Movatterモバイル変換


[0]ホーム

URL:


WO1997013760A1 - Tricyclic fused compounds and pharmaceutical compositions containing them - Google Patents

Tricyclic fused compounds and pharmaceutical compositions containing them
Download PDF

Info

Publication number
WO1997013760A1
WO1997013760A1PCT/EP1996/004396EP9604396WWO9713760A1WO 1997013760 A1WO1997013760 A1WO 1997013760A1EP 9604396 WEP9604396 WEP 9604396WWO 9713760 A1WO9713760 A1WO 9713760A1
Authority
WO
WIPO (PCT)
Prior art keywords
alkyl
compound
group
formula
hydrogen
Prior art date
Application number
PCT/EP1996/004396
Other languages
French (fr)
Inventor
Stephen Carl Mckeown
Martin John Page
Sadie Vile
Ann Louise Walker
Alan Thomas Hudson
Paul Barraclough
Karl Witold Franzmann
Original Assignee
Glaxo Group Limited
Priority date (The priority date is an assumption and is not a legal conclusion. Google has not performed a legal analysis and makes no representation as to the accuracy of the date listed.)
Filing date
Publication date
Application filed by Glaxo Group LimitedfiledCriticalGlaxo Group Limited
Priority to AU72895/96ApriorityCriticalpatent/AU7289596A/en
Publication of WO1997013760A1publicationCriticalpatent/WO1997013760A1/en

Links

Classifications

Definitions

Landscapes

Abstract

Substituted heteroaromatic compounds, in particular substituted tricyclic fused compounds in which one terminal ring is pyridine or pyrimidine, are protein tyrosine kinase inhibitors. The compounds are described as are methods for their preparation, pharmaceutical compositions including such compounds and their use in medicine, for example in the treatment of psoriasis, fibrosis, atherosclerosis, restenosis, auto-immune disease, allergy, asthma, transplantation rejection, inflammation, thrombosis, nervous system diseases, and cancer.

Description

TRICYCLIC FUSED COMPOUNDS AND PHARMACEUTICAL COMPOSITIONS CONTAINING THEM
The present invention relates to a series of substituted heteroaromatic compounds, methods for their preparation, pharmaceutical compositions containing them and their use in medicine. In particular, the invention relates to tricyclic fused systems containing a pyridine or pyrimidine ring which exhibit protein tyrosine kinase inhibition.
Protein tyrosine kinases catalyse the phosphorylation of specific tyrosyl residues in various proteins involved in the regulation of cell growth and differentiation (A.F.Wilks, Progress in Growth Factor Research, 1990 (2), 97-111 ). Protein tyrosine kinases can be broadly classified as growth factor receptor (e.g. EGF-R, PDGF-R, FGF-R and c-erbB-2) or non-receptor (e.g. c-src, bcr-abl) kinases. Inappropriate or uncontrolled activation of many of these kinases i.e. aberrant protein tyrosine kinase activity, for example by over-expression or mutation, has been shown to result in uncontrolled cell growth.
Aberrant activity of protein tyrosine kinases such as c-erbB-2, c-src, EGF-R and PDGF-R has been implicated in human malignancies.
Aberrant EGF-R activity has, for example, been implicated in cancers of the head and neck, and aberrant c-erbB-2 activity in breast, ovarian, non-small cell lung, pancreatic, gastric and colon cancers. Inhibitors of protein tyrosine kinase should therefore provide a treatment for tumours such as those outlined above.
Aberrant protein tyrosine kinase activity has also been implicated in a variety of other disorders: psoriasis, (Dvir et al, J. Cell. Biol; 1991 , 1_13, 857-865), fibrosis, atherosclerosis, restenosis, (Buchdunger et al, Proc.Natl.Acad.Sci. USA; 1991 , 92, 2258-2262), auto-immune disease, allergy, asthma, transplantation rejection (Klausner and Samelson, Cell; 1991 , 64, 875-878), inflammation (Berkois, Blood; 1992, 79(9). 2446-2454), thrombosis (Salari et al, FEBS; 1990, 263(1 ). 104-108) and nervous system diseases (Ohmichi et al, Biochemistry, 1992, 31, 4034- 4039). Inhibitors of the specific protein tyrosine kinases involved in these diseases eg PDGF-R in restenosis and EGF-R in psoriasis, should lead to novel therapies for such disorders. P56lck and zap 70 are indicated in disease conditions in which T cells are hyperactive eg rheumatoid arthritis, autoimmune disease, allergy, asthma and graft rejection.
Published European Patent number 0635507 discloses tricyclic quinazoline derivatives and their preparation for use in the treatment of cancer. This citation notes that receptor tyrosine kinases in general, which are important in the transmission of biochemical signals initiating cell replication, are frequently present in common human cancers such as breast cancer (Sainsbury er al Brit. J. Cancer 1988, 58, 458). This citation also states that tyrosine kinase activity is rarely detected in normal cells whereas it is frequently detectable in malignant cells (Hunter, Cell. 1987, 50, 823) and it is suggested that inhibitors of receptor tyrosine kinase should be of value as inhibitors of the growth of mammalian cancer cells (Yaish et al. Science, 1988, 242, 933). This citation has the aim of providing quinazoline derivatives which inhibit receptor tyrosine kinases involved in controlling the tumourigenic phenotype.
The tricyclic derivatives of EP0635507 are of the formula (1 ) :
Figure imgf000004_0001
wherein R1 and R^ together form specified optionally substituted groups containing at least one heteroatom so as to form a 5 or 6 membered ring, optionally substituted by one or two specified substituents, in which a N atom is located at the 6-position of the quinazoline ring. R3 includes, independently, hydrogen, hydroxy, halogeno, (1-4C)alkyl, (1-4C) alkoxy, di-[(1-4C)alkyl]amino, or (2-4C)alkanoylamino. There is, however, no mention of substitution of the 4- anilino ring by a further group confining an aromatic or heterocyclic moiety.
WO95/19970 discloses tricyclic compounds of formula (2) which are capable of inhibiting EGF-R tyrosine kinase:
Figure imgf000005_0001
in which Y and Z are:
(i) both C, both N or one is N and the other is C, or
(ii) one of Y or Z is C=C or C=N and the other represents a bond, or
(iii) one of Y or Z is N, O or S and the other is a bond; and
A, B, D and E can be all C; or two of them may be N provided the remainder are
C, or any two contiguous positions in A-E may be a single heteroatom N, O or S provided that at least one of the remaining atoms is C; and X is O, NR or S. R^ includes lower alkyl, lower alkoxy, cycloalkyl and cycloalkoxy, or two R2 may together form a 5-7 membered carbocyclic ring. There is, however, no suggestion that the aromatic ring (Ar) may be substituted by a further group containing an aromatic or heterocyclic moiety.
However, broad spectrum inhibition of protein tyrosine kinase may not provide optimal treatment of the tumour, and could in certain cases even be deterimental to subjects since protein tyrosine kinases provide an essential role in the normal regulation of cell growth.
Selective inhibition of the EGF receptor is, however, disclosed by Fry et al (Science, 265, 1093 (1994)). This citation discloses that the compound of formula:
Figure imgf000005_0002
is a highly selective inhibitor of the EGF receptor tyrosine kinase at picomolar concentrations while inhibiting other tyrosine kinases only at micromolar or higher concentrations. However, there is no reference to any tricyclic compounds in this citation.
It is therefore a general object of the present invention to provide compounds suitable for the treatment of disorders mediated by protein tyrosine kinase activity, and in particular treatment of the above mentioned disorders. In addition to the treatment of tumours, the present invention envisages that other disorders mediated by protein tyrosine kinase activity may be treated effectively by preferential inhibition of the appropriate protein tyrosine kinase activity.
It is another object of the present invention to provide compounds which preferentially inhibit protein tyrosine kinases, such as c-erbB-2, c-src, p56lck, EGF-R, PDGF-R, and zap70 protein tyrosine kinases.
A further object of the present invention is to provide compounds useful in the treatment of protein tyrosine kinase related diseases which minimise undesirable side-effects in the recipient.
The present invention relates to certain tricyclic pyridine and pyrimidine derivatives which may be used to treat disorders mediated by protein tyrosine kinases and in particular have anti-cancer properties. More particularly, the compounds of the present invention are potent inhibitors of protein tyrosine kinases such as c-erbB-2, EGF-R and p56lck thereby allowing clinical management of particular diseased tissues.
The present invention envisages, in particular, the treatment of human malignancies, for example breast, stomach, ovary, colon, lung and pancreatic tumours, especially those driven by c-erbB-2, using the compounds of the present invention. For example, the invention includes compounds which are highly active against the c-erbB-2 protein tyrosine kinase in preference to the EGF receptor kinase hence allowing treatment of c-erbB-2 driven tumours.
More particularly, the present invention envisages that disorders mediated by protein tyrosine kinase activity may be treated effectively by inhibition of the appropriate protein tyrosine kinase activity in a relatively selective manner, thereby minimising potential side effects.
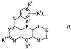
Accordingly, the present invention provides a compound of formula (I):
Figure imgf000007_0001
or a pharmaceutically acceptable salt thereof, wherein:
J, K, L, and M form a saturated or unsaturated fused ring which is optionally substituted and in which:
(i) each of J, K, L and M represent carbon atoms that may be independently replaced by N, O or S; or (ii) any two contiguous positions in J, K, L and M taken together represent a single atom C, N, O or S with at least one of the remaining atoms being carbon and the other being selected from carbon, N, O or S; or (iii) any two contiguous positions in J, K , L and M taken together represent a
N atom with the remaining atoms also being N;
so that when the fused 5 or 6-membered ring represented by J, K, L and M bears one or two optional substituents in order to satisfy the valency requirements of the atoms in the fused ring and:
(i) when the ring atom is carbon, the substituents are independently selected from the group comprising: amino, cyano, halogen, hydroxy, C-j_4 alkyl, C-|_4 alkoxy, C<|_4alkylthio, C-|_ alkylsulphinyl, C<|_ alkylamino, or (ii) when there are two adjacent carbon atoms in the fused ring, two substituents together form an optionally substituted methylenedioxy or ethylenedioxy group, or (iii) when the ring atom is nitrogen, the substituents are independently selected from the group comprising: C1. alkyl, amino C2-4 alkyl, hydroxy C2-4 alkyl and C1. alkoxy C2- alkyl;
subject to the provisos in (i) and (ii) above that the skeleton of the fused heterocyclic ring does not contain more than two atoms selected from O and S, and where the fused ring contains two such atoms said atoms do not occupy adjacent positions in the fused ring;
P and Q are carbon atoms in an aromatic ring which may be independently replaced by O, N, S, or a bond, or one of P and Q is C=C or C=N and the other a bond;
X is N or CH;
Y is a group W(CH2), (CH2)W, or W, in which W is O, S(O)m wherein m is 0, 1 or 2, or NRa wherein Ra is hydrogen or a C-μs alkyl group;
R1 and R2 are independently selected as appropriate to the nature of P and Q from the group comprising: not present, a lone pair of electrons, amino, hydrogen, halogen, hydroxy, nitro, carboxy, trifluoromethyl, trifluoromethoxy, carbamoyl, ureido, C<|_8 alkyl, C<|_8 alkoxy, C3.8 cycloalkoxy, 04.3 alkylcycloalkoxy, C-|_8 alkoxycarbonyl, N-C<|^4 alkylcarbamoyl, N,N-di-[C<|_4 alkyljcarbamoyl, hydroxyamino, C<|_4 alkoxyamino, C2-4 alkanoyloxyamino, C1. alkylamino, di[C<|.4 alkyljamino, C-|_8 alkylthio, arylthio, C-|_4 alkylsulphinyl, arylsulphinyl, C<|_4 alkylsulphonyl, arylsulphonyl, halogeno-C<|_4alk '<and hydroxy-C-|_4 alkyl;
R3 is selected from the group comprising; hydrogen, halogen, trifluoromethyl, C-μ 4 alkyl and C-|_4 alkoxy;
R4 is a group ZR5 wherein Z is joined to R5 through a (CH2)p group in which p is 0, 1 or 2 and Z represents a group V(CH2), V(CF2), (CH2)V, (CF2)V, or V in which V is a hydrocarbyl group containing 0,1 or 2 carbon atoms, carbonyl, CH(OH), sulphonamide, amide, O, S(O)m or NRD where RD is hydrogen or Rb is C-|_ alkyl; or R4 is a group ZR5 in which Z is NRb, and NRb and R5 together orm an optionally substituted 5, 6, 7, 8, 9 or 10-membered heterocyclic moiety;
R5 is an optionally substituted 5, 6, 7, 8, 9 or 10-membered carbocyclic or heterocyclic moiety, or an optionally substituted C3_6 cycloalkyl provided p is not zero; and
each R6 is independently selected from the group comprising; hydrogen, hydroxy, halogen, C-|_4 alkyl, C<\^\ alkoxy, C-j_4 alkylamino, di-[C<|_4 alkyljamino, Cι_4 alkylthio, C<|_4 alkylsulphinyl, C<|_4 alkylsulphonyl, C<|_4 alkylcarbonyl, C-|_4 alkylcarbamoyl, di-[C-|_4 alkyl] carbamoyl, carbamyl, C-|_ alkoxycarbonyl, cyano, nitro and trifluoromethyl, and n is 1,2 or 3.
In an embodiment, P and Q are both C atoms, and in a preferred aspect J, K, L, and M are all C atoms, and more preferably with J, K, L and M forming a further aromatic ring.
In another embodiment, one of P and Q is a N, O or S atom, with the other being a bond. In a preferred aspect, J, K, L and M are all C atoms, more preferably with J, K , L and M forming a further aromatic ring.
In an embodiment, R1 and R2 are independently selected from the group comprising: amino, hydrogen, halogen, hydroxy, nitro, C<|_8 alkyl, C-j_8 alkoxy,
C<|_8 alkylthio, C-|_8 alkylsulphinyl, C-|_8 alkylsulphonyl, and C<|_4 alkylamino;
R3 is hydrogen, C-|_4 alkyl, C-|_4 alkoxy or halogen;
R5 is an optionally substituted 5, 6, 7, 8, 9 or 10 membered-carbocyclic or heterocyclic moiety;
R6 is hydrogen, hydroxy, halogen, C-|_4 alkyl, C-1. alkoxy, di-[C-|_4 alkyljamino, nitro or trifluoromethyl; and
Z is oxygen, S or NRD wherein Rb is hydrogen, or C-|_4 alkyl.
In a further embodiment, R^ and R2 are independently selected from the group comprising: hydroxy, halogen, amino, C1. alkyl such as methyl, and C<|_4 alkoxy such as methoxy.
In a further embodiment, R3 is hydrogen or methyl; preferably R3 is hydrogen. In a further embodiment, R4 is selected from the group comprising: benzyl, phenoxy and benzyloxy; and in a preferred aspect, X is N and Y is NH; or X is CH and Y is O, S(O)m wherein m and Ra are as herein before defined.
In a further embodiment, R4 is in the para position with respect to Y.
In a further embodiment, R5 is thiophene or cyclohexane and p is 1 where Z is oxygen
In a further embodiment R6 is hydrogen, halogen or methyl, preferably R6 is hydrogen.
In a further embodiment, (R6)n represents meta substituent(s) with respect to Y, preferably n = 1.
In a further embodiment, X is N.
In a further embodiment, Y is NRb, NRb(CH2), or (CH2)NRb, preferably Y is NR wherein R is hydrogen or methyl, preferably R is hydrogen.
In a further embodiment, Z is CH2, NRb NR (CH2), (CH2)NRb O, O(CH2), O(CF2), (CH2)O, (CF2)O, S(CH2), or carbonyl; preferably Z is CH2, NR O, O(CH2) or O(CF2), and more preferably Z is O.
Preferred compounds of the present invention include: 4-(4-Benzyloxyanilino)benzo[g]quinazoline hydrochloride and 4-(4-Benzyloxyanilino)benzothieno[3,2-d]pyrimidine hydrochloride.
The fused 5 or 6-membered ring represented by J, K, L and M may optionally bear one or two substituents in order to satisfy the valency requirements of the atoms in the fused ring. Where the ring atom is carbon suitable substituents include: amino, cyano, halogen, hydroxy, C<|_ alkyl, C-|_4 alkoxy, C-|_4alkylthio, Cη_ alkylsulphinyl, C-|_4 alkylamino. Where there are two adjacent carbon atoms in the fused ring, two substituents together may form an optionally substituted methylenedioxy or ethylenedioxy group. Suitable substituents for a nitrogen atom in the fused ring include: C-|_4 alkyl, amino Cι_4 alkyl, hydroxy C-μ 4 alkyl and C<|_4 alkoxy C-|_4 alkyl. Suitably the 5, 6, 7, 8, 9 or 10- membered heterocyclic moiety is selected from the group comprising: furan, dioxolane, thiophene, pyrrole, imidazole, pyrrolidine, pyran, pyridine, pyrimidine, morpholine, piperidine, oxazoline, oxazolidine, thiazole, thiadiazole, benzofuran, indole, isoindole, quinazoline, quinoline and isoquinoline.
Suitably the 5, 6, 7, 8, 9 or 10- membered carbocyclic moiety is selected from the group comprising: phenyl, benzyl, indene, napthalene, tetralin, decalin, cyclopentyl, cyclohexyl, and cycloheptyl.
By halo is meant fluoro, chloro, bromo or iodo.
Alkyl groups containing three or more carbon atoms may be straight, branched or cyclised.
Heterocyclic groups comprise one or more rings which may be saturated, unsaturated, or aromatic and which may independently contain one or more heteroatoms in each ring.
Carbocyclic groups comprise one or more rings which may be independently saturated, unsaturated or aromatic and which contain only carbon and hydrogen.
Optional substituents include, but are not limited to, hydroxy, halogen, trifluoromethyl, trifluoromethoxy, nitro, amino, cyano, C-j_4 alkoxy, C<|_4 alkylthio, C1.4 alkyl carbonyl, carboxylate, C-|_4 alkoxy carbonyl, carboxamide, C-| _ alkylamino carbonyl and di[C<|_4 alkyljamino.
Certain compounds of the formula (I) contain asymmetric carbon atoms and are, therefore, capable of existing as optical isomers. The individual isomers and mixtures of these are included within the scope of the present invention. Likewise, it is understood that compounds of formula (I) may exist in tautomeric forms other than that shown in the formula.
Salts of the compounds of the present invention may comprise acid addition salts derived from a nitrogen in the compound of formula (I). The therapeutic activity resides in the moiety derived from the compound of the invention as defined herein and the identity of the other component is of less importance although for therapeutic and prophylactic purposes it is, preferably, pharmaceutically acceptable to the patient. Examples of pharmaceutically acceptable acid addition salts include those derived from mineral acids, such as hydrochloric, hydrobromic, phosphoric, metaphosphoric, nitric and sulphuric acids, and organic acids, such as tartaric, acetic, trifluoroacetic, citric, malic, lactic, fumaric, benzoic, glycollic, gluconic, succinic and methanesulphonic and arylsulphonic, for example 2-toluenesulphonic, acids.
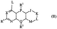
In a further aspect, the present invention provides a process for the preparation of a compound of the formula (I), or a pharmaceutically acceptable salt thereof, which process comprises the reaction of a compound of the formula (II).
Figure imgf000012_0001
with a compound of the formula
Figure imgf000012_0002
wherein L is a leaving group and X, Y, J, K, L, M, P, Q and R1 to R6 are as hereinbefore defined. Suitable leaving groups will be well known to those skilled in the art and include, for example, halo such as chloro and bromo; sulphonyloxy groups such as methanesulphonyloxy and toluene-p-sulphonyloxy; and alkoxy groups.
The reaction is conveniently carried out in the presence of a suitable inert solvent, for example a C-ι_ alkanol, such as isopropanol, a halogenated hydrocarbon, an ether, an aromatic hydrocarbon or a dipolar aprotic solvent such as acetone at a non-extreme temperature, for example from 0 to 150°, suitably 10 to 100°C, preferably 50 to 100°C.
Optionally, the reaction is carried out in the presence of a base when Y = NH. Examples of suitable bases include an organic amine such as triethylamine, or an alkaline earth metal carbonate, hydride or hydroxide, such as sodium or potassium carbonate, hydride or hydroxide. When YH = OH or SH it is necessary to perform the reaction in the presence of a base, and in such a case the product is not obtained as the salt.
The compound of formula (I) in the case in which Y = NRb may be obtained from this process in the form of a salt with the acid HL, wherein L is as hereinbefore defined, or as the free base by treating the salt with a base as hereinbefore defined.
The preparation of compounds (II) and (III) is well known to those skilled in the art.
In addition to the above, one compound of formula (I) may be converted to another compound of formula (I) by chemical transformation of the appropriate substituent or substituents using appropriate chemical methods (see for example, J.March "Advanced Organic Chemistry", Edition III, Wiley Interscience, 1985).
For example a compound containing an alkyl or aryl mercapto group may be oxidised to the corresponding sulphinyl or sulphonyl compound by use of an organic peroxide (eg benzoyl peroxide) or suitable inorganic oxidant (eg OXONE
®)
A compound containing a nitro substituent may be reduced to the corresponding amino-compound, eg by use of hydrogen and an appropriate catalyst (if there are no other susceptible groups) or by use of Raney Nickel and hydrazine hydrate.
Amino or hydroxy substituents may be acylated by use of an acid chloride or an anhydride under appropriate conditions. Equally an acetate or amide group may be cleaved to the hydroxy or amino compound respectively by treatment with, for example, dilute aqueous base. In addition reaction of an amino substituent with triphosgene and another amine (eg aqueous ammonia, dimethylamine) gives the urea substituted product.
An amino substituent may also be converted to a dimethylamino substituent by reaction with formic acid and sodium cyanoborohydride.
The present invention also provides compounds of formula (I) and pharmaceutically acceptable salts thereof (hereinafter identified as the 'active ingredients') for use in medical therapy, and particularly in the treatment of disorders mediated by aberrant protein tyrosine kinase activity such as human malignancies and the other disorders mentioned above. The compounds are especially useful for the treatment of disorders caused by aberrant c-erbB-2 activity such as breast, ovarian, non-small cell lung, pancreatic, gastric and colon cancers.
A further aspect of the invention provides a method of treatment of a human or animal subject suffering from a disorder mediated by aberrant protein tyrosine kinase activity which comprises administering to the human or animal subject an effective amount of a compound of formula (I) or a pharmaceutically acceptable salt thereof.
A further aspect of the present invention provides the use of a compound of formula (I), or a pharmaceutically acceptable salt thereof, in therapy.
A further aspect of the present invention provides the use of a compound of formula (I), or a pharmaceutically acceptable salt thereof, in the preparation of a medicament for the treatment of malignant tumours.
A further aspect of the present invention provides the use of a compound of formula (I), or a pharmaceutically acceptable salt thereof, in the preparation of a medicament for the treatment of atherosclerosis, resterosis or thrombosis.
Whilst it is possible for the compounds or salts of the present invention to be administered as the new chemical, it is preferred to present them in the form of a pharmaceutical formulation. According to a further feature of the present invention we provide pharmaceutical formulations comprising at least one compound of the formula (I), or pharmaceutically acceptable salt(s) thereof, together with one or more pharmaceutically acceptable carriers, diluents or excipients.
Pharmaceutical formulations may be presented in unit dose forms containing a predetermined amount of active ingredient per unit dose. Such a unit may contain for example 0.5mg to 1g, preferably 5mg to 100mg of a compound of the formula (I) depending on the condition being treated, the route of administration and the age, weight and condition of the patient.
Pharmaceutical formulations may be adapted for administration by any appropriate route, for example by the oral (including buccal or sublingual), rectal, nasal, topical (including buccal, sublingual or transdermal), vaginal or parenteral (including subcutaneous, intramuscular, intravenous or intradermal) route. Such formulations may be prepared by any method known in the art of pharmacy, for example by bringing into association the active ingredient with the carrier(s) or excipient(s).
Pharmaceutical formulations adapted for oral administration may be presented as discrete units such as capsules or tablets; powders or granules; solutions or suspensions in aqueous or non-aqueous liquids; edible foams or whips; or oil-in- water liquid emulsions or water-in-oil liquid emulsions.
Pharmaceutical formulations adapted for transdermal administration may be presented as discrete patches intended to remain in intimate contact with the epidermis of the recipient for a prolonged period of time. For example, the active ingredient may be delivered from the patch by iontophoresis as generally described in Pharmaceutical Research, 3(6), 318 (1986).
Pharmaceutical formulations adapted for topical administration may be formulated as ointments, creams, suspensions, lotions, powders, solutions, pastes, gels, sprays, aerosols or oils. For treatments of the eye or other external tissues, for example mouth and skin, the formulations are preferably applied as a topical ointment or cream. When formulated in an ointment, the active ingredient may be employed with either a paraffinic or a water-miscible ointment base. Alternatively, the active ingredient may be formulated in a cream with an oil-in-water cream base or a water-in-oil base.
Pharmaceutical formulations adapted for topical administrations to the eye include eye drops wherein the active ingredient is dissolved or suspended in a suitable carrier, especially an aqueous solvent.
Pharmaceutical formulations adapted for topical administration in the mouth include lozenges, pastilles and mouth washes.
Pharmaceutical formulations adapted for rectal administration may be presented as suppositories or as enemas.
Pharmaceutical formulations adapted for nasal administration wherein the carrier is a solid include a coarse powder having a particle size for example in the range 20 to 500 microns which is administered in the manner in which snuff is taken, i.e. by rapid inhalation through the nasal passage from a container of the powder held close up to the nose. Suitable formulations wherein the carrier is a liquid, for administration as a nasal spray or as nasal drops, include aqueous or oil solutions of the active ingredient.
Pharmaceutical formulations adapted for administration by inhalation include fine particle dusts or mists which may be generated by means of various types of metered dose pressurised aerosols, nebulizers or insufflators.
Pharmaceutical formulations adapted for vaginal administration may be presented as pessaries, tampons, creams, gels, pastes, foams or spray formulations.
Pharmaceutical formulations adapted for parenteral administration include aqueous and non-aqueous sterile injection solutions which may contain anti¬ oxidants, buffers, bacteriostats and solutes which render the formulation isotonic with the blood of the intended recipient; and aqueous and non-aqueous sterile suspensions which may include suspending agents and thickening agents. The formulations may be presented in unit-dose or multi-dose containers, for example sealed ampoules and vials, and may be stored in a freeze-dried (lyophilized) condition requiring only the addition of the sterile liquid carrier, for example water for injections, immediately prior to use. Extemporaneous injection solutions and suspensions may be prepared from sterile powders, granules and tablets.
Preferred unit dosage formulations are those containing a daily dose or sub-dose, as herein above recited, or an appropriate fraction thereof, of an active ingredient.
It should be understood that in addition to the ingredients particularly mentioned above, the formulations may include other agents conventional in the art having regard to the type of formulation in question, for example those suitable for oral administration may include flavouring agents.
The compounds of the formula (I) and salts thereof have anticancer activity as demonstrated hereinafter by their inhibition of the protein tyrosine kinase c-erbB- 2 enzyme. It has thus been established that compounds of the present invention are of use in medicine and, in particular in the treatment of certain human malignancies, for example breast, ovarian non-small cell lung, pancreatic, gastric and colon cancers. Accordingly, the present invention provides a method for the treatment of susceptible malignancies in an animal, e.g. a human, which comprises administering to the animal a therapeutically effective amount of a compound or salt of the present invention. In the alternative, there is also provided a compound or salt of the present invention for use in medicine and, in particular, for use in the treatment of cancers.
The present invention also provides the use of a compound of formula (I) or a salt thereof for the manufacture of a medicament for treatment of malignant tumours.
The animal requiring treatment with a compound or salt of the present invention is usually a mammal, such as a human being.
A therapeutically effective amount of a compound or salt of the present invention will depend upon a number of factors including, for example, the age and weight of the animal, the precise condition requiring treatment and its severity, the nature of the formulation, and the route of administration, and will ultimately be at the discretion of the attendant physician or veterinarian. However, an effective amount of a compound of the present invention for the treatment of neoplastic growth, for example colon or breast carcinoma will generally be in the range of 0.1 to 100 mg/kg body weight of recipient (mammal) per day and more usually in the range of 1 to 10 mg/kg body weight per day. Thus, for a 70kg adult mammal, the actual amount per day would usually be from 70 to 700 mg and this amount may be given in a single dose per day or more usually in a number (such as two, three, four, five or six) of sub-doses per day such that the total daily dose is the same. An effective amount of a salt of the present invention may be determined as a proportion of the effective amount of the compound ger se.
Certain embodiments of the present invention will now be illustrated by way of example only. The physical data given for the compounds exemplified is consistent with the assigned structure of those compounds.
IR spectra were recorded on a Perkin-Elmer 257 grating spectrophotometer or a
Bruker FS66 spectrophotometer.
1 H NMR spectra were obtained on a Bruker WM 360-NMR spectrophotometer at
360MHz, or on a Bruker AC250 spectrophotometer at 250MHz. J values are given in Hz.
Mass spectra were obtained on one of the following machines: Varian CH5D (El),
Kratos Concept (El), Kratos Ms50 (FAB), VG Micromass Platform (electrospray positive or negative), HP5989A Engine (thermospray positive).
Analytical thin layer chromatography (tic) was used to verify the purity of some intermediates which could not be isolated or which were too unstable for full characterisation, and to follow the progess of reactions. Unless otherwise stated, this was done using silica gel (Merck Silica Gel 60 F254).
Unless otherwise stated, column chromatography for the purification of some compounds used Merck Silica gel 60 (Art. 1.09385, 230-400 mesh), and the stated solvent system under pressure.
Petrol refers to petroleum ether, either the fraction boiling at 40-60°C, or at 60-
80°C.
DMSO refers to dimethylsulphoxide. Example 1
4-Chlorobenzo,q1quinazoline
3-Amino-2-naphthoic acid ( Aldrich, 2.0g, 10.7mmol) and formamidine acetate (4.0g, 38.4mmol) were reacted in glacial acetic acid (20ml) at reflux for 1 hour. The solution was allowed to cool, diluted with water and the product collected by filtration, washed with water, and dried at 60°C under vacuum to give 4- hydroxybenzo[g]quinazoline as a brown solid (1.7g, 81%). δH [2He]-DMSO 12.00 (1 H, b, OH), 8.84 (1H, s, 2-H), 8.29-8.05 (4H, m, 5-H, 6-H, 9-H, 10-H), 7.73-7.57 (2H, m, 7-H, 8-H).
4-Hydroxybenzo[g]quinazoline (0.5g, 2.5mmol) was reacted with phosphorous oxychloride (1.9ml, 20.7mmol) and triethylamine (1.0ml, 7.2mmol) at reflux under nitrogen for 2 hours. The reaction was concentrated at 70°C under vacuum, and then extracted four times with boiling 60/80 petrol. The combined extracts were evaporated to dryness, and the resulting solid was redissolved in boiling 60/80 petrol, filtered and the filtrate re-evaporated to give 4-chlorobenzo[gr]quinazoline as yellow crystals (0.130g, 24%). δH [2He]-DMSO 8.90 (1H, s, 2-H), 8.69 and 8.33 (2 x 1 H, 2 x s, 5-H, 10-H), 8.26 and 8.16 (2 x 1 H, 2 x d, 6-H, 9-H), 7.79-7.61 (2H, m, 7-H, 8-H).
4-(4-Benzyloxyanilino)benzo,glQuinazoline hydrochloride
4-Chlorobenzo[g]quinazoline (0.070g, 0.32mmol) and 4-benzyloxyaniline (0.070g, 0.35mmol) were heated to reflux in 2-propanol (3ml). After cooling the reaction was diluted with acetone and the precipitate collected by filtration and washed with acetone to give the product as yellow crystals (0.120g, 89%), m.p. 252-254° C; C25H19N3O.HCI.O.2H2O requires C 71.92, H 4.93, N 10.07; found C 71.83, H 4.81 , N 9.97; dH [2H6] -DMSO 12.05 (1 H, br s, NH), 9.71 (1 H, s, 2-H), 8.87 and 8.46 (2 x 1H, 2 x s, 5-H, 10-H), 8.30-8.16 (2H, m, 6-H, 9-H), 7.90-7.70 (4H, m, 7-H, 8-H, 2'-H, 6'-H), 7.57-7.31 (5H, m, 5xPhH), 7.17 (2H, d, 3'-H, 5'-H), 5.19 (2H, s, OCH2); m/z 377 (M+); vmax (KBr disc)/crτr1 2696, 2648, 1622, 1610.
Example 2
4-Chlorobenzothienof3.2-dlpyrimidine
Methyl benzo[b]thiophene-2-carboxylate (prepared as described in J. Org.
Chem., Vol. 37, (21 ), pp 3224-6, 1972) (1.0g, 4.8mmol) and formamidine acetate (2.0g, 19.2mmol) were reacted at reflux in glacial acetic acid (20ml) for 4 hours. After cooling the reaction was diluted with water, and the precipitate thus formed was collected by filtration. It was washed with water and acetone, and then dried at 60°C under vacuum to give 4-hydroxybenzothieno[3,2-cQpyrimidine as a white solid (0.56g, 57%); δH [2H6]-DMSO 12.79 (1 H, b, OH), 8.34 (1 H, s, 2-H), 8.29 and 8.16 (2 x 1 H, 2 x d, 5-H, 8-H), 7.78- 7.57 (2H, m, 6-H, 7-H). 4-Hydroxybenzothieno[3,2-d]pyrimidine (0.5g, 2.5mmol) was reacted with phosphorous oxychloride (1.9ml, 20.7mmol) and triethylamine (1.0ml, 7.2mmol) at reflux under nitrogen for 2.5 hours. The reaction was concentrated at 70°C under vacuum and then extracted four times with boiling 60/80 petrol. The combined extracts were evaporated to dryness, and the resulting solid redissolved in boiling 60/80 petrol, filtered and the filtrate re-evaporated to give 4- Chlorobenzothieno[3,2-cf]pyrimidine as a pale green solid (0.20g, 37%); δH [2H6]-DMSO 9.17 (1 H, s, 2-H), 8.50 and 8.29 (2 x 1 H, 2 x d, 5-H, 8-H), 7.86 and 7.71 (2 x 1H, 2 x t, 6-H, 7-H).
4-f4-Benzyloxyanilino)benzothienof3.2-dlpyrimidine hydrochloride 4-Chlorobenzothieno[3,2- ]pyrimidine (0.1 OOg, 0.45mmol) and 4-benzyloxyaniline (0.1 OOg, 0.50mmol) were reacted at reflux for 3 hours in 2-propanol (4ml). After cooling, the reaction was filtered, and the precipitate was washed with 2-propanol and acetone to give the product as a yellow solid (O.OδOg, 42%), m.p. 201-203°C; C23H-17N3OS.HCI requires C 65.78, H 4.32, N 10.01 ; found C 65.55, H 4.37, N 9.83. δH [2H6] -DMSO 10.77 (1H, b, NH), 8.84 (1 H, s, 2-H), 8.66 and 8.21 (2 x 1 H, 2 x d, 5-H, 8-H), 7.77 and 7.66 (2 x 1 H, 2 x t, 6-H, 7-H), 7.59 (2H, d, 2*-H, 6'- H), 7.53-7.31 (5H, m, 5xPh-H), 7.11 (2H, d, 3'-H, 5'-H), 5.16 (2H, s, OCH2); m/z 383 (M+); vmax (KBr disc)/ατr1 2439, 1626, 1607.
Biological Data
Compounds of the present invention were tested for protein tyrosine kinase inhibitory activity in a substrate phosphorylation assay and a cell proliferation assay.
The substrate phosphorylation assay uses a baculovirus expressed, recombinant construct of the intracellular domain of c-erbB-2 that is constitutively active. The method measures the ability of the isolated enzyme to catalyse the transfer of33P-labelled γ-phosphate from ATP onto tyrosine residues in a synthetic peptide. The enzyme is incubated for 1 hour, at room temperature, with 100μM ATP, 10mM MnCl2, 1 mg/ml PolyGluAlaTyr (6:3:1 ) and test compound (diluted from a 5mM stock in DMSO, final DMSO concentration is 2%) in 40mM HEPES buffer, pH 7.4. The reaction is stopped by the addition of EDTA (final concentration 0.1 M) and the peptide is then precipitated onto ion exchange filter paper and the incorporated radioactivity determined. The results are shown in the first column of Table 1 below as the IC50 values in nM.
The cell proliferation assay uses an immortalised human breast epithelial cell line (HB4a) which has been transformed by over-expression of c-erbB-2. Growth of these cells in low serum is dependent upon the c-erbB-2 tyrosine kinase activity. The specificity of the effect of the test compounds on tyrosine kinase dependent growth over general toxicity is assessed by comparison to an HB4a cell line which has been transfected with ras. Cells are plated at 3000/well in 96-well plates in 0.1 ml medium and allowed to attach ovemight. test compound is added in 0.1 ml medium, with a final concentration of 0.5% DMSO, and the plates incubated for 4 days at 37°C. The cells are then examined microscopically for evidence of morphological detransformation and cell mass is estimated by staining with methylene blue and measuring the absorbance at 620nm. The results are shown in the second and third columns of Table 1 below as the IC50 values in nM.
Table 1
Compound of erbB-2 Substrate HB4a erbB-2 Cell HB4a ras Cell Example Phosphorylation Proliferation Proliferation
1 1200 3500 10000

Claims

Claims
1. A compound of formula (I):
Figure imgf000022_0001
or a pharmaceutically acceptable salt thereof, wherein:
J, K, L and M form a saturated or unsaturated fused ring which is optionally substituted and in which:
(i) each of J, K, L and M represent carbon atoms that may be independently replaced by N, O or S; or (ii) any two contiguous positions in J, K, L and M taken together represent a single atom C, N, O or S with at least one of the remaining atoms being carbon and the other being selected from carbon, N, O or S; or (iii) any two contiguous positions in J, K , L and M taken together represent a
N atom with the remaining atoms also being N;
so that when the fused 5 or 6-membered ring represented by J, K, L and M bears one or two optional substituents in order to satisfy the valency requirements of the atoms in the fused ring and:
(i) when the ring atom is carbon, the substituents are independently selected from the group comprising: amino, cyano, halogen, hydroxy, C-|_4 alkyl, C<ι_4 alkoxy, C<|_4alkylthio, C1.4 alkylsulphinyl, C1. alkylamino, or (ii) when there are two adjacent carbon atoms in the fused ring, two substituents together form an optionally substituted methylenedioxy or ethylenedioxy group, or (iii) when the ring atom is nitrogen, the substituents are independently selected from the group comprising: C-|_4 alkyl, amino C2-4 alkyl, hydroxy C2-4 alkyl and C-|_4 alkoxy C2-4 alkyl;
subject to the provisos in (i) and (ii) above that the skeleton of the fused heterocyclic ring does not contain more than two atoms selected from O and S, and where the fused ring contains two such atoms said atoms do not occupy adjacent positions in the fused ring;
P and Q are carbon atoms in an aromatic ring which may be independently replaced to form an aromatic or non-aromatic ring by O, N, S, or a bond; or one of P and Q is C=C or C=N and the other a bond;
X is N or CH;
Y is a group W(CH2), (CH2)W, or W, in which W is O, S(O)m wherein m is 0, 1 or 2, or NRa wherein Ra is hydrogen or a C-μs alkyl group;
R1 and R2 are independently selected as appropriate to the nature of P and Q from the group comprising; not present, a lone pair of electrons, amino, hydrogen, halogen, hydroxy, nitro, carboxy, trifluoromethyl, trifluoromethoxy, carbamoyl, ureido, C-|_8 alkyl, Cι_8 alkoxy, C3.8 cycloalkoxy, C4_8 alkylcycloalkoxy, C<|_8 alkoxycarbonyl, N-C1.4 alkylcarbamoyl, N,N-di-[Cι_4 alkyljcarbamoyl, hydroxyamino, C1-4 alkoxyamino, C2- alkanoyloxyamino, C<|_4 alkylamino, di[C-|_4 alkyl]amino, C<|_8 alkylthio, arylthio, C1.4 alkylsulphinyl, arylsulphinyl, C-|_ alkylsulphonyl, arylsulphonyl, halogeno-C<|_4 alkyl, and hydroxy-C-|_4alkv';
R3 is selected from the group comprising; hydrogen, halogen, trifluoromethyl, C-μ 4 alkyl and Cι_4 alkoxy;
R4 is a group ZR^ wherein Z is joined to R$ through a (CH2)p group in which p is 0, 1 or 2 and Z represents a group V(CH2), V(CF2), (CH2)V, (CF2)V, or V in which V is a hydrocarbyl group containing 0,1 or 2 carbon atoms, carbonyl, CH(OH), sulphonamide, amide, O, S(O)m or NRb where Rb is hydrogen or R is Cι_4 alkyl; or R4 is a group ZR5 in which Z is NRb, and NRb and R5 together form an optionally substituted 5, 6, 7, 8, 9 or 10-membered heterocyclic moiety;
R5 is an optionally substituted 5, 6, 7, 8, 9 or 10-membered carbocyclic or heterocyclic moiety, or an optionally substituted C3_e cycloalkyl provided p is not zero; and
each R6 is independently selected from the group comprising; hydrogen, hydroxy, halogen, C-|_4 alkyl, C-|_ alkoxy, Cη_4 alkylamino, di-[C-j_ alkyl]amιno, C-|_4 alkylthio, C-|_4 alkylsulphinyl, C-|_ alkylsulphonyl, C-|_4 alkylcarbonyl, C-|_4 alkylcarbamoyl, di-[C<|_4 alkyl] carbamoyl, carbamyl, C-|_4 alkoxycarbonyl, cyano, nitro and trifluoromethyl, and n is 1 ,2 or 3.
2. A compound as claimed in claim 1 , wherein P and Q are both C atoms.
3. A compound as claimed in claim 1 , wherein one of P and Q is a N, O or S atom, with the other being a bond.
4. A compound as claimed in any one of claims 1 to 3, wherein J, K, L and M are all C atoms, optionally with J, K , L and M forming a further aromatic ring.
5. A compound as claimed in any preceding claim, wherein:
R1 and R2 are independently selected from the group comprising: amino, hydrogen, halogen, hydroxy, nitro, C-μs alkyl, Cι_s alkoxy, C<|_8 alkylthio, C-|_8 alkylsulphinyl, C-j.8 alkylsulphonyl, and C-|_4 alkylamino; R3 is hydrogen, C-j_4 alkyl, C-|_4 alkoxy or halogen;
R5 is an optionally substituted 5, 6, 7, 8, 9 or 10 membered-carbocyclic or heterocyclic moiety;
R6 is hydrogen, hydroxy, halogen, C<|_4 alkyl, C-|_4 alkoxy, di-[C-|_4 alkyl]amino, nitro or trifluoromethyl; and Z is oxygen, S or NRb wherein Rb is hydrogen, or C-|_4 alkyl.
6. A compound as claimed in any preceding claim, wherein R^ and R2 are independently selected from the group comprising: hydroxy, halogen, amino, C-μ 4 alkyl such as methyl, and Cι_4 alkoxy such as methoxy;
R3 is hydrogen; R4 is benzyl, phenoxy or benzyloxy;
X is N and Y is NR , NRb(CH2), or (CH2)NRb; or X is CH and Y is O or S(O) rrv wherein m, Ra and Rb are as defined in claim 1 ; and
R6 is hydrogen, halogen or methyl.
7. A compound as claimed in claim 1 selected from the group comprising: 4-(4-Benzyloxyanilino)benzo[g]quinazoline hydrochloride and 4-(4-Benzyloxyanilino)benzothieno[3,2-d]pyrimidine hydrochloride, and pharmaceutically acceptable salts thereof.
8. A pharmaceutical formulation comprising one or more compounds of formula (I), or a pharmaceutically acceptable salt thereof, together with one or more pharmaceutically acceptable carriers, diluents or excipients.
9. A pharmaceutical formulation as claimed in claim 8 in unit dosage form and containing a compound of formula (I) or a pharmaceutically acceptable salt thereof in an amount from 70 to 700 mg.
10. A process for the preparation of a compound of formula (I), or a pharmaceutically acceptable salt thereof, which process comprises the reaction of a compound of the formula (II).
Figure imgf000025_0001
with a compound of the formula
Figure imgf000025_0002
wherein L is a leaving group and X, Y, J, K, L, M, P, Q and R1 to R^ are as defined in claim 1.
11. A process as claimed in claim 10, wherein the process also includes the step of converting a compound of formula (I) into another compound of formula
(D-
12. A compound of formula (I), or a pharmaceutically acceptable salt thereof, for use in therapy.
13. Use of a compound of formula (I) or a pharmaceutically acceptable salt thereof in the preparation of a medicament for the treatment of a disorder mediated by aberrant tyrosine kinase activity.
14. Use of a compound of formula (I) or a pharmaceutically acceptable salt thereof in the preparation of a medicament for the treatment of malignant tumours.
15. Use of a compound of formula (I) or a pharmaceutically acceptable salt thereof in the preparation of a medicament for the treatment of atherosclerosis, restenosis or thrombosis.
16. A method of treatment of a human or animal subject suffering from a disorder mediated by aberrant tyrosine kinase activity which comprises administering to the human or animal subject an effective amount of a compound of formula (I) or a pharmaceutically acceptable salt thereof.
PCT/EP1996/0043961995-10-111996-10-10Tricyclic fused compounds and pharmaceutical compositions containing themWO1997013760A1 (en)

Priority Applications (1)

Application NumberPriority DateFiling DateTitle
AU72895/96AAU7289596A (en)1995-10-111996-10-10Tricyclic fused compounds and pharmaceutical compositions containing them

Applications Claiming Priority (2)

Application NumberPriority DateFiling DateTitle
GB9520822.91995-10-11
GBGB9520822.9AGB9520822D0 (en)1995-10-111995-10-11Therapeutically active compounds

Publications (1)

Publication NumberPublication Date
WO1997013760A1true WO1997013760A1 (en)1997-04-17

Family

ID=10782153

Family Applications (1)

Application NumberTitlePriority DateFiling Date
PCT/EP1996/004396WO1997013760A1 (en)1995-10-111996-10-10Tricyclic fused compounds and pharmaceutical compositions containing them

Country Status (3)

CountryLink
AU (1)AU7289596A (en)
GB (1)GB9520822D0 (en)
WO (1)WO1997013760A1 (en)

Cited By (126)

* Cited by examiner, † Cited by third party
Publication numberPriority datePublication dateAssigneeTitle
US5770599A (en)*1995-04-271998-06-23Zeneca LimitedQuinazoline derivatives
US5770603A (en)*1996-04-131998-06-23Zeneca LimitedQuinazoline derivatives
US5814630A (en)*1996-02-141998-09-29Zeneca LimitedQuinazoline compounds
US5821246A (en)*1994-11-121998-10-13Zeneca LimitedAniline derivatives
US5932574A (en)*1995-04-271999-08-03Zeneca LimitedQuinazoline derivatives
US5942514A (en)*1995-04-271999-08-24Zeneca LimitedQuinazoline derivatives
US5952333A (en)*1995-04-271999-09-14Zeneca LimitedQuinazoline derivative
US5955464A (en)*1994-11-301999-09-21Zeneca Limited4-anilinoquinazoline derivatives bearing a heteroaryl substituted at the 6-position and possessing anti-cell-proliferation properties
US5962458A (en)*1995-12-181999-10-05Zeneca LimitedSubstituted quinazolines
US6015814A (en)*1995-04-272000-01-18Zeneca LimitedQuinazoline derivative
US6184225B1 (en)1996-02-132001-02-06Zeneca LimitedQuinazoline derivatives as VEGF inhibitors
WO2001047892A1 (en)*1999-12-292001-07-05WyethTricyclic protein kinase inhibitors
US6291455B1 (en)1996-03-052001-09-18Zeneca Limited4-anilinoquinazoline derivatives
US6344459B1 (en)1996-04-122002-02-05Warner-Lambert CompanyIrreversible inhibitors of tyrosine kinases
WO2002030892A1 (en)*2000-10-112002-04-18Morphochem AgButenolide and pentenolide derivatives as kinase inhibitors
EP1206260A4 (en)*1999-06-302002-10-30Merck & Co IncSrc kinase inhibitor compounds
US6638929B2 (en)1999-12-292003-10-28WyethTricyclic protein kinase inhibitors
US6869962B2 (en)2002-06-142005-03-22Agouron Pharmaceuticals, Inc.Benzofused heterozryl amide derivatives of thienopyridines useful as therapeutic agents, pharmaceutical compositions including the same, and methods for their use
US6995171B2 (en)2001-06-212006-02-07Agouron Pharmaceuticals, Inc.Bicyclic pyrimidine and pyrimidine derivatives useful as anticancer agents
WO2006044524A1 (en)*2004-10-152006-04-27Bayer Pharmaceuticals CorporationBenzothieno’2,3-d! pyrimidine compounds as inhibitors of tyrosine kinase activities of the epidermal growth factor receptors (egfrs) for the treatment of hyperproliferative diseases
US7037498B2 (en)2001-01-052006-05-02Abgenix, Inc.Antibodies to insulin-like growth factor I receptor
US7053107B2 (en)2002-12-192006-05-30Agouron Pharmaceuticals, Inc.Indazole compounds and pharmaceutical compositions for inhibiting protein kinases, and methods for their use
US7078409B2 (en)2002-03-282006-07-18Beta Pharma, Inc.Fused quinazoline derivatives useful as tyrosine kinase inhibitors
WO2006055268A3 (en)*2004-10-272006-08-03Bayer Pharmaceuticals CorpPyrimidothienoindazoles capable of inhibiting tyrosine kinases of the epidermal growth factor
US7173038B1 (en)1999-11-052007-02-06Astrazeneca AbQuinazoline derivatives as VEGF inhibitors
WO2007035744A1 (en)2005-09-202007-03-29Osi Pharmaceuticals, Inc.Biological markers predictive of anti-cancer response to insulin-like growth factor-1 receptor kinase inhibitors
WO2005011594A3 (en)*2003-07-312007-04-12Epigenesis Pharmaceuticals LlcCombination of dehydroepiandrosterone or dehydroepiandrosterone-sulfate with a tyrosine kinase inhibitor, delta opioid receptor antagonist, neurokinin receptor antagonist, or vcam inhibitor for treatment of asthma or chronic obstructive pulmonary disease
US7208500B2 (en)2003-08-292007-04-24Agouron Pharmaceuticals, Inc.Thienopyridine-phenylacetamides and their derivatives useful as new anti-angiogenic agents
US7253286B2 (en)2000-10-202007-08-07Eisai Co., LtdNitrogen-containing aromatic derivatives
US7288251B2 (en)2001-11-092007-10-30Abgenix, Inc.Antibodies to CD40
WO2007132308A1 (en)2006-05-112007-11-22Pfizer Products Inc.Triazolopyrazine derivatives useful as anti-cancer agents
US7326414B2 (en)2003-09-102008-02-05Warner-Lambert Company LlcAntibodies to M-CSF
US7365197B2 (en)2000-12-292008-04-29WyethMethod for the regioselective preparation of substituted benzo[g]quinoline-3-carbonitriles and benzo[g]quinazolines
US7498420B2 (en)2003-08-042009-03-03Amgen Fremont Inc.Antibodies to c-Met
WO2009033094A2 (en)2007-09-072009-03-12Agensys, Inc.Antibodies and related molecules that bind to 24p4c12 proteins
US7537762B2 (en)2005-09-072009-05-26Amgen Fremont, Inc.Human monoclonal antibodies to activin receptor-like kinase-1
WO2009104026A1 (en)*2008-02-192009-08-27Vichem Chemie Kutató KftTricyclic benzo[4,5]thieno-[2,3-d]pyrimidine-4-yl-amin derivatives, their salts, process for producing the compounds and their pharmaceutical use
US7585866B2 (en)2002-07-312009-09-08Critical Outcome Technologies, Inc.Protein tyrosine kinase inhibitors
US7618626B2 (en)2004-07-162009-11-17Pfizer IncCombination treatment for non-hematologic malignancies
US7629347B2 (en)2002-10-092009-12-08Critical Outcome Technologies, Inc.Protein tyrosine kinase inhibitors
US7671072B2 (en)2003-11-262010-03-02Pfizer Inc.Aminopyrazole derivatives as GSK-3 inhibitors
WO2010045495A2 (en)2008-10-162010-04-22University Of Pittsburgh-Of The Commonwealth System Of Higher EducationFully human antibodies to high molecular weight-melanoma associated antigen and uses thereof
EP1799653A4 (en)*2004-08-202010-07-28Bayer Schering Pharma AgNovel heterocycles
WO2010090764A1 (en)2009-02-092010-08-12Supergen, Inc.Pyrrolopyrimidinyl axl kinase inhibitors
WO2010099364A2 (en)2009-02-272010-09-02Osi Pharmaceuticals, Inc.Methods for the identification of agents that inhibit mesenchymal-like tumor cells or their formation
WO2010099139A2 (en)2009-02-252010-09-02Osi Pharmaceuticals, Inc.Combination anti-cancer therapy
WO2010098866A1 (en)2009-02-272010-09-02Supergen, Inc.Cyclopentathiophene/cyclohexathiophene dna methyltransferase inhibitors
WO2010099138A2 (en)2009-02-272010-09-02Osi Pharmaceuticals, Inc.Methods for the identification of agents that inhibit mesenchymal-like tumor cells or their formation
WO2010099363A1 (en)2009-02-272010-09-02Osi Pharmaceuticals, Inc.Methods for the identification of agents that inhibit mesenchymal-like tumor cells or their formation
WO2010099137A2 (en)2009-02-262010-09-02Osi Pharmaceuticals, Inc.In situ methods for monitoring the emt status of tumor cells in vivo
EP2258700A1 (en)2006-05-092010-12-08Pfizer Products Inc.Cycloalkylamino acid derivatives and pharmaceutical compositions thereof
US7858643B2 (en)2004-08-262010-12-28Agouron Pharmaceuticals, Inc.Enantiomerically pure aminoheteroaryl compounds as protein kinase inhibitors
EP2292233A2 (en)1999-11-112011-03-09OSI Pharmaceuticals, Inc.Pharmaceutical uses of N-(3-Ethynylphenyl)-6,7-bis(2-methoxyethoxy)-4-quinazolinamine
WO2011027249A2 (en)2009-09-012011-03-10Pfizer Inc.Benzimidazole derivatives
WO2011098971A1 (en)2010-02-122011-08-18Pfizer Inc.Salts and polymorphs of 8-fluoro-2-{4-[(methylamino}methyl]phenyl}-1,3,4,5-tetrahydro-6h-azepino[5,4,3-cd]indol-6-one
WO2011109584A2 (en)2010-03-032011-09-09OSI Pharmaceuticals, LLCBiological markers predictive of anti-cancer response to insulin-like growth factor-1 receptor kinase inhibitors
WO2011109572A2 (en)2010-03-032011-09-09OSI Pharmaceuticals, LLCBiological markers predictive of anti-cancer response to insulin-like growth factor-1 receptor kinase inhibitors
US8058474B2 (en)2003-11-112011-11-15Eisai R&D Management Co., Ltd.Urea derivative and process for preparing the same
EP2444420A1 (en)2005-04-262012-04-25Pfizer Inc.P-Cadherin antibodies
EP2444099A1 (en)2005-03-312012-04-25Agensys, Inc.Antibodies and related molecules that bind to 161P2F10B proteins
WO2012052948A1 (en)2010-10-202012-04-26Pfizer Inc.Pyridine- 2- derivatives as smoothened receptor modulators
EP2476667A2 (en)2003-02-262012-07-18Sugen, Inc.Aminoheteroaryl compounds as protein kinase inhibitors
WO2012116040A1 (en)2011-02-222012-08-30OSI Pharmaceuticals, LLCBiological markers predictive of anti-cancer response to insulin-like growth factor-1 receptor kinase inhibitors in hepatocellular carcinoma
WO2012122499A2 (en)2011-03-092012-09-13Pestell Richard GProstate cancer cell lines, gene signatures and uses thereof
WO2012142164A1 (en)2011-04-122012-10-18The United States Of America, As Represented By The Secretary, Department Of Health & Human ServicesHuman monoclonal antibodies that bind insulin-like growth factor (igf) i and ii
WO2012145183A2 (en)2011-04-192012-10-26Pfizer Inc.Combinations of anti-4-1bb antibodies and adcc-inducing antibodies for the treatment of cancer
WO2012149014A1 (en)2011-04-252012-11-01OSI Pharmaceuticals, LLCUse of emt gene signatures in cancer drug discovery, diagnostics, and treatment
WO2013042006A1 (en)2011-09-222013-03-28Pfizer Inc.Pyrrolopyrimidine and purine derivatives
WO2013050725A1 (en)2011-10-042013-04-11King's College LondonIge anti -hmw-maa antibody
WO2013068902A1 (en)2011-11-082013-05-16Pfizer Inc.Methods of treating inflammatory disorders using anti-m-csf antibodies
WO2013152252A1 (en)2012-04-062013-10-10OSI Pharmaceuticals, LLCCombination anti-cancer therapy
WO2014093383A1 (en)2012-12-142014-06-19Arrien Pharmaceuticals LlcSubstituted 1h-pyrrolo [2,3-b] pyridine and 1h-pyrazolo [3, 4-b] pyridine derivatives as salt inducible kinase 2 (sik2) inhibitors
US8865737B2 (en)2006-08-282014-10-21Eisai R&D Management Co., Ltd.Antitumor agent for undifferentiated gastric cancer
US8895556B2 (en)2007-12-262014-11-25Critical Outcome Technologies Inc.Compounds and method for treatment of cancer
US8952035B2 (en)2007-11-092015-02-10Eisai R&D Management Co., Ltd.Combination of anti-angiogenic substance and anti-tumor platinum complex
US8962650B2 (en)2011-04-182015-02-24Eisai R&D Management Co., Ltd.Therapeutic agent for tumor
US8962655B2 (en)2007-01-292015-02-24Eisai R&D Management Co., Ltd.Composition for treatment of undifferentiated gastric cancer
US8969379B2 (en)2004-09-172015-03-03Eisai R&D Management Co., Ltd.Pharmaceutical compositions of 4-(3-chloro-4-(cyclopropylaminocarbonyl)aminophenoxy)-7=methoxy-6-quinolinecarboxide
US8969344B2 (en)2005-08-022015-03-03Eisai R&D Management Co., Ltd.Method for assay on the effect of vascularization inhibitor
US8987272B2 (en)2010-04-012015-03-24Critical Outcome Technologies Inc.Compounds and method for treatment of HIV
EP2851091A1 (en)2007-04-132015-03-25Dana-Farber Cancer Institute, Inc.Methods for treating cancer resistant to ERBB therapeutics
WO2015051302A1 (en)2013-10-042015-04-09Aptose Biosciences Inc.Compositions and methods for treating cancers
US9006256B2 (en)2006-05-182015-04-14Eisai R&D Management Co., Ltd.Antitumor agent for thyroid cancer
US9012458B2 (en)2010-06-252015-04-21Eisai R&D Management Co., Ltd.Antitumor agent using compounds having kinase inhibitory effect in combination
WO2015075598A1 (en)2013-11-212015-05-28Pfizer Inc.2,6-substituted purine derivatives and their use in the treatment of proliferative disorders
WO2015155624A1 (en)2014-04-102015-10-15Pfizer Inc.Dihydropyrrolopyrimidine derivatives
WO2015166373A1 (en)2014-04-302015-11-05Pfizer Inc.Cycloalkyl-linked diheterocycle derivatives
WO2016001789A1 (en)2014-06-302016-01-07Pfizer Inc.Pyrimidine derivatives as pi3k inhibitors for use in the treatment of cancer
WO2016019280A1 (en)2014-07-312016-02-04The Government Of The United States Of America As Represented By The Secretary Of The Department Of Health And Human ServicesHuman monoclonal antibodies against epha4 and their use
US9284275B2 (en)2007-01-112016-03-15Critical Outcome Technologies Inc.Inhibitor compounds and cancer treatment methods
US9334239B2 (en)2012-12-212016-05-10Eisai R&D Management Co., Ltd.Amorphous form of quinoline derivative, and method for producing same
WO2016097918A1 (en)2014-12-182016-06-23Pfizer Inc.Pyrimidine and triazine derivatives and their use as axl inhibitors
US9453836B2 (en)2012-05-142016-09-27Richard G. PestellUse of modulators of CCR5 in the treatment of cancer and cancer metastasis
WO2016178876A2 (en)2015-05-012016-11-10Cocrystal Pharma, Inc.Nucleoside analogs for treatment of the flaviviridae family of viruses and cancer
WO2017009751A1 (en)2015-07-152017-01-19Pfizer Inc.Pyrimidine derivatives
EP3135692A1 (en)2010-06-162017-03-01University of Pittsburgh of the Commonwealth System of Higher EducationAntibodies to endoplasmin and their use
WO2017096165A1 (en)2015-12-032017-06-08Agios Pharmaceuticals, Inc.Mat2a inhibitors for treating mtap null cancer
US9945862B2 (en)2011-06-032018-04-17Eisai R&D Management Co., Ltd.Biomarkers for predicting and assessing responsiveness of thyroid and kidney cancer subjects to lenvatinib compounds
EP3409278A1 (en)2011-07-212018-12-05Tolero Pharmaceuticals, Inc.Heterocyclic protein kinase inhibitors
US10259791B2 (en)2014-08-282019-04-16Eisai R&D Management Co., Ltd.High-purity quinoline derivative and method for manufacturing same
WO2019075367A1 (en)2017-10-132019-04-18Tolero Pharmaceuticals, Inc.Pkm2 activators in combination with reactive oxygen species for treatment of cancer
US10422788B2 (en)2016-12-192019-09-24Tolero Pharmaceuticals, Inc.Profiling peptides and methods for sensitivity profiling
EP3545956A1 (en)2013-04-182019-10-02Arrien Pharmaceuticals LLC3,5-(un)substituted-1h-pyrrolo[2,3-b]pyridine, 1h-pyrazolo[3,4-b]pyridine and 5h- pyrrolo[2,3-b]pyrazine dual itk and jak3 kinase inhibitors
US10517861B2 (en)2013-05-142019-12-31Eisai R&D Management Co., Ltd.Biomarkers for predicting and assessing responsiveness of endometrial cancer subjects to lenvatinib compounds
EP3590932A1 (en)2013-03-142020-01-08Tolero Pharmaceuticals, Inc.Jak2 and alk2 inhibitors and methods for their use
US10562925B2 (en)2015-05-182020-02-18Tolero Pharmaceuticals, Inc.Alvocidib prodrugs having increased bioavailability
US10568887B2 (en)2015-08-032020-02-25Tolero Pharmaceuticals, Inc.Combination therapies for treatment of cancer
US10624880B2 (en)2015-04-202020-04-21Tolero Pharmaceuticals, Inc.Predicting response to alvocidib by mitochondrial profiling
US10766865B2 (en)2012-10-162020-09-08Sumitomo Dainippon Pharma Oncology, Inc.PKM2 modulators and methods for their use
WO2020198077A1 (en)2019-03-222020-10-01Sumitomo Dainippon Pharma Oncology, Inc.Compositions comprising pkm2 modulators and methods of treatment using the same
US11034710B2 (en)2018-12-042021-06-15Sumitomo Dainippon Pharma Oncology, Inc.CDK9 inhibitors and polymorphs thereof for use as agents for treatment of cancer
US11040038B2 (en)2018-07-262021-06-22Sumitomo Dainippon Pharma Oncology, Inc.Methods for treating diseases associated with abnormal ACVR1 expression and ACVR1 inhibitors for use in the same
WO2021155006A1 (en)2020-01-312021-08-05Les Laboratoires Servier SasInhibitors of cyclin-dependent kinases and uses thereof
US11090386B2 (en)2015-02-252021-08-17Eisai R&D Management Co., Ltd.Method for suppressing bitterness of quinoline derivative
US11279694B2 (en)2016-11-182022-03-22Sumitomo Dainippon Pharma Oncology, Inc.Alvocidib prodrugs and their use as protein kinase inhibitors
US11369623B2 (en)2015-06-162022-06-28Prism Pharma Co., Ltd.Anticancer combination of a CBP/catenin inhibitor and an immune checkpoint inhibitor
WO2022143533A1 (en)*2020-12-302022-07-07成都百裕制药股份有限公司Quinazoline derivative and use thereof in medicine
US11471456B2 (en)2019-02-122022-10-18Sumitomo Pharma Oncology, Inc.Formulations comprising heterocyclic protein kinase inhibitors
CN115260207A (en)*2021-04-302022-11-01赣江新区博瑞创新医药有限公司Tricyclic compound, pharmaceutical composition and application thereof
US11497756B2 (en)2017-09-122022-11-15Sumitomo Pharma Oncology, Inc.Treatment regimen for cancers that are insensitive to BCL-2 inhibitors using the MCL-1 inhibitor alvocidib
US11524956B2 (en)2011-03-042022-12-13Newgen Therapeutics, Inc.Alkyne substituted quinazoline compound and methods of use
US11547705B2 (en)2015-03-042023-01-10Merck Sharp & Dohme LlcCombination of a PD-1 antagonist and a VEGF-R/FGFR/RET tyrosine kinase inhibitor for treating cancer
US11793802B2 (en)2019-03-202023-10-24Sumitomo Pharma Oncology, Inc.Treatment of acute myeloid leukemia (AML) with venetoclax failure
US12220398B2 (en)2015-08-202025-02-11Eisai R&D Management Co., Ltd.Tumor therapeutic agent
US12226409B2 (en)2017-05-162025-02-18Eisai R&D Management Co., Ltd.Treatment of hepatocellular carcinoma
US12303505B2 (en)2017-02-082025-05-20Eisai R&D Management Co., Ltd.Tumor-treating pharmaceutical composition

Citations (3)

* Cited by examiner, † Cited by third party
Publication numberPriority datePublication dateAssigneeTitle
US3755583A (en)*1970-06-051973-08-28Chas0!nhx
EP0635507A1 (en)*1993-07-191995-01-25Zeneca LimitedTricyclic derivatives and their use as anti-cancer agents
WO1995019970A1 (en)*1994-01-251995-07-27Warner-Lambert CompanyTricyclic compounds capable of inhibiting tyrosine kinases of the epidermal growth factor receptor family

Patent Citations (3)

* Cited by examiner, † Cited by third party
Publication numberPriority datePublication dateAssigneeTitle
US3755583A (en)*1970-06-051973-08-28Chas0!nhx
EP0635507A1 (en)*1993-07-191995-01-25Zeneca LimitedTricyclic derivatives and their use as anti-cancer agents
WO1995019970A1 (en)*1994-01-251995-07-27Warner-Lambert CompanyTricyclic compounds capable of inhibiting tyrosine kinases of the epidermal growth factor receptor family

Cited By (195)

* Cited by examiner, † Cited by third party
Publication numberPriority datePublication dateAssigneeTitle
US5821246A (en)*1994-11-121998-10-13Zeneca LimitedAniline derivatives
US5955464A (en)*1994-11-301999-09-21Zeneca Limited4-anilinoquinazoline derivatives bearing a heteroaryl substituted at the 6-position and possessing anti-cell-proliferation properties
US5770599A (en)*1995-04-271998-06-23Zeneca LimitedQuinazoline derivatives
US6015814A (en)*1995-04-272000-01-18Zeneca LimitedQuinazoline derivative
US5932574A (en)*1995-04-271999-08-03Zeneca LimitedQuinazoline derivatives
US5942514A (en)*1995-04-271999-08-24Zeneca LimitedQuinazoline derivatives
US5952333A (en)*1995-04-271999-09-14Zeneca LimitedQuinazoline derivative
US5962458A (en)*1995-12-181999-10-05Zeneca LimitedSubstituted quinazolines
US6071921A (en)*1995-12-182000-06-06Zeneca LimitedChemical compounds
US6258951B1 (en)1995-12-182001-07-10Zeneca LimitedChemical compounds
US6362336B1 (en)1995-12-182002-03-26Zeneca LimitedChemical compounds
US6184225B1 (en)1996-02-132001-02-06Zeneca LimitedQuinazoline derivatives as VEGF inhibitors
US5814630A (en)*1996-02-141998-09-29Zeneca LimitedQuinazoline compounds
US6291455B1 (en)1996-03-052001-09-18Zeneca Limited4-anilinoquinazoline derivatives
US6602863B1 (en)1996-04-122003-08-05Warner-Lambert CompanyIrreversible inhibitors of tyrosine kinases
US7786131B2 (en)1996-04-122010-08-31Warner-Lambert CompanyPyrimido[5,4-d]pyrimidines derivatives as irreversible inhibitors of tyrosine kinases
US6344459B1 (en)1996-04-122002-02-05Warner-Lambert CompanyIrreversible inhibitors of tyrosine kinases
US5770603A (en)*1996-04-131998-06-23Zeneca LimitedQuinazoline derivatives
EP1206260A4 (en)*1999-06-302002-10-30Merck & Co IncSrc kinase inhibitor compounds
US10457664B2 (en)1999-11-052019-10-29Genzyme CorporationQuinazoline derivatives as VEGF inhibitors
US9040548B2 (en)1999-11-052015-05-26Astrazeneca AbQuinazoline derivatives as VEGF inhibitors
US7173038B1 (en)1999-11-052007-02-06Astrazeneca AbQuinazoline derivatives as VEGF inhibitors
EP2292233A2 (en)1999-11-112011-03-09OSI Pharmaceuticals, Inc.Pharmaceutical uses of N-(3-Ethynylphenyl)-6,7-bis(2-methoxyethoxy)-4-quinazolinamine
EP3100730A1 (en)1999-11-112016-12-07OSI Pharmaceuticals, LLCN-(3-ethynylphenyl)-6,7-bis(2-methoxyethoxy)-4-quinazolinamine for use in the treatment of nsclc
US7105531B2 (en)1999-12-292006-09-12WyethTricyclic protein kinase inhibitors
US6638929B2 (en)1999-12-292003-10-28WyethTricyclic protein kinase inhibitors
WO2001047892A1 (en)*1999-12-292001-07-05WyethTricyclic protein kinase inhibitors
WO2002030892A1 (en)*2000-10-112002-04-18Morphochem AgButenolide and pentenolide derivatives as kinase inhibitors
US7253286B2 (en)2000-10-202007-08-07Eisai Co., LtdNitrogen-containing aromatic derivatives
US7973160B2 (en)2000-10-202011-07-05Eisai R&D Management Co., Ltd.Nitrogen-containing aromatic derivatives
US8372981B2 (en)2000-10-202013-02-12Eisai R&D Management Co., Ltd.Nitrogen-containing aromatic derivatives
US7365197B2 (en)2000-12-292008-04-29WyethMethod for the regioselective preparation of substituted benzo[g]quinoline-3-carbonitriles and benzo[g]quinazolines
EP2796468A2 (en)2001-01-052014-10-29Pfizer IncAntibodies to insulin-like growth factor I receptor
US7815907B2 (en)2001-01-052010-10-19Amgen Fremont Inc.Antibodies to insulin-like growth factor I receptor
EP2194067A2 (en)2001-01-052010-06-09Pfizer Inc.Antibodies to insulin-like growth factor I receptor (IGF-IR)
US9234041B2 (en)2001-01-052016-01-12Pfizer Inc.Antibodies to insulin-like growth factor I receptor
US7037498B2 (en)2001-01-052006-05-02Abgenix, Inc.Antibodies to insulin-like growth factor I receptor
US7700742B2 (en)2001-01-052010-04-20Amgen FremontAntibodies to insulin-like growth factor I receptor
US6995171B2 (en)2001-06-212006-02-07Agouron Pharmaceuticals, Inc.Bicyclic pyrimidine and pyrimidine derivatives useful as anticancer agents
US7338660B2 (en)2001-11-092008-03-04Abgenix, Inc.Methods of treating cancer and enhancing immune responses with antibodies that bind CD40
US7618633B2 (en)2001-11-092009-11-17Amgen Fremont Inc.Antibodies that bind CD40 and methods of treating cancer and enhancing immune responses
US7626012B2 (en)2001-11-092009-12-01Amgen Fremont Inc.Nucleic acid molecules which encode antibodies that bind CD40
US7288251B2 (en)2001-11-092007-10-30Abgenix, Inc.Antibodies to CD40
EP2343086A2 (en)2001-11-092011-07-13Pfizer Products Inc.Antibodies to CD40
US7563442B2 (en)2001-11-092009-07-21Abgenix, Inc.Antibodies to CD40 and methods of treating cancer and enhancing immune responses
US7078409B2 (en)2002-03-282006-07-18Beta Pharma, Inc.Fused quinazoline derivatives useful as tyrosine kinase inhibitors
US7045528B2 (en)2002-06-142006-05-16Agouron Pharmaceuticals, Inc.Benzofused heterozryl amide derivatives of thienopyridines useful as therapeutic agents, pharmaceutical compositions including the same, and methods for their use
US6869962B2 (en)2002-06-142005-03-22Agouron Pharmaceuticals, Inc.Benzofused heterozryl amide derivatives of thienopyridines useful as therapeutic agents, pharmaceutical compositions including the same, and methods for their use
US7585866B2 (en)2002-07-312009-09-08Critical Outcome Technologies, Inc.Protein tyrosine kinase inhibitors
US8252800B2 (en)2002-07-312012-08-28Critical Outcome TechnologiesProtein tyrosine kinase inhibitors
US7629347B2 (en)2002-10-092009-12-08Critical Outcome Technologies, Inc.Protein tyrosine kinase inhibitors
US7053107B2 (en)2002-12-192006-05-30Agouron Pharmaceuticals, Inc.Indazole compounds and pharmaceutical compositions for inhibiting protein kinases, and methods for their use
EP2476667A2 (en)2003-02-262012-07-18Sugen, Inc.Aminoheteroaryl compounds as protein kinase inhibitors
WO2005011594A3 (en)*2003-07-312007-04-12Epigenesis Pharmaceuticals LlcCombination of dehydroepiandrosterone or dehydroepiandrosterone-sulfate with a tyrosine kinase inhibitor, delta opioid receptor antagonist, neurokinin receptor antagonist, or vcam inhibitor for treatment of asthma or chronic obstructive pulmonary disease
US7498420B2 (en)2003-08-042009-03-03Amgen Fremont Inc.Antibodies to c-Met
US7208500B2 (en)2003-08-292007-04-24Agouron Pharmaceuticals, Inc.Thienopyridine-phenylacetamides and their derivatives useful as new anti-angiogenic agents
US7592430B2 (en)2003-09-102009-09-22Amgen FremontAntibodies to M-CSF
US7326414B2 (en)2003-09-102008-02-05Warner-Lambert Company LlcAntibodies to M-CSF
US10280219B2 (en)2003-09-102019-05-07Amgen Fremont Inc.Antibodies to M-CSF
EP3170840A1 (en)2003-09-102017-05-24Warner-Lambert Company LLCAntibodies to m-csf
US9718883B2 (en)2003-09-102017-08-01Amgen Fremont Inc.Antibodies to M-CSF
US8058474B2 (en)2003-11-112011-11-15Eisai R&D Management Co., Ltd.Urea derivative and process for preparing the same
US7671072B2 (en)2003-11-262010-03-02Pfizer Inc.Aminopyrazole derivatives as GSK-3 inhibitors
US7618626B2 (en)2004-07-162009-11-17Pfizer IncCombination treatment for non-hematologic malignancies
EP1799653A4 (en)*2004-08-202010-07-28Bayer Schering Pharma AgNovel heterocycles
US7858643B2 (en)2004-08-262010-12-28Agouron Pharmaceuticals, Inc.Enantiomerically pure aminoheteroaryl compounds as protein kinase inhibitors
US8785632B2 (en)2004-08-262014-07-22Agouron Pharmaceuticals, Inc.Enantiomerically pure aminoheteroaryl compounds as protein kinase inhibitors
US8969379B2 (en)2004-09-172015-03-03Eisai R&D Management Co., Ltd.Pharmaceutical compositions of 4-(3-chloro-4-(cyclopropylaminocarbonyl)aminophenoxy)-7=methoxy-6-quinolinecarboxide
US9504746B2 (en)2004-09-172016-11-29Eisai R&D Management Co., Ltd.Pharmaceutical compositions of 4-(3-chloro-4-(cyclopropylaminocarbonyl)aminophenoxy)-7-methoxy-6-quinolinecarboxamide
WO2006044524A1 (en)*2004-10-152006-04-27Bayer Pharmaceuticals CorporationBenzothieno’2,3-d! pyrimidine compounds as inhibitors of tyrosine kinase activities of the epidermal growth factor receptors (egfrs) for the treatment of hyperproliferative diseases
US7750017B2 (en)2004-10-152010-07-06Bayer Schering Pharma AktiengesellschaftHeterocycles
WO2006055268A3 (en)*2004-10-272006-08-03Bayer Pharmaceuticals CorpPyrimidothienoindazoles capable of inhibiting tyrosine kinases of the epidermal growth factor
US7511048B2 (en)2004-10-272009-03-31Bayer Pharmaceuticals CorporationPyrimidothienoindazoles
EP3300739A2 (en)2005-03-312018-04-04Agensys, Inc.Antibodies and related molecules that bind to 161p2f10b proteins
EP2444099A1 (en)2005-03-312012-04-25Agensys, Inc.Antibodies and related molecules that bind to 161P2F10B proteins
EP2444420A1 (en)2005-04-262012-04-25Pfizer Inc.P-Cadherin antibodies
EP2444421A1 (en)2005-04-262012-04-25Pfizer Inc.P-Cadherin antibodies
EP2444419A1 (en)2005-04-262012-04-25Pfizer Inc.P-Cadherin antibodies
US8969344B2 (en)2005-08-022015-03-03Eisai R&D Management Co., Ltd.Method for assay on the effect of vascularization inhibitor
US9006240B2 (en)2005-08-022015-04-14Eisai R&D Management Co., Ltd.Method for assay on the effect of vascularization inhibitor
EP3381945A1 (en)2005-09-072018-10-03Amgen Fremont Inc.Human monoclonal antibodies to activin receptor-like kinase-1
EP2447283A2 (en)2005-09-072012-05-02Amgen Fremont Inc.Human monoclonal antibodies to activin receptor-like kinase-1 (ALK-1)
EP2960253A1 (en)2005-09-072015-12-30Amgen Fremont Inc.Human monoclonal antibodies to activin receptor-like kinase-1
US9221915B2 (en)2005-09-072015-12-29Pfizer Inc.Human monoclonal antibodies to activin receptor-like kinase-1
US7537762B2 (en)2005-09-072009-05-26Amgen Fremont, Inc.Human monoclonal antibodies to activin receptor-like kinase-1
EP2372363A1 (en)2005-09-202011-10-05OSI Pharmaceuticals, Inc.Biological markers predictive of anti-cancer response to insulin-like growth factor-1
WO2007035744A1 (en)2005-09-202007-03-29Osi Pharmaceuticals, Inc.Biological markers predictive of anti-cancer response to insulin-like growth factor-1 receptor kinase inhibitors
EP2258700A1 (en)2006-05-092010-12-08Pfizer Products Inc.Cycloalkylamino acid derivatives and pharmaceutical compositions thereof
WO2007132308A1 (en)2006-05-112007-11-22Pfizer Products Inc.Triazolopyrazine derivatives useful as anti-cancer agents
US9006256B2 (en)2006-05-182015-04-14Eisai R&D Management Co., Ltd.Antitumor agent for thyroid cancer
US8865737B2 (en)2006-08-282014-10-21Eisai R&D Management Co., Ltd.Antitumor agent for undifferentiated gastric cancer
US9284275B2 (en)2007-01-112016-03-15Critical Outcome Technologies Inc.Inhibitor compounds and cancer treatment methods
US8962655B2 (en)2007-01-292015-02-24Eisai R&D Management Co., Ltd.Composition for treatment of undifferentiated gastric cancer
EP2851091A1 (en)2007-04-132015-03-25Dana-Farber Cancer Institute, Inc.Methods for treating cancer resistant to ERBB therapeutics
WO2009033094A2 (en)2007-09-072009-03-12Agensys, Inc.Antibodies and related molecules that bind to 24p4c12 proteins
US8952035B2 (en)2007-11-092015-02-10Eisai R&D Management Co., Ltd.Combination of anti-angiogenic substance and anti-tumor platinum complex
US8895556B2 (en)2007-12-262014-11-25Critical Outcome Technologies Inc.Compounds and method for treatment of cancer
WO2009104026A1 (en)*2008-02-192009-08-27Vichem Chemie Kutató KftTricyclic benzo[4,5]thieno-[2,3-d]pyrimidine-4-yl-amin derivatives, their salts, process for producing the compounds and their pharmaceutical use
US8802849B2 (en)2008-02-192014-08-12Vichem Chemie Kutató Kft.Tricyclic benzo[4,5]thieno-[2,3-d]pyrimidine-4-yl-amin derivatives, their salts, process for producing the compounds and their pharmaceutical use
WO2010045495A2 (en)2008-10-162010-04-22University Of Pittsburgh-Of The Commonwealth System Of Higher EducationFully human antibodies to high molecular weight-melanoma associated antigen and uses thereof
WO2010090764A1 (en)2009-02-092010-08-12Supergen, Inc.Pyrrolopyrimidinyl axl kinase inhibitors
WO2010099139A2 (en)2009-02-252010-09-02Osi Pharmaceuticals, Inc.Combination anti-cancer therapy
WO2010099137A2 (en)2009-02-262010-09-02Osi Pharmaceuticals, Inc.In situ methods for monitoring the emt status of tumor cells in vivo
WO2010099363A1 (en)2009-02-272010-09-02Osi Pharmaceuticals, Inc.Methods for the identification of agents that inhibit mesenchymal-like tumor cells or their formation
WO2010099364A2 (en)2009-02-272010-09-02Osi Pharmaceuticals, Inc.Methods for the identification of agents that inhibit mesenchymal-like tumor cells or their formation
WO2010099138A2 (en)2009-02-272010-09-02Osi Pharmaceuticals, Inc.Methods for the identification of agents that inhibit mesenchymal-like tumor cells or their formation
WO2010098866A1 (en)2009-02-272010-09-02Supergen, Inc.Cyclopentathiophene/cyclohexathiophene dna methyltransferase inhibitors
WO2011027249A2 (en)2009-09-012011-03-10Pfizer Inc.Benzimidazole derivatives
EP4166558A1 (en)2010-02-122023-04-19Pfizer Inc.Salts and polymorphs of 8-fluoro-2-{4- [(methylamino)methyl]phenyl}-1 ,3,4,5-tetrahydro-6h-azepino[5,4,3- cd]indol-6-one
EP3597651A1 (en)2010-02-122020-01-22Pfizer IncSalts and polymorphs of 8-fluoro-2-{4- [(methylamino)methyl]phenyl}-1 ,3,4,5-tetrahydro-6h-azepino[5,4,3- cd]indol-6-one
WO2011098971A1 (en)2010-02-122011-08-18Pfizer Inc.Salts and polymorphs of 8-fluoro-2-{4-[(methylamino}methyl]phenyl}-1,3,4,5-tetrahydro-6h-azepino[5,4,3-cd]indol-6-one
EP3150610A1 (en)2010-02-122017-04-05Pfizer IncSalts and polymorphs of 8-fluoro-2-{4-[(methylamino}methyl]phenyl}-1,3,4,5-tetrahydro-6h-azepino[5,4,3-cd]indol-6-one
WO2011109584A2 (en)2010-03-032011-09-09OSI Pharmaceuticals, LLCBiological markers predictive of anti-cancer response to insulin-like growth factor-1 receptor kinase inhibitors
WO2011109572A2 (en)2010-03-032011-09-09OSI Pharmaceuticals, LLCBiological markers predictive of anti-cancer response to insulin-like growth factor-1 receptor kinase inhibitors
US8987272B2 (en)2010-04-012015-03-24Critical Outcome Technologies Inc.Compounds and method for treatment of HIV
US9422282B2 (en)2010-04-012016-08-23Critical Outcome Technologies Inc.Compounds and method for treatment of HIV
US9624220B2 (en)2010-04-012017-04-18Critical Outcome Technologies Inc.Compounds and method for treatment of HIV
EP3135692A1 (en)2010-06-162017-03-01University of Pittsburgh of the Commonwealth System of Higher EducationAntibodies to endoplasmin and their use
US9012458B2 (en)2010-06-252015-04-21Eisai R&D Management Co., Ltd.Antitumor agent using compounds having kinase inhibitory effect in combination
WO2012052948A1 (en)2010-10-202012-04-26Pfizer Inc.Pyridine- 2- derivatives as smoothened receptor modulators
WO2012116040A1 (en)2011-02-222012-08-30OSI Pharmaceuticals, LLCBiological markers predictive of anti-cancer response to insulin-like growth factor-1 receptor kinase inhibitors in hepatocellular carcinoma
US11524956B2 (en)2011-03-042022-12-13Newgen Therapeutics, Inc.Alkyne substituted quinazoline compound and methods of use
US10952415B2 (en)2011-03-092021-03-23Richard G. PestellProstate cancer cell lines, gene signatures and uses thereof
WO2012122499A2 (en)2011-03-092012-09-13Pestell Richard GProstate cancer cell lines, gene signatures and uses thereof
EP3597761A1 (en)2011-03-092020-01-22Richard G. PestellProstate cancer cell lines, gene signatures and uses thereof
WO2012142164A1 (en)2011-04-122012-10-18The United States Of America, As Represented By The Secretary, Department Of Health & Human ServicesHuman monoclonal antibodies that bind insulin-like growth factor (igf) i and ii
US8962650B2 (en)2011-04-182015-02-24Eisai R&D Management Co., Ltd.Therapeutic agent for tumor
WO2012145183A2 (en)2011-04-192012-10-26Pfizer Inc.Combinations of anti-4-1bb antibodies and adcc-inducing antibodies for the treatment of cancer
EP3536708A1 (en)2011-04-192019-09-11Pfizer IncCombinations of anti-4-1bb antibodies and adcc-inducing antibodies for the treatment of cancer
WO2012149014A1 (en)2011-04-252012-11-01OSI Pharmaceuticals, LLCUse of emt gene signatures in cancer drug discovery, diagnostics, and treatment
US11598776B2 (en)2011-06-032023-03-07Eisai R&D Management Co., Ltd.Biomarkers for predicting and assessing responsiveness of thyroid and kidney cancer subjects to lenvatinib compounds
US9945862B2 (en)2011-06-032018-04-17Eisai R&D Management Co., Ltd.Biomarkers for predicting and assessing responsiveness of thyroid and kidney cancer subjects to lenvatinib compounds
EP3409278A1 (en)2011-07-212018-12-05Tolero Pharmaceuticals, Inc.Heterocyclic protein kinase inhibitors
EP3812387A1 (en)2011-07-212021-04-28Sumitomo Dainippon Pharma Oncology, Inc.Heterocyclic protein kinase inhibitors
US10875864B2 (en)2011-07-212020-12-29Sumitomo Dainippon Pharma Oncology, Inc.Substituted imidazo[1,2-B]pyridazines as protein kinase inhibitors
WO2013042006A1 (en)2011-09-222013-03-28Pfizer Inc.Pyrrolopyrimidine and purine derivatives
WO2013050725A1 (en)2011-10-042013-04-11King's College LondonIge anti -hmw-maa antibody
EP3275902A1 (en)2011-10-042018-01-31IGEM Therapeutics LimitedIge anti-hmw-maa antibody
WO2013068902A1 (en)2011-11-082013-05-16Pfizer Inc.Methods of treating inflammatory disorders using anti-m-csf antibodies
WO2013152252A1 (en)2012-04-062013-10-10OSI Pharmaceuticals, LLCCombination anti-cancer therapy
US9453836B2 (en)2012-05-142016-09-27Richard G. PestellUse of modulators of CCR5 in the treatment of cancer and cancer metastasis
US11633397B2 (en)2012-05-142023-04-25Richard G. PestellUse of modulators of CCR5 in the treatment of cancer and cancer metastasis
US10766865B2 (en)2012-10-162020-09-08Sumitomo Dainippon Pharma Oncology, Inc.PKM2 modulators and methods for their use
WO2014093383A1 (en)2012-12-142014-06-19Arrien Pharmaceuticals LlcSubstituted 1h-pyrrolo [2,3-b] pyridine and 1h-pyrazolo [3, 4-b] pyridine derivatives as salt inducible kinase 2 (sik2) inhibitors
US9334239B2 (en)2012-12-212016-05-10Eisai R&D Management Co., Ltd.Amorphous form of quinoline derivative, and method for producing same
US10752594B2 (en)2013-03-142020-08-25Sumitomo Dainippon Pharma Oncology, Inc.JAK1 and ALK2 inhibitors and methods for their use
EP3590932A1 (en)2013-03-142020-01-08Tolero Pharmaceuticals, Inc.Jak2 and alk2 inhibitors and methods for their use
EP3545956A1 (en)2013-04-182019-10-02Arrien Pharmaceuticals LLC3,5-(un)substituted-1h-pyrrolo[2,3-b]pyridine, 1h-pyrazolo[3,4-b]pyridine and 5h- pyrrolo[2,3-b]pyrazine dual itk and jak3 kinase inhibitors
US10517861B2 (en)2013-05-142019-12-31Eisai R&D Management Co., Ltd.Biomarkers for predicting and assessing responsiveness of endometrial cancer subjects to lenvatinib compounds
EP3650023A1 (en)2013-10-042020-05-13Aptose Biosciences Inc.Compositions for treating cancers
WO2015051302A1 (en)2013-10-042015-04-09Aptose Biosciences Inc.Compositions and methods for treating cancers
WO2015075598A1 (en)2013-11-212015-05-28Pfizer Inc.2,6-substituted purine derivatives and their use in the treatment of proliferative disorders
WO2015155624A1 (en)2014-04-102015-10-15Pfizer Inc.Dihydropyrrolopyrimidine derivatives
EP3556757A1 (en)2014-04-302019-10-23Pfizer IncCycloalkyl-linked diheterocycle derivatives
WO2015166373A1 (en)2014-04-302015-11-05Pfizer Inc.Cycloalkyl-linked diheterocycle derivatives
WO2016001789A1 (en)2014-06-302016-01-07Pfizer Inc.Pyrimidine derivatives as pi3k inhibitors for use in the treatment of cancer
WO2016019280A1 (en)2014-07-312016-02-04The Government Of The United States Of America As Represented By The Secretary Of The Department Of Health And Human ServicesHuman monoclonal antibodies against epha4 and their use
EP3473271A1 (en)2014-07-312019-04-24The Government of the United States of America as represented by the Secretary of the Department of Health and Human ServicesHuman monoclonal antibodies against epha4 and their use
US10822307B2 (en)2014-08-282020-11-03Eisai R&D Management Co., Ltd.High-purity quinoline derivative and method for manufacturing same
US10407393B2 (en)2014-08-282019-09-10Eisai R&D Management Co., Ltd.High-purity quinoline derivative and method for manufacturing same
US10259791B2 (en)2014-08-282019-04-16Eisai R&D Management Co., Ltd.High-purity quinoline derivative and method for manufacturing same
US11186547B2 (en)2014-08-282021-11-30Eisai R&D Management Co., Ltd.High-purity quinoline derivative and method for manufacturing same
US9593097B2 (en)2014-12-182017-03-14Pfizer Inc.Axl inhibitors
WO2016097918A1 (en)2014-12-182016-06-23Pfizer Inc.Pyrimidine and triazine derivatives and their use as axl inhibitors
US11090386B2 (en)2015-02-252021-08-17Eisai R&D Management Co., Ltd.Method for suppressing bitterness of quinoline derivative
US12083112B2 (en)2015-03-042024-09-10Eisai R&D Management Co., Ltd.Combination of a PD-1 antagonist and a VEGFR/FGFR/RET tyrosine kinase inhibitor for treating cancer
US11547705B2 (en)2015-03-042023-01-10Merck Sharp & Dohme LlcCombination of a PD-1 antagonist and a VEGF-R/FGFR/RET tyrosine kinase inhibitor for treating cancer
US10624880B2 (en)2015-04-202020-04-21Tolero Pharmaceuticals, Inc.Predicting response to alvocidib by mitochondrial profiling
WO2016178876A2 (en)2015-05-012016-11-10Cocrystal Pharma, Inc.Nucleoside analogs for treatment of the flaviviridae family of viruses and cancer
US10562925B2 (en)2015-05-182020-02-18Tolero Pharmaceuticals, Inc.Alvocidib prodrugs having increased bioavailability
US12338261B2 (en)2015-05-182025-06-24Sumitomo Pharma Oncology, Inc.Alvocidib prodrugs having increased bioavailability
US11369623B2 (en)2015-06-162022-06-28Prism Pharma Co., Ltd.Anticancer combination of a CBP/catenin inhibitor and an immune checkpoint inhibitor
WO2017009751A1 (en)2015-07-152017-01-19Pfizer Inc.Pyrimidine derivatives
US10568887B2 (en)2015-08-032020-02-25Tolero Pharmaceuticals, Inc.Combination therapies for treatment of cancer
US10835537B2 (en)2015-08-032020-11-17Sumitomo Dainippon Pharma Oncology, Inc.Combination therapies for treatment of cancer
US10682356B2 (en)2015-08-032020-06-16Tolero Pharmaceuticals, Inc.Combination therapies for treatment of cancer
US12220398B2 (en)2015-08-202025-02-11Eisai R&D Management Co., Ltd.Tumor therapeutic agent
WO2017096165A1 (en)2015-12-032017-06-08Agios Pharmaceuticals, Inc.Mat2a inhibitors for treating mtap null cancer
US11279694B2 (en)2016-11-182022-03-22Sumitomo Dainippon Pharma Oncology, Inc.Alvocidib prodrugs and their use as protein kinase inhibitors
US10422788B2 (en)2016-12-192019-09-24Tolero Pharmaceuticals, Inc.Profiling peptides and methods for sensitivity profiling
US12303505B2 (en)2017-02-082025-05-20Eisai R&D Management Co., Ltd.Tumor-treating pharmaceutical composition
US12226409B2 (en)2017-05-162025-02-18Eisai R&D Management Co., Ltd.Treatment of hepatocellular carcinoma
US11497756B2 (en)2017-09-122022-11-15Sumitomo Pharma Oncology, Inc.Treatment regimen for cancers that are insensitive to BCL-2 inhibitors using the MCL-1 inhibitor alvocidib
WO2019075367A1 (en)2017-10-132019-04-18Tolero Pharmaceuticals, Inc.Pkm2 activators in combination with reactive oxygen species for treatment of cancer
US11040038B2 (en)2018-07-262021-06-22Sumitomo Dainippon Pharma Oncology, Inc.Methods for treating diseases associated with abnormal ACVR1 expression and ACVR1 inhibitors for use in the same
US11530231B2 (en)2018-12-042022-12-20Sumitomo Pharma Oncology, Inc.CDK9 inhibitors and polymorphs thereof for use as agents for treatment of cancer
US11034710B2 (en)2018-12-042021-06-15Sumitomo Dainippon Pharma Oncology, Inc.CDK9 inhibitors and polymorphs thereof for use as agents for treatment of cancer
US12077554B2 (en)2018-12-042024-09-03Sumitomo Pharma Oncology, Inc.CDK9 inhibitors and polymorphs thereof for use as agents for treatment of cancer
US11471456B2 (en)2019-02-122022-10-18Sumitomo Pharma Oncology, Inc.Formulations comprising heterocyclic protein kinase inhibitors
US11793802B2 (en)2019-03-202023-10-24Sumitomo Pharma Oncology, Inc.Treatment of acute myeloid leukemia (AML) with venetoclax failure
US11712433B2 (en)2019-03-222023-08-01Sumitomo Pharma Oncology, Inc.Compositions comprising PKM2 modulators and methods of treatment using the same
WO2020198077A1 (en)2019-03-222020-10-01Sumitomo Dainippon Pharma Oncology, Inc.Compositions comprising pkm2 modulators and methods of treatment using the same
WO2021155006A1 (en)2020-01-312021-08-05Les Laboratoires Servier SasInhibitors of cyclin-dependent kinases and uses thereof
WO2022143533A1 (en)*2020-12-302022-07-07成都百裕制药股份有限公司Quinazoline derivative and use thereof in medicine
CN115260207A (en)*2021-04-302022-11-01赣江新区博瑞创新医药有限公司Tricyclic compound, pharmaceutical composition and application thereof

Also Published As

Publication numberPublication date
GB9520822D0 (en)1995-12-13
AU7289596A (en)1997-04-30

Similar Documents

PublicationPublication DateTitle
WO1997013760A1 (en)Tricyclic fused compounds and pharmaceutical compositions containing them
US6169091B1 (en)Bicyclic heteroaromatic compounds as protein tyrosine kinase inhibitors
EP0912572B1 (en)Bicyclic heteroaromatic compounds as protein tyrosine kinase inhibitors
EP1047694B1 (en)Bicyclic heteroaromatic compounds as protein tyrosine kinase inhibitors
US6723726B1 (en)Protein tyrosine kinase inhibitors
US7678911B2 (en)1,6 naphthyridines useful as inhibitors of SYK kinase
US7432279B2 (en)4,6-diamino-[1,7]naphthyridine-3-carbonitrile inhibitors of Tpl2 kinase and methods of making and using the same
DE69710712T3 (en) REVERSIBLE INHIBITORS OF TYROSINE KINASEN
EP0843671A1 (en)Heterocyclic compounds and pharmaceutical compositions containing them
CZ20021008A3 (en)Quinazoline derivatives, process of their preparation and pharmaceutical preparation in which they are comprised
WO1999035132A1 (en)Heterocyclic compounds
US20080146604A1 (en)Triazolo-Quinolin Derivatives Useful as Adenosine Receptor Ligands
CA2474434A1 (en)Condensed heterocyclic compounds
CZ20021007A3 (en)Quinazoline derivatives, process of their preparation and pharmaceutical preparation in which they are comprised
MXPA02006749A (en)Pyrazoloquinolinone derivatives as protein kinase c.
HK1031883B (en)Bicyclic heteroaromatic compounds as protein tyrosine kinase inhibitors
MXPA99000483A (en)Biciclic heteroaromatic compounds as protein inhibitors tirosin cin

Legal Events

DateCodeTitleDescription
AKDesignated states

Kind code of ref document:A1

Designated state(s):AL AM AT AU AZ BA BB BG BR BY CA CH CN CU CZ DE DK EE ES FI GB GE HU IL IS JP KE KG KP KR KZ LC LK LR LS LT LU LV MD MG MK MN MW MX NO NZ PL PT RO RU SD SE SG SI SK TJ TM TR TT UA UG US UZ VN AM AZ BY KG KZ MD RU TJ TM

ALDesignated countries for regional patents

Kind code of ref document:A1

Designated state(s):KE LS MW SD SZ UG AT BE CH DE DK ES FI FR GB GR IE IT LU MC NL PT SE BF BJ CF CG

DFPERequest for preliminary examination filed prior to expiration of 19th month from priority date (pct application filed before 20040101)
121Ep: the epo has been informed by wipo that ep was designated in this application
REGReference to national code

Ref country code:DE

Ref legal event code:8642

NENPNon-entry into the national phase

Ref country code:JP

Ref document number:97514710

Format of ref document f/p:F

122Ep: pct application non-entry in european phase
NENPNon-entry into the national phase

Ref country code:CA


[8]ページ先頭

©2009-2025 Movatter.jp