Movatterモバイル変換


[0]ホーム

URL:


WO2000000478A1 - Substituted quinoxalin-2(1h)-ones useful as hiv reverse transcriptase inhibitors - Google Patents

Substituted quinoxalin-2(1h)-ones useful as hiv reverse transcriptase inhibitors
Download PDF

Info

Publication number
WO2000000478A1
WO2000000478A1PCT/US1999/014395US9914395WWO0000478A1WO 2000000478 A1WO2000000478 A1WO 2000000478A1US 9914395 WUS9914395 WUS 9914395WWO 0000478 A1WO0000478 A1WO 0000478A1
Authority
WO
WIPO (PCT)
Prior art keywords
quinoxalin
dihydro
trifluoromethyl
cyclopropylethynyl
substituted
Prior art date
Application number
PCT/US1999/014395
Other languages
French (fr)
Inventor
Mona Patel
Robert Joseph Mchugh
Original Assignee
Bristol-Myers Squibb Pharma Company
Priority date (The priority date is an assumption and is not a legal conclusion. Google has not performed a legal analysis and makes no representation as to the accuracy of the date listed.)
Filing date
Publication date
Application filed by Bristol-Myers Squibb Pharma CompanyfiledCriticalBristol-Myers Squibb Pharma Company
Priority to AU47196/99ApriorityCriticalpatent/AU4719699A/en
Priority to CA002334332Aprioritypatent/CA2334332A1/en
Priority to EP99930715Aprioritypatent/EP1089979A1/en
Publication of WO2000000478A1publicationCriticalpatent/WO2000000478A1/en

Links

Classifications

Definitions

Landscapes

Abstract

The present invention relates to quinoxalin-2(1H)-ones of formula (I) or stereoisomeric forms or mixtures, or pharmaceutically acceptable salt forms thereof, which are useful as inhibitors of HIV reverse transcriptase, and to pharmaceutical compositions and diagnostic kits comprising the same and methods of using the same for treating viral infection or as an assay standard or reagent.

Description

TITLE
SUBSTITUTED QU NOXALIN-2 (IH) -ONES USEFUL AS HIV REVERSE
TRANSCRIPTASE INHIBITORS
FIELD OF THE INVENTION
This invention relates generally to substituted quinoxalin-2 (IH) -ones which are useful as inhibitors of HIV reverse transcriptase, pharmaceutical compositions and diagnostic kits comprising the same, and methods of using the same for treating viral infection or as assay standards or reagents .
BACKGROUND OF THE INVENTION Two distinct retroviruses, human immunodeficiency virus (HIV) type-1 (HIV-1) or type-2 (HIV-2), have been etiologically linked to the immunosuppressive disease, acquired immunodeficiency syndrome (AIDS) . HIV seropositive individuals are initially asymptomatic but typically develop AIDS related complex (ARC) followed by AIDS. Affected individuals exhibit severe immunosuppression which predisposes them to debilitating and ultimately fatal opportunistic infections .
The disease AIDS is the end result of an HIV-1 or HIV-2 virus following its own complex life cycle. The virion life cycle begins with the virion attaching itself to the host human T-4 lymphocyte immune cell through the bonding of a glycoprotein on the surface of the virion 's protective coat with the CD4 glycoprotein on the lymphocyte cell . Once attached, the virion sheds its glycoprotein coat, penetrates into the membrane of the host cell, and uncoats its RNA. The virion enzyme, reverse transcriptase, directs the process of transcribing the RNA into single-stranded DNA. The viral RNA is degraded and a second DNA strand is created. The now double-stranded DNA is integrated into the human cell's genes and those genes are used for virus reproduction.
At this point, RNA polymerase transcribes the integrated DNA into viral RNA. The viral RNA is translated into the precursor gag-pol fusion polyprotein. The polyprotein is then cleaved by the HIV protease enzyme to yield the mature viral proteins. Thus, HIV protease is responsible for regulating a cascade of cleavage events that lead to the virus particle's maturing into a virus that is capable of full infectivity.
The typical human immune system response, killing the invading virion, is taxed because the virus infects and kills the immune system's T cells. In addition, viral reverse transcriptase, the enzyme used in making a new virion particle, is not very specific, and causes transcription mistakes that result in continually changed glycoproteins on the surface of the viral protective coat. This lack of specificity decreases the immune system's effectiveness because antibodies specifically produced against one glycoprotein may be useless against another, hence reducing the number of antibodies available to fight the virus. The virus continues to reproduce while the immune response system continues to weaken. Eventually, the HIV largely holds free reign over the body's immune system, allowing opportunistic infections to set in and without the administration of antiviral agents, immunomodulators , or both, death may result.
There are at least three critical points in the virus ' s life cycle which have been identified as possible targets for antiviral drugs: (1) the initial attachment of the virion to the T-4 lymphocyte or macrophage site, (2) the transcription of viral RNA to viral DNA (reverse transcriptase, RT) , and (3) the processing of gag-pol protein by HIV protease.
Inhibition of the virus at the second critical point, the viral RNA to viral DNA transcription process, has provided a number of the current therapies used in treating AIDS . This transcription must occur for the virion to reproduce because the virion 's genes are encoded in RNA and the host cell reads only DNA. By introducing drugs that block the reverse transcriptase from completing the formation of viral DNA, HIV-1 replication can be stopped.
A number of compounds that interfere with viral replication have been developed to treat AIDS. For example, nucleoside analogs, such as 3 ' -azido-3 ' -deoxythymidine (AZT), 2 * , 3 ' -dideoxycytidine (ddC) , 2 ' , 3 ' -dideoxythymidinene (d4T) , 2 ' ,3 ' -dideoxyinosine (ddl) , and 2 ' , 3 ' -dideoxy-3 ' -thia- cytidine (3TC) have been shown to be relatively effective in halting HIV replication at the reverse transcriptase (RT) stage.
Non-nucleoside HIV reverse transcriptase inhibitors have also been discovered. As an example, it has been found that certain benzoxazinones are useful in the inhibition of HIV reverse transcriptase, the prevention or treatment of infection by HIV and the treatment of AIDS. U. S. Patent Number 5,519,021, the contents of which are hereby incorporated herein by reference, describes reverse transcriptase inhibitors which are benzoxazinones of the formula :
Figure imgf000005_0001
wherein X is a halogen, Z may be O. However, benzoxazinones are not part of the present invention.
U.S. Patent No. 5,693,641 depicts bicyclic pyrimidine derivatives useful as anticoagulants of the formula:
Figure imgf000005_0002
wherein Z1 and Z2 , independently, can be -0-, -NR5-, or -OCH2-; R5 is H, alkyl, aryl, or aralkyl; R6 and R7 can be a variety of groups . Compounds of this sort are not within the scope of the presently claimed invention.
EP 0,657,166 Al illustrates quinoxalines of the formula:
Figure imgf000006_0001
which in combination with at least one nucleoside exhibit an antiviral effect. The application describes quinoxalines generally, wherein X is 0 or S; R2 or R5 can be a variety of groups including H, alkyl, alkenyl, alkynyl, cycloalkyl, substituted carbonyl, substituted oxycarbonyl, substituted aminocarbonyl ; and R3 or R4, can be a variety of groups including H, alkyl, alkenyl, cycloalkyl, and aryl, but not alkynyl. However, EP 0,657,166 Al does not disclose by exemplification compounds wherein R3 or R4 are -CF3, -CF2CF3, -CF2CF2CF3 or cyclopropyl, compounds wherein R3 or R4 are alkynyls or substituted alkynyls .
Even with the current success of reverse transcriptase inhibitors, it has been found that HIV patients can become resistant to a single inhibitor. Thus, it is desirable to develop additional inhibitors to further combat HIV infection.
It has unexpectedly been found that compounds of the present invention, most preferably, 3- (perfluoroalkyl) -3 , 4- dihydro-l,H-quinoxalin-2-ones, are useful as HIV reverse transcriptase inhibitors .
SUMMARY OF THE INVENTION Accordingly, one object of the present invention is to provide novel reverse transcriptase inhibitors.
It is another object of the present invention to provide a novel method for treating HIV infection which comprises administering to a host in need of such treatment a therapeutically effective amount of at least one of the compounds of the present invention or a pharmaceutically acceptable salt or prodrug form thereof.
It is another object of the present invention to provide a novel method for treating HIV infection which comprises administering to a host in need thereof a therapeutically effective combination of (a) one of the compounds of the present invention and (b) one or more compounds selected form the group consisting of HIV reverse transcriptase inhibitors and HIV protease inhibitors .
It is another object of the present invention to provide pharmaceutical compositions with reverse transcriptase inhibiting activity comprising a pharmaceutically acceptable carrier and a therapeutically effective amount of at least one of the compounds of the present invention or a pharmaceutically acceptable salt or prodrug form thereof.
It is another object of the present invention to provide a method of inhibiting HIV present in a body fluid sample which comprises treating the body fluid sample with an effective amount of a compound of the present invention.
It is another object of the present invention to provide a kit or container containing at least one of the compounds of the present invention in an amount effective for use as a standard or reagent in a test or assay for determining the ability of a potential pharmaceutical to inhibit HIV reverse transcriptase, HIV growth, or both.
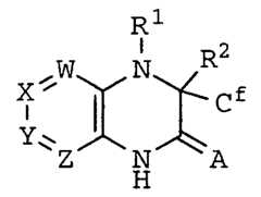
These and other objects, which will become apparent during the following detailed description, have been achieved by the inventors' discovery that compounds of formula (I):
Figure imgf000007_0001
(I)
wherein A, W, X, Y, Z, R^-, R2, and Cf are defined below, stereoisomeric forms, mixtures of stereoisomeric forms, or pharmaceutically acceptable salt forms thereof, are effective reverse transcriptase inhibitors . DETAILED DESCRIPTION OF PREFERRED EMBODIMENTS Thus, in a first embodiment, the present invention provides a novel compound of Formula (I) :
Figure imgf000008_0001
(I) or a stereoisomer or pharmaceutically acceptable salt form thereof, wherein:
A is 0 or S;
W is N or CR3;
X is N or CR4;
Y is N or CR5;
Z is N or CR6;
Cf is cyclopropyl or Cι_3 alkyl substituted with 3-7 halogen;
provided that the number of W, X, Y, and Z which are N, is zero, one or two;
R1 is selected from:
-C02R12, -COR12, -S02R12, -SOR12, -CONHR12,
-(CHR7)pCHR7R8,
-(CHR7)pCH=CR7R8,
-(CHR7)pC≡C-R8, -Ci-6 alkyl substituted with 0-3 R11,
- (CH2)pphenyl substituted with 0-3 R10, and
-(CH2)p(C3-5 cycloalkyl);
R2 is selected from: -CH=CR7R8, -C≡C-R8 ,
-CH=CHCHR7R8 , -(CHR7)pCHR7R8, -(CHR7)pCH=CR7R8, -(CHR7)pC≡C-R8,
-Cι_4 alkyl substituted with 0-3 R11,
- (CH2)pphenyl substituted with 0-3 R10, and
-(CH2)p(C3-5 cycloalkyl);
R3 is selected from:
H, F, CI, Br, I, -OH, OCF3 , -CN, N02 , CHO, C(=0)CH3, C(=0)CF3/ C(=0)NH2, C(=0)NHCH3, NR7R7a, NR7C(=0)OR7b, C(=0)OR7, SR7 , S(=0)R7, S0R7, S02NHR7 , NR7S02R7b, Cι-3 alkyl substituted with 0-3 R11, C2-3 alkenyl, C2-3 alkynyl, Cι_3 alkoxy, phenyl substituted with 0-2 R10, and 5-6 membered aromatic heterocycle system containing from 1-4 heteroatoms selected from the group consisting of N, 0, and S and substituted with 0-2 R10;
R4 is selected from: H, F, CI, Br, I, -OH, OCF3 , -CN, N02, CHO, C(=0)CH3, C(=0)CF3, C(=0)NH2, C(=0)NHCH3, NR7R7a, NR7C(=0)OR7b, C(=0)OR7, SR7 , S(=0)R7, S02R7, S02NHR7, NR7S02R7b, C1-3 alkyl substituted with 0-3 R11, C2-3 alkenyl, C2-3 alkynyl, Cχ-3 alkoxy, phenyl substituted with 0-2 R10, and
5-6 membered aromatic heterocycle system containing from 1-4 heteroatoms selected from the group consisting of N, 0, and S and substituted with 0-2 R10; alternatively, R3 and R4, when substituents on adjacent carbon atoms, are taken together with the carbon atoms to which they are attached to form a 5-7 membered carbocyclic ring, said carbocyclic ring being aromatic or nonaromatic, said carbocyclic ring being substituted with 0-2 R10;
alternatively, R3 and R4, when substituents on adjacent carbon atoms, are taken together with the carbon atoms to which they are attached to form a 5-7 membered heterocyclic ring containing 1, 2 or 3 heteroatoms atoms selected from the group consisting of N, O, and S, said heterocyclic ring being aromatic or nonaromatic, said heterocyclic ring being substituted with 0-2 R10;
R5 is selected from H, F, CI, Br, I, -OH, methyl, ethyl, propyl, butyl, methoxy, ethoxy, propoxy, and butoxy;
alternatively, R4 and R5, when substituents on adjacent carbon atoms, are taken together with the carbon atoms to which they are attached to form a 5-7 membered carbocyclic ring, said carbocyclic ring being aromatic or nonaromatic, said carbocyclic ring being substituted with 0-2 R10;
alternatively, R4 and R5, when substituents on adjacent carbon atoms, are taken together with the carbon atoms to which they are attached to form a 5-7 membered heterocyclic ring containing 1, 2 or 3 heteroatoms atoms selected from the group consisting of N, O, and S, said heterocyclic ring being aromatic or nonaromatic, said heterocyclic ring being substituted with 0-2 R10;
R6 is selected from: H, OH, F, CI, Br, I, OCF3, -CN, N02, CHO, C(=0)CH3, C(=0)CF3, C(=0)NH2, C(=0)NHCH3, NR7R7 , NR7C(=O)0R7b, C(=0)0R7, SR7 , S(=0)R7, S02R7, S02NHR7, NR7S02R7b, Cι_3 alkyl substituted with 0-3 R11,
C2-3 alkenyl,
C2-3 alkynyl,
C1-.3 alkoxy, phenyl substituted with 0-2 R10, and
5-6 membered aromatic heterocycle system containing from 1-4 heteroatoms selected from the group consisting of N, O, and S and substituted with 0-2 R10;
R7, at each occurrence, is selected from H, methyl, ethyl, propyl, and butyl;
R7a, at each occurrence, is selected from H, methyl, ethyl, propyl , and butyl; ;
R7b, at each occurrence, is methyl, ethyl, propyl, or butyl;
R8, at each occurrence, is selected from: H, F, CI, Br, I, CH(-OCH2CH20-) , C1-4 haloalkyl,
Cι_6 alkyl substituted with 0-3 R11, C2_6 alkenyl,
C3-7 cycloalkyl substituted with 0-2 R9, phenyl substituted with 0-2 R10, and 5-6 membered aromatic heterocycle system containing from 1-4 heteroatoms selected from the group consisting of N, 0, and S and substituted with 0-2 R10;
R9, at each occurrence, is selected from D, OH, methyl, ethyl, propyl, butyl, methoxy, ethoxy, propoxy, butoxy, and F;
R10, at each occurrence, is selected from OH, methyl, ethyl, propyl, butyl, methoxy, ethoxy, propoxy, butoxy, F, CI, Br, I, CN, NR7R7a, and C(=0)CH3;
R11, at each occurrence, is selected from OR7, CN, F, CI, Br, I, N02, NR7R7a, CHO, C(=0)CH3, C(=0)NH2; R12, at each occurrence, is selected from
Ci-6 alkyl,
C2_4 alkenyl,
C2-4 alkynyl,
C3-7 cycloalkyl, phenyl substituted with 0-2 R10, and
5-6 membered aromatic heterocycle system containing from 1-3 heteroatoms selected from the group consisting of N, 0, and S and substituted with 0-2 R10,
- (CH2)pphenyl substituted with 0-2 R10, and
- (CH2)p(C3-5 cycloalkyl); and
p, at each occurrence, is selected from 0, 1, 2, and 3;
provided, if, simultaneously, each of W, X, Y, and Z are carbon, then R2 is not unsubstituted C1-4 alkyl.
In a preferred embodiment, the present invention provides a novel compound of Formula (II) , wherein:
Figure imgf000012_0001
(ID wherein:
A is 0 or S;
Cf is -CF3, -CF2CF3, or -CF2CF2CF3;
R1 is selected from: -C02R12, -COR12, -S02R12, -SOR12, -CONHR12, -(CHR7)pCHR7R8, -(CHR7)pCH=CR7R8, -(CHR7)pO≡C-R8, -Ci-6 alkyl substituted with 0-3 R11, - (CH2)pphenyl substituted with 0-3 R10, and -(CH2)p(C3_5 cycloalkyl);
R2 is selected from: -CH=CR7R8 , -C≡C-R8,
-CH=CHCHR7R8, -(CHR7)pCHR7R8, -(CHR7)pCH=CR7R8, -(CHR7)pC≡C-R8,
- (CH2)pphenyl substituted with 0-3 R10, and -(CH2)p(C3-5 cycloalkyl);
R3 is selected from: H, F, CI, Br, I, -OH, 0CF3 , -CN, N02 , CHO, C(=0)CH3, C(=0)CF3, C(=0)NH2, C(=0)NHCH3, NR7R7a, NR7C(=0)0R7b, C(=0)OR7, SR7 , S(=0)R7, S02R7, S02NHR7, NR7S02R7b, Cι-3 alkyl substituted with 0-3 R11, C2_3 alkenyl, C2_3 alkynyl, Cι-3 alkoxy, phenyl substituted with 0-2 R10, and
5-6 membered aromatic heterocycle system containing from 1-4 heteroatoms selected from the group consisting of N, O, and S and substituted with 0-2 R10;
R4 is selected from:
H, F, CI, Br, I, -OH, OCF3, -CN, N02, CHO, C(=0)CH3, C(=0)CF3, C(=0)NH2, C(=0)NHCH3, NR7R7a,
NR7C(=0)0R7b, C(=0)OR7, SR7 , S(=0)R7, S02R7, S02NHR7, NR7S02R7b, Cι_3 alkyl substituted with 0-3 R11, C2_3 alkenyl, C2-3 alkynyl, C1-3 alkoxy, phenyl substituted with 0-2 R10, and 5-6 membered aromatic heterocycle system containing from 1-4 heteroatoms selected from the group consisting of N, 0, and S and substituted with 0-2 R10;
alternatively, R3 and R4, when substituents on adjacent carbon atoms, are taken together with the carbon atoms to which they are attached to form -0-CH2-0-, -0-CH2-CH2-0-, or -CH=CH-CH=CH- ;
R5 is selected from H, F, Cl, Br, I, -OH, methyl, ethyl, propyl, butyl, methoxy, ethoxy, propoxy, and butoxy;
alternatively, R4 and R5, when substituents on adjacent carbon atoms, are taken together with the carbon atoms to which they are attached to form -0-CH2-0-, -0-CH2-CH2-0-, or -CH=CH-CH=CH- ;
R6 is selected from:
H, OH, F, Cl, Br, I, OCF3 , -CN, N02, CHO, C(=0)CH3, C(=0)CF3/ C(=0)NH2, C(=0)NHCH3, NR7R7 ,
NR7C(=0)OR7b, C(=0)OR7, SR7, S(=0)R7, S02R7, S02NHR7 , NR7S02R7b, C1-3 alkyl substituted with 0-3 R11, C2-3 alkenyl, C2-3 alkynyl, C1-3 alkoxy, phenyl substituted with 0-2 R10, and
5-6 membered aromatic heterocycle system containing from 1-4 heteroatoms selected from the group consisting of N, 0, and S and substituted with 0-2 R10;
R7, at each occurrence, is selected from H, methyl, ethyl, propyl, and butyl;
R7a, at each occurrence, is selected from H, methyl, ethyl, propyl , and butyl,- ;
R7b, at each occurrence, is methyl, ethyl, propyl, or butyl; R8, at each occurrence, is selected from: H, F, Cl, Br, I, CH(-OCH2CH20-) , Cι_4 haloalkyl, Ci-6 alkyl substituted with 0-3 R11, C2-6 alkenyl,
C3-7 cycloalkyl substituted with 0-2 R9, phenyl substituted with 0-2 R10, and
5-6 membered aromatic heterocycle system containing from 1-4 heteroatoms selected from the group consisting of N, 0, and S and substituted with 0-2 R10;
R9, at each occurrence, is selected from D, OH, methyl, ethyl, propyl, butyl, methoxy, ethoxy, propoxy, butoxy, and F;
R10, at each occurrence, is selected from OH, methyl, ethyl, propyl, butyl, methoxy, ethoxy, propoxy, butoxy, F, Cl, Br, I, CN, NR7R7a, and C(=0)CH3;
R11, at each occurrence, is selected from OR7, CN, F, Cl, Br, I, N02, NR7R7a, CHO, C(=0)CH3, C(=0)NH2;
R12, at each occurrence, is selected from
Ci-6 alkyl, C _4 alkenyl,
C2-4 alkynyl,
C3-.7 cycloalkyl, phenyl substituted with 0-2 R10, and
5-6 membered aromatic heterocycle system containing from 1-3 heteroatoms selected from the group consisting of N, 0, and S and substituted with 0-2 R10,
- (CH2)pphenyl substituted with 0-2 R10, and
- (CH2)p(C3_5 cycloalkyl); and
p, at each occurrence, is selected from 0, 1, 2, and 3.
In a further preferred embodiment, the present invention provides a novel compound of Formula (II) , wherein: A is 0 or S ;
Cf is -CF3, -CF2CF3, or -CF2CF2CF3;
R1 is selected from:
-C02R12, -COR12, -S02R12, -SOR12, -CONHR12 ,
-(CHR7)pCHR7R8,
-(CHR7)pCH=CR7R8, -(CHR7)pC≡C-R8,
-C1-5 alkyl substituted with 0-3 R11,
-(CH2)pphenyl substituted with 0-3 R10, and
-(CH2)p(C3-5 cycloalkyl);
R2 is selected from: -CH=CR7R8 , -C≡C-R8,
-CH=CHCHR7R8, -(CHR7)pCHR7R8, - (CHR7 )pCH=CR7R8 , -(CHR7)pC≡C-R8,
-(CH2)pphenyl substituted with 0-3 R10, and -(CH2)p(C3-5 cycloalkyl);
R3 is selected from:
H, F, Cl, Br, I, -OH, -OCF3 , -CN, -N02 , -CHO, -C(=0)CH3, -C(=0)CF3, -C(=0)NH2, -C(=0)NHCH3, -NH2 , -NHCH3 , -N(CH )2, -NHC(=0)0CH3, -C(=0)0CH3, -SCH3, -S(=0)CH3, -S02CH3, -SO2NHCH3, -NHS02CH3, C1-3 alkyl substituted with 0-3 R11, C2_3 alkenyl, C _3 alkynyl, C1-3 alkoxy,
R4 is selected from:
H, F, Cl, Br, I, -OH, OH, -0CF3, -CN, -N02 , -CHO,
-C(=0)CH3, -C(=0)CF3, -C(=0)NH2, -C(=0)NHCH3, -NH2 , -NHCH3, -NHCH2CH3, -N(CH3)2, -N(CH2CH3)2, -NHC(=0)0CH3, -NHC(=0)0CH2CH3, -C(=0)0CH3, -C(=0)OCH2CH3, -SCH3, -SCH2CH3, -S(=0)CH3, -S(=0)CH2CH3, -S02H, -SO2CH3, -S02CH2CH3, -S02NHCH3, -SO2NHCH2CH3, -NHS02CH3, -NHS02CH2CH3 , Cι_3 alkyl substituted with 0-3 R11,
C2-3 alkenyl,
C2-3 alkynyl,
C1-.3 alkoxy,
alternatively, R3 and R4, when substituents on adjacent carbon atoms , are taken together with the carbon atoms to which they are attached to form -0-CH -0-, -0-CH -CH2-0-, or -CH=CH-CH=CH- ;
R5 is selected from H, F, Cl, Br, I, -OH, methyl, ethyl, propyl, butyl, methoxy, ethoxy, propoxy, and butoxy;
alternatively, R4 and R5, when substituents on adjacent carbon atoms, are taken together with the carbon atoms to which they are attached to form -0-CH -0-, -0-CH2-CH2-0-, or -CH=CH-CH=CH- ;
R6 is selected from:
H, F, Cl, Br, I, -OH, -OCF3 , -CN, -N02 , -CHO, -C(=0)CH3, -C(=0)CF3, -C(=0)NH2, -C(=0)NHCH3, -NH2, -NHCH3 ,
-N(CH3)2, -NHC(=0)OCH3, -C(=0)0CH3, -SCH3, -S(=0)CH3, -SO2CH3, -SO2NHCH3, -NHSO2CH3, C1-3 alkyl substituted with 0-3 R11, C2_3 alkenyl, C2_3 alkynyl, C1-3 alkoxy,
R7, at each occurrence, is selected from H, methyl, ethyl, propyl, and butyl;
R7a, at each occurrence, is selected from H, methyl, ethyl, propyl , and butyl ; ; R8, at each occurrence, is selected from: H, F, Cl, Br, I, CH(-OCH2CH20-) , Cι-4 haloalkyl,
Ci-6 alkyl substituted with 0-3 R11, C2-6 alkenyl,
C3-7 cycloalkyl substituted with 0-2 R9, phenyl substituted with 0-2 R10, and
5-6 membered aromatic heterocycle system containing from 1-3 heteroatoms selected from the group consisting of N, O, and S and substituted with 0-2 R10;
R9, at each occurrence, is selected from D, OH, methyl, ethyl, propyl, butyl, methoxy, ethoxy, propoxy, butoxy, and F;
R10, at each occurrence, is selected from OH, methyl, ethyl, propyl, butyl, methoxy, ethoxy, propoxy, butoxy, F, Cl, Br, I, CN, NR7R7a, and C(=0)CH3;
R11, at each occurrence, is selected from OR7, CN, F, Cl, Br, I, N02, NR7R7a, CHO, C(=0)CH3, C(=0)NH2;
R12, at each occurrence, is selected from
Ci-6 alkyl,
C2-4 alkenyl, C _4 alkynyl,
C3-7 cycloalkyl, phenyl substituted with 0-2 R10, and
5-6 membered aromatic heterocycle system containing from 1-3 heteroatoms selected from the group consisting of N, 0, and S and substituted with 0-2 R10,
- (CH2)pphenyl substituted with 0-2 R10, and
-(CH2)p(C3-5 cycloalkyl); and
p, at each occurrence, is selected from 0, 1, 2, and 3.
In a more further preferred embodiment, the present invention provides a novel compound of Formula (II) , wherein: A is 0;
Cf is -CF3 or -CF2CF3 ;
R1 is selected from:
-C02R12, -COR12, -S02R12, -(CHR7)pCHR7R8, -(CHR7)pCH=CR7R8, -(CHR7)pC≡C-R8, -Ci-5 alkyl substituted with 0-3 R11,
- (CH2)pphenyl substituted with 0-3 R10, and -(CH2)p(C3-5 cycloalkyl);
R2 is selected from: -CH=CR7R8, -C≡C-R8,
-CH=CHCHR7R8, -(CHR7)pCHR7R8, -(CHR7)pCH=CR7R8, -(CHR7)pC≡C-R8,
- (CH2)pphenyl substituted with 0-3 R10, and -(CH2)p(C -5 cycloalkyl);
R3 is selected from: H, F, Cl, Br, I, -OH, -OCF3 , -CN, -N02 , -CHO, -C(=0)CH3, -C(=0)CF3, -NH2, -NHCH3, -N(CH3)2, -CF3, -CH3 , -CH2CH3, -OCH3, and -OCH2CH3,
R4 is selected from: H, F, Cl, Br, I, -OH, OH, -OCF3, -CN, -N02 , -CHO,
-C(=0)CH3, -C(=0)CF3/ -C(=0)NH2 -C(=0)NHCH3, -NH2 , -NHCH3/ -N(CH3)2, -NHC(=0)0CH3, -C(=0)0CH3, -CF3 , -CH3, -CH2CH3, -OCH3, and -OCH2CH3;
R5 is selected from H, F, Cl, Br, I, -OH, -CH3, -CH2CH3, -OCH3, and -OCH2CH3;
R6 is selected from: H, F, C , Br, I, -OH, -OCF3 , -CN, -N02 , -CHO, -C(=0)CH3, -C(=0)CF3, -NH2, -NHCH3, -N(CH3)2, -CF3, -CH3 , -CH2CH3, -OCH3, and -OCH2CH3;
R7, at each occurrence, is selected from H, methyl, ethyl, propyl, and butyl;
R8, at each occurrence, is selected from: H, F, Cl, Br, I, CH (-OCH2CH20-) , C1-4 haloalkyl,
C1-4 alkyl substituted with 0-3 R11, C2_4 alkenyl,
C3-6 cycloalkyl substituted with 0-2 R9, phenyl substituted with 0-2 R10, and 5-6 membered aromatic heterocycle system containing from 1-3 heteroatoms selected from the group consisting of pyridinyl, furanyl, thienyl, pyrrolyl, pyrazolyl, i idazolyl, and oxazolidinyl;
R9, at each occurrence, is selected from D, OH, methyl, ethyl, propyl, butyl, methoxy, ethoxy, propoxy, butoxy, and F;
R10, at each occurrence, is selected from OH, methyl, ethyl, propyl, butyl, methoxy, ethoxy, propoxy, butoxy, F, Cl, Br, I, CN, -NH2, -NHCH3, -NHCH2CH , -N(CH3)2, -N(CH2CH3)2, and C(=0)CH ;
R11, at each occurrence, is selected from OR7, CN, F, Cl, Br, I, N02, -NH2, -NHCH3, -NHCH2CH3, -N(CH3)2, -N(CH2CH3)2, CHO, C(=0)CH3, C(=0)NH2;
R12, at each occurrence, is selected from Ci-6 alkyl, C2_4 alkenyl, C2-4 alkynyl,
C3-6 cycloalkyl, phenyl substituted with 0-2 R10, and 5-6 membered aromatic heterocycle system containing from 1-3 heteroatoms selected from the group consisting pyridinyl, furanyl, thienyl, pyrrolyl, pyrazolyl, imidazolyl, and oxazolidinyl, - (CH2)pphenyl substituted with 0-2 R10, and
-(CH2)p(C3-5 cycloalkyl); and
p, at each occurrence, is selected from 0, 1, and 2.
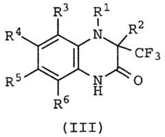
In an even more further preferred embodiment, the present invention provides a novel compound of Formula (III) ;
Figure imgf000021_0001
wherein:
R1 is selected from:
-CF3, -CF2H, -CH3, -CH2CH3, -CH2CH2CH3,
-CH2CH2CH2CH3 , -CH(CH3)2, -CH2CH(CH3)2, -CH2CH2C (CH3)3, -CH2CH2CH(CH3)CH3,
-CH(=CH2)CH3, -CH2CH=CH2, -CH2-CH=C (CH3 )2 , -CH2-C≡CH, -CH2-C≡CCH3, -CH2Ph, -cycPr, -CH2cycPr, -CH2CH2cycPr,
-C02CH3, -C02CH2CH3 -C02CH2CH2CH3 , -CO2CH2CH2CH2CH3 , -C02CH(CH3)2, -C02CH2CH(CH3)2, -C02CH2Ph, -C02cycPr, -C02CH2cycPr, -C02CH2CH=CH2 , -S02CH2CH3, -S02CH(CH3)2, -COCH3, -COCH2CH , -COCH2CH2CH3 , -COCH(CH3)2, and -COCH2cycPr;
R2 is selected from: benzyl, phenethyl, -CH2CH2cycPr,
-C≡C-CH3, -G≡C-CF3, -C≡C-Et, -C≡C-iPr, -C≡C-cycPr, -C≡C-l-(CH3)cycPr, -C≡C-CH=CH2, -C≡C-C (=CH2) CH3, -CH=CH-CH3, -CH=CH-CF3, -CH=CH-Et, -CH=CH-iPr, -CH=CH-cycPr, -CH=CH-CH=CH2 , -CH2-C≡C-CH3 , -CH2-C≡C-CF3, -CH2-C≡C-Et, -CH2-C≡C-iPr, -CH2-C≡C-cycPr, -CH2-C≡C-CH=CH2, -CH2-CH=CH2,
-CH2 -CH=CH-CH3 , -CH2 -CH=CH-CF3 , -CH2 -CH=CH-Et , -CH2-CH=CH-iPr, -CH -CH=CH-cycPr , -CH2-CH=CH-CH=CH , -CH2-CH=C(CH3)2, and -CH=CH-CH2-cycPr;
R3 is selected from:
H, F, Cl, Br, I, -OH, -OCF3 , -CN, -N02, -C(=0)CH3, -C(=0)CF3, -NH2, -NHCH3, -N(CH3)2, -CF3, -CH3 , -CH2CH3, -OCH3, and -0CH2CH3 ,
R4 is selected from:
H, F, Cl, Br, I, -OH, OH, -OCF3 , -CN, -N02 , -C(=0)CH3, -C(=0)CF3, -C(=0)NH2, -C(=0)NHCH3, -NH2, -NHCH3 , -N(CH3)2, -NHC(=0)OCH3, -C(=0)OCH3, -CF3 , -CH3, -CH2CH3, -OCH3, and -OCH2CH3;
R5 is selected from H, F, and Cl; and
R6 is selected from:
H, F, Cl -OH, -OCF3, -CF3, -CH3, and -OCH3.
In a further preferred embodiment, a compound of the present invention is selected from:
4- (cyclopropylmethyl) -3- (2-cyclopropylethynyl) -3- (trifluoromethyl) -3 , 4-dihydro-quinoxalin-2 (IH) -one;
4- (methyl) -3- (2-cyclopropylethynyl) -3- (trifluoromethyl) -3, 4- dihydro-quinoxalin-2 (IH) -one;
3- (n-butyl) -3- (trifluoromethyl) -3 , 4-dihydro-quinoxalin-2 (IH) - one; 4- (methyl) -3- (n-butyl) -3- (trifluoromethyl) -3, 4-dihydro- quinoxalin-2 (IH) -one;
3- (2-cyclopropylethynyl) -3- (trifluoromethyl) -3 , 4-dihydro- quinoxalin-2 (IH) -one;
3- (allyl) -3- (trifluoromethyl) -3 , 4-dihydro-quinoxalin-2 (IH) - one;
4- (allyl) -3- (2-cyclopropylethynyl) -3- (trifluoromethyl) -3,4- dihydro-quinoxalin-2 (IH) -one;
4- (benzyl) -3- (2-cyclopropylethynyl) -3- (trifluoromethyl) -3, 4- dihydro-quinoxalin-2 (IH) -one;
4- (cyclopropylmethyl) -3- (allyl) -3- (trifluoromethyl) -3 , 4- dihydro-quinoxalin-2 (IH) -one;
4- (propargyl) -3- (2-cyclopropylethynyl) -3- (trifluoromethyl) - 3 , 4-dihydro-quinoxalin-2 (IH) -one;
4- (cyclopropylethyl) -3- (2-cyclopropylethynyl) -3- (trifluoromethyl) -3, 4-dihydro-quinoxalin-2 (IH) -one;
4- (isopropyl) -3- (2-cyclopropylethynyl) -3- (trifluoromethyl) - 3 , 4-dihydro-quinoxalin-2 (IH) -one;
6- (fluoro) -4- (allyl) -3- (n-butyl) -3- (trifluoromethyl) -3 , 4- dihydro-quinoxalin-2 (IH) -one;
6- (fluoro) -4- (allyl) -3- (2-cyclopropylethynyl) -3- (trifluoromethyl) -3 , 4-dihydro-quinoxalin-2 (IH) -one;
6- (fluoro) -4- (cyclopropylmethyl) -3- (2-cyclopropylethynyl) -3- (trifluoromethyl) -3 , 4-dihydro-quinoxalin-2 (IH) -one;
6- (fluoro) -4- (cyclopropylmethyl) -3- (n-butyl) -3-
( trifluoromethyl) -3 , 4-dihydro-quinoxalin-2 (IH) -one; 6- (chloro) -4- (cyclopropylmethyl) -3- (2-cyclopropylethynyl) -3- (trifluoromethyl) -3, 4-dihydro-quinoxalin-2 (IH) -one;
6- (chloro) -4- (isobutyl) -3- (2-cyclopropylethynyl) -3- (trifluoromethyl) -3, 4-dihydro-quinoxalin-2 (IH) -one;
6- (chloro) -4- (allyl) -3- (2-cyclopropylethynyl) -3- (trifluoromethyl) -3 , 4-dihydro-quinoxalin-2 (IH) -one;
6- (chloro) -4- (cyclopropylmethyl) -3- (phenethyl) -3- (trifluoromethyl) -3 , 4-dihydro-quinoxalin-2 (IH) -one;
6- (chloro) -4- (allyl) -3- (phenethyl) -3- (trifluoromethyl) -3 , 4- dihydro-quinoxalin-2 (IH) -one;
6- (methoxy) -4- (cyclopropylmethyl) -3- (2-cyclopropylethynyl) -3- (trifluoromethyl) -3 , 4-dihydro-quinoxalin-2 (IH) -one;
6- (methoxy) -4- (allyl) -3- (2-cyclopropylethynyl) -3-
(trifluoromethyl) -3 , 4-dihydro-quinoxalin-2 (IH) -one;
4- (cyclopropylmethyl) -3- (1-propynyl) -3- (trifluoromethyl) -3 , 4- dihydro-quinoxalin-2 (IH) -one;
4- (allyl) -3- (1-propynyl) -3- (trifluoromethyl) -3 , 4-dihydro- quinoxalin-2 (IH) -one;
4- (ethoxycarbonyl) -3- (2-cyclopropylethynyl) -3- (trifluoromethyl) -3 , 4-dihydro-quinoxalin-2 (IH) -one;
4- (ethoxycarbonyl) -3- (2-cyclopropylethynyl) -3-
(trifluoromethyl) -3, 4-dihydro-quinoxalin-2 (IH) -one;
4- (isopropoxycarbonyl) -3- (2-cyclopropylethynyl) -3- (trifluoromethyl) -3 , 4-dihydro-quinoxalin-2 (IH) -one; - (propen-2-yl-oxycarbonyl) -3- (2-cyclopropylethynyl) -3- (trifluoromethyl) -3, 4-dihydro-quinoxalin-2 (IH) -one;
- (isobutoxycarbonyl) -3- (2-cyclopropylethynyl) -3- (trifluoromethyl) -3 , 4-dihydro-quinoxalin-2 (IH) -one;
- (n-butoxycarbonyl) -3- (2-cyclopropylethynyl) -3- (trifluoromethyl) -3 , 4-dihydro-quinoxalin-2 (IH) -one;
- (allyloxycarbonyl) -3- (2-cyclopropylethynyl) -3-
(trifluoromethyl) -3 , 4-dihydro-quinoxalin-2 (IH) -one;
- (benzyloxycarbonyl) -3- (2-cyclopropylethynyl) -3- (trifluoromethyl) -3 , 4-dihydro-quinoxalin-2 (IH) -one;
- (n-propylsulfonyl) -3- (2-cyclopropylethynyl) -3- (trifluoromethyl) -3 , 4-dihydro-quinoxalin-2 (IH) -one;
- ( heny1carbony1) -3- (2-cyclopropylethynyl) -3- (trifluoromethyl) -3 , 4-dihydro-quinoxalin-2 (IH) -one;
- (neopentyl-oxycarbonyl) -3- (2-cyclopropylethynyl) -3- (trifluoromethyl) -3 , 4-dihydro-quinoxalin-2 (IH) -one;
- (2-propynyl-oxycarbonyl) -3- (2-cyclopropylethynyl) -3- (trifluoromethyl) -3 , 4-dihydro-quinoxalin-2 (IH) -one;
- (isopropylcarbonyl) -3- (2-cyclopropylethynyl) -3- (trifluoromethyl) -3 , 4-dihydro-quinoxalin-2 (IH) -one;
- (cyclopropylcarbonyl) -3- (2-cyclopropylethynyl) -3- (trifluoromethyl) -3 , 4-dihydro-quinoxalin-2 (IH) -one;
- (ethylsulfonyl) -3- (2-cyclopropylethynyl) -3- (trifluoromethyl) -3 , 4-dihydro-quinoxalin-2 (IH) -one;
- (isopropylsulfonyl) -3- (2-cyclopropylethynyl) -3- (trifluoromethyl) -3 , 4-dihydro-quinoxalin-2 (IH) -one; 4- (methoxycarbonyl) -3- (2-cyclopropylethynyl) -3-
(trifluoromethyl) -3 , 4-dihydro-quinoxalin-2 (IH) -one;
6- (chloro) -4- (ethoxycarbonyl) -3- (2-cyclopropylethynyl) -3- ( trifluoromethyl) -3, 4-dihydro-quinoxalin-2 (IH) -one;
6- (chloro) -4- (isopropoxycarbonyl) -3- (2-cyclopropylethynyl) -3- (trifluoromethyl) -3 , 4-dihydro-quinoxalin-2 (IH) -one;
6- (chloro) -4- (propen-2-yl-oxycarbonyl) -3- (2- cyclopropylethynyl) -3- (trifluoromethyl) -3 , 4-dihydro- quinoxalin-2 (IH) -one;
6- (fluoro) -4- (ethoxycarbonyl) -3- (2-cyclopropylethynyl) -3- (trifluoromethyl) -3 , 4-dihydro-quinoxalin-2 (IH) -one;
6- (fluoro) -4- (isopropoxycarbonyl) -3- (2-cyclopropylethynyl) -3- (trifluoromethyl) -3 , 4-dihydro-quinoxalin-2 (IH) -one; and
6- (fluoro) -4- (propen-2-yl-oxycarbonyl) -3- (2-cyclopropylethynyl) -3- (trifluoromethyl) -3 , 4-dihydro-quinoxalin-2 (IH) -one.
In a most preferred embodiment, the present invention provides a novel compound of Formula (I) , Formula (II) or Formula (III) , or a stereoisomer or pharmaceutically acceptable salt form thereof, wherein R1, Cf, A, W, X, Y, and Z are as defined above; and R2 is -C≡C-R8 or - (CHR7)pC≡C-R8.
In another preferred embodiment, the present invention provides a compound of Formula (lib) :
Figure imgf000026_0001
(lib) wherein: A is O or S;
W is N or CR3;
X is N or CR4;
Y is N or CR5;
Z is N or CR6;
Cf is -CF3, -CF2CF3, or -CF2CF2CF3;
provided that one or two of W, X, Y, and Z are N;
R1 is selected from:
-C02R12, -COR12, -S02R12,
-(CHR7)pCHR7R8,
-(CHR7)pCH=CR7R8, -(CHR7)pC≡C-R8,
-C1-5 alkyl substituted with 0-3 R11,
-(CH2)pphenyl substituted with 0-3 R10, and
-(CH2)p(C3_5 cycloalkyl);
R2 is selected from: -CH=CR7R8 , -C≡C-R8,
-CH=CHCHR7R8 , -(CHR7)pCHR7R8, - (CHR7)pCH=CR7R8, -(CHR7)pϋ≡C-R8,
-(CH2)pphenyl substituted with 0-3 R10, and -(CH2)P(C3_5 cycloalkyl);
R3 is selected from:
H, F, Cl, Br, I, -OH, -OCF3 , -CN, -N02 , -CHO, -C(=0)CH3, -C(=0)CF3, -NH2, -NHCH3, -N(CH3)2, -CF3 , -CH3 , -CH2CH3, -OCH3, and -OCH2CH3, R4 is selected from:
H, F, Cl, Br, I, -OH, OH, -OCF3 , -CN, -N02 , -CHO,
-C(=0)CH3, -C(=0)CF3, -C(=0)NH2, -C(=0)NHCH3, -NH2 , -NHCH3, -N(CH3)2, -NHC(=0)OCH3, -C(=0)OCH3, -CF3 ,
-CH3, -CH2CH3, -OCH3, and -0CH2CH3;
R5 is selected from H, F, Cl, Br, I, -OH, -CH3, -CH2CH3, -OCH3, and -OCH2CH3;
R6 is selected from:
H, F, Cl, Br, I, -OH, -OCF3, -CN, -N02 , -CHO, -C(=0)CH3, -C(=0)CF3, -NH2, -NHCH3, -N(CH3)2, -CF3 , -CH3 , -CH2CH3, -OCH3, and -OCH2CH3;
R7, at each occurrence, is selected from H, methyl, ethyl, propyl, and butyl;
R8, at each occurrence, is selected from: H, F, Cl, Br, I, CH( -OCH2CH20-) , C1-4 haloalkyl,
Cι_4 alkyl substituted with 0-3 R11, C2_4 alkenyl,
C3-6 cycloalkyl substituted with 0-2 R9, phenyl substituted with 0-2 R10, and
5-6 membered aromatic heterocycle system containing from 1-3 heteroatoms selected from the group consisting of pyridinyl, furanyl, thienyl, pyrrolyl, pyrazolyl, imidazolyl, and oxazolidinyl;
R9, at each occurrence, is selected from D, OH, methyl, ethyl, propyl, butyl, methoxy, ethoxy, propoxy, butoxy, and F;
R10, at each occurrence, is selected from OH, methyl, ethyl, propyl, butyl, methoxy, ethoxy, propoxy, butoxy, F, Cl,
Br, I, CN, -NH2, -NHCH3, -NHCH2CH3, -N(CH3)2, -N(CH2CH3)2, and C(=0)CH3; R11, at each occurrence, is selected from OR7, CN, F, Cl, Br, I, N02, -NH2, -NHCH3, -NHCH2CH3 , -N(CH3)2, -N(CH2CH3)2, CHO, C(=0)CH3, C(=0)NH2;
R12, at each occurrence, is selected from Ci-6 alkyl, C2_4 alkenyl, C _4 alkynyl, C3-6 cycloalkyl, phenyl substituted with 0-2 R10, and
5-6 membered aromatic heterocycle system containing from 1-3 heteroatoms selected from the group consisting pyridinyl, furanyl, thienyl, pyrrolyl, pyrazolyl, imidazolyl, and oxazolidinyl, -(CH )pphenyl substituted with 0-2 R10, and -(CH2)P(C3_5 cycloalkyl); and
p, at each occurrence, is selected from 0, 1, and 2.
In more preferred embodiment, the present invention provides a compound of Formula (Ilia) :
Figure imgf000029_0001
(IHb) wherein:
R1 is selected from:
-CF3, -CF2H, -CH3, -CH2CH3, -CH2CH2CH3, -CH2CH2CH2CH3 , -CH(CH3)2, -CH2CH (CH3)2 , -CH2CH2C (CH )3, -CH2CH2CH(CH3)CH3/
-CH(=CH2)CH3, -CH2CH=CH2, -CH2-CH=C (CH3 )2 , -CH2-C≡CH, -CH2-C≡CCH3, -CH2Ph, -cycPr, -CH2cycPr, -CH2CH2cycPr, -C02CH3, -C02CH2CH3, -C02CH2CH2CH3 , -C02CH2CH2CH2CH3 , -C02CH(CH3)2, -C02CH2CH(CH3)2, -C02CH2Ph, -C02cycPr, -C02CH2cycPr, -C02CH2CH=CH2 , -S02CH2CH3/ -S02CH (CH3) 2 , -C0CH3, -C0CH2CH3, -C0CH2CH2CH3 , -COCH(CH3)2, and -COCH2cycPr;
R2 is selected from: benzyl, phenethyl, -CH2CH2cycPr,
-C≡C-CH3, -C≡C-CF3, -C≡C-Et, -C≡C-iPr, -C≡C-cycPr, -C≡C-l-(CH3)cycPr, -C≡C-CH=CH2, -C≡C-C (=CH2) CH3 ,
-CH=CH-CH3, -CH=CH-CF3, -CH=CH-Et, -CH=CH-iPr, -CH=CH-cycPr, -CH=CH-CH=CH2 , -CH2-C≡C-CH3 , -CH2-C≡C-CF3, -CH2 -C≡C-Et, -CH2-C≡C-iPr , -CH2-C≡C-cycPr, -CH2-C=C-CH=CH2, -CH2-CH=CH2, -CH2-CH=CH-CH3, -CH2-CH=CH-CF3 , -CH2-CH=CH-Et,
-CH -CH=CH-iPr, -CH2-CH=CH-cycPr , -CH2-CH=CH-CH=CH2, -CH2-CH=C(CH3)2, and -CH=CH-CH2-cycPr;
R3 is selected from: H, F, Cl, Br, I, -OH, -OCF3 , -CN, -N02, -C(=0)CH3, -C(=0)CF3, -NH2, -NHCH3, -N(CH3)2, -CF3, -CH3 , -CH2CH3, -OCH3, and -OCH2CH3,
R4 is selected from: H, F, Cl, Br, I, -OH, OH, -OCF3, -CN, -N02 , -C(=0)CH3, -C(=0)CF3, -C(=0)NH2, -C(=0)NHCH3, -NH2 , -NHCH3 , -N(CH3)2, -NHC(=0)OCH3, -C(=0)OCH3, -CF3, -CH3 , -CH2CH3, -OCH3, and -OCH2CH3;
R5 is selected from H, F, and Cl; and
R6 is selected from:
H, F, Cl -OH, -OCF3, -CF3, -CH3, and -OCH3.
In another preferred embodiment, the present invention provides a compound of Formula (la) or (lb) :
Figure imgf000031_0001
la lb or a stereoisomer or pharmaceutically acceptable salt form thereof .
In a second embodiment, the present invention provides a novel pharmaceutical composition comprising a pharmaceutically acceptable carrier and a therapeutically effective amount of a compound of formula (I) or pharmaceutically acceptable salt form thereof.
In a third embodiment, the present invention provides a novel method for treating HIV infection which comprises administering to a host in need of such treatment a therapeutically effective amount of a compound of formula (I) or pharmaceutically acceptable salt form thereof.
In a fourth embodiment, the present invention provides a novel method of treating HIV infection which comprises administering, in combination, to a host in need thereof a therapeutically effective amount of :
(a) a compound of Formula (I) ; and,
(b) at least one compound selected from the group consisting of HIV reverse transcriptase inhibitors and HIV protease inhibitors .
In another preferred embodiment, the reverse transcriptase inhibitor is a nucleoside reverse transcriptase inhibitor .
In another more preferred embodiment, the HIV reverse transcriptase inhibitor is selected from AZT, 3TC, rescriptor, ddl, ddC, efavirenz, and d4T and the protease inhibitor is selected from saquinavir, ritonavir, indinavir, VX-478, nelfinavir, KNI-272, CGP-61755, and U-103017.
In an even more preferred embodiment, the HIV reverse transcriptase inhibitor is selected from AZT, rescriptor, efavirenz, and 3TC and the protease inhibitor is selected from saquinavir, ritonavir, indinavir, and nelfinavir.
In a still further preferred embodiment, the nucleoside reverse transcriptase inhibitor is AZT.
In another still further preferred embodiment, the HIV reverse transcriptase inhibitor is efavirenz .
In another still further preferred embodiment, the protease inhibitor is indinavir.
In a fifth embodiment, the present invention provides a pharmaceutical kit useful for the treatment of HIV infection, which comprises a therapeutically effective amount of:
(a) a compound of Formula (I) ; and,
(b) at least one compound selected from the group consisting of HIV reverse transcriptase inhibitors and HIV protease inhibitors, in one or more sterile containers.
In a sixth embodiment, the present invention provides a novel method of inhibiting HIV present in a body fluid sample which comprises treating the body fluid sample with an effective amount of a compound of Formula (I) .
In a seventh embodiment, the present invention to provides a novel a kit or container comprising a compound of formula (I) in an amount effective for use as a standard or reagent in a test or assay for determining the ability of a potential pharmaceutical to inhibit HIV reverse transcriptase, HIV growth, or both. DEFINITIONS As used herein, the following terms and expressions have the indicated meanings . It will be appreciated that the compounds of the present invention contain an asymmetrically substituted carbon atom, and may be isolated in optically active or racemic forms. It is well known in the art how to prepare optically active forms, such as by resolution of racemic forms or by synthesis, from optically active starting materials. All chiral, diastereomeric, racemic forms and all geometric isomeric forms of a structure are intended, unless the specific stereochemistry or isomer form is specifically indicated.
The processes of the present invention are contemplated to be practiced on at least a multigram scale, kilogram scale, multikilogram scale, or industrial scale. Multigram scale, as used herein, is preferably the scale wherein at least one starting material is present in 10 grams or more, more preferably at least 50 grams or more, even more preferably at least 100 grams or more. Multikilogram scale, as used herein, is intended to mean the scale wherein more than one kilogram of at least one starting material is used. Industrial scale as used herein is intended to mean a scale which is other than a laboratory scale and which is sufficient to supply product sufficient for either clinical tests or distribution to consumers.
The reactions of the synthetic methods claimed herein may be, as noted herein, carried out in the presence of a suitable base, said suitable base being any of a variety of bases, the presence of which in the reaction facilitates the synthesis of the desired product. Suitable bases may be selected by one of skill in the art of organic synthesis. Suitable bases include, but are not intended to be limited to, inorganic bases such as alkali metal, alkali earth metal, thallium, and ammonium hydroxides, alkoxides, phosphates, and carbonates, such as sodium hydroxide, potassium hydroxide, sodium carbonate, potassium carbonate, cesium carbonate, thallium hydroxide, thallium carbonate, tetra-n-butylammonium carbonate, and ammonium hydroxide. Suitable bases also include organic bases, including but not limited to aromatic and aliphatic amines, such as pyridine; trialkyl amines such as triethylamine, N,N-diisopropylethylamine, N,N-diethylcyclohexylamine, N,N-dimethylcyclohexylamine, N,N,N' -triethylenediamine, N,N-dimethyloctylamine; 1, 5-diazabicyclo[4.3.0]non-5-ene (DBN) ; l,4-diazabicyclo[2.2.2]octane (DABCO) ; 1, 8-diazabicyclo[5.4.0]undec-7-ene (DBU) ; tetramethylethylenediamine (TMEDA) ; and substituted pyridines such as N,N-dimethylaminopyridine (DMAP) ,
4-pyrrolidinopyridine, 4-piperidinopyridine .
Suitable halogenated solvents include: carbon tetrachloride, bromodichloromethane, dibromochloromethane, bromoform, chloroform, bromochloromethane, dibromomethane, butyl chloride, dichloromethane, tetrachloroethylene, trichloroethylene, 1, 1, 1-trichloroethane, 1,1,2- trichloroethane, 1, 1-dichloroethane, 2-chloropropane, hexafluorobenzene, 1, 2, 4-trichlorobenzene, o-dichlorobenzene, chlorobenzene, or fluorobenzene. Suitable ether solvents include, but are not intended to be limited to, dimethoxymethane, tetrahydrofuran, 1,3- dioxane, 1,4-dioxane, furan, diethyl ether, ethylene glycol dimethyl ether, ethylene glycol diethyl ether, diethylene glycol dimethyl ether, diethylene glycol diethyl ether, triethylene glycol dimethyl ether, or t-butyl methyl ether. Suitable protic solvents may include, by way of example and without limitation, water, methanol, ethanol, 2- nitroethanol, 2-fluoroethanol, 2, 2, 2-trifluoroethanol, ethylene glycol, 1-propanol, 2-propanol, 2-methoxyethanol, 1- butanol, 2-butanol, i-butyl alcohol, t-butyl alcohol, 2- ethoxyethanol , diethylene glycol, 1-, 2-, or 3- pentanol, neo-pentyl alcohol, t-pentyl alcohol, diethylene glycol monomethyl ether, diethylene glycol monoethyl ether, cyclohexanol, anisole, benzyl alcohol, phenol, or glycerol. Suitable aprotic solvents may include, by way of example and without limitation, tetrahydrofuran (THF) , dimethylformamide (DMF), dimethylacetamide (DMAC) , 1,3- dimethyl-3,4,5, 6-tetrahydro-2 (IH) -pyrimidinone (DMPU) , 1,3- dimethyl-2-imidazolidinone (DMI) , N-methylpyrrolidinone (NMP) , formamide, N-methylacetamide, N-methylformamide, acetonitrile, dimethyl sulfoxide, propionitrile, ethyl formate, methyl acetate, hexachloroacetone, acetone, ethyl methyl ketone, ethyl acetate, sulfolane, N,N- dimethylpropionamide, tetramethylurea, nitromethane, nitrobenzene, or hexamethylphosphoramide .
Suitable hydrocarbon solvents include, but are not intended to be limited to, benzene, cyclohexane, pentane, hexane, toluene, cycloheptane, methylcyclohexane, heptane, ethylbenzene, m-, o-, or p-xylene, octane, indane, nonane, or naphthalene .
As used herein, the term "amine protecting group" (or "N-protected" ) refers to any group known in the art of organic synthesis for the protection of amine groups. As used herein, the term "amine protecting group reagent" refers to any reagent known in the art of organic synthesis for the protection of amine groups which may be reacted with an amine to provide an amine protected with an amine protecting group. Such amine protecting groups include those listed in Greene and Wuts, "Protective Groups in Organic Synthesis" John Wiley & Sons, New York (1991) and "The Peptides: Analysis, Synthesis, Biology, Vol. 3, Academic Press, New York (1981), the disclosure of which is hereby incorporated by reference. Examples of amine protecting groups include, but are not limited to, the following: 1) acyl types such as formyl, trifluoroacetyl, phthalyl, and p-toluenesulfonyl; 2) aromatic carbamate types such as benzyloxycarbonyl (Cbz) and substituted benzyloxycarbonyls, 1- (p-biphenyl) -1- methylethoxycarbonyl, and 9-fluorenylmethyloxycarbonyl (Fmoc) ; 3) aliphatic carbamate types such as tert- butyloxycarbonyl (Boc) , ethoxycarbonyl, diisopropylmethoxycarbonyl, and allyloxycarbonyl; 4) cyclic alkyl carbamate types such as cyclopentyloxycarbonyl and adamantyloxycarbonyl; 5) alkyl types such as triphenylmethyl (trityl) and benzyl; 6) trialkylsilane such as trimethylsilane; and 7) thiol containing types such as phenylthiocarbonyl and dithiasuccinoyl . Amine protecting groups may include, but are not limited to the following: 2, 7-di-t-butyl- [9- (10, 10-dioxo-lO, 10, 10, 10- tetrahydrothio-xanthyl) ]methyloxycarbonyl; 2-trimethylsilyl- ethyloxycarbonyl; 2-phenylethyloxycarbonyl; 1, l-dimethyl-2 , 2- dibromoethyloxycarbonyl ; 1-methyl-l- (4-biphenylyl) - ethyloxycarbonyl; benzyloxycarbonyl ; p-nitrobenzyl- oxycarbonyl ; 2- (p-toluenesulfonyl ) ethyloxy-carbony1 ; m-chloro-p-acyloxybenzyloxycarbonyl; 5-benzyisoxazolyl- methyloxycarbonyl ; p- (dihydroxyboryl)benzyloxycarbonyl ; m-nitrophenyloxycarbonyl; o-nitrobenzyloxycarbonyl;
3 , 5-dimethoxybenzyloxycarbonyl ; 3 , 4-dimethoxy-6-nitrobenzyl- oxycarbonyl; N' -p-toluenesulfonylaminocarbonyl ,- t-amyloxy- carbonyl; p-decyloxybenzyloxycarbonyl ; diisopropylmethyloxy- carbonyl ; 2,2-dimethoxycarbonylvinyloxycarbonyl ; di (2- pyridyl)methyloxycarbonyl ; 2-furanylmethyloxycarbonyl ; phthalimide; dithiasuccinimide; 2 , 5-dimethylpyrrole; benzyl; 5-dibenzylsuberyl ; triphenylmethyl ; benzylidene; diphenylmethylene; or methanesulfonamide.
As used herein, "alkyl" is intended to include both branched and straight-chain saturated aliphatic hydrocarbon groups having the specified number of carbon atoms; for example, "Cι~6 alkyl" denotes alkyl having 1 to 6 carbon atoms, ie. methyl, ethyl, propyl, butyl, pentyl, hexyl, and branched isomers therin.. Examples of alkyls include, but are not limited to, methyl, ethyl, n-propyl, i-propyl, n-butyl, i-butyl, s-butyl, t-butyl, i-pentyl, n-pentyl, and s-pentyl. "Haloalkyl" is intended to include both branched and straight-chain saturated aliphatic hydrocarbon groups having the specified number of carbon atoms, substituted with 1 or more halogen (for example -CVFW where v = 1 to 3 and w = 1 to (2v+l) ) . Examples of haloalkyl include, but are not limited to, trifluoromethyl, trichloromethyl , pentafluoroethyl, pentachloroethyl , 2, 2, 2-trifluoroethyl, heptafluoropropyl, and heptachloropropyl . "Alkoxy" represents an alkyl group as defined above with the indicated number of carbon atoms attached through an oxygen bridge. Examples of alkoxy include, but are not limited to, methoxy, ethoxy, n-propoxy, i-propoxy, n-butoxy, s-butoxy, t-butoxy, n-pentoxy, and s-pentoxy. "Cycloalkyl" is intended to include saturated ring groups, such as cyclopropyl, cyclobutyl, cyclopentyl, or cyclohexyl . "Alkenyl" is intended to include hydrocarbon chains of either a straight or branched configuration and one or more unsaturated carbon-carbon bonds which may occur in any stable point along the chain, such as ethenyl, propenyl, butenyl and the like. "Alkynyl" is intended to include hydrocarbon chains of either a straight or branched configuration and one or more triple carbon-carbon bonds which may occur in any stable point along the chain, such as ethynyl, propynyl, butynyl and the like.
"Halo" or "halogen" as used herein refers to fluoro, chloro, bromo and iodo. "Counterion" is used to represent a small, negatively charged species such as chloride, bromide, hydroxide, acetate, sulfate and the like.
As used herein, "aryl" or "aromatic residue" is intended to mean an aromatic moiety containing the specified number of carbon atoms, such as phenyl or naphthyl. As used herein, "carbocycle" or "carbocyclic residue" is intended to mean any stable 3- to 7- membered monocyclic or bicyclic or 7- to 14- membered bicyclic or tricyclic carbon ring, which may be saturated or partially unsaturated. Examples of such carbocyles include, but are not limited to, cyclopropyl, cyclopentyl, cyclohexyl, phenyl, biphenyl, naphthyl, indanyl, adamantyl, or tetrahydronaphthyl (tetralin) .
As used herein, the term "heterocycle" or "heterocyclic system" is intended to mean a stable 5- to 6- membered monocyclic heterocyclic ring which is saturated partially unsaturated or unsaturated (aromatic) , and which consists of carbon atoms and from 1 to 3 heteroatoms independently selected from the group consisting of N, O and S. The nitrogen and sulfur heteroatoms may optionally be oxidized. The heterocyclic ring may be attached to its pendant group at any heteroatom or carbon atom which results in a stable structure. The heterocyclic rings described herein may be substituted on carbon or on a nitrogen atom if the resulting compound is stable. If specifically noted, a nitrogen in the heterocycle may optionally be quaternized. It is preferred that when the total number of S and O atoms in the heterocycle exceeds one, then these heteroatoms are not adjacent to one another. It is preferred that the total number of S and 0 atoms in the heterocycle is not more than one.
As used herein, the term "aromatic heterocyclic system" is intended to mean a stable 5- to 6- membered monocyclic heterocyclic aromatic ring which consists of carbon atoms and from 1 to 3 heterotams independently selected from the group consisting of N, 0 and S. It is preferred that the total number of S and 0 atoms in the aromatic heterocycle is not more than one.
Examples of heterocycles include, but are not limited to, 2-pyrrolidonyl, 2H-pyrrolyl, 4-piperidonyl, 6H-1,2,5- thiadiazinyl, 2 H, 6H-1 , 5, 2-dithiazinyl, furanyl, furazanyl, imidazolidinyl, imidazolinyl, imidazolyl, isoxazolyl, morpholinyl, oxadiazolyl, 1, 2, 3-oxadiazolyl, 1,2,4- oxadiazolyl, 1, 2, 5-oxadiazolyl, 1, 3 , 4-oxadiazolyl, oxazolidinyl . , oxazolyl, piperazinyl, piperidinyl, pteridinyl, piperidonyl, 4-piperidonyl, piperonyl, pteridinyl, purinyl, pyranyl, pyrazinyl, pyrazolidinyl, pyrazolinyl, pyrazolyl, pyridazinyl, pyridinyl, pyridyl, pyrimidinyl, pyrrolidinyl, pyrrolinyl, pyrrolyl, tetrahydrofuranyl, 6H-1, 2 , 5-thiadiazinyl, 1, 2, 3-thiadiazolyl, 1,2,4-thiadiazolyl, 1, 2 , 5-thiadiazolyl, 1, 3 , 4-thiadiazolyl, thiazolyl, thienyl, thienothiazolyl, thienooxazolyl , thienoimidazolyl, thiophenyl, triazinyl, 1, 2, 3-triazolyl, 1, 2,4-triazolyl, 1, 2, 5-triazolyl, and 1, 3 , 4-triazolyl . Preferred heterocycles include, but are not limited to, pyridinyl, furanyl, thienyl, pyrrolyl, pyrazolyl, imidazolyl, and oxazolidinyl . Also included are fused ring and spiro compounds containing, for example, the above heterocycles.
As used herein, "HIV reverse transcriptase inhibitor" is intended to refer to both nucleoside and non- nucleoside inhibitors of HIV reverse transcriptase (RT) . Examples of nucleoside RT inhibitors include, but are not limited to, AZT, ddC, ddl, d4T, and 3TC. Examples of non- nucleoside RT inhibitors include, but are not limited to, efavirenz (DuPont Merck) , rescriptor (delavirdine, Pharmacia and Upjohn) , viviradine (Pharmacia and Upjohn U90152S) , PNU142721 (Pharmacia and Upjohn), TIBO derivatives, BI-RG- 587, nevirapine, L-697,661, LY 73497, and Ro 18,893 (Roche). As used herein, "HIV protease inhibitor" is intended to refer to compounds which inhibit HIV protease. Examples include, but are not limited, saquinavir (Roche, Ro31-8959), ritonavir (Abbott, ABT-538) , indinavir (Merck, MK-639) , VX- 478 (Vertex/Glaxo Wellcome), nelfinavir (Agouron, AG-1343), KNI-272 (Japan Energy) , CGP-61755 (Ciba-Geigy) , DMP450 (DuPont Merck), and U-103017 (Pharmacia and Up ohn). Additional examples include the cyclic protease inhibitors disclosed in WO93/07128, W094/19329, WO94/22840, and PCT Application Number US96/03426 and the protease inhibitors disclosed in WO94/04993, W095/33464, W096/28,418, and W096/28,464.
As used herein, "pharmaceutically acceptable salts" refer to derivatives of the disclosed compounds wherein the parent compound is modified by making acid or base salts thereof. Examples of pharmaceutically acceptable salts include, but are not limited to, mineral or organic acid salts of basic residues such as amines; alkali or organic salts of acidic residues such as carboxylic acids; and the like. The pharmaceutically acceptable salts include the conventional non-toxic salts or the quaternary ammonium salts of the parent compound formed, for example, from non-toxic inorganic or organic acids. For example, such conventional non-toxic salts include those derived from inorganic acids such as hydrochloric, hydrobromic, sulfuric, sulfamic, phosphoric, nitric and the like; and the salts prepared from organic acids such as acetic, propionic, succinic, glycolic, stearic, lactic, malic, tartaric, citric, ascorbic, pamoic, maleic, hydroxymaleic , phenylacetic, glutamic, benzoic, salicylic, sulfanilic, 2-acetoxybenzoic, fumaric, toluenesulfonic, methanesulfonic, ethane disulfonic, oxalic, isethionic, and the like.
The pharmaceutically acceptable salts of the present invention can be synthesized from the parent compound which contains a basic or acidic moiety by conventional chemical methods. Generally, such salts can be prepared by reacting the free acid or base forms of these compounds with a stoichiometric amount of the appropriate base or acid in water or in an organic solvent, or in a mixture of the two; generally, nonaqueous media like ether, ethyl acetate, ethanol, isopropanol, or acetonitrile are preferred. Lists of suitable salts are found in Remington 's Pharmaceutical Sciences, 17th ed. , Mack Publishing Company, Easton, PA, 1985, p. 1418, the disclosure of which is hereby incorporated by reference.
The phrase "pharmaceutically acceptable" is employed herein to refer to those compounds, materials, compositions, and/or dosage forms which are, within the scope of sound medical judgment, suitable for use in contact with the tissues of human beings and animals without excessive toxicity, irritation, allergic response, or other problem or complication commensurate with a reasonable benefit/risk ratio. "Prodrugs" are intended to include any covalently bonded carriers which release the active parent drug according to formula (I) or other formulas or compounds of the present invention in vivo when such prodrug is administered to a mammalian subject. Prodrugs of a compound of the present invention, for example formula (I) , are prepared by modifying functional groups present in the compound in such a way that the modifications are cleaved, either in routine manipulation or in vivo, to the parent compound. Prodrugs include compounds of the present invention wherein the hydroxy or amino group is bonded to any group that, when the prodrug is administered to a mammalian subject, cleaves to form a free hydroxyl or free amino, respectively. Examples of prodrugs include, but are not limited to, acetate, formate and benzoate derivatives of alcohol and amine functional groups in the compounds of the present invention, and the like.
"Stable compound" and "stable structure" are meant to indicate a compound that is sufficiently robust to survive isolation to a useful degree of purity from a reaction mixture, and formulation into an efficacious therapeutic agent . Only stable compounds are contempleted by the present inventio .
"Substituted" is intended to indicate that one or more hydrogens on the atom indicated in the expression using
"substituted" is replaced with a selection from the indicated group (s), provided that the indicated atom's normal valency is not exceeded, and that the substitution results in a stable compound. When a substituent is keto (i.e., =0) group, then 2 hydrogens on the atom are replaced.
"Therapeutically effective amount" is intended to include an amount of a compound of the present invention or an amount of the combination of compounds claimed effective to inhibit HIV infection or treat the symptoms of HIV infection in a host. The combination of compounds is preferably a synergistic combination. Synergy, as described for example by Chou and Talalay, Adv. Enzyme Regul. 22:27-55 (1984) , occurs when the effect (in this case, inhibition of HIV replication) of the compounds when administered in combination is greater than the additive effect of the compounds when administered alone as a single agent. In general, a synergistic effect is most clearly demonstrated at suboptimal concentrations of the compounds . Synergy can be in terms of lower cytotoxicity, increased antiviral effect, or some other beneficial effect of the combination compared with the individual components .
SYNTHESIS The compounds of the present invention can be prepared in a number of ways well known to one skilled in the art of organic synthesis. The compounds of the present invention can be synthesized using the methods described below, together with synthetic methods known in the art of synthetic organic chemistry, or variations thereon as appreciated by those skilled in the art. Preferred methods include but are not limited to those methods described below. Each of the references cited below are hereby incorporated herein by reference. The following abbreviations are used herein:
cycPr cyclopropyl ACN acetonitrile
AcOH acetic acid
CAN eerie ammonium nitrate
DCE dichloroethane
DIBAL-H diisobutylaluminum hydride DIPEA diisopropylethylamine
DMAP 4-dimethylaminopyridine
DMF N,iV-dimethylformamide
EtOAc ethyl acetate
EtOH ethyl alcohol MCPBA m-chloroperoxybenzoic acid
PMBC1 p-methoxybenzyl chloride pyr pyridine
SEMC1 2 , - (trimethylsilyl) ethoxymethyl chloride
TEA triethyl amine TFA trifluoroacetic acid
THF tetrahydrofuran
In the Schemes which follow: Cf is shown as a CF3 group, but could be any one of the presently described R1 groups; G represents R3 , R3a, R3b, or R3c or any combination of these groups .
Scheme 1 illustrates a method for making 3,3- disubstituted-3 , 4-dihydroquinoxalin-2-ones starting from an appropriately substituted ort o-phenylenediamine . The phenylenediamine is stirred with condensed hexafluoro- propylene oxide to form compounds of formula !_,_ after which the cyclic amide moiety of 1 is protected, for example with SEM, to form compounds of formula 2. Addition of appropriately substituted organometallics, R2M, provide the 3 , 3-disubstituted compounds 3. Treatment with base is followed by the addition of an appropriately substituted alkyl halide, R1Br, to form compounds of formula 4. The product 4 are deprotected to give compounds of the present invention .
SCHEME 1
Hexaf luoropropylene oxide NaHC03, ether
Figure imgf000043_0001
Figure imgf000043_0002
SEMC1, DIPEA, DMF R M, THF
Figure imgf000043_0003
Figure imgf000043_0004
3 4
S1 R2 BF3.Et20, CH2C12 ' "^" ^ W H c?' 5
SCHEME la
CF3
Figure imgf000043_0005
In
Scheme la illustrates a method, analogous to Scheme 1, of making derivatives to tetrahydroquinoxalinone compounds of formula 5 wherein W, X, Y, and/or Z are nitrogen. SCHEME 2
Figure imgf000044_0001
Figure imgf000044_0002
Scheme 2 illustrates the acylation of 3,4-dihydro- quinoxalin-2-ones . Treatment of compounds of formula 3, as can be prepared by Scheme 1, with base is followed by the addition of an appropriately substituted chloroformate, R12C02C1 to form compounds of formula 6. The product 6 is deprotected to give compounds of formula 7.
SCHEME 3
Figure imgf000044_0003
In analogous fashion to Scheme 2 , treatment of a compound of formula 3 with base followed by an appropriately substituted sulfonyl chloride, R12S02C1, provide protected compounds 8 , as shown in Scheme 3. The product is deprotected to give compounds of formula 9.
Analogous to Schemes 2 and 3 , Scheme 4 describes the preparation of amides, 10, from acid chlorides R12COCl . In an alternative route to the synthesis of 3,4- dihydroquinoxalin-2-ones, as shown in Scheme 5, a substituted quinoxalin-2-one, 1, can be O-protected to form a compound of formula 12. The addition of an organometallic reagent R2M followed by the quenching of the resulting anion with a chloroformate can produce compounds of formula 13. The deprotection of a compound 13 will result in compounds of formula 7.
SCHEME 4
R12C0C1, nBuLi, THF>
Figure imgf000045_0002
Figure imgf000045_0001
3 10
Figure imgf000045_0003
11
SCHEME 5
Figure imgf000046_0001
12
(1) nBuLi, THF, RM
(2) Nal, EtCOOCl, THF
Figure imgf000046_0002
13
Figure imgf000046_0003
Scheme 6 illustrates yet another route for the preparation of compounds of the present invention. N-oxide compound 15 can provide a substrate for the addition of organometallic species R2M, followed by the reductive cleavage of the resulting N-hydroxy compound to form compounds of formula 17. Subsequent substitution at the 4-position by R1 radicals is performed as previously described.
Compounds the present invention that are thioamides can be prepared as illustrated in Sce e 7 by treating the corresponding amides with either Lawesson's reagent [2,4- bis (4-methoxyphenyl) -1, 3-dithia-2, 4-diphosphetane-2, 4- disulfide] or phosphorous pentasulfide. SCHEME 6
Figure imgf000047_0001
14
mCPBA, CH2C12
Figure imgf000047_0002
15
Figure imgf000047_0003
16 17
RxBr ,fcBuOK , THF
Figure imgf000047_0004
SCHEME 7
Figure imgf000047_0005
One isomer of a compound of Formula (I) may display superior activity compared with the other. Thus, both of the following stereochemistries, (la) and (lb), are considered to be a part of the present invention.
Figure imgf000048_0001
( la) ( lb)
When required, separation of the racemic material can be achieved by HPLC using a chiral column or by a resolution using a resolving agent such as camphonic chloride as in Steven D. Young, et al, Antimicrobial Agents and Chemotheraphy, 1995, 2602-2605. A chiral compound of Formula (I) may also be directly synthesized using a chiral catalyst or a chiral ligand, e.g. Andrew S. Thompson, et al, Tet . lett . 1995, 36, 8937-8940. In addition, separation may be achieved by selective cystallization, optionally in the presence of a chiral acid or base thereby forming a chiral salt. Other features of the invention will become apparent in the course of the following descriptions of exemplary embodiments which are given for illustration of the invention and are not intended to be limiting thereof.
Examples
Abbreviations used in the Examples are defined as follows: anal, for combustion analysis, "g" for gram or grams, HRMS for high resolution mass spectrometry, "mg" for milligram or milligrams, "mL" for milliliter or milliliters, "mmol" for millimole or millimoles, "h" for hour or hours, "HPLC" for high performance liquid chromatography, "M" for molar, "min" for minute or minutes, "MHz" for megahertz, "MS" for mass spectroscopy, "TLC" for thin layer chromatography. For further clarification of the stereochemistry, in compounds with stereochemistry designated as "rel- (3S, 5S) " the 3-substituent is cis to the 5-trifluoromethyl group while in compounds with stereochemistry designated as "rel- (3R, 5S) " the 3-substituent is trans to the 5-trifluoromethyl group. EXAMPLE 1 Preparation of 4- (cyclopropylmethyl) -3- (2-cyclopropylethynyl) -3- (trifluoromethyl) -3, 4-dihydro-ςpιinoxalin-2(lH) -one.
Figure imgf000049_0001
Step A: Preparation of compound of formula 1 wherein G = H
To a slurry of 1, 2-phenylenediamine (10.8 g, 100 mmol) in ether (200 mL) at room temperature was added sodium bicarbonate (25.4 g, 300 mmol) followed by the condensation of hexafluoropropylene oxide (21 g, 120 mmol) and the resulting reaction mixture was allowed to stir at room temperature for 3 hours . The reaction mixture is diluted with water (500 mL) and extracted with EtOAc (3x200 mL) . The combined EtOAc extracts were dried over anhydrous Na Sθ4 and concentrated in vacuo to provide 19.3 g of compound of formula 1 (21.4 g theoretical, 90%). 3-H NMR (300 MHz, CD3COCD3) δ 11.67 (br s, IH) , 7.93 (m, IH) , 7.75(m, IH) , 7.46 (m, 2H) .19F NMR (282 MHz, CD3COCD3) δ -70.93 (s, 3F) . High resolution mass spec : calculated for CgH6NOF3 (M+H)+ : 215.0423; found: 215.0432.
Step B: Preparation of compound of formula 2 wherein G = H
To a solution of quinoxalin-2-one of formula 1 (5.64 g, 26.3 mmol) in DMF (120 mL) at room temperature was added diisopropylethylamine (18.32 mL, 105.2 mmol) followed by SEMCl (9.28 mL, 52.6 mmol) and the resulting reaction mixture was allowed to stir at room temperature for 14 hours. The reaction mixture is poured onto IN HCl and extracted with ether (3x100 mL) . The combined ether extracts were dried over anhydrous Na24 and concentrated in vacuo. Chromatography (Si02, 10% EtOAc-hexanes eluant) provided 8.15 g of compound of formula 2 (9.05 g theoretical, 90%) . ^H NMR (300 MHz, CDC13) δ 8.02 (m, IH) , 7.74(m, 2H) , 7.48(m, IH) ,
5.77(s, 2H) , 3.74(t, J = 8Hz, 2H) , 0.98(t, J = 8Hz, 2H) , O.OKs, 9H) .19F NMR (282 MHz, CDCI3) δ -61.53 s, 3F) . Mass spec. (NH3-CI) : 345(M+H)+ (54.6%), 317 (100%).
Step C : Preparation of compound of formula 3 wherein G = H, R2 - cyclopropylacetylene
To a solution of cyclopropylacetylene (23.4 mL, 106.2 mmol) in THF (150 mL) at 0°C was added nBuLi (59 mL, 94.4 mmol) and the resulting reaction mixture was allowed to stir at 0°C for 30 minutes. Thereafter the reaction mixture was cannulated to stirred solution of quinoxalinone of formula 2 (8.15 g, 23.6 mmol) in THF (300 mL) at -78°C. The dry ice bath is removed and the reaction mixture is stirred for an additional 20 minutes. The reaction mixture is poured onto saturated NH4CI and extracted with ether (3x100 mL) and the combined ether extracts were dried over anhydrous Na24 and concentrated in vacuo. Chromatography (Si02, 10% EtOAc- hexanes eluant) provided 8.95 g of compound of formula 3, (9.68 g theoretical, 92%). 3-H NMR (300 MHz, CDCI3) δ 7.36m,
IH) , 7.26(m, IH) , 7.08(m, 2H) , 6.91(m, IH) , 5.52(d, J = 11Hz, IH) , 5.30(d, J" = 11Hz, IH) , 3.61(t, J = 8Hz, 2H) , 1.38(m, IH) , 0.93 (t, J = 8Hz, 2H) , 0.85(m, 2H) , 0.54(m, 2H) .19F NMR (282 MHz, CDCI3) δ -75.22(s, 3F) . Mass spec. (NH3-CI) :
411(M+H)+, 5.2%, 383 (100%).
Step D: Preparation of compound of formula 4 wherein G = H, R^ - cyclopropylacetylene and R^ = cyclopropylmethyl
To a solution of protected quinoxalinone of formula 3 (123 mg, 0.3 mmol) in DMF (4 mL) at room temperature was added tβuOK in THF (1.5 mL, 1.5 mmol) was added cyclopropylmethyl bromide (290 μl, 3.0 mmol) and the resulting reaction mixture was allowed to stir at 80°C for 14 hours. The reaction mixture is poured onto water and extracted with ether (3x50 mL) and the combined ether extracts were dried over anhydrous Na S04 and concentrated in vacuo. Chromatography (Si02, 10%
EtOAc-hexanes eluant) provided 69 mg of compound of formula 4, (139 mg theoretical, 50%). NMR (300 MHz, CDC13) δ
7.42 (m, IH) , 7.12 (m, IH) , 7.02 (m, IH) , 6.94(m, IH) , 5.94(d, J = 11Hz, IH) , 5.05(d, J = 11Hz, IH) , 3.9(m, IH) , 3.68(t, J = 8Hz, 2H) , 3.45(m, IH) , 1.42(m, IH) , 1.2 (m, IH) , 0.9(m, 6H) , 0.6(m, IH) , 0.45 (m, IH) , 0.35(m, 2H) , 0.01(s, 9H) . Mass spec. (NH3-CI) : 465(M+H)+, 50%, 437 (90%), 335 (M-SEM+H+, 100%) .
Step E:
To a solution of the alkylated quinoxalinone of formula 4 (69 mg, 0.15 mmol) in CH2C12 (1 L) at room temperature was added BF3.Et20 (95 μL, 0.75 mmol) and the resulting reaction mixture was allowed to stir at room temperature for 20 minutes. The reaction mixture was poured onto saturated NaHCθ3 and extracted with CH C1 (3x25 mL) and the combined CH2C12 extracts were dried over anhydrous Na Sθ4 and concentrated in vacuo. The residue was taken up in MeOH (1 mL) and 15% NaOH (lmL) was added to the reaction and the resulting reaction mixture was allowed to stir at room temperature for 10 minutes . The reaction mixture was poured onto water and extracted with CH C12 (3x25 mL) and the combined CHC1 extracts were dried over anhydrous Na2S04 and concentrated in vacuo. Chromatography (Si02, 10% EtOAc-hexanes eluant) provided 41 mg of the title compound, (50 mg theoretical, 82%).XH NMR (300 MHz, CDCI3) δ 9.46(br s, IH) , 7.1(m, IH) ,
6.95(m, IH) , 6.85(m, 2H) , 3.87(dd, J = 4, 15Hz, IH) , 3.35(dd, J = 8, 15Hz), 1.4(m, IH) , 1.2 (m, IH) , 0.9(m, 4H) , 0.6(m, IH) , 0.4(m, 3H) .19F NMR (282 MHz, CDCI3) δ -73.38(s, 3F) . High resolution mass spec: calculated for Ci8HιgN2OF3 (M+H)+: 335.1371; found: 335.1371.
EXAMPLE 2 Preparation of 4- (methyl) -3- (2-cyclopropylethynyl) -3- (trifluoromethyl) -3, 4-dihydro-quinoxalin-2 (IH) -one.
Figure imgf000052_0001
The title compound was prepared in a manner similar to the product of Example 1, except that in Step D methyl iodide was used instead of cyclopropylmethyl bromide: ^H NMR (300 MHz, CDC13) δ 8.75(br s, IH) , 7.1(m, IH) , 6.85(m, 3H) , 3.25(s,
3H) , 1.4 (m, IH) , 0.85 (m, 4H) . High resolution mass spec: calculated for Cι5Hi4N2OF3 (M+H)+: 295.1058; found: 295.1073.
EXAMPLE 3 Preparation of 3- (n-butyl) -3- (trifluoromethyl) -3, 4-dihydro- quinoxalin-2 (IH) -one.
Figure imgf000052_0002
The title compound was prepared in a manner similar to the product of Example 1, except that in Step C n-butyl magnesium chloride was used instead of lithium cyclopropyl acetylide: 3-H NMR (300 MHz, CDCI3) δ 8.8 (br s, IH) , 6.9 ( ,
IH) , 6.75 (m, 3H) , 4.05(s, IH) , 2.2 (m, IH) , 1.85(m, 2H) , 1.35 (m, 2H) , 0.9 (m, 3H) . High resolution mass spec: calculated for Cι3Hi6N20F3 (M+H)+: 273.1214; found: 273.1210.
EXAMPLE 4
Preparation of 4- (methyl) -3- (n-butyl) -3- (trifluoromethyl) - 3,4-dihydro-quinoxalin-2 (IH) -one.
Figure imgf000052_0003
The title compound was prepared in a manner similar to the product of Example 1, except that in Step C n-butyl magnesium chloride was used instead of lithium cyclopropyl acetylide and in Step D methyl iodide was used instead of cyclopropylmethyl bromide: !H NMR (300 MHz, CDCI3) δ 8.85 (br s, IH) , 7.05(m, IH) , 6.8 (m, 3H) , 2.95(s, 3H) , 2.65(m, 2H) , 2. l(m, IH) , 1.4 (m, 4H) , 0.95(m, 3H) . High resolution mass spec: calculated for Ci48N2OF5 (M+H)+: 287.1371; found: 287.1362.
EXAMPLE 5 Preparation of 3- (2-cyclopropylethynyl) -3- (trifluoromethyl) - 3, 4-dihydro-quinoxalin-2 (IH) -one.
Figure imgf000053_0001
The title compound was prepared in a manner similar to the product of Example 1, Step C: 3-H NMR (300 MHz, CDCI3) δ
9.0(br s, IH) , 7.0 (m, IH) , 6.85 (m, 2H) , 6.8 (m, IH) , 4.45 (br s, IH) , 1.4(m, IH) , 0.8-0.6 (m, 4H) .19F NMR (282 MHz, CDCI3) δ -77.13 (s, 3F) . High resolution mass spec: calculated for Ci4HnN2OF5 (M)+ : 280.0823; found: 280.0828.
EXAMPLE 6 Preparation of 3- (allyl) -3- (trifluoromethyl) -3,4-dihydro- quinoxalin-2 (IH) -one.
Figure imgf000053_0002
The title compound was prepared in a manner similar to the product of Example 1, except that in Step C allyl magnesium bromide was used instead of lithium cyclopropyl acetylide: ^ NMR (300 MHz, CDCI3) δ 8.25(br s, IH) , 6.95(m,
IH) , 6.75(m, 3H) , 5.85(m, IH) , 5.25(m, 2H) , 4.2(br s, IH) , 3. l(m, IH) , 2.65(m, IH) .19F NMR (282 MHz, CDC13) δ -71.16(s, 3F) . High resolution mass spec: calculated for Cι22N2OF3 (M+H)+: 257.0901; found: 257.0898.
EXAMPLE 7 Preparation of 4- (allyl) -3- (2-cyclopropylethynyl) -3- (trifluoromethyl) -3, 4-dihydro-quinoxalin-2 (IH) -one.
Figure imgf000054_0001
The title compound was prepared in a manner similar to the product of Example 1, except that in Step D allyl iodide was used instead of cyclopropylmethyl bromide: ^H NMR (300 MHz, CDCI3) δ 9.4(br s, IH) , 7.0 (m, IH) , 6.8(m, 3H) , 5.8(m, IH) , 5.2 ( , 2H) , 4.6(m, IH) , 4.2 ( , IH) , 1.4 (m, IH) , 0.9 (m, 4H) .19F NMR (282 MHz, CDCI3) δ -74.49(s, 3F) . High resolution mass spec: calculated for Ci7Hi6N2OF3 (M+H)+ :
321.1214; found: 321.1198.
EXAMPLE 8
Preparation of 4- (benzyl) -3- (2-cyclopropylethynyl) -3- (trifluoromethyl) -3, 4-dihydro-quinoxalin-2 (IH) -one.
Figure imgf000054_0002
The title compound was prepared in a manner similar to the product of Example 1, except that in Step D benzyl bromide was used instead of cyclopropylmethyl bromide: ^H NMR (300 MHz, CDCI3) δ 8.85(br s, IH) , 7.3 (m, 5H) , 7.25(m, IH) , 6.8(m, 3H) , 5.3(d, J = 11Hz, IH) , 4.6(d, J = 11Hz, IH) ,
1.35(m, IH) , 0.8(m, 2H) , 0.6 (m, 2H) .19F NMR (282 MHz, CDCI3) δ -78.08(s, 3F) . High resolution mass spec: calculated for C2ιHι8N2OF5 (M+H)+ : 371.1371; found: 371.1365.
EXAMPLE 9 Preparation of 4- (eyelopropylmethyl) -3- (allyl) -3- (trifluoromethyl) -3,4-dihydro-quinoxalin-2 (IH) -one.
Figure imgf000055_0001
The title compound was prepared in a manner similar to the product of Example 1, except that in Step C allyl magnesium bromide was used instead of lithium cyclopropyl acetylide: ^-H NMR (300 MHz, CDC13) δ 8.35 (br s, IH) , 7.1(M,
2H) , 6.85 (m, IH) , 6.75 (m, IH) , 5.9(m, IH) , 5.25(m, 2H) , 3.45(M, 2H) , 3.2 (m, IH) , 2.8 (M, IH) , 1.0 (m, IH) , 0.7 (m, IH) ,
0.55(m, IH) , 0.3(m, 2H) .19F NMR (282 MHz, CDCI3) δ -70.22(s,
3F) . High resolution mass spec: calculated for Ci6HιsN2OF3 (M+H)+: 311.1371; found: 311.1325.
EXAMPLE 10
Preparation of 4- (propargyl) -3- (2-cyclopropylethynyl) -3- (trifluoromethyl) -3, 4-dihydro-quinoxalin-2 (IH) -one.
Figure imgf000055_0002
The title compound was prepared in a manner similar to the product of Example 1, except that in Step D propargyl bromide was used instead of cyclopropylmethyl bromide: ^H NMR (300 MHz, CDCI3) δ 9.35(br s, IH) , 7.15(m, 2H) , 6.95(m, 2H) , 4.6(dd, J= 2,18Hz, IH) , 4.4(dd, J= 2,18Hz, IH) , 2.25(t, J = 2Hz, IH) , 1.4 (m, IH) , 0.9 (m, 4H) . Anal. (Cι73N2OF3) Calcd: C , 64 . 15 ; H , 4 . 126 ; N, 8 . 80 ; Found : C , 64 .23 ; H, 4 . 00 ; N, 8 . 61 .
EXAMPLE 11 Preparation of 4- (cyclopropylethyl) -3- (2-cyclopropylethynyl) - 3- (trifluoromethyl) -3,4-dihydro-quinoxalin-2 (IH) -one.
Figure imgf000056_0001
The title compound was prepared in a manner similar to the product of Example 1, except that in Step D cyclopropylethyl bromide was used instead of cyclopropylmethyl bromide: ^ NMR (300 MHz, CDC13) δ 9.2 (br s,
IH) , 7.0 (m, IH) , 6.8 (M, 3H) , 4.0 (m, IH) , 3.65 (m, IH) , 1.6- 1.35(m, 3H) , 0.9(m, 3H) , 0.7(m, IH) , 0.45(m, IH) , 0.1(m, IH) . Anal. (Cι99N2OF3) Calcd: C, 65.51; H, 5.507; N, 8.04; F, 16.36; Found: C, 65.23; H, 5.51; N, 8.05; F, 15.97.
EXAMPLE 12
Preparation of 4- (isopropyl) -3- (2-eyelopropylethynyl) -3- (trifluoromethyl) -3, 4-dihydro-quinoxalin-2 (IH) -one.
Figure imgf000056_0002
The title compound was prepared in a manner similar to the product of Example 1, except that in Step D isopropyl iodide was used instead of cyclopropylmethyl bromide: ^H NMR (300 MHz, CDCI3) δ 8.4(br s, IH) , 7.05(m, IH) , 7.0(m, IH) , 6.9(m, IH) , 6.8(m, IH) , 4.6(p,"= 7Hz, IH) , 1.45(d, J" 7Hz, 3H) , 1.4 (m, IH) , 1.2 (d, J = 7Hz, 3H) , 0.9 (m, 4H) . High resolution mass spec: calculated for Cχ7HιgN2OF3 (M+H)+ : 323.1371; found: 323.1364.
EXAMPLE 13 Preparation of 6- (fluoro) -4- (allyl) -3- (n-butyl) -3- (trifluoromethyl) -3,4-dihydro-quinoxalin-2 (IH) -one.
Figure imgf000057_0001
The title compound was prepared in a manner similar to the product of Example 1, except that in Step A 4-fluoro-1, 2- phenylenediamine was used instead of 1, 2-phenylenediamine, in Step C nbutyl magnesium bromide was used instead of lithium cyclopropylmethyl acetylide and in Step D allyl iodide was used instead of cyclopropylmethyl bromide: ^H NMR (300 MHz, CDC13) δ 9.2(br s, IH) , 6.65(m, IH) , 6.5 (m, 2H) , 5.8 ( , IH) ,
5.35 (m, 2H) , 4.0 (m, 2H) , 2.65 (m, IH) , 2.0 (m, IH) , 1.4 (m, 4H) , 0.95(m, 3H) .19F NMR (282 MHz, CDCI3) δ -73.60(s, 3F) ,
-147.85(s, IF). High resolution mass spec: calculated for Cι68NOF (M)+ : 330.1335; found: 330.1332.
EXAMPLE 14 Preparation of 6- (fluoro) -4- (allyl) -3- (2-cyclopropylethynyl) - 3- (trifluoromethyl) -3,4-dihydro-quinoxalin-2 (IH) -one.
The title compound was prepared in a manner similar to the product of Example 1, except that in Step D allyl iodide was used instead of cyclopropylmethyl bromide: -'-H NMR (300 MHz, CDCI3) δ 9.65(br s, IH) , 6.6(m, IH) , 6.5 (m, 2H) , 5.8 (m, IH) , 5.2 (m, 2H) , 4.6(m, IH) , 4.1(m, IH) , 1.4(m, IH) , 0.9(m, 4H) .19F NMR (282 MHz, CDC13) δ -74.62(s, 3F) , -117.46(s,
IF). High resolution mass spec: calculated for Ci7HιsN20F4
(M+H)+: 339.1120; found: 339.1143.
EXAMPLE 15 Preparation of 6- (fluoro) -4- (cyclopropylmethyl) -3- (2- cyclopropylethynyl) -3- (trifluoromethyl) -3, 4-dihydro- quinoxalin-2 (IH) -one.
Figure imgf000058_0001
The title compound was prepared in a manner similar to the product of Example 1: E NMR (300 MHz, CDCI3) δ 9.0 (br s, IH) , 6.75 (m, 2H) , 6.55 (m, IH) , 3.8 (m, IH) , 3.35(m, IH) ,
1.4(m, IH) , 1.15(m, IH) , 0.9 (m, 4H) , 0.6 (m, IH) , 0.5 (m, IH) , 0.35(m, 2H) .19F NMR (282 MHz, CDCI3) δ -74.34(s, 3F) ,
-117.47(s, IF). Anal. (Cι86N2OF4 1/2H20) Calcd: C, 59.83; H, 4.74; N, 7.75; Found: C, 59.56; H, 4.61; N, 7.37.
EXAMPLE 16 Preparation of 6- (fluoro) -4- (cyclopropylmethyl) -3- (n-butyl) - 3- (trifluoromethyl) -3,4-dihydro-quinoxalin-2 (IH) -one.
Figure imgf000058_0002
The title compound was prepared in a manner similar to the product of Example 1, except that in Step C nbutyl magnesium bromide was used instead of lithium cylcopropylmethyl acetylide: !H NMR (300 MHz, CDCI3) δ 96.6(br s, IH) , 6.7 (m, 2H) , 6.5(m, IH) , 3.45(m, IH) , 3.15(m, IH) , 2.75(m, IH) , 1.9 (m, IH) , 1.75 (m, IH) , 1.4 (m, 3H) , 1.05(m, IH) , 0.95(m, 3H) , 0.65 (m, 2H) , 0.35 (m, 2H) .19F NMR (282 MHz, CDC13) δ -73.36(s, 3F) , -117.79(s, IF). Anal. (C17H20N2OF4) Calcd: C, 59.30; H, 5.85; N, 8.145; Found: C, 58.98; H, 5.73; N, 7.90.
EXAMPLE 17 Preparation of 6- (chloro) -4- (eyelopropylmethyl) -3- (2- cyclopropylethynyl) -3- (trifluoromethyl) -3, 4-dihydro- quinoxalin-2 (IH) -one.
Figure imgf000059_0001
The title compound was prepared in a manner similar to the product of Example 1, except that in Step A 4-chloro-l, 2- phenylenediamme was used instead of 1, 2-phenylenediamme:1H NMR (300 MHz, CDCI3) δ 9.5 (br s, IH) , 6.9 (m, IH) , 6.8 (m,
2H) , 1.4(m, IH) , 1.2 (m, IH) , 0.95 ( , 4H) , 0.6(m, IH) , 0.5 (m, IH) , 0.35 ( , 2H) .19F NMR (282 MHz, CDCI3) δ -71.80(s, 3F) . Anal. (Cι86N2OClF3) Calcd: C, 58.62; H, 4.37; N, 7.606; F,
15.45; Cl, 9.61; Found: C, 58.27; H, 4.39; N, 7.46; F, 15.83; Cl, 9.62.
EXAMPLE 18 Preparation of 6- (chloro) -4- (isobutyl) -3- (2- cyclopropylethynyl) -3- (trifluoromethyl) -3, 4-dihydro- quinoxalin-2 (IH) -one.
Figure imgf000059_0002
The title compound was prepared in a manner similar to the product of Example 1, except that in Step D isoamyl bromide was used instead of cyclopropylmethyl bromide: ^H NMR (300 MHz, CDC13) δ 9.5(br s, IH) , 6.8(m, 2H) , 6.7(m, IH) , 3.9(m, IH) , 3.6 (m, IH) , 1.7 (m, IH) , 1.6(M, IH) , 1.4 (m, 2H) , 0.95(d, J = 7Hz, 3H) , 0.9(d, J = lEz , 3H) , 0.9-0.8(m, 4H) .19F NMR (282 MHz, CDCI3) δ -71.67(s, 3F) . Anal.
(Cι9H2oN2OClF3) Calcd: C, 59.30; H, 5.248; N, 7.289; F, 14.81; Cl, 9.21; Found: C, 59.12; H, 5.19; N, 7.04; F, 15.09; Cl, 9.22.
EXAMPLE 19 Preparation of 6- (chloro) -4- (allyl) -3- (2-cyclopropylethynyl) - 3- (trifluoromethyl) -3 ,4-dihydro-quinoxalin-2 (IH) -one.
Figure imgf000060_0001
The title compound was prepared in a manner similar to the product of Example 1, except that in Step D allyl iodide was used instead of cyclopropylmethyl bromide: ^-H NMR (300
MHz, CDCI3) δ 9.65(br s, IH) , 6.8(m, 2H) , 6.75 (m, IH) , 5.8(m,
IH) , 5.3 (m, 2H) , 4.6 (m, IH) , 4.1(m, IH) , 1.4 (m, IH) , 0.9 (m, 4H) .19F NMR (282 MHz, CDCI3) δ -71.88(s, 3F) . Anal.
(Ci7HιN2OClF3) Calcd: C, 57.56; H, 3.987; N, 7.906; F, 16.07; Cl, 9.99; Found: C, 57.87; H, 4.25; N, 7.61; F, 15.93; Cl, 9.82.
EXAMPLE 20 Preparation of 6- (chloro) -4-(cyclopropylmethyl) -3- (phenethyl) -3- (trifluoromethyl) -3 4-dihydro-quinoxalin-2 (IH) - one.
Figure imgf000061_0001
The title compound was prepared in a manner similar to the product of Example 1, except that in Step C phenethyl magnesium bromide was used instead of lithium cyclopropylmethyl acetylide: ^ NMR (300 MHz, CDCI3) δ 8.9 (br s, IH) , 7.25 (m, 5H) , 7.)(m, IH) , 6.8 (m, IH) , 6.65 (m, IH) , 3.5(m, IH) , 3.3 (m, IH) , 3.0(m,2H), 2.75(m, IH) , 2.3(m, IH) , 1.1 (m, IH) , 0.8 (m, 2H) , 0.4 (m, 2H) . High resolution mass spec: calculated for C2ιH20N2OF3Cl (M)+ : 408.1216; found: 408.1197.
EXAMPLE 21 Preparation of 6- (chloro) -4- (allyl) -3- (phenethyl) -3- (trifluoromethyl) -3,4-dihydro-quinoxalin-2 (IH) -one.
Figure imgf000061_0002
The title compound was prepared in a manner similar to the product of Example 1, except that in Step C phenethyl magnesium bromide was used instead of lithium cyclopropylmethyl acetylide and in Step D allyl iodide was used instead of cyclopropylmethyl bromide: ^H NMR (300 MHz, CDCI3) δ 9.5 (br s, IH) , 7.25 (m, 2H) , 6.8 ( , IH) , 5.9 (m, IH) , 5.3 (m, IH) , 5. ) (m, IH) , 4.3 (m, IH) , 4.1(m, IH) , 3.1(m, IH) , 2.9-2.8 (m, 2H) , 2.3 (m, IH) . Anal. (C208N2OClF3) Calcd: C, 60.84; H, 4.605; N, 7.105; F, 14.44; Cl, 8.989; Found: C, 61.39; H, 4.83; N, 6.68; F, 14.25; Cl, 8.89. EXAMPLE 22 Preparation of 6- (methoxy) -4- (cyclopropylmethyl) -3- (2- cyclopropylethynyl)-3-(trifluoromethyl) -3 ,4-dihydro- quinoxalin-2 (IH) -one.
Figure imgf000062_0001
The title compound was prepared in a manner similar to the product of Example 1, except that in Step A 4-methoxy- 1, 2-phenylenediamine was used instead of 1,2- phenylenediamine : ^ NMR (300 MHz, CDC13) δ 8.95(br s, IH) ,
6.8(m, IH) , 6.6(m, IH) , 6.4 (M, IH) , 3.9(m, IH) , 3.8 ( , 3H) , 3.4(m, IH) , 1.4 (m, IH) , 1.2 (m, IH) , 0.9 (m, 4H) , 0.6 (m, IH) , 0.45(m, IH) , 0.35(m, 2H) .19F NMR (282 MHz, CDCI3) δ -73.19(s, 3F) . Anal. (Ci99N202F3) Calcd: C, 62.63; H,
5.266; N, 7.698; F, 15.64; Found: C, 62.17; H, 5.36; N, 7.20; F, 14.79.
EXAMPLE 23 Preparation of 6- (methoxy) -4- (allyl) -3- (2- cyclopropylethynyl) -3- (trifluoromethyl) -3,4-dihydro- quinoxalin-2 (IH) -one.
Figure imgf000062_0002
The title compound was prepared in a manner similar to the product of Example 1, except that in Step D allyl iodide was used instead of cyclopropylmethyl bromide: ^H NMR (300 MHz, CDCI3) δ 9.0(br s, IH) , 6.7 (m, IH) , 6.35(m, 2H) , 5.8(m, IH) , 5.2(m, 2H) , 4.6 (m, IH) , 4.1(M, lH),3.8(s, 3H) , 1.4 (m,
IH) , 0.95(m, 4H) .19F NMR (282 MHz, CDCI3) δ -73.44(s, 3F) . Anal. (Cι87N2θ2F3) Calcd: C, 61.71; H, 4.89; N, 8.006; F, 16.27; Found: C, 62.34; H, 4.94; N, 7.81; F, 15.00.
EXAMPLE 24 Preparation of 4- (cyclopropylmethyl) -3- (1-propynyl) -3- (trifluoromethyl) -3, 4-dihydro-quinoxalin-2 (IH) -one.
Figure imgf000063_0001
The title compound was prepared in a manner similar to the product of Example 1, except that in Step C lithium propyne was used instead of lithium cylocpropylmethyl acetylide: NMR (300 MHz, CDC13) δ 8.1(br s, IH) , 7.1 (m,
IH) , 6.9 (m, IH) , 6.8 (m, IH) , 6.75 (m, IH) , 3.85(m, IH) , 3.4 (m, IH) , 2.)(s, 3H) , 1.4(m, IH) , 0.6 (m, IH) , 0.45 (m, IH) , 0.35(m, 2H) .19F NMR (282 MHz, CDCI3) δ -71.16(s, 3F) . High resolution mass spec: calculated for CιgHi6N2OF3 (M+H)+: 309.1214; found: 309.1224.
EXAMPLE 25
Preparation of 4- (allyl) -3- (1-propynyl) -3- (trifluoromethyl) - 3, 4-dihydro-quinoxalin-2 (IH) -one.
Figure imgf000063_0002
The title compound was prepared in a manner similar to the product of Example 1, except that in Step C lithium propyne was used instead of lithium cyclopropylmethyl acetylide and in Step D allyl iodide was used instead of cyclopropylmethyl bromide: 3-H NMR (300 MHz, CDCI3) δ 8.4 (br s, IH) , 7 . 0 (m, IH) , 6 . 8 (m, 3H) , 5 . 8 (m, IH) , 5 . 2 (m, 2H) , 4 . 6 (m, IH) , 4 . 2 (m, 1H0 , 2 . 0 ( s , 3H) .19F NMR ( 282 MHz , CDCl3 ) δ
-71.79(s, 3F) . High resolution mass spec: calculated for Cι5Hi4N2OF3 (M+H)+: 295.1058; found: 295.1056.
EXAMPLE 26 Preparation of 4- (ethoxycarbonyl) -3- (2-cyclopropylethynyl) -3- (trifluoromethyl) -3,4-dihydro-quinoxalin-2 (IH) -one.
Figure imgf000064_0001
Step A: Preparation of compound of formula 6 wherein G - H, R2= cyclopropylacetylene and R^ = COOEt
To a solution of protected quinoxalinone of formula 3 as prepared in step C in Example 1 (147 mg, 0.42 mmol) in THF (1.5 mL) at -78°C was added nBuLi (0.31 mL, 0.5 mmol) and stirred for 5 minutes. Thereafter ethyl chloroformate (80 μL, 0.84 mmol) was added to the reaction mixture which was allowed to warm to room temperature and stir for an hour. The reaction mixture was poured onto saturated ammonium chloride and extracted with ether (3x25 mL) and the combined ether extracts were dried over anhydrous a24 and concentrated in vacuo. Chromatography (Si02, 10% EtOAc- hexanes eluant) provided 122 mg of compound of formula 6,
(202 mg theoretical, 60%). !H NMR (300 MHz, CDCI3) δ 7.46 (m,
IH) , 7.30 (m, IH) , 7.15 (m, 2H) , 5.82 (d, J = 11Hz, IH) , 5.15(d, J = 11Hz, IH) , 4.4(m, 2H) , 3.7(m, 2H) , 1.4(m, 4H) , 0.9 (m, 6H) , 0.01(s, 9H) .19F NMR (282 MHz, CDCI3) δ -73.06(s, 3F) . Mass spec. (NH3-CI) : 483(M+H+, 100%).
Step B:
To a solution of the acylated quinoxalinone of formula 6 (84 mg, 0.17 mmol) in CH2C12 (1 mL) at room temperature was added LiBF4 {IM in ACN, 0.85 mL, 0.85 mmol) and the resulting reaction mixture was heated to reflux for 14 hours. The reaction mixture was poured onto saturated water and extracted with ether (3x25 mL) and the combined ether extracts were dried over anhydrous Na24 and concentrated in vacuo. Chromatography (Si02, 20% EtOAc-hexanes eluant) followed by a PTLC (Si02, 5% EtOAc-CH2Cl2 eluant) provided 15 mg of the title compound, (60 mg theoretical, 25%) . ^H NMR (300 MHz, CDC13) δ 8.06(br s, IH) , 7.35 (m, IH) , 7.05(m, 2H) ,
6.8(m, IH) , 4.37 (m, 2H) , 1.4 (m, 4H) , 0.9 (m, 4H) .19F NMR (282 MHz, CDCI3) δ -73.55(s, 3F) . High resolution mass spec: calculated for Ci7Hi5N203F3 (M+H)+: 353.1113; found: 353.1093.
Example 26A Preparation of 4- (ethoxycarbonyl) -3- (2-cyclopropylethynyl) -3- (trifluoromethyl) -3,4-dihydro-quinoxalin-2 (IH) -one.
Figure imgf000065_0001
Step A: Preparation of compound of formula 12 wherein G = H.
To a solution of the quinoxalinone of formula 1 as prepared in step A in Example 1 (3.55 g, 16.59 mmol) in DMF (35 mL) at room temperature was added silver carbonate (13.74 g, 49.7 mmol) follwed by PMBC1 (2.48 mL, 18.25 mmol) and the resulting reaction mixture was allowed to stir at room temperature for 14 hours protected from light by aluminum foil . The reaction mixture was filtered through Celite and the filterate washed with water. The organic layers were dried over anhydrous Na2S04 and concentrated in vacuo. Chromatography (Si02, 5% EtOAc-hexanes) provided 1.28 g of compound of formula 12, (5.54 g theoretical, 23%) . ^H NMR (300 MHz, CDCI3) δ 8.2(m, IH) , 7.9(m, IH) , 7.8(m, IH) , 7.46(d,
J = 9Hz, 2H) , 6.93(d, J = 9Hz, 2H) , 5.59(s, 2H) , 3.81(s, 3H) .19F NMR (282 MHz, CDCI3) δ -68.38(s, 3F) . High resolution mass spec: calculated for Cι7Hi4N202F3 (M+H)+ : 335.1007; found: 335.1011.
Step B: Preparation of compound of formula 13 wherein G = H, R^ = cyclopropylacetylene and Rl = COOEt
To a solution of cyclopropylacetylene (297 μL, 2.25 mmol) in THF (5 mL) at 0°C was added nBuLi (1.25 mL, 2 mmol) and the resulting reaction mixture was allowed to stir at 0°C for 30 minutes . Thereafter the reaction mixture was cannulated to stirred solution of quinoxalinone of formula 12 (167 mg, 0.5 mmol) in THF (2.5 mL) at -78°C. The dry ice bath is removed and the reaction mixture is allowed to warm up as it stirred for an hour. Nal (300 mg, 2 mmol) was added to the reaction mixture and the resulting reaction mixture was allowed to stir at room temperature for 10 minutes. Thereafter ethyl chloroformate (478 μL, 5 mmol) was added to the reaction mixture was stirred for an additional 10 minutes. The reaction mixture is poured onto saturated NH4CI and extracted with ether (3x50 mL) and the combined ether extracts were dried over anhydrous Na24 and concentrated in vacuo. Chromatography (Si02, 10% EtOAc-hexanes eluant) provided 78 mg of compound of formula 13, (236 mg theoretical, 33%) ^H NMR (300 MHz, CDCI3) δ 7.37(d, J = 9Hz, 2H) , 7.35(m, IH) , 7.2(m, IH) , 7.15(m, 2H) , 6.9(d, J = 9Hz, 2H) , 6.90(d, J = 12Hz, IH) , 5.26(d, J" - 12Hz, IH) , 4.35 (m, 2H) , 3.81(s, IH) , 1.37(t, J = 7Hz, 3H) , 1.25 (m, IH) , 0.8 (m, 2H) , 0.6(m, 2H) . Mass spec. (NH3-CI) : 473(M+H)+ (20%), 353 (M-PMB+H+' 100%) .
To a stirred solution of the PMB protected quinoxalinone of formula 13 (28 mg, 0.06 mmol) in CH3CN:H20 (9:1) at room temperature was added CAN (162 mg, 0.30 mmol) and the resulting reaction mixture was allowed to stir at room temperature for one hour. The reaction mixture was poured onto water and extracted with EtOAc (3x25 mL) and the combined EtOAc extracts were dried over anhydrous Na24 and concentrated in vacuo. Chromatography (Si02, 20% EtOAc- hexanes eluant) provided 16 mg of the title compound, (21 mg theoretical, 76%). 1H NMR (300 MHz, CDC13) δ 8.06(br s, IH) ,
7.35 (m, IH) , 7.05(m, 2H) , 6.8 (m, IH) , 4.37 (m, 2H) , 1.4 (m, 4H) , 0.9(m, 4H) .19F NMR (282 MHz, CDCI3) δ -73.55(s, 3F) . High resolution mass spec : calculated for C17H15N2O3F3 (M+H)+ :
353 . 1113 ; found: 353 . 1093 .
EXAMPLE 27 Preparation of 4- (isopropoxycarbonyl) -3- (2- cyclopropylethynyl) -3- (trifluoromethyl) -3,4-dihydro- quinoxalin-2 (IH) -one.
Figure imgf000067_0001
The title compound was prepared in a manner similar to the product of Example 26, except that in Step A isopropyl chloroformate was used instead of ethyl chloroformate: NMR (300 MHz, CDCI3) δ 8.4(br s, IH) , 7.35(m,lH), 7.15(m, IH) ,
6.8(m, IH) , 5.15(p, J" = 7Hz, IH) , 1.45(m, IH) , 1.4(d, J = 7Hz, 3Hz, 3H) , 1.35 (d, J= 7Hz, 3H) , 0.85 (m, 4H) .19F NMR
(282 MHz, CDCI3) δ -73.46(s, 3F) . High resolution mass spec: calculated for Cι88N203F3 (M+H)+: 367.1269; found: 367.1286.
EXAMPLE 28 Preparation of 4-(propen-2-yl-oxycarbonyl)-3- (2- cyclopropylethynyl) -3- (trifluoromethyl) -3, 4-dihydro- quinoxalin-2 (IH) -one.
Figure imgf000067_0002
The title compound was prepared in a manner similar to the product of Example 26, except that in Step A isopropenyl chloroformate was used instead of ethyl chloroformate: ^H NMR (300 MHz, CDC13) δ 8.6(br s, IH) , 7.4(m, IH) , 7.15(m, 2H) , 6.85(m, IH) , 4.85(4.87(d, J = 2Ez , IH) , 4.78(d, J= 2Hz, IH) , 2.05(s, 3H) , 1.4 (m, IH) , 0.85(m, 4H) .19F NMR (282 MHz, CDCI3) δ -73.60(s, 3F) . High resolution mass spec: calculated for Cι86N203F3 (M+H)+ : 365.1113; found: 365.1100.
EXAMPLE 29
Preparation of 4- (isobutoxycarbonyl) -3- (2-cyclopropylethynyl) -3- (trifluoromethyl) -3 4-dihydro-quinoxalin-2 (IH) -one.
Figure imgf000068_0001
The title compound was prepared in a manner similar to the product of Example 26, except that in Step A isobutyl chloroformate was used instead of ethyl chloroformate: ^H NMR (300 MHz, CDCI3) δ 8.6(br s, IH) , 7.3 (m, IH) , 7.15 (m, IH) , 6.85 (m, IH) , 4.2 (dd, J= 7,3Hz, IH) , 3.95(dd, J = 7,3Hz, IH) , 2.1(p, J = 7Hz, IH) , 1.4(m, IH) , 0.95(d, J" = 3Hz, 3H) , 0.9(d, J = 3Hz, 3H) , 0.85 (m, 4H) .19F NMR (282 MHz, CDCI3) δ
-73.49(s, 3F) . High resolution mass spec: calculated for Cι9H2oN203F3 (M+H)+ : 381.1426; found: 381.1445.
EXAMPLE 30 Preparation of 4- (n-butoxycarbonyl) -3- (2-cyclopropylethynyl) -3- (trifluoromethyl) -3,4-dihydro-quinoxalin-2 (IH) -one.
Figure imgf000068_0002
The title compound was prepared in a manner similar to the product of Example 26, except that in Step A nbutyl chloroformate was used instead of ethyl chloroformate: ^H NMR (300 MHz, CDC13) δ 8.65(br s, IH) , 7.3(m, IH) , 7.1(m, 2H) ,
6.85(m, IH) , 4.4(m, IH) , 4.2(m, IH) , 1.65(m, 2H) , 1.45(m, 2H) , 1.4(m, IH) , 0.95(t, J" = 5Hz, 3H) , 0.85 (m, 4H) .19F NMR (282 MHz, CDCI3) δ -73.53(s, 3F) . High resolution mass spec: calculated for Cι9H20N2O3F3 (M+H)+: 381.1426; found: 381.1421.
EXAMPLE 31 Preparation of 4- (allyloxycarbonyl) -3- (2-cyclopropylethynyl) -3- (trifluoromethyl) -3, 4-dihydro-quinoxalin-2 (IH) -one.
Figure imgf000069_0001
The title compound was prepared in a manner similar to the product of Example 26, except that in Step A allyl chloroformate was used instead of ethyl chloroformate: ^H NMR (300 MHz, CDCI3) δ 8.95(br s, IH) , 7.3 (m, IH) , 7.15 (m, 2H) ,
6.85(m, IH) , 6.0 ( , IH) , 5.45-5.3 (m, 2H) , 4.9-4.7(m, IH) , 1.4(m, IH) , 0.85(M, 4H) .19F NMR (282 MHz, CDCI3) δ -73.57(s,
3F) . High resolution mass spec: calculated for Cι86N2θ3F3
(M+H)+: 365.1113; found: 365.1119.
EXAMPLE 32 Preparation of 4- (benzyloxycarbonyl) -3- (2-cyclopropylethynyl) -3- (trifluoromethyl) -3,4-dihydro-quinoxalin-2 (IH) -one.
Figure imgf000069_0002
The title compound was prepared in a manner similar to the product of Example 26, except that in Step A benzyl chloroformate was used instead of ethyl chloroformate: ^H NMR (300 MHz, CDC13) δ 8.6(br s, IH) , 7.4(m, 5H) , 7.3(m, IH) ,
7.15(m, 2H) , 6.85(, IH) , 5.45-5.2 (m, 3H) , 1.35 (m, IH) ,
0 . 75 (m, 4H) .19F NMR ( 282 MHz , CDCI3 ) δ -73 . 54 (s , 3F) . High resolution mass spec : calculated for C228N2θ3F3 (M+H)+ :
415 . 1284 ; found: 415 . 1269 .
EXAMPLE 33 Preparation of 4- (n-propylsulfonyl) -3- (2-cyclopropylethynyl) -3- (trifluoromethyl) -3,4-dihydro-quinoxalin-2 (IH) -one.
Figure imgf000070_0001
The title compound was prepared in a manner similar to the product of Example 40, except that in Step A n-propylsulfonyl chloride was used instead of isopropylsulfonyl chloride: !H NMR (300 MHz, CDCI3) δ 8.1(br s, IH) , 7.4(m, IH) , 7.2 (m, IH) , 7.15 (m, IH) , 6.85 (M, IH) , 3.65(m, IH) , 3.3(m, IH) , 2.0 (m, 2H) , 1.45 (m, IH) , l.l(t, J = 7Hz, 3H) , 0.9(m, 4H) .19F NMR (282 MHz, CDCI3) δ -73.17(s,
3F) . High resolution mass spec: calculated for Ci78N03F3S (M+H)+: 387.0990; found: 387.0996.
EXAMPLE 34 Preparation of 4- (phenylcarbonyl) -3- (2-cyclopropylethynyl) -3- (trifluoromethyl) -3,4-dihydro-quinoxalin-2 (IH) -one.
Figure imgf000070_0002
The title compound was prepared in a manner similar to the product of Example 37, except that in Step A benzoyl chloride was used instead of isobutyryl chloride: ^H NMR (300 MHz, CDC13) δ 8.2(br s, IH) , 7.55 ( , 2H) , 7.45(m, IH) , 7.3(m, 2H) , 7.)(m, IH) , 6.85 (M, IH) , 6.75 (m, IH) , 6.9 (m, IH) ,
1.35 ( , IH) , 0.8(m, 4H) .19F NMR (282 MHz, CDCI3) δ -72.16(s,
3F) . High resolution mass spec: calculated for C2ιHχ6N20F3
(M+H)+: 385.1163; found: 385.1184.
EXAMPLE 35
Preparation of 4- ( eopentyl-oxycarbonyl) -3- (2- cyclopropylethynyl) -3- (trifluoromethyl) -3, 4-dihydro- quinoxalin-2 (IH) -one.
Figure imgf000071_0001
The title compound was prepared in a manner similar to the product of Example 26, except that in Step A neopentyl chloroformate was used instead of ethyl chloroformate: ^H NMR (300 MHz, CDCI3) δ 8.55(br s, IH) , 7.3 (m, IH) , 7.15(m, 2H) ,
6.85(m, IH) , 4.3 (d, J = 11Hz, IH) , 3.8(d, J = 11Hz, IH) , 1.4(m, IH) , 1.0(s, 9H) , 0.85 (m, 4H) .19F NMR (282 MHz, CDCI3) δ -73.42(s, 3F) . High resolution mass spec: calculated for C20H22N2O3F3 (M+H)+ : 395.1582; found: 395.1587.
EXAMPLE 36 Preparation of 4- (2-propynyl-oxycarbonyl) -3- (2- cyclopropylethynyl) -3- (trifluoromethyl) -3, 4-dihydro- quinoxalin-2 (IH) -one.
Figure imgf000072_0001
The title compound was prepared in a manner similar to the product of Example 26, except that in Step A propargyl chloroformate was used instead of ethyl chloroformate: ^H NMR (300 MHz, CDC13) δ 9.0(br s, IH) , 7.35 (m, IH) , 7.15 (m, 2H) ,
6.9(m, IH) , 4.95 (dd, J = 2,13Hz, IH) , 4.85(dd, J - 2,13Hz, IH) , 2.95(t, J = 2Hz, IH) , 1.4(m, IH) , 0.85(m, 4H) .19F NMR (282 MHz, CDCI3) δ -73.62(s, 3F) . Anal. (Cι7Hi3N203F3) Calcd: C, 59.637; H, 3.626; N, 7.73; F, 15.76; Found: C, 60.18; N, 3.84, N, 7.38; F, 15.66.
EXAMPLE 37 Preparation of 4- (isopropylcarbonyl) -3- (2- cyclopropylethynyl) -3- (trifluoromethyl) -3, 4-dihydro- quinoxalin-2 (IH) -one.
Figure imgf000072_0002
Step A: Preparation of compound of formula 10 wherein G = H, R2= cyclopropylacetylene and R^- = COiPr
To a solution of protected quinoxalinone of formula 3 as prepared in step C in Example 1 (250 mg, 0.61 mmol) in THF (2.5 mL) at -78°C was added nBuLi (0.53 mL, 0.85 mmol) followed by isobutyryl chloride (0.15 mL, 1.46 mmol) and the resulting reaction mixture was allowed to stir for an hour with warming to room temperature. The reaction mixture is poured onto saturated NH4CI and extracted with ether (3x50mL) and the combined ether extracts were dried over anhydrous N24 and concentrated in vacuo. Chromatography (Si02, 5%
EtOAc-hexanes eluant) provided 189 mg of compound of formula 10, (293 mg theoretical, 64%) . !H NMR (300 MHz, CDC13) δ 7.5(m, IH) , 7.2 (m, 2H) , 6.9 (m, IH) , 5.85(d, J = 11Hz, IH) , 5.29d, J = 11Hz, IH) , 3.7(m, 2H) , 3.15 (m, IH) , 1.4(m, IH) , 1.31(d, J" = 7Hz, 3H) , 1.13(d, J = 7Hz, 3H) , 0.95(m, 2H) , 0.85(M, 4H) . Mass spec. (NH3-CI) : 481(M+H+, 100%).
Step B:
To a solution of the acylated quinoxalinone of formula 10 (189 mg, 0.39 mmol) in CH2C12 (2 mL) at 0°C was added BF3.Et20 (110 μL, 0.87 mmol) and the resulting reaction mixture was allowed to stir at 0°C for 30 minutes and stirred for an additional hour with warming to room temperature.. To the reaction mixture was added MeOH (1 mL) and 15% NaOH (1 mL) and the resulting reaction mixture was allowed to stir at room temperature for 10 minutes . The reaction mixture was poured onto water and extracted with CH2C1 (3x25 mL) and the combined CH2C12 extracts were dried over anhydrous a24 and concentrated in vacuo. Chromatography (Si02, 25% acetone- hexanes eluant) followed by PTLC (Siθ2, CH2Cl2 eluant) provided 10.5 mg of the title compound, (136.5 mg theoretical, 7.7%). !H NMR (300 MHz, CDCI3) δ 8.65(br s, IH) , 7.15 ( , 2H) , 6.95 (m, 2H) , 3.15 (m, IH) , 1.4 (m, IH) , 1.28 (d, J = 7Hz, 3H) , l.ll(d, J = 7Hz, 3H) , 0.8 (m, 4H) .19F NMR (282 MHz, CDCI3) δ -72.78(s, 3F) . High resolution mass spec: calculated for Cι88N202F3 (M+H)+: 351.1320; found: 351. 1299.
EXAMPLE 38
Preparation of 4- (cyclopropylcarbonyl) -3- (2- cyclopropylethynyl) -3- (trifluoromethyl) -3, 4-dihydro- quinoxalin-2 ( IH) -one .
Figure imgf000074_0001
The title compound was prepared in a manner similar to the product of Example 37, except that in Step A cyclopropane carbonyl chloride was used instead of isobutyryl chloride: ^H NMR (300 MHz, CDCI3) δ 8.6 (br s, IH) , 7.35 (m, IH) , 7.2-7.0(m,
2H) , 6.9(m, IH) , 1.95(m, IH) , 1.35(m, 2H) , 1.2(m, IH) , 1.0 (m, IH) , 0.9 (m, IH) , 0.85 (m, 4H) . High resolution mass spec: calculated for Cι8H16N202F3 (M+H)+: 349.1163; found: 349.1153.
EXAMPLE 39 Preparation of 4- (ethylsulfonyl) -3- (2-cyclopropylethynyl) -3- (trifluoromethyl) -3, 4-dihydro-quinoxalin-2 (IH) -one.
Figure imgf000074_0002
The title compound was prepared in a manner similar to the product of Example 40, except that in Step A ethylsulfonyl chloride was used instead of isopropylsulfonyl chloride: 3-H NMR (300 MHz, CDCI3) δ 8.8 (br s, IH) , 7.4(m, IH) ,
7.25 (m, IH) , 7.15 (m, IH) , 6.9(m, IH) , 3.75(p, J = 7Hz, IH) , 3.45(p, J = 7Hz, IH) , 1.5(t, J = 7Hz, 3H) , 1.4(m, IH) , 0.9 (m, 4H) .19F NMR (282 MHz, CDCI3) δ -73.13 (s, 3F) . High resolution mass spec: calculated for C16H16N2O3F3S (M+H)+ : 373.0833; found: 373.0829.
EXAMPLE 40 Preparation of 4- (isopropylsulfonyl) -3- (2-cyclopropylethynyl) -3- (trifluoromethyl) -3, 4-dihydro-quinoxalin-2 (IH) -one.
Figure imgf000075_0001
Step A: Preparation of compound of formula 8. wherein G = H, R2 = cyclopropylacetylene and R^ = SOOiPr
To a solution of protected quinoxalinone of formula 3 as prepared in step C in Example 1 (250 mg, 0.61 mmol) in THF (2.5 mL) at -78°C was added nBuLi (0.53 mL, 0.85 mmol) followed by isopropylsulfonyl chloride (164 μL, 1.46 mmol) and the reaction mixture was allowed to warm to room temperature and stir for an hour. The reaction mixture was poured onto saturated NaHC03 and extracted with ether (3x25 mL) and the combined ether extracts were dried over anhydrous Na S04 and concentrated in vacuo. Chromatography (Si02, 10% EtOAc-hexanes eluant) provided 51 mg of compound of formula 8, (315 mg theoretical, 16%) . !H NMR (300 MHz, CDC13) δ
7.5(m, IH) , 7.35(m, 2H) , 7.2 ( , IH) , 5.8(d, J = 11Hz, IH) , 5.15(d, J = 11Hz, IH) , 4.25(m lH), 3.7(m, 2H) , 1.65 (m, 3H) , 1.45(m, 4H) , 0.95 (m, 5H) , 0.01(s, 9H) . Mass spec. (NH3-CI) : 534(M+NH+, 100%) .
Step B:
To a solution of the sulfonamide-quinoxalinone of formula 8. (51 mg, 0.099 mmol) in CH2C12 (1 mL) at 0°C was added BF3.Et20 (27 μL, 0.22 mmol) and the resulting reaction mixture was allowed to stir at 0°C for 30 minutes, and stirred for an additional 1 hour with warming to room temperature. To the reaction mixture was added MeOH (1 mL) and 15% NaOH (1 mL) and the resulting reaction mixture was allowed to stir at room temperature for 10 minutes. The reaction mixture was poured onto water and extracted with CH2C1 (3x25 mL) and the combined CH2C12 extracts were dried over anhydrous Na2S04 and concentrated in vacuo. Chromatography/PTLC (Si02, 25% acetone-hexanes eluant) provided 14 mg of the title compound, (38 mg theoretical, 37%). 3-H NMR (300 MHz, CDCI3) δ 8.63 (br s, IH) , 7.4 (m, IH) , 7.25(m, IH) , 7.15(m, IH) , 6.85(m, IH) , 4.2(m, IH) , 1.6(d, J = 7Hz, 3H) , 1.45(m, IH) , 1.39(d, J = 7Hz, 3H) , 0.9(m, 4H) .19F NMR (282 MHz, CDC13) δ -73.05(s,
3F) . High resolution mass spec: calculated for Ci78N2θ3F3S (M+H)+: 387.0990; found: .387.1002.
EXAMPLE 41 Preparation of 4- (methoxycarbonyl) -3- (2-cyclopropylethynyl) -3- (trifluoromethyl) -3, 4-dihydro-quinoxalin-2 (IH) -one.
Figure imgf000076_0001
The title compound was prepared in a manner similar to the product of Example 26, except that in Step A methyl chloroformate was used instead of ethyl chloroformate: ^H NMR (300 MHz, CDCI3) δ 8.45(br s, IH) , 7.25(m, IH) , 7.05(m, 2H) ,
6.85(m, IH) , 8.85(s, #J) , 1.4(m, IH) , 0.85(m, 4H) .19F NMR (282 MHz, CDCI3) δ -73.65(s, 3F) . High resolution mass spec: calculated for Cι6Hi4N2θ3F3 (M+H)+: 339.0956; found: 339.0932.
EXAMPLE 42 Preparation of 6- (chloro) -4- (ethoxycarbonyl) -3- (2- cyclopropylethynyl) -3- (trifluoromethyl) -3,4-dihydro- quinoxalin-2 (IH) -one.
Figure imgf000076_0002
The title compound was prepared in a manner similar to the product of Example 26:XH NMR (300 MHz, CDCI3) δ 8.65 (br s, IH) , 7.35(m, IH) , 7.1(m, IH) , 6.8(m, IH) , 4.45-4.3(m, 2H) , 1.4(t, J = 7Hz, 3H) , 1.35(m, IH) , 0.85(m, 4H) .19F NMR (282 MHz, CDCI3) δ -73.54(s, 3F) . High resolution mass spec: calculated for Cι7H13N2θ3F3Cl (M-H)+: 385.0566; found: 385.0570.
EXAMPLE 43 Preparation of 6- (chloro) -4- (isopropoxycarbonyl) -3- (2- cyclopropylethynyl) -3- (trifluoromethyl) -3, 4-dihydro- quinoxalin-2 (IH) -one.
Figure imgf000077_0001
The title compound was prepared in a manner similar to the product of Example 26, except that in Step A isopropyl chloroformate was used instead of ethyl chloroformate: ^-H NMR (300 MHz, CDCI3) δ 8.65(br s, IH) , 7.45(m, IH) , 7.35(m, IH) ,
15 (m, IH) , 6.8 (m, IH) , 5.15 (p, J" = 7Hz, IH) , 1.4(d, J = 7Hz, 3H) , 1.38(d, J = 7Hz, 3H) , 1.35(m, IH) , 0.85 (m, 4H) .19F NMR (282 MHz, CDCI3) δ -73.47(s, 3F) . High resolution mass spec: calculated for Cι8H15N2θ3F3Cl (M-H)+ : 399.0723; found: 399.0719.
EXAMPLE 44 Preparation of 6- (chloro) -4- (propen-2-yl-oxycarbonyl) -3- (2- cyclopropylethynyl) -3- (trifluoromethyl) -3,4-dihydro- quinoxalin-2 (IH) -one.
Figure imgf000077_0002
The title compound was prepared in a manner similar to the product of Example 26, except that in Step A isopropenyl chloroformate was used instead of ethyl chloroformate: ^H NMR (300 MHz, CDCI3) δ 8.8(br s, IH) , 7.4(m, IH) , 7.15(m, IH) ,
6.8 (m, IH) , 4.9(m, IH) , 4.8 (m, IH) , 2.05(s, 3H) , 1.4 (m, IH) , 0.85 (m, 4H) .19F NMR (282 MHz, CDCI3) δ -73.60(s, 3F) . High resolution mass spec: calculated for Cι8Hi3N2θ3F3Cl (M-H)+ :
397.0566; found: 397.0563.
EXAMPLE 45 Preparation of 6- (fluoro) -4- (ethoxycarbonyl) -3- (2- cyclopropylethynyl) -3- (trifluoromethyl) -3, 4-dihydro- quinoxalin-2 (IH) -one.
Figure imgf000078_0001
The title compound was prepared in a manner similar to the product of Example 26: H NMR (300 MHz, CDCI3) δ 8.7 (br s,
IH) , 7. l(m, IH) , 6.8(m, 2H) , 4.4(m, 2H) , 1.42(t, J = 7Hz, 3H) , 1.4(m, IH) , 0.85 (m, 4H) .19F NMR (282 MHz, CDCI3) δ
-73.54(s, 3F) , -117.47 (s, IF). High resolution mass spec: calculated for C17H13N2O3F4 (M-H)+ : 369.0862; found: 369.0852.
EXAMPLE 46 Preparation of 6- (fluoro) -4- (isopropoxycarbony1) -3- (2- cyclopropylethynyl) -3- (trifluoromethyl) -3, 4-dihydro- quinoxalin-2 (IH) -one.
Figure imgf000078_0002
The title compound was prepared in a manner similar to the product of Example 26, except that in Step A isopropyl chloroformate was used instead of ethyl chloroformate: ^H NMR (300 MHz, CDCI3) δ 8.85(br s, IH) , 7.15 (m, IH) , 6.8(m, 2H) ,
5.15(p, J" = 7Hz, IH) , 1.45(d, J = 7Hz, 3H) , 1.42(d, J = 7Hz, 3H) , 1.4(m, IH) , 0.85(m, 4H) .19F NMR (282 MHz, CDCI3) δ -73.45(s, 3F) , -117.63(s, IF). High resolution mass spec: calculated for Cι85N2θ3F4 (M-H)+: 385.1018; found: 383.1045.
EXAMPLE 47 Preparation of 6- (fluoro) -4-(propen-2-yl-oxycarbonyl) -3- (2- cyclopropylethynyl) -3- (trifluoromethyl) -3,4-dihydro- quinoxalin-2 (IH) -one.
Figure imgf000079_0001
The title compound was prepared in a manner similar to the product of Example 26, except that in Step A isopropenyl chloroformate was used instead of ethyl chloroformate: ^H NMR (300 MHz, CDCI3) δ 9.0(br s, IH) , 7.2(m, IH) , 6.85(m, 2H) ,
4.9(m, IH) , 4.8(m, IH) , 2.05(s, 3H) , 1.4 (m, IH) , 0.85(m, 4H) .19F NMR (282 MHz, CDCI3) δ -73.61(s, 3F) , -117.10(s, IF).
High resolution mass spec: calculated for Cι8Hi5N2θ3F4 (M+H)+:
383.1018; found: 383.1018.
Table 1
Figure imgf000080_0001
Figure imgf000080_0002
Figure imgf000081_0001
*Unless otherwise noted, stereochemistry is (+/-).
Tables 2 and 3 show representative compounds of the present invention. Each formula shown at the start of Table 2 and 3 is intended to be paired with each entry in the table which follows . Table 2
Figure imgf000082_0001
s
Table 2 cont
Figure imgf000083_0001
* 2-Fur stands for furan-2-yl
* 3-Fur stands for furan-3-yl
* 2-Imid stands for imidazol-2-yl
* 5-Imid stands for imidazol-5-yl Table 2 cont ,
Figure imgf000084_0001
Table 2 cont.
Figure imgf000085_0001
Table 2 cont .
Figure imgf000086_0001
Table 2 cont.
Figure imgf000087_0001
Table 2 cont .
Figure imgf000088_0001
Table 2 cont .
Figure imgf000089_0001
Table 2 cont ,
Figure imgf000090_0001
Table 2 cont.
Figure imgf000091_0001
Table 2 co t.
Figure imgf000092_0001
Table 2 cont .
Figure imgf000093_0001
Table 2 cont.
Figure imgf000094_0001
Table 2 cont .
Figure imgf000095_0001
Table 2 cont.
Figure imgf000096_0001
Table 2 cont .
Figure imgf000097_0001
Table 2 con .
Figure imgf000098_0001
Table 2 cont.
Figure imgf000099_0001
Table 2 cont .
Figure imgf000100_0001
Table 2 cont .
Figure imgf000101_0001
Table 2 cont.
Figure imgf000102_0001
Table 2 cont .
Figure imgf000103_0001
Table 2 cont .
Figure imgf000104_0001
Table 2 cont .
Figure imgf000105_0001
Table 2 cont.
Figure imgf000106_0001
Table 2 cont .
Figure imgf000107_0001
Table 2 cont .
Figure imgf000108_0001
Table 2 cont.
Figure imgf000109_0001
Table 2 cont .
Figure imgf000110_0001
Table 2 cont .
Figure imgf000111_0001
*Unless otherwise noted, stereochemistry is (+/-) and in R2 all double bonds are trans . Table 3
Figure imgf000112_0001
m n p q
C1
Figure imgf000112_0002
r s t u
Figure imgf000112_0003
x y
Figure imgf000112_0004
Table 3 cont .
Ex.# Rl R2 4001 -CH2-CH=CH2 n-butyl 4002 -CH2-CH=CH2 benzyl 4003 -CH2-CH=CH2 phenethyl 4004 -CH2-CH=CH2 -CH2CH2-cycPr 4005 -CH2-CH=CH2 -C≡C-CH3 4006 -CH2-CH=CH2 -C≡C-CF3 4007 -CH2-CH=CH2 -C≡C-Et 4008 -CH2-CH=CH2 -C≡C-iPr 4009 -CH2-CH=CH2 -C≡C-cycPr 4010 -CH2-CH=CH2 -C≡C-1- (Me) cycPr 4011 -CH2-CH=CH2 -C≡C-CH=CH2 4012 -CH -CH=CH2 -CH=CH-CH3 4013 -CH2-CH=CH2 -CH=CH-CF3 4014 -CH2-CH=CH2 -CH=CH-Et 4015 -CH2-CH=CH2 -CH=CH-iPr 4016 -CH2-CH=CH2 -CH=CH-cycPr 4017 -CH2-CH=CH2 -CH=CH-CH=CH2 4018 -CH2-CH=CH2 -CH2-C≡C-CH3 4019 -CH2-CH=CH2 -CH2-C≡C-CF3 4020 -CH2-CH=CH2 -CH2-C≡C-Et 4021 -CH2-CH=CH -CH2-C≡C-iPr 4022 -CH2-CH=CH2 -CH2-C≡C-cycPr 4023 -CH2-CH=CH2 -CH2-C≡C-CH=CH2 4024 -CH2-CH=CH2 -CH2-CH=CH2 4025 -CH2-CH=CH2 -CH2-CH=CH-CH3 4026 -CH2-CH=CH2 -CH2-CH=CH-CF 4027 -CH2-CH=CH -CH2-CH=CH-Et 4028 -CH2-CH=CH2 -CH2-CH=CH-iPr 4029 -CH2-CH=CH2 -CH2-CH=CH-cycPr 4030 -CH2-CH=CH2 -CH2-CH=CH-CH=CH2 4031 -CH2-CH=CH2 -CH2-CH=C(CH3)2 4032 -CH2-CH=CH -CH=CH-CH2-cycPr
4033 -CH2-CH=CH2 n-butyl
4034 -CH2-cycPr benzyl
4035 -CH2~cycPr phenethyl
4036 -CH -cycPr -CH2CH2-cycPr
4037 -CH2~cycPr -C≡C-CH3
4038 -CH2-cycPr -C≡C-CF3
4039 -CH2~cycPr -C≡C-Et
4040 -CH -cycPr -C≡C-iPr
4041 -CH2-cycPr -C≡C-cycPr
4042 -CH2~cycPr -C≡C-1- (Me) cycPr
4043 -CH2-cycPr -C≡C-CH=CH2
4044 -CH2-cycPr -CH=CH-CH3
4045 -CH2-cycPr -CH=CH-CF3
4046 -CH2-cycPr -CH=CH-Et
4047 -CH2~cycPr -CH=CH-iPr
4048 -CH2-cycPr -CH=CH-cycPr
4049 -CH2-cycPr -CH=CH-CH=CH2
4050 -CH2-cycPr -CH2-C=C-CH
4051 -CH2-cycPr -CH2-C≡C-CF3
4052 -CH2-cycPr -CH2 -C≡C-Et
4053 -CH2~cycPr -CH2-C≡C-iPr
4054 -CH2-cycPr -CH2 -C≡C-cycPr
4055 -CH2-cycPr -CH2-C≡C-CH=CH2
4056 -CH2~cycPr -CH2-CH=CH2
4057 -CH2-cycPr -CH2-CH=CH-CH
4058 -CH2-cycPr -CH2-CH=CH-CF3
4059 -CH2-cycPr -CH2-CH=CH-Et
4060 -CH2-cycPr -CH2-CH=CH-iPr
4061 -CH2-cycPr -CH2 -CH=CH-cycPr
4062 -CH2-cycPr -CH2-CH=CH-CH=CH2
4063 -CH2-cycPr -CH2-CH=C(CH3)2
4064 -CH2-cycPr -CH=CH-CH2-cycPr
4065 -C02CH2CH3 n-butyl 4066 -C02CH2CH3 benzyl
4067 -C02CH2CH3 phenethyl
4068 -C02CH2CH3 -CH2CH2-cycPr
4069 -CO2CH2CH3 -C≡C-CH3
4070 -CO2CH2CH3 -C≡C-CF3
4071 -C02CH2CH3 -C≡C-Et
4072 -CO2CH2CH3 -C≡C-iPr
4073 -C02CH2CH3 -C≡C-cycPr
4074 -C02CH2CH3 -C≡C-1- (Me) cycPr
4075 -C02CH2CH3 -C≡C-CH=CH2
4076 -C02CH2CH3 -CH=CH-CH3
4077 -C02CH2CH3 -CH=CH-CF3
4078 -CO2CH2CH3 -CH=CH-Et
4079 -CO2CH2CH3 -CH=CH-iPr
4080 -C02CH2CH3 -CH=CH-cycPr
4081 -CO2CH2CH3 -CH=CH-CH=CH2
4082 -C02CH2CH3 -CH2-C≡C-CH3
4083 -C02CH2CH3 -CH2-C≡C-CF3
4084 -CO2CH2CH3 -CH2 -C≡C-Et
4085 -CO2CH2CH3 -CH2-C≡C-iPr
4086 -CO2CH2CH3 -CH2 -C≡C-cycPr
4087 -C02CH2CH3 -CH2-C≡C-CH=CH
4088 -C02CH2CH3 -CH2-CH=CH2
4089 -C02CH2CH3 -CH2-CH=CH-CH3
4090 -CO2CH2CH3 -CH2-CH=CH-CF3
4091 -C02CH2CH3 -CH2-CH=CH-Et
4092 -C02CH2CH3 -CH2-CH=CH-iPr
4093 -CO2CH2CH3 -CH2-CH=CH-cycPr
4094 -C02CH2CH3 -CH2 - CH=CH -CH=CH2
4095 -CO2CH2CH3 -CH2-CH=C(CH3)2
4096 -CO2CH2CH3 -CH=CH-CH -cycPr
4097 -C02CH(CH3)2 n-butyl
4098 -C02CH(CH3)2 benzyl
4099 -C02CH(CH3)2 phenethyl 4101 -C0 CH(CH3)2 -CH2CH2-cycPr
4102 -C02CH(CH3)2 -C≡C-CH3
4103 -C02CH(CH3)2 -C≡C-CF3
4104 -C02CH(CH3)2 -C≡C-Et
4105 -C02CH(CH3)2 -C≡C-iPr
4106 -C02CH(CH )2 -C≡C-cycPr
4107 -C02CH(CH3)2 -C≡C-1- (Me) cycPr
4108 -C02CH(CH3)2 -C≡C-CH=CH2
4109 -C02CH(CH3)2 -CH=CH-CH3
4110 -C02CH(CH3)2 -CH=CH-CF3
4111 -C0 CH(CH3)2 -CH=CH-Et
4112 -C02CH(CH3)2 -CH=CH-iPr
4113 -C02CH(CH3)2 -CH=CH-cycPr
4114 -C02CH(CH3)2 -CH=CH-CH=CH2
4115 -C02CH(CH3)2 -CH2-C≡C-CH3
4116 -C02CH(CH3)2 -CH2-C≡C-CF3
4117 -C02CH(CH3)2 -CH2 -C≡C-Et
4118 -C02CH(CH3)2 -CH2-C≡C-iPr
4119 -C02CH(CH3)2 -CH2 -C≡C-cycPr
4120 -C02CH(CH3)2 -CH2-C≡C-CH=CH2
4121 -C02CH(CH3)2 -CH2-CH=CH2
4122 -C02CH(CH3)2 -CH2-CH=CH-CH3
4123 -C02CH(CH3)2 -CH2-CH=CH-CF3
4124 -C02CH(CH3)2 -CH2-CH=CH-Et
4125 -C0 CH(CH3)2 -CH2-CH=CH-iPr
4126 -C02CH(CH3)2 -CH2-CH=CH-cycPr
4127 -C02CH(CH3)2 -CH2-CH=CH-CH=CH2
4128 -C02CH(CH3)2 -CH2-CH=C(CH3)2
4129 -C02CH(CH3)2 -CH=CH-CH2-cycPr
4130 -C02C(=CH2)CH3 n-butyl
4131 -C02C(=CH2)CH3 benzyl
4132 -C02C(=CH2)CH3 phenethyl
4133 -C02C(=CH2)CH3 -CH2CH2-cycPr
4134 -C02C(=CH2)CH3 -C≡C-CH3 4135 -C0 C(=CH2)CH3 -C≡C-CF3
4136 -C02C(=CH2)CH3 -C≡C-Et
4137 -C02C(=CH2)CH3 -C≡C-iPr
4138 -C02C(=CH2)CH3 -C≡C-cycPr
4139 -C02C(=CH2)CH3 -C≡C-1- (Me) cycPr
4140 -C02C(=CH2)CH3 -C≡C-CH=CH2
4141 -C02C(=CH2)CH3 -CB=CH-CH3
4142 -C02C(=CH2)CH3 -CH=CH-CF3
4143 -C02C(=CH2)CH3 -CH=CH-Et
4144 -C02C(=CH2)CH3 -CH=CH-iPr
4145 -C02C(=CH2)CH3 -CH=CH-cycPr
4146 -C02C(=CH2)CH3 -CH=CH-CH=CH
4147 -C02C(=CH )CH3 -CH2-C≡C-CH3
4148 -C02C(=CH2)CH3 -CH2-C≡C-CF3
4149 -C0 C(=CH2)CH3 -CH2-C≡C-Et
4150 -C0 C(=CH2)CH3 -CH2-C≡C-iPr
4151 -C02C(=CH2)CH3 -CH2-C≡C-cycPr
4152 -C02C(=CH2)CH3 -CH2-C≡C-CH=CH2
4153 -C02C(=CH2)CH3 -CH2-CH=CH2
4154 -C02C(=CH2)CH3 -CH2-CH=CH-CH3
4155 -C02C(=CH2)CH3 -CH2-CH=CH-CF3
4156 -C02C(=CH2)CH3 -CH2-CH=CH-Et
4157 -C02C(=CH2)CH3 -CH2-CH=CH-iPr
4158 -C02C(=CH2)CH3 -CH2-CH=CH-cycPr
4159 -C02C(=CH2)CH3 -CH2-CH=CH-CH=CH2
4160 -C02C(=CH2)CH3 -CH2-CH=C(CH3)2
4161 -C02C(=CH2)CH3 -CH=CH-CH2-cycPr
4162 -C(=0) -cycPr n-butyl
4163 -C(=0) -cycPr benzyl
4164 -C(=0) -cycPr phenethyl
4165 -C(=0) -cycPr -CH2CH2-cycPr
4166 -C(=0) -cycPr -C≡C-CH3
4167 -C(=0) -cycPr -C≡C-CF
4168 -C(=0) -cycPr -C≡C-Et 4169 -cycPr -C≡C-iPr 4170 -cycPr -C≡C-cycPr 4171 -cycPr -C≡C-1- (Me) cycPr 4172 -cycPr -C≡C-CH=CH2 4173 -cycPr -CH=CH-CH3 4174 -cycPr -CH=CH-CF3 4175 -cycPr -CH=CH-Et 4176 -cycPr -CH=CH-iPr 4177 -cycPr -CH=CH-cycPr 4178 -cycPr -CH=CH-CH=CH2 4179 -cycPr -CH2-C=C-CH3 4180 -cycPr -CH2-C≡C-CF3 4181 -cycPr -CH -C≡C-Et 4182 -cycPr -CH2-C≡C-iPr 4183 -cycPr -CH2-C≡C-cycPr 4184 -cycPr -CH2-C≡C-CH=CH2 4185 -cycPr -CH2-CH=CH2 4186 -cycPr -CH2-CH=CH-CH 4187 -cycPr -CH2-CH=CH-CF3 4188 -cycPr -CH2-CH=CH-Et 4189 -cycPr -CH2-CH=CH-iPr 4190 -cycPr -CH2-CH=CH-cycPr 4191 -cycPr -CH2-CH=CH-CH=CH2 4192 -cycPr -CH2-CH=C(CH3)2 4193
Figure imgf000118_0001
-cycPr -CH=CH-CH2-cycPr
*Unless otherwise noted, stereochemistry is (+/-) and in R2, all double bonds are trans . Utility The compounds of this invention possess reverse transcriptase inhibitory activity, in particular, HIV inhibitory efficacy. The compounds of formula (I) possess HIV reverse transcriptase inhibitory activity and are therefore useful as antiviral agents for the treatment of HIV infection and associated diseases. The compounds of formula (I) possess HIV reverse transcriptase inhibitory activity and are effective as inhibitors of HIV growth. The ability of the compounds of the present invention to inhibit viral growth or infectivity is demonstrated in standard assay of viral growth or infectivity, for example, using the assay described below.
The compounds of formula (I) of the present invention are also useful for the inhibition of HIV in an ex vivo sample containing HIV or expected to be exposed to HIV. Thus, the compounds of the present invention may be used to inhibit HIV present in a body fluid sample (for example, a serum or semen sample) which contains or is suspected to contain or be exposed to HIV.
The compounds provided by this invention are also useful as standard or reference compounds for use in tests or assays for determining the ability of an agent to inhibit viral clone replication and/or HIV reverse transcriptase, for example in a pharmaceutical research program. Thus, the compounds of the present invention may be used as a control or reference compound in such assays and as a quality control standard. The compounds of the present invention may be provided in a commercial kit or container for use as such standard or reference compound.
Since the compounds of the present invention exhibit specificity for HIV reverse transcriptase, the compounds of the present invention may also be useful as diagnostic reagents in diagnostic assays for the detection of HIV reverse transcriptase. Thus, inhibition of the reverse transcriptase activity in an assay (such as the assays described herein) by a compound of the present invention would be indicative of the presence of HIV reverse transcriptase and HIV virus .
As used herein "μg" denotes microgram, "mg" denotes milligram, "g" denotes gram, "μL" denotes microliter, "mL" denotes milliliter, "L" denotes liter, "nM" denotes nanomolar, "μM" denotes micromolar, "mM" denotes millimolar, "M" denotes molar and "nm" denotes nanometer. "Sigma" stands for the Sigma-Aldrich Corp. of St. Louis, MO.
HIV RNA Assay
DNA Plasmids and in vi tro RNA transcripts;
Plasmid pDAB 72 containing both gag and pol sequences of BHlO (bp 113-1816) cloned into PTZ 19R was prepared according to Erickson-Viitanen et al . AIDS Research and Human
Retroviruses 1989, 5, 577. The plasmid was linearized with Bam HI prior to the generation of in vi tro RNA transcripts using the Riboprobe Gemini system II kit (Promega) with T7 RNA polymerase. Synthesized RNA was purified by treatment with RNase free DNAse (Promega) , phenol-chloroform extraction, and ethanol precipitation. RNA transcripts were dissolved in water, and stored at -70°C. The concentration of RNA was determined from the A2go-
Probes :
Biotinylated capture probes were purified by HPLC after synthesis on an Applied Biosystems (Foster City, CA) DNA synthesizer by addition of biotin to the 5 ' terminal end of the oligonucleotide, using the biotin-phosphoramidite reagent of Cocuzza, Tet . Lett . 1989, 30, 6287. The gag biotinylated capture probe (5-biotin-CTAGCTCCCTGCTTGCCCATACTA 3') was complementary to nucleotides 889-912 of HXB2 and the pol biotinylated capture probe (5 '-biotin -CCCTATCATTTTTGGTTTCCAT 3' ) was complementary to nucleotides 2374-2395 of HXB2. Alkaline phosphatase conjugated oligonucleotides used as reporter probes were prepared by Syngene (San Diego, CA.) . The pol reporter probe (5' CTGTCTTACTTTGATAAAACCTC 3') was complementary to nucleotides 2403-2425 of HXB2. The gag reporter probe (5 ' CCCAGTATTTGTCTACAGCCTTCT 3 ' ) was complementary to nucleotides 950-973 of HXB2. All nucleotide positions are those of the GenBank Genetic Sequence Data Bank as accessed through the Genetics Computer Group Sequence Analysis Software Package (Devereau Nucleic Acids Research 1984, 12, 387). The reporter probes were prepared as 0.5 uM stocks in 2 x SSC (0.3 M NaCl, 0.03 M sodium citrate), 0.05 M Tris pH 8.8, 1 mg/mL BSA. The biotinylated capture probes were prepared as 100 μM stocks in water.
Streptavidin coated plates;
Streptavidin coated plates were obtained from Du Pont Biotechnology Systems (Boston, MA) .
Cells and virus stocks;
MT-2 and MT-4 cells were maintained in RPMI 1640 supplemented with 5% fetal calf serum (FCS) for MT-2 cells or 10% FCS for MT-4 cells, 2 mM L-glutamine and 50 μg/mL gentamycin, all from Gibco. HIV-1 RF was propagated in MT-4 cells in the same medium. Virus stocks were prepared approximately 10 days after acute infection of MT-4 cells and stored as aliquots at -70°C. Infectious titers of HIV-1 (RF) stocks were 1-3 x 10^ PFU (plaque forming units) /mL as measured by plaque assay on MT-2 cells (see below) . Each aliquot of virus stock used for infection was thawed only once.
For evaluation of antiviral efficacy, cells to be infected were subcultured one day prior to infection. On the day of infection, cells were resuspended at 5 x 10^ cells/mL in RPMI 1640, 5% FCS for bulk infections or at 2 x 106/mL in Dulbecco's modified Eagles medium with 5% FCS for infection in microtiter plates. Virus was added and culture continued for 3 days at 37°C.
HIV RNA assay;
Cell lysates or purified RNA in 3 M or 5 M GED were mixed with 5 M GED and capture probe to a final guanidinium isothiocyanate concentration of 3 M and a final biotin oligonucleotide concentration of 30 nM. Hybridization was carried out in sealed U bottom 96 well tissue culture plates (Nunc or Costar) for 16-20 hours at 37°C. RNA hybridization reactions were diluted three-fold with deionized water to a final guanidinium isothiocyanate concentration of 1 M and aliquots (150 μL) were transferred to streptavidin coated microtiter plates wells. Binding of capture probe and capture probe-RNA hybrid to the immobilized streptavidin was allowed to proceed for 2 hours at room temperature, after which the plates were washed 6 times with DuPont ELISA plate wash buffer (phosphate buffered saline (PBS), 0.05% Tween 20.) A second hybridization of reporter probe to the immobilized complex of capture probe and hybridized target RNA was carried out in the washed streptavidin coated well by addition of 120 μl of a hybridization cocktail containing 4 X SSC, 0.66% Triton X 100, 6.66% deionized formamide, 1 mg/mL BSA and 5 nM reporter probe. After hybridization for one hour at 37°C, the plate was again washed 6 times. Immobilized alkaline phosphatase activity was detected by addition of 100 μL of 0.2 mM 4-methylumbelliferyl phosphate
(MUBP, JBL Scientific) in buffer δ (2.5 M diethanolamine pH 8.9
(JBL Scientific) , 10 mM MgCl2, 5 mM zinc acetate dihydrate and 5 mM iV-hydroxyethyl-ethylene-diamine-triacetic acid) . The plates were incubated at 37°C. Fluorescence at 450 nM was measured using a microplate fluorometer (Dynateck) exciting at 365 nM.
Microplate based compound evaluation in HIV-1 infected MT-2 cells; Compounds to be evaluated were dissolved in DMSO and diluted in culture medium to twice the highest concentration to be tested and a maximum DMSO concentration of 2%. Further three-fold serial dilutions of the compound in culture medium were performed directly in U bottom microtiter plates (Nunc) . After compound dilution, MT-2 cells (50 μL) were added to a final concentration of 5 x 10^ per mL (1 x 10^ per well) . Cells were incubated with compounds for 30 minutes at 37°C in a CO2 incubator. For evaluation of antiviral potency, an appropriate dilution of HIV-1 (RF) virus stock (50 μL) was added to culture wells containing cells and dilutions of the test compounds. The final volume in each well was 200 μL. Eight wells per plate were left uninfected with 50 μL of medium added in place of virus, while eight wells were infected in the absence of any antiviral compound. For evaluation of compound toxicity, parallel plates were cultured without virus infection.
After 3 days of culture at 37°C in a humidified chamber inside a CO2 incubator, all but 25 μL of medium/well was removed from the HIV infected plates . Thirty seven μL of 5 M GED containing biotinylated capture probe was added to the settled cells and remaining medium in each well to a final concentration of 3 M GED and 30 nM capture probe. Hybridization of the capture probe to HIV RNA in the cell lysate was carried out in the same microplate well used for virus culture by sealing the plate with a plate sealer (Costar) , and incubating for 16-20 hrs in a 37°C incubator. Distilled water was then added to each well to dilute the hybridization reaction three-fold and 150 μL of this diluted mixture was transferred to a streptavidin coated microtiter plate. HIV RNA was quantitated as described above. A standard curve, prepared by adding known amounts of pDAB 72 in vi tro RNA transcript to wells containing lysed uninfected cells, was run on each microtiter plate in order to determine the amount of viral RNA made during the infection.
In order to standardize the virus inoculum used in the evaluation of compounds for antiviral activity, dilutions of virus were selected which resulted in an IC90 value (concentration of compound required to reduce the HIV RNA level by 90%) for dideoxycytidine (ddC) of 0.2 μg/mL. IC90 values of other antiviral compounds, both more and less potent than ddC, were reproducible using several stocks of HIV-1 (RF) when this procedure was followed. This concentration of virus corresponded to ~3 x 10^ PFU (measured by plaque assay on MT-2 cells) per assay well and typically produced approximately 75% of the maximum viral RNA level achievable at any virus inoculum. For the HIV RNA assay, IC90 values were determined from the percent reduction of net signal (signal from infected cell samples minus signal from uninfected cell samples) in the RNA assay relative to the net signal from infected, untreated cells on the same culture plate (average of eight wells) . Valid performance of individual infection and RNA assay tests was judged according to three criteria. It was required that the virus infection should result in an RNA assay signal equal to or greater than the signal generated from 2 ng of pDAB 72 in vi tro RNA transcript. The IC90ror ddC, determined in each assay run, should be between 0.1 and 0.3 μg/mL. Finally, the plateau level of viral RNA produced by an effective reverse transcriptase inhibitor should be less than 10% of the level achieved in an uninhibited infection. A compound was considered active if its IC90 was found to be less than 20μM. Compounds of the present invention have been found to have an IC90 less than 20μM.
For antiviral potency tests, all manipulations in microtiter plates, following the initial addition of 2X concentrated compound solution to a single row of wells, were performed using a Perkin El er/Cetus ProPette.
HIV-1 RT Assay Materials and Methods This assay measures HIV-1 RT RNA dependent DNA polymerase activity by the incorporation of 3H dTMP onto the template primer Poly (rA) oligo (dT) 12-18. The template primer containing the incorporated radioactivity was separated from unincorporated label by one of two methods :
Method 1. The template primer was precipitated with TCA, collected on glass fiber filters and counted for radioactivity with a scintillation counter.
Method 2. The currently used method is more rapid and convenient. The template primer is captured on an diethyl amino ethyl (DEAE) ion exchange membrane which is then counted for radioactivity after washing off the free nucleotide. Materials and Reagents :
The template primer Poly (rA) oligo (dT) 12-18 and dTTP were purchased from Pharmacia Biotech. The template primer and nucleotide were dissolved in diethyl pyrocarbonate water to a concentration of 1 mg/ml and 5.8 mM respectively. The substrates were aliquoted (template primer at 20 μl/aliquot, dTTP at 9 μl/aliquot) and frozen at -20 C.
The 3H dTTP (2.5 mCi/ml in 10 mM Tricine at pH 7.6; specific activity of 90-120 Ci/mmol) and the recombinant HIV- 1 Reverse Transcriptase (HxB2 background; 100 U/10 μl in 100 mM potassium phosphate at pH 7.1, 1 mM dithiothreitol and 50% glycerol) were purchased from DuPont NEN. 1 Unit of enzyme is defined by DuPont NEN as the amount required to incorporate 1 nmol of labelled dTTP into acid-insoluble material in 10 minutes at 37 C. The 3H dTTP was aliquoted at 23.2 μl/microfuge tube (58 μCi) and frozen at -20 C. The HIV-1 Reverse Transcriptase (RT) was diluted 10 fold with RT buffer (80 mM KC1, 50 mM Tris HCl, 12 mM MgCl2 , 1 mM DTT, 50 μM EGTA, 5 mg/ml BSA, 0.01% Triton-X 100, pH 8.2) and aliquoted at 10 μl/microfuge tube (10 Units/10 μl) . One aliquot (enough for 8 assays) was diluted further to 10 Units/100 μl and aliquoted into 8 tubes (1.25 Units/12.5 μl) . All aliquots were frozen at -70 C.
The Millipore Multiscreen DE 96 well filter plates, multiscreen plate adaptors, and microplate press-on adhesive sealing film were purchased from Millipore. The filter plate containing 0.65 μm pore size diethyl amino ethyl cellulose (DEAE) paper disks was pretreated with 0.3 M ammonium formate and 10 mM sodium pyrophosphate (2 times 200 μl /well) at pH 8.0 prior to use. A Skatron 96 well cell harvester and glass fiber filter mats were purchased from Skatron Instruments. Microscint 20 scintillation cocktail was purchased from Packard. Beckman Ready Flow III scintillation cocktail was purchased from Beckman.
HIV-1 RT Assav:
The enzyme and substrate mixture were freshly prepared from the above stock solutions. 1.25 Units of enzyme was diluted with RT buffer (containing 5 mg/ml BSA) to a concentration of 0.05 Units/10 μl or 0.7 nM. Final enzyme and BSA concentrations in the assay were 0.01 Units or 0.14 nM and 1 mg/ml respectively. The inhibitor and substrate mixture were diluted with RT buffer containing no BSA. All inhibitors were dissolved in dimethyl sulfoxide (DMSO) at a stock concentration of 3 mM and stored at -20 C after use. A Biomek robot was used to dilute the inhibitors in a 96 well plate. Inhibitors were initially diluted 96 fold from stock and then serially diluted two times (10 fold/dilution) from 31.25 μM to 3125 nM and 312.5 nM. Depending on the potency of the inhibitor, one of the three dilutions was further diluted. Typically the highest concentration (31.25 μM) was serially diluted three times at 5 fold/dilution to 6.25, 1.25, and 0.25 μM. Final inhibitor concentrations in the assay were 12.5, 2.5, 0.5, and 0.1 uM. For potent inhibitors of HIV-1 RT, the final inhibitor concentrations used were 0.1 or 0.01 that stated above. The substrate mixture contained 6.25 μg/ml of Poly (rA) oligo (dT) 12-18 and 12.5 μM of dTTP (58 μCi 3H dTTP) . The final substrate concentrations were 2.5 μg/ml and 5 μM respectively.
Using the Beckman Instruments Biomek robot, 10 μl of HIV-1 RT was combined with 20 μl of inhibitor in a 96 well U bottom plate. The enzyme and inhibitor were preincubated at ambient temperature for 6 minutes. 20 μl of the substrate mixture was added to each well to initiate the reaction (total volume was 50 μl) . The reactions were incubated at 37 C and terminated after 45 minutes.
For method 1, 200 μl of an ice-cold solution of 13% trichloroacetic acid (TCA) and 10 mM sodium pyrophosphate was added to each of the 96 wells. The 96 well plate was then placed in an ice-water bath for 30 minutes. Using A Skatron 96 well cell harvester, the acid precipitable material was collected on a glass fiber filter mat that had been presoaked in 13% TCA and 10 mM sodium pyrophosphate. The filter disks were washed 3 times (2.0 ml/wash) with 1 N HCl and 10 mM sodium pyrophosphate. The filter disks were punched out into scintillation vials, 2.0 ml of Beckman Ready Flow III scintillant was added, and the vials were counted for radioactivity for 1 minute.
For method 2, the assay was terminated with the addition of 175 μl/well of 50 mM EDTA at pH 8.0. Then 180 μl of the mixture was transferred to a pretreated Millipore DE 96 well filter plate. Vacuum was applied to the filter plate to aspirate away the liquid and immobilize the template primer on the DEAE filter disks. Each well was washed 3 times with 200 μl of 0.3 M ammonium formate and 10 mM sodium pyrophosphate at pH 8.0. 50 μl of microscint 20 scintillation cocktail was added to each well and the plate was counted for radioactivity on a Packard Topcount at 1 minute/well .
The IC50 values are calculated with the equation: IC50 = [Inh] / (1/fractional activity - 1) ,- where the fractional activity = RT activity (dpms) in the presence of inhibitor/RT activity (dpms) in the absence of inhibitor. For a given inhibitor, the IC50 values were calculated for the inhibitor concentrations that range between 0.1-0.8 fractional activity. The IC50 values in this range (generally 2 values) were averaged. A compound was considered active if its IC50 was found to be less than 60uM. Compounds of the present invention have been found to have an IC50 less than 60μM.
Protein Binding and Mutant Resistance In order to characterize NNRTI analogs for their clinical efficacy potential the effect of plasma proteins on antiviral potency and measurements of antiviral potency against wild type and mutant variants of HIV which carry amino acid changes in the known binding site for NNRTIs were examined. The rationale for this testing strategy is two fold:
1. Many drugs are extensively bound to plasma proteins. Although the binding affinity for most drugs for the major components of human plasma, namely, human serum albumin (HSA) or alpha-1-acid glycoprotein (AAG) , is low, these major components are present in high concentration in the blood. Only free or unbound drug is available to cross the infected cell membrane for interaction with the target site (i.e., HIV-1 reverse transcriptase, HIV-1 RT) . Therefore, the effect of added HSA+AAG on the antiviral potency in tissue culture more closely reflects the potency of a given compound in the clinical setting. The concentration of compound required for 90% inhibition of virus replication as measured in a sensitive viral RNA-based detection method is designated the IC90. The fold increase in apparent IC90 for test compounds in the presence or added levels of HSA and AAG that reflect in vivo concentrations (45 mg/ml HSA, 1 mg/ml AAG) was then calculated. The lower the fold increase, the more compound will be available to interact with the target site. 2. The combination of the high rate of virus replication in the infected individual and the poor fidelity of the viral RT results in the production of a quasi-species or mixtures of HIV species in the infected individual. These species will include a majority wild type species, but also mutant variants of HIV and the proportion of a given mutant ■ will reflect its relative fitness and replication rate.
Because mutant variants including mutants with changes in the amino acid sequence of the viral RT likely pre-exist in the infected individual's quasi-species, the overall potency observed in the clinical setting will reflect the ability of a drug to inhibit not only wild type HIV-1, but mutant variants as well. We thus have constructed, in a known genetic background, mutant variants of HIV-1 which carry amino acid substitutions at positions thought to be involved in NNRTI binding, and measured the ability of test compounds to inhibit replication of these mutant viruses. The concentration of compound required for 90% inhibition of virus replication as measured in a sensitive viral RNA-based detection method is designated the IC90. It is desirable to have a compound which has high activity against a variety of mutants. Dosage and Formulation
The antiviral compounds of this invention can be administered as treatment for viral infections by any means that produces contact of the active agent with the agent's site of action, i.e., the viral reverse transcriptase, in the body of a mammal. They can be administered by any conventional means available for use in conjunction with pharmaceuticals, either as individual therapeutic agents or in a combination of therapeutic agents . They can be administered alone, but preferably are administered with a pharmaceutical carrier selected on the basis of the chosen route of administration and standard pharmaceutical practice. The dosage administered will, of course, vary depending upon known factors, such as the pharmacodynamic characteristics of the particular agent and its mode and route of administration; the age, health and weight of the recipient; the nature and extent of the symptoms; the kind of concurrent treatment; the frequency of treatment; and the effect desired. A daily dosage of active ingredient can be expected to be about 0.001 to about 1000 milligrams per kilogram of body weight, with the preferred dose being about 0.1 to about 30 mg/kg.
Dosage forms of compositions suitable for administration contain from about 1 mg to about 100 mg of active ingredient per unit. In these pharmaceutical compositions the active ingredient will ordinarily be present in an amount of about 0.5-95% by weight based on the total weight of the composition. The active ingredient can be administered orally in solid dosage forms, such as capsules, tablets and powders, or in liquid dosage forms, such as elixirs, syrups and suspensions. It can also be administered parenterally, in sterile liquid dosage forms.
Gelatin capsules contain the active ingredient and powdered carriers, such as lactose, starch, cellulose derivatives, magnesium stearate, stearic acid, and the like. Similar diluents can be used to make compressed tablets. Both tablets and capsules can be manufactured as sustained release products to provide for continuous release of medication over a period of hours . Compressed tablets can be sugar coated or film coated to mask any unpleasant taste and protect the tablet from the atmosphere, or enteric coated for selective disintegration in the gastrointestinal tract. Liquid dosage forms for oral administration can contain coloring and flavoring to increase patient acceptance.
In general, water, a suitable oil, saline, aqueous dextrose (glucose) , and related sugar solutions and glycols such as propylene glycol or polyethylene glycols are suitable carriers for parenteral solutions . Solutions for parenteral administration preferably contain a water soluble salt of the active ingredient, suitable stabilizing agents, and if necessary, buffer substances. Antioxidizing agents such as sodium bisulfite, sodium sulfite, or ascorbic acid, either alone or combined, are suitable stabilizing agents. Also used are citric acid and its salts, and sodium EDTA. In addition, parenteral solutions can contain preservatives, such as benzalkonium chloride, methyl- or propyl-paraben and chlorobutanol . Suitable pharmaceutical carriers are described in Remington 's Pharmaceutical Sciences, supra, a standard reference text in this field.
Useful pharmaceutical dosage-forms for administration of the compounds of this invention can be illustrated as follows :
Capsules
A large number of unit capsules can be prepared by filling standard two-piece hard gelatin capsules each with 100 mg of powdered active ingredient, 150 mg of lactose, 50 mg of cellulose, and 6 mg magnesium stearic.
Soft Gelatin Capsules
A mixture of active ingredient in a digestible oil such as soybean oil, cottonseed oil or olive oil can be prepared and injected by means of a positive displacement pump into gelatin to form soft gelatin capsules containing 100 mg of the active ingredient . The capsules should then be washed and dried. Tablets
A large number of tablets can be prepared by conventional procedures so that the dosage unit is 100 mg of active ingredient, 0.2 mg of colloidal silicon dioxide, 5 milligrams of magnesium stearate, 275 mg of microcrystalline cellulose, 11 mg of starch and 98.8 mg of lactose. Appropriate coatings may be applied to increase palatability or delay absorption.
Suspension
An aqueous suspension can be prepared for oral administration so that each 5 mL contain 25 mg of finely divided active ingredient, 200 mg of sodium carboxymethyl cellulose, 5 mg of sodium benzoate, 1.0 g of sorbitol solution, U.S. P., and 0.025 mg of vanillin.
Injectable
A parenteral composition suitable for administration by injection can be prepared by stirring 1.5% by weight of active ingredient in 10% by volume propylene glycol and water. The solution is sterilized by commonly used techniques .
Combination of components (a) and (b)
Each therapeutic agent component of this invention can independently be in any dosage form, such as those described above, and can also be administered in various ways, as described above. In the following description component (b) is to be understood to represent one or more agents as described previously. Thus, if components (a) and (b) are to be treated the same or independently, each agent of component (b) may also be treated the same or independently.
Components (a) and (b) of the present invention may be formulated together, in a single dosage unit (that is, combined together in one capsule, tablet, powder, or liquid, etc.) as a combination product. When component (a) and (b) are not formulated together in a single dosage unit, the component (a) may be administered at the same time as component (b) or in any order; for example component (a) of this invention may be administered first, followed by administration of component (b) , or they may be administered in the revserse order. If component (b) contains more that one agent, e.g., one RT inhibitor and one protease inhibitor, these agents may be administered together or in any order. When not administered at the same time, preferably the administration of component (a) and (b) occurs less than about one hour apart . Preferably, the route of administration of component (a) and (b) is oral. The terms oral agent, oral inhibitor, oral compound, or the like, as used herein, denote compounds which may be orally administered. Although it is preferable that component (a) and component (b) both be administered by the same route (that is, for example, both orally) or dosage form, if desired, they may each be administered by different routes (that is, for example, one component of the combination product may be administered orally, and another component may be administered intravenously) or dosage forms.
As is appreciated by a medical practitioner skilled in the art, the dosage of the combination therapy of the invention may vary depending upon various factors such as the pharmacodynamic characteristics of the particular agent and its mode and route of administration, the age, health and weight of the recipient, the nature and extent of the symptoms, the kind of concurrent treatment, the frequency of treatment, and the effect desired, as described above. The proper dosage of components (a) and (b) of the present invention will be readily ascertainable by a medical practitioner skilled in the art, based upon the present disclosure. By way of general guidance, typically a daily dosage may be about 100 milligrams to about 1.5 grams of each component. If component (b) represents more than one compound, then typically a daily dosage may be about 100 milligrams to about 1.5 grams of each agent of component (b) . By way of general guidance, when the compounds of component (a) and component (b) are administered in combination, the dosage amount of each component may be reduced by about 70- 80% relative to the usual dosage of the component when it is administered alone as a single agent for the treatment of HIV infection, in view of the synergistic effect of the combination.
The combination products of this invention may be formulated such that, although the active ingredients are combined in a single dosage unit, the physical contact between the active ingredients is minimized. In order to minimize contact, for example, where the product is orally administered, one active ingredient may be enteric coated. By enteric coating one of the active ingredients, it is possible not only to minimize the contact between the combined active ingredients, but also, it is possible to control the release of one of these components in the gastrointestinal tract such that one of these components is not released in the stomach but rather is released in the intestines. Another embodiment of this invention where oral administration is desired provides for a combination product wherein one of the active ingredients is coated with a sustained-release material which effects a sustained-release throughout the gastrointestinal tract and also serves to minimize physical contact between the combined active ingredients. Furthermore, the sustained-released component can be additionally enteric coated such that the release of this component occurs only in the intestine. Still another approach would involve the formulation of a combination product in which the one component is coated with a sustained and/or enteric release polymer, and the other component is also coated with a polymer such as a lowviscosity grade of hydroxypropyl methylcellulose or other appropriate materials as known in the art, in order to further separate the active components. The polymer coating serves to form an additional barrier to interaction with the other component. In each formulation wherein contact is prevented between components
(a) and (b) via a coating or some other material, contact may also be prevented between the individual agents of component (b). Dosage forms of the combination products of the present invention wherein one active ingredient is enteric coated can be in the form of tablets such that the enteric coated component and the other active ingredient are blended together and then compressed into a tablet or such that the enteric coated component is compressed into one tablet layer and the other active ingredient is compressed into an additional layer. Optionally, in order to further separate the two layers, one or more placebo layers may be present such that the placebo layer is between the layers of active ingredients. In addition, dosage forms of the present invention can be in the form of capsules wherein one active ingredient is compressed into a tablet or in the form of a plurality of microtablets, particles, granules or non-perils, which are then enteric coated. These enteric coated microtablets, particles, granules or non-perils are then placed into a capsule or compressed into a capsule along with a granulation of the other active ingredient.
These as well as other ways of minimizing contact between the components of combination products of the present invention, whether administered in a single dosage form or administered in separate forms but at the same time or concurrently by the same manner, will be readily apparent to those skilled in the art, based on the present disclosure. Pharmaceutical kits useful for the treatment of HIV infection, which comprise a therapeutically effective amount of a pharmaceutical composition comprising a compound of component (a) and one or more compounds of component (b) , in one or more sterile containers, are also within the ambit of the present invention. Sterilization of the container may be carried out using conventional sterilization methodology well known to those skilled in the art. Component (a) and component (b) may be in the same sterile container or in separate sterile containers. The sterile containers of materials may comprise separate containers, or one or more multi-part containers, as desired. Component (a) and component (b) , may be separate, or physically combined into a single dosage form or unit as described above. Such kits may further include, if desired, one or more of various conventional pharmaceutical kit components, such as for example, one or more pharmaceutically acceptable carriers, additional vials for mixing the components, etc., as will be readily apparent to those skilled in the art. Instructions, either as inserts or as labels, indicating quantities of the components to be administered, guidelines for administration, and/or guidelines for mixing the components, may also be included in the kit. Obviously, numerous modifications and variations of the present invention are possible in light of the above teachings. It is therefore to be understood that within the scope of the appended claims, the invention may be practiced otherwise than as specifically described herein.

Claims

WHAT IS CLAIMED AS NEW AND DESIRED TO BE SECURED BY LETTER PATENT OF UNITED STATES IS;
1. A compound of Formula (I) :
Figure imgf000136_0001
(I) or a stereoisomer or pharmaceutically acceptable salt form thereof, wherein:
A is O or S;
W is N or CR3;
X is N or CR4;
Y is N or CR5;
Z is N or CR6;
Cf is cyclopropyl or Cι_3 alkyl substituted with 3-7 halogen;
provided that the number of W, X, Y, and Z which are N, is zero, one or two;
Rl is selected from:
-C02R12, -COR12, -S02R12, -SOR12, -CONHRl2,
-(CHR7)pCHR7R8,
-(CHR7)pCH=CR7R8, -(CHR7)pC≡C-R8,
-Cι_6 alkyl substituted with 0-3 R11,
-(CH2)pphenyl substituted with 0-3 Ri0, and
-(CH2)P(C3_5 cycloalkyl);
R2 is selected from: -CH=CR7R8, -C≡C-R8,
-CH=CHCHR7R8 ,
-(CHR7)pCHR7R8,
-(CHR7)pCH=CR7R8,
-(CHR7)pC=C-R8,
-Cι-4 alkyl substituted with 0-3 R11,
- (CH2)pphenyl substituted with 0-3 R10, and
-(CH2)P(C3_5 cycloalkyl);
R3 is selected from:
H, F, Cl, Br, I, -OH, 0CF , -CN, N02, CHO, C(=0)CH3, C(=0)CF , C(=0)NH2, C(=0)NHCH3, NR7R7a, NR7C(=0)OR7b, C(=0)0R7, SR7 , S(=0)R7, S02R7, S02NHR7 , NR7S02R7b,
C1-3 alkyl substituted with 0-3 R11, C2-3 alkenyl, C2-3 alkynyl, C1-.3 alkoxy, phenyl substituted with 0-2 R10, and
5-6 membered aromatic heterocycle system containing from 1-4 heteroatoms selected from the group consisting of N, O, and S and substituted with 0-2 R10;
R4 is selected from:
H, F, Cl, Br, I, -OH, OCF3, -CN, N02, CHO, C(=0)CH3, C(=0)CF3, C(=0)NH2, C(=0)NHCH3, NR7R7 , NR7C(=0)OR7b, C(=0)0R7, SR7 , S(=0)R7, S02R7, S02NHR7 , NR7S02R7b, C1-3 alkyl substituted with 0-3 R11, C2-3 alkenyl, C2-3 alkynyl, Cι_3 alkoxy, phenyl substituted with 0-2 R10, and 5-6 membered aromatic heterocycle system containing from 1-4 heteroatoms selected from the group consisting of N, 0, and S and substituted with 0-2 R10; alternatively, R3 and R4, when substituents on adjacent carbon atoms, are taken together with the carbon atoms to which they are attached to form a 5-7 membered carbocyclic ring, said carbocyclic ring being aromatic or nonaromatic, said carbocyclic ring being substituted with 0-2 Rl°;
alternatively, R3 and R4, when substituents on adjacent carbon atoms, are taken together with the carbon atoms to which they are attached to form a 5-7 membered heterocyclic ring containing 1, 2 or 3 heteroatoms atoms selected from the group consisting of N, O, and S, said heterocyclic ring being aromatic or nonaromatic, said heterocyclic ring being substituted with 0-2 R10;
R5 is selected from H, F, Cl, Br, I, -OH, methyl, ethyl, propyl, butyl, methoxy, ethoxy, propoxy, and butoxy;
alternatively, R4 and R5, when substituents on adjacent carbon atoms, are taken together with the carbon atoms to which they are attached to form a 5-7 membered carbocyclic ring, said carbocyclic ring being aromatic or nonaromatic, said carbocyclic ring being substituted with 0-2 Rl°;
alternatively, R4 and R5, when substituents on adjacent carbon atoms, are taken together with the carbon atoms to which they are attached to form a 5-7 membered heterocyclic ring containing 1, 2 or 3 heteroatoms atoms selected from the group consisting of N, 0, and S, said heterocyclic ring being aromatic or nonaromatic, said heterocyclic ring being substituted with 0-2 R10,-
R6 is selected from: H, OH, F, Cl, Br, I, OCF3, -CN, N02, CHO, C(=0)CH3, C(=0)CF3, C(=0)NH2, C(=0)NHCH3, NR7R7a, NR7C(=0)OR7b, C(=0)OR7, SR7 , S(=0)R7, S02R7, S02NHR7 , NR7S02R7b, C1-3 alkyl substituted with 0-3 R11,
C2-3 alkenyl,
C2-3 alkynyl,
C1-3 alkoxy, phenyl substituted with 0-2 R10, and
5-6 membered aromatic heterocycle system containing from 1-4 heteroatoms selected from the group consisting of N, 0, and S and substituted with 0-2 Ri0;
R7, at each occurrence, is selected from H, methyl, ethyl, propyl, and butyl;
R7a, at each occurrence, is selected from H, methyl, ethyl, propyl , and butyl ; ;
R7b, at each occurrence, is methyl, ethyl, propyl, or butyl;
R8, at each occurrence, is selected from: H, F, Cl, Br, I, CH (-OCH2CH20-) , Cι_4 haloalkyl,
Ci-6 alkyl substituted with 0-3 R11, C2-6 alkenyl,
C3-7 cycloalkyl substituted with 0-2 R9, phenyl substituted with 0-2 R10, and 5-6 membered aromatic heterocycle system containing from 1-4 heteroatoms selected from the group consisting of N, O, and S and substituted with 0-2 Rl°;
R9, at each occurrence, is selected from D, OH, methyl, ethyl, propyl, butyl, methoxy, ethoxy, propoxy, butoxy, and F;
Rl°, at each occurrence, is selected from OH, methyl, ethyl, propyl, butyl, methoxy, ethoxy, propoxy, butoxy, F, Cl, Br, I, CN, NR7R7a, and C(=0)CH3;
RU, at each occurrence, is selected from OR7, CN, F, Cl, Br, I, N0 , NR7R7a, CHO, C(=0)CH , C(=0)NH2; Ri2, at each occurrence, is selected from Ci-6 alkyl, C2-4 alkenyl, C2-4 alkynyl, C3_7 cycloalkyl, phenyl substituted with 0-2 R10, and
5-6 membered aromatic heterocycle system containing from 1-3 heteroatoms selected from the group consisting of N, 0, and S and substituted with 0-2 Ri0, -(CH2)pphenyl substituted with 0-2 R10, and - (CH2)P(C3_5 cycloalkyl); and
p, at each occurrence, is selected from 0, 1, 2, and 3;
provided, if, simultaneously, each of W, X, Y, and Z are carbon, then R is not unsubstituted C1-4 alkyl.
2. A compound according to Claim 1 of Formula (II):
Figure imgf000140_0001
( ID wherein:
A is 0 or S;
Cf is -CF3, -CF2CF3, or -CF2CF2CF3;
Rl is selected from:
-C02R12, -COR22, -S02R12, -S0R12, -CONHR12 , -(CHR7)pCHR7R8,
-(CHR7)pCH=CR7R8,
-(CHR7)pC≡C-R8,
-Cι_6 alkyl substituted with 0-3 R11,
- (CH2)pphenyl substituted with 0-3 R10, and -(CH2)p(C3-5 cycloalkyl);
R2 is selected from: -CH=CR7R8 , -C≡C-R8,
-CH=CHCHR7R8 , -(CHR7)pCHR7R8, -(CHR7)pCH=CR7R8, -(CHR7)pC≡C-R8, -(CH2)pphenyl substituted with 0-3 R10, and -(CH2)p(C3-5 cycloalkyl) ,-
R3 is selected from:
H, F, Cl, Br, I, -OH, OCF , -CN, N02 , CHO, C(=0)CH3, C(=0)CF3, C(=0)NH2, C(=0)NHCH3, NR7R7a,
NR7C(=0)OR7b, C(=0)OR7, SR7 , S(=0)R7, S02R7, S02NHR7 , NR7S02R7b, Cι_3 alkyl substituted with 0-3 R11, C2-3 alkenyl, C2-3 alkynyl, C1-.3 alkoxy, phenyl substituted with 0-2 R10, and
5-6 membered aromatic heterocycle system containing from 1-4 heteroatoms selected from the group consisting of N, 0, and S and substituted with 0-2 R10;
R4 is selected from:
H, F, Cl, Br, I, -OH, OCF , -CN, N02 , CHO, C(=0)CH3, C(=0)CF3, C(=0)NH2, C(=0)NHCH3, NR7R7a, NR7C(=0)OR7b, C(=0)OR7, SR7 , S(=0)R7, S02R7, S02NHR7,
NR7S02R7b, Cι_3 alkyl substituted with 0-3 R11, C2-3 alkenyl, C2-3 alkynyl, C1-3 alkoxy, phenyl substituted with 0-2 R10, and 5-6 membered aromatic heterocycle system containing from 1-4 heteroatoms selected from the group consisting of N, 0, and S and substituted with 0-2 R10;
alternatively, R3 and R4, when substituents on adjacent carbon atoms, are taken together with the carbon atoms to which they are attached to form -0-CH2-0-, -0-CH2-CH2-0-, or -CH=CH-CH=CH- ;
R5 is selected from H, F, Cl, Br, I, -OH, methyl, ethyl, propyl, butyl, methoxy, ethoxy, propoxy, and butoxy;
alternatively, R4 and R5, when substituents on adjacent carbon atoms, are taken together with the carbon atoms to which they are attached to form -0-CH2-0-, -0-CH -CH -0-, or -CH=CH-CH=CH- ;
R6 is selected from:
H, OH, F, Cl, Br, I, 0CF3, -CN, N02, CHO, C(=0)CH3, C(=0)CF3, C(=0)NH2, C(=0)NHCH3, NR7R7a,
NR7C(=0)0R7b, C(=0)OR7, SR7 , S(=0)R7, S02R7, S02NHR7 , NR7Sθ2R7b, Cχ_3 alkyl substituted with 0-3 R11, C2-3 alkenyl, C2-3 alkynyl, C1-3 alkoxy, phenyl substituted with 0-2 R10, and
5-6 membered aromatic heterocycle system containing from 1-4 heteroatoms selected from the group consisting of N, 0, and S and substituted with 0-2 R10;
R7, at each occurrence, is selected from H, methyl, ethyl, propyl, and butyl;
R7 , at each occurrence, is selected from H, methyl, ethyl, propyl , and butyl; ;
R7b, at each occurrence, is methyl, ethyl, propyl, or butyl; R8, at each occurrence, is selected from: H, F, Cl, Br, I, CH(-OCH2CH20-) , Ci-4 haloalkyl, Ci-6 alkyl substituted with 0-3 R11, C2-6 alkenyl,
C3-7 cycloalkyl substituted with 0-2 R9, phenyl substituted with 0-2 R10, and
5-6 membered aromatic heterocycle system containing from 1-4 heteroatoms selected from the group consisting of N, 0, and S and substituted with 0-2 Ri0;
R9, at each occurrence, is selected from D, OH, methyl, ethyl, propyl, butyl, methoxy, ethoxy, propoxy, butoxy, and F;
R10, at each occurrence, is selected from OH, methyl, ethyl, propyl, butyl, methoxy, ethoxy, propoxy, butoxy, F, Cl, Br, I, CN, NR7R7a, and C(=0)CH3;
RU, at each occurrence, is selected from OR7, CN, F, Cl, Br, I, N02, NR7R7a, CHO, C(=0)CH3, C(=0)NH2;
R2 , at each occurrence, is selected from
Cι_6 alkyl, C2-4 alkenyl,
C2-4 alkynyl,
C3-7 cycloalkyl, phenyl substituted with 0-2 R10, and
5-6 membered aromatic heterocycle system containing from 1-3 heteroatoms selected from the group consisting of N, 0, and S and substituted with 0-2 Ri0,
-(CH2)pphenyl substituted with 0-2 R10, and
-(CH2)p(C3-5 cycloalkyl); and
p, at each occurrence, is selected from 0, 1, 2, and 3.
3. A compound according to Claim 2, wherein: A is O or S ;
Cf is -CF3, -CF2CF3, or -CF2CF2CF3;
Rl is selected from:
-C02Rl2, -COR12, -S02Rl2, -SOR12, -CONHR12, -(CHR7)pCHR7R8, -(CHR7)pCH=CR7R8, -(CHR7)pC≡C-R8, -Cι_5 alkyl substituted with 0-3 R11,
-(CH2)pphenyl substituted with 0-3 Rl°, and -(CH2)p(C3-5 cycloalkyl);
R2 is selected from: -CH=CR7R8, -C≡C-R8,
-CH=CHCHR7R8, -(CHR7)pCHR7R8, -(CHR7)pCH=CR7R8, -(CHR7)pC≡C-R8,
- (CH2)pphenyl substituted with 0-3 Rl°, and -(CH2)p(C3-5 cycloalkyl);
R3 is selected from: H, F, Cl, Br, I, -OH, -OCF3 , -CN, -N02 , -CHO, -C(=0)CH3, -C(=0)CF3, -C(=0)NH2, -C(=0)NHCH3, -NH2 , -NHCH3 , -N(CH3)2, -NHC(=0)OCH3, -C(=0)OCH3, -SCH3, -S(=0)CH3, -SO2CH3, -SO2NHCH3, -NHSO2CH3, C1-3 alkyl substituted with 0-3 R11, C2-3 alkenyl, C2-3 alkynyl, Cι_3 alkoxy,
R4 is selected from: H, F, Cl, Br, I, -OH, OH, -OCF3, -CN, -N02, -CHO,
-C(=0)CH3, -C(=0)CF3, -C(=0)NH2, -C(=0)NHCH3, -NH2 , -NHCH3, -NHCH2CH3, -N(CH3)2, -N(CH2CH3)2, -NHC(=0)OCH3, -NHC(=0)OCH2CH3, -C(=0)OCH3, -C(=0)OCHCH3, -SCH3, -SCH2CH3, -S(=0)CH3, -S(=0)CH2CH3, -S02H, -SO2CH3, -S02CH2CH3, -SO2NHCH3, -SO2NHCH2CH3 , -NHSO2CH3 , -NHSO2CH2CH3 ,
C1-3 alkyl substituted with 0-3 R11, C2-3 alkenyl,
C2-3 alkynyl,
C1-3 alkoxy,
alternatively, R3 and R4, when substituents on adjacent carbon atoms, are taken together with the carbon atoms to which they are attached to form -O-CH2-O-, -O-CH2-CH2-O-, or -CH=CH-CH=CH- ;
R5 is selected from H, F, Cl, Br, I, -OH, methyl, ethyl, propyl, butyl, methoxy, ethoxy, propoxy, and butoxy;
alternatively, R4 and R5, when substituents on adjacent carbon atoms, are taken together with the carbon atoms to which they are attached to form -O-CH2-O-, -O-CH2-CH2-O-, or -CH=CH-CH=CH- ;
R6 is selected from:
H, F, Cl, Br, I, -OH, -OCF3 , -CN, -N02 , -CHO, -C(=0)CH3, -C(=0)CF3, -C(=0)NH2, -C(=0)NHCH3, -NH2 , -NHCH3 , -N(CH3)2, -NHC(=0)0CH3, -C(=0)OCH3, -SCH3 ,
-S(=0)CH3, -SO2CH3, -SO2NHCH3, -NHSO2CH3, C1-3 alkyl substituted with 0-3 R11, C2-3 alkenyl, C2-3 alkynyl, C1-3 alkoxy,
R7, at each occurrence, is selected from H, methyl, ethyl, propyl, and butyl;
R7a, at each occurrence, is selected from H, methyl, ethyl, propyl , and butyl ; ;
R8, at each occurrence, is selected from: H, F, Cl, Br, I, CH ( -OCH2CH20- ) ,
Ci-4 haloalkyl,
Ci-6 alkyl substituted with 0-3 R11,
C2-6 alkenyl,
C3_7 cycloalkyl substituted with 0-2 R9, phenyl substituted with 0-2 R10, and
5-6 membered aromatic heterocycle system containing from 1-3 heteroatoms selected from the group consisting of N, 0, and S and substituted with 0-2 R10;
R9, at each occurrence, is selected from D, OH, methyl, ethyl, propyl, butyl, methoxy, ethoxy, propoxy, butoxy, and F;
R10, at each occurrence, is selected from OH, methyl, ethyl, propyl, butyl, methoxy, ethoxy, propoxy, butoxy, F, Cl, Br, I, CN, NR7R7a, and C(=0)CH3;
RH, at each occurrence, is selected from OR7, CN, F, Cl, Br, I, N02, NR7R7a, CHO, C(=0)CH3, C(=0)NH2;
Ri2, at each occurrence, is selected from Cι_6 alkyl, C2-4 alkenyl, C2-4 alkynyl, C3-.7 cycloalkyl, phenyl substituted with 0-2 R10, and
5-6 membered aromatic heterocycle system containing from 1-3 heteroatoms selected from the group consisting of N, 0, and S and substituted with 0-2 R10, -(CH )pphenyl substituted with 0-2 R10, and -(CH2)P(C3_5 cycloalkyl); and
p, at each occurrence, is selected from 0, 1, 2, and 3.
4. A compound according to Claim 3, wherein:
A is 0; Cf is -CF3 or -CF CF3 ;
Rl is selected from:
-C02R12, -COR12, -S02R12, -(CHR7)pCHR7R8,
-(CHR7)pCH=CR7R8, -(CHR7)pC≡C-R8,
-Cι_5 alkyl substituted with 0-3 R11, - (CH2)pphenyl substituted with 0-3 R10, and -(CH2)P(C3_5 cycloalkyl) ;
R is selected from: -CH=CR7R8, -C≡C-R8, -CH=CHCHR7R8 ,
-(CHR7)pCHR7R8,
-(CHR7)pCH=CR7R8,
-(CHR7)pC≡C-R8,
-(CH2)pphenyl substituted with 0-3 R10, and -(CH )p(C3_5 cycloalkyl);
R3 is selected from:
H, F, Cl, Br, I, -OH, -OCF3 , -CN, -N02 , -CHO, -C(=0)CH3, -C(=0)CF3, -NH2, -NHCH3, -N(CH3)2, -CF3 , -CH3 , -CH2CH3, -OCH3, and -0CH2CH3,
R4 is selected from:
H, F, Cl, Br, I, -OH, OH, -OCF3, -CN, -N02 , -CHO,
-C(=0)CH3, -C(=0)CF3, -C(=0)NH2, -C(=0)NHCH3, -NH2, -NHCH3, -N(CH3)2, -NHC(=0)OCH , -C(=0)OCH3, -CF3,
-CH3, -CH2CH3, -OCH3, and -OCH2CH3;
R5 is selected from H, F, Cl, Br, I, -OH, -CH3, -CH2CH3, -OCH3, and -OCH2CH3;
R6 is selected from: H, F, Cl, Br, I, -OH, -OCF3, -CN, -N02 , -CHO, -C(=0)CH3, -C(=0)CF3, -NH , -NHCH3, -N(CH3)2, -CF3 , -CH3 , -CH2CH3, -OCH3, and -OCH2CH3;
R7, at each occurrence, is selected from H, methyl, ethyl, propyl, and butyl;
R8, at each occurrence, is selected from: H, F, Cl, Br, I, CH ( -OCH2CH20- ) , C1-4 haloalkyl,
C1-4 alkyl substituted with 0-3 R11, C2-4 alkenyl,
C3-6 cycloalkyl substituted with 0-2 R9, phenyl substituted with 0-2 R10, and 5-6 membered aromatic heterocycle system containing from 1-3 heteroatoms selected from the group consisting of pyridinyl, furanyl, thienyl, pyrrolyl, pyrazolyl, imidazolyl, and oxazolidinyl;
R9, at each occurrence, is selected from D, OH, methyl, ethyl, propyl, butyl, methoxy, ethoxy, propoxy, butoxy, and F;
Rl°, at each occurrence, is selected from OH, methyl, ethyl, propyl, butyl, methoxy, ethoxy, propoxy, butoxy, F, Cl, Br, I, CN, -NH2 , -NHCH3 , -NHCH2CH3, -N(CH3)2, -N(CH2CH3)2, and C(=0)CH3;
RU, at each occurrence, is selected from OR7, CN, F, Cl, Br, I, N02, -NH2, -NHCH3, -NHCH2CH3, -N(CH3)2, -N(CH2CH3)2, CHO, C(=0)CH3/ C(=0)NH2;
Rl2 , at each occurrence, is selected from Cι_6 alkyl, C2-4 alkenyl, C2-4 alkynyl,
C3-6 cycloalkyl, phenyl substituted with 0-2 R10, and 5-6 membered aromatic heterocycle system containing from 1-3 heteroatoms selected from the group consisting pyridinyl, furanyl, thienyl, pyrrolyl, pyrazolyl, imidazolyl, and oxazolidinyl,
- (CH2)pphenyl substituted with 0-2 R10, and
-(CH )p(C3-5 cycloalkyl); and
p, at each occurrence, is selected from 0, 1, and 2.
5. A compound according to Claim 4 of Formula (III)
Figure imgf000149_0001
(III)
wherein:
Rl is selected from:
-CF3, -CF2H, -CH3, -CH2CH3, -CH2CH2CH3, -CH2CH2CH2CH3 , -CH(CH3)2, -CH2CH(CH3)2, -CH2CH2C (CH3 )3 , -CH2CH2CH(CH3)CH3,
-CH(=CH2)CH3, -CH2CH=CH2, -CH2-CH=C (CH3)2, -CH2-C≡CH, -CH2-C≡CCH3, -CH2Ph, -cycPr, -CH2cycPr, -CH2CH2cycPr,
-CO2CH3, -C02CH2CH3, -CO2CH2CH2CH3, -CO2CH2CH2CH2CH3, -C02CH(CH3)2, -C02CH2CH(CH3)2, -C02CH2Ph, -C02cycPr, -C02CH2cycPr, -C02CH2CH=CH2 , -S02CH2CH3/ -S02CH(CH3)2, -COCH3, -COCH2CH3, -C0CH2CH2CH3 , -COCH(CH3)2, and -COCH2cycPr;
R2 is selected from: benzyl, phenethyl, -CH2CH2cycPr,
-C≡C-CH3, -C≡C-CF3, -C≡C-Et, -C≡C-iPr, -C≡C-cycPr, -C≡C-1- (CH3)cycPr, -C≡C-CH=CH2, -C≡C-C (=CH2) CH3 , -CH=CH-CH3, -CH=CH-CF3, -CH=CH-Et, -CH=CH-iPr, -CH=CH-cycPr, -CH=CH-CH=CH2 , -CH2-C=C-CH3, -CH2-C≡C-CF3, -CH2-C≡C-Et, -CH -C≡C-iPr , -CH2 -C≡C-cycPr, -CH2-C≡C-CH=CH2, -CH2-CH=CH2,
-CH -CH=CH-CH3 , -CH -CH=CH-CF3 , -CH2 -CH=CH-Et , -CH2-CH=CH-iPr, -CH2-CH=CH-cycPr , -CH2-CH=CH-CH=CH2, -CH2-CH=C(CH3)2, and -CH=CH-CH2-cycPr;
R3 is selected from:
H, F, Cl, Br, I, -OH, -OCF3 , -CN, -N0 , -C(=0)CH3, -C(=0)CF3, -NH2, -NHCH3, -N(CH3)2, -CF3 , -CH3 , -CH2CH3, -OCH3, and -OCH2CH3,
R4 is selected from:
H, F, Cl, Br, I, -OH, OH, -OCF3 , -CN, -N02 , -C(=0)CH3, -C(=0)CF3, -C(=0)NH2, -C(=0)NHCH , -NH2, -NHCH3 , -N(CH3)2, -NHC(=0)OCH3, -C(=0)OCH3, -CF3 , -CH3 , -CH2CH3, -OCH3, and -OCH2CH3;
R5 is selected from H, F, and Cl; and
R6 is selected from:
H, F, Cl -OH, -OCF3, -CF3, -CH3, and -OCH3.
6. A compound according to Claim 2, wherein the compound is selected from:
4- (cyclopropylmethyl) -3- (2-cyclopropylethynyl) -3- (trifluoromethyl) -3, 4-dihydro-quinoxalin-2 (IH) -one;
4- (methyl) -3- (2-cyclopropylethynyl) -3- (trifluoromethyl) -3, 4- dihydro-quinoxalin-2 (IH) -one;
3- (n-butyl) -3- (trifluoromethyl) -3 , 4-dihydro-quinoxalin-2 (IH) - one; 4- (methyl) -3- (n-butyl) -3- (trifluoromethyl) -3 , 4-dihydro- quinoxalin-2 (IH) -one;
3- (2-cyclopropylethynyl) -3- (trifluoromethyl) -3 , 4-dihydro- quinoxalin-2 (IH) -one;
3- (allyl) -3- (trifluoromethyl) -3 , 4-dihydro-quinoxalin-2 (IH) - one;
4- (allyl) -3- (2-cyclopropylethynyl) -3- (trifluoromethyl) -3 , 4- dihydro-quinoxalin-2 (IH) -one;
4- (benzyl) -3- (2-cyclopropylethynyl) -3- (trifluoromethyl) -3 , 4- dihydro-quinoxalin-2 (IH) -one;
4- (cyclopropylmethyl) -3- (allyl) -3- (trifluoromethyl) -3,4- dihydro-quinoxalin-2 (IH) -one;
4- (propargyl) -3- (2-cyclopropylethynyl) -3- (trifluoromethyl) - 3 , 4-dihydro-quinoxalin-2 (IH) -one;
4- (cyclopropylethyl) -3- (2-cyclopropylethynyl) -3- (trifluoromethyl) -3, 4-dihydro-quinoxalin-2 (IH) -one;
4- (isopropyl) -3- (2-cyclopropylethynyl) -3- (trifluoromethyl) - 3 , 4-dihydro-quinoxalin-2 (IH) -one;
6- (fluoro) -4- (allyl) -3- (n-butyl) -3- (trifluoromethyl) -3 , 4- dihydro-quinoxalin-2 (IH) -one;
6- (fluoro) -4- (allyl) -3- (2-cyclopropylethynyl) -3- (trifluoromethyl) -3, 4-dihydro-quinoxalin-2 (IH) -one;
6- (fluoro) -4- (cyclopropylmethyl) -3- (2-cyclopropylethynyl) -3- (trifluoromethyl) -3 , 4-dihydro-quinoxalin-2 (IH) -one;
6- (fluoro) -4- (cyclopropylmethyl) -3- (n-butyl) -3-
(trifluoromethyl) -3, 4-dihydro-quinoxalin-2 (IH) -one; 6- (chloro) -4- (cyclopropylmethyl) -3- (2-cyclopropylethynyl) -3- ( trifluoromethyl) -3 , 4-dihydro-quinoxalin-2 (IH) -one;
6- (chloro) -4- (isobutyl) -3- (2-cyclopropylethynyl) -3- (trifluoromethyl) -3 , 4-dihydro-quinoxalin-2 (IH) -one;
6- (chloro) -4- (allyl) -3- (2-cyclopropylethynyl) -3- ( trifluoromethyl) -3 , 4-dihydro-quinoxalin-2 (IH) -one;
6- (chloro) -4- (cyclopropylmethyl) -3- (phenethyl) -3- (trifluoromethyl) -3 , 4-dihydro-quinoxalin-2 (IH) -one;
6- (chloro) -4- (allyl) -3- (phenethyl) -3- (trifluoromethyl) -3,4- dihydro-quinoxalin-2 (IH) -one,-
6- (methoxy) -4- (cyclopropylmethyl) -3- (2-cyclopropylethynyl) -3- (trifluoromethyl) -3, 4-dihydro-quinoxalin-2 (IH) -one;
6- (methoxy) -4- (allyl) -3- (2-cyclopropylethynyl) -3-
(trifluoromethyl) -3 , 4-dihydro-quinoxalin-2 (IH) -one;
4- (cyclopropylmethyl) -3- (1-propynyl) -3- (trifluoromethyl) -3 , 4- dihydro-quinoxalin-2 (IH) -one;
4- (allyl) -3- (1-propynyl) -3- (trifluoromethyl) -3 , 4-dihydro- quinoxalin-2 (IH) -one;
4- (ethoxycarbonyl) -3- (2-cyclopropylethynyl) -3- (trifluoromethyl) -3, 4-dihydro-quinoxalin-2 (IH) -one;
4- (ethoxycarbonyl) -3- (2-cyclopropylethynyl) -3-
(trifluoromethyl) -3 , 4-dihydro-quinoxalin-2 (IH) -one;
4- (isopropoxycarbonyl) -3- (2-cyclopropylethynyl) -3- (trifluoromethyl) -3 , 4-dihydro-quinoxalin-2 (IH) -one; 4- (propen-2-yl-oxycarbonyl) -3- (2-cyclopropylethynyl) -3- ( trifluoromethyl) -3 , 4-dihydro-quinoxalin-2 (IH) -one;
- (isobutoxycarbonyl) -3- (2-cyclopropylethynyl) -3- (trifluoromethyl) -3, 4-dihydro-quinoxalin-2 (IH) -one;
- (n-butoxycarbonyl) -3- (2-cyclopropylethynyl) -3- (trifluoromethyl) -3 , 4-dihydro-quinoxalin-2 (IH) -one;
- (allyloxycarbonyl) -3- (2-cyclopropylethynyl) -3-
(trifluoromethyl) -3 , 4-dihydro-quinoxalin-2 (IH) -one;
- (benzyloxycarbonyl) -3- (2-cyclopropylethynyl) -3- (trifluoromethyl) -3 , 4-dihydro-quinoxalin-2 (IH) -one;
- (n-propylsulfonyl) -3- (2-cyclopropylethynyl) -3- (trifluoromethyl) -3 , 4-dihydro-quinoxalin-2 (IH) -one;
- (phenylcarbonyl) -3- (2-cyclopropylethynyl) -3- (trifluoromethyl) -3 , 4-dihydro-quinoxalin-2 (IH) -one;
- (neopentyl-oxycarbonyl) -3- (2-cyclopropylethynyl) -3- (trifluoromethyl) -3 , 4-dihydro-quinoxalin-2 (IH) -one;
- (2-propynyl-oxycarbonyl) -3- (2-cyclopropylethynyl) -3- (trifluoromethyl) -3 , 4-dihydro-quinoxalin-2 (IH) -one;
- (isopropylcarbonyl) -3- (2-cyclopropylethynyl) -3- (trifluoromethyl) -3 , 4-dihydro-quinoxalin-2 (IH) -one;
- (cyclopropylcarbonyl) -3- (2-cyclopropylethynyl) -3- (trifluoromethyl) -3 , 4-dihydro-quinoxalin-2 (IH) -one;
- (ethylsulfonyl) -3- (2-cyclopropylethynyl) -3- (trifluoromethyl) -3 , 4-dihydro-quinoxalin-2 (IH) -one;
- (isopropylsulfonyl) -3- (2-cyclopropylethynyl) -3- ( rifluoromethyl) -3 , 4-dihydro-quinoxalin-2 (IH) -one; 4- (methoxycarbonyl) -3- (2-cyclopropylethynyl) -3-
( trifluoromethyl) -3 , 4-dihydro-quinoxalin-2 (IH) -one;
6- (chloro) -4- (ethoxycarbonyl) -3- (2-cyclopropylethynyl) -3- (trifluoromethyl) -3 , 4-dihydro-quinoxalin-2 (IH) -one;
6- (chloro) -4- (isopropoxycarbonyl) -3- (2-cyclopropylethynyl) -3- (trifluoromethyl) -3 , 4-dihydro-quinoxalin-2 (IH) -one;
6- (chloro) -4- (propen-2-yl-oxycarbonyl) -3- (2- cyclopropylethynyl) -3- (trifluoromethyl) -3 , 4-dihydro- quinoxalin-2 (IH) -one;
6- (fluoro) -4- (ethoxycarbonyl) -3- (2-cyclopropylethynyl) -3- (trifluoromethyl) -3 , 4-dihydro-quinoxalin-2 (IH) -one;
6- (fluoro) -4- (isopropoxycarbonyl) -3- (2-cyclopropylethynyl) -3- (trifluoromethyl) -3 , 4-dihydro-quinoxalin-2 (IH) -one; and
6- (fluoro) -4- (propen-2-yl-oxycarbonyl) -3- (2-cyclopropylethynyl) -3- (trifluoromethyl) -3 , 4-dihydro-quinoxalin-2 (IH) -one.
7. A compound according to Claim 1 of Formula (lib),
Figure imgf000154_0001
(lib) wherein :
A is O or S;
W is N or CR3;
X is N or CR4; Y is N or CR5 ;
Z is N or CR6 ;
Cf is -CF3, -CF2CF3, or -CF2CF2CF3;
provided that one or two of W, X, Y, and Z are N;
Rl is selected from: -C02R12, -COR12, -S02R12,
-(CHR7)pCHR7R8,
-(CHR7)pCH=CR7R8,
-(CHR7)pC≡C-R8,
-Cι_5 alkyl substituted with 0-3 R11, - (CH2)pphenyl substituted with 0-3 R10, and
-(CH2)p(C3-5 cycloalkyl);
R2 is selected from: -CH=CR7R8 , -C≡C-R8,
-CH=CHCHR7R8 , -(CHR7)pCHR7R8, -(CHR7)pCH=CR7R8, -(CHR7)pC≡C-R8, - (CH2)pphenyl substituted with 0-3 R10, and -(CH2)p(C -5 cycloalkyl);
R3 is selected from:
H, F, Cl, Br, I, -OH, -OCF3, -CN, -N02, -CHO, -C(=0)CH , -C(=0)CF3, -NH2, -NHCH3, -N(CH3)2, -CF3, -CH3 ,
-CH2CH3, -OCH3, and -OCH2CH3,
R4 is selected from:
H, F, Cl, Br, I, -OH, OH, -OCF3, -CN, -N0 , -CHO, -C(=0)CH3, -C(=0)CF3, -C(=0)NH2, -C(=0)NHCH3, -NH2 ,
-NHCH3, -N(CH3)2, -NHC(=0)0CH3, -C(=0)OCH3, -CF3 , -CH3, -CH2CH3, -OCH3, and -OCH2CH3; R5 is selected from H, F, Cl, Br, I, -OH, -CH3, -CH2CH3 , -OCH3, and -OCH2CH3;
R6 is selected from: H, F, Cl, Br, I, -OH, -OCF3, -CN, -N0 , -CHO, -C(=0)CH3, -C(=0)CF3, -NH2, -NHCH3, -N(CH3)2, -CF3 , -CH3 , -CH2CH3, -OCH3, and -OCH2CH3;
R7, at each occurrence, is selected from H, methyl, ethyl, propyl, and butyl;
R8, at each occurrence, is selected from: H, F, Cl, Br, I, CH(-OCH2CH20-) , Cι_4 haloalkyl, C1-4 alkyl substituted with 0-3 R11, C2-4 alkenyl,
C3-6 cycloalkyl substituted with 0-2 R9, phenyl substituted with 0-2 R10, and
5-6 membered aromatic heterocycle system containing from 1-3 heteroatoms selected from the group consisting of pyridinyl, furanyl, thienyl, pyrrolyl, pyrazolyl, imidazolyl, and oxazolidinyl;
R9, at each occurrence, is selected from D, OH, methyl, ethyl, propyl, butyl, methoxy, ethoxy, propoxy, butoxy, and F;
R10, at each occurrence, is selected from OH, methyl, ethyl, propyl, butyl, methoxy, ethoxy, propoxy, butoxy, F, Cl, Br, I, CN, -NH2, -NHCH3 , -NHCH2CH3, -N(CH3)2, -N(CH2CH3)2, and C(=0)CH3;
R11, at each occurrence, is selected from OR7, CN, F, Cl, Br, I, N02, -NH2, -NHCH3, -NHCH2CH3, -N(CH3)2, -N(CH2CH3)2, CHO, C(=0)CH3, C(=0)NH2;
R12, at each occurrence, is selected from Cι_6 alkyl, C2-4 alkenyl, C2-4 alkynyl ,
C3-6 cycloalkyl, phenyl substituted with 0-2 R10, and
5-6 membered aromatic heterocycle system containing from 1-3 heteroatoms selected from the group consisting pyridinyl, furanyl, thienyl, pyrrolyl, pyrazolyl, imidazolyl, and oxazolidinyl,
- (CH2)pphenyl substituted with 0-2 R10, and
-(CH2)p(C3_5 cycloalkyl); and
p, at each occurrence, is selected from 0, 1, and 2.
8. A compound according to Claim 7 of Formula (Illb)
Figure imgf000157_0001
(IHb) wherein:
Rl is selected from:
-CF3, -CF2H, -CH3, -CH2CH3, -CH2CH2CH3,
-CH2CH2CH2CH3, -CH(CH3)2, -CH2CH(CH3)2, -CH2CH2C (CH3)3,
-CH2CH2CH(CH3)CH3,
-CH(=CH2)CH3, -CH2CH=CH2, -CH2-CH=C (CH3)2 , -CH2-C≡CH, -CH2-C≡CCH3, -CH2Ph, -cycPr, -CH2cycPr, -CH2CH2cycPr,
-CO2CH3, -CO2CH2CH3, -CO2CH2CH2CH3 , -CO2CH2CH2CH2CH3, -C02CH(CH3)2, -C02CH2CH(CH3)2, -C02CH2Ph, -C02cycPr, -C02CH2cycPr, -C02CH2CH=CH2 , -S02CH2CH3, -S02CH(CH3)2, -COCH3, -COCH2CH3, -C0CH2CH2CH3 , -COCH(CH3)2, and -C0CH2CycPr;
R2 is selected from: benzyl, phenethyl, -CH2CH2cycPr, -C≡C-CH3, -C≡C-CF3, -C≡C-Et, -C≡C-iPr, -C≡C-cycPr, -C≡C-1- (CH3)cycPr, -C≡C-CH=CH2, -C≡C-C (=CH2) CH3 , -CH=CH-CH3, -CH=CH-CF3, -CH=CH-Et, -CH=CH-iPr, -CH=CH-cycPr , -CH=CH-CH=CH2 , -CH2 -C≡C-CH3 , -CH2-C≡C-CF3, -CH2-C≡C-Et, -CH2-C≡C-iPr, -CH2 -C≡C-cycPr, -CH2-C≡C-CH=CH2 , -CH2-CH=CH2, -CH2 -CH=CH-CH3 , -CH2 -CH=CH-CF3 , -CH2 -CH=CH-E t , -CH2-CH=CH-iPr, -CH2-CH=CH-cycPr , -CH2-CH=CH-CH=CH2, -CH2-CH=C(CH3)2, and -CH=CH-CH2-cycPr;
R3 is selected from:
H, F, Cl, Br, I, -OH, -OCF3 , -CN, -N02 , -C(=0)CH3, -C(=0)CF3, -NH2, -NHCH3, -N(CH3)2, -CF3 , -CH3 , -CH2CH3, -OCH3, and -OCH2CH3,
R4 is selected from:
H, F, Cl, Br, I, -OH, OH, -OCF3 , -CN, -N02 , -C(=0)CH3, -C(=0)CF3, -C(=0)NH2, -C(=0)NHCH3, -NH2, -NHCH3 , -N(CH3)2, -NHC(=0)OCH3, -C(=0)OCH3, -CF3, -CH3 , -CH2CH3, -OCH3, and -OCH2CH3 ;
R5 is selected from H, F, and Cl; and
R6 is selected from: H, F, Cl -OH, -OCF3, -CF3, -CH3, and -OCH3.
9. A pharmaceutical composition, comprising a pharmaceutically acceptable carrier and a therapeutically effective amount of a compound according to one of Claims 1- 8.
10. A method for treating HIV infection, comprising: administering to a host in need of such treatment a therapeutically effective amount of a compound according to one of Claims 1-8, or a pharmaceutically acceptable salt form thereof .
11. A method of treating HIV infection which comprises administering, in combination, to a host in need thereof a therapeutically effective amount of:
(a) a compound according to one of Claims 1-8; and, (b) at least one compound selected from the group consisting of HIV reverse transcriptase inhibitors and HIV protease inhibitors .
12. A method according to Claim 11, wherein, the reverse transcriptase inhibitor is a nucleoside reverse transcriptase inhibitor.
13. A method according to Claim 11, wherein, the HIV reverse transcriptase inhibitor is selected from AZT, 3TC, rescriptor, ddl, ddC, efavirenz, and d4T and the protease inhibitor is selected from saquinavir, ritonavir, indinavir, VX-478, nelfinavir, KNI-272, CGP-61755, and U-103017.
14. A method according to Claim 13 , wherein the HIV reverse transcriptase inhibitor is selected from AZT, rescriptor, efavirenz, and 3TC and the protease inhibitor is selected from saquinavir, ritonavir, indinavir, and nelfinavir.
15. A method according to Claim 14, wherein, the HIV reverse transcriptase inhibitor is AZT.
16. A method according to Claim 14, wherein, the HIV reverse transcriptase inhibitor is efavirenz .
17. A method according to Claim 14, wherein, the protease inhibitor is indinavir.
18. A compound according to Claim 1 of Formula (la) or (lb) :
Figure imgf000160_0001
(la) (lb)
or a stereoisomer or pharmaceutically acceptable salt form thereof .
PCT/US1999/0143951998-06-261999-06-25Substituted quinoxalin-2(1h)-ones useful as hiv reverse transcriptase inhibitorsWO2000000478A1 (en)

Priority Applications (3)

Application NumberPriority DateFiling DateTitle
AU47196/99AAU4719699A (en)1998-06-261999-06-25Substituted quinoxalin-2(1h)-ones useful as hiv reverse transcriptase inhibitors
CA002334332ACA2334332A1 (en)1998-06-261999-06-25Substituted quinoxalin-2(1h)-ones useful as hiv reverse transcriptase inhibitors
EP99930715AEP1089979A1 (en)1998-06-261999-06-25Substituted quinoxalin-2(1h)-ones useful as hiv reverse transcriptase inhibitors

Applications Claiming Priority (2)

Application NumberPriority DateFiling DateTitle
US9089398P1998-06-261998-06-26
US60/090,8931998-06-26

Publications (1)

Publication NumberPublication Date
WO2000000478A1true WO2000000478A1 (en)2000-01-06

Family

ID=22224840

Family Applications (1)

Application NumberTitlePriority DateFiling Date
PCT/US1999/014395WO2000000478A1 (en)1998-06-261999-06-25Substituted quinoxalin-2(1h)-ones useful as hiv reverse transcriptase inhibitors

Country Status (4)

CountryLink
EP (1)EP1089979A1 (en)
AU (1)AU4719699A (en)
CA (1)CA2334332A1 (en)
WO (1)WO2000000478A1 (en)

Cited By (12)

* Cited by examiner, † Cited by third party
Publication numberPriority datePublication dateAssigneeTitle
EP1539714A4 (en)*2002-09-112007-04-25Merck & Co Inc8-hydroxy-1-oxo-tetrahydropyrrolopyrazine compounds useful as hiv integrase inhibitors
EP1677599A4 (en)*2003-10-202008-10-22Merck & Co IncHydroxy pyridopyrrolopyrazine dione compounds useful as hiv integrase inhibitors
US7517532B2 (en)2002-09-112009-04-14Merck & Co., Inc.Dihydroxypyridopyrazine-1,6-dione compounds useful as HIV integrase inhibitors
US7601716B2 (en)2006-05-012009-10-13Cephalon, Inc.Pyridopyrazines and derivatives thereof as ALK and c-Met inhibitors
US8367670B2 (en)2008-12-092013-02-05Gilead Sciences, Inc.Modulators of toll-like receptors
US8476270B2 (en)2009-09-142013-07-02Gilead Sciences, Inc.Dihydropyrido[4,3-b]pyrazine-3-ones as modulators of toll-like receptors
JPWO2014010732A1 (en)*2012-07-132016-06-23武田薬品工業株式会社 Heterocyclic compounds
US9573952B2 (en)2014-09-162017-02-21Gilead Sciences, Inc.Methods of preparing toll-like receptor modulators
KR101854512B1 (en)*2013-09-262018-06-14리미티드 라이어빌리티 컴퍼니 “내셔널 파마슈티컬 테크놀로지스”Novel chemical compounds (variants) and the use thereof to treat oncological diseases
US10202384B2 (en)2014-09-162019-02-12Gilead Sciences, Inc.Solid forms of a toll-like receptor modulator
US11116774B2 (en)2014-07-112021-09-14Gilead Sciences, Inc.Modulators of toll-like receptors for the treatment of HIV
CN114685384A (en)*2022-03-032022-07-01深圳大学 A kind of difluoromethyl reaction method and its application

Families Citing this family (1)

* Cited by examiner, † Cited by third party
Publication numberPriority datePublication dateAssigneeTitle
US10428030B2 (en)2015-10-302019-10-01Trillium TherapeuticsHeterocycle derivatives and their use for the treatment of CNS disorders

Citations (3)

* Cited by examiner, † Cited by third party
Publication numberPriority datePublication dateAssigneeTitle
US3250774A (en)*1962-06-221966-05-10Ciba Geigy CorpDiazines and process for their manufacture
JPS62207264A (en)*1986-03-071987-09-11Asahi Glass Co Ltd Method for producing nitrogen-containing heterocyclic derivatives
EP0657166A1 (en)*1993-12-091995-06-14Hoechst AktiengesellschaftCombination containing a quinoxaline and a nucleoside

Patent Citations (3)

* Cited by examiner, † Cited by third party
Publication numberPriority datePublication dateAssigneeTitle
US3250774A (en)*1962-06-221966-05-10Ciba Geigy CorpDiazines and process for their manufacture
JPS62207264A (en)*1986-03-071987-09-11Asahi Glass Co Ltd Method for producing nitrogen-containing heterocyclic derivatives
EP0657166A1 (en)*1993-12-091995-06-14Hoechst AktiengesellschaftCombination containing a quinoxaline and a nucleoside

Non-Patent Citations (2)

* Cited by examiner, † Cited by third party
Title
CHEMICAL ABSTRACTS, vol. 109, no. 25, 1988, Columbus, Ohio, US; abstract no. 231061f, page 868; XP002119479*
NOBUYA KATAGIRI: "SYNTHESIS OF 4-TRIFLUOROMETHYLAZETIDIN-2-ONES", CHEMICAL AND PHARMACEUTICAL BULLETIN., vol. 34, no. 10, 1986, PHARMACEUTICAL SOCIETY OF JAPAN. TOKYO., JP, pages 4429 - 4431, XP002119478, ISSN: 0009-2363*

Cited By (23)

* Cited by examiner, † Cited by third party
Publication numberPriority datePublication dateAssigneeTitle
EP1539714A4 (en)*2002-09-112007-04-25Merck & Co Inc8-hydroxy-1-oxo-tetrahydropyrrolopyrazine compounds useful as hiv integrase inhibitors
US7399763B2 (en)2002-09-112008-07-15Merck & Co., Inc.8-hydroxy-1-oxo-tetrahydropyrrolopyrazine compounds useful as HIV integrase inhibitors
US7517532B2 (en)2002-09-112009-04-14Merck & Co., Inc.Dihydroxypyridopyrazine-1,6-dione compounds useful as HIV integrase inhibitors
EP1677599A4 (en)*2003-10-202008-10-22Merck & Co IncHydroxy pyridopyrrolopyrazine dione compounds useful as hiv integrase inhibitors
US7601716B2 (en)2006-05-012009-10-13Cephalon, Inc.Pyridopyrazines and derivatives thereof as ALK and c-Met inhibitors
US7919502B2 (en)2006-05-012011-04-05Cephalon, Inc.Pyridopyrazines and derivatives thereof as ALK and c-MET inhibitors
US8080561B2 (en)2006-05-012011-12-20Cephalon, Inc.Pyridopyrazines and derivatives thereof as ALK and c-Met inhibitors
US9127006B2 (en)2008-12-092015-09-08Gilead Sciences, Inc.Modulators of toll-like receptors
US10172860B2 (en)2008-12-092019-01-08Gilead Sciences, Inc.Modulators of toll-like receptors
US8809527B2 (en)2008-12-092014-08-19Gilead Sciences, Inc.Modulators of toll-like receptors
US8367670B2 (en)2008-12-092013-02-05Gilead Sciences, Inc.Modulators of toll-like receptors
US9452166B2 (en)2008-12-092016-09-27Gilead Sciences, Inc.Modulators of toll-like receptors
US11110091B2 (en)2008-12-092021-09-07Gilead Sciences, Inc.Modulators of toll-like receptors
US8476270B2 (en)2009-09-142013-07-02Gilead Sciences, Inc.Dihydropyrido[4,3-b]pyrazine-3-ones as modulators of toll-like receptors
JPWO2014010732A1 (en)*2012-07-132016-06-23武田薬品工業株式会社 Heterocyclic compounds
KR101854512B1 (en)*2013-09-262018-06-14리미티드 라이어빌리티 컴퍼니 “내셔널 파마슈티컬 테크놀로지스”Novel chemical compounds (variants) and the use thereof to treat oncological diseases
US11116774B2 (en)2014-07-112021-09-14Gilead Sciences, Inc.Modulators of toll-like receptors for the treatment of HIV
US10202384B2 (en)2014-09-162019-02-12Gilead Sciences, Inc.Solid forms of a toll-like receptor modulator
US10508117B2 (en)2014-09-162019-12-17Gilead Sciences, Inc.Solid forms of a toll-like receptor modulator
US11072615B2 (en)2014-09-162021-07-27Gilead Sciences, Inc.Solid forms of a toll-like receptor modulator
US9573952B2 (en)2014-09-162017-02-21Gilead Sciences, Inc.Methods of preparing toll-like receptor modulators
US11773098B2 (en)2014-09-162023-10-03Gilead Sciences, Inc.Solid forms of a toll-like receptor modulator
CN114685384A (en)*2022-03-032022-07-01深圳大学 A kind of difluoromethyl reaction method and its application

Also Published As

Publication numberPublication date
AU4719699A (en)2000-01-17
CA2334332A1 (en)2000-01-06
EP1089979A1 (en)2001-04-11

Similar Documents

PublicationPublication DateTitle
EP0929533B1 (en)4,4-disubstituted-1,4-dihydro-2h-3,1-benzoxazin-2-ones useful as hiv reverse transcriptase inhibitors and intermediates and processes for making the same
US6593337B1 (en)Tricyclic compounds useful as HIV reverse transcriptase inhibitors
NZ500592A (en)4,4-disubstituted-3,4-dihydro-2(1H)-quinazolinones useful as HIV reverse transcriptase inhibitors
WO2000000478A1 (en)Substituted quinoxalin-2(1h)-ones useful as hiv reverse transcriptase inhibitors
EP1379248A1 (en)Tricyclic compounds useful as hiv reverse transcriptase inhibitors
US6127375A (en)4,4-disubstituted-3,4-dihydro-2(1H)-quinazolinthiones useful as HIV reverse transcriptase inhibitors
US6204262B1 (en)1,3-Benzodiazepin-2-ones and 1,3-Benzoxazepin-2-ones useful as HIV reverse transcriptase inhibitors
US6489320B1 (en)5, 5-disubstituted-1, 5-dihydro-4, 1-benzoxazepin-2 (3H)-ones useful as HIV reverse transcriptase inhibitors
US5932570A (en)1-(3-aminoindazol-5-yl)-3-phenylmethyl-cyclic ureas useful as HIV protease inhibitors
US6313110B1 (en)Substituted 2H-1,3-diazapin-2-one useful as an HIV protease inhibitor
CA2333643A1 (en)Substituted quinolin-2(1h)-ones useful as hiv reverse transcriptase inhibitors
US6218386B1 (en)A1-(3-aminoindazol-5-yl)-3 butyl-cyclic urea useful as a HIV protease inhibitor
EP0937067B1 (en)1-(3-aminoindazol-5-yl)-3-phenylmethyl-cyclic ureas useful as hiv protease inhibitors
AU722489B2 (en)(4r,5s,6s,7r)-hexahydro-1- {5-(3-aminoinazole)methyl} -3-butyl-5,6-dihydr oxy-4,7-bis {phaenylmethyl} -2h-1,3-diazepin-2-one, its preparation and its use as HIV protease inhibitor
US20040063734A1 (en)4,4-Disubstituted-3,4-dihydro-2 (1H)-quinazoliniones useful as HIV reverse transcriptase inhibitors
US7015214B2 (en)Cyanamide, alkoxyamino, and urea derivatives of 1,3-benzodiazepine as HIV reverse transcriptase inhibitors
US6265406B1 (en)Substituted quinolin-2 (1H) -ones useful as HIV reverse transcriptase inhibitors
WO2002081456A1 (en)Cyanamide, alkoxyamino, and urea derivatives of 4, 4-disubstituted-3, 4-dihydro-2 (1h)- quinazolinones as hiv reverse transcriptase inhibitors
JP2003534230A (en) 1,3-benzodiazepin-2-one and 1,3-benzoxazepin-2-one useful as HIV reverse transcriptase inhibitors
AU2002254652A1 (en)Tricyclic compounds useful as HIV reverse transcriptase inhibitors

Legal Events

DateCodeTitleDescription
AKDesignated states

Kind code of ref document:A1

Designated state(s):AU BR CA CN CZ EE HU IL IN JP KR LT LV MX NO NZ PL RO SG SI SK UA VN ZA

ALDesignated countries for regional patents

Kind code of ref document:A1

Designated state(s):AM AZ BY KG KZ MD RU TJ TM AT BE CH CY DE DK ES FI FR GB GR IE IT LU MC NL PT SE

121Ep: the epo has been informed by wipo that ep was designated in this application
DFPERequest for preliminary examination filed prior to expiration of 19th month from priority date (pct application filed before 20040101)
WWEWipo information: entry into national phase

Ref document number:1999930715

Country of ref document:EP

ENPEntry into the national phase

Ref document number:2334332

Country of ref document:CA

WWPWipo information: published in national office

Ref document number:1999930715

Country of ref document:EP

WWWWipo information: withdrawn in national office

Ref document number:1999930715

Country of ref document:EP


[8]ページ先頭

©2009-2025 Movatter.jp