Movatterモバイル変換


[0]ホーム

URL:


WO1998046597A1 - Serine protease inhibitors - Google Patents

Serine protease inhibitors
Download PDF

Info

Publication number
WO1998046597A1
WO1998046597A1PCT/US1998/007709US9807709WWO9846597A1WO 1998046597 A1WO1998046597 A1WO 1998046597A1US 9807709 WUS9807709 WUS 9807709WWO 9846597 A1WO9846597 A1WO 9846597A1
Authority
WO
WIPO (PCT)
Prior art keywords
alkyl
aryl
hydrogen
iii
independently selected
Prior art date
Application number
PCT/US1998/007709
Other languages
French (fr)
Inventor
Dennis C. Liotta
Neysa Nevins
James P. Snyder
Dawei Zhang
Krista Kasdorf
Original Assignee
Emory University
Priority date (The priority date is an assumption and is not a legal conclusion. Google has not performed a legal analysis and makes no representation as to the accuracy of the date listed.)
Filing date
Publication date
Application filed by Emory UniversityfiledCriticalEmory University
Priority to AU71272/98ApriorityCriticalpatent/AU7127298A/en
Publication of WO1998046597A1publicationCriticalpatent/WO1998046597A1/en

Links

Classifications

Definitions

Landscapes

Abstract

Compounds such as (A) or its pharmaceutically acceptable salts or hydrates, inhibit viral and human serine proteases, and are suitable for the treatment of hepatitis C virus infection, human cytomegalovirus infection, yellow fever, viral encephalitis, pulmonary emphysema, cardiovascular disease, cancer, rheumatoid arthritis, herpes, and immune nephritis.

Description

TITLE OF THE INVENTION SERINE PROTEASE INHIBITORS
BACKGROUND OF THE INVENTION Proteases are essential enzymes in the life cycle of many viruses and also play a role in various physiological processes. Many of the proteases developed by viruses are so specialized that they differ substantially from the enzymes to be found in the host, and such specialization makes the viral protease an attractive target of drug therapy. Proteases are also used by the body to regulate various processes and an unbalancing of these mechanisms leads to many disease states. Inhibition of protease, such as serine protease, is considered an ideal chemotherapy in such cases.
Viruses suitable for serine protease inactivation include hepatitis C virus (HCV), [Love, R. A., et al.; Cell 87, 331 (1996); Kim, J. L., et al., Cell 87, 343 (1996)], human cytomeglavirus (HCMV) [ Stevens, J. T., et al, Ewr. J. BioChem. 226, 361 (1994)], various flaviviruses, e.g., yellow fever, various encephalitises [ Fraenkel- Conrat, H., et al., Virology, 2nd Ed., Prentice Hall Εnglewood Cliffs, pp. 102-103 (1998)], as well as HSV-1, HSV-2, VZV, ΕBV, HHV-6, and HHV-7.
In the host, human leukocyte elastase (HLΕ) is a serine protease which is involved in diseases such as pulmonary emphysema, [Lungarella, G., et al., Exp. Mol. Pathol. 42, 44 (1985); Powers, J. C. Trends BioChem. Sci., I (9), 211 (1976)], arthritis [JanofF, A. et al. (eds.) Neutral Proteases in Human Polymorphonuclear Leukocytes, Urban and Schwartzenberg, Baltimore, p. 390-417, (1978); JanofF, A. Molecular Basis of Biological Degradative Processes, Berlin, R.D., et al., (Eds.), Academic Press, New York, pp. 225-260, (1973)], pancreatitis [Geokas, M.C., et al., Lab. Invest. \9, 235 (1968)], adult respiratory distress syndrome [Burchardi, H., et al., Adv. Exp. Med. Biol. 167, 319 (1984)] and various degenerative skin disorders. The serine proteases involved with these diseases are of great interest as drug targets. Other physiological serine proteases include thrombin, which is implicated in many cardiovascular diseases [Fox, I., et al., Thromb. Haemostasis 69, 157(1993); Maffrand, J.P. Nσwv. Rev. Fr. Hemato. J4, 405 (1992)]; urokinase-type plasminogen activator (UPA), which is known to aid in the metastasis of some types of cancer [Mueller, B. M., Curr. Top. Microbiol. Immuno. 213, 65 (1996); Schmitt, M., et al., J. Obstet. Gynaecol. 2\, 151 (1995)], especially prostate [Rabbani, S. A., et al., Int. J. Cancer 63, 840, (1995); SofF, G. A., et al., J. Clin. Invest. 96, 2593 (1995)], gastric [Herszenyi, L., et al., ActaPhysiol. Hung, 83, 213 (1995); Plebani, M., et al., Cancer 76, 367 (1995)], and breast [Duffy, M. I, et al., Enzyme Protein 49, 85, (1996); Xing, R. H., et al., Int. J. Cancer 67, 423, (1996)]; and collagenase, which plays a role in destructive corneal disease associated with rheumatoid arthritis (Riley, G. P., et al., Eye 9(6), 703 (1995)]. Serine proteases are also implicated in immune nephritis [Hruby, Z., et al., Int. Urol. Nephrol. 20, 513 (1988); Hruby, Z., et al., Nephrol. Dial. Transplant U, 32, (1996)].
Applicants have discovered new compounds useful for inhibition of serine protease as a drug target.
BRIEF DESCRIPTION OF THE INVENTION Compounds of formulas I-III, as herein defined, are disclosed. These compounds are useful in the inhibition of the serine protease encoded by HCV, HCMV, flaviviruses involved with yellow fever or encephalitis, Herpes Simplex Virus, VZV, Epstein Barr Virus, and HHV. These compounds are also suitable for the treatment of infection by such viruses, the prevention of infection by such viruses, and in the treatment of diseases resulting from infection of such viruses. The compounds of the present invention are also useful for treating diseases without apparent viral etiology, including pulmonary emphysema, cardiovascular disease, cancer, rheumatoid arthritis and immune nephritis.
For such purposes, compounds of formulas I-III are suitable, either as compounds, pharmaceutically acceptable salts or hydrates, pharmaceutical composition ingredients, whether or not as combination with other antivirals, immunomodulators, antibiotics or vaccines. Methods of treating infection by such viruses, and methods of preventing infection by such viruses are also disclosed. Some abbreviations that may appear in this application follow:
ABBREVIATIONS EBV Epstein Barr Virus HCV Hepatitis C Virus
HCMV Human Cytomegalovirus
HHV Human Herpes Virus
HLE Human Leukocyte Elastase
HSV Herpes Simplex Virus, in various serotypes, e.g., HSV-1, HSV-2
MCPBA 3-Chloroperoxybenzoic acid
UPA Urokinase-type Plasminogen
VZV Varicella Zoster Virus
DETAILED DESCRIPTION OF THE INVENTION
This invention relates to compounds of formula I-III, combinations thereof, or pharmaceutically acceptable salts or hydrates thereof, in the inhibition of serine protease encoded by HCV, HCMV, HSV, VZV, EBV, HHV, and flaviviruses involved with yellow fever or encephalitis. The compounds of the present invention are also useful for treating diseases without apparent viral etiology, including pulmonary emphysema, cardiovascular disease, cancer, rheumatoid arthritis and immune nephritis.
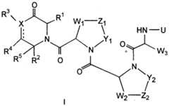
Compounds of formula I are defined as follows:
Figure imgf000006_0001
wherein: X is a single or a double bond;
X is C or N;
R1 and R4 are ! independently selected from the groups consisting of
(i) hydrogen;
(ϋ) Cι.6 alkyl;
(iϋ) aryl;
(iv) Cι-6-OR, wherein R is H, Cι-6 alkyl or aryl;
(v) Cns-SR; and
(vi) C1-6-NR2;
R2 is
(i) OH;
(ϋ) CM alkyl;
(iϋ) O-d-6 alkyl;
(vi) aryl;
Figure imgf000006_0002
(vii) C1-6-NR2; (i) hydrogen;
(ϋ) Cw alkyl;
(iϋ) aryl; when X is C or when X is N and X is a single bond,
R3 is H or (CH2)n-Q, wherein n is an integer between 1 and 5 and Q is
(i) OH;
(ϋ) NH2;
(iϋ) NHR;
(iv) NR2;
(v) COOH;
(vi) COOR;
(vii) SH;
(vii) S(O)R; or
(vii) SR; when X is N and X is a double bond,
R3is absent; when either Yi or Wi are hydrogen or Yt and Wi are both hydrogens, then Zi is absent, Yi and Wi are not joined to each other and are independently selected from:
(i) hydrogen; (ii) Cι.6 alkyl; or
(ϋi) aryl; when Yi and Wi are both not hydrogen, they are selected independently from: (i) -CH2-; (ii) -CHR1-; or (iii) -CR*R4 -; when either Y2 or W2 are hydrogen or Y2 and W2 are both hydrogens, then Z2 is absent, Y2 and W are not joined to each other and are independently selected from:
(i) hydrogen; (ii) CM alkyl; or
(ϋi) aryl; when Y2 and W2 are both not hydrogen, they are selected independently from: (i) -CH2-; (ii) -CHR1-; or (Hi) -CR'R4 -;
W3 is selected from:
(i) hydrogen; (ii) Cι-6 alkyl; or (iϋ) aryl; U is selected independently from:
(i) hydrogen; (ii) -C(O)-C1-6 alkyl; (iii) -C(O)-aryl; (iv) -C(O)-O-C1-6 alkyl; (v) -C(O)-O-aryl;
(vi) -C(O)-NH-C1-6 alkyl; or (vii) -C-(O)-NH-aryl; Zi and Z are selected independently from: (i) -CH2-; (ii) -CHR1-;
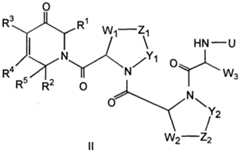
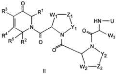
(iii) -CR*R4-; or (iv) -CH2CH2-; or pharmaceutically acceptable salts or hydrates thereof. Compounds of the formula II are defined as follows:
Figure imgf000009_0001
wherein:
R1 and R4 are independently selected from the groups consisting of
(i) hydrogen;
(ii) CM alkyl;
(iϋ) aryl;
(iv) Cι-6-OR, wherein R is H, Cι-6 alkyl or aryl;
(v) CM-SR; and
(vi) C1-6-NR2;
R2 is
(i) OH;
(ϋ) C1-6 alkyl;
(ϋi) O-Cι-6 alkyl;
(iv) aryl;
Figure imgf000009_0002
(vϋ) CM-NR2;
R3 is H or (CH2)„-Q, wherein n is an integer between 1 and 5 and Q is
0) OH;
(ϋ) NH2;
(iϋ) NHR; (iv) NR2;
(v) COOH;
(vi) COOR;
(vϋ) SH;
(viii) S(O)R; or
(ix) SR;
R5 is
0) hydrogen;
(ϋ) C alkyl;
(iii) aryl; when either Yi or Wi are hydrogen or Yt and Wi are both hydrogens, then Zi is absent, Yi and Wi are not joined to each other and are independently selected from:
(i) hydrogen; (ii) C alkyl; or
(iii) aryl; when Yt and Wi are both not hydrogen, they are both -CH2-; when either Y2 or W2 are hydrogen or Y2 and W2 are both hydrogens, then Z2 is absent, Y2 and W2 are not joined to each other and are independently selected from:
(i) hydrogen; (ii) CM alkyl; or (iϋ) aryl; when Y2 and W2 are both not hydrogen, they are both -CH2-; W3 is:
(i) hydrogen
(ϋ) CM alkyl; or
(ϋi) aryl;
U is:
(i) hydrogen;
(ϋ) -C(O)-CM alkyl; π
(iii) -C(O)-aryl;
(iv) -C(O)-O-CM alkyl;
(v) -C(O)-O-aryl;
(vi) -C(O)-NH-CM alkyl;
(vi) -C(O)-NH-aryl;
Zi and Z2 are 5 both -CH2-; or pharmaceutically acceptable salts or hydrates thereof.
Compounds of the formula III are defined as follows:
Figure imgf000011_0001
wherein:
R1 is independently selected from the groups consisting of
(i) hydrogen
(ii) CM alkyl;
(iii) aryl;
(iv) CM-OR, wherein R is H, C alkyl or aryl;
(v) CM-SR; and
Figure imgf000011_0002
R2 is
(i) hydrogen; (ii) CM alkyl; or (ϋi) aryl; when either Yi or Wx are hydrogen or Yi and Wi are both hydrogens, then Z\ is absent, Yi and Wi are not joined to each other and are independently selected from:
(i) hydrogen;
(ii) CM alkyl; or
(ϋi) aryl; when Yi and Wi are both not hydrogen, they are both -CH2-; W2 is:
(i) hydrogen;
(ϋ) CM alkyl; or
(ϋi) aryl;
TT*
(i) hydrogen;
(ϋ) -C(O)-CM alkyl;
(iϋ) -C(O)-aryl;
(iv) -C(O)-O-CM alkyl;
(v) -C(O)-O-aryl;
(vi) -C(O)-NH-CM alkyl; or
(vii) -C(O)-NH-aryl;
Figure imgf000012_0001
or pharmaceutically acceptable salts or hydrates thereof.
Compound A is preferred and is defined as follows:
Figure imgf000013_0001
IV or pharmaceutically acceptable salts or hydrates thereof.
The present invention also relates to a pharmaceutical composition comprising any compound of the present invention, and a pharmaceutically acceptable carrier.
The pharmaceutical composition of the present invention is useful in the treatment of infections associated with hepatitis C and human cytomeglavirus, encephalitis, pulmonary emphysema, cardiovascular disease, cancer, rheumatoid arthritis and immune nephritis.
The pharmaceutical composition of the present invention is useful in the inhibition of the serine proteases of HCV, HCMV, HSV, VZV, EBV and HHV.
The preferred compound of the present infection is compound A, shown below
Compound A:
Figure imgf000013_0002
6-Hydroxy-2-isopropyl-l,6-dihydro-2H-pyridin-3-one, or pharmaceutically acceptable salt or hydrate thereof.
The compounds of the present invention, may have asymmetric centers and occur as racemates, racemic mixtures and as individual diastereomers or enantiomers, with all isomeric forms being included in the present invention.
When any variable (e.g., R1, R2) occurs more than one time in any constituent or in formulas I-III, its definition on each occurrence is independent of its definition at every other occurrence. Also, combinations of substituents and/or variables are permissible only if such combinations result in stable compounds. As used herein except where noted, "alkyl" is intended to include both branched- and straight-chain saturated aliphatic hydrocarbon groups having the specified number of carbon atoms (Me is methyl, Et is ethyl, Pr is propyl, Bu is butyl). As used herein, with exceptions as noted, "aryl" is intended to mean phenyl (Ph) or naphthyl.
The pharmaceutically-acceptable salts of the compounds of Formulas I- III (in the form of water- or oil-soluble or dispersible products) include the conventional non-toxic salts or the quaternary ammonium salts which are formed, e.g., from inorganic or organic acids or bases. Examples of such acid addition salts include acetate, adipate, alginate, aspartate, benzenesulfonate, bisulfate, butyrate, citrate, camphorate, camphorsulfonate, cyclopentanepropionate, digluconate, dodecylsulfate, ethanesulfonate, fumarate, glucoheptanoate, glycerophosphate, hemisulfate, heptanoate, hexanoate, hydrochloride, hydrobromide, hydroiodide, 2-hydroxyethanesulfonate, lactate, maleate, methansulfonate, 2-naphthalenesulfonate, nicotinate, oxalate, pamoate, pectinate, persulfate, 3-phenylpropionate, picrate, pivalate, propionate, succinate, tartrate, thiocyanate, tosylate, and undecanoate. Base salts include ammonium salts, alkali metal salts such as sodium and potassium salts, alkaline earth metal salts such as calcium and magnesium salts, salts with organic bases such as dicyclohexylamine salts, N-methyl-D-glucamine, and salts with amino acids such as arginine, lysine, and so forth. Also, the basic nitrogen-containing groups may be quaternized with such agents as lower alkyl halides, such as methyl, ethyl, propyl, and butyl chloride, bromides and iodides; dialkyl sulfates like dimethyl, diethyl, dibutyl; and diamyl sulfates, long chain halides such as decyl, lauryl, myristyl and stearyl chlorides, bromides and iodides, aralkyl halides like benzyl and phenethyl bromides and others. Schemes I-V for preparing the novel compounds of this invention are presented below. Schemes I-V are not limited by any particular substituents employed in the schemes for illustrative purposes. The examples specifically illustrate the application of the following schemes to specific compounds. To synthesize the end group 13 of the present invention, the corresponding alpha-furfuryl amide 11 is synthesized as an intermediate. In Scheme I, the asymmetric synthesis of the alpha furfuryl amide is carried out by first subjecting 2-furaldehyde 1 to enantioselective alkylation with a chiral sulfonamide-titanate complex, formed with 2, to give 3 ( in the S configuration) with typically high enantiomeric excess. See, e.g., Takahashi, H. et al., Tetrahedron Lett. 30, 7095 (1989), and Yoshioka, M. et al.,
Tetrahedron Lett. 30, 1657 (1989). Asymmetric conversion to the azide, followed by reduction to give amine 9 is accomplished by the method of Thompson, A. et al., J.Org.Chem. 58, 5886 (1993). Alternatively, acylated fiiran 5 is reacted with hydroxylamine to form the corresponding oxime, which in turn is reduced with lithium aluminum hydride (LAH) to give amine 6, typically in the S configuration, in the presence of either Noyori's reagent or Mosher's reagent. See, e.g., Smith, H.E., et al., J.Am.Chem.Soc. \0\, 5186 (1979); Hutchins, R.O. et al., J.Org.Chem.52, 704 (1987). Variations in Scheme I can provide either enantiomer. For example, inverting the configuration of both asymmetric carbons in 2 will give 3 in the R configuration.
SCHEME I: Asymmetric Synthesis
Figure imgf000016_0001
Figure imgf000016_0002
NH
Figure imgf000016_0003
L* = Noyori's reagent (Binal-H) Mosher's reagent (Chirald)
Scheme II sets forth three racemic pathways for the synthesis of intermediate racemate 9. In one pathway, furan 7 is acylated with catalyst ZnCl2 according to Harough, H.D. et al., J.Am.Chem.Soc. 69, 1012 (1947). The acylated furan 8 is then reacted with hydroxylamine to form the corresponding oxime, which in turn is reduced with lithium aluminum hydride (LAH) to give the racemic amine 9. See, e.g., Smith, H.E., et al., J.Am.Chem.Soc. 101, 5186 (1979). In a second pathway to synthesize racemic amine 9, 2-fiιraldehyde 1 is first reacted with the appropriate Grignard reagent to give the racemic alcohol 10. Conversion to the azide, followed by reduction to give racemic amine 9 is accomplished by the method of Thompson, A. et al., J.Org.Chem. 5_8, 5886 (1993). A third method of synthesizing racemic amine 9 involves reacting the nonenolizable aldehyde 1 with 1,1,1,3,3,3-hexamethyldisilazane (LiHMDS) to give the corresponding N-trimethylsilyl imine, which is then treated with the appropriate Grignard reagent to give 9. Tosylation of amine 9 gives 11 in Scheme III.
SCHEME II: Racemic Pathways
Figure imgf000018_0001
0
7 8
Figure imgf000018_0002
9 NH2
Figure imgf000018_0003
Figure imgf000018_0004
Figure imgf000018_0005
Oxidative rearrangements of 11 are carried out to isolate 13. See, for example, Scheme III. In the methods of Zhou, W.-S. et al., Tetrahedron 49, 2641 (1993), Sharpless asymmetric epόxidation of racemic 11 using tert-butyl hyrdoperoxide (TBHP) in the presence of chiral titanium-tartrate catalyst gives a mixture of 12 and 13. Alternatively, L-(+)-DIPT gives a mixture of 12 in the S configuration and 13 in the R configuration.
SCHEME III
Figure imgf000019_0001
11
Figure imgf000019_0002
In Scheme IV, oxidation of racemic 11 with MCPBA gives 13 as a mixture of two enantiomers. See, e.g., Zhou, W.-S. et al., Tetrahedron 49, 2641 (1993). Oxidative reaarangement of tosylate 11 with the S configuration provides 13 as one enantiomer, while starting material of the R configuration gives the other enantiomer.
SCHEME IV
Figure imgf000020_0001
11 13 racemic
Figure imgf000020_0002
Figure imgf000020_0003
NHTs
11 13
Amide couplings used to form the compounds of this invention are typically performed by the carbodiimide method with reagents such as dicyclohexylcarbodiimide, or l-ethyl-3-(3-dimethylaminopropyl) carbodiimide. Other methods of forming the amide or peptide bond include, but are not limited to the synthetic routes via an acid chloride, azide, mixed anhydride or activated ester. Typically, solution phase amide coupling are performed, but solid-phase synthesis by classical Merrified techniques may be employed instead. The addition and removal of one or more protecting groups is also typical practice.
A general synthetic approach to compounds such as A is shown in Scheme V. Grignard addition to 2-furaldehyde 1 provides racemic alcohol 10. Displacement with azide followed by LAH reduction gives racemic amine 9. Coupling of a peptide or peptidomimetic to amine 9 via the mixed anhydride provides racemic 14, which is oxidatively rearranged using MCPBA to give compound 15 as a mixture of two enantiomers.
SCHEME V
Figure imgf000021_0001
ide idomimetic
Figure imgf000021_0002
Figure imgf000021_0003
Figure imgf000021_0004
OH
15
The compounds of the present invention are useful in the inhibition of viral serine proteases, the prevention or treatment of infection by the human viruses encoding serine proteases, and the treatment of consequent pathological conditions such as Hepatitis C, yellow fever, viral encephalitis, herpes infection. The compounds of the present invention are also useful in the treatment of diseases without apparent viral etiology, including, but not limited to pulmonary emphysema, cardiovascular disease, cancer, rheumatoid arthritis and immune nephritis.
For these purposes, the compounds of the present invention may be administered orally, parenterally (including subcutaneous injections, intravenous, intramuscular, intrasternal injection or infusion techniques), by inhalation spray, topically, intravitreously, or rectally, in dosage unit formulations containing conventional non-toxic pharmaceutically-acceptable carriers, adjuvants and vehicles.
Thus, in accordance with the present invention there is further provided a method of treating and a pharmaceutical composition for treating infection by human viruses encoding serine proteases. The treatment involves administering to a patient in need of such treatment a pharmaceutical composition comprising a pharmaceutical carrier and a therapeutically effective amount of a compound of the present invention, or a pharmaceutically acceptable salt thereof.
These pharmaceutical compositions may be in the form of orally- administrable suspensions or tablets; nasal sprays; sterile injectable preparations, for example, as sterile injectable aqueous or oleaginous suspensions or suppositories. When administered orally as a suspension, these compositions are prepared according to techniques well-known in the art of pharmaceutical formulation and may contain microcrystalline cellulose for imparting bulk, alginic acid or sodium alginate as a suspending agent, methylcellulose as a viscosity enhancer, and sweeteners/flavoring agents known in the art. As immediate release tablets, these compositions may contain microcrystalline cellulose, dicalcium phosphate, starch, magnesium stearate and lactose and/or other excipients, binders, extenders, disintegrants, diluents and lubricants known in the art. When administered by nasal aerosol or inhalation, these compositions are prepared according to techniques well-known in the art of pharmaceutical formulation and may be prepared as solutions in saline, employing benzyl alcohol or other suitable preservatives, absorption promoters to enhance bioavailability, fluorocarbons, and/or other solubilizing or dispersing agents known in the art. The injectable solutions or suspensions may be formulated according to known art, using suitble non-toxic, parenterally-acceptable diluents or solvents, such as mannitol, 1,3-butanediol, water, Ringer's solution or isotonic sodium chloride solution, or suitable dispersing or wetting and suspending agents, such as sterile, bland, fixed oils, including synthetic mono- or diglycerides, and fatty acids, including oleic acid. When rectally administered in the form of suppositories, these compositions may be prepared by mixing the drug with a suitable non-irritating excipient, such as cocoa butter, synthetic glyceride esters or polyethylene glycols, which are solid at ordinary temperatures, but liquidity and/or dissolve in the rectal cavity to release the drug.
Dosage levels of the order of 0.02 to 5.0 or 10.0 grams-per-day are useful in the treatment or prevention of the above-indicated conditions, with oral doses two-to-five times higher. For example, infection by Hepatitis C virus is effectively treated by the administration of from 10 to 50 milligrams of the compound per kilogram of body weight from one to three times per day. It will be understood, however, that the specific dose level and frequency of dosage for any particular patient may be varied and will depend upon a variety of factors including the activity of the specific compound employed, the metabolic stability and length of action of that compound, the age, body weight, general health, sex, diet, mode and time of administration, rate of excretion, drug combination, the severity of the particular condition, and the host undergoing therapy.
The present invention is also directed to combinations of the viral serine protease inhibitory compounds with one or more agents useful in the treatment of such viruses. For example, the compounds of this invention may be effectively administered, whether at periods of pre-exposure and/or post-exposure, in combination with effective amounts of antivirals, immunomodulators, anti-infectives, or vaccines known to those of ordinary skill in the art. It will be understood that the scope of combinations of the compounds of this invention with antivirals, immunomodulators, anti-infectives or vaccines include in principle any combination with any pharmaceutical composition useful for the treatment of diseases resulting from infection by viruses encoding serine protease. EXAMPLE 1
Figure imgf000024_0001
OH
2-Isopropyl-2'-furyl carbinol. 2-Furaldehyde (18.25 g, 0.19 mol, 1.00 eq) was dissolved in THF (35 mL) and cooled to 0°C. To this solution, isopropyl magnesium chloride (99.71 mL, 0.21 mol, 2.0 M in THF, 1.05 eq) was added dropwise. After 2 h, TLC followed the consumption of the starting material, ice-cold NH4CI (5%; 50 mL) was added. The reaction solution was extracted with EtOAc (150 mL), washed with water (3 x 50 mL), dried (MgSU4) and concentrated to a light yellow oil. Purification gave 2-isopropyl-2'-furyl carbinol (15.2 g, 0.11 mol, 57%). Chromatographic purification (Flash column, silica gel, 25 cm x 10 cm, 4/1; hexane/ethyl acetate); 1H NMR (CDC13, 300 MHz): δ 7.27 (d, J=1.8 Hz, 1 H) 6.24 (dd, Jι=3.0 Hz, J2=1.8 Hz, 1H) 6.13 (d, J=3.0 Hz, 1 H), 4.26 (d, J=6.9 Hz, 1H), 2.71 (s, 1 H), 2.00 (sept, J=6.6 Hz, 1 H), 0.92 (d, J=6.6 Hz, 3 H), 0.77 (d, J=6.6 Hz, 3H).
EXAMPLE 2
Figure imgf000024_0002
2-Isopropyl-2'-furylmethylazide. Following the procedure of Thompson,
A.S., et al., J. Org. Chem. 58, 5886 (1993), 2-isopropyl-2'-furyl carbinol (12.50 g, 89.17 mmol, 1.00 eq) was dissolved in toluene (50 mL) and cooled to 0°C. To this solution, DBU (16.0 mL, 107.01, 1.20 eq) was added followed by the addition of diphenyl phosphorus azide (12.93 mL, 107.01 mmol, 1.20 eq). The reaction mixture was stirred overnight and concentrated to a solid. The residue was passed through a pad of celite, washed with hexane and concentrated. Purification gave 2-isopropyl-2'- furylmethylazide (9.12 g. 55.21 mmol, 62%). Chromatographic purification (Flash column, silica gel, 25 cm x 10 cm, 19/1; hexane/ethyl acetate). 1H NMR (CDC13, 300 Mhz): δ 7.41 (d, J=1.2 Hz, 1 H), 6.37 (dd, Jr=3.0 Hz, J2=1.8 Hz, 1 H), 6.30 (d, J=3.0 Hz, 1 H), 4.11 (d, J-7.2 Hz, 1 H), 2.19 (sept, J=6.6 Hz, 1 H), 1.04 (d, J=6.6 Hz, 3 H), 0.88 (d, J=6.6 Hz, 3H).
EXAMPLE 3
Figure imgf000025_0001
2-Isopropyl-2'-furylmethylamine. Following the procedure of Thompson, A.S., et al., J. Org. Chem. 58, 5886 (1993), 2-isopropyl-2-furylmethylazide (3.00 g, 18.16 mmol, 1.00 eq) was dissolved in THF (40 mL) and cooled to 0°C. To this solution, LAH (36.00 mL, 36.32 mmol, 2.00 eq) was added dropwise. After 2 h, the reaction was warmed to room temperature. The reaction was cooled to -78°C and quenched with water (50 mL). The reaction mixture was extracted with Et2O (3 x 100 mL), washed with water (3 x 35 mL), dried (MgSO4) and concentrated to give 2-isopropyl-2'-furylmethylamine (2.53 g, 18.16 mmol, 100%) 1H NMR (CDC13, 300 MHz): δ 7.33 (d, J=1.8 Hz 1H), 6.30 (dd, Jι=3.0 Hz, J2=1.8 Hz, 1 H), 6.11 (d, J=3.0 Hz, 1 H), 3.69 (d, J=6.2 Hz, 1 H), 2.04 (sept, J=6.6 Hz, 1 H), 1.04 (d, J=6.6 Hz, 3 H), 0.88 (d, J=6.6 Hz, 3H). EXAMPLE 4
Figure imgf000026_0001
N-(L-Alanyl-L-alanine acetate)-2-isopropyl-2'-furylmethylamine. L-Alaninyl-L-alanine acetate (1.00 g, 4.95 mmol, 1.00 eq) was dissolved in DMF (15 mL) and THF (30 mL). The reaction mixture was cooled to - 20 °C (acetone/dry ice) and N-methyl morpholine (1.09 mL, 9.91 mmol, 2.00 eq) was added, followed by slow addition of iso-butyl chloroformate (0.70 mL, 5.40 mmol, 1.09 eq). The reaction mixture was stirred at - 20 °C (acetone/dry ice) for 1.5 hr, then cooled to -40 °C (acetone/dry ice), and 2-isopropyl- 2'-furylmethylamine (0.83 g, 5.93 mmol, 1.20 eq) was added. The reaction was warmed to room temperature to stand overnight. The solvents were removed under reduced pressure. Purification gave N-(L-alanyl-L-alanine acetate)-2-isopropyl-2'- furylmethylamine as a white solid (1.45 g, 4.48 mmol, 91 %). Data: TLC (silica gel, 1 :9; Methano EtOAc, Rf = 0.21); Chromatographic purification ( silica gel, 2.5 cm x 1 0 cm, 100% hexane to 50% methanol in EtOAc); 1H NMR (CD3OD, 300 MHz): 57.40- 7.38 (m, 1 H), 6.33-6.30 (m, 1 H), 6.23-6.16 (m, 1 H), 4.76-4.71 (m, 1 H), 4.41-4.26 (m, 1 H), 2.20-2.13 (m, 1 H), 1.97-1.94 (m, 3), 1.36-1.29 (m, 6H), 0.96-0.82 (m, 6H).13C NMR (CD3OD, 100 MHz): δ 175.3,175.1, 174.4,173.4,155.6,142.9,142.9, 111.2, 107.8, 107.7, 107.6, 54.8, 54.7, 54.6, 50.9, 50.7, 50.5, 50.4, 33.2, 33.1, 22.6, 20.0,19.4, 19.3, 19.2, 18.5,18.1, 18.0, 17.7, 17.5. Anal. Calcd for Ci6H25N3O4-0.5H2O: C, 57.82; H, 7.58; N, 12.64; Found: C, 58.20; H, 7.82; N, 12.61 EXAMPLE 5
Figure imgf000027_0001
N-(L-Prolyl-L-alanine acetate)-2-isopropyl-2'-furylmethylamine. L-Prolyl-L-alanine Acetate (0.78 g, 3.42 mmol, 1.00 eq) was dissolved in DMF (35 mL). The reaction mixture was cooled to - 20 °C (acetone/dry ice), and N-methyl morpholine (0.75 mL, 6.84 mmol, 2.00 eq) was added followed by slow addition of iso-butyl chloroformate (0.44 mL, 3.42 mmol, 1.00 eq). The reaction was stirred at - 5 °C (acetone/dry ice) for 1.5 hr, then cooled to -40 °C (acetone/dry ice), and 2-isopropyl-2'-furylmethylamine (0.50 g, 3.42 mmol, 1.20 eq) was added. The reaction was warmed to room temperature to stand overnight. Work up and purification gave N-(L-prolyl-L-alanine acetate)-2-isopropyl-2'-furylmethylamine (0.82 g, 2.35 mmol, 69%). Data: TLC (silica gel, 1:1; Methanol:EtOAc, Rf = 0.40); Chromatographic purification ( silica gel, 2.5 cm x 10 cm, 100% hexane to 33 % ethanol in EtOAc); 1H NMR (CD3OD, 300 MHz): δ 7.40-7.38 (m, 1 H), 6.33- 6.30 (m, 1 H), 6.23-6.16 (m, 1 H), 4.76-4.71 (m, 1 H), 4.41- 4.26 (m, 1 H), 2.20- 2.13 (m, 1 H), 1.97-1.94 (m, 3),1.36-1.29 (m, 6H), 0.96-0.82 (m, 6H).
EXAMPLE 6
Figure imgf000027_0002
N-(L-Prolyl-L-alaninyl-L-alanine acetate)-2-isopropyl-2'-furyl methylamine. L-Prolyl - L-alaninyl-L-alanine acetate (0.72 g, 2.41 mmol, 1.00 eq) was dissolved in DMF (50 mL). The reaction mixture was cooled to - 20 °C (acetone/dry ice), and N-methyl morpholine (0.58 mL, 5.29 mmol, 2.20 eq) was added followed by slow addition of iso- butyl chloroformate (0.31 mL, 2.41 mmol, 1.00 eq). The reaction was stirred at - 10 °C (acetone/dry ice) for 1.5 hr, then cooled to -40 °C (acetone/dry ice), and 2-isopropyl-2'- furylmethylamine (0.33 g, 2.41 mmol, 1.00 eq) was added. The reaction was warmed to room temperature to stand overnight. The solvents were removed under reduced pressure. Purification gave N-(L-prolyl-L-alaninyl-L-alanine acetate)-2-isopropyl-2'- furylmethylamine (0.83 g, 1.97 mmol, 81 %). Data: TLC (silica gel, EtOAc, Rf = 0.08); Chromatographic purification ( silica gel, 2.5 cm x 10 cm, 50 % hexane in EtOAc to 33% methanol in EtOAc); 1H NMR (CD3OD, 300 MHz): δ 7.43-7.38 (m, 1 H), 6.34- 6.16 (m, 2 H), 4.80-4.32 (m, 3H), 3.82-3.77(m, 1 H), 3.64-3.56 (m, 2H), 2.27-1.99 (m, 8H), 1.35-1.17 (m, 6H), 1.01-0.81(m, 6H).13CNMR (CD3OD, 100 MHz): δ
174.7,173.8,173.8, 173.6, 173.4, 173.3, 173.3, 173.1, 172.9, 172.7, 155.9, 155.7, 155.5, 143.0, 142.9, 142.8, 111.2, 107.8, 107.7, 107.6, 107.5, 63.0, 62.4, 62.1, 61.8, 61.7, 61.6, 61.5, 61.4, 61.0, 60.6, 54.9, 54.8, 54.7, 54.6, 54.4, 50.5, 50.3, 48.4, 48.3, 48.0, 33.5, 33.4, 33.3, 33.1, 32.9, 32.11, 32.9, 30.8, 30.5, 30.2, 30.1, 26.1, 25.9, 25.7, 25.6, 23.6, 23.5, 22.8, 22.6, 22.6, 22.6, 20.1, 20.0,19.9, 19.6, 19.4, 19.3, 19.0. 18.6, 18.3, 18.2, 17.6, 17.2, 17.1. 17.0. 16.9. 14.6, 15.0.
EXAMPLE 7
Figure imgf000028_0001
s
N-(L-alanyl-L-alanine acetate)-2-isopropyl-6-hydroxy-l ,6-dihydro-3-piperidone. N-(L-alanyl-L- alanine acetate)-2-isopropyl-2'-fiuylme1hylarnine (18 mg, 0.06 mmol, 1.00 eq) was dissolved in dichloromethane (10 mL). To this solution, MCPBA (9.4 mg, 0.06 mmol, 1.00 eq) was added via four portions over 10 minutes intervals. After 10 hrs, the solvent was removed and the residue was passed through a pad of silica gel. EtOAc (50 mL) was used to washed away the impurities followed by washing with acetone (25 mL). The acetone solution was concentrated to give N-(L-alanyl-L-alanine acetate)-2-isopropyl-6-hydroxy-l,6-dihydro-3-piperidone as a white solid (1 5 mg, 0.04 mmol, 79%). 'HNMR (CD3COCD3, 300 MHz): 67.97-7.01 (m, 4H), 6.09- 6.06 (m, 1 H), 4.35-4.00 (m, 3H), 1.93-1.83 (m, 3H), 1.31-1.14 (m, 3H), 0.95-0.82 (m, 3H). HRMS MET (FAB) Calcd for Cι6H26N3O5: 340.1872. Found: 340.1871.
EXAMPLE 8
Figure imgf000029_0001
N-(L-Prolyl-L-alanine acetate)-2-isopropyl-6-hydroxy- 1 , 6-dihydro-3 -piperidone. N-(L- Prolyl-L-alanine acetate)-2-isopropyl-2'-furylmethylamine (35 mg, 0.10 mmol, 1.00 eq) was dissolved in dichloromethane (10 mL). To this solution, MCPBA (17 mg, 0.10 mmol, 1.00 eq) was added, After 1.2 hr, the solvent was removed and the residue was passed through a pad of silica gel. EtOAc (50 mL) was used to washed away the impurities followed by washing with acetone (25 mL). The acetone solution was concentrated to give a white solid, 25 mg. Chromatographic purification (silica gel, 0.5 cm x 1 cm, EtOAc to 33% acetone) gave N-(L-prolyl-L-alanine acetate)-2-isopropyl-6- hydroxy-l,6-dihydro-3-piperidone (10 mg, 0.03 mmol, 27%) * H NMR (CDC13, 300 MHz): δ 7.33-6.03 (m, 4H), 4.72-4.46 (m, 2H), 4.13-4.01 (m, 2H), 3.82-3.45 (m, 3H), 2.37-1.81 (m, 8H), 1.31-1.26 (m, 3H), 0.99-0.80 (m, 6H).
EXAMPLE 9
Figure imgf000029_0002
N-(L-Prolyl-L-alaninyl-L-alanine acetate)-2-isopropyl-6-hydroxy- 1 ,6-dihydro-3 - piperidone. N-(^-Prolyl-L-ala nyl-L-alanine acetate)-2-isopropyl-2-furylmethylamine (46 mg, 0.11 mmol, 1.00 eq) was dissolved in dichloromethane (10 mL), To this solution, MCPBA (24 mg, 0.14 mmol, 1.25 eq) was added. After 1.5 hr, the solvent was removed and the residue was passed through a pad of silica gel. EtOAc (50 mL) was used to washed away the impurities followed by washing with acetone (25 mL). The acetone solution was concentrated to give a white solid, 35 mg. Chromatographic purification (silica gel, 0.5 cm x 1 cm, EtOAc to acetone) gave the title compound (15 mg, 0.03 mmol, 31 %) 1H NMR (CDC13, 300 MHz): δ 7.96- 6.05 (m, 5H), 4.86-4.43 (m, 2H), 4.25-4.05 (m, 2H), 3.85-3.81 (m, 2H), 2.33-1.81 (8H), 1.39-1.27 (m, 6H), 1.00-0.80 (m, 6H).13C NMR (CDC13, 100 MHz): δ 173.5,
173.3,172.9,172.4,172.2,172.1, 171.9, 171.8,171.6,171.0,170.7,170.1, 155.8, 154.4, 123.0, 122.5, 108.2, 69.8, 61.8, 61.5, 60.6, 60.0, 59.5, 58.5, 58.2, 58.1, 54.0, 49.0, 48.8, 47.4, 47.1, 47.0, 46.7, 46.4, 31.9, 29.9, 29.6, 29.4, 29.3, 29.1, 28.6, 25.4, 25.2, 25.1, 24.8, 24.6, 23.3, 22.7, 21.9, 19.9, 19.3, 19.0, 18.3, 18.1, 17.9, 17.5, 16.5, 14.3. HRMS MLi+ (FAB) Calcd for C21H32N4O6Li: 443.2482. Found: 443.2493.
EXAMPLE 10
Porcine Pancreatic Elastase Assay
The assay for inhibition of porcine pancreatic elastase was performed substantially according to Powers, J.C. et al. Biochemistry 29 3108. (1990). Porcine pancreatic elastase (PPE), Suc-Ala-Ala-Ala-NA (N-succinyl-a anyl-alanyl-alanine ?- nitroanilide.), and Hepes were obtained from Sigma Chemical Co., St. Louis, MO. A volume of 50 μL of DMSO and a 50 μL aliquot of PPE solution (5.0 mg PPE dissolved in 5.0 mL 1 mmol HC1) were added to 0.5 mL Hepes buffer (0.1 M Hepes, 0.5 M NaCl, pH 7.5). A 50 μL aliquot of this solution was added to a solution of a 50 μL aliquot of substrate solution (20 mmol Suc-Ala-Ala-Ala-NA in DMSO) in 2.0 mL Hepes buffer. For tubes containing inhibitor, a 50 μL aliquot of inhibitor solution (20 mmole in DMSO) and a 50 μL aliquot of PPE solution were added to 0.5 mL Hepes buffer. Mixture was incubated for 10 minutes before a 50 μL aliquot was added to a solution of a 50 μL aliquot of substrate solution in 2.0 mL Hepes buffer. 4-Nitroanilide hydrolysis was measured at 410 nm (ε = 8800 M-1 cm_1) using a spectrophotometer. Slopes obtained for inhibitors were compared those of the corresponding Vn's.
Compound A was active in the assay, and showed about 20% inhibition at about 17 μM.
EXAMPLE 11 Human Cytomegalovirus Protease Assay Inhibition of human cytomegalovirus protease is performed according to
Pinko, C. et al., . J.Biol.Chem 270, 23634 (1995), using either the HPLC-based peptide assay or the continuous RET fluorogenic assay.
While the foregoing specification teaches the principles of the present invention, with examples provided for the purpose of illustration, it will be understood that the practice of the invention encompasses all of the usual variations, adaptations, or modifications, as come within the scope of the following claims and its equivalents.

Claims

WHAT IS CLAIMED IS:
A compound of the formula 1
Figure imgf000032_0001
wherein: Λ. is a sin; gie ui a uuuoie ounu,
X is C or N;
R1 and R4 are ! independently selected from the groups consisting of
(i) hydrogen;
(ϋ) CM alkyl;
(ϋi) aryl;
(iv) CM-OR, wherein R is H, CM alkyl or aryl;
Figure imgf000032_0002
(vi) C1-6-NR2;
R2 is
(i) OH;
(ϋ) CM alkyl;
(iϋ) O-CM alkyl;
(vi) aryl;
(v) CMOR
Figure imgf000032_0003
(vii) CM-NR2
R5 is
(i) hydrogen;
(ϋ) C alkyl;
(iϋ) aryl; when X is C or when X is N and X is a single bond,
R3 is H or (CH2) „-Q, wh is
(i) OH;
(ϋ) NH2;
(iϋ) NHR;
(iv) NR2;
(v) COOH;
(vi) COOR;
(vϋ) SH;
(vϋ) S(O)R; or
(vϋ) SR; when X is N and X'. is a double bond,
R3 is absent; when either Yi or Wi are hydrogen or Yi and Wi are both hydrogens, then Zi is absent, Yi and Wi are not joined to each other and are independently selected from: (i) hydrogen;
(ii) CM alkyl; or
(i ) aryl; when Yi and Wt are both not hydrogen, they are selected independently from:
(i) -CH2-; (ii) -CHR1-; or
(iii) -CRJR4 -; when either Y2 or W2 are hydrogen or Y2 and W2 are both hydrogens, then Z2 is absent, Y2 and W2 are not joined to each other and are independently selected from:
(i) hydrogen; (ii) CM alkyl; or
(i ) aryl; when Y2 and W are both not hydrogen, they are selected independently from: (i) -CH2-; (ii) -CHR1-; or (iii) -CRJR4 -;
W3 is selected from:
(i) hydrogen; (ii) CM alkyl; or (iϋ) aryl; U is selected independently from:
(i) hydrogen; (ii) -C(O)-CM alkyl; (iii) -C(O)-aryl; (iv) -C(O)-O-CM alkyl; (v) -C(O)-O-aryl;
(vi) -C(O)-NH-CM alkyl; or (vii) -C-(O)-NH-aryl; Zi and Z2 are selected independently from: (i) -CH2-; (ii) -CHR1-;
(iii) -C^R4-; or (iv) -CH2CH2-; or pharmaceutically acceptable salts or hydrates thereof.
2. A compound of the formula II
Figure imgf000035_0001
wherein:
R1 and R4 are independently selected from the groups consisting of
(0 hydrogen;
(ϋ) CM alkyl;
(i ) aryl;
(iv) CM-OR, wherein R is H, CM alkyl or aryl;
Figure imgf000035_0002
(vi) CM-NR2;
R2 is
(i) OH;
(ϋ) CM alkyl;
(iϋ) O-CM alkyl;
(iv) aryl;
(v) CM-OR;
(vi) CM-SR; or
(vϋ) CM-NR2;
R3 is H or (CH2)„-Q, wherein n is an integer between 1 and 5 and C
0) OH;
(ϋ) NH2;
(iϋ) NHR; (iv) NR2;
(v) COOH;
(vi) COOR;
(v ) SH;
(viii) S(O)R; or
(ix) SR;
R5 is
(i) hydrogen;
(ϋ) CM alkyl;
(iii) aryl; when either Yi or Wi are hydrogen or Yi and Wi are both hydrogens, then Z\ is absent, Yi and W! are not joined to each other and are independently selected from:
(i) hydrogen; (ii) CM alkyl; or
(iii) aryl; when Yi and Wi are both not hydrogen, they are both -CH2-; when either Y2 or W are hydrogen or Y2 and W2 are both hydrogens, then Z is absent, Y2 and W2 are not joined to each other and are independently selected from:
(i) hydrogen; (ii) CM alkyl; or (ϋi) aryl; when Y2 and W2 are both not hydrogen, they are both -CH2-; W3 is:
(i) hydrogen (ii) CM alkyl; or (iii) aryl; U is: (i) hydrogen;
(ii) -C(O)-CM alkyl; (iii) -C(O)-aryl;
(iv) -C(O)-O-C1-6 alkyl;
(v) -C(O)-O-aryl;
(vi) -C(O)-NH-CM alkyl;
(vi) -C(O)-NH-aryl;
Zi and Z are s both -CH2-; or pharmaceutically acceptable salts or hydrates thereof.
3. A compound of the formula III
Figure imgf000037_0001
wherein:
R1 is independently selected from the groups consisting of
0) hydrogen
(ϋ) CM alkyl;
(iϋ) aryl;
(iv) CM-OR, wherein R is H, CM alkyl or aryl;
(v) CM-SR; and
(vi) Cι-6-NR2;
R2 is
(i) hydrogen;
(ϋ) CM alkyl; or
(iϋ) aryl; when either Y or Wi are hydrogen or Yi and Wi are both hydrogens, then Zi is absent, Yi and Wi are not joined to each other and are independently selected from:
(i) hydrogen;
(ϋ) CM alkyl; or
(iϋ) aryl; when Yi and WΪ are both not hydrogen, they are both -CH2-;
W2 is:
(i) hydrogen;
(ϋ) CM alkyl; or
(iϋ) aryl;
U is:
(i) hydrogen;
(ϋ) -C(O)-CM alkyl;
(iii) -C(O)-aryl;
(iv) -C(O)-O-CM alkyl;
(v) -C(O)-O-aryl;
(vi) -C(O)-NH-CM alkyl; or
(vii) -C(O)-NH-aryl;
Zx is -CH2-; or pharmaceutically acceptable salts or hydrates thereof.
4. The compound IV
Figure imgf000038_0001
IV or pharmaceutically acceptable salts or hydrates thereof.
5. A pharmaceutical composition comprising a compound of any of claims 1 - 4 and a pharmaceutically acceptable carrier.
6. The pharmaceutical composition of claim 5 useful in the treatment of infections i associated with hepatitis C and human cytomeglavirus, encephalitis, pulmonary emphysema, cardiovascular disease, cancer, rheumatoid arthritis and immune nephritis.
7. The pharmaceutical composition of claim 5 useful in the inhibition of the serine proteases of HCV, HCMV, HSV, VZV, EBV and HHV.
PCT/US1998/0077091997-04-141998-04-14Serine protease inhibitorsWO1998046597A1 (en)

Priority Applications (1)

Application NumberPriority DateFiling DateTitle
AU71272/98AAU7127298A (en)1997-04-141998-04-14Serine protease inhibitors

Applications Claiming Priority (2)

Application NumberPriority DateFiling DateTitle
US4364097P1997-04-141997-04-14
US60/043,6401997-04-14

Publications (1)

Publication NumberPublication Date
WO1998046597A1true WO1998046597A1 (en)1998-10-22

Family

ID=21928148

Family Applications (1)

Application NumberTitlePriority DateFiling Date
PCT/US1998/007709WO1998046597A1 (en)1997-04-141998-04-14Serine protease inhibitors

Country Status (2)

CountryLink
AU (1)AU7127298A (en)
WO (1)WO1998046597A1 (en)

Cited By (41)

* Cited by examiner, † Cited by third party
Publication numberPriority datePublication dateAssigneeTitle
WO2000051625A1 (en)*1999-03-052000-09-08The Trustees Of University Technology CorporationInhibitors of serine protease activity, methods and compositions for treatment of herpes viruses
US6143715A (en)*1997-08-112000-11-07Boehringer Ingelheim (Canada) Ltd.Hepatitis C inhibitor peptide analogues
WO2000051623A3 (en)*1999-03-052000-12-14Trustees Of University TechnolInhibitors of serine protease activity, methods and compositions for treatment of nitric oxide-induced clinical conditions
WO2000051624A3 (en)*1999-03-052000-12-28Trustees Of University TechnolMethods and compositions useful in inhibiting apoptosis
WO2000052034A3 (en)*1999-03-052001-01-11Trustees Of University TechnolInhibitors of serine protease activity, methods and compositions for treatment of viral infections
US6608027B1 (en)1999-04-062003-08-19Boehringer Ingelheim (Canada) LtdMacrocyclic peptides active against the hepatitis C virus
US6642204B2 (en)2002-02-012003-11-04Boehringer Ingelheim International GmbhHepatitis C inhibitor tri-peptides
US6767991B1 (en)1997-08-112004-07-27Boehringer Ingelheim (Canada) Ltd.Hepatitis C inhibitor peptides
US6869964B2 (en)2002-05-202005-03-22Bristol-Myers Squibb CompanyHeterocyclicsulfonamide hepatitis C virus inhibitors
US6878722B2 (en)2002-05-202005-04-12Bristol-Myers Squibb CompanySubstituted cycloalkyl P1′ hepatitis C virus inhibitors
WO2005037214A2 (en)2003-10-142005-04-28Intermune, Inc.Macrocyclic carboxylic acids and acylsulfonamides as inhibitors of hcv replication
US6995174B2 (en)2002-05-202006-02-07Bristol-Myers Squibb CompanyHepatitis C virus inhibitors
US7041698B2 (en)2002-05-202006-05-09Bristol-Myers Squibb CompanyHepatitis C virus inhibitors
US7091184B2 (en)2002-02-012006-08-15Boehringer Ingelheim International GmbhHepatitis C inhibitor tri-peptides
US7119072B2 (en)2002-01-302006-10-10Boehringer Ingelheim (Canada) Ltd.Macrocyclic peptides active against the hepatitis C virus
US7132504B2 (en)2003-11-122006-11-07Bristol-Myers Squibb CompanyHepatitis C virus inhibitors
US7135462B2 (en)2003-11-202006-11-14Bristol-Myers Squibb CompanyHepatitis C virus inhibitors
WO2007044893A2 (en)2005-10-112007-04-19Intermune, Inc.Compounds and methods for inhibiting hepatitis c viral replication
WO2007119889A1 (en)2006-04-182007-10-25Japan Tobacco Inc.Novel piperazine compound, and use thereof as hcv polymerase inhibitor
US7309708B2 (en)2003-11-202007-12-18Birstol-Myers Squibb CompanyHepatitis C virus inhibitors
US7323447B2 (en)*2005-02-082008-01-29Bristol-Myers Squibb CompanyHepatitis C virus inhibitors
BG65356B1 (en)*1999-04-062008-03-31Boehringer Ingelheim (Canada) Ltd.Marcrocyclic peptides active against the hepatitis c virus,pharmaceutical compositions containing them, and methods for obtaining and use thereof
US7504378B2 (en)2002-10-252009-03-17Boehringer Ingelheim International GmbhMacrocyclic peptides active against the hepatitis C virus
US7511157B2 (en)2004-07-202009-03-31Boehringer Ingelheim International GmbhHepatitis C inhibitor dipeptide analogs
US7585845B2 (en)2003-05-212009-09-08Boehringer Ingelheim International GmbhHepatitis C inhibitor compounds
EP2103623A2 (en)2005-07-252009-09-23Intermune, Inc.Novel macrocyclic inhibitors of Hepatitis C virus replication
US7642235B2 (en)2003-09-222010-01-05Boehringer Ingelheim International GmbhMacrocyclic peptides active against the hepatitis C virus
US7659263B2 (en)2004-11-122010-02-09Japan Tobacco Inc.Thienopyrrole compound and use thereof as HCV polymerase inhibitor
US7696242B2 (en)2004-07-202010-04-13Boehringer Ingelheim International GmbhHepatitis C inhibitor peptide analogs
US7749961B2 (en)2004-01-212010-07-06Boehringer Ingelheim International GmbhMacrocyclic peptides active against the hepatitis C virus
EP2206715A1 (en)2004-02-242010-07-14Japan Tobacco, Inc.Fused heterotetracyclic compounds and use thereof as hcv polymerase inhibitor
US20110046066A1 (en)*2008-01-112011-02-24Genentech, Inc.Inhibitors of iap
US7977331B1 (en)2004-02-242011-07-12Japan Tobacco Inc.Tetracyclic fused heterocyclic compound and use thereof as HCV polymerase inhibitor
EP2399988A2 (en)2006-08-112011-12-28INSERM (Institut National de la Santé et de la Recherche Médicale)Cell culture system for replication of HCV through the farnesoid X receptor (FXR) activation or inhibition and diagnostic method for HCV infection
US8178491B2 (en)2007-06-292012-05-15Gilead Sciences, Inc.Antiviral compounds
WO2012107589A1 (en)2011-02-112012-08-16INSERM (Institut National de la Santé et de la Recherche Médicale)Methods and pharmaceutical compositions for the treatment and prevention of hcv infections
EP2520654A1 (en)2003-08-262012-11-07The Regents of the University of ColoradoInhibitors of serine protease activity and their use in methods and compositions for treatment of bacterial infections
US8513186B2 (en)2007-06-292013-08-20Gilead Sciences, Inc.Antiviral compounds
US8609845B2 (en)2004-12-202013-12-17Genentech, Inc.Pyrrolidine inhibitors of IAP
US8835393B2 (en)2008-08-022014-09-16Genentech, Inc.Inhibitors of IAP
US8907092B2 (en)2007-04-302014-12-09Genentech, Inc.Inhibitors of IAP

Citations (6)

* Cited by examiner, † Cited by third party
Publication numberPriority datePublication dateAssigneeTitle
US4251438A (en)*1979-06-141981-02-17The Upjohn CompanyPiperazinone and piperazine polypeptides
US4534897A (en)*1980-05-271985-08-13The Upjohn CompanyPiperazinone, piperazine, 1,4-diazepin-2-one and 1,4-diazepine intermediate compounds
EP0284942A2 (en)*1987-04-031988-10-05MERCK PATENT GmbHAmino-acid derivatives
US5190922A (en)*1991-06-041993-03-02Abbott LaboratoriesTerminally modified tri-, tetra- and pentapeptide anaphylatoxin receptor ligands
US5340802A (en)*1989-06-301994-08-23Abbott LaboratoriesPeptide analog type-B CCK receptor ligands
WO1995007934A2 (en)*1993-09-141995-03-23Chiron CorporationIl8 inhibitors

Patent Citations (6)

* Cited by examiner, † Cited by third party
Publication numberPriority datePublication dateAssigneeTitle
US4251438A (en)*1979-06-141981-02-17The Upjohn CompanyPiperazinone and piperazine polypeptides
US4534897A (en)*1980-05-271985-08-13The Upjohn CompanyPiperazinone, piperazine, 1,4-diazepin-2-one and 1,4-diazepine intermediate compounds
EP0284942A2 (en)*1987-04-031988-10-05MERCK PATENT GmbHAmino-acid derivatives
US5340802A (en)*1989-06-301994-08-23Abbott LaboratoriesPeptide analog type-B CCK receptor ligands
US5190922A (en)*1991-06-041993-03-02Abbott LaboratoriesTerminally modified tri-, tetra- and pentapeptide anaphylatoxin receptor ligands
WO1995007934A2 (en)*1993-09-141995-03-23Chiron CorporationIl8 inhibitors

Cited By (56)

* Cited by examiner, † Cited by third party
Publication numberPriority datePublication dateAssigneeTitle
US6767991B1 (en)1997-08-112004-07-27Boehringer Ingelheim (Canada) Ltd.Hepatitis C inhibitor peptides
US6143715A (en)*1997-08-112000-11-07Boehringer Ingelheim (Canada) Ltd.Hepatitis C inhibitor peptide analogues
US8071551B2 (en)1999-03-052011-12-06BioHolding, Inc.Methods and compositions for treating diabetes
WO2000051624A3 (en)*1999-03-052000-12-28Trustees Of University TechnolMethods and compositions useful in inhibiting apoptosis
WO2000052034A3 (en)*1999-03-052001-01-11Trustees Of University TechnolInhibitors of serine protease activity, methods and compositions for treatment of viral infections
WO2000051623A3 (en)*1999-03-052000-12-14Trustees Of University TechnolInhibitors of serine protease activity, methods and compositions for treatment of nitric oxide-induced clinical conditions
US7704958B1 (en)1999-03-052010-04-27Bio Holding, Inc.Methods and compositions for inhibiting apoptosis using serine protease inhibitors
WO2000051625A1 (en)*1999-03-052000-09-08The Trustees Of University Technology CorporationInhibitors of serine protease activity, methods and compositions for treatment of herpes viruses
US6608027B1 (en)1999-04-062003-08-19Boehringer Ingelheim (Canada) LtdMacrocyclic peptides active against the hepatitis C virus
BG65356B1 (en)*1999-04-062008-03-31Boehringer Ingelheim (Canada) Ltd.Marcrocyclic peptides active against the hepatitis c virus,pharmaceutical compositions containing them, and methods for obtaining and use thereof
US7119072B2 (en)2002-01-302006-10-10Boehringer Ingelheim (Canada) Ltd.Macrocyclic peptides active against the hepatitis C virus
US6642204B2 (en)2002-02-012003-11-04Boehringer Ingelheim International GmbhHepatitis C inhibitor tri-peptides
US7091184B2 (en)2002-02-012006-08-15Boehringer Ingelheim International GmbhHepatitis C inhibitor tri-peptides
US6869964B2 (en)2002-05-202005-03-22Bristol-Myers Squibb CompanyHeterocyclicsulfonamide hepatitis C virus inhibitors
US7041698B2 (en)2002-05-202006-05-09Bristol-Myers Squibb CompanyHepatitis C virus inhibitors
US6995174B2 (en)2002-05-202006-02-07Bristol-Myers Squibb CompanyHepatitis C virus inhibitors
US6878722B2 (en)2002-05-202005-04-12Bristol-Myers Squibb CompanySubstituted cycloalkyl P1′ hepatitis C virus inhibitors
US7504378B2 (en)2002-10-252009-03-17Boehringer Ingelheim International GmbhMacrocyclic peptides active against the hepatitis C virus
US7585845B2 (en)2003-05-212009-09-08Boehringer Ingelheim International GmbhHepatitis C inhibitor compounds
US7939667B2 (en)2003-05-212011-05-10Boehringer Ingelheim International GmbhHepatitis C inhibitor compounds
US8067438B2 (en)2003-05-212011-11-29Boehringer Ingelheim International GmbhHepatitis C inhibitor compounds
EP3192872A1 (en)2003-08-262017-07-19The Regents of the University of Colorado, a body corporateInhibitors of serine protease activity and their use in methods and compositions for treatment of bacterial infections
EP2520654A1 (en)2003-08-262012-11-07The Regents of the University of ColoradoInhibitors of serine protease activity and their use in methods and compositions for treatment of bacterial infections
US7642235B2 (en)2003-09-222010-01-05Boehringer Ingelheim International GmbhMacrocyclic peptides active against the hepatitis C virus
EP2407470A2 (en)2003-10-142012-01-18F. Hoffmann-La Roche Ltd.Macrocyclic carboxylic acids and acylsulfonamides as inhibitors of HCV replication
WO2005037214A2 (en)2003-10-142005-04-28Intermune, Inc.Macrocyclic carboxylic acids and acylsulfonamides as inhibitors of hcv replication
US7132504B2 (en)2003-11-122006-11-07Bristol-Myers Squibb CompanyHepatitis C virus inhibitors
US7309708B2 (en)2003-11-202007-12-18Birstol-Myers Squibb CompanyHepatitis C virus inhibitors
US7135462B2 (en)2003-11-202006-11-14Bristol-Myers Squibb CompanyHepatitis C virus inhibitors
US7749961B2 (en)2004-01-212010-07-06Boehringer Ingelheim International GmbhMacrocyclic peptides active against the hepatitis C virus
US7977331B1 (en)2004-02-242011-07-12Japan Tobacco Inc.Tetracyclic fused heterocyclic compound and use thereof as HCV polymerase inhibitor
EP2206715A1 (en)2004-02-242010-07-14Japan Tobacco, Inc.Fused heterotetracyclic compounds and use thereof as hcv polymerase inhibitor
US7696242B2 (en)2004-07-202010-04-13Boehringer Ingelheim International GmbhHepatitis C inhibitor peptide analogs
US7511157B2 (en)2004-07-202009-03-31Boehringer Ingelheim International GmbhHepatitis C inhibitor dipeptide analogs
US7767818B2 (en)2004-07-202010-08-03Boehringer Ingelheim International GmbhHepatitis C inhibitor dipeptide analogs
US7659263B2 (en)2004-11-122010-02-09Japan Tobacco Inc.Thienopyrrole compound and use thereof as HCV polymerase inhibitor
US8609845B2 (en)2004-12-202013-12-17Genentech, Inc.Pyrrolidine inhibitors of IAP
US9040706B2 (en)2004-12-202015-05-26Genentech, Inc.Pyrrolidine inhibitors of IAP
US7323447B2 (en)*2005-02-082008-01-29Bristol-Myers Squibb CompanyHepatitis C virus inhibitors
EP2305697A2 (en)2005-07-252011-04-06Intermune, Inc.Macrocyclic inhibitors of Hepatitis C virus replication
EP2103623A2 (en)2005-07-252009-09-23Intermune, Inc.Novel macrocyclic inhibitors of Hepatitis C virus replication
EP2305696A2 (en)2005-07-252011-04-06Intermune, Inc.Macrocyclic inhibitors of Hepatitis C virus replication
EP2305698A2 (en)2005-07-252011-04-06Intermune, Inc.Macrocyclic inhibitors of Hepatitis C virus replication
EP2305695A2 (en)2005-07-252011-04-06Intermune, Inc.Macrocyclic inhibitors of Hepatitis C virus replication
WO2007044893A2 (en)2005-10-112007-04-19Intermune, Inc.Compounds and methods for inhibiting hepatitis c viral replication
WO2007119889A1 (en)2006-04-182007-10-25Japan Tobacco Inc.Novel piperazine compound, and use thereof as hcv polymerase inhibitor
EP2399575A2 (en)2006-08-112011-12-28INSERM (Institut National de la Santé et de la Recherche Médicale)Methods, uses and compositions for treatment of an infection by a virus of the family of flaviviridae through the farnesoid X receptor (FXR) inhibition
EP2399988A2 (en)2006-08-112011-12-28INSERM (Institut National de la Santé et de la Recherche Médicale)Cell culture system for replication of HCV through the farnesoid X receptor (FXR) activation or inhibition and diagnostic method for HCV infection
US8907092B2 (en)2007-04-302014-12-09Genentech, Inc.Inhibitors of IAP
US8513186B2 (en)2007-06-292013-08-20Gilead Sciences, Inc.Antiviral compounds
US8178491B2 (en)2007-06-292012-05-15Gilead Sciences, Inc.Antiviral compounds
US8809267B2 (en)2007-06-292014-08-19Gilead Sciences, Inc.Antiviral compounds
US8809266B2 (en)2007-06-292014-08-19Gilead Sciences, Inc.Antiviral compounds
US20110046066A1 (en)*2008-01-112011-02-24Genentech, Inc.Inhibitors of iap
US8835393B2 (en)2008-08-022014-09-16Genentech, Inc.Inhibitors of IAP
WO2012107589A1 (en)2011-02-112012-08-16INSERM (Institut National de la Santé et de la Recherche Médicale)Methods and pharmaceutical compositions for the treatment and prevention of hcv infections

Also Published As

Publication numberPublication date
AU7127298A (en)1998-11-11

Similar Documents

PublicationPublication DateTitle
WO1998046597A1 (en)Serine protease inhibitors
EP0393457B1 (en)Proteinase inhibitor
US4935404A (en)Phosphorus containing peptides, pharmaceutical compositions and method of treating collagenolytic conditions
US5891877A (en)Pharmaceutical compounds
US5959123A (en)3,4-Disubstituted azetidin-2-one derivatives useful as cysteine proteinase regulators
JPH10265452A (en)Phenylsulfoneamide derivative
EP0769498B1 (en)Sulfonamide derivatives with elastase inhibiting activity
JPH04352757A (en) amino acid derivative
EP0761680A2 (en)Tetrazole compounds having Interleukin-1beta converting enzyme inhibitory activity
US5061806A (en)Phosphinic acid derivatives
WO2004110988A1 (en)Protease inhibitors
KR100347646B1 (en) Matrix metalloprotease inhibitor
JPH115780A (en)Selective thrombin inhibitor
KR940003297B1 (en) 1,3,2-dioxathioene oxide derivative
JP4384277B2 (en) Substituted 6- and 7-aminotetrahydroisoquinolinecarboxylic acids
KR19990028948A (en) Piperazine Derivatives and Uses thereof
US5905076A (en)6-substituted amino-4-oxa-1-azabicyclo 3,2,0! heptan-7-one derivatives as cysteine protease inhibitors
AU7480800A (en)Azacycloalkanone serine protease inhibitors
AU722680B2 (en)Sulphur derivatives with a retroamide bond as endothelin-coating enzyme inhibitors
JPH0581586B2 (en)
US5773428A (en)Matrix metalloprotease inhibitors
US6034095A (en)Ketomethylene group-containing cysteine and serine protease inhibitors
JPH10204054A (en)Phenylsulfonamide derivative
KR0163669B1 (en)Selective thrombin inhibitor and process for preparation thereof
US5212163A (en)Compounds

Legal Events

DateCodeTitleDescription
AKDesignated states

Kind code of ref document:A1

Designated state(s):AU CA JP US

ALDesignated countries for regional patents

Kind code of ref document:A1

Designated state(s):AT BE CH CY DE DK ES FI FR GB GR IE IT LU MC NL PT SE

121Ep: the epo has been informed by wipo that ep was designated in this application
NENPNon-entry into the national phase

Ref country code:CA

122Ep: pct application non-entry in european phase
NENPNon-entry into the national phase

Ref country code:JP

Ref document number:1998543289

Format of ref document f/p:F


[8]ページ先頭

©2009-2025 Movatter.jp