CURRENCY HANDLING SYSTEM EMPLOYING
AN INFRARED AUTHENTICATING SYSTEM
FIELD OF THE INVENTION
The present invention relates generally to currency handling systems such as those capable of distinguishing or discriminating between currency bills of different denominations and/or authenticating currency bills, more particularly, to such systems that employ infrared sensing systems
BACKGROUND OF THE INVENTION Systems that are currently available for simultaneous scanning and counting of documents such as paper currency are relatively complex and costly, and relatively large in size The complexity of such systems can also lead to excessive service and maintenance requirements These drawbacks have inhibited more widespread use of such systems, particularly in banks and other financial institutions where space is limited in areas where the systems are most needed, such as teller areas The above drawbacks are particularly difficult to overcome in systems which offer much-needed features such as the ability to authenticate the genuineness and/or determine the denomination of the bills
Therefore, there is a need for a small, compact system that can denominate bills of different denominations of bills Likewise there is such a need for a system that can discriminate the denominations of bills from more than more country Likewise there is a need for such a small compact system that can readily be made to process the bills from a set of countries and yet has the flexibility so it can also be readily made to process the bills from a different set of one or more countries Likewise, there is a need for a currency handling system that can satisfy these needs while at the same time being relatively inexpensive. Counterfeit currency poses a problem for governments and private citizens. For example, a bank or retailer that discovers it has accepted counterfeit currency occurs a loss for the amount of counterfeit currency it has accepted Accordingly, there is a need for a device that can detect counterfeit currency Furthermore, for institutions which process large quantities of currency, the need for a device that can automatically detect counterfeit currency is particularly great because the likelihood that such institutions may encounter and inadvertently accept counterfeit currency increases with the volume of currency processed. Furthermore, when large quantities of bills must be processed, the n time which can be devoted to examine individual bills generally decreases While some automatic counterfeit detection systems of been developed, the speed at which these systems can operate is limited Likewise, some counterfeit bills can not be detected using current counterfeit detection systems Accordingly, there is a need for a device which can automatically detect counterfeit currency In particular there is a need for a device that can automatically detect counterfeit Mexican 50 peso currency Likewise, there is a need for such a device that can operate at a high rate of speed such as on the order of 800 to 1500 bills per minute SUMMARY OF THE INVENTION
A document handling system is configured for detecting counterfeit bills using infrared light The document handling system comprises an infrared light source, a sensor that is adapted to produce an output signal in response to infrared light illumination of a document, and a processor that is programmed to receive the signal and to authenticate the document based thereon
The above summary of the present invention is not intended to represent each embodiment, or every aspect, of the present invention Additional features and benefits of the present invention will become apparent from the detailed description, figures, and claims set forth below BRIEF DESCRIPTION OF THE DRAWINGS
FIG 1 is a functional block diagram of a currency handling system embodying the present invention,
FIG 2a is a perspective view of a single pocket currency handling system according to one embodiment of the present invention, FIG 2b is a sectional side view of the single pocket currency handling system of
FIG 2a depicting various transport rolls in side elevation,
FIG 2c is a top plan view of the interior mechanism of the system of FIG 2a for transporting bills across a scanhead, and also showing the stacking wheels at the front of the system, FIG. 2d is a sectional top view of the interior mechanism of the system of FIG 2a for transporting bills across a scanhead, and also showing the stacking wheels at the front of the system, FIG 3a is a perspective view of a two-pocket currency handling system according to one embodiment of the present invention,
FIG 3b is a sectional side view of the two-pocket currency handling system of FIG 3 a depicting various transport rolls in side elevation, FIG 4a is an enlarged sectional side view depicting the scanning region according to one embodiment of the present invention,
FIG 4b is a sectional side view depicting the scanheads according to one embodiment of the present invention,
FIG 4c is a front view depicting the scanheads of FIG 5b according to one embodiment of the present invention,
FIG 5 is a functional block diagram of a standard optical scanhead,
FIG 6 is a functional block diagram of a full color scanhead,
FIG 7a is a perspective view of a U S currency bill and an area to be optically scanned on the bill, FIG 7b is a diagrammatic perspective illustration of the successive areas scanned during the traversing movement of a single bill across an optical scanhead according to one embodiment of the present invention,
FIG 7c is a diagrammatic side elevation view of the scan area to be optically scanned on a bill according to one embodiment of the present invention, FIG 7d is a top plan view of a bill indicating a plurality areas to be optically scanned on the bill,
FIG 8a is a perspective view of a bill and a plurality areas to be color scanned on the bill,
FIG 8b is a diagrammatic perspective illustration of the successive areas scanned during the traversing movement of a single bill across a color scanhead according to one embodiment of the present invention,
FIG 8c is a diagrammatic side elevation view of the scan area to be color scanned on a bill according to one embodiment of the present invention,
FIG 9 is a timing diagram illustrating the operation of the sensors sampling data according to an embodiment of the present invention,
FIG 10a- lOe are graphs of color information obtained by a color scanhead,
FIG 11 is a functional block diagram of a magnetic scanhead, FIGS 12a-12d are a flow chart of how the system operates in standard bill evaluation mode,
FIG 13 is a flowchart of an authenticating technique according to one embodiment of the present invention, FIG 14 is a flowchart of an authenticating technique according to one embodiment of the present invention, and
FIG 15 is a flow chart of an authenticating technique according to another embodiment of the present invention
While the invention is susceptible to various modifications and alternative forms, specific embodiments thereof have been shown by way of example in the drawings and will herein be described in detail It should be understood, however, that it is not intended to limit the invention to the particular forms disclosed, but on the contrary, the intention is to cover all modifications, equivalents, and alternatives falling within the spirit and scope of the invention as defined by the appended claims DETAH.ED DESCRIPTION OF THE EMBODIMENTS
FIG 1 illustrates in functional block diagram form the operation of currency handling systems according to the present invention FIGS 2a-2d and 3a-3b then illustrate various physical embodiments of currency handling systems that function as discussed in connection with FIG 1 and that employ a color scanning arrangement as described in U S patent application Serial no 09/197,250 filed November 20, 1998 entitled "Color Scanhead and Currency Handling System Employing the Same," which is incorporated herein by reference in its entirety These embodiments will be described first and then the details concerning embodiments of employing infrared light and processing will be described Turning to FIG 1, a currency handling system 10 comprises an input receptacle
36 for receiving a stack of currency bills to be processed The processing may include evaluating, denominating, authenticating, and/or counting the currency bills In addition to handling currency bills, the currency handling system 10 may be designed to accept and process other documents including but not limited to stamps, stock certificates, coupons, tickets, checks and other identifiable documents
Bills placed in the input receptacle are transported one by one by a transport mechanism 38 along a transport path past one or more scanheads or sensors 42 The scanhead(s) 42 may perform magnetic, optical and other types of sensing to generate signals that correspond to characteristic information received from a bill 44 In embodiments to be described below, the scanhead(s 42 comprises a color scanhead In the embodiment shown in FIG 1 , the scanhead(s) 42 employs a substantially rectangular shaped sample region 48 to scan a segment of each passing currency bill 44 After passing the scanhead(s) 42, each of the bills 44 is transported to one or more output receptacles 34 which may include stacking mechanisms to re-stack the bills 44
According to some embodiments the scanhead(s) 42 generates analog output(s) which are amplified by an amplifier 58 and converted into a digital signal by means of an analog-to-digital converter (ADC) unit 52 whose output is fed as a digital input to a controller or processor such as a central processing unit (CPU), a processor or the like The process (such as a microprocessor) controls the overall operation of the currency handling system 10. An encoder 14 linked to the bill transport mechanism 38 provides input to the processor 54 to determine the timing of the operations of the currency handling system 10 In this manner, the CPU is able to monitor the precise location of bills as they are transported through the currency handling system
The processor 54 is also operatively coupled to a memory 56 The memory comprises one or more types of memories such as a random access memory ("RAM"), a read only memory ("ROM"), EPROM or flash memory depending on the information stored or to be stored therein The memory 56 stores software codes and/or data related to the operation of the currency handling system 10 and information for denominating and/or authenticating bills
An operator interface panel and display 32 provides an operator the capability of sending input data to, or receiving output data from, the currency handling system 10 Input data may comprise, for example, user-selected operating modes and user-defined operating parameters for the currency handling system 10 Output data may comprise, for example, a display of the operating modes and/or status of the currency handling system 10 and the number or cumulative value of evaluated bills In one embodiment, the operator interface panel 32 comprises a touch-screen "keypad" and display which may be used to provide input data and display output data related to operation of the currency handling system 10 Alternatively, the operator interface 32 may employ physical keys or buttons and a separate display or a combination of physical keys and displayed touchscreen keys
A determination of authenticity or denomination of a bill under test is based on a comparison of scanned data associated with the test bill to the corresponding master data stored in the memory 56 For example, where the currency handling system 10 comprises a denomination discriminator, a stack of bills having undetermined denominations may be processed and the denomination of each bill in the stack determined by comparing data generated from each bill to prestored master information If the data from the bill under test sufficiently matches master information associated with a particular denomination and bill-type stored in memory, a determination of denomination may be made
The master information may comprise numerical data associated with vaπous denominations of currency bills The numerical data may comprise, for example, thresholds of acceptability to be used in evaluating test bills, based on expected numerical values associated with the currency or a range of numerical values defining upper and lower limits of acceptability The thresholds may be associated with various sensitivity levels The master information may also compose pattern information associated with the currency such as, for example, optical or magnetic patterns
Turning to FIGS 2a-2d, FIG 2a is a perspective view of a currency handling system 10 having a single output receptacle 117 according to one embodiment of the present invention FIG 2b is a sectional side view of the single pocket currency handling system of FIG 2a depicting vaπous transport rolls in side elevation and FIG 2c is a top plan view of the interior mechanism of the system of FIG 2a for transporting bills across a scanhead, and also showing the stacking wheels 1 12, 1 13 at the front of the system The mechanics of this embodiment will be described briefly below For more detail, single pocket currency handling systems are described in greater detail in U S Patent No
5,687,963 entitled "Method and Apparatus for Discriminating and Counting Documents," and U S Patent No 5,295,196 entitled "Method and Apparatus for Currency Discriminating and Counting," both of which are assigned to the assignee of the present invention and incorporated herein by reference in their entirety The physical embodiment of the currency handling system described in U S Patent No 5,687,963 including the transport mechanism and its operation is similar to that depicted in FIGS 2a-2d except for the scanhead arrangement The currency handling system of FIGS 2a-2d employs a color scanhead 300 according to the present invention or in addition to one of the standard scanheads 70 described in U S Patent No 5,687,963 The currency handling system of FIGS 2a-2d is designed to transport and process bills at a rate in excess of 800 bills per minute, preferably in excess of 1200 bills per minute In the single-pocket system 10, the currency bills are fed, one by one, from a stack of currency bills placed in the input receptacle 18 into a transport mechanism, which guides the currency bills past sensors to a single output receptacle 117 The single-pocket currency handling system 10 includes a housing 100 having a rigid frame formed by a pair of side plates 101 and 102, top plate 103 a, and a lower front plate 104 The currency handling system 10 also has an operator interface 32a As shown in FIG. 2a the operator interface panel comprises a LCD display and physical keys or buttons Alternatively or additionally, the operator interface panel may comprise a touch screen such as a full graphics display
The input receptacle 36 for receiving a stack of bills to be processed is formed by downwardly sloping and converging walls 105 and 106 formed by a pair of removable covers 107 and 108 The rear wall 106 supports a removable hopper (extension) 109 which includes a pair of vertically disposed side walls 110a and 110b which complete the receptacle for the stack of currency bills to be processed
From the input receptacle, the currency bills are moved in seriatim from the bottom of the stack along a curved guideway 1 1 1 which receives bills moving downwardly and rearwardly and changes the direction of travel to a forward direction The curvature of the guideway 1 1 1 corresponds substantially to the curved periphery of a drive roll 123 so as to form a narrow passageway for the bills along the rear side of the drive roll The exit end of the guideway 111 directs the bills onto a linear path where the bills are scanned and stacked The bills are transported and stacked with the narrow dimension of the bills maintained parallel to the transport path and the direction of movement at all times
Stacking of the bills is effected at the forward end of the linear path, where the bills are fed into a pair of driven stacking wheels 112 and 113 These wheels project upwardly through a pair of openings in a stacker plate 114 to receive the bills as they are advanced across the downwardly sloping upper surface of the plate The stacker wheels 112 and 113 are supported for rotational movement about a shaft 115 journalled on the πgid frame and driven by a motor 116 The flexible blades of the stacker wheels deliver the bills into the output receptacle 117 at the forward end of the stacker plate 114 During operation a currencv bill which is delivered to the stacker plate 114 is picked up by the flexible blades and becomes lodged between a pair of adjacent blades which, in combination, define a curved enclosure which decelerates a bill entering therein and serves as a means for supporting and transferring the bill into the output receptacle 117 as the stacker wheels 1 12, 113 rotate The mechanical configuration of the stacker wheels, as well as the manner in which they cooperate with the stacker plate, is conventional and, accordingly, is not described in detail herein Returning now to the input region of the system as shown in FIGS 2a-2d and 4a- b, bills that are stacked on the bottom wall 105 of the input receptacle are stripped, one at a time, from the bottom of the stack The bills are stripped by a pair of stripping wheels 120 mounted on a dπve shaft 121 which, in turn, is supported across the side walls 101, 102 The stripping wheels 120 project through a pair of slots formed in the cover 107 Part of the periphery of each wheel 120 is provided with a raised high-friction, serrated surface 122 which engages the bottom bill of the input stack as the wheels 120 rotate, to initiate feeding movement of the bottom bill from the stack The serrated surfaces 122 project radially beyond the rest of each wheel's periphery so that the wheels "jog" the bill stack during each revolution so as to agitate and loosen the bottom currency bill within the stack, thereby facilitating the stripping of the bottom bill from the stack
The stripping wheels 120 feed each stripped bill onto a drive roll 123 mounted on a driven shaft 124 supported across the side walls 101 and 102 The drive roll 123 includes a central smooth friction surface 125 formed of a material such as rubber or hard plastic This smooth friction surface 125 is sandwiched between a pair of grooved surfaces 126 and 127 having serrated portions 128 and 129 formed from a high-fπction material This feed and dπve arrangement is described in detail in U S Patent No 5,687,963
In order to ensure firm engagement between the drive roll 123 and the currency bill being fed, an idler roll 130 urges each incoming bill against the smooth central surface 125 of the dπve roll 123 The idler roll 130 is journalled on a pair of arms which are pivotally mounted on a support shaft 132 Also mounted on the shaft 132, on opposite sides of the idler roll 130, are a pair of grooved guide wheels 133 and 134 The grooves in these two wheels 133, 134 are registered with the central ribs in the two grooved surfaces 126, 127 of the drive roll 123 The wheels 133, 134 are locked to the shaft 132, which in turn is locked against movement in the direction of the bill movement (clockwise for roll 123, counterclockwise for wheels 133, 134, as viewed in FIG 2b) by a one-way spring clutch (not shown) Each time a bill is fed into the nip between the guide wheels
133, 134 and the drive roll 123, the clutch is energized to turn the shaft 132 just a few degrees in a direction opposite the direction of bill movement These repeated incremental movements distribute the wear uniformly around the circumferences of the guide wheels 133, 134 Although the idler roll 130 and the guide wheels 133, 134 are mounted behind the guideway 111, the guideway is apertured to allow the roll 130 and the wheels 133, 134 to engage the bills on the front side of the guideway
Beneath the idler roll 130, a spring-loaded pressure roll 136 (FIG 2b) presses the bills into firm engagement with the smooth friction surface 125 of the drive roll as the bills curve downwardly along the guideway 111 This pressure roll 136 is journalled on a pair of arms 137 pivoted on a stationary shaft 138 A spring 139 attached to the lower ends of the arms 137 urges the roll 136 against the drive roll 133, through an aperture in the curved guideway 111
At the lower end of the curved guideway 111, the bill being transported by the drive roll 123 engages a flat transport or guide plate 140 Currency bills are positively driven along the flat plate 140 by means of a transport roll arrangement which includes the drive roll 123 at one end of the plate and a smaller driven roll 141 at the other end of the plate Both the driver roll 123 and the smaller roll 141 include pairs of smooth raised cylindrical surfaces 142 and 143 which hold the bill flat against the plate 140 A pair of O-rings fit into grooves 144 and 145 formed in both the roll 141 and the roll 123 to engage the bill continuously between the two rolls 123 and 141 to transport the bill while helping to hold the bill flat against the transport plate 140
The flat transport or guide plate 140 is provided with openings through which the raised surfaces 142 and 143 of both the drive roll 123 and the smaller driven roll 141 are subjected to counter-rotating contact with corresponding pairs of passive transport rolls 150 and 151 having high-friction rubber surfaces The passive rolls 150, 151 are mounted on the underside of the flat plate 140 in such a manner as to be freewheeling about their axes and biased into counter-rotating contact with the corresponding upper rolls 123 and 141 The passive rolls 150 and 151 are biased into contact with the driven rolls 123 and
141 by means of a pair of H-shaped leaf springs (not shown) Each of the four rolls 150,
151 is cradled between a pair of parallel arms of one of the H-shaped leaf springs The central portion of each leaf spring is fastened to the plate 140. which is fastened rigidly to the frame of the system, so that the relatively stiff arms of the H-shaped springs exert a constant biasing pressure against the rolls and push them against the upper rolls 123 and
141
The points of contact between the driven and passive transport rolls are preferably coplanar with the flat upper surface of the plate 140 so that currency bills can be positively driven along the top surface of the plate in a flat manner The distance between the axes of the two driven transport rolls, and the corresponding counter-rotating passive rolls, is selected to be just short of the length of the narrow dimension of the currency bills Accordingly, the bills are firmly gripped under uniform pressure between the upper and lower transport rolls within the scanhead area, thereby minimizing the possibility of bill skew and enhancing the reliability of the overall scanning and recognition process
The positive guiding arrangement described above is advantageous in that uniform guiding pressure is maintained on the bills as they are transported through the sensor or scanhead area, and twisting or skewing of the bills is substantially reduced This positive action is supplemented by the use of the H-springs for uniformly biasing the passive rollers into contact with the active rollers so that bill twisting or skew resulting from differential pressure applied to the bills along the transport path is avoided The O-rings function as simple, yet extremely effective means for ensuring that the central portions of the bills are held flat
As shown in FIG 2c, the optical encoder 32 is mounted on the shaft of the roller 141 for precisely tracking the position of each bill as it is transported through the system, as discussed in detail below in connection with the optical sensing and correlation technique The encoder 32 also allows the system to be stopped in response to an error occurring or the detection of a "no call" bill A system employing an encoder to accurately stop a scanning system is described in detail in U S Patent No 5,687,963, which is incorporated herein by reference in its entirety
The single pocket currency system 10 described above in connection with FIGS 2a-2d, is small and compact, such that it may be rested upon a tabletop or countertop According to one embodiment, the single-pocket currency handling system 10 has a small size housing 100 The small size housing 100 provides a currency handling system 10 that occupies a small area or "footprint" The footprint is the area that the system 10 occupies on the table top and is calculated by multiplying the width (Wl) and the depth (Dl) Because the housing 100 is compact, the currency handling system 10 may be readily used at any desk, work station or teller station Additionally, the small size housing 100 is light weight allowing the operator to move it between different work stations According to one embodiment the currency handling system 10 has a height (HI) of about 9 1 inches
(24 13 cm), width (Wl) of about 1 1 inches (27 94 cm), and a depth (Dl) of about 12 inches (30 48 cm) and weighs approximately 15-20 pounds In this embodiment, therefore, the currency handling system 10 has a "footprint" of about 1 1 inches by 12 inches (27 94 cm by 30 48 cm) or approximately 132 square inches (851 61 cm2) which is less than one square foot, and a volume of approximately 1254 cubic inches (20,549 4 cm3) which is less than one cubic foot Accordingly, the system is sufficiently small to fit on a typical tabletop. The system is able to accommodate various currency, including
German currency which is quite long in the X dimension (compared to U.S currency) The width of the system is therefore sufficient to accommodate a German bill which is about 7 087 inches (180 mm) long Such a system is able to accommodate Mexican currency The system can be adapted for longer currency by making the transport path wider, which can make the overall system wider
One of the contributing factors to the footprint size of the currency handling system 10 is the size of the currency bills to be handled For example, in the embodiment described above, the width is less than about twice the length of a U S currency bill and the depth is less than about 5 times the width of a U S currency bill Other embodiments of the single pocket currency handling system 10 have a height (HI) ranging from 7 inches to 12 inches, a width (Wl) ranging from 8 inches to 15 inches, and a depth (Dl) ranging from 10 inches to 15 inches and a weight ranging from about 10-30 pounds
As best seen in FIG 2b, the currency handling system 10 has a relatively short transport path between the input receptacle and the output receptacle The transport path beginning at point TB1 (where the idler roll 130 engages the drive roll 123) and ending at point TE1 (where the second driven transport roll 141 and the passive roll 151 contact) has an overall length of about AlΛ inches The distance from point TM1 (where the passive transport roll 150 engages the drive roll 123) to point TE1 (where the second driven transport roll 141 and the passive roll 151 contact) is somewhat less than 214 inches, that is, less than the width of a U S bill Thus, The distance from point TB 1
(where the idler roll 130 engages the drive roll 123) to point TM1 (where the passive transport roll 150 engages the drive roll 123) is about 2 inches
Turning to FIGS 3 a and 3b, FIG 3a is a perspective view of a two-pocket currency handling system 20 according to one embodiment of the present invention and
FIG 3 b is a sectional side view of the two-pocket currency handling system of FIG 3 a depicting various transport rolls in side elevation In other emodiments of the currency handling system, the currency handling system can have more than two pockets such as, for example, three, four, five, or six pockets Multi-pocket embodiments of the currency handling system are described in detail in commonly owned Published PCT Application Nos WO 97/45810 and WO 99/48042
As with the single pocket currency system 10 described above in connection with FIGS 2a-2d, the multi-pocket currency handling system 20 shown in FIGS 3a-3b are small and compact, such that they may be rested upon a tabletop According to one embodiment, the two pocket currency handling system 20 enclosed within a housing 200 has a small footprint that may be readily used at any desk, work station or teller station Additionally, the currency handling system is light weight allowing it to be moved between different work stations According to one embodiment, the two-pocket currency handling system 20 has a height (H2) of about 18 inches, width (W2) of about 1314 inches, and a depth (D2) of about 1714 inches and weighs approximately 42 pounds Accordingly, the currency handling system 20 has a footprint of about 131 inches by about 17 inches or approximately 230 square inches or about 1 4 square feet and a volume of about 4190 cubic inches or slightly more than 27% cubic feet, which is sufficiently small to conveniently fit on a typical tabletop One of the contributing factors to the footprint size of the currency handling system 20 is the size of the currency bills to be handled For example in the embodiment described above the width is approximately 2!Λ times the length of a U S currency bill and the depth is approximately 7 times the width of a U S currency bill
According to another embodiment, the two-pocket currency handling system 20 has a height (H2) ranging from 15-20 inches, a width (W2) ranging from 10-15 inches, and a depth (D2) ranging from 15-20 inches and a weight ranging from about 35-50 pounds The currency handling system 10 has a footprint ranging from 10-15 inches by
15-20 inches or approximately 150-300 square inches and a volume of about 2250-6000 cubic inches, which is sufficiently small to conveniently fit on a typical tabletop According to another embodiment, the small size housing 200 may have a height (H2) of about 20 inches or less, width (W2) of about 20 inches or less, and a depth
(D2) of about 20 inches or less and weighs approximately 50 pounds or less As best seen in FIG 3b, the currency handling system 20 has a short transport path between the input receptacle and the output receptacle The transport path has a length of about 1014 inches between the beginning of the transport path at point TB2 (where the idler roll 230 engages the dπve roll 223) and the tip of the diverter 260 at point TMl and has an overall length of about 15 2 inches from point TB2 to point TE2 (where the rolls 286 and 282 contact)
Referring now to FIGS 3a and 3b, parts and components similar to those in the embodiment of FIGS 2a-2d are designated by similar reference numerals For example, parts designated by 100 series reference numerals in FIGS 2a-2d are designated by similar 200 series reference numerals in FIGS 3a and 3b, while parts which we duplicated one or more times, are designated by like reference numerals with suffixes a, b, c, etc The mechanical portions of the multi-pocket currency handling systems include a housing 200 having the input receptacle 18 for receiving a stack of bills to be processed The receptacle 18 is formed by downwardly sloping and converging walls 205 and 206 (see FIG 3b) formed by a pair of removable covers (not shown) which snap onto a frame The converging wall 206 supports a removable hopper (not shown) that includes vertically disposed side walls (not shown) One embodiment of an input receptacle was descπbed and illustrated in detail above and applies to the multi-pocket currency handling systems 10 The multi-pocket currency handling systems 10 also include an operator interface 32b as descπbed for the single pocket currency handling device 10
From the input receptacle 18, the currency bills in each of the multi-pocket systems (FIGS 3a-3b) are moved in seriatim from the bottom of a stack of bills along a curved guideway 211, which receives bills moving downwardly and rearwardly and changes the direction of travel to a forward direction The curvature of the guideway 211 corresponds substantially to the curved peπphery of a drive roll 223 so as to form a narrow passageway for the bills along the rear side of the drive roll 223 An exit end of the curved guideway 211 directs the bills onto the transport plate 240 which carries the bills through an evaluation section and to one of the output receptacles 34
In the two-pocket embodiment (FIG 3b), for example, stacking of the bills is accomplished by a pair of driven stacking wheels 35a and 37a for the first or upper output receptacle 34a and by a pair of stacking wheels 35b and 37b for the second or bottom output receptacle 34b The stacker wheels 35a, 37a and 35b, 37b are supported for rotational movement about respective shafts 215a, b journalled on a rigid frame and driven by a motor (not shown) Flexible blades of the stacker wheels 35a and 37a deliver the bills onto a forward end of a stacker plate 214a Similarly, the flexible blades of the stacker wheels 35b and 37b deliver the bills onto a forward end of a stacker plate 214b A diverter 260 directs the bills to either the first or second output receptacle 34a. 34b When the diverter is in a lower position, bills are directed to the first output receptacle 34a When the diverter 260 is in an upper position, bills proceed in the direction of the second output receptacle 34b
The two-pocket document evaluation devices in FIGS 3a and 3b have a transport mechanism which includes a series of transport plates or guide plates 240 for guiding currency bills to one of a plurality of output receptacles 34 The transport plates 240 according to one embodiment are substantially flat and linear without any protruding features Before reaching the output receptacles 34, a bill is moved past the sensors or scanhead 20 to be, for example, evaluated, analyzed, authenticated, discriminated, counted and/or otherwise processed
The two-pocket document evaluation devices move the currency bills in seriatim from the bottom of a stack of bills along the curved guideway 21 1 which receives bills moving downwardly and rearwardly and changes the direction of travel to a forward direction An exit end of the curved guideway 211 directs the bills onto the transport plate 240 which carries the bills through an evaluation section and to one of the output receptacles 34 A plurality of diverters 260 direct the bills to the output receptacles 34 When a diverter 260 is in its lower position, bills are directed to the corresponding output receptacle 214 When a diverter 260 is in its upper position, bills proceed in the direction of the remaining output receptacles The two-pocket currency evaluation devices of FIGS 3a and 3b according to one embodiment includes passive rolls 250, 251 which are mounted to shafts 254, 255 on an underside of the first transport plate 240 and are biased into counter-rotating contact with their corresponding driven upper rolls 223 and 241 These embodiments include one or more follower plates 262, 278, etc which are substantially free from surface features and are substantially smooth like the transport plates 240 The follower plates 262 and 278 are positioned in spaced relation to respective transport plates 240 so as to define a currency pathway therebetween In one embodiment, follower plates 262 and 278 have apertures only where necessary for accommodation of passive rolls 268, 270, 284, and 286
The follower plate 262 works in conjunction with the upper portion of the associated transport plate 240 to guide a bill from the passive roll 251 to a driven roll 264 and then to a driven roll 266 The passive rolls 268, 270 are biased by H-springs into counter-rotating contact with the corresponding driven rolls 264 and 266 It will be appreciated that any of the stacker arrangements heretofore described may be utilized to receive currency bills, after they have been evaluated by the system Without departing from the invention, however, bills transported through the system 10 in learn mode, rather than being transported from the input receptacle 36 to the output receptacle(s) 34, could be transported from the input receptacle 36 past the sensors, then in reverse manner delivered back to the input receptacle 36
I. SCANNING REGION
FIG 5a is an enlarged sectional side view depicting the scanning region according to one embodiment of the present invention According to various embodiments, this scanhead arrangement is employed in the currency handling systems described above in connection with FIGS l-3b According to the depicted embodiment, the scanning region along the transport path comprises both a standard optical scanhead 70 and a full color scanhead 300 Driven transport rolls 523 and 541 in cooperation with passive rolls 550 and 551 engage and transport bills past the scanning region in a controlled manner The transport mechanics are described in more detail in U S Patent No 5,687,963 The standard scanhead 70 differs somewhat in its physical appearance from that described in U.S Patent No 5,687,963 mentioned above and incorporated herein by reference in its entirety but otherwise is identical in terms of operation and function The upper standard scanhead 70 is used to scan one side of bills while the lower full color scanhead 300 is used to scan the other side of bills These scanheads are coupled to processors For example, the upper scanhead 70 is coupled to a 68HC16 processor by Motorola of Schaumburg, IL The lower full color scanhead 300 is coupled to a TMS 320C32 DSP processor by Texas Instruments of Dallas, TX According to one embodiment that will be described in more detail below, when processing U S bills, the upper scanhead 70 is used in the manner described in U S. Patent No 5,687,963 while the full color scanhead 300 is used in a manner described later herein FIG 4b is an enlarged sectional side view depicting the scanheads of FIG 4a without some of the rolls associated with the transport path Again, depicted in this illustration, is the standard scanhead 70 and a color module 581 comprising the color scanhead 300 and an UV sensor 340 and its accompanying UV light tube 342 The details of how the UV sensor 340 operates are described in U.S Patent No 5,640,463 and U S Patent Application Serial No 08/798,605 which are incorporated herein by reference in their entirety FIG 4c illustrates the scanheads of FIGS 4a and 4b in a front view
A. Standard Scanhead According to one embodiment, the standard scanhead 70 includes two standard photodetectors 74a and 74b (see FIGS 4a and 4b) and two photodetectors 95 and 97 (the density sensors) Two light sources are provided for the photodetectors as described in more detail in U S Patent No 5,295, 196 incorporated herein by reference The standard scanhead employs a mask having two rectangular slits 360 and 362 therein for permitting light reflected off passing bills to reach the photodetectors 74a and 74b, which are behind the slits, respectively One photodetector 74b is associated with a narrow slit and may optionally be used to detect the fine borderline present on U S. currency, when suitable cooperating circuits are provided The other photodetector 74a associated with a wider slit may be used to scan the bill and generate optical patterns used in the discrimination process The physical embodiment of the standard scanhead is described in greater detail in commonly owned Published PCT Application Nos WO 97/45810 and WO 99/48042 FIG 5 is a functional block diagram of the standard optical scanhead 70. and FIG
6 is a functional block diagram of the full color scanhead 300 of FIG 4 The standard scanhead 70 is an optical scanhead that scans for characteristic information from a currency bill 44 According to one embodiment, the standard optical scanhead 70 includes a sensor 74 having, for example, two photodetectors each having a pair of light sources 72 directing light onto the bill transport path so as to illuminate a substantially rectangular area 48 upon the surface of the currency bill 44 positioned on the transport path adjacent the scanhead 70 One of the photodetectors 74b is associated with a narrow rectangular slit and the other photodetector 74a is associated with a wider rectangular slit Light reflected off the illuminated area 48 is sensed by the sensor 74 positioned between the two light sources 72 The analog output of the photodetectors 74 is converted into a digital signal by means of the analog-to-digital (ADC) converter unit 52 whose output is fed as a digital input to the central processing unit (CPU) 54 as described above in connection with FIG 1 Alternatively, especially in embodiments of currency handling system designed to process currency other than U.S currency, a single photodetector 74a having the wider slit may be employed without photodetector 74b
According to one embodiment, the bill transport path is defined in such a way that the transport mechanism 38 moves currency bills with the narrow dimension of the bills being parallel to the transport path and the scan direction SD As a bill 44 traverses the scanhead 70, the illuminated area 48 moves to define a coherent iight strip which effectively scans the bill across the narrow dimension (W) of the bill In the embodiment depicted, the transport path is so arranged that a currency bill 44 is scanned across a central section of the bill along its narrow dimension, as shown in FIG 9a The scanhead functions to detect light reflected from the bill 44 as the bill 44 moves past the scanhead 70 to provide an analog representation of the variation in reflected light, which, in turn, represents the variation in the dark and light content of the printed pattern or indicia on the surface of the bill 44 This variation in light reflected from the narrow dimension scanning of the bills serves as a measure for distinguishing, with a high degree of confidence, among a plurality of currency denominations which the system is programmed to handle The standard optical scanhead 70 and standard intensity scanning process is described in detail in U.S Patent No 5,687,963 entitled "Method and Apparatus for Discriminating and Counting Documents," assigned to the assignee of the present invention and incorporated herein by reference in its entirety
The standard optical scanhead 70 produces a series of such detected reflectance signals across the narrow dimension of the bill, or across a selected segment thereof, and the resulting analog signals are digitized under control of the processor 54 to yield a fixed number of digital reflectance data samples The data samples are then subjected to a normalizing routine for processing the sampled data for improved correlation and for smoothing out variations due to "contrast" fluctuations in the printed pattern existing on the bill surface The normalized reflectance data represents a characteristic pattern that is unique for a given bill denomination and provides sufficient distinguishing features among characteristic patterns for different currency denominations
In order to ensure strict correspondence between reflectance samples obtained by narrow dimension scanning of successive bills, the reflectance sampling process is preferably controlled through the processor 54 by means of an optical encoder 14 which is linked to the bill transport mechanism 38 and precisely tracks the physical movement of the bill 44 past the scanhead 70 More specifically, the optical encoder 14 is linked to the rotary motion of the drive motor which generates the movement imparted to the bill along the transport path In addition, the mechanics of the feed mechanism ensure that positive contact is maintained between the bill and the transport path, particularly when the bill is being scanned by the scanhead Under these conditions, the optical encoder 14 is capable of precisely tracking the movement of the bill 44 relative to the portion of the bill 48 illuminated by the scanhead 70 by monitoring the rotary motion of the drive motor
According to one embodiment, in the case of U S currency bills, the output of the sensor 74a is monitored by the processor 54 to initially detect the presence of the bill adjacent the scanhead and, subsequently, to detect the starting point of the printed pattern on the bill, as represented by the borderline 44a which typically encloses the printed indicia on U S currency bills Once the borderline 44a has been detected, the optical encoder 14 is used to control the timing and number of reflectance samples that are obtained from the output of the sensor 74b as the bill 44 moves across the scanhead 70 According to another embodiment, in the case of currency bills other than U S currency bills, the outputs of the sensor 74 are monitored by the processor 54 to initially detect the leading edge 44b of the bill 44 adjacent the scanhead Because most currencies of currency systems other than the U S do not have the borderline 44a, the processor 54 must detect the leading edge 44b for non U S currency bills Once the leading edge 44b has been detected, the optical encoder 14 is used to control the timing and number of reflectance samples that are obtained from the outputs of the sensors 74 as the bill 44 moves across the scanhead 70
The use of the optical encoder 14 for controlling the sampling process relative to the physical movement of a bill 44 across the scanhead 70 is also advantageous in that the encoder 14 can be used to provide a predetermined delay following detection of the borderline 44a or leading edge 44b prior to initiation of samples The encoder delay can be adjusted in such a way that the bill 44 is scanned only across those segments which contain the most distinguishable printed indicia relative to the different currency denominations
In the case of U S currency, for instance, it has been determined that the central, approximately two-inch (approximately 5 cm) portion of currency bills, as scanned across the central section of the narrow dimension of the bill (see segment SEGs of FIG 9a), provides sufficient data for distinguishing among the various U S currency denominations Accordingly, the optical encoder 14 can be used to control the scanning process so that reflectance samples are taken for a set period of time and only after a certain period of time has elapsed after the borderline 44a is detected, thereby restricting the scanning to the desired central portion of the narrow dimension of the bill 48
FIGS 7a-7c illustrate the standard intensity scanning process for U S. currency bills in more detail Referring to FIG 7a, as a bill 44 is advanced in a direction parallel to the narrow edges of the bill, scanning via a slit in the scanhead 70 is effected along a segment SEGs of the central portion of the bill 44 This segment SEGs begins a fixed distance Ds inboard of the borderline 44a As the bill 44 traverses the scanhead 70, a portion or area of the segment SEGS is illuminated, and the sensor 74 produces a continuous output signal which is proportional to the intensity of the light reflected from the illuminated portion or area at any given instant This output is sampled at intervals controlled by the encoder, so that the sampling intervals are precisely synchronized with the movement of the bill across the scanhead
As illustrated in FIGS 7b-7c, it is preferred that the sampling intervals be selected so that the areas that are illuminated for successive samples overlap one another The odd-numbered and even-numbered sample areas have been separated in FIGS 7b and 7c to more clearly illustrate this overlap For example, the first and second areas S 1 and S2 overlap each other, the second and third areas S2 and S3 overlap each other, and so on
Each adjacent pair of areas overlap each other In the illustrative example, this is accomplished by sampling areas that are 0 050 inch (0 127 cm) wide, L, at 0 029 inch
(0 074 cm) intervals, along a segment SEGs that is 1 83 inch (4 65 cm) long (64 samples)
The center-to-center distance N between two adjacent samples is 0 029 inches and the center-to-center distance M between two adjacent even or odd samples is 0 058 inches
Sampling is initiated at a distance Ds of 389 inches inboard of the leading edge 44b of the bill
While it has been determined that the scanning of the central area of a U S bill provides sufficiently distinct patterns to enable discrimination among the plurality of U S currency denominations, the central area or the central area alone may not be suitable for bills originating in other countries For example, for bills originating from Country 1, it may be determined that segment SEGi (FIG 7d) provides a more preferable area to be scanned, while segment SEG2, (FIG 7d) is more preferable for bills originating from Country 2 Alternatively, in order to sufficiently discriminate among a given set of bills, it may be necessary to scan bills which are potentially from such set along more than one segment, e.g , scanning a single bill along both SEGi and SEG2 To accommodate scanning in areas other than the central portion of a bill, multiple standard optical scanheads may be positioned next to each other along a direction lateral to the direction of bill movement Such an arrangement of standard optical scanheads permit a bill to be scanned along different segments Various multiple scanhead arrangements are described in more detail in U S. Patent No 5,652.802 entitled " Method and Apparatus for Document Identification" assigned to the assignee of the present application and incorporated herein by references in its entirety
The standard optical sensing and correlation technique is based upon using the above process to generate a series of stored intensity signal patterns using genuine bills for each denomination of currency that the currency handling system 10 is programmed to recognize According to one embodiment, four sets of master intensity signal samples are generated and stored within the memory 56 (see FIG 1) for each scanhead for each detectable currency denomination. In the case of U S currency, the sets of master intensity signal samples for each bill are generated from standard optical scans, performed on one or both surfaces of the bill and taken along both the "forward" and "reverse" directions relative to the pattern printed on the bill
In adapting this technique to U S currency, for example, sets of stored intensity signal samples are generated and stored for seven different denominations of U S currency, i.e., $1, $2, $5, $10, $20, $50 and $100 For bills which produce significant pattern changes when shifted slightly to the left or right, such as the $10 bill in U S currency, two patterns may be stored for each of the "forward" and "reverse" directions, each pair of patterns for the same direction represent two scan areas that are slightly displaced from each other along the long dimension of the bill Once the master patterns have been stored, the pattern generated by scanning a bill under test is compared by the processor 54 with each of the master patterns of stored standard intensity signal samples to generate, for each comparison, a correlation number representing the extent of correlation, i.e , similarity between corresponding ones of the plurality of data samples, for the sets of data being compared
When using the upper standard scanhead 70, the processor 54 is programmed to identify the denomination of the scanned bill as the denomination that corresponds to the set of stored intensity signal samples for which the correlation number resulting from pattern comparison is found to be the highest In order to preclude the possibility of mischaracterizing the denomination of a scanned bill, as well as to reduce the possibility of spurious notes being identified as belonging to a valid denomination, a bi-level threshold of correlation is used as the basis for making a "positive" call Such methods are disclosed in U S Patent Nos 5,295, 196 entitled "Method and Apparatus for Currency Discrimination and Counting" and U S Patent No 5,687,963 which are incorporated herein by reference in their entirety If a "positive" call can not be made for a scanned bill, an error signal is generated
When master characteristic patterns are being generated, the reflectance samples resulting from the scanning by scanhead 70 of one or more genuine bills for each denomination are loaded into corresponding designated sections within the memory 56 During currency discrimination, the reflectance values resulting from the scanning of a test bill are sequentially compared, under control of the correlation program stored within the memory 56, with the corresponding master characteristic patterns stored within the memory 56 A pattern averaging procedure for scanning bills and generating master characteristic patterns is described in U S Patent No 5,633,949 entitled "Method and
Apparatus for Currency Discrimination." which is incorporated herein by reference in its entirety B. Full Color Scanhead
Returning to FIG 6, there is shown a functional block diagram of one cell 334 of the color scanhead 300 according to one embodiment of the present invention The color scanhead may comprise a plurality of such cells. The physical embodiment of the full color scanhead is described in detail in commonly owned Published PCT Application Nos WO 97/45810 and WO 99/48042. The illustrative cell includes a pair of light sources 308
(e g fluorescent tubes) directing light onto the bill transport path A single light source, e.g., single fluorescent tube, could be used without departing from the invention The light sources 308 illuminate a substantially rectangular area 48 upon a currency bill 44 to be scanned The cell comprises three filters 306 and three sensors 304 Light reflected off the illuminated area 48 passes through filters 306r, 306b and 306g positioned below the two light sources 308 Each of the filters 306r, 306b and 306g transmits a different component of the reflected light to corresponding sensors or photodiodes 304r, 304b and 304g, respectively
In one embodiment, the filter 306r transmits only a red component of the reflected light, the filter 306b transmits only a blue component of the reflected light and the filter
306g transmits only a green component of the reflected light to the corresponding sensors
304r, 304b and 304g, respectively The specific wavelength ranges transmitted by each filter beginning at 10% transmittance are
Red 580 nm to 780 nm, Blue 400 nm to 510 nm,
Green 480 nm to 580 nm
The specific wavelength ranges transmitted by each filter beginning at 80% transmittance are
Red όlO nm to 725 nm. Blue 425 nm to 490 nm,
Green 525 nm to 575 nm
Upon receiving their corresponding color components of the reflected light, the sensors
304r, 304b and 304g generate red, blue and green analog outputs, respectively, representing the vaπations in red, blue and green color content m the bill 44 These red, blue and green analog outputs of the sensors 304r, 304b and 304g, respectively, are amplified by the amplifier 58 (FIG 1) and converted into a digital signal by the analog-to- digital converter (ADC) unit 52 whose output is fed as a digital input to the central processing unit (CPU) 54 as described above in conjunction with FIG 1
Similar to the operation of the standard optical scanhead 70 embodiment descπbed above, the bill transport path is defined in such a way that the transport mechanism 38 moves currency bills with the narrow dimension of the bills being parallel to the transport path and the scan direction The color scanhead 300 functions to detect light reflected from the bill as the bill moves past the color scanhead 300 to provide an analog representation of the color content in reflected light, which, in turn, represents the vaπation in the color content of the printed pattern or indicia on the surface of the bill The sensors 304r, 304b and 304g generate the red, blue and green analog representations of the red, blue and green color content of the printed pattern on the bill This color content in light reflected from the scanned portion of the bills serves as a measure for distinguishing among a plurality of currency types and denominations which the system is programmed to handle
According to one embodiment, the outputs of an edge sensor and the green sensors 304g of one of the color cells are monitored by the processor 54 to initially detect the presence of the bill 44 adjacent the color scanhead 300 and, subsequently, to detect the edge 44b of the bill Once the edge 44b has been detected, the optical encoder 14 is used to control the timing and number of red, blue and green samples that are obtained from the outputs of the sensors 304r, 304b and 304g as the bill 44 moves past the color scanhead 300 In order to ensure strict correspondence between the red, blue and green signals obtained by narrow dimension scanning of successive bills, as illustrated in FIG 8b, the color sampling process is preferably controlled through the processor 54 by means of the optical encoder 14 (see FIG 1) which is linked to the bill transport mechanism 38 and precisely tracks the physical movement of the bill 44 across the color scanhead 300 Bill tracking and control using the optical encoder 14 and the mechanics of the transport mechanism are accomplished as descπbed above in connection with the standard scanhead The use of the optical encoder 14 for controlling the sampling process relative to the physical movement of a bill 44 past the color scanhead 300 is also advantageous in that the encoder 14 can be used to provide a predetermined delay following detection of the bill edge 44b prior to initiation of samples The encoder delay can be adjusted in such a way that the bill 44 is scanned only across those segments which contain the most distinguishable printed indicia relative to the different currency denominations
FIGS 8a-8c illustrate the color scanning process Referring to FIG 8a. as a bill
44 is advanced in a direction parallel to the narrow edges of the bill, five adjacent color cells in the color scanhead 300 scan along scan areas, segments or strips SA1, SA2, SA3.
SA4 and SA5, respectively, of a central portion of the bill 44 As the bill 44 traverses the color scanhead 300, each color cell views its respective scan area, segment or strip SA1,
SA2, SA3, SA4 and SA5, and its sensors 304r, 304b and 304g continuously produce red, blue and green output signals which are proportional to the red, blue and green color content of the light reflected from the illuminated area or strip at any given instant These red, blue and green outputs are sampled at intervals controlled by the encoder 14, so that the sampling intervals are precisely synchronized with the movement of the bill 44 across the color scanhead 300 FIG 8b illustrates how 64 incremental sample areas S1-S64 are sampled using 64 sampling intervals along one of the five color cell scan areas SA1, SA2, SA3, SA4 or SA5
To account for the lateral shifting of bills in the transport path, it is preferred to store two or more patterns for each denomination of currency The patterns represent scanned areas that are slightly displaced from each other along the lateral dimension of the bill
In one embodiment, only three of the five color cells in the color scanhead 300 are used to scan U S currency Thus, only the scan areas SA1, SA3 and SA5 of FIG 8a are scanned
As illustrated in FIGS 8b and 8 c, in similar fashion to the above-described operation in FIGS 7a-7b, the sampling intervals are preferably selected so that the successive samples overlap one another The odd-number and even numbered sample areas have been separated in FIGS 8b and 8c to more clearly illustrate this overlap For example the first and second areas S 1 and S2 overlap each other, the second and third areas overlap each other and so on Each adjacent pair of areas overlap each other For example, this is accomplished by sampling areas that are 0.050 inch (0 127 cm) wide, L, at 0 035 inch intervals, along a segment S that is 2 2 inches (5 59 cm) long to provide 64 samples across the bill The center-to-center distance Q between two adjacent samples is
0 035 inches and the center-to-center distance P between two adjacent even or odd samples is 0 07 inches Sampling is initiated at a distance D of 14 inch inboard of the leading edge 44b of the bill
In one embodiment, the sampling is synchronized with the operating frequency of the fluorescent tubes employed as the light sources 308 of the color scanhead 300
According to one embodiment, fluorescent tubes manufactured by Stanley of Japan having a part number of CBY26-220NO are used These fluorescent tubes operate at a frequency of 60 KHz, so the intensity of light generated by the tubes varies with time To compensate for noise, the sampling of the sensors 304 is synchronized with the tubes' frequency FIG 9 illustrates the synchronization of the sampling with the operating frequency of the fluorescent tubes The sampling by the sensors 304 is controlled so that the sensors 304 sample a bill at the same point during successive cycles, such as at times tl, t2, t3, and etc
In a preferred embodiment, the color sensing and correlation technique is based upon using the above process to generate a series of stored hue and brightness signal patterns using genuine bills for each denomination of currency that the system is programmed to discriminate The red, blue and green signals from each of the color cells 334 are first summed together to obtain a brightness signal For example, if the red, blue and green sensors produced 2v, 2v, and lv respectively, the brightness signal would equal 5v If the total output from the sensors is lOv when exposed to a white sheet of paper, then the brightness percentage corresponding to a 5v brightness signal would be 50% Using the red, blue and green signals, a red hue, a blue hue and a green hue can be determined A hue signal indicates the percentage of total light that a particular color of light constitutes For example, dividing the red signal by the sum of the red, blue and green signals provides the red hue signal, dividing the blue signal by the sum of the red, blue and green signals provides the blue hue signal, and dividing the green signal by the sum of the red, blue and green signals provides the green hue signal In an alternative embodiment, the individual red, blue and green output signals may be used directly for a color pattern analysis FIGS 10a- 1 Oe illustrate graphs of hue and bπghtness signal patterns obtained by color scanning a front side of a $10 Canadian bill with the color scanhead 300 FIG 10a corresponds to the hues and brightness signal patterns generated from the color outputs of a first color cell 334a, FIG 10b corresponds to outputs of a second color cell 334b, FIG 10c corresponds to outputs of a third color cell 334c, FIG lOd corresponds to outputs of a fourth color cell 334d, and FIG lOe corresponds to outputs of a fifth color cell 334e On the graphs, the y-axis is the percentage of bπghtness and the percentage of the three hues, on a scale of zero to one thousand, representing percent times 10 (% x
10) The x-axis is the number of samples taken for each bill pattern See the normalization and/or correlation discussion below
According to one embodiment of the color sensing and correlation technique, four sets of master red hues, master green hues and master bπghtness signal samples are generated and stored within the memory 56 (see FIG 1), for each programmed currency denomination, for each color sensing cell The four sets of samples correspond to four possible bill orientations "forward," "reverse," "face up" and "face down " In the case of
Canadian bills, the sets of master hue and bπghtness signal samples for each bill are generated from color scans, performed on the front (or portrait) side of the bill and taken along both the "forward" and "reverse" directions relative to the pattern printed on the bill Alternatively, the color scanning may be performed on the back side of Canadian currency bills or on either surface of other bills Additionally, the color scanning may be performed on both sides of a bill by a pair of color scanheads 300 such as a pair of scanheads 300 located on opposite sides of the transport plate 140
In adapting this technique to Canadian currency, for example, master sets of stored hue and bπghtness signal samples are generated and stored for eight different denominations of Canadian bills, namely, $1, $2, $5, $10, $20, $50, $100 and $1,000
Thus, for each denomination, master patterns are stored for the red, green and brightness patterns for each of the four possible bill orientations (face up feet first, face up head first, face down feet first, face down head first) and for each of three different bill positions (right, center and left) in the transport path This yields 36 patterns for each denomination Accordingly, when processing the eight Canadian denominations, a set of
288 different master patterns are stored within the memory 56 for subsequent correlation purposes II. BRIGHTNESS NORMALIZING TECHNIQUE
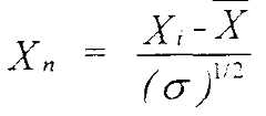
A simple normalizing procedure is utilized for processing raw test bπghtness samples into a form which is conveniently and accurately compared to corresponding master brightness samples stored in an identical format in memory 56 More specifically,
as a first step, the mean value X for the set of test brightness samples (containing "n" samples) is obtained for a bill scan as below
X = f L 1
Subsequently, a normalizing factor Sigma ("s") is determined as being equivalent to the sum of the square of the difference between each sample and the mean, as normalized by the total number n of samples More specifically, the normalizing factor is calculated as below
\X. - X
»=Σ
In the final step, each raw brightness sample is normalized by obtaining the difference between the sample and the above-calculated mean value and dividing it by the square root of the normalizing factor s as defined by the following equation
III. OTHER SENSORS
A. Magnetic
In addition to the optical and color scanheads described above, the currency handling system 10 may include a magnetic scanhead FIG 11 illustrates a scanhead 86 having magnetic sensor 88 A variety of currency characteristics can be measured using magnetic scanning These include detection of patterns of changes in magnetic flux (U S Patent No 3,280,974), patterns of vertical grid lines in the portrait area of bills (U S Patent No 3,870,629), the presence of a security thread (U S Patent No 5, 151,607), total amount of magnetizable material of a bill (U S Patent No 4,617,458), patterns from sensing the strength of magnetic fields along a bill (U S Patent No 4,593, 184), and other patterns and counts from scanning different portions of the bill such as the area in which the denomination is written out (U S Patent No 4,356,473)
The denomination determined by optical scanning or color scanning of a bill may be used to facilitate authentication of the bill by magnetic scanning, using the relationships set forth in Table 1
Table 1

Table 1 depicts relative total magnetic content thresholds for various denominations of genuine bills Columns 1-5 represent varying degrees of sensitivity selectable by a user of a device employing the present invention The values in Table 1 are set based on the scanning of genuine bills of varying denominations for total magnetic content and setting required thresholds based on the degree of sensitivity selected The information in Table 1 is based on a total magnetic content of 1000 for a genuine $1 The following discussion is based on a sensitivity setting of 4 In this example it is assumed that magnetic content represents the second characteristic tested If the comparison of first characteristic information, such as reflected light intensity or color content of reflected light, from a scanned billed and stored information corresponding to genuine bills results in an indication that the scanned bill is a $ 10 denomination, then the total magnetic content of the scanned bill is compared to the total magnetic content threshold of a genuine $10 bill, i.e., 200. If the magnetic content of the scanned bill is less than 200, the bill is rejected Otherwise it is accepted as a $10 bill
B. Normalization
In one embodiment, the currency handling system 10 monitors the intensity of light provided by the light sources It has been found that the light source and/or sensors of a particular system may degrade over time Additionally, the light source and/or sensor of any particular system may be affected by dust, temperature, imperfections, scratches, or anything that may affect the brightness of the tubes or the sensitivity of the sensor Similarly, systems utilizing magnetic sensors will also generally degrade over time and/or be affected by its physical environment including dust, temperature, etc To compensate for these changes, each currency handling system 10 will typically have a measurement "bias" unique to that system caused by the state of degradation of the light sources or sensors associated with each individual system
The present invention is designed to achieve a substantially consistent evaluation of bills between systems by "normalizing" the master information and test data to account for differences in sensors between systems For example, where the master information and the test data comprise numerical values, this is accomplished by dividing both the threshold data and the test data obtained from each system by a reference value corresponding to the measurement of a common reference by each respective system The common reference may comprise, for example, an object such as a mirror or piece of paper or plastic that is present in each system The reference value is obtained in each respective system by scanning the common reference with respect to a selected attribute such as size, color content, brightness, intensity pattern, etc The master information and/or test data obtained from each individual system is then divided by the appropriate reference value to define normalized master information and/or test data corresponding to each system The evaluation of bills in the standard mode may thereafter be accomplished by comparing the normalized test data to normalized master information
C. Attributes Sensed
The characteristic information obtained from the scanned bill may comprise a collection of data values each of which is associated with a particular attribute of the bill
The attributes of a bill for which data may be obtained by magnetic sensing include, for example, patterns of changes in magnetic flux (U S Patent No 3.280,974), patterns of vertical grid lines in the portrait area of bills (U S Patent No 3,870,629), the presence of a security thread (U S Patent No 5,151,607), total amount of magnetizable material of a bill (U S Patent No 4,617.458), patterns from sensing the strength of magnetic fields along a bill (U S Patent No 4,593, 184), and other patterns and counts from scanning different portions of the bill such as the area in which the denomination is written out
(U S Patent No 4,356,473)
The attributes of a bill for which data may be obtained by optical sensing include, for example, density (U S Patent No 4,381,447), color (U S Patent Nos 4,490,846,
3,496,370, 3,480,785), length and thickness (U S Patent No 4,255,651), the presence of a security thread (U S Patent No 5,151,607) and holes (U S Patent No 4,381,447), reflected or transmitted intensity levels of UV light (U S Patent No 5,640,463) and other patterns of reflectance and transmission (U S. Patent No 3,496,370, 3,679,314, 3,870,629, 4, 179,685) Color detection techniques may employ color filters, colored lamps, and/or dichroic beamsplitters (U S Patent Nos 4,841,358, 4,658,289, 4,716,456, 4,825,246, 4,992,860 and EP 325,364) Furthermore, optical sensing can be performed using infrared light including detection of patterns of the same
In addition to magnetic and optical sensing, other techniques of gathering test data from currency include electrical conductivity sensing, capacitive sensing (U S Patent No 5, 122,754 [watermark, security thread], 3,764,899 [thickness], 3,815,021 [dielectric properties], 5, 151,607 [security thread]), and mechanical sensing (U S Patent No
4,381,447 [limpness], 4,255,651 [thickness]) Each of the aforementioned patents relating to optical, magnetic or alternative types of sensing is incorporated herein by reference in its entirety IV. BRIGHTNESS CORRELATION TECHNIQUE The result of using the normalizing equations above is that, subsequent to the normalizing process, a relationship of correlation exists between a test brightness pattern and a master brightness pattern such that the aggregate sum of the products of corresponding samples in a test brightness pattern and any master brightness pattern, when divided by the total number of samples, equals unity if the patterns are identical Otherwise, a value less than unity is obtained Accordingly, the correlation number or factor resulting from the comparison of normalized samples, within a test brightness pattern, to those of a stored master brightness pattern provides a clear indication of the degree of similarity or correlation between the two patterns Accordingly a correlation number, C, for each test/master pattern comparison can be calculated using the following formula
wherein Xnι is an individual normalized test sample of a test pattern, Xm! is a master sample of a master pattern, and n is the number of samples in the patterns According to one embodiment of this invention, the fixed number of brightness samples, n, which are digitized and normalized for a test bill scan is selected to be 64 It has experimentally been found that the use of higher binary orders of samples (such as 128, 256, etc ) does not provide a correspondingly increased discrimination efficiency relative to the increased processing time involved in implementing the above-described correlation procedure It has also been found that the use of a binary order of samples lower than 64, such as 32, produces a substantial drop in discrimination efficiency
The correlation factor can be represented conveniently in binary terms for ease of correlation In a one embodiment, for instance, the factor of unity which results when a hundred percent correlation exists is represented in terms of the binary number 210, which is equal to a decimal value of 1024 Using the above procedure, the normalized samples within a test pattern are compared to the master characteristic patterns stored within the system memory in order to determine the particular stored pattern to which the test pattern corresponds most closely by identifying the comparison which yields a correlation number closest to 1024
The correlation procedure is adapted to identify the two highest correlation numbers resulting from the comparison of the test brightness pattern to one of the stored master brightness patterns At that point, a minimum threshold of correlation is required to be satisfied by these two correlation numbers It has experimentally been found that a correlation number of about 850 serves as a good cut-off threshold above which positive calls may be made with a high degree of confidence and below which the designation of a test pattern as corresponding to any of the stored patterns is uncertain As a second thresholding level, a minimum separation is prescribed between the two highest correlation numbers before making a call This ensures that a positive call is made only when a test pattern does not correspond, within a given range of correlation, to more than one stored master pattern Preferably, the minimum separation between correlation numbers is set to be 150 when the highest correlation number is between 800 and 850
When the highest correlation number is below 800, no call is made A bi-level threshold of correlation is required to be satisfied before a particular call is made, for at least certain denominations of U S bills More specifically, the correlation procedure is adapted to identify the two highest correlation numbers resulting from the comparison of the test pattern to one of the stored patterns At that point, a minimum threshold of correlation is required to be satisfied by these two correlation numbers It has experimentally been found that a correlation number of about 850 serves as a good cut-off threshold above which positive calls may be made with a high degree of confidence and below which the designation of a test pattern as corresponding to any of the stored patterns is uncertain As a second threshold level, a minimum separation is prescribed between the two highest correlation numbers before making a call This ensures that a positive call is made only when a test pattern does not correspond, within a given range of correlation, to more than one stored master pattern Preferably, the minimum separation between correlation numbers is set to be 150 when the highest correlation number is between 800 and 850 When the highest correlation number is below 800, no call is made If the processor 54 determines that the scanned bill matches one of the master sample sets, the processor 54 makes a "positive" call having identified the scanned currency If a "positive" call can not be made for a scanned bill, an error signal is generated V. COLOR CORRELATION TECHNIQUE
One embodiment of how the system 10, in standard mode, compares and discriminates a bill is set forth in the flow chart illustrated in FIGS 12a-12d A bill is first scanned in standard mode by 3 of the 5 scanheads and the standard scanhead in step 2300 The three scanheads are located at various positions along the width of the bill transport path so as to scan various areas of the bill being processed The system 10 next determines in step 2305 the lateral position of the bill in relation to the bill transport path by using the "X" sensors In step 2310, initializing takes place, where the best and second best correlation results (from previous correlations at step 2360, if any), referred to as the "#1 and #2 answers" are initialized to zero The system 10 determines, in step 2315, whether the size of the bill being processed (the test bill) is within the range of the master size data coπesponding to one denomination of bill for the country selected If the size is not within the range, the system 10 proceeds to point B If the system 10 determines in step 2315 that the size of the test bill is within the range of the master size data, the system proceeds to step 2320, where the system points to a first orientation color pattern
Next, the system 10, in step 2325, computes the absolute percentage difference between the test pattern and the master pattern on a point by point basis For example, where 64 sample points are taken along the test bill to form the test pattern, the absolute percentage differences between each of the 64 sample points from the test bill and the corresponding 64 points from the master pattern are computed by the processor 54
Then, the system 10 in step 2335 sums the absolute percentage differences from step 2330 for each of the master patterns stored in memory For example, the red and green color master patterns are usually stored in memory because the third primary color, blue, is redundant, since the sum of the percentages of the three primary colors must equal 100%) Thus, by storing two of these percentages, the third percentage can be derived
Thus, an alternate embodiment, each color cell 334 could include only two color sensors and two filters Thus, in this context, "full color sensor" could also refer to a system which employs sensors for two primary colors, and a processor capable of deriving the percentage of the third primary color from the percentages of the two primary colors for which sensors are provided
The system 10 in step 2340 proceeds by summing the result of the red and green sums from step 2335 The total from step 2340 is compared with a threshold value at step 2350 The threshold value is empirically derived and corresponds to a value that produces an acceptable degree of error between making a good call and making a mis- call If the total from step 2340 is not less than the threshold value, then the system proceeds to step 2365 (point D) and points to the next orientation pattern, if all orientation patterns have not been completed (step 2370) the system returns to step 2330 and the total from step 2340 is compared to the next master color pattern corresponding to the bill position determination made in step 2305 The system 10 again determines, in step 2350, whether the total from step 2340 is less than the threshold value This loop proceeds until the total is found to be less than the threshold Then, the system 10 proceeds to step 2360 (point C) At step 2360. the test bill brightness or intensity pattern is correlated with the first master brightness pattern that corresponds to the the bill position determination made in step 2305 The correlation between the test pattern and the master pattern for brightness is computed in the manner described above under "Brightness Correlation Technique " Then, in step 2370 the system determines whether all orientation patterns have been used
If not, the system returns to step 2330 (point E) If so, the system proceeds to step 2375
In step 2375. the process proceeds by pointing to the next master bill pattern in memory
The brightness patterns may include several shifted versions of the same master pattern because the degree of correlation between a test pattern and a master pattern may be negatively impacted if the two patterns are not properly aligned with each other Misalignment between patterns may result from a number of factors For example, if a system is designed so that the scanning process is initiated in response to the detection of the thin borderline surrounding U S currency or the detection of some other printed indicia such as the edge of printed indicia on a bill, stray marks may cause initiation of the scanning process at an improper time This is especially true for stray marks in the area between the edge of a bill and the edge of the printed indicia on the bill Such stray marks may cause the scanning process to be initiated too soon, resulting in a scanned pattern which leads a corresponding master pattern Alternatively, where the detection of the edge of a bill is used to trigger the scanning process, misalignment between patterns may result from variances between the location of printed indicia on a bill relative to the edges of a bill Such variances may result from tolerances permitted during the printing and/or cutting processes in the manufacture of currency For example, it has been found that location of the leading edge of printed indicia on Canadian currency relative to the edge of Canadian currency may vary up to approximately 0 2 inches (approximately O 2 cm)
Accordingly, the problems associated with misaligned patterns are overcome by shifting data in memory by dropping the last data sample of a master pattern and substituting a zero in front of the first data sample of the master pattern In this way, the master pattern is shifted in memory and a slightly different portion of the master pattern is compared to the test pattern This process may be repeated, up to a predetermined number of times, until a sufficiently high correlation is obtained between the master pattern and the test pattern so as to permit the identity of a test bill to be called For example, the master pattern may be shifted three times to accommodate a test bill that has its identifying characteristic(s) shifted 0 2 inches from the leading edge of the bill To do this, three zeros are inserted in front of the first data sample of the master pattern One embodiment of the pattern shifting technique described above is disclosed in
U S Patent No 5,724,438 entitled "Method of Generating Modified Patterns and Method and Apparatus for Using the Same in a Currency Identification System," which is incorporated herein by reference
Returning to the flow chart at FIG 12b, the system 10 in step 2380 determines whether all of the master bill patterns have been used If not the process returns to step
2315 (point A) If so, the process proceeds to step 2395 (point F - see FIG 21c)
The best two correlations are determined by a simple con-elation procedure that processes digitized reflectance values into a form which is conveniently and accurately compared to corresponding values pre-stored in an identical format This is detailed above in the sections on Normalizing Technique and Correlation Technique for the
Brightness Samples
Referring again to FIG 12c, the system 10 determines, in step 2395, whether all the sensors have been checked If the master patterns for all of the sensors have not been checked against the test bill, the system 10 loops to step 2310 Steps 2310-2395 are repeated until all the sensors are checked Then, the system 10 proceeds to step 2400 where the system 10 determines whether the results for all three sensors are different, I e , whether they each selected a different master pattern If each sensor selected a different master pattern, the system 10 displays a "no call" message to the operator indicating that the bill can not be denominated Otherwise, the system 10 proceeds to step 2410 where the system 10 determines whether the results for all three sensors are alike, i e , whether they all selected the same master pattern If each sensor selected the same master pattern, the system 10 proceeds to step 2415 Otherwise, the system 10 proceeds to step 2450 (FIG 12d), to be discussed below
At step 2415, the system 10 determines whether the left sensor reading is above correlation threshold number one. If it is, the system 10 proceeds to step 2420
Otherwise, the system 10 proceeds to step 2430, to be discussed below At step 2420, the system 10 determines whether the center sensor reading is above correlation threshold number one If it is, the system 10 proceeds to step 2425 Otherwise, the system 10 proceeds to step 2435, to be discussed below At step 2425 the system 10 determines whether the right sensor reading is above correlation threshold number one If it is, the system 10 proceeds to step 2475 where the denomination of the bill is called Otherwise, the system 10 proceeds to step 2440, to be discussed below
At step 2430, the system 10 determines whether the center and right sensor readings are above correlation threshold number two If they are, the system 10 proceeds to step 2475 where the denomination of the bill is called Otherwise, the system 10 proceeds to step 2445, to be discussed below At step 2435, the system 10 determines whether the left and right sensor readings are above correlation threshold number two If they are, the system 10 proceeds to step 2475 where the denomination of the bill is called Otherwise, the system 10 proceeds to step 2445, to be discussed below At step 2440, the system 10 determines whether the center and left sensor readings are above correlation threshold number two If they are, the system 10 proceeds to step 2475 where the denomination of the bill is called Otherwise, the system 10 proceeds to step 2445 where the system 10 determines whether all three color sums are below a threshold If they are, the system 10 proceeds to step 2475 where the denomination of the bill is called Otherwise, the system 10 proceeds to step 2480 where the system 10 displays a "no call" message to the operator indicating that the bill can not be denominated At step 2410 the system 10 determined whether the results for all three of the sensors 2410 were alike, 1 e , whether the master pattern denomination selected for each sensor is the same If the results for all three sensors were not alike, the system 10 proceeded to step 2450 where the system 10 determines whether the left and center sensors are alike, I e , whether they selected the same master pattern If they did select the same master pattern, the system 10 proceeds to step 2460 Otherwise, the system 10 proceeds to step 2455, to be discussed below At step 2460, the system 10 determines whether the center and right sensors are alike, I e , whether they selected the same master pattern If they did select the same master pattern, the system 10 proceeds to step 2465 Otherwise, the system 10 proceeds to step 2470 to be discussed below At step 2465, the system 10 determines whether the center and right sensor readings are above threshold number three If they are, the system 10 proceeds to step 2475 where the denomination of the bill is called Otherwise, the system 10 proceeds to step 2480 where the system 10 displays a "no call" message to the operator indicating that the bill can not be denominated
The system proceeded to step 2455 if the results of the left and center sensor readings were not alike, i e , did not selected the same master pattern At step 2455, the system 10 determines whether the left and center sensor readings are above threshold number three If they are, the system 10 proceeds to step 2475 where the denomination of the bill is called Otherwise, the system 10 proceeds to step 2480 where the system 10 displays a "no call" message to the operator indicating that the bill can not be denominated An alternative comparison method comprises comparing the individual test hue samples to their corresponding master hue samples If the test hue samples are within a range of 8% of the master hues, then a match is recorded If the test and master hue comparison records a threshold number of matches, such as 62 out of the 64 samples, the brightness patterns are compared as described in the above method
VI. INFRARED AUTHENTICATION TECHNIQUE
According to some embodiments of the present invention, the above described systems are modified to include one or more infrared light sources and sensors to detect infrared light in response to the illumination of currency bills with infrared light
According to one embodiment, the system operates as described above accept that the visible light LEDs in the upper scanhead 70 (see, e.g., FIG 5b) are replaced with infrared LEDs such as the HSDL-4230 LEDs from Hewlett-Packard of Palo Alto, CA This is a TS AlGaAs infrared lamp generating light having a wavelength of about 875 nanometers Information regarding this sensor is attached as Appendix A In other embodiments, the system operates with infrared LEDs which generate light having a wavelength between approximately 850 and 950 nanometers In still other alternative embodiments, the infrared light used to illuminate currency bills has a wavelength greater that 950 nanometers This system is adapted to authenticate currency bills having portions printed with infrared sensitive ink such as Mexican currency notes and the 50 Peso currency bill in particular as follows Mexican currency is sampled as shown and described above in connection with FIGS 9b-9c Specifically, a surface of a Mexican 50 Peso note is illuminated with infrared light, and then the infrared light received from the surface of the bill in response to the infrared light illumination is sampled Turning to FIG 24, a flow chart illustrating a method for calculating the difference sum in connection with authenticating the Mexican 50 peso note is shown The values obtained by sampling a bill are scaled such that the maximum value is set to equal 1000 at step 2410 Then a first twelve sample average and a last twelve sample average are calculated by averaging the values of the first and last twelve samples, respectively at step 2420 Then the difference between each of the first twelve samples and the first twelve sample average is calculated These differences are summed to determine a first twelve difference total Similarly, the difference between each of the last twelve samples and the last twelve average is calculated These differences are summed to determine a last twelve difference total at step 2430 The first twelve difference total and the last twelve difference total are summed and a difference sum value is stored in memory at step 2440 According to one embodiment, the technique described in connection with FIG 24 is performed using a digital signal processor (DSP)
Turning to FIG 25, a flow chart illustrating a method for authenticating Mexican 50 Peso notes is shown The difference sum value calculated in FIG 24 is used to authenticate 50 Peso notes Using the color scanhead as descπbed above, the denomination of the note is determined by comparing denominating characteristic information obtained from each of the bills under evaluation to master denominating characteristic information obtained from known genuine currency bills At step 2510 it is evaluated whether the device has determined the current bill to be a 50 Peso note If not, this authenticating technique ends If so, then the face orientation of the note is evaluated at step 2520 The face orientation is determined using the color scanhead as described above in connection with determining which master 50 Peso pattern(s) most closely matched the scanned pattern(s) If the face of the 50 Peso note passed facing the upper scanhead 70, then the difference sum value is retrieved from memory at step 2530 and this value is compared to a face-side threshold value at step 2540 If the difference sum value is less than the face-side threshold value, then the routine ends However, if the difference sum value is greater than or equal to the face-side threshold value, then the bill is indicated to be a suspect bill at step 2550 Returning to step 2520, if the face of the 50 Peso note passed facing away from the upper scanhead 70 (facing down), then the difference sum value is retrieved from memory at step 2560 and this value is compared to a non-face-side threshold value at step 2570 If the difference sum value is less than the non-face-side threshold value, then the routine ends However, if the difference sum value is greater than or equal to the non-face-side threshold value, then the bill is indicated to be a suspect bill at step 2550 The technique of FIG 25 can be performed using a processor such as a Motorola 68HC16
It has been found that when most genuine Mexican currency is illuminated with infrared light, a relatively constant level of light is detected However, for one side of a genuine Mexican 50 Peso, a pattern is detectable in the middle of the bill when it is scanned near the center as described above in connection with FIGS 9a-9c However, the edges of this side of a genuine Mexican 50 Peso yield a relatively flat responsive signal On the other hand, it has been found that some counterfeit Mexican 50 Peso documents produce a fluctuating pattern upon illumination with infrared light Accordingly, the techniques described above in connection with FIGS 24-25 provide examples of techniques for detecting such counterfeit 50 Peso notes Alternatively, a pattern of detected light can be obtained and compared to master patterns of detected light associated with scans of genuine bills Likewise other modifications to the above techniques can be made For example, both the first twelve difference total and the last twelve difference total could be stored and used in connection with FIG 25 by comparing these totals to corresponding first twelve and last twelve thresholds Likewise, the number of samples averaged could be altered to more than twelve or less then twelve In other alternative embodiments, only one range of samples having any number of samples can be used such as, for example, the first twelve, the last twelve, the first 6, the last 24, or a range of samples taken from a mid-porting of the bill
According to one embodiment, the techniques of FIGS 24-25 are performed by illuminating the currency bills with infrared light and sampling the output of the sensor 74a (see, e.g., FIG 15b) wherein sensor 74a is a photodetector sensitive and responsive to infrared light According to an alternative embodiment, the techniques of FIGS 24-25 are performed by illuminating the currency bills with infrared light and sampling the output of the sensor 74a (see, e.g., FIG 15b) wherein sensor 74a is a photodetector sensitive and responsive to visible light Referring now to FIG 26, a flow chart illustrating a method for authenticating
Mexican 50 Peso notes is shown according to another embodiment of the present invention According to the embodiment illustrated in FIG 26, the responses to both infrared light and visible light illumination of a currency bill are used in an authenticating test Images or portions of images on some currency bills such as the Mexican 50 Peso note, for example, are printed with ink uniquely sensitive to infrared light When the
Mexican 50 Peso note is illuminated with visible light, the reflected visible light is indicative of the image printed on the note However, when the note is illuminated with infrared light, the reflected infrared light is not indicative of the image printed on the surface of the note to the extent that the image appears not to exist Put another way, infrared light reflected from the image printed with infrared light sensitive ink yields a response similar to that of infrared light reflected off a blank white piece of paper Essentially, the image does not appear to exist when the note is illuminated with infrared light While the infrared authenticating technique is described in connection with FIG 26 is discussed in reference to the Mexican 50 Peso note, this authenticating technique can be used for other currency bills, a plurality of currency bills, or documents printed with infrared sensitive ink
To perform the authentication test according to the method described in FIG 26. the note currently being evaluated is denominated using the color scanhead as described above The denomination of the note is determined by comparing denominating characteristic information obtained from each of the bills under evaluation to master denominating characteristic information obtained from known genuine currency bills At step 2610, it is determined whether the denomination of the note currently being evaluated is a Mexican 50 Peso note If the bill is determined not to be a Mexican 50 peso note, this authenticating test ends If the bill is denominated to be a Mexican 50 peso note, both the visible light and the infrared light reflected from the note in response to visible light illumination and infrared light illumination, respectively, are sampled as shown and described above in connection with FIGS 9a-9c While FIGS 9a-9c. illustrate the samples being taken from the mid-portion of the currency bill 44, the sampling according to the embodiment illustrated in FIG 26 can take place anywhere on the surface of the bill having infrared properties Visible light reflectance samples are obtained from a surface of the note at step
2620 Infrared light reflectance samples are obtained from the same surface of the note at step 2630 The samples of each type of reflected light are compared to determine whether the note exhibits the specific infrared properties found in genuine Mexican 50 Peso notes - such as the infrared light sensitive ink The two sets of samples are correlated, according to a process which is similar to the above-described brightness correlation technique to quantify the degree of similarity, at step 2640 Specifically, a calculated "correlation value" quantifies the degree of similarity between the infrared and visible light reflectance samples A higher correlation value translates to a higher degree of similarity between the two samples taken from a note which indicates that the note may be a counterfeit note A note exhibiting the described infrared properties, would exhibit a lack of similarity - a lower correlation value - since one set of samples would resemble that taken from a note with no image For a note to be considered authentic according to this infrared authentication test, the reflected visible light samples obtained from the note under scrutiny and the reflected infrared light samples must appear sufficiently dissimilar If the calculated correlation value is less than the retrieved threshold value, then this authentication test is successfully passed because the bill has demonstrated sufficient difference between the pattern sets of the two types of the reflected light and the authentication test ends If the calculated correlation value is greater than the threshold value, then the infrared authentication test is not successfully passed because the bill has demonstrated a high degree of similarity between the visible and infrared light samples indicating that the note has not been printed with infrared sensitive ink When the calculated correlation value is greater than the retrieved correlation threshold value, the note is indicated to be a suspect document at step 2670
An advantage of the embodiment of the of the authenticating technique illustrated in FIG 26 is that this authentication technique is performed independent of determining or knowing the surface or face-orientation of the bill sampled The visible light and the infrared light reflectance samples are taken from the same surface of the bill, regardless of whether that surface is the front surface or the back surface It is unnecessary to determine which surface of the bill is sampled according to this authentication technique because the visible light and infrared light reflectance samples obtained from a surface of a bill are compared to each other and not to other orientation-specific data
In order to calculate the "correlation value," the visible light reflectance samples and the infrared light samples are first normalized according to a technique similar to the above-described brightness normalizing technique Both the visible and infrared light reflectance samples are normalized so that each of the set of raw samples are processed into a form so that the two sets are more conveniently and accurately comparable The following normalization technique will be described, by way of example, in terms of normalizing the visible light reflectance samples after which the infrared light reflectance
samples are normalized As a first step, the mean value X for the set of visible light reflectance samples (containing "n" samples) is obtained for a currency note scan as below
X = t 4
Subsequently, a normalizing factor Sigma ("σ") is determined as being equivalent to the sum of the square of the difference between each sample and the mean, as normalized by the total number n of samples More specifically, the normalizing factor is calculated as below
IX - x\
= Σ
In the final step, each raw visible light reflectance sample is normalized by obtaining the difference between the sample and the above-calculated mean value and dividing it by the square root of the normalizing factor s as defined by the following equation
After the visible light reflectance samples are normalized, the infrared light reflectance samples are normalized according to the above-described technique The result of using the normalizing equations above is that, subsequent to the normalizing process, a relationship of correlation exists between the normalized visible light reflectance samples and the normalized infrared light reflectance samples the aggregate sum of the products of corresponding samples in the two sets, when divided by the total number of samples, equals unity if the patterns are identical (Which would indicate a suspect document according to the infrared authenticating technique )
Otherwise, a value less than unity is obtained Accordingly, the correlation value, or factor resulting from the comparison of normalized visible light and infrared light reflectance samples, provides a clear indication of the degree of similarity or correlation between the two patterns Accordingly a correlation value, C, for each visible/infrared light reflectance pattern comparison can be calculated using the following formula
∑XF -X w
C = ^ 4 n
wherein X is an individual normalized visible light sample, Xm is a individual normalized infrared light sample, and n is the number of samples in the patterns According to one embodiment of this invention, the fixed number of samples, n, which are digitized and normalized for a test bill scan is selected to be 64 It has experimentally been found that the use of higher binary orders of samples (such as 128, 256, etc ) does not provide a correspondingly increased authentication efficiency relative to the increased processing time involved in implementing the above-described correlation procedure It has also been found that the use of a binary order of samples lower than 64, such as 32, produces a substantial drop in authentication efficiency In other alternative embodiments, any number of visible light and infrared light samples can be used to determine the correlation value between the two sets of samples
In an alternative embodiment of the present invention, the visible light reflectance samples obtained from the note can be used to both denominate the note and then determine the authenticity of the note according to the above-described authentication technique wherein the determined denomination triggers the above-described authentication techniques For example, visible reflectance samples are obtained from a bill and processed according to a denominating technique If the denominating technique indicates that the note is a Mexican 50 Peso note then the above-described authentication technique is performed using the already obtained visible light reflectance samples
While the present invention has been described with reference to one or more particular embodiments, those skilled in the art will recognize that many changes may be made thereto without departing from the spirit and scope of the present invention Each of these embodiments and obvious variations thereof is contemplated as falling within the spirit and scope of the claimed invention, which is set forth in the following claims
APPENDIX A
Agilent Technologies innovating the HP Way
High-Performance T-l3/4 (5 mm) TS AlGaAs Infrared (875 nm) Lamp
Technical Data HSDL-4200 Series HSDL-4220 30° HSDL-4230 17°
Features • Copper Leadframe for
• Very High Power TS AlGaAs Improved Thermal and
Technology Optical Characteristics
• 875 nm Wavelength
• T-13A Package Applications
• Low Cost • LB Audio
• Very High Intensity: • IS Telephones
HSDL-4220 - 38 mW/sr • High Speed IB
HSDL-4230 - 75 mW/sr Communications
• Choice of Viewing Angle: IR LANs
HSDL-4220 - 30° III Modems
• Interfaces with Crystal
HSDL-4230 - 17° IR Dongles Semiconductor CS8130
• Low Forward Voltage for • Industrial IR Equipment Infrared Transceiver
Series Operation * IB Portable Instruments
• High Speed: 40 ns Rise Times Description
The HSDL-4200 series of emitters
HSDL-4220 at 30° Both lamps are packaged in clear T-l
!A (5 mm) packages
A-l The package design of these The wide angle emitter, HSDL- emitters is optimized for efficient 4220, is compatible with the IrDA power dissipation. Copper SIR standard and can be used Ieadframes are used to obtain with the HSDL-1000 integrated better thermal performance than SIR transceiver the traditional steel Ieadframes
Absolute Maximum Ratings
Notes:
1 Derate linearly as shown in Figure 4
2 Any pulsed operation cannot exceed the Absolute Max Peak Forward Current as specified in Figure 5
3 The transient peak current is the maximuπi non-recurnng peak current the device can withstand without damaging the LED die and the wire bonds
Electrical Characteristics at 25°C
Ordering Information
A-3
λ- WAVELENGTH - nm V
F - FORWARD VOLTAGE - Vp - FORWARD VOLTAGE - V
Figure 1. Relative Radiant Intensity Figure 2a. DC Forward Current vs. Fignre 2b. Peak Forward Current vs. vs. Wavelength. Forward Voltage. Forward Voltage.
TA - AMBIENT TEMPERATURE - 'C I oc - DC FORWARD CURRENT - mA lFPK - PEAK FORWARD CURRENT . mA
Figure 2c. Forward Voltage vs Figure 3a. Relative Radiant Intensity Figure 3b. Normalized Radiant Ambient Temperature vs. DC Forward Current. Intensity vs. Peak Forward Current.
T
A - AMBIENT TEMPERATURE - °C DUTY FACTOR
Figure 4. Maximum DC Forward Figure S. Maximum Peak Forward Current vs. Ambient Temperature. Current vs. Duty Factor. Derated Based on TJMΛ* = 110°C.
A-4
- ANGLE FROM OPTICAL CENTERLINE - DEGREES (CONE HALF ANGLE)
Figure β. Relative Radiant Intensity vs. Angular Displacement HSDL-4220.
β - ANGLE FROM OPTICAL CENTERLINE - DEGREES (CONE HALF ANGLE)
Figure 7. Relative Radiant Intensity vs. Angular Displacement HSDL-4230.
Figure 8. Relative Radiant Intensity vs. Frequency.
A-5