Movatterモバイル変換


[0]ホーム

URL:


WO1998029528A2 - Laundry detergent compositions with cellulosic polymers - Google Patents

Laundry detergent compositions with cellulosic polymers
Download PDF

Info

Publication number
WO1998029528A2
WO1998029528A2PCT/US1997/023771US9723771WWO9829528A2WO 1998029528 A2WO1998029528 A2WO 1998029528A2US 9723771 WUS9723771 WUS 9723771WWO 9829528 A2WO9829528 A2WO 9829528A2
Authority
WO
WIPO (PCT)
Prior art keywords
weight
alkyl
cellulose ether
ranges
modified
Prior art date
Application number
PCT/US1997/023771
Other languages
French (fr)
Other versions
WO1998029528A3 (en
Inventor
Jiping Wang
Nodie Monroe Washington
Kathleen Brenner Hunter
Stanton Lane Boyer
Original Assignee
The Procter & Gamble Company
Priority date (The priority date is an assumption and is not a legal conclusion. Google has not performed a legal analysis and makes no representation as to the accuracy of the date listed.)
Filing date
Publication date
Application filed by The Procter & Gamble CompanyfiledCriticalThe Procter & Gamble Company
Priority to AT97953405TpriorityCriticalpatent/ATE245184T1/en
Priority to JP53016998Aprioritypatent/JP4267075B2/en
Priority to BR9714097Aprioritypatent/BR9714097A/en
Priority to EP97953405Aprioritypatent/EP0948591B1/en
Priority to CA002276188Aprioritypatent/CA2276188C/en
Priority to US09/331,818prioritypatent/US6833347B1/en
Priority to DE69723575Tprioritypatent/DE69723575T2/en
Publication of WO1998029528A2publicationCriticalpatent/WO1998029528A2/en
Publication of WO1998029528A3publicationCriticalpatent/WO1998029528A3/en

Links

Classifications

Definitions

Landscapes

Abstract

Disclosed are detergent compositions and methods which utilize certain modified cellulose ethers as fabric treatment agents that can impart fabric appearance and integrity benefits to fabrics and textiles laundered in washing solutions which contain such agents. Such modified cellulose ether fabric treatment agents are those having selected types and amounts of anhydroglucose ring substituents in order to render them nonionic, cationic or anionic in nature.

Description

LAUNDRY DETERGENT COMPOSITIONS WITH CELLULOSIC POLYMERS TO PROVIDE APPEARANCE AND INTEGRITY BENEFITS TO FABRICS
LAUNDERED THEREWITH
TECHNICAL FIELD
The present invention relates to heavy duty laundry detergent compositions, in either liquid or granular form, which contain certain types of modified cellulose ether materials to impart appearance and integrity benefits to fabrics and textiles laundered in washing solutions formed from such compositions.
BACKGROUND OF THE INVENTION
It is, of course, well known that alternating cycles of using and laundering fabrics and textiles, such as articles of worn clothing and apparel, will inevitably adversely affect the appearance and integrity of the fabric and textile items so used and laundered. Fabrics and textiles simply wear out over time and with use. Laundering of fabrics and textiles is necessary to remove soils and stains which accumulate therein and thereon during ordinary use. However, the laundering operation itself, over many cycles, can accentuate and contribute to the deterioration of the integrity and the appearance of such fabrics and textiles.
Deterioration of fabric integrity and appearance can manifest itself in several ways. Short fibers are dislodged from woven and knit fabric/textile structures by the mechanical action of laundering. These dislodged fibers may form lint, fuzz or "pills" which are visible on the surface of fabrics and diminish the appearance of newness of the fabric. Further, repeated laundering of fabrics and textiles, especially with bleach- containing laundry products, can remove dye from fabrics and textiles and impart a faded, worn out appearance as a result of diminished color intensity, and in many cases, as a result of changes in hues or shades of color.
Given the foregoing, there is clearly an ongoing need to identify materials which could be added to laundry detergent products that would associate themselves with the fibers of the fabrics and textiles laundered using such detergent products and thereby reduce or minimize the tendency of the laundered fabric/textiles to deteriorate in appearance. Any such detergent product additive material should, of course, be able to benefit fabric appearance and integrity without unduly interfering with the ability of the laundry detergent to perform its fabric cleaning function. The present invention is directed to detergent compositions containing certain types of cellulosic materials that perform in this desired manner.
SUMMARY OF THE INVENTION
The laundry detergent compositions herein comprise from about 1% to 80% by weight of a detersive surfactant, from about 0.1% to 80% by weight of an organic or inorganic detergency builder and from about 0.1% to 8% by weight of certain types of modified cellulose ether fabric treatment agents. The detersive surfactant and detergency builder materials can be any of those useful in conventional laundry detergent products. The modified cellulose ether materials are those which have a molecular weight of from about 10,000 to 2,000,000 and are comprised of repeating substituted anhydroglucose units corresponding to the general Structural Formulas Nos. I, II and III set forth hereinafter in the "Detailed Description of the Invention" section. (In the Structural Formulas hereinafter set forth, substituents are shown in specific positions on the anhydroglucose rings which repeat to form the substituted cellulose ether polymers. It should be understood that this is for illustration purposes only and that such substituents may be found on any of the carbon atoms of the anhydroglucose rings.)
One useful type of cellulose ethers comprises hydrophobically-modified, nonionic materials with anhydroglucose ring alkyl substitution ranging from about 0.1% to 5% by weight of the cellulose ether. Ring substituents are alkoxylated in amounts ranging from about 1 to 20 moles.
A second useful type of cellulose ether comprises cationic cellulose ether materials which may have anhydroglucose ring alkyl substitution ranging from about 0.1% to 5% by weight of the cellulose ether. Anhydroglucose ring substituents contain from about 1 to 20 moles of alkoxylation and from about 0.005 to 0.5 moles of quaternary ammonium cationic moieties.
A third type of cellulose ether comprises anionic cellulose ether materials which may have anhydroglucose ring alkyl substitution ranging from about 0.1% to 5% by weight of the cellulose ether. The anydroglucose rings in such anionic materials also have a degree of carboxymethyl substitution ranging from about 0.05 to 2.5. Combinations of the nonionic, cationic and anionic modified cellulose ethers can also be employed.
In its method aspect, the present invention relates to the laundering or treating of fabrics and textiles in aqueous washing or treating solutions formed from effective amounts of the detergent compositions described herein, or formed from the individual components of such compositions. Laundering of fabrics and textiles in such washing solutions, followed by rinsing and drying, imparts fabric appearance benefits to the fabric and textile articles so treated. Such benefits can include improved overall appearance, pill/fuzz reduction, antifading, improved abrasion resistance, and/or enhanced softness.
DETAILED DESCRIPTION OF THE INVENTION
As noted, the laundry detergent compositions of the present invention essentially contain detersive surfactant, detergent builder and certain modified cellulose ether fabric treatment agents which serve to enhance fabric appearance and integrity upon use of the detergent compositions to launder fabrics and textiles. Each of these essential detergent composition components, as well as optional ingredients for such compositions and methods of using such compositions, are described in detail as follows: All percentages and ratios given are by weight unless other specified.
A) Detersive Surfactant
The detergent compositions herein essentially comprise from about 1% to 80% by weight of a detersive surfactant. Preferably such compositions comprise from about 5% to 50% by weight of this surfactant. Detersive surfactants utilized can be of the anionic, nonionic, zwitterionic, ampholytic or cationic type or can comprise compatible mixtures of these types. Detergent surfactants useful herein are described in U.S. Patent 3,664,961, Norris, issued May 23, 1972, U.S. Patent 3,919,678, Laughlin et al., issued December 30, 1975, U.S. Patent 4,222,905, Cockrell, issued September 16, 1980, and in U.S. Patent 4,239,659, Murphy, issued December 16, 1980. All of these patents are incorporated herein by reference. Of all the surfactants, anionics and nonionics are preferred.
Useful anionic surfactants can themselves be of several different types. For example, water-soluble salts of the higher fatty acids, i.e., "soaps", are useful anionic surfactants in the compositions herein. This includes alkali metal soaps such as the sodium, potassium, ammonium, and alkylolammonium salts of higher fatty acids containing from about 8 to about 24 carbon atoms, and preferably from about 12 to about 18 carbon atoms. Soaps can be made by direct saponification of fats and oils or by the neutralization of free fatty acids. Particularly useful are the sodium and potassium salts of the mixtures of fatty acids derived from coconut oil and tallow, i.e., sodium or potassium tallow and coconut soap.
Additional non-soap anionic surfactants which are suitable for use herein include the water-soluble salts, preferably the alkali metal, and ammonium salts, of organic sulfuric reaction products having in their molecular structure an alkyl group containing from about 10 to about 20 carbon atoms and a sulfonic acid or sulfuric acid ester group. (Included in the term "alkyl" is the alkyl portion of acyl groups.) Examples of this group of synthetic surfactants are a) the sodium, potassium and ammonium alkyl sulfates, especially those obtained by sulfating the higher alcohols (Cg-Cig carbon atoms) such as those produced by reducing the glycerides of tallow or coconut oil; b) the sodium, potassium and ammonium alkyl polyethoxylate sulfates, particularly those in which the alkyl group contains from 10 to 22, preferably from 12 to 18 carbon atoms, and wherein the polyethoxylate chain contains from 1 to 15, preferably 1 to 6 ethoxylate moieties; and c) the sodium and potassium alkylbenzene sulfonates in which the alkyl group contains from about 9 to about 15 carbon atoms, in straight chain or branched chain configuration, e.g., those of the type described in U.S. Patents 2,220,099 and 2,477,383. Especially valuable are linear straight chain alkylbenzene sulfonates in which the average number of carbon atoms in the alkyl group is from about 11 to 13, abbreviated as C\ j.i 3 LAS.
Preferred nonionic surfactants are those of the formula R (OC2H4)nOH, wherein R is a \Q-CI^ alkyl group or a Cg-Ci2 alkyl phenyl group, and n is from 3 to about 80. Particularly preferred are condensation products of C12-C15 alcohols with from about 5 to about 20 moles of ethylene oxide per mole of alcohol, e.g., Ci2"Ci3 alcohol condensed with about 6.5 moles of ethylene oxide per mole of alcohol. Additional suitable nonionic surfactants include polyhydroxy fatty acid amides of the formula:
O R,
II I
R — C — N — Z wherein R is a C9.17 alkyl or alkenyl, Rj is a methyl group and Z is glycityl derived from a reduced sugar or alkoxylated derivative thereof. Examples are N-methyl N- 1-deoxyglucityl cocoamide and N-methyl N-1-deoxyglucityl oleamide. Processes for making polyhydroxy fatty acid amides are known and can be found in Wilson, U.S. Patent 2,965,576 and Schwartz, U.S. Patent 2,703,798, the disclosures of which are incoφorated herein by reference.
B) Detergent Builder
The detergent compositions herein also essentially comprise from about 0.1% to 80% by weight of a detergent builder. Preferably such compositions in liquid form will comprise from about 1% to 10% by weight of the builder component. Preferably such compositions in granular form will comprise from about 1% to 50% by weight of the builder component. Detergent builders are well known in the art and can comprise, for example, phosphate salts as well as various organic and inorganic nonphosphorus builders.
Water-soluble, nonphosphorus organic builders useful herein include the various alkali metal, ammonium and substituted ammonium polyacetates, carboxylates, polycarboxylates and polyhydroxy sulfonates. Examples of polyacetate and polycarboxylate builders are the sodium, potassium, lithium, ammonium and substituted ammonium salts of ethylene diamine tetraacetic acid, nitrilotriacetic acid, oxydisuccinic acid, mellitic acid, benzene polycarboxylic acids, and citric acid. Other suitable polycarboxylates for use herein are the polyacetal carboxylates described in U.S. Patent 4,144,226, issued March 13, 1979 to Crutchfield et al, and U.S. Patent 4,246,495, issued March 27, 1979 to Crutchfield et al, both of which are incorporated herein by reference. Particularly preferred polycarboxylate builders are the oxydisuccinates and the ether carboxylate builder compositions comprising a combination of tartrate monosuccinate and tartrate disuccinate described in U.S. Patent 4,663,071, Bush et al., issued May 5, 1987, the disclosure of which is incorporated herein by reference.
Examples of suitable nonphosphorus, inorganic builders include the silicates, aluminosilicates, borates and carbonates. Particularly preferred are sodium and potassium carbonate, bicarbonate, sesquicarbonate, tetraborate decahydrate, and silicates having a weight ratio of Siθ2 to alkali metal oxide of from about 0.5 to about 4.0, preferably from about 1.0 to about 2.4. Also preferred are aluminosilicates including zeolites. Such materials and their use as detergent builders are more fully discussed in Corkill et al, U. S. Patent No. 4,605,509, the disclosure of which is incorporated herein by reference. Also, crystalline layered silicates such as those discussed in Corkill et al, U. S. Patent No. 4,605,509, incorporated herein by reference, are suitable for use in the detergent compositions of this invention.
C) Modified Cellulosic Polymers
The third essential component of the detergent compositions herein comprises one or more modified cellulosic polymers. Such materials have been found to impart a number of appearance benefits to fabrics and textiles laundered in aqueous washing solutions formed from detergent compositions which contain such modified cellulosic materials. Such fabric appearance benefits can include, for example, improved overall appearance of the laundered fabrics, reduction of the formation of pills and fuzz, protection against color fading, improved abrasion resistance, etc. The modified cellulosic polymers used in the compositions and methods herein can provide such fabric appearance benefits with acceptably little or no loss in cleaning performance provided by the laundry detergent compositions into which such materials are incorporated.
The modified cellulosic polymers useful herein may be of the nonionic, cationic or anionic types, or the modified cellulosic polymeric component of the compositions herein may comprise combinations of these cellulosic polymer types. The modified cellulosic polymer component of the compositions herein will generally comprise from about 0.1% to 8% by the weight of the composition. More preferably, such modified cellulosic materials will comprise from about 0.5% to 4% by weight of the compositions, most preferably from about 1% to 3%.
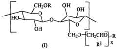
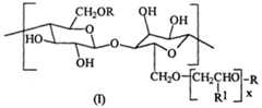
One suitable type of modified cellulosic polymer for use herein comprises hydrophobically-modified, nonionic cellulose ethers having a molecular weight of from about 10,000 to 2,000,000, preferably from about 50,000 to 1,000,000. The hydrophobically-modified nonionic materials have repeating, substituted anhydroglucose units which correspond to the general Structural Formula No. I as follows:
Figure imgf000009_0001
Structural Formula No. I
In Structural Formula No. I, R is a combination of H and Cg-C24 alkyl, preferably Cg - C\ alkyl. Alkyl substitution on the anhydroglucose rings of the polymer ranges from about 0.1% to 5% by weight, more preferably from about 0.2% to 2% by weight, of the polymer material. Also, in Structural Formula No. I, R1 is H or methyl, and x ranges from about 1 to 20, preferably from about 1 to 10.
The hydrophobically-modified nonionic cellulose ethers of Structural Formula No. I include those which are commercially available and also include materials which can be prepared by conventional chemical modification of commercially available materials. Commercially available cellulose ethers of the Structural Formula No. I type include Polysurf 67, Natrosol Plus 430 and Natrosol Plus 330, all marketed by Hercules, Inc.
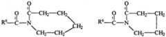
Another suitable type of modified cellulosic polymer for use herein comprises certain cationic cellulose ethers, which may or may not be hydrophobically-modified, having a molecular weight of from about 10,000 to 2,000,000, more preferably from about 10,000 to 1,000,000. These cationic materials have repeating substituted anhydroglucose units which correspond to the general Structural Formula No. II as follows:
Figure imgf000009_0002
Structural Formula No. II
In Structural Formula No. II, R is H or C -C24 alkyl, preferably Cg - Ci 6 alkyl. Alkyl substitution on the anhydroglucose rings of the polymer ranges from about 0.1% to 5% by weight, more preferably from about 0.2% to 2% by weight, of the polymeric material. Also, in Structural Formula No. II, R^ is CH2CHOHCH2 or Cg-C24 alkyl, preferably Cg - C\ alkyl. R3, R4 and R5 are each independently methyl, ethyl or phenyl. R^ is H or methyl. Further, in Structural Formula No. II, x ranges from about 1 to 20, preferably from about 1 to 10; and y ranges from about 0.005 to 0.5, preferably from about 0.005 to 0.1; and Z is Cl" or Br.
The cationic cellulose ethers of Structural Formula No. II likewise include those which are commercially available and further include materials which can be prepared by conventional chemical modification of commercially available materials. Commercially available cellulose ethers of the Structural Formula No. II type include the JR 30M, JR 400, JR 125, LR 400 and LK 400 UCARE polymers, all marketed by Union Carbide Corporation.
A third type of suitable modified cellulose polymers for use herein comprises certain anionic cellulose ethers, which also may or may not be hydrophobically- modified, having a molecular weight of from about 10,000 to 2,000,000, more preferably from about 50,000 to 1,000,000. These anionic materials have repeating substituted anhydroglucose units which correspond to general Structural Formula No. Ill as follows:
Figure imgf000010_0001
Structural Formula No. Ill
In Structural Formula No. Ill, R is a combination of H and a) CH2COOA and, optionally, b) C2-C24, preferably C2 - C\_, alkyl, with A being Na or K. Alkyl substitution on the anhydroglucose rings of the polymer ranges from about 0.1% to 5% by weight, more preferably from about 0.2% to 2% by weight, of the polymer material. The anionic cellulose ethers also have a degree of carboxymethyl substitution which ranges from about 0.05 to 2.5, more preferably from about 0.1 to 1.0.
The anionic cellulose ethers of Structural Formula No. Ill also include those materials which are commercially available and further include those which can be prepared by conventional chemical modification of commercially available materials. Commercially available cellulose ethers of the Structural Formula No. Ill include CMC 7H, CMC 99-7M and CMC 99-7L, all marketed by Hercules, Inc. and CMC D72, CMC D65 and CMC DHT, all marketed by Penn Carbose.
The commercially available cellulose ether materials useful herein are themselves derived from suitable natural sources of cellulose. Such sources include, for example, cotton linters and other vegetable tissues. The modified cellulose ethers used in this invention are generally all water-soluble materials. They can therefore be utilized for detergent composition preparation in the form of aqueous solutions of the such cellulosic polymers if desired.
D) Optional Detergent Ingredients
In addition to the essential surfactants, builders and modified cellose ethers hereinbefore described, the detergent composition of the present invention can also include any number of additional optional ingredients. These include conventional detergent composition components such as bleaches and bleach activators, enzymes and enzyme stabilizing agents, suds boosters or suds suppressers, anti-tarnish and anticorrosion agents, soil suspending agents, soil release agents, germicides, pH adjusting agents, non-builder alkalinity sources, chelating agents, organic and inorganic fillers, solvents, hydrotropes, optical brighteners, dyes and perfumes.
A preferred optional ingredients for incorporation into the detergent compositions herein comprises a bleaching agent, e.g., a peroxygen bleach. Such peroxygen bleaching agents may be organic or inorganic in nature. Inorganic peroxygen bleaching agents are frequently utilized in combination with a bleach activator.
Useful organic peroxygen bleaching agents include percarboxylic acid bleaching agents and salts thereof. Suitable examples of this class of agents include magnesium monoperoxyphthalate hexahydrate, the magnesium salt of metachloro perbenzoic acid, 4-nonylamino-4-oxoperoxybutyric acid and diperoxydodecanedioic acid. Such bleaching agents are disclosed in U.S. Patent 4,483,781, Hartman, Issued November 20, 1984; European Patent Application EP-A-133,354, Banks et al., Published February 20, 1985; and U.S. Patent 4,412,934, Chung et al., Issued November 1, 1983. Highly preferred bleaching agents also include 6-nonylamino-6- oxoperoxycaproic acid (NAPAA) as described in U.S. Patent 4,634,551, Issued January 6, 1987 to Burns et al.
Inorganic peroxygen bleaching agents may also be used, generally in particulate form, in the detergent compositions herein. Inorganic bleaching agents are in fact preferred. Such inorganic peroxygen compounds include alkali metal perborate and percarbonate materials. For example, sodium perborate (e.g. mono- or tetra-hydrate) can be used. Suitable inorganic bleaching agents can also include sodium or potassium carbonate peroxyhydrate and equivalent "percarbonate" bleaches, sodium pyrophosphate peroxyhydrate, urea peroxyhydrate, and sodium peroxide. Persulfate bleach (e.g., OXONE, manufactured commercially by DuPont) can also be used. Frequently inorganic peroxygen bleaches will be coated with silicate, borate, sulfate or water-soluble surfactants. For example, coated percarbonate particles are available from various commercial sources such as FMC, Solvay Interox, Tokai Denka and Degussa.
Inorganic peroxygen bleaching agents, e.g., the perborates, the percarbonates, etc., are preferably combined with bleach activators, which lead to the in situ production in aqueous solution (i.e., during use of the compositions herein for fabric laundering bleaching) of the peroxy acid corresponding to the bleach activator. Various non-limiting examples of activators are disclosed in U.S. Patent 4,915,854, Issued April 10, 1990 to Mao et al.; and U.S. Patent 4,412,934 Issued November 1, 1983 to Chung et al. The nonanoyloxybenzene sulfonate (NOBS) and tetraacetyl ethylene diamine (TAED) activators are typical and preferred. Mixtures thereof can also be used. See also the hereinbefore referenced U.S. 4,634,551 for other typical bleaches and activators useful herein.
Other useful amido-derived bleach activators are those of the formulae:
R1N(R5)C(O)R2C(O)L or RlC(O)N(R5)R2C(O)L wherein R^ is an alkyl group containing from about 6 to about 12 carbon atoms, R2 is an alkylene containing from 1 to about 6 carbon atoms, R^ is H or alkyl, aryl, or alkaryl containing from about 1 to about 10 carbon atoms, and L is any suitable leaving group. A leaving group is any group that is displaced from the bleach activator as a consequence of the nucleophilic attack on the bleach activator by the perhydrolysis anion. A preferred leaving group is phenol sulfonate. Preferred examples of bleach activators of the above formulae include (6- octanamido-caproyl)oxybenzenesulfonate, (6-nonanamidocaproyl) oxybenzenesulfonate, (6-decanamido-caproyl)oxybenzenesulfonate and mixtures thereof as described in the hereinbefore referenced U.S. Patent 4,634,551.
Another class of useful bleach activators comprises the benzoxazin-type activators disclosed by Hodge et al. in U.S. Patent 4,966, 723, Issued October 30, 1990, incoφorated herein by reference. A highly preferred activator of the benzoxazin-type is:
Figure imgf000013_0001
Still another class of useful bleach activators includes the acyl lactam activators, especially acyl caprolactams and acyl valerolactams of the formulae:
Figure imgf000013_0002
wherein R^ is H or an alkyl, aryl, alkoxyaryl, or alkaryl group containing from 1 to about 12 carbon atoms. Highly preferred lactam activators include benzoyl caprolactam, octanoyl caprolactam, 3,5,5-trimethylhexanoyl caprolactam, nonanoyl caprolactam, decanoyl caprolactam, undecenoyl caprolactam, benzoyl valerolactam, octanoyl valerolactam, nonanoyl valerolactam, decanoyl valerolactam, undecenoyl valerolactam, 3,5,5-trimethylhexanoyl valerolactam and mixtures thereof. See also U.S. Patent 4,545,784, Issued to Sanderson, October 8, 1985, incoφorated herein by reference, which discloses acyl caprolactams, including benzoyl caprolactam, adsorbed into sodium perborate.
If utilized, peroxygen bleaching agent will generally comprise from about 2% to 30% by weight of the detergent compositions herein. More preferably, peroxygen bleaching agent will comprise from about 2% to 20% by weight of the compositions. Most preferably, peroxygen bleaching agent will be present to the extent of from about 3% to 15% by weight of the compositions herein. If utilized, bleach activators can comprise from about 2% to 10% by weight of the detergent compositions herein. Frequently, activators are employed such that the molar ratio of bleaching agent to activator ranges from about 1 : 1 to 10: 1, more preferably from about 1.5: 1 to 5: 1.
Another highly preferred optional ingredient in the detergent compositions herein is a detersive enzymes component. Enzymes can be included in the present detergent compositions for a variety of puφoses, including removal of protein- based, carbohydrate-based, or triglyceride-based stains from substrates, for the prevention of refugee dye transfer in fabric laundering, and for fabric restoration. Suitable enzymes include proteases, amylases, Upases, cellulases, peroxidases, and mixtures thereof of any suitable origin, such as vegetable, animal, bacterial, fungal and yeast origin. Preferred selections are influenced by factors such as pH-activity and/or stability optima, thermostability, and stability to active detergents, builders and the like. In this respect bacterial or fungal enzymes are preferred, such as bacterial amylases and proteases, and fungal cellulases.
"Detersive enzyme", as used herein, means any enzyme having a cleaning, stain removing or otherwise beneficial effect in a laundry detergent composition. Preferred enzymes for laundry puφoses include, but are not limited to, proteases, cellulases, lipases, amylases and peroxidases.
Enzymes are normally incoφorated into detergent compositions at levels sufficient to provide a "cleaning-effective amount". The term "cleaning-effective amount" refers to any amount capable of producing a cleaning, stain removal, soil removal, whitening, deodorizing, or freshness improving effect on substrates such as fabrics. In practical terms for current commercial preparations, typical amounts are up to about 5 mg by weight, more typically 0.01 g to 3 mg, of active enzyme per gram of the detergent composition. Stated otherwise, the compositions herein will typically comprise from 0.001% to 5%, preferably 0.01%-1% by weight of a commercial enzyme preparation. Protease enzymes are usually present in such commercial preparations at levels sufficient to provide from 0.005 to 0.1 Anson units (AU) of activity per gram of composition. Higher active levels may be desirable in highly concentrated detergent formulations.
Suitable examples of proteases are the subtilisins which are obtained from particular strains of B. subtilis and B. licheniformis. One suitable protease is obtained from a strain of Bacillus, having maximum activity throughout the pH range of 8-12, developed and sold as ESPERASE® by Novo Industries A/S of Denmark, hereinafter "Novo". The preparation of this enzyme and analogous enzymes is described in GB 1,243,784 to Novo. Other suitable proteases include ALCALASE® and SAVINASE® from Novo and MAXATASE® from International Bio- Synthetics, Inc., The Netherlands; as well as Protease A as disclosed in EP 130,756 A, January 9, 1985 and Protease B as disclosed in EP 303,761 A, April 28, 1987 and EP 130,756 A, January 9, 1985. See also a high pH protease from Bacillus sp. NCIMB 40338 described in WO 9318140 A to Novo. Enzymatic detergents comprising protease, one or more other enzymes, and a reversible protease inhibitor are described in WO 9203529 A to Novo. Other preferred proteases include those of WO 9510591 A to Procter & Gamble . When desired, a protease having decreased adsoφtion and increased hydrolysis is available as described in WO 9507791 to Procter & Gamble. A recombinant trypsin-like protease for detergents suitable herein is described in WO 9425583 to Novo.
Cellulases usable herein include both bacterial and fungal types, preferably having a pH optimum between 5 and 10. U.S. 4,435,307, Barbesgoard et al, March 6, 1984, discloses suitable fungal cellulases from Humicola insolens or Humicola strain DSM1800 or a cellulase 212-producing fungus belonging to the genus Aeromonas, and cellulase extracted from the hepatopancreas of a marine mollusk, Dolabella Auricula Solander. Suitable cellulases are also disclosed in GB-A- 2.075.028; GB-A-2.095.275 and DE-OS-2.247.832. CAREZYME® and CELLUZYME® (Novo) are especially useful. See also WO 9117243 to Novo.
Suitable lipase enzymes for detergent usage include those produced by microorganisms of the Pseudomonas group, such as Pseudomonas stutzeri ATCC 19.154, as disclosed in GB 1,372,034. See also Upases in Japanese Patent Application 53,20487, laid open Feb. 24, 1978. This lipase is available from Amano Pharmaceutical Co. Ltd., Nagoya, Japan, under the trade name Lipase P "Amano," or "Amano-P." Other suitable commercial Upases include Amano-CES, Upases ex Chromobacter viscosum, e.g. Chromobacter viscosum var. lipolyticum NRRLB 3673 from Toyo Jozo Co., Tagata, Japan; Chromobacter viscosum Upases from U.S. Biochemical Coφ., U.S.A. and Disoynth Co., The Netherlands, and Upases ex Pseudomonas gladioli. LIPOLASE® enzyme derived from Humicola lanuginosa and commercially available from Novo, see also EP 341,947, is a preferred lipase for use herein.
The enzyme-containing compositions herein may optionally also comprise from about 0.001% to about 10%, preferably from about 0.005% to about 8%, most preferably from about 0.01% to about 6%, by weight of an enzyme stabilizing system. The enzyme stabilizing system can be any stabilizing system which is compatible with the detersive enzyme. Such a system may be inherently provided by other formulation actives, or be added separately, e.g., by the formulator or by a manufacturer of detergent-ready enzymes. Such stabilizing systems can, for example, comprise calcium ion, boric acid, propylene glycol, short chain carboxylic acids, boronic acids, and mixtures thereof, and are designed to address different stabilization problems depending on the type and physical form of the detergent composition.
E) Detergent Composition Preparation
The detergent compositions according to the present invention can be in liquid, paste or granular forms. Such compositions can be prepared by combining the essential and optional components in the requisite concentrations in any suitable order and by any conventional means.
Granular compositions, for example, are generally made by combining base granule ingredients (e.g. surfactants, builders, water, etc.) as a slurry, and spray drying the resulting slurry to a low level of residual moisture (5-12%). The remaining dry ingredients can be admixed in granular powder form with the spray dried granules in a rotary mixing drum and the liquid ingredients (e.g. organic solutions of the essential cellulosic polymers, enzymes, binders and perfumes) can be sprayed onto the resulting granules to form the finished detergent composition. Granular compositions according to the present invention can also be in "compact form", i.e. they may have a relatively higher density than conventional granular detergents, i.e. from 550 to 950 g/1. In such case, the granular detergent compositions according to the present invention will contain a lower amount of "inorganic filler salt", compared to conventional granular detergents; typical filler salts are alkaline earth metal salts of sulphates and chlorides, typically sodium sulphate; "compact" detergents typically comprise not more than 10% filler salt.
Liquid detergent compositions can be prepared by admixing the essential and optional ingredients thereof in any desired order to provide compositions containing components in the requisite concentrations. Liquid compositions according to the present invention can also be in "compact form", in such case, the liquid detergent compositions according to the present invention will contain a lower amount of water, compared to conventional liquid detergents.
Addition of the cellulose ether component to liquid detergent compositions of this invention may be accomplished by simply mixing into the liquid dertergent aqueous solutions of the desired cellulose ethers. Cellulose ethers can alter the viscosity or other rheological characteristics of liquid detergent products. It may therefore be necessary to compensate for any rheological changes in the liquid detergent product brought about by cellulose ether addition by altering the type and amount of hydrotropes and/or solvents that are used.
F) Fabric Laundering Method
The present invention also provides a method for laundering fabrics in a manner which imparts fabric appearance benefits provided by the cellulosic polymers used herein. Such a method employs contacting these fabrics with an aqueous washing solution formed from an effective amount of the detergent compositions hereinbefore described or formed from the individual components of such compositions. Contacting of fabrics with washing solution will generally occur under conditions of agitation although the compositions of the present invention may also be used to form aqueous unagitated soaking solutions for fabric cleaning and treatment.
Agitation is preferably provided in a washing machine for good cleaning. Washing is preferably followed by drying the wet fabric in a conventional clothes dryer. An effective amount of the liquid or granular detergent composition in the aqueous wash solution in the washing machine is preferably from about 500 to about 7000 ppm, more preferably from about 1000 to about 3000 ppm.
G) Fabric Conditioning
The modified cellulose ethers hereinbefore described as components of the laundry detergent compositions herein may also be used to treat and condition fabrics and textiles in the absence of the surfactant and builder components of the detergent composition embodiments of this invention. Thus, for example, a fabric conditioning composition comprising only the modified cellulose ethers themselves, or comprising an aqueous solution of the modified cellulose ethers, may be added during the rinse cycle of a conventional home laundering operation in order to impart the desired fabric appearance and integrity benefits hereinbefore described.
EXAMPLES
The following examples illustrate the compositions and methods of the present invention, but are not necessarily meant to limit or otherwise define the scope of the invention. EXAMPLE I
Liquid Detergent Test Composition Preparation
Several heavy duty liquid detergent compositions are prepared containing various modified cellulosic polymers. Such liquid detergent compositions all have the following basic formula:
Table A
Component Wt. %
C 12- 15 alkyl ether (2.5) sulfate 38
Ci2 glucose amide 6.86
Citric Acid 4.75
Cj2-14 Fatty Acid 2.00
Enzymes 1.02
MEA 1.0
Propanediol 0.36
Borax 6.58
Dispersant 1.48
Na Toluene Sulfonate 6.25
Modified Cellulosic Polymer (if present) 2.0
Dye, Perfume, Brighteners, Preservatives, Suds Suppressor, Balance Other Minors, Water
100%
EXAMPLE π
Granular Detergent Test Composition Preparation
Several heavy duty granular detergent compositions are prepared containing various modified cellulosic polymers. Such granular detergent compositions all have the following basic formula:
Table B
Component Wt. %
C 12 Linear alkyl benzene sulfonate 9.31
Cl4-15 alkyl ether (0.35 EO) sulfate 12.74
Zeolite Builder 27.79
Sodium Carbonate 27.31
PEG 4000 1.60
Dispersant 2.26
C 12- 13 Alcohol Ethoxylate (9 EO) 1.5
Sodium Perborate 1.03
Soil Release Polymer 0.41
Enzymes 0.59
Modified Cellulosic Polymer (if present) 2.5 Perfume, Brightener, Suds Suppressor, Other Minors, Moisture, Balance Sulfate
100%
EXAMPLE HI
Cellulosic Polymers Used in Test Compositions
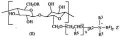
The representative modified cellulosic polymers used in the liquid and granular detergent compositions described in Examples I and II are characterized in Table C. The various substituents listed are those from Structural Formulas Nos. I, II and HI described hereinbefore. Table C Cellulosic Polymers Used in Test Detergent Compositions
Polymer ID
Polymer Description A B
Polymer Tradename Polysurf LK-400 CMC Modified LK-400 67 (D72)
Polymer Manufacturer Hercules Union Carbide Penn Union Carbide
Carbose
Polymer Type Nonionic Cationic Anionic Cationic
Molecular Weight 700-750M - 00M -300M -400M
Structure No. I II III II
R Cetyl H CH2COO H
(Ci6) A
Amount of Ring Alkyl 0.4%- 0 0 0 Substitution
0.6%
Degree of Ring
- - Carboxymethyl 0.5 Substitution
Rl H
K Ώ2 - /C"•Ur_2 /<"Ori -CH2CH(OH)CH2- R3 - -CH3 -CH3
R* - -CH3 -CH3
R5 - -CH3 -CH3
R6 - H H
X 1-3 1-3 1-3 y - -0.1 -0.006
Figure imgf000020_0001
A . . Na
Test compositions prepared as described in Examples I and II are evaluated for the effects that the various cellulosic polymers of Example III provide when samples of fabrics or garments are washed using the test compositions as described, all under identical conditions. A control sample with no polymer is usually compared to one composition with a test polymer to be evaluated. Testing conditions are also carefully monitored. Examples of controlled conditions include: wash time, wash water temperature and hardness; washer agitation; rinse time, rinse water temperature and hardness; dryer time and temperature; wash load fiber content and weight.
EXAMPLE IV
Overall Appearance
In an Overall Appearance test, fabrics are washed using various test compositions containing either no cellulosic polymers or one of the Example III cellulosic polymers. The fabrics so washed after ten cycles are then comparatively graded by three judges who evaluate the overall appearance of the washed fabrics. It is the decision of the judge as to what is to be evaluated unless specific direction is given to evaluate one attribute such as color, pilling, fuzz, etc.
In the Overall Appearance test, the visual preference of the judge is expressed using the Scheff scale.
That is: 0 = No difference
1 = I think this one is better (unsure).
2 = 1 know this one is a little better. 3 = 1 know this one is a lot better.
4 = 1 know this one is a whole lot better.
For the Overall Appearance test, laundering conditions are as follows: Washer Type: Kenmore (17 gallons) Wash Time: 12 min Wash Temperature: 90°F (32.2°C) Wash Water Hardness: 6 grains per gallon Washer Agitation: normal Rinse Time: 2 min Rinse Temperature: 60°F (15.6°C) Rinse Water Hardness: 6 grains per gallon Wash Load Fabric Content: various colored and white garments and fabrics Wash Load Weight: 5.5 lbs (2.5 kg)
The average overall appearance test results are shown in Tables D and E. Table D
Overall Appearance Test Results
Liquid Test Composition ID Polymer Tested Overall Appearance Grade
Control None 0
A Polysurf67 1.5
B LK-400 1.8
C CMC (D72) 1.0
D Modified LK-400 1.2
Table E
Overall Appearance Test Results
Granular Test Composition Polvmer Tested Overall Appearance
E Grade
Control None 0
A Polysurf67 1.4
B LK-400 1.0
C CMC (D72) 1.0
D Modified LK-400 1.1
EXAMPLE V
Pill Reduction
In a Pill Reduction test, fabrics are washed using the various test compositions containing either no cellulosic polymers or one of the Example III ceUulosic polymers. The fabrics so washed are then graded for Pill Reduction using a computer-assisted pilling image analysis system which employs image analysis to measure the number of pills on tested garments and fabrics. Pill reduction is calculated as:
Pill reduction(%) = { [# pills (control) - # pills (polymers)] / # pills (control) } x 100% For the Pill Reduction test, laundering conditions are the same as used for the Overall Appearance test described hereinbefore in ExamplelV.
The average % Pill Reduction test results are shown in Tables F and G.
Table F Pill Reduction Test Results - Liquids
Liquid Test Composition ID Polvmer Tested Pill/Fuzz Reduction (%)
Control None 0
A Polysurf67 21.5
B LK-400 42.4
C CMC(D72) 26.8
D Modified LK-400 25.9
Table G
Pill Reduction Test Results - Granular
Granular Test Composition Polvmer Tested Pill/Fuzz Reduction (%)
ID
Control None
A Polysurf67 33.3
B LK-400 51.6
C CMC(D72) 7.6
D Modified LK-400 16.6 EXAMPLE VI
Color Protection
In a Color Protection test, fabrics are washed using various test compositions containing either no cellulosic polymers or one of the Example III cellulosic polymers. The fabrics so washed are then tested with a Hunter colorimeter in order to determine a Delta E* value for each fabric tested. Delta E* is defined as the color difference (reflectance intensity, hue shift, etc.) between washed fabrics and unwashed fabrics.
For the Color Protection test, laundering conditions are the same as used for the Overall Appearance test described hereinbefore in Example IV.
The extent of Color Protection provided is based on percent of Delta E* difference compared to an unwashed sample. Color protection is calculated as:
% Color Protection = { [dE*(control) - dE*(poIymers)] / dE*(controI) } x 100%
The average color protection test results are shown in Tables H and I.
Table H Color Protection Test Results - Liquids
Liquid Test Composition ID Polvmer Tested Color Protection (%)
Control None 0
A Polysurf67 24.2
B LK-400 36.5
C CMC (D72) 26.6
D Modified LK-400 27.2 Table I
Color Protection Test Results - Granular
Granular Test Composition Polvmer Tested Color Protection (%)
ID
Control None 0
A Polysurf67 33.9
B LK-400 39.2
C CMC (D72) 15.5
D Modified LK-400 24.7

Claims

What is claimed is:
A laundry detergent composition which imparts fabric appearance benefits selected from pill fuzz reduction, antifading, improved abrasion resistance and/or enhanced softness to fabrics and textiles laundered in aqueous washing solutions formed therefrom, which composition is characterized by:
A) from 1% to 80% by weight of a detersive surfactant;
B) from 0.1% to 80% by weight of an organic or inorganic detergency builder;
C) from 0.1% to 8% by weight of a modified cellulose ether fabric treatment agent selected from the group consisting of:
•) hydrophobically-modified, nonionic cellulose ethers which have a molecular weight of from 10,000 to 2,000,000 and which have repeating substituted anhydroglucose units corresponding to the general formula:
Figure imgf000026_0001
wherein:
R is a combination of H and Cg-C24 with alkyl substitution of the anhydroglucose rings ranging in an amount of from 0.1% to 5% by weight of the cellulose ether material;
Rl is H or methyl; and x ranges from 1 to 20; ϋ) cationic quaternary ammonium cellulose ethers which have a molecular weight of from 10,000 to 2,000,000 and which have repeating substituted anhydroglucose units corresponding to the general formula:
Figure imgf000027_0001
wherein:
R is H or Cg_24 with alkyl substitution of the anhydroglucose rings ranging in an amount of from 0.1% to 5% by weight of the cellulose ether material;
R2 is CH2CHOHCH2 or Cg_24 alkyl;
R3, R4 and R5 are each, independently, methyl, ethyl or phenyl;
Rg is H or methyl; x ranges from 1 to 20; y ranges from 0.005 to 0.5; and
Z is Cl- or Br"; iii) anionic cellulose ethers which have a molecular weight of from 10,000 to 2,000,000 and which have repeating substituted anhydroglucose units corresponding to the general formula:
Figure imgf000027_0002
(III) wherein:
R is a combination of H and a) CH2COOA, and, optionally, b) Cg.24 alkyl, with alkyl substitution of the anhydroglucose rings ranging in an amount of from 0.1% to 5% by weight of the cellulose ether material, and with the degree of carboxymethyl substitution of the anhydroglucose rings ranging from 0.05 to 2.5; and wherein A is Na or K; and iv) combinations of said nonionic, cationic and anionic cellulose ethers.
2. A composition according to Claim 1 wherein
A) the detersive surfactant comprises from 5% to 50% by weight and is selected from anionic and nonionic surfactant materials
B) the detergency builder is characterized by from 10% to 50% by weight and is selected from carboxylates, silicates, aluminosilicates, carbonates, borates and combinations thereof; and
C) the modified cellulose ether fabric treatment agents comprises from 0.5% to 4% by weight and have molecular weights ranging from 10,000 to 1,000,000.
3. A composition according to Claim 2 wherein the modified cellulose ether fabric treatment agent is a hydrophobically-modified, nonionic material corresponding to Structural Formula No. I wherein a) R is a combination of H and Cg to Cjg alkyl; b) R substitution of the anhydroglucose rings ranges from 0.2% to 2% by weight of the cellulose ether; c) R1 is H; and d) x ranges from 1 to 10.
A composition according to Claim 3 wherein the hydrophobically-modified, nonionic cellulose ether is selected from Polysurf 67, Natrosol Plus 430 and Natrosol Plus 330.
A composition according to Claim 2 wherein the modified cellulose ether fabric treatment agent is a cationic material corresponding to Structural Formula No. II wherein a) R is C to Cjg alkyl; b) R substitution of the anhydroglucose rings ranges from 0.2% to 2% by weight of the cellulose ether; c) R2 is C8 to C 16 alkyl or is CH2CH(OH)CH2; d) R3, R4 and R^ are each methyl; e) R6 is H; f) x ranges from 1 to 10; g) y ranges from 0.005 to 0.1; and h) Z is cr.
6. A composition according to Claim 5 wherein the cationic cellulose ether is selected from UCARE JR 30M, JR 400, JR 125, LR 400 and LK 400and derivatives thereof.
A composition according to Claim 2 wherein the modified cellulose ether fabric treatment agent is a anionic material corresponding to Structural Formula No. Ill wherein: a) R is optionally Cg to C jg alkyl; b) R substitution of the anhydroglucose rings ranges from 0.2% to 2% by weight of the cellulose ether; c) the degree of carboxymethyl substitution ranges from 0.1 to 1.0; and d) A is Na.
8. A composition according to Claim 7 wherein the anionic cellulose ether is selected from CMC 7H, CMC 99-7M, CMC 99-7L, CMC D72, CMC D65 and CMC DHT.
A composition according to Claim 2 in liquid form which is characterized by: a) from 5% to 50% by weight of a detersive surfactant selected from i) sodium, potassium and ammonium alkylsulfates wherein the alkyl group contains from 10 to 22 carbon atoms; ii) sodium, potassium and ammonium alkylpolyethoxylate sulfates wherein the alkyl group contains from 10 to 22 carbon atoms and the polyethoxylate chain contains from 1 to 15 ethylene oxide moieties; iii) polyhydroxy fatty acid amides of the formula
O CH3 II I R— C-N-Z wherein R is a C9.17 alkyl or alkenyl and Z is glycityl derived from a reduced sugar or alkoxylated derivatives thereof; iv) alcohol ethoxylates of the formula R1(OC2H4)nOH wherein R* is a C Q- Cj6 alkyl group or a C -Cj2 alkyl phenyl group and n is from 3 to 80; and v) combinations of these surfactants; and b) from 1% to 10% by weight of a detergent builder component selected from carboxylate and polycarboxylate builders.
10. A composition according to Claim 2 in granular form which is characterized by: a) from 5% to 50% by weight of a detersive surfactant selected from i) sodium and potassium alkylpolyethoxylate sulfates wherein the alkyl group contains from 10 to 22 carbon atoms and the polyethoxylate chain contains from 1 to 15 ethylene oxide moieties; ii) sodium and potassium C9 to C\ζ alkyl benzene sulfonates; iii) sodium and potassium Cg to Cj alkyl sulfates; iv) polyhydroxy fatty acid amides of the formula
O CH3 II I R— C-N-Z wherein R is a C9.17 alkyl or alkenyl and Z is glycityl derived from a reduced sugar or alkoxylated derivatives thereof; and v) combinations of these surfactants; and b) from 1% to 50% by weight of a detergent builder selected from sodium carbonate, sodium silicate, crystalline layered silicates, aluminosilicates, oxydisuccinates and citrates;
PCT/US1997/0237711996-12-261997-12-23Laundry detergent compositions with cellulosic polymersWO1998029528A2 (en)

Priority Applications (7)

Application NumberPriority DateFiling DateTitle
AT97953405TATE245184T1 (en)1996-12-261997-12-23 DETERGENT COMPOSITIONS CONTAINING CELLULOSE POLYMERS
JP53016998AJP4267075B2 (en)1996-12-261997-12-23 Laundry detergent compositions having cellulosic polymers to provide appearance and integrity benefits to fabrics washed therewith
BR9714097ABR9714097A (en)1996-12-261997-12-23 Laundry detergent compositions with cellulose polymers to provide appearance and integrity benefits to fabrics washed with them
EP97953405AEP0948591B1 (en)1996-12-261997-12-23Laundry detergent compositions with cellulosic polymers to provide appearance and integrity benefits to fabrics laundered therewith
CA002276188ACA2276188C (en)1996-12-261997-12-23Laundry detergent compositions with cellulosic polymers
US09/331,818US6833347B1 (en)1997-12-231997-12-23Laundry detergent compositions with cellulosic polymers to provide appearance and integrity benefits to fabrics laundered therewith
DE69723575TDE69723575T2 (en)1996-12-261997-12-23 DETERGENT COMPOSITIONS CONTAINING CELLULOSE POLYMERS

Applications Claiming Priority (2)

Application NumberPriority DateFiling DateTitle
US3393096P1996-12-261996-12-26
US60/033,9301996-12-26

Publications (2)

Publication NumberPublication Date
WO1998029528A2true WO1998029528A2 (en)1998-07-09
WO1998029528A3 WO1998029528A3 (en)1998-09-17

Family

ID=21873278

Family Applications (1)

Application NumberTitlePriority DateFiling Date
PCT/US1997/023771WO1998029528A2 (en)1996-12-261997-12-23Laundry detergent compositions with cellulosic polymers

Country Status (10)

CountryLink
EP (1)EP0948591B1 (en)
JP (1)JP4267075B2 (en)
CN (1)CN1213137C (en)
AR (1)AR010851A1 (en)
AT (1)ATE245184T1 (en)
BR (1)BR9714097A (en)
CA (1)CA2276188C (en)
DE (1)DE69723575T2 (en)
ES (1)ES2203830T3 (en)
WO (1)WO1998029528A2 (en)

Cited By (52)

* Cited by examiner, † Cited by third party
Publication numberPriority datePublication dateAssigneeTitle
WO1999014245A1 (en)*1997-09-151999-03-25The Procter & Gamble CompanyLaundry detergent compositions with cellulosic based polymers to provide appearance and integrity benefits to fabrics laundered therewith
WO1999014295A1 (en)*1997-09-151999-03-25The Procter & Gamble CompanyLaundry detergent compositions with cellulosic based polymers to provide appearance and integrity benefits to fabrics laundered therewith
WO2000018860A1 (en)*1998-09-302000-04-06Unilever PlcTreatment for fabrics
WO2000018862A1 (en)*1998-09-302000-04-06Unilever PlcTreatment for fabrics
FR2784391A1 (en)*1998-10-092000-04-14Rhodia Chimie SaComposition for laundry cleaning or treatment products comprises a water-soluble or water-dispersible rebuild agent for deposition onto a fabric
WO2000022075A1 (en)*1998-10-132000-04-20The Procter & Gamble CompanyDetergent compositions or components
WO2000037598A1 (en)*1998-12-222000-06-29The Procter And Gamble CompanyProcesses for making a granular detergent composition containing modified carboxy methyl cellulose
WO2000042144A1 (en)*1999-01-132000-07-20The Procter & Gamble CompanyDetergent compositions having a cellulose polymer
WO2000047705A1 (en)*1999-02-102000-08-17The Procter & Gamble CompanyLaundry detergent compositions with fabric enhancing component
GB2351501A (en)*1999-07-012001-01-03Procter & GambleDetergent compositions or components
WO2001072938A1 (en)*2000-03-292001-10-04Unilever PlcLaundry treatment granule and detergent composition containing same
WO2001072937A1 (en)*2000-03-292001-10-04Unilever PlcLaundry treatment for fabrics
US6384011B1 (en)1997-09-152002-05-07The Procter & Gamble CompanyLaundry detergent compositions with cellulosic based polymers to provide appearance and integrity benefits to fabrics laundered therewith
JP2002527576A (en)*1998-10-132002-08-27ザ、プロクター、エンド、ギャンブル、カンパニー Laundry detergent compositions having a combination of a cyclic amine based polymer and a hydrophobically modified carboxymethyl cellulose
WO2003010268A1 (en)*2001-07-202003-02-06Unilever PlcUse of compounds in products for laundry applications
WO2003089711A1 (en)*2002-04-162003-10-30The Procter & Gamble CompanyTextile mill applications of cellulosic based polymers to provide appearance and integrity benefits to fabrics during laundering and in-wear
WO2004005444A1 (en)*2002-07-062004-01-15Henkel Commanditgesellschaft Auf AktienDetergent containing a textile care constituent based on cellulose
WO2004046295A1 (en)*2002-11-212004-06-03Unilever PlcMethod of laundering coloured fabrics
DE10301575A1 (en)*2003-01-162004-07-29Henkel KgaaTextile care composition, e.g. for fluff or pill reduction or ease of ironing, comprises a copolymer produced by copolymerizing an ethylenically unsaturated carboxylic acid with a carbohydrate
US6803355B1 (en)1999-02-102004-10-12The Procter & Gamble CompanyLaundry detergent compositions with fabric enhancing component
US6835707B1 (en)*1998-10-132004-12-28The Procter & Gamble CompanyLaundry detergent compositions with a combination of cyclic amine based polymers and hydrophobically modified carboxy methyl cellulose
WO2005037980A1 (en)*2003-10-222005-04-28Kao CorporationAllergen depressant and depression method
US6887524B2 (en)2000-10-132005-05-03The Procter & Gamble CompanyMethod for manufacturing laundry additive article
US6903208B2 (en)2001-08-312005-06-07Unilever Home & Personal Care Usa Division Of Conopco, Inc.Polymers and their use
US6939842B2 (en)2001-08-312005-09-06Unilever Home & Personal Care Usa, A Division Of Conopco, Inc.Laundry treatment compositions comprising a silicone and a substituted polysaccharide
WO2005103219A1 (en)*2004-04-212005-11-03Henkel Kommanditgesellschaft Auf AktienTextile care product
WO2005105965A1 (en)2004-04-302005-11-10Henkel Kommanditgesellschaft Auf AktienFabric care product containing a cellulose ether comprising amine groups
US7041730B2 (en)2001-07-202006-05-09Unilever Home & Personal Care Usa Division Of Conopco, Inc.Polymers and their synthesis
US7077870B2 (en)2000-12-152006-07-18Unilever Home & Personal Care Usa Division Of Conopco, Inc.Laundry composition
US7153821B2 (en)2001-07-202006-12-26Unilever Home & Personal Care Usa Division Of Conopco, IncUse of graft polymers in fabric cleaning
US7256166B2 (en)2002-01-182007-08-14The Procter & Gamble CompanyLaundry articles
WO2007107215A1 (en)*2006-03-182007-09-27Unilever PlcFabric treatment composition and process for preparation thereof
US7381227B2 (en)2004-09-042008-06-03Conopco, Inc.Fabric laundering
EP1194520B2 (en)1999-07-142008-06-18Unilever PlcProcess for manufacturing detergent powder
US7528101B2 (en)2003-06-162009-05-05Conopco, Inc.Laundry treatment compositions
US7534755B2 (en)2006-05-032009-05-19The Procter & Gamble CompanyLiquid detergent compositions with visibly distinct beads
WO2010033745A1 (en)*2008-09-192010-03-25The Procter & Gamble CompanyDual character polymer useful in fabric care products
US7686892B2 (en)2004-11-192010-03-30The Procter & Gamble CompanyWhiteness perception compositions
WO2010107640A1 (en)2009-03-162010-09-23The Procter & Gamble CompanyCleaning method
WO2010107635A1 (en)2009-03-162010-09-23The Procter & Gamble CompanyMethod of industrial or institutional laundry for a polyester load
WO2011060109A1 (en)2009-11-112011-05-19The Procter & Gamble CompanyCleaning method
EP2330178A2 (en)2001-11-092011-06-08Unilever Plc, A Company Registered In England And Wales under company no. 41424 of Unilever HousePolymers for laundry applications
US8075637B2 (en)2008-09-192011-12-13The Procter & Gamble CompanyModified lignin biopolymer useful in cleaning compositions
US8383573B2 (en)2008-09-192013-02-26The Procter & Gamble CompanyDual character biopolymer useful in cleaning products
US8383572B2 (en)2008-09-192013-02-26The Procter & Gamble CompanyDetergent composition containing suds boosting and suds stabilizing modified biopolymer
EP3293250A1 (en)*2016-09-072018-03-14The Procter & Gamble CompanyA liquid detergent composition comprising cellulosic polymers and cellulase
WO2018060262A1 (en)*2016-09-282018-04-05Cp Kelco OyDetergent compositions comprising ultra-low molecular weight polysaccharides
US11359166B2 (en)*2017-12-062022-06-14Kao CorporationFabric treatment composition
US11401350B2 (en)2017-12-062022-08-02Kao CorporationPolysaccharide derivative
EP4116397A1 (en)2021-07-062023-01-11The Procter & Gamble CompanyWhitening additive
US11655435B2 (en)2017-12-062023-05-23Kao CorporationHydroxy alkyl cellulose soil release agent with a cationic group and a C4—C12 hydrophobic group
US11655434B2 (en)2017-12-062023-05-23Kao CorporationComposition

Families Citing this family (14)

* Cited by examiner, † Cited by third party
Publication numberPriority datePublication dateAssigneeTitle
EP1592767B1 (en)2003-02-102007-05-16Henkel Kommanditgesellschaft auf AktienDetergents or cleaning agents containing a bleaching agent, a water-soluble building block system and a cellulose derivative with dirt dissolving properties
DE10351325A1 (en)2003-02-102004-08-26Henkel Kgaa Detergent or cleaning agent with water-soluble builder system and dirt-releasing cellulose derivative
JP4534193B2 (en)*2004-02-022010-09-01花王株式会社 Powder detergent composition
DE102004063766A1 (en)*2004-12-292006-07-13Henkel KgaaUse of a polysaccharide derivative, obtained by the reaction of polysaccharide with di-, tri- or tetra- functional spacer molecule and an oligomer glycol ether, for reinforcement of the cleaning efficiency of detergents in textiles
DE102005026544A1 (en)2005-06-082006-12-14Henkel Kgaa Reinforcement of cleaning performance of detergents by polymer
DE102005026522B4 (en)2005-06-082007-04-05Henkel Kgaa Reinforcement of cleaning performance of detergents by polymer
JP5253748B2 (en)*2007-03-142013-07-31ライオン株式会社 Granular detergent composition
DE102007038456A1 (en)2007-08-142009-02-19Henkel Ag & Co. KgaaUse of polycarbonate, polyurethane and/or polyurea-polyorganosiloxane compounds or their acid addition compounds and/or salts to improve the cleaning efficiency of laundry detergents during washing textiles
DE102007023827A1 (en)2007-05-212008-11-27Henkel Ag & Co. KgaaUse of polycarbonate, polyurethane and/or polyurea-polyorganosiloxane compounds or their acid addition compounds and/or salts to improve the cleaning efficiency of laundry detergents during washing textiles
BR112017008995B1 (en)*2014-11-112022-06-28Rohm And Haas Company DETERGENT COMPOSITION FOR CLOTHING
US10377966B2 (en)*2017-12-012019-08-13The Procter & Gamble CompanyParticulate laundry softening wash additive
TW201930577A (en)*2017-12-062019-08-01日商花王股份有限公司Washing agent composition for textile product
JP7187343B2 (en)*2019-02-132022-12-12旭化成株式会社 Method for producing methacrylic resin
CN113249176B (en)*2021-05-182022-03-15纳爱斯浙江科技有限公司Quick-drying additive composition for fabrics and fabric detergent containing same

Family Cites Families (7)

* Cited by examiner, † Cited by third party
Publication numberPriority datePublication dateAssigneeTitle
US3950276A (en)*1971-09-011976-04-13Colgate-Palmolive CompanySulfonate detergent compositions
US4329237A (en)*1979-11-211982-05-11Colgate-Palmolive CompanyDetergent softener compositions
GB8519047D0 (en)*1985-07-291985-09-04Unilever PlcDetergent composition
DE3702764A1 (en)*1987-01-301988-08-11Degussa DETERGENT PICTURES
JP3181432B2 (en)*1993-06-182001-07-03花王株式会社 Liquid softener composition
DE69328173T2 (en)*1993-07-142000-11-09The Procter & Gamble Company, Cincinnati Detergent compositions
TR199800973T2 (en)*1995-11-291998-08-21Unilever N.V Detergent charge granules.

Cited By (70)

* Cited by examiner, † Cited by third party
Publication numberPriority datePublication dateAssigneeTitle
CZ301055B6 (en)*1997-09-152009-10-29The Procter & Gamble CompanyLaundry detergent compositions with cellulose-based polymers to provide appearance and integrity benefits to fabrics laundered therewith
WO1999014295A1 (en)*1997-09-151999-03-25The Procter & Gamble CompanyLaundry detergent compositions with cellulosic based polymers to provide appearance and integrity benefits to fabrics laundered therewith
US6384011B1 (en)1997-09-152002-05-07The Procter & Gamble CompanyLaundry detergent compositions with cellulosic based polymers to provide appearance and integrity benefits to fabrics laundered therewith
WO1999014245A1 (en)*1997-09-151999-03-25The Procter & Gamble CompanyLaundry detergent compositions with cellulosic based polymers to provide appearance and integrity benefits to fabrics laundered therewith
USRE39557E1 (en)*1997-09-152007-04-10The Procter & Gamble CompanyLaundry detergent compositions with cellulosic based polymers to provide appearance and integrity benefits to fabrics laundered therewith
WO2000018860A1 (en)*1998-09-302000-04-06Unilever PlcTreatment for fabrics
WO2000018862A1 (en)*1998-09-302000-04-06Unilever PlcTreatment for fabrics
US6475980B2 (en)1998-09-302002-11-05Unilever Home & Personal Care Usa Division Of ConopcoTreatment for fabrics
US6506220B2 (en)1998-09-302003-01-14Unilever Home & Personal Care Usa Division Of ConopcoTreatment for fabrics
US6248710B1 (en)1998-09-302001-06-19Unilever Home And Personal Care Usa, A Division Of Conopco, Inc.Fabric treatment with polysaccharides containing UV absorbing groups
FR2784391A1 (en)*1998-10-092000-04-14Rhodia Chimie SaComposition for laundry cleaning or treatment products comprises a water-soluble or water-dispersible rebuild agent for deposition onto a fabric
JP2003525309A (en)*1998-10-132003-08-26ザ、プロクター、エンド、ギャンブル、カンパニー Detergent composition or ingredient
US6835707B1 (en)*1998-10-132004-12-28The Procter & Gamble CompanyLaundry detergent compositions with a combination of cyclic amine based polymers and hydrophobically modified carboxy methyl cellulose
US6579840B1 (en)1998-10-132003-06-17The Procter & Gamble CompanyDetergent compositions or components comprising hydrophobically modified cellulosic polymers
WO2000022075A1 (en)*1998-10-132000-04-20The Procter & Gamble CompanyDetergent compositions or components
JP2002527576A (en)*1998-10-132002-08-27ザ、プロクター、エンド、ギャンブル、カンパニー Laundry detergent compositions having a combination of a cyclic amine based polymer and a hydrophobically modified carboxymethyl cellulose
WO2000037598A1 (en)*1998-12-222000-06-29The Procter And Gamble CompanyProcesses for making a granular detergent composition containing modified carboxy methyl cellulose
CN100430462C (en)*1999-01-132008-11-05宝洁公司Detergent compositions comprising a cellulose polymer
US6790822B1 (en)1999-01-132004-09-14The Proctor & Gamble CompanyDetergent compositions having an anionically modified cellulose polymer
WO2000042144A1 (en)*1999-01-132000-07-20The Procter & Gamble CompanyDetergent compositions having a cellulose polymer
WO2000047705A1 (en)*1999-02-102000-08-17The Procter & Gamble CompanyLaundry detergent compositions with fabric enhancing component
US6803355B1 (en)1999-02-102004-10-12The Procter & Gamble CompanyLaundry detergent compositions with fabric enhancing component
GB2351501A (en)*1999-07-012001-01-03Procter & GambleDetergent compositions or components
WO2001002527A1 (en)*1999-07-012001-01-11The Procter & Gamble CompanyDetergent compositions or components
WO2001002526A1 (en)*1999-07-012001-01-11The Procter & Gamble CompanyDetergent compositions or components
EP1194520B2 (en)1999-07-142008-06-18Unilever PlcProcess for manufacturing detergent powder
WO2001072937A1 (en)*2000-03-292001-10-04Unilever PlcLaundry treatment for fabrics
US6602847B2 (en)2000-03-292003-08-05Unilever Home & Personal Care, Usa Division Of Conopco, Inc.Laundry treatment granule and detergent composition containing laundry treatment granule
WO2001072938A1 (en)*2000-03-292001-10-04Unilever PlcLaundry treatment granule and detergent composition containing same
US6869452B2 (en)2000-03-292005-03-22Unilever Home & Personal Care Usa Division Of Conopco, Inc.Laundry treatment for fabrics
US6887524B2 (en)2000-10-132005-05-03The Procter & Gamble CompanyMethod for manufacturing laundry additive article
US7077870B2 (en)2000-12-152006-07-18Unilever Home & Personal Care Usa Division Of Conopco, Inc.Laundry composition
US7041730B2 (en)2001-07-202006-05-09Unilever Home & Personal Care Usa Division Of Conopco, Inc.Polymers and their synthesis
US7153821B2 (en)2001-07-202006-12-26Unilever Home & Personal Care Usa Division Of Conopco, IncUse of graft polymers in fabric cleaning
WO2003010268A1 (en)*2001-07-202003-02-06Unilever PlcUse of compounds in products for laundry applications
US6939842B2 (en)2001-08-312005-09-06Unilever Home & Personal Care Usa, A Division Of Conopco, Inc.Laundry treatment compositions comprising a silicone and a substituted polysaccharide
US6903208B2 (en)2001-08-312005-06-07Unilever Home & Personal Care Usa Division Of Conopco, Inc.Polymers and their use
EP2330178A2 (en)2001-11-092011-06-08Unilever Plc, A Company Registered In England And Wales under company no. 41424 of Unilever HousePolymers for laundry applications
US7256166B2 (en)2002-01-182007-08-14The Procter & Gamble CompanyLaundry articles
WO2003089711A1 (en)*2002-04-162003-10-30The Procter & Gamble CompanyTextile mill applications of cellulosic based polymers to provide appearance and integrity benefits to fabrics during laundering and in-wear
WO2004005444A1 (en)*2002-07-062004-01-15Henkel Commanditgesellschaft Auf AktienDetergent containing a textile care constituent based on cellulose
WO2004046295A1 (en)*2002-11-212004-06-03Unilever PlcMethod of laundering coloured fabrics
DE10301575A1 (en)*2003-01-162004-07-29Henkel KgaaTextile care composition, e.g. for fluff or pill reduction or ease of ironing, comprises a copolymer produced by copolymerizing an ethylenically unsaturated carboxylic acid with a carbohydrate
US7528101B2 (en)2003-06-162009-05-05Conopco, Inc.Laundry treatment compositions
US8658630B2 (en)2003-10-222014-02-25Kao CorporationAllergen depressant and depression method
WO2005037980A1 (en)*2003-10-222005-04-28Kao CorporationAllergen depressant and depression method
WO2005103219A1 (en)*2004-04-212005-11-03Henkel Kommanditgesellschaft Auf AktienTextile care product
WO2005105965A1 (en)2004-04-302005-11-10Henkel Kommanditgesellschaft Auf AktienFabric care product containing a cellulose ether comprising amine groups
US7381227B2 (en)2004-09-042008-06-03Conopco, Inc.Fabric laundering
US7686892B2 (en)2004-11-192010-03-30The Procter & Gamble CompanyWhiteness perception compositions
US7846268B2 (en)2004-11-192010-12-07The Procter & Gamble CompanyWhiteness perception compositions comprising a dye-polymer conjugate
WO2007107215A1 (en)*2006-03-182007-09-27Unilever PlcFabric treatment composition and process for preparation thereof
US7534755B2 (en)2006-05-032009-05-19The Procter & Gamble CompanyLiquid detergent compositions with visibly distinct beads
WO2010033745A1 (en)*2008-09-192010-03-25The Procter & Gamble CompanyDual character polymer useful in fabric care products
US8383573B2 (en)2008-09-192013-02-26The Procter & Gamble CompanyDual character biopolymer useful in cleaning products
US8383572B2 (en)2008-09-192013-02-26The Procter & Gamble CompanyDetergent composition containing suds boosting and suds stabilizing modified biopolymer
US8075637B2 (en)2008-09-192011-12-13The Procter & Gamble CompanyModified lignin biopolymer useful in cleaning compositions
US8383571B2 (en)2008-09-192013-02-26The Procter & Gamble CompanyDual character polymer useful in fabric care products
WO2010107640A1 (en)2009-03-162010-09-23The Procter & Gamble CompanyCleaning method
WO2010107635A1 (en)2009-03-162010-09-23The Procter & Gamble CompanyMethod of industrial or institutional laundry for a polyester load
WO2011060109A1 (en)2009-11-112011-05-19The Procter & Gamble CompanyCleaning method
EP3293250A1 (en)*2016-09-072018-03-14The Procter & Gamble CompanyA liquid detergent composition comprising cellulosic polymers and cellulase
WO2018060262A1 (en)*2016-09-282018-04-05Cp Kelco OyDetergent compositions comprising ultra-low molecular weight polysaccharides
RU2766566C2 (en)*2016-09-282022-03-15Сп Келко ОйDetergent compositions containing ultra-low-molecular polysaccharides
US11359166B2 (en)*2017-12-062022-06-14Kao CorporationFabric treatment composition
US11401350B2 (en)2017-12-062022-08-02Kao CorporationPolysaccharide derivative
US11655435B2 (en)2017-12-062023-05-23Kao CorporationHydroxy alkyl cellulose soil release agent with a cationic group and a C4—C12 hydrophobic group
US11655434B2 (en)2017-12-062023-05-23Kao CorporationComposition
EP4116397A1 (en)2021-07-062023-01-11The Procter & Gamble CompanyWhitening additive
WO2023283208A1 (en)2021-07-062023-01-12The Procter & Gamble CompanyWhitening additive

Also Published As

Publication numberPublication date
DE69723575D1 (en)2003-08-21
BR9714097A (en)2000-03-21
CA2276188A1 (en)1998-07-09
JP4267075B2 (en)2009-05-27
AR010851A1 (en)2000-07-12
JP2001507396A (en)2001-06-05
CA2276188C (en)2005-11-01
ATE245184T1 (en)2003-08-15
EP0948591B1 (en)2003-07-16
ES2203830T3 (en)2004-04-16
EP0948591A2 (en)1999-10-13
CN1213137C (en)2005-08-03
CN1247558A (en)2000-03-15
WO1998029528A3 (en)1998-09-17
DE69723575T2 (en)2004-05-13

Similar Documents

PublicationPublication DateTitle
EP0948591B1 (en)Laundry detergent compositions with cellulosic polymers to provide appearance and integrity benefits to fabrics laundered therewith
US6833347B1 (en)Laundry detergent compositions with cellulosic polymers to provide appearance and integrity benefits to fabrics laundered therewith
CA2303120C (en)Laundry detergent compositions with cellulosic based polymers to provide appearance and integrity benefits to fabrics laundered therewith
USRE39557E1 (en)Laundry detergent compositions with cellulosic based polymers to provide appearance and integrity benefits to fabrics laundered therewith
US6140292A (en)Laundry detergent compositions with polyamide-polyamines
US6369024B1 (en)Laundry detergent compositions with linear amine based polymers to provide appearance and integrity benefits to fabrics laundered therewith
CA2276580C (en)Laundry detergent compositions comprising dye fixatives
US6384011B1 (en)Laundry detergent compositions with cellulosic based polymers to provide appearance and integrity benefits to fabrics laundered therewith
US6251846B1 (en)Laundry detergent compositions with cyclic amine based polymers to provide appearance and integrity benefits to fabrics laundered therewith
US6228828B1 (en)Laundry detergent compositions with anionically modified, cyclic amine based polymers
MXPA00002642A (en)Laundry detergent compositions with cellulosic based polymers to provide appearance and integrity benefits to fabrics laundered therewith
MXPA00002646A (en)Laundry detergent compositions with cellulosic based polymers to provide appearance and integrity benefits to fabrics laundered therewith
MXPA99006226A (en)Laundry detergent compositions comprising dye fixatives
MXPA99006067A (en)Laundry detergent compositions with cellulosic polymers to provide appearance and integrity benefits to fabrics laundered therewith
MXPA99006225A (en)Laundry detergent compositions with polyamide-polyamines to provide appearance benefits to fabrics laundered therewith
MXPA00002594A (en)Laundry detergent compositions with linear amine based polymers to provide appearance and integrity benefits to fabrics laundered therewith

Legal Events

DateCodeTitleDescription
WWEWipo information: entry into national phase

Ref document number:97181945.9

Country of ref document:CN

AKDesignated states

Kind code of ref document:A2

Designated state(s):BR CA CN JP MX NO US

ALDesignated countries for regional patents

Kind code of ref document:A2

Designated state(s):AT BE CH DE DK ES FI FR GB GR IE IT LU MC NL PT SE

DFPERequest for preliminary examination filed prior to expiration of 19th month from priority date (pct application filed before 20040101)
AKDesignated states

Kind code of ref document:A3

Designated state(s):BR CA CN JP MX NO US

ALDesignated countries for regional patents

Kind code of ref document:A3

Designated state(s):AT BE CH DE DK ES FI FR GB GR IE IT LU MC NL PT SE

121Ep: the epo has been informed by wipo that ep was designated in this application
ENPEntry into the national phase

Ref document number:2276188

Country of ref document:CA

Ref document number:2276188

Country of ref document:CA

Kind code of ref document:A

Ref document number:1998 530169

Country of ref document:JP

Kind code of ref document:A

WWEWipo information: entry into national phase

Ref document number:PA/a/1999/006067

Country of ref document:MX

WWEWipo information: entry into national phase

Ref document number:1997953405

Country of ref document:EP

WWPWipo information: published in national office

Ref document number:1997953405

Country of ref document:EP

WWEWipo information: entry into national phase

Ref document number:09331818

Country of ref document:US

WWGWipo information: grant in national office

Ref document number:1997953405

Country of ref document:EP


[8]ページ先頭

©2009-2025 Movatter.jp