Movatterモバイル変換


[0]ホーム

URL:


WO2000054418A1 - Unsupervised adaptive chip separation filter for cdma terminal - Google Patents

Unsupervised adaptive chip separation filter for cdma terminal
Download PDF

Info

Publication number
WO2000054418A1
WO2000054418A1PCT/FI2000/000192FI0000192WWO0054418A1WO 2000054418 A1WO2000054418 A1WO 2000054418A1FI 0000192 WFI0000192 WFI 0000192WWO 0054418 A1WO0054418 A1WO 0054418A1
Authority
WO
WIPO (PCT)
Prior art keywords
receiver
channel
cdma
chip
adaptive
Prior art date
Application number
PCT/FI2000/000192
Other languages
French (fr)
Inventor
Petri Komulainen
Markku HEIKKILÄ
Original Assignee
Nokia Mobile Phones Ltd.
Priority date (The priority date is an assumption and is not a legal conclusion. Google has not performed a legal analysis and makes no representation as to the accuracy of the date listed.)
Filing date
Publication date
Priority claimed from US09/521,439external-prioritypatent/US6721293B1/en
Application filed by Nokia Mobile Phones Ltd.filedCriticalNokia Mobile Phones Ltd.
Priority to EP00912679ApriorityCriticalpatent/EP1157474A1/en
Priority to JP2000604534Aprioritypatent/JP2002539666A/en
Priority to AU34342/00Aprioritypatent/AU3434200A/en
Publication of WO2000054418A1publicationCriticalpatent/WO2000054418A1/en

Links

Classifications

Definitions

Landscapes

Abstract

A receiver for use in a CDMA telecommunications system is disclosed. The receiver includes at least one antenna for receiving signals from a CDMA channel, where the received signals include a desired user signal. The receiver also includes combining circuitry, for performing chip waveform filtering and maximal ratio combining, to produce mutually correlated chip estimates of the received signals. The receiver further includes an adaptive separator, for adaptively separating the mutually correlated chip estimates, and a correlator, for despreading the output of the adaptive separator to obtain an estimate for data symbols of the desired user signal. In addition, the receiver further includes estimating circuitry, coupled to the combining circuitry, for estimating a response of the channel, where the combining circuitry utilizes the channel response estimate as a reference.

Description

UNSUPERVISED ADAPTIVE CHIP SEPARATION FILTER FOR CDMA TERMINAL
This is a continuation in part of U.S. Patent Application 09/ , entitled "Unsupervised Adaptive Chip Separation Filter for CDMA Terminar' by Petri Komulainen and Mar-kku J. Heikkila, Attorney Docket 872.8547 USU, filed March 3, 2000, Express Mail No.:EL 470231259US, which claims priority under 35 U.S.C. § 119(e) from Provisional Patent Application 60/123,603, filed March 10, 1999, entitled "Unsupervised Adaptive Separation Filter" by Pet-ri Komulainen and Markku J. Heikkila. The disclosure of this Provisional Patent Application is incorporated by reference herein in its entirety.
FIELD OF THE INVENTION:
This invention relates generally to communications systems, and, in particular to a receiver that performs adaptive channel equalization.
BACKGROUND OF THE INVENTION:
CDMA systems are based on a digital, wideband, spread spectrum technology which transmits multiple, independent user signals across an allocated segment of the radio spectrum. In CDMA, each user signal includes a different orthogonal code and a pseudo random binary sequence that modulates a carrier, spreading the spectrum of the waveform, and thus allowing a large number of user signals to share the same frequency spectrum. The user signals are separated in the receiver with a correlator which allows only the signal with the selected orthogonal code to be despread. The other user signals, whose codes do not match, are not despread, and as such, contribute to system noise. The signal to noise ratio of the system is deteπnined by the ratio of the desired signal power to the sum of all interfering signals, enhanced by the system processing gain and the ratio of the spread bandwidth to the baseband data rate.
In the downlink (base station to mobile terminal) of a cellular direct-sequence code division multiple access (DS-CDMA) system, various users are multiplexed to the channel typically by orthogonal spreading codes. This is also the case with the 3rd generation wideband CDMA (WCDMA) standards currently proposed, where different spreading factors and variable user data rates can be supported simultaneously. However, due to multipath propagation and frequency-selective fading, the orthogonality between the various users' waveforms is degraded, and multiple access interference impairs the performance of the receiver. For an uplink (mobile terminal to base station) receiver, several multiuser detection schemes have been proposed in order to alleviate multiple access interference. However, the mobile terminal cannot accommodate the same degree of computational complexity as the base station.
Several adaptive algorithms, based on stochastic gradient methods and minimum mean-squared-error (MMSE) criterion, have been proposed as a means of low- complexity interference suppression for CDMA receivers. In the presence of known traming data sequences, a least-mean-square (LMS) algorithm can be used.
Reference in this regard may be had to S. L. Miller , "An Adaptive Direct-Sequence Code-Division Multiple Access Receiver for Multiuser Interference Rejection," IEEE Transactions on Communications, vol. 43, pp. 1746-1755, Feb.-Apr. 1995.
Adequate training for the LMS can also be provided by a conventional RAKE receiver, as is disclosed in M. Latva-aho, Advanced receivers for wideband CDMA systems. Doctoral thesis, Department of Electrical Engineering, University of Oulu, Finland, 1998.
In order to avoid the need for training, blind adaptation schemes have been proposed as described in: M. L. Honig, U. Madhow and S. Verdύ, "Blind adaptive multiuser detection," IEEE Transactions on Information Theory, vol. 41, pp. 944- 960, July 1995, and also described in: N. Zecevic and J. H. Reed, "Blind adaptation algorithms for direct-sequence spread-spectrum CDMA single-user detection," IEEE International Vehicular Technology Conference, VTC'97, May 1997, pp. 2133-2137.
Y. Bar-Ness and J. B. Punt, "Adaptive bootstrap CDMA multi-user detector, " Wireless Personal Communications, Kluwer Academic Publishers, vol. 3, no. 1, pp. 55-71, 1996, and P. Komulainen, Y. Bar-Ness and J. Lilleberg, "Simplified bootstrap adaptive decorrelator for CDMA downlink," IEEE International Conference on Communications, ICC'98, Atlanta, USA, June 1998, pp. 380-384 both disclose algorithms based on blind signal separation, and these algorithms are shown to have equal performance with a linear MMSE receiver. It should be noted however, that in multipath channels, the blind adaptation schemes need some form of channel response estimation. For channel estimation, either a common pilot channel or dedicated pilot symbols can be utilized. The formerly proposed adaptive approaches focus on the detection of the data symbols, thus requiring the signal to be cyclostationary at the symbol level. Unfortunately, this excludes their application to systems employing long pseudonoise (PN) scrambling codes, which change the correlation properties of the signal from one symbol interval to another.
In most digital radio communication systems, intersymbol interference (ISI) is introduced due to multipath propagation in the channel. This problem is significant especially at high data rates, and it may be alleviated by channel equalization.
Reference in this regard may be had to D. P. Taylor, G. M. Vitetta, B. D. Hart and A. Mammela, "Wireless channel equalisation," European Transactions on Telecommunications, vol. 9, no. 2, pp. 117-143, 1998.
In the CDMA downlink, multiple access interference is essentially caused by the channel, since all the users' signals propagate through the same frequency-selective multipath channel to the receiver of interest. Therefore, the orthogonality between the users can be restored and interference may be suppressed by compensating for the channel effects as disclosed in: S. Werner and J. Lilleberg, "Downlink channel decorrelation in CDMA systems with long codes, "IEEE International Vehicular Technology Conference, VTC'99, Houston, Texas, May 1999.
OBJECTS AND ADVANTAGES OF THE INVENTION:
It is an object and advantage of this invention to provide an improved receiver which utilizes an adaptive channel equalization function to restore the orthogonality between different users' waveforms.
It is a further object and advantage of this invention to utilize an adaptive channel equalization -function in the receiver which operates to perform linear interchip interference chip cancellation by adaptive chip separation, by decorrelating consecutive transmitted chips.
It is a further object and advantage of this invention to provide a receiver with improved performance which is suited for systems using long scrambling codes such as third generation WCDMA systems. SUMMARY OF THE INVENTION:
The foregoing and other problems are overcome and the objects of the invention are realized by methods and apparatus in accordance with embodiments of this invention.
A receiver for use in a CDMA telecommunications system is disclosed. The receiver includes at least one antenna for receiving signals from a CDMA channel, where the received signals include a desired user signal. The receiver also includes combining circuitry, for performing chip waveform filtering and maximal ratio combining, to produce mutually correlated chip estimates of the received signals. The receiver further includes an adaptive separator, for adaptively separating the mutually correlated chip estimates, and a correlator, for despreading the output of the adaptive separator to obtain an estimate for data symbols of the desired user signal.
In addition, the receiver further includes estimating circuitry, coupled to the combining circuitry, for estimating a response of the channel, where the combining circuitry utilizes the channel response estimate as a reference.
BRIEF DESCRIPTION OF THE DRAWINGS:
The above set forth and other features of the invention are made more apparent in the ensuing Detailed Description of the Invention when read in conjunction with the attached Drawings, wherein:
Figure 1 shows a block diagram of a CDMA base station transmitter.
Figure 2 shows a block diagram of a receiver in accordance with an aspect of this invention.
Figure 3 shows a block diagram of the structure of an adaptive separation filter in accordance with the teachings of this invention.
Figure 4 shows the bit error rate (BER) performance curves of the receiver using a spreading factor N=32 and a single receiver antenna.
Figure 5 shows the BER performance curves using a spreading factor N=32 and a two antenna receiver.
Figure 6 shows the BER performance curves when using a spreading factor N=4 and a single receiver antenna. Figure 7 shows the BER performance curves when a spreading factor N=4 has been used with a two antenna receiver.
DETAILED DESCRIPTION OF THE INVENTION:
As stated above, -in a synchronous CDMA downlink using orthogonal codes, multiple access interference (MAI) is essentially caused by the multipath channel. Therefore, MAI may be suppressed by linear channel equalization. A receiver using a channel equalizer algorithm is disclosed, which performs linear interchip interference cancellation by adaptive chip separation. The method is suitable for systems with long code scrambling, such as the proposed third generation wideband CDMA systems. The results are shown below to provide considerable performance gains when compared to a conventional RAKE receiver.
In an aspect of this invention, a CDMA te-rminal space-time adaptive receiver structure is disclosed for the downlink of CDMA systems employing long code scrambling. The receiver's ability to suppress MAI is based on equalizing the effects of the multipath channel, which essentially restores the orthogonality between different users. The adaptation rule is derived from the bootstrap principle, and its applicability here stems from the observation that the downlink signal is a sequence of uncorrelated, fairly high-powered signal elements, i.e. multiuser chips. An objective of the adaptive separation is to remove the correlation between the chips caused by the channel. Thus, the receiver performs linear channel equalization by adaptively decorrelating consecutively transmitted chips. The approach has particular application to the CDMA downlink, since the signal sent by the synchronous base station transmitter is formed by a sequence of uncorrelated multiuser chips, and it has a suitable signal-to-noise ratio for this application. Thus, the power of the entire multiple access signal can be utilized for adaptation.
I. DOWNLINK SIGNAL MODEL
A. TRANSMITTED SIGNAL
In a CDMA downlink, the different users' signals are symbol synchronous, and distinguished from each other with orthogonal (Walsh) codes. The typical structure of a single base station transmitter with K simultaneous users is depicted in Figure 1. Signals b1; ..., bi are the complex quadraphase shift keying (QPSK) data symbols for each of 1 through K users. The Walsh code for each user is represented by s^n), ... , Sκ(n), applied at junctions lOOi through 100κ. User dependent power control amplitude is shown as als ..., aj and is applied at junctions 110j through 110κ. The resulting signals are combined by the summation -function 120. A common complex scrambling code c(n) is applied to the combined signals at junction 130. The resulting signal is shown as d(n).
The overall multiuser chip sequence is:
Figure imgf000008_0001
where, for the Mi user, ak is the real positive amplitude due to power control, bi f) is the z't complex QPSK data symbol, and sk is the Walsh code. Here, for n = 0, 1, ..., N-l, sifri) = ±1, and 0 elsewhere. The period of the common complex scrambling code c(n) may extend over an entire frame of symbols. Due to the long PΝ code scrambling, {d ή)}„ is a sequence of uncorrelated complex signal elements, and due to the user-dependent power control, its amplitude distribution is unknown to the receiver. However, from the adaptation point of view, d(ή) represents the signal to be estimated.
The chips are given a transmission waveform p(t) of limited bandwidth. Thus the continuous time model for the multiple access baseband signal is:
Figure imgf000008_0002
where Tc is the chip interval duration.
B. RECEIVED SIGNAL
Due to multipath propagation, the received chip waveform at the wth receiver antenna is:
Figure imgf000008_0003
where γmι is the complex gain, and τt is the relative delay of the /th path of the multipath channel. Since, compared to the chip rate, the channel parameters are slowly time-varying, they may well be assumed constant over the time interval of interest. Thus the received signal at the th antenna is: rm ( = ∑ d(n)hm (l - nTc )+ ηm (t)
(4)
where ηm(f) is a process of white Gaussian background noise (AWGN) with two- sided power spectral density No/2. For a matrix representation, the continuous time waveform hJt-nTc) may be discretized into a vectorm(n). The infinite, M- dimensional received signal may be stacked into a vector
r =
(5)lM
which is given by the matrix equation r = Hd + η? (6)
where the vector d includes the transmitted multiuser chips
d = [- d{-\) d( ) d{\) ... , (7)
and the matrix H includes the received waveforms
H = [- h(-l) h(0) h(l) ...] , (8)
so that each of the column vectors of matrix H, for n = ..., -1, 0, 1, ...,
Figure imgf000009_0001
represents the received waveform conveying the information of the transmitted multiuser chip d(n). II. ADAPTIVERECEIVER
A. OVERALLRECEIVERSTRUCTURE
A block diagram of the structure of the receiver 10 is depicted in Figure 2. Signals rt(t) through rM(t) are received through at least one or a plurality of antennas 140l3 ..., 140M which are each coupled to a corresponding chip matched filter 150l5 ..., 150M. Each chip matched filter 1501; ..., 150M produces at least one sample per chip at its output. The chip sample sequences pass through delays 1601; ..., 160M to compensate for possible channel estimation delay.
In order to determine the mutually correlated chip estimates, the coherent RAKE receiver 170 includes a unit, designated Chip MRC 175, for perforating chip maximal ratio combining (MRC) over multipath components and antenna elements. The operation corresponds to channel matched filtering, and as such, minimizes the signal dimensionality with no loss of information prior to equalization.
Reference in this regard may be had to: I. Kaya, A. R. Nix and R. Benjamin, "Exploiting multipath activity using low complexity equalisation techniques for high speed wireless LANs," IEEE International Vehicular Technology Conference, VTC98, Ottawa, Canada, May 1998, pp. 1593-1597.
The mutually correlated chip estimates are adaptively separated by the adaptive separation filter 180. The output of the adaptive separation filter 180 is coupled to a correlator 190 which operates to obtain estimates for the desired users' data symbols by despreading the signal, i.e. by multiplying with a conjugated long scrambling code and user specific Walsh code, supplied by a code generator 200, and then integrating over the symbol period. The output of the correlator 190 is coupled to a deinterleaver 210 which in turn is coupled to a decoder 220. The deinterleaver 210 and the decoder 220 could be conventional in construction and operation.
Assuming perfect knowledge of the channel, the nth output element of the Chip MRC 175 is:
M L x(«) = h" («)r = ∑∑ ; r„ t);?(t - rc7; - rz t? (10) m=l 1=1
where ( )* denotes taking complex conjugate and ( )H Hermitian transpose. In matrix form, the total output sequence x = [ ..., -x(-l), (0), x(l), ... ]τ is x = H TΛ r = Pd + H n η (ii) where the correlation matrix P = HH- Hw is denoted
In practice, instead of known γml , coherent combining employs estimates am / ≡ γn for = 1, ... , M and / = 1, ... , L of the channel response provided by amplitude estimators 230l5 ..., 230L. These estimations may be based on dedicated pilot symbols or on a common pilot channel, received through antennas 140l5 ..., 140M.
From equation (11), it can readily be seen that by multiplying the vector x from the left with P"1, chip decorrelation or zero-forcing equalization is performed. However, such an operation offers little advantage due to considerable noise enhancement.
B. ADAPTIVE SEPARATION
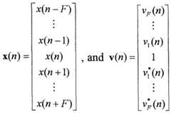
Due to multipath propagation, the combined chips are mutually correlated. The objective of the adaptive separation filter 180 is to remove this correlation. Since the correlation matrix P is of Toeplitz form, the separation is reduced into a filtering problem. As depicted in Figure 3, a symmetric filter v is used. Ideally, the filter is infinitely long, but in practice it may be truncated into a manageable length. A suitable filter length may be determined primarily by the channel delay spread. By denoting:
Figure imgf000011_0001
Figure imgf000011_0002
where 2 +1 is the filter length, the output of the separation filter 180 may be expressed as
z(ή) = v H ( )x(n) . (12)
Similarly to the above mentioned bootstrap algorithm described by Y. Bar-Ness and J. B. Punt, the adaptation is based on blind linear decorrelation. The adaptation step of the weights, foτf= 1, 2, ..., F , may be expressed as: vf (n + l) = vf (n) -
Figure imgf000012_0001
- f) , (13)
where μ(n) is the (possibly normalized) step-size parameter. Note that in the initial condition, Vy= 0, foτf- 1,2, ..., F, the overall receiver acts as a conventional RAKE receiver.
From equation (13) it can be shown that when the adaptation has reached the steady state (in the mean), the condition
Figure imgf000012_0002
- f))= 0 , f= l, 2, ..., F (14)
is satisfied. When the noise level is insignificant, this condition is also satisfied by a zero-forcing equalizer.
It should be noted that the steady-state filter weights cannot be solved from equation (14) without ambiguity, and that the algorithm does not offer global convergence. However, simulations have shown that the adaptation is stable if the step-size is kept reasonably small.
III. PERFORMANCE EVALUATION
In this section, the results of the computer simulations detennining the bit error rate (BER) performance of the adaptive chip separator, are presented, and compared to those of a conventional RAKE receiver. Consider a WCDMA downlink signal with K active, equal power users, QPSK data modulation and real orthogonal Walsh codes of length N = 4 or 32, along with a long complex Gold sequence for scrambling. A fixed step-size parameter is used for adaptation, and the separation filter length is set to 17 (F = 8). Error correction coding is excluded from the simulations.
The receivers are tested in a time-varying Rayleigh channel with delay spread 1 μs, with three resolvable paths of equal average powers, each independently fading according to a classical Doppler spectrum. A chip rate of 4 MHz with root raised cosine pulse shape filtering, a carrier frequency of 2 GHz, and a vehicle speed of 5 km/h are used in the simulations. Both single-antenna, and two-antenna receivers are simulated. In the two-antenna case, full diversity due to independent fading between the elements is assumed. Perfect estimates of the channel impulse response are given to the receivers. In Figure 4, the BER performance curves of single antenna receivers in the case of spreading factor N=32, with variable number of users, are depicted. The performance of the two-antenna receivers in the corresponding channel load situations are shown in Figure 5. Here, the x-axis indicates the E No per antenna element. The results for the single- and two-antenna receivers in the low spreading factor N=4 situation are given in Figures 6 and 7, correspondingly.
As can be seen, the chip separator offers considerable gain compared to RAKE especially in heavily loaded channels. The separator also seems to benefit more from the extra dimension given by the diversity antenna. In the single user case of low data rate and large spreading factor N=32, however, the detection performance is just slightly decreased due to adaptation jitter. It is worth noting though, that a high data rate user with N=4, clearly benefits from the separation even in the single user case.
The simulations show that the adaptive chip separator outperforms the conventional RAKE receiver, especially at high data rates when the spreading factor is small, or when the system is heavily loaded by multiple users.
It should be understood that the functions described herein may be implemented with discrete circuit elements, or as software routines that are executed by a suitable data processor. A combination of circuit elements and software routines may also be employed.
Thus, while the invention has been particularly shown and described with respect to preferred embodiments thereof, it will be understood by those skilled in the art that changes in form and details may be made therein without departing from the scope and spirit of the invention.

Claims

CLAIMSWhat is claimed is:
1. A receiver for use in a CDMA telecommunications system, comprising:
at least one antenna for receiving signals from a CDMA channel, said signals comprising a desired user signal;
combining circuitry, coupled to said antenna, for perforaiing chip waveform filtering and maximal ratio combining over multipath components and antenna elements to produce mutually correlated chip estimates of said received signals;
an adaptive separator, coupled to said combining circuitry, for adaptively separating said mutually correlated chip estimates; and
a correlator, coupled to said adaptive separator, for despreading an output of said adaptive separator to obtain an estimate for data symbols of said desired user signal.
2. The receiver of claim 1, further comprising estimating circuitry, coupled to said combining circuitry, for estimating a response of said channel, and wherein said combining circuitry utilizes said channel response estimate as a reference.
3. The receiver of claim 1, wherein said despreader further comprises circuitry for multiplying said output of said adaptive separator with a conjugated long scrambling code and a Walsh code, and then to integrate the result over a symbol period.
4. A method for receiving signals in a CDMA telecommunications system, said method comprising the steps of:
receiving signals from a CDMA channel, said signals comprising a desired user signal;
perforaiing chip waveform filtering and maximal ratio combining over multipath components and antenna elements to produce mutually correlated chip estimates of said received signals;
adaptively separating said mutually correlated chip estimates; and despreading said separated mutually correlated chip estimates to obtain an estimate for data symbols of said desired user signal.
5. The method of claim 4, further comprising the step of estimating a response of said channel, and wherein said step of performing chip waveform filtering and maximal ratio combining further comprises utilizing said channel response estimate as a reference.
6. The method of claim 4 wherein said step of despreading further comprises the steps of multiplying said adaptively separated mutually correlated chip estimates with a conjugated long scrambling code and a Walsh code, and then integrating the result over a symbol period.
7. A coherent RAKE receiver for use with received CDMA waveforms comprising a desired user signal, said receiver comprising:
combining circuitry, responsive to said received CDMA waveforms, for perforaiing chip waveform filtering and maximal ratio combining over multipath components and antenna elements to produce mutually correlated chip estimates of said received CDMA waveforms;
an adaptive separator, coupled to said combining circuitry, for adaptively separating said mutually correlated chip estimates; and
a correlator, coupled to said adaptive separator, for despreading an output of said adaptive separator to obtain an estimate for data symbols of said desired user signal.
PCT/FI2000/0001921999-03-102000-03-10Unsupervised adaptive chip separation filter for cdma terminalWO2000054418A1 (en)

Priority Applications (3)

Application NumberPriority DateFiling DateTitle
EP00912679AEP1157474A1 (en)1999-03-102000-03-10Unsupervised adaptive chip separation filter for cdma terminal
JP2000604534AJP2002539666A (en)1999-03-102000-03-10 Unsupervised adaptive chip separation filter for CDMA terminals
AU34342/00AAU3434200A (en)1999-03-102000-03-10Unsupervised adaptive chip separation filter for cdma terminal

Applications Claiming Priority (6)

Application NumberPriority DateFiling DateTitle
US12360399P1999-03-101999-03-10
US51803100A2000-03-032000-03-03
US09/518,0312000-03-07
US09/521,439US6721293B1 (en)1999-03-102000-03-07Unsupervised adaptive chip separation filter for CDMA terminal
US09/521,4392000-03-07
US60/123,6032000-03-07

Publications (1)

Publication NumberPublication Date
WO2000054418A1true WO2000054418A1 (en)2000-09-14

Family

ID=27382978

Family Applications (1)

Application NumberTitlePriority DateFiling Date
PCT/FI2000/000192WO2000054418A1 (en)1999-03-102000-03-10Unsupervised adaptive chip separation filter for cdma terminal

Country Status (5)

CountryLink
EP (1)EP1157474A1 (en)
JP (1)JP2002539666A (en)
CN (1)CN1348632A (en)
AU (1)AU3434200A (en)
WO (1)WO2000054418A1 (en)

Cited By (11)

* Cited by examiner, † Cited by third party
Publication numberPriority datePublication dateAssigneeTitle
GB2351879B (en)*1999-04-212003-10-08Infineon Technologies CorpCellular telecommunications systems
WO2004075432A1 (en)*2003-02-182004-09-02Qualcomm IncorporatedCommunication receiver with a rake-based adaptive equalizer
US7099374B2 (en)2001-03-142006-08-29Mercury Computer Systems, Inc.Wireless communication systems and methods for long-code communications for regenerative multiple user detection involving matched-filter outputs
US7376175B2 (en)2001-03-142008-05-20Mercury Computer Systems, Inc.Wireless communications systems and methods for cache enabled multiple processor based multiple user detection
US7400692B2 (en)2004-01-142008-07-15Interdigital Technology CorporationTelescoping window based equalization
JP2008182721A (en)*2001-03-122008-08-07Skyworks Solutions IncMethod and apparatus for spread spectrum radio signal recovery in wideband spread spectrum communication system
US7437135B2 (en)2003-10-302008-10-14Interdigital Technology CorporationJoint channel equalizer interference canceller advanced receiver
RU2353056C2 (en)*2007-06-132009-04-20Федеральное государственное образовательное учреждение высшего профессионального образования "Санкт-Петербургский государственный университет кино и телевидения" "СПбГУКиТ"Method and device for threshold compression of dynamic voice signal range with automatic threshold measuring
US7548762B2 (en)2005-11-302009-06-16Kyocera CorporationMethod for tuning a GPS antenna matching network
RU2423794C1 (en)*2010-06-012011-07-10Государственное образовательное учреждение высшего профессионального образования "Владимирский государственный университет"Digital signal receiver
US8135351B2 (en)2003-02-182012-03-13Qualcomm IncorporatedSystems and methods for improving channel estimation

Families Citing this family (2)

* Cited by examiner, † Cited by third party
Publication numberPriority datePublication dateAssigneeTitle
US7362830B2 (en)*2002-12-312008-04-22Lg Electronics Inc.Smart antenna system and method
US7116271B2 (en)*2004-09-232006-10-03Interdigital Technology CorporationBlind signal separation using spreading codes

Citations (2)

* Cited by examiner, † Cited by third party
Publication numberPriority datePublication dateAssigneeTitle
EP0631399A1 (en)*1993-06-251994-12-28Nec CorporationMethod and apparatus for interference cancellation and adaptive equalisation in diversity reception
US5577025A (en)*1995-06-301996-11-19Qualcomm IncorporatedSignal acquisition in a multi-user communication system using multiple walsh channels

Patent Citations (2)

* Cited by examiner, † Cited by third party
Publication numberPriority datePublication dateAssigneeTitle
EP0631399A1 (en)*1993-06-251994-12-28Nec CorporationMethod and apparatus for interference cancellation and adaptive equalisation in diversity reception
US5577025A (en)*1995-06-301996-11-19Qualcomm IncorporatedSignal acquisition in a multi-user communication system using multiple walsh channels

Cited By (25)

* Cited by examiner, † Cited by third party
Publication numberPriority datePublication dateAssigneeTitle
GB2351879B (en)*1999-04-212003-10-08Infineon Technologies CorpCellular telecommunications systems
JP2008182721A (en)*2001-03-122008-08-07Skyworks Solutions IncMethod and apparatus for spread spectrum radio signal recovery in wideband spread spectrum communication system
US7327780B2 (en)2001-03-142008-02-05Mercury Computer Systems, Inc.Wireless communications systems and methods for multiple operating system multiple user detection
US7218668B2 (en)2001-03-142007-05-15Mercury Computer Systems, Inc.Wireless communications systems and methods for virtual user based multiple user detection utilizing vector processor generated mapped cross-correlation matrices
US7110431B2 (en)2001-03-142006-09-19Mercury Computer Systems, Inc.Hardware and software for performing computations in a short-code spread-spectrum communications system
US7110440B2 (en)2001-03-142006-09-19Mercury Computer Systems, Inc.Wireless communications systems and methods for multiple processor based multiple user detection
US7139306B2 (en)2001-03-142006-11-21Mercury Computer Systems, Inc.Wireless communication systems and methods for long-code communications for regenerative multiple user detection involving pre-maximal combination matched filter outputs
US7164706B2 (en)2001-03-142007-01-16Mercury Computer Systems, Inc.Computational methods for use in a short-code spread-spectrum communications system
US7177344B2 (en)2001-03-142007-02-13Mercury Computer Systems, Inc.Wireless communication systems and methods for long-code communications for regenerative multiple user detection involving implicit waveform subtraction
US7453922B2 (en)2001-03-142008-11-18Mercury Computer Systems, Inc.Wireless communication systems and methods for contiguously addressable memory enabled multiple processor based multiple user detection
US7376175B2 (en)2001-03-142008-05-20Mercury Computer Systems, Inc.Wireless communications systems and methods for cache enabled multiple processor based multiple user detection
US7248623B2 (en)2001-03-142007-07-24Mercury Computer Systems, Inc.Wireless communications systems and methods for short-code multiple user detection
US7110437B2 (en)2001-03-142006-09-19Mercury Computer Systems, Inc.Wireless communications systems and methods for direct memory access and buffering of digital signals for multiple user detection
US7099374B2 (en)2001-03-142006-08-29Mercury Computer Systems, Inc.Wireless communication systems and methods for long-code communications for regenerative multiple user detection involving matched-filter outputs
US7210062B2 (en)2001-03-142007-04-24Mercury Computer Systems, Inc.Wireless communications systems and methods for nonvolatile storage of operating parameters for multiple processor based multiple user detection
WO2004075432A1 (en)*2003-02-182004-09-02Qualcomm IncorporatedCommunication receiver with a rake-based adaptive equalizer
AU2004213985B2 (en)*2003-02-182010-01-28Qualcomm IncorporatedCommunication receiver with a rake-based adaptive equalizer
AU2004213985C1 (en)*2003-02-182010-08-19Qualcomm IncorporatedCommunication receiver with a rake-based adaptive equalizer
US8135351B2 (en)2003-02-182012-03-13Qualcomm IncorporatedSystems and methods for improving channel estimation
US8615200B2 (en)2003-02-182013-12-24Qualcomm IncorporatedSystems and methods for improving channel estimation
US7437135B2 (en)2003-10-302008-10-14Interdigital Technology CorporationJoint channel equalizer interference canceller advanced receiver
US7400692B2 (en)2004-01-142008-07-15Interdigital Technology CorporationTelescoping window based equalization
US7548762B2 (en)2005-11-302009-06-16Kyocera CorporationMethod for tuning a GPS antenna matching network
RU2353056C2 (en)*2007-06-132009-04-20Федеральное государственное образовательное учреждение высшего профессионального образования "Санкт-Петербургский государственный университет кино и телевидения" "СПбГУКиТ"Method and device for threshold compression of dynamic voice signal range with automatic threshold measuring
RU2423794C1 (en)*2010-06-012011-07-10Государственное образовательное учреждение высшего профессионального образования "Владимирский государственный университет"Digital signal receiver

Also Published As

Publication numberPublication date
EP1157474A1 (en)2001-11-28
CN1348632A (en)2002-05-08
AU3434200A (en)2000-09-28
JP2002539666A (en)2002-11-19

Similar Documents

PublicationPublication DateTitle
US6721293B1 (en)Unsupervised adaptive chip separation filter for CDMA terminal
US6658047B1 (en)Adaptive channel equalizer
ZvonarCombined multiuser detection and diversity reception for wireless CDMA systems
MoshaviMulti-user detection for DS-CDMA communications
Hooli et al.Chip-level channel equalization in WCDMA downlink
Heikkila et al.Interference suppression in CDMA downlink through adaptive channel equalization
Stojanovic et al.Multichannel processing of broad-band multiuser communication signals in shallow water acoustic channels
KR20040035505A (en)Transceiver for ds/cdma mimo antenna systems utilizing full receiver diversity
KR20060120277A (en) Chip-Level or Symbol-Level Equalizer Architecture for Multiple Transmit and Receiver Antenna Configurations
KR100867029B1 (en)Use of adaptive filters in cdma wireless system employing pilot signals
EP1304815A2 (en)A code division multiple access downlink receiver
MailaenderLinear MIMO equalization for CDMA downlink signals with code reuse
WO2000054418A1 (en)Unsupervised adaptive chip separation filter for cdma terminal
Komulainen et al.Adaptive channel equalization and interference suppression for CDMA downlink
ZvonarMultiuser detection in asynchronous CDMA frequency-selective fading channels
Heikkila et al.Space-time equalization using conjugate-gradient algorithm in WCDMA downlink
Stojanovic et al.Performance of multiuser diversity reception in Rayleigh fading CDMA channels
Smee et al.Adaptive space-time feedforward/feedback detection for high data rate CDMA in frequency-selective fading
Hou et al.Adaptive detection in asynchronous code-division multiple-access system in multipath fading channels
ZvonarMultiuser detection and diversity combining for wireless CDMA systems
Guncavdi et al.Space-time pre-RAKE multiuser transmitter precoding for DS-CDMA systems
Chen et al.A RAKE receiver design for WCDMA FDD uplink with an RLS-based adaptive beamforming scheme
Gajbhiye et al.Performance comparison of MMSE-based adaptive multiuser detection of DS-CDMA signals
JP2683761B2 (en) Code division multiplexed signal receiving method and receiving apparatus
Kumaratharan et al.STSIC detection for multi-user MIMO MC-CDMA systems

Legal Events

DateCodeTitleDescription
WWEWipo information: entry into national phase

Ref document number:00804820.7

Country of ref document:CN

AKDesignated states

Kind code of ref document:A1

Designated state(s):AE AL AM AT AU AZ BA BB BG BR BY CA CH CN CR CU CZ DE DK DM DZ EE ES FI GB GD GE GH GM HR HU ID IL IN IS JP KE KG KP KR KZ LC LK LR LS LT LU LV MA MD MG MK MN MW MX NO NZ PL PT RO RU SD SE SG SI SK SL TJ TM TR TT TZ UA UG UZ VN YU ZA ZW

ALDesignated countries for regional patents

Kind code of ref document:A1

Designated state(s):GH GM KE LS MW SD SL SZ TZ UG ZW AM AZ BY KG KZ MD RU TJ TM AT BE CH CY DE DK ES FI FR GB GR IE IT LU MC NL PT SE BF BJ CF CG CI CM GA GN GW ML MR NE SN TD TG

121Ep: the epo has been informed by wipo that ep was designated in this application
DFPERequest for preliminary examination filed prior to expiration of 19th month from priority date (pct application filed before 20040101)
WWEWipo information: entry into national phase

Ref document number:2000912679

Country of ref document:EP

ENPEntry into the national phase

Ref document number:2000 604534

Country of ref document:JP

Kind code of ref document:A

WWPWipo information: published in national office

Ref document number:2000912679

Country of ref document:EP

REGReference to national code

Ref country code:DE

Ref legal event code:8642

WWWWipo information: withdrawn in national office

Ref document number:2000912679

Country of ref document:EP


[8]ページ先頭

©2009-2025 Movatter.jp