Movatterモバイル変換


[0]ホーム

URL:


WO2000018725A1 - 2-substituted ketoamides - Google Patents

2-substituted ketoamides
Download PDF

Info

Publication number
WO2000018725A1
WO2000018725A1PCT/US1999/022213US9922213WWO0018725A1WO 2000018725 A1WO2000018725 A1WO 2000018725A1US 9922213 WUS9922213 WUS 9922213WWO 0018725 A1WO0018725 A1WO 0018725A1
Authority
WO
WIPO (PCT)
Prior art keywords
alkyl
group
hydrogen
nil
arylalkyl
Prior art date
Application number
PCT/US1999/022213
Other languages
French (fr)
Inventor
John Mcmillan Mciver
Charles Raymond Degenhardt
David Joseph Eickhoff
Original Assignee
The Procter & Gamble Company
Priority date (The priority date is an assumption and is not a legal conclusion. Google has not performed a legal analysis and makes no representation as to the accuracy of the date listed.)
Filing date
Publication date
Application filed by The Procter & Gamble CompanyfiledCriticalThe Procter & Gamble Company
Priority to JP2000572187ApriorityCriticalpatent/JP2002525352A/en
Priority to AU60600/99Aprioritypatent/AU6060099A/en
Priority to BR9914207-4Aprioritypatent/BR9914207A/en
Priority to EP99969712Aprioritypatent/EP1117635A1/en
Publication of WO2000018725A1publicationCriticalpatent/WO2000018725A1/en

Links

Classifications

Definitions

Landscapes

Abstract

The present disclosure describes novel compounds and compositions which are particularly useful for treating hair loss in mammals, including arresting and/or reversing hair loss and promoting hair growth. The present compounds and compositions may also be useful against a variety of disorders including, for example, multi-drug resistance, human immunodeficiency virus (HIV), cardiac injury, and neurological disorders, and may be useful for controlling parasites and invoking immunosuppression.

Description

2-SUBSTITUTED KETOAMIDES
FIELD OF THE INVENTION
The present invention relates to novel compounds and compositions which are particularly useful for treating hair loss in mammals, including arresting and / or reversing hair loss and promoting hair growth. The present compounds and compositions may also be useful against a variety of disorders including, for example, multi-drug resistance, human immunodeficiency virus (HIV), cardiac injury, and neurological disorders, and may be useful for controlling parasites and invoking immunosuppression.
CROSS REFERENCE
This application claims priority under Title 35, United States Code § 1 19(e) from Provisional Application Serial No. 60/102,448. filed September 30, 1998.
BACKGROUND OF THE INVENTION
Hair loss is a common problem which occurs, for example, through natural processes or is often chemically promoted through the use of certain therapeutic drugs designed to alleviate conditions such as cancer. Often such hair loss is accompanied by lack of hair regrowth which causes partial or full baldness. Such baldness is cosmetically unappealing, and is particularly distressing to the person experiencing the hair loss.
As is well-known in the art, hair growth occurs by a cycle of activity which involves alternating periods of growth and rest. This cycle is often divided into three main stages which are known as anagen, catagen, and telogen. Anagen is the growth phase of the cycle and may be characterized by penetration of the hair follicle deep into the dermis with rapid proliferation of cells which are differentiating to form hair. The next phase is catagen, which is a transitional stage marked by the cessation of cell division, and during which the hair follicle regresses through the dermis and hair growth is ceased. The next phase, telogen, is often characteπzed as the resting stage during which the regressed follicle contains a germ with tightly packed dermal papilla cells. At telogen, the initiation of a new anagen phase is caused by rapid cell proliferation m the germ, expansion of the dermal papilla, and elaboration of basement membrane components. This cycle is repeated throughout hair growth Wherein hair growth ceases, most of the hair follicles reside in telogen and anagen is not engaged, thus causing the onset of full or partial baldness.
There have been many attempts in the literature to invoke the regrowth of hair by, for example, the promotion or prolongation of anagen Currently, there are two drugs approved by the United States Food and Drug Administration for the treatment of male pattern baldness: topical mmoxidil (marketed as Rogaine® by Pharmacia & Upjohn), and oral finasteride (marketed as Propecia® by Merck & Co., Inc.).
There are conflicting reports, however, regarding the ability of mmoxidil to grow hair. In fact, early clinical studies investigating decreased blood pressure via the use of mmoxidil did not even mention hypertrichosis (hair growth) as a side effect. See Dormois et al., "Mmoxidil in Severe Hypertension: Value When Conventional Drugs Have Failed", American Heart Journal. Vol. 90, pp. 360 - 368 (1975). Indeed, the manufacturers of mmoxidil have reported only limited hair growth in a portion of patients using mmoxidil. See, e.g.. Physician's Desk Reference®. 49th Ed. (1995), p. 2580 Furthermore, serious side effects of mmoxidil are possible, including vasodilation (which leads to retention of fluid around the heart and increased heart rate), difficulty m breathing, and weight gam. Physician's Desk Reference®. 49* Ed. (1995), p. 2581.
Furthermore, while early indicators show that Propecia® may be more effective than Rogaine®, patients using Propecia® are experiencing limited hair growth. See The New England Journal of Medicine. Vol. 338, No. 9, February 26, 1998. Furthermore, potential side effects of Propecia® are serious. Propecia® may cause impotence, decreased sexual drive, decreased volume of ejaculate, breast tenderness and enlargement, and hypersensitivity reactions, including lip swelling and skm rash. Furthermore, Propecia® is not indicated for women and children. In fact, women who are pregnant or potentially pregnant should not even handle crushed or broken tablets containing the drug. See Physician's Desk Reference®. 52th Ed. (1998), p. 1737 and The New England Journal of Medicine. Vol. 338, No. 9, February 26, 1998. Interestingly, the immunosuppressive agents cyclosporin A and FK506 are known to invoke a prominent hypertrichotic side effect. See Iwabuchi et al., "Effects of Immunosuppressive Peptidyl-Prolyl cis-trans Isomerase (PPIase) Inhibitors, Cyclospoπn A, FK506, Ascomycin, and Rapamycm, on Hair Growth Initiation Mouse: Immunosuppression is not Required for New Hair Growth", Journal of Dermatological Science. Vol. 9, pp. 64 - 69 (1995); Yamamoto et al., "Hair Growth-Stimulating Effects of Cyclosporin A and FK506, Potent Immunosuppressants", Journal of Dermatological Science. Vol. 7 (suppl.), pp. S47 - S54 (1994); Yamamoto et al., "Stimulation of Hair Growth by Topical Application of FK506, a Potent Immunosuppressive Agent", Journal of Investigational Dermatology. Vol. 102, pp. 160 - 164 (1994); Jiang et al., "Induction of Anagen in Telogen Mouse Skin by Topical Application of FK506, a Potent Immunosuppressant", Journal of Investigational Dermatology. Vol. 104, pp. 523 - 525 (1995); McElwee et al., "Topical FK506: A Potent Immunotherapy for Alopecia Areata? Studies Using the Dundee Experimental Bald Rat Model", British Journal of Dermatology. Vol. 137, pp. 491 - 497 (1997); Maurer et al , "Hair Growth Modulation by Topical Immunophilin Ligands", American Journal of Pathology. Vol. 150, No. 4, pp. 1433 - 1441 (1997); and Paus et ak, "Hair Growth Control by Immunosuppression", Arch. Dermatol. Res . Vol. 288, pp. 408 - 410 (1996). However, use of these compounds as hair growth actives may not be desirable due to their striking potency as immunosuppressive agents.
FK506 is a complex, macrocyclic molecule having the following structure:
Figure imgf000005_0001
Stocks et al., "The Contribution to Binding of the Pyranoside Substituents in the Excised Binding
Domain of FK-506", Bioorganic & Medicinal Chemistry Letters. Vol.. 4, No. 12, pp. 1457 - 1460 (1994). Analogs closely resembling this complex macrocycle have been disclosed as having hair growth properties in the form of, for example, alopecia areata and / or male pattern baldness. See. e.g.. Kawai et al.. U.S. Patent No. 5,541,193, assigned to Abbott Laboratories, issued July 30,1996; Asakura et al. U.S. Patent No. 5,496,564, assigned to Fujisawa Pharmaceutical Co., issued March 5, 1996; Baumann et al.. U.S. Patent No. 5,352,671 assigned to Sandoz Ltd., issued October 4, 1994; and Rupprecht et al.. U.S. Patent No. 5,550,233, assigned to Merck & Co., Inc., issued August 27, 1996. However, excitement related to the hypertrichotic activities of cyclosporin A and FK506 is somewhat quelled by the lack of reports of hypertrichosis by various smaller, non-macrocychc immunosuppressive and non-immunosuppressive compounds which are less complex in structure than FK506. See Sterner et al.. WO 96/40140, assigned to Guilford Pharmaceuticals, Inc., published December 19, 1996; Hamilton et al.. WO 96/40633, assigned to Guilford Pharmaceuticals, Inc., published December 19, 1996; Sterner et al.. U.S. Patent No. 5,696,135, assigned to GPI NIL Holdings, Inc., issued December 9, 1997; Hamilton et al.. U.S. Patent No. 5,614,547, assigned to Guilford Pharmaceuticals, Inc., issued March 25, 1997; Sterner et al. WO 97/16190, assigned to Guilford Pharmaceuticals, Inc., published May 9, 1997; Zelle et al.. WO 96/36630, assigned to Vertex Pharmaceuticals, Inc., published November 21, 1996; Armistead et al.. WO 97/36869, assigned to Vertex Pharmaceuticals, Inc., published October 9, 1997; Zelle et aj\, WO 96/15101, assigned to Vertex Pharmaceuticals, Inc., published May 23, 1996; Armistead et al.. WO 92/19593, assigned to Vertex Pharmaceuticals, Inc., published November 12, 1992; Armistead et al.. WO 94/07858, assigned to Vertex Pharmaceuticals, Inc., published April 14, 1994; Zelle et al.. WO 95/26337, assigned to Vertex Pharmaceuticals, Inc., published October 5, 1995; Duffy et al.. WO 92/21313, assigned to Vertex Pharmaceuticals, Inc., published December 10, 1992; Armistead et al.. U.S. Patent No. 5,192,773, assigned to Vertex Pharmaceuticals, Inc., issued March 9, 1993; Armistead et al.. U.S. Patent No. 5,330,993, assigned to Vertex Pharmaceuticals, Inc., issued July 19, 1994; Armistead et al.. U.S. Patent No. 5,622,970, assigned to Vertex Pharmaceuticals, Inc., issued April 22, 1997; Armistead et al.. U.S. Patent No. 5,654,332, assigned to Vertex Pharmaceuticals, Inc., issued August 5, 1997; Armistead et al.. U.S. Patent No. 5,620,971, assigned to Vertex Pharmaceuticals, Inc., issued April 15, 1997; Zelle et al.. U.S. Patent No. 5,543,423, assigned to Vertex Pharmaceuticals, Inc., issued August 6, 1996; Armistead et al.. U.S. Patent No. 5,516,797, assigned to Vertex Pharmaceuticals, Inc., issued May 14, 1996; Armistead et al. U.S. Patent No. 5,665,774, assigned to Vertex Pharmaceuticals, Inc., issued September 9, 1997; Andres et al., "Conformationally Defined Analogs of Prolylamides. trcw-Prolyl Peptidomimetics", Journal of Organic Chemistry. Vol. 58, pp. 6609 - 6613 (1993); and Armistead et al., "Design, Synthesis and Structure of Non- macrocychc Inhibitors of FKBP12, the Major Binding Protein for the Immunosuppressant FK506", Acta Crvstallographica. D51, pp. 522 - 528 (1995).
Surprisingly, the present inventors have discovered a novel class of compounds which arrest and / or reverse hair loss or promote hair growth but do not share the complex, macrocyclic structure of FK506. The present inventors have further discovered compounds among this novel class which invoke hair growth yet are surprisingly non-immunosuppressive or are nominally immunosuppressive. The minimized and / or absent immunosuppressive activity of these hypertπchotic compounds are distinct advantages as compared to the immunosuppressive compounds cyclosporin A and FK506.
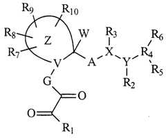
SUMMARY OF THE INVENTION The present invention relates to compounds and compositions which are particularly useful for treating hair loss in mammals, including arresting and / or reversing hair loss and promoting hair growth. The present compounds and compositions may also be useful against a variety of disorders including, for example, multi-drug resistance, human immunodeficiency virus (HIV), cardiac injury, and neurological disorders, and are useful for controlling parasites and invoking immunosuppression. The compounds of the present invention have the structure:
Figure imgf000007_0001
and pharmaceutically acceptable salts, hydrates, and biohydrolyzable amides, esters, and imides thereof, wherein the substituents Z, W, X, Y, V, A, G, Rh R2, R3, R4, R5, R«, R7, Rs, 9, and R10 are defined herein.
DETAILED DESCRIPTION OF THE INVENTION The present invention relates to compounds and compositions which are particularly useful for treating hair loss m mammals, including arresting and / or reversing hair loss and promoting hair growth. In addition to discovering that the present compounds are useful for treating hair loss, the present inventors have also surprisingly discovered that immunosuppression is not required for hair growth stimulation The present inventors have further discovered compounds that are useful for treating hair loss but are suφrisingly non-immunosuppressive Preferred compounds of the present invention are therefore, as defined herein, non-immunosuppressive. The present compounds are also useful for treating a variety of other conditions as described herein below.
Publications and patents are referred to throughout this disclosure. All references cited herein are hereby incorporated by reference.
All percentages, ratios, and proportions used herein are by weight unless otherwise specified.
Definition and Usage of Terms The following is a list of definitions for terms used herein:
As used herein "salt" is a cationic salt formed at any acidic (e g , carboxyl) group, or an anionic salt formed at any basic (e g , ammo) group. Many such salts are known m the art. Preferred cationic salts include the alkali metal salts (such as, for example, sodium and potassium), alkaline earth metal salts (such as, for example, magnesium and calcium), and organic salts. Preferred anionic salts include the halides (such as, for example, chloride salts). Such acceptable salts must, when administered, be appropriate for mammalian use.
As used herein unless otherwise specified, "alkenyl" is an unsubstituted or substituted, straight or branched hydrocarbon chain radical having from 2 to about 15 carbon atoms; preferably from 2 to about 10 carbon atoms; more preferably from 2 to about 8 carbon atoms, and most preferably from about 2 to about 6 carbon atoms. Alkenyls have at least one olefmic double bond. Non-limitmg examples of alkenyls include vinyl, allyl, and butenyl.
As used herein unless otherwise specified, "alkoxy" is an oxygen radical having an alkyl, alkenyl, or alkynyl, preferably an alkyl or alkenyl, and most preferably an alkyl substituent. Examples of alkoxy radicals include -O-alkyl and -O-alkenyl. An alkoxy radical may be substituted or unsubstituted.
As used herein unless otherwise specified, "aryloxy" is an oxygen radical having an aryl substituent An aryloxy radical may be substituted or unsubstituted As used herein unless otherwise specified, "alkyl" is an unsubstituted or substituted, straight or branched saturated hydrocarbon chain radical having from 1 to about 15 carbon atoms; preferably from 1 to about 10 carbon atoms; more preferably from 1 to about 6 carbon atoms; and most preferably from 1 to about 4 carbon atoms Preferred alkyls include, for example, methyl, ethyl, propyl, wo-propyl, and butyl
As used herein, "alkylene" refers to an alkyl, alkenyl, or alkynyl which is a diradical. For example, "methylene" is -CH2-. Alkylenes may be substituted or unsubstituted
As used herein unless otherwise specified, "aryl" is an aromatic ring radical which is either carbocychc or heterocyclic. Preferred aryl groups include, for example, phenyl, benzyl, tolyl, xylyl, cumenyl, napthyl, biphenyl, thienyl, furyl, pyrrolyl, pyridinyl, pyrazmyl, thiazolyl, pyrimidinyl, qumolmyl, triazolyl, tetrazolyl, benzothiazolyl, benzofuryl, mdolyl, indenyl, azulenyl, fluorenyl, anthracenyl, oxazolyl, isoxazolyl, isotriazolyl, lmidazolyl, pyraxolyl, oxadiazolyl, mdohzmyl, indolyl, isoindolyl, puπnyl, qumohzmyl, qumolmyl, lsoquinohnyl, cmnolinyl, and the like. Aryls may be substituted or unsubstituted. As used herein unless otherwise specified, "arylalkenyl" is an alkenyl radical substituted with an aryl group or an aryl radical substituted with an alkenyl group. Arylalkenyls may be substituted or unsubstituted.
As used herein unless otherwise specified, "arylalkyl" is an alkyl radical substituted with an aryl group or an aryl radical substituted with an alkyl group. Preferred arylalkyl groups include benzyl, phenylethyl, and phenylpropyl. Arylalkyls may be substituted or unsubstituted.
As used herein, "biohydrolyzable amides" are amides of the compounds of the present invention which do not interfere with the activity of the compound, or that are readily converted in vivo by a mammalian subject to yield an active compound.
As used herein, "biohydrolyzable esters" are esters of the compounds of the present invention which do not interfere with the activity of the compound, or that are readily converted in vivo by a mammalian subject to yield an active compound.
As used herein, "biohydrolyzable imides" are imides of the compounds of the present invention which do not interfere with the activity of the compound, or that are readily converted in vivo by a mammalian subject to yield an active compound. As used herein unless otherwise specified, "carbocychc ring", "carbocycle", or the like is a hydrocarbon ring radical. Carbocychc rings are monocyclic or are fused, bridged, or spiro polycychc rings. Unless otherwise specified, monocyclic rings contain from 3 to about 9 atoms, preferably from about 4 to about 7 atoms, and most preferably 5 or 6 atoms. Polycychc rings contain from about 7 to about 17 atoms, preferably from about 7 to about 14 atoms, and most preferably 9 or 10 atoms. Carbocychc rings (carbocycles) may be substituted or unsubstituted As used herein unless otherwise specified, "cycloalkyl" is a saturated carbocychc or heterocychc ring radical. Preferred cycloalkyl groups include, for example, cyclobutyl, cyclopentyl, and cyclohexyl. Cycloalkyls may be substituted or unsubstituted.
As used herein unless otherwise specified, "halo", "halogen", "halide". or the like means a chloro, bromo, fluoro, or lodo atom radical, preferably bromo, chloro. or fluoro, more preferably chloro or fluoro.
As used herein unless otherwise specified, "heteroalkenyl" is an alkenyl radical containing carbon atoms and one or more heteroatoms withm the alkenyl chain (e.g., -CHOCH2 rather than pendant from like, e.g., C(O)) wherein the heteroatoms are selected from oxygen, sulfur, nitrogen, and phosphorous, more preferably, oxygen, sulfur, and nitrogen. Heteroalkenyls may be substituted or unsubstituted.
As used herein unless otherwise specified, "heteroalkyl" is an alkyl radical containing carbon atoms and one or more heteroatoms within the alkyl chain (e.g., -CH2OCH2 rather than pendant from like, e.g., C(O)) wherein the heteroatoms are selected from the group consisting of oxygen, sulfur, nitrogen, and phosphorous, more preferably, oxygen, sulfur, and nitrogen.
Heteroalkyls may be substituted or unsubstituted.
As used herein unless otherwise specified, "heteroaryl" is an aryl radical containing carbon atoms and one or more heteroatoms within the aryl ring (e.g., -CHOCH-) rather than pendant from like, e.g., C(O)) wherein the heteroatoms are selected from the group consisting of oxygen, sulfur, nitrogen, and phosphorous, more preferably, oxygen, sulfur, and nitrogen.
Heteroaryls may be substituted or unsubstituted.
As used herein unless otherwise specified, "heteroarylalkenyl" is an arylalkenyl radical wherein the aryl group is a heteroaryl and / or the alkenyl group is a heteroalkenyl. Heteroarylalkenyls may be substituted or unsubstituted. As used herein unless otherwise specified, "heteroarylalkyl" is an arylalkyl radical wherein the aryl group is a heteroaryl and / or the alkyl group is a heteroalkyl. Heteroarylalkyls may be substituted or unsubstituted.
As used herein unless otherwise specified, "heterocychc ring", "heterocycle", or the like is a ring radical comprised of carbon atoms and one or more heteroatoms in the ring wherein the heteroatoms are selected from the group consisting of oxygen, sulfur, nitrogen, and phosphorous, more preferably, oxygen, sulfur, and nitrogen. Heterocycles are monocyclic or are fused, bridged, or spiro polycychc rings. Unless otherwise specified, monocycles contain from 3 to about 9 atoms, preferably from about 4 to about 7 atoms, and most preferably 5 or 6 atoms. Polycycles contain from about 7 to about 17 atoms, preferably from about 7 to about 14 atoms, and most preferably 9 or 10 atoms Heterocychc rings (heterocycles) may be substituted or unsubstituted.
As used herein unless otherwise specified, "heterocycloalkyl" is a saturated heterocycle. Heterocycloalkyls may be substituted or unsubstituted. As used herein unless otherwise specified, a "lower" moiety (e g , "lower" alkyl) is moiety having 1 to about 6, preferably 1 to about 4, carbon atoms.
As used herein, "pharmaceutically acceptable" means suitable for use in a human or other mammal.
As used herein, "safe and effective amount of a compound" (or composition, or the like) means an amount that is effective to exhibit biological activity, preferably wherein the biological activity is arresting and / or reversing hair loss or promoting hair growth, at the sιte(s) of activity in a mammalian subject, without undue adverse side effects (such as toxicity, irritation, or allergic response), commensurate with a reasonable benefit / risk ratio when used in the manner of this invention. As used herein, a "spiro moiety" is a cyclic moiety sharing a carbon on another πng, preferably the Z ring. Such spiro moiety may be carbocychc or heterocychc. Spiro moieties may be substituted or unsubstituted.
As used herein unless otherwise specified, the term "substituted" in reference to a group, moiety, or the like, means having one or more substituent groups each independently selected from hydrogen, alkoxy, hydroxy, nitro, ammo, alkylammo, cyano, halo, carboxy, thiol, imino, and aryloxy (with additional allowed substituents on the G moiety which are selected from oxo, amido, -0-alkyl-C(0)OR32, and -0-alkyl-C(0)NHR32, wherein R32 is selected from hydrogen and alkyl) preferably hydrogen, alkoxy, aryloxy, hydroxy, nitro, ammo, halo, and thiol, more preferably hydrogen, alkoxy, hydroxy, nitro, ammo, alkylammo, and halo, even more preferably hydrogen, halo, hydroxy, and alkoxy, and most preferably hydrogen.
As used herein unless otherwise specified, the term "unsubstituted" means substitution by a hydrogen moiety. However, a group may alternatively be consistently described as being "substituted" wherein the substitution is with a hydrogen moiety.
As used herein, wherein any variable, moiety, group, or the like occurs more than one time in any variable or structure, its definition at each occurrence is independent of its definition at every other occurrence.
Compounds of the Present Invention The compounds of the present invention have the structure:
Figure imgf000012_0001
and pharmaceutically acceptable salts, hydrates, and biohydrolyzable amides, esters, and imides thereof, wherein:
(a) Z is a saturated or unsaturated 4-, 5-, 6-, 7-, 8-, or 9-membered carbocycle or heterocycle wherein the heterocycle contains one or more heteroatoms selected from O, N, S, S(O), S(02), and P((O)OK);
(b) V is -CU-, wherein U is selected from hydrogen, alkyl, alkenyl, heteroalkyl, heteroalkenyl, cycloalkyl, heterocycloalkyl, aryl, arylalkyl, heteroarylalkyl, arylalkenyl, and heteroarylalkenyl;
(c) G is selected from nil, O, S, and NRπ;
(d) K is selected from hydrogen, alkyl, alkenyl, heteroalkyl, heteroalkenyl, cycloalkyl, heterocycloalkyl, aryl, arylalkyl, heteroarylalkyl, arylalkenyl, and heteroarylalkenyl; (e) R[ is selected from alkyl, alkenyl, heteroalkyl, heteroalkenyl, cycloalkyl, heterocycloalkyl, aryl, arylalkyl, heteroarylalkyl, arylalkenyl, and heteroarylalkenyl;
(f) W is selected from nil, hydrogen, and lower alkyl;
(g) A is selected from ml and alkyl;
(h) X and Y are each, independently, selected from C(O), P(O), N, O, and S, wherein: (i) when X is C(O) then R3 is nil and Y is selected from N, O, and S;
(ii) when X is P(O) then R3 is nil and Y is selected from N and O; (iii) when X is N then R3 is selected from hydrogen, alkyl, and arylalkyl, Y is selected from C(O) and P(O), and R2 is nil; (iv) when X is O then R3 is nil, Y is selected from C(O) and P(O), and R2 is nil; and
(v) when X is S then R3 is nil, Y is C(O), and R2 is nil; (1) R2 and R3 are each, independently, selected from nil, hydrogen, alkyl, and arylalkyl; 0) R4 is alkyl;
(k) R5 and R<, are each, independently, selected from nil, hydrogen, alkyl having at least two carbon atoms, alkenyl, heteroalkyl, heteroalkenyl, cycloalkyl, heterocycloalkyl, aryl, arylalkyl, heteroarylalkyl, arylalkenyl, and heteroarylalkenyl; or wherein R5 and R^ are bonded together to form a carbocychc or hetercychc ring;
(1) R7, R8, R9, and R10 are each, independently, selected from nil, hydrogen, alkyl, alkenyl, heteroalkyl, heteroalkenyl, cycloalkyl, heterocycloalkyl, aryl, arylalkyl, heteroarylalkyl, arylalkenyl, heteroarylalkenyl, halo, cyano, hydroxy, oxo, imino, - R,4SRI5, -R,4S(02)R,5, -Rl4S(0)R15, -R14C(0)R15, -R,4C(0)NR15R16, -R14C(0)OR,5) - Ri4OR15, -R,4NR,5R16, -Rl4P(0)NR15R16, -R,4P(0)OR,5R16, and a spiro moiety, and wherein R7 and R8 may be optionally bonded together to form an aromatic or saturated, carbocychc or heterocychc ring wherein the ring is fused to Z;
(m) R14, and R15 are each, independently, selected from ml, hydrogen, alkyl, alkenyl, heteroalkyl, heteroalkenyl, cycloalkyl, heterocycloalkyl, aryl, arylalkyl, heteroarylalkyl, arylalkenyl, and heteroarylalkenyl; and
(n) R,6 and R17 are each, independently, selected from hydrogen and alkyl.
The Ring System Z
The present compounds are comprised of a πng system, Z, which is a saturated or unsaturated 4-, 5-, 6-, 7-, 8-, or 9-membered carbocycle or heterocycle. Preferably the Z πng system is a 5-, 6-, or 7-membered carbocycle or heterocycle, more preferably a 5- or 6-membered carbocycle or heterocycle. Preferably, the Z ring is a carbocycle.
At the 1 -position of the ring system is the V substituent which is -CU-, wherein U is selected from hydrogen, alkyl, alkenyl, heteroalkyl, heteroalkenyl, cycloalkyl, heterocycloalkyl, aryl, arylalkyl, heteroarylalkyl, arylalkenyl, and heteroarylalkenyl, preferably hydrogen, alkyl, and arylalkyl, most preferably hydrogen.
The Z ring optionally contains one or more heteroatoms or heteromoieties (herein collectively described as heteroatoms for simplicity) wherein the heteroatoms are selected from oxygen (O), nitrogen (N), sulfur (S), sulfoxide (S(O)), sulfone (S(0)2), and phosphonate (P((0)OK)). Preferably the optional heteroatoms are selected from the group consisting of O, N, S, S(O), and S(0)2. Of course, the heteroatom cannot be at position 1 because the V substituent is required at position 1.
Wherein N is a heteroatom in the heterocycle, the additional N heteroatom must be substituted, most preferably with hydrogen or alkyl. The S(O), S(0)2, and P(0)OK heteroatoms are depicted below in Table 1 for claπty:
Table 1
Figure imgf000014_0001
The G Moiety
Directly attached to the V substituent is the G moiety. G is selected from nil, O, S, and NR,7, wherein NR17 is selected from hydrogen and alkyl Preferably, G is selected from O, S, and NR,7, preferably O and NR17, and most preferably, G is NR .
The Rj^ Moiety
Directly attached to the G moiety is a ketoamide moiety as is shown in the above structure. The R, side chain is also directly attached to the ketoamide moiety. The R, moiety is selected from is selected from alkyl, alkenyl, heteroalkyl, heteroalkenyl, cycloalkyl, heterocycloalkyl, aryl, arylalkyl, heteroarylalkyl, arylalkenyl, and heteroarylalkenyl. The R, moiety is preferably substituted with at least one substituent other than hydrogen. In addition to the substituents defined herein which can substitute on all moieties, the substituents oxo, amido, - 0-alkyl-C(0)OR32, and -0-alkyl-C(0)NHR32, wherein R32 is selected from hydrogen and alkyl, may also substitute on the R, moiety.
The R, moiety is preferably selected from alkyl, heteroalkyl, cycloalkyl, heterocycloalkyl, aryl, arylalkyl, and heteroarylalkyl, even more preferably aryl, arylalkyl, and heteroarylalkyl, most preferably aryl. The most preferred aryl for the R, moiety is substituted aryl (most preferably substituted phenyl), particularly aryl having at least one alkoxy substituent. Particularly preferred R] moieties are shown below in Table 2.
Table 2 - Preferred R, Moieties
Figure imgf000015_0001
The Substituted A-X-Y-R* Moiety
At the 2-posιtιon of the Z ring is the A-X-Y-R4 moiety which is substituted, as described herein, by R2, R3, R5, and Re.
The A moiety of the side chain is selected from nil and alkyl. Most preferably, the A moiety is nil. Of course, wherein A is nil, X is directly attached to the Z ring
The X moiety of the side chain is dependent upon the structure of the Y moiety and vice versa X and Y are each, independently, selected from C(O) (1 e , carbonyl), P(O), N, O, S, with the following limitations: (i) when X is C(O) then R3 is nil and Y is selected from the group consisting of
N, O, and S; (ii) when X is P(O) then R3 is nil and Y is selected from the group consisting of N and O; (iii) when X is N then R3 is selected from hydrogen, alkyl, and arylalkyl, Y is selected from the group consisting of C(O) and P(O), and R, is nil; (iv) when X is O then R3 is nil, Y is selected from the group consisting of C(O) and P(O), and R2 is nil; and (v) when X is S then R3 is nil, Y is C(O), and R2 is nil; Preferably, X and Y are each, independently, selected from C(O), N, and O. More preferably, X and Y are each, independently, selected from is C(O) and N.
X and Y are substituted by R3 and R2, respectively. R3 and R2 are each, independently, selected from l, hydrogen, alkyl, and arylalkyl. Wherein X is N, then R3 is selected from hydrogen, alkyl, and arylalkyl, preferably hydrogen and alkyl, most preferably hydrogen. Wherein Y is N, then R2 is selected from hydrogen, alkyl, and arylalkyl, more preferably hydrogen and alkyl, most preferably hydrogen.
The R4 moiety is an alkyl moiety. The preferred alkyl moieties follow the prefeπed limitations set forth above, with the most preferred R4 moiety being a methylene or methyne group (i.e., a C, moiety bearing only one hydrogen substituent). The R5 and R<, moieties are each directly attached to R4. R5 and R6 are each, independently, selected from nil, hydrogen, alkyl having at least two carbon atoms, alkenyl, heteroalkyl, heteroalkenyl, cycloalkyl, heterocycloalkyl, aryl, arylalkyl, heteroarylalkyl, arylalkenyl, and heteroarylalkenyl; or wherein R5 and R^ are bonded together to form a carbocychc or hetercyc c ring; wherein at least one of R5 and R<, is not ml or hydrogen. Preferably, R5 and R<, are each, independently, selected from nil, hydrogen, alkyl having at least two carbon atoms, alkenyl, heteroalkyl, heteroalkenyl, cycloalkyl, heterocycloalkyl, aryl, arylalkyl, heteroarylalkyl, arylalkenyl, and heteroarylalkenyl. More preferably, R5 and R,; are each, independently, selected from alkyl having at least two carbon atoms, heteroalkyl, cycloalkyl, heterocycloalkyl, aryl, arylalkyl, and heteroarylalkyl. Most preferably, R5 and R^ are each, independently, arylalkyl. It is often preferred that R5 and Rg are equivalent moieties. Of course, R5 and R,, may be each, independently, substituted. Exemplary R5 and R,^ moieties are shown in Table 3 below.
Table 3 - Exemplary R< and R* Moieties
Figure imgf000017_0001
The W Moiety
The Z ring may be substituted at the 2-posιtιon by an additional moiety, W. The W moiety is selected from nil, hydrogen, and lower alkyl, preferably hydrogen and lower alkyl, most preferably hydrogen Wherein W is lower alkyl, W is most preferably methyl. The Z Rmg Substituents R . R«. R2. and Rjn
In addition to the aforementioned substituents at positions 1 and 2 of the Z ring, the Z nng may also have additional substituents at the other available positions, such additional substituents being defined as R7, R8, R9, and R]0. These substituents R7, R8, and R9, and Rio are each, independently, selected from nil, hydrogen, alkyl, alkenyl, heteroalkyl, heteroalkenyl, cycloalkyl, heterocycloalkyl, aryl, arylalkyl, heteroarylalkyl, arylalkenyl, heteroarylalkenyl, halo, cyano, hydroxy, oxo, immo, -RI4SR15, -R14S(02)Rt5, -R14S(0)R,5, -R14C(0)R15, -R14C(0)NR15R16, - R14C(0)OR15, -Rl4OR,5, -RI4NR15R16, -R,4P(0)NR15R16, -Rl4P(0)OR15R16, and a spiro moiety, and wherein R7 and R8 may be optionally bonded together to form an aromatic or saturated, carbocychc or heterocychc ring wherein the ring is fused to Z R14, and R15 are each, independently, selected from nil, hydrogen, alkyl, alkenyl, heteroalkyl, heteroalkenyl, cycloalkyl, heterocycloalkyl, aryl, arylalkyl, heteroarylalkyl, arylalkenyl, and heteroarylalkenyl. R,6 is selected from hydrogen and alkyl.
Preferably, R7, R8, and R9, and R1.0 are each, independently, selected from nil, hydrogen, alkyl, heteroalkyl, heteroalkenyl, cycloalkyl, heterocycloalkyl, aryl, arylalkyl, heteroarylalkyl, halo, hydroxy, oxo, -R,4SR15, -R,4S(02)R,5> -R14S(0)R15, -R14C(0)R15, -R14C(0)NR15R16, - Rl4OR15, -R,4NR,5R16, and a spiro moiety, and wherein R7 and R8 may be optionally bonded together to form an aromatic or saturated, carbocychc or heterocychc second ring wherein the second ring is fused to Z. More preferably, R7, R8, and R9, and R)0 are each, independently, selected from nil, hydrogen, alkyl, heteroalkyl, heteroalkenyl, aryl, arylalkyl, heteroarylalkyl, halo, hydroxy, oxo, -R14SR,5, -Rl4S(02)Rl5, -R,4S(0)R,5, -R14C(0)R15, -R14C(0)NR15R16, - RHOR,5, -R|4NR15R16, and a spiro moiety, and wherein R7 and R8 may be optionally bonded together to form an aromatic or saturated, carbocychc or heterocychc second ring wherein the second ring is fused to Z. Even more preferably, R7, R8, and R9, and R,0 are each, independently, selected from nil, hydrogen, alkyl, heteroalkyl, heteroalkenyl, aryl, arylalkyl, heteroarylalkyl, halo, hydroxy, -R14C(0)R15, -R14C(0)NR,5R,6, -R,4OR15, -R14NR15R16, and a spiro moiety, and wherein R7 and R8 may be optionally bonded together to form an aromatic or saturated, carbocychc or heterocychc second ring wherein the second ring is fused to Z Most preferably, R7 and R8 are bonded together to form an aromatic or saturated (preferably aromatic), carbocychc or heterocychc (preferably carbocychc) second ring wherein the second ring is fused to Z.
Wherein R7 and R8 are bonded together to form an aromatic or saturated, carbocychc or heterocychc second πng wherein the second ring is fused to Z, the second πng may, of course, be substituted or unsubstituted. A preferred second ring is phenyl.
Exemplary compounds of the present invention are presented in the following tables. Table 4 - Exemplary Compounds of the Present Invention
Figure imgf000018_0001
Figure imgf000019_0001
Table 5 - Exemplary Compounds of the Present Invention
Figure imgf000020_0001
Figure imgf000021_0001
wherein, in Table 5, R18, R19, and R2o are each, independently, selected from hydrogen, aryloxy, hydroxy, nitro, amino, halo, and thiol.
Table 6 - Exemplary Compounds of the Present Invention
Figure imgf000021_0002
wherein R32 is selected from the group consisting of hydrogen and alkyl. Table 7 - Exemplary Compounds of the Present Invention
Figure imgf000022_0001
wherein in Table 7, R35 is selected from hydrogen and -OR36, wherein R36 is selected hydrogen and alkyl.
Table 8 - Exemplary Compounds of the Present Invention
Figure imgf000022_0002
Figure imgf000023_0001
Figure imgf000024_0001
Figure imgf000025_0001
w erein in Ta e 8, R30 an R35 are eac , in epen ent y, se ecte rom -OR32 an OCH2C(0)OR32, wherein R32 is selected from hydrogen and alkyl.
Analytical Methods The present compounds are hair growth actives, the more preferred among these being non-immunosuppressive. The compounds (test compounds) of the present invention may be tested for their ability to induce anagen and their immunosuppressive activity (or lack thereof) using the following methods. Alternatively, other methods well-known in the art may be used (but with the term "non-immunosuppressive" being defined according to the method disclosed herein).
Telogen Conversion Assay:
The Telogen Conversion Assay measures the potential of a test compound to convert mice in the resting stage of the hair growth cycle ("telogen"), to the growth stage of the hair growth cycle ("anagen").
Without intending to be limited by theory, there are three principal phases of the hair growth cycle: anagen, catagen, and telogen It is believed that there is a longer telogen period in C3H mice (Harlan Sprague Dawley, Inc., Indianapolis, IN) from approximately 40 days of age until about 75 days of age, when hair growth is synchronized. It is believed that after 75 days of age, hair growth is no longer synchronized Wherein about 40 day-old mice with dark fur (brown or black) are used in hair growth experiments, melanogenesis occurs along with hair (fur) growth wherein the topical application of hair growth promoters are evaluated. The Telogen Conversion Assay herein below is used to screen compounds for potential hair growth by measuring melanogenesis. Three groups of 44 day-old C3H mice are utilized a vehicle control group, a positive control group, and a test compound group, wherein the test compound group is administered a compound of the present invention The length of the assay is at least 19 days with 15 treatment days (wherein the treatment days occur Mondays through Fridays). Day 1 is the first day of treatment. Most studies will end on Day 19, but a few may be carried out to Day 24 if the melanogenesis response looks positive, but occurs slowly A typical study design is shown in Table 9 below:
Table 9
Figure imgf000026_0001
(commercially available from Sigma Chemical Co., St. Louis, MO).
The mice are treated topically Monday through Friday on their lower back (base of tail to the lower rib). A pipettor and tip are used to deliver 400 μL to each mouse's back. The 400 μL application is applied slowly while moving hair on the mouse to allow the application to reach the skm.
While each treatment is being applied to the mouse topically, a visual grade of from 0 to
4 will be given to the skm color in the application area of each animal. As the mice convert from telogen to anagen their skm color will become more bluish-black. As indicated m Table 10, the grades 0 to 4 represent the following visual observations as the skin progresses from white to bluish-black:
Table 10
Figure imgf000026_0002
Immunosuppression Assay:
The immunosuppression assay herein predicts the immunosuppressive activity of a compound of the present invention The assay is performed as follows:
Spleens are excised from euthanized (CO, asphyxiation) adult male C3H mice ranging in age from seven to sixteen weeks old (live mice commercially available from Harlan Sprague Dawley, Inc., Indianapolis, IN). The spleens are placed immediately in cold Hanks Balanced Salt Solution (HBSS, commercially available from Gibco-BRL, Gaithersburg, MD) The spleens are then ground up between frosted glass slides and filtered through a sterile screen to remove tissue debris. The resulting cell suspension is underlayed with an equal volume of Ficoll-Paque Plus (commercially available from Pharmacia Biotech, Piscataway, NJ) and centrifuged at 400 x g for approximately forty minutes at 20 °C in order to collect the splenocytes The splenocytes are collected from the interface using a disposable pipet and are washed twice with HBSS, followed by centrifugation at 100 x g for ten mm at 20 °C. Splenocytes are resuspended m five to ten mL of cell culture media consisting of phenol red- free RPMI 1640 (culture media commercially available from Gibco-BRL) containing 10% heat-inactivated fetal bovine serum (Gibco-BRL), penicillin (50 U/mL), streptomycin (100 μg/mL), L-glutamme (2 mM), 2-mercaptoethanol (10"5 M), and N-2-hydroxyethylpιperazιne-N'-2-ethanesulfonιc acid (HEPES) (10 mM) The cells are counted and checked for viability using, for example, trypan blue. Splenocytes are resuspended in medium at 106 cells/mL and pipetted into 96 well round bottom plates at 105 cells/well. Splenocytes are activated by addition of 50 μL/well of conconavahn A (final assay concentration = 5 μg/ml) in the presence or absence of a test compound. Test compounds are made up as stock solutions in methyl sulfoxide (DMSO), then diluted in medium and 50 μL/well added, such that the final concentration of DMSO in the assay is below 0.05%. The plates are incubated at 37 °C with 5% C02 for 48 hours. After 48 hours, the cells are pulsed with 1 μCi/well of methyl-3H- thymidme (commercially available from Amersham, Buckinghamshire, England) and incubated an additional 24 hours.
After 24 hours, the cells are harvested onto GF/C filter plates (commercially available from Packard, Downers Grove, IL), solubihzed in Microscmt 20 (Packard), and counted on a TopCount microplate scintillation and luminescence plate counter (Packard) Activity is measured as a percentage of control activity in the absence of test compound and plotted versus test compound concentration. The data are fit to a 4-parameter curve fit (Sigmaplot) and IC50 values are calculated. As used herein, test compounds are considered non-immunosuppressive if, by using this method, the ratio of (cyclosporin A IC50/test compound IC50) x 100 is less than or equal to 0.02, i e , a non-immunosuppressive test compound has < 2% of the immunosuppressive activity of cyclosporin A.
Cell viability is assessed using the MTT (3-[4,5-dιmethyl-thιazoyl-2-yl]2,5-dιphenyl- tetrazohum bromide) dye assay as described by Nelson et al., Journal of Immunology. Vol. 150, No. 6, pp. 2139 - 2147 (1993), with the exception that the assay is carried out in serum-free, phenol red-free RPMI 1640 and the dye is solubihzed in 100 μL/well DMSO and read at an OD of 540 nm with a background correction at 650 nm on a SpectraMax Plus microplate reader (Molecular Devices, Menlo Park, CA).
Multi-Drug Resistance
As disclosed herein, the present compounds are also useful, for example, to increase the antiprohferative activity of a drug and / or prevent and / or treat multi-drug resistance The present compounds may be assayed for this property as described in U.S. Patent No. 5,744,485, Zelle et al.. assigned to Vertex Pharmaceuticals Inc., issued April 28, 1998, U.S. Patent No. 5,726,184, Zelle et al.. assigned to Vertex Pharmaceuticals Inc., issued March 10, 1998, U.S. Patent No. 5,620,971, Armistead et al.. assigned to Vertex Pharmaceuticals Inc., issued Apπl 15, 1997, and U.S. Patent No. 5,543,423, Zelle et al.. assigned to Vertex Pharmaceuticals Inc., issued August 6, 1996.
Methods of Making
The compounds of the present invention are prepared according to methods which are well-known to those skilled in the art. The starting materials used in preparing the compounds of the invention are known, made by known methods, or are commercially available as a starting material. It is recognized that the skilled artisan the art of organic chemistry can readily carry out standard manipulations of organic compounds without further direction. Examples of such manipulations are discussed in standard texts such as J. March, Advanced Organic Chemistry. John Wiley & Sons, 1992.
The skilled artisan will readily appreciate that certain reactions are best carried out when other functionalities are masked or protected in the compound, thus increasing the yield of the reaction and / or avoiding any undesirable side reactions Often, the skilled artisan utilizes protecting groups to accomplish such increased yields or to avoid the undesired reactions. These reactions are found in the literature and are also well within the scope of the skilled artisan. Examples of many such manipulations can be found in, for example, T. Greene, Protecting Groups m Organic Synthesis. John Wiley & Sons, 1981. The compounds of the present invention may have one or more chiral center As a result, one may selectively prepare one optical isomer, including diastereomers and enantiomers, over another, for example by chiral starting materials, catalysts or solvents, or may prepare both stereoisomers or both optical isomers, including diastereomers and enantiomers at once (a racemic mixture). Since the compounds of the invention may exist as racemic mixtures, mixtures of optical isomers, including diastereomers and enantiomers, or stereoisomers may be separated using known methods, such as through the use of, for example, chiral salts and chiral chromatography .
In addition, it is recognized that one optical isomer, including a diastereomer and enantiomer, or a stereoisomer, may have favorable properties over the other. Thus, when disclosing and claiming the invention, when one racemic mixture is disclosed, it is clearly contemplated that both optical isomers, including diastereomers and enantiomers, or stereoisomers substantially free of the other are disclosed and claimed as well.
The following provides non-hmitmg examples illustrating more specifically the methods of making various compounds of the present invention.
As used herein, the following abbreviations are used:
Figure imgf000029_0001
Example 1
Figure imgf000030_0001
Figure imgf000030_0002
la. 2-(l,7-Dιphenyl-4-heptyl)-4,4-dιmethyl-2-oxazolme: 2,4,4-Tπmethyl-2-oxazohne (5.64 mL, 44.2 mmol) is dissolved in anhydrous THF (40 mL) at room temperature under inert atmosphere. The solution is cooled to -78 °C and n-butylhthium (31.3 mL / 1.6 M in hexanes, 50 mmol) is added dropwise. A solution of l-bromo-3-phenylpropane (7.42 mL, 48.8 mmol) in THF (20 mL) is added dropwise over 10 minutes. The cooling bath is removed and the reaction solution is allowed to reach room temperature. After 30 minutes the solution is again cooled to - 78 °C. M-Butylhthium (31.3 mL / 1.6 M in hexanes, 50 mmol) is added dropwise. After 30 minutes a solution of l-bromo-3-phenylpropane (7.42 mL, 48.8 mmol) in THF (20 mL) is added dropwise over 10 minutes. The reaction is allowed to slowly reach room temperature over the next 12 hours with stirring. The reaction is poured onto water (200 mL) and acidified with IN HCl, and extracted with ethyl ether (150 mL). The aqueous layer is chilled, neutralized with 50% NaOH solution, and extracted with ethyl ether (3 x 100 mL). The combined ethyl ether extracts are dried over MgS04, filtered, and concentrated in vacuo. Purification of the crude product by preparative chromatography over silica gel affords the desired fos-alkylated oxazohne la.
lb. (l,7-Dιphenyl-4-heptyl) carboxylic acid: Oxazohne la (9.36 g, 26.8 mmol) is dissolved in dioxane (100 mL) at room temperature. 3N HCl (200 mL) is added and the resulting solution is heated at reflux for 18 hours. The solution is cooled to ambient temperature then poured onto water (200 mL) and extracted with ethyl ether (3 x 150 mL). The combined ethyl ether extracts are washed successively with water (75 mL), and brine (75 mL) then dried over MgS04, filtered, and concentrated in vacuo to afford the desired product.
lc. tra«5-l ,2-Dιamιnocyclohexane, (l,7-Dιphenyl-4-heptyl) carboxylic acid amide:
Carboxylic acid lb (1.0 g, 3.37 mmol) is dissolved in dicloromethane (50 mL) at room temperature under inert atmosphere, trans- 1 ,2-Dιammocyclohexane (0.77 g, 6.75 mmol) is added followed by ι-Pr,NEt (0.6 mL., 3.4 mmol) and PyBOP (1.9 g, 3.7 mmol). The reaction mixture is stirred at ambient temperature for 18 hours then poured onto ethyl acetate (300 mL) and washed successively with 0.1 N HCl (150 mL), saturated sodium bicarbonate solution (75 mL), and bπne (50mL). The organic solution is dried over MgS04, filtered, and concentrated in vacuo. Purification of the crude product by preparative chromatography over silica gel affords the desired product.
Id. trans- 1,2-Dιammocyclohexane, l-N-(l,7-Dιphenyl-4-heptyl) carboxylic acid amide, 2-N- (3'4'5'-tπmethoxyphenylglyoxyl) amide: Amide lc (0.73 g, 1.83 mmol) is dissolved in anhydrous dichloromethane (30 mL) at room temperature. 3',4',5'-Tπmethoxyphenylglyoxyhc acid (0.67 g, 2.8 mmol) is added m one portion followed by tπethylamine (0.6 mL, 4.3 mmol) and EDAC (0.53 g, 2.8 mmol). The reaction mixture is stirred for 18 hours at room temperature then poured onto water (50 mL) and extracted with dichloromethane (3 x 40 mL). The combined organic extracts are washed successively with 0.1 N HCl (40 mL), and saturated sodium bicarbonate solution (40 mL) then dried over MgS04, filtered, and concentrated in vacuo. Purification of the crude product by preparative chromatography over silica gel affords the desired product Id.
Example 2
Figure imgf000032_0001
2a. c«-2-(N-/ert-Butoxycarbonylammo)-l-cyclopentanecarboxyhc acid, 4-phenylbutylamιde: czs -2 -(N-tert-Butoxycarbonylamιno)-l-cyclopentanecarboxyhc acid (4.1 g, 17.7 mmol) is dissolved m 160 mL of DMF. 4-Phenylbutylamme (2.4 g, 16.1 mmol) and ι-Pr2NEt (5.6 mL, 32.2 mmol) are added followed by PyBOP (8.8 g, 16.9 mmol). The reaction is stirred for nineteen hours at room temperature, then poured onto ice-cold 0.1N HCl (600 mL) and extracted with ethyl acetate (600 mL). The organic layer is washed successively with brine (100 mL), saturated NaHC03 solution (300 mL), and brine (2 x 200 mL). The organic solution is dried over MgS04, filtered, and concentrated in vacuo. Purification of the product by chromatography affords the desired amide 2a.
2b. c s-2-ammo-l-cyclopentanecarboxyhc acid, 4-phenylbutylamιde: The amide 2a (5.5 g, 15.3 mmol) is dissolved in 150 mL of anhydrous dichloromethane. TFA (120 mL) is added dropwise over a 5 mmute period. After 2 hours the mixture is cooled m an ice-bath and saturated K2C03 solution is added until the pH is approximately 8. The mixture is transferred to a separatory funnel containing dichloromethane (200 mL) and water (200 mL) and shaken. The organic layer is washed with water (200 mL) before drying over MgS0 . The mixture is filtered and concentrated in vacuo to afford the desired amine 2b.
2c. cw-2-(3',4',5'-Tπmethoxyphenylglyoxylamιno)-l-cyclopentanecarboxyhc acid, 4- phenylbutylamide: The amine 2b (3.4 g, 13.1 mmol) is dissolved in 150 mL of anhydrous DMF. 3',4',5'-Tπmethoxyphenylglyoxyhc acid (3.9 g, 16.4 mmol) and ι-Pr2NEt (5.7 mL, 32.7 mmol) are added followed by PyBOP (8.85 g, 17.0 mmol). The reaction is stirred for 18 hours at room temperature, then poured onto ice-cold 0.1N HCl (600 mL) and extracted with ethyl acetate (600 mL). The organic layer is washed successively with brine (100 mL), saturated NaHC03 solution (300 mL), and brine (2 x 100 mL). The organic solution is dried over MgS04, filtered, and concentrated in vacuo. Purification of the product by chromatography affords the desired amide 2c.
Example 3
Figure imgf000033_0001
3a. czs- 1,2-Dιamιnocyclohexane, (l,7-dιphenyl-4-heptyl) carboxylic acid amide: Carboxylic acid lb (2.0 g, 6.74 mmol) is dissolved in DMF (100 mL) at room temperature under inert atmosphere. cw-l,2-Dιammocyclohexane (1.43 g, 12.5 mmol) is added followed by ι-Pr2NEt (1.18 mL., 6.8 mmol) and PyBOP (3.9 g, 7.45 mmol) in succession. The reaction mixture is stirred at ambient temperature for 18 hours then poured onto ethyl acetate (600 mL) and washed successively with 0.1 N HCl (300 mL), brine (lOOmL), saturated sodium bicarbonate solution (150 mL), and brme (lOOmL). The organic solution is dried over MgS04, filtered, and concentrated in vacuo. Purification of the crude product by preparative chromatography over silica gel affords the desired amide 3a.
3b. -l,2-Dιammocyclohexane, l-N-(l,7-Dιphenyl-4-heptyl) carboxylic acid amide, 2-N- (phenylglyoxyl) amide: The amine 3a (1.46 g, 3.68 mmol) is dissolved in anhydrous DMF (50 mL) at room temperature. Phenylglyoxylic acid (0.8 g, 5.48 mmol) is added m one portion followed by ι-Pr2NEt (1.5 mL, 8.6 mmol) and PyBOP (2.9 g, 5.54 mmol). The reaction mixture is stirred for 18 hours at room temperature then poured onto ethyl acetate (300 mL) and washed successively with 0.1 N HCl (150 mL), brine (50mL), saturated sodium bicarbonate solution (150 mL), and brine (50 mL). The organic solution is dried over MgS04, filtered, and concentrated in vacuo. Purification of the crude product by preparative chromatography over silica gel affords the desired amide 3b.
Example 4
Figure imgf000034_0001
TFA
Figure imgf000034_0003
Figure imgf000034_0002
Figure imgf000034_0004
4a. cώ-2-(N-tert-Butoxycarbonylammo)-l-cyclohexanecarboxyhc acid. cύ-2-Amιno-l- cyclohexane-carboxyhc acid (5.0 g, 35 mmol) is dissolved in 40 mL of 1 : 1 dιoxane:water. Triethylamme (7.3 mL, 52.4 mmol) is added followed by Boc-ON (9.5 g, 38.4 mmol). The mixture is stirred for 4 hours then poured onto water (75 mL) and extracted with ethyl acetate (3 times, 75 mL each) The aqueous solution is cooled an ice-bath and the pH adjusted to approximately 2.5 with ice-cold IN HCl solution. The resulting mixture is extracted with dichloromethane (3 times, 75 mL each). The combined organic extracts are dried over MgS04, filtered and concentrated in vacuo to afford 4a.
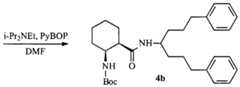
4b. c s-2-(Η-tert-Butoxycarbonylammo)-l -cyclohexanecarboxyhc acid, l,7-dιphenyl-4- heptylamide: The carboxylic acid 4a (4.3 g, 17.7 mmol) is dissolved in 160 mL of DMF. 1,7- Dιphenyl-4-amιnoheptane (4.3 g, 16.1 mmol) and ι-Pr2NEt (5.6 mL, 32.2 mmol) are added followed by PyBOP (8.8 g, 16.9 mmol). The reaction is stirred for 19 hours at room temperature, then poured onto ice-cold 0.1N HCl (600 mL) and extracted with ethyl acetate (600 mL). The layers are separated and the organic layer washed successively with brine (100 mL), saturated NaHC03 solution (300 mL) and brine (2 x 200 mL). The organic solution is dried over MgS04, filtered, and concentrated in vacuo. Purification of the product by chromatography over silica gel affords the desired amide 4b.
4c. rø-2-amιno- 1 -cyclohexanecarboxyhc acid, l,7-dιphenyl-4-heptylamιde: The amide 4b (7.54 g, 15.3 mmol) is dissolved in 150 mL of anhydrous dichloromethane. TFA (120 mL) is added dropwise over a 5 mmute period. After 2 hours the mixture is cooled in an ice-bath and saturated K2C03 solution is added until the pH is approximately 8. The mixture is transferred to a separatory funnel containing dichloromethane (200 mL) and water (200 mL) and shaken. The organic layer is separated and washed with water (200 mL) before drying over MgS04. The mixture is filtered and concentrated in vacuo to afford the desired amine 4c.
4d. eM-2-(3',4',5'-Tπmethoxvphenylglyoxylammo)-l -cyclohexanecarboxyhc acid, 1,7- dιphenyl-4-heptylamιde: The amine 4c (5.14 g, 13.1 mmol) is dissolved m 150 mL of anhydrous DMF. 3',4',5'-Tπmethoxyphenylglyoxyhc acid (3.93 g, 16.4 mmol) and ι-Pr2NEt (5.7 mL, 32.7 mmol) are added followed by PyBOP (8.9 g, 17.0 mmol). The reaction is stirred for 18 hours at room temperature, then poured onto ice-cold 0.1N HCl (600 mL) and extracted with ethyl acetate (600 mL). The layers are separated and the organic layer is washed successively with brme (100 mL), saturated NaHC03 solution (300 mL) and brme (2 x 100 mL). The organic solution is dried over MgS04, filtered, and concentrated in vacuo. Purification of the product by chromatography over silica gel affords the desired amide 4d.
Example 5 Ph IN aq HCl
*CO,CHoPh Ph
Figure imgf000036_0002
ether 5b
Figure imgf000036_0003
Figure imgf000036_0004
5a. N-(Dιphenylmethylene)-2-ammo-5-phenylpentanoιc acid benzyl ester: N-
(Dιphenylmethylene)-glycιne benzyl ester (20.0 g, 60.8 mmol) is dissolved in 130 mL of acetonitπle. l-Bromo-3-phenylpropane (14.5 g, 72.8 mmol), K2C03 (25.2 g, 182.2 mmol) and tetrabutylammomum bromide (1.96 g, 6.0 mmol) are added and the mixture is refluxed. After three hours the mixture is cooled to room temperature, filtered, and concentrated in vacuo. Water (400 mL) is added and the mixture is extracted with ether (1.2 L). The organic extract is washed with water (400 mL) and brme (200 mL), dried over MgS04, filtered, and concentrated in vacuo. The product is purified by chromatography over silica gel to afford the desired ester 5a.
5b. 2-Ammo-5-phenylpentanoιc acid benzyl ester: Ester 5a (24.62 g, 55.0 mmol) is dissolved in IN aqueous HCl (600 mL) and ether (200 mL) and the mixture is stirred at room temperature. After 20 hours the layers are separated and the aqueous layer is extracted with ether (200 mL). The aqueous layer is cooled in an ice-bath and the pH adjusted to approximately 10 with saturated aqueous K2C03 solution. The mixture is extracted with dichloromethane (3 x 300 mL) and brine (100 mL) then dried over MgS04, filtered, and concentrated in vacuo to afford the ammo ester 5b.
5c. cfs-2-(N-tert-Butoxycarbonylamιno)- 1 -cyclopentanecarboxyhc acid, benzyl 5-phenyl-2- pentanoate amide: c/s-2-(N-tert-Butoxycarbonylamino)-l-cyclopentanecarboxyhc acid (4.8 g, 20.9 mmol) is dissolved in 230 mL of dichloromethane. Ammo ester 5b (5.4 g, 19.0 mmol) and ι-Pr2NEt (7.0 mL, 39.9 mmol) are added followed by PyBOP (10.9 g, 20.9 mmol). The reaction is stirred for 18 hours at room temperature, then poured onto ice-cold 0.1N HCl (250 mL) and extracted with ethyl acetate (300 mL). The layers are separated and the organic layer is washed with saturated NaHC03 solution (150 mL) and brine (50 mL). The organic solution is dried over MgS04, filtered, and concentrated in vacuo. Purification of the product by chromatography on silica gel affords the desired amide 5c.
5d. czs-2-amιno-l-cyclopentanecarboxyhc acid, benzyl 5-phenyl-2-pentanoate amide' The amide 5c (9.6 g, 19.4 mmol) is dissolved in 185 mL of anhydrous dichloromethane. TFA (150 mL) is added dropwise over a 5 mmute period. After two hours the mixture is cooled in an ice- bath and saturated K2C03 solution is added until the pH is approximately 8. The mixture is transferred to a separatory funnel containing dichloromethane (250 mL) and water (250 mL) and shaken. The organic layer is separated and washed with water (200 mL). The water layer is back-extracted with dichloromethane (100 mL). The combined organic extracts are dried over MgS04, filtered, and concentrated in vacuo to afford the desired amme 5d.
5e. czs-2-(3',4',5'-Tπmethoxyphenylglyoxylamιno)-l-cyclopentanecarboxyhc acid, benzyl 5- phenyl-2-pentanoate amide: The amine 5d (7.14 g, 18.1 mmol) is dissolved in 220 mL of anhydrous dichloromethane. 3',4',5'-Tπmethoxyphenylglyoxylιc acid (5.2 g, 21.7 mmol) and I- Pr2NEt (5.14 g, 39.8 mmol) are added followed by PyBOP (11.3 g, 21.7 mmol). The reaction is stirred for 13 hours at room temperature, then poured onto ice-cold 0.1N HCl (250 mL) and extracted with ethyl acetate (300 mL). The layers are separated and the organic layer washed with saturated NaHC03 solution (200 mL) and brme (50 mL). The organic solution is dried over MgS04, filtered and concentrated in vacuo. Purification of the product by chromatography on silica gel affords the desired amide 5e.
Example 6
Figure imgf000038_0001
6a. N,N'-Dιmethyl-tra«5-l,2-Dιamιnocyclohexane, 5-phenylpentanoιc acid amide. 5- Phenylpentanoic acid (6.0 g, 33.7 mmol) is dissolved in dichloromethane (500 mL) at room temperature under inert atmosphere. N,N'-Dιmethyl-trans-l,2-dιammocyclohexane (9.6 g, 67.5 mmol) is added followed by ι-Pr2NEt (5.9 mL, 33.9 mmol) and PyBOP (19.3 g, 37.1 mmol). The reaction mixture is stirred at room temperature for 18 hours then poured onto ethyl acetate (300 mL) and washed successively with 0.1 N HCl (150 mL), saturated sodium bicarbonate solution (75 mL), and brine (50mL). The organic solution is dried over MgS04, filtered, and concentrated in vacuo. Purification of the crude product by preparative chromatography over silica gel affords the desired amide 6a.
6b. N,N' -Dimethyl -trans- 1 ,2-Dιammocyclohexane, l-N-5-phenylpentanoιc acid amide, 2-N- (phenylglyoxyl) amide: The amide 6a (0.55 g, 1.83 mmol) is dissolved in anhydrous dichloromethane (30 mL) at room temperature. Phenylglyoxylic acid (0.42 g, 2.8 mmol) is added in one portion followed by ι-Pr2NEt (0.75 mL, 4.3 mmol) and PyBOP (1.44 g, 2.77 mmol) m succession. The reaction is stirred for 18 hours at room temperature, then poured onto ice-cold 0.1N HCl (30 mL) and extracted with dichloromethane (40 mL). The layers are separated and the organic layer is washed with saturated NaHC03 solution (30 mL) and brine (15 mL). Purification of the crude product by preparative chromatography over silica gel affords the desired product 6b.
Example 7
Figure imgf000039_0001
7a. N,N'-Dιmethyl-tra«5-l,2-Dιamιnocyclohexane, l-N-5-phenylpentanoιc acid amide, 2-N-(2- furyl)glyoxyhc acid amide. N,N'-Dιmethyl-tra«s-l ,2-Dιamιnocyclohexane, 5-phenylpentanoιc acid amide 6a (10.0 g, 33.1 mmol) is dissolved in anhydrous dichloromethane (600 mL) at room temperature. Phenylglyoxylic acid (5.5 g, 49.7 mmol) is added in one portion followed by l- Pr2NEt (13.5 mL, 77.8 mmol) and PyBOP (25.8 g, 49.6 mmol) in succession. The reaction is stirred for 18 hours at room temperature, then poured onto ice-cold 0.1N HCl (600 mL) and extracted with dichloromethane (800 mL). The layers are separated and the organic layer washed with saturated NaHC03 solution (600 mL) and brine (300 mL). Purification of the crude product by preparative chromatography over silica gel affords the desired product 7a.
Example 8
Figure imgf000039_0002
8b. cw-2-(2-butylglyoxylammo)-l -cyclohexanecarboxyhc acid, l,7-dιphenyl-4-heptylamιde: The amme 4c (3.14 g, 8.0 mmol) is dissolved in 100 mL of anhydrous dichloromethane. 2- Butylglyoxyhc acid (1.56 g, 12.0 mmol) and ι-Pr2NEt (4.2 mL, 24.0 mmol) are added followed by PyBOP (7.3 g, 14.0 mmol). The reaction is stirred for 18 hours at room temperature, then poured onto ice-cold 0.1N HCl (100 mL) and extracted with ethyl acetate (150 mL). The layers are separated and the organic layer is washed successively with saturated NaHC03 solution (1500 mL) and brine (100 mL). The organic solution is dried over MgS04, filtered, and concentrated in vacuo. Purification of the product by chromatography on silica gel affords the desired amide 8b. Example 9
Figure imgf000040_0001
9a. Magnesium (40.2 g, 1.65 mol) and anhydrous ether (3.2 L) are combined in a reaction vessel with stirring. A solution of l-bromo-3-phenyl propane in 1.6 L of anhydrous ether is added to an addition funnel. The bromide solution is added dropwise to the stirπng reaction vessel over a 1 hour period. Upon completion of addition, the mixture stirs for 1 - 2 hours. A solution of 4-phenylbutyronιtπle (160 g, 1.1 mol) in anhydrous ether (2.4 L) is placed in the addition funnel. The solution is added to the reaction vessel over a 1 hour time peπod. Upon complete addition the solution is heated to reflux for 10 hours, and then stirs at room temperature for six hours to afford a solution of 9a.
9b. l,7-Dιphenyl-4-ammoheptane: The reaction mixture of 9a is diluted with methanol (3.2
L) using an addition funnel. Sodium borohydπde (83.4 g, 2.2 mol) is added m portions. Upon complete addition the reaction is stirred at room temperature for six hours. The reaction mixture is quenched by a slow addition of water (3.2 L). The mixture is diluted with ether (3.2 L) and water (1.6 L). The ether layer is separated and the aqueous layer is extracted twice with ether (3.2 L x 2). The combined ether extracts are washed once with sodium chloride solution, dried, filtered, and concentrated in vacuo to give the crude product This product is diluted m ether (1.2 L) and acidified by slow addition of 1M HCl (1.2 L). The mixture stirs for one hour and is concentrated in vacuo. The resulting precipitate is diluted with acetonitπle and is stirred for 16 hours. The desired 1 ,7-Dιphenyl-4-ammoheptane 9b is collected by filtration.
Use of the Present Compounds The compounds herein may be used for the treatment of such conditions as, for example, treating hair loss m mammals, including arresting and / or reversing hair loss and promoting hair growth. Such conditions may manifest themselves in, for example, alopecia, including male pattern baldness and female pattern baldness. While certain of the present compounds may exhibit immunosuppressive activity, the preferred compounds of the present invention are, as defined herein, non-immunosuppressive.
Furthermore, in addition to treating hair loss, the compounds of the present invention may be used to treat a variety of clinical conditions which include, but are not limited to, multi- drug resistance (particularly for use in cancer chemotherapy), neurological disorders and neurodegenerative diseases, cardiac injury associated with ischemia/reperfusion injury, and treatment of fungal, microbial, viral (especially HIV), malarial or other parasitic diseases or conditions. The present compounds may also be useful as inhibitors of multi-drug transporter proteins to enhance, for example, pharmacokmetics and bioavailabihty. Certain compounds of the present invention may exhibit immunomodulatory properties. These compounds would prove useful in the treatment of organ transplant rejection and various autoimmune diseases which include, but are not limited to, Behcet's disease, Crohn's disease, systemic lupus erythematosus, psoriasis, rheumatoid arthritis, eczema, multiple sclerosis, myasthema gravis, insulin-dependent diabetes melhtus, and Graves' disease. In addition, the present compounds may have utility for the treatment of certain inflammatory and allergic disease states, including urticaria, allergic contact dermatitis, atopic dermatitis, atopic keratoconjunctivitis, inflammatory bowel disease, and asthma. The present compounds may also be useful in the treatment of cardiac hypertrophy in congestive heart failure.
The present compounds may also be useful combination with a matrix metalloproteinase inhibitor for treatment of various conditions including, for example, tissue destructive diseases mediated by excessive metalloproteinase activity, cancer, and multi-drug resistance, as well as all of the conditions previously mentioned herein above. Particularly preferred matrix metalloproteinase inhibitors useful in such combination include those described in U.S. Patent Application Serial No. 60/024,765, Pikul et al.. assigned to The Procter & Gamble Co., filed August 28, 1996, U.S. Patent Application Serial No. 60/024,842, Natchus et al. assigned to The Procter & Gamble Co., filed August 28, 1996, U.S. Patent Application Serial No. 60/024,846, Pikul et al.. assigned to The Procter & Gamble Co., filed August 28, 1996, U.S. Patent Application Serial No. 60/024,746, Almstead et al.. assigned to The Procter & Gamble Co., filed August 28, 1996, U.S. Patent Application Serial No. 60/024,830, Pikul et al. assigned to The Procter & Gamble Co., filed August 28, 1996, U.S. Patent Application Serial No. 60/024,764, De et al.. assigned to The Procter & Gamble Co., filed August 28, 1996, U.S. Patent Application Serial No. 60/024,764, De et al.. assigned to The Procter & Gamble Co., filed August 28, 1996, and U.S. Patent Application Serial No. 60/024,766, Wang et al.. assigned to The Procter & Gamble Co., filed August 28, 1996. Preferably, the compounds of the present invention are formulated into pharmaceutical compositions for use m treatment or prophylaxis of conditions such as the foregoing Standard pharmaceutical formulation techniques are used, such as those disclosed m Remington's Pharmaceutical Sciences. Mack Publishing Company, Easton, PA. (1990). Typically, from about 5 mg to about 3000 mg, more preferably from about 5 mg to about 1000 mg, more preferably from about 10 mg to about 100 mg, of a compound of the present invention is administered per day for systemic administration. It is understood that these dosage ranges are by way of example only, and that daily administration can be adjusted depending on various factors The specific dosage of the compound to be administered, as well as the duration of treatment, and whether the treatment is topical or systemic are interdependent The dosage and treatment regimen will also depend upon such factors as the specific compound used, the treatment indication, the efficacy of the compound, the personal attributes of the subject (such as, for example, weight, age, sex, and medical condition of the subject), compliance with the treatment regimen, and the presence and severity of any side effects of the treatment.
In addition to the subject compound, the compositions of the subject invention contain a pharmaceutically-acceptable carrier ("carrier"). The term pharmaceutically-acceptable carrier, as used herein, means one or more compatible solid or liquid filler diluents or encapsulating substances which are suitable for administration to a mammal. The term "compatible", as used herein, means that the components of the composition are capable of being commingled with a compound of the present invention, and with each other, m a manner such that there is no interaction which would substantially reduce the efficacy of the composition under ordinary use situations. Carriers must, of course, be of sufficiently high purity and sufficiently low toxicity to render them suitable for administration to the animal, preferably mammal, being treated The carrier can itself be inert or it can possess pharmaceutical benefits of its own.
The compositions of this invention may be in any of a variety of forms, suitable (for example) for oral, rectal, topical, nasal, ocular or parenteral administration. Of these, topical or oral administration is especially preferred. Depending upon the particular route of administration desired, a variety of pharmaceutically-acceptable carriers well-known m the art may be used. These include solid or liquid fillers, diluents, hydrotropes, surface- active agents, and encapsulating substances Optional pharmaceutically-active materials may be included, which do not substantially interfere with the activity of the compound of the present invention. The amount of carrier employed in conjunction with the compound is sufficient to provide a practical quantity of material for administration per unit dose of the compound. Techniques and compositions for making dosage forms useful in the methods of this invention are described in the following references' Modern Pharmaceutics. Chapters 9 and 10, Banker & Rhodes, eds (1979), Lieberman et al , Pharmaceutical Dosage Forms' Tablets (1981); and Ansel, Introduction to Pharmaceutical Dosage Forms. 2nd Ed., (1976).
Some examples of substances which can serve as pharmaceutically-acceptable carriers or components thereof are sugars, such as lactose, glucose and sucrose; starches, such as corn starch and potato starch, cellulose and its derivatives, such as sodium carboxymethyl cellulose, ethyl cellulose, and methyl cellulose; powdered tragacanth; malt; gelatin; talc; solid lubricants, such as steaπc acid and magnesium stearate, calcium sulfate; vegetable oils, such as peanut oil, cottonseed oil, sesame oil, olive oil, corn oil and oil of theobroma, polyols such as propylene glycol, glycerine, sorbitol, manmtol, and polyethylene glycol; alginic acid; emulsifiers, such as the TWEENS; wetting agents, such sodium lauryl sulfate; coloring agents; flavoring agents; tabletmg agents, stabilizers, antioxidants, preservatives; pyrogen-free water; isotonic saline; and phosphate buffer solutions.
The choice of a pharmaceutically-acceptable carrier to be used in conjunction with the subject compound is basically determined by the way the compound is to be administered.
In particular, pharmaceutically-acceptable carriers for systemic administration include sugars, starches, cellulose and its derivatives, malt, gelatin, talc, calcium sulfate, vegetable oils, synthetic oils, polyols, algmic acid, phosphate buffer solutions, emulsifiers, isotonic salme, and pyrogen-free water. Preferred carriers for parenteral administration include propylene glycol, ethyl oleate, pyπohdone, ethanol, and sesame oil. Preferably, the pharmaceutically-acceptable carrier, in compositions for parenteral administration, comprises at least about 90% by weight of the total composition.
Various oral dosage forms can be used, including such solid forms as tablets, capsules, granules and bulk powders. These oral forms comprise a safe and effective amount, usually at least about 5%, and preferably from about 25% to about 50%, of a compound of the present invention. Tablets can be compressed, tablet triturates, enteric- coated, sugar-coated, film-coated, or multiple-compressed, containing suitable binders, lubricants, diluents, disintegrating agents, coloring agents, flavoring agents, flow-inducing agents, and melting agents. Liquid oral dosage forms include aqueous solutions, emulsions, suspensions, solutions and/or suspensions reconstituted from non-effervescent granules, and effervescent preparations reconstituted from effervescent granules, containing suitable solvents, preservatives, emulsifying agents, suspending agents, diluents, sweeteners, melting agents, coloring agents and flavoring agents.
The pharmaceutically-acceptable carrier suitable for the preparation of unit dosage forms for oral administration are well-known in the art Tablets typically comprise conventional pharmaceutically-compatible adjuvants as inert diluents, such as calcium carbonate, sodium carbonate, manmtol, lactose and cellulose; binders such as starch, gelatin and sucrose; dismtegrants such as starch, alginic acid and croscarmelose; lubricants such as magnesium stearate, steaπc acid and talc. Ghdants such as silicon dioxide can be used to improve flow characteristics of the powder mixture. Coloring agents, such as the FD&C dyes, can be added for appearance. Sweeteners and flavoring agents, such as aspartame, saccharin, menthol, peppermint, and fruit flavors, are useful adjuvants for chewable tablets. Capsules (including time release and sustained release formulations) typically comprise one or more solid diluents disclosed above. The selection of carrier components depends on secondary considerations like taste, cost, and shelf stability, which are not critical for the purposes of the subject invention, and can be readily made by a person skilled in the art.
Orally administered compositions also include liquid solutions, emulsions, suspensions, powders, granules, elixirs, tinctures, syrups, and the like The pharmaceutically-acceptable carriers suitable for preparation of such compositions are well known in the art. Typical components of carriers for syrups, elixirs, emulsions and suspensions include ethanol, glycerol, propylene glycol, polyethylene glycol, liquid sucrose, sorbitol and water. For a suspension, typical suspending agents include methyl cellulose, sodium carboxymethyl cellulose, AVICEL RC-591, tragacanth and sodium algmate; typical wetting agents include lecithin and polysorbate 80; and typical preservatives include methyl paraben and sodium benzoate. Peroral liquid compositions may also contain one or more components such as sweeteners, flavoring agents and colorants disclosed above.
Such compositions may also be coated by conventional methods, typically with pH or time-dependent coatings, such that the subject compound is released in the gastrointestinal tract m the vicinity of the desired topical application, or at various times to extend the desired action. Such dosage forms typically include, but are not limited to, one or more of cellulose acetate phthalate, polyvmylacetate phthalate, hydroxypropyl methyl cellulose phthalate, ethyl cellulose, Eudragit coatings, waxes and shellac.
Other compositions useful for attaining systemic delivery of the subject compounds include subhngual, buccal and nasal dosage forms. Such compositions typically comprise one or more of soluble filler substances such as sucrose, sorbitol and manmtol; and binders such as acacia, microcrystallme cellulose, carboxymethyl cellulose and hydroxypropyl methyl cellulose. Ghdants, lubricants, sweeteners, colorants, antioxidants and flavoring agents disclosed above may also be included.
The compounds of the present invention may also be topically administered. The carrier of the topical composition preferably aids penetration of the present compounds into the skm to reach the environment of the hair follicle Topical compositions of the present invention may be in any form including, for example, solutions, creams, ointments, gels, lotions, shampoos, leave- on and rinse-out hair conditioners, milks, cleansers, moisturizers, sprays, skm patches, and the like. Topical compositions containing the active compound can be admixed with a variety of carrier materials well known in the art, such as, for example, water, alcohols, aloe vera gel, allantom, glycerine, vitamin A and E oils, mineral oil, propylene glycol, PPG-2 myπstyl propionate, and the like
Other materials suitable for use m topical carriers include, for example, emollients, solvents, humectants, thickeners and powders Examples of each of these types of materials, which can be used singly or as mixtures of one or more materials, are as follows:
Emollients, such as stearyl alcohol, glyceryl monoπcmoleate, glyceryl monostearate, propane- 1,2-dιol, butane- 1,3-dιol, mink oil, cetyl alcohol, zso-propyl isostearate, steaπc acid, iso- butyl palmitate, isocetyl stearate, oleyl alcohol, isopropyl laurate, hexyl laurate, decyl oleate, octadecan-2-ol, isocetyl alcohol, cetyl palmitate, dimethylpolysiloxane, dι-«-butyl sebacate, iso- propyl myπstate, zsø-propyl palmitate, zso-propyl stearate, butyl stearate, polythylene glycol, tπethylene glycol, lanolm, sesame oil, coconut oil, arachis oil, castor oil, acetylated lanolin alcohols, petroleum, mineral oil, butyl myπstate, lsosteaπc acid, palmitic acid, isopropyl lmoleate, lauryl lactate, myπstyl lactate, decyl oleate, and myπstyl myπstate; propellants, such as propane, butane, zso-butane, dimethyl ether, carbon dioxide, and nitrous oxide, solvents, such as ethyl alcohol, methylene chloride, zso-propanol, castor oil, ethylene glycol monoethyl ether, diethylene glycol monobutyl ether, diethylene glycol monoethyl ether, dimethyl sulphoxide, dimethyl formamide, tetrahydrofuran, humectants, such as glycerin, sorbitol, sodium 2- pyrrohdone-5-carboxylate, soluble collagen, dibutyl phthalate, and gelatin; and powders, such as chalk, talc, fullers earth, kaolm, starch, gums, colloidal silicon dioxide, sodium polyacrylate, terra alkyl ammonium smectites, tπalkyl aryl ammonium smectites, chemically modified magnesium aluminium silicate, organically modified montmoπllonite clay, hydrated aluminium silicate, fumed silica, carboxyvmyl polymer, sodium carboxymethyl cellulose, and ethylene glycol monostearate. The compounds of the present invention may also be administered in the form of hposome delivery systems, such as small umlamellar vesicles, large umlamellar vesicles, and multilamellar vesicles. Liposomes can be formed from a variety of phosphohpids, such as cholesterol, stearylam e or phosphatidylchohnes A preferred formulation for topical delivery of the present compounds utilizes liposomes such as described in Dowton et al , "Influence of Liposomal Composition on Topical Delivery of Encapsulated Cyclospoπn A: I. An in vitro Study Using Hairless Mouse Skm", S T P Pharma Sciences. Vol. 3, pp. 404 - 407 (1993), Wallach and Phihppot, "New Type of Lipid Vesicle: Novasome®", Liposome Technology. Vol. 1, pp. 141 - 156 (1993), and Wallach. U.S. Patent No. 4,911,928, assigned to Micro-Pak, Inc., issued March 27, 1990. The compounds of the present invention may also be administered by iontophoresis. See, e.g.. www.unipr.it/arpa/dipfarm/erasmus/erasml4.html, Banga et al., "Hydrogel-based Iontotherapeutic Delivery Devices for Transdermal Delivery of Peptide/Protem Drugs", Pharm. Res.. Vol. 10 (5), pp. 697-702 (1993), Ferry L.L, "Theoretical Model of Iontophoresis Utilized in Transdermal Drug Delivery", Pharmaceutical Acta Helvetiae. Vol 70, pp. 279-287 (1995), Gangarosa et al., "Modern Iontophoresis for Local Drug Delivery", Int. J. Pharm. Vol. 123, pp. 159-171 (1995), Green et al., "Iontophoretic Delivery of a Series of Tπpeptides Across the Skm in vitro", Pharm. Res., Vol 8, pp. 1121-1127 (1991), Jadoul et al., "Quantification and Localization of Fentanyl and TRH Delivered by Iontophoresis in the Skm", Int. J Pharm.. Vol. 120, pp. 221-8 (1995), O'Brien et al, "An Updated Review of its Antiviral Activity, Pharmacokmetic Properties and Therapeutic Efficacy", Drugs. Vol. 37, pp. 233-309 (1989), Parry et al., "Acyclovir Biovailabihty in Human Skin", J. Invest. Dermatol.. Vol. 98 (6), pp. 856- 63 (1992), Santi et al., "Drug Reservoir Composition and Transport of Salmon Calcitomn in Transdermal Iontophoresis", Pharm. Res.. Vol 14 (1), pp. 63-66 (1997), Santi et al., "Reverse Iontophoresis - Parameters Determining Electroosmotic Flow: I. pH and Ionic Strength", Control. Release. Vol. 38, pp. 159-165 (1996), Santi et al., "Reverse Iontophoresis - Parameters Determining Electroosmotic Flow: II. Electrode Chamber Formulation", J. Control. Release. Vol. 42, pp. 29-36 (1996), Rao et al., "Reverse Iontophoresis: Nonmvasive Glucose Monitoring in vivo in Humans", Pharm. Res.. Vol. 12 (12), pp. 1869-1873 (1995), Thysman et al., "Human Calcitomn Delivery in Rats by Iontophoresis", J. Pharm. Pharmacol.. Vol. 46, pp. 725-730 (1994), Volpato et al., "Iontophoresis Enhances the Transport of Acyclovir through Nude Mouse Skm by Electrorepulsion and Electroosmosis", Pharm. Res.. Vol. 12 (11), pp. 1623-1627 (1995).
The compositions of the present invention may also optionally comprise an activity enhancer. The activity enhancer can be chosen from a wide variety of molecules which can function in different ways to enhance hair growth effects of a compound of the present invention. Particular classes of activity enhancers include other hair growth stimulants and penetration enhancers.
Additional hair growth stimulants can be chosen from a wide variety of molecules which can function m different ways to enhance the hair growth effects of a compound of the present invention. These optional other hair growth stimulants, when present, are typically employed in the compositions herein at a level ranging from about 0.01% to about 15%, preferably from about 0.1% to about 10%, most preferably from about 0.5% to about 5% by weight of the composition. Vasodilators such as potassium channel agonists including, for example, mmoxidil and mmoxidil derivatives such as aminexil and such as those described in U.S. Patent 3,382,247, U.S. Patent 5,756,092, issued May 26, 1998, U.S. Patent 5,772,990, issued June 30, 1998, U.S. Patent 5,760,043, issued June 2, 1998, U.S. Patent 328,914, issued July 12, 1994, U.S. Patent 5,466,694, issued November 14, 1995, 5,438,058, issued August 1, 1995, and U.S Patent 4,973,474, issued November 27, 1990, (all of which are herein incorporated by reference), and cromaka n and diazoxide can be used as an additional hair growth stimulant in the compositions herein.
One suitable class of additional hair growth stimulant for use herein are antiandrogens. Examples of suitable antiandrogens may include, but are not limited 5-α-reductase inhibitors such as finasteride and those described m U.S. Patent 5,516,779, issued May 14, 1996 (herein incorporated by reference) and in Nane et al., Cancer Research 58. "Effects of Some Novel Inhibitors of C17,20-Lyase and 5α-Reductase in vitro and in vivo and Their Potential Role in the Treatment of Prostate Cancer," as well as cyproterone acetate, azelaic acid and its derivatives and those compounds described in U.S. Patent 5,480,913, issued January 2, 1996, flutamide, and those described in U.S. Patents 5,411,981, issued May 2, 1995, U.S. Patent5,565,467, issued October 15, 1996 and U.S. Patent 4,910,226, issued March 20, 1990, all of which are herein incorporated by reference.
Another suitable class of optional hair growth stimulants are lmmunosuppressants or non-immunosuppressants such as 1) cyclosporin and cyclosporin analogs including those described m U.S. Provisional Patent Application No. 60/122,925, Fulmer et al.. filed March 5, 1999, herein incorporated by reference, and 2) FK506 analogs such as those described in U.S. Provisional Patent Application No. 60/147,279, Degenhardt et al. filed August 5, 1999; U.S. Provisional Patent Application No. 60/147,313, Degenhardt et al. filed August 5, 1999; U.S. Provisional Patent Application No. 60/147,280, Degenhardt et al. filed August 5, 1999; U.S. Provisional Patent Application No. 60/147,278, Degenhardt et al. filed August 5, 1999; and U.S. Provisional Patent Application No. 60/147,276, Eickhoff et al. filed August 5, 1999; all of which are herein incorporated by reference.
Another suitable class of optional hair growth stimulants are antimicrobials such as selenium sulfide, ketoconazole, tπclocarbon, tπclosan, zinc pyπthione, ltraconazole, asiatic acid, hinokitiol, mipirocin and those described in EPA 0,680,745 (herein incorporated by reference), clmacycm hydrochloπde, benzoyl peroxide, benzyl peroxide and minocychn. Anti-inflammatoπes can also be incorporated into the compositions herein as an optional hair growth stimulant. Examples of suitable anti-inflammatoπes may include glucocorticoids such as hydrocortisone, mometasone furoate and prednisolone, nonsteroidal anti-mflammatoπes including cyclooxygenase or hpoxygenase inhibitors such as those descπbed m U.S. Patent 5,756,092, and benzydamine, salicylic acid, and those compounds described in EPA 0,770,399, published May 2, 1997, WO 94/06434, published March 31, 1994, and FR 2,268,523, published November 21, 1975, all of which are herein incorporated by reference.
Another suitable class of optional hair growth stimulants are thyroid hormones and derivatives and analogs thereof. Examples of suitable thyroid hormones for use herein may include triiodothyrionme. Examples of thyroid hormone analogs which may be suitable for use herein include those described in U.S. Provisional Patent Application No. 60/136,996, Zhang et al, filed June 1, 1999, U.S. Provisional Patent Application No. 60/137,024, Zhang et al, filed June 1, 1999, U.S. Provisional Patent Application No. 60/137,022, Zhang et al, filed June 1, 1999, U.S. Provisional Patent Application No. 60/137,023, Zhang et al, filed June 1, 1999, U.S. Provisional Patent Application No. 60/137,052, Youngquist et al, filed June 1, 1999, U.S. Provisional Patent Application No. 60/137,063, Youngquist et al, filed June 1, 1999, and U.S. Provisional Patent Application No. 60/136,958, Youngquist et al, filed June 1, 1999.
Prostagland agonists or antagonists can also be used as optional hair growth stimulants in the compositions herein. Examples of suitable prostaglandins agonists or antagonists include latanoprost and those described in WO 98/33497, Johnstone, published August 6, 1998, WO 95/1 1003, Stjernschantz, published April 27, 1995, JP 97-100091, Ueno and JP 96-134242, Nakamura.
Another class of optional hair growth stimulants for use herein are retmoids. Suitable retmoids may include isotretinoin, acitretin, and tazarotene. Another class of optional hair growth stimulants for use herein are tπterpenes such as, for example, those disclosed in Bradbury et al, U.S. Patent Application Serial No. 09/353,408, "Method for Regulating Hair Growth", filed July 15, 1999 and Bradbury et al, U.S. Patent Application Serial No. 09/353,409, "Compositions Which Contain Tπterpenes for Regulating Hair Growth", filed July 15, 1999, each incorporated by reference in their entirety. Other classes of optional hair growth stimulants for use herein include flavmoids, ascomycm derivatives and analogs, histamme antagonists such as diphenhydramme hydrochloπde, other tπterpenes such as oleanohc acid and ursohc acid and those described in U.S. Patent 5,529,769, JP 10017431, WO 95/35103, U.S. Patent 5,468,888, JP 09067253, WO 92/09262, JP 62093215, U.S. Patent 5,631,282, U.S Patent 5,679,705, JP 08193094, saponms such as those described in EP 0.558,509 to Bonte et al, published September 8, 1993 and WO 97/01346 to Bonte et al, published January 16, 1997 (both of which are herein incorporated by reference in their entirety), proteoglycanase or glycosammoglycanase inhibitors such as those described in U.S. Patents 5,015,470, issued May 14, 1991, U.S. Patent 5,300,284, issued April 5, 1994 and U.S. Patent 5,185,325, issued February 9, 1993 (all of which are herein incorporated in their entirety by reference) estrogen agonists and antagonists, pseudoterms, cytokme and growth factor promotors, analogs or inhibitors such as mterleukml inhibitors, ιnterleukιn-6 inhibitors, mterleukm-10 promotors, and tumor necrosis factor inhibitors, vitamins such as vitamin D analogs and parathyroid hormone antagonists, Vitamin B12 analogs and panthenol, mterfuron agonists and antagonists, hydroxyacids such as those described in U.S. Patent 5,550,158, benzophenones, and hydantoin anticonvulsants such as phenytom.
Other additional hair growth stimulants are described in detail m, for example, JP 09- 157,139 to Tsuji et al, published June 17, 1997; EP 0277455 Al to Mirabeau, published August 10, 1988; WO 97/05887 to Cabo Soler et al, published February 20, 1997; WO 92/16186 to Bonte et al, published March 13, 1992; JP 62-93215 to Okazaki et al, published April 28, 1987; U.S. Patent 4,987,150 to Kurono et al, issued January 22, 1991; JP 290811 to Ohba et al, published October 15, 1992; JP 05-286,835 to Tanaka et al, published November 2, 1993, FR 2,723,313 to Greff, published August 2, 1994, U. S. Patent 5,015,470 to Gibson, issued May 14, 1991, U.S. Patent 5,559,092, issued September 24, 1996, U.S. Patent 5,536,751, issued July 16, 1996, U.S. Patent 5,714,515, issued February 3, 1998, EPA 0,319,991, published June 14, 1989, EPA 0,357,630, published October 6, 1988, EPA 0,573,253, published December 8, 1993, JP 61- 260010, published November 18, 1986, U.S. Patent 5,772,990, issued June 30, 1998, U.S. Patent 5,053, 410, issued October 1, 1991, and U.S. Patent 4,761,401, issued August 2, 1988, all of which are herein incorporated by reference. Non-hmitmg examples of penetration enhancers which may be used in the compositions herein include, for example, 2-methyl propan-2-ol, propan-2-ol, ethyl-2-hydroxypropanoate, hexan-2,5-dιol, POE(2) ethyl ether, dι(2-hydroxypropyl) ether, pentan-2,4-dιol, acetone, POE(2) methyl ether, 2-hydroxypropiomc acid, 2-hydroxyoctanoιc acid, propan-1-ol, 1,4-dιoxane, tetrahydrofuran, butan-l,4-dιol, propylene glycol dipelargonate, polyoxypropylene 15 stearyl ether, octyl alcohol, POE ester of oleyl alcohol, oleyl alcohol, lauryl alcohol, dioctyl adipate, dicapryl adipate, di-isopropyl adipate, di-isopropyl sebacate, dibutyl sebacate, diethyl sebacate, dimethyl sebacate, dioctyl sebacate, dibutyl suberate, dioctyl azelate, dibenzyl sebacate, dibutyl phthalate, dibutyl azelate, ethyl myπstate, dimethyl azelate, butyl myπstate, dibutyl succinate, didecyl phthalate, decyl oleate, ethyl caproate, ethyl sahcylate, z'so-propyl palmitate, ethyl laurate, 2-ethyl-hexyl pelargonate, zso-propyl isostearate, butyl laurate, benzyl benzoate, butyl benzoate, hexyl laurate, ethyl caprate, ethyl caprylate, butyl stearate, benzyl sahcylate, 2- hydroxypropanoic acid, 2-hyroxyoctanoιc acid, dimethyl sulphoxide, N,N-dιmethyl acetamide, N,N-dιmethyl formamide, 2-pyrrohdone, l-methyl-2-pyrrohdone, 5-methyl-2-pyrrohdone, 1,5- dιmethyl-2-pyrrolιdone, 1 -ethyl-2-pyrrohdone, phosphine oxides, sugar esters, tetrahydro furfural alcohol, urea, diethyl-rø-toluamide, and, l-dodecylazacyloheptan-2-one..
In all of the foregoing, of course, the compounds of the invention can be administered alone or as mixtures, and the compositions may further include additional drugs or excipients as appropriate for the indication. Composition Examples
The following composition and method examples do not limit the invention, but provide guidance to the skilled artisan to prepare and use the compounds, compositions, and methods of the invention. In each example, a compound of the present invention other than the one mentioned may be substituted in the example with similar results. Example A
A tablet for oral administration according to the present invention is made, comprising:
Figure imgf000050_0001
A human female subject weighing 60 kg (132 lbs), suffering from rheumatoid arthritis, is treated by a method of this invention. Specifically, for two years, a regimen of three tablets per day of the above composition is administered orally to the subject.
Example B A composition for topical administration according to the present invention is made, comprising:
Figure imgf000051_0001
invention Specifically, for 6 weeks, the above composition is daily administered topically to the subject.
Example C
A composition for topical administration according to the present invention is made according to the method of Dowton et al, "Influence of Liposomal Composition on Topical Delivery of Encapsulated Cyclosporin A: I. An in vitro Study Using Hairless Mouse Skm", S.T.P. Pharma Sciences. Vol. 3, pp. 404 - 407 (1993), using the compound of Example 4 m lieu of cyclosporin A and using the Novasome 1 for the non-ionic liposomal formulation.
A human male subject suffering from male pattern baldness is treated each day with the above composition. Specifically, for 6 weeks, the above composition is administered topically to the subject.
Example D
A shampoo according to the present invention is made, comprising:
Figure imgf000051_0002
Sucrose Polyesters of 3 % 3 % Cottonate Fatty Acid
Figure imgf000052_0001

Claims

What is claimed is : 1. A compound characterized by the structure:
Figure imgf000053_0001
and pharmaceutically acceptable salts, hydrates, and biohydrolyzable amides, esters, and imides thereof, wherein:
(a) Z is a saturated or unsaturated 4-, 5-, 6-, 7-, 8-, or 9-membered carbocycle or heterocycle wherein the heterocycle contains one or more heteroatoms selected from the group consisting of O, Ν, S, S(O), S(O2), and P((O)O );
(b) V is -CU-, wherein U is selected from the group consisting of hydrogen, alkyl, alkenyl, heteroalkyl, heteroalkenyl, cycloalkyl, heterocycloalkyl, aryl, arylalkyl, heteroarylalkyl, arylalkenyl, and heteroarylalkenyl;
(c) G is selected from the group consisting of nil, O, S, and ΝR,7;
(d) K is selected from the group consisting of hydrogen, alkyl alkenyl, heteroalkyl, heteroalkenyl, cycloalkyl, heterocycloalkyl, aryl, arylalkyl, heteroarylalkyl, arylalkenyl, and heteroarylalkenyl;
(e) R, is selected from the group consisting of alkyl, alkenyl, heteroalkyl heteroalkenyl, cycloalkyl, heterocycloalkyl, aryl, arylalkyl, heteroarylalkyl, arylalkenyl, and heteroarylalkenyl;
(f) W is selected from the group consisting of nil, hydrogen, and lower alkyl;
(g) A is selected from the group consisting of l and alkyl;
(h) X and Y are each, independently, selected from the group consisting of C(O), P(O), N, O, and S, wherein:
(i) when X is C(O) then R3 is nil and Y is selected from the group consisting of N, O, and S; (ii) when X is P(O) then R3 is nil and Y is selected from the group consisting of
N and O; (iii) when X is N then R3 is selected from hydrogen, alkyl, and arylalkyl, Y is selected from the group consisting of C(O) and P(O), and R2 is nil; (iv) when X is O then R3 is nil, Y is selected from the group consisting of C(O) and P(O), and R2 is nil; and (v) when X is S then R3 is nil, Y is C(O), and R2 is ml,
(f) R2 and R3 are each, independently, selected from the group consisting of nil, hydrogen, alkyl, and arylalkyl;
(g) R4 is alkyl;
(h) R5 and R6 are each, independently, selected from the group consisting of ml, hydrogen, alkyl having at least two carbon atoms, alkenyl, heteroalkyl, heteroalkenyl, cycloalkyl, heterocycloalkyl, aryl, arylalkyl, heteroarylalkyl, arylalkenyl, and heteroarylalkenyl; or wherein R5 and R^ are bonded together to form a carbocychc or hetercychc ring; wherein at least one of R5 and R,; is not nil or hydrogen;
(i) R7, R8, R9, and R]0 are each, independently, selected from the group consisting of ml, hydrogen, alkyl, alkenyl, heteroalkyl, heteroalkenyl, cycloalkyl, heterocycloalkyl, aryl, arylalkyl, heteroarylalkyl, arylalkenyl, heteroarylalkenyl, halo, cyano, hydroxy, oxo, immo, -R,4SR15, -R,4S(02)RI5, -R14S(0)R15, -R14C(0)R15, -Rl4C(0)NR15R16, - R14C(0)OR15, -R,4OR15, -R14NR15R16, -R14P(0)NR15R16, -R14P(0)OR15R16, and a spiro moiety, and wherein R7 and R8 may be optionally bonded together to form an aromatic or saturated, carbocychc or heterocychc ring wherein the ring is fused to Z;
(j) R14, and R15 are each, independently, selected from the group consisting of nil, hydrogen, alkyl, alkenyl, heteroalkyl, heteroalkenyl, cycloalkyl, heterocycloalkyl, aryl, arylalkyl, heteroarylalkyl, arylalkenyl, and heteroarylalkenyl; and
(k) R,6 and R)7 are each, independently, selected from the group consisting of hydrogen and alkyl.
2. A compound according to Claim 1 wherein Z is a 5-, 6-, or 7-membered carbocycle or heterocycle.
3. A compound according to any of the preceding claims wherein Z is a 5-membered carbocycle or heterocycle.
4. A compound according to any of Claims 1 or 2 wherein Z is a 6-membered carbocycle or heterocycle.
5. A compound according to any of the preceding claims wherein G is -NH-, A is nil, X is C(O),
Y is N, and R is hydrogen.
6. A compound according to any of the preceding claims wherein R8, R9, and R10 are each, independently selected from the group consisting of ml and hydrogen.
7. A compound according to any of Claims 1, 2, 3, 4, or 5 wherein R7 and R8 are bonded together to form a 5-, 6-, or 7-membered carbocychc or heterocychc aromatic ring which is fused to Z.
8. A composition characterized by a compound according to any of the preceding claims and a pharmaceutically-acceptable carrier.
9. A method of treating hair loss comprising administering to a mammal a composition according to any of the preceding claims.
10. A method of treating or preventing multi-drug resistance comprising administering to a mammal a composition according to any of the preceding claims.
PCT/US1999/0222131998-09-301999-09-242-substituted ketoamidesWO2000018725A1 (en)

Priority Applications (4)

Application NumberPriority DateFiling DateTitle
JP2000572187AJP2002525352A (en)1998-09-301999-09-24 2-substituted ketoamide
AU60600/99AAU6060099A (en)1998-09-301999-09-242-substituted ketoamides
BR9914207-4ABR9914207A (en)1998-09-301999-09-24 2-substituted keto-amides
EP99969712AEP1117635A1 (en)1998-09-301999-09-242-substituted ketoamides

Applications Claiming Priority (2)

Application NumberPriority DateFiling DateTitle
US10244898P1998-09-301998-09-30
US60/102,4481998-09-30

Publications (1)

Publication NumberPublication Date
WO2000018725A1true WO2000018725A1 (en)2000-04-06

Family

ID=22289901

Family Applications (1)

Application NumberTitlePriority DateFiling Date
PCT/US1999/022213WO2000018725A1 (en)1998-09-301999-09-242-substituted ketoamides

Country Status (6)

CountryLink
EP (1)EP1117635A1 (en)
JP (1)JP2002525352A (en)
CN (1)CN1332722A (en)
AU (1)AU6060099A (en)
BR (1)BR9914207A (en)
WO (1)WO2000018725A1 (en)

Cited By (13)

* Cited by examiner, † Cited by third party
Publication numberPriority datePublication dateAssigneeTitle
US7282512B2 (en)2002-01-172007-10-16Smithkline Beecham CorporationCycloalkyl ketoamides derivatives useful as cathepsin K inhibitors
US7749999B2 (en)2003-09-112010-07-06Itherx Pharmaceuticals, Inc.Alpha-ketoamides and derivatives thereof
CN102627654A (en)*2012-05-082012-08-08山东大学Human immunodeficiency virus (HIV)-1 protease inhibitors containing isosorbide structural units and preparation method and application thereof
US8410088B2 (en)2011-04-132013-04-02Epizyme, Inc.Aryl- or heteroaryl-substituted benzene compounds
US8691507B2 (en)2010-09-102014-04-08Epizyme, Inc.Inhibitors of human EZH2 and methods of use thereof
US9006242B2 (en)2012-10-152015-04-14Epizyme, Inc.Substituted benzene compounds
US9175331B2 (en)2010-09-102015-11-03Epizyme, Inc.Inhibitors of human EZH2, and methods of use thereof
US9376422B2 (en)2011-04-132016-06-28Epizyme, Inc.Dihidropyridin-2-one benzamine compounds
US9394283B2 (en)2012-04-132016-07-19Epizyme, Inc.Salt form of a human histone methyltransferase EZH2 inhibitor
US10040782B2 (en)2013-10-162018-08-07Epizyme, Inc.Hydrochloride salt form for EZH2 inhibition
US11326212B2 (en)2010-06-232022-05-10British Columbia Cancer Agency BranchBiomarkers for non-hodgkin lymphomas and uses thereof
US11827627B2 (en)2021-06-042023-11-28Vertex Pharmaceuticals IncorporatedN-(hydroxyalkyl (hetero)aryl) tetrahydrofuran carboxamides as modulators of sodium channels
US11834441B2 (en)2019-12-062023-12-05Vertex Pharmaceuticals IncorporatedSubstituted tetrahydrofurans as modulators of sodium channels

Citations (4)

* Cited by examiner, † Cited by third party
Publication numberPriority datePublication dateAssigneeTitle
WO1993004679A1 (en)*1991-09-051993-03-18Abbott LaboratoriesMacrocyclic immunomodulators
WO1996015101A1 (en)*1994-11-161996-05-23Vertex Pharmaceuticals IncorporatedNovel amino acid derivatives with improved multi-drug resistance activity
WO1997036869A1 (en)*1996-03-291997-10-09Vertex Pharmaceuticals IncorporatedN-(2 oxoacetyl or sulphonyl)-pyrrolidine/piperidine-2-carboxylic acid derivatives with improved multi-drug resistance activity
EP0940390A1 (en)*1998-03-031999-09-08Shiseido Company Limited6- (Substituted-methyl) -3- cyclohexenyl formamide derivative, hair growth promoter and external composition for skin

Patent Citations (4)

* Cited by examiner, † Cited by third party
Publication numberPriority datePublication dateAssigneeTitle
WO1993004679A1 (en)*1991-09-051993-03-18Abbott LaboratoriesMacrocyclic immunomodulators
WO1996015101A1 (en)*1994-11-161996-05-23Vertex Pharmaceuticals IncorporatedNovel amino acid derivatives with improved multi-drug resistance activity
WO1997036869A1 (en)*1996-03-291997-10-09Vertex Pharmaceuticals IncorporatedN-(2 oxoacetyl or sulphonyl)-pyrrolidine/piperidine-2-carboxylic acid derivatives with improved multi-drug resistance activity
EP0940390A1 (en)*1998-03-031999-09-08Shiseido Company Limited6- (Substituted-methyl) -3- cyclohexenyl formamide derivative, hair growth promoter and external composition for skin

Cited By (44)

* Cited by examiner, † Cited by third party
Publication numberPriority datePublication dateAssigneeTitle
US7282512B2 (en)2002-01-172007-10-16Smithkline Beecham CorporationCycloalkyl ketoamides derivatives useful as cathepsin K inhibitors
US7749999B2 (en)2003-09-112010-07-06Itherx Pharmaceuticals, Inc.Alpha-ketoamides and derivatives thereof
US7897599B2 (en)2003-09-112011-03-01iTherX Pharmaceuticals Inc.Cytokine inhibitors
US7919617B2 (en)2003-09-112011-04-05iTherX Pharmaceuticals Inc.Cytokine inhibitors
US11326212B2 (en)2010-06-232022-05-10British Columbia Cancer Agency BranchBiomarkers for non-hodgkin lymphomas and uses thereof
US9949999B2 (en)2010-09-102018-04-24Epizyme, Inc.Inhibitors of human EZH2, and methods of use thereof
US8691507B2 (en)2010-09-102014-04-08Epizyme, Inc.Inhibitors of human EZH2 and methods of use thereof
US9334527B2 (en)2010-09-102016-05-10Epizyme, Inc.Inhibitors of human EZH2, and methods of use thereof
US8895245B2 (en)2010-09-102014-11-25Epizyme, Inc.Inhibitors of human EZH2 and methods of use thereof
US9333217B2 (en)2010-09-102016-05-10Epizyme, Inc.Inhibitors of human EZH2, and methods of use thereof
US9175331B2 (en)2010-09-102015-11-03Epizyme, Inc.Inhibitors of human EZH2, and methods of use thereof
US9090562B2 (en)2011-04-132015-07-28Epizyme, Inc.Aryl- or heteroaryl-substituted benzene compounds
US10420775B2 (en)2011-04-132019-09-24Epizyme, Inc.Aryl-or heteroaryl-substituted benzene compounds
US12168016B2 (en)2011-04-132024-12-17Epizyme, Inc.Aryl-OR heteroaryl-substituted benzene compounds
US8765732B2 (en)2011-04-132014-07-01Epizyme, Inc.Aryl- or heteroaryl-substituted benzene compounds
US9376422B2 (en)2011-04-132016-06-28Epizyme, Inc.Dihidropyridin-2-one benzamine compounds
US12168015B2 (en)2011-04-132024-12-17Epizyme, Inc.Aryl-or heteroaryl-substituted benzene compounds
US9522152B2 (en)2011-04-132016-12-20Epizyme, Inc.Aryl- or heteroaryl-substituted benzene compounds
US12161645B2 (en)2011-04-132024-12-10Epizyme, Inc.Aryl-or heteroaryl-substituted benzene compounds
US9549931B2 (en)2011-04-132017-01-24Epizyme, Inc.Aryl- or heteroaryl-substituted benzene compounds
US9855275B2 (en)2011-04-132018-01-02Epizyme, Inc.Aryl-or heteroaryl-substituted benzene compounds
US11052093B2 (en)2011-04-132021-07-06Epizyme, Inc.Aryl-or heteroaryl-substituted benzene compounds
US8410088B2 (en)2011-04-132013-04-02Epizyme, Inc.Aryl- or heteroaryl-substituted benzene compounds
US10155002B2 (en)2011-04-132018-12-18Epizyme, Inc.Aryl- or heteroaryl-substituted benzene compounds
US9872862B2 (en)2012-04-132018-01-23Epizyme, Inc.Salt form of a human histone methyltransferase EZH2 inhibitor
US12251386B2 (en)2012-04-132025-03-18Epizyme, Inc.Salt form of a human histone methyltransferase EZH2 inhibitor
US9394283B2 (en)2012-04-132016-07-19Epizyme, Inc.Salt form of a human histone methyltransferase EZH2 inhibitor
US10245269B2 (en)2012-04-132019-04-02Epizyme, Inc.Salt form of a human histone methyltransferase EZH2 inhibitor
US11491163B2 (en)2012-04-132022-11-08Epizyme, Inc.Salt form of a human histone methyltransferase EZH2 inhibitor
US10821113B2 (en)2012-04-132020-11-03Epizyme, Inc.Salt form of a human histone methyltransferase EZH2 inhibitor
CN102627654A (en)*2012-05-082012-08-08山东大学Human immunodeficiency virus (HIV)-1 protease inhibitors containing isosorbide structural units and preparation method and application thereof
US11642348B2 (en)2012-10-152023-05-09Epizyme, Inc.Substituted benzene compounds
US9089575B2 (en)2012-10-152015-07-28Epizyme, Inc.Substituted benzene compounds
US10092572B2 (en)2012-10-152018-10-09Epizyme, Inc.Substituted benzene compounds
US9532992B2 (en)2012-10-152017-01-03Epizyme, Inc.Substituted benzene compounds
US9006242B2 (en)2012-10-152015-04-14Epizyme, Inc.Substituted benzene compounds
US10098888B2 (en)2012-10-152018-10-16Epizyme, Inc.Substituted benzene compounds
US10710987B2 (en)2013-10-162020-07-14Epizyme, Inc.Hydrochloride salt form for EZH2 inhibition
US10040782B2 (en)2013-10-162018-08-07Epizyme, Inc.Hydrochloride salt form for EZH2 inhibition
US11834441B2 (en)2019-12-062023-12-05Vertex Pharmaceuticals IncorporatedSubstituted tetrahydrofurans as modulators of sodium channels
US11919887B2 (en)2019-12-062024-03-05Vertex Pharmaceuticals IncorporatedSubstituted tetrahydrofurans as modulators of sodium channels
US12247021B2 (en)2019-12-062025-03-11Vertex Pharmaceuticals IncorporatedSubstituted tetrahydrofurans as modulators of sodium channels
US11827627B2 (en)2021-06-042023-11-28Vertex Pharmaceuticals IncorporatedN-(hydroxyalkyl (hetero)aryl) tetrahydrofuran carboxamides as modulators of sodium channels
US12258333B2 (en)2021-06-042025-03-25Vertex Pharmaceuticals IncorporatedN-(hydroxyalkyl (hetero)aryl) tetrahydrofuran carboxamides as modulators of sodium channels

Also Published As

Publication numberPublication date
BR9914207A (en)2001-07-03
CN1332722A (en)2002-01-23
AU6060099A (en)2000-04-17
JP2002525352A (en)2002-08-13
EP1117635A1 (en)2001-07-25

Similar Documents

PublicationPublication DateTitle
US6307049B1 (en)Heterocyclic 2-substituted ketoamides
WO2000018725A1 (en)2-substituted ketoamides
US6300341B1 (en)2-substituted heterocyclic sulfonamides
MXPA01012491A (en)Substituted biaryl ether compounds.
WO2000051558A1 (en)Method of treating hair loss using non-immunosuppressive compounds
MXPA01012496A (en)Biaryl compounds.
US6723717B1 (en)Sulfur-containing thyroxane derivatives and their use as hair growth promotors
MXPA01012492A (en)Method of treating hair loss.
MXPA01012494A (en)Method of treating hair loss using sulfonyl thyromimetic compounds.
WO2000018361A2 (en)Method of treating hair loss using sulfonamides
AU3611500A (en)Sulfur-containing thyroxane derivatives and their use as hair growth promotors
WO2001010838A1 (en)Multivalent compounds
WO2001010839A2 (en)Multivalent substituted ketoamides and amides for treating hair loss
WO2001010821A1 (en)Multivalent exocyclic diketo compounds
WO2000018358A2 (en)Method of treating hair loss using ketoamides
WO2001010836A1 (en)Method of treating hair loss using multivalent ketoamides and amides
WO2001010837A1 (en)Multivalent sulfonamides
MXPA01003329A (en)2-substituted heterocyclic sulfonamides
MXPA01003330A (en)2-substituted ketoamides
MXPA01003331A (en)Heterocyclic 2-substituted ketoamides useful for treating hair loss in mammals
MXPA01003327A (en)Method of treating hair loss using sulfonamides
MXPA01003326A (en)Method of treating hair loss using ketoamides

Legal Events

DateCodeTitleDescription
WWEWipo information: entry into national phase

Ref document number:99811570.3

Country of ref document:CN

AKDesignated states

Kind code of ref document:A1

Designated state(s):AU BR CA CN JP MX

ALDesignated countries for regional patents

Kind code of ref document:A1

Designated state(s):AT BE CH CY DE DK ES FI FR GB GR IE IT LU MC NL PT SE

DFPERequest for preliminary examination filed prior to expiration of 19th month from priority date (pct application filed before 20040101)
121Ep: the epo has been informed by wipo that ep was designated in this application
ENPEntry into the national phase

Ref document number:2000 572187

Country of ref document:JP

Kind code of ref document:A

WWEWipo information: entry into national phase

Ref document number:PA/a/2001/003330

Country of ref document:MX

WWEWipo information: entry into national phase

Ref document number:1999969712

Country of ref document:EP

WWPWipo information: published in national office

Ref document number:1999969712

Country of ref document:EP

WWWWipo information: withdrawn in national office

Ref document number:1999969712

Country of ref document:EP


[8]ページ先頭

©2009-2025 Movatter.jp