Movatterモバイル変換


[0]ホーム

URL:


WO1999030812A1 - Device and method for aeration of fluids - Google Patents

Device and method for aeration of fluids
Download PDF

Info

Publication number
WO1999030812A1
WO1999030812A1PCT/IB1998/002057IB9802057WWO9930812A1WO 1999030812 A1WO1999030812 A1WO 1999030812A1IB 9802057 WIB9802057 WIB 9802057WWO 9930812 A1WO9930812 A1WO 9930812A1
Authority
WO
WIPO (PCT)
Prior art keywords
gas
liquid
bubbles
fluid
diameter
Prior art date
Application number
PCT/IB1998/002057
Other languages
French (fr)
Inventor
Alfonso Ganan Calvo
Original Assignee
Universidad De Sevilla
Priority date (The priority date is an assumption and is not a legal conclusion. Google has not performed a legal analysis and makes no representation as to the accuracy of the date listed.)
Filing date
Publication date
Priority claimed from ES9702654Aexternal-prioritypatent/ES2158741B1/en
Priority claimed from US09/191,756external-prioritypatent/US6196525B1/en
Application filed by Universidad De SevillafiledCriticalUniversidad De Sevilla
Priority to AU15732/99ApriorityCriticalpatent/AU745698B2/en
Priority to EP98960050Aprioritypatent/EP1039965A1/en
Priority to JP2000538781Aprioritypatent/JP2002508238A/en
Priority to CA002314919Aprioritypatent/CA2314919A1/en
Publication of WO1999030812A1publicationCriticalpatent/WO1999030812A1/en

Links

Classifications

Definitions

Landscapes

Abstract

The present invention provides aeration methods using spherical gas bubbles having a size on the order of 0.1 to 100 microns in size. A device of the invention for producing a monodispersion of bubbles includes a source of a stream of gas which is forced through a liquid held under pressure in a pressure chamber with an exit opening therein. The stream of gas surrounded by the liquid in the pressure chamber flows out of an exit orifice of the chamber into a liquid thereby creating a monodispersion of bubbles with substantially uniform diameter. The bubbles are small in size and produced with a relatively small amount of energy relative to comparable systems. Applications of the aeration technology range from oxygenating sewage with monodispersions of bubbles to oxygenation of water for fish maintenance.

Description

DEVICE AND METHOD FOR AERATION OF FLUIDS
FIELD OF THE INVENTION
The invention relates generally to the field of small particle formation and more specifically to fields where it is important to create gas bubbles which are very small and uniform in size.
BACKGROUND OF THE INVENTION
Monodispersed sprays of droplets of micrometric size have attracted the interest of scientist and engineers because of their potential applications in many fields of science and technology. Classifying a polydispersed aerosol (for example, by using a differential mobility analyzer, B.Y. Liu et al. (1974), "A Submicron Standard and the Primary Absolute Calibration of the Condensation Nuclei Counter, " /. Coloid Interface Sci. 47: 155-171 or breakup process of Rayleigh's type of a capillary microjet Lord Rayleigh (1879), "On the instability of Jets, " Proc. London Math. Soc. 1Q:4-13, are the current methods to produce the monodispersed aerosols of micrometric droplets needed for such applications. The substantial loss of the aerosol sample during the classification process can severely limit the use of this technique for some applications. On the other hand, although in the capillary break up the size distribution of the droplets can be very narrow, the diameter of the droplets is determined by the jet diameter (approximately twice the jet diameter). Therefore, the generation and control of capillary microjets are essential to the production of sprays of micrometric droplets with very narrow size distribution.
Capillary microjets with diameters ranging from tens of nanometers to hundred of micrometers are successfully generated by employing high electrical fields (several kV) to form the well-known cone-jet electrospray. Theoretical and experimental results and numerical calculations on electrosprays can be obtained from M. Cloupean et al. (1989), "Electrostatic Spraying of Liquids in Cone Jet Mode," /. Electrostat 22: 135-159, Fernandez de la Mora et al. (1994), "The Current Transmitted through an Electrified Conical Meniscus," /. Fluid Mech.T : 155-184 and Loscertales (1994), A.M. Ganan- Calvo et al. (1997), "Current and Droplet Size in the Electrospraying of Liquids: Scaling Laws," /. Aerosol Sci. 2j£: 249-275, Hartman et al. (1997), "Electrohydrodynamic Atomization in the Cone-Jet Mode," Paper presented at the ESF Workshop on
- 1 -
C 0 N F I R M A T I 0 N C O P Y Electrospray, Sevilla, 28 Feb.-l Mar. 1997 among others [see also the papers contained in the Special Issue for Electrosprays (1994)]. In the electrospray technique the fluid to be atomized is slowly injected through a capillary electrified needle. For a certain range of values of the applied voltage and flow rate an almost conical meniscus is formed at the needle's exit from whose vertex a very thin, charged jet is issued. The jet breaks up into a fine aerosol of high charged droplets characterized by a very narrow droplet size distribution. Alternatively, the use of purely mechanical means to produce capillary microjets is limited in most of applications for several reasons: the high-pressure values required to inject a fluid through a very narrow tube (typical diameters of the order of few micrometers) and the easy clogging of such narrow tubes due to impurities in the liquid. The present invention provides a new technique for producing uniform sized monodispersion of gas bubbles based on a mechanical means which does not present the above inconveniences and can compete advantageously with electrospray atomizers. The jet diameters produced with this technique can be easily controlled and range from below one micrometer to several tens of micrometers.
SUMMARY OF THE INVENTION
The present invention provides aeration methods using spherical gas bubbles having a size on d e order of 0.1 to 100 microns in size. A device of the invention for producing a monodispersion of bubbles includes a source of a stream of gas which is forced through a liquid held under pressure in a pressure chamber with an exit opening therein. The stream of gas surrounded by the liquid in the pressure chamber flows out of an exit orifice of the chamber into a liquid thereby creating a monodispersion of bubbles with substantially uniform diameter. The bubbles are small in size and produced with a relatively small amount of energy relative to comparable systems. Applications of the aeration technology range from oxygenating sewage with monodispersions of bubbles to oxygenation of water for fish maintenance.
BRIEF DESCRIPTION OF THE DRAWINGS Figure 1 is a schematic view showing the basic components of one embodiment of the invention with a cylindrical feeding needle as a source of formulation. Figure 2 is a schematic view of another embodiment of the invention with two concentric tubes as a source of formulation.
Figure 3 is a schematic view of yet another embodiment showing a wedge-shaped planar source of formulation. Figure 3a illustrates a cross-sectional side view of the planar feeding source and the interaction of the fluids. Figure 3b show a frontal view of the openings in the pressure chamber, with the multiple openings through which the atomizate exits the device. Figure 3c illustrates the channels that are optionally formed within the planar feeding member. The channels are aligned with the openings in the pressure chamber. Figure 4 is a schematic view of a stable capillary microjet being formed and flowing through an exit opening to thereafter form a monodisperse aerosol.
Figure 5 is a graph of data where 350 measured values oϊdJ- d0 versus QIQ0 are plotted.
Figure 6 is a micrograph showing the even dispersement and uniform size of air bubbles created using the method of the invention after expulsion into air.
Figure 7 is a schematic view of the critical area of a device of the type shown in Figure 1 showing gas surrounded by liquid expelled into a liquid to form bubbles.
Figure 8 is a schematic view as in Figure 7 but with the bubbles flowing into a gas.
Figure 9 is a schematic view as in Figure 7 but with two immiscible liquids flowing into a gas.
DETAILED DESCRIPTION OF PREFERRED EMBODIMENTS Before the present aeration device and method are described, it is to be understood that this invention is not limited to the particular components and steps described, as such may, of course, vary. It is also to be understood that the terminology used herein is for the purpose of describing particular embodiments only, and is not intended to be limiting, since the scope of the present invention will be limited only by the appended claims.
It must be noted that as used herein and in the appended claims, the singular forms "a", "and," and "the" include plural referents unless the context clearly dictates otherwise. Thus, for example, reference to "a bubble" includes a plurality of bubbles and reference to "a gas " includes reference to a mixture of gases, and equivalents thereof known to those skilled in the a t, and so forth. Unless defined otherwise, all technical and scientific terms used herein have the same meaning as commonly understood by one of ordinary skill in the art to which this invention belongs. Although any methods and materials similar or equivalent to those described herein can be used in the practice or testing of the present invention, the preferred methods and materials are now described. All publications mentioned herein are incorporated herein by reference to disclose and describe the methods and/or materials in connection with which the publications are cited.
The publications discussed herein are provided solely for their disclosure prior to the filing date of the present application. Nothing herein is to be construed as an admission that the present invention is not entitled to antedate such publication by virtue of prior invention.
Further, the dates of publication provided may be different from the actual publication dates which may need to be independently confirmed.
DEFINITIONS The terms "bubble", "dispersion of bubbles" and "monodispersion of bubbles" are used interchangeably herein and shall mean small uniformly sized particles of a gas or gaseous formulation that has been dispersed using the device and method of the invention. The particles are generally spherical, and may be comprised of one or more gases or layers of gases. The terms "air", "particle free air" and the like, are used interchangeably herein to describe a volume of air which is substantially free of other material and, in particular, free of particles intentionally added such as particles of formulation. Air is a mixture of various gas components that may, of course vary, but usually the air will contain approximately 21 % oxygen by volume. Air may also contain gases or other air-borne particles. For use in the invention, air may be filtered or treated to remove all unwanted particulate or gaseous matter, or the air may be used in an unfiltered state. Air is the preferred gas for use of the invention in oxygenation of aqueous fluids, e.g. water.
The terms "gas" and "gas formulation" as used herein refer to any gas or gaseous mixture which is desired to be dispersed using the method of the invention. For example, the formulation may be comprised of air, either filtered or unfiltered. Gases such as air may be spiked with a particular gas, such as the spiking of air with additional 02 gas for use in oxygenation. A gaseous formulation may also contain suspended particlulate matter dispersed within the gas. The gas can be CO2 to carry out the carbonation of beverages (e.g. water, colas) or a gas containing an unwanted contaminant, e.g. radioactivity or an environmental toxin.
The term "aeration" as used herein refers to the dispersion of a gaseous material into a flowable fluid, for example to provide a diffusion surface to introduce a molecule or compound from the gas into the flowable surface. The term is not limited to me dispersion of air per se, although the use of air is preferred, but rather refers to the introduction of any gas to a flowable fluid, e.g. O2, CO2, hydrogen, nitrogen, and the like and mixtures thereof. The aeration of a fluid is preferably to allow molecules and/or compounds to diffuse to the fluid through the fluid-bubble interface following expulsion of the bubbles from the device of the invention into the surrounding fluid. A fluid may, however, also be aerated for aesthetic purposes, such as the addition of CO2 to a beverage to provide carbonation.
DEVICE IN GENERAL
Different embodiments are shown and described herein (see Figures 1 , 2 and 3) which could be used in producing the stable capillary microjet and/or a dispersion of particles which are substantially uniform in size. Although various embodiments are part of the invention, they are merely provided as exemplary devices which can be used to convey the essence of the invention, which is the formation of a stable capillary microjet and/or uniform dispersion of particles.
A basic device comprises (1) a means for supplying a first fluid, preferably a gas, and (2) a pressure chamber supplied with a second fluid which flows out of an exit opening in the pressure chamber, preferably a liquid. The exit opening of the pressure chamber is aligned with the flow path of the means for supplying the first fluid. The embodiments of Figures 1 , 2 and 3 clearly show that there can be a variety of different means for supplying the first fluid. Other means for supplying a first fluid flow stream will occur to those skilled in the art upon reading this disclosure.
Further, other configurations for forming the pressure chamber around the means for supplying the first fluid will occur to those skilled in the art upon reading this disclosure. Such other embodiments are intended to be encompassed by the present invention provided the basic conceptual results disclosed here are obtained, i.e. a stable capillary microjet is formed and/or a dispersion of particle highly uniform in size is formed. To simplify the description of the invention, the means for supplying a first fluid is often referred to as a cylindrical tube (see Figure 1) and the first fluid is generally referred to as a gas. The gas can be any gas depending on the desired use of the device, although it is preferably air. For example, the gas could be air used to create small bubbles for aeration of a liquid to provide a gaseous medium through which components may diffuse into a liquid. Further, for purposes of simplicity, the second fluid is generally described herein as being a liquid, e.g. water. The invention is also generally described with a gas formulation being expelled from the supply means and forming a stable microjet due to interaction with surrounding water flow, which focuses the gas microjet to flow out of an exit of the pressure chamber.
Formation of the microjet and its acceleration and ultimate particle formation are based on the abrupt pressure drop associated with the steep acceleration experienced by the gas on passing through an exit orifice of the pressure chamber which holds the second fluid (i.e. the liquid). On leaving the chamber the flow undergoes a certain pressure difference between the liquid and the gas, which in turn produces a highly curved zone on the liquid surface near the exit port of the pressure chamber and in the formation of a cuspidal point from which a steady microjet flows, provided the amount of the gas drawn through the exit port of the pressure chamber is replenished. Thus, in the same way that a glass lens or a lens of the eye focuses light to a given point, the flow of the liquid surrounds and focuses the gas into a stable microjet. The focusing effect of the surrounding flow of liquid creates a stream of gas which is substantially smaller in diameter than the diameter of the exit orifice of the pressure chamber. This allows the gas to flow out of the pressure ch.amber orifice without touching the orifice, providing advantages including the feature that the diameter of the stream and the resulting particles are smaller than the diameter of the exit orifice of the chamber. This is particularly desirable because it is difficult to precisely engineer holes which are very small in diameter. Further, in the absence of the focusing effect (and formation of a stable interface cusp) flow of gas out of an opening will result in particles which have a diameter greater than the diameter of the exit opening. The description provided here generally indicates that the gas leaves the pressure chamber through an exit orifice surrounded by the liquid and thereafter enters into a liquid surrounding environment which may be either a hydrophobic or hydrophilic liquid. This configuration is particularly useful when it is necessary to create very small highly uniform bubbles which are moved into a liquid surrounding exit opening of the pressure chamber. The need for the formation of very small highly uniform bubbles into a gas occurs in a variety of different industrial applications. For example, water needs to be oxygenated in a variety of situations including small fish tanks for home use and large volume fisheries for industrial use. The additional oxygen can aid the rate of growth of the fish and thereby improve production for the fishery. In another embodiment, oxygen or air bubbles can be forced into liquid sewage in order to aid in treatment. In yet another application of the invention, contaminated gases such as a gas contaminated with a radioactive material can be formed into small uniformed bubbles and blown into a liquid, where the contamination in the gas will diffuse into the liquid, thereby cleaning the gas. The liquid will, of course, occupy substantially less volume and therefore be substantially easier to dispose of than contaminated toxic gas.
Those skilled in the art will recognize that variations on the different embodiments disclosed below will be useful in obtaining particularly preferred results. Specific embodiments of devices are now described.
EMBODIMENT OF FIGURE 1 A first embodiment of the invention where the supply means is a cylindrical feeding needle supplying gas into a pressurized chamber of liquid is described below with reference to Figure 1.
The components of the embodiment of Figure 1 are as follows:
1. Feeding needle - also referred to generally as a fluid source and a tube.
2. End of the feeding needle used to insert the gas to be dispersed. 3. Pressure chamber.
4. Orifice used as liquid inlet.
5. End of the feeding needle used to evacuate the liquid to be atomized.
6. Orifice through which withdrawal takes place.
7. Atomizate (spray) - also referred to as aerosol. Dj = diameter of the feeding needle; D0 = diameter of the orifice through which the microjet is passed; e = axial length of the orifice through which withdrawal takes place; H = distance from the feeding needle to the microjet outlet; P0 = pressure inside the chamber; Pa = atmospheric pressure. Although the device can be configured in a variety of designs, the different designs will all include the essential components shown in Figure 1 or components which perform an equivalent function and obtain the desired results. Specifically, a device of the invention will be comprised of at least one source of a first fluid (e.g., a feeding needle with an opening 2) into which a first fluid such as a gas formulation can be fed and an exit opening 5 from which the gas can be expelled. The feeding needle 1, or at least its exit opening 5, is encompassed by a pressure chamber 3. The chamber 3 has inlet opening 4 which is used to feed a second fluid (e.g. a liquid) into the chamber 3 and an exit opening 6 through which liquid from the pressure chamber and gas from the feeding needle 3 are expelled. When the first fluid is a gas it is preferably expelled into a liquid to create bubbles.
In Figure 1 , the feeding needle and pressure chamber are configured to obtain a desired result of producing bubbles wherein the particles are small and uniform in size. The bubbles have a size which is in a range of 0J to 100 microns. The particles of any given bubbles will all have about the same diameter with a relative standard deviation of +0.01 % to +30% or more preferably +0.01 % to + 10% . Stating that bubbles will have a diameter in a range of 1 to 5 microns does not mean that different bubbles will have different diameters and that some will have a diameter of 1 micron while others of 5 microns. The bubbles in a given dispersion will all (preferably about 90% or more) have the same diameter +0.01 % to +30%. For example, the bubbles of a given dispersion will have a diameter of 2 microns +0.01 % to +10%.
Such a uniform bubble monodispersion is created using the components and configuration as described above. However, other components and configurations will occur to those skilled in the art. The object of each design will be to supply fluid so that it creates a stable capillary microjet which is accelerated and stabilized by pressure stress exerted by the second fluid on the first fluid surface. The stable microjet created by the second fluid leaves the pressurized area (e.g., leaves the pressure chamber and exits the pressure chamber orifice) and splits into particles or bubbles which have the desired size and uniformity. The parameter window used (i. e. the set of special values for the properties of the liquid used, flow-rate used, feeding needle diameter, orifice diameter, pressure ratio, etc.) should be large enough to be compatible with virtually any liquid (dynamic viscosities in the range from 10"5 to 1 kg m'V1); in this way, the capillary microjet that emerges from the end of the feeding needle is absolutely stable and perturbations produced by breakage of the jet cannot travel upstream. Downstream, the microjet splits into evenly shaped bubbles simply by effect of capillary instability (see, for example, Rayleigh, "On the instability of jets", Proc. London Math. Soc, 4-13, 1878), similar in a manner to a laminar capillary jet falling from a half-open tap. When the stationary, steady interface is created, the capillary jet that emerges from the end of the bubble attached at the outlet of the feeding point is concentrically withdrawn into the nozzle. After the gas jet emerges from the attached bubble, the gas is accelerated by pressure forces exerted by the liquid stream, which gradually decreases the jet cross-section. Stated differently the liquid flow acts as a lens and focuses and stabilizes the gas microjet as it moves toward and into the exit orifice of the pressure chamber.
When the first fluid of the invention is a gas, and the second fluid is a liquid, d e inertia of the first fluid is low, and the gas abruptly decelerates very soon after it issues from the cusp of the attached bubble. In such an instance, the microjet is so short that it is almost indistinguishable from the stable cusp of the gas-liquid interface. When the first fluid of the invention is a gas and the second fluid is a liquid, and the two fluid stream is expelled into a gaseous atmosphere, a liquid jet with a regularly spaced gaseous formation of bubbles is formed. The regularity of the bubbles is such that the liquid jet is deformed in a very regular manner, resulting in a highly monodisperse stream of hollow droplets. The gas inside these hollow droplets may be manipulated by appropriate chemical, thermal or mechanical means to expand further upon expulsion from the device, causing the hollow bubbles to break into even finer droplets. Alternatively, if the liquid used is curable, the hollow droplets may be cured to a hollow, solid form.
The forces exerted by the second fluid flow on the first fluid surface should be steady enough to prevent irregular surface oscillations. Therefore, any turbulence in the gas and liquid motion should be avoided; even if the gas velocity is high, the characteristic size of the orifice should ensure that the fluid motion is laminar (similar to the boundary layers formed on the jet and on the inner surface of the nozzle or hole). STABLE CAPILLARY MICROJET
Figure 4 illustrates the interaction of a gas and a liquid to form bubbles using the method of the invention. The feeding needle 60 has a circular exit opening 61 with an internal radius R which feeds a gas 62 out of the end, forming a drop with a radius in the range of R1 to R., plus the thickness of the wall of the needle. Thereafter the drop narrows in circumference to a much smaller circumference as is shown in the expanded view of the tube (i.e. feeding needle) 5 as shown in Figures 1 and 4. The exiting gas flow comprises an infinite amount of streamlines 63 that after interaction of the gas with the surrounding liquid narrows to form a stable cusp at the interface 64 of the two fluids. The surrounding liquid also forms an infinite number of liquid streamlines 65, which interact with the solid surfaces and the exiting gas to create the effect of a virtual focusing funnel 66. The exiting gas is focused by the focusing funnel 66 resulting in a stable capillary microjet 67, which remains stable until it exits the opening 68 of the pressure chamber 69. After exiting the pressure chamber, the microjet begins to break-up, forming monodispersed particles 70. The liquid flow, which affects the gas withdrawal and its subsequent deceleration after the jet is formed, should be very rapid but also uniform in order to avoid perturbing the fragile capillary interface (the surface of the drop that emerges from the jet).
As illustrated in Figure 4, the exit opening 61 of the capillary tube 60 is positioned close to an exit opening 68 in a planar surface of a pressure chamber 69. The exit opening 68 has a minimum diameter D0 and is in a planar member with a thickness e. The di.ameter D0 is referred to as a minimum diameter because the opening may have a conical configuration with the n.arrower end of the cone positioned closer to the source of liquid flow. Thus, the exit opening may be a funnel-shaped nozzle although other opening configurations are also possible, e.g. an hour glass configuration. Liquid in the pressure chamber continuously flows out of the exit opening. The flow of the liquid causes the gas drop expelled from the tube to decrease in circumference as the gas moves away from the end of the tube in a direction toward the exit opening of the pressure chamber.
In actual use, it can be understood that the opening shape which provokes m.aximum liquid acceleration (and consequently the most stable cusp and microjet with a given set of parameters) is a conically shaped opening in the pressure chamber. The conical opening is positioned with its narrower end toward the source of gas flow. The distance between the end 61 of the tube 60 .and the beginning of the exit opening 68 is H. At this point it is noted that R,, D0, H and e are all preferably on the order of hundreds of microns. For example, Ri = 400μm, D0 = 150μm, H = 1mm, e = 300 m. However, each could be 1/100 to lOx these sizes. The end of the gas stream develops a cusp-like shape at a critical distance from the exit opening 68 in the pressure chamber 69 when the applied pressure drop ΔP] across the exit opening 68 overcomes the liquid-gas surface tension stresses γ/R* appearing at the point of maximum curvature — e.g. 1 R* from the exit opening.
A steady state is then established if the gas flow rate Q ejected from the drop cusp is steadily supplied from the capillary tube. This is the stable capillary cusp which is an essential characteristic of the invention needed to form the stable microjet. More particularly, a steady, thin gas jet with a typical diameter dj is smoothly emitted from the stable cusp-like drop shape and this thin gaseous jet extends over a distance in the range of microns to millimeters. The length of the stable microjet will vary from very short (e.g. 1 micron) to very long (e.g. 50 mm) with the length depending on the (1) flow-rate of the gas (2) the Reynolds number of the gas and liquid streams flowing out of the exit opening of the pressure ch.amber and (3) the Weber number of the gas jet. The gas jet is the stable capillary microjet obtained when supercritical flow is reached. As mentioned, in the case of a gas jet the microjet may be so small as to be almost indistinguishable from the stable cusp. This jet demonstrates a robust behavior provided that the pressure drop ΔP., applied to the liquid is sufficiently large compared to the maximum surface tension stress (on the order of γ/dj) that act at the liquid-gas interface. The stable microjet is formed without the need for other forces, i.e. without adding force such as electrical forces on a charged fluid. However, for some applications it is preferable to add charge to particles, e.g. to cause the particles to adhere to a given surface. The shaping of gas exiting the capillary tube by the liquid flow forming a focusing funnel creates a cusp-like meniscus resulting in the stable microjet. This is a fundamental characteristic of the invention.
The microjet eventually destabilizes due to the effect of surface tension forces. Destabilization results from small natural perturbations moving downstream, with the fastest growing perturbations being those which govern the break up of the microjet, eventually creating a uniform sized monodispersion of bubbles 70 as shown in Figure 4. The microjet, even as it initially destabilizes, passes out of the exit orifice of the pressure chamber without touching the peripheral surface of the exit opening.
MATHEMATICS OF A STABLE MICROJET Cylindrical coordinates (r,z) are chosen for analyzing the shape of a stable microjet, i.e. a liquid jet undergoing "supercritical flow." The cusp-like meniscus formed by the fluid coming out of the tube is pulled toward the exit of the pressure chamber by a pressure gradient created by the flow of a second, immiscible fluid.
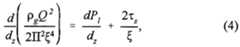
The cusp-like meniscus formed at the tube's mouth is pulled towards the hole by the pressure gradient created by the liquid stream. From the cusp of this meniscus, a steady gas thread with the shape of radius r = ξ is withdrawn through the hole by the action of both the suction effect due to ΔPj, .and the tangential viscous stresses τs exerted by the liquid on the jet's surface in the axial direction. The averaged momentum equation for this configuration may be written (assuming Dpι«PgRgT, where Rg is the gas constant and T its temperature):
Figure imgf000014_0001
where Q is the gas flow rate upon exiting the feeding tube, Pg is the gas pressure, and p^ is the gas density, assuming that the viscous extensional term is negligible compared to the kinetic energy term, as will be subsequently justified. The gas pressure Pg is given by the capillary equation.
pg = Pt+ γ/ξ. (2)
where γ is the liquid-gas surface tension. As shown in the Examples, the pressure drop ΔRj is sufficiently large as compared to the surface tension stress γ/ξ to justify neglecting the latter in the analysis. This scenario holds for the whole range of flow rates in which the microjet is absolutely stable. In fact, it will be shown that, for a given pressure drop ΔR;, the minimum gas flow rate that can be sprayed in steady jet conditions is achieved when the surface tension stress γ/ξ is of the order of the kinetic energy of the liquid (of the order of Ap,), since the surface tension acts like a "resistance" to the motion (it appears as a negative term in the right-hand side term of Eq. (1)). Thus,
Figure imgf000015_0001
For sufficiently large flow rates Q compared to Q^ the simplified averaged momentum equation in the axial direction can be expressed as
Figure imgf000015_0002
where one can identify the two driving forces for the gas flow on the right-hand side. In general, the pressure gradient in the liquid is on the average much larger than the viscous shear term 2τs/ξ owning to the surface stress. On the other hand, the axial viscous forces in the gas are many orders of magnitude smaller than the pressure forces. The neglect of all viscous terms in Eq. (4) is then justified. Notice that in this limit on the gas flow is quasi- isentropic in the average (the liquid almost follows Euler-Bernoulli equations) as opposed to most micrometric extensional flows. Thus, integrating (4) from the stagnation regions of both fluids up to the exit, one obtains a simple and universal expression for the jet diameter at the hole exit:
Figure imgf000015_0003
which for a given pressure drop ΔR, is independent of geometrical parameters (hole and tube diameters, tube-hole distance, etc.), liquid and gas viscosities, and liquid-gas surface tension.
The proposed system obviously requires delivery of the gas to be atomized and the liquid to be used in the resulting drop production. Both should be fed at a rate ensuring that the system lies within the stable parameter window. Multiplexing is effective when the flow- rates needed exceed those on an individual cell. More specifically, a plurality of feeding sources or feeding needles may be used to increase the rate at which aerosols are created. The flow-rates used should also ensure the mass ratio between the flows is compatible with the specifications of each application.
The gas and liquid can be dispensed by any type of continuous delivery system (e.g. a compressor or a pressurized tank the former and a volumetric pump or a pressurized bottle the latter). If multiplexing is needed, the liquid flow-rate should be as uniform as possible among cells; this may entail propulsion through several capillary needles, porous media or any other medium capable of distributing a uniform flow among different feeding points. Each individual device should consist of a feeding point (a capillary needle, a point with an open microchannel, a microprotuberance on a continuous edge, etc.) 0.002-2 mm (but, preferentially 0.01-0.4 mm) in diameter, where the drop emerging from the microjet can be anchored, and a small orifice 0.002-2 mm (preferentially 0.01-0.25 mm) in diameter facing the drop and separated 0.01-2 mm (preferentially 0J-0.5 mm) from the feeding point. The orifice communicates the withdrawal liquid around the drop, at an increased pressure, with the zone where the atomizate is produced, at a decreased pressure. The device can be made from a variety of materials (metal, polymers, ceramics, glass).
Figure 1 depicts a tested prototype where the gas to be atomized is inserted through one end of the system 2 and the liquid in introduced via the special inlet 4 in the pressure chamber 3. The prototype was tested at gas feeding rates from 10 to 2000 mBar above the atmospheric pressure Pa at which the atomized gas was discharged. The whole enclosure around the feeding needle 1 was at a pressure P0 > Pa. The gas feeding pressure, Pj, should always be slightly higher than the liquid propelling pressure, P0. Depending on the pressure drop in the needle and the gas feeding system, the pressure difference (P, - P0 > 0) and the flow-rate of the gas to be atomized, Q, are linearly related provided the flow is laminar - which is indeed the case with this prototype. The critical dimensions are the distance from the needle to the plate (H), the needle diameter (D0), the diameter of the orifice through which the microjet 6 is discharged (d0) and the axial length, e, of the orifice (t'.e. the thickness of the plate where the orifice is made). In this prototype, H was varied from 0J to 0.1 mm on constancy of the distances (D0 = 0.45 mm, d0 - 0.2 mm) and e - 0.5 mm. The quality of the resulting spray 7 did not vary appreciably with changes in H provided the operating regime (i.e. stationary drop and microjet) was maintained. However, the system stability suffered at the longer H distances (about 0.1 mm). The other atomizer dimensions had no effect on the spray or the prototype functioning provided the zone around the needle (its diameter) was large enough relative to the feeding needle.
WEBER NUMBER Adjusting parameters to obtain a stable capillary microjet and control its breakup into monodisperse particle is governed by the Weber number and the liquid-to-gas velocity ratio or α which equal VJV%. The Weber number or "We" is defined by the following equation:
p,V?d
We =
wherein p, is the density of the gas, d is the diameter of the stable microjet, γ is the liquid-gas surface tension, and Vf is the velocity of the liquid squared.
When carrying out the invention the parameters should be adjusted so that the
Weber number is greater than 1 in order to produce a stable capillary microjet. However, to obtain a particle dispersion which is monodisperse (i.e. each particle has the same size ±0.01 to ±30%) the parameters should be adjusted so that the Weber number is less than about 40.
The monodisperse aerosol is obtained with a Weber number in a range of about 1 to about 40
(1 < We ≤ 40).
OHNESORGE NUMBER A measure of the relative importance of viscosity on the jet breakup can be estimated from the Ohnesorge number defined as the ratio between two characteristic times: the viscous time tv and the breaking time tb. The breaking time tb is given by [see Rayleigh (1878)]
Figure imgf000017_0001
Perturbations on the jet surface are propagated inside by viscous diffusion in times tv of the order of
Figure imgf000018_0001
where μ< is the viscosity of the liquid. Then, the Ohnesorge number, Oh, results
Oh = (4)
(Pird2
If this ratio is much smaller than unity viscosity plays no essential role in the phenomenon under consideration. Since the maximum value of the Ohnesorge number in actual experiments conducted is as low as 3.7χ 10"2, viscosity plays no essential role during die process of jet breakup.
EMBODIMENT OF FIGURE 2 A variety of configurations of components and types of fluids will become apparent to those skilled in the art upon reading this disclosure. These configurations and fluids are encompassed by the present invention provided they can produce a stable capillary microjet of a first fluid from a source to an exit port of a pressure chamber containing a second fluid. The stable microjet is formed by the first fluid flowing from the feeding source to the exit port of the pressure chamber being accelerated and stabilized by pressure stress exerted by the second fluid in the pressure chamber on the surface of the first fluid forming the microjet. The second fluid forms a focusing funnel when a variety of parameters are correctly tuned or adjusted. For example, the speed, pressure, viscosity and miscibility of the first and second fluids are chosen to obtain the desired results of a stable microjet of the first fluid focused into the center of a funnel formed with the second fluid. These results are also obtained by adjusting or tuning physical parameters of the device, including the size of the opening from which the first fluid flows, the size of the opening from which both fluids exit, and the distance between these two openings.
The embodiment of Figure 1 can, itself, be arranged in a variety of configurations. Further, as indicated above, the embodiment may include a plurality of feeding needles. A plurality of feeding needles may be configured concentrically in a single construct, as shown in Figure 2.
The components of the embodiment of Figure 2 are as follows:
21. Feeding needle - tube or source of fluid. 22. End ofthe feeding needle used to insert the liquids to be atomized.
23. Pressure chamber.
24. Orifice used as liquid inlet.
25. End ofthe feeding needle used to evacuate the gas to be atomized.
26. Orifice through which withdrawal takes place. 27. Atomizate (spray) or aerosol.
28. First gas to be atomized (inner core of particle).
29. Second fluid to be atomized (outer coating of particle).
30. Liquid for creation of microjet.
31. Internal tube of feeding needle. 32. External tube of feeding needle.
D = diameter of the feeding needle; d = diameter of the orifice through which the microjet is passed; e = axial length ofthe orifice through which withdrawal takes place; H = distance from the feeding needle to the microjet outlet; γ=surface tension; P0 = pressure inside the chamber; Pa = atmospheric pressure. The embodiment of Figure 2 is preferably used when attempting to form a spherical particle of one substance surrounded by another substance. The device of Figure 2 is comprised ofthe same basic component as per the device of Figure 1 and further includes a second feeding source 32 which is positioned concentrically around the first cylindrical feeding source 31. The second feeding source may be surrounded by one or more additional feeding sources with each concentrically positioned around the preceding source.
The process is based on the microsuction which the liquid-gas or liquid-liquid interphase undergoes (if both are immiscible), when said interphase approaches a point beginning from which one ofthe fluids is suctioned off while the combined suction ofthe two fluids is produced. The interaction causes the fluid physically surrounded by the other to form a capillary microjet which finally breaks into spherical drops. If instead of two fluids (gas-liquid), three or more are used that flow in a concentric manner by injection using concentric tubes, a capillary jet composed of two or more layers of different fluids is formed which, when it breaks, gives rise to the formation of spheres composed of several approximately concentric spherical layers of different fluids. The size of the outer sphere (its thickness) and the size ofthe inner sphere (its volume) can be precisely adjusted. This can allow the manufacture of layered bubbles for a variety of end uses.
The method is based on the breaking of a capillary microjet composed of a nucleus of a gas and surrounded by other liquids and gases which are in a concentric manner injected by a special injection head, in such a way that they form a stable capillary microjet and that they do not mix by diffusion during the time between when the microjet is formed and when it is broken. When the capillary microjet is broken into spherical drops under the proper operating conditions, which will be described in detail below, these drops exhibit a spherical nucleus, the size and eccentricity of which can be controlled.
In the case of spheres containing two materials, the injection head 25 consists of two concentric tubes with an external diameter on the order of one millimeter. Through the internal tube 31 is injected the material that will constitute the nucleus ofthe microsphere, while between the internal tube 31 and the external tube 32 the coating is injected. The fluid ofthe external tube 32 joins with the fluid of tube 31 as the fluids exit the feeding needle, and the fluids thus injected are accelerated by a stream of gas tor liquid hat passes through a small orifice 24 facing the end of the injection tubes. When the drop in pressure across the orifice 24 is sufficient, the fluids form a completely stationary capillary microjet, if the quantities of liquids that are injected are stationary. This microjet does not touch the walls ofthe orifice, but passes through it wrapped in the stream of gas or funnel formed by gas from the tube 32. Because the funnel of fluid focuses the exiting fluid, the size ofthe exit orifice 26 does not dictate the size ofthe particles formed.
When the parameters are correctly adjusted, the movement ofthe fluid is uniform at the exit of the orifice 26 and the viscosity forces are sufficiently small so as not to alter either the flow or the properties ofthe liquids; for example, if there are biochemical molecular specimens having a certain complexity and fragility, the viscous forces that would appear in association with the flow through a micro-orifice might degrade these substances. Figure 2 shows a simplified diagram ofthe feeding needle 21, which is comprised ofthe concentric tubes 30, 31 through the internal and external flows ofthe fluids 28, 29 that are going to compose the microspheres comprised of two immiscible fluids. The difference in pressures P0 - Fa (P0 > Ptf) through the orifice 26 establishes a flow of liquid present in the chamber 23 and which is going to surround the microjet at its exit. The same pressure gradient that moves the liquid is the one that moves the microjet in an axial direction through the hole 26, provided that the difference in pressures P0 - Fa is sufficiently great in comparison with the forces of surface tension, which create an adverse gradient in the direction ofthe movement.
There are two limitations for the minimum sizes ofthe inside and outside jets that are dependent (a) on the surface tensions γl ofthe outside fluid 29 with the liquid 30 and γ2 ofthe outside fluid 29 with the inside fluid (e.g. gas) 28, and (b) on the difference in pressures ΔP = P0 - Va through the orifice 26. In the first place, the jump in pressures ΔP must be sufficiently great so that the adverse effects ofthe surface tension are minimized. This, however, is attained for very modest pressure increases: for example, for a 10 micron jet of a gas having a surface tension of 0.05 N/m (tap water), the necessary minimum jump in pressure is in the order of 0.05 (N/m) / 0.00001 m = ΔP= 50 mBar. But, in addition, the breakage ofthe microjet must be regular and axilsymmetric, so that the drops will have a uniform size, while the extra pressure ΔP cannot be greater than a certain value that is dependent on the surface tension ofthe outside gas with the gas γl and on the outside diameter ofthe microjet. It has been experimentally shown that this difference in pressures cannot be greater than 20 times the surface tension γl divided by the outside radius ofthe microjet.
Therefore, given some inside and outside diameters ofthe microjet, there is a range of operating pressures between a minimum and a maximum; nonetheless, experimentally the best results are obtained for pressures in the order of two to three times the minimum. The viscosity values ofthe gases must be such that the gases with the greater viscosity μmax verifies, for a diameter _ of the jet predicted for this gas and a difference through the orifice ΔP , the inequality:
μ^ < A Pd2D Q With this, the pressure gradients can overcome the extensional forces of viscous resistance exerted by the gas when it is suctioned toward the orifice.
Moreover, the gases must have very similar densities in order to achieve the concentricity ofthe nucleus ofthe microsphere, since the relation of velocities between the gases moves according to the square root ofthe densities vl/v2 = (p2/pl)1 2 and both jets, the inside jet and the outside jet, must assume the most symmetrical configuration possible, which does not occur if the fluids have different velocities (Figure 2). Nonetheless, it has been experimentally demonstrated that, on account ofthe surface tension γ2 between the two fluids, the nucleus tends to migrate toward the center of the microsphere, within prescribed parameters.
The distance between the plane ofthe internal tube 31 (the one that will normally project more) and the plane ofthe orifice may vary between zero and three outside diameters ofthe external tube 32, depending on the surface tensions between the fluids and with the liquid, and on their viscosity values. Typically, the optimal distance is found experimentally for each particular configuration and each set of liquids used.
The proposed dispersion system obviously requires fluids that are going to be used in the resulting bubbles to have certain flow parameters. Accordingly, flows for this use must be:
- Flows that are suitable so that the system falls within the parametric window of stability. Multiplexing (i.e. several sets of concentric tubes) may be used, if me flows required are greater than those of an individual cell.
- Flows that are suitable so that the mass relation ofthe fluids falls within the specifications of each application. Of course, a greater flow of liquid may be supplied externally by any means in specific applications, since this does not interfere with the functioning of the atomizer.
Therefore, any means for continuous supply of gas (compressors, pressure deposits, etc.) and of liquid (volumetric pumps, pressure bottles, etc.) may be used. If multiplexing is desired, the flow of gas must be as homogeneous as possible between the various cells, which may require impulse through multiple capillary needles, porous media, or any other medium capable of distributing a homogeneous flow among different feeding points. Each dispersion device will consist of concentric tubes 31, 32 with a diameter ranging between 0.05 and 2 mm, preferably between 0J and 0.4 mm, on which the drop from which the microjet emanates can be anchored, and a small orifice (between 0.001 and 2 mm in diameter, preferably between 0.1 and 0.25 mm), facing the drop and separated from the point of feeding by a distance between 0.001 and 2 mm, preferably between 0.2 and 0.5 mm. The orifice puts the liquid that surrounds the drop, at higher pressure, in touch with the area in which the dispersion is to be attained, at lower pressure.
EMBODIMENT OF FIGURE 3 The embodiments of Figures 1 and 2 are similar in a number of ways. Both have a feeding piece which is preferably in the form of a feeding needle with a circular exit opening. Further, both have an exit port in the pressure chamber which is positioned directly in front ofthe flow path of fluid out ofthe feeding source. Precisely maintaining the alignment ofthe flow path ofthe feeding source with the exit port ofthe pressure chamber can present an engineering challenge particularly when the device includes a number of feeding needles. The embodiment of Figure 3 is designed to simplify the manner in which components are aligned. The embodiment of Figure 3 uses a planar feeding piece, which by virtue ofthe withdrawal effect produced by the pressure difference across a small opening through which fluid is passed permits multiple microjets to be expelled through multiple exit ports of a pressure chamber thereby obtaining multiple aerosol streams.
Although a single planar feeding member is shown in Figure 3 it, of course, is possible to produce a device with a plurality of planar feeding members where each planar feeding member feeds fluid to a linear array of outlet orifices in the surrounding pressure chamber. In addition, the feeding member need not be strictly planar, and may be a curved feeding device comprised of two surfaces that maintain approximately the same spatial distance between the two pieces ofthe feeding source. Such curved devices may have any level of curvature, e.g. circular, semicircular, elliptical, hemi-elliptical, etc.
The components ofthe embodiment of Figure 3 are as follows: 41. Feeding piece. 42. End of the feeding piece used to insert the gas to be dispersed.
43. Pressure chamber.
44. Orifice used as liquid inlet. 45. End ofthe feeding needle used to evacuate the gas to be dispersed.
46. Orifices through which withdrawal takes place.
47. Dispersion bubbles.
48. First fluid containing material to be dispersed. 49. Second fluid for creation of microjet.
50. Wall ofthe propulsion chamber facing the edge ofthe feeding piece.
51. Channels for guidance of fluid through feeding piece. dj = diameter ofthe microjet formed; pA= density of first fluid (48); pB= density of second fluid (49). vA= velocity ofthe first fluid (48);
Figure imgf000024_0001
ofthe second fluid (49); e = axial length ofthe orifice through which withdrawal takes place; H = distance from the feeding needle to the microjet outlet; P0 = pressure inside the chamber; Λpg= change in pressure of the gas; Pa = atmospheric pressure; Q= volumetric flow rate
The proposed dispersion device consists of a feeding piece 41 which creates a planar feeding channel through which a where a first fluid 48 flows. The flow is preferably directed through one or more channels of uniform bores that are constructed on the planar surface of the feeding piece 41. A pressure chamber 43 that holds the propelling flow of a second liquid 49, houses the feeding piece 41 and is under a pressure above maintained outside the chamber wall 50. One or more orifices, openings or slots (outlets) 46 made in the wall 52 of the propulsion chamber face the edge of the feeding piece. Preferably, each bore or channel of the feeding piece 41 has its flow path substantially aligned with an outlet 46.
When the second fluid 49 is a liquid and the first fluid 48 is a gas, the facts that the liquid is much more viscous and that the gas is much less dense virtually equalize the fluid and gas velocities. The gas microthread formed is much shorter; however, because its rupture zone is almost invariably located in a laminar flowing stream, dispersion in the size of the microbubbles formed is almost always small. At a volumetric gas flow-rate Qg and a liquid overpressure ΔR the diameter of the gas microjet is given by
Figure imgf000024_0002
The low liquid velocity and the absence of relative velocities between the liquid and gas lead to die Rayleigh relation between the diameters of the microthread and those of the bubbles (i.e. d = 1.894).
OXYGENATION OF WATER
More fish die from a lack of oxygen than any other cause. Fish exposed to low oxygen conditions become much more vulnerable to disease, parasites and infection, since low oxygen levels will (1) lower the oxidation/reduction potential (ORP) (2) favor growth of disease causing pathogens and (3) disrupt d e function of many commercially available biofilters. Moreover, stress will reduce the fish activity level, growth rate, and may interfere with proper development. A continuous healthy minimum of oxygen is approximately a 6 parts per million (ppm) oxyge water ratio, which is approximately 24 grams of dissolved oxygen per 1000 gallons of water. Fish consume on average 18 grams of oxygen per hour for every ten pounds of fish. Low level stress and poor feeding response can be seen at oxygen levels of 4-5 ppm. Acute stress, no feeding and inactivity can be seen at oxygen levels of 2-4 ppm, and oxygen levels of approximately 1-2 ppm generally result in death. These numbers are merely a guideline since a number of variable (e.g., water temperature, water quality, condition of fish, level of other gasses, etc.) all may impact on actual oxygen needs. Proper aeration depends primarily on two factors: the gentleness and direction of water flow and d e size and amount of me air bubbles. With respect to the latter, smaller air bubbles are preferable because they (1) increase the surface are between me air and die water, providing a larger area for oxygen diffusion and (2) smaller bubbles stay suspended in water longer, providing a greater time period over which me oxygen may diffuse into the water.
The technology of the invention provides a method for aerating water for me proper growth and maintenance of fish. A device of me invention for such a use would provide an oxygenated gas, preferably air, as die first fluid, and a liquid, preferably water, as the second fluid. The air provided in a feeding source will be focused by d e flow of the surrounding water, creating a stable cusp at the interface of the two fluids. The p.articles containing the gas nucleus, and preferably air nucleus, are expelled into the liquid medium where aeration is desired. BUBBLES INTO LIQUID OR GAS
Figures 7 and 8 are useful in showing how bubbles may be formed in either a liquid (Figure 7) or a gas (Figure 8). In Figure 7 a tubular feeding source 71 is continually supplied with a flow of gas which forms a stable cusp 72 which is surrounded by the flow of liquid 73 in the pressure chamber 74 which is continually supplied with a flow of liquid 73. The liquid 73 flows out ofthe chamber 74 into a liquid 75 which may be the same as or different from the liquid 73.
The cusp 72 of gas narrows to a capillary supercritical flow 76 and then enter the exit opening 77 ofthe chamber 74. At a point 78 in the exit opening 77 the supercritical flow 76 begins to destabilize but remains as a critical capillary flow until leaving the exit opening 77. Upon leaving the exit opening 77 the gas stream breaks apart and forms bubbles 79 each of which are substantially identical to the others in shape and size. The uniformity of bubbles is such that one bubble differs from another (in terms of measured physical diameter) in an amount in a range of standard deviation of ±0.01% to ±30% witii a preferred deviation being less than 1%. Thus, the uniformity in size ofthe bubbles is greater than the uniformity ofthe particles formed as described above in connection with Figure 1 when liquid particles are formed.
Gas in the bubbles 79 will diffuse into the liquid 75. Smaller bubbles provide for greater surface area contact with the liquid 75. Smaller bubbles provide for greater surface area contact with the liquid 75 thereby allowing for a faster rate of diffusion men would occur if the same volume of gas were present in a smaller number of bubbles. For example, ten bubbles each containing 1 cubic mm of gas would diffuse gas into the liquid much more rapidly than one bubble containing 10 cubic mm of gas. Further, smaller bubbles rise to the liquid surface more slowly than larger bubbles. A slower rate of ascent in the liquid means that the gas bubbles are in contact with the liquid for a longer period of time thereby increasing the amount of diffusion of gas into the liquid. Thus, smaller bubbles could allow a greater amount of oxygen to diffuse into water (e.g., to sewage or where fish are raised) or allow a greater amount of a toxic gas (e.g., a radioactive gas) to diffuse into a liquid thereby concentrating the toxin for disposal. Because the bubbles are so uniform in size the amount of gas diffusing into the liquid can be uniformly calculated which is important in certain applications such as when diffusing CO2 into carbonated drinks. Figure 8 shows the same components as shown in Figure 7 except that the liquid 75 is replaced with a gas 80. When the stream of bubbles 79 disassociate the liquid 73 forms an outer spherical cover thereby providing hollow droplets 81 which will float in the gas 80. The hollow droplets 81 have a large physical or actual diameter relative to tiieir aerodynamic diameter. Hollow droplets fall in air at a much slower rate compared to liquid droplets ofthe same diameter. Because the hollow droplets 81 do not settle or fall quickly in air they can evaporate and diffuse the evaporated liquid into surrounding air. Eventually the hollow droplets 81 will burst and form many smaller particles which diffuse these particles into the surrounding air. Thus, it is understood that the aerodynamic diameter of the hollow droplets is very small compared to their actual physical diameter. The creation of hollow droplets 81 which burst and form very small particles is applicable in a wide range of different applications including the creation of mists of water for cooling systems.
EMULSIONS Figure 9 is similar to Figures 7 and 8. However, rather than a gas 72 as in Figure
7 the feeding source 71 provides a stream of liquid 82 which may be miscible but is preferably immiscible in the liquid 73. Further the liquid 73 may be the same as or different from the liquid 75 but is preferably immiscible in the liquid 75. The creation of emulsions using such a configuration of liquids has applicability in a variety of fields particularly because the liquid particles formed can have a size in the range of from about 1 to about 200 microns with a standard deviation in size of one particle to another being as little as 0.01%. The size deviation of one particle to another can vary up to about 30% and is preferably less than ±5% and more preferably less man ±1%.
The system operates to expel the liquid 82 out ofthe exit orifice 77 to form spheres 83 of liquid 82. Each sphere 83 has an actual physical diameter which deviates from other spheres 83 by a standard deviation of ±0.01% to ±30%, preferably 10% or less and more preferably 1% or less. The size ofthe spheres 83 and flow rate of liquid 82 is controlled so that each sphere 83 contain a single particle (e.g. a single cell) to be examined. The stream of spheres 83 is caused to flow past a sensor and/or energy source of any desired type tiiereby allowing for sphere-by-sphere analysis ofthe sample of liquid 82. EMULSIONS
In Figure 9 the liquid 75 can be a gas (e.g., air). The liquid 82 could be water which is surrounded by a second liquid 73 which is a compound for creating a desired odor e.g., a perfume. The system then forms particles 83 which have a water center and an outer coating of fuel. Such water/perfume particles will rapidly disperse the perfume at a low cost.
While the present invention has been described with reference to the specific embodiments thereof, it should be understood by those skilled in the art that various changes may be made and equivalents may be substituted without departing from the true spirit and scope ofthe invention. In addition, many modifications may be made to adapt a particular situation, material, composition of matter, process, process step or steps, to the objective, spirit and scope ofthe present invention. All such modifications are intended to be within the scope of the claims appended hereto.

Claims

What is claimed is:
1. A monodispersion of bubbles for diffusing gas into a fluid, comprising gas bubbles in a liquid wherein me bubbles are characterized by having approximately the same diameter with a deviation in diameter from one bubble to another in a range of from about +0.01 % to about +30%.
2. The monodispersion of bubbles of claim 1 , wherein me monodispersion comprises more man one thousand bubbles and die bubbles have a diameter in a range of from about 0.1 micron to about 100 microns.
3. The monodispersion of claim 1 , wherein the gas is contaminated with a compound soluble in the fluid.
4. The monodispersion of claim 1, wherein the gas is selected from me group consisting of air, oxygen, and carbon dioxide, and wherein d e liquid is an aqueous liquid is selected from me group consisting of water, sweetened water, and sewage; and wherein the bubbles are created by a flow stream of gas from a source through a second liquid in a pressure chamber, and wherein the second liquid is forced out of an exit orifice of the pressure chamber while surrounding and focusing me flow stream of gas into the first liquid where the focused flow stream of gas breaks up to form the bubbles.
5. The monodispersion of claim 2, wherein me bubbles are each substantially identical to each other in physical diameter with a standard deviation of about +5% or less.
6. The monodispersion of bubbles of claim 5, wherein the standard deviation is about 1 % or less.
A device for aeration of a fluid comprising: a means for providing a gas, said means comprising a gas entrance port and a gas exit port at which the gas is provided; and a pressure chamber for providing a pressurized fluid to an area surrounding the gas exit port, the pressure chamber comprising a second fluid entrance port and a second fluid exit port; wherein said second fluid exit port is aligned with the gas exit port.
8. The device of claim 7, wherein the second fluid is a liquid in a form selected from the group consisting of a solution, a suspension, and an emulsion; wherein the first means for providing the first fluid is a feeding needle having a cylindrical channel tiierein whereby the gas entrance port and gas exit port are each circular; wherein the feeding needle exit port has a diameter in the range of from about 0.002 to about 2 mm, and the pressure chamber exit port has a diameter in the range of about 0.002 mm to about 2 mm.
9. The device of claim 7, wherein me first means for providing a gas is a channel created between a first member surface and a second member surface positioned parallel to the first planar member surface.
10. The device of claim 9 wherein the first planar member is further comprised of a plurality of channels and the pressure chamber comprises a plurality of pressure fluid exit ports positioned in front of a flow path of a channel; wherein each channel has a diameter in me range of from about 0.01 mm to about 0.4 mm and the pressure chamber exit port has a diameter in me range of about 0.01 mm to about 0.25 mm.
11. A method of aerating a fluid, comprising the steps of: forcing a gas from a source opening into a first liquid in a manner so as to create a flow stream of the gas through the first liquid, wherein die gas is comprised of molecules to be diffused into a second liquid; moving the first liquid in a pressure chamber surrounding me source opening, out of an exit orifice in the pressure chamber wherein the flow stream of the gas flows out the exit orifice into the second liquid wherein me flow stream breaks up forming bubbles of me gas in the second liquid; and allowing molecules in the gas bubbles to diffuse into me second liquid.
12. The method of claim 11, wherein the bubbles have a size in a range of from about 0J micron to about 100 microns; wherein the bubbles are characterized by having substantially die same diameter witii a deviation in diameter from one particle to another in a range of from about +0.01 % to about +30% ; wherein die bubbles are emitted at regularly spaced intervals from the exit orifice of the pressure chamber; and wherein the bubbles have a diameter in a range of from about 1 micron to about 20 microns and are comprised of a gas selected from the group consisting of air and oxygen.
13. A monodisperse emulsion, comprising spherical particles of a first liquid in a second liquid which is immiscible in the first liquid wherein the spheres are characterized by each having substantially the same physical diameter witii a standard deviation in diameter in a range of from about ±0.00% to about ±30%.
14. The monodisperse emulsion of claim 13, comprising more that one thousand spherical particles having a diameter in a range of from about 0.1 micron to about 100 microns and size deviation from one particle to another is ±5% or less.
PCT/IB1998/0020571997-12-171998-12-16Device and method for aeration of fluidsWO1999030812A1 (en)

Priority Applications (4)

Application NumberPriority DateFiling DateTitle
AU15732/99AAU745698B2 (en)1997-12-171998-12-16Device and method for aeration of fluids
EP98960050AEP1039965A1 (en)1997-12-171998-12-16Device and method for aeration of fluids
JP2000538781AJP2002508238A (en)1997-12-171998-12-16 Device and method for aeration of fluid
CA002314919ACA2314919A1 (en)1997-12-171998-12-16Device and method for aeration of fluids

Applications Claiming Priority (4)

Application NumberPriority DateFiling DateTitle
ESP97026541997-12-17
ES9702654AES2158741B1 (en)1997-12-171997-12-17 SIPERSION DEVICE OF A FLUID IN ANOTHER IMMISCIBLE IN THE FORM OF MICROGOTS OR MICROBUBBLES UNIFORM SIZE.
US09/191,7561998-11-13
US09/191,756US6196525B1 (en)1996-05-131998-11-13Device and method for fluid aeration via gas forced through a liquid within an orifice of a pressure chamber

Publications (1)

Publication NumberPublication Date
WO1999030812A1true WO1999030812A1 (en)1999-06-24

Family

ID=26155106

Family Applications (1)

Application NumberTitlePriority DateFiling Date
PCT/IB1998/002057WO1999030812A1 (en)1997-12-171998-12-16Device and method for aeration of fluids

Country Status (5)

CountryLink
EP (1)EP1039965A1 (en)
JP (1)JP2002508238A (en)
AU (1)AU745698B2 (en)
CA (1)CA2314919A1 (en)
WO (1)WO1999030812A1 (en)

Cited By (23)

* Cited by examiner, † Cited by third party
Publication numberPriority datePublication dateAssigneeTitle
US6248378B1 (en)*1998-12-162001-06-19Universidad De SevillaEnhanced food products
US6399362B1 (en)1997-06-122002-06-04Regents Of The University Of MinnesotaElectrospraying apparatus and method for introducing material into cells
US6595202B2 (en)1996-05-132003-07-22Universidad De SevillaDevice and method for creating aerosols for drug delivery
US6764720B2 (en)2000-05-162004-07-20Regents Of The University Of MinnesotaHigh mass throughput particle generation using multiple nozzle spraying
US6958848B2 (en)2002-05-232005-10-25E Ink CorporationCapsules, materials for use therein and electrophoretic media and displays containing such capsules
US7247338B2 (en)2001-05-162007-07-24Regents Of The University Of MinnesotaCoating medical devices
CN102500489A (en)*2011-11-062012-06-20中国科学技术大学Spray gun spray nozzle capable of realizing minuteness atomization
US8261726B2 (en)2008-07-032012-09-11H R D CorporationHigh shear process for air/fuel mixing
US8287175B2 (en)2006-10-302012-10-16Perlemax LimitedBubble generation for aeration and other purposes
US8293313B2 (en)2005-10-262012-10-23Compagnie Gervais DanoneMicrofoamed fruit or vegetable puree and method for preparing same
WO2014060740A1 (en)2012-10-152014-04-24Perlemax LimitedBubble generation to strip components of a liquid
US9040816B2 (en)2006-12-082015-05-26Nanocopoeia, Inc.Methods and apparatus for forming photovoltaic cells using electrospray
US9108217B2 (en)2006-01-312015-08-18Nanocopoeia, Inc.Nanoparticle coating of surfaces
CN104955342A (en)*2012-10-222015-09-30马斯公司 Inflatable Injection Molded Pet Chews
US9248217B2 (en)2006-01-312016-02-02Nanocopocia, LLCNanoparticle coating of surfaces
US9289787B2 (en)2010-05-282016-03-22Arizona Board Of Regents, A Body Corporate Of The State Of Arizona, Acting For And On Behalf Of Arizona State UniversityApparatus and methods for a gas dynamic virtual nozzle
US9642694B2 (en)2006-01-312017-05-09Regents Of The University Of MinnesotaDevice with electrospray coating to deliver active ingredients
US9643140B2 (en)2014-05-222017-05-09MikroFlot Technologies LLCLow energy microbubble generation system and apparatus
EP3202491A1 (en)*2016-02-022017-08-09Universite Libre De BruxellesAnti-bubble generator
US9821325B2 (en)2013-04-302017-11-21Arizona Board Of Regents On Behalf Of Arizona State UniversityApparatus and methods for lipidic cubic phase (LCP) injection for membrane protein investigations
US9839922B2 (en)2013-03-152017-12-12Arizona Board Of Regents Acting For And On Behalf Of Arizona State UniversityMethod and device of producing an intermittent liquid jet
US10369579B1 (en)2018-09-042019-08-06Zyxogen, LlcMulti-orifice nozzle for droplet atomization
US10377651B2 (en)2006-10-302019-08-13Perlemax LtdBubble generation for aeration and other purposes

Families Citing this family (4)

* Cited by examiner, † Cited by third party
Publication numberPriority datePublication dateAssigneeTitle
JP4522153B2 (en)*2004-06-072010-08-11株式会社アクアテック Plant growth method
EP1839760A1 (en)*2005-01-172007-10-03Universidad de SevillaMethod and device for the micromixing of fluids using a reflux cell
GB0712863D0 (en)*2007-07-032007-08-08Eastman Kodak CoMonodisperse droplet generation
BE1021522B1 (en)2012-09-122015-12-07S.A. Lhoist Recherche Et Developpement HIGH FINENSE LIME MILK COMPOSITION

Citations (12)

* Cited by examiner, † Cited by third party
Publication numberPriority datePublication dateAssigneeTitle
US3804255A (en)*1972-10-181974-04-16R SpeeceRecycling gas contact apparatus
US4444961A (en)*1980-10-301984-04-24The Dow Chemical CompanyProcess and apparatus for preparing uniform size polymer beads
WO1990005583A1 (en)*1988-11-221990-05-31Dunne Miller Weston LimitedLiquid-gas mixing device
JPH03169331A (en)*1989-11-301991-07-23Fuji Debuison Kagaku KkPreparation of emulsion
US5087292A (en)*1989-04-111992-02-11L'Air Liquide, Societe Anonyme pour l'Etude et l Exploitation des Procedes Georges ClaudeProcess and apparatus for treating a liquid with a gas
DE4031262A1 (en)*1990-09-191992-04-09Jakutskij Ni I Pi Almazodobyva FLOTATION APPARATUS
GB2255291A (en)*1991-05-031992-11-04Exxon Research Engineering CoBitumen emulsions.
WO1994023129A1 (en)*1993-03-261994-10-13Exxon Research And Engineering CompanyBituminous surface construction
US5364632A (en)*1989-04-051994-11-15Yissum Research Development Company Of The Hebrew University Of JerusalemMedicinal emulsions
US5372867A (en)*1990-09-061994-12-13Teijin LimitedPolyester film for laminated metal sheet drawing and processing containing solid lubricant and having specified protrusion rate
US5397001A (en)*1988-01-271995-03-14Virginia Polytechnic Institute & State U.Apparatus for the separation of hydrophobic and hydrophilic particles using microbubble column flotation together with a process and apparatus for generation of microbubbles
US5597491A (en)*1992-12-041997-01-28Water Pollution Control CorporationDirect delivery in-situ diffuser cleaning

Family Cites Families (1)

* Cited by examiner, † Cited by third party
Publication numberPriority datePublication dateAssigneeTitle
US4752383A (en)*1986-08-051988-06-21The United States Of America As Represented By The Secretary Of The InteriorBubble generator

Patent Citations (12)

* Cited by examiner, † Cited by third party
Publication numberPriority datePublication dateAssigneeTitle
US3804255A (en)*1972-10-181974-04-16R SpeeceRecycling gas contact apparatus
US4444961A (en)*1980-10-301984-04-24The Dow Chemical CompanyProcess and apparatus for preparing uniform size polymer beads
US5397001A (en)*1988-01-271995-03-14Virginia Polytechnic Institute & State U.Apparatus for the separation of hydrophobic and hydrophilic particles using microbubble column flotation together with a process and apparatus for generation of microbubbles
WO1990005583A1 (en)*1988-11-221990-05-31Dunne Miller Weston LimitedLiquid-gas mixing device
US5364632A (en)*1989-04-051994-11-15Yissum Research Development Company Of The Hebrew University Of JerusalemMedicinal emulsions
US5087292A (en)*1989-04-111992-02-11L'Air Liquide, Societe Anonyme pour l'Etude et l Exploitation des Procedes Georges ClaudeProcess and apparatus for treating a liquid with a gas
JPH03169331A (en)*1989-11-301991-07-23Fuji Debuison Kagaku KkPreparation of emulsion
US5372867A (en)*1990-09-061994-12-13Teijin LimitedPolyester film for laminated metal sheet drawing and processing containing solid lubricant and having specified protrusion rate
DE4031262A1 (en)*1990-09-191992-04-09Jakutskij Ni I Pi Almazodobyva FLOTATION APPARATUS
GB2255291A (en)*1991-05-031992-11-04Exxon Research Engineering CoBitumen emulsions.
US5597491A (en)*1992-12-041997-01-28Water Pollution Control CorporationDirect delivery in-situ diffuser cleaning
WO1994023129A1 (en)*1993-03-261994-10-13Exxon Research And Engineering CompanyBituminous surface construction

Non-Patent Citations (7)

* Cited by examiner, † Cited by third party
Title
A.M.GANAN-CALVO (1997) LOSCERTALES (1994): "CURRENT AND DROPLET SIZE IN THE ELECTROSPRAYING OF LIQUIDS: SCALING LAWS.", J.AEROSOL SCI., no. 28, 1997, pages 249 - 275
B.Y.LIU ET AL.: "A SUBMICRON STANDARD AND THE PRIMARY ABSOLUTE CALIBRATION OF THE CONDENSATION NUCLEI COUNTER", J.COLOID INTERFACE SCI., no. 47, 1974, pages 155 - 171
FERNANDEZ DE LA MORA ET AL.: "THE CURRENT TRANSMITTED THROUGH AN ELECTRIFIED CONICAL MENISCUS", J.FLUID MECH., no. 260, 1994, pages 155 - 184
HARTMAN ET AL: "ELECTROHYDRODYNAMIC ATOMIZATION IN THE CONE-JET MODE", SF WORKSHOP ON ELECTOSPRAY, 28 February 1997 (1997-02-28)
LORD RALEIGH: "ON THE INSTABILITY OF JETS", PROC.LONDON MATH.SOC., no. 10, 1878, pages 4 - 13
M.CLOUPEAN ET AL.: "ELECTROSTATIC SPRAYING OF LIQUIDS IN CONE JET MODE", J.ELECTROSTAT, no. 22, 1989, pages 135 - 159
PATENT ABSTRACTS OF JAPAN vol. 015, no. 409 (C - 0876) 18 October 1991 (1991-10-18)*

Cited By (33)

* Cited by examiner, † Cited by third party
Publication numberPriority datePublication dateAssigneeTitle
US6595202B2 (en)1996-05-132003-07-22Universidad De SevillaDevice and method for creating aerosols for drug delivery
US7279322B2 (en)1997-06-122007-10-09Regents Of The University Of MinnesotaElectrospraying apparatus and method for coating particles
US6399362B1 (en)1997-06-122002-06-04Regents Of The University Of MinnesotaElectrospraying apparatus and method for introducing material into cells
US6746869B2 (en)1997-06-122004-06-08Regents Of The University Of MinnesotaElectrospraying apparatus and method for coating particles
US6248378B1 (en)*1998-12-162001-06-19Universidad De SevillaEnhanced food products
US6764720B2 (en)2000-05-162004-07-20Regents Of The University Of MinnesotaHigh mass throughput particle generation using multiple nozzle spraying
US7498063B2 (en)2000-05-162009-03-03Regents Of The University Of MinnesotaHigh mass throughput particle generation using multiple nozzle spraying
US9050611B2 (en)2000-05-162015-06-09Regents Of The University Of MinnesotaHigh mass throughput particle generation using multiple nozzle spraying
US7247338B2 (en)2001-05-162007-07-24Regents Of The University Of MinnesotaCoating medical devices
US6958848B2 (en)2002-05-232005-10-25E Ink CorporationCapsules, materials for use therein and electrophoretic media and displays containing such capsules
US7061663B2 (en)2002-05-232006-06-13E Ink CorporationCapsules, materials for use therein and electrophoretic media and displays containing such capsules
US7202991B2 (en)2002-05-232007-04-10E Ink CorporationCapsules, materials for use therein and electrophoretic media and displays containing such capsules
US8293313B2 (en)2005-10-262012-10-23Compagnie Gervais DanoneMicrofoamed fruit or vegetable puree and method for preparing same
US9642694B2 (en)2006-01-312017-05-09Regents Of The University Of MinnesotaDevice with electrospray coating to deliver active ingredients
US9108217B2 (en)2006-01-312015-08-18Nanocopoeia, Inc.Nanoparticle coating of surfaces
US10252289B2 (en)2006-01-312019-04-09Nanocopoeia, Inc.Nanoparticle coating of surfaces
US9248217B2 (en)2006-01-312016-02-02Nanocopocia, LLCNanoparticle coating of surfaces
US10377651B2 (en)2006-10-302019-08-13Perlemax LtdBubble generation for aeration and other purposes
US8287175B2 (en)2006-10-302012-10-16Perlemax LimitedBubble generation for aeration and other purposes
US9040816B2 (en)2006-12-082015-05-26Nanocopoeia, Inc.Methods and apparatus for forming photovoltaic cells using electrospray
US8261726B2 (en)2008-07-032012-09-11H R D CorporationHigh shear process for air/fuel mixing
US8522759B2 (en)2008-07-032013-09-03H R D CorporationHigh shear process for air/fuel mixing
US8807123B2 (en)2008-07-032014-08-19H R D CorporationHigh shear process for air/fuel mixing
US9289787B2 (en)2010-05-282016-03-22Arizona Board Of Regents, A Body Corporate Of The State Of Arizona, Acting For And On Behalf Of Arizona State UniversityApparatus and methods for a gas dynamic virtual nozzle
CN102500489A (en)*2011-11-062012-06-20中国科学技术大学Spray gun spray nozzle capable of realizing minuteness atomization
WO2014060740A1 (en)2012-10-152014-04-24Perlemax LimitedBubble generation to strip components of a liquid
CN104955342A (en)*2012-10-222015-09-30马斯公司 Inflatable Injection Molded Pet Chews
CN104955342B (en)*2012-10-222020-11-10马斯公司 Inflatable Injection Molded Pet Chews
US9839922B2 (en)2013-03-152017-12-12Arizona Board Of Regents Acting For And On Behalf Of Arizona State UniversityMethod and device of producing an intermittent liquid jet
US9821325B2 (en)2013-04-302017-11-21Arizona Board Of Regents On Behalf Of Arizona State UniversityApparatus and methods for lipidic cubic phase (LCP) injection for membrane protein investigations
US9643140B2 (en)2014-05-222017-05-09MikroFlot Technologies LLCLow energy microbubble generation system and apparatus
EP3202491A1 (en)*2016-02-022017-08-09Universite Libre De BruxellesAnti-bubble generator
US10369579B1 (en)2018-09-042019-08-06Zyxogen, LlcMulti-orifice nozzle for droplet atomization

Also Published As

Publication numberPublication date
AU1573299A (en)1999-07-05
JP2002508238A (en)2002-03-19
CA2314919A1 (en)1999-06-24
EP1039965A1 (en)2000-10-04
AU745698B2 (en)2002-03-28

Similar Documents

PublicationPublication DateTitle
US6196525B1 (en)Device and method for fluid aeration via gas forced through a liquid within an orifice of a pressure chamber
US6299145B1 (en)Device and method for fluid aeration via gas forced through a liquid within an orifice of a pressure chamber
AU745698B2 (en)Device and method for aeration of fluids
US6197835B1 (en)Device and method for creating spherical particles of uniform size
AU745904B2 (en)Device and method for creating spherical particles of uniform size
US6405936B1 (en)Stabilized capillary microjet and devices and methods for producing same
US6386463B1 (en)Fuel injection nozzle and method of use
US6189803B1 (en)Fuel injection nozzle and method of use
CA2254969C (en)Liquid atomization process
CA2314918A1 (en)Device and method for creating dry particles
WO1999030835A1 (en)Method and device for production of components for microfabrication
AU745991B2 (en)Fuel injection nozzle and method of use

Legal Events

DateCodeTitleDescription
AKDesignated states

Kind code of ref document:A1

Designated state(s):AL AM AT AU AZ BA BB BG BR BY CA CH CN CU CZ DE DK EE ES FI GB GD GE GH GM HR HU ID IL IN IS JP KE KG KP KR KZ LC LK LR LS LT LU LV MD MG MK MN MW MX NO NZ PL PT RO RU SD SE SG SI SK SL TJ TM TR TT UA UG US UZ VN YU ZW

ALDesignated countries for regional patents

Kind code of ref document:A1

Designated state(s):GH GM KE LS MW SD SZ UG ZW AM AZ BY KG KZ MD RU TJ TM AT BE CH CY DE DK ES FI FR GB GR IE IT LU MC NL PT SE BF BJ CF CG CI CM GA GN GW ML MR NE SN TD TG

121Ep: the epo has been informed by wipo that ep was designated in this application
DFPERequest for preliminary examination filed prior to expiration of 19th month from priority date (pct application filed before 20040101)
REGReference to national code

Ref country code:DE

Ref legal event code:8642

ENPEntry into the national phase

Ref document number:2314919

Country of ref document:CA

Kind code of ref document:A

Ref document number:2314919

WWEWipo information: entry into national phase

Ref document number:1998960050

Country of ref document:EP

Ref document number:15732/99

Country of ref document:AU

NENPNon-entry into the national phase

Ref country code:KR

WWPWipo information: published in national office

Ref document number:1998960050

Country of ref document:EP

WWGWipo information: grant in national office

Ref document number:15732/99

Country of ref document:AU

WWWWipo information: withdrawn in national office

Ref document number:1998960050

Country of ref document:EP


[8]ページ先頭

©2009-2025 Movatter.jp