Movatterモバイル変換


[0]ホーム

URL:


WO1998002730A1 - Refractometric analysis with modification of refractive index dispersion - Google Patents

Refractometric analysis with modification of refractive index dispersion
Download PDF

Info

Publication number
WO1998002730A1
WO1998002730A1PCT/US1997/012401US9712401WWO9802730A1WO 1998002730 A1WO1998002730 A1WO 1998002730A1US 9712401 WUS9712401 WUS 9712401WWO 9802730 A1WO9802730 A1WO 9802730A1
Authority
WO
WIPO (PCT)
Prior art keywords
refractive index
medium
dispersion
wavelength
liquid
Prior art date
Application number
PCT/US1997/012401
Other languages
French (fr)
Inventor
Anders Hanning
Ralph C. Jorgensen
Original Assignee
Ebi Sensors, Inc.
Priority date (The priority date is an assumption and is not a legal conclusion. Google has not performed a legal analysis and makes no representation as to the accuracy of the date listed.)
Filing date
Publication date
Application filed by Ebi Sensors, Inc.filedCriticalEbi Sensors, Inc.
Priority to AU38837/97ApriorityCriticalpatent/AU3883797A/en
Publication of WO1998002730A1publicationCriticalpatent/WO1998002730A1/en

Links

Classifications

Definitions

Landscapes

Abstract

In a method for achieving improved refractometric analysis of a medium, comprising determination of the wavelength of light corresponding to a specific refractive index of said medium, wherein the performance of the measurement is improved through modification of the refractive index dispersion of the medium. In one aspect of the invention, the sensitivity of the method is improved by decreasing the refractive index dispersion of the medium as detected by the refractometer. In another aspect of the invention, the measurement range of the method is increased by increasing the refractive index dispersion of the medium as detected by the refractometer.

Description

REFRACTOMETRIC ANALYSIS WITH MODIFICATION OF REFRACTIVE INDEX DISPERSION
TECHNICAL FIELD
The present invention relates to refractometric analysis, and in particular to modification of the refractive index dispersion of a medium as detected by a refractometer, to thereby improve the performance of refractometric analysis of the medium.
BACKGROUND OF THE INVENTION
Refractometry is the measurement of refractive index; either absolute refractive index or changes in refractive index. Refractometry is a well-established technique for the analysis of gases, liquids, and solids. Examples of applications where refractometry is used to analyze liquids include determining the sugar concentration in sugar solutions, monitoring of processes in the chemical industry, and detection in connection with liquid chromatography. Recently, refractometric analysis has been applied to monitoring the refractive index close to a surface, e.g., in the study of biomolecular interactions.
Most refractometric methods rely on the determination of either the refractive index at one specific, fixed wavelength or the average of the refractive index over a specific, fixed wavelength interval. In the former case, which is the more common, the light source may be, e.g., a laser, a light-emitting diode, or a broadband light source used together with a bandpass filter. In the latter case, a light source with a broader, more or less well defined, emission spectrum is used.
Another kind of refractometric method relies on the fact that the refractive index varies with wavelength for all substances. This phenomenon is called wavelength dispersion, or simply dispersion, of the refractive index. For most substances, the refractive index slowly and monotonously decreases with increasing wavelength within the visible and near-IR wavelength — this is called normal dispersion. Thus, every single wavelength corresponds to a unique refractive index. According to this refractometric method, the wavelength of light corresponding to a predetermined refractive index is determined. For example, water has a refractive index of 1.333 at 590 nm (the sodium D line), and the dispersion is about -33 x 10" refractive index units per nanometer (RlU/nm). When, for example, sugar is dissolved in water, the refractive index (in the vicinity of 590 nm) increases, and the value 1.333 will be fourd at a somewhat longer wavelength than 590 nm. Thus, by determining the wavelength corresponding to the refractive index of 1.333, the concentration of sugar may be determined. In this method, a broadband light source has to be used.
While significant advances have been made in the field of refractometry, there is still a need in the art for improved methods related thereto, particularly in the context of improved sensitivity and/or range of measurements. The present invention fulfills these needs, and provides further related advantages.
SUMMARY OF THE INVENTION
The present invention provides a method for refractometric analysis of a medium. The method includes determining the wavelength of light corresponding to a specific refractive index of the medium. According to the method, the performance of the measurement is improved through modification of the refractive index dispersion of the medium as detected by the refractometer. For example, the sensitivity of the measurement may be improved by decreasing the refractive index dispersion of the medium, or the measurement range of the measurement may be improved by increasing the refractive index dispersion of the medium.
Suitable modifications of the refractive index dispersion of the medium may be achieved by, for example, (a) adding a chemical to the medium, where the chemical modifies the refractive index dispersion of the medium; (b) placing a layer intermediate the medium and the refractometer, wherein the layer modifies the refractive index dispersion of the medium as detected by the refractometer; and/or (c) incorporating a chemical in a fiber optic probe used to measure the refractive index of the medium, wherein the chemical modifies the refractive index dispersion of the medium as detected by the refractometer. In another aspect, the invention provides a solution of a substance in a liquid, wherein the substance modifies the refractive index dispersion of the liquid in such a way, that it may be used for the method as described above.
In other aspects, the invention provides that the method and solution just described may be used for purposes of clinical diagnostics, for diagnostics of acute myocardial infarction or reperfusion following myocardial infarction, and for assaying for the enzyme creatine kinase or one or several of its isoenzymes or isoforms, among other uses.
These and other aspects of this invention will be evident upon reference to the detailed description and attached drawings. To this end, certain references are cited herein for purposes of illustrating various aspects of this invention. Such references are hereby incorporated herein in their entirety.
BRIEF DESCRIPTION OF THE DRAWINGS
Figure 1 illustrates the interface between a conductor and a dielectric upon optical excitation of surface plasmons or charge density waves as occurs during surface plasmon resonance (SPR).
Figure 2 illustrates a model of SPR by way of a three dimensional plot wherein the resonance phenomenon is shown as a function of incident angle, incident wavelength and one minus the reflected light intensity. Figure 3 A illustrates a contour plot of Figure 2 for the bulk solution of water and for a sucrose solution having a higher refractive index causing a shift in the resonance surface.
Figure 3B illustrates the situation where the angle modulation technique employs a light source with a discrete or narrow range of wavelengths, and modulates the angle of incidence, such that there will be a resonance in the angular domain corresponding to a certain resonance angle that satisfies the coupling condition that the incident light wavevector is equal to the SPR wavevector.
Figure 3C illustrates the situation in the wavelength modulation technique where there will be a resonance in the wavelength domain corresponding to a certain wavelength that satisfies the coupling condition that the incident light wavevsctor is equal to the SPR wavevector.
Figure 4 illustrates the limited angle range and modulated wavelength SPR technique which utilizes a multi-mode optical fiber SPR sensor in which a range of angles (e.g., 76 - 90 degrees) with respect to the metal/interface are allowed to propagate in the fiber sensor.
Figure 5 illustrates a range of the angles shown in Figure 3, which must be taken into account when performing the limited angle range and mcdulated wavelength SPR technique which utilizes a multi-mode optical fiber SPR sensor. Figure 6 illustrates the theoretical resultant SPR resonance curves measured using the fiber probe, using the range of angles illustrated in Figure 5.
Figure 7 illustrates the theoretical and experimental SPR fiber optic sensor response, and specifically shows the SPR coupling wavelength as a function of the refractive index the medium is placed into. Figure 8 illustrates the absorbance spectrum for a 0.2% solution of l,l'3,3,3',3'-hexamethylindodicarbocyanine iodide (HIDC) dye, where HIDC dye has a peak absorbance at 640 nm, and likewise illustrates the absorbance for a theoretical solution of 0 1% HIDC.
Figure 9 shows the induced real refractive index change to anomolous dispersion for the different dye solutions calculated using Equations (3) and (4) with the absorbance data shown in Figure 8.
Figures 10A, 10B, and 10C illustrate theoretical contour plots of bulk samples with increasing refractive indices {e.g., 1.33, 1.35 and 1.37) without the presence of dye (dotted contour lines) and with the presence of dye (solid contour line). Figure 11 A, 11B and 11C illustrates the theoretical SPR fiber optic sensor resonance curves for bulk chemical samples increasing in refractive index {e.g., 1.33, 1.35 and 1.37) both without the presence of dye (dotted line) and with the presence of dye (solid line).
Figure 12 illustrates the theoretical resonance curves for sugar solutions containing 0% to 8% sucrose concentration and no dye. Figure 13 illustrates the same sucrose solutions of Figure 12, but containing 0.2% HIDC dye
Figure 14 illustrates the effect of adding a modifying substance to water so that the dispersion at 590 nm may be decreased to -17 x 10" RTU/nm, which means that a refractive index change of 0 001 RIU would correspond to a wavelength change of 60 nm, thus providing for a two-fold improvement in the sensitivity
Figure 15 illustrates the resonance measured in the wavelength domain (reflected light intensity versus wavelength of light) for the eight solutions in Table 1, with increasing sucrose concentration and no dye present Figure 16 plots the relative shift in nanometers (nm) for each 1 33% increase in sucrose solution concentration versus the wavelength at which the resonance occurs for both experimental and theoretical data
Figure 17 illustrate the resonance measured for the eight solution in Table 2 (0 1% HIDC dye) These curves demonstrate that significantly increased separation of the resonance curves with increased dye concentration may be achieved
Figure 18 illustrates the resonance measured for the eight solution in Table 3 (0 2% HIDC dye) These curves demonstrate that significantly increased separation of the resonance curves with increased dye concentration may be achieved
Figure 19 plots the relative shift in nanometers (nm) for each 1 33% increase in sucrose solution concentration versus the wavelength at which the resonance occurs for both experimental and theoretical data for a solution having 0 1% HIDC dye concentration
Figure 20 plots the theoretical relative shift in nanometers (nm) for the data sets with the 0 0%, 0 1% and 0.2% dye additions of Tables 1-3
DETAILED DESCRIPTION OF THE INVENTION
According to the present invention, the performance of refractometric methods, including the analysis of a medium by a refractometric technique, may be improved by modifying the dispersion of the analyzed medium as detected by the refractometer As discussed in more detail below, improvements in analysis may be obtained through either increasing or decreasing the refractive index dispersion of the medium through direct chemical and/or indirect chemical modification. The improvements in analysis may be manifested in, for example, modifying (increasing or decreasing) the sensitivity of the measurement, or by modifying (increasing or decreasing) the measurement range of the measurement. As used herein, the following terms have the indicated meanings, unless otherwise explicitly stated.
The term "refractomeric technique" includes the determination of the wavelength of light corresponding to a specific refractive index.
The term "refractometry" is used to describe any method lor the determination of refractive index, or a change in refractive index, or the determination of any property that may be interpreted as a change of refractive index.
The term "determination of the wavelength" is used to describe any determination of wavelength, change of wavelength, or any property that may be interpreted as a change of wavelength. The term "wavelength corresponding to a specific refractive index" does not mean that the value of the quantitative relation between wavelength and re xactive index has to be known.
The term "medium" is used to describe any analyzed sample, and is not limited to describing optically or physically homogenous media. The term "anomalous dispersion" refers to the change in refractive index that appears in the vicinity of an absorbance peak, and is approximately proportional to the negative derivative with respect to the wavelength of the absorbance.
The terms "decrease of the dispersion" and "increase of the dispersion", respectively, are in reference to the normal dispersion, which is defined as being positive when the derivative of the refractive index with respect to wavelength is negative. An
"increase of the dispersion" thus means that the normal dispersion increases from a negative value, e.g., -30 x 10" RJU/nm, to a larger negative value, e.g., -60 x 10"
RJU/nm. A "decrease of the dispersion" thus means that the normal dispersion decreases from a negative value, e.g., -30-x 10" RTU/nm to a smaller negative value, e.g., -15 x 10" RlU/nm, or to a positive value, e.g., +15 x 10 RlU/nm. According to the present invention, the dispersion of an analyzed medium may be modified by any technique which causes the detecting instrument to detect a modified dispersion for the analyzed medium. An exemplary technique to cause the detecting instrument to detect a modified dispersion is the addition of a chemical substance to the medium prior to its analysis, where the chemical substance modifies the dispersion of the medium. This technique is referred to herein as "direct chemical modification" of the dispersion. Another exemplary technique is the placement of a modifying film over a detecting probe, where the probe detects the dispersion of the medium and the modifying film causes the probe to detect a modified dispersion. This and other techniques wherein the refractometer is made to detect an apparent dispersion that is non-identical to the actual dispersion of the analyzed medium is referred to herein as "indirect chemical modification" of the dispersion. For convenience, all these techniques (direct and indirect chemical modifications) will be referred to herein as "modification of the refractive index dispersion of the analyzed medium" or more simply as "modification of the dispersion of the analyzed medium.
The present invention may be used to enhance the performance of any refractometric technique. Suitable refractometric techniques include, but are not limited to, critical angle refractometry; frustrated total internal reflection refractometry; optical waveguide refractometry; surface plasmon resonance (SPR) including the so-called Kretschmann SPR configuration and the so-called Otto prism configuration as well as other SPR configurations involving gratings; interference refractometry; prism deflection refractometry; and the refractomeric technique disclosed in PCT International Publication No. WO 94/17393. For convenience, the invention will be illustrated and explained in the context of critical angle refractometric analysis and surface plasmon resonance, as set forth in detail below.
As one illustration, the inventive method may be applied to critical angle refractometry analysis of a medium, where the medium is modified through direct chemical means to decrease its refractive index dispersion and thereby enhance the sensitivity of the measurement. Critical angle refractometry is based on total internal reflection. Light from a denser optical medium (medium 1), e.g., glass, strikes the surface to a less dense optical medium (medium 2), e.g., a water solution. If the light enters at an angle smaller than the critical angle, the beam of light is transmitted into the less dense medium, and it experiences refraction according to Snell's law, i.e., nisinθi = n2sinθ2, wherein "nj" and "n2" are the refractive indices of the first and second medium, respectively, and "θi" and "θ2" are the angles of the light beams entering the first and second medium, respectively. If θi is large enough to cause Θ2 to be larger than 90°, the beam of light is totally reflected back into the denser medium. The angle θj at which total reflection occurs is called the critical angle, θc. If the refractive index ni is __nown, then determination of the critical angle θc constitutes a way of determining the refractive index n2. Critical angle refractometers most often utilize a glass prism (of known refractive index) in contact with a liquid sample. A cone of light, covering a range of angles embracing the critical angle, is directed onto the prism/sample surface. Some light is transmitted, and some light is totally internally reflected. The angle at which the total internal reflection takes place is determined, and the sample's refractive index is calculated. The angle may be determined, e.g., by means of a photodiode in combination with a goniometer, or by means of a diode array.
In a refractometer determining the wavelength of light corresponding to a specific refractive index of the sample, a multitude of wavelengths is utilized. In order to determine the critical angle as a function of wavelength, the different wavelengths are separated by means of a dispersing element, e.g., a prism or a grating. The dispersing element may be placed before or after the sample. The different wavelengths may be scanned (resolved in time) by turning the dispersing element or by moving the light detector, or all wavelengths may be detected simultaneously. Since the refractive index as a function of wavelength of the glass prism is known, the refractive index as a function of wavelength of the sample may be calculated, as may the wavelength corresponding to a specific refractive index of the sample.
In refractometers that determine the wavelength of light corresponding to a specific refractive index of the sample medium, the sensitivity of the measurement is governed by, inter alia, the magnitude of the dispersion of the external medium. For water, for example, the dispersion is about -33 x 10" RlU/nm. This means that a refractive index change of, e.g., 0.001 RIU corresponds to a wavelength change of about 30 nm. As the dispersion of the external medium gradually decreases to approach zero, the wavelength change per refractive index change becomes larger, and the sensitivity of the measurement increases. In a similar manner, the measurement range is also governed by, inter alia, the dispersion of the external medium. For a refractometer covering a certain wavelength range, an increase of the dispersion leads to an increased refractive index measurement range. If the total wavelength range of the refractometer is, e.g., 30 nm, then the total refractive index measurement range is about 0.001 RIU.
A chemical modification of the refractive index dispersion of a medium as determined by critical angle refractometry may also be achieved through non-chemical means. For example, a thin film may be positioned in the optical path of the light beam and evanescent field of the light, where the thin film comprises a chemical (e.g., a dye) that causes the refractometer to detect a modified (increased or decreased) refractive index dispersion for the medium. When the refractometer detects a decreased refractive index dispersion for the medium, then the sensitivity of the refractometric analysis is improved, while if the refractometer detects an increased refractive index dispersion for the medium, then the measurement range of the refractometric measurement is increased.
As another illustration, the inventive method may be applied to surface plasmon refractometric analysis of a medium, where the medium is modified by direct or indirect chemical means to decrease the dispersion of the medium to thereby enhance the sensitivity of the measurement. Surface plasmon resonance (SPR) refers to the optical excitation of surface plasmons or charge density waves at the interface between a conductor and a dielectric as illustrated in Figure 1. In Figure 1, a highly reflective metal layer (10), such as gold or silver, is deposited on base (12) of prism (14). TM polarized, monochromatic incident light (16) is directed into the prism and reflects off the prism base/metal layer interface. The intensity of reflected light (18) is measured by a detection device (not shown). A sample (11) is brought into contact with exposed surface (15) of metal layer (10), and the monochromatic incident light is directed into the prism at angle θ with respect to the normal of the metal layer/sample interface. At appropriate angles of incidence, the monochromatic incident light excites surface plasmon waves (13). The conductor is a metal that has a high free electron density in order to support the charge density waves, where such SPR supporting metals include silver and gold The dielectric can be a gas, solid or liquid and is typically the chemical sample that is being characterized by the SPR analytical method
Specifically, the refractive index of the dielectric, and thickness and refractive indices of thin films, may be characterized using surface plasmon resonance This refractometric method is a well-established method for the analysis of gases {e.g., organic vapors, see Niggemann et al , "Intrinsic Fibre Optical Gas Sensor Based on Surface Plasmon Resonance Spectroscopy," SPIE 250^.303-31 1, 1995), liquids (e.g , alcohol mixture analysis, see Matsubara et al , "A Compact Surface Plasmon resonance Sensor for Measurement of Water in Process," Applied Spectroscopy 42 137!- 1379, 1988) and solids (e.g., epoxy cure monitoring, see Jorgenson, R , Ph D Dissetation, "Surface Plasmon Resonance Based Bulk Optic and Fiber Optic Sensors," University of Washington, Seattle, Washington 98195, 1993) Biosensing applications include the monitoπng of the refractive index close to surfaces, e.g , for the study of biomolecular interactions, including (i) antigen / antibody, (ii) enzyme / substrate, (iii) homione / receptor, (iv) drug / receptor and (v) DNA / complementary-strand interactions (see Liedberg et al , "Surface Plasmon Resonance for Gas Detection and Biosensing," Sensors and Actuators, 4 299-304, 1983)
In typical surface plasmon refractometry, the technique employs a bulk optic prism (see, e.g., Kretschmann et al , "Radiative decay of non-radiative surface plasmons excited by light," Z. Naturforsch , Teil A , 23 2135-2136, 1968), a grating, a channel waveguide (see, e.g., Larnbeck, "Chemo-Optical Micro-Sensing Systems," SPIE 115 100-1 13, 1991) or an optical fiber (see, e.g., Jorgenson et al , "A Fiber-Optic Chemical Sensor Based on Surface Plasmon Resonance," Sensors and Actuators B, 12 213-220, 1993) in conjunction with the metal/dielectric structure in order to excite surface plasmon waves These optical elements are required in order to optically couple photons to plasmons In order to satisfy the coupling condition one must introduce light having the same horizontal propagation wavevector as the plasmon wavevector As the light in free-space (without a coupling element) will have a wavevector less than the surface plasmon wavevector, it is necessary to employ coupling element(s) such as a grating, prism, channel waveguide or optical fiber Typically, the metal is deposited directly onto the element, such as the prism, and the metalized structure is brought into contact with the dielectric media to be sampled.
The resonance phenomenon can be modeled in a three dimensional plot as a function of incident angle, incident wavelength and one minus the reflected light intensity, as shown in Figure 2. In Figure 2, the peaked surface describes both the angle and wavelengths that correspond to the parameters that are necessary to excite the surface plasmons. This model was constructed assuming a bulk dielectric of water, a
550 A thick silver film, a wavelength of 620 nm, and a fused silica prism.
Figure 3A illustrates a contour plot of Figure 2 for the bulk solution of water and for a sucrose solution having a higher refractive index causing a shift in the resonance surface. An increase in refractive index of the sample causes an increase in the SPR coupling wavelength and angle.
Traditionally, SPR optical measurements are conducted by optically modulating the incident light wavevector and measuring the reflected light intensity. The mathematical expression for the incident light wavevector, kx, is shown in Equation (1) and is the product of the free-space wavenumber, ko, the refractive index of the medium the light is propagating in, np, and the sin of the angle of incidence, θ. The free space wavenumber is equal to two times π divided by the wavelength of light in freespace, λ0, as represented in Equation (1):
Figure imgf000013_0001
Equation (2) is the mathematical expression for the surface plasmon wavevector, k^. This wavevector is equal to the free space wavenumber multiplied by the square root of the quotient of the product over the sum of the permittivity of the metal, εm, and the sample dielectric, ε - Equation (2) has the form:
Figure imgf000013_0002
At a certain incident wavevector, the wavevector of the incident light, kx, will match the surface plasmon wavevector, ksp, so that instead of being reflected, the incident light will be coupled towards exciting the surface plasmons and thus the reflected light intensity will be attenuated. By measuring this occurrence, it is possible to follow the changes in the surface plasmon wavevector and determine either the thi ckness or refractive indices of the surrounding bulk dielectric. Two techniques util zed in modulating the incident light wavevector are the "angle modulation" and the "wavelength modulation" techniques.
The angle modulation technique employs a light source with a discrete or narrow range of wavelengths, and modulates the angle of incidence. As illustrated in Figure 3B there will be a resonance in the angular domain corresponding to a certain resonance angle that satisfies the coupling condition that the incident light wavevector is equal to the SPR wavevector.
In the wavelength modulation technique, the angle of incidence is fixed and the wavelength is modulated. As illustrated in Figure 3C, there will be a resonance in the wavelength domain corresponding to a certain wavelength that satisf es the coupling condition that the incident light wavevector is equal to the SPR wavevector. Unlike in the angle modulation technique, the wavelength modulation technique provides that as the incident wavevector is modulated the surface plasmon wave vector also is modulated due to the dependence of the metal's and dielectric's refractive index upon wavelength.
A slight modification of the wavelength modulation technique is the limited angle range and modulated wavelength technique. This technique is utilized in the operation of multi-mode optical fiber SPR sensors in which a range of angles (e.g., 76 - 90 degrees) with respect to the metal interface are allowed to propagate in the fiber sensor as illustrated in Figure 4. In Figure 4 there is shown a fiber optic cladding (20) and a fiber optic buffer layer (21) surrounding a fiber optic core (22), where ∑.n SPR supporting metal layer (23) and a reflective element (24) are positioned at the 2nd of, and adhered to the core (22). In this embodiment, a range of the angles shown in Figure 3 must be taken into account, as shown in Figure 5 by cross-hatched lines. Thus, as shown in Figure 4, the incident range of angles are 0-14° with respect to the meriodional axis of the fiber, and 90-76° with respect to the normal of the core/cladding interface In addition, other factors that must be taken into account are the number of reflections each angle undergoes, and the mode distribution in the fiber A mathematical description for modeling this resonance can be found in Jorgenson, R , Ph D Dissertation, "Surface Plasmon Resonance Based Bulk Optic and Fiber Optic Sensors," University of Washington, Seattle, Washington 98195, 1993 Figure 6 illustrates the theoretical resultant SPR resonance curves measured using the fiber probe
Figure 7 illustrates the theoretical and experimental SPR fiber optic sensor response, and specifically shows the SPR coupling wavelength as a function of the refractive index of the medium that the probe is placed into The experimental and theoretical model assumed the following conditions a fiber numerical aperture of 0 36, a core refractive index of 1 475, a linear mode distribution from 82 to 90 degrees, a sensor length of 10 mm, a core diameter of 400 microns, the number of bounces each mode undergoes (0 @ 90 degrees linearly increasing to 7 @ 82 degrees), a random polarization state of the light, dispersion of the gold metal film, and a 500 Angstrom thick gold film Assuming a 0 01 nm measurement resolution of the SPR coupling wavelength from Figure 7, the sensor's sensitivity to refractive index at refractive index of 1 34 is equal to 6 x 10 refractive index units
By modification(s) of the medium's dispersion by, e.g , introducing highly absorbing elements (either by direct or indirect chemical means, e.g., adding chemicals to the bulk solution or as a thin film), it is possible to induce large refractive index changes As a result, this effects the position and shape of the resonance curve shown in the contour plots If the absorbance peak position is chosen correctly, then increased separation between the resonance spectra can be achieved, allowing for increased sensitivity
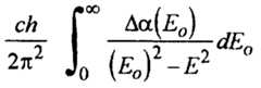
Figure 8 illustrates the absorbance spectrum for a 0 2% solution of l, l'3,3,3',3'-hexamethylindodicarbocyanine iodide (HIDC) dye, where HIDC dye has a peak absorbance at 640 nm This was measured using a short pathlength absorbance cell at a dilute solution An assumption in this plot is that the absorbance is linear at high concentrations of dye Similarly, the absorbance for a theoretical solution of 0 1% HIDC is illustrated in Figure 8 By making use of the Kramers-Kronig relationship it is possible to determine the real refractive index dispersion over wavelength for the two solutions, 0.2% and 0.1% HIDC. In order to perform this calculation, the fol owing Equation (3) is used, wherein "Δn(E)" and "Δα(E0)" are the change in index of refraction and absorption as a function of wavelength, respectively, "c" is the speed of light, and "h" is Planck's constant. The integral is a Cauchy principal value integral, which must be evaluated in two parts due to the singularity.
Figure imgf000016_0001
The "α" is related to the absorbance "A" (as measured on a spectrometer with a standard 1 cm pathlength) as represented by Equation (4):
4E) ln(l0)(AΛ (E) = (4) ' 0.01 '
Figure 9 shows the dispersive index of refraction for the different dye solutions calculated using Equations (3) and (4) with the absorbance data shown in Figure 8. These results are consistent with anomalous dispersion phenomenon in which the dispersion caused in the refractive index of a medium with an absorbance peak. Specifically, at the wavelength of peak absorbance there is no change in the refractive index, and the maximum refractive index change occurs on the shoulder of the absorbance peak. As illustrated in Figure 3, SPR is a function of the bulk refractive irdex of the medium. An anomalous dispersion in refractive index will induce a change in the contour plot of the resonance curve. Figures 10A, 10B, and 10C illustrate theoretical contour plots of bulk samples with increasing refractive indices (e.g., 1.33, 1.35 and 1.37) without the presence of dye (dotted contour lines) and with the presence of dye (solid contour line). Figure 1 1A illustrates the theoretical SPR fiber optic sensor resonance curves for bulk chemical samples increasing in refractive index (e.g. 1.33, 1.35 and 1.37) without the presence of dye (dotted line) and with the presence of dye (solid line).
Figure I0A (dotted line) illustrates the contour plot for the bulk sample solution with a refractive index of 1.33. When dye is added, the resultant contour plot is shown as the solid line. The resonant surface to the left (shorter wavelengths) of the peak absorbance wavelength is shifted towards smaller angles and shorter wavelengths due to the induced refractive index decrease in this region due to the anomalous dispersion. Similarly, to the right of the peak absorbance wavelength the resonant surface is shifter towards larger angles and longer wavelengths due to the induced refractive index increase in this region. Lastly, at the wavelength corresponding to the peak absorbance, the resonance structure is unchanged as there is no induced refractive index change near the peak wavelength. The same is true for those regions of the contour surface that are either far to the right or far to the left, as there is also no refractive index changes, because there is no increased absorbance in these areas with the addition of dye to the medium.
The resultant fiber optic signal will change with the addition of the dye. In the case of fiber optic SPR, as the only angles relevant to the fiber signal are those between 76 and 90 degrees (e.g., the modes supported by the fiber optic), the resonance angle will shift to lower wavelengths. Figure 10B (dotted line) illustrates the contour plot for the bulk sample solution with a refractive index of 1.35. When dye is added to the sample medium, the resultant contour plot is shown as the solid line. The resonant surface to the left (shorter wavelengths) of the peak absorbance wavelength is shifted towards smaller angles and shorter wavelengths due to the induced refractive index decrease in this region due to the anomalous dispersion. Similarly, to the right of the peak absorbance wavelength the resonant surface is shifter towards larger angles and longer wavelengths due to the induced refractive index increase in this region. However, as the resonant structure relevant to the optical fiber (e.g., angles between 90 and 80 degrees) straddles the peak absorbance wavelength, the "wiggle" in the contour plot will effect the fiber optic measured resonance; more specifically, the resonance will be slightly broader and show signs of a "double dip" as illustrated in Figure 1 IB. In Figure IOC the spectra located in angles relevant to the fiber signal are shifted to larger angles and wavelengths as there is a positive refractive index change. As a result, the fiber optic signal will be shifted to the larger wavelengths as illustrated in Figure l lC. Figure 12 illustrates the theoretical resonance curves for sugar solutions containing 0% to 8% sucrose concentration and no dye. Figure 13 illustrates the same sucrose solutions but containing 0.2% HIDC dye. These theoretical calculations are consistent with Figure 1 1, which show an increased separation in resonance curves due to the addition of dye. As a result, an increase in sensitivity is achieved. The invention thus provides techniques for improving the sensitivity of surface plasmon resonance devices using anomalous dispersion, including wavelength modulation SPR. By utilizing a modifying chemical with a large absorbance peak centered in the dynamic range of the surface plasmon resonance coupling wavelength, the sensitivity of the surface plasmon resonance device to refractive index changes can be increased. A sensitivity enhancement of at least eight times may be achieve . The theoretical three dimensional surface plasmon resonance plot (wavelength vs. angle vs. reflected intensity) is utilized to illustrate the enhancement method.
Thus, both theoretical and experimental results show an enhancenent in the sensitivity of the SPR fiber optic sensor using a strong absorbing dye in the sample medium being interrogated. The absorbance peak of the dye should be positionec in the wavelength region of interest as the enhancement has been shown to be non-linear with the highest enhancement occurring at the SPR coupling wavelength corresponding to the peak absorbance wavelength. The enhancement of bulk refractive indices as shown above is believed to be similar for biosensing applications whereupon the sensitivity to the thickness of the adsorbed film is enhanced by the presence of dye in the bulk solution.
Further study with regards to using highly absorbing/dispersive dyes to increase SPR sensitivity has shown that a similar enhancement effect can be obseived by modifying the dispersion of the medium through introducing the dye to other elements of the prism/metal layer/chemical sample interface, i.e., by "indirect chemical modification" of the medium. Such embodiments include, without limitation: (a) using a fiber optic core that has a large absorbance peak at a wavelength centered in the dynamic range of the SPR coupling wavelength; (b) using an intermediate film between the silica and the metal that has a large absorbance peak; and (c) using an intermediate film between the metal layer and the chemical sample. Each of the above indirect chemical modification techniques have the advantage that it is not necessary to mix dye into the medium to be analyzed, but rather the sensor can be pretreated with a highly absorbing dye (in the fiber or as a intermediate film) such that the enhancement effect is obtained without any alterations of the medium being analyzed. In one embodiment of the invention, the analyzed medium is a liquid
This is the simplest case, since the analyzed medium is optically homogenous
In another embodiment, the analyzed medium comprises a surface layer or a solid surface in contact with a liquid. In this case, the analyzed medium is not homogenous Among refractometric techniques, SPR may be used to analyze such media SPR is a surface sensitive refractometric method, and the SPR signal originates from a thin slice of the optically less dense material close to the metal surface If this slice is partly comprised of a layer of physically or chemically adsorbed molecules, and partly comprised of liquid, then the SPR signal is a weighted average of the signals from the adsorbate and the liquid Also the dispersion of the thin slice is a weighted average of the two contributions. By modifying (chemically or non-chemically) the dispersion of the liquid medium, the weighted average of the dispersion of the total thin slice is also modified. It is thus possible to obtain apparent modification of the total thin slice without actually modifying the dispersion of the surface layer. This embodiment may be used, e.g. , in immunoassays where SPR is utilized to detect the binding of biomolecules to an immunologically selective surface. The performance of such immunoassays may be improved by simply modifying the dispersion of the liquid in contact with the solid surface, without need for modifying either the biomolecules as such or the selective surface layer as such. The modified liquid may or may not be the same liquid as that in which the biomolecules are dissolved. It is possible to make an initial reading with the modified liquid, then contact the selective surface with the sample solution containing the biomolecules, and finally contact the surface with the modified liquid once again, and make a second reading to detect any binding of biomolecules to the solid surface.
In one embodiment of the invention, the measurement involves determination of the concentration of a substance dissolved in a liquid sample. The measurement may be made directly on the liquid in which the substance is dissolved. Alternatively, the substance may be allowed to interact with a surface layer on a solid surface, the procedure involving measurement of the refractive index or volume of said surface layer.
In another aspect, the present invention provides a solution of a substance in a liquid, wherein the dissolved substance modifies the refractive index dispersion of the liquid in such a way that it may be used to improve the performance of the refractometric method of analysis. The liquid may be, but is not limited to, wj.ter or other aqueous solution. The modifying substance may be, but is not limited to, a substance having a large absorptivity within or in the vicinity of the wavelength measurement range, i.e., a substance with a strong color, e.g., a dye. In order to decrease the normal dispersion of the liquid, the modifying substance should show anomalous dispersion in the wavelength measurement range. In order to increase the normal dispersion of the liquid, the modifying substance should show a large normal dispersion in the wavelength measurement range. In yet another aspect, the present invention provides a mixture: of a substance in a fiber optic probe, wherein the incorporated substance modifies the refractive index dispersion of the liquid as detected by the refractometer. According to this aspect, the performance of the refractometric method of analysis may be improved. The modifying substance may be, but is not limited to, a substance having a large absorptivity within or in the vicinity of the wavelength measurement range, i.e., a substance with a strong color, e.g., a dye. In order to effectively decrease the normal dispersion of medium, the modifying substance should show anomalous dispersion in the wavelength measurement range. In order to effectively increase the normal dispersion of the medium, the modifying substance should show a large normal dispersion in the wavelength measurement range. Thus, in one aspect, the present invention provides a method for improving the sensitivity of refractometric methods, by decreasing the dispersion of the analyzed medium through direct or indirect chemical modification of the medium. This may be done by adding a substance to the medium, where the substance has an anomalous refractive index dispersion in the chosen wavelength interval, i.e., by direct chemical modification. By varying the concentration of the added substance, the dispersion of the analyzed medium may be modified to the chosen value. This may also be done by placing a substance intermediate the medium and the refractometer sensor, i.e., by indirect chemical modification, where the substance has an anomalous refractive index dispersion in the chosen wavelength interval. By varying the concentration of the added substance in the light path, the dispersion of the analyzed medium as detected by the refractometer may be modified to the chosen value.
As an example, by adding a modifying substance to water, the dispersion at 590 nm may be decreased to -17 x 10 RJU/nm, which means that a refractive index change of 0.001 RIU would correspond to a wavelength change of 60 nm, thus providing for a two-fold improvement in the sensitivity for a critical angle refractometer. This is illustrated in Figure 14. The dispersion may, in principle, be reduced to almost zero, which means that the sensitivity would approach infinity, but, of course, practical problems will set some limit to the obtainable sensitivity. In order to obtain a substantial improvement in sensitivity with an SPR refractometer, the dispersion will have to be modified so that the derivative of the refractive index with respect to wavelength achieves a positive value, in order to compensate for the refractive index dispersion of the SPR metal. In this case too, the dispersion can be modified so that the sensitivity, in principle, approaches infinity. In another aspect, the present invention provides a method for increasing the measurement range of refractometric methods, by increasing the dispersion of the analyzed medium through chemical modification. This may be done by adding to the medium a substance with a higher normal dispersion than the medium itself in the chosen wavelength interval. By varying the concentration of the added substance, the dispersion of the analyzed medium may be modified to the chosen value. Alternatively, this may be done by placing a substance in the path of light between the medium and the refractometer, where the substance has a higher normal dispersion than the medium itself in the chosen wavelength interval. By varying the concentration of the substance: in the light path, the dispersion of the analyzed medium as detected by the refractometer may be modified to the chosen value. As an example, after adding a modifying chemical to water, the dispersion at 590 nm may be increased to about -60 x 10 RlU/nm, which means that a total wavelength range of the refractometer of 30 nm would correspond to a refractive index measurement range of 0.002 RIU, thus providing for a two-fold improvement in the measurement range for a critical angle refractometer. Thus, the invention also provides a solution of a substance in a liquid, wherein the substance modifies the refractive index dispersion of the liquid in such a way, that it may be used for the method as described above. Suitable concentrations of the substance are typically from 0.01% to 10%, preferably from 0.1% to 1%, where these percentage values are on a weight basis. The modifying substance preferably has an absorbance peak that is centered in the dynamic range of the sensor. Typically, the dynamic range of the sensor is from 200 nm to 5 μm, preferably from 400 nm to 1300 nm, and more preferably from 550 nm to 850 nm.
There are many applications for the present invention. For example, the invention may be included in assaying techniques which screen for chemical, biochemical, or biological species in connection with clinical diagnostics. For example, the present invention may be used in the assaying method(s) disclosed in PCT International Publication Nos. WO 90/1 152 and WO 93/0435. Other application areas include, but are not limited to, environmental monitoring, agriculture pesticide and antibiotic monitoring, food additive testing, military and civilian airborne biological and chemical agent testing, liquid chromatography and capillary electrophoresis detection, and real time chemical and biological process monitoring.
The inventive method is particularly useful in connection with clinical diagnostics, e.g., as part of a rapid and quantitative diagnostic test for acute myocardial infarction or reperfusion following myocardial infarction. Other application areas within clinical diagnostics are apparent to the skilled person. The most often assayed species for diagnosis of myocardial infarction is the enzyme CKMB and its isoforms, but other conceivable analytes for such diagnosis are known to the skilled person, such analytes including, but not being limited to other CK isoenzymes, lactate dehydrogenase, troponin, myoglobin, cardiac myosin light chains, and aspartate aminotransferase
The method of the invention will now be illustrated by two non-limiting examples
EXAMPLES
EXAMPLE 1 A commercial fiber optic SPR sensor instrument BIACORE® probe from Biacore AB, Uppsala, Sweden was used The dwell time the probe was in contact with each sample was 90 seconds Bulk solutions based on a 50/50 water/methanol mixture were used throughout Methanol was added to increase the dye solubility The solutions were buffered to pH 3 0 with a citrate buffer, and sodium chloride was added in order to decrease the adsorption of the cationic dye to the probes carboxymethylated dextran, CM, surface through protonation of the CM groups and through competition with sodium ions These studies were to determine the effects of added dye to the bulk solution and thus these measures were taken in order for surface effects to be minimized
Dye was initially dissolved in methanol, and then mixed with aqueous buffer The final solution was filtered through 0 45 micron filter to insure that there was no solid residue Tables 1, 2, and 3 illustrate senal dilutions of the 50/50 methanol solution with sucrose varying from 0 to 10% with 0 0%, 0 1%, and 0 2% dye (HIDC iodide l,r,3,3,3',3'-Hexamethylindodiicarbocyanine Iodide) added, respectively
TABLE 1 50/50 WATER/METHANOL WITH 0% DYE
Vial # Composition
1 0 0% Sucrose
2 2 0% Sucrose
3 3 33% Sucrose
4 4 67% Sucrose
5 6 00% Sucrose
6 7 33% Sucrose
7 8 67% Sucrose
8 10 0% Sucrose TABLE 2 50/50 WATER/METHANOL WITH 0 1% DYE
Vial # Composition
1 0 0% Sucrose
2 1.33% Sucrose
3 2 67% Sucrose
4 4 00% Sucrose
5 5.33% Sucrose
6 6 67% Sucrose
7 8.00% Sucrose
8 10 0% Sucrose
TABLE 3 50/50 WATER/METHANOL WITH 0 2% DYE
Vial # Composition
1 0 0% Sucrose
2 1 33% Sucrose
3 2 67% Sucrose
4 4 00% Sucrose
5 5 33% Sucrose
6 6 67% Sucrose
7 8 00% Sucrose
8 10 0% Sucrose
Series No 1 0 0% HIDC Dve
Figure 15 illustrates the resonance measured in the wavelength domain (reflected light intensity versus wavelength of light) for the eight solutions in Table 1, with increasing sucrose concentration and no dye present The relative sliift in wavelength and coupling efficiency is consistent with the theoretical model of Figure 12 0 Figure 16 plots the relative shift in nm for each 1 33% increase in sucrose solution versus the wavelength at which the resonance occurs for both the experimental and theoretical data A line was regressed for each set of points
Series Nos 2 and 3" 0 1% and 0 2% HIDC Dve. Respectively
Figures 17 and 18 illustrate the resonance measured for the eight solution in Table 2 (0 1% HIDC dye) and Table 3 (0.2% HIDC dye), respectively These curves demonstrate that significantly increased separation of the resonance curves with increased dye concentration may be achieved. Specifically, for Figures 15, 17, and 18, the overall shift in the resonance position between the 0 and 10% sucrose solution is 25, 50, and 100 nm, respectively. This increased separation is significant as it will effectively increase the sensitivity to refractive index.
Figure 18 exhibits "bimodal" resonance curves. This is a result of the contortion of the contour plot due to the absorbance of the dye. This effect must be considered with respect to the minimum hunt algorithm which is utilized to find the resonance minimum. Similarly, this effect also tends to exaggerate the increased separation as the 100 nm separation was determined by comparing the 0% sucrose solution as seen in Figures 15, 17 and 18 at the 1 st mode instead of the 2nd mode to the 10% sucrose solution.
Figure 19 plots the relative shift in nm for each 1.33% increase in sucrose solution versus the wavelength at which the resonance occurs for both the experimental and theoretical data for the 0.1% HIDC dye concentration. Comparing these curves shows that the sensitivity to refractive index with the addition of dye is increased from Figure 16, and it has also become significantly non-linear due to the anomalous dispersion of the dye. The sensitivity is maximum at the absorbance peak, approximately three times greater than the sucrose solutions without the HIDC dye. Figure 20 plots the theoretical relative shift in nm for the data sets with the 0.0%, 0.1% and 0.2% dye additions. For the 0.2% dye solution, its maximum sensitivity is approximately 6 times greater than the solutions without dye.
EXAMPLE 2 In an assay for the enzyme CKMB, antibodies for CKMB may be chemically adsorbed onto a solid surface. The solid surface is then contacted with a liquid sample (e.g., blood) containing the CKMB analyte molecules, and the binding of CKMB to the surface antibodies is monitored by SPR refractometry of the surface layer. In order to increase the sensitivity of the assay, the solid surface may then be contacted with a liquid containing secondary antibodies to CKMB, and the binding of the secondary antibodies is monitored by refractometry. The normal concentration of CKMB in blood is very low (normally <7 μg/1), so even with this secondary antibody signal enhancement, it may be difficult to monitor the refractive index changes involved. However, the sensitivity of the assay may be enhanced by using a modified analysis sequence. Thus, after adsorbing the primary antibodies onto the surface, the surface is contacted with a 0.1% HIDC solutiori as in Example 1, and a baseline reading is taken. The surface is then contacted with the CKMB sample and the secondary antibody solution as above. Finally, the surface is again contacted with the HIDC solution, and a second reading is taken.
If, e.g., the refractive index signal in the absence of HTDC corresponds to a wavelength change of 0.4 nm, then in the presence of HIDC solution this signal may be enhanced three times, to about 1.2 nm. Only a very slight amount of dye is needed to achieve this effect. Furthermore, the procedure does not involve any labeling of biomolecules, and it is not necessary that the dye be added to any solution containing biomolecules. The invention is, of course, not restricted to the embodiments specifically described above, or to the specific examples, but many changes and modifications may be made without departing from the general inventive concept as defined in the following claims.

Claims

1. A method for refractometric analysis of a medium, comprising determination of the wavelength of light corresponding to a specific refractive index of said medium, wherein the performance of the measurement is improved through modification of the refractive index dispersion of the medium.
2. The method of claim 1 wherein the sensitivity of the measurement is improved by decreasing the refractive index dispersion of the medium.
3. The method of claim 1 wherein the measurement range of the measurement is increased by increasing the refractive index dispersion of the medium.
4. The method of any of claims 1-3 wherein modification of the refractive index dispersion of the medium comprises adding a chemical to the medium, where the chemical modifies the refractive index dispersion of the medium.
5. The method of any of claims 1-3 wherein modification of the refractive index dispersion of the medium comprises placing a layer intermediate the medium and the refractometer, wherein the layer modifies the refractive index dispersion of the medium as detected by the refractometer.
6. The method of any of claims 1-3 wherein modification of the refractive index dispersion of the medium comprises incorporating a chemical in a fiber optic probe used to measure the refractive index of the medium, wherein the chemical modifies the refractive index dispersion of the medium as detected by the refractometer.
7. The method of any of claims 1-3 wherein the medium comprises a surface layer on a solid surface in contact with a liquid.
8. The method of claim 7 wherein the refractive index dispersion of said liquid is chemically modified.
9. The method of any of claims 1-8 wherein the measured refractive index range originates from interactions of a substance dissolved in a liquid with a surface layer on a solid surface.
10. The method of claim 9 wherein the liquid, of which the refractive index dispersion is chemically modified, is not the same liquid as that in which said substance is dissolved.
1 1. The method of any of claims 1-3 wherein the medium is a liquid
12. The method of any of claims 1-11 wherein the refractive index measurement is based on surface plasmon resonance refractometry, frustrated total internal reflection refractometry, optical waveguide refractometry, critical angle refractometry, interference refractometry, or prism deflection refractometry.
13. The method of any of claims 1-1 1 wherein the refractive index measurement is based on surface plasmon refractometry.
14. The method of any of the claims 1-1 1 wherein the measurement involves determination of the concentration of a substance dissolved in a liquid.
15. A solution of a substance in a liquid, wherein the substance modifies the refractive index dispersion of the liquid in such a way, that it may be used for the method of any of claims 1-14.
16. Use of the method of any of claims 1-15 for purposes of clinical diagnostics.
17. Use of the method of any of claims 1 -15 for diagnostics of acute myocardial infarction or reperiusion following myocardial infarction.
18. Use of the method of any of claims 1-15 for assaying for the enzyme creatine kinase or one or several of its isoenzymes or isoforms.
PCT/US1997/0124011996-07-161997-07-16Refractometric analysis with modification of refractive index dispersionWO1998002730A1 (en)

Priority Applications (1)

Application NumberPriority DateFiling DateTitle
AU38837/97AAU3883797A (en)1996-07-161997-07-16Refractometric analysis with modification of refractive index dispersion

Applications Claiming Priority (2)

Application NumberPriority DateFiling DateTitle
SE9602788ASE9602788L (en)1996-07-161996-07-16 Improved refractometric method
SE9602788-31996-07-16

Publications (1)

Publication NumberPublication Date
WO1998002730A1true WO1998002730A1 (en)1998-01-22

Family

ID=20403405

Family Applications (1)

Application NumberTitlePriority DateFiling Date
PCT/US1997/012401WO1998002730A1 (en)1996-07-161997-07-16Refractometric analysis with modification of refractive index dispersion

Country Status (3)

CountryLink
AU (1)AU3883797A (en)
SE (1)SE9602788L (en)
WO (1)WO1998002730A1 (en)

Cited By (5)

* Cited by examiner, † Cited by third party
Publication numberPriority datePublication dateAssigneeTitle
EP2240759A4 (en)*2008-02-012013-01-16Rare Light IncMethods, devices and kits for peri-critical reflectance spectroscopy
US20140300889A1 (en)*2013-04-042014-10-09Baker Hughes IncorporatedApparatus and Method for Determining a Fluid Property Downhole Using a Bulk Reading Refractometer
US8970838B2 (en)2011-04-292015-03-03Avolonte Health LLCMethod and apparatus for evaluating a sample through variable angle Raman spectroscopy
US9041923B2 (en)2009-04-072015-05-26Rare Light, Inc.Peri-critical reflection spectroscopy devices, systems, and methods
RU2562270C2 (en)*2014-01-312015-09-10Акционерное общество "Швабе - Технологическая лаборатория" (АО "Швабе - Технологическая лаборатория")Method for measurement of refraction and dispersion index and device of its implementation

Citations (6)

* Cited by examiner, † Cited by third party
Publication numberPriority datePublication dateAssigneeTitle
US4704029A (en)*1985-12-261987-11-03Research CorporationBlood glucose monitor
GB2256477A (en)*1991-06-071992-12-09Marconi Gec LtdOptical sensor with dielectric resonant cavity
WO1993004357A1 (en)*1991-08-201993-03-04Pharmacia Biosensor AbAssay method
WO1994000751A1 (en)*1992-06-291994-01-06Pharmacia Biosensor AbImprovement in optical assays
WO1994016312A1 (en)*1993-01-111994-07-21University Of WashingtonFiber optic sensor and methods and apparatus relating thereto
WO1994017393A1 (en)*1993-01-271994-08-04Anders HanningAn improved method of liquid bulk refractive index detection

Patent Citations (6)

* Cited by examiner, † Cited by third party
Publication numberPriority datePublication dateAssigneeTitle
US4704029A (en)*1985-12-261987-11-03Research CorporationBlood glucose monitor
GB2256477A (en)*1991-06-071992-12-09Marconi Gec LtdOptical sensor with dielectric resonant cavity
WO1993004357A1 (en)*1991-08-201993-03-04Pharmacia Biosensor AbAssay method
WO1994000751A1 (en)*1992-06-291994-01-06Pharmacia Biosensor AbImprovement in optical assays
WO1994016312A1 (en)*1993-01-111994-07-21University Of WashingtonFiber optic sensor and methods and apparatus relating thereto
WO1994017393A1 (en)*1993-01-271994-08-04Anders HanningAn improved method of liquid bulk refractive index detection

Cited By (6)

* Cited by examiner, † Cited by third party
Publication numberPriority datePublication dateAssigneeTitle
EP2240759A4 (en)*2008-02-012013-01-16Rare Light IncMethods, devices and kits for peri-critical reflectance spectroscopy
US9041923B2 (en)2009-04-072015-05-26Rare Light, Inc.Peri-critical reflection spectroscopy devices, systems, and methods
US8970838B2 (en)2011-04-292015-03-03Avolonte Health LLCMethod and apparatus for evaluating a sample through variable angle Raman spectroscopy
US20140300889A1 (en)*2013-04-042014-10-09Baker Hughes IncorporatedApparatus and Method for Determining a Fluid Property Downhole Using a Bulk Reading Refractometer
US9733182B2 (en)*2013-04-042017-08-15Baker Hughes IncorporatedApparatus and method for determining a fluid property downhole using a bulk reading refractometer
RU2562270C2 (en)*2014-01-312015-09-10Акционерное общество "Швабе - Технологическая лаборатория" (АО "Швабе - Технологическая лаборатория")Method for measurement of refraction and dispersion index and device of its implementation

Also Published As

Publication numberPublication date
AU3883797A (en)1998-02-09
SE9602788L (en)1998-01-17
SE9602788D0 (en)1996-07-16

Similar Documents

PublicationPublication DateTitle
EP0648328B1 (en)Improvement in optical assays
RamsdenOptical biosensors
Potyrailo et al.Optical waveguide sensors in analytical chemistry: today’s instrumentation, applications and trends for future development
US8703505B2 (en)Optical fiber probe
Homola et al.Surface plasmon resonance sensors
US6421128B1 (en)Coupled plasmon-waveguide resonance spectroscopic device and method for measuring film properties in the ultraviolet and infrared special ranges
Brecht et al.Optical probes and transducers
US6395558B1 (en)Optical chemical/biochemical sensor
JP2938973B2 (en) Fiber optic sensor and related methods and apparatus
AU689604B2 (en)Process for detecting evanescently excited luminescence
US5434663A (en)Analytical device
CN100458406C (en)MZ interference SPR chemical and biological sensor and system with fibre-optical microstructure
US6330387B1 (en)Coupled plasmon-waveguide resonance spectroscopic device and method for measuring film properties in the ultraviolet and infrared spectral ranges
EP0226604A1 (en)Optical sensor for selectively determining the presence of substances and the variation of the refraction index in the measured substances.
Cruz et al.Immunosensors for diagnostic applications
WO2011060157A2 (en)Analytical system with photonic crystal sensor
Hanning et al.Enhanced sensitivity of wavelength modulated surface plasmon resonance devices using dispersion from a dye solution
US7420682B2 (en)Sensor device for interference and plasmon-waveguide/interference spectroscopy
US8932880B2 (en)Method for the direct measure of molecular interactions by detection of light reflected from multilayered functionalized dielectrics
Adányi et al.Evanescent field effect–based nanobiosensors for agro-environmental and food safety
WO1998002730A1 (en)Refractometric analysis with modification of refractive index dispersion
US20190056389A1 (en)System and method for determining the presence or absence of adsorbed biomolecules or biomolecular structures on a surface
US8367399B2 (en)Method for measuring molecular interactions by measurement of light reflected by planar surfaces
Kunz et al.Sensing a heart infarction marker with surface plasmon resonance spectroscopy
SadowskiReview of optical methods in immunosensing

Legal Events

DateCodeTitleDescription
AKDesignated states

Kind code of ref document:A1

Designated state(s):AU JP NZ US

ALDesignated countries for regional patents

Kind code of ref document:A1

Designated state(s):AT BE CH DE DK ES FI FR GB GR IE IT LU MC NL PT SE

121Ep: the epo has been informed by wipo that ep was designated in this application
NENPNon-entry into the national phase

Ref country code:JP

Ref document number:98506274

Format of ref document f/p:F

122Ep: pct application non-entry in european phase

[8]ページ先頭

©2009-2025 Movatter.jp