Movatterモバイル変換


[0]ホーム

URL:


WO1999025520A1 - Method and apparatus for modeling a chemical mechanical polishing process - Google Patents

Method and apparatus for modeling a chemical mechanical polishing process
Download PDF

Info

Publication number
WO1999025520A1
WO1999025520A1PCT/US1998/024231US9824231WWO9925520A1WO 1999025520 A1WO1999025520 A1WO 1999025520A1US 9824231 WUS9824231 WUS 9824231WWO 9925520 A1WO9925520 A1WO 9925520A1
Authority
WO
WIPO (PCT)
Prior art keywords
cmp
modeling
result
feature
scale
Prior art date
Application number
PCT/US1998/024231
Other languages
French (fr)
Inventor
Scott R. Runnels
Inki Kim
Original Assignee
Speedfam-Ipec Corporation
Priority date (The priority date is an assumption and is not a legal conclusion. Google has not performed a legal analysis and makes no representation as to the accuracy of the date listed.)
Filing date
Publication date
Application filed by Speedfam-Ipec CorporationfiledCriticalSpeedfam-Ipec Corporation
Priority to KR1020007005419ApriorityCriticalpatent/KR20010032223A/en
Priority to JP2000520940Aprioritypatent/JP2001523586A/en
Priority to DE19882821Tprioritypatent/DE19882821T1/en
Priority to GB0010451Aprioritypatent/GB2346103A/en
Publication of WO1999025520A1publicationCriticalpatent/WO1999025520A1/en

Links

Classifications

Definitions

Landscapes

Abstract

A chemical mechanical polishing (CMP) modeling system is capable of simulating both wafer-scale uniformity and feature-scale planarity results associated with a given CMP procedure. The modeling system optimizes its modeling parameters by comparing the simulated CMP results to corresponding empirical CMP results. The modeling system is also capable of optimizing the CMP process parameters such that the empirical CMP result approximates an ideal or predetermined CMP result defined by the user. The modeling system leverages historical empirical data to generate interpolation formulas for the modeling parameters. The use of such interpolation formulas enables the modeling system to simulate CMP procedures for which no empirical data exists.

Description

METHOD AND APPARATUS FOR MODELING A CHEMICAL MECHANICAL POLISHING PROCESS
TECHNICAL FIELD OF THE INVENTION
The present invention relates generally to chemical mechanical polishing (CMP) systems that process workpieces such as semiconductor wafers. More particularly, the present invention relates to a modeling system that simulates CMP results and facilitates the optimization of the process parameters associated with the CMP system in accordance with a specified balance between global uniformity and feature-scale planarity of a workpiece.
BACKGROUND OF THE INVENTION Chemical mechanical polishing (CMP) of semiconductor wafers has become the preferred method for planarizing dielectric and other material layers at various stages of integrated circuit fabrication. During the CMP process, a workpiece surface is held against a rotating platen that may be covered with one or more slurry-soaked polishing pads. In a typical prior art CMP system, a relatively soft base pad is used in conjunction with a relatively stiff upper pad (e.g., a polyurethane pad). The slurry used for most CMP systems is a water based composition having suspended colloidal silica particles.
CMP systems are often used to process the silicon dioxide (commonly referred to as "oxide") layers from semiconductor wafers. The objective of CMP processes is to uniformly remove material across the wafer such that the small (sub-micron to millimeter) features that populate the wafer surface are eliminated. In doing so, the overall global characteristics of the wafer surface are to be maintained. Consequently, effective CMP systems are capable of providing wafer-scale uniformity (i.e., uniform material removal over the surface of the workpiece) in addition to feature-scale planarity (i.e., removal of small features).
The quality of a CMP process may be expressed in terms of the workpiece uniformity or planarity. Consequently, the particular CMP process parameters, slurry composition, and/or polishing recipe are typically selected such that the processed wafer satisfies a desired uniformity or planarity requirement. For example, a rigid upper pad tends to planarize the surface of a workpiece better than a comparatively resilient upper pad. In contrast, a relatively soft upper pad provides better global uniformity because it can conform to the overall shape and contour of the workpiece surface. Many prior art CMP modeling systems calculate the CMP parameters to optimize global uniformity of the workpiece without considering the negative effect that such optimization may have on the feature-scale planarity of the workpiece. Such systems fail to effectively strike an optimized balance between both uniformity and planarity.
One prior art system (disclosed in U.S. Pat. No. 5,599,423, issued February 4, 1997 to Parker et al.) is designed to simulate and optimize a semiconductor wafer polishing process. The Parker et al. system primarily relies upon experimental techniques to optimize the polishing parameters. In particular, the Parker et al. system iteratively varies the polishing recipe and consumable set, measures the actual polishing results associated with each process iteration, and analyzes the empirical data to determine an optimized polishing process. However, this system merely optimizes the global uniformity of the wafer surface without regard to the effect that such optimization will have on the feature-scale planarity of the wafer. Due to its inherent limitations, this system is not capable of optimizing the CMP process parameters in accordance with an initial feature-scale pattern or in accordance with an intended planarization characteristic of the processed wafer.
Other CMP modeling or simulation techniques lack the capability to calculate modeling parameters such that simulation errors are minimized. Such CMP modeling systems may produce inaccurate simulation results that do not take advantage of historical empirical data associated with the particular set of CMP process parameters. Furthermore, prior art CMP modeling systems are limited to use with a particular CMP system. Such modeling systems are not capable of processing empirical and/or simulated processing results associated with one CMP system to model or design a theoretical CMP system having a number of different physical characteristics and a number of different process parameters.
Thus, a CMP modeling system is needed to address the foregoing limitations of the prior art.
SUMMARY OF THE INVENTION Accordingly, it is an advantage of the present invention that an improved chemical mechanical polishing (CMP) modeling system is provided.
Another advantage of the present invention is that the CMP modeling system is capable of providing both wafer-scale simulations and feature-scale simulations.
Another advantage is that the CMP modeling system can generate an optimized set of CMP process parameters based on a specified balance between wafer uniformity and planarity. A further advantage of the present invention is that it provides a CMP modeling system that calculates its modeling parameters in accordance with empirically determined CMP results to thereby minimize simulation errors.
Another advantage is that the present invention provides a CMP modeling system that employs inteφolation techniques to effectively simulate CMP results for which little or no empirical data exists. An additional advantage of the CMP modeling system is that simulation data collected for an existing CMP system may be used to assist in the design of a new CMP system having different physical and process characteristics than the existing CMP system.
BRIEF DESCRIPTION OF THE DRAWINGS A more complete understanding of the present invention may be derived by referring to the detailed description and claims when considered in connection with the Figures, where like reference numbers refer to similar elements throughout the Figures, and:
FIG. 1 is a schematic block diagram of a chemical mechanical polishing (CMP) modeling system in accordance with the present invention in an exemplary operating environment that includes a CMP system; FIG. 2 is a flow diagram of a CMP simulation process performed by the CMP modeling system;
FIG. 3 is an exemplary wafer-scale simulation result produced by the CMP modeling system;
FIG. 4 is an exemplary feature-scale simulation result produced by the CMP modeling system;
FIG. 5 is a flow diagram of a feature-scale simulation process that may be performed by the CMP modeling system;
FIG. 6 is a schematic rendition of a modeled die pattern and a corresponding deformation model associated with a polishing element; FIG. 7 is a flow diagram of a CMP process parameter optimization process performed by the CMP modeling system;
FIG. 8 is a flow diagram of a model validation process performed by the CMP modeling system; and
FIG. 9 is a flow diagram of an inteφolation formula generation process performed by the CMP modeling system. DETAILED DESCRIPTION OF PREFERRED EXEMPLARY EMBODIMENTS Referring to FIG. 1, a chemical mechanical polishing (CMP) modeling system 10 in accordance with a preferred embodiment of the present invention may be used in conjunction with any suitable CMP system 12. Although modeling system 10 and CMP system 12 may be utilized in the context of any number of workpieces, systems compatible for use with semiconductor wafers are described herein for the sake of convenience and clarity. It should be appreciated that the present invention is not limited to any particular CMP system or any specific type of workpieces. Furthermore, CMP systems are generally well known in the semiconductor fabrication industry and will not be described in detail herein except where necessary for an understanding of the present invention.
Modeling system 10 generally includes at least a computer 14, a user interface 16, and an output device 18. In the preferred embodiment, computer 14 is configured as a conventional personal computer having a processor 20 and a memory 22. In addition to the processes described herein, computer 14 may perform any number of conventional functions unrelated to the present invention and computer 14 may include additional hardware components not shown in FIG. 1. Computer 14 may be alternately configured as part of a mainframe computing system, part of a network environment, or integral to CMP system 12. Indeed, computer 14 may be realized in a variety of forms so long as it includes a sufficient amount of computing power and memory capacity to support the requirements of the present invention. Processor 20 is preferably configured to carry out a number of processes (described below) employed by modeling system 10. Such processes may be realized by software programming instructions stored within memory 22 or within a separate memory element associated with computer 14. For the sake of convenience, FIG. 1 depicts a CMP simulation process 24, a model validation process 26, a CMP optimization process 28, an inteφolation formula generation process 30, and a feature-scale simulation process 31 as functional blocks resident within processor 20. Processor 20 (and/or computer 14) is preferably configured to interact with user interface 16. output device 18, and CMP system 12 (via, e.g., a CMP controller 32).
Memory 22 cooperates with processor 20 in a conventional manner to store, update, and provide modeling, CMP, and user-defined data to and from processor 20. Although memory 22 may be arranged in any suitable manner, FIG. 1 depicts memory 22 organized into a number of distinct databases for the sake of clarity. In particular, modeling system 10 preferably includes at least a CMP process parameter database 34, a modeling parameter database 36, an interpolation formula database 38. an user-defined CMP data database 40, an empirical CMP results database 42. and a simulated CMP results database 44. It should be appreciated that the above databases need not be located in a single memory element and that one or more of the databases may be stored on a removable medium such as a floppy disk or a CD-ROM.
User interface 16 is configured to enable an operator to input data to modeling system 10 as needed to perform the CMP modeling, manipulate the modeling results, and otherwise control the operation of modeling system 10. Although the preferred embodiment employs a conventional keyboard for user interface 16, the present invention may utilize any suitable interface, such as a touch screen display or the like. Output device 18 may be a conventional computer display terminal, a printer, a plotter, or any component suitable for conveying the modeling results and other information utilized by modeling system 10.
CMP system 12 may communicate with modeling system 10 in a manner that facilitates real-time optimization of the CMP process parameters or the CMP recipe as a wafer is being processed. To accomplish this, modeling system 10 may provide adjustment instructions to CMP controller 32 as necessary during the CMP process. Feedback of actual empirical measurement data may be provided to modeling system 10 via CMP controller 32. which may obtain measurement data from any number of in-situ workpiece measurement systems. Systems for the measurement of semiconductor layer thickness, planarity, and uniformity are known to those skilled in the art and are not described in detail herein.
Modeling system 10 generally operates to simulate CMP process results on both a wafer scale (for, e.g., uniformity estimates) and a micro-feature scale (for, e.g., planarity estimates). Modeling system 10 is capable of optimizing the CMP process parameters, e.g., the process recipe, in accordance with a user-defined initial die pattern, a user-defined initial local feature profile, and/or a user-defined weighting of importance between wafer planarity and wafer uniformity. Modeling system 10 generates and utilizes inteφolated modeling formulas that are optimized in accordance with historical empirical data; these modeling formulas may be used to simulate CMP processes for which no empirical data exists or to simulate the performance of theoretical CMP systems.
Referring now to FIG. 2, CMP simulation process 24 employed by modeling system 10 is depicted as a flow diagram. Process 24 is preferably carried out by computer 14. and process 24 may require several user-defined parameters obtained through user interface 16. In the preferred embodiment, an operator is prompted to input specific data in response to a display generated by modeling system 10. In response to such prompts, the user may manually input data from user interface 16. select values from a predetermined table of values generated by modeling system 10. or accept one or more default values presented by modeling system 10.
Process 24 preferably includes a task 52. during which modeling system 10 obtains a plurality of CMP process parameters associated with a CMP procedure to be performed upon a workpiece. In the context of this description, a "CMP process parameter" is any quantity, characteristic, dimension, or other variable that may have an effect upon the outcome of the CMP process. For example, such CMP process parameters may be related to the desired polishing recipe, e.g., polish time, speed of the polishing element and associated acceleration ramp time, workpiece carrier speed and acceleration ramp time, carrier down force and application ramp time, carrier sweep range, and carrier sweep speed. A different polishing recipe may also be specified for distinct polishing stages of the CMP process. In addition to polishing recipe information, the CMP process parameters may relate to the particular CMP system 12 utilized during the CMP process, e.g., dimensions and/or hardness of the polishing pad. dimensions of the workpiece to be processed, characteristics of the carrier sweep range and pivot point, and the like. It should be noted that any number of CMP process parameters may be obtained during task 52 and that modeling system 10 may provide one or more default CMP process parameters or facilitate the selection of one or more preexisting CMP system configurations during task 52. The CMP process parameters may be stored in database 34 (see FIG. 1) for future use.
CMP simulation process 24 also involves a task 54, during which a plurality of initial modeling parameters are obtained by modeling system 10. Once obtained, the modeling parameters may be stored in database 36 and subsequently accessed by modeling system 10. These modeling parameters are utilized by modeling system 10 to compute a simulated CMP result associated with, inter alia, the CMP process parameters. In the preferred embodiment, each modeling parameter is expressed in terms of a quadratic equation having a number of user-definable equation coefficients. Thus, task 54 may obtain or calculate the initial modeling parameters by receiving a number of such equation coefficients from the user. In the context of the present invention, each of the modeling parameters may be a function of one or more of the CMP process parameters, including: the polishing table speed, the workpiece carrier speed, the workpiece carrier down force, the polishing element composition or construction, the slurry characteristics, and the particular film layers being processed, each of which is associated with the CMP procedure to be simulated.
Although the present invention may incoφorate any number of suitable modeling techniques, the preferred embodiment utilizes methodologies derived from the Preston equation for material removal: Material Removal Rate (R) = kPS, where k (Preston's coefficient) is a factor representing chemical effects, P is the pressure imparted by the wafer onto the polishing pad, and S is the relative speed between a point on the wafer and the polishing pad. In other words, the product PS represents the mechanical effects associated with the CMP process. Although this model is relatively simple, the value of k has a significant amount of inherent uncertainty because the chemical effects represented by k include the chemical reactions between the polishing slurry and the wafer in addition to the availability of the polishing slurry at the surface of the wafer. Consequently, k can be affected by the composition of the polishing slurry, the composition of the wafer, the characteristics of the polishing pad, the wafer carrier speed, and the speed of the polishing table. Indeed, although k may be held constant to simplify the simulation routine, it may actually vary across the surface of the wafer.
Although P may also vary across the surface of the wafer, it is typically better defined than k. For example, the average value for P can be computed by dividing the carrier down force by the surface area of the wafer. Additional factors such as the curvature of the wafer backing film and positions of vacuum holes (employed by the wafer carrier to secure the wafer) may be analyzed to effectively estimate how P is distributed across the surface of the wafer. For the exemplary CMP application described herein, P varies quadratically with the radius of the wafer.
The computation of the relative speed between each point on the wafer and the underlying pad is accomplished through a straightforward application of kinematics. Accordingly, the value of S can be predicted with near certainty. Because S does not affect k or P, its effect on the CMP process can be predicted with a high degree of confidence.
In the preferred embodiment, k is one of the modeling parameters; changing k results in a corresponding scaling of the material removal rate associated with the simulated CMP process. In addition to k, modeling system 10 preferably employs a number of additional modeling parameters to specify the pressure distribution across the surface of the wafer. As described above, the actual average pressure across the wafer can be easily calculated if the carrier down force and surface area of the wafer are known. Thus, modeling system 10 uses the additional modeling parameters (up to five in the preferred embodiment) to approximate the actual pressure distribution across the wafer and to simulate the corresponding material removal characteristics associated with the CMP procedure. It should be noted that modeling system 10 may be configured to hold k equal to zero when the current interrogation or sampling point is located over a groove or gap in the simulation polishing element or when the simulation wafer is overhanging the edge of the simulation polishing element. This additional consideration may be desirable to compensate for those sampling points where the polishing element does not or cannot contact the wafer.
Modeling system 10 may be configured to provide one or more default modeling parameters for a given CMP simulation; the user may have the option to alter such default modeling parameters as desired. Similarly, modeling system 10 may provide a number of default coefficients for a given modeling parameter to simplify the amount of custom data entry required during task 54. As described in more detail below, task 54 may simply obtain a set of modeling parameters that have been optimized for a particular CMP system, a particular wafer size, and/or a particular wafer composition.
Still referring to FIG. 2, CMP simulation process 24 may also perform a task 56, during which a number of simulation control parameters are obtained by modeling system 10. The simulation control parameters are related to the manner in which the CMP simulation is carried out. For example, modeling system 10 is preferably configured such that a simulated CMP result includes data associated with a plurality of discrete interrogation points on a given workpiece. The use of distinct sampling points is desirable to enable precise comparison of the simulated CMP results to empirical CMP results measured at the same points. Accordingly, the simulation control parameters may be related to the location and number of sampling points on the wafer, the coordinate system used for an output plot, and the time periods associated with repeated simulations for common sampling points. Of course, any number of additional settings or variables related to simulation protocols may be obtained during task 56.
A task 58 is preferably performed to obtain user-defined CMP data associated with the CMP procedure to be analyzed. The data obtained during task 58 is preferably stored in database 40 (see FIG. 1) for use by modeling system 10. For puφoses of the present invention, "user-defined CMP data" means theoretical, desired, or actual characteristics of the original or processed wafer that may have an effect on the CMP simulation. For example, the suggested CMP recipe generated by modeling system 10 may be dependent upon an initial feature-scale pattern associated with the workpiece, an initial local film thickness profile associated with the workpiece. a desired level of global wafer uniformity, or a desired level of wafer planarization. In addition, the simulation procedure conducted by modeling system 10 may be dependent upon an indicator of the relative importance of global wafer uniformity versus local die planarization for the workpiece.
During task 58, data indicative of an initial die pattern and/or an initial film thickness profile may be obtained in any suitable format. For example, a given pattern may be formed from a plurality of arrays each defined by a plurality of nodes; each array may be defined by the number of features contained therein, the length of its head section, the length of its tail section, the number of "hills" and the height of the hills; the length of the spaces or "valleys" between the hills, and other descriptive elements. In practice, the user may input physical characteristics of the pattern features, numerical descriptors, or a graphical rendering of the pattern to convey the initial die pattern to modeling system 10. Similarly, the initial thickness profile may be rendered in any suitable manner, e.g., on a point-by-point basis.
The indicator of uniformity versus planarity may be expressed as a ratio, a percentage, a scaled number, a graphical representation, or in any suitable manner. For instance, an evenly weighted indicator may cause modeling system 10 to optimize both uniformity and planarity and generate a particular CMP recipe to reflect the even balance. However, an indicator that favors uniformity may cause modeling system 10 to produce an entirely different CMP recipe that is intended to increase the uniformity of the wafer at the expense of feature-scale planarization. It should be noted that all of the above tasks 52, 54, 56, and 58 need not be performed during CMP simulation process 24 and that the above tasks 52, 54, 56, and 58 may be performed in a different order than that described herein. In addition, the relevant data need not be organized, arranged, or obtained in the specific manner described above. For example, the CMP process parameters, the initial feature-scale pattern, and the indicator of global wafer uniformity versus local die planarization may all be categorized as CMP data. Likewise, the modeling parameters and simulation control parameters may all be categorized as modeling or simulation data. In addition, the data and information set forth above may be received by computer 14. memory 22, or processor 20 (or other components of computer 14) in any suitable manner and such data and information may eventually be stored in memory 22 or routed to processor 20 for further manipulation in accordance with the various processes carried out by modeling system 10.
After the appropriate data is received by modeling system 10, a task 60 causes modeling system 10 to perform an appropriate modeling routine to obtain a simulated CMP result for the given workpiece. The simulated CMP result is eventually stored in database 44 (see FIG. 1); this data may be used during subsequent processing by modeling system 10. In the preferred embodiment, the simulated CMP result is associated with the CMP process parameters, the initial modeling parameters, and at least one element of the user-defined CMP data. In other words, the simulated CMP result generated by modeling system 10 may be sensitive to changes in any of the user-defined parameters.
As described above, one exemplary governing equation relates the film thickness at a number of discrete sampling points to a number of variables associated with the CMP procedure. In this example, let (x„ y be the coordinates of N sampling points on the surface of the wafer (where i = 1, 2, 3, . . . , N), and let T, be the film thickness at the particular sampling point. Then, the current film thickness for each sampling point is governed by the following differential equation:
dT
— !■ = -k(t)P(x,y,,t) I V (x^,,t) - Vw(χ,,y,,t) || ; di
where: = 1. 2, 3, . . . , N; k(t) = Preston's Coefficient;
P = Pressure at the sampling point;
V = Velocity of the pad under the sampling point: and
Vv = Velocity of the wafer at the sampling point.
In practice, modeling system 10 performs a number of numerical computations to solve the above differential equation based on Preston's relationship (and possibly other equations); the resulting solution is related to the theoretical material removal rate associated with the specified CMP procedure. The theoretical pressure distribution derived from the modeling parameters is applied during the simulation to predict how much material will be removed at the specific sampling points on the surface of the wafer. It should be appreciated that the rate of material removal, which is dependent upon the amount of force applied by the polishing pad to the wafer, may differ from die to die and within each die. Modeling system 10 preferably analyzes the amount of force applied to the wafer on a localized scale and determines the erosion of the wafer in response to the localized distribution of force.
During task 60, modeling system 10 preferably obtains at least a wafer-scale simulation result and a feature-scale simulation result for the current workpiece. In an exemplary embodiment of the present invention, the wafer-scale simulation result includes a simulated film thickness profile and the feature-scale simulation result includes a simulated local pattern profile. The film thickness profile may be utilized to derive global wafer uniformity information, and the local pattern profile may be used to derive local die planarization information. The global wafer uniformity information is related to the simulated film thickness calculated at the various sampling points, while the planarity information is related to the localized flatness of the pattern at particular die locations. Feature-scale simulation process 31. which may be performed by modeling system 10 to obtain the feature-scale simulation result, is described in more detail below. The simulated CMP result may contain additional information related to the wafer characteristics and the simulated CMP result may be formatted or expressed in any suitable manner.
After the modeling routine is completed for the wafer (or after several modeling runs are completed over a particular time period), a task 62 causes modeling system 10 to produce a suitable output for review by the user. As described above in connection with FIG. 1, output device 18 may be a display terminal, a printer, a plotter, or any suitable device capable of conveying the appropriate simulation results to the user. In the preferred embodiment, task 62 produces an output indicative of the wafer-scale simulation result and/or the feature-scale simulation result. FIG. 3 is an exemplary wafer-scale simulation result (e.g., a film thickness profile) produced by modeling system 10 and displayed on a conventional computer terminal. Each plot 70 represents the film thickness at certain locations on the surface of the wafer, e.g., sample points taken along the diameter of the wafer. Different plots 70 for the same simulation may be associated with the condition of the wafer at different processing times. For example, a plot 72 may represent the film thickness at time t, while a plot 74 may represent the film thickness at a time t + t'.
FIG. 4 is an exemplary feature-scale simulation result (e.g., a local pattern profile) produced by modeling system 10. This particular simulation result includes an initial user- defined feature-scale pattern 76, e.g., the original local die pattern obtained during task 58 (see FIG. 2) or a derivative thereof. The simulation result may also include one or more plots 78 representing various stages in the simulated CMP procedure. Such simulation results may be utilized to determine the effect that CMP process parameters have on the local planarization of the wafer.
After task 62 produces one or more outputs related to the modeling results, CMP simulation process 24 ends. It should be appreciated that process 24 may continue with any number of additional tasks and that process 24 may be incoφorated into one or more comprehensive processes utilized by modeling system 10 or CMP system 12.
FIG. 5 is a flow chart depicting feature-scale simulation process 31. Process 31 may be performed by modeling system 10 during CMP simulation process 24. Process 31 preferably begins with a task 150, which causes modeling system 10 to obtain the initial feature-scale pattern associated with the workpiece. As described above in connection with task 58 (see FIG. 2), the initial feature-scale pattern may be stored in memory 22 for subsequent access during process 31. Referring to FIG. 6, an exemplary feature-scale pattern 170 is illustrated. Pattern 170 is shown as if the wafer is face-down in a position ready for processing by a polishing element. As shown, feature-scale pattern 170 is preferably represented by a plurality of nodes 172 connected by line segments for puφoses of simulating the CMP procedure in accordance with the present invention. The spacing between nodes 172 may be selected in any suitable manner, e.g., to provide a sufficiently accurate model of pattern 170. Referring back to FIG. 5, a task 152 may be performed to acquire a deformation model of a polishing element, e.g., the polishing pad used by CMP system 12. The deformation model may be a user-defined model, a default model employed by modeling system 10, or a combination of user-defined and default characteristics. An exemplary deformation model 174 is shown in FIG. 6 in a deformed state that simulates the characteristics of an actual polishing element used by CMP system 12. In the preferred embodiment, deformation model 174 is defined at nodes 176 that correspond (relative to the horizontal axis) to nodes 172. Further, deformation model 174 may assume that adjacent nodes 176 are connected by line segments.
At any given time during the CMP simulation, feature-scale pattern 170 is considered to be rigid and the polishing pad is considered to be deformable in accordance with deformation model 174. Deformation model 174 is preferably defined by a plurality of primary force/displacement elements 178 that are capable of compressing in response to a load. In the exemplary embodiment shown in FIG. 6, each primary force/displacement element 178 is associated with one of nodes 176. Each primary force/displacement element 178 may be "linked" or otherwise associated with at least one additional primary force/displacement element 178. In the preferred embodiment, primary force/displacement elements 178 are "coupled" to each of their adjacent primary force/displacement elements 178 via secondary force/displacement elements 180. Any number of modeling parameters may be employed to characterize primary and secondary force/displacement elements 178, 180. Displacement elements 178, 180 may be considered to function like springs for puφoses of analysis. After task 152 acquires pad deformation model 174, a task 154 is preferably performed to initialize a displacement 182 of the wafer relative to the polishing pad. In practice, displacement 182 may relate to an amount of downward travel associated with the wafer carrier during the CMP procedure. The initial displacement may be set at any suitable value. In response to this displacement, a task 156 causes modeling system 10 to determine (by simulation) the deformation of the polishing element. During task 156, modeling system 10 may suitably generate a simulated contact profile and/or a localized force profile associated with deformation model 174 in relation to the current state of feature-scale pattern 170. The contact profile may identify which nodes 172 of pattern 170 are in contact with corresponding nodes 176 of deformation model 174. As shown in FIG. 6, portions of the simulated polishing element may not be in contact with the simulated wafer die pattern, and secondary force/deflection elements 180 may limit extension of some primary force/deflection elements 178 that would otherwise extend to contact the simulated die pattern. The force profile may then identify the amount of localized force imposed upon nodes 172 by nodes 176 by analyzing the appropriate force/deflection elements 178, 180 with respect to displacement 182.
The contact profile is preferably computed by utilizing static force equilibrium equations at nodes 176. For any given node, the downward displacement of its primary force/deflection element induces a corresponding upward force. The relative displacement of this node with respect to its adjacent nodes induces additional forces (either upward or downward, depending on the relative positions). Modeling system 10 preferably assumes that the summation of the nodal forces for any given node is equal to zero. When that limitation is imposed mathematically for a node, an equation in terms of the displacement of the given node and the displacement of the nodes adjacent to the given node is formed. Combining such equations for each of the nodes 176 forms a set of algebraic equations in terms of the displacements of nodes 176. In that set of equations, the force-balance equation for any node that has previously been determined to be in contact with the wafer is replaced with an equation holding that the position of the node is equal to the vertical position of the wafer at that point.
After the system of equations is solved, the polishing pad displacements are examined. If a node position is determined to be higher than that of the corresponding die pattern at that point, then the node position is automatically set to be equal to the die pattern position and is identified as a "possible contact node." The system of equations is then re-solved, replacing the force balance equation for each "possible contact node" with a specified displacement, which is the position of the wafer surface at that node. Similarly, if a node, previously thought to be a "possible contact node" is. based on the force balance, determined not to be in contact, then it is removed from the list of "possible contact nodes" and its corresponding equation is replaced with the force balance equation. The solution of the equations and subsequent determination of "possible contact nodes" is repeated until no changes occur between iterations. At that point, the "possible contact nodes" are determined to be in contact with the wafer and are identified as "contact nodes." The force imposed on the wafer by each contact node is computed using the force relationships associated with primary and secondary force/deflection elements 178, 180. After task 156 generates an appropriate force profile for the current displacement 182, a query task 158 is performed. Query task 158 preferably compares the sum of the node forces contained in the localized force profile to the current (simulated) down force associated with the particular area of the wafer being analyzed. This down force may be a user-defined quantity or it may be derived from a known carrier down force associated with the entire wafer and the known area of the wafer under analysis. If query task 158 determines that the sum of the node forces does not substantially equal the local down force (or, alternatively, if the difference between the sum and the down force does not fall within a desired tolerance), then a task 160 is performed to adjust displacement 182 by a suitable amount. The adjustment of displacement 160 causes a change in deformation model 174, the current contact profile, and the current localized force profile. Accordingly, task 156 and query task 158 are preferably repeated for the updated displacement 182.
Tasks 156. 158, and 160 preferably form a processing loop that causes displacement 182 to be adjusted in a suitable manner until query task 158 determines that the sum of the node forces is approximately equal to the local down force applied to the wafer. If these forces substantially balance, then a task 162 is performed to cause modeling system 10 to simulate the erosion of the wafer for a given time period. In the preferred embodiment, erosion is simulated by adjusting the positions of the appropriate nodes 172 by an amount that may be dependent upon the current CMP parameters, the slurry composition, the wafer composition, and the like. Thus, for a given time soon after CMP processing begins, the local die pattern may closely resemble the original die pattern (see FIG. 4). At a later time, modeling system 10 may leverage historical simulation data to enable simulation of erosion over time. For example, a subsequent iteration of feature-scale process 31 may utilize a partially planarized version of the die pattern rather than the initial die pattern described above in connection with task 150.
FIG. 7 depicts optimization process 28 that may be performed by modeling system 10 to generate a preferred set of CMP process parameters for use during an actual CMP procedure. The CMP process parameters are preferably optimized to produce a CMP polish recipe in response to an intended CMP result. Process 28 may be carried out in conjunction with CMP simulation process 24 or as a separate and distinct process.
Optimization process 28 preferably begins with a task 86, which causes modeling system 10 to retrieve a current simulated CMP result from, e.g., database 44 in memory 22 (see FIG. 1). Following task 86, a task 88 is performed to retrieve the optimization parameters for process 28. These optimization parameters may be retrieved from database 40. In the context of this description, an optimization parameter may be any characteristic, quantity, or feature associated with an "ideal" wafer as processed by the specific CMP system 12. The preferred embodiment of modeling system 10 may include any number of optimization parameters related to: the initial feature-scale pattern; the initial film thickness profile; the relative importance of wafer uniformity versus wafer planarization; or the intended planarization or uniformity result. These parameters may be user-defined. Following task 88, a task 90 is performed to cause modeling system 10 to compare the characteristics of the current simulated CMP result to the corresponding characteristics indicated by the optimization parameters. For example, in the context of feature-scale planarity, task 90 may analyze an error between the intended die pattern and the simulated die pattern contained in the current simulated CMP result. Similarly, with respect to wafer-scale uniformity, task 90 may analyze the difference between the intended film thickness and the simulated thickness measurements.
A query task 92 is preferably performed to determine whether the error between the simulated CMP result and the intended CMP result is substantially minimized. Optimization process 28 may utilize any number of techniques to analyze the simulation error, e.g., curve fitting, least-squares, averaging, and the like. If query task 92 determines that the simulation error is substantially minimized, then the current simulation is considered acceptable and query task 92 may prompt a task 94, which saves and displays the current CMP process parameters. Following task 94, optimization process 28 ends and the operator may apply the optimized CMP process parameters to the actual CMP procedure. If query task 92 finds that the difference between the simulated and intended CMP results is not minimized, then a task 96 may be performed to cause modeling system 10 to adjust at least one CMP process parameter. For example, task 96 may vary the polish table speed, the wafer carrier down force, the polish time, the dimensions or sweep range of the carrier, or the like. Task 96 may also hold one or more CMP process parameters fixed (in response to a user input or automatically) to simplify subsequent processing.
After task 96 adjusts the initial CMP process parameters, a task 98 causes modeling system 10 to perform the modeling routine with the updated CMP process parameters in place. The modeling routine was described above in connection with FIG. 2. Tasks 90 and 92 are repeated to analyze the new simulated CMP result. In this manner, tasks 90, 92, 96, and 98 form a processing loop during which the CMP process parameters are optimized in accordance with the intended CMP results. The particular set of CMP process parameters may be saved in database 34 (see FIG. 1) for future reference or to initialize a subsequent optimization routine. Those skilled in the art should appreciate that optimization process 28 (or a modified version thereof) may be employed to optimize CMP process parameters related to a theoretical CMP system. Such simulations may facilitate the design and development of new CMP systems without the cost and labor associated with actual experimentation and prototyping. For example, after a particular CMP procedure has been optimized for an existing CMP system, process 28 may be performed to vary at least one of the optimized CMP process parameters to thereby define an updated CMP process parameter set. Then, a second simulated CMP result may be obtained using the updated CMP process parameters. In this manner, an operator can efficiently simulate and optimize performance of a new CMP system prior to building a prototype.
It should be noted that optimization process 28 is not limited to the particular optimization protocol described above. Indeed, process 28 may utilize any suitable optimization technique to accomplish the same results. For example, process 28 may utilize minimization or maximization methodologies to optimize one or more values associated with quantifiable CMP results. In the preferred embodiment, process 28 may endeavor to maximize the quality of the CMP result by adjusting the CMP process parameters in accordance with the following technique. A quality measurement (Q) is defined as follows: Q = ( )(uniformity) + (1- c-Xplanarity), where the user selects a value for a (the relative importance of uniformity compared to planarity) between zero and one. Thus, process 28 may iteratively adjust the CMP process parameters to maximize Q, subject to the particular value of .
In the preferred embodiment, modeling system 10 is capable of validating the modeling parameters associated with a simulated CMP result such that the error between the simulated CMP result and an empirical CMP result (using the same CMP process parameters) is substantially minimized. Such model validation is desirable to determine whether a given model can reproduce experimental data through manipulation of its modeling parameters, to establish rules for computing the modeling parameters for new configurations, and to determine the reliability of such rules and the accuracy of the simulations.
FIG. 8 is a flow diagram of model validation process 26 that may be performed by modeling system 10. Generally, process 26 enables modeling system 10 to validate its simulation results by comparing the simulated results to corresponding empirical results and adjusting the modeling parameters to increase the accuracy of the simulation. Thus, modeling system 10 may be configured to leverage historical empirical data to improve the performance of the CMP simulations. Process 26 may be performed for any number of modeling parameters and for different CMP process parameters to enable accurate simulations for a wide variety of different processing environments.
Model validation process 26 may begin with a task 112, which causes modeling system 10 to retrieve a particular or current CMP simulation. Task 112 may be similar to task 86 described above in connection with FIG. 7. The CMP simulation retrieved during task 112 may have been generated by modeling system 10 in accordance with the present invention or, alternatively, by any suitable modeling methodology. A CMP procedure is conducted during a task 1 14; this CMP procedure is performed by CMP system 12 in accordance with the CMP process parameters designated during the corresponding CMP simulation. Task 114 may be performed in response to control signals from modeling system 10 or in response to operator inputs at CMP system 12. In addition, task 114 may be performed at any time before or after task 112. In an alternate embodiment, task 114 may be performed in an interactive manner as modeling system produces a substantially real-time CMP simulation.
Following task 114. a task 116 may be performed to measure an empirical CMP result associated with the wafer processed during the CMP procedure. The empirical CMP result is preferably stored in database 42 (see FIG. 1) for subsequent use by modeling system 10. In the preferred embodiment, task 116 may be performed by a measurement system incoφorated into CMP system 12 and/or modeling system 10, or by one or more separate measurement systems. CMP system 12 may include any number of in-situ wafer measurement devices to facilitate substantially real-time optimization of the CMP process parameters in response to current simulation results. Such measurement devices (and other suitable wafer measurement systems) may be employed for puφoses of task 116; such systems and devices, which may be known to those skilled in the art, are not described in detail herein.
Task 116 preferably measures at least the global uniformity of the processed wafer (derived from a film thickness profile) and the local planarity of the processed wafer (derived from a local feature pattern profile). Thus, task 116 obtains an empirical CMP result that contains a wafer- scale empirical CMP result and a feature-scale empirical CMP result. Thus, the global uniformity may be derived by measuring the film or wafer thickness at a number of points on the surface of the wafer. In an exemplary embodiment, the thickness profile is measured with a thin- film thickness measurement system, such as an Optiprobe system. The local planarity may be derived by scanning the surface of the wafer and analyzing the small scale features. For example, the preferred embodiment utilizes a surface profile measurement system, which may be commercially available as a stand-alone system. Other suitable techniques may be utilized during task 116 to measure uniformity, planarity, or other characteristics of the wafer, e.g., systems that employ reflective or refractive optics or systems that employ micrometer or observational techniques. For the sake of compatibility, the measurement points preferably correspond to the sampling points used by modeling system 10 to produce the current simulated CMP result.
After task 116 obtains the requisite amount of empirical CMP data, a task 118 is performed to compare the simulated CMP result to the empirical CMP result. In practice, modeling system 10 may compare the simulated and empirical film thickness profiles and the simulated and empirical local feature profiles. During task 118, the wafer-scale empirical CMP result and the feature-scale empirical CMP result are compared to their respective simulated counteφarts. Modeling system 10 may use any suitable technique during task 118 to compare the empirical and simulated results. For example, the various sampling points may be analyzed on an individual basis or a plurality of sampling points associated with a given measurement may be processed in a collective manner. Alternatively, task 1 18 may employ any number of conventional curve fitting techniques, least-squares techniques, or the like.
In accordance with an exemplary embodiment of modeling system 10, a query task 120 is performed after the empirical and simulated CMP results have been obtained. Query task 120 determines whether a simulation error (which may be obtained during task 118) is substantially minimized. Such a simulation error may be determined for individual sampling points or for a collected or averaged quantity associated with a number of sampling points. For example, in the preferred embodiment, the difference is mathematically determined by summing the individual differences between the simulated and empirical results at various data points. The sum of these individual differences is dependent upon the values of the modeling parameters used by modeling system 10.
If query task 120 determines that the current simulation error has been minimized, then a task 122 is performed to store the current modeling parameters for use with a subsequent modeling routine. In other words, the optimized modeling parameter set may be used to conduct future simulations in a confident manner. The optimized modeling parameters may be stored in database 36 of memory 22 (see FIG. 1). After completion of task 122, model validation process 26 ends. It should be appreciated that process 26 may be performed in conjunction with optimization process 28 in an iterative or combined manner to obtain optimized modeling parameters and CMP process parameters for a given CMP procedure.
If query task 120 determines that the current simulation error is unacceptable, then model validation process 26 leads to a task 124. Task 124 causes modeling system 10 to adjust at least one modeling parameter to obtain an updated modeling parameter set. Modeling system 10 may be suitably configured to systematically adjust the modeling parameters in a number of ways and in any order. Task 124 may also cause modeling system 10 to hold at least one of the modeling parameters fixed during the adjustment procedure to facilitate efficient and speedy optimization. The specific modeling parameters to be fixed may be designated by the user prior to model validation process 26, during process 26, or by default. It should be noted that, because the simulation error is dependent upon the various modeling parameters, process 26 is reduced to a multi-variant optimization problem.
Following task 124, a task 126 preferably causes modeling system 10 to perform a subsequent modeling routine to obtain an updated simulated CMP result associated with the updated modeling parameters. Task 126 is similar to task 98 described above in connection with FIG. 7. After task 126 obtains the new simulated CMP result, model validation process 26 is reentered at task 1 18 to re-compare the empirical CMP result with the updated simulated CMP result. Thus, tasks 118, 120, 124, and 126 are preferably repeated until the error between the simulated CMP result and the empirical CMP result has been substantially minimized. In other words, the simulated CMP result is altered until a "best fit" relative to the empirical CMP result has been obtained. This processing loop causes modeling system 10 to self-optimize its modeling parameters such that the simulated CMP result substantially matches the empirical CMP result. Although the present invention employs non-linear regression techniques to optimize the modeling parameters, any number of suitable methodologies may be utilized to determine the particular modeling parameters used for a given simulation.
FIG. 9 is a flow diagram of inteφolation formula generation process 30 performed by an exemplary embodiment of modeling system 10. Process 30 preferably begins with a task 132, during which modeling system 10 obtains a plurality of optimized modeling parameter sets, each being associated with a specific set of CMP process parameters. In other words, each of the optimized modeling parameter sets is configured for use with the CMP modeling routine to obtain a simulated CMP result for a wafer processed during the specified CMP procedure. The optimized modeling parameters are preferably obtained during model validation process 26 (see FIG. 8) or by an equivalent parameter estimation technique. Task 132 may obtain the modeling parameters from database 36 (see FIG. 1).
Task 132 leads to a task 134, which causes modeling system 10 to develop a plurality of inteφolation formulas associated with the optimized modeling parameter sets. The inteφolation formulas may be utilized by modeling system 10 to predict modeling parameter values for new and untested sets of CMP process parameters. Those skilled in the art will appreciate that any number of methods may be used to form the inteφolation rules for the modeling parameters. The most straightforward manner is to simply express each modeling parameter as a linear or quadratic function of each of the CMP process parameters. Such a methodology may be acceptable when a large amount of empirical data is accumulated to encompass an adequate number of CMP procedures. However, this tactic may not be adequate when a limited amount of empirical data exists.
The preferred embodiment endeavors to generate inteφolation formulas associated with those CMP variables that dictate performance and/or provide for reliable inteφolation rules for the modeling parameters. One technique that accomplishes this goal limits the number of variable CMP process parameters to the following:
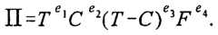
T = table speed C - carrier speed F = carrier down force Modeling system 10 uses a combination of these parameters for inteφolating the modeling parameters; this combination is defined as II, where:
Figure imgf000022_0001
If χ2 is an objective function of a minimization problem and χ2 = (e,, e2, e3, e4) then an interpolation rule may be obtained by calculating the different possible combinations and analyzing χ2. As an approximation to this approach, the exponents can be restricted to the values -1, 0, or 1 (with e3 ≠ 1). The best overall "fit" is then selected for puφoses of the inteφolation formula.
After the inteφolation formulas are adequately developed in task 134, a task 136 may be performed such that modeling system 10 receives CMP data associated with a particular CMP procedure. As described above, this CMP data may be related to the CMP process parameters and/or the intended CMP results (e.g., uniformity versus planarity balance, die pattern, or the like). Task 136 may be performed in response to user-defined inputs or in accordance with other instructions received by modeling system 10.
A task 138 is preferably performed in response to the CMP data received in task 136. Task 138 causes modeling system 10 to generate an inteφolated modeling parameter set based upon the current CMP data. Task 138 utilizes one or more inteφolation formulas to generate the inteφolated modeling parameters for the given CMP data. Following task 138, process 30 may end. The inteφolated modeling parameters may be stored or immediately used to obtain a simulated CMP result for the specified CMP procedure.
As depicted by the ellipses and connecting arrow in FIG. 9, a task 140 (which may be performed at a later time or in connection with a separate process) may be performed to produce a plurality of CMP process parameters in response to an intended CMP result, where the CMP process parameters are obtained through the optimization procedures described above, which involve the consulting of the inteφolation formulas. Thus, process 30 (or a related process) may be performed by modeling system 10 to obtain suggested CMP process parameters for an untested CMP procedure if an intended CMP result is known beforehand. The CMP process parameters obtained during task 140 may be subsequently (or substantially concurrently) applied to CMP system 12, as depicted in a task 142 related to process 30. Task 142 may cause modeling system 10 to communicate the CMP process parameters to CMP controller 32 within CMP system 12 (see FIG. 1). Alternatively, an operator may make a record of the CMP process parameters and adjust CMP system 12 in an appropriate manner to effect the desired settings. Following task 142, a task 144 causes CMP system 12 to perform a CMP procedure in accordance with the CMP process parameters produced during task 140. Task 144 is similar to task 114 described above in connection with FIG. 8. Following task 144, process 30 ends. As described above, the empirical CMP results obtained during task 144 may be used during model validation process 26. In summary, the present invention provides an improved CMP modeling system that is capable of providing both wafer-scale simulations and feature-scale simulations. The CMP modeling system can generate an optimized set of CMP process parameters based on a specified balance between wafer uniformity and planarity. In addition, the modeling system computes its modeling coefficients in accordance with empirically determined CMP results to thereby reduce simulation errors. The modeling system employs inteφolation techniques to its modeling parameters to effectively simulate CMP results for which little or no empirical data exists, and it can process simulation data collected for an existing CMP system to assist in the design of a new CMP system having different physical and processing characteristics than the existing CMP system.
The present invention has been described above with reference to preferred exemplary embodiments. However, those skilled in the art will recognize that changes and modifications may be made to the preferred embodiment without departing from the scope of the present invention. For example, the present invention is not limited to the particular modeling, optimization, or inteφolation techniques described herein. In addition, the various hardware components may differ than that shown and described herein and the various processes need not be performed in the precise manner described herein. These and other changes or modifications are intended to be included within the scope of the present invention, as expressed in the following claims.

Claims

CLAIMS What is claimed is:
1. A modeling method for use with a chemical mechanical polishing (CMP) system, said modeling method comprising the steps of: obtaining a plurality of CMP process parameters associated with a CMP procedure to be performed upon a workpiece; performing a modeling routine to thereby obtain a wafer-scale simulation result and a feature-scale simulation result for said workpiece, each of said wafer-scale simulation result and said feature-scale simulation result being responsive to said CMP process parameters; and producing an output indicative of at least one of said wafer-scale simulation result and said feature-scale simulation result.
2. A modeling method according to claim 1 , wherein: said wafer-scale simulation result comprises a film thickness profile; and said feature-scale simulation result comprises a feature pattern profile.
3. A modeling method according to claim 2, wherein: said film thickness profile comprises global wafer uniformity information; and said feature pattern profile comprises local die planarization information.
4. A modeling method according to claim 1, further comprising the steps of: obtaining, prior to said performing step, an indicator of the relative importance of global wafer uniformity versus local die planarization for said workpiece; and optimizing said CMP process parameters in response to said indicator to thereby produce a CMP data for use during an optimized CMP procedure.
5. A modeling method according to claim 1, further comprising the steps of: initializing a modeling parameter associated with said modeling routine; conducting said CMP procedure to obtain an empirical CMP result; comparing at least one of said wafer-scale simulation result and said feature-scale simulation result to said empirical CMP result; and adjusting said modeling parameter in response to said comparing step.
6. A modeling method according to claim 5, wherein said empirical CMP result comprises a wafer-scale empirical CMP result, and said modeling method further comprises the steps of: comparing said wafer-scale simulation result to said wafer-scale empirical CMP result; and optimizing said modeling parameter such that an error between said wafer-scale simulation result and said wafer-scale empirical CMP result is substantially minimized.
7. A modeling method according to claim 5, wherein said empirical CMP result comprises a feature-scale empirical CMP result, and said modeling method further comprises the steps of: comparing said feature-scale simulation result to said feature-scale empirical CMP result; and optimizing said modeling parameter such that an error between said feature-scale simulation result and said feature-scale empirical CMP result is substantially minimized.
8. A modeling method according to claim 5, wherein said obtaining, performing, producing, initializing, conducting, comparing, and adjusting steps are performed for an existing
CMP system, and wherein said method further comprises the steps of: varying at least one of said CMP process parameters to thereby define an updated CMP process parameter set: and thereafter repeating said performing step to thereby obtain a second wafer-scale simulation result and a second feature-scale simulation result for a theoretical CMP system, each of said second wafer-scale simulation result and said second feature-scale simulation result being responsive to said updated CMP process parameter set.
9. A modeling method according to claim 1, wherein: said method further comprises the step of obtaining an initial feature-scale pattern associated with said workpiece; and said performing step is responsive to said initial feature-scale pattern.
10. A modeling method according to claim 9, further comprising the steps of: initializing a modeling parameter associated with said modeling routine; and optimizing said modeling parameter in response to said initial feature-scale pattern.
11. A modeling method according to claim 1 , wherein: said method further comprises the step of obtaining an initial film thickness profile associated with said workpiece; and said performing step is responsive to said initial film thickness profile.
12. A modeling method according to claim 11 , further comprising the steps of: initializing a modeling parameter associated with said modeling routine; and optimizing said modeling parameter in response to said initial film thickness profile.
13. A modeling method according to claim 1, further comprising the steps of: obtaining an initial feature-scale pattern associated with said workpiece; and acquiring a deformation model of a polishing element associated with said CMP system; wherein said performing step obtains said feature-scale simulation result in response to said initial feature-scale pattern and to said deformation model.
14. A modeling method for use with a chemical mechanical polishing (CMP) system that performs a CMP procedure upon a workpiece, said modeling method comprising the steps of: obtaining a plurality of initial modeling parameters; performing a modeling routine to thereby obtain a simulated CMP result for said workpiece, said simulated CMP result being associated with said initial modeling parameters; conducting said CMP procedure to obtain an empirical CMP result; comparing said empirical CMP result to said simulated CMP result; and adjusting at least one of said initial modeling parameters in response to said comparing step to thereby obtain an updated modeling parameter set.
15. A modeling method according to claim 14, further comprising the step of obtaining an initial feature-scale pattern and an initial film thickness profile associated with said workpiece, wherein said performing step is responsive to at least one of said initial feature-scale pattern and said initial film thickness profile.
16. A modeling method according to claim 14, further comprising the step of storing said updated modeling parameter set for use with a subsequent modeling routine.
17. A modeling method according to claim 14, further comprising the step of generating an optimized modeling parameter set such that an error between said empirical CMP result and a simulated CMP result associated with said optimized modeling parameter set is substantially minimized.
18. A modeling method according to claim 17, wherein said generating step comprises the steps of: performing a subsequent modeling routine to thereby obtain an updated simulated CMP result for said workpiece, said updated simulated CMP result being associated with said updated modeling parameter set; re-comparing said empirical CMP result to said updated simulated CMP result; re-adjusting said updated modeling parameter set in response to said re-comparing step; and repeating said performing, re-comparing, and re-adjusting steps to thereby reduce an error between a current simulated CMP result and said empirical CMP result.
19. A modeling method according to claim 17, wherein a non-linear regression analysis is performed during said generating step.
20. A modeling method according to claim 14, wherein each of said initial modeling parameters is a function of at least one CMP process parameter.
21. A modeling method according to claim 14, wherein each of said initial modeling parameters is a function of at least one of a polishing element speed associated with said CMP procedure, a workpiece carrier speed associated with said CMP procedure, and a workpiece carrier down force associated with said CMP procedure.
22. A modeling method according to claim 14, wherein one of said initial modeling parameters comprises Preston's Coefficient.
23. A modeling method according to claim 14, further comprising the step of holding at least one of said initial modeling parameters fixed during said adjusting step.
24. A modeling method according to claim 14, wherein each of said simulated CMP result and said empirical CMP result comprises data associated with a plurality of interrogation points on said workpiece.
25. A modeling system for use with a chemical mechanical polishing (CMP) system configured to perform a CMP procedure upon a workpiece, said modeling system comprising: means for receiving CMP data associated with said CMP procedure; a processor configured to perform a modeling routine to thereby obtain a wafer-scale simulation result and a feature-scale simulation result for said workpiece, each of said wafer- scale simulation result and said feature-scale simulation result being responsive to said CMP data; and means for comparing at least one of said wafer-scale simulation result and said feature- scale simulation result to an empirical CMP result associated with said CMP procedure to thereby obtain a simulation error.
26. A modeling system according to claim 25, wherein: said CMP data comprises a plurality of modeling parameters; said processor is further configured to utilize said modeling parameters to obtain said wafer-scale simulation result and said feature-scale simulation result, and to adjust at least one of said modeling parameters in response to said simulation error.
27. A modeling system according to claim 25, further comprising an output device configured to produce an output indicative of at least one of said wafer-scale simulation result and said feature-scale simulation result.
28. A modeling system according to claim 25, wherein: said CMP data comprises a plurality of CMP process parameters; and said processor is further configured to adjust at least one of said CMP process parameters in response to said simulation error.
29. A modeling system according to claim 25, wherein: said CMP data comprises a plurality of CMP process parameters and an indicator of the relative importance of global wafer uniformity versus local die planarization for said workpiece; and said processor is further configured to optimize said CMP process parameters in response to said indicator to thereby obtain a CMP recipe for use during said CMP procedure.
30. A modeling system according to claim 25. wherein said processor is further configured to: generate a number of optimized modeling parameter sets, each being configured for use with a modeling routine to obtain a simulated CMP result for said workpiece; develop a plurality of inteφolation formulas associated with said optimized modeling parameter sets; and utilize said inteφolation formulas to thereby generate an inteφolated modeling parameter set in response to said CMP data.
31. A modeling system according to claim 25, wherein: said means for receiving is further configured to receive an initial feature-scale pattern associated with said workpiece and to receive a deformation model of a polishing element associated with said CMP system; and said processor is configured to obtain said feature-scale simulation result in response to said initial feature-scale pattern and to said deformation model.
32. A modeling system according to claim 25, wherein: said means for receiving is further configured to receive an initial film thickness profile associated with said workpiece and to receive a deformation model of a polishing element associated with said CMP system; and said processor is configured to obtain said wafer-scale simulation result in response to said initial film thickness profile and to said deformation model.
33. A modeling method for use with a chemical mechanical polishing (CMP) system that performs a CMP procedure upon a workpiece, said modeling method comprising the steps of: obtaining a number of optimized modeling parameter sets, each being configured for use with a modeling routine to obtain a simulated CMP result for said workpiece; developing a plurality of inteφolation formulas associated with said optimized modeling parameter sets; receiving CMP data associated with said CMP procedure; and generating an inteφolated modeling parameter set in response to said CMP data, said generating step utilizing said inteφolation formulas.
34. A modeling method according to claim 33, wherein said CMP data comprises a plurality of CMP process parameters.
35. A modeling method according to claim 33, wherein said CMP data comprises an intended CMP result associated with said workpiece.
36. A modeling method according to claim 35. further comprising the step of producing a plurality of CMP process parameters in response to said intended CMP result, said producing step utilizing said inteφolation formulas.
37. A modeling method according to claim 36, further comprising the steps of: applying said CMP process parameters to said CMP system; and performing said CMP procedure in accordance with said CMP process parameters.
38. A modeling method according to claim 33, further comprising the steps of: collecting a plurality of empirical CMP results, each corresponding to a different plurality of CMP process parameters associated with said CMP procedure; and optimizing a modeling parameter set associated with each of said empirical CMP results to obtain said optimized modeling parameter sets.
39. A modeling method according to claim 38, wherein said obtaining, developing, receiving, generating, collecting, and optimizing steps are performed for an existing CMP system, and wherein said method further comprises the steps of: varying said CMP data in accordance with a theoretical CMP system to thereby obtain updated CMP data; and thereafter performing said modeling routine to obtain a second simulated CMP result for said theoretical CMP system, said second simulated CMP result being responsive to said updated CMP data.
40. A modeling method according to claim 38, wherein said optimizing step comprises the steps of: performing said modeling routine with an initial modeling parameter set to obtain an initial simulated CMP result; comparing said initial simulated CMP result with one of said empirical CMP results; and adjusting said initial modeling parameter set in response to said comparing step.
41. A modeling method according to claim 33, further comprising the step of performing a modeling routine to thereby obtain a wafer-scale simulation result and a feature- scale simulation result for said workpiece, each of said wafer-scale simulation result and said feature-scale simulation result being responsive to said inteφolated modeling parameter set.
42. A modeling method for use with a chemical mechanical polishing (CMP) system having a carrier element configured to hold a workpiece against a polishing pad during a CMP procedure, said modeling method comprising the steps of: obtaining an initial feature-scale pattern associated with said workpiece; acquiring a deformation model of a polishing element associated with said CMP system; and performing a modeling routine to thereby obtain a feature-scale simulation result for said workpiece, said feature-scale simulation result being responsive to said initial feature-scale pattern and to said deformation model.
43. A modeling method according to claim 42, wherein: said initial feature-scale pattern is defined at a plurality of nodes; and said acquiring step acquires a plurality of force/displacement elements, each of said force/displacement elements being associated with one of said nodes.
44. A modeling method according to claim 43, wherein: said performing step performs said modeling routine to generate a simulated contact profile for said polishing element in relation to a current simulated feature-scale pattern, said simulated contact profile being responsive to a current state of said force/displacement elements; and said performing step performs said modeling routine to simulate erosion of said workpiece in response to said simulated contact profile to thereby obtain said feature-scale simulation result.
45. A modeling method according to claim 43, wherein: said performing step performs said modeling routine to determine a localized force profile associated with said polishing element in relation to a current simulated feature-scale pattern; and said performing step performs said modeling routine to simulate erosion of said workpiece in response to said localized force profile to thereby obtain said feature-scale simulation result.
46. A modeling method according to claim 43 , wherein each of said force/displacement elements comprises a primary component associated with displacement of said polishing element in response to a load.
47. A modeling method according to claim 46, wherein each of said force/displacement elements comprises a respective secondary component associated with displacement of at least one other force/displacement element.
48. A modeling method according to claim 43, wherein a number of said force/displacement elements comprise first and second components respectively associated with displacement of first and second adjacent force/displacement elements.
49. A modeling method according to claim 42, further comprising the step of obtaining a plurality of CMP process parameters associated with said CMP procedure, wherein said feature-scale simulation result is further responsive to said CMP process parameters.
50. A modeling method according to claim 42, wherein said performing step comprises the step of estimating erosion of said workpiece in response to a simulated local force associated with said deformation model.
PCT/US1998/0242311997-11-181998-11-12Method and apparatus for modeling a chemical mechanical polishing processWO1999025520A1 (en)

Priority Applications (4)

Application NumberPriority DateFiling DateTitle
KR1020007005419AKR20010032223A (en)1997-11-181998-11-12Method and apparatus for modeling a chemical mechanical polishing process
JP2000520940AJP2001523586A (en)1997-11-181998-11-12 Method and apparatus for modeling a chemical mechanical polishing process
DE19882821TDE19882821T1 (en)1997-11-181998-11-12 Method and device for modeling a chemical mechanical polishing process
GB0010451AGB2346103A (en)1997-11-181998-11-12Method and apparatus for modeling a chemical mechanical polishing process

Applications Claiming Priority (2)

Application NumberPriority DateFiling DateTitle
US97255197A1997-11-181997-11-18
US08/972,5511997-11-18

Publications (1)

Publication NumberPublication Date
WO1999025520A1true WO1999025520A1 (en)1999-05-27

Family

ID=25519800

Family Applications (1)

Application NumberTitlePriority DateFiling Date
PCT/US1998/024231WO1999025520A1 (en)1997-11-181998-11-12Method and apparatus for modeling a chemical mechanical polishing process

Country Status (5)

CountryLink
JP (1)JP2001523586A (en)
KR (1)KR20010032223A (en)
DE (1)DE19882821T1 (en)
GB (1)GB2346103A (en)
WO (1)WO1999025520A1 (en)

Cited By (30)

* Cited by examiner, † Cited by third party
Publication numberPriority datePublication dateAssigneeTitle
WO2001075534A3 (en)*2000-04-032002-05-23Speedfam Ipec CorpSystem and method for predicting software models using material-centric process instrumentation
DE10065380A1 (en)*2000-12-272002-07-18Infineon Technologies Ag Process for the characterization and simulation of a chemical mechanical polishing process
WO2002103777A1 (en)*2001-06-192002-12-27Applied Materials, Inc.Feedback control of a chemical mechanical polishing device providing manipulation of removal rate profiles
WO2002103779A1 (en)*2001-06-192002-12-27Applied Materials, Inc.In situ sensor based control of semiconductor processing procedure
WO2004048038A1 (en)*2002-11-222004-06-10Applied Materials Inc.Methods and apparatus for polishing control
US6910947B2 (en)2001-06-192005-06-28Applied Materials, Inc.Control of chemical mechanical polishing pad conditioner directional velocity to improve pad life
US6913938B2 (en)2001-06-192005-07-05Applied Materials, Inc.Feedback control of plasma-enhanced chemical vapor deposition processes
US6961626B1 (en)2004-05-282005-11-01Applied Materials, IncDynamic offset and feedback threshold
US6984198B2 (en)2001-08-142006-01-10Applied Materials, Inc.Experiment management system, method and medium
US6999836B2 (en)2002-08-012006-02-14Applied Materials, Inc.Method, system, and medium for handling misrepresentative metrology data within an advanced process control system
US7047099B2 (en)2001-06-192006-05-16Applied Materials Inc.Integrating tool, module, and fab level control
US7069101B1 (en)1999-07-292006-06-27Applied Materials, Inc.Computer integrated manufacturing techniques
US7082345B2 (en)2001-06-192006-07-25Applied Materials, Inc.Method, system and medium for process control for the matching of tools, chambers and/or other semiconductor-related entities
US7096085B2 (en)2004-05-282006-08-22Applied MaterialsProcess control by distinguishing a white noise component of a process variance
US7097534B1 (en)2000-07-102006-08-29Applied Materials, Inc.Closed-loop control of a chemical mechanical polisher
US7101799B2 (en)2001-06-192006-09-05Applied Materials, Inc.Feedforward and feedback control for conditioning of chemical mechanical polishing pad
US7188142B2 (en)2000-11-302007-03-06Applied Materials, Inc.Dynamic subject information generation in message services of distributed object systems in a semiconductor assembly line facility
CN1306563C (en)*2003-02-252007-03-21株式会社瑞萨科技 Simulator
US7205228B2 (en)2003-06-032007-04-17Applied Materials, Inc.Selective metal encapsulation schemes
US7225047B2 (en)2002-03-192007-05-29Applied Materials, Inc.Method, system and medium for controlling semiconductor wafer processes using critical dimension measurements
US7272459B2 (en)2002-11-152007-09-18Applied Materials, Inc.Method, system and medium for controlling manufacture process having multivariate input parameters
US7333871B2 (en)2003-01-212008-02-19Applied Materials, Inc.Automated design and execution of experiments with integrated model creation for semiconductor manufacturing tools
US7337019B2 (en)2001-07-162008-02-26Applied Materials, Inc.Integration of fault detection with run-to-run control
US7354332B2 (en)2003-08-042008-04-08Applied Materials, Inc.Technique for process-qualifying a semiconductor manufacturing tool using metrology data
US7356377B2 (en)2004-01-292008-04-08Applied Materials, Inc.System, method, and medium for monitoring performance of an advanced process control system
DE102005000645B4 (en)*2004-01-122010-08-05Samsung Electronics Co., Ltd., Suwon Apparatus and method for treating substrates
US8117568B2 (en)2008-09-252012-02-14International Business Machines CorporationApparatus, method and computer program product for fast simulation of manufacturing effects during integrated circuit design
CN115505988A (en)*2022-09-292022-12-23日善电脑配件(嘉善)有限公司 A method and device for optimizing the uniformity of anodized film
US12036634B2 (en)2016-10-182024-07-16Ebara CorporationSubstrate processing control system, substrate processing control method, and program
CN119495475A (en)*2025-01-092025-02-21深圳深华新电缆实业有限公司 A preparation process optimization method and system for tensile flame-retardant and fire-resistant power cables

Families Citing this family (5)

* Cited by examiner, † Cited by third party
Publication numberPriority datePublication dateAssigneeTitle
DE10208165C1 (en)*2002-02-262003-10-02Advanced Micro Devices Inc Method, control and device for controlling the chemical mechanical polishing of substrates
US7394554B2 (en)*2003-09-152008-07-01Timbre Technologies, Inc.Selecting a hypothetical profile to use in optical metrology
JP4952155B2 (en)*2006-09-122012-06-13富士通株式会社 Polishing condition prediction program, recording medium, polishing condition prediction apparatus, and polishing condition prediction method
JP6753758B2 (en)*2016-10-182020-09-09株式会社荏原製作所 Polishing equipment, polishing methods and programs
JP6782145B2 (en)*2016-10-182020-11-11株式会社荏原製作所 Board processing control system, board processing control method, and program

Citations (2)

* Cited by examiner, † Cited by third party
Publication numberPriority datePublication dateAssigneeTitle
US5599423A (en)*1995-06-301997-02-04Applied Materials, Inc.Apparatus and method for simulating and optimizing a chemical mechanical polishing system
US5637031A (en)*1996-06-071997-06-10Industrial Technology Research InstituteElectrochemical simulator for chemical-mechanical polishing (CMP)

Patent Citations (2)

* Cited by examiner, † Cited by third party
Publication numberPriority datePublication dateAssigneeTitle
US5599423A (en)*1995-06-301997-02-04Applied Materials, Inc.Apparatus and method for simulating and optimizing a chemical mechanical polishing system
US5637031A (en)*1996-06-071997-06-10Industrial Technology Research InstituteElectrochemical simulator for chemical-mechanical polishing (CMP)

Cited By (39)

* Cited by examiner, † Cited by third party
Publication numberPriority datePublication dateAssigneeTitle
US7069101B1 (en)1999-07-292006-06-27Applied Materials, Inc.Computer integrated manufacturing techniques
US7174230B2 (en)1999-07-292007-02-06Applied Materials, Inc.Computer integrated manufacturing techniques
WO2001075534A3 (en)*2000-04-032002-05-23Speedfam Ipec CorpSystem and method for predicting software models using material-centric process instrumentation
US7097534B1 (en)2000-07-102006-08-29Applied Materials, Inc.Closed-loop control of a chemical mechanical polisher
US7188142B2 (en)2000-11-302007-03-06Applied Materials, Inc.Dynamic subject information generation in message services of distributed object systems in a semiconductor assembly line facility
US6965809B2 (en)2000-12-272005-11-15Infineon Technologies AgMethod for characterizing and simulating a chemical mechanical polishing process
DE10065380A1 (en)*2000-12-272002-07-18Infineon Technologies Ag Process for the characterization and simulation of a chemical mechanical polishing process
DE10065380B4 (en)*2000-12-272006-05-18Infineon Technologies Ag Method for characterizing and simulating a chemical-mechanical polishing process
US8694145B2 (en)2001-06-192014-04-08Applied Materials, Inc.Feedback control of a chemical mechanical polishing device providing manipulation of removal rate profiles
KR100906133B1 (en)*2001-06-192009-07-07어플라이드 머티어리얼즈 인코포레이티드 Feedback control of chemical mechanical polishing machines providing manipulation of removal rate profiles
US6913938B2 (en)2001-06-192005-07-05Applied Materials, Inc.Feedback control of plasma-enhanced chemical vapor deposition processes
US6910947B2 (en)2001-06-192005-06-28Applied Materials, Inc.Control of chemical mechanical polishing pad conditioner directional velocity to improve pad life
US7047099B2 (en)2001-06-192006-05-16Applied Materials Inc.Integrating tool, module, and fab level control
US7101799B2 (en)2001-06-192006-09-05Applied Materials, Inc.Feedforward and feedback control for conditioning of chemical mechanical polishing pad
WO2002103779A1 (en)*2001-06-192002-12-27Applied Materials, Inc.In situ sensor based control of semiconductor processing procedure
US7082345B2 (en)2001-06-192006-07-25Applied Materials, Inc.Method, system and medium for process control for the matching of tools, chambers and/or other semiconductor-related entities
US7160739B2 (en)2001-06-192007-01-09Applied Materials, Inc.Feedback control of a chemical mechanical polishing device providing manipulation of removal rate profiles
WO2002103777A1 (en)*2001-06-192002-12-27Applied Materials, Inc.Feedback control of a chemical mechanical polishing device providing manipulation of removal rate profiles
US7337019B2 (en)2001-07-162008-02-26Applied Materials, Inc.Integration of fault detection with run-to-run control
US6984198B2 (en)2001-08-142006-01-10Applied Materials, Inc.Experiment management system, method and medium
US7225047B2 (en)2002-03-192007-05-29Applied Materials, Inc.Method, system and medium for controlling semiconductor wafer processes using critical dimension measurements
US6999836B2 (en)2002-08-012006-02-14Applied Materials, Inc.Method, system, and medium for handling misrepresentative metrology data within an advanced process control system
US7272459B2 (en)2002-11-152007-09-18Applied Materials, Inc.Method, system and medium for controlling manufacture process having multivariate input parameters
US7008875B2 (en)2002-11-222006-03-07Applied Materials Inc.Methods and apparatus for polishing control
US7400934B2 (en)2002-11-222008-07-15Applied Materials, Inc.Methods and apparatus for polishing control
WO2004048038A1 (en)*2002-11-222004-06-10Applied Materials Inc.Methods and apparatus for polishing control
US7333871B2 (en)2003-01-212008-02-19Applied Materials, Inc.Automated design and execution of experiments with integrated model creation for semiconductor manufacturing tools
CN1306563C (en)*2003-02-252007-03-21株式会社瑞萨科技 Simulator
US7363207B2 (en)2003-02-252008-04-22Renesas Technology Corp.Simulator for a chemical mechanical polishing
US7205228B2 (en)2003-06-032007-04-17Applied Materials, Inc.Selective metal encapsulation schemes
US7354332B2 (en)2003-08-042008-04-08Applied Materials, Inc.Technique for process-qualifying a semiconductor manufacturing tool using metrology data
DE102005000645B4 (en)*2004-01-122010-08-05Samsung Electronics Co., Ltd., Suwon Apparatus and method for treating substrates
US7356377B2 (en)2004-01-292008-04-08Applied Materials, Inc.System, method, and medium for monitoring performance of an advanced process control system
US6961626B1 (en)2004-05-282005-11-01Applied Materials, IncDynamic offset and feedback threshold
US7096085B2 (en)2004-05-282006-08-22Applied MaterialsProcess control by distinguishing a white noise component of a process variance
US8117568B2 (en)2008-09-252012-02-14International Business Machines CorporationApparatus, method and computer program product for fast simulation of manufacturing effects during integrated circuit design
US12036634B2 (en)2016-10-182024-07-16Ebara CorporationSubstrate processing control system, substrate processing control method, and program
CN115505988A (en)*2022-09-292022-12-23日善电脑配件(嘉善)有限公司 A method and device for optimizing the uniformity of anodized film
CN119495475A (en)*2025-01-092025-02-21深圳深华新电缆实业有限公司 A preparation process optimization method and system for tensile flame-retardant and fire-resistant power cables

Also Published As

Publication numberPublication date
JP2001523586A (en)2001-11-27
GB0010451D0 (en)2000-06-14
DE19882821T1 (en)2001-05-10
GB2346103A (en)2000-08-02
KR20010032223A (en)2001-04-16

Similar Documents

PublicationPublication DateTitle
WO1999025520A1 (en)Method and apparatus for modeling a chemical mechanical polishing process
US6889177B1 (en)Large area pattern erosion simulator
KR102450925B1 (en) Semiconductor Manufacturing Using Machine Learning Approach to Generating Process Control Parameters
US6484300B1 (en)Systems, methods and computer program products for obtaining an effective pattern density of a layer in an integrated circuit, and for simulating a chemical-mechanical polishing process using the same
US6594542B1 (en)Method and system for controlling chemical mechanical polishing thickness removal
US20040017575A1 (en)Optimized model and parameter selection for optical metrology
CN118862368B (en)Method, apparatus and medium for simulating wafer processing
JP7465498B2 (en) System for chemical mechanical polishing of a workpiece, computing system, and method for creating a simulation model of chemical mechanical polishing - Patents.com
CN109612999A (en) System and method for wafer map analysis
US20040167755A1 (en)Simulator for a chemical mechanical polishing
CN101840207A (en)Method and apparatus for advanced process control
CN1659574B (en)Selection of wavelengths for integrated circuit optical metrology
TW201944299A (en)Information processing device, program, processing process executing device, and information processing system
US20190096722A1 (en)Semiconductor fabrication using process control parameter matrix
US5835891A (en)Device modeling using non-parametric statistical determination of boundary data vectors
Runnels et al.Modelling tool for chemical-mechanical polishing design and evaluation
CN115035401A (en)Machine learning for classifying retaining rings
CN117634101A (en)Chip surface morphology determination method, chip surface morphology determination device, computer device and storage medium
KR102279045B1 (en)Apparatus and method for generating control data of polishing process and control device comprising the same
Ouyang et al.An analytical model of multiple ILD thickness variation induced by interaction of layout pattern and CMP process
CN114346851A (en)Blade grinding process parameter adjusting method, device, equipment and storage medium
US6806098B2 (en)Method and device for assessing surface uniformity of semiconductor device treated by CMP
JP3580036B2 (en) Polishing simulation method
TW202338894A (en)Measurement method and apparatus for semiconductor features with increased throughput
US11769699B2 (en)Semiconductor manufacturing apparatus and semiconductor manufacturing method

Legal Events

DateCodeTitleDescription
AKDesignated states

Kind code of ref document:A1

Designated state(s):DE GB JP KR SG

ALDesignated countries for regional patents

Kind code of ref document:A1

Designated state(s):AT BE CH CY DE DK ES FI FR GB GR IE IT LU MC NL PT SE

121Ep: the epo has been informed by wipo that ep was designated in this application
DFPERequest for preliminary examination filed prior to expiration of 19th month from priority date (pct application filed before 20040101)
ENPEntry into the national phase

Ref document number:200010451

Country of ref document:GB

Kind code of ref document:A

ENPEntry into the national phase

Ref document number:2000 520940

Country of ref document:JP

Kind code of ref document:A

WWEWipo information: entry into national phase

Ref document number:1020007005419

Country of ref document:KR

122Ep: pct application non-entry in european phase
WWPWipo information: published in national office

Ref document number:1020007005419

Country of ref document:KR

RETDe translation (de og part 6b)

Ref document number:19882821

Country of ref document:DE

Date of ref document:20010510

WWEWipo information: entry into national phase

Ref document number:19882821

Country of ref document:DE

WWRWipo information: refused in national office

Ref document number:1020007005419

Country of ref document:KR


[8]ページ先頭

©2009-2025 Movatter.jp