Movatterモバイル変換


[0]ホーム

URL:


WO1998028292A1 - Novel piperidine containing compounds - Google Patents

Novel piperidine containing compounds
Download PDF

Info

Publication number
WO1998028292A1
WO1998028292A1PCT/US1997/023638US9723638WWO9828292A1WO 1998028292 A1WO1998028292 A1WO 1998028292A1US 9723638 WUS9723638 WUS 9723638WWO 9828292 A1WO9828292 A1WO 9828292A1
Authority
WO
WIPO (PCT)
Prior art keywords
ylcarbonyl
piperidine
indol
mammal
benzyl
Prior art date
Application number
PCT/US1997/023638
Other languages
French (fr)
Inventor
Jeffrey C. Boehm
George W. Chan
Original Assignee
Smithkline Beecham Corporation
Priority date (The priority date is an assumption and is not a legal conclusion. Google has not performed a legal analysis and makes no representation as to the accuracy of the date listed.)
Filing date
Publication date
Application filed by Smithkline Beecham CorporationfiledCriticalSmithkline Beecham Corporation
Priority to JP52901398ApriorityCriticalpatent/JP2002515891A/en
Priority to PCT/US1997/023638prioritypatent/WO1998028292A1/en
Publication of WO1998028292A1publicationCriticalpatent/WO1998028292A1/en

Links

Classifications

Definitions

Landscapes

Abstract

Novel-3-carboxyindole piperidine amide containing compounds, and compositions for use in therapy as anti-inflammatory agents, and inhibitors cytokine p38/MAP kinase mediated diseases.

Description

NOVEL PIPERIDINE CONTAINING COMPOUNDS
FIELD OF THE INVENTION
This invention relates to a novel group of indole containing compounds, processes for the preparation thereof, the use thereof in treating cytokine mediated diseases and pharmaceutical compositions for use in such therapy.
BACKGROUND OF THE INVENTION
Interleukin- 1 (IL-1) and Tumor Necrosis Factor (TNF) are biological substances produced by a variety of cells, such as monocytes or macrophages. IL-1 has been demonstrated to mediate a variety of biological activities thought to be important in immunoregulation and other physiological conditions such as inflammation [See, e.g., Dinarello et al., Rev. Infect. Disease, 6, 51 (1984)]. The myriad of known biological activities of IL-1 include the activation of T helper cells, induction of fever, stimulation of prostaglandin or collagenase production, neutrophil chemotaxis, induction of acute phase proteins and the suppression of plasma iron levels.
There are many disease states in which excessive or unregulated IL-1 production is implicated in exacerbating and/or causing the disease. These include rheumatoid arthritis, osteoarthritis, endotoxemia and/or toxic shock syndrome, other acute or chronic inflammatory disease states such as the inflammatory reaction induced by endotoxin or inflammatory bowel disease; tuberculosis, atherosclerosis, muscle degeneration, cachexia, psoriatic arthritis, Reiter's syndrome, rheumatoid arthritis, gout, traumatic arthritis, rubella arthritis, and acute synovitis. Recent evidence also links IL-1 activity to diabetes and pancreatic β cells. Dinarello, J. Clinical Immunology. 5 (5), 287-297 (1985), reviews the biological activities which have been attributed to IL- 1. It should be noted that some of these effects have been described by others as indirect effects of IL-1.
Excessive or unregulated TNF production has been implicated in mediating or exacerbating a number of diseases including rheumatoid arthritis, rheumatoid spondylitis, osteoarthritis, gouty arthritis and other arthritic conditions; sepsis, septic shock, endotoxic shock, gram negative sepsis, toxic shock syndrome, adult respiratory distress syndrome, cerebral malaria, chronic pulmonary inflammatory disease, silicosis, pulmonary sarcoisosis, bone resorption diseases, reperfusion injury, graft vs. host reaction, allograft rejections, fever and myalgias due to infection, such as influenza, cachexia secondary to infection or malignancy, cachexia, secondary to acquired immune deficiency syndrome (AIDS), AIDS, ARC (AIDS related complex), keloid formation, scar tissue formation, Crohn's disease, ulcerative colitis, or pyresis.
AIDS results from the infection of T lymphocytes with Human Immunodeficiency Virus (HIV). At least three types or strains of HIV have been identified, i.e., HIV-1, HIV-2 and HIV-3. As a consequence of HIV infection, T- cell mediated immunity is impaired and infected individuals manifest severe opportunistic infections and/or unusual neoplasms. HIV entry into the T lymphocyte requires T lymphocyte activation. Other viruses, such as HIV-1, HIV-2 infect T lymphocytes after T Cell activation and such virus protein expression and/or replication is mediated or maintained by such T cell activation. Once an activated T lymphocyte is infected with HIV, the T lymphocyte must continue to be maintained in an activated state to permit HIV gene expression and/or HIV replication. Monokines, specifically TNF, are implicated in activated T-cell mediated HIV protein expression and/or virus replication by playing a role in maintaining T lymphocyte activation. Therefore, interference with monokine activity such as by inhibition of monokine production, notably TNF, in an HIV- infected individual aids in limiting the maintenance of T cell activation, thereby reducing the progression of HIV infectivity to previously uninfected cells which results in a slowing or elimination of the progression of immune dysfunction caused by HIV infection. Monocytes, macrophages, and related cells, such as kupffer and glial cells, have also been implicated in maintenance of the HIV infection. These cells, like T-cells, are targets for viral replication and the level of viral replication is dependent upon the activation state of the cells. [See Rosenberg et al.. The Immunopathogenesis of HIV Infection, Advances in Immunology, Vol. 57, (1989)]. Monokines, such as TNF, have been shown to activate HIV replication in monocytes and/or macrophages [See Poli, et al.. Proc. Natl. Acad. Sci., 87:782-784 (1990)], therefore, inhibition of monokine production or activity aids in limiting HIV progression as stated above for T-cells.
TNF has also been implicated in various roles with other viral infections, such as the cytomegalia virus (CMV), influenza virus, and the herpes virus for similar reasons as those noted. Interleukin-8 (IL-8) is a chemotactic factor first identified and characterized in 1987. IL-8 is produced by several cell types including mononuclear cells, fibroblasts, endothelial cells, and keratinocytes. Its production from endothelial cells is induced by IL-1, TNF, or lipopolysachharide (LPS). Human IL-8 has been shown to act on Mouse, Guinea Pig, Rat, and Rabbit Neutrophils. Many different names have been applied to IL-8, such as neutrophil attractant/activation protein- 1 (NAP-1), monocyte derived neutrophil chemotactic factor (MDNCF), neutrophil activating factor (NAF), and T-cell lymphocyte chemotactic factor.
IL-8 stimulates a number of functions in vitro. It has been shown to have chemoattractant properties for neutrophils, T-lymphocytes, and basophils. In addition it induces histamine release from basophils from both normal and atopic individuals as well as lysozomal enzyme release and respiratory burst from neutrophils. IL-8 has also been shown to increase the surface expression of Mac- 1 (CD1 lb/CD 18) on neutrophils without de novo protein synthesis, this may contribute to increased adhesion of the neutrophils to vascular endothelial cells. Many diseases are characterized by massive neutrophil infiltration. Conditions associated with an increased in IL-8 production (which is responsible for chemotaxis of neutrophil into the inflammatory site) would benefit by compounds which are suppressive of IL-8 production. IL-1 and TNF affect a wide variety of cells and tissues and these cytokines as well as other leukocyte derived cytokines are important and critical inflammatory mediators of a wide variety of disease states and conditions. The inhibition of these cytokines is of benefit in controlling, reducing and alleviating many of these disease states. There remains a need for treatment, in this field, for compounds which are cytokine suppressive anti-inflammatory drugs, i.e. compounds which are capable of inhibiting cytokines, such as IL-1, IL-6, IL-8 and TNF.
SUMMARY OF THE INVENTION This invention relates to the novel compounds of Formula (I) or (II) and pharmaceutical compositions comprising a compound of Formula (I) or (II) and a pharmaceutically acceptable diluent or carrier.
This invention also relates to a method of inhibiting cytokines and the treatment of a cytokine mediated disease, in a mammal in need thereof, which comprises administering to said mammal an effective amount of a compound of
Formula (I) or (II). In particular the present invention relates to a method of treating a CSBP/RK/p38 kinase mediated disease, in a mammal in need thereof.
This invention more specifically relates to a method of inhibiting the production of IL-1 in a mammal in need thereof which comprises administering to said mammal an effective amount of a compound of Formula (I) or (II).
This invention more specifically relates to a method of inhibiting the production of IL-8 in a mammal in need thereof which comprises administering to said mammal an effective amount of a compound of Formula (I) or (II).
This invention more specifically relates to a method of inhibiting the production of TNF in a mammal in need thereof which comprises administering to said mammal an effective amount of a compound of Formula (I) or (II).
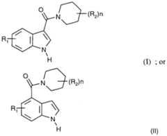
Accordingly, the present invention provides for a compound of Formula (I) or Formula (II):
Figure imgf000006_0001
wherein
Rj is hydrogen, alkyl, alkoxy, aryl, arylalkyl, heteroaryl, heteroarylalkyl, aryloxy, heteroaryloxy, nitro, amino, cyano, carboxy, carboxyalkoxy, carboxamido, or halogen, wherein the aryl, arylalkyl, heteroaryl, heteroarylalkyl, heteroaryloxy, or aryloxy moieties may be optionally substituted;
R is C(O) R3, C(O)OR , -O-(CH2)sO-, =N(OR4), C .4 alkyl(=N(OR4))-R5, =O, amino, hydroxy, heterocyclic, aryl, heteroaryl, arylalkyl, heteroarylalkyl, arylalkenyl, alkenyl, optionally substituted alkyl, cycloalkyl, or cycloalkyl alkyl, and wherein all of these moieties may be optionally substituted; n is an integer having a value of 1 or 2;
R3 is optionally substituted alkyl, or optionally substituted aryl; R4 is a hydrogen, a pharmaceutically acceptable cation, Ci-io alkyl, C3-7 cycloalkyl, aryl, arylCi-4 alkyl, heteroaryl, heteroaryl j-4alkyl, heterocyclyl, aroyl, or Ci-4 alkanoyl; and
R5 is optionally substituted alkyl, or optionally substituted aryl; or a pharmaceutically acceptable salt thereof.
DETAILED DESCRIPTION OF THE INVENTION
In compounds of Formula (I) or (II), Rj is suitably hydrogen, alkyl, alkoxy, aryl, arylalkyl, heteroaryl, heteroarylalkyl, aryloxy, heteroaryloxy, nitro, amino, cyano, carboxy, carboxyalkoxy, carboxamido, or halogen. The aryl, arylalkyl, heteroaryl, heteroarylalkyl, heteroaryloxy, or aryloxy moieties may be optionally substituted one to three times independently by halogen; haloalkyl (such as CF3); alkyl; cyano; carboxy, carboxyalkoxy, carboxamido, nitro; alkoxy; hydroxy; amino; mono- or di-substituted alkyl amino; or S(O)m alkyl, wherein m is 0, 1 or 2, such as methyl thio, mefhylsulfinyl or methyl sulfonyl.
Preferably the Rj moiety is in the 5-position of the indole ring. When R\ is aryl it is preferably phenyl; when R is aryloxy it is preferably benzyloxy.
In compounds of Formula (I) or (II), R2 is suitably C(O) R3, C(O)OR3, -O- (CH2)sO-, =N(OR4), C\_4 alkyl(=N(OR4))-R5, =O, amino, hydroxy, heterocyclic, aryl, heteroaryl, arylalkyl, heteroarylalkyl, arylalkenyl, alkenyl, optionally substituted alkyl, cycloalkyl, or cycloalkyl alkyl. The alkyl, aryl, heteroaryl, heterocyclic, and cycloalkyl rings may all be optionally substituted one or more times independently by halogen; haloalkyl (such as CF3); alkyl; cyano; carboxy, carboxyalkoxy, carboxamido, nitro; alkoxy; halosubstituted alkoxy, hydroxy; amino; mono- or di-substituted alkyl amino; or S(O)m alkyl, wherein m is 0, 1 or 2, such as methyl thio, methylsulfinyl or methyl sulfonyl. Suitably, n is an integer having a value of 1 or 2;
Suitably, R3 is an optionally substituted alkyl, or optionally substituted aryl. Suitably, R4 is hydrogen, a pharmaceutically acceptable cation, Ci-io alkyl,
C3-7 cycloalkyl, aryl, arylCi-4 alkyl, heteroaryl, heteroaryl ι _4alkyl, heterocyclic, aroyl, or C1 -.4 alkanoyl.
Suitably, R5 is optionally substituted alkyl, or optionally substituted aryl. Preferably when R2 is aryl it is a phenyl moiety, and when R2 is an arylalkyl group it is preferably benzyl, phenethyl or napthylmethyl. Preferably when R2 is a heteroaryl or heteroarylalkyl, it is a pyridyl, or pyrimidine group. The alkyl moiety in the arylalkyl or heteroarylalkyl group may also be optionally substituted, such as by halogen, hydroxy, alkoxy, alkyl, halosubstituted alkyl, halo substituted alkoxy, aryl, heteroaryl, arylalkyl, or heteroarylalkyl groups.
As used herein, "optionally substituted" unless specifically defined shall mean such groups as halogen, such as fluorine, chlorine, bromine or iodine; hydroxy; hydroxy substituted Ci-ioalkyl; Cj-io alkoxy, such as methoxy or ethoxy; cyano; carboxy, carboxyalkoxy, carboxamido, S(O)m alkyl, wherein m is 0, 1 or 2, such as methyl thio, methylsulfinyl or methyl sulfonyl; amino, mono & di- alkyl substituted amino; Ci-io alkyl, cycloalkyl, or cycloalkyl alkyl group, such as methyl, ethyl, propyl, isopropyl, t-butyl, etc. or cyclopropyl methyl; halosubstituted Ci-io alkyl, such CF2CF2H, or CF3; halosubstituted Cι_ιo alkoxy; an optionally substituted heteroaryl, aryl, heteroarylalkyl, or arylalkyl, wherein these aryl moieties may be substituted one to three times by halogen; hydroxy; hydroxy substituted alkyl; Ci-io alkoxy; cyano; carboxy, carboxyalkoxy, carboxamido, S(O)m alkyl; amino, mono & di-alkyl substituted amino; alkyl, or halo substituted alkyl, such as CF3.
Suitable pharmaceutically acceptable salts are well known to those skilled in the art and include basic salts of inorganic and organic acids, such as hydrochloric acid, hydrobromic acid, sulphuric acid, phosphoric acid, methane sulphonic acid, ethane sulphonic acid, acetic acid, malic acid, tartaric acid, citric acid, lactic acid, oxalic acid, succinic acid, fumaric acid, maleic acid, benzoic acid, salicylic acid, phenylacetic acid and mandelic acid. In addition, pharmaceutically acceptable salts of compounds of Formula (I) may also be formed with a pharmaceutically acceptable cation, for instance, if a substituent group comprises a carboxy moiety. Suitable pharmaceutically acceptable cations are well known to those skilled in the art and include alkaline, alkaline earth, ammonium and quaternary ammonium cations.
The following terms, as used herein, refer to:
• "halo" or "halogens", include the halogens: chloro, fluoro, bromo and iodo. •
Figure imgf000009_0001
or "alkyl" - both straight and branched chain radicals of 1 to 10 carbon atoms, unless the chain length is otherwise limited, including, but not limited to, methyl, ethyl, π-propyl, ώσ-propyl, n-butyl, sec-butyl, iso-butyl, tert- butyl, n-pentyl and the like. • "aryl" - phenyl and naphthyl.
• "cycloalkyl" is used herein to mean cyclic radicals, preferably of 3 to 8 carbons, including but not limited to cyclopropyl, cyclopentyl, cyclohexyl, and the like.
• "heteroaryl" (on its own or in any combination, such as "heteroaryloxy", or "heteroaryl alkyl") - a 5-10 membered aromatic ring system in which one or more rings contain one or more heteroatoms selected from the group consisting of N, O or S, such as, but not limited, to pyrrole, pyrazole, furan, thiophene, quinoline, isoquinoline, quinazolinyl, pyridine, pyrimidine, oxazole, thiazole, thiadiazole, triazole, imidazole, or benzimidazole. • "heterocyclic" (on its own or in any combination, such as
"heterocyclylalkyl") - a saturated or partially unsaturated 4-10 membered ring system in which one or more rings contain one or more heteroatoms selected from the group consisting of N, O, or S; such as, but not limited to, pyrrolidine, piperidine, piperazine, morpholine, tetrahydropyran, or imidazolidine. • The term "aralkyl" or "heteroarylalkyl" or "heterocyclicalkyl" is used herein to mean Ci-4 alkyl as defined above attached to an aryl, heteroaryl or heterocyclic moiety as also defined herein unless otherwise indicate.
• "sulfinyl" - the oxide S (O) of the corresponding sulfide, the term "thio" refers to the sulfide, and the term "sulfonyl" refers to the fully oxidized S(O)2 moiety.
• "aroyl" - a C(O)Ar, wherein Ar is as phenyl, naphthyl, or aryl alkyl derivative such as defined above, such group include but are not limited to benzyl and phenethyl.
• "alkanoyl" - a C(O)Cι_ιo alkyl wherein the alkyl is as defined above.
Exemplified compounds of Formula (I) include: l-(lH-Indol-3-ylcarbonyl)-4-(benzyl)piperidine l-(lH-5-Methylindol-3-ylcarbonyl)-4-(benzyl)piperidine l-(lH-5-Fluoroindol-3-ylcarbonyl)-4-(benzyl)piperidine 1 -( 1 H-5-Chloroindol-3-ylcarbonyl)-4-(benzyl)piperidine l-(lH-5-Nitroindol-3-ylcarbonyl)-4-(benzyl)piperidine l-(lH-Indol-3-ylcarbonyl)- piperidine 1 lH-Indol-3-ylcarbonyl)-4-carboethoxypiperidine
1 lH-Indol-3-ylcarbonyl)-4-(4-phenylmethylene)piperidine
1 lH-Indol-3-ylcarbonyl)-4-ketopiperidine
1 1 H-Indol-3-ylcarbony l)-4-ketopiperidine oxime
1 lH-Indol-3-ylcarbonyl)-4-(l,3-dioxolane-2-yl)piperidine l-> lH-Indol-3-ylcarbonyl)-4-aminopiperidine hydrochloride
1- lH-Indol-3-ylcarbonyl)-4-hydroxypiperidine
1- lH-Indol-3-ylcarbonyl)-4-anilinylpiperidine
1- 1 H-Indol-3-ylcarbonyl)-4-(4,5-benzo- 1 ,3-dioxolane-2-yl)piperidine
1- lH-Indol-3-ylcarbonyl)-4-phenoxypiperidine
1- lH-Indol-3-ylcarbonyl)-3-benzylpiperidine
1- lH-Indol-3-ylcarbonyl)-4-benzyl-4-hydroxypiperidine
1- lH-Indol-3-ylcarbonyl)-4-(4-fluorobenzoyl)piperidine
1- lH-Indol-3-ylcarbonyl)-4-(4-fluorobenzoyl-oxime)piperidine
1- lH-Indol-3-ylcarbonyl)-4-(4-fluorobenzoyl-oxime)piperidine
1- 1 H-Indol-3-ylcarbonyl)-4-( 1 -hydroxyethyl)piperidine
1- lH-Indol-3-ylcarbonyl)-4-acetylpiperidine
1- lH-Indol-3-ylcarbonyl)-4-acetyl-4-phenylpiperidine
1- lH-4-Methoxyindol-3-ylcarbonyl)-4-(benzyl)piperidine
1- lH-7-Methylindol-3-ylcarbonyl)-4-(benzyl)piperidine
1-' lH-5-Methoxyindol-3-ylcarbonyl)-4-(benzyl)piperidine
1- lH-7-Methoxyindol-3-ylcarbonyl)-4-(benzyl)piperidine
1- lH-Indol-3-ylcarbonyl)-4-(4-fluorobenzyl)piperidine
1- lH-6-Methylindol-3-ylcarbonyl)-4-(benzyl)piperidine
1- lH-7-Benzylindol-3-ylcarbonyl)-4-(benzyl)piperidine 1- lH-7-Benzyloxyindol-3-ylcarbonyl)-4-(benzyl)piperidine 1- lH-6-Methylindol-3-ylcarbonyl)-4-(benzyl)piperidine
1- lH-Indol-3-ylcarbonyl)-4-(4-fluorobenzyl)piperidine
The compounds of Formula (I) or (II) may be obtained by applying synthetic procedures, some of which are illustrated in Schemes I, etc., herein. The synthesis provided for in these Schemes is applicable for the producing compounds of Formula (I) or (II) having a variety of different Ri and R2 groups which are reacted, employing optional substituents which are suitably protected, to achieve compatibility with the reactions outlined herein. Subsequent deprotection, in those cases, then affords compounds of the nature generally disclosed. Once the nucleus has been established, further compounds of Formula (I) or (II) may be prepared by applying standard techniques for functional group interconversion, well known in the art.
Figure imgf000011_0001
modify depending on target and starting materials ».
Figure imgf000011_0002
Substituted indole-3-carboxylic acids (Formula (I)) were obtained from the appropriately substituted indole by the method of Katner [Katner, A. S. Organic Preps and Procs. 1970, 2(4), 297 - 303] wherein the indole is reacted with trifluoroacetic anhydride (TFAA) in THF or DMF to afford the 3-trifluoroacetyl indole 3 (Scheme 1). The trifluoroacetyl indoles are then hydrolyzed under vigorous alkaline conditions to the acids 4. Piperazinyl amides 5 are rapidly and conveniently prepared by reacting the amine and carboxylic acid 4 utilizing thionyl chloride as the coupling agent. Additional analogs are obtained in some cases by further modification of R\ and R2 after amide formation. Scheme 2, described below illustrates a number of different method used to prepare substituted piperidines as claimed herein.
Figure imgf000012_0001
HNR'R" NaBH(OAc)3
R = NR'R" i. Wittig
R = CHR ii. [H]
R gX
R = R, OH
Compounds of Formula (I) may also be prepared by the reduction of suitably substituted aroyl piperi dines as described below in Scheme 3.
Et3SiH, T 3-carboxy couple
Figure imgf000012_0002
Figure imgf000012_0003
Figure imgf000012_0004
Suitable protecting groups for use with hydroxyl, etc. are well known in the art and described in many references, for instance, Protecting Groups in Organic Synthesis, Greene T W, Wiley-Interscience, New York, 1981. Suitable examples of hydroxyl protecting groups include silyl ethers, such as t-butyldimethyl or t- butyldiphenyl, and alkyl ethers, such as methyl connected by an alkyl chain of variable link, (CRioR20)n-
Pharmaceutically acid addition salts of compounds of Formula (I) or (II) may be obtained in known manner, for example by treatment thereof with an appropriate amount of acid in the presence of a suitable solvent.
METHODS OF TREATMENT
The compounds of Formula (I) or (II), or a pharmaceutically acceptable salt thereof can be used in the manufacture of a medicament for the prophylactic or therapeutic treatment of any disease state in a human, or other mammal, which is exacerbated or caused by excessive or unregulated cytokine production by such mammal's cell, such as but not limited to monocytes and/or macrophages. Compounds of Formula (I) or (II) are capable of inhibiting proinflammatory cytokines, such as IL-1, IL-6, IL-8 and TNF and are therefore of use in therapy. IL- 1, IL-6, IL-8 and TNF affect a wide variety of cells and tissues and these cytokines, as well as other leukocyte-derived cytokines, are important and critical inflammatory mediators of a wide variety of disease states and conditions. The inhibition of these pro-inflammatory cytokines is of benefit in controlling, reducing and alleviating many of these disease states.
Accordingly, the present invention provides a method of treating a cytokine- mediated disease which comprises administering an effective cytokine-interfering amount of a compound of Formula (I) or Formula (II) or a pharmaceutically acceptable salt thereof.
For purposes herein, the compounds of Formula (I) and (II) all have the same dosages, and formulations as that of Formula (I) are used interchangeably herewith.
Compounds of Formula (I) are capable of inhibiting inducible proinflammatory proteins, such as COX-2, also referred to by many other names such as prostaglandin endoperoxide synthase-2 (PGHS-2) and are therefore of use in therapy. These proinflammatory lipid mediators of the cyclooxygenase (CO) pathway are produced by the inducible COX-2 enzyme. Regulation, therefore of COX-2 which is responsible for the these products derived from arachidonic acid, such as prostaglandins affect a wide variety of cells and tissues are important and critical inflammatory mediators of a wide variety of disease states and conditions. Expression of COX-1 is not effected by compounds of Formula (I). This selective inhibition of COX-2 may alleviate or spare ulcerogenic liability associated with inhibition of COX-1 thereby inhibiting prostoglandins essential for cytoprotective effects. Thus inhibition of these pro-inflammatory mediators is of benefit in controlling, reducing and alleviating many of these disease states. Most notably these inflammatory mediators, in particular prostaglandins, have been implicated in pain, such as in the sensitization of pain receptors, or edema. This aspect of pain management therefore includes treatment of neuromuscular pain, headache, cancer pain, and arthritis pain. Compounds of Formula (I) or a pharmaceutically acceptable salt thereof, are of use in the prophylaxis or therapy in a human, or other mammal, by inhibition of the synthesis of the COX-2 enzyme. Accordingly, the present invention provides a method of inhibiting the synthesis of COX-2 which comprises administering an effective amount of a compound of Formula (I) or a pharmaceutically acceptable salt thereof. The present invention also provides for a method of prophylaxis treatment in a human, or other mammal, by inhibition of the synthesis of the COX-2 enzyme.
A new member of the MAP kinase family, alternatively termed CSBP, p38, or RK, has been identified independently by several laboratories recently. Activation of this novel protein kinase via dual phosphorylation has been observed in different cell systems upon stimulation by a wide spectrum of stimuli, such as physicochemical stress and treatment with lipopolysaccharide or proinflammatory cytokines such as interleukin- 1 and tumor necrosis factor. The cytokine biosynthesis inhibitors, of the present invention, compounds of Formula (I), have been determined to be potent and selective inhibitors of CSBP/p38/RK kinase activity. These inhibitors are of aid in determining the signaling pathways involvement in inflammatory responses. In particular, for the first time a definitive signal transduction pathway can be prescribed to the action of lipopolysaccharide in cytokine production in macrophages.
The cytokine inhibitors were subsequently tested in a number of animal models for anti-inflammatory activity. Model systems were chosen that were relatively insensitive to cyclooxygenase inhibitors in order to reveal the unique activities of cytokine suppressive agents. The inhibitors exhibited significant activity in many such in vivo studies. Most notable are its effectiveness in the collagen-induced arthritis model and inhibition of TNF production in the endotoxic shock model. In the latter study, the reduction in plasma level of TNF correlated with survival and protection from endotoxic shock related mortality. Also of great importance are the compounds effectiveness in inhibiting bone resorption in a rat fetal long bone organ culture system. Griswold et al., (1988) Arthritis Rheum.
31: 1406-1412; Badger, et al., (1989) Circ. Shock 27, 51-61; Votta et al., (1994) in vitro. Bone 15, 533-538; Lee et al., (1993). B Ann. N. Y. Acad. Sci. 696, 149-170.
Another aspect of the present invention, therefore, is the treatment of a CSBP/RK p38 kinase mediated disease, in a mammal in need thereof, which comprises administering to said mammal an effective amount of a compound of Formula (I). Suitable diseases, include those mentioned herein for IL-1, IL-6, IL-8 and TNF and more specifically those disease which are CSBP/RK/p38 kinase mediated diseases. These include, but are not limited to rheumatoid arthritis, rheumatoid spondylitis, osteoarthritis, gouty arthritis and other arthritic conditions, sepsis, septic shock, endotoxic shock, gram negative sepsis, toxic shock syndrome, asthma, adult respiratory distress syndrome, stroke, reperfusion injury, CNS injuries, such as neurotrauma and ischemia, including both open and closed head injuries), psoriasis, restenosis, such as occurs following coronary angioplasty, cerebral malaria, chronic pulmonary inflammatory disease, silicosis, pulmonary sarcososis, bone resorption diseases, osteoporosis, , graft vs. host reaction, allograft rejections, Crohn's disease, ulcerative colitis or any other anti-inflammatory bowel disease (IBD), or pyresis.
CNS injuries as defined herein include both open or penetrating head trauma, such as by surgery, or a closed head trauma injury, such as by an injury to the head region. Also included within this definition is ischemic stroke, particularly to the brain area.
Ischemic stroke may be defined as a focal neurologic disorder that results from insufficient blood supply to a particular brain area, usually as a consequence of an embolus, thrombi, or local atheromatous closure of the blood vessel. The role of inflammatory cytokines in this are has been emerging and the present invention provides a mean for the potential treatment of these injuries. Relatively little treatment, for an acute injury such as these has been available.
TNF-α is a cytokine with proinflammatory actions, including endothelial leukocyte adhesion molecule expression. Leukocytes infiltrate into ischemic brain lesions and hence compounds which inhibit or decrease levels of TNF would be useful for treatment of ischemic brain injury. See Liu et al., Stoke, Vol. 25., No. 7, pp 1481-88 (1994) whose disclosure is incorporated herein by reference.
Models of closed head injuries and treatment with mixed 5-LO/CO agents is discussed in Shohami et al., J. of Vaisc & Clinical Physiology and Pharmacology, Vol. 3, No. 2, pp. 99-107 (1992) whose disclosure is incorporated herein by reference. Treatment which reduced edema formation was found to improve functional outcome in those animals treated.
In particular, compounds of Formula (I) or a pharmaceutically acceptable salt thereof are of use in the prophylaxis or therapy of any disease state in a human, or other mammal, which is exacerbated by or caused by excessive or unregulated IL-1, IL-8 or TNF production by such mammal's cell, such as, but not limited to, monocytes and/or macrophages.
Accordingly, in another aspect, this invention relates to a method of inhibiting the production of IL-1 in a mammal in need thereof which comprises administering to said mammal an effective amount of a compound of Formula (I) or a pharmaceutically acceptable salt thereof.
There are many disease states in which excessive or unregulated IL-1 production is implicated in exacerbating and/or causing the disease. These include rheumatoid arthritis, osteoarthritis, stroke, endotoxemia and/or toxic shock syndrome, other acute or chronic inflammatory disease states such as the inflammatory reaction induced by endotoxin or inflammatory bowel disease, tuberculosis, atherosclerosis, muscle degeneration, multiple sclerosis, cachexia, bone resorption, psoriatic arthritis, Reiter's syndrome, rheumatoid arthritis, gout, traumatic arthritis, rubella arthritis and acute synovitis. Recent evidence also links IL-1 activity to diabetes, pancreatic β cells and Alzheimer's disease.
In a further aspect, this invention relates to a method of inhibiting the production of TNF in a mammal in need thereof which comprises administering to said mammal an effective amount of a compound of Formula (I) or a pharmaceutically acceptable salt thereof.
Excessive or unregulated TNF production has been implicated in mediating or exacerbating a number of diseases including rheumatoid arthritis, rheumatoid spondylitis, osteoarthritis, gouty arthritis and other arthritic conditions, sepsis, septic shock, endotoxic shock, gram negative sepsis, toxic shock syndrome, adult respiratory distress syndrome, stroke, cerebral malaria, chronic pulmonary inflammatory disease, silicosis, pulmonary sarcoisosis, bone resorption diseases, such as osteoporosis, reperfusion injury, graft vs. host reaction, allograft rejections, fever and myalgias due to infection, such as influenza, cachexia secondary to infection or malignancy, cachexia secondary to acquired immune deficiency syndrome (AIDS), AIDS, ARC (AIDS related complex), keloid formation, scar tissue formation, Crohn's disease, ulcerative colitis and pyresis.
Compounds of Formula (I) are also useful in the treatment of viral infections, where such viruses are sensitive to upregulation by TNF or will elicit TNF production in vivo. The viruses contemplated for treatment herein are those that produce TNF as a result of infection, or those which are sensitive to inhibition, such as by decreased replication, directly or indirectly, by the TNF inhibiting- compounds of Formula (1). Such viruses include, but are not limited to HIV-1, HIV-2 and HIV-3, Cytomegalovirus (CMV), Influenza, adenovirus and the Herpes group of viruses, such as but not limited to, Herpes Zoster and Herpes Simplex. Accordingly, in a further aspect, this invention relates to a method of treating a mammal afflicted with a human immunodeficiency virus (HIV) which comprises administering to such mammal an effective TNF inhibiting amount of a compound of Formula (I) or a pharmaceutically acceptable salt thereof.
Compounds of Formula (I) may also be used in association with the veterinary treatment of mammals, other than in humans, in need of inhibition of TNF production. TNF mediated diseases for treatment, therapeutically or prophylactically, in animals include disease states such as those noted above, but in particular viral infections. Examples of such viruses include, but are not limited to, lenti virus infections such as, equine infectious anaemia virus, caprine arthritis virus, visna virus, or maedi virus or retrovirus infections, such as but not limited to feline immunodeficiency virus (FIV), bovine immunodeficiency virus, or canine immunodeficiency virus or other retro viral infections.
The compounds of Formula (I) may also be used topically in the treatment or prophylaxis of topical disease states mediated by or exacerbated by excessive cytokine production, such as by IL-1 or TNF respectively, such as inflamed joints, eczema, psoriasis and other inflammatory skin conditions such as sunburn; inflammatory eye conditions including conjunctivitis; pyresis, pain and other conditions associated with inflammation.
Compounds of Formula (I) have also been shown to inhibit the production of IL-8 (Interleukin-8, NAP). Accordingly, in a further aspect, this invention relates to a method of inhibiting the production of IL-8 in a mammal in need thereof which comprises administering to said mammal an effective amount of a compound of Formula (I) or a pharmaceutically acceptable salt thereof.
There are many disease states in which excessive or unregulated IL-8 production is implicated in exacerbating and/or causing the disease. These diseases are characterized by massive neutrophil infiltration such as, psoriasis, inflammatory bowel disease, asthma, cardiac and renal reperfusion injury, adult respiratory distress syndrome, thrombosis and glomerulonephritis. All of these diseases are associated with increased IL-8 production which is responsible for the chemotaxis of neutrophils into the inflammatory site. In contrast to other inflammatory cytokines (IL-1, TNF, and IL-6), IL-8 has the unique property of promoting neutrophil chemotaxis and activation. Therefore, the inhibition of IL-8 production would lead to a direct reduction in the neutrophil infiltration.
The compounds of Formula (I) are administered in an amount sufficient to inhibit cytokine, in particular IL-1, IL-6, IL-8 or TNF, production such that it is regulated down to normal levels, or in some case to subnormal levels, so as to ameliorate or prevent the disease state. Abnormal levels of IL-1, IL-6, IL-8 or TNF, for instance in the context of the present invention, constitute: (i) levels of free (not cell bound) IL-1, IL-6, IL-8 or TNF greater than or equal to 1 picogram per ml; (ii) any cell associated IL-1, IL-6, IL-8 or TNF; or (iii) the presence of IL-1, IL-6, IL-8 or TNF mRNA above basal levels in cells or tissues in which IL- 1 , IL-6, IL-8 or TNF, respectively, is produced.
The discovery that the compounds of Formula (I) are inhibitors of cytokines, specifically IL-1, IL-6, IL-8 and TNF is based upon the effects of the compounds of Formulas (I) on the production of the IL-1, IL-8 and TNF in in vitro assays which are described herein.
As used herein, the term "inhibiting the production of IL-1 (IL-6, IL-8 or TNF)" refers to: a) a decrease of excessive in vivo levels of the cytokine (IL-1, IL-6, IL-8 or TNF) in a human to normal or sub-normal levels by inhibition of the in vivo release of the cytokine by all cells, including but not limited to monocytes or macrophages; b) a down regulation, at the genomic level, of excessive in vivo levels of the cytokine (IL-1, IL-6, IL-8 or TNF) in a human to normal or sub-normal levels; c) a down regulation, by inhibition of the direct synthesis of the cytokine (IL-1, IL-6, IL-8 or TNF) as a postranslational event; or d) a down regulation, at the translational level, of excessive in vivo levels of the cytokine (IL-1, IL-6, IL-8 or TNF) in a human to normal or sub-normal levels.
As used herein, the term "TNF mediated disease or disease state" refers to any and all disease states in which TNF plays a role, either by production of TNF itself, or by TNF causing another monokine to be released, such as but not limited to IL-1, IL-6 or IL-8. A disease state in which, for instance, IL-1 is a major component, and whose production or action, is exacerbated or secreted in response to TNF, would therefore be considered a disease stated mediated by TNF.
As used herein, the term "cytokine" refers to any secreted polypeptide that affects the functions of cells and is a molecule which modulates interactions between cells in the immune, inflammatory or hematopoietic response. A cytokine includes, but is not limited to, monokines and lymphokines, regardless of which cells produce them. For instance, a monokine is generally referred to as being produced and secreted by a mononuclear cell, such as a macrophage and/or monocyte. Many other cells however also produce monokines, such as natural killer cells, fibroblasts, basophils, neutrophils, endothelial cells, brain astrocytes, bone marrow stromal cells, epideral keratinocytes and B -lymphocytes. Lymphokines are generally referred to as being produced by lymphocyte cells. Examples of cytokines include, but are not limited to, Interleukin- 1 (IL-1), Interleukin-6 (IL-6), Interleukin-8 (IL-8), Tumor Necrosis Factor-alpha (TNF-a) and Tumor Necrosis Factor beta (TNF-β).
As used herein, the term "cytokine interfering" or "cytokine suppressive amount" refers to an effective amount of a compound of Formula (I) which will cause a decrease in the in vivo levels of the cytokine to normal or sub-normal levels, when given to a patient for the prophylaxis or treatment of a disease state which is exacerbated by, or caused by, excessive or unregulated cytokine production. As used herein, the cytokine referred to in the phrase "inhibition of a cytokine, for use in the treatment of a HIV-infected human" is a cytokine which is implicated in (a) the initiation and/or maintenance of T cell activation and/or activated T cell-mediated HIV gene expression and/or replication and/or (b) any cytokine-mediated disease associated problem such as cachexia or muscle degeneration.
As TNF-β (also known as lymphotoxin) has close structural homology with TNF-a (also known as cachectin) and since each induces similar biologic responses and binds to the same cellular receptor, both TNF-a and TNF-β are inhibited by the compounds of the present invention and thus are herein referred to collectively as "TNF" unless specifically delineated otherwise.
In order to use a compound of Formula (I) or a pharmaceutically acceptable salt thereof in therapy, it will normally be Formulated into a pharmaceutical composition in accordance with standard pharmaceutical practice. This invention, therefore, also relates to a pharmaceutical composition comprising an effective, non-toxic amount of a compound of Formula (I) and a pharmaceutically acceptable carrier or diluent.
Compounds of Formula (I), pharmaceutically acceptable salts thereof and pharmaceutical compositions incorporating such may conveniently be administered by any of the routes conventionally used for drug administration, for instance, orally, topically, parenterally or by inhalation. The compounds of Formula (I) may be administered in conventional dosage forms prepared by combining a compound of Formula (I) with standard pharmaceutical carriers according to conventional procedures. The compounds of Formula (I) may also be administered in conventional dosages in combination with a known, second therapeutically active compound. These procedures may involve mixing, granulating and compressing or dissolving the ingredients as appropriate to the desired preparation. It will be appreciated that the form and character of the pharmaceutically acceptable character or diluent is dictated by the amount of active ingredient with which it is to be combined, the route of administration and other well-known variables. The carrier(s) must be "acceptable" in the sense of being compatible with the other ingredients of the Formulation and not deleterious to the recipient thereof.
The pharmaceutical carrier employed may be, for example, either a solid or liquid. Exemplary of solid carriers are lactose, terra alba, sucrose, talc, gelatin, agar, pectin, acacia, magnesium stearate, stearic acid and the like. Exemplary of liquid carriers are syrup, peanut oil, olive oil, water and the like. Similarly, the carrier or diluent may include time delay material well known to the art, such as glyceryl mono-stearate or glyceryl distearate alone or with a wax.
A wide variety of pharmaceutical forms can be employed. Thus, if a solid carrier is used, the preparation can be tableted, placed in a hard gelatin capsule in powder or pellet form or in the form of a troche or lozenge. The amount of solid carrier will vary widely but preferably will be from about 25mg. to about lg. When a liquid carrier is used, the preparation will be in the form of a syrup, emulsion, soft gelatin capsule, sterile injectable liquid such as an ampule or nonaqueous liquid suspension.
Compounds of Formula (I) may be administered topically, that is by non- systemic administration. This includes the application of a compound of Formula (I) externally to the epidermis or the buccal cavity and the instillation of such a compound into the ear, eye and nose, such that the compound does not significantly enter the blood stream. In contrast, systemic administration refers to oral, intravenous, intraperitoneal and intramuscular administration.
Formulations suitable for topical administration include liquid or semi- liquid preparations suitable for penetration through the skin to the site of inflammation such as liniments, lotions, creams, ointments or pastes, and drops suitable for administration to the eye, ear or nose. The active ingredient may comprise, for topical administration, from 0.001% to 10% w/w, for instance from 1% to 2% by weight of the Formulation. It may however comprise as much as 10% w/w but preferably will comprise less than 5% w/w, more preferably from 0.1% to 1% w/w of the Formulation.
Lotions according to the present invention include those suitable for application to the skin or eye. An eye lotion may comprise a sterile aqueous solution optionally containing a bactericide and may be prepared by methods similar to those for the preparation of drops. Lotions or liniments for application to the skin may also include an agent to hasten drying and to cool the skin, such as an alcohol or acetone, and/or a moisturizer such as glycerol or an oil such as castor oil or arachis oil.
Creams, ointments or pastes according to the present invention are semi- solid formulations of the active ingredient for external application. They may be made by mixing the active ingredient in finely-divided or powdered form, alone or in solution or suspension in an aqueous or non-aqueous fluid, with the aid of suitable machinery, with a greasy or non-greasy base. The base may comprise hydrocarbons such as hard, soft or liquid paraffin, glycerol, beeswax, a metallic soap; a mucilage; an oil of natural origin such as almond, corn, arachis, castor or olive oil; wool fat or its derivatives or a fatty acid such as stearic or oleic acid together with an alcohol such as propylene glycol or a macrogel. The formulation may incorporate any suitable surface active agent such as an anionic, cationic or non-ionic surfactant such as a sorbitan ester or a polyoxyethylene derivative thereof. Suspending agents such as natural gums, cellulose derivatives or inorganic materials such as silicaceous silicas, and other ingredients such as lanolin, may also be included. Drops according to the present invention may comprise sterile aqueous or oily solutions or suspensions and may be prepared by dissolving the active ingredient in a suitable aqueous solution of a bactericidal and/or fungicidal agent and/or any other suitable preservative, and preferably including a surface active agent. The resulting solution may then be clarified by filtration, transferred to a suitable container which is then sealed and sterilized by autoclaving or maintaining at 98-100° C. for half an hour. Alternatively, the solution may be sterilized by filtration and transferred to the container by an aseptic technique. Examples of bactericidal and fungicidal agents suitable for inclusion in the drops are phenylmercuric nitrate or acetate (0.002%), benzalkonium chloride (0.01%) and chlorhexidine acetate (0.01%). Suitable solvents for the preparation of an oily solution include glycerol, diluted alcohol and propylene glycol. Compounds of formula (I) may be administered parenterally, that is by intravenous, intramuscular, subcutaneous intranasal, intrarectal, intravaginal or intraperitoneal administration. The subcutaneous and intramuscular forms of parental administration are generally preferred. Appropriate dosage forms for such administration may be prepared by conventional techniques. Compounds of
Formula (I) may also be administered by inhalation, that is by intranasal and oral inhalation administration. Appropriate dosage forms for such administration, such as an aerosol formulation or a metered dose inhaler, may be prepared by conventional techniques. For all methods of use disclosed herein for the compounds of Formula (I), the daily oral dosage regimen will preferably be from about 0.01 to about 80 mg/kg of total body weight, preferably from about 0.1 to 30 mg/kg, more preferably from about 0.2 mg to 15 mg. The daily parenteral dosage regimen about 0.01 to about 80 mg/kg of total body weight, preferably from about 0.1 to about 30 mg/kg, and more preferably from about 0.2 mg to 15mg/kg. The daily topical dosage regimen will preferably be from 0.1 mg to 150 mg, administered one to four, preferably two or three times daily. The daily inhalation dosage regimen will preferably be from about 0.01 mg/kg to about 1 mg/kg per day. It will also be recognized by one of skill in the art that the optimal quantity and spacing of individual dosages of a compound of Formula (I) or a pharmaceutically acceptable salt thereof will be determined by the nature and extent of the condition being treated, the form, route and site of administration, and the particular patient being treated, and that such optimums can be determined by conventional techniques. It will also be appreciated by one of skill in the art that the optimal course of treatment, i.e., the number of doses of a compound of Formula (I) or a pharmaceutically acceptable salt thereof given per day for a defined number of days, can be ascertained by those skilled in the art using conventional course of treatment determination tests.
The novel compounds of Formula (I) may also be used in association with the veterinary treatment of mammals, other than humans, in need of inhibition of cytokine inhibition or production. In particular, cytokine mediated diseases for treatment, therapeutically or prophylactically, in animals include disease states such as those noted herein in the Methods of Treatment section, but in particular viral infections. Examples of such viruses include, but are not limited to, lentivirus infections such as, equine infectious anaemia virus, caprine arthritis virus, visna virus, or maedi virus or retrovirus infections, such as but not limited to feline immunodeficiency virus (FIV), bovine immunodeficiency virus, or canine immunodeficiency virus or other retroviral infections.
The invention will now be described by reference to the following biological examples which are merely illustrative and are not to be construed as a limitation of the scope of the present invention.
BIOLOGICAL EXAMPLES
The cytokine-inhibiting effects of compounds of the present invention were determined by the following in vitro assays: Interleukin - 1 (IL-1)
Human peripheral blood monocytes are isolated and purified from either fresh blood preparations from volunteer donors, or from blood bank buffy coats, according to the procedure of Colotta et al, J Immunol, 132, 936 (1984). These monocytes (1x10^) are plated in 24- well plates at a concentration of 1-2 million/ml per well. The cells are allowed to adhere for 2 hours, after which time non-adherent cells are removed by gentle washing. Test compounds are then added to the cells for lh before the addition of lipopolysaccharide (50 ng/ml), and the cultures are incubated at 37°C for an additional 24h. At the end of this period, culture supernatants are removed and clarified of cells and all debris. Culture supernatants are then immediately assayed for IL- 1 biological activity, either by the method of Simon et al., J. Immunol. Methods, 84, 85, (1985) (based on ability of IL-1 to stimulate a Interleukin 2 producing cell line (EL-4) to secrete IL-2, in concert with A23187 ionophore) or the method of Lee et al., J. ImmunoTherapy, 6 (1), 1-12 (1990) (ELIS A assay).
Tumour Necrosis Factor (TNF):
Human peripheral blood monocytes are isolated and purified from either blood bank buffy coats or platelet pheresis residues, according to the procedure of Colotta, R. et al., J Immunol, 132(2), 936 (1984). The monocytes are plated at a density of 1x10" cells/ml medium/well in 24-well multi-dishes. The cells are allowed to adhere for 1 hour after which time the supernatant is aspirated and fresh medium (1ml, RPMI-1640, Whitaker Biomedical Products, Whitaker, CA) containing 1% fetal calf serum plus penicillin and streptomycin (10 units/ml) added. The cells are incubated for 45 minutes in the presence or absence of a test compound at InM-lOmM dose ranges (compounds are solubilized in dimethyl sulfoxide/ethanol, such that the final solvent concentration in the culture medium is 0.5% dimethyl sulfoxide/0.5% ethanol). Bacterial lipopolysaccharide (E. coli 055:B5 [LPS] from Sigma Chemicals Co.) is then added (100 ng/ml in 10 ml phosphate buffered saline) and cultures incubated for 16-18 hours at 37°C in a 5% CO2 incubator. At the end of the incubation period, culture supernatants are removed from the cells, centrifuged at 3000 rpm to remove cell debris. The supernatant is then assayed for TNF activity using either a radio-immuno or an ΕLISA assay, as described in WO 92/10190 and by Becker et al, J Immunol, 1991, 147, 4307.
IL- 1 and TNF inhibitory activity does not seem to correlate with the property of the compounds of Formula (I) in mediating arachidonic acid metabolism inhibition. Further the ability to inhibit production of prostaglandin and/or leukotriene synthesis, by nonsteroidal anti-inflammatory drugs with potent cyclooxygenase and/or lipoxygenase inhibitory activity does not mean that the compound will necessarily also inhibit TNF or IL-1 production, at non-toxic doses.
In vivo TNF assay:
While the above indicated assay in an in vitro assay, the compounds of
Formula (I) may also be tested in an in vivo system such as described in : (1) Griswold et al, Drugs Under Εxp. and Clinical Res.,XIX (6), 243-248
(1993); or
(2) Boehm, et al, Journal Of Medicinal Chemistry 39, 3929-3937 (1996) whose disclosures are incorporated by reference herein in their entirety.
Interleukin -8 (IL-8 ):
Primary human umbilical cord endothelial cells (HUVΕC) (Cell Systems, Kirland, Wa) are maintained in culture medium supplemented with 15% fetal bovine serum and 1% CS-HBGF consisting of aFGF and heparin. The cells are then diluted 20-fold before being plated (250μl) into gelating coated 96-well plates. Prior to use, culture medium are replaced with fresh medium (200μl). Buffer or test compound (25μl, at concentrations between 1 and lOμM) is then added to each well in quadruplicate wells and the plates incubated for 6h in a humidified incubator at 37°C in an atmosphere of 5% CO2. At the end of the incubation period, supernatant is removed and assayed for IL-8 concentration using an IL-8 ΕLISA kit obtained from R&D Systems (Minneapolis, MN). All data is presented as mean value (ng/ml) of multiple samples based on the standard curve. IC5θ's where appropriate are generated by non-linear regression analysis. Cytokine Specific Binding Protein Assay
A radiocompetitive binding assay was developed to provide a highly reproducible primary screen for structure-activity studies. This assay provides many advantages over the conventional bioassays which utilize freshly isolated human monocytes as a source of cytokines and ELISA assays to quantify them. Besides being a much more facile assay, the binding assay has been extensively validated to highly correlate with the results of the bioassay. A specific and reproducible cytokine inhibitor binding assay was developed using soluble cystosolic fraction from THP.l cells and a radiolabeled compound. Patent
Application USSN 08/123175 Lee et al., filed September 1993, USSN; Lee et al., PCT 94/10529 filed 16 September 1994 and Lee et al., Nature 300, n(72), 739-746 (Dec. 1994) whose disclosures are incorporated by reference herein in its entirety describes the above noted method for screening drugs to identify compounds which interact with and bind to the cytokine specific binding protein (hereinafter CSBP). However, for purposes herein the binding protein may be in isolated form in solution, or in immobilized form, or may be genetically engineered to be expressed on the surface of recombinant host cells such as in phage display system or as fusion proteins. Alternatively, whole cells or cytosolic fractions comprising the CSBP may be employed in the screening protocol. Regardless of the form of the binding protein, a plurality of compounds are contacted with the binding protein under conditions sufficient to form a compound/ binding protein complex and compound capable of forming, enhancing or interfering with said complexes are detected.
CSBP KINASE ASSAY:
This assay measures the CSBP-catalyzed transfer of 32p from [a-32p]ATP to threonine residue in an epidermal growth factor receptor (EGFR)-derived peptide (T669) with the following sequence: KRELVEPL7TSGEAPNQALLR (residues 661-681). (See Gallagher et al., "Regulation of Stress Induced Cytokine Production by Pyridinyl Imidazoles: Inhibition of CSPB Kinase", BioOrganic & Medicinal Chemistry, to be published 1996).
Kinase reactions (total volume 30 ul) contain: 25 mM HEPES buffer, pH 7.5; 10 mM MgCl2; 170 uM ATPC1); 10 uM Na ortho vanadate; 0.4 mM T669 peptide; and 20-80 ng of yeast-expressed purified CSBP2 (see Lee et al., Nature 300, n(72), 739-746 (Dec. 1994)). Compounds (5 ul from [6X] stock(2)) are pre- incubated with the enzyme and peptide for 20 min. on ice prior to starting the reactions with 32P/MgATP. Reactions are incubated at 30 °C for 10 min. and stopped by adding 10 ul of 0.3 M phosphoric acid. 32P-labeled peptide is separated on phosphocellulose (Wattman, p81) filters by spotting 30 ul reaction mixture. Filters are washed 3 times with 75 mM phosphoric acid followed by 2 washes with H2O, and counted for 32P.
(!) The Km of CSBP for ATP was determined to be 170 uM. Therefore, compounds screened at the Km value of ATP.
(2) Compounds are usually dissolved in DMSO and are diluted in 25 mM HEPES buffer to get final concentration of DMSO of 0.17%.
Representative compounds of Formula (I), Examples 1 to 6, 8, 14 to 16, and 18 to 31 have all demonstrated positive inhibitory activity of an IC 50 of < 50uM in this kinase assay. The remaining compounds, Examples 7, 9 to 13 and 17 have all demonstrated IC50s of > 50uM in this assay.
Prostaglandin endoperoxide synthase-2 (PGHS-2) assay:
The following assay describes a method for determining the inhibitory effects of compounds of Formula (I) on human PGHS-2 protein expression in LPS stimulated human monocytes. The assay shown below is demonstrated with compounds other than that of Formula (I) herein:
Method: Human peripheral blood monocytes were isolated from buffy coats by centrifugation through Ficoll and Percoll gradients. Cells were seeded at 2 X 10°7well in 24 well plates and allowed to adhere for 1 hour in RPMI supplemented with 1% human AB serum, 20mM L-glutamine, Penicillin-Streptomycin and lOmM HEPES. Compounds were added at various concentrations and incubated at 37°C for 10 minutes. LPS was added at 50 ng/well (to induce enzyme expression) and incubated overnight at 37°C. The supernatant was removed and cells washed once in cold PBS. The cells were lysed in 100ml of cold lysis buffer(50mM Tris/HCl pH 7.5, 150mM NaCl, 1% NP40, 0.5% sodium deoxycholate, 0.1% SDS, 300ug/ml
DNAse, 0.1% TRITON X-100, ImM PMSF, lmM leupeptin, ImM pepstatin). The lysate was centrifuged (10,000 X g for 10 min. at 4°C) to remove debris and the soluble fraction was subjected to SDS PAGE, analysis (12% gel). Protein separated on the gel were transferred onto nitrocellulose membrane by electrophoretic means for 2 hours at 60 volts. The membrane was pretreated for one hour in PBS/0.1% Tween 20 with 5% non-fat dry milk. After washing 3 times in PBS/Tween buffer, the membrane was incubated with a 1 :2000 dilution of a monospecific antiserum to PGHS-2 or a 1:1000 dilution of an antiserum to PGHs-1 in PBS/Tween with 1% BSA for one hour with continuous shaking. The membrane was washed 3X in PBS/Tween and then incubated with a 1:3000 dilution of horseradish peroxidase conjugated donkey antiserum to rabbit Ig (Amersham) in PBS/Tween with 1% BSA for one hour with continuous shaking. The membrane was then washed 3X in PBS/Tween and the ECL immunodetection system (Amersham) was used to detect the level of expression of prostaglandin endoperoxide synthases-2. Results: The following compounds were tested and found to be active in this assay (i.e., inhibited LPS induced PGHS-2 protein expression in rank order potency similar to that for inhibiting cytokine production as noted in assays indicated): 6- (4-Fluoro-phenyl)-2,3-dihydro-5-(4-pyridinyl)imidazo[2, 1 -b]thiazole; and Dexamethasone
Several compounds were tested and found to be inactive (up to lOuM): 2-(4-Methylsulfinylphenyl)-3-(4-pyridyl)-6,7-dihydro-(5H)-pyrrolo[l,2- a]imidazole; rolipram ; phenidone and NDGA. None of these compounds tested were found to inhibit PGHS-1 or cPLA protein levels in similar experiments.
TNF-α in Traumatic Brain Injury Assay The present assay provides for examination of the expression of tumor necrosis factor mRNA in specific brain regions which follow experimentally induced lateral fluid-percussion traumatic brain injury (TBI) in rats. Adult Sprague- Dawley rats (n=42) are anesthetized with sodium pentobarbital (60 mg/kg, i.p.) and subjected to lateral fluid-percussion brain injury of moderate severity (2.4 atm.) centered over the left temporaparietal cortex (n=18), or "sham" treatment (anesthesia and surgery without injury, n=18). Animals are sacrificed by decapitation at 1 , 6 and 24 hr. post injury, brains removed, and tissue samples of left (injured) parietal cortex (LC), corresponding area in the contralateral right cortex (RC), cortex adjacent to injured parietal cortex (LA), corresponding adjacent area in the right cortex (RA), left hippocampus (LH) and right hippocampus (RH) are prepared. Total RNA is isolated and Northern blot hybridization is performed and quantitated relative to an TNF-a positive control RNA (macrophage = 100%). A marked increase of TNF- α mRNA expression is observed in LH (104±17% of positive control, p < 0.05 compared with sham), LC (105±21%, p< 0.05) and LA (69±8%, p < 0.01) in the traumatized hemisphere 1 hr. following injury. An increased TNF- mRNA expression is also observed in LH (46±8%, p < 0.05), LC (30±3%, p < 0.01) and LA (32±3%, p < 0.01) at 6 hr. which resolves by 24 hr. following injury. In the contralateral hemisphere, expression of TNF- mRNA is increased in RH (46±2%, p < 0.01), RC (4±3%) and RA (22±8%) at 1 hr. and in RH (28±11%), RC (7±5%) and RA (26±6%, p < 0.05) at 6 hr. but not at 24 hr. following injury. In sham (surgery without injury) or naive animals, no consistent changes in expression of TNF- α mRNA is observed in any of the 6 brain areas in either hemisphere at any times. These results indicate that following parasagittal fluid-percussion brain injury, the temporal expression of TNF- mRNA is altered in specific brain regions, including those of the non-traumatized hemisphere. Since TNF- α is able to induce nerve growth factor (NGF) and stimulate the release of other cytokines from activated astrocytes, this post-traumatic alteration in gene expression of TNF- plays an important role in both the acute and regenerative response to CNS trauma.
CNS Injury model for IL-β mRNA
This assay characterizes the regional expression of interleukin- lβ (IL-lβ) mRNA in specific brain regions following experimental lateral fluid-percussion traumatic brain injury (TBI) in rats. Adult Sprague-Dawley rats (n=42) are anesthetized with sodium pentobarbital (60 mg/kg, i.p.) and subjected to lateral fluid-percussion brain injury of moderate severity (2.4 atm.) centered over the left temporaparietal cortex (n=18), or "sham" treatment (anesthesia and surgery without injury). Animals are sacrificed at 1, 6 and 24 hr. post injury, brains removed, and tissue samples of left (injured) parietal cortex (LC), corresponding area in the contralateral right cortex (RC), cortex adjacent to injured parietal cortex (LA), corresponding adjacent area in the right cortex (RA), left hippocampus (LH) and right hippocampus (RH) were prepared. Total RNA is isolated and Northern blot hybridization is performed and the quantity of brain tissue IL-lβ mRNA is presented as percent relative radioactivity of IL-lβ positive macrophage RNA which is loaded on same gel. At 1 hr. following brain injury, a marked and significant increase in expression of IL-lβ mRNA is observed in LC (20.0±0.7% of positive control, n=6, p < 0.05 compared with sham animal), LH (24.5±0.9%, p < 0.05) and LA (21.5±3.1%, p < 0.05) in the injured hemisphere, which remained elevated up to 6 hr. post injury in the LC (4.0+0.4%, n=6, p < 0.05) and LH (5.0±1.3%, p < 0.05). In sham or naive animals, no expression of IL-lβ mRNA is observed in any of the respective brain areas. These results indicate that following TBI, the temporal expression of IL-lβ mRNA is regionally stimulated in specific brain regions. These regional changes in cytokines, such as IL-lβ play a role in the post-traumatic pathologic or regenerative sequelae of brain injury.
SYNTHETIC EXAMPLES The invention will now be described by reference to the following examples which are merely illustrative and are not to be construed as a limitation of the scope of the present invention. All temperatures are given in degrees centigrade, all solvents are highest available purity and all reactions run under anhydrous conditions in an argon atmosphere unless otherwise indicated. In the Examples, all temperatures are in degrees Centigrade (°C). Mass spectra were performed upon a VG Zab mass spectrometer using fast atom bombardment, unless otherwise indicated. 1H-NMR (hereinafter "NMR") spectra were recorded at 250 MHz using a Bruker AM 250 or Am 400 spectrometer. Multiplicities indicated are: s=singlet, d=doublet, t=triplet, q=quartet, m=multiplet and br indicates a broad signal. Sat. indicates a saturated solution, eq indicates the proportion of a molar equivalent of reagent relative to the principal reactant. Flash Chromatography is run over a Merck Silica gel 60 (230-400 mesh).
Example 1 1 -( 1 H-Indol-3-ylcarbonyl)-4-(benzyl)piperidine
Indole-3-carboxylic acid (402 mg, 2.5 mmol), 4-benzyl piperidine (875 mg, 5.0 mmol), triethylamine (696 uL, 5.0 mmol), and CH2C12 (10 mL), were combined, cooled to 4°C and SOCl2 (360 uL, 5.0 mmol) in CH2C1 (4 mL) was added dropwise. The resulting mixture was stirred at 23° for 40 min. diluted with CH2C12 (75 mL), washed with 5% aqueous Na2CO3 (20 mL), H2O (20 mL) and saturated aqueous NaCl (20 mL), dried (Na2SO4), filtered and the filtrate was filtered through a pad of flash silica in a sintered glass funnel with 0 - 2% CH3OH in CH2C12 to afford 683 mg (86%) as a white solid. ES+ MS m/z = 319 (MH+).
Example 2
1 -( 1 H-5-Methylindol-3-ylcarbonyl)-4-(benzyl)piperidine
5-Methylindole-3-carboxylic acid was prepared by the general method of
Katner (Katner, A.S. Organic Preparations and Procedures 1970, 2, 297 - 303.).
The title compound was prepared by the procedure of example 1 except using 5- methylindole-3-carboxylic acid. ES+ MS m/z = 333 (MH+). Example 3 l-(lH-5-Fluoroindol-3-ylcarbonyl)-4-(benzyl)piperidine
By the procedure of example 1 except using 5-fluoroindole-3-carboxylic acid afforded the title compound as a white solid. ES+ MS m/z = 337 (MH+).
Example 4 1 -( 1 H-5-Chloroindol-3-ylcarbonyl)-4-(benzyl)piperidine
By the procedure of example 1 except using 5-Chloroindole-3-carboxylic acid afforded the title compound as a white solid. ES+ MS m/z = 353 (MH+).
Example 5 l-(lH-5-Nitroindol-3-ylcarbonyl)-4-(benzyl)piperidine
By the procedure of example 1 except using 5-nitroindole-3-carboxylic acid afforded the title compound as a white solid. ES+ MS m/z = 365 (MH+).
Example 6 1 -( 1 H-Indol-3-ylcarbonyl)- piperidine
By the procedure of example 1 except using piperidine afforded the title compound as a white solid. ES+ MS m/z = 321 (MH+).
Example 7 1 -( 1 H-Indol-3-ylcarbonyl)-4-carboethoxypiperidine
By the procedure of example 1 except using ethyl isonicotinate afforded the title compound as a white solid. ES+ MS m/z = 321 (MH+).
Example 8 1 -( 1 H-Indol-3-ylcarbonyl)-4-(4-phenylmethylene)piperidine a) 1 -t-Butoxycarbonyl-4-Phenylmethylene piperidine
Benzyl triphenylphosphonium bromide (prepared by stirring PPI13 and excess benzyl bromide for 24h and filtering the product.) (2.0 g, 4.6 mmol) was added to a solution of the sodium salt of the dimsyl anion (ca 4.6 mmol) in DMSO (5 mL), stirred 10 min. and then l-BOC-4-piperidone (l.Olg, 5.09 mmol) in DMSO (5 mL) was added. Stirred at 23° for 6 h, poured into EtOAc (150 mL) and washed with H2O (4 x 50 mL) and saturated aqueous NaCl (50 mL, dried (Na2SO4) and concentrated, flash filtered through a pad of silica with hexane/EtOAc (1: 1 )to afford 0.69 g (55%). iH NMR (400 MHz, CDC13) 7.30 (m, 2), 7.20 (M, 3), 6.36 (s, 1),
3.50 (m,2), 3.40 (m,2), 2.45 (m,2), 2.33 (m,2), 1.47 (s,9). b) 1 -( 1 H-Indol-3-ylcarbonyl)-4-(4-phenylmethylene)piperidine
By the procedure of example 1 except using the product of example 8a afforded the title compound as a white solid. ES+ MS m/z = 317 (MH+).
Example 9 1 -( 1 H-Indol-3-ylcarbonyl)-4-ketopiperidine
4-Piperidone (This was obtained as the free base from the commercially available hydrochloride hydrate by suspending in CH2C12 and addition of 50% aqueous NaOH until > pH12 and repeated extraction with CH2C12.) (2.58g, 26.02 mmol), indole-3-carboxylic acid (4.19g, 26.02 mmol), diisopropylethylamine (995 mL, 57.2 mmol), and CH2C1 (200 mL) were combined and Bis(2-oxo-3- oxazolidinyl)phosphinic acid chloride (BOP-C1) (7.27 g, 57.2 mmol) were combined and stirred at 23o, under Ar for 2h. The resulting clear solution was diluted with CH2C12 (300 mL) and washed with 5% aqueous Na2CO3, H2O, satd aqueous NaCl, dried Na2SO4, and filtered through a pad of silica to afford a white solid. The product still had a non-UV absorbing highly polar impurity which could be removed by trituration in H2O for 16 h filtration and drying in vacuo to afford 4.83 g (68%). MS ES+ m/z = 243 (MH+).
Example 10 1 -( 1 H-Indol-3-ylcarbonyl)-4-ketopiperidine oxime
The product of the preceding example (100 mg, 0.36 mmol) was combined with hydroxylamine HCl (100 mg), EtOH (abs) (3 mL) and pyridine (0.3 mL) and the EtOH was refluxed 10 min., cooled and concentrated. The residue was triturated with H2O, filtered, and the solid was washed with H2O, dried in vacuo to afford 65 mg (70%). MS ES+ m/z = 258 (MH+).
Example 1 1
1 -( 1 H-Indol-3-ylcarbonyl)-4-( 1 ,3-dioxolane-2-yl)piperidine
The product of example 9 (91 mg, 0.33 mmol), toluene (10 mL), ethylene glycol (0.5 mL), and toluene sulfonic acid (20 mg), was heated to reflux with azeotropic removal of H2O for 1 h. The reaction was diluted with toluene (75 mL) and washed with 10% aqueous Na2CO3, H2O, and saturated aqueous NaCl. The toluene phase was filtered through a pad of silica with 0 - 4% CH3OH in CH2C12. Concentration afforded an oil which was dissolved in Et2O and precipitated within 5 min. to afford 35 mg ( 37%) of a pink powder. MS ES+ m/z = 287 (MH+).
Example 12 l-(lH-Indol-3-ylcarbonyl)-4-aminopiperidine hydrochloride
The product of example 10 (52 mg, 20 mmol), EtOH (30 mL), and washed Raney Hi (Aldrich) were shaken at 50 psi H2 for 4 h. Filtered and the foltrate was concentrated to ca 10 ml. 1 N HCl in Et2O was added and then Et2O was added. The resulting solid was filtered and dried in vacuo to afford 14 mg. MS ES+ m/z = 244 (MH+).
Example 13 l-(lH-Indol-3-ylcarbonyl)-4-hydroxypiperidine
The product of example 10 (101 mg, 0.41 mmol), MeOH (3 mL), and a ca 1 M solution of NaBH4 (consisting of NaBH4 (lOOmg, 2.5 mmol), 25% methanolic NaOMe (0.2 mL), and enough MeOH to dilute the solution to a total volume of 2.5 mL) ( 1 mL, 1 mmol) were combined and stirred 2 h. MeOH was removed in vacuo and the residue was triturated with H2O, filtered and dried in vacuo to afford 88 mg (88%) of a white powder. MS ES+ m/z = 245 (MH+).
Example 14 1 -( 1 H-IndoI-3-ylcarbonyl)-4-anilinylpiperidine
The product of example 10 (121 mg, 0.50 mmol), CH2C12, (4 mL), aniline (93 uL, ca 1.0 mmol), HO Ac (180 uL, ca 3 mmol) and some 4A molecular sieves were combined and NaBH(OAc)3 (318 mg, 1.5 mmol) was added and the mixture was stirred 45 min., poured into saturated aqueous NaHCO3, (20 mL), and extracted with EtOAc (3x). The combined extracts were dried (Na2SO4), filtered concentrated and flash chromatographed (0 - 2%) MeOH in CH2C12 to afford 114 mg (71%).
Example 15 1 -( lH-Indol-3-ylcarbonyl)-4-(4,5-benzo- 1 ,3-dioxolane-2-yl)piperidine The title compound was prepared according to the general method of Example 1 1 using catechol as the diol. Purification by flash chromatography (0 - 2% MeOH in CH2C12). MS ES+ m/z = 245 (MH+). Example 16 1 -( 1 H-Indol-3-ylcarbonyl)-4-phenoxypiperidine
The product of example 13 (80 mg, 0.33 mmol), phenol (31 mg, 0.33 mmol), diethylazo dicarboxylate (58 mg, 0.33 mmol) and dry THF (5 mL) were combined in a dry flask under Ar, stirred 18 h, diluted with Et2O and filtered through a glass fiber filter. The filtrate was concentrated in vacuo and flash chromatographed (0 - 2% MeOH in CH2C12) to afford 25 mg (24%). MS ES+ m/z = 321 (MH+).
Example 17
1 -(T H-Indol-3-ylcarbonyl)-3-benzylpiperidine a) 1 -Benzyl-3-Phenylmethylene piperidine
1-Benzyl 3-piperidone (l.Olg, 5.09 mmol) was reacted by the procedure of example 8(a) to afford the title compound of a brown oil (41 %). MS ES+ m z = 264. b) 3-Benzyl piperidine.
The product of the preceding example (649 mg, 2.47 mmol), Pd(OH)2, (250 mg) and MeOH (60 mL) was stirred under H2 ( 1 atm) for 2 h, filtered through celite, and the filtrate was acidified with 1 M etherial HCl, (4 mL). concentrated to an oil which was shaken with Et2O and separated. The oil was layered with more Et2O and made basic by addition of 10% aqueous NaOH. The Et2O was separated and washed with saturated aqueous NaCl, dried (Na2SO4), and concentrated to afford a yellow oil (382 mg, 88%). MS ES+ m/z = 176. c) 1 -( 1 H-Indol-3-ylcarbonyl)-3-benzylpiperidine By the procedure of example 1 except using the product of the preceding example afforded the title compound as a white solid. ES+ MS m/z = 319 (MH+).
Example 18 1 -( 1 H-Indol-3-ylcarbonyl)-4-benzyl-4-hydroxypiperidine BnMgBr (Aldrich, 2M in THF) (2 mL, 4.0 mmol) was diluted with dry THF
(2 mL), cooled to 5° and the product of example 9(242 mmol, 1.0 mmol) suspended in THF (5 mL) was added dropwise. The resulting mixture was stirred at 23o for 5 min., combined with EtOAc (75 mL) and 1.5 M HCl, (25 mL), the phases were separated and the aqueous was extracted once more with EtOAc. The combined organic phases were washed with saturated aqueous NaCl, dried (Na2SO4), concentrated, filtered and triturated with Et2O to afford 170 mg(51%) of a white solid. ES+ MS m/z = 335 (MH+).
Example 19 1 -( 1 H-Indol-3-ylcarbonyl)-4-(4-fluorobenzoyl)piperidine
4-(4-fluorobenzoyl)piperidine was reacted by the procedure of example 9 to afford the title compound (94%). ES+ MS m/z = 351 (MH+).
Example 20 1 -( 1 H-Indol-3-ylcarbonyl)-4-(4-fluorobenzoyl-oxime)piperidine
The product of the preceding example was converted to the title compound by the method of example 10. ES+ MS m/z = 366 (MH+).
Example 21 1 -( 1 H-Indol-3-ylcarbonyl)-4-(4-fluorobenzoyl-oxime)piperidine
The product of the preceding example was converted to the title compound by the method of example 13. ES+ MS m/z = 353 (MH+).
Example 22 1 -( 1 H-Indol-3-ylcarbonyl)-4-( 1 -hydroxyethyDpiperidine
4-(l-hydroxyethyl) piperidine was converted to the title compound by the method of example 9. ES+ MS m/z = 273 (MH+).
Example 23 1 -( 1 H-Indol-3-ylcarbonyl)-4-acetylpiperidine
4-acetyl piperidine was converted to the title compound by the method of example 9. ES+ MS m z = 271 (MH+).
Example 24 1 -( 1 H-Indol-3-ylcarbonyl)-4-acetyl-4-phenylpiperidine
4-acetyl-4-phenylpiperidine was converted to the title compound by the method of example 9. ES+ MS m/z = 347 (MH+). Example 25 l-(lH-4-Methoxyindol-3-ylcarbonyl)-4-(benzyl)piperidine
4-Methoxyindole-3-carboxylic acid was prepared by the general method of Katner (Katner, A.S. Organic Preparations and Procedures 1970, 2, 297 - 303.). The title compound was prepared by the procedure of example 9 except using 4- Methoxyindole-3-carboxylic acid. ES+ MS m/z = 333 (MH+).
Example 26 1 -( 1 H-7-Methylindol-3-ylcarbonyl)-4-(benzyl)piperidine 7-Methylindole-3-carboxylic acid was prepared by the general method of
Katner (Katner, A.S. Organic Preparations and Procedures 1970, 2, 297 - 303.). The title compound was prepared by the procedure of example 9 except using 7- Methylindole-3-carboxylic acid. ES+ MS m z = 333 (MH+).
Example 27
1 -( 1 H-5-Methoxyindol-3-ylcarbonyl)-4-(benzyl)piperidine
5-Methoxyindole-3-carboxylic acid was prepared by the general method of
Katner (Katner, A.S. Organic Preparations and Procedures 1970, 2, 297 - 303.).
The title compound was prepared by the procedure of example 9 except using 5- Methoxyindole-3-carboxylic acid. ES+ MS m/z = 333 (MH+).
Example 28
1 -( 1 H-7-Methoxyindol-3-ylcarbonyl -4-(benzyl)piperidine
7-Methoxyindole-3-carboxylic acid was prepared by the general method of Katner (Katner, A.S. Organic Preparations and Procedures 1970, 2, 297 - 303.). The title compound was prepared by the procedure of example 9 except using 7- Methoxyindole-3-carboxylic acid. ES+ MS m/z = 333 (MH+).
Example 29 1 -( 1 H-Indol-3-ylcarbonyl)-4-(4-fluorobenzyl)piperidine a) 4-(4-fluorobenzyl)piperidine
To a solution of 4-(4-fluorobenzoyl) piperidine (0.22 g, 1.06 mmol), and TFA (12.5 mL) was added triethylsilane (1.4 mL, 8.5 mmol) and the resulting solution was stirred for 3 days, concentrated, and the residual oil was dissolved in Et2O (20 mL) and extracted with 3N HCl (3x). The HCl phase was washed once with Et2O and made basic with 30% aqueous NaOH (pH > 10). Extraction with Et2O, drying (Na2SO4), and concentration afforded the title compound as a yellow oil (43mg, 21%). ES+ MS m/z = 194 (MH+). b) 1 -( 1 H-Indol-3-ylcarbonyl)-4-(4-fluorobenzyl)piperidine
The title compound was prepared by the procedure of example 9 except using the product of the preceding example. ES+ MS m/z = 337 (MH+).
Example 30 l-(lH-6-Methylindol-3-ylcarbonyl)-4-(benzyl)piperidine
6-Methylindole-3-carboxylic acid was prepared by the general method of Katner (Katner, A.S. Organic Preparations and Procedures 1970, 2, 297 - 303.). The title compound was prepared by the procedure of example 9 except using 6- Methylindole-3-carboxylic acid. ES+ MS m/z = 333 (MH+).
Example 31 l-(lH-7-Benzylox.yindol-3-ylcarbonyl)-4-(benzyl)piperidine 7-Benzylindol-3-carboxylic acid was prepared by the general method of Katner (Katner, A.S. Organic Preparations and Procedures 1970, 2, 297 - 303.). The title compound was prepared by the procedure of example 9 except using 7-Benzylindol- 3-carboxylic acid. ES+ MS m/z = 325 (MH+).
All publications, including but not limited to patents and patent applications, cited in this specification are herein incorporated by reference as if each individual publication were specifically and individually indicated to be incorporated by reference herein as though fully set forth.
The above description fully discloses the invention including preferred embodiments thereof. Modifications and improvements of the embodiments specifically disclosed herein are within the scope of the following claims. Without further elaboration, it is believed that one skilled in the art can, using the preceding description, utilize the present invention to its fullest extent. Therefore the Examples herein are to be construed as merely illustrative and not a limitation of the scope of the present invention in any way. The embodiments of the invention in which an exclusive property or privilege is claimed are defined as follows.

Claims

WHAT IS CLAIMED IS:
A compound of the formula (I) or (II):
Figure imgf000037_0001
wherein
R\ is hydrogen, alkyl, alkoxy, aryl, arylalkyl, heteroaryl, heteroarylalkyl, aryloxy, heteroaryloxy, nitro, amino, cyano, carboxy, carboxyalkoxy, carboxamido, or halogen, wherein the aryl, arylalkyl, heteroaryl, heteroarylalkyl, heteroaryloxy, or aryloxy moieties may be optionally substituted; R2 is C(O) R3, C(O)OR3, -O-(CH2)sO-, =N(OR4), C _ alkyl(=N(OR4))-R5, =O, amino, hydroxy, heterocyclic, aryl, heteroaryl, arylalkyl, heteroarylalkyl, arylalkenyl, alkenyl, optionally substituted alkyl, cycloalkyl, or cycloalkyl alkyl, and wherein all of these moieties may be optionally substituted; n is an integer having a value of 1 or 2;
R3 is optionally substituted alkyl, or optionally substituted aryl; R4 is a hydrogen, a pharmaceutically acceptable cation, Ci-io alkyl, C3.7 cycloalkyl, aryl, arylCi-4 alkyl, heteroaryl, heteroaryl i-4alkyl, heterocyclyl, aroyl, or Ci-4 alkanoyl; and
R5 is optionally substituted alkyl, or optionally substituted aryl; or pharmaceutically acceptable salt thereof.
2. The compound according to Claim 1 wherein Ri is hydrogen, halogen, methyl, phenyl, benzyloxy, nitro, or amino.
3. The compound according to Claim 3 wherein R\ is fluorine, chlorine, methyl, or methoxy.
4. The compound according to Claim 1 wherein R2 is optionally substituted benzyl, optionally substituted phenyl, C(O)alkyl, C(O)aryl, C(O)Oalkyl, =NOH, or phenylmethylene .
5. The compound according to Claim 1 which is Formula (I).
6. The compound according to Claim 1 which is Formula (II).
7. The compound according to Claim 1 which is:
1 lH-Indol-3-ylcarbonyl)-4-(benzyl)piperidine;
1- lH-5-Methylindol-3-ylcarbonyl)-4-(benzyl)piperidine;
1- lH-5-Fluoroindol-3-ylcarbonyl)-4-(benzyl)piperidine; l -i lH-5-Chloroindol-3-ylcarbonyl)-4-(benzyl)piperidine;
1- lH-5-Nitroindol-3-ylcarbonyl)-4-(benzyl)piperidine; 1- lH-Indol-3-ylcarbonyl)- piperidine; 1- lH-Indol-3-ylcarbonyl)-4-carboethoxypiperidine; 1- lH-Indol-3-ylcarbonyl)-4-(4-phenylmethylene)piperidine; 1- lH-Indol-3-ylcarbonyl)-4-ketopiperidine; 1- lH-Indol-3-ylcarbonyl)-4-ketopiperidine oxime; 1- lH-Indol-3-ylcarbonyl)-4-(l,3-dioxolane-2-yl)piperidine; 1- lH-Indol-3-ylcarbonyl)-4-aminopiperidine hydrochloride; 1- lH-Indol-3-ylcarbonyl)-4-hydroxypiperidine; 1- lH-Indol-3-ylcarbonyl)-4-anilinylpiperidine; 1- 1 H-Indol-3-ylcarbonyl)-4-(4,5-benzo- 1 ,3-dioxolane-2-yl)piperidine; 1- lH-Indol-3-ylcarbonyl)-4-phenoxypiperidine; 1- lH-Indol-3-ylcarbonyl)-3-benzylpiperidine; l -i 1 H-Indol-3 -ylcarbonyl)-4-benzyl-4-hydroxypiperidine ;
1- lH-Indol-3-ylcarbonyl)-4-(4-fluorobenzoyl)piperidine; 1 lH-Indol-3-ylcarbonyl)-4-(4-fluorobenzoyl-oxime)piperidine; l -i lH-Indol-3-ylcarbonyl)-4-(4-fluorobenzoyl-oxime)piperidine;
1- lH-Indol-3-ylcarbonyl)-4-(l-hydroxyethyl)piperidine; 1- lH-Indol-3-ylcarbonyl)-4-acetylpiperidine; 1- lH-Indol-3-ylcarbonyl)-4-acetyl-4-phenylpiperidine; 1 -( 1 H-4-Methoxyindol-3-ylcarbonyl)-4-(benzyl)piperidine; l-(lH-7-Methylindol-3-ylcarbonyl)-4-(benzyl)piperidine; l-(lH-5-Methoxyindol-3-ylcarbonyl)-4-(benzyl)piperidine;
1 -( 1 H-7-Methoxyindol-3-ylcarbonyl)-4-(benzyl)piperidine; 1 -( 1 H-Indol-3-ylcarbonyl)-4-(4-fluorobenzyl)piperidine; l-(lH-6-Methylindol-3-ylcarbonyl)-4-(benzyl)piperidine;
1 -( 1 H-7-Benzylindol-3-ylcarbonyl)-4-(benzyl)piperidine; 1 -( 1 H-7-Benzyloxyindol-3-ylcarbonyl)-4-(benzyl)piperidine; l-(lH-6-Methylindol-3-ylcarbonyl)-4-(benzyl)piperidine; l-(lH-Indol-3-ylcarbonyl)-4-(4-fluorobenzyl)piperidine; or a pharmaceutically acceptable salt thereof.
8. A pharmaceutical composition comprising a compound according to any of Claims 1 to 7 and a pharmaceutically acceptable carrier or diluent.
9. A method of treating a CSBP/RK/p38 kinase mediated disease, in a mammal in need thereof, which comprises administering to said mammal an effective amount of a compound of Formula (I) according to any of Claims 1 to 5.
10. The method according to claim 9 wherein the mammal is afflicted with a CSBP/RK/p38 kinase mediated disease which is psoriatic arthritis, Reiter's syndrome, rheumatoid arthritis, gout, traumatic arthritis, rubella arthritis and acute synovitis, rheumatoid arthritis, rheumatoid spondylitis, osteoarthritis, gouty arthritis and other arthritic condition, sepsis, septic shock, endotoxic shock, gram negative sepsis, toxic shock syndrome, Alzheimer's disease, stroke, neurotrauma, asthma, adult respiratory distress syndrome, cerebral malaria, chronic pulmonary inflammatory disease, silicosis, pulmonary sarcososis, bone resorption disease, osteoporosis, restenosis, cardiac and renal reperfusion injury, thrombosis, glomerularonephritis, diabetes, graft vs. host reaction, allograft rejection, inflammatory bowel disease, Crohn's disease, ulcerative colitis, multiple sclerosis, muscle degeneration, eczema, contact dermititis, psoriasis, sunburn, and conjunctivitis.
11. The method according to Claim 10 wherein disease is asthma, osteoporosis, or arthritis.
12. A method of treating inflammation in a mammal in need thereof, which comprises administering to said mammal an effective amount of a compound of Formula (I) according to any of Claims 1 to 5.
13. A method of treating osteoporosis in a mammal in need thereof, which comprises administering to said mammal an effective amount of a compound of Formula (I) according to any of Claims 1 to 5.
14. A method of inhibiting the synthesis of prostaglandin endoperoxide synthase-2 (PGHS-2) in a mammal in need thereof, which comprises administering to said mammal an effective amount of a compound of Formula (I) according to any of Claims 1 to 5.
15. The method according to Claim 14 wherein inhibition of PGHS-2 is used in the prophylaxis or therapeutic treatment of edema, fever, algesia, neuromuscular pain, headache, cancer pain, or arthritic pain.
16. A method of treating a CSBP/RK/p38 kinase mediated disease, in a mammal in need thereof, which comprises administering to said mammal an effective amount of a compound of Formula (II) according to any of Claims 1 to 4.
17. The method according to Claim 16 wherein the mammal is afflicted with a CSBP/RK/p38 kinase mediated disease which is psoriatic arthritis, Reiter's syndrome, rheumatoid arthritis, gout, traumatic arthritis, rubella arthritis and acute synovitis, rheumatoid arthritis, rheumatoid spondylitis, osteoarthritis, gouty arthritis and other arthritic condition, sepsis, septic shock, endotoxic shock, gram negative sepsis, toxic shock syndrome, Alzheimer's disease, stroke, neurotrauma, asthma, adult respiratory distress syndrome, cerebral malaria, chronic pulmonary inflammatory disease, silicosis, pulmonary sarcososis, bone resorption disease, osteoporosis, restenosis, cardiac and renal reperfusion injury, thrombosis, glomerularonephritis, diabetes, graft vs. host reaction, allograft rejection, inflammatory bowel disease, Crohn's disease, ulcerative colitis, multiple sclerosis, muscle degeneration, eczema, contact dermititis, psoriasis, sunburn, and conjunctivitis.
18. The method according to Claim 17 wherein disease is asthma, osteoporosis, or arthritis.
19. A method of treating inflammation in a mammal in need thereof, which comprises administering to said mammal an effective amount of a compound of
Formula (II) according to any of Claims 1 to 4.
20. A method of treating osteoporosis in a mammal in need thereof, which comprises administering to said mammal an effective amount of a compound of Formula (II) according to any of Claims 1 to 4.
21. A method of inhibiting the synthesis of prostaglandin endoperoxide synthase-2 (PGHS-2) in a mammal in need thereof, which comprises administering to said mammal an effective amount of a compound of Formula (II) according to any of Claims 1 to 4.
PCT/US1997/0236381996-12-231997-12-19Novel piperidine containing compoundsWO1998028292A1 (en)

Priority Applications (2)

Application NumberPriority DateFiling DateTitle
JP52901398AJP2002515891A (en)1997-12-191997-12-19 New piperidine-containing compounds
PCT/US1997/023638WO1998028292A1 (en)1996-12-231997-12-19Novel piperidine containing compounds

Applications Claiming Priority (2)

Application NumberPriority DateFiling DateTitle
PCT/US1997/023638WO1998028292A1 (en)1996-12-231997-12-19Novel piperidine containing compounds
USNOTFURNISHED2002-02-28

Publications (1)

Publication NumberPublication Date
WO1998028292A1true WO1998028292A1 (en)1998-07-02

Family

ID=22262345

Family Applications (1)

Application NumberTitlePriority DateFiling Date
PCT/US1997/023638WO1998028292A1 (en)1996-12-231997-12-19Novel piperidine containing compounds

Country Status (2)

CountryLink
JP (1)JP2002515891A (en)
WO (1)WO1998028292A1 (en)

Cited By (58)

* Cited by examiner, † Cited by third party
Publication numberPriority datePublication dateAssigneeTitle
WO1999061426A1 (en)*1998-05-221999-12-02Scios Inc.Heterocyclic compounds and methods to treat cardiac failure and other disorders
WO2000012074A3 (en)*1998-08-282000-08-31Scios IncUse of piperidines and/or piperazines as inhibitors of p38-alpha kinase
US6130235A (en)*1998-05-222000-10-10Scios Inc.Compounds and methods to treat cardiac failure and other disorders
WO2000071535A1 (en)*1999-05-212000-11-30Scios Inc.INDOLE-TYPE DERIVATIVES AS INHIBITORS OF p38 KINASE
EP1064940A1 (en)*1999-07-022001-01-03Universitair Medisch Centrum UtrechtAntiviral therapy
WO2001001985A1 (en)*1999-07-022001-01-11Universitair Medisch Centrum UtrechtAntiviral therapy
WO2000059904A3 (en)*1999-03-242001-01-11Scios IncCompounds and methods to treat cardiac failure and other disorders
WO2001068086A1 (en)*2000-03-172001-09-20Universiteit UtrechtAntiviral therapy
WO2000035436A3 (en)*1998-12-162001-10-18Warner Lambert CoTreatment of arthritis with mek inhibitors
US6333339B1 (en)*1997-06-182001-12-25Merck Patent Gellschaft Mit Beschrankter3-Benzylpiperidine
US6340685B1 (en)1998-05-222002-01-22Scios, Inc.Compounds and methods to treat cardiac failure and other disorders
US6362193B1 (en)1997-10-082002-03-26Smithkline Beecham CorporationCycloalkenyl substituted compounds
WO2001064676A3 (en)*2000-02-282002-03-28Scios IncINHIBITORS OF p38-α KINASE
EP1156045A4 (en)*1999-01-282002-04-17Nippon Shinyaku Co LtdAmide derivatives and drug compositions
US6448257B1 (en)1998-05-222002-09-10Scios, Inc.Compounds and methods to treat cardiac failure and other disorders
US6541477B2 (en)1999-08-272003-04-01Scios, Inc.Inhibitors of p38-a kinase
US6548503B1 (en)1998-11-042003-04-15Smithkline Beecham CorporationPyridin-4-yl or pyrimidin-4-yl substituted pyrazines
EP1233951A4 (en)*1999-11-232003-05-21Smithkline Beecham Corp3,4-dihydro-(1h)quinazolin-2-one compounds as csbp/p38 kinase inhibitors
WO2003043988A1 (en)*2001-11-222003-05-30Ono Pharmaceutical Co., Ltd.Piperidin-2-one derivative compounds and drugs containing these compounds as the active ingredient
US6599910B1 (en)1998-08-202003-07-29Smithkline Beecham CorporationSubstituted triazole compounds
JP2004502642A (en)*2000-02-112004-01-29ブリストル−マイヤーズ スクイブ カンパニー Cannabinoid receptor modulators, methods for their production, and use of cannabinoid receptor modulators for the treatment of respiratory and non-respiratory diseases
WO2004033427A1 (en)*2002-10-112004-04-22Astrazeneca Ab1,4-disubstituted piperidine derivatives and their use as 11-betahsd1 inhibitors
US6730683B2 (en)1997-12-192004-05-04Smithkline Beecham CorporationCompounds of heteroaryl substituted imidazole, their pharmaceutical compositions and uses
US6759410B1 (en)1999-11-232004-07-06Smithline Beecham Corporation3,4-dihydro-(1H)-quinazolin-2-ones and their use as CSBP/p38 kinase inhibitors
US6774127B2 (en)1997-06-132004-08-10Smithkline Beecham CorporationPyrazole and pyrazoline substituted compounds
US6787573B2 (en)1999-07-022004-09-07Universiteit UtrechtAntiviral therapy
WO2004043337A3 (en)*2002-05-282004-11-11Bristol Myers Squibb CoIndole, azaindole and related heterocyclic 4-alkenyl piperidine amides
US6858617B2 (en)1998-05-262005-02-22Smithkline Beecham CorporationSubstituted imidazole compounds
US6864260B2 (en)1999-09-172005-03-08Scios, Inc.Indole-type derivatives as inhibitors of p38 kinase
US6867209B1 (en)1998-05-222005-03-15Scios, Inc.Indole-type derivatives as inhibitors of p38 kinase
US6982270B1 (en)1999-11-232006-01-03Smithkline Beecham Corporation3,4-dihydro-(1H)quinazolin-2-one compounds as CSBP/p38 kinase inhibitors
RU2278115C2 (en)*1999-05-212006-06-20Сайос Инк.DERIVATIVES OF INDOLE ORDER AS p38 KINASE INHIBITORS
EP1707205A2 (en)2002-07-092006-10-04Boehringer Ingelheim Pharma GmbH & Co. KGPharmaceutical compositions of anticholinergics and p38 kinase inhibitors in the treatment of respiratory diseases
EP1453515A4 (en)*2001-11-092006-11-29Scios IncMethod to treat cystic fibrosis
EP1572668A4 (en)*2002-12-182006-12-06Fmc CorpN-(substituted arylmethyl)-4-(disubstituted methyl)piperidines and piperazines
WO2007039438A1 (en)*2005-09-282007-04-12F. Hoffmann-La Roche AgIndol-3-yl-carbonyl-azaspiro derivatives as vasopressin receptor antagonists
WO2007110243A1 (en)*2006-03-292007-10-04G.I.M.-Gesellschaft Für Innovative Medizin G.M.B.H. Nfg OhgMedicament, cosmetic or food product comprising an indol compound, the use thereof and the method of isolation thereof from sauerkraut
US7348337B2 (en)2002-05-282008-03-25Bristol-Myers Squibb CompanyIndole, azaindole and related heterocyclic 4-alkenyl piperidine amides
WO2008142031A1 (en)2007-05-182008-11-27Institut CurieP38alpha as a therapeutic target in bladder carcinoma
EP2116245A2 (en)2004-08-072009-11-11Boehringer Ingelheim International GmbHEGFR kinase inhibitor combinations for treating respiratory and gastrointestinal disorders
US7781436B2 (en)*2005-07-292010-08-24Hoffmann-La Roche Inc.Indol-3-y-carbonyl-piperidin and piperazin-derivatives
US7790738B2 (en)2000-07-202010-09-07Lauras AsMethods of treating and preventing AIDS using of COX-2 inhibitors
US7807676B2 (en)2006-04-252010-10-05Bristol-Myers Squibb CompanyDiketo-Piperazine and Piperidine derivatives as antiviral agents
US7829711B2 (en)2004-11-092010-11-09Bristol-Myers Squibb CompanyCrystalline materials of 1-(4-benzoyl-piperazin-1-yl)-2-[4-methoxy-7-(3-methyl-[1,2,4]triazol-1-yl)-1H-pyrrolo[2,3-C]pyridine-3-yl]-ethane-1,2-dione
US7851476B2 (en)2005-12-142010-12-14Bristol-Myers Squibb CompanyCrystalline forms of 1-benzoyl-4-[2-[4-methoxy-7-(3-methyl-1H-1,2,4-triazol-1-YL)-1-[(phosphonooxy)methyl]-1H-pyrrolo[2,3-C]pyridin-3-YL]-1,2-dioxoethyl]-piperazine
WO2011106334A1 (en)*2010-02-242011-09-01SanofiTreatment of dermatological allergic conditions
EP2384751A1 (en)2004-12-242011-11-09Boehringer Ingelheim International GmbhMedicaments for the treatment or prevention of fibrotic diseases
US8063071B2 (en)2007-10-312011-11-22GlaxoSmithKline, LLCChemical compounds
US8071584B2 (en)2007-03-232011-12-06Glaxosmithkline LlcIndole carboxamides as IKK2 inhibitors
US8354539B2 (en)2009-03-102013-01-15Glaxo Group LimitedIndole derivatives as IKK2 inhibitors
US8501780B2 (en)2004-06-242013-08-06Glaxosmithkline LlcIndazole carboxamides and their use
US8513422B2 (en)2007-08-312013-08-20Astellas Pharma Inc.Piperidine derivative
US8889730B2 (en)2012-04-102014-11-18Pfizer Inc.Indole and indazole compounds that activate AMPK
US9394285B2 (en)2013-03-152016-07-19Pfizer Inc.Indole and indazole compounds that activate AMPK
CN108815167A (en)*2017-05-242018-11-16四川晶华生物科技有限公司A kind of purposes of noval chemical compound in the drug of preparation treatment tumour
US10342786B2 (en)2017-10-052019-07-09Fulcrum Therapeutics, Inc.P38 kinase inhibitors reduce DUX4 and downstream gene expression for the treatment of FSHD
US11291659B2 (en)2017-10-052022-04-05Fulcrum Therapeutics, Inc.P38 kinase inhibitors reduce DUX4 and downstream gene expression for the treatment of FSHD
WO2022195579A1 (en)2021-03-152022-09-22Saul YedgarHyaluronic acid-conjugated dipalmitoyl phosphatidyl ethanolamine in combination with non-steroidal anti-inflammatory drugs (nsaids) for treating or alleviating inflammatory diseases

Families Citing this family (3)

* Cited by examiner, † Cited by third party
Publication numberPriority datePublication dateAssigneeTitle
WO2004101529A1 (en)*2003-05-192004-11-25Ono Pharmaceutical Co., Ltd.Nitrogenous heterocyclic compound and medical use thereof
DE102005016634A1 (en)*2005-04-122006-10-19Merck Patent Gmbh Novel aza heterocycles as kinase inhibitors
JP2012211085A (en)*2009-08-122012-11-01Kyowa Hakko Kirin Co LtdHedgehog signal inhibitor

Citations (2)

* Cited by examiner, † Cited by third party
Publication numberPriority datePublication dateAssigneeTitle
US5559127A (en)*1992-10-141996-09-24Merck & Co., Inc.Fibrinogen receptor antagonists
US5726187A (en)*1992-10-161998-03-10Smithkline Beecham PlcN-alkylpiperidinyl-4-methyl carboxylic esters/amides of condensed ring systems as 5-HT4 receptor antagonists

Patent Citations (2)

* Cited by examiner, † Cited by third party
Publication numberPriority datePublication dateAssigneeTitle
US5559127A (en)*1992-10-141996-09-24Merck & Co., Inc.Fibrinogen receptor antagonists
US5726187A (en)*1992-10-161998-03-10Smithkline Beecham PlcN-alkylpiperidinyl-4-methyl carboxylic esters/amides of condensed ring systems as 5-HT4 receptor antagonists

Non-Patent Citations (2)

* Cited by examiner, † Cited by third party
Title
CHEMICAL ABSTRACTS, Volume 112, 1989, WARD TERENCE JAMES, "Preparation of Piperidine Derivatives as Anti-Ulcer Agents", No. 178686.*
CHEMICAL ABSTRACTS, Volume 116, 1991, YANAI MAKOTO et al., "Preparation and Formulation of Indolecarboxamide Derivatives as Central Nervous Agents", No. 41299.*

Cited By (91)

* Cited by examiner, † Cited by third party
Publication numberPriority datePublication dateAssigneeTitle
US6774127B2 (en)1997-06-132004-08-10Smithkline Beecham CorporationPyrazole and pyrazoline substituted compounds
US6333339B1 (en)*1997-06-182001-12-25Merck Patent Gellschaft Mit Beschrankter3-Benzylpiperidine
US6362193B1 (en)1997-10-082002-03-26Smithkline Beecham CorporationCycloalkenyl substituted compounds
US6730683B2 (en)1997-12-192004-05-04Smithkline Beecham CorporationCompounds of heteroaryl substituted imidazole, their pharmaceutical compositions and uses
US6130235A (en)*1998-05-222000-10-10Scios Inc.Compounds and methods to treat cardiac failure and other disorders
KR100605140B1 (en)*1998-05-222006-07-28싸이오스 인크 Heterocyclic compounds for the treatment of heart disease and other diseases and methods of treating the same
WO1999061426A1 (en)*1998-05-221999-12-02Scios Inc.Heterocyclic compounds and methods to treat cardiac failure and other disorders
US7189739B2 (en)1998-05-222007-03-13Scios, Inc.Compounds and methods to treat cardiac failure and other disorders
US6448257B1 (en)1998-05-222002-09-10Scios, Inc.Compounds and methods to treat cardiac failure and other disorders
US6867209B1 (en)1998-05-222005-03-15Scios, Inc.Indole-type derivatives as inhibitors of p38 kinase
US6340685B1 (en)1998-05-222002-01-22Scios, Inc.Compounds and methods to treat cardiac failure and other disorders
US6858617B2 (en)1998-05-262005-02-22Smithkline Beecham CorporationSubstituted imidazole compounds
US7223760B2 (en)1998-08-202007-05-29Smithkline Beecham CorporationSubstituted triazole compounds
US6599910B1 (en)1998-08-202003-07-29Smithkline Beecham CorporationSubstituted triazole compounds
AU772477B2 (en)*1998-08-282004-04-29Scios Inc.Inhibitors of p38-alpha kinase
US6410540B1 (en)1998-08-282002-06-25Scios, Inc.Inhibitors of p38-αkinase
WO2000012074A3 (en)*1998-08-282000-08-31Scios IncUse of piperidines and/or piperazines as inhibitors of p38-alpha kinase
US6861417B2 (en)1998-11-042005-03-01Smithkline Beecham CorporationPyridin-4-YL or pyrimidin-4-YL substituted pyrazines
US6548503B1 (en)1998-11-042003-04-15Smithkline Beecham CorporationPyridin-4-yl or pyrimidin-4-yl substituted pyrazines
AU776788C (en)*1998-12-162005-10-27Warner-Lambert CompanyTreatment of arthritis with MEK inhibitors
WO2000035436A3 (en)*1998-12-162001-10-18Warner Lambert CoTreatment of arthritis with mek inhibitors
AU776788B2 (en)*1998-12-162004-09-23Warner-Lambert CompanyTreatment of arthritis with MEK inhibitors
EP1156045A4 (en)*1999-01-282002-04-17Nippon Shinyaku Co LtdAmide derivatives and drug compositions
WO2000059904A3 (en)*1999-03-242001-01-11Scios IncCompounds and methods to treat cardiac failure and other disorders
WO2000071535A1 (en)*1999-05-212000-11-30Scios Inc.INDOLE-TYPE DERIVATIVES AS INHIBITORS OF p38 KINASE
CN1310906C (en)*1999-05-212007-04-18肖斯公司Indole-type derivatives as inhibitors of p38 kinase
RU2278115C2 (en)*1999-05-212006-06-20Сайос Инк.DERIVATIVES OF INDOLE ORDER AS p38 KINASE INHIBITORS
US6787573B2 (en)1999-07-022004-09-07Universiteit UtrechtAntiviral therapy
WO2001001985A1 (en)*1999-07-022001-01-11Universitair Medisch Centrum UtrechtAntiviral therapy
EP1064940A1 (en)*1999-07-022001-01-03Universitair Medisch Centrum UtrechtAntiviral therapy
US6541477B2 (en)1999-08-272003-04-01Scios, Inc.Inhibitors of p38-a kinase
US7189726B2 (en)1999-09-172007-03-13Scios, Inc.Benzofuran derivatives as inhibitors of p38-α kinase
US6864260B2 (en)1999-09-172005-03-08Scios, Inc.Indole-type derivatives as inhibitors of p38 kinase
US7238712B2 (en)1999-09-172007-07-03Scios, Inc.Indole-type derivatives as inhibitors of p38 kinase
US7304048B2 (en)1999-09-172007-12-04Scios, Inc.Indole-type derivatives as inhibitors of p38 kinase
US6759410B1 (en)1999-11-232004-07-06Smithline Beecham Corporation3,4-dihydro-(1H)-quinazolin-2-ones and their use as CSBP/p38 kinase inhibitors
EP1233951A4 (en)*1999-11-232003-05-21Smithkline Beecham Corp3,4-dihydro-(1h)quinazolin-2-one compounds as csbp/p38 kinase inhibitors
US6982270B1 (en)1999-11-232006-01-03Smithkline Beecham Corporation3,4-dihydro-(1H)quinazolin-2-one compounds as CSBP/p38 kinase inhibitors
US7053098B1 (en)1999-11-232006-05-30Smithkline Beecham Corporation3,4-Dihydro-(1H) quinazolin-2-one compounds as CSBP/P38 kinase inhibitors
JP2004502642A (en)*2000-02-112004-01-29ブリストル−マイヤーズ スクイブ カンパニー Cannabinoid receptor modulators, methods for their production, and use of cannabinoid receptor modulators for the treatment of respiratory and non-respiratory diseases
WO2001064676A3 (en)*2000-02-282002-03-28Scios IncINHIBITORS OF p38-α KINASE
WO2001068086A1 (en)*2000-03-172001-09-20Universiteit UtrechtAntiviral therapy
US7790738B2 (en)2000-07-202010-09-07Lauras AsMethods of treating and preventing AIDS using of COX-2 inhibitors
EP1453515A4 (en)*2001-11-092006-11-29Scios IncMethod to treat cystic fibrosis
WO2003043988A1 (en)*2001-11-222003-05-30Ono Pharmaceutical Co., Ltd.Piperidin-2-one derivative compounds and drugs containing these compounds as the active ingredient
US7915283B2 (en)2002-05-282011-03-29Bristol-Myers Squibb CompanyIndole, azaindole and related heterocyclic 4-alkenyl piperidine amides
EP1513832A4 (en)*2002-05-282010-03-10Bristol Myers Squibb CoIndole, azaindole and related heterocyclic 4-alkenyl piperidine amides
KR101001811B1 (en)*2002-05-282010-12-15브리스톨-마이어스 스큅 컴퍼니 Indole, azaindole and related heterocyclic 4-alkenyl piperidineamides
HRP20041137B1 (en)*2002-05-282014-11-21Bristol-Myers Squibb Company A Delaware (Usa) CorporationIndole, azaindole and related heterocyclic 4-alkenyl piperidine amides
WO2004043337A3 (en)*2002-05-282004-11-11Bristol Myers Squibb CoIndole, azaindole and related heterocyclic 4-alkenyl piperidine amides
US7348337B2 (en)2002-05-282008-03-25Bristol-Myers Squibb CompanyIndole, azaindole and related heterocyclic 4-alkenyl piperidine amides
RU2323934C2 (en)*2002-05-282008-05-10Бристол-Маерс Сквибб КомпаниIndole, azaindole and relative heterocyclic 4-alkenyl pyperidine amids
AU2003301958B2 (en)*2002-05-282009-10-01Viiv Healthcare Uk (No. 5) LimitedIndole, azaindole and related heterocyclic 4-alkenyl piperidine amides
EP1707205A2 (en)2002-07-092006-10-04Boehringer Ingelheim Pharma GmbH & Co. KGPharmaceutical compositions of anticholinergics and p38 kinase inhibitors in the treatment of respiratory diseases
WO2004033427A1 (en)*2002-10-112004-04-22Astrazeneca Ab1,4-disubstituted piperidine derivatives and their use as 11-betahsd1 inhibitors
EP1572668A4 (en)*2002-12-182006-12-06Fmc CorpN-(substituted arylmethyl)-4-(disubstituted methyl)piperidines and piperazines
US8501780B2 (en)2004-06-242013-08-06Glaxosmithkline LlcIndazole carboxamides and their use
EP2116245A2 (en)2004-08-072009-11-11Boehringer Ingelheim International GmbHEGFR kinase inhibitor combinations for treating respiratory and gastrointestinal disorders
US7829711B2 (en)2004-11-092010-11-09Bristol-Myers Squibb CompanyCrystalline materials of 1-(4-benzoyl-piperazin-1-yl)-2-[4-methoxy-7-(3-methyl-[1,2,4]triazol-1-yl)-1H-pyrrolo[2,3-C]pyridine-3-yl]-ethane-1,2-dione
EP2878297A1 (en)2004-12-242015-06-03Boehringer Ingelheim International GmbHMedicaments for the treatment or prevention of fibrotic diseases
EP2384751A1 (en)2004-12-242011-11-09Boehringer Ingelheim International GmbhMedicaments for the treatment or prevention of fibrotic diseases
US8354406B2 (en)2005-06-302013-01-15Glaxosmithkline LlcChemical compounds
US7781436B2 (en)*2005-07-292010-08-24Hoffmann-La Roche Inc.Indol-3-y-carbonyl-piperidin and piperazin-derivatives
CN102295636A (en)*2005-07-292011-12-28弗·哈夫曼-拉罗切有限公司Indol-3-y-carbonyl-piperidin and piperazin-derivatives
AU2006274884B2 (en)*2005-07-292012-04-05F. Hoffmann-La Roche AgIndol-3-yl-carbonyl-piperidin and piperazin derivatives
US7790752B2 (en)2005-09-282010-09-07Hoffmann-La Roche Inc.Indol-3-yl-carbonyl-azaspiro derivatives
KR101018934B1 (en)*2005-09-282011-03-02에프. 호프만-라 로슈 아게 Indol-3-yl-carbonyl-azaspiro derivatives as vasopressin receptor antagonists
RU2418801C2 (en)*2005-09-282011-05-20Ф. Хоффманн-Ля Рош АгIndol-3-yl-carbonyl-asaspiro derivatives as vasopressin receptor antagonists
WO2007039438A1 (en)*2005-09-282007-04-12F. Hoffmann-La Roche AgIndol-3-yl-carbonyl-azaspiro derivatives as vasopressin receptor antagonists
US7851476B2 (en)2005-12-142010-12-14Bristol-Myers Squibb CompanyCrystalline forms of 1-benzoyl-4-[2-[4-methoxy-7-(3-methyl-1H-1,2,4-triazol-1-YL)-1-[(phosphonooxy)methyl]-1H-pyrrolo[2,3-C]pyridin-3-YL]-1,2-dioxoethyl]-piperazine
WO2007110243A1 (en)*2006-03-292007-10-04G.I.M.-Gesellschaft Für Innovative Medizin G.M.B.H. Nfg OhgMedicament, cosmetic or food product comprising an indol compound, the use thereof and the method of isolation thereof from sauerkraut
US7807671B2 (en)2006-04-252010-10-05Bristol-Myers Squibb CompanyDiketo-piperazine and piperidine derivatives as antiviral agents
US7807676B2 (en)2006-04-252010-10-05Bristol-Myers Squibb CompanyDiketo-Piperazine and Piperidine derivatives as antiviral agents
US8372875B2 (en)2007-03-232013-02-12GlaxoSmithKline, LLCIndole carboxamides as IKK2 inhibitors
US8071584B2 (en)2007-03-232011-12-06Glaxosmithkline LlcIndole carboxamides as IKK2 inhibitors
WO2008142031A1 (en)2007-05-182008-11-27Institut CurieP38alpha as a therapeutic target in bladder carcinoma
US8513422B2 (en)2007-08-312013-08-20Astellas Pharma Inc.Piperidine derivative
US8063071B2 (en)2007-10-312011-11-22GlaxoSmithKline, LLCChemical compounds
US8354539B2 (en)2009-03-102013-01-15Glaxo Group LimitedIndole derivatives as IKK2 inhibitors
CN102858336A (en)*2010-02-242013-01-02赛诺菲 Treatment of skin allergies
WO2011106334A1 (en)*2010-02-242011-09-01SanofiTreatment of dermatological allergic conditions
RU2521357C2 (en)*2010-02-242014-06-27СанофиTreatment of dermatological allergic states
US8889730B2 (en)2012-04-102014-11-18Pfizer Inc.Indole and indazole compounds that activate AMPK
US9394285B2 (en)2013-03-152016-07-19Pfizer Inc.Indole and indazole compounds that activate AMPK
CN108815167A (en)*2017-05-242018-11-16四川晶华生物科技有限公司A kind of purposes of noval chemical compound in the drug of preparation treatment tumour
CN108815167B (en)*2017-05-242021-04-13四川晶华生物科技有限公司Application of compound in preparing medicine for treating tumor
US10342786B2 (en)2017-10-052019-07-09Fulcrum Therapeutics, Inc.P38 kinase inhibitors reduce DUX4 and downstream gene expression for the treatment of FSHD
US10537560B2 (en)2017-10-052020-01-21Fulcrum Therapeutics. Inc.P38 kinase inhibitors reduce DUX4 and downstream gene expression for the treatment of FSHD
US11291659B2 (en)2017-10-052022-04-05Fulcrum Therapeutics, Inc.P38 kinase inhibitors reduce DUX4 and downstream gene expression for the treatment of FSHD
US11479770B2 (en)2017-10-052022-10-25Fulcrum Therapeutics, Inc.Use of p38 inhibitors to reduce expression of DUX4
WO2022195579A1 (en)2021-03-152022-09-22Saul YedgarHyaluronic acid-conjugated dipalmitoyl phosphatidyl ethanolamine in combination with non-steroidal anti-inflammatory drugs (nsaids) for treating or alleviating inflammatory diseases

Also Published As

Publication numberPublication date
JP2002515891A (en)2002-05-28

Similar Documents

PublicationPublication DateTitle
WO1998028292A1 (en)Novel piperidine containing compounds
US6414150B1 (en)4,5-disubstituted imidazole compounds
EP0935465B1 (en)Novel substituted imidazole compounds
US6096748A (en)Pyrimidine compounds useful in treating cytokine mediated diseases
US5869660A (en)Process of preparing imidazole compounds
EP0961618B1 (en)5-Pyrimidinyl-4-yl-Imidazole Derivate zur Behandlung von CSBP/RK/p38 vermittelten Erkrankungen
EP0922042A1 (en)Novel piperazine containing compounds
US5977103A (en)Substituted imidazole compounds
US6335340B1 (en)compounds of heteroaryl substituted imidazole, their pharmaceutical compositons and uses
US6218537B1 (en)Process for making pyridyl and pyrimidine substituted imidazole compounds
US6362193B1 (en)Cycloalkenyl substituted compounds
US5929076A (en)Cycloalkyl substituted imidazoles
JP2002105047A (en) Certain 1,4,5-trisubstituted imidazole compounds useful as cytokines and compounds used in their production
US6369068B1 (en)Amino substituted pyrimidine containing compounds
AU699646C (en)Imidazole compounds
HK1022624B (en)Novel substituted imidazole compounds
CA2264064A1 (en)Imidazole compounds, compositions and use
AU1827101A (en)Novel substituted imidazole compounds

Legal Events

DateCodeTitleDescription
AKDesignated states

Kind code of ref document:A1

Designated state(s):CA JP US

ALDesignated countries for regional patents

Kind code of ref document:A1

Designated state(s):AT BE CH DE DK ES FI FR GB GR IE IT LU MC NL PT SE

DFPERequest for preliminary examination filed prior to expiration of 19th month from priority date (pct application filed before 20040101)
121Ep: the epo has been informed by wipo that ep was designated in this application
122Ep: pct application non-entry in european phase

[8]ページ先頭

©2009-2025 Movatter.jp