Movatterモバイル変換


[0]ホーム

URL:


WO1997029116A1 - Sulphur containing dinucleotide phosphoramidites - Google Patents

Sulphur containing dinucleotide phosphoramidites
Download PDF

Info

Publication number
WO1997029116A1
WO1997029116A1PCT/GB1997/000327GB9700327WWO9729116A1WO 1997029116 A1WO1997029116 A1WO 1997029116A1GB 9700327 WGB9700327 WGB 9700327WWO 9729116 A1WO9729116 A1WO 9729116A1
Authority
WO
WIPO (PCT)
Prior art keywords
group
compound
phosphorothioate
synthesis
seq
Prior art date
Application number
PCT/GB1997/000327
Other languages
French (fr)
Inventor
Colin Bernard Reese
Mothe Vaman Rao
Original Assignee
Cruachem Limited
Priority date (The priority date is an assumption and is not a legal conclusion. Google has not performed a legal analysis and makes no representation as to the accuracy of the date listed.)
Filing date
Publication date
Application filed by Cruachem LimitedfiledCriticalCruachem Limited
Publication of WO1997029116A1publicationCriticalpatent/WO1997029116A1/en

Links

Classifications

Definitions

Landscapes

Abstract

There is provided a process for the solid phase synthesis of phosphorothioate oligonucleotides in which a dimeric phosphoramidite synthon is used to extend the oligonucleotide chain, the synthon having an optionally protected thioester group in its internucleotide linkage. Novel dimeric phosphoramidite synthons having such a thioester group are also described. The process enables increased yield of the oligonucleotide of interest with enhanced separation from impurities. The presence of the thioester linkage stabilises the oligonucleotide end product, facilitating its use as an anti-sense oligonucleotide analogue for gene therapy.

Description

SULPHUR CONTAINING DINUCLEOTIDE PHOSPHORAMIDITES
The present invention relates to dinucleotide phosphoramidites having a non-bridging sulphur group attached to the phosphorus moiety, the synthesis of these compounds and their use in the synthesis of phosphorothioate oligonucleotides.
The standard methodology for oligonucleotide synthesis relies upon solid phase chemistry. In a typical synthetic protocol phosphoramidites are added in a stepwise manner to an initial immobilised nucleoside, with protecting and deprotecting steps as necessary in each cycle. The process is now automated and is normally able to produce IO"6 mol quantities of the desired end product. A suitable methodology is described by Beaucage in Methods in Molecular Biology, Vol 20, Protocols for Oligonucleotides and Analogues, ed Agrawal, Humana Press, Totawa, 1993, pages 33-61.
More recently, the synthesis of S-alkyl esters of 2'- deoxyribonucleoside 3 '-phosphorothioates has been reported (see Liu et al, J. Chem. Soc. Perkin Trans 1. ■ 1685-1694 (1995)) and the use of such compounds in the synthesis of oligonucleotide phosphorothioates was suggested.
Phosphorothioate oligonucleotides are regarded as the first generation of antisense oligonucleotide analogues which have been successfully tested in vi tro and in vivo as inhibitors of gene expression (see, "Oligonucleotides: Antisense Inhibitors of Gene Expression", Ed. Cohen, Macmillan, London, 1989 and "Prospects for Antisense Nucleic Acid Therapy of Cancer and AIDS", Ed. ickstrom, Wiley-Liss, New York, 1992) . At present, a few uniformly modified phosphorothioate oligonucleotides are in human clinical trials and have the potential to be used as approved drugs. (see, Ravikumar et al , Bioorganic & Medicinal Chemistry Lett.: 2017-2022 [1994]). Large quantities, multiple gram to multiple kilogram, of high purity phosphorothioate oligonucleotides are required at low and acceptable cost suitable for therapeutic applications.
Phosphorothioate oligonucleotides are isoelectronic analogues of natural oligonucleotides in which one of the non-bridging intemucleotide oxygen atoms is replaced by a sulphur atom. The solid phase synthesis of phosphorothiate oligonucleotides has been achieved using H-phosphonate chemistry (see, Froehler et al , Tetrahedron Lett. 5575-5578 [1986]) where only one sulphur transfer step is required after assembling the desired sequence to convert all the intemucleotide linkages to phosphorothioates, or the phosphoramidite approach (see, Stec a t al , J. Am. Chem. Soc., 6077-6079 [1984] and Rao et al, Tetrahedron Lett., 6741-6744 [1994]) where monomeric phosphoramidi es are added in each synthetic cycle and a stepwise sulphurisation instead of iodine oxidation step in an otherwise standard synthetic cycle is used to assemble the desired phosphorothioate oligonucleotides. The solid phase monomeric phosphoramidite chemistry is routinely used to synthesize phosphorothioate oligonucleotides (on micromole to milli ole scale) as considerable efforts have been expended in enhancing the efficiency of the synthesis such as (i) the use of improved synthetic cycle protocols and solid supports (see, Ravikumar et al , Bioorganic & Medical Chemistry Lett., 2017 [1994]) (ii) sulphur transfer reagents (see Rao et al , Tetrahedron Lett., 6741 (1994) and references cited therein), (iii) capping and deblocking reagents (see, Agrawal et al , Tetrahedron Lett., 8565 [1994]). However, problems still remain both in terms of consistent yields and quality of the final oligonucleotide phosphorothioate. In particular the n- 1 and n+1 impurities are very similar to the full length product "n" and vary from batch to batch, especially when reduced excesses of monomeric nucleoside phosphoramidite synthons are used in each synthetic cycle. In order to meet the quality specifications of the full length phosphorothioate oligonucleotide needed for therapeutic applications, which are very high, it is necessary to repeatedly purify the product, free from n-1 and n+l impurities. Consequently the process will result in lowering the yield of the full length product and hence the overall process might not be cost effective.
Whilst the potential utility of phosphorothioates has been recognised there still remains a need for an effective and efficient manufacture of these complex molecules. In particular it has not previously been recognised that dimeric or larger phosphoramidite blockmers could be advantageously applied in their synthesis via solid phase chemistry. In order to alleviate some of these problems, recent efforts have been focused on inves igating the feasibility of the large scale synthesis of phosphorothioate oligonucleotides by the phosphotriester approach in solution (see Reese et al , J. Chem. Soc. Perkin Trans., 1685 [1995] and I bach et al , Antisense Res. Dev. 39 [1995]. While this approach offers definite advantages over the solid phase monomeric phosphoramidite chemistry, in that:
(i) it is more suitable for scale-up for synthesis in much larger quantities, (e.g. milli oles to mole + scale)
(ϋ) it allows addition of two or more nudeotide residues at a time (i.e., block synthesis)
(iϋ) it offers the choice of purifying fully protected blockmers at different stages prior to assembling the desired sequence and
(iv) it allows much easier purification of the final product,
it requires further development.
However, the solid phase phosphoramidite approach (useful for micromole to millimole scale synthesis) can be improved by the addition of a dimeric phosphoramidite synthon instead of a monomeric phosphoramidite synthon during the synthetic cycle and this forms the basis of the present invention. The dimeric phosphoramidite approach would achieve an increased yield (as the number of steps required to produce a particular oligonucleotide will be reduced) and enhanced separation of the desired oligonucleotide from the impurities (as their use results in n-2 and n+2 impurities instead of n-1 and n+1 impurities) due to the greater difference in size.
The present invention provides an improved process for the solid phase synthesis of phosphorothioa-ce oligonucleotides using dinucleotide phosphoramidite synthons containing the S-protected phosphorothioate ester inte ucleotide linkage and a 3 -phosphoramidite functional group.
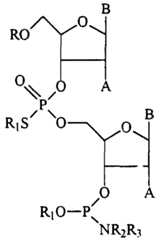
The present invention provides novel compounds of formula I
Figure imgf000007_0001
wherein
B represents a heterocyclic amine base or a derivative thereof;
R represents an acid labile protecting group;
R, represents a protecting group, preferably selected from the group consisting of 2-cyanoethyl, 2- chlorophenyl, 2,4-dichlorophenyl and 4-nitrophenyl; R2 represents a blocking or protecting group;
Rj represents a blocking or protecting group; and
A represents a hydrogen atom, or an alkoxy, allyloxy or suitably protected hydroxy group.
The dinucleotide phosphoramidite of formula I can be used in conventional automated solid phase synthesis to produce phosphorothioate oligonucleotides .
Thus, the present invention also provides a process for producing an oligonucleotide having at least one phosphorothioate linkage, said process comprising providing a compound of formula I above for reaction with the terminal nucleoside of the nudeotide chain located at the solid phase to assemble the nudeotide chain. As used herein the term "nudeotide chain" includes a single nucleoside located at the solid phase which will itself be the terminal group available for reaction.
Group R is desirably 4 ,4 '-dimethσxytrityl, but any other suitable protecting group may also be used.
Groups R2 and R3 may each independently be an alkyl or aryl group.
The heterocyclic base of group B may be, for example a purine, such as adenine, guanine or derivatives thereof, or a pyrimidine, such as cytosine, uracil, thymine or derivatives thereof. As derivatives may be mentioned alkylated derivatives (especially methylated derivatives) and halogenated derivatives, but are not specially limited thereto. Uracil and derivatives thereof may be especially convenient for use. The present invention will now be further described with reference to the following non-limiting Examples
Example la
Triethylammonium salt of 5 -0-(4,4 - dimethoxytrityl)thymidine S-(2-cyanoe hyl) 3 -phosphorothioate (see Reese et al, J. Chem. Soc. Perkin Trans. 1: 1605 [1995])
To a stirred solution of 1, 2,4- ria2θle (8.28g, 0.126 mol) in anhydrous tetrahydrofuran (250ml) was added triethylamine (18.08ml, 0.13 mol) and phosphorus trichloride (3.5ml, 40 mmol) at approximately -35°C (methanol-C02 bath) . The reaction was stirred for 15 minutes, after which 5 -0-(4,4 dimethoxytrityl) thymidine (5.546g, 10.2 mmol) in tetrahydrofuran (200ml) was added. After a further 30 minutes, triethylamine - water (60ml, 1:1 v/v) was added dropwise with stirring and the reaction mixture was allowed to warm up to ambient temperature. The solvent was removed under reduced pressure. The residue was dissolved in chloroform (500ml) and washed with 0.5M triethylammonium bicarbonate (2 x 250ml). The organic layer was dried (MgSO ) and evaporated. The residue was co-evaporated with acetonitrile (3 x 100ml), and then dissolved in anhydrous dichlorome hane (180ml) . N-(2- Cyanoethylthio)phthalimide (3.09g, 13.3 mmol) was added, followed by N-methylmorpholine (6.67ml, 60 mmol) and chlorotri ethylsilane (5.07ml, 40 mmol). The mixture was allowed to stir at ambient temperature. After 3 hours, the reaction mixture was poured into 0.5M triethylammonium bicarbonate (200ml). The organic layer was sepaiated and the aqueous layer was extracted with dichloromethane (200ml). The combined organic layers (dried over MgS04) were evaporated. The residue was purified by short-column chromatography and the product-containing fractions, which were eluted with CHCl3-MeOH (90:10 to 85:15 v/v), were evaporated under reduced pressure. The residue was dissolved in chloroform (40ml) and the title compound was obtained by precipitation from petroleum ether (b.p. 30-40°C, 400ml) as a colourless solid (8.10g) .
δH [CD3)zSO]: 1.18 (1.5 H, t, J = 7.3 Hz), 1.36 (3 H, s), 2.40 (2 II, m), 2.69 (2 H, ra) , 2.83 (2 II, ) , 3.03 (1 H, q, J = 7.2 Hz), 3.17 (1 H, m) , 3.32 (1 H, m) , 3.74 (6 H, s), 4.19 (1 H, in), 4.91 (1 H, in) , 6.23 (1 H, t, J = 7.2 Hz), 6.89 - 7.41 (13 H, m) , 7.52 (1 H, s) 11.40 (1 H, s) .
Sp [CD3)2SO]: 13.9 ppm HPLC data: Rj = 9.65 minute (Programme 1) Column : ODS 5μ (5 x 250 mm) Eluting Conditions : Curve Select : linear gradient, time of programme = 10 minutes; flow : 1.5 ml/minute; Initial conditions: 0. IM triethylammonium acetate (TEAA) buffer : acetonitrile (7:3, v/v) Final conditions: 0. IM TEAA buffer : acetonitrile (2:8, v/v)
Example lb
Triethylammonium salt of N-benzoyl-5 -0- (dimethoxytrityl)deoxycytidine S-(2-cyanoethyl ) 3 - phosphorothioate
This compound was prepared on the same scale and in precisely the same way as the thymidine derivative described above. N-benzoyl-5 -0- (dimethoxytrityl) deoxycytidine (6.336g, 10 m ol) was converted into the title compound (8.84g) as a colourless solid.
δH [CD3)2SO]: 1.19 (6 H, t, J = 7.3 Hz), 1.36 (3 H, s), 2.32 (1 H, m) , 2.68 (1 H, m) , 2.85 (2 H, ) , 3.06 (4 H, q, J = 7.3 Hz), 3.41 (2 H, m) , 3.75 (6 H, ) , 4.29 (1 H, m), 4.85 (1 H, m) , 6.18 (1 H, t, J = 6.3 Hz), 6.90 - 8.00 (19 H, ), 8.18 (1 H, d, J = 7.5 Hz) 11.31 (1 H, s) .
δP [CD3)2SO]: 13.2 ppm HPLC data: Rx = 11.25 minutes (Programme 1)
II Example lc
5 -0-(Dimethoxytrityl) thymidin-3 ' -yl-N- benzoyldeoxycytidin-5 -yl S-(2-cyanoethyl) phosphorothioate
A solution of t iethylammonium salt of 5 -0- (dimethoxytrityl) hymidine-S-(2-cyanoethyl)-3 ' - phosphorothioate (2.012g, 2.5 mmol) (from Example la), N-benzoyldeoxycytidine (1.035g, 3.125 mmol) and 3- nitro-l,2,4-triazole (0.998g, 8.75 mmol) in pyridine (25 ml) was concentrated to dryness under reduced pressure. This process was repeated twice more and the residue was dissolved in dry pyridine (20ml) . Mesitylene-2-sul onyl chloride (1.64g, 7.5 mmol) was added and the solution was allowed to stir for 30 minutes. The reaction was quenched with saturated aqueous sodium bicarbonate (2.5ml), and the products were partitioned between chloroform (50ml) and saturated aqueous sodiuui bicarbonate (150ml) . The organic layer was separated and the aqueous layer was extracted with chloroform (4 x 30ml) . The combined organic layers were dried (MgS04) and evaporated under reduced pressure. The residue was co-evaporated with toluene (2 x 20ml) and then purified by short-column chromatography. The appropriate fractions, eluted with CHCl3-MeOH (98:2 to 96.5-3.5 v/v) were combined and evaporated under reduced pressure. A solution of the residue in chloroform (10ml) was added dropwise to petroleum ether (b.p. 30-40°C, 200ml) to give the title compound as a precipitate (1.57g, 61.8%) .
δH [CD3)2SO]: 1.45 (3 H, s), 2.15 (1 H, m) , 2.35 (1 H, m) , 2.57 (2 H, m) , 2.90 (2 H, m) 3.10 (2 H, m) , 3.31 (2 H, m), 3.73 (6 H, s), 4.07 (1 H, m) , 4.23 (2 H, m) , 4.32 (2 H, m), 5.23 (1 H, m), 5.56 (1 H, , d, J = 4.3 Hz), 6.16 (1 H, m) , 6.25 ( 1 H, m) , 6.87 - 8.00 (20 H, ni) , 8.15 (1 H, m) , 11.27 (1 H, s), 11.41 ( 1 H, s) .
On treatment with Dz0 signals at 11.27, 11.41, 5.56 ppm diminished in intensity. δ„ [CD3)2SO]; 27.7, 28.0 ppm HPLC data: R: = 12.12 minutes, 12.27 minutes (progranune 1)
Example Id
N-benzoyl-5 -0-(dimethoxytrityl)deoxycytidin-3 -yl thymidin-5 yl S-(2-cyanoe hyi) phosphorothioate
A solution of the triethylammonium salt of N-benzoyl- 5 -0-(dimethoxytrityl)deoxycytidine S-( 2-cyanoethyl) 3 -phosphorothioate (4.42g, 5 mmol) (from Example lb), thymidine (1.519g, 6.25 mmol) and 3-nitro-l,2 ,4- triazole (2.00g, 17.5 mmol) in dry pyridine (20ml) was concentrated to dryness under reduced pressure. This process was repeated twice more and the residue was dissolved in dry pyridine (50ml). Mesitylene-2- sulfonyl chloride (3.28g, 15.0 meal) was added and the solution was allowed to stir for 30 minutes. The reaction was quenched with saturated aqueous sodium bicarbonate (me) and the products were partitioned between chloroform (100ml) and 0.5M triethylammonium bicarbonate (200ml) . The organic layer was separated and the aqueous layer was extracted with chloroform (3 x 50ml). The combined organic layers were dried (MgSO^) and evaporated under reduced pressure. The residue was co-evaporated with toluene (3 x 20ml) and then purified by short-column chromatography. The appropriate fractions, eluted with CHCl3-MeOH (98:2 to 97:3 v/v) were combined and evaporated under pressure. A solution of the residue in chloroform (15ml) was added dropwise to petroleum ether (b.p. 30-40°C, 300ml) to give the title compound as a precipitate (3.06g, 60%).
δH [CD3)2SO): 1.79 (3 H, s), 2.15 (2 H, m) , 2.48 (1 H, m), 2.79 (2 H, m) , 2.90 (2 H, m) 3.00 (2 H, m) , 3.38 (2 H, m) , 3.74 (6 H, s), 3.99 (1 H, m) , 4.34 (4 II, m) , 5.15 (1 H, m) , 5.52 (1 H, d, J = 4.5 Hz), 6.19 (2 H, m) , 6.89 - 8.03 (20 H, ) , 8.18 (1 H, d, J = 7.4 Hz), 11.32 ( I II, z) , 11.35 ( 1 H, s) .
On treatment with D20 signals at 5.52, 11.32 and 11.35 ppm diminished in intensity. δp [CD3)2SO]; 27.7, 27.9 ppm HPLC data: Ri = 13.00 minutes, 13.13 minutes (Programme 1)
Example 2a
5 ' -0- ( Dimethoxγtrityl ) -thymidin-3 ' -yl-3 - [ ( 2-S- cyanoethyl)phosphoryl]-5 -N-benzoyl-2 -deoxycytidine- 3 -[ (2-cyanoethyl)-N,N- Lisopropyl] phosphoramidite
Abbreviation: T-P(s)-dC-CEPA
5 -0-(Dimethoxytrityl)thymidin-3 -yl N- benzoyldeoxycytidin-5 -yl S-( 2-cyanoethyl) phosphorothioate (8.20g, 8.151 mmol, 1 mol eq) (from Example lc) was dissolved in dry dichloromethane (AR grade) (120ml) under an argon blanket, and allowed to stir for 5 minutes . To this solution was added diisopropyl-ammonium tetra-olide (1.394g, 1 mol eq) followed by bis-(N,N-diisopropylamino)-( 2-0-cyanoethyl) phosphoramidite (4.914g, 2 mol eq) and the reaction mixture allowed to stir under an argon blanket for 1.5 hours. The reaction was then washed with water (75ml), saturated NaCl solution (75ml) and saturated NaHC0 (75ml). The organic layers were separated and the aqueous layers were back extracted with dichloromethane (25ml) and the extract was added to the organic layers, which were then dried over anhydrous sodium sulphate (50g), filtered and then evaporated to a foam. The foam was then dissolved in dichloromethane (20ml) and purified on a silica chromatography column with a silica/product ration of 10:1. The column was first packed with 1% pyridine in dichloromethane, then once the product had been loaded onto the column it was eluted with dichloromethane (100ml), MeCN (2000ml), and 10% MeOH in dichloromethane (250ml) to strip the column. The appropriate fractions were combined and evaporated under reduced pressure to a foam. The product was then dissolved in dichloromethane (50ml) and added dropwise to pentane (500ml) to give a precipitate. This was then dissolved in dichloromethane and filtered through a 1 micron filter system, then evaporated to a foam and placed onto a freeze drier for a minimum of 8 hours. Yield = 7.5g, 79.3%. 8 [CDCljJ: 26.85, 148.91, 149.52 ppm.
Analytical data from the compound formed is presented in Fig 1.
Example 2b
5 -O-(Dimethoxytrityl)-N-benzoyl-2 -deoxycytidine-3 - yl-3 -[2-S-cyanoethyl) phosphoryl]-5 -thymidine-3 -[2- cyanoethyl)-N,N-diisopropyl] phosphoramidite
Abbreviation: dC-P(S)-T-CEPA
5 -0-(Dimethoxytrityl) -N-benzoyl-deoxycytidin-3 -yl thymidin-5 -yl S-(2-cyanoethyl) phosphorothioate (8.00g, 7.952 mmol, 1 mol eq) (from Example Id) was dissolved in dry dichloromethane (AR grade) (120ml) under an argon blanket and allowed to stir for 5 minutes. To this solution was added diisopropylammonium tetrazolide (1.36g, 1 mol eq) followed by bis(M,N-diisopropyl-amino)-(2-0-cyanoethyl) phosphoramidite (4.794g, 2 mol eq) , and the reaction mixture was allowed to stir under an argon blanket for 1.5 hours. The reaction was then washed with water (75ml), saturated NaCl solution (75ml). The organic layers were separated and the aqueous layers were back extracted with dichloromethane (25ml) and the extract was added to the organic layers, which were then dried over anhydrous sodium sulphate (50g), filtered, and then evaporated to a foam. The foam was then dissolved in dichloromethane (20ml) and purified on a silica chromatography column with a silica/product ratio of 10:1. The column was first packed with 1% pyridine in dichloromethane, then once the product had been loaded onto the column it was eluted with dichloromethane (100ml), MeCN (1000ml), and 10% MeOH in dichloromethane (250ml) to strip the column. The appropriate fractions were combined and evaporated under reduced pressure to a foam. The product was then dissolved in dichloromethane (50ml) and added dropwise to pentane (500ml) to give a precipitate. This was then dissolved in dichloromethane and filtered through a 1 micron filter system, then evaporated to a foam and placed onto a freeze drier for a minimum of 8 hours. Yield = 7.00g 73.0%. δp [CDClj]: 26.83, 149.09, 149.23 ppm
Example 3
Automated solid-phase synthesis of phosphorothioate oligonucleotides
Synthesis of phosphorothioate oligonucleotides were carried out using a Cruachem PS250 DNA/RNA synthesizer. Cruachem standard DNA phosphoramidites and reagents were used unless otherwise stated. One μm phosphorothioate synthetic cycle protocol in conjunction with a solution of 0.05M Beaucage reagent [ 3H-1, 2-benzodithiol-3-one-l, 1-dioxide] with 60 seconds reaction time for thiolation was used.
To evaluate the potential use of the present invention for the synthesis of phosphorothioate oligonucleotides, stringent coupling reaction conditions on the use of phosphoramidite synthons (3-4 excess molar equivalents) in conjunction with controlled pore glass containing a higher nucleoside loading (100 μm/gram) were used. The compounds formed in Examples (2a) and (2b) were used as the corresponding solutions in anhydrous CH3CN (0.1M).
To demonstrate the improvements of the present invention, a few phosphorothioate oligonucleotides were synthesized using the monomeric phosphoramidite synthons and the aforesaid conditions. Identical phosphorothioate oligonucleotide sequences were synthesized using the dimeric phosphoramidite synthons and after appropriate deprotection steps, the resulting oligonucleotides were compared. Oligonucleotide sequences:
Seq ID Nos 1 & 4 (TC)10T - 21 mer Seq ID Nos 2 & 5 (CT)10T - 21 mer Seq ID Nos 3 & 6 TCC TTC TCT CCT CTC TTC CTA 21 mer
Synthesis of Seq ID Nos 1-3 The Sequences were produced using monomeric phosphoramidite synthons. The synthesis protocol therefore required 20 synthesis cycles and 20 sulphurisation steps.
*ACE = > 98% (based on DMT cation assay)
Synthesis of Seq ID Nos 4-6 The Sequences were produced using the dimeric phosphoramidite synthons (T-P(s)-dc-CEPA and dc-p(s)-T-CEPA) . The synthesis protocol therefore required 10 synthesis cycles and 10 sulphurisation steps.
*ACE = > 98% (based on DMT ca tion assay)
* Average coupling efficiency
Deprotection of Oligonucleotide Sequences: (a) Seq ID Nos 1 to 3 synthesized using monomeric phosphoramidite synthons were released from the solid support and deprotected by treating with concentrated aqueous ammonia (l.OmL) at 55°C for 12 hours . The ammoniacal solution was evaporated to a pellet under reduced pressure and the unpurified (crude) oligonucleotides were analysed. oligonucleotide with anhydrous pyridine (1.0 mL) using vacuum centrifugation. Once dried, the material was treated with a solution of DBU (1,8- Diazabicyclo[5, 4 , 0 ]-undec-7-ene) in anhydrous pyridine (5:95, v/v 1.0ml) for 2 hours at 30°C. The solvents were then removed and the residue was then treated with concentrated aqueous ammonia (1.0ml) at 55°C for 12 hours. The ammoniacal solution was evaporated to a pellet under reduced pressure and the unpurified (crude) oligonucleotides were analysed.
HPLC (Ion Exchange) analysis:
Ion-exchange HPLC analysis of phosphorothioate oligodeoxy-nucleotides was carried out using a Gilson 712 Gradient system with dual pumps and fitted with a Gilson 117 UV Detector (280nm) . A 5 micron Nucleopac PA100 column (5 x 250 mm) was used with eluents [A] : 20 mM Tris-HCl buffer, pH = 8.0 and [B] : 400 mM sodium perchlorate in buffer [A] .
The results are shown in Figs 2 to 4.
Fig 2 shows a comparison of anion-exchange (NucleoPac PA-100) chromatograms of unpurified 5'-0-DMT-on phosphorothioate oligomers (TC)10T 21-mer (Seq ID Nos 1 and 4) . Fig 2A gives the results for the 21-mer synthesised with monomeric phosphoramidites (Seq ID No 1) which has a product purity of 68.5%. Fig 2B gives the results for the 21-mer synthesised with dimeric phosphoramidites (Seq ID No 4) which has an increased product purity of 78.0%.
Fig 3 shows a comparison of anion-exchange (NucleoPac PA-100) chromatograms of unpurified 5 ' -0-DMT-on product purity of 78.0%.
Fig 3 shows a comparison of anion-exchange (NucleoPac PA-100) chromatograms of unpurified 5'-0-DMT-on phosphorothioate oligomers (CT)10A 21-mer (Seq ID Nos 2 and 5) . Fig 3A gives the results for the 21-mer synthesised with monomeric phosphoramidites Seq ID No 2) which have a product purity of 74.0%. Fig 3B gives the results for the 21-mer synthesised with dimeric phosphoramidites (Seq ID No 5) which has an increased product purity of 83.0%.
Fig 4 shows a comparison of anion-exchange (NucleoPac PA-100) chromatograms of unpurified 5'-0-DMT-on phosphorothioate oligomers (TCC TTC TCT CCT CTC TTC CTA) 21-mer (Seq ID Nos 3 and 6). Fig 4A gives the results for the 21-mer synthesised with monomeric phosphoramidites (Seq ID No 3) which have a product purity of 73.8%. Fig 4B gives the results for the 21- mer synthesised with dimeric phosphoramidites (Seq ID No 6 ) which has an increased product purity of 85.5%.
Fig 5 is a comparison of31P NMR spectra of unpurified 5'-0-DMT-on phosphorothioate oligomers for Seq ID Nos 3 and 6.
A: synthesised using monomeric phosphoramidites (Seq ID No 3) B: synthesised using S-dimeric phosphoramidites (Seq ID No 6) . SEQUENCE LISTING
( 1 ) GENERAL INFORMATION
(i ) APPLICANT
(A) NAME CRUACHEM LTD
( B) STREET WEST OF SCOTLAND SCIENCE PARK, TODD CAMPUS.
ACRE ROAD (C) CITY GLASGOW
(E) COUNTRY UK
( F) POSTAL CODE (ZIP) G20 OUA
(ii) TITLE OF INVENTION COMPOUNDS
(iii) NUMBER OF SEQUENCES 6
(iv) COMPUTER READABLE FORM
(A) MEDIUM TYPE Floppy disk
(B) COMPUTER IBM PC compatible
(C) OPERATING SYSTEM PC-DOS/MS-DOS
(D) SOFTWARE Patentin Release #1 0, Version #1 30 (EPO)
(v) CURRENT APPLICATION DATA
APPLICATION NUMBER GB 9602326 2
(2) INFORMATION FOR SEQ ID NO 1
(i) SEQUENCE CHARACTERISTICS (A) LENGTH 21 base pairs (B) TYPE nucleic acid
(C) STRANDEDNESS single
(D) TOPOLOGY linear
(ii) MOLECULE TYPE cDNA
(xi) SEQUENCE DESCRIPTION SEQ ID NO 1
TCTCTCTCTC TCTCTCTCTC T 21
(2) INFORMATION FOR SEQ ID NO 2
(i) SEQUENCE CHARACTERISTICS (A) LENGTH 21 base pairs ( B) TYPE nucleic acid
(C) STRANDEDNESS sin le
( D) TOPOLOGY linear
( ii) MOLECULE TYPE cDNA
(xi) SEQUENCE DESCRIPTION SEQ ID NO 2
CTCTCTCTCT CTCTCTCTCT A
(2) INFORMATION FOR SEQ ID NO 3
(i) SEQUENCE CHARACTERISTICS (A) LENGTH 21 base pairs (B) TYPE nucleic acid
(C) STRANDEDNESS single
(D) TOPOLOGY linear
(ii) MOLECULE TYPE cDNA
(xi) SEQUENCE DESCRIPTION SEQ ID NO 3
TCCTTCTCTC CTCTCTTCCT A 21
(2) INFORMATION FOR SEQ ID NO 4
(i) SEQUENCE CHARACTERISTICS (A) LENGTH. 21 base pairs (B) TYPE nucleic acid
(C) STRANDEDNESS single
(D) TOPOLOGY linear
(ii) MOLECULE TYPE other nucleic acid
(ix) FEATURE
(A) NAME/KEY modifιed_base
(B) LOCATION group(2, 4, 6, 8. 10. 12, 14, 16, 18, 20) (D) OTHER INTORMATION /mod_base= OTHER
/label= PHOSPHOROTHIOAT 2? ( xi) SEQUENCE DESCRIPTION SEQ ID NO 4
TCTCTCTCTC TCTCTCTCTC T 2 I
C ) I NFORMATION FOR SEQ ID NO s
(i) SEQUENCE CHARACTERISTICS ( A) LENGTH 2 1 base pairs (B) TYPE nucleic acid
(C) STRANDEDNESS single
(D) TOPOLOGY linear
(ii) MOLECULE TYPE other nucleic acid
(ix) FEATURE
( A) NAME/KEY modifιed_base
(B) LOCATION group(2, 4, 6, 8, 10, 12, 14, 16, 18, 20) (D) OTHER INFORMATION /mod_base= OTHER
/label= PHOSPHOROTHIOAT
(xi) SEQUENCE DESCRIPTION SEQ ID NO 5
CTCTCTCTCT CTCTCTCTCT A
(2) INFORMATION FOR SEQ ID NO 6
(i) SEQUENCE CHARACTERISTICS (A) LENGTH 21 base pairs (B) TYPE nucleic acid
(C) STRANDEDNESS single
(D) TOPOLOGY linear
(ii) MOLECULE TYPE other nucleic acid
(ix) FEATURE
(A) NAME/KEY modified base
(B) LOCATION group(2, 4, 6, 8, 10, 12, 14, 16, 18, 20) (D) OTHER INFORMATION /mod_base= OTHER
/label= PHOSPHOROTHIOAT
(xi) SEQUENCE DESCRIPTION SEQ ID NO 6
TCCTTCTCTC CTCTCTTCCT A

Claims

A process for the solid phase synthesis of phosphorothioate oligonucleotides, said process comprising the addition of at least one dimeric phosphoramidite synthon during the synthetic cycle, wherein said dimeric phosphoramidite synthon comprises in its intemucleotide linkage an optionally protected thioester group.
A process as claimed in Claim i wherein said dimeric phosphoramidite synthons are used as reactants in each synthetic cycle.
A process as claimed in either one of Claims 1 and 2 wherein said thioester group present in said intemucleotide linkage is protected by a 2- cyanoethyl, 2-chlorophenyl, 2,
4-dichlorophenyl or 4-nitrophenyl group.
A dimeric phosphoramidite synthon being a compound of Formula I:
Figure imgf000028_0001
SUBSTITUTE SHEET (RULE 2$ wherein B represents a heterocyclic amine base or a derivative thereof; R represents an acid labile protecting group; R! represents a protecting group; R2 represents a blocking or protecting group; R3 represents a hydrogen atom, or an alkoxy, allyloxy or suitably protected hydroxy group.
5. A compound as claimed in Claim 4 wherein group B is an adenine, guanine, cytosine, uracil or thymine base or the alkylated or halogenated derivatives of any of those bases.
6. A compound as claimed in Claim 5 wherein at least one group B is uracil or methylated uracil.
7. A compound as claimed in any one of Claims 4 to 6 wherein group R is a 4 ,4 '-dimethoxytrityl group.
8. A compound as claimed in any one of Claims 4 to 7 wherein each group Rx is independently a 2- cyanoethyl, 2-chlorophenyl, 2,4-dichlorophenyl or 4-nitrophenyl group.
9. A compound as claimed in any one of Claims 4 to 8 wherein each group R2 and group R3 is independently an alkyl or aryl group.
10. Use of a compound as claimed in any one of Claims 4 to 9 in the synthesis of phosphorothioate oligonucleotides.
11. Use of phosphorothioate oligonucleotides produced in accordance with the process of Claims 1 to 3 as anti-sense nucleotides for inhibition of gene expression.
PCT/GB1997/0003271996-02-061997-02-06Sulphur containing dinucleotide phosphoramiditesWO1997029116A1 (en)

Applications Claiming Priority (2)

Application NumberPriority DateFiling DateTitle
GB9602326.21996-02-06
GBGB9602326.2AGB9602326D0 (en)1996-02-061996-02-06Compounds

Publications (1)

Publication NumberPublication Date
WO1997029116A1true WO1997029116A1 (en)1997-08-14

Family

ID=10788161

Family Applications (1)

Application NumberTitlePriority DateFiling Date
PCT/GB1997/000327WO1997029116A1 (en)1996-02-061997-02-06Sulphur containing dinucleotide phosphoramidites

Country Status (2)

CountryLink
GB (1)GB9602326D0 (en)
WO (1)WO1997029116A1 (en)

Cited By (12)

* Cited by examiner, † Cited by third party
Publication numberPriority datePublication dateAssigneeTitle
WO2005010042A1 (en)2003-07-182005-02-03Charité-Universitäts- Medezin Berlin7a5/prognostin and use thereof for the diagnostic and therapy of tumors
EP2068152A1 (en)2007-12-062009-06-10Max-Delbrück-Centrum für Molekulare Medizin (MDC)c-Kit as a novel target for the treatment of pain
EP2151248A1 (en)2008-07-302010-02-10Johann BauerImproved pre-mRNA trans-splicing molecule (RTM) molecules and their uses
EP2275116A1 (en)2003-07-182011-01-19Sanofi-Aventis Deutschland GmbHUse of a Pak inhibitor for the treatment of a joint disease
WO2012080460A1 (en)2010-12-172012-06-21SanofiMirnas in joint disease
WO2012080459A1 (en)2010-12-172012-06-21SanofiMirnas in joint disease
WO2012080461A1 (en)2010-12-172012-06-21SanofiMirnas in joint disease
WO2012084709A1 (en)2010-12-172012-06-28SanofiMirnas in joint disease
EP2532755A1 (en)2011-06-102012-12-12Sanofi-AventisMethods and uses based on Slfn2 expression and relating to the identification and profiling of compounds for use in the treatment or prevention of pain
WO2012168453A1 (en)2011-06-102012-12-13SanofiMethods and uses relating to the diagnosis or prognosis of pain-related tissue states or pain-related diseases such as pain
EP2857501A1 (en)2013-10-032015-04-08ETH ZurichReprogramming of pluripotent stem cells for improved control of their differentiation pathways
WO2015049277A1 (en)2013-10-012015-04-09Ruprecht-Karls-Universität HeidelbergS100 based treatment of cardiac power failure

Citations (4)

* Cited by examiner, † Cited by third party
Publication numberPriority datePublication dateAssigneeTitle
US4668777A (en)*1981-03-271987-05-26University Patents, Inc.Phosphoramidite nucleoside compounds
US5151510A (en)*1990-04-201992-09-29Applied Biosystems, Inc.Method of synethesizing sulfurized oligonucleotide analogs
WO1995014029A1 (en)*1993-11-181995-05-26Beckman Instruments, Inc.Protected oligonucleosides and their use in high yielding synthesis of dna and antisense dna
WO1995032980A1 (en)*1994-05-261995-12-07Isis Pharmaceuticals, Inc.Synthesis of oligonucleotides

Patent Citations (4)

* Cited by examiner, † Cited by third party
Publication numberPriority datePublication dateAssigneeTitle
US4668777A (en)*1981-03-271987-05-26University Patents, Inc.Phosphoramidite nucleoside compounds
US5151510A (en)*1990-04-201992-09-29Applied Biosystems, Inc.Method of synethesizing sulfurized oligonucleotide analogs
WO1995014029A1 (en)*1993-11-181995-05-26Beckman Instruments, Inc.Protected oligonucleosides and their use in high yielding synthesis of dna and antisense dna
WO1995032980A1 (en)*1994-05-261995-12-07Isis Pharmaceuticals, Inc.Synthesis of oligonucleotides

Non-Patent Citations (1)

* Cited by examiner, † Cited by third party
Title
ZBIGNIEW J LESNIKOWSKI: "THE FIRST STEREOCONTROLLED SYNTHESIS OF THIOOLIGORIBONUCLEOTIDE: (RPRP)- AND (SPSP)-UPSUPSU", NUCLEOSIDES & NUCLEOTIDES, vol. 11, no. 9, 1 January 1992 (1992-01-01), pages 1621 - 1638, XP000564715*

Cited By (13)

* Cited by examiner, † Cited by third party
Publication numberPriority datePublication dateAssigneeTitle
WO2005010042A1 (en)2003-07-182005-02-03Charité-Universitäts- Medezin Berlin7a5/prognostin and use thereof for the diagnostic and therapy of tumors
EP2275116A1 (en)2003-07-182011-01-19Sanofi-Aventis Deutschland GmbHUse of a Pak inhibitor for the treatment of a joint disease
EP2068152A1 (en)2007-12-062009-06-10Max-Delbrück-Centrum für Molekulare Medizin (MDC)c-Kit as a novel target for the treatment of pain
EP2151248A1 (en)2008-07-302010-02-10Johann BauerImproved pre-mRNA trans-splicing molecule (RTM) molecules and their uses
WO2012080461A1 (en)2010-12-172012-06-21SanofiMirnas in joint disease
WO2012080459A1 (en)2010-12-172012-06-21SanofiMirnas in joint disease
WO2012080460A1 (en)2010-12-172012-06-21SanofiMirnas in joint disease
WO2012084709A1 (en)2010-12-172012-06-28SanofiMirnas in joint disease
EP2532755A1 (en)2011-06-102012-12-12Sanofi-AventisMethods and uses based on Slfn2 expression and relating to the identification and profiling of compounds for use in the treatment or prevention of pain
WO2012168453A1 (en)2011-06-102012-12-13SanofiMethods and uses relating to the diagnosis or prognosis of pain-related tissue states or pain-related diseases such as pain
WO2012168452A1 (en)2011-06-102012-12-13SanofiMethods and uses based on slfn2 expression and relating to the identification and profiling of compounds for use in the treatment or prevention of pain
WO2015049277A1 (en)2013-10-012015-04-09Ruprecht-Karls-Universität HeidelbergS100 based treatment of cardiac power failure
EP2857501A1 (en)2013-10-032015-04-08ETH ZurichReprogramming of pluripotent stem cells for improved control of their differentiation pathways

Also Published As

Publication numberPublication date
GB9602326D0 (en)1996-04-03

Similar Documents

PublicationPublication DateTitle
Uhlmann et al.Antisense oligonucleotides: a new therapeutic principle
US6846922B1 (en)Activators for oligonucleotide synthesis
US5512668A (en)Solid phase oligonucleotide synthesis using phospholane intermediates
US5264562A (en)Oligonucleotide analogs with novel linkages
US5625050A (en)Modified oligonucleotides and intermediates useful in nucleic acid therapeutics
US6965041B1 (en)N-acylphosphoramidites and their use in oligonucleotide synthesis
NZ239544A (en)Linking nucleosides with a siloxane by reacting a 3'-silylated-5-'-protected nucleoside with an unprotected nucleoside in the presence of a base catalyst
EP0691979A1 (en)Novel 5'-substituted nucleosides and oligomers produced therefrom
JP2002536453A (en) Compounds, methods and intermediates for the synthesis of mixed backbone oligomer compounds
WO1995024413A1 (en)Compositions and methods for use in the synthesis of oligonucleotides
JPH06189753A (en)Oligoribonucleotide having terminus 3'-3' and/or 5'-5' chain and ribosime affinous body
EP1244682A1 (en)Process for the preparation of oligomeric compounds
WO1997029116A1 (en)Sulphur containing dinucleotide phosphoramidites
CA1260930A (en)Nucleotide derivative
AU2002322075A1 (en)Methods for preparing oligonucleotides having chiral phosphorothioate linkages
EP1401852A2 (en)Methods for preparing oligonucleotides having chiral phosphorothioate linkages
HK1000191A1 (en)Modified oligodeoxyribonucleotides, their preparation and their therapeutic use
HK1000191B (en)Modified oligodeoxyribonucleotides, their preparation and their therapeutic use
JPH09503494A (en) Building blocks with carbamate internucleoside linkages and novel oligonucleotides derived therefrom
US5864031A (en)Process for preparing 5-dithio-modified oligonucleotides
US5859234A (en)2'-O-methyl cytidine monomer useful in oligonucleotide synthesis
WO1994015946A1 (en)Synthesis of dimmer blocks and their use in assembling oligonucleotides
EP1175432A1 (en)Processes for the synthesis of oligomers using phusphoramidite compositions
EP1169329A1 (en)Oligonucleotides having alkylphosphonate linkages and methods for their preparation
AU673051C (en)Synthesis of dimer blocks and their use in assembling oligonucleotides

Legal Events

DateCodeTitleDescription
AKDesignated states

Kind code of ref document:A1

Designated state(s):DE ES GB JP US

ALDesignated countries for regional patents

Kind code of ref document:A1

Designated state(s):AT BE CH DE DK ES FI FR GB GR IE IT LU MC NL PT SE

DFPERequest for preliminary examination filed prior to expiration of 19th month from priority date (pct application filed before 20040101)
WWEWipo information: entry into national phase

Ref document number:1997902480

Country of ref document:EP

121Ep: the epo has been informed by wipo that ep was designated in this application
WWWWipo information: withdrawn in national office

Ref document number:1997902480

Country of ref document:EP

NENPNon-entry into the national phase

Ref country code:JP

Ref document number:97528278

Format of ref document f/p:F

REGReference to national code

Ref country code:DE

Ref legal event code:8642

122Ep: pct application non-entry in european phase

[8]ページ先頭

©2009-2025 Movatter.jp