry
KR20070095900A (en) Use of ribose-cysteine to treat hypoxia through enhanced delivery of intracellular glutathione and ATP
RU2176638C2 (en)Substituted indanylidine acetyl guanidines, method of preparing thereof, use of medicinal or diagnostic agents and medical agents comprising said compounds
FR2493702A1 (en) ANTIVIRAL COMPOSITIONS CONTAINING AMINOSULFONYLHALOGENOBENZOIC ACID DERIVATIVES
KR960004827B1 (en) Heteroarylcarboxyamide derivatives, preparation method thereof and pharmaceutical composition containing the same
EP2917204A1 (en)1 h-indole-3-carboxamide derivatives and use thereof as p2y12 antagonists
EP0128374B1 (en)Preventive and healing composition for diseases due to lipoxygenase metabolic products
US5001141A (en)N-(2-(2-oxo-1-imidazolidinyl)ethyl)-3-phenyl-urea and analogs as agents for induction of antioxidant enzymes
US6004966A (en)Use of xanthine oxidase inhibitors as anti-ischaemic agents
JP2008501702A (en) Factor VIIa inhibitor
US5475028A (en)2-aminoethanesulfonic acid zinc complex
JPS62167744A (en)Fluorinated diaminoalkine derivative

Legal Events

DateCodeTitleDescription
AKDesignated states

Kind code of ref document:A1

Designated state(s):AE AG AL AM AT AT AU AZ BA BB BG BR BY BZ CA CH CN CR CU CZ CZ DE DE DK DK DM DZ EE EE ES FI FI GB GD GE GH GM HR HU ID IL IN IS JP KE KG KP KR KR KZ LC LK LR LS LT LU LV MA MD MG MK MN MW MX MZ NO NZ PL PT RO RU SD SE SG SI SK SK SL TJ TM TR TT TZ UA UG US UZ VN YU ZA ZW

ALDesignated countries for regional patents

Kind code of ref document:A1

Designated state(s):GH GM KE LS MW MZ SD SL SZ TZ UG ZW AM AZ BY KG KZ MD RU TJ TM AT BE CH CY DE DK ES FI FR GB GR IE IT LU MC NL PT SE BF BJ CF CG CI CM GA GN GW ML MR NE SN TD TG

121Ep: the epo has been informed by wipo that ep was designated in this application
DFPERequest for preliminary examination filed prior to expiration of 19th month from priority date (pct application filed before 20040101)
REGReference to national code

Ref country code:DE

Ref legal event code:8642

122Ep: pct application non-entry in european phase
NENPNon-entry into the national phase

Ref country code:JP


[8]ページ先頭

©2009-2025 Movatter.jp