Movatterモバイル変換


[0]ホーム

URL:


WO2000068936A1 - Cancellation of non-stationary interfering signals for speech recognition - Google Patents

Cancellation of non-stationary interfering signals for speech recognition
Download PDF

Info

Publication number
WO2000068936A1
WO2000068936A1PCT/GB2000/001715GB0001715WWO0068936A1WO 2000068936 A1WO2000068936 A1WO 2000068936A1GB 0001715 WGB0001715 WGB 0001715WWO 0068936 A1WO0068936 A1WO 0068936A1
Authority
WO
WIPO (PCT)
Prior art keywords
acoustic
channel
signal
stereo
signals
Prior art date
Application number
PCT/GB2000/001715
Other languages
French (fr)
Inventor
Michael John Carey
Graham David Tattersall
Original Assignee
Imagination Technologies Limited
Priority date (The priority date is an assumption and is not a legal conclusion. Google has not performed a legal analysis and makes no representation as to the accuracy of the date listed.)
Filing date
Publication date
Application filed by Imagination Technologies LimitedfiledCriticalImagination Technologies Limited
Priority to AU45904/00ApriorityCriticalpatent/AU4590400A/en
Priority to EP00927504Aprioritypatent/EP1190417A1/en
Priority to JP2000617442Aprioritypatent/JP2002544552A/en
Publication of WO2000068936A1publicationCriticalpatent/WO2000068936A1/en

Links

Classifications

Definitions

Landscapes

Abstract

System for cancellation of non-stationary interfering signals, particularly for use for mitigating effects of such interferers produced by in-car entertainment (ECAD) devices for speech recognition applications. The system spectrally analyses signals output by the ECAD before and after they are passed through an in-car acoustic channel. A model of the acoustic channel is built by the system's algorithm. For speech recognition the model is spectrally subtracted from a signal received at a microphone in order to recover a wanted speech signal. The acoustic channel model is built by estimating frequency domain acoustic transfer functions between each loudspeaker used by the ECAD and the microphone.

Description

Cancellation of Non-Stationary Interfering Signals for Speech Recognition
This invention relates to apparatus and method for cancellation of non-stationary interfering signals. In particular, the invention relates to cancellation of such signals for the purpose of recovering a wanted speech signal for use by a speech recognition application. The invention is especially suitable for use in an automobile where in-car devices produce interfering signals during the speech recognition process.
A problem associated with speech recognition is that of maintaining performance in the presence of interfering signals so that the speech recognition process continues to function satisfactorily even in the presence of background noise. Known systems have been directed towards mitigating effects of quasi-stationary noise such as telephone channel noise or car noise. Proposed solutions to quasi-stationary noise interference include spectral subtraction, einer filtering and parallel model combination, each of which work in the spectral domain.
There are, however, other sources of interference in acoustic environments which may degenerate performance of speech recognition applications. In the example of an automobile environment, in addition to engine noise, another source of potentially interfering non-stationary acoustic signals includes sound generated by electronic devices operating in the car. Examples of such devices include in- car entertainment accessories such as radios, compact disc players and tape players and also other types of devices which may emit sonic signals, e.g. telephone ringing or navigation system warning tones. In this specification, electronic devices capable of emitting acoustic signals and operating in a vehicle are generically referred to as "Electronic in-car Acoustic Devices" (ECAD) .
Sound generated by ECAD could be present when a user wishes to control a device using a voice command. For example, a radio may be playing in a car when the user wants to use voice control of a navigation system or the radio itself. In this case, the original interfering signal produced by the radio is assumed to be known and accessible but has passed through an unknown acoustic path between the radio's loudspeakers and the speech recognition system's microphone. The acoustic path may be determined by the position of the loudspeakers and the microphone inside the car as well as other factors, such as the number of passengers and the presence of luggage inside the car. Known systems which attempt to overcome the problem of non-stationary interferers have been based on time domain adaptive filters. However, although adaptive filtering may produce satisfactory results, this approach suffers from a number of disadvantages. Such disadvantages include high computational requirements and slow convergence of adaptive filtering algorithms. Simple forms of adaptive filtering may require order 3N computations per sample. Such high computational requirements can mean that complex hardware may be required in order to perform the necessary filtering, thereby increasing costs of devices incorporating such technology to the consumer.
According to a first aspect of the present invention, there is provided apparatus for cancellation of one or more non- stationary interfering signals for speech recognition, said apparatus comprising: means for receiving an acoustic signal; means for generating an estimated value of a magnitude spectrum of said non- stationary interfering signals; and means for subtracting said estimated value from said received acoustic signal to produce a representation of a wanted speech magnitude spectrum.
Preferably, said means for generating estimated value includes processing means configured to estimate a transfer function for an acoustic channel between each source of said non-stationary interfering signals and said means for receiving an acoustic signal .
Preferably, said processing means is configured to estimate transfer functions for non-stationary interfering signals produced by left and right stereo channel transmissions .
Preferably, said estimation of said transfer functions is achieved by said processing means executing an iterative algorithm on a frame-by- frame basis, the frames being constituted by successive time periods.
Preferably, said processing means is configured to estimate magnitudes of said left and right channel interfer- ence signals, said magnitude of left channel interference signal estimated by subtracting said right channel interference signal magnitude estimated during previous said iteration from said acoustic signal received at current said iteration; and said magnitude of right channel interference signal is estimated by subtracting said left channel interference signal magnitude estimated during previous said iteration from said acoustic signal received at current said iteration.
Preferably, said transfer function estimate for said right stereo acoustic channel is determined by dividing said right channel interference magnitude estimate by said interfering signal transmitted from said right acoustic stereo channel; and said transfer function estimate for said left stereo acoustic channel is determined by dividing said left channel interference magnitude estimate by said interfering signal transmitted from said left acoustic stereo channel.
Preferably, said right acoustic channel transfer function estimation is performed for a said iteration only if a ratio of total energy of said right acoustic stereo channel interfering signal over total energy of said left acoustic stereo interfering channel exceeds a predetermined threshold value; and said left acoustic channel transfer function estimation is performed for a said iteration only if a ratio of total energy of said left acoustic stereo channel interfering signal over total energy of said right acoustic stereo channel interfering signal exceeds a predetermined threshold value . Preferably, said ratio and threshold comparisons are applied to individual frequency components in spectra of said signals.
Preferably, said left and right stereo acoustic channel transfer functions are multiplied by (l-|η(k) |) where η (k) is coherence of said left and right interfering signals at a frequency index k.
Preferably, said transfer function estimate for said right stereo acoustic channel is obtained using an expression:
** R" (k) R" (k)
and said transfer functions estimate for said left stereo acoustic channel is obtained using an expression:
6„-lk) __ψ-_.____ _____l__-_,M
** L" (k) L" (k)AL
wherein R" (k)=HCR(k) .C(k) , with C (k) being a common component of said left and right stereo channel signals and HCR(k) is a transfer function between common said left and right stereo channel transmissions, and said right stereo channel and L" (k) =L(k) -HCL(k) .C(k) , where HCL(k) is a transfer function between common said left and right stereo channel transmissions and said left stereo channel signal .
Preferably, wherein said processing means further comprises means for smoothing said estimated transfer functions in time domain. Preferably, wherein said means for smoothing in time domain comprises a first order recursive filter.
Preferably, said processing means further comprises means for smoothing said estimated transfer functions in frequency domain. Preferably, said means for smoothing in frequency domain comprises a Finite Impulse Response filter.
Preferably, said processing means includes means for performing a Fourier Transform.
Preferably, said non-stationary interfering signals are produced by an electronic acoustic device operating in a vehicle .
Preferably, said means for receiving an acoustic signal comprises a microphone.
According to a second aspect of the present invention there is provided a method of cancellation of one or more non-stationary interfering signals for speech recognition, said method comprising steps of: receiving an acoustic signal; generating an estimated value for a magnitude spectrum of said non-stationary interfering signal; and subtracting said estimated value from said received acoustic signal to produce a representation of a wanted speech magnitude spectrum. Preferably, said step of generating an estimated value comprises estimating a transfer function for an acoustic channel between each source of said non-stationary interfering signals and said means for receiving an acoustic signal. Preferably, said transfer functions are estimated for non-stationary interfering signals produced by left and right stereo channel transmissions.
Preferably, said step of generating an estimated value is executed iteratively on a frame-by- frame basis. Preferably, said step of estimating a transfer function includes : estimating a magnitude of said left channel interference signal by subtracting said right channel interference signal magnitude estimated during previous said iteration from said acoustic signal received at current said iterations; and estimating magnitude of said right channel interference signal by substracting said left channel interference signal magnitude estimated during previous said iteration from said acoustic signal received at current said iteration.
The method may further comprise steps of : dividing said right channel interference magnitude estimate by said interfering signal transmitted from said right acoustic stereo channel; and dividing said left channel interference magnitude estimated by said interfering signal transmitted from said left acoustic stereo channel.
Preferably, said step of estimating right acoustic channel transfer function is performed for a said iteration only if a ratio of total energy of said right acoustic stereo channel interfering signal over total energy of said left acoustic stereo channel interfering signal exceeds a predetermined threshold value; and said step of estimating left acoustic channel transfer function estimate is performed for a said iteration only if a ratio of total energy of said left acoustic stereo channel interfering signal over total energy of said right acoustic stereo channel interfering signal exceeds a predetermined threshold value.
Preferably, said ratio and threshold comparisons are applied to individual frequency components in spectra of said signals. Preferably, said left and right stereo acoustic channel transfer functions are multiplied by (l-|η(k) |) where η (k) is coherence of said left and right interfering signals at a frequency index k.
Preferably, said transfer function estimate for said right stereo acoustic channel is obtained using an expression:
Preferably, this aspect may be comprising a step of smoothing said estimated transfer functions in time domain.
Preferably, this aspect may be further comprising a step of smoothing said estimated transfer functions in frequency domain.
According to a third aspect of the present invention, there is provided a speech recognition system including apparatus according to the first aspect of the invention. According to a fourth aspect of the present invention, there is provided an electronic acoustic device including apparatus according to the first aspect of the invention. The present invention is a frequency domain (rather than time domain as used in known systems) technique solution which is preferably based on channel identification followed by spectral subtraction. Embodiments of the present application's system can substantially improve performance of a speech recognition system when non-stationary interferers are present whilst having the advantage of lower computational requirement than known systems.
Embodiments of the present application's system provide levels of non-stationary interferer cancellation sufficient to substantially improve the performance of a speech recognition system, typically about 10 decibels of cancellation is possible in the case where loud background music is being output by ECAD. Such levels of cancellation may not be satisfactory to a human listener, however. For the purposes of speech recognition applications, such levels of cancellation will substantially improve the system's performance. A human listener is sensitive to levels of interference 40 decibels below the level of wanted signal, whilst known speech recognition systems can operate well with a 15 decibel signal-to-noise ratio.
The interfering signal output by an ECAD such as a radio may be a mono or stereo transmission, typically being output from two loudspeakers located at separate locations within an automobile. For the purposes of the description, it is generally assumed that a phase of the interferer signal is not required at the speech recognition system, as recognition feature sets such as cepstra do not normally contain phase information.
The invention may be performed in various ways and, by way of example only, a specific embodiment thereof will now be described, reference being made to the accompanying drawings, in which: Figure 1 illustrates schematically an example of an automobile environment having an ECAD where a speech recognition system is used to control an in-car device;
Figure 2 illustrates a flow diagram representing steps which may be used to estimate transfer functions represent - ing a model of an in-car acoustic channel;
Figure 3 illustrates schematically components which may be used to implement a refinement of the algorithm m Figure 2;
Figure 4 illustrates a block diagram representing a specific embodiment of the present invention; and
Figures 5 to 8 illustrate examples of microphone signals obtained during experimental use of the present invention.
Figure 1 illustrates schematically a simple situation in which stereo ECAD signals are transmitted from separate loudspeakers. Left stereo signal L(ηω) is transmitted from left loudspeaker 101 and right stereo signal R(πω) is transmitted from right stereo speaker 102. Loudspeakers 101 and 102 are typically located in panelling on driver and passenger's doors. Further loudspeakers may also be fitted in the vehicle, for example they may be located in a boot compartment at the rear of the car. It will be appreciated by those skilled in the art that the specific embodiment described herein intended for use with two loudspeakers could be modified to function with different numbers of loudspeakers, which may or may not be configured to generate signals which correlate with signals being output from other loudspeakers present in the car.
Figure 1 also includes a microphone 103 which is preferably connected to an in-car electronic device such as the radio for the purpose of receiving acoustic signals which may be used by a speech recognition system for controlling the device.
A user's voice command which may be processed by the speech recognition system in order to control the electronic device is represented by wanted speech signal S(jω)104.
A spectrum of the acoustic signal received at the microphone, denoted by Y(ω), comprises components including a combination of the wanted speech S(jω) and the signals produced by the loudspeaker having passed through an acoustic channel defined by the in-car environment.
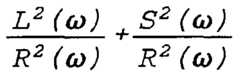
Perfect cancellation of the unwanted ECAD stereo signals L(jω) and R(jω) could in principle be achieved given knowledge of acoustic transfer functions H^tjω) for the acoustic path between the right loudspeaker 102 and microphone 103 and acoustic transfer function HAL(jω) for the acoustic path between the left loudspeaker 101 and microphone 103. If the transfer functions HAL(jω) and HAR(jω) were known, it would be possible to retrieve a signal corresponding to the wanted speech command spoken by the user by subtracting the left stereo source signal L(jω) transferred by HAL(jω) and the right source signal R(jω) transferred by H^j^jω) from the signal Y(jω) received at microphone mono 103. However, in practice although source signals L(jω) and R(jω) may be accessible from the radio which produced them, the acoustic transfer functions HAR(jω) and HAL(jω) can only be estimated.
A simple approach to the estimation of the acoustic transfer function is to find the long term ratio of microphone signal spectrum to each of the source stereo signals. Equations herein below describe this process for the right acoustic channel. Those skilled in the art will understand that a similar set of equations can be derived for the left acoustic channel. A basic transfer function HAR for the right acoustic channel may be written as follows:
T? (ήn ) -∑S2S_-L
HAR (3 ω) ~ΥΪ U)
Equation (1)
A spectrum of the signal Y(jω) received at the microphone signal may be written as:
Y (j ω) =HM (jω) . R (jω) +HAL (j ω) . L (j ω) +S (jω)
Equation (2) Substituting for Y(jω) in equation (1) gives: * (jω) =HM (jω) +HA ^L (jω) . R^( ω|) + R (jHω)
Equation (3) The following conclusions may be drawn from equation^) :
• In the case of a mono transmission being output through loudspeakers 101 and 102 whilst the user is saying a voice command, signals L(jω) and R(jω) are completely correlated with each other whilst being completed uncorrelated with S(jω) . In this case, individual left and right channel transfer functions cannot be uniquely determined, but a composite estimate which contains terms due to both left and right channels can be obtained. This is sufficient for practical cancellation of the mono ECAD signal output through the two loudspeakers received at the microphone.
• If L(jω) and R(jω) and S(jω) are all uncorrelated, a correct estimate of the channel response will be obtained because second and third terms in equation (3) will normally have long term averages of 0.
• If L(jω) and R(jω) are partially correlated, left and right acoustic channels cannot be unambiguously estimated. However, if L(jω) and R(jω) occupy different spectral regions or if corresponding time domain signals 1 (t) and r(t) have periods where one has low energy whilst the other has high energy, it may be still possible to make useful estimates of left and right channels for purposes of cancellation.
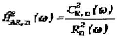
The frequency domain estimation of the right acoustic channel response given by equation (3), and a corresponding equation for the left acoustic channel transfer function, HAL(jω) , may be used to obtain an estimate of the magnitude of the wanted speech spectrum S(jω) . An estimate of the wanted speech magnitude spectrum may be obtained by subtracting the estimates of the left and right acoustic channels of the ECAD signals from the acoustic signal Y(jω) received at the microphone:
S* (ω) =Y2 (ω)
Figure imgf000016_0001
. R2 (ω) -Ϊ?AL . L2 (ω)
Equation (4) An estimate of the acoustic channel power transfer function for the right acoustic channel, derived by squaring equation (3) may be as follows:
Figure imgf000016_0002
Equation (5) A corresponding estimate of the acoustic channel power transfer function for the left acoustic channel can also be derived by those skilled in the art.
Using an iterative approach, coupled with time and frequency dimension smoothing of the estimates of the channel response may be used to overcome problems caused by left and right signal correlation described herein above. Another problem which may need to be addressed arises because phase information in the channel response may be ignored, as the phase of the interferer is not normally required at the speech recognition system. As noted above, cancellation for the purpose of speech recognition only requires an estimate of the magnitude of the speech spectrum because Mel Frequency Cepstral Co-efficient (MFCC) feature vector used by the speech recognition system in the pre- ferred embodiment is based on magnitude spectra. The MFCC may be obtained by subjecting the speech spectrum in the frequency domain to a fast fourier transform in order to obtain its power in various frequency slots. The value of the power in the frequency domain is then passed through a log function and then a cosine transform to obtain the cepstrum in which the elements are orthogonal .
Normally, the phase characteristic encodes a frequency dependent delay spread associated with the acoustic transfer function. In a car typically the minimum delay is about 3ms. The delay spread may be compensated when making the channel estimate using equation (5) . However, this compensation may be unnecessary if the spectral evaluation is done using a fast fourier transformer with block length much greater than the channel delay. A practical form of the cancellation of non-stationary interferer signals such as those produced by ECAD may therefore be achieved using an algorithm 200 as illustrated by steps in Figure 2 of the accompanying drawings . In the preferred embodiment, the steps 201 to 205 are repeated once for each single frame (i.e a signal received at the microphone in a fixed period of time) , however, initialisation steps 201 and 202 may only be performed for a first frame. At step 201, estimates of magnitudes of the left and right channel transfer functions, HAL(Jω) and HAR(Jω) are initialised (set to zero) :2AR (ω) =H2AL (ω) =o
At step 202, estimates of magnitude of left and right channel interference, CL and CR, are initialised:
CRi' n-1 (ω) =dL' n-1 (ω) =0
At step 203, new estimates of magnitudes of the left and right interference signals at the microphone are calculated. This is achieved for the left microphone signal by subtracting the channel estimate of the magnitude of the right channel (calculated during the algorithm iteration for the immediately previous frame) from the microphone signal received at the current iteration (n) . For the right interference channel, the magnitude estimate for the left channel derived during the previous iteration (n-1) is subtracted from the microphone signal :
Figure imgf000018_0001
(Equation 6)
CR2, n (ω) =Yn2 (ω) -C2Lt n_1 (ω)
(Equation 7)
At step 204, rough estimates of the left and right transfer functions, HAL(jω) and HAR(jω), are made. This is achieved for the left channel transfer function by dividing the estimated left interference signal calculated at step 203 by the signal transmitted from the left stereo acoustic channel. For the right transfer function, the right channel interference signal estimate calculated at step 203 is divided by the signal transmitted from the right acoustic stereo channel :
_• _ <_,, .0*101
LXω)
(Equation 8)
Figure imgf000019_0001
(Equation 9)
Substituting equations (6) and (7) into the terms for the estimated interference signals in equations (8) and (9) , respectively, gives expressions used to provide rough estimates of the left and right channel transfer functions :
Figure imgf000019_0002
Figure imgf000019_0003
At step 205 the rough estimates of the channel transfer functions obtained at step 204 may be smoothed, preferably both in the time and frequency domains. Time smoothing is preferably achieved with a first order recursive filter using a time constant of several hundred milliseconds. For example, time smoothing for the right channel may be as follows (a similar equation may also be obtained) :
Figure imgf000020_0001
Frequency smoothing is preferably achieved using a Finite Impulse Response filter (represented by f (ω) in an equation herein below) with a triangular impulse response covering about 300 Hertz. Frequency smoothing for the right channel may be as follows (a similar expression for the left channel may also be obtained) :
HAR,n=f (ω) *ϊ?ARι n (ω)
The cancellation algorithm 200 described in steps 201 to 205 herein above may be refined by means of the four ways described herein below in order to attempt to deal with problems highlighted by equation (3) concerning correlation of left and right channel signals: 1. Updating of the recursive filter providing the smoothed channel estimate can be inhibited unless energy of one channel greatly exceeds energy of the other channel . This is preferably achieved by updating the left or right channel response only when it is assumed that only left or right channel, respectively, is active. Thus, a new right acoustic channel transfer function would be estimated at step 204 if a ratio of the total energy of the signal transmitted from the right acoustic stereo channel by the total energy of the signal transmitted from the left stereo acoustic channel exceeds a predetermined threshold value, otherwise the estimate calculated for the transfer function during the previous frame iteration is used. A corresponding estimation would also be performed for the left transfer function. Using EL to represent the total energy in the nth frame of the left stereo acoustic channel and ER represent the total energy in the nth frame of the right stereo acoustic channel. Thus, the channel response estimation algorithm for the right channel is:
H =γ(J - if l_τhresholdAR'B R (J -J ) EL
otherwise use previous estimate (HAR ; n_1) if ER/EL< Threshold .
The channel response estimation algorithm for the left channel is :
X *A , n HJω)ifΞ-_≥Threshold,
L (j(ύ ] E R;
otherwise use previous estimate(HA ,n-l^^ER/EL < Threshold. Normally, when considering the right channel, when the threshold is exceeded, Y(jω) should consist mainly of terms due to the right channel and the wanted speech signal . Y(jω) should contain very little energy due to the left channel if the threshold is set at high value. The reverse normally holds when considering the left channel . Time and domain smoothing substantially as described at step 205 would also be used. 2. Updating of recursively smoothed channel estimate at particular frequencies can be inhibited unless energy at that frequency in one channel greatly exceeds the energy at that frequency in the other channel . This may be achieved by estimating new values for the left and/or right acoustic channel transfer functions when a ratio of the total energies of the left and right stereo acoustic signals exceeds a given threshold at individual frequency components in the spectrum. Preferably, the threshold may apply to frequencies comprising a harmonic number in the Discreet Fourier Transforms of the signals. Using a similar terminology to that in 1. herein above, the channel response estimation algorithm for the right channel is:
HM,n --£Α_eΞX≥τhrsshoid
Otherwise use estimate at previous iteration (HAR(n_1) if E(k)R/E(k)L< Threshold. The channel response estimation algorithm for the left channel is:
≥ τhreshold
Figure imgf000023_0001
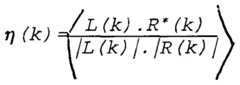
otherwise use the estimate calculated at the previous iteration (H^-^) if E(k)L/E(k)R < Threshold. In this definition, the index k refers to the harmonic number in the DFTs of the signals. For example, E(k)R is the energy of the kth harmonic in the DFT of the right stereo source signal. This algorithm should ensure that the acoustic channel responses are only updated at those fre- quencies and at those time at which the signal at the microphone consists mainly of either left or right channel . 3. Evaluate coherence function between the left and right channel signals and use inverse magnitude of the coherence at each frequency as a weighting on the amount by which estimates of the channel responses are updated at that frequency. The coherence function provides a measure of correlation over a period of time of phases of two different signals measured at a particular frequency. The coherence function may be used in various ways, normally based on the idea that the update of the acoustic channel responsible will be decreased if the left and right stereo channels are phase-correlated at a particular frequency. If the coherence approaches unity, the signals are correlated, but only at the specified frequency. Thus, the channel response estimates for the right channel may be derived from the following algorithm (a corresponding method for the transfer function for the left channel may also be derived) :
^( =f(f -( 1-Iη (^) | )
where η (k) is the coherence of the left and right stereo source signal at frequency index k.
Figure imgf000024_0001
where the expectation is over time. 4. Extract those components of the left and right ECAD source signals which are uncorrelated (orthogonal) and use them to make estimates of the left and right channel responses. In this approach, a common component C(k) in the left and right ECAD sources is removed by adaptive filtering to yield an orthogonal pair of signals, L' ' (k) and R' ' (k) : R(k)=R" (k)+HCR(k) .C(k) L(k) =L" (k) +HCL(K) .c (k) wherein HCL(k) is the transfer function between the common (left and right stereo signals combined, which may be fixed in a recording studio) ECAD signal source and the left ECAD signal source and HCR(k) is the transfer function between the common ECAD source, signal and the right ECAD source . The orthogonalised signals are used to make the acoustic channel response estimates. For the right stereo channel transfer function the following expression may be used (a corresponding expression for the left stereo channel transfer function may also be obtained) : ft t i. ) -γ{k) H*(J° (*"(*> ÷gg.(*> -c(*>> ,H- ^) . (L" (k)+HCL (k) . c(k) ) _ s (k) ** R" (k)" R" lk) R" (k) R" (k)
Most of the terms are long term uncorrelated so we get :
^ ik) R;/ (k)
H^ ik) Y(k) H
=HXk) R/ (k) R" (k)
the true acoustic channel response.
Thus, the right stereo acoustic channel function, HAR(k), may be obtained by dividing the signal received at the microphone by R' ' (k) .
Figure 3 of the accompanying drawings illustrates schematically an example of components which may be used to form L' ' (jω) and R' ' (jω) . The components include two adaptive filters, 303 and 304, either implemented in the frequency domain, or preferably, the time domain. The coefficients of each FIR adaptive filter are adjusted using LMS or similar, to minimise the total energy in r ' ' (n) and l'1 (n) , respectively, i.e. operate filters in standard system identification mode as in echo cancelling etc. The right stereo ECAD signal r(n) 301 is fed into adaptive filter 303 and a combiner 305. The left stereo ECAD signal 1 (n) 302 is fed into adaptive filter 304 and a combiner 306. The output of adaptive filter 303 is also fed into combiner 306. The output of adaptive filter 304 is also fed into combiner 305. The output of combiner 305 may be fed back via an adaption control path into adaptive filter 304. The output of mixer 306 may be fed back into adaptive filter 303 via an adaption control path. The output of combiner 305 comprises the orthogonal right stereo signal r' ' (n) 307. The output of combiner 306 comprises the left stereo orthogonal signal 1' ' (n) 308.
Figure 4 of the accompanying drawings illustrates a block diagram representing a specific embodiment of the present invention. Processing components of Fig. 4 may be electronic processors fitted integrally to the in-car device where the speech recognition system is located or, alternatively, may be a stand alone electronic device intended to receive acoustic signals, cancel non-stationary interfering signals and output a filtered acoustic signal to be received by the speech recognition system's microphone.
ECAD sound source 401 (such as the signals output loudspeakers 101 and 102 of Figure 1) may be received directly by a spectral analysis process 404 so that the signal as produced by the ECAD prior to transmission through the in-car acoustic channel 403 may be analysed The ECAD signal is also received by a spectral analysis process 405 after transmission through acoustic channel 403 so that the signal 401 is m effect simultaneously spectrally analysed before and after transmission through the acoustic channel 403. The spectral analysis of processes 404 and 405 is preferably carried out at a 16 ms frame rate using a 256 point Fast Fourier Transformer. If user speech 402 (corre- sponding to wanted speech signal S(jω) 104 of Figure 1) is also present then this acoustic signal too will also be transmitted through the acoustic channel 403 and received by spectral analysis process 405.
The output of spectral analysis processes 404 and 405 are used as inputs to acoustic channel model estimation process 406 which preferably functions in accordance with algorithm 200 described herein above. Acoustic channel model estimation process 406 produces an acoustic channel model 407 which may be used as an input to a spectral subtraction process 408 which also receives the acoustic signal transferred through channel 403.
When the speech recognition system is required, the acoustic channel model 407 is frozen for duration of the speech recognition process. The acoustic channel model 407 is then used to recover the speech signal from the microphone signal by subtracting the estimated spectrum of the ECAD interfering signals contained in the model 407 from the acoustic signals received at the microphone. The spectrally subtracted signal representing the recovered wanted speech 409 is then passed to a pattern matcher process 410 (part of the speech recognition system) which may use recognition feature sets such as Hidden Markov of models 311 in order to match the recovered speech signal 409 to a command which is recognised by the system. The pattern matcher 409 may then pass on an output signal to trace back and decision process 412 in order that the user's speech command be carried out by the device. Since the spectral subtraction algorithm is frame rather than sample based, its computational complexity is low. The algorithm's main computation is required for the Fast Fourier Transform, which requires order NlogN computations per frame for each channel. This is typically only about 250k computations per second, which is significantly lower than the order 3N computations per sample required by the simplest form of known adaptive filter technique. For an echo tail length of 32 microseconds, 256 samples, this equates to more than 18 million operations per second. Figures 5 to 8 of the accompanying diagrams illustrate microphone signal traces before and after the non-stationary interferer signal cancellation for different types of music output by the ECAD at different signal to interference ratios. In order to allow for comparison between an uncancelled signal passed through the acoustic channel and the cancelled signal, test data was constructed by recording speech and interferer signals separately in the same car environment and then adding the two signals. In the examples shown in figures 5 to 8 , the interfering music is a stereo signal.
Figures 5A to 5D of the accompanying drawings illustrate microphone traces with and without cancellation in a case where the ECAD outputs pop music at OdB signal to 27
interference ratio. In Fig. 5A a signal received at the microphone prior to cancellation is illustrated. In this case, peak segmental speech and interferer levels are the same. This is a highly pessimistic way of estimating signal-to-noise ratio as amplitude variability of speech signal is higher than that of the ECAD music signal output which exceeds the speech for a considerable part of the example. Fig. 5B illustrates a signal resulting from an inverse transformation on the signal of Fig. 5A after spectral subtraction. The interfering signal as shown in Fig. 5B has clearly been reduced. Fig. 5C illustrates a signal representing normalised squared cepstral distances for application of the cancellation algorithm. Fig. 5D illustrates a signal trace for the normalised squared cepstral distances of Fig. 5C after spectral subtraction. Comparing the traces illustrated in Fig. 5C and 5D, it can be seen that the recovered speech cepstral are less distorted than with the interferer.
Figures 6A to 6D of the accompanying drawings illus- trate microphone traces with and without cancellation in a case where the ECAD outputs pop music at 10 decibel signal to interference ratio. In Fig. 6A a signal received at the microphone prior to cancellation is illustrated. Fig. 6B . illustrates a signal resulting from an inverse transform- ation on the signal of 6A after spectral subtraction. The interfering signal shown in Fig. 6B has clearly been reduced. Fig. 6C illustrates a signal representing normalised squared cepstral distances for application of the cancellation algorithm. Fig. 6D illustrates a signal trace for the normalised square cepstral distances of Fig. 6C after spectral subtraction.
Figures 7A to 7D of the accompanying drawings illus- trate microphone traces with and without cancellation in a case where the ECAD outputs opera music at 0 decibel signal to interference ratio. In Fig. 7A a signal received at the microphone prior to cancellation is illustrated. Fig. 7B. illustrates a signal resulting from an inverse transform- ation on the signal of 7A after spectral subtraction. The interfering signal shown in Fig. 7B has clearly been reduced. Fig. 7C illustrates a signal representing normalised squared cepstral distances for application of the cancellation algorithm. Fig. 7D illustrates a signal trace for the normalised square cepstral distances of Fig. 7C after spectral subtraction.
Figures 8A to 8D of the accompanying drawings illustrate microphone traces with and without cancellation in a case where the ECAD outputs opera music at 10 decibel signal to interference ratio. In Fig. 8A a signal received at the microphone prior to cancellation is illustrated. Fig. 8B. illustrates a signal resulting from an inverse transformation on the signal of 8A after spectral subtraction. The interfering signal shown in Fig. 8B has clearly been reduced. Fig. 8C. illustrates a signal representing normalised squared cepstral distances for application of the cancellation algorithm. Fig. 8D illustrates a signal trace for the normalised square cepstral distances of Fig. 8C after spectral subtraction.

Claims

Claims
1. Apparatus for cancellation of one or more non-stationary interfering signals for speech recognition, said apparatus including: means for receiving an acoustic signal; means for generating an estimated value of a magnitude spectrum of said non- stationary interfering signals; and means for subtracting said estimated value from said received acoustic signal to produce a representation of a wanted speech magnitude spectrum.
2. Apparatus according to claim 1, wherein said means for generating estimated value includes processing means configured to estimate a transfer function for an acoustic channel between each source of said non- stationary interfer- ing signals and said means for receiving an acoustic signal.
3. Apparatus according to claim 2, wherein said processing means is configured to estimate transfer functions for said non-stationary interfering signals produced by left and right stereo channel transmissions.
4. Apparatus according to Claim 2 or Claim 3, wherein said estimation of said transfer functions is achieved by said processing means executing an iterative algorithm on a frame-by-frame basis, the frames being constituted by said acoustic signals received during successive time periods.
5. Apparatus according to Claim 4 when dependent upon Claim 3, wherein said processing means is configured to estimate respective magnitudes of said left and right channel interference signals, said magnitude of left channel interference signal is estimated by subtracting said right channel interference signal magnitude estimated during previous said iteration from said acoustic signal received at current said iter- ation; and said magnitude of right channel interference signal is estimated by subtracting said left channel interference signal magnitude estimated during previous said iteration from said acoustic signal received at current said iter- ation.
6. Apparatus according to Claim 5, wherein said transfer function estimate for said right stereo acoustic channel is determined by dividing said right channel interference magnitude estimate by said interfering signal transmitted from said right acoustic stereo channel; and said transfer function estimate for said left stereo acoustic channel is determined by dividing said left channel interference magnitude estimate by said interfering signal transmitted from said left acoustic stereo channel.
7. Apparatus according to Claim 6, wherein said right acoustic channel transfer function estimation is performed for a said iteration only if a ratio of total energy of said right acoustic stereo channel interfering signal over total energy of said left acoustic stereo channel interfering signal exceeds a predetermined threshold value; and said left acoustic channel transfer function estimation is performed for a said iteration only if a ratio of total energy of said left acoustic stereo channel interfering signal over total energy of said right acoustic stereo channel interfering signal exceeds a predetermined threshold value .
8. Apparatus according to Claim 7, wherein said ratio and threshold comparisons are applied to individual frequency components in spectra of said signals.
9. Apparatus according to Claim 8, wherein said left and right stereo acoustic channel transfer functions are multiplied by (l-|η(k) |) where η (k) is coherence of said left and right interfering signals at a frequency index k.
10. Apparatus according to Claim 4, wherein said transfer function estimate for said right stereo acoustic channel is obtained using an expression:
** R" {k) R" (k) **
and said transfer functions estimate for said left stereo acoustic channel is obtained using an expression:
"-iB.. La" {tkL) Λ' L»" ('k')''%ALltl
wherein R" (k)=HCR(k) .C(k) , with C (k) being a common component of said left and right stereo channel signals and HCR(k) is a transfer function between common said left and right stereo channel transmissions, and said right stereo channel and L" (k) =L (k) -HCL (k) . C (k) , where HCL(k) is a transfer function between common said left and right stereo channel transmissions and said left stereo channel signal.
11. Apparatus according to any one of claims 2 to 10, wherein said processing means further comprises means for smoothing said estimated transfer functions in time domain.
12. Apparatus according to claim 11, wherein said means for smoothing in time domain comprises a first order recursive filter.
13. Apparatus according to any one of claims 2 to 12, wherein said processing means further comprises means for smoothing said estimated transfer functions in frequency domain.
14. Apparatus according to Claim 13, wherein said means for smoothing in frequency domain comprises a Finite Impulse Response filter.
15. Apparatus according to any one of claims 2 to 14, wherein said processing means includes means for performing a Fourier Transform.
16. Apparatus according to any of the preceding claims, wherein said non- stationary interfering signals are produced by an electronic acoustic device operating in a vehicle.
17. Apparatus according to any one of the preceding claims, wherein said means for receiving an acoustic signal comprises a microphone.
18. A method of cancellation of one or more non-stationary interfering signals for speech recognition, said method including steps of: receiving an acoustic signal; generating an estimated value for a magnitude spectrum of said non- stationary interfering signal; and subtracting said estimated value from said received acoustic signal to produce a representation of a wanted speech magnitude spectrum.
19. Method according to Claim 18, wherein said step of generating an estimated value comprises estimating a transfer function for an acoustic channel between each source of said non- stationary interfering signals and said means for receiving an acoustic signal .
20. Method according to Claim 19, wherein said transfer functions are estimated for non-stationary interfering signals produced by left and right stereo channel transmissions .
21. Method according to any one of Claims 18 to 20, wherein said steps are executed iteratively on a frame-by- frame basis, the frames being constituted by said acoustic signals received during successive time periods.
22. Method according to Claim 21, when dependent upon Claim 20, wherein said step of estimating a transfer function includes : estimating a magnitude of said left channel interference signal by subtracting said right channel interference signal magnitude estimated during previous said iteration from said acoustic signal received at current said iteration; and estimating magnitude of said right channel interference signal by subtracting said left channel interference signal magnitude estimated during previous said iteration from said acoustic signal received at current said iteration.
23. Method according to Claim 22, further comprising steps of: dividing said right channel interference magnitude estimate by said interfering signal transmitted from said right acoustic stereo channel; and dividing said left channel interference magnitude estimated by said interfering signal transmitted from said left acoustic stereo channel .
24. Method according to Claim 23, wherein said step of estimating right acoustic channel transfer function is performed for a said iteration only if a ratio of total energy of said right acoustic stereo channel interfering signal over total energy of said left acoustic stereo channel interfering signal exceeds a predetermined threshold value; and said step of estimating left acoustic channel transfer function estimate is performed for a said iteration only if a ratio of total energy of said left acoustic stereo channel interfering signal over total energy of said right acoustic stereo channel interfering signal exceeds a predetermined threshold value.
25. Method according to Claim 24, wherein said ratio and threshold comparisons are applied to individual frequency components in spectra of said signals.
26. Method according to Claim 25, wherein said left and right stereo acoustic channel transfer functions are multiplied by (l-|η(k)|) where η (k) is coherence of said left and right interfering signals at a frequency index k.
27. Method according to Claim 21, wherein said transfer function estimate for said right stereo acoustic channel is obtained using an expression:
** R" {k) R" (k)
and said transfer functions estimate for said left stereo acoustic channel is obtained using an expression:
" L" {k) L" (k)
wherein R" (k)=HR(k) . C(k) , with C (k) being a common component of said left and right stereo channel signals and HCR(k) is a transfer function between common said left and right stereo channel transmissions, and said right stereo channel and L" (k) =L (k) -HCL (k) . C (k) , where HCL(k) is a transfer function between common said left and right stereo channel transmissions and said left stereo channel signal .
28. Method according to any one of Claims 18 to 27, further comprising a step of smoothing said estimated transfer functions in time domain.
29. Method according to any one of Claims 18 to 28, further comprising a step of smoothing said estimated transfer functions in frequency domain.
30. A speech recognition system including apparatus according to any one of claims 1 to 17.
31. An electronic acoustic device including apparatus according to any one of claims 1 to 17.
PCT/GB2000/0017151999-05-072000-05-05Cancellation of non-stationary interfering signals for speech recognitionWO2000068936A1 (en)

Priority Applications (3)

Application NumberPriority DateFiling DateTitle
AU45904/00AAU4590400A (en)1999-05-072000-05-05Cancellation of non-stationary interfering signals for speech recognition
EP00927504AEP1190417A1 (en)1999-05-072000-05-05Cancellation of non-stationary interfering signals for speech recognition
JP2000617442AJP2002544552A (en)1999-05-072000-05-05 Canceling non-stationary interference signals for speech recognition

Applications Claiming Priority (2)

Application NumberPriority DateFiling DateTitle
GBGB9910448.1AGB9910448D0 (en)1999-05-071999-05-07Cancellation of non-stationary interfering signals for speech recognition
GB9910448.11999-05-07

Publications (1)

Publication NumberPublication Date
WO2000068936A1true WO2000068936A1 (en)2000-11-16

Family

ID=10852897

Family Applications (1)

Application NumberTitlePriority DateFiling Date
PCT/GB2000/001715WO2000068936A1 (en)1999-05-072000-05-05Cancellation of non-stationary interfering signals for speech recognition

Country Status (5)

CountryLink
EP (1)EP1190417A1 (en)
JP (1)JP2002544552A (en)
AU (1)AU4590400A (en)
GB (1)GB9910448D0 (en)
WO (1)WO2000068936A1 (en)

Cited By (120)

* Cited by examiner, † Cited by third party
Publication numberPriority datePublication dateAssigneeTitle
WO2003017719A1 (en)*2001-08-082003-02-27Apple Computer, Inc.Integrated sound input system
EP1356452A4 (en)*2000-12-292004-03-31Cho Mi HwaVoice-controlled televison set and operating method thereof
JP2004264816A (en)*2002-09-062004-09-24Microsoft CorpMethod of iterative noise estimation in recursive framework
FR2864860A1 (en)*2004-01-072005-07-08Denso Corp NOISE CANCELLATION SYSTEM, VOICE RECOGNITION SYSTEM, AND AUTOMOTIVE NAVIGATION SYSTEM
EP1362342A4 (en)*2001-02-202005-09-14Sungwoo Techno IncA voice command identifier for a voice recognition system
US7349849B2 (en)2001-08-082008-03-25Apple, Inc.Spacing for microphone elements
US8892446B2 (en)2010-01-182014-11-18Apple Inc.Service orchestration for intelligent automated assistant
US9262612B2 (en)2011-03-212016-02-16Apple Inc.Device access using voice authentication
US9300784B2 (en)2013-06-132016-03-29Apple Inc.System and method for emergency calls initiated by voice command
US9330720B2 (en)2008-01-032016-05-03Apple Inc.Methods and apparatus for altering audio output signals
US9338493B2 (en)2014-06-302016-05-10Apple Inc.Intelligent automated assistant for TV user interactions
US9368114B2 (en)2013-03-142016-06-14Apple Inc.Context-sensitive handling of interruptions
US9430463B2 (en)2014-05-302016-08-30Apple Inc.Exemplar-based natural language processing
US9483461B2 (en)2012-03-062016-11-01Apple Inc.Handling speech synthesis of content for multiple languages
US9495129B2 (en)2012-06-292016-11-15Apple Inc.Device, method, and user interface for voice-activated navigation and browsing of a document
US9502031B2 (en)2014-05-272016-11-22Apple Inc.Method for supporting dynamic grammars in WFST-based ASR
US9535906B2 (en)2008-07-312017-01-03Apple Inc.Mobile device having human language translation capability with positional feedback
US9576574B2 (en)2012-09-102017-02-21Apple Inc.Context-sensitive handling of interruptions by intelligent digital assistant
US9582608B2 (en)2013-06-072017-02-28Apple Inc.Unified ranking with entropy-weighted information for phrase-based semantic auto-completion
US9620105B2 (en)2014-05-152017-04-11Apple Inc.Analyzing audio input for efficient speech and music recognition
US9620104B2 (en)2013-06-072017-04-11Apple Inc.System and method for user-specified pronunciation of words for speech synthesis and recognition
US9626955B2 (en)2008-04-052017-04-18Apple Inc.Intelligent text-to-speech conversion
US9633674B2 (en)2013-06-072017-04-25Apple Inc.System and method for detecting errors in interactions with a voice-based digital assistant
US9633660B2 (en)2010-02-252017-04-25Apple Inc.User profiling for voice input processing
US9633004B2 (en)2014-05-302017-04-25Apple Inc.Better resolution when referencing to concepts
US9646614B2 (en)2000-03-162017-05-09Apple Inc.Fast, language-independent method for user authentication by voice
US9646609B2 (en)2014-09-302017-05-09Apple Inc.Caching apparatus for serving phonetic pronunciations
US9668121B2 (en)2014-09-302017-05-30Apple Inc.Social reminders
US9697822B1 (en)2013-03-152017-07-04Apple Inc.System and method for updating an adaptive speech recognition model
US9697820B2 (en)2015-09-242017-07-04Apple Inc.Unit-selection text-to-speech synthesis using concatenation-sensitive neural networks
US9711141B2 (en)2014-12-092017-07-18Apple Inc.Disambiguating heteronyms in speech synthesis
US9715875B2 (en)2014-05-302017-07-25Apple Inc.Reducing the need for manual start/end-pointing and trigger phrases
US9721566B2 (en)2015-03-082017-08-01Apple Inc.Competing devices responding to voice triggers
US9734193B2 (en)2014-05-302017-08-15Apple Inc.Determining domain salience ranking from ambiguous words in natural speech
US9760559B2 (en)2014-05-302017-09-12Apple Inc.Predictive text input
US9785630B2 (en)2014-05-302017-10-10Apple Inc.Text prediction using combined word N-gram and unigram language models
US9798393B2 (en)2011-08-292017-10-24Apple Inc.Text correction processing
US9818400B2 (en)2014-09-112017-11-14Apple Inc.Method and apparatus for discovering trending terms in speech requests
US9842105B2 (en)2015-04-162017-12-12Apple Inc.Parsimonious continuous-space phrase representations for natural language processing
US9842101B2 (en)2014-05-302017-12-12Apple Inc.Predictive conversion of language input
US9858925B2 (en)2009-06-052018-01-02Apple Inc.Using context information to facilitate processing of commands in a virtual assistant
US9865280B2 (en)2015-03-062018-01-09Apple Inc.Structured dictation using intelligent automated assistants
US9886432B2 (en)2014-09-302018-02-06Apple Inc.Parsimonious handling of word inflection via categorical stem + suffix N-gram language models
US9886953B2 (en)2015-03-082018-02-06Apple Inc.Virtual assistant activation
US9899019B2 (en)2015-03-182018-02-20Apple Inc.Systems and methods for structured stem and suffix language models
US9922642B2 (en)2013-03-152018-03-20Apple Inc.Training an at least partial voice command system
US9934775B2 (en)2016-05-262018-04-03Apple Inc.Unit-selection text-to-speech synthesis based on predicted concatenation parameters
US9953088B2 (en)2012-05-142018-04-24Apple Inc.Crowd sourcing information to fulfill user requests
US9959870B2 (en)2008-12-112018-05-01Apple Inc.Speech recognition involving a mobile device
US9966068B2 (en)2013-06-082018-05-08Apple Inc.Interpreting and acting upon commands that involve sharing information with remote devices
US9966065B2 (en)2014-05-302018-05-08Apple Inc.Multi-command single utterance input method
US9971774B2 (en)2012-09-192018-05-15Apple Inc.Voice-based media searching
US9972304B2 (en)2016-06-032018-05-15Apple Inc.Privacy preserving distributed evaluation framework for embedded personalized systems
US10043516B2 (en)2016-09-232018-08-07Apple Inc.Intelligent automated assistant
US10049663B2 (en)2016-06-082018-08-14Apple, Inc.Intelligent automated assistant for media exploration
US10049668B2 (en)2015-12-022018-08-14Apple Inc.Applying neural network language models to weighted finite state transducers for automatic speech recognition
US10057736B2 (en)2011-06-032018-08-21Apple Inc.Active transport based notifications
US10067938B2 (en)2016-06-102018-09-04Apple Inc.Multilingual word prediction
US10074360B2 (en)2014-09-302018-09-11Apple Inc.Providing an indication of the suitability of speech recognition
US10079014B2 (en)2012-06-082018-09-18Apple Inc.Name recognition system
US10078631B2 (en)2014-05-302018-09-18Apple Inc.Entropy-guided text prediction using combined word and character n-gram language models
US10083688B2 (en)2015-05-272018-09-25Apple Inc.Device voice control for selecting a displayed affordance
US10089072B2 (en)2016-06-112018-10-02Apple Inc.Intelligent device arbitration and control
US10101822B2 (en)2015-06-052018-10-16Apple Inc.Language input correction
US10127220B2 (en)2015-06-042018-11-13Apple Inc.Language identification from short strings
US10127911B2 (en)2014-09-302018-11-13Apple Inc.Speaker identification and unsupervised speaker adaptation techniques
US10134385B2 (en)2012-03-022018-11-20Apple Inc.Systems and methods for name pronunciation
US10170123B2 (en)2014-05-302019-01-01Apple Inc.Intelligent assistant for home automation
US10176167B2 (en)2013-06-092019-01-08Apple Inc.System and method for inferring user intent from speech inputs
US10185542B2 (en)2013-06-092019-01-22Apple Inc.Device, method, and graphical user interface for enabling conversation persistence across two or more instances of a digital assistant
US10186254B2 (en)2015-06-072019-01-22Apple Inc.Context-based endpoint detection
US10192552B2 (en)2016-06-102019-01-29Apple Inc.Digital assistant providing whispered speech
US10199051B2 (en)2013-02-072019-02-05Apple Inc.Voice trigger for a digital assistant
US10223066B2 (en)2015-12-232019-03-05Apple Inc.Proactive assistance based on dialog communication between devices
US10241752B2 (en)2011-09-302019-03-26Apple Inc.Interface for a virtual digital assistant
US10241644B2 (en)2011-06-032019-03-26Apple Inc.Actionable reminder entries
US10249300B2 (en)2016-06-062019-04-02Apple Inc.Intelligent list reading
US10255907B2 (en)2015-06-072019-04-09Apple Inc.Automatic accent detection using acoustic models
US10269345B2 (en)2016-06-112019-04-23Apple Inc.Intelligent task discovery
US10276170B2 (en)2010-01-182019-04-30Apple Inc.Intelligent automated assistant
US10283110B2 (en)2009-07-022019-05-07Apple Inc.Methods and apparatuses for automatic speech recognition
US10289433B2 (en)2014-05-302019-05-14Apple Inc.Domain specific language for encoding assistant dialog
US10297253B2 (en)2016-06-112019-05-21Apple Inc.Application integration with a digital assistant
US10318871B2 (en)2005-09-082019-06-11Apple Inc.Method and apparatus for building an intelligent automated assistant
US10354011B2 (en)2016-06-092019-07-16Apple Inc.Intelligent automated assistant in a home environment
US10356243B2 (en)2015-06-052019-07-16Apple Inc.Virtual assistant aided communication with 3rd party service in a communication session
US10366158B2 (en)2015-09-292019-07-30Apple Inc.Efficient word encoding for recurrent neural network language models
US10410637B2 (en)2017-05-122019-09-10Apple Inc.User-specific acoustic models
US10446141B2 (en)2014-08-282019-10-15Apple Inc.Automatic speech recognition based on user feedback
US10446143B2 (en)2016-03-142019-10-15Apple Inc.Identification of voice inputs providing credentials
US10482874B2 (en)2017-05-152019-11-19Apple Inc.Hierarchical belief states for digital assistants
US10490187B2 (en)2016-06-102019-11-26Apple Inc.Digital assistant providing automated status report
US10496753B2 (en)2010-01-182019-12-03Apple Inc.Automatically adapting user interfaces for hands-free interaction
US10509862B2 (en)2016-06-102019-12-17Apple Inc.Dynamic phrase expansion of language input
US10521466B2 (en)2016-06-112019-12-31Apple Inc.Data driven natural language event detection and classification
US10552013B2 (en)2014-12-022020-02-04Apple Inc.Data detection
US10553209B2 (en)2010-01-182020-02-04Apple Inc.Systems and methods for hands-free notification summaries
US10567477B2 (en)2015-03-082020-02-18Apple Inc.Virtual assistant continuity
US10568032B2 (en)2007-04-032020-02-18Apple Inc.Method and system for operating a multi-function portable electronic device using voice-activation
US10593346B2 (en)2016-12-222020-03-17Apple Inc.Rank-reduced token representation for automatic speech recognition
US10592095B2 (en)2014-05-232020-03-17Apple Inc.Instantaneous speaking of content on touch devices
US10607140B2 (en)2010-01-252020-03-31Newvaluexchange Ltd.Apparatuses, methods and systems for a digital conversation management platform
US10659851B2 (en)2014-06-302020-05-19Apple Inc.Real-time digital assistant knowledge updates
US10671428B2 (en)2015-09-082020-06-02Apple Inc.Distributed personal assistant
US10679605B2 (en)2010-01-182020-06-09Apple Inc.Hands-free list-reading by intelligent automated assistant
US10691473B2 (en)2015-11-062020-06-23Apple Inc.Intelligent automated assistant in a messaging environment
US10706373B2 (en)2011-06-032020-07-07Apple Inc.Performing actions associated with task items that represent tasks to perform
US10705794B2 (en)2010-01-182020-07-07Apple Inc.Automatically adapting user interfaces for hands-free interaction
US10733993B2 (en)2016-06-102020-08-04Apple Inc.Intelligent digital assistant in a multi-tasking environment
US10747498B2 (en)2015-09-082020-08-18Apple Inc.Zero latency digital assistant
US10755703B2 (en)2017-05-112020-08-25Apple Inc.Offline personal assistant
US10762293B2 (en)2010-12-222020-09-01Apple Inc.Using parts-of-speech tagging and named entity recognition for spelling correction
US10791176B2 (en)2017-05-122020-09-29Apple Inc.Synchronization and task delegation of a digital assistant
US10791216B2 (en)2013-08-062020-09-29Apple Inc.Auto-activating smart responses based on activities from remote devices
US10810274B2 (en)2017-05-152020-10-20Apple Inc.Optimizing dialogue policy decisions for digital assistants using implicit feedback
US11010550B2 (en)2015-09-292021-05-18Apple Inc.Unified language modeling framework for word prediction, auto-completion and auto-correction
US11025565B2 (en)2015-06-072021-06-01Apple Inc.Personalized prediction of responses for instant messaging
US11217255B2 (en)2017-05-162022-01-04Apple Inc.Far-field extension for digital assistant services
US11587559B2 (en)2015-09-302023-02-21Apple Inc.Intelligent device identification
CN120472913A (en)*2025-07-152025-08-12广东海洋大学 A method for recognizing the vocalizations of golden pomfret schools in cages based on dual-channel time-varying Wiener filtering

Citations (2)

* Cited by examiner, † Cited by third party
Publication numberPriority datePublication dateAssigneeTitle
EP0856834A2 (en)*1997-01-291998-08-05Nec CorporationNoise canceler
US5864804A (en)*1995-06-101999-01-26U.S. Philips CorporationVoice recognition system

Patent Citations (2)

* Cited by examiner, † Cited by third party
Publication numberPriority datePublication dateAssigneeTitle
US5864804A (en)*1995-06-101999-01-26U.S. Philips CorporationVoice recognition system
EP0856834A2 (en)*1997-01-291998-08-05Nec CorporationNoise canceler

Cited By (166)

* Cited by examiner, † Cited by third party
Publication numberPriority datePublication dateAssigneeTitle
US9646614B2 (en)2000-03-162017-05-09Apple Inc.Fast, language-independent method for user authentication by voice
EP1356452A4 (en)*2000-12-292004-03-31Cho Mi HwaVoice-controlled televison set and operating method thereof
EP1362342A4 (en)*2001-02-202005-09-14Sungwoo Techno IncA voice command identifier for a voice recognition system
WO2003017719A1 (en)*2001-08-082003-02-27Apple Computer, Inc.Integrated sound input system
US7349849B2 (en)2001-08-082008-03-25Apple, Inc.Spacing for microphone elements
JP2004264816A (en)*2002-09-062004-09-24Microsoft CorpMethod of iterative noise estimation in recursive framework
FR2864860A1 (en)*2004-01-072005-07-08Denso Corp NOISE CANCELLATION SYSTEM, VOICE RECOGNITION SYSTEM, AND AUTOMOTIVE NAVIGATION SYSTEM
US8010354B2 (en)2004-01-072011-08-30Denso CorporationNoise cancellation system, speech recognition system, and car navigation system
US10318871B2 (en)2005-09-082019-06-11Apple Inc.Method and apparatus for building an intelligent automated assistant
US8942986B2 (en)2006-09-082015-01-27Apple Inc.Determining user intent based on ontologies of domains
US9117447B2 (en)2006-09-082015-08-25Apple Inc.Using event alert text as input to an automated assistant
US8930191B2 (en)2006-09-082015-01-06Apple Inc.Paraphrasing of user requests and results by automated digital assistant
US10568032B2 (en)2007-04-032020-02-18Apple Inc.Method and system for operating a multi-function portable electronic device using voice-activation
US10381016B2 (en)2008-01-032019-08-13Apple Inc.Methods and apparatus for altering audio output signals
US9330720B2 (en)2008-01-032016-05-03Apple Inc.Methods and apparatus for altering audio output signals
US9865248B2 (en)2008-04-052018-01-09Apple Inc.Intelligent text-to-speech conversion
US9626955B2 (en)2008-04-052017-04-18Apple Inc.Intelligent text-to-speech conversion
US10108612B2 (en)2008-07-312018-10-23Apple Inc.Mobile device having human language translation capability with positional feedback
US9535906B2 (en)2008-07-312017-01-03Apple Inc.Mobile device having human language translation capability with positional feedback
US9959870B2 (en)2008-12-112018-05-01Apple Inc.Speech recognition involving a mobile device
US9858925B2 (en)2009-06-052018-01-02Apple Inc.Using context information to facilitate processing of commands in a virtual assistant
US11080012B2 (en)2009-06-052021-08-03Apple Inc.Interface for a virtual digital assistant
US10475446B2 (en)2009-06-052019-11-12Apple Inc.Using context information to facilitate processing of commands in a virtual assistant
US10795541B2 (en)2009-06-052020-10-06Apple Inc.Intelligent organization of tasks items
US10283110B2 (en)2009-07-022019-05-07Apple Inc.Methods and apparatuses for automatic speech recognition
US10276170B2 (en)2010-01-182019-04-30Apple Inc.Intelligent automated assistant
US8892446B2 (en)2010-01-182014-11-18Apple Inc.Service orchestration for intelligent automated assistant
US9548050B2 (en)2010-01-182017-01-17Apple Inc.Intelligent automated assistant
US10705794B2 (en)2010-01-182020-07-07Apple Inc.Automatically adapting user interfaces for hands-free interaction
US8903716B2 (en)2010-01-182014-12-02Apple Inc.Personalized vocabulary for digital assistant
US9318108B2 (en)2010-01-182016-04-19Apple Inc.Intelligent automated assistant
US11423886B2 (en)2010-01-182022-08-23Apple Inc.Task flow identification based on user intent
US10553209B2 (en)2010-01-182020-02-04Apple Inc.Systems and methods for hands-free notification summaries
US10496753B2 (en)2010-01-182019-12-03Apple Inc.Automatically adapting user interfaces for hands-free interaction
US10679605B2 (en)2010-01-182020-06-09Apple Inc.Hands-free list-reading by intelligent automated assistant
US12087308B2 (en)2010-01-182024-09-10Apple Inc.Intelligent automated assistant
US10706841B2 (en)2010-01-182020-07-07Apple Inc.Task flow identification based on user intent
US12307383B2 (en)2010-01-252025-05-20Newvaluexchange Global Ai LlpApparatuses, methods and systems for a digital conversation management platform
US10984326B2 (en)2010-01-252021-04-20Newvaluexchange Ltd.Apparatuses, methods and systems for a digital conversation management platform
US10984327B2 (en)2010-01-252021-04-20New Valuexchange Ltd.Apparatuses, methods and systems for a digital conversation management platform
US11410053B2 (en)2010-01-252022-08-09Newvaluexchange Ltd.Apparatuses, methods and systems for a digital conversation management platform
US10607141B2 (en)2010-01-252020-03-31Newvaluexchange Ltd.Apparatuses, methods and systems for a digital conversation management platform
US10607140B2 (en)2010-01-252020-03-31Newvaluexchange Ltd.Apparatuses, methods and systems for a digital conversation management platform
US10049675B2 (en)2010-02-252018-08-14Apple Inc.User profiling for voice input processing
US9633660B2 (en)2010-02-252017-04-25Apple Inc.User profiling for voice input processing
US10762293B2 (en)2010-12-222020-09-01Apple Inc.Using parts-of-speech tagging and named entity recognition for spelling correction
US10102359B2 (en)2011-03-212018-10-16Apple Inc.Device access using voice authentication
US9262612B2 (en)2011-03-212016-02-16Apple Inc.Device access using voice authentication
US10706373B2 (en)2011-06-032020-07-07Apple Inc.Performing actions associated with task items that represent tasks to perform
US11120372B2 (en)2011-06-032021-09-14Apple Inc.Performing actions associated with task items that represent tasks to perform
US10241644B2 (en)2011-06-032019-03-26Apple Inc.Actionable reminder entries
US10057736B2 (en)2011-06-032018-08-21Apple Inc.Active transport based notifications
US9798393B2 (en)2011-08-292017-10-24Apple Inc.Text correction processing
US10241752B2 (en)2011-09-302019-03-26Apple Inc.Interface for a virtual digital assistant
US10134385B2 (en)2012-03-022018-11-20Apple Inc.Systems and methods for name pronunciation
US9483461B2 (en)2012-03-062016-11-01Apple Inc.Handling speech synthesis of content for multiple languages
US9953088B2 (en)2012-05-142018-04-24Apple Inc.Crowd sourcing information to fulfill user requests
US10079014B2 (en)2012-06-082018-09-18Apple Inc.Name recognition system
US9495129B2 (en)2012-06-292016-11-15Apple Inc.Device, method, and user interface for voice-activated navigation and browsing of a document
US9576574B2 (en)2012-09-102017-02-21Apple Inc.Context-sensitive handling of interruptions by intelligent digital assistant
US9971774B2 (en)2012-09-192018-05-15Apple Inc.Voice-based media searching
US10199051B2 (en)2013-02-072019-02-05Apple Inc.Voice trigger for a digital assistant
US10978090B2 (en)2013-02-072021-04-13Apple Inc.Voice trigger for a digital assistant
US9368114B2 (en)2013-03-142016-06-14Apple Inc.Context-sensitive handling of interruptions
US9922642B2 (en)2013-03-152018-03-20Apple Inc.Training an at least partial voice command system
US9697822B1 (en)2013-03-152017-07-04Apple Inc.System and method for updating an adaptive speech recognition model
US9582608B2 (en)2013-06-072017-02-28Apple Inc.Unified ranking with entropy-weighted information for phrase-based semantic auto-completion
US9620104B2 (en)2013-06-072017-04-11Apple Inc.System and method for user-specified pronunciation of words for speech synthesis and recognition
US9966060B2 (en)2013-06-072018-05-08Apple Inc.System and method for user-specified pronunciation of words for speech synthesis and recognition
US9633674B2 (en)2013-06-072017-04-25Apple Inc.System and method for detecting errors in interactions with a voice-based digital assistant
US9966068B2 (en)2013-06-082018-05-08Apple Inc.Interpreting and acting upon commands that involve sharing information with remote devices
US10657961B2 (en)2013-06-082020-05-19Apple Inc.Interpreting and acting upon commands that involve sharing information with remote devices
US10185542B2 (en)2013-06-092019-01-22Apple Inc.Device, method, and graphical user interface for enabling conversation persistence across two or more instances of a digital assistant
US10176167B2 (en)2013-06-092019-01-08Apple Inc.System and method for inferring user intent from speech inputs
US9300784B2 (en)2013-06-132016-03-29Apple Inc.System and method for emergency calls initiated by voice command
US10791216B2 (en)2013-08-062020-09-29Apple Inc.Auto-activating smart responses based on activities from remote devices
US9620105B2 (en)2014-05-152017-04-11Apple Inc.Analyzing audio input for efficient speech and music recognition
US10592095B2 (en)2014-05-232020-03-17Apple Inc.Instantaneous speaking of content on touch devices
US9502031B2 (en)2014-05-272016-11-22Apple Inc.Method for supporting dynamic grammars in WFST-based ASR
US9760559B2 (en)2014-05-302017-09-12Apple Inc.Predictive text input
US10083690B2 (en)2014-05-302018-09-25Apple Inc.Better resolution when referencing to concepts
US9734193B2 (en)2014-05-302017-08-15Apple Inc.Determining domain salience ranking from ambiguous words in natural speech
US10170123B2 (en)2014-05-302019-01-01Apple Inc.Intelligent assistant for home automation
US10169329B2 (en)2014-05-302019-01-01Apple Inc.Exemplar-based natural language processing
US9842101B2 (en)2014-05-302017-12-12Apple Inc.Predictive conversion of language input
US9633004B2 (en)2014-05-302017-04-25Apple Inc.Better resolution when referencing to concepts
US10289433B2 (en)2014-05-302019-05-14Apple Inc.Domain specific language for encoding assistant dialog
US9430463B2 (en)2014-05-302016-08-30Apple Inc.Exemplar-based natural language processing
US11257504B2 (en)2014-05-302022-02-22Apple Inc.Intelligent assistant for home automation
US11133008B2 (en)2014-05-302021-09-28Apple Inc.Reducing the need for manual start/end-pointing and trigger phrases
US9966065B2 (en)2014-05-302018-05-08Apple Inc.Multi-command single utterance input method
US10078631B2 (en)2014-05-302018-09-18Apple Inc.Entropy-guided text prediction using combined word and character n-gram language models
US9715875B2 (en)2014-05-302017-07-25Apple Inc.Reducing the need for manual start/end-pointing and trigger phrases
US10497365B2 (en)2014-05-302019-12-03Apple Inc.Multi-command single utterance input method
US9785630B2 (en)2014-05-302017-10-10Apple Inc.Text prediction using combined word N-gram and unigram language models
US9668024B2 (en)2014-06-302017-05-30Apple Inc.Intelligent automated assistant for TV user interactions
US10904611B2 (en)2014-06-302021-01-26Apple Inc.Intelligent automated assistant for TV user interactions
US10659851B2 (en)2014-06-302020-05-19Apple Inc.Real-time digital assistant knowledge updates
US9338493B2 (en)2014-06-302016-05-10Apple Inc.Intelligent automated assistant for TV user interactions
US10446141B2 (en)2014-08-282019-10-15Apple Inc.Automatic speech recognition based on user feedback
US9818400B2 (en)2014-09-112017-11-14Apple Inc.Method and apparatus for discovering trending terms in speech requests
US10431204B2 (en)2014-09-112019-10-01Apple Inc.Method and apparatus for discovering trending terms in speech requests
US9668121B2 (en)2014-09-302017-05-30Apple Inc.Social reminders
US9646609B2 (en)2014-09-302017-05-09Apple Inc.Caching apparatus for serving phonetic pronunciations
US9886432B2 (en)2014-09-302018-02-06Apple Inc.Parsimonious handling of word inflection via categorical stem + suffix N-gram language models
US10127911B2 (en)2014-09-302018-11-13Apple Inc.Speaker identification and unsupervised speaker adaptation techniques
US9986419B2 (en)2014-09-302018-05-29Apple Inc.Social reminders
US10074360B2 (en)2014-09-302018-09-11Apple Inc.Providing an indication of the suitability of speech recognition
US10552013B2 (en)2014-12-022020-02-04Apple Inc.Data detection
US11556230B2 (en)2014-12-022023-01-17Apple Inc.Data detection
US9711141B2 (en)2014-12-092017-07-18Apple Inc.Disambiguating heteronyms in speech synthesis
US9865280B2 (en)2015-03-062018-01-09Apple Inc.Structured dictation using intelligent automated assistants
US9886953B2 (en)2015-03-082018-02-06Apple Inc.Virtual assistant activation
US9721566B2 (en)2015-03-082017-08-01Apple Inc.Competing devices responding to voice triggers
US11087759B2 (en)2015-03-082021-08-10Apple Inc.Virtual assistant activation
US10311871B2 (en)2015-03-082019-06-04Apple Inc.Competing devices responding to voice triggers
US10567477B2 (en)2015-03-082020-02-18Apple Inc.Virtual assistant continuity
US9899019B2 (en)2015-03-182018-02-20Apple Inc.Systems and methods for structured stem and suffix language models
US9842105B2 (en)2015-04-162017-12-12Apple Inc.Parsimonious continuous-space phrase representations for natural language processing
US10083688B2 (en)2015-05-272018-09-25Apple Inc.Device voice control for selecting a displayed affordance
US10127220B2 (en)2015-06-042018-11-13Apple Inc.Language identification from short strings
US10356243B2 (en)2015-06-052019-07-16Apple Inc.Virtual assistant aided communication with 3rd party service in a communication session
US10101822B2 (en)2015-06-052018-10-16Apple Inc.Language input correction
US11025565B2 (en)2015-06-072021-06-01Apple Inc.Personalized prediction of responses for instant messaging
US10255907B2 (en)2015-06-072019-04-09Apple Inc.Automatic accent detection using acoustic models
US10186254B2 (en)2015-06-072019-01-22Apple Inc.Context-based endpoint detection
US11500672B2 (en)2015-09-082022-11-15Apple Inc.Distributed personal assistant
US10671428B2 (en)2015-09-082020-06-02Apple Inc.Distributed personal assistant
US10747498B2 (en)2015-09-082020-08-18Apple Inc.Zero latency digital assistant
US9697820B2 (en)2015-09-242017-07-04Apple Inc.Unit-selection text-to-speech synthesis using concatenation-sensitive neural networks
US10366158B2 (en)2015-09-292019-07-30Apple Inc.Efficient word encoding for recurrent neural network language models
US11010550B2 (en)2015-09-292021-05-18Apple Inc.Unified language modeling framework for word prediction, auto-completion and auto-correction
US11587559B2 (en)2015-09-302023-02-21Apple Inc.Intelligent device identification
US10691473B2 (en)2015-11-062020-06-23Apple Inc.Intelligent automated assistant in a messaging environment
US11526368B2 (en)2015-11-062022-12-13Apple Inc.Intelligent automated assistant in a messaging environment
US10049668B2 (en)2015-12-022018-08-14Apple Inc.Applying neural network language models to weighted finite state transducers for automatic speech recognition
US10223066B2 (en)2015-12-232019-03-05Apple Inc.Proactive assistance based on dialog communication between devices
US10446143B2 (en)2016-03-142019-10-15Apple Inc.Identification of voice inputs providing credentials
US9934775B2 (en)2016-05-262018-04-03Apple Inc.Unit-selection text-to-speech synthesis based on predicted concatenation parameters
US9972304B2 (en)2016-06-032018-05-15Apple Inc.Privacy preserving distributed evaluation framework for embedded personalized systems
US10249300B2 (en)2016-06-062019-04-02Apple Inc.Intelligent list reading
US10049663B2 (en)2016-06-082018-08-14Apple, Inc.Intelligent automated assistant for media exploration
US11069347B2 (en)2016-06-082021-07-20Apple Inc.Intelligent automated assistant for media exploration
US10354011B2 (en)2016-06-092019-07-16Apple Inc.Intelligent automated assistant in a home environment
US10733993B2 (en)2016-06-102020-08-04Apple Inc.Intelligent digital assistant in a multi-tasking environment
US10509862B2 (en)2016-06-102019-12-17Apple Inc.Dynamic phrase expansion of language input
US10490187B2 (en)2016-06-102019-11-26Apple Inc.Digital assistant providing automated status report
US11037565B2 (en)2016-06-102021-06-15Apple Inc.Intelligent digital assistant in a multi-tasking environment
US10192552B2 (en)2016-06-102019-01-29Apple Inc.Digital assistant providing whispered speech
US10067938B2 (en)2016-06-102018-09-04Apple Inc.Multilingual word prediction
US11152002B2 (en)2016-06-112021-10-19Apple Inc.Application integration with a digital assistant
US10521466B2 (en)2016-06-112019-12-31Apple Inc.Data driven natural language event detection and classification
US10089072B2 (en)2016-06-112018-10-02Apple Inc.Intelligent device arbitration and control
US10269345B2 (en)2016-06-112019-04-23Apple Inc.Intelligent task discovery
US10297253B2 (en)2016-06-112019-05-21Apple Inc.Application integration with a digital assistant
US10043516B2 (en)2016-09-232018-08-07Apple Inc.Intelligent automated assistant
US10553215B2 (en)2016-09-232020-02-04Apple Inc.Intelligent automated assistant
US10593346B2 (en)2016-12-222020-03-17Apple Inc.Rank-reduced token representation for automatic speech recognition
US10755703B2 (en)2017-05-112020-08-25Apple Inc.Offline personal assistant
US10410637B2 (en)2017-05-122019-09-10Apple Inc.User-specific acoustic models
US11405466B2 (en)2017-05-122022-08-02Apple Inc.Synchronization and task delegation of a digital assistant
US10791176B2 (en)2017-05-122020-09-29Apple Inc.Synchronization and task delegation of a digital assistant
US10482874B2 (en)2017-05-152019-11-19Apple Inc.Hierarchical belief states for digital assistants
US10810274B2 (en)2017-05-152020-10-20Apple Inc.Optimizing dialogue policy decisions for digital assistants using implicit feedback
US11217255B2 (en)2017-05-162022-01-04Apple Inc.Far-field extension for digital assistant services
CN120472913A (en)*2025-07-152025-08-12广东海洋大学 A method for recognizing the vocalizations of golden pomfret schools in cages based on dual-channel time-varying Wiener filtering

Also Published As

Publication numberPublication date
GB9910448D0 (en)1999-07-07
AU4590400A (en)2000-11-21
EP1190417A1 (en)2002-03-27
JP2002544552A (en)2002-12-24

Similar Documents

PublicationPublication DateTitle
WO2000068936A1 (en)Cancellation of non-stationary interfering signals for speech recognition
EP1855457B1 (en)Multi channel echo compensation using a decorrelation stage
US5933495A (en)Subband acoustic noise suppression
JP4283212B2 (en) Noise removal apparatus, noise removal program, and noise removal method
US8594320B2 (en)Hybrid echo and noise suppression method and device in a multi-channel audio signal
EP0843934B1 (en)Arrangement for suppressing an interfering component of an input signal
US9992572B2 (en)Dereverberation system for use in a signal processing apparatus
US20040264610A1 (en)Interference cancelling method and system for multisensor antenna
EP1715669A1 (en)A method for removing echo in an audio signal
CN111213359B (en)Echo canceller and method for echo canceller
CA2416128A1 (en)Sub-band exponential smoothing noise canceling system
JP2003534570A (en) How to suppress noise in adaptive beamformers
EP0789476B1 (en)Noise reduction arrangement
AU8813398A (en)Method and device for blind equalizing of transmission channel effects on a digital speech signal
JP2003500936A (en) Improving near-end audio signals in echo suppression systems
US8199928B2 (en)System for processing an acoustic input signal to provide an output signal with reduced noise
US5241692A (en)Interference reduction system for a speech recognition device
KR100470523B1 (en)Process and Apparatus for Eliminating Loudspeaker Interference from Microphone Signals
JPH07283796A (en) Source characterization system
KR100386488B1 (en)Arrangement for communication with a subscriber
Huang et al.Adaptive multichannel time delay estimation based on blind system identification for acoustic source localization
KR101537653B1 (en)Method and system for noise reduction based on spectral and temporal correlations
JP3786038B2 (en) Input signal processing method and input signal processing apparatus
JP2005514668A (en) Speech enhancement system with a spectral power ratio dependent processor
KR100875264B1 (en) Post-processing method for blind signal separation

Legal Events

DateCodeTitleDescription
AKDesignated states

Kind code of ref document:A1

Designated state(s):AE AG AL AM AT AU AZ BA BB BG BR BY CA CH CN CR CU CZ DE DK DM DZ EE ES FI GB GD GE GH GM HR HU ID IL IN IS JP KE KG KP KR KZ LC LK LR LS LT LU LV MA MD MG MK MN MW MX NO NZ PL PT RO RU SD SE SG SI SK SL TJ TM TR TT TZ UA UG US UZ VN YU ZA ZW

ALDesignated countries for regional patents

Kind code of ref document:A1

Designated state(s):GH GM KE LS MW SD SL SZ TZ UG ZW AM AZ BY KG KZ MD RU TJ TM AT BE CH CY DE DK ES FI FR GB GR IE IT LU MC NL PT SE BF BJ CF CG CI CM GA GN GW ML MR NE SN TD TG

121Ep: the epo has been informed by wipo that ep was designated in this application
DFPERequest for preliminary examination filed prior to expiration of 19th month from priority date (pct application filed before 20040101)
WWEWipo information: entry into national phase

Ref document number:2000927504

Country of ref document:EP

ENPEntry into the national phase

Ref country code:JP

Ref document number:2000 617442

Kind code of ref document:A

Format of ref document f/p:F

REGReference to national code

Ref country code:DE

Ref legal event code:8642

WWPWipo information: published in national office

Ref document number:2000927504

Country of ref document:EP

WWEWipo information: entry into national phase

Ref document number:10030524

Country of ref document:US

WWWWipo information: withdrawn in national office

Ref document number:2000927504

Country of ref document:EP


[8]ページ先頭

©2009-2025 Movatter.jp